Appearance
《有色金属工业厂房结构设计规范[附条文说明]》GB 51055-2014
🗓️ 住房和城乡建设部 实施时间:2015-08-01
前言
中华人民共和国国家标准
有色金属工业厂房结构设计规范
Code for design of non-ferrous industrial plant structures
GB 51055-2014
主编部门:中国有色金属工业协会
批准部门:中华人民共和国住房和城乡建设部
施行日期:2015年8月1日
中华人民共和国住房和城乡建设部公告
第591号
住房城乡建设部关于发布国家标准《有色金属工业厂房结构设计规范》的公告
现批准《有色金属工业厂房结构设计规范》为国家标准,编号为GB 51055-2014,自2015年8月1日起实施。其中,第4.6.5(1、3)、5.3.2、9.1.3条(款)为强制性条文,必须严格执行。
本规范由我部标准定额研究所组织中国计划出版社出版发行。
中华人民共和国住房和城乡建设部
2014年12月2日
前言
本规范是根据原建设部《关于印发<2006年工程建设标准规范制订、修订计划(第二批)>的通知》(建标[2006]136号)的要求,由中国有色金属工业工程建设标准规范管理处、中国瑞林工程技术有限公司、中国有色工程有限公司会同有关单位共同编制完成。
本规范在编制过程中,规范编制组经广泛调查研究,认真总结有色金属工业厂房工程建设经验,参考国内外相关行业标准的有关内容,并广泛征求意见,最后经审查定稿。
本规范共分9章和2个附录,主要内容包括:总则,术语和符号,基本规定,建设场地、地基与基础,荷载和作用,结构计算分析,单层厂房,多层钢筋混凝土结构厂房,多层钢结构厂房等。
本规范中以黑体字标志的条文为强制性条文,必须严格执行。
本规范由住房和城乡建设部负责管理和对强制性条文的解释,由中国有色金属工业工程建设标准规范管理处负责日常管理,由中国瑞林工程技术有限公司负责技术内容的解释。本规范在执行过程中如有意见或建议,请寄送中国瑞林工程技术有限公司技术质量部(地址:江西省南昌市红角洲前湖大道888号,邮政编码:330031),以供今后修订时参考。
本规范主编单位、参编单位、主要起草人和主要审查人:
主编单位 :中国有色金属工业工程建设标准规范管理处
中国瑞林工程技术有限公司
中国有色工程有限公司
参编单位 :中国恩菲工程技术有限公司
长沙有色冶金设计研究院有限公司
沈阳铝镁设计研究院有限公司
西安建筑科技大学
甘肃土木工程科学研究院
兰州有色冶金设计研究院
中色科技洛阳有色金属加工设计研究院
主要起草人 :徐世晖 徐赤农 李大浪 何戆 左菊林 姚卫宁 张明 叶菲 徐晖 王社良 滕文川 马秋建 胡华娜 曾力平
主要审查人 :盛吉鼎 吴一红 张玉明 吴志平 钟汉卫 谭齐 段建华 赵碧 陈劲松 贠麦平 熊进刚
1 总则
1 总 则
1.0.1 为了在有色金属工业厂房结构设计中贯彻执行国家技术经济政策,做到安全适用、经济合理、确保质量,制定本规范。
条文说明
1.0.1 本条规定了有色金属工业厂房结构设计规范的编制原则和指导思想。本规范制订的依据是国家技术经济政策,国家现行相关标准和规范、现有建筑科学研究成果、工程设计经验以及实际工程常见质量事故分析和防治经验。 有色金属工业是指除铁、锰、铬等黑色金属工业以外的金属工业的总称,是国民经济发展的基础工业。我国有色金属工业已经形成了包括矿山、冶炼、加工以及工程勘查设计和施工等构成的完整工业体系。有色金属工业地上厂房及构筑物,包括各类矿山、冶炼、加工及深加工工厂,其范围广,生产性质、工艺要求各不相同,其生产工艺和生产有其鲜明的行业特点。 随着有色金属工业的发展,工程技术的进步,新材料、新工艺的不断出现及国家颁布的新规范、标准的施行,系统地制订有色金属工业厂房的设计规范,加强设计管理工作,使其更科学化、规范化地发展,是制定本规范的目的所在。 本规范未包含地下厂房。地下厂房的设计按相关标准和规范的规定执行。 本规范在编写过程中执行了已经颁布出版的基础性规范。目前尚有部分基础性规范正在修编,若本规范与其内容有冲突,本规范将在今后进行修订和补充。
1.0.2 本规范适用于非抗震设计和抗震设防烈度为6度、7度、8度和9度抗震设计的有色金属矿山、冶炼、有色金属加工企业厂房的结构设计。
条文说明
1.0.2 本规范适用于非抗震设计和抗震设计的有色金属工业厂房,包括有色金属矿山、冶炼、有色金属加工企业的主厂房和生产车间、厂区辅助设施,如各类仓库、机汽电修车间等。 本规范未包含地下厂房。地下厂房的设计按相关标准和规范的规定执行。 下列建(筑)筑物的设计应符合国家相关标准和规范的规定:
(1)各类构筑物,如烟囱、各类储仓、井塔(架)、运输机通廊和转运站、栈桥、索道支架、管道支架、浓缩池、精矿池、各类液体池(槽、塔)、挡土墙等;
(2)企业公用性建筑,如行政办公楼、消防、医院、车库、试验室、学校、幼儿园、影剧院等文化体育设施以及职工生活福利设施等;
(3)企业自备电厂和自备水厂的主要建筑物。
1.0.3 有色金属工业厂房结构设计应与相关工艺和总平面设计密切配合,合理选择厂址和建筑场地,合理处理生产线中群体建筑与单体建筑的相互关系。结构设计应符合概念设计的要求,注重地基基础设计方案、结构选型和结构布置,并积极采用结构新技术。抗震设计时,结构设计方案应能体现工业建筑总体的综合抗震能力。
条文说明
1.0.3 有色金属厂房建筑结构设计为生产服务,应满足工艺生产的要求。本条强调厂房结构设计应与相关工艺和总平面设计密切配合,是因为生产工艺流程配置复杂多样,平面和竖向布置往往不能满足建筑结构合理性和抗震设计规则性要求;设置在楼层(楼面)的重量较大的设备、料仓等是按工艺流程的需要布置,使部分区段和楼层荷载大而密集,而另一些区段和楼层仅起通行作用,荷载小;贯穿楼层的设备留洞、吊装孔等孔洞严重地破坏了楼板的整体性;有些设备对振动和变形极为敏感,有些则无特殊要求;有些区段具有腐蚀、高温等。强调厂房建筑结构设计应与相关工艺和总平面设计密切配合,是为了在满足工艺生产要求的前提下,通过与相关专业密切配合和协商,抓住突出问题、解决主要矛盾,使厂房建筑结构的设计方案更趋合理。 有些厂房介于建筑物与构筑物之间,这也是工业建筑结构设计的特点。更需要设计人员对安全等级准确定位,保证建筑物整体可靠。 本条规定积极采用结构新技术,是指根据国家规定,按国家新技术管理的规定要求进行鉴定、评估的先进、成熟、适用的建筑技术、材料、工艺和产品。
1.0.4 有色金属工业厂房的结构设计除应符合本规范外,尚应符合国家现行有关标准的规定。
2 术语和符号
2.1 术语
2 术语和符号
2.1 术 语
2.1.1 结构单元 structural unit
厂房结构中,由伸缩缝、沉降缝或防震缝分割开的独立结构区段,也称厂房单元。
2.1.2 多层厂房 multi-story factory building
两层和两层以上厂房,不包括厂房内设置局部平台的单层厂房。
条文说明
2.1.2 多层厂房包括了多层和高层厂房。考虑到目前国内现行相关标准和规范关于“高层”的定义,除民用建筑钢筋混凝土结构有规定外,尚无其他明确规定,同时考虑现行国家标准《建筑抗震设计规范》GB 50011和现行行业标准《冶金建筑抗震设计规范》YB 9081也没有区分多层和高层厂房,均统称为多层厂房。本规范为与上述规范相一致,故不区分多层和高层厂房,而统称为“多层厂房”。在多层厂房结构的具体规定条文中,当考虑不同高度有不同设计要求时,对不同的类型结构分别采用了一个界限“高度”,根据这个界限“高度”分别作了不同的技术规定。
2.1.3 框架结构 frame structure
由梁和柱以刚接或铰接相连接而成承重体系的单层和多层厂房结构的总称。
2.1.4 刚架结构 rigid structure
由梁和柱以刚接相连接而成的单层和多层框架,也称刚接框架。
2.1.5 排架结构 bent frame structure
由屋面梁(或屋架)和柱以铰接相连接而成的单层框架,也称单层铰接框架。
条文说明
2.1.5 排架结构的定义是指屋面梁(或屋架)和柱以铰接相连接而成的单层厂房,但是在“框排架结构”中的排架,对于侧向框排架结构,其排架跨为单层,而对于竖向框排架结构,其排架设置在结构体系中的底部多层结构上部,就结构体系来说是多层结构的一部分,此中“排架”的定义似不够准确,但在国内建筑工程界和相关现行规范一直应用。
