Appearance
《预制预应力混凝土装配整体式框架结构技术规程[附条文说明] 》JGJ 224-2010
🗓️ 住房和城乡建设部 实施时间:2011-10-01
前言
中华人民共和国行业标准
预制预应力混凝土装配整体式 框架结构技术规程
Technical specification for framed structures comprised of precast prestressed concrete components
JGJ 224-2010
批准部门:中华人民共和国住房和城乡建设部
施行日期:2011年10月1日
中华人民共和国住房和城乡建设部
公 告
第808号
关于发布行业标准《预制预应力混凝土装配整体式框架结构技术规程》的公告
现批准《预制预应力混凝土装配整体式框架结构技术规程》为行业标准,编号为JGJ 224-2010,自2011年10月1日起实施。其中,第3.1.2条为强制性条文,必须严格执行。
本规程由我部标准定额研究所组织中国建筑工业出版社出版发行。
中华人民共和国住房和城乡建设部
2010年11月17日
前 言
根据住房和城乡建设部《关于印发<2008年工程建设标准规范制订、修订计划(第一批)>的通知》(建标[2008]102号)的要求,规程编制组经广泛调查研究,认真总结实践经验,参考有关国际标准和国外先进标准,并在广泛征求意见的基础上,制定本规程。
本规程的主要技术内容是:1.总则;2.术语和符号;3.基本规定;4.结构设计与施工验算;5.构造要求;6.构件生产;7.施工及验收。
本规程中以黑体字标志的条文为强制性条文,必须严格执行。
本规程由住房和城乡建设部负责管理和对强制性条文的解释,由南京大地建设集团有限责任公司负责具体技术内容的解释。执行过程中如有意见或建议,请寄送南京大地建设集团有限责任公司(地址:江苏省南京市虎踞路135号,邮政编码:210013)。
本规程主编单位:南京大地建设集团有限责任公司
启东建筑集团有限公司
本规程参编单位:东南大学土木工程学院
江苏省建筑设计研究院有限公司
南京大地普瑞预制房屋有限公司
本规程主要起草人员:于国家 吕志涛 冯健 刘亚非 金如元 贺鲁杰 刘立新 张晋 陈向阳 仓恒芳 王翔 张明明
本规程主要审查人员:黄小坤 郑文忠 胡庆昌 冯大斌 王正平 高俊岳 薛彦涛 王群依 李亚明 周之峰 盛平 李霆
条文说明
中华人民共和国行业标准 预制预应力混凝土装配整体式框架结构技术规程 JGJ224-2010 条文说明 制定说明 《预制预应力混凝土装配整体式框架结构技术规程》JGJ224-2010,经住房和城乡建设部2010年11月17日以第808号公告批准、发布。 本规程制定过程中,编制组进行了广泛的调查研究,总结了预制预应力混凝土装配整体式框架技术的实践经验,同时参考了国外先进技术法规、技术标准,通过试验取得了预制预应力混凝土装配整体式框架设计、施工等重要技术参数。 为便于广大设计、施工、科研、学校等单位有关人员在使用本标准时能正确理解和执行条文规定,《预制预应力混凝土装配整体式框架结构技术规程》编制组按章、节、条顺序编制了本标准的条文说明,对条文规定的目的、依据以及执行中需注意的有关事项进行了说明。但是,本条文说明不具备与标准正文同等的法律效力,仅供使用者作为理解和把握标准规定的参考。
1 总则
1 总 则
1.0.1 为规范预制预应力混凝土装配整体式框架结构的设计、施工及验收,做到技术先进、安全适用、经济合理、确保质量,制定本规程。
条文说明
1.0.1预制预应力混凝土装配整体式框架结构体系(世构体系)的预制构件包括预制混凝土柱、预制预应力混凝土叠合梁、板。其关键技术在于采用键槽节点,避免了传统装配结构梁柱节点施工时所需的预埋、焊接等复杂工艺,且梁端锚固筋仅在键槽内预留,现场施工安装方便快捷,缩短了工期,具有显著的经济效益和社会效益,有较高的推广应用价值,对于推动我国建筑工业化和建筑业可持续发展具有重要的意义。
1.0.2 本规程适用于非抗震设防区及抗震设防烈度为6度和7度地区的除甲类以外的预制预应力混凝土装配整体式框架结构和框架-剪力墙结构的设计、施工及验收。
1.0.3 预制预应力混凝土装配整体式框架结构的设计、施工及验收,除应符合本规程外,尚应符合国家现行有关标准的规定。
条文说明
1.0.3在进行该体系的设计与施工时,除符合本规程规定外,尚应符合现行国家标准《建筑结构可靠度设计统一标准》GB50068、《建筑结构设计术语和符号标准》GB/T50083、《建筑结构荷载规范》GB50009、《建筑工程抗震设防分类标准》GB50223、《建筑抗震设计规范》GB50011、《混凝土结构设计规范》GB50010、《混凝土结构工程施工质量验收规范》GB50204等的有关规定。
2 术语和符号
2.1 术语
2 术语和符号
2.1 术 语
2.1.1 预制预应力混凝土装配整体式框架结构 framed structures comprised of precast prestressed concrete components
采用预制或现浇钢筋混凝土柱、预制预应力混凝土叠合梁板,通过键槽节点连接形成的装配整体式框架结构。
2.1.2 预制预应力混凝土装配整体式框架-剪力墙结构 framed-shearwall structures comprised of precast prestressed concrete components
采用现浇钢筋混凝土柱、现浇钢筋混凝土剪力墙、预制预应力混凝土叠合梁板,通过键槽节点连接形成的装配整体式框架-剪力墙结构。与现浇钢筋混凝土剪力墙连接的梁板结构采用现浇梁、叠合板。
2.1.3 键槽节点 service hole joint
预制梁端预留键槽,预制梁的纵筋与伸入节点的U形钢筋在其中搭接,使用强度等级高一级的无收缩或微膨胀细石混凝土填平键槽,然后利用叠合层的后浇混凝土将梁上部钢筋等浇筑在一起形成的梁柱节点。
2.1.4 U形钢筋 U-shaped reinforcing steel bar
在键槽与梁柱节点内将梁、柱连成一体的钢筋。
2.1.5 交叉钢筋 diagonal reinforcements
一次成型的多层预制柱节点处设置的构造钢筋,用于保证预制柱在运输及施工阶段的承载力及刚度。
2.2 符号
2.2 符 号
f ptk ——预应力筋的抗拉强度标准值;
n——参与组合的可变荷载数;
R——结构构件抗力设计值;
S Ehk ——水平地震作用标准值的效应;
S G1k ——按预制构件自重荷载标准值G 1k 计算的荷载效应值;
S G2k ——按叠合层自重荷载标准值计算的荷载效应值;
S GE ——重力荷载代表值的效应;
S Gk ——按全部永久荷载标准值G k 计算的荷载效应值;
S Qk ——按施工活荷载标准值Q k 计算的荷载效应值;
S Qik ——按可变荷载标准值Q ik 计算的荷载效应值,其中S Q1k 为诸可变荷载效应中起控制作用者;
S wk ——风荷载标准值的效应;
γ 0 ——结构的重要性系数;
γ Eh ——水平地震作用的分项系数;
γ RE ——承载力抗震调整系数;
γ w ——风荷载分项系数;
ψ ci ——可变荷载Q i 的组合值系数;
ψ qi ——可变荷载的准永久值系数;
ψ w ——风荷载组合值系数。
3 基本规定
3.1 适用高度和抗震等级
3 基本规定
3.1 适用高度和抗震等级
3.1.1 对预制预应力混凝土装配整体式框架结构,乙类、丙类建筑的适用高度应符合表3.1.1的规定。
表3.1.1 预制预应力混凝土装配整体式结构适用的最大高度(m)

条文说明
3.1.1根据现行国家标准《建筑抗震设计规范》GB50011、《建筑工程抗震设防分类标准》GB50223的有关规定并参照中国工程建设标准化协会标准《钢筋混凝土装配整体式框架节点与连接设计规程》CECS43,同时根据课题组的试验研究成果,确定了本规程适用于非抗震设防区及抗震设防烈度为6~7度地区的乙类及乙类以下的预制预应力混凝土装配整体式房屋。适用高度的确定原则上比现行国家标准《建筑抗震设计规范》GB50011规定的相应现浇结构低。2008年东南大学所作的三个键槽节点低周反复试验结果,在满足本规程要求的情况下,节点的位移延性系数均大于4。2009年东南大学所作的大比例两层两跨两开间模拟地震振动台试验表明,叠合层与预制构件之间的连接是可靠的,没有出现撕裂、脱离等现象。
3.1.2 预制预应力混凝土装配整体式房屋应根据设防类别、烈度、结构类型和房屋高度采用不同的抗震等级,并应符合相应的计算和构造措施要求。丙类建筑的抗震等级应符合表3.1.2的规定。
表3.1.2 预制预应力混凝土装配整体式房屋的抗震等级

注:1 建筑场地为Ⅰ类时,除6度外允许按表内降低一度所对应的抗震等级采取抗震构造措施,但相应的计算要求不应降低;
2 接近或等于高度分界时,允许结合房屋不规则程度及场地、地基条件确定抗震等级;
3 乙类建筑应按本地区抗震设防烈度提高一度的要求加强其抗震措施,当建筑场地为Ⅰ类时,除6度外允许仍按本地区抗震设防烈度的要求采取抗震构造措施;
4 大跨度框架指跨度不小于18m的框架。
条文说明
3.1.2 抗震等级的划分是依据现行国家标准《建筑抗震设计规范》GB 50011的有关规定确定的。预制预应力混凝土装配整体式框架的受力特点与现浇混凝土框架基本相同,其延性指标能够满足现浇混凝土框架的抗震要求。2009年完成的节点低周反复试验位移延性系数均大于4,模拟地震振动台试验层间位移达到1/68时结构未垮塌(由于条件限制,试验结束)。本条为强制性条文,应严格执行。
3.2 材料
3.2 材 料
3.2.1 预制预应力混凝土装配整体式框架所使用的混凝土应符合表3.2.1的规定:
表3.2.1 预制预应力混凝土装配整体式框架的混凝土强度等级

条文说明
3.2.1因为叠合梁板的预制部分采用预应力混凝土,因此规定混凝土强度等级C40及以上,如果叠合层部分混凝土强度等级低于预制部分,相关计算取强度低者。
3.2.2 键槽节点部分应采用比预制构件混凝土强度等级高一级且不低于C45的无收缩细石混凝土填实。
条文说明
3.2.2节点部分的混凝土分两次浇捣,第一次是将键槽部分的空隙填平,因为U形钢筋通过此部分的后浇混凝土与预制梁底的预应力筋实现搭接,因此该部分的混凝土质量十分关键,应采用强度等级高一级的无收缩细石混凝土。如果该部分混凝土搅拌时量较少,考虑材料强度评测所采用的统计方法的因素,混凝土强度等级可按不低于C45执行;节点部位键槽之外的混凝土的第二次浇筑与叠合梁板的叠浇层部分同时进行,该部分混凝土强度等级与叠浇层相同。
3.2.3 预应力筋宜采用预应力螺旋肋钢丝、钢绞线,且强度标准值不宜低于1570MPa。
条文说明
3.2.3根据先张法预应力混凝土的特点选择预应力筋,强度等级不宜过低。
3.2.4 预制预应力混凝土梁键槽内的U形钢筋应采用HRB400级、HRB500级或HRB335级钢筋。
条文说明
3.2.4键槽内的U形钢筋应采用带肋钢筋,强度等级宜高以减小钢筋直径,便于保证其粘结强度。
3.3 构件
3.3 构 件
3.3.1 预制钢筋混凝土柱应采用矩形截面,截面边长不宜小于400mm。一次成型的预制柱的长度不宜超过14m和4层层高的较小值。
条文说明
3.3.1采用预制柱时,为便于运输、吊装,柱截面长边尺寸不宜过大。为加快现场施工进度,预制柱一次成型的高度可以为一层至四层不等,每层柱的柱高确定时应综合考虑梁柱节点处的刚度问题、安装时临时固定的便捷性和运输的便捷性。
3.3.2 预制梁的截面边长不应小于200mm。预制梁端部应设键槽,键槽中应放置U形钢筋,并应通过后浇混凝土实现下部纵向受力钢筋的搭接。
条文说明
3.3.2预制梁的任何一边边长均不得小于200mm。
3.3.3 预制板厚度不应小于50mm,且不应大于楼板总厚度的1/2。预制板的宽度不宜大于2500mm,且不宜小于600mm。预应力筋宜采用直径4.8mm或5mm的高强螺旋肋钢丝。钢丝的混凝土保护层厚度不应小于表3.3.3的规定。
表3.3.3 钢丝混凝土保护层厚度