2.1.6 框排架结构 frame-bent structure
分为侧向框排架结构和竖向框排架结构。
2.1.7 侧向框排架结构 lateral frame-bent structure
由多层结构与排架侧向连接组成的框排架结构体系。
2.1.8 竖向框排架结构 vertical frame-bent structure
由下部结构和上部顶层排架组成的框排架结构体系。
2.1.9 柱间支撑 column bracing
单层或多层厂房结构,为保证厂房结构整体稳定,提高结构侧向刚度和传递纵向或横向水平作用,在相邻两柱间设置的杆件。
2.1.10 山墙柱 wind-resistant column
为承受风荷载和地震水平作用而在厂房山墙处设置的柱。
2.1.11 屋盖 roof system
用以在房屋顶部,用以承受各种屋面作用的屋面板、檩条、屋面梁(或屋架),以及支撑系统组成的部件或以网架及其支承边缘构件组成的部件的总称。当设置有天窗的屋盖,尚应包括天窗架和天窗相关部件。
2.1.12 屋盖支撑系统 roof-bracing system
保证屋盖整体稳定并传递纵、横向水平作用,在屋架间设置的各种联系杆件的总称。分为横向水平支撑、纵向水平支撑、竖向支撑和系杆等。
2.1.13 结构缝 structural joint
根据结构设计需求而采取的分割结构间隔的各种缝的总称。
2.2 符号
2.2 符 号
2.2.1 作用和作用效应
M——弯矩设计值;
V——剪力设计值。
2.2.2 材料性能
f tk 、f t ——混凝土轴心抗拉强度标准值、设计值;
f y ——钢材的屈服强度、普通钢筋的抗拉强度设计值。
2.2.3 几何参数
h——截面高度;
b——截面宽度;
H——结构总高度或构件总高度;
e——偏心距或安装偏心距,孔隙比;
L a ——纵向受拉钢筋的锚固长度;
L aE ——纵向受拉钢筋的抗震锚固长度;
I——截面惯性矩。
2.2.4 计算系数及其他
γ 0 ——结构重要性系数;
γ RE ——结构构件抗震承载力调整系数;
ρ——配筋率。
3 基本规定
3.1 一般规定
3 基本规定
3.1 一般规定
3.1.1 除有特殊要求的厂房外,有色金属工业厂房结构的设计使用年限和建筑结构安全等级应符合下列规定:
1 厂房结构的设计使用年限应为50年,临时性厂房结构设计使用年限应为5年。
2 厂房结构的安全等级,应根据结构破坏可能产生的后果的严重性划分为一级、二级和三级。厂房结构的安全等级宜取二级,抗震设防类别乙类的厂房宜为一级。其他有特殊要求的厂房,结构安全等级应根据具体情况按现行国家标准《工程结构可靠性设计统一标准》GB 50153的有关规定执行。
条文说明
3.1.1 本条依据现行国家标准《建筑结构可靠度设计统一标准》GB 50068和《工程结构可靠性设计统一标准》GB 50153的有关规定,结合有色金属工业厂房结构的工作环境条件进行编制。有特殊要求的厂房尚应符合相关标准的规定。 当结构中采用有可替换的结构构件时,可替换的结构构件的设计使用年限可比整体结构的设计使用年限低,但应设计成易于替换的形式,并在设计文中明确说明。 对于腐蚀性环境和高温环境的厂房结构,应采取必要的防护措施,并应在设计文件中说明使用阶段的维修及检测要求,以保证其在使用年限内正常使用。
3.1.2 厂房结构应能承受在施工和使用期间可能出现的各种荷载和作用,具有足够的承载力、耐久性能和良好的使用性能。
3.1.3 腐蚀性环境和高温环境的厂房结构应采取防护措施,并应在设计文件中提出使用阶段的维护及检测要求。
3.1.4 受高温作用厂房的结构设计应符合下列规定:
1 钢筋混凝土结构,当结构表面温度高于100℃或有生产热源且结构表面温度经常高于60℃时,应采取相应的防护措施。
2 当结构构件表面温度长期处于150℃以上时,宜采用钢结构,并应对结构构件采取相应的防护隔热措施。
3.1.5 有扩建计划的工程,前、后期厂房建筑结构应统一确定,并应作出各分期和最终形成的建筑结构整体方案,具体要求应符合本规范附录A的规定。
条文说明
3.1.5 对于有扩建计划的工程,前、后期建筑结构应统一考虑,前、后期之间一般按设缝脱开,划分不同的结构独立单元考虑。前、后期之间连接处的构造应考虑相互的影响,包括地基沉降变形、上部结构侧向位移变形等。前期工程设计方案应考虑方便后期工程的施工。前、后期建筑结构当采用不脱开的方案时,应根据前期及各分期阶段和最终形成的建筑结构整体的实际工况,统一设计,确保前、后工程各个建设和使用阶段结构安全可靠,并满足正常使用要求。
3.1.6 建筑布置应符合现行国家标准《厂房建筑模数协调标准》GB/T 50006的有关规定,建筑体形宜规则、简单,厂房轴线宜正交。装配式或部分装配式厂房的装配构件宜采用标准构件,并且同一工程中所采用的构配件类型宜统一。
条文说明
3.1.6 本条规定适用于装配式或部分装配式的厂房。现浇钢筋混凝土结构厂房应依据本条规定,按现行国家标准《厂房建筑模数协调标准》GB/T 50006规定的基本原则,尽量符合建筑模数的要求,有利于协调各相关专业之间的相关尺寸。 本条规定装配式或部分装配式厂房建筑应符合现行国家标准《厂房建筑模数协调标准》GB/T 50006的规定,建筑体形宜规则、简单,厂房轴线宜正交,是为实现建筑结构的构配件和组合件的标准化。在同一工程中所采用的构配件类型宜统一,目的是减少构件的品种和规格,以便于技术管理和批量生产,确保质量并加速构件生产和工程施工进度。
3.1.7 在满足工艺和建筑功能要求的条件下,结构选型和结构布置应便于施工。
3.2 结构体系和结构布置
3.2 结构体系和结构布置
3.2.1 有色金属工业厂房可采用钢筋混凝土结构和钢结构,也可根据具体情况采用钢-混凝土混合结构,小型厂房也可采用砌体结构。
3.2.2 厂房结构体系和结构布置除应符合本节规定外,尚应符合本规范第7章~第9章的规定。
条文说明
3.2.1、3.2.2 有色金属工业厂房结构较多采用钢筋混凝土结构,随着国民经济的快速发展,国内钢产量和结构用钢品种的提升,加之钢材和钢结构本身的优点,钢结构在有色金属工业厂房的应用越来越广泛。 小型且不设置桥式起重机的单层厂房也可以采用砖柱结构。单层砖柱结构设计按现行国家标准《砌体结构设计规范》GB 50003、《建筑抗震设计规范》GB 50011以及相关标准的规定进行设计。 本规范未包括钢-混凝土混合结构、钢管混凝土结构以及轻钢结构,其设计应按相关标准和规范规定。
3.2.3 厂房结构设计应根据建筑场地和地基条件、厂房功能要求,以及场地抗震设防要求,选择结构体系和结构布置。结构布置应符合下列规定:
1 结构设计应注重结构整体方案,并应保证整体工作性能和具有抗连续倒塌的能力。
2 厂房的平面宜为矩形,平面形状和竖向体型宜简单、规则,刚度和承载力分布宜合理。
3 厂房结构单元内,纵向和横向均应布置抗侧力构件。厂房抗侧力体系应具有足够的承载能力和良好的变形能力。
4 应具有明确的计算简图及合理的荷载和作用传递途径,传递路线中的构件及节点不应发生脆性破坏;应避免因部分结构或构件的破坏而导致整体结构丧失承受各种荷载和作用的能力。
5 厂房内设置有较大振动设备的平台应与厂房主体结构脱开,当确有困难时,设备在平台基座处应设置减振或隔振装置。
6 高重心储仓的支承结构及其配料工作平台宜与厂房主体结构脱开。
7 设备布置在厂房楼面上时,在设备下应设梁。当采用单梁时,应避免梁受扭;采用两根或多根梁时,梁宜以设备和机座的总质心对称布置。
3.2.4 抗震设计时,结构设计应符合抗震概念设计的要求,厂房结构体系和结构布置除应符合本规范第3.2.3条的规定外,尚应符合下列规定:
1 结构体系和结构布置应满足规则性要求。厂房结构的规则性要求应符合本规范第3.3.4条的规定。
2 厂房的横向和纵向抗侧力体系应具有必要的抗震承载力、良好的变形能力和消耗地震能量的能力,对可能出现的薄弱部位应采取提高抗震能力的加强措施。
3 结构在两个主轴方向的动力特性宜相近。
4 结构体系宜有多道抗震防线。
5 钢筋混凝土或钢结构结构体系中,不应采用部分为砌体(墙或柱)承重的混合结构体系。
条文说明
3.2.3、3.2.4 这两条对厂房结构总的设计要求作了规定,强调厂房结构设计应根据建筑场地和地基条件、厂房功能要求以及场地抗震设防要求,通过结构概念设计,选择合理的结构体系和结构布置,注重总体方案结构布置,综合各种因素,使结构设计方案尽可能达到最优化集合。