条文说明
3.3.3预制板的厚度不宜过薄,否则预应力筋的保护层厚度不易保证,起吊、堆放、运输时容易开裂。叠合板的后浇部分的厚度不应小于预制部分的厚度,以保证叠合板形成后的刚度。预制板的宽度不宜过小,过小则经济性差。预制板的宽度不宜过大,过大则运输、起吊较为困难。钢丝保护层厚度的规定参照了国内的相关规范的要求。
3.4 作用效应组合
3.4 作用效应组合
3.4.1 预制预应力混凝土装配整体式框架结构进行非抗震设计时,结构构件的承载力可按下式确定:
γ 0 S≤R (3.4.1-1)
式中:γ 0 ——结构构件的重要性系数,按现行国家标准《混凝土结构设计规范》GB 50010的规定选用;
S——荷载效应组合的设计值(N或N·mm),按现行国家标准《建筑结构荷载规范》GB 50009和《建筑抗震设计规范》GB 50011的规定进行计算;
R——结构构件的承载力设计值(N或N·mm)。
1 预制构件起吊时荷载效用组合的设计值应按下式计算:
S=αγ G S G1k (3.4.1-2)
式中:α——动力系数,可取1.5;
γ G ——永久荷载分项系数,应按本规程第3.4.3条采用;
S G1k ——按预制构件自重荷载标准值G 1k 计算的荷载效应值(N或N·mm)。
2 预制构件安装就位后施工时荷载效应组合的设计值应按下式计算:
S=γ G S G1k +γ G S G2k +γ Q S Qk (3.4.1-3)
式中:S G2k ——按叠合层自重荷载标准值计算的荷载效应值(N或N·mm);
γ Q ——可变荷载分项系数,应按本规程第3.4.3条采用;
S Qk ——按施工活荷载标准值Q h 计算的荷载效应值(N或N·mm)。
3 主体结构各构件使用阶段荷载效应组合的设计值应按下列情况进行计算:
1)可变荷载效应控制的组合应按下式进行计算:

(3.4.1-4)
式中:γ Qi ——第i个可变荷载的分项系数;其中γ Q1 为可变荷载Q 1 的分项系数,应按本规程第3.4.3条采用;
S Qik ——按可变荷载标准值Q ik 计算的荷载效应值,其中S Q1k 为诸可变荷载效应中起控制作用者(N或N·mm);
ψ ci ——可变荷载Q i 的组合值系数;
S Gk ——按全部永久荷载标准值G k 计算的荷载效应值(N或N·mm);
n——参与组合的可变荷载数。
2)永久荷载效应控制的组合应按下式进行计算:

(3.4.1-5)
4 施工阶段临时支撑的设置应考虑风荷载的影响。
3.4.2 对于正常使用极限状态,预制预应力混凝土装配整体式框架结构的结构构件应分别按荷载效应的标准组合、准永久组合或标准组合并考虑长期作用影响,采用下列极限状态表达式:
S≤C (3.4.2-1)
式中:S——正常使用极限状态的荷载效应组合值(mm或N/mm 2 );
C——结构构件达到正常使用要求所规定的变形、裂缝宽度和应力等的限值(mm或N/mm 2 )。
主体结构各构件的荷载效应标准组合的设计值和准永久组合的设计值,应按下式确定:
1)荷载效应标准组合

(3.4.2-2)
2)荷载效应准永久组合

(3.4.2-3)
式中:ψ qi ——可变荷载的准永久值系数。
3.4.3 基本组合的荷载分项系数采用,应按表3.4.3选用。
表3.4.3 基本组合的荷载分项系数

注:对结构的倾覆、滑移或漂浮验算,荷载的分项系数应按国家、行业现行的结构设计规范的规定采用。
条文说明
3.4.1~3.4.3进行施工、使用两个阶段承载力极限状态设计时遵照有关规范。本体系施工时预制梁、板下应有可靠支撑,预制柱应有斜撑。施工阶段的风荷载由施工临时措施解决。
3.4.4 预制预应力混凝土装配整体式框架结构的结构构件的地震作用效应和其他荷载效应的基本组合应按下式计算:
S E =γ G S GE +γ Eh S Ehk +ψ w γ w S wk (3.4.4)
式中:S E ——结构构件的地震作用效应和其他荷载荷载效应的基本组合(N或N·mm);
γ G ——重力荷载分项系数,可取1.2;当重力荷载效应对构件承载力有利时,不应大于1.0;
γ Eh ——水平地震作用分项系数,应采用1.3;
γ w ——风荷载分项系数,应采用1.4;
S GE ——重力荷载代表值的效应(N或N·mm);
S Ehk ——水平地震作用标准值的效应(N或N·mm),应乘以相应的增大系数或调整系数;
S wk ——风荷载标准值的效应(N或N·mm);
ψ w ——风荷载组合值系数,一般结构可取0,风荷载起控制作用的高层建筑应采用0.2。
条文说明
3.4.4本条是遵照现行国家标准《建筑抗震设计规范》GB50011作出的规定。因为6度、7度地震区的竖向地震力一般较小,且本规程的适用高度也不高,可以不计算其影响。
3.4.5 预制预应力混凝土装配整体式框架结构的结构构件的截面抗震验算,应按下式进行计算:
S E ≤R/γ RE (3.4.5)
式中:R——结构构件承载力设计值(N或N·mm);
γ RE ——承载力抗震调整系数,除另有规定外,应按表3.4.5采用。
表3.4.5 承载力抗震调整系数