3.2.5 抗震设计时,多层厂房结构体系和结构布置尚应符合下列规定:
1 厂房结构单元的刚度中心与质量中心宜接近。质量大的设备宜布置在结构单元中部,不宜布置在结构单元的边缘楼层上。
2 厂房平面和竖向刚度分布应合理。对薄弱部位或薄弱层,应采取提高其抗震能力的加强措施。
3 重型设备宜低位布置或设置独立支承结构。
3.2.6 抗震设计时,多层框架结构以及竖向框排架的下部结构部分,乙类厂房以及高度大于24m的丙类厂房不应采用单跨框架结构;高度不大于24m的丙类厂房不宜采用单跨框架结构。侧向框排架结构的多层结构部分,高度大于24m时不宜采用单跨框架结构。
条文说明
3.2.6 单跨框架结构整体侧向刚度小,耗能能力弱,赘余度较少、抗震性能差,故本条对单跨框架结构,包括钢筋混凝土结构和钢结构的使用范围作了规定。对于按规定不宜或不应采用单跨框架结构的多层厂房,当根据工艺配置和建筑功能必须采用单跨框架结构时,可采用钢支撑-框架结构(钢筋混凝土结构厂房)和框架-支撑结构(钢结构厂房),设置多道防线,不采用纯框架结构体系。 框架结构中某个主轴方向均为单跨,属于单跨框架结构;某个主轴方向有局部的单跨框架,可不作为单跨框架结构考虑。 运输机通廊以及设置独立支承结构的贮仓等构筑物,其结构布置应符合现行国家标准《构筑物抗震设计规范》GB 50191以及相关标准的规定。其中,贮仓结构尚应根据其结构类型(钢筋混凝土贮仓或钢贮仓),按相关标准和规范的规定执行。设置独立支承结构的槽罐和大型重设备,当其支承结构采用单跨框架时,应设置支撑。转运站的结构设计应和与其相连接的厂房或运输机通廊的设计标准相同。
3.2.7 运输机通廊、栈桥等构筑物与厂房结构之间宜采用双柱或端头悬挑形式脱开,也可采用滑(滚)动铰连接,但连接节点应采取可靠的构造和安全措施。抗震设计时,运输机通廊、栈桥等构筑物与厂房之间宜设防震缝脱开;8度和9度时应设防震缝脱开。
条文说明
3.2.7 抗震设计时,如果运输机通廊、栈桥等构筑物与厂房直接连接,会形成体型特别复杂,侧向刚度明显不均匀的结构体系,对抗震十分不利,因此规定应与厂房脱开,划分为独立结构单元。对于连接厂房之间的通廊,应视工程的具体情况,当通廊为单跨而且长度不大时,可以一端采用悬挑,另一端与厂房脱开的方案,此时与通廊相连接的结构单元,应考虑地震作用时通廊与厂房的相互影响,包括结构计算和连接构造,使地震时结构整体安全可靠。
3.2.8 楼层上的设备,除通长的运输机和管线外,不应跨结构缝布置。通长的运输机、管线穿越结构缝时,结构设计应与相关设备专业配合,要求穿越结构缝布置的设备和设施,应有能适应结构变形以及防止设备自身断裂的措施。
3.2.9 抗震设计时,多层厂房结构宜避免错层布置,当房屋不同部位因功能不同而使楼层错层时,宜设防震缝划分为独立结构单元。当采用错层结构时,错层两侧宜采用结构布置和侧向刚度相近的结构体系,并应采取避免形成结构薄弱层的措施。
3.3 抗震设计
3.3 抗震设计
Ⅰ 一般规定
3.3.1 抗震设防烈度应按国家规定的权限审批、颁发的文件(图件)确定。一般情况下,建筑的抗震设防烈度应采用根据中国地震动参数区划图确定的地震基本烈度。已完成地震安全性评价的建设场地,尚应按经批准的抗震设防烈度或设计地震动参数进行抗震设防。
条文说明
3.3.1 地震烈度区划图和地震动参数区划图是建筑工程抗震设防依据的文件和图件,其审批权限应根据国家有关主管部门的规定执行。一般情况下,抗震设防烈度应采用根据中国地震动参数区划图确定的地震基本烈度(设计基本地震加速度对应的烈度值);对已编制抗震设防区划的地区,按批准的抗震设防烈度或设计地震动参数进行抗震设防。
3.3.2 结构设计应选择对抗震有利的结构方案,应注重结构的抗震性能和经济合理性。结构形体宜规则,其抗侧力结构的平面布置宜规则对称,侧向刚度沿竖向宜均匀变化,竖向抗侧力构件的截面尺寸和材料强度宜自下而上逐渐减小,并应避免抗侧力结构的刚度和承载力突变。
3.3.3 厂房结构设计应符合抗震概念设计的基本要求,不规则结构应采取加强措施;特别不规则结构应进行专门的研究和论证后,采取特别的加强措施;不应采用严重不规则结构。
3.3.4 厂房结构平面和竖向的不规则定义、不规则类型和不规则指标,应按现行国家标准《建筑抗震设计规范》GB 50011的规定执行,并应符合下列规定:
1 单层工业厂房的不规则性的划分应符合本规范第7章的相关规定。
2 框排架结构的规则性应符合本规范第8.2节和第9.2节的规定。
3 当存在多项不规则或某项不规则超过规定的参考指标较多时,应属于特别不规则的建筑。
条文说明
3.3.2~3.3.4 采用合理的建筑形体和结构布置对于抗震设计尤为重要。强调结构设计应符合概念设计的要求,注重结构的抗震性能和经济合理性,要求各个结构单元应考虑建筑的平、立面外形,结构抗侧力构件布置、刚度分布,质量分布、生产工艺设备和各种设施,尤其重型设备和贮仓的布置,以及结构承载力分布等诸多因素,提倡做到结构形体规则,抗侧力结构的平面布置规则对称,侧向刚度沿竖向均匀变化,竖向抗侧力构件的截面尺寸和材料强度宜自下而上逐渐减小,避免抗侧力结构的刚度和承载力突变。 抗震设计时,应对结构方案的规则性进行分析判定。建筑形体和布置应依据抗震概念设计原则划分为规则与不规则两大类;对于具有不规则的建筑,针对其不规则的具体情况,采取相应控制措施,并规定不应采用严重不规则的结构,对特别不规则的设计方案应进行专门的研究和论证,采取特别的针对性加强措施。 工业建筑的结构布置要满足生产工艺、设备布置以及建筑的要求,结构布置的规则性往往受到生产工艺流程和设备布置的限制,因此在实际工程设计中,要求厂房结构都符合规则的要求是不现实的,这就要求结构设计人员应与相关工艺、设备和建筑设计人员相互配合,力求使结构设计方案合理。实践证明,往往工艺或设备专业方案作出小调整,就可能使结构方案的合理性得到很大的改善。结构设计应该做到平面和竖向布置具有合理的刚度和承载力分布,避免因局部突变和扭转效应而形成薄弱部位;对可能出现的薄弱部位,在设计中应采取有效措施,增强其抗震能力;结构设计应具有多道防线,避免因部分结构或构件的破坏而导致整个结构丧失承受水平风荷载、地震作用和重力荷载的能力。 抗震设计时,工业建筑的建筑体形和结构布置的规则性划分,包括平面和竖向不规则类型以及不规则定义和参考指标,应符合现行国家标准《建筑抗震设计规范》GB 50011的有关规定。考虑到工业厂房的实际情况,目前尚难另列不规则类型和用简化的定量指标来划分其规则程度并规定限制范围。经过规范编制组的讨论研究,确定有色冶金厂房的规则性划分仍按现行国家标准《建筑抗震设计规范》GB 50011的规定执行,但可根据各个工程项目的具体情况,根据设计实践经验、对所设计的厂房建筑的抗震性能作出估计,划分不规则、特别不规则和严重不规则等,避免采用抗震性能差的设计方案,不应采用严重不规则的设计方案。 根据有色金属厂房的特点,多层厂房规则性的划分时,现行国家标准《建筑抗震设计规范》GB 50011-2010表3.4.3-1中的“楼板局部不连续”项可作为规则性的参考项目。错层结构、框排架结构、多层结构之间采用单层结构相连接的组联结构以及厂房与贮仓等构筑物组联的结构,可列为复杂结构。 单层厂房的规则性应符合本规范第7章的规定。 本规范第8.2节和第9.2节分别对多层钢筋混凝土结构和钢结构的框排架结构的规则性作了规定,进行结构规则性分析评价时,应分别符合上述两节的相关规定。 结构规则性的划分,现行国家标准《建筑抗震设计规范》GB 50011-2010第3.4节的“条文说明”中作了较详细的具体说明。
Ⅱ 场 地
3.3.5 抗震设防烈度等于或大于6度的地区,应进行场地和地基地震效应的岩土工程勘察。岩土工程勘察应提供下列资料:
1 场地的抗震设防烈度、设计基本地震加速度、设计地震分组和特征周期值;
2 划分对建筑抗震有利、一般、不利和危险地段;
3 建筑的场地类别;
4 岩土地震的稳定性评价和场地工程建设的适宜性评价;
5 对需要采用时程分析法补充计算的工程,尚应提供土层剖面、场地覆盖层厚度和有关动力参数。
条文说明