条文说明
3.4.5本条是遵照现行国家标准《建筑抗震设计规范》GB50011作出的规定,列出梁、柱、剪力墙等的有关内容。
3.4.6 预制预应力混凝土装配整体式框架建筑及其抗侧力结构的平面布置宜规则、对称,并应具有良好的整体性;建筑的立面和竖向剖面宜规则,结构的侧向刚度宜均匀变化,竖向抗侧力构件的截面尺寸和材料强度宜自下而上逐渐减小,避免抗侧力结构的侧向刚度突变。
条文说明
3.4.6由于本体系是装配整体式框架体系,故建筑平、立面布置宜规整,对不规则的建筑应按现行国家标准《建筑抗震设计规范》GB50011的有关规定进行设计。
3.4.7 多层框架结构不宜采用单跨框架结构,高层的框架结构以及乙类建筑的多层框架结构不应采用单跨框架结构。楼梯间的布置不应导致结构平面显著不规则,并应对楼梯构件进行抗震承载力验算。
条文说明
3.4.7本条明确了控制单跨框架结构适用范围的要求,并强调了必须对楼梯构件进行抗震承载力验算。
3.4.8 预制预应力混凝土装配整体式框架应按现行国家标准《建筑抗震设计规范》GB 50011的规定进行多遇地震作用下的抗震变形验算。
3.4.9 6度三级框架节点核芯区,可不进行抗震验算,但应符合抗震构造措施的要求;7度三级框架节点核芯区,应按现行国家标准《建筑抗震设计规范》GB 50011的规定进行抗震验算。一、二级框架节点核芯区,应按现行国家标准《建筑抗震设计规范》GB 50011的规定进行抗震验算。
4 结构设计与施工验算
4.1 结构分析
4 结构设计与施工验算
4.1 结构分析
4.1.1 预制预应力混凝土装配整体式框架结构、框架-剪力墙结构的内力和变形应按施工安装、使用两个阶段分别计算,并应取其最不利内力:
1 施工安装阶段,构件内力应按简支梁或连续梁计算。
2 使用阶段,内力应按连续构件计算。次梁支座可按铰接考虑。
4.1.2 预制预应力混凝土装配整体式框架结构、框架-剪力墙结构的叠合梁板施工阶段应有可靠支撑。
4.1.3 预制预应力混凝土装配整体式框架结构、框架-剪力墙结构使用阶段计算时可取与现浇结构相同的计算模型。
4.1.4 预制预应力混凝土装配整体式框架结构施工阶段的计算,可不考虑地震作用的影响。
4.1.5 预制预应力混凝土装配整体式框架结构使用阶段的内力计算应符合下列规定:
1 框架梁的计算跨度应取柱中心到中心的距离;
2 框架柱的计算长度和梁翼缘的有效宽度应按现行国家标准《混凝土结构设计规范》GB 50010的规定确定;
3 在竖向荷载作用下应考虑梁端塑性变形内力重分布,对梁端负弯矩进行调幅,叠合式框架梁的弯矩调幅系数可取0.8;梁端负弯矩减小后应按平衡条件计算调幅后的跨中弯矩。
条文说明
4.1.1~4.1.5根据预制预应力混凝土装配整体式框架具体的施工步骤,按照施工安装和使用两个阶段进行内力和变形计算。施工阶段的结构稳定应通过施工临时措施解决。装配整体式框架使用阶段的内力计算宜考虑弯矩调幅。
4.2 构件设计
4.2 构件设计
4.2.1 预制预应力混凝土装配整体式框架应按装配整体式框架各杆件在永久荷载、可变荷载、风荷载、地震作用下最不利的组合内力进行截面计算,并配置钢筋。并应分别考虑施工阶段和使用阶段两种情况,取较大值进行配筋。
4.2.2 叠合梁、板的设计应符合现行国家标准《混凝土结构设计规范》GB 50010的有关规定。
4.2.3 对不配抗剪钢筋的叠合板,当符合现行国家标准《混凝土结构设计规范》GB 50010的叠合界面粗糙度的构造规定时,其叠合面的受剪强度应符合下式的规定:
V/bh 0 ≤0.4 (4.2.3)
式中:V——剪力设计值(N);
b——截面宽度(mm);
h 0 ——截面有效高度(mm)。
4.2.4 预制预应力混凝土装配整体式框架-剪力墙结构中的剪力墙的设计应符合现行国家标准《混凝土结构设计规范》GB 50010、《建筑抗震设计规范》GB 50011的有关规定。
4.3 施工验算
4.3 施工验算
4.3.1 在不增加受力钢筋的前提下,应根据承载力及刚度要求确定预制梁、板底部支撑的位置、数量。部分位置可按施工阶段无支撑或无足够支撑的叠合式受弯构件进行施工验算。
条文说明
4.3.1本体系叠合梁板宜按施工阶段有可靠支撑的叠合式受弯构件设计。不排除部分位置按施工阶段无支撑或无足够支撑的叠合式受弯构件设计。
4.3.2 预制预应力混凝土装配整体式框架施工安装阶段的内力计算应符合下列规定:
1 荷载应包括梁板自重及施工安装荷载;
2 梁的计算跨度应根据支撑的实际情况确定。
4.3.3 叠合梁、板未形成前,预制梁、板应能承受自重和新浇混凝土的重量。当叠合层混凝土达到设计强度后,后加的恒载及活载应由叠合截面承担。
条文说明
4.3.3在叠合梁、板形成前,预制梁、板底部通常有支撑,在这种支承条件下预制梁、板应该能够承受自重和新浇混凝土的重量。
5 构造要求
5.1 一般规定
5 构造要求
5.1 一般规定
5.1.1 柱的轴压比及柱和梁的钢筋配置应符合现行国家标准《建筑抗震设计规范》GB 50011、《混凝土结构设计规范》GB 50010的有关规定。
5.1.2 梁端键槽和键槽内U形钢筋平直段的长度应符合表5.1.2的规定。
表5.1.2 梁端键槽和键槽内U形钢筋平直段的长度

注:表中l l 、l lE 为U形钢筋搭接长度。
条文说明
5.1.2键槽的长度要满足U形钢筋的锚固、U形钢筋施工时正常放置所需要的工作长度。根据相关规范的规定和梁柱节点试验分析,对键槽长度作出了规定。在确定键槽长度时,应考虑生产、施工的方便,一般从400mm起,按450mm、500mm类推。
5.1.3 伸入节点的U形钢筋面积,一级抗震等级不应小于梁上部钢筋面积的0.55倍,二、三级抗震等级不应小于梁上部钢筋面积的0.4倍。
条文说明
5.1.3参照相关规范并考虑U形钢筋实际位置距下边缘较远而确定U形钢筋面积,一级抗震等级不应小于梁上部钢筋面积的0.55倍,二、三级抗震等级不应小于梁上部钢筋面积的0.4倍。U形钢筋的安装应均匀布置。
5.1.4 预制板端部预应力筋外露长度不宜小于150mm,搁置长度不宜小于15mm。
条文说明
5.1.4如果不符合本条要求,应采取特殊措施后方可使用。
5.2 连接构造
5.2 连接构造
5.2.1 预制柱与基础的连接应符合下列规定:
1 采用杯形基础时,应符合现行国家标准《建筑地基基础设计规范》GB 50007的相关规定;
2 采用预留孔插筋法(图5.2.1)时,预制柱与基础的连接应符合下列规定:
1)预留孔长度应大于柱主筋搭接长度;
2)预留孔宜选用封底镀锌波纹管,封底应密实不应漏浆;
3)管的内径不应小于柱主筋外切圆直径10mm;
4)灌浆材料宜用无收缩灌浆料,1d龄期的强度不宜低于25MPa,28d龄期的强度不宜低于60MPa。