3.3.5 根据国家技术经济政策规定,抗震设防烈度6度及以上地区的有色金属工业厂房和构筑物必须进行抗震设计。抗震设防烈度大于9度地区的厂房和构筑物,其抗震设计应按有关专门规定执行。 本条强调场地的地震抗震设防烈度等于或大于6度的地区,应进行场地和地基地震效应的岩土工程勘察,提供抗震设计相关参数,对场地稳定性和工程建设的适宜性作出评价,以及划分为对抗震有利、一般、不利和危险地段。场地和地基地震效应的岩土工程勘察文件是抗震设防区工程建设场地选择可行性研究的依据,是确定工程设计抗震设防标准和抗震设防措施的依据。 岩土地震的稳定性评价包括如对滑坡、崩塌、液化、泥石流、采空区以及震陷特性等的稳定性评价。
3.3.6 场地内存在发震断裂时,岩土工程勘察应对断裂的工程影响进行评价。
Ⅲ 抗震设防分类和设防标准
3.3.7 有色金属工业厂房的建筑抗震设防类别,应划分为重点设防类(乙类)、标准设防类(丙类)和适度设防类(丁类)等。
条文说明
3.3.7 根据现行国家标准《建筑工程抗震设防分类标准》GB 50223的规定,建筑工程抗震设防分类划分为特殊设防类(简称甲类)、重点设防类(简称乙类)、标准设防类(简称丙类)和适度设防类(简称丁类)等四个抗震设防类别。依据上述规范确定的原则,根据有色金属工业的具体情况,有色工业厂房应划分为乙类、丙类和丁类。特殊情况,有符合特殊设防类(简称甲类)规定的厂房,应按《建筑工程抗震设防分类标准》GB 50223规定的甲类建筑要求进行设计。 有色工业厂房抗震设防分类按现行国家标准《建筑工程抗震设防分类标准》GB 50223以及相关标准的规定执行。
目前,中国有色金属工业协会拟根据有色金属工业建筑工程设计的实际需要,组织编制有色金属工程建(构)筑物抗震设防分类标准。
3.3.8 厂房建筑抗震设防类别划分以及厂房的抗震设防标准,应符合现行国家标准《建筑工程抗震设防分类标准》GB 50223的规定。
3.3.9 对于划为乙类的规模很小的建筑物,当采用抗震性能较好的材料且结构体系符合抗震设计规定的要求时,可按丙类厂房要求设防。下列乙类建筑的抗震设防标准不应降低:
1 采矿工业场地的变(配)电室、提升机房、风机房、排水泵房以及矿山救护和消防系统建筑,生产系统的中控室;
2 生产过程中使用或存放有易燃、易爆物和放射性物品的厂房和仓库等。
条文说明
3.3.9 本条规定对于划为乙类的规模很小的建筑物,当采用抗震性能较好的材料且结构体系符合抗震设计规定的要求时,允许按丙类要求设防。 本条强调在划分为乙类的规模很小的建筑物中,采矿工业场地的变(配)电室、提升机房、风机房、排水泵房以及矿山救护和消防系统建筑以及生产过程中使用或存放有易燃、易爆物和放射性物品的厂房和存放上述物品的仓库,其抗震设防类别不能降低,是考虑上述工程属于生命线工程,或关系到采矿工业场地工作人员的生命安全和环境保护。
Ⅳ 非结构构件
3.3.10 非结构构件自身及其与主体结构的连接应进行抗震设计。除建筑非结构构件外,其他非结构构件自身的抗震设计应由相关的专业负责。
3.3.11 非结构构件的抗震设计应符合下列规定:
1 非结构构件布置及其与主体结构的连接,应计入其对主体结构抗震可能造成的不利影响,应避免因不合理的布置和连接导致厂房和构筑物主体结构的地震破坏。
2 非结构构件的抗震设计,应根据厂房的抗震设防类别、非结构构件地震破坏的后果及其对厂房结构的影响范围,采取不同的抗震措施。非结构构件实现抗震性能化设计目标的设计方法,应按现行国家标准《建筑抗震设计规范》GB 50011的有关规定执行。
3 非结构构件应具有自身的稳定性,与主体结构应有可靠的连接或锚固,应避免地震时倒塌伤人或砸坏设备。
4 生产工艺设施的基座与主体结构的连接,应符合地震时工艺设施使用功能的要求,且不应导致相关部件损坏。
3.3.12 非结构构件计入地震作用的基本计算要求、结构构造和抗震措施,应按现行国家标准《建筑抗震设计规范》GB 50011的有关规定执行。
条文说明
3.3.10~3.3.12 非结构构件是指厂房建筑主体结构以外的建筑非结构构件和支承在厂房结构上的工艺、机电、管道等各种设备和设施。其中建筑非结构构件,主要包括非承重墙(围护墙、分隔墙)、女儿墙、雨篷、天沟板、天窗侧板和端壁板、钢楼梯以及附属于楼(屋)面的各种构架和建筑构件、建筑装饰等。机电、管道等各种设备和设施,包括生产使用功能的机械、电气、通信、监控、采暖、通风设备和系统设置(管道、管线);料仓、槽罐、管道和消防设施;给水排水设施;交通运输设施。 非结构构件的地震破坏,包括非结构构件自身的破坏对其自身正常使用的影响,以及引起厂房结构相关联部分损坏,或造成人身伤害,设备受损,影响正常生产和生活、影响建筑物安全和使用功能等。震害调查表明,非结构构件的地震破坏比较普遍,有的破坏情况相对主体结构还更严重,主要有围护墙和隔墙开裂;高大山墙、高低悬墙和女儿墙开裂甚至倒塌;外天沟、雨棚以及生产工艺设施、管线损坏甚至局部脱落;高大设备与基础或支承结构构件之间的连接螺栓剪断等,需引起重视。因此规定非结构构件应进行抗震设计。 非结构构件自身的抗震设计应由相关专业负责,以其自身不受损坏为前提。处理好非结构构件和厂房主体结构的关系,可防止附加灾害,减少损失。非结构构件考虑地震作用的基本计算要求、结构构造和抗震措施,应执行现行国家标准《建筑抗震设计规范》GB 50011的相关规定。 设计时应当注意,对于荷重较大、自身高度较高的工艺设备,抗震设计时,传递到结构支座上的反力应当包括风载作用以及设备自重引起的地震作用等。
3.4 结构水平位移限值
3.4 结构水平位移限值
3.4.1 单层厂房在风荷载标准值作用时,柱顶产生的弹性水平位移△u应符合下列规定:
1 钢筋混凝土柱厂房,刚接框架结构厂房柱顶的弹性水平位移角△u/H不宜超过表3.4.1-1规定的限值。
表3.4.1-1 单层钢筋混凝土柱厂房在风荷载作用下柱顶水平位移角限值

注:H为从基础顶面至柱顶的高度。
2 钢结构厂房,柱顶的弹性水平位移角△u/H不宜超过表3.4.1-2规定的限值。
表3.4.1-2 单层钢结构厂房在风荷载作用下柱顶水平位移角限值

注:表中△u为柱顶水平位移,H为从基础顶面至柱顶的高度。
条文说明
3.4.1 在正常使用条件下,厂房结构应具有足够的刚度,以避免过大的位移,影响结构整体的工作性能、稳定性和正常使用要求。
3.4.2 多层钢筋混凝土结构厂房,按弹性方法验算在风荷载标准值和抗震设计时多遇地震作用下的最大弹性层间位移角△u c /h不宜大于表3.4.2的限值。
条文说明
3.4.2 钢支撑-混凝土框架结构(含框排架结构中的钢支撑-混凝土框架部分)的弹性层间位移角限值,宜根据工程的具体情况按钢筋混凝土框架和框架-剪力墙结构的层间位移角限值采用内插法确定。
表3.4.2 多层钢筋混凝土结构厂房弹性层间水平位移角限值

3.4.3 多层钢结构厂房,按弹性方法验算在风荷载标准值和抗震设计时多遇地震作用下的最大弹性层间位移角△u c /h不宜大于表3.4.3的限值。设置有桥式起重机的楼层,弹性层间位移角不宜超过1/400。
表3.4.3 多层钢结构厂房弹性层间水平位移角限值

注:1 表中△u c 为层间水平位移,h为厂房的层高。
2 括号内数值用于抗震设计时多遇地震作用下的最大弹性层间位移角限值。
3.4.4 设有A7、A8级桥式吊车的厂房柱和设有A4~A8级桥式吊车的露天栈桥柱,在吊车梁或吊车桁架的顶面标高处,由一台最大吊车水平荷载作用产生的水平位移不宜超过表3.4.4规定的限值。
表3.4.4 厂房和露天栈桥吊车梁或吊车桁架顶面的水平位移限值(mm)

注:1 H c 为基础顶面至吊车梁或吊车桁架顶面的高度。
2 计算厂房或露天栈桥柱的纵向位移时,可假定桥式吊车的纵向水平制动力分配在温度区段内所有柱间支撑或纵向框架柱列上。
3 设有A8级桥式吊车、夹钳起重机和刚性料耙的厂房,厂房柱水平位移限值宜按表中数值乘以0.9采用。
4 设有A6级吊车厂房的水平位移限值,宜按表中的数值采用。
条文说明
3.4.4 设置有桥式起重机的厂房和露天栈桥,考虑桥式起重机的水平荷载作用,厂房和露天栈桥柱水平位移限值是为了保证桥式吊车的正常运行。当桥式吊车设备对厂房柱的水平位移限值有特殊要求时,除符合本规范的规定外,尚应满足其特殊要求,其特殊要求由工艺或设备专业提供。
3.4.5 抗震设计时,厂房结构在罕遇地震作用下薄弱层(部位)的弹塑性变形验算,应符合下列规定:
1 下列厂房宜进行弹塑性变形验算:
1)9度时高度超过60m,且竖向不规则的多层厂房;