图5.2.1 预留孔插筋
1—基础梁;2—基础;3—箍筋;4—基础插筋;5—预留孔
条文说明
5.2.1当采用预留孔插筋法时,宜采用镀锌金属波纹管,其长度应大于柱主筋的搭接长度。预留孔应有可靠的封堵措施防止漏浆。
5.2.2 预制柱之间采用型钢支撑连接或预留孔插筋连接(图5.2.2)时,主筋搭接长度除应符合现行国家标准《混凝土结构设计规范》GB 50010的有关规定外,尚应符合下列规定:
1 采用型钢支撑连接时,宜采用工字钢,工字钢伸出上段柱下表面的长度应大于柱主筋的搭接长度,且工字钢应有足够的承载力及刚度支撑上段柱的重量;
2 采用预留孔连接时应符合本规程第5.2.1条第2款的规定。

图5.2.2 柱与柱连接
1—可调斜撑;2—工字钢(承受上柱自重);3—预留孔
条文说明
5.2.2柱与柱的连接可采用两种方法。方法1是在上段预制柱截面中间预埋工字钢,工字钢伸出上段柱下表面的长度应大于柱主筋的搭接长度。方法2是采用预留孔插筋,预留孔的长度应大于柱主筋的搭接长度。
5.2.3 柱与梁的连接可采用键槽节点(图5.2.3)。键槽的U形钢筋直径不应小于12mm、不宜大于20mm。键槽内钢绞线弯锚长度不应小于210mm,U形钢筋的锚固长度应满足现行国家标准《混凝土结构设计规范》GB 50010的规定。当预留键槽壁时,壁厚宜取40mm;当不预留键槽壁时,现场施工时应在键槽位置设置模板,安装键槽部位箍筋和U形钢筋后方可浇筑键槽混凝土。U形钢筋在边节点处钢筋水平长度未伸过柱中心时不得向上弯折。

图5.2.3 梁柱节点浇筑前钢筋连接构造图
1—叠合层;2—预制梁;3—U形钢筋;4—预制梁中伸出、弯折的钢绞线;5—键槽长度;6—钢绞线弯锚长度;
7—框架柱;8—中柱;9—边柱;l aE —受拉钢筋抗震锚固长度;l a —受拉钢筋锚固长度
条文说明
5.2.3柱与梁的连接采用键槽节点。如果梁较大、配筋较多、所需U形钢筋直径较粗时,应保证键槽内钢筋的有效锚固满足现行国家标准《混凝土结构设计规范》GB50010的规定。生产、施工时应严格保证键槽内钢绞线的锚固长度和U形钢筋的锚固长度。键槽的预留方式有两种:一种是生产时预留键槽壁,一般厚40mm,U形钢筋安装在键槽内;另一种是生产时不预留键槽壁,现场施工时安装键槽部位箍筋和U形钢筋后和键槽混凝土同时浇筑。
5.2.4 次梁可采用吊筋形式的缺口梁方式与主梁连接(图5.2.4-1、图5.2.4-2),并应符合下列规定:
1 缺口梁端部高度(h 1 )不宜小于0.5倍的叠合梁截面高度(h),挑出部分长度(a)可取缺口梁端部高度(h 1 ),缺口拐角处宜做斜角。
2 缺口梁梁端受剪截面应符合下列规定:
N≤0.25bh 10 (5.2.4-1)
式中:N——缺口梁梁端支座反力设计值(N);
b——缺口梁截面宽度(mm);
h 10 ——缺口梁端部截面有效高度(mm)。
3 缺口梁端部吊筋的截面面积(A v )应符合下列规定:
A v =1.2N/f yv (5.2.4-2)
式中:f yv ——箍筋抗拉强度设计值(N/mm 2 )。
4 缺口梁凸出部分梁底纵筋的截面面积(A t1 )应符合下列规定:

(5.2.4-3)

(5.2.4-4)
式中:e——缺口梁梁端支座反力与吊筋合力点之间的距离(mm)。反力作用点位置:梁底有预埋钢板可取为预埋钢板中点,无预埋钢板可取为梁端凸出部分的中点;
z 1 ——可取0.85倍缺口梁端部截面有效高度;
H——梁底有预埋钢板可取0.2N,无预埋钢板可取0.65N,另有计算的除外;
f y ——钢筋抗拉强度设计值(N/mm 2 )。

图5.2.4-1 主梁与次梁的连接构造图
1—水平腰筋;2、3—水平U形腰筋;4—箍筋;5—缺口部位箍筋;6—预制梁;7—边梁;
8—构造筋;9—中间梁;10—预制次梁;b—次梁宽
5 缺口梁凸出部分腰筋的截面面积(A t2 )应符合下列规定:

图5.2.4-2 预制次梁的端部配筋构造
1、2、3、7—水平U形钢筋;4—箍筋;5—缺口部位箍筋;6—预制次梁;8—垂直裂缝;9、10—斜裂缝
A t2 =N 2 /(25.16f y bh 1 ) (5.2.4-5)
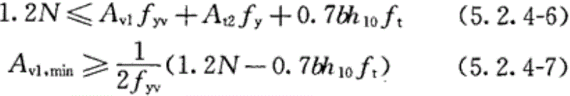
6 缺口梁凸出部分箍筋的截面面积(A v1 )应符合下列规定:

式中:f t ——混凝土抗拉强度设计值(N/mm 2 )。
7 纵筋A t1 及腰筋A t2 可做成U形,从垂直裂缝伸入梁内的延伸长度可取为1.7倍钢筋的锚固长度(l a )。腰筋A t2 间距不宜大于100mm,不宜小于50mm,最上排腰筋与梁顶距离不应小于缺口梁端部高度(h 1 )的1/3。
8 箍筋A v1 和A v 应为封闭箍筋,距梁边距离不应大于40mm,A v 应配置在缺口梁端部高度的1/2的范围内。
9 纵筋A t 在梁端的锚固可采用水平U形钢筋A l1 及A l2 与其搭接的方式,A l 1 及A l2 的直段长度可取为1.7倍钢筋的锚固长度(l a ),截面面积可取为梁底普通钢筋及预应力筋换算为普通钢筋的面积之和(A t )的1/3。
条文说明
5.2.4主梁与次梁的连接处,施工阶段验算时应注意主梁开口后截面削弱的影响,另外开口位置两边应有足够的箍筋承担次梁传来的集中力。次梁采用缺口梁,按缺口梁进行承载力计算。施工过程中应采取有效措施确保主梁与次梁连接处的稳固、密实。缺口梁有多种配筋形式,考虑到预制构件生产的方便,建议采用吊筋形式的桁架计算模型。
5.2.5 预制板之间连接时,应在预制板相邻处板面铺钢筋网片(图5.2.5),网片钢筋直径不宜小于5mm,强度等级不应小于HPB300,短向钢筋的长度不宜小于600mm,间距不宜大于200mm;网片长向可采用三根钢筋,钢筋长度可比预制板短200mm。