2)7度和8度时,高度在现行国家标准《建筑抗震设计规范》GB 50011规定应采用时程分析的房屋高度范围,且竖向不规则的多层厂房;
3)7度Ⅲ类、Ⅳ类场地和8度时乙类建筑中的钢筋混凝土结构和钢结构厂房。
2 下列厂房应进行弹塑性变形验算:
1)8度Ⅲ类、Ⅳ类场地和9度时高大的单层钢筋混凝土柱厂房的横向排架;
2)7度~9度时,楼层屈服强度系数小于0.5的钢筋混凝土框架结构和框排架结构;
3)9度时乙类厂房的钢筋混凝土结构和钢结构。
3.4.6 厂房结构在罕遇地震作用下,薄弱层(部位)的确定以及弹塑性变形计算,应按现行国家标准《建筑抗震设计规范》GB 50011的有关规定执行。弹塑性层间位移限值可按表3.4.6采用,并应符合下列规定:
表3.4.6 弹塑性层间位移△u p 限值

注:表中h为薄弱层楼层高度或单层厂房上柱的高度。
1 钢支撑-框架结构的弹性层间位移角限值,宜按框架和框架-剪力墙结构采用内插法确定。
2 设置少量剪力墙的框架结构的弹塑性层间角位移限值,应按底层框架部分承担倾覆力矩的大小,取框架结构和框架-抗震墙结构二者之间的数值。
3 钢筋混凝土框排架结构的弹性层间位移角限值应符合下列规定:
1)侧向框排架结构的弹性层间位移角限值,当多层结构部分采用框架-剪力墙结构、钢支撑-框架结构或设置少量剪力墙的框架时,应分别按其相应的结构类型的规定取值;
2)竖向框排架结构的底部多层结构部分的弹性层间位移角限值,当底部多层结构采用框架-剪力墙结构、钢支撑-框架结构或设置少量剪力墙的框架时,应分别按其相应的结构类型的规定取值。
3.5 结构缝
3.5 结 构 缝
Ⅰ 一般规定
3.5.1 结构缝的设计应符合下列规定:
1 应根据厂房结构类型、结构平面和竖向布置、结构受力特点、地基情况和基础类型、厂房使用功能和环境条件、抗震要求等条件,以及技术经济等因素综合比较分析,确定是否设置结构缝、结构缝的位置和构造形式。当同时需要设置两种或三种结构缝时,各结构缝宜合并布置。
2 宜控制结构缝的数量。
3 当设置结构缝时,应采取减少结构缝对厂房使用功能的不利影响的措施。
条文说明
3.5.1 结构缝包括沉降缝、伸缩缝和防震缝等。结构缝的设置,根据厂房结构类型、结构平面和竖向布置、结构受力特点、地基情况和基础类型,厂房使用功能和环境条件、抗震要求等条件以及技术经济等因素综合比较分析确定,是保证建筑工程结构安全和正常使用的一项技术措施。 结构缝的设置也会给建筑、结构、生产工艺设备布置和使用带来困难和不利影响。地震作用时,结构缝的两侧很容易发生碰撞,轻的建筑装修破损,重的造成连接处各种管线以及结构和构件损坏。沉降缝和伸缩缝也对厂房使用有不利影响。因此要求结构设计时,应与相关工艺、设备和建筑设计配合,综合考虑各种影响因素,选择合理的结构方案,在满足安全、使用和其他要求的前提下,并从设计和施工等方面采取相应有效措施,控制结构缝的数量,做到少设缝或不设缝。对于需要设置结构缝的工程,结构缝的设置位置和构造形式,除考虑结构自身条件外,尚应考虑相关工艺和设备专业以及建筑专业的要求;对于可能给相关专业造成不利影响的结构缝,应与相关专业共同商量并采取有效措施。
3.5.2 抗震设计时,沉降缝和伸缩缝的设置应同时满足防震缝的相关规定。
3.5.3 混凝土结构,可根据结构的具体情况设置后浇带。
条文说明
3.5.3 混凝土结构设置后浇带,是减少混凝土收缩对结构不利影响的有效方法,合理设置后浇带后的结构,其伸缩缝间距可以适当增加,但后浇带不能代替伸缩缝。为考虑调整结构不均匀沉降设置的后浇带,后浇带的混凝土应在后浇带两侧结构沉降基本稳定后进行浇筑。
Ⅱ 沉 降 缝
3.5.4 当地基土不均匀,地基土压缩性差异较大以及厂房建筑各部分高度和荷载差异过大,地基有较大变形和不均匀沉降时,可根据厂房基础类型、结构体型和平面形状,以及厂房高度差异和荷载差异,采取下列措施:
1 应减少地基不均匀沉降,应满足厂房建筑地基变形允许值的要求,并应采取相应构造措施减少不均匀沉降对结构的影响;
2 应设置沉降缝,应划分为整体刚度较好,自成沉降体系的几个结构单元。
3.5.5 沉降缝宜设置在下列部位:
1 高度差异或荷载差异较大处;
2 地基土的压缩性有显著差异处;
3 基础类型不同处;
4 结构类型不同处或厂房平面转折处;
5 分期建造的厂房交界处。
3.5.6 基础和上部结构的沉降缝应在同一位置上下贯通设置。
3.5.7 沉降缝的宽度和相邻厂房基础间的净距应符合现行国家标准《建筑地基基础设计规范》GB 50007的有关规定。
条文说明
3.5.4~3.5.7 当地基土不均匀,地基土压缩性差异较大以及厂房建筑各部分高度和荷载差异过大,地基有较大变形和不均匀沉降时,可根据基础类型、结构体型和平面形状,厂房高度差异和荷载差异等具体情况,采用设置沉降缝,或调整上部荷载或调整基础方案,减少基础变形和不均匀沉降,使其满足相应各结构类型厂房建筑地基变形允许值的要求。 对于设置沉降缝的结构,应考虑沉降缝两侧沉降差对厂房正常使用以及对工艺设施、管道的影响。可以采用高度较高或荷载较大的结构部分先施工的方案,也可以根据预估沉降量,采取调整沉降缝两侧楼层标高的办法,使地基沉降完成后,两侧楼层标高接近,减少或避免因地基产生的不均匀沉降给工艺、设备、管线和厂房其他使用功能带来的不利影响。 结构设计也可与相关专业协商,要求相关专业配合或调整工艺设备(设施)和管道的布置,或相关专业的(设备)设施和管道采取能适应沉降缝缝两侧有沉降差的相应措施,建筑物与设备之间应根据需要留有足够净空。当厂房有管道穿过时,可根据具体情况采取预留孔洞或采用柔性的管道接头等措施。 沉降缝应有足够的宽度。沉降缝的宽度,对于山区地基,按本规范第4.3.2条的规定;对软弱地基,按现行国家标准《建筑地基基础设计规范》GB 50007-2011第7.3节的规定执行。
Ⅲ 伸 缩 缝
3.5.8 厂房伸缩缝的最大间距应根据厂房的结构材料、结构类型和工程所处环境条件确定。
3.5.9 钢筋混凝土结构厂房伸缩缝最大间距应按现行国家标准《混凝土结构设计规范》GB 50010的有关规定执行。
3.5.10 单层钢结构厂房伸缩缝的最大间距宜符合表3.5.10的规定。
表3.5.10 单层钢结构厂房伸缩缝最大间距(m)

注:1 纵向温度区段指垂直屋架跨度或构架跨度方向,横向温度区段指沿屋架跨度或构架跨度方向。
2 无桥式吊车厂房的支撑和有桥式吊车厂房的下柱支撑,当不布置在温度区段中部时,注1中支撑的中点至纵向温度区段端部的距离不应大于表中纵向温度区段长度的60%,有多个支撑时为多个支撑距离的中心。
3 当有充分依据或可靠措施时,表中数字可予以增减。
条文说明
3.5.10 钢结构厂房伸缩缝的最大间距都可以在100m以上,有色金属工业多层钢结构厂房的平面尺寸一般达不到需要设置伸缩缝的程度,所以一般不设置伸缩缝。当厂房长度比较长需要设伸缩缝时,对于有抗震设防要求的厂房,伸缩缝尚应满足防震缝的要求。 对于平面尺寸较大的厂房,当楼面结构采用现浇钢筋混凝土楼面时,应采取防止楼而开裂的措施。多层钢结构厂房一般不采用砌体外围护墙,当采用砌体围护墙而且厂房平面尺寸较大时,砌体外墙宜根据相关规定设置上下贯通的伸缩缝。 当厂房由高低层结构组成且高低层组成方向长度较大,需要设置伸缩缝时,宜在高低层连接处设缝。
3.5.11 对于厂房平面尺寸超过伸缩缝最大间距较多时,应对结构进行温度作用验算并采取有效措施。
3.5.12 单层钢筋混凝土柱和钢结构厂房伸缩缝的设置应符合下列规定:
1 横向伸缩缝应在各跨直缝贯通;
2 纵向伸缩缝在每一横向伸缩缝区段内应直线贯通;
3 伸缩缝处两侧柱的基础可不分开。
Ⅳ 防 震 缝
3.5.13 抗震设计时,对不规则结构,宜调整结构布置,应避免设置防震缝。体型复杂、平面和竖向不规则的厂房,应根据结构不规则类型和不规则程度,地基基础条件和技术经济等因素的比较分析,确定是否设置防震缝。
3.5.14 防震缝的设置应符合下列规定:
1 防震缝应与伸缩缝、沉降缝协调布置;
2 防震缝两侧的上部结构应完全分开,基础和地下结构可不设防震缝,但在与上部结构连接处应加强构造和连接。
3.5.15 防震缝的宽度宜根据设防烈度、结构类型、场地类别和厂房高度确定。当防震缝两侧的结构体系不同时,防震缝的宽度应按需要较宽防震缝的结构类型确定;防震缝两侧厂房高度不同时,应按高度较低的厂房要求确定。防震缝的最小宽度应符合下列规定:
1 钢筋混凝土结构厂房防震缝的宽度应符合下列规定:
1)单层钢筋混凝土柱厂房,在厂房纵横跨交接处、大柱网厂房或不设柱间支撑的厂房,可采用100mm~150mm,其他情况可采用50mm~90mm;
2)多层框架结构和设置少量剪力墙的框架结构厂房,高度不超过15m时,不应小于100mm;超过15m时,抗震设计6度、7度、8度和9度,分别每增加高度5m、4m、3m和2m,宜加宽20mm;
3)框架-剪力墙结构厂房不应小于本款第2项规定数值的70%,且不宜小于100mm。
2 单层和多层钢结构厂房防震缝的宽度,不应小于相同结构类型的钢筋混凝土结构厂房防震缝宽度的1.5倍。
条文说明
3.5.13~3.5.15 防震缝的设置依据国家现行标准《建筑抗震设计规范》GB 50011和《冶金建筑抗震设计规范》YB 9081的有关规定。 防震缝的设置应根据厂房的体型以及平面和竖向的不规则类型和不规则程度以及地基基础条件和技术经济等因素的比较分析后确定。对于体型复杂的厂房,并不一概提倡设置防震缝,因为是否设置防震缝各有利弊。 当不设置防震缝时,结构分析模型复杂,连接处局部应力集中需要加强,而且需仔细估计地震扭转效应等可能导致的不利影响。对于体型复杂、平面和竖向不规则的厂房,宜调整结构方案,避免设置防震缝。 当设置防震缝时,上部结构应彻底分开,不宜采用似分不分、似连不连的结构方案,以避免建筑物连接处结构和构件地震时破坏或对相关生产工艺和设备,建筑造成不利影响。防震缝必须留有足够宽度。本规范第3.5.15条规定的防震缝宽度,采用现行国家标准《建筑抗震设计规范》GB 50011的规定。
3.5.16 符合下列情况之一的多层厂房,防震缝宽度宜适当增加:
1 位于Ⅲ类、Ⅳ类场地的厂房;
2 防震缝两侧结构单元的基础存在较大沉降差时。
条文说明
3.5.16 对于位于Ⅲ类、Ⅳ类场地的厂房以及防震缝两侧结构单元的基础存在较大沉降差时,两侧结构单元在地震时更容易发生相互碰撞,故本条规定防震缝宽度宜适当加大。
3.5.17 单层厂房,当操作平台或设备的支承结构与厂房主体结构脱开时,其与主体结构间(不包括基础)的缝宽均应满足防震缝的要求;多层厂房结构,当穿越楼层的设备及其支承结构与厂房楼层结构脱开时,缝的宽度不应小于防震缝宽度的1.2倍~1.5倍。
条文说明
3.5.17 本条规定多层厂房,当穿越楼层的设备及其支承结构与厂房楼层结构分开时,结构缝的宽度不应小于防震缝宽度的1.2倍~1.5倍,是考虑穿越楼层的设备及其支承结构与厂房结构的动力特性明显不同,因此要求其间结构缝的宽度比按规定的防震缝宽度适当加大,避免地震时相互碰撞。
3.6 围护墙和隔墙
3.6 围护墙和隔墙
3.6.1 围护墙和隔墙的材料、选型、布置以及墙体与厂房主体结构的连接,应根据厂房承重结构体系、使用环境、结构抗震以及材料供应等综合分析后确定,并应符合下列规定:
1 围护墙和隔墙可根据工程的具体情况采用砌体墙和各种墙板,宜采用轻质墙体材料。
2 围护墙和隔墙与主体结构应有可靠的拉结。抗震设计时应能适应主体结构不同方向的层间位移;8度和9度时应具有满足层间位移的变形能力;与悬挑构件相连接时,尚应计入节点转动引起的竖向变形。
3 抗震设计时,围护墙和隔墙的平面和竖向布置宜均匀、对称。当不均匀对称布置时,应计入墙体质量和刚度分布不均匀对主体结构抗震的不利影响。
4 围护墙和隔墙应具有自身的承载能力和稳定性。砌体隔墙与柱宜脱开或柔性连接,隔墙顶部应设现浇钢筋混凝土压顶梁。
5 有腐蚀介质的厂房,墙体材料、墙体与主体结构的连接构造应符合现行国家标准《工业建筑防腐蚀设计规范》GB 50046的有关规定。
条文说明
3.6.1 围护墙和隔墙的材料、选型、布置以及墙体与厂房主体结构的连接,应根据厂房高度、结构类型和使用环境确定。抗震设计时尚应根据设防烈度、结构层间变形、墙体自身抗侧力性能的利用等因素综合分析确定。 围护墙和隔墙可采用砌体墙和各种墙板。多层厂房宜优先采用轻质墙板。轻质墙板是指彩色涂层压型钢板、硬质金属面夹芯板以及铝合金板等轻型板材等。 抗震设计时,围护墙和隔墙的平面和竖向宜均匀、对称布置,避免造成结构刚度和承载力分布上的突变。当非均匀和非对称布置时,应考虑墙体质量和刚度的差异对主体结构抗震的不利影响。
3.6.2 钢筋混凝土单层厂房围护墙的设置应符合下列规定:
1 围护墙可采用砌体墙或墙板。柱距为12m时,宜采用轻质墙板或钢筋混凝土大型墙板。
2 采用砌体墙时,宜采用外贴式;抗震设计时应采用外贴式。墙的厚度不宜小于190mm,并应按本规范第3.6.6条的规定设置圈梁。
3 不等高厂房的高低跨封墙和纵横向厂房交接处的悬墙宜采用轻质墙板。采用砌体墙时,不宜直接砌在低跨屋面上;抗震设计6度、7度时,不应直接砌在低跨屋面上。抗震设计8度、9度时,应采用轻质墙板。
4 抗震设计时,不宜一侧设置围护墙、另一侧敞开布置;当厂房两侧设置围护墙时,两侧宜采用相同类型和相同构造的围护墙;采用砌体墙时,不宜一侧采用外贴式、另一侧采用嵌砌式。
3.6.3 钢筋混凝土多层厂房可采用砌体墙或墙板。采用砌体墙时宜采用轻质砌体墙。砌体填充墙设置时,应符合下列规定:
1 砌体砂浆强度等级不宜低于M5,抗震设计时不应低于M5。
2 填充墙与框架的连接可采用脱开方法或不脱开方法;抗震设计时,宜采用填充墙与框架脱开的连接方法柔性连接构造。填充墙与框架的连接构造,应符合现行国家标准《砌体结构设计规范》GB 50003的有关规定。
条文说明
3.6.3 填充墙与框架的连接应符合现行国家标准《砌体结构设计规范》GB 50003-2011第6.3节的规定。抗震设计时尚应符合现行国家标准《建筑抗震设计规范》GB 50011-2010第13.3节的相关规定。多层混凝土结构厂房,也可参照现行行业标准《高层建筑混凝土结构技术规范》JGJ 3-2010第6.1节的相关规定。
3.6.4 钢结构厂房围护墙的设置应符合下列规定:
1 应采用轻型墙板或预制钢筋混凝土墙板;抗震设计时,采用轻型墙板,墙板与柱的连接宜采用柔性连接。
2 单层钢结构厂房,当采用砌体围护墙时,围护墙宜采用外贴式;抗震设计时应采用外贴式,且应采取使墙体不妨碍厂房柱列沿纵向的水平位移的措施。
3.6.5 单层厂房砌体围护墙,应按下列规定设置圈梁和山墙卧梁:
1 下列部位应设置现浇钢筋混凝土圈梁:
1)柱顶标高处应设置一道圈梁,并宜沿墙高4m~6m设置一道。设有较大振动设备的厂房,圈梁的间距宜采用较小值;
2)抗震设计时,应按上密下稀的原则每隔4m左右在门窗顶增设一道圈梁;不等高厂房的高低跨封墙、纵墙跨交接处的悬墙,圈梁的竖向间距不应大于3m;
3)采用梯形屋架时,应在屋架上弦和柱顶标高处各设一道,但屋架端部高度不大于900mm时可合并设置;
4)当按本条规定设置圈梁的部位有连系梁和墙梁时,圈梁与连系梁或墙梁可合并设置。
2 山墙顶沿屋面标高应设置现浇钢筋混凝土卧梁,卧梁应与屋架端部上弦标高处的圈梁相连接。山墙卧梁应与屋面结构拉结。卧梁的截面和配筋应与圈梁相同。
3.6.6 砌体围护墙圈梁的设计应符合下列规定:
1 圈梁宜闭合设置,圈梁截面宽度宜与墙厚相同,截面高度不应小于120mm。圈梁混凝土不应低于C20,纵向钢筋不应少于4 
10,箍筋应采用 
6,间距不应大于300mm。抗震设计时,圈梁截面高度不应小于180mm,纵向钢筋不应少于4 
12,9度时不应少于4 
14;箍筋应采用 
6,间距不应大于200mm。圈梁兼作过梁时,过梁部分的钢筋应按计算另行增配。
2 厂房转角处柱顶圈梁在端开间范围内的配筋应适当加强。抗震设计6度~8度时,圈梁纵筋不宜少于4 
14;9度时不宜少于4 
16。转角两侧各1m范围内的箍筋直径不宜小于8mm,间距不宜大于100mm;圈梁转角处应增设不少于3根直径与纵筋相同的水平斜筋。
3 圈梁应与柱或屋架采用锚拉钢筋牢固连接。圈梁与屋架连接的锚拉钢筋不宜小于4 
10;抗震设计时不宜小于4 
12。
4 厂房端部以及伸缩缝(防震缝)处圈梁与柱或屋架的拉结宜加强。
5 圈梁的纵向钢筋采用绑扎接头时的搭接长度,应按受拉钢筋的规定确定;圈梁与柱或屋架连接的锚拉钢筋的锚固长度不宜小于钢筋直径的35倍。
3.6.7 单层厂房围护墙采用砌体墙时,墙梁和基础的设置及构造应符合下列规定:
1 墙梁宜采用现浇。当采用预制墙梁时,梁底应与砌体墙顶面牢固拉结,并应与柱锚拉;厂房转角处相邻的墙梁,应相互可靠连接。
2 砌体墙可采用基础梁支承或采用条形基础。抗震设计8度Ⅲ类、Ⅳ类场地和9度时,当砌体围护墙采用预制基础梁支承时,基础梁之间应采用现浇接头;当围护墙另设条形基础时,应在柱基础顶面标高处设置连续的现浇钢筋混凝土圈梁,其配筋不应少于4 
12。
3.6.8 厂房围护墙采用墙板时,墙体自重和水平风荷载作用应通过自身或横梁传至厂房柱或墙架柱,墙板应与厂房柱、墙架柱、抗风桁架和支撑等结构可靠连接。
3.6.9 单层厂房,当外纵墙采用下部为自承重砌体墙、上部为墙板时,上部墙板不应支承在下部自承重砌体墙上;抗震设计时,不宜采用下部为自承重砌体墙、上部为墙板的设计方案,当必须采用时,上、下墙体应分开并设置水平防震缝。
3.7 结构材料
3.7 结构材料
Ⅰ 一般规定
3.7.1 结构材料应根据结构的重要性、结构形式和类型、构件工作环境、荷载和作用特征等,以及结构构件的设计使用年限和耐久性要求等因素确定。
3.7.2 对于处于高温、低温或腐蚀环境的结构,以及直接承受动力荷载或振动荷载的结构,当对结构材料和施工有特别要求时,应在设计文件中说明。
Ⅱ 混凝土和钢筋
3.7.3 混凝土结构的混凝土强度等级应符合下列规定:
1 素混凝土结构不应低于C15。
2 钢筋混凝土结构构件不应低于C20;采用强度等级400MPa及以上的钢筋时,不应低于C25。
3 预应力钢筋混凝土结构构件不宜低于C40,且不应低于C30。
4 承受重复荷载的钢筋混凝土构件不应低于C30。
5 预制混凝土构件不宜低于C25,其中单层厂房的双肢柱不宜低于C30。
6 混凝土强度等级除应符合本条第1款~第5款的规定外,尚应根据结构和构件的设计使用年限、所处环境类别,满足耐久性要求。环境类别的划分和结构混凝土耐久性的基本要求应按现行国家标准《混凝土结构设计规范》GB 50010的有关规定执行。
3.7.4 抗震设计时,下列结构和构件的混凝土强度等级应符合下列规定:
1 框支柱和框支梁,以及抗震等级一级的框架梁、柱及节点核心区不应低于C30。
2 剪力墙不宜超过C60;其他构件,9度时不宜超过C60,8度时不宜超过C70。
3.7.5 混凝土结构的受力钢筋的牌号及其性能应符合现行国家标准《混凝土结构设计规范》GB 50010的有关规定,抗震设计时,尚应符合现行国家标准《建筑抗震设计规范》GB 50011的有关规定。
3.7.6 在施工中,当钢筋需要代换时,应满足设计要求的构件承载力、最大力下的总伸长率、裂缝宽度验算以及抗震设计的规定要求,并应满足最小配筋率、钢筋的间距、保护层厚度、钢筋锚固长度、接头面积百分率以及搭接长度等构造要求。
Ⅲ 钢 材
3.7.7 承重结构钢材的牌号和材性的选用,应按现行国家标准《钢结构设计规范》GB 50017的有关规定执行;抗震设计时,尚应符合现行国家标准《建筑抗震设计规范》GB 50011的有关规定。
3.7.8 承重结构的钢材应具有抗拉强度、伸长率、屈服强度、冲击韧性以及硫、磷含量的合格保证。对焊接结构尚应具有碳含量(或碳当量)的合格保证。焊接承重结构以及重要的非焊接承重结构采用的钢材应具有冷弯试验的合格保证。
3.7.9 对需要验算疲劳的焊接结构钢材,应具有冲击韧性的合格保证,具体要求应按现行国家标准《钢结构设计规范》GB 50017的有关规定执行。
3.7.10 对于处于外露环境且对腐蚀性有特殊要求,或处于腐蚀性介质作用下的承重结构,宜采用耐候钢,其性能和技术要求应符合现行国家标准《耐候结构钢》GB/T 4171的有关规定。
3.7.11 采用焊接连接的钢结构,当接头的焊接约束较大,钢板厚不小于40mm且承受沿板厚方向的拉力作用时,钢板厚度方向的截面收缩率应符合现行国家标准《厚度方向性能钢板》GB/T 5313有关Z15级规定的容许值。
3.7.12 非焊接结构用铸钢件的材质与性能应符合现行国家标准《一般工程用铸造碳钢件》GB/T 11352的有关规定,焊接结构用铸钢件的材质与性能应符合现行国家标准《焊接结构用铸钢件》GB/T 7659的有关规定。
3.7.13 焊接材料、螺栓和焊钉(栓钉)材料等钢结构的连接材料的选用应符合现行国家标准《钢结构设计规范》GB 50017的有关规定。
3.8 混凝土结构预埋件和吊环
3.8 混凝土结构预埋件和吊环
3.8.1 受力预埋件的锚板、锚固角钢和抗剪钢板宜采用Q235和Q345级钢。预埋件的锚筋应采用HRB400级或HPB300级钢筋,不应采用冷加工钢筋。
3.8.2 受力预埋件的受力锚筋和抗剪钢板中心、锚固角钢主轴线,应对称于力的作用线均匀布置,且应布置在构件的外层主筋的内侧。锚筋中心至锚板边缘的距离不应小于锚筋直径的2倍,且不应小于20mm。受力锚筋的间距及其至构件边缘的距离应符合现行国家标准《混凝土结构设计规范》GB 50010的有关规定。
3.8.3 受力预埋件锚板的厚度应根据计算确定,并应符合下列规定:
1 锚筋预埋件的锚板厚度不应小于锚筋直径的0.6倍,受拉和受弯预埋件的锚板厚度应大于锚筋间距的1/8;
2 角钢预埋件的锚板厚度不应小于角钢肢宽的1/6以及角钢厚度的1.4倍;
3 抗震设计时,预埋件锚板的厚度增大不应小于2mm。
3.8.4 受力预埋件的锚筋、锚固角钢和抗剪钢板的截面应由计算确定,并应符合下列规定:
1 锚筋的直径不应小于8mm,且不宜大于25mm。直锚筋不宜少于4根,且不宜多于4排;受剪预埋件的锚筋不宜少于2根。
2 弯折锚筋与锚板之间的夹角不宜小于15°,且不宜大于45°。
3 抗震设计时,直锚筋的截面面积应按计算确定的截面面积增加25%。
4 锚固角钢宜采用等边角钢,锚固角钢末端应加端板。
3.8.5 受力预埋件锚筋的锚固长度应符合下列规定:
1 受拉直锚筋和弯折锚固筋的锚固长度不应小于受拉钢筋锚固长度l a 。采用HPB300级钢筋时,锚筋端部尚应设置弯钩。当无法满足锚固长度的要求时,应采取其他有效的锚固措施,锚固措施应符合现行国家标准《混凝土结构设计规范》GB 50010的有关规定。
2 受剪和受压直锚筋的锚固长度不应小于锚筋直径的15倍。
3 抗震设计时,锚筋的锚固长度应按本条第1款、第2款的规定增加10%,且在靠近锚板处,宜设置一根直径不小于10mm的封闭箍筋。
3.8.6 受力预埋件的锚筋与锚板的连接应满足计算要求,并应符合下列规定:
1 直锚筋与锚板应采用T形焊。当锚筋直径不大于20mm时,宜采用压力埋弧焊;直径大于20mm时,宜采用穿孔塞焊。当采用手工焊时,焊缝高度不宜小于6mm,且对300MPa级钢筋不宜小于锚筋直径的50%,其他钢筋不宜小于锚筋直径的60%。
2 弯折锚筋与锚板应采用搭接电弧焊,且应采用双面角焊缝。锚筋弯折点至焊缝端点的距离l 0 不宜小于锚筋直径的2倍和30mm。
3 抗剪钢板和锚固角钢与锚板连接应采用T形焊,且应采用双面角焊缝,抗剪钢板的焊缝高度不应小于抗剪钢板厚度的50%;锚固角钢的焊缝高度不应小于角钢的厚度,且不宜小于6mm。
3.8.7 在有腐蚀环境混凝土结构的外露预埋件,应根据腐蚀性等级、预埋件的重要性,以及检查维修的困难程度采取相应的防护措施。
3.8.8 预制构件吊环的设计应符合下列规定:
1 吊环应采用HPB300级钢筋制作,不得采用冷加工钢筋。
2 吊环钢筋的直径不宜小于12mm。
3 吊环钢筋锚入混凝土的深度不应小于吊环钢筋直径的30倍,并应焊接或绑扎在钢筋骨架上。
4 吊环的截面面积应按计算确定,在构件的自重标准值作用下,每个吊环按2个截面计算的钢筋应力不应大于65N/mm 2 。当在一个构件上设有4个吊环时,应按3个吊环进行计算。
4 建设场地、地基与基础
4.1 一般规定
4 建设场地、地基与基础
4.1 一般规定
4.1.1 建设场地选择以及厂房和构筑物地基基础设计,应按基本建设程序进行岩土工程勘察,坚持先勘察后设计的原则。
条文说明
4.1.1 场地岩土工程勘察资料是建设场地选择和工程设计各个阶段的基本条件,是建设场地选择、工程设计和工程施工的依据。工程设计前必须进行岩土工程勘察,是为确保建设工程的质量、安全和经济合理并避免工程建设安全隐患。先勘察、后设计、再施工,是工程建设必须遵守的程序,是国家一再强调的十分重要的基本政策。设计单位应坚持各个设计阶段工作开展前,必须有合格的岩土工程勘察报告。
4.1.2 岩土工程勘察宜分阶段进行,勘察阶段的划分应与设计阶段相适应。岩土工程勘察可分为可行性研究勘察、初步设计勘察和详细勘察。各阶段的勘察成果应满足相应设计阶段的设计要求。