图5.2.5 板纵缝连接构造
1—钢筋网片的短向钢筋;2—钢筋网片的长向钢筋;3—钢筋网片的短向长度;4—钢筋网片的长向长度;5—叠合层;6—预制板
条文说明
5.2.5在两块预制板的板缝处铺钢筋网片,增强两块预制板之间的连接。
5.2.6 预制柱层间连接节点处应增设交叉钢筋,并应与纵筋焊接(图5.2.6)。交叉钢筋每侧应设置一片,每根交叉钢筋斜段垂直投影长度可比叠合梁高小40mm,端部直段长度可取为300mm。交叉钢筋的强度等级不宜小于HRB335,其直径应按运输、施工阶段的承载力及变形要求计算确定,且不应小于12mm。

图5.2.6 预制柱层间节点详图
1—焊接;2—楼面板标高;3—交叉钢筋;h—梁高
5.2.7 预制梁底角部应设置普通钢筋,两侧应设置腰筋(图5.2.7)。预制梁端部应设置保证钢绞线的位置的带孔模板;钢绞线的分布宜分散、对称;其混凝土保护层厚度(指钢绞线外边缘至混凝土表面的距离)不应小于55mm;下部纵向钢绞线水平方向的净间距不应小于35mm和钢绞线直径;各层钢绞线之间的净间距不应小于25mm和钢绞线直径。梁跨度较小时可不配置预应力筋。

图5.2.7 预制梁构造详图
1—预制梁;2—叠合梁上部钢筋;3—腰筋(按设计确定);4—钢绞线;5—普通钢筋
6 构件生产
6.1 一般规定
6 构件生产
6.1 一般规定
6.1.1 原材料进场时,应按现行国家标准《混凝土结构工程施工质量验收规范》GB 50204的规定进行检验,合格后方可使用。
条文说明
6.1.1原材料检测参照现行国家标准《混凝土结构工程施工质量验收规范》GB50204的相关规定执行。普通钢筋应符合现行国家标准《钢筋混凝土用钢第1部分:热轧光圆钢筋》GB1499.1、《钢筋混凝土用钢第2部分:热轧带肋钢筋》GB1499.2和《钢筋混凝土用余热处理钢筋》GB13014的规定。钢筋进场时,应检查产品合格证和出厂检验报告,并按规定进行抽样检验;预应力筋有钢丝、钢绞线、热处理钢筋等,其质量应符合相关的现行国家标准《预应力混凝土用钢丝》GB/T5223、《预应力混凝土用钢绞线》GB/T5224等的规定。预应力筋进场时应根据进场批次和产品的抽样检验方案确定检验批,进行进场复验,进场复验可仅做主要的力学性能试验。厂家除了提供产品合格证外,还应提供反映预应力筋主要性能的出厂检验报告;水泥进场时,应根据产品合格证检查其品种、级别等,并有序存放,以免造成混料错批。强度、安定性等是水泥的重要性能指标,进场时应作复验,其质量应符合现行国家标准《通用硅酸盐水泥》GB175的规定;混凝土外加剂质量及应用技术应符合现行国家标准《混凝土外加剂》GB8076、《混凝土外加剂应用技术规范》GB50119等的规定。外加剂的检验项目、方法和批量应符合相应标准的规定;混凝土中各种掺合料应符合国家现行标准《粉煤灰混凝土应用技术规范》GBJ146、《用于水泥与混凝土中粒化高炉矿渣粉》GB/T18046等的规定;普通混凝土所用的砂子、石子应符合现行行业标准《普通混凝土用砂、石质量及检验方法标准》JGJ52的质量要求,其检验项目、检验批量和检验方法应遵照标准的规定执行。普通混凝土用水应符合现行行业标准《混凝土用水标准》JGJ63的质量要求。
6.1.2 钢筋的品种、级别、规格、数量和保护层厚度应符合设计要求。
条文说明
6.1.2在生产过程中,生产单位缺乏设计所要求的钢筋品种、级别或规格时,可进行钢筋代换。为了保证对设计意图的理解不产生偏差,规定当需要作钢筋代换时应办理设计变更文件,以确保满足原结构设计的要求,并明确钢筋代换由设计单位负责。
6.1.3 钢筋下料时,应采用砂轮锯或切断机切断,不得采用电弧切割。
6.1.4 混凝土强度等级应符合设计要求。
6.1.5 采用高强钢丝和钢绞线时,张拉控制应力不宜超过0.75f ptk ,不应超过0.80f ptk 。
条文说明
6.1.5由于本体系预制预应力混凝土构件生产线长度较长,且张拉时控制应力可以控制得较为准确,因此在有可靠经验时最大张拉控制应力可放宽到0.80fptk。
6.2 模板、台座
6.2 模板、台座
6.2.1 模板、台座应满足强度、刚度和稳定性要求。
6.2.2 模板几何尺寸应准确,安装应牢固,拼缝应严密。
6.2.3 模板、台座应保持清洁,隔离剂应涂刷均匀。
6.3 钢筋加工、安装
6.3 钢筋加工、安装
6.3.1 钢筋的接头方式、位置应符合设计要求。
6.3.2 钢筋加工的形状、尺寸应符合设计要求,其允许偏差应符合表6.3.2的规定。
表6.3.2 钢筋加工的允许偏差

6.3.3 钢筋安装的允许偏差应符合表6.3.3的规定。
表6.3.3 钢筋安装的允许偏差

6.4 预应力筋制作与张拉
6.4 预应力筋制作与张拉
6.4.1 应选用非油质类模板隔离剂,并应避免沾污预应力筋。
6.4.2 应避免电火花损伤预应力筋;受损伤的预应力筋应予以更换。
6.4.3 预应力筋的张拉力应符合设计要求,张拉时应保证同一构件中各根预应力筋的应力均匀一致。
6.4.4 张拉过程中,应避免预应力筋断裂或滑脱;当发生断裂或滑脱时,预应力筋必须予以更换。
条文说明
6.4.4由于预应力筋断裂或滑脱对结构构件的受力性能影响极大,故施加预应力过程中,应采取措施加以避免。先张法预应力构件中的预应力筋不允许出现断裂或滑脱,若在浇筑混凝土前出现断裂或滑脱,相应的预应力筋应予以更换。
6.4.5 预应力筋张拉锚固后实际建立的预应力值与工程设计规定检验值的相对允许偏差应为±5%。
条文说明
6.4.5预应力筋张拉后实际建立的预应力值对结构受力性能影响很大,必须予以保证。施工时可用应力测定仪器直接测定张拉锚固后预应力筋的应力值,若难以直接测定,也可用见证张拉代替预应力值测定。
6.4.6 预应力筋放张时,混凝土强度应符合设计要求;当设计无具体要求时,不应低于混凝土设计强度等级值的75%,且不应小于30MPa。
6.4.7 预应力筋放张时,宜缓慢放松锚固装置,使各根预应力筋同时缓慢放松。
6.5 混凝土
6.5 混凝土
6.5.1 混凝土原材料计量允许偏差应符合表6.5.1的规定。
表6.5.1 材料每盘计量允许偏差值

6.5.2 混凝土应振捣密实,预制柱表面应压光;预制梁叠合面应加工成粗糙面;预制板板面应拉毛,拉毛深度不应低于4mm。
6.5.3 生产过程中试块的留置应符合下列规定:
1 每拌制100盘且不超过100m 3 的同配合比的混凝土,取样不得少于一次;
2 每工作班拌制的同一配合比混凝土不足100盘时,取样不得少于一次;
3 每条生产线同一配合比混凝土,取样不得少于一次;
4 每次取样应至少留置一组标准养护试块,同条件养护试块的留置组数应根据构件生产的实际需要确定。
条文说明
6.5.3构件生产时,应按相关规定以生产线为批次留置标准条件养护试块和同条件养护试块。
6.5.4 混凝土浇筑完毕后,应及时进行养护,且混凝土养护应符合下列规定:
1 蒸汽养护时,板的升温速度不应超过25℃/h;梁、柱的升温速度不应超过20℃/h;
2 恒温养护阶段最高温度不得大于95℃;
3 混凝土试块强度达到要求时可停止加热;停止加热后,应让构件缓慢降温。
6.6 堆放与运输
6.6 堆放与运输
6.6.1 混凝土构件厂内起吊、运输时,混凝土强度必须符合设计要求;当设计无专门要求时,对非预应力构件不应低于混凝土设计强度等级值的50%,对预应力构件,不应低于混凝土设计强度等级值的75%,且不应小于30MPa。
6.6.2 构件堆放应符合下列规定:
1 堆放构件的场地应平整坚实,并应有排水措施,堆放构件时应使构件与地面之间留有一定空隙;
2 构件应根据其刚度及受力情况,选择平放或立放,并应保持其稳定;
3 重叠堆放的构件,吊环应向上,标志应向外;其堆垛高度应根据构件与垫木的承载能力及堆垛的稳定性确定;各层垫木的位置应在一条垂直线上;
4 采用靠放架立放的构件,应对称靠放和吊运,其倾斜角度应保持大于80°,构件上部宜用木块隔开。
6.6.3 构件运输应符合下列规定:
1 构件运输时的混凝土强度,当设计无具体规定时,不应低于混凝土设计强度等级值的75%;
2 构件支承的位置和方法,应根据其受力情况确定,但不得超过构件承载力或引起构件损伤;
3 构件装运时应绑扎牢固,防止移动或倾倒;对构件边部或与链索接触处的混凝土,应采用衬垫加以保护;
4 在运输细长构件时,行车应平稳,并可根据需要对构件采取临时固定措施;
5 构件出厂前,应将杂物清理干净。
7 施工及验收
7.1 现场堆放
7 施工及验收
7.1 现场堆放
7.1.1 预制构件应减少现场堆放。
条文说明
7.1.1为避免预制构件的破损,尽量减少现场堆放和转运。
7.1.2 预制构件施工现场堆放除应符合本规程第6.6.2条的规定,尚宜按吊装顺序和型号分类堆放,堆垛宜布置在吊车工作范围内且不受其他工序施工作业影响的区域。
条文说明
7.1.2根据施工组织设计和安装专项方案确定堆放区域和顺序。
7.2 柱就位前基础处理
7.2 柱就位前基础处理
7.2.1 预制预应力混凝土装配整体式框架结构采用杯形基础时,在柱吊装前应进行杯底抄平。
条文说明
7.2.1当采用杯形基础施工时,柱就位前的处理事项同一般的装配式结构施工要求。
7.2.2 预制预应力混凝土装配整体式框架结构当采用预留孔插筋法施工时,应根据设计要求在基础混凝土中设置预留孔,并应符合下列规定:
1 预留孔长度、位置及内径应满足设计要求;
2 浇筑基础混凝土时,应采取防止混凝土进入孔内的措施;
3 在混凝土初凝之前,应再次检查预留孔的位置是否准确,其平面允许偏差应为±5mm,孔深允许偏差应为±10mm。
条文说明
7.2.2当采用预留孔插筋法施工时,保证预留孔位置的准确性。
7.3 柱吊装就位
7.3 柱吊装就位
7.3.1 柱的吊装、调整和固定应按下列步骤进行:
1 采用预留孔插筋法时应符合下列规定:
1)在起吊期间,应采用柱靴对从柱底伸出的钢筋进行保护;起吊阶段,柱扶正过程中,柱靴应始终不离地面;
2)柱就位前,应在孔内注入流动性良好且强度符合本规程第5.2.1条规定的无收缩灌浆料,并应均匀坐浆,厚度约10mm;
3)柱就位后应用可调斜撑校正并固定;
4)当上一层梁柱节点混凝土强度达到10MPa后,方可拆除可调斜撑。
2 采用杯形基础时应符合下列规定:
1)柱就位后应及时对柱的位置进行调整,然后应采用钢楔将柱临时固定,并应采用可调斜撑校正柱垂直度,采用钢楔将柱固定后方可摘除吊钩;
2)应及时在柱底杯口内填充微膨胀细石混凝土;混凝土应分两次浇筑,第一次应浇到钢楔下口并不应少于杯口深度的2/3,当混凝土达到设计强度等级值的25%时,再浇筑至杯口顶面;可调斜撑的拆除应符合本规程第7.3.1条第1款的规定。
3 当采用型钢支撑连接法接柱时,型钢的规格、长度应经设计确定;接头长度不得影响柱主筋的连接和接头区的混凝土浇筑;接头区混凝土应浇捣密实。
4 当采用预留孔插筋法接柱时,应按照本规程第7.3.1条第1款的规定施工。
条文说明
7.3.1施工时要确保无收缩灌浆料充实预留孔并按要求留置试块。
7.4 预制梁吊装就位
7.4 预制梁吊装就位
条文说明
预制梁按一阶段受力设计,施工时梁下应有可靠支撑。支撑应编制施工方案后执行。
7.4.1 预制梁的就位应按下列步骤进行:
1 吊装前应按施工方案搭设支架,并应校正支架的标高;
2 梁应放置在支架上,调整标高并应进行临时固定;
3 每根柱周围的梁就位后,应采取固定措施。
7.4.2 梁端节点施工应符合下列规定:
1 预制梁吊装就位后,应根据设计要求在键槽内安装U形钢筋,并应采用可靠固定方式确保U形钢筋位置准确,安装结束后,应封堵节点模板;
2 浇筑混凝土前,应对梁的截面,梁的定位,U形钢筋的数量、规格,安装质量等进行检查;
3 混凝土浇筑前,应将键槽清理干净并浇水充分湿润,不得有积水;
4 键槽节点处的混凝土应符合本规程第3.2.2条的规定;混凝土应浇捣密实,并应浇筑至预制板底标高处。
7.5 板吊装就位
7.5 板吊装就位
7.5.1 梁柱节点处混凝土的强度达到15MPa后,方可吊装预制板。预制板的两端应搁置在预制梁上,板下应设置临时支撑。
条文说明
7.5.1施工时按规定留置标准条件养护试块和同条件养护试块。
7.5.2 梁、板的上部钢筋安装完成后,方可浇筑叠合层混凝土。叠合层混凝土应振捣密实,不得对节点处混凝土造成破坏。
7.6 安全措施
7.6 安全措施
7.6.1 预制构件吊装时,除应按现行行业标准《建筑施工高处作业安全技术规范》JGJ 80的有关规定执行,尚应符合下列规定:
1 预制构件吊装前,应按照专项施工方案的要求,进行安全、技术交底,并应严格执行;
2 吊装操作人员应按规定持证上岗。
7.6.2 预制构件吊装前应检查吊装设备及吊具是否处于安全操作状态。
7.6.3 预制构件的吊装应按专项施工方案的要求进行。起吊时绳索与构件水平面的夹角不宜小于60°,不应小于45°,否则应采用吊架或经验算确定。
7.6.4 起吊构件时,不得中途长时间悬吊、停滞。
7.7 质量验收
7.7 质量验收
条文说明
施工安装质量验收除应符合现行国家标准《混凝土结构工程施工质量验收规范》GB50204的规定外,尚应按照本节的规定进行验收。 构件的缺陷严重程度根据其对结构性能和使用功能的影响分为一般缺陷和严重缺陷。常见的构件缺陷可按下列方式处理,主要包括:①梁上部的竖向裂缝,一般长度不超过100mm,可不处理;②梁端键槽部位斜向裂缝,裂缝宽度不大于0.1mm的可不处理;③薄板下部与预应力主筋方向平行的裂缝,不在预应力钢丝位置且宽度不大于0.2mm的可不处理,当宽度大于0.2mm时,按板拼缝处理,在薄板面加钢筋网片;④预制梁的局部混凝土缺陷,可用高强砂浆或细石混凝土修补;⑤当预制主梁长度超过实际要求长度时,可将主梁两端键槽对称割短,每边键槽长度均应符合本规程第5.1.2条的规定;当预制主梁长度小于要求长度时,可将预制主梁就位后,两端键槽现浇接长,并相应延长键槽U形钢筋长度;⑥当键槽开裂较大或缺损时可将破损部位凿除,安装时与键槽混凝土同时浇筑。其他特殊情况的缺陷的处理需要另行编制技术方案处理。 装配整体式结构的结构性能主要取决于预制构件的结构性能和连接质量。因此,应按现行国家标准《混凝土结构工程施工质量验收规范》GB50204的规定对预制构件进行结构性能检验,合格后方能用于工程。预制构件生产单位应向构件采购单位提供构件合格证。
7.7.1 预制预应力混凝土装配整体式框架的质量验收除应符合现行国家标准《混凝土结构工程施工质量验收规范》GB 50204的有关规定外,尚应符合本节的规定。
7.7.2 预制构件应进行结构性能检验。结构性能检验不合格的预制构件不得使用。
7.7.3 预制构件尺寸的允许偏差,当设计无具体要求时,应符合表7.7.3的规定。
检查数量:同一生产线或同一工作班生产的同类型构件,抽查5%且不应少于3件。
表7.7.3 构件尺寸的允许偏差及检查方法

7.7.4 梁端节点区的连接钢筋应符合设计要求。
检查数量:全数检查。
检验方法:观察,检查施工记录。
7.7.5 梁端节点区混凝土强度未达到本规程要求时,不得吊装后续结构构件。已安装完毕的装配式结构,应在混凝土强度到达设计要求后,方可承受全部设计荷载。
检查数量:全数检查。
检验方法:检查施工记录及试件强度试验报告。
7.7.6 构件安装的尺寸允许偏差,当设计无具体要求时,应符合表7.7.6的规定。
表7.7.6 构件安装的尺寸允许偏差及检查方法

本规程用词说明
本规程用词说明
1 为便于在执行本规程条文时区别对待,对要求严格程度不同的用词说明如下:
1)表示很严格,非这样做不可的:
正面词采用“必须”,反面词采用“严禁”;
2)表示严格,在正常情况下均应这样做的:
正面词采用“应”,反面词采用“不应”或“不得”;
3)表示允许稍有选择,在条件许可时首先应这样做的:
正面词采用“宜”,反面词采用“不宜”;
4)表示有选择,在一定条件下可以这样做的,采用“可”。
2 条文中指明应按其他有关标准、规范执行的写法为:“应符合……的规定”或“应按……执行”。
引用标准名录
引用标准名录
1 《建筑地基基础设计规范》GB 50007
2 《建筑结构荷载规范》GB 50009
3 《混凝土结构设计规范》GB 50010
4 《建筑抗震设计规范》GB 50011
5 《混凝土结构工程施工质量验收规范》GB 50204
6 《建筑施工高处作业安全技术规范》JGJ 80