对于场地条件复杂或有特殊要求的工程,以及工程施工,地基条件与勘察报告不符时,尚应进行施工勘察。场地小且无特殊要求的工程,可根据工程的具体情况合并勘察阶段。
条文说明
4.1.2 勘察工作宜分阶段进行,这是根据我国工程建设的实际情况作出的规定。根据工程基本建设程序确定的各个阶段的设计任务、设计内容和设计深度不同,设计对勘察成果的要求也不同,因此勘察工作分阶段进行的原则必须坚持。对于场地较小且无特殊要求的工程,当其所在场地或拟建项目附近场地已有岩土工程勘察资料,且拟建项目的平面布置基本可以确定时,也可直接进行详细勘察。勘察阶段的合并必须坚持各个设计阶段均做到先勘察、后设计。 对于场地条件复杂或有特殊要求的工程和重大工程,或在地基基础施工时,发现地基条件与勘察报告存在不符的情况时,应进行施工勘察。
4.1.3 各勘察阶段的技术要求应按国家现行标准《岩土工程勘察规范》GB 50021、《岩土工程勘察技术规范》YS 5202和《建筑地基基础设计规范》GB 50007的有关规定执行。
4.1.4 抗震设防区工程,场地地震安全性评价,以及场地和地基地震效应的岩土工程勘察应符合本规范第3.3节的规定。
4.1.5 拟建场地存在不良地质作用和地质灾害时,应进行场地的地质灾害危险性评估。
条文说明
4.1.5 不良地质作用和地质灾害,包括岩溶、滑坡、泥石流、危岩和崩塌、采空区以及由于抽吸地下水引起水位或水压下降而造成大面积地面沉降等,抗震设防区还包括场地地震液化、震陷和断裂等,应根据现行国家标准《岩土工程勘察规范》GB 50021和有关标准的规定进行勘察,对场地内或场地邻近存在对工程安全有影响的不良地质作用和地质灾害进行评估,对岩土利用、整治和改造的方案进行分析论证,对工程施工和使用期间可能发生的岩土工程问题进行预测,提出监控和预防措施的建议。
4.1.6 对于需要进行地基处理的工程,应提出对处理后的地基进行检测的要求。
4.2 建设场地选择
4.2 建设场地选择
4.2.1 建设场地的选择应与工艺和场(厂)总平面设计配合,应根据工程的使用要求和重要性,场地的地形、地貌、工程地质和水文地质等场地条件,选择场地稳定、地质条件好的地段。对有不良地质作用和地质灾害的场地,应根据场地的地质灾害危险性评估进行设计方案论证,并应提出整治措施。
条文说明
4.2.1 建设场地选择是工程建设的重要环节,强调在建设场地选择阶段结构专业应与工艺和总平面设计配合,注重选择场地稳定、地质条件好的地段;在抗震设防区宜选择抗震有利的地段,避开不利的地段和不在危险地段建设,做到工程结构安全可靠和经济合理。 建设场地的选择阶段,应根据工程特点和工程的需要,对场地的地形地貌、工程地质和水文地质以及地震活动等进行勘察,对场地的稳定性和适宜性作出评价。对有不良地质作用和地质灾害的场地,应进行场地的地质灾害危险性评估。抗震设防区应进行场地地震效应的岩土工程勘察。符合本规范第3.3.6条规定的场地,还应进行地震安全性评价。根据场地的岩土工程勘察和地震地质资料,配合相关专业对场地方案进行论证。对不良地质作用和地质灾害以及地震时对场地、工程建(构)筑物可能造成的危害,应采取有效的工程措施加以防治;对于很难通过工程措施达到防治目的或防治措施代价昂贵的地段,应提出避开,或不作为建设场地。 抗震设防区建筑工程,地震造成建筑的破坏,除地震动直接引起结构破坏外,还有场地条件的原因,诸如地震引起的地表错动与地裂,地基土的不均匀沉陷、滑坡和粉、砂土液化等,因此抗震设防区的建筑工程宜选择有利的地段。 本节针对有色金属工业企业的特点,对各种场地条件的建设场地选择作了相应的规定。 根据《冶金企业安全卫生设计规定》(1996年)“第三章 厂址选择与布置”的规定,在工程厂址选择阶段,关于配合厂址选择,涉及场地岩土工程地质、水文地质、地震等,结构专业应考虑的主要问题,摘要如下:
(1)选择厂址时,应考虑地震、不利的工程地质(如存在滑坡、泥石流、流砂、淤泥、喀斯特溶洞、断层、采空区、塌陷区)和水文地质条件,优选对安全、危害最小的厂址。
(2)在较厚的Ⅲ级自重湿陷性黄土、新近堆积黄土、Ⅲ级膨胀土等地区选择厂址时,应有可靠的安全措施,并报请上级主管部门批准。
(3)厂址宜选在地下水位较低、场地雨水和工业废水易于排出的地区,应避免选在受洪水或内涝危害的地区。在山区选厂址时,应避免山洪、滑坡及泥石流爆发对厂区的威胁。在高寒积雪地区选厂址时,应防止溶雪、雪崩的影响。
4.2.2 抗震设防区工程,建设场地的选择应符合现行国家标准《建筑抗震设计规范》GB 50011的有关规定。
4.2.3 山区建设场地尚应根据下列因素进行选择:
1 场地是否存在断层破碎带,场地在自然条件下,有无滑坡、泥石流、崩塌等不良地质现象;
2 工程建设对场地山坡和场地稳定性的影响,应包括场地平整施工削坡、挖方、填方以及生产使用阶段的地面堆载作用等;
3 场地岩溶和土洞的发育程度;
4 采空区分布、老采空区上覆岩层的稳定性,现采空区和未来采空区对建设场地稳定性影响的预测评估;
5 地面水和地下水对场地稳定的影响。
4.2.4 滑坡、泥石流等危害地段,由采矿形成的山体崩落地段以及采空区陷落(错动)区界内,不得作为建设场地。岩溶和土洞强烈发育的地段不宜作建设场地。当因特殊需要必须使用这类场地建造时,应进行专门的研究论证。
4.2.5 对于故河道、河岸、海滨和边坡场地应进行崩塌和地震崩塌评估,包括崩塌范围、崩塌方向、安全避开距离等。对于有可能形成滑坡的地段,应根据工程地质、水文地质条件以及场地整平施工影响等因素,综合分析滑坡可能发生或发展的主要原因,采取防止产生滑坡的预防措施。
4.2.6 抗震设防区工程,对于存在发震断裂的场地,应根据现行国家标准《建筑抗震设计规范》GB 50011的规定,对断裂的工程影响进行评价,并应确定场地工程建设是否避开主断裂带,以及是否避开主断裂带场地的发震断裂最小避让距离。在避让距离的范围内确有需要建造分散的小型丙类和丁类单层厂房时,应提高一度采取抗震措施,并应提高基础和上部结构的整体性,且不得跨越断层线。
条文说明
4.2.6 本条依据现行国家标准《建筑抗震设计规范》GB 50011-2010第4.1.7条的规定制订。本条对可忽略发震断裂错动对地面建筑影响的条件作了明确规定,对应避开主断裂带的发震断裂场最小避让距离作了具体规定。 根据有色金属工程的具体情况,本规范规定在避让距离范围内确有需要建造厂房时,只能分散建造小型丙类和丁类单层厂房,并应提高一度采取抗震措施,并提高基础和上部结构的整体性,且不得跨越断层线。 在避让范围内应严格禁止建造乙类建筑,如采矿工业场地变电室、配电室和生产系统的中控室,井架、井塔、提升机房、风机房、排水泵房以及矿山救护和消防系统建筑等,确保安全生产、突发事故救护,尤其是矿山井下作业人员的生命安全。
4.2.7 抗震设计时,在条状突出的山嘴、高耸孤立的山丘、非岩石的陡坡、河岸和边坡边缘等不利地段建造丙类及丙类以上厂房时,场地的选择以及厂房的抗震设计除应保证其在地震作用下的稳定性外,尚应估计不利地段对设计地震动参数可能产生的放大作用,其水平地震影响系数最大值应乘以增大系数。增大系数应根据不利地段的具体情况确定,采用1.1~1.6。
条文说明
4.2.7 考虑局部突出地形对地震动参数的放大作用,主要依据宏观震害调查的结果和对不同地形条件和岩土构成的形体所进行的二维地震反应分析结果。处于在条状突出的山嘴、高耸孤立的山丘、非岩石的陡坡、河岸和边坡边缘等对建筑抗震不利地段的建筑物,应保证场地和建筑物的稳定性,并应在设计时考虑局部突出地形对地震动参数的放大作用。有色金属工业企业中,矿山场地,尤其是采矿场地的部分建筑和构筑物可能处于局部突出地形场地。 局部突出地形对地震动参数的放大作用以及放大作用计算,详见现行国家标准《建筑抗震设计规范》GB 50011的规定及其条文说明。
4.3 山区地基
4.3 山区地基
4.3.1 山区以及丘陵地带的建筑物地基设计,除应符合本规范第4.2节有关建设场地选择的要求外,尚应符合下列规定:
1 山区建设工程的总体规划应根据使用要求、地形和地质条件合理布置。主体建筑工程宜设置在地质条件较好的地段。
2 工程设计中,应利用和保护天然排水系统和山地植被,并应注重边坡环境的防护和整治。
条文说明
4.3.1 山区建筑场地地基设计需要全面考虑由于工程建设导致原始山坡稳定性条件及天然排水条件的改变,因在施工过程中,挖方、填方、堆载和卸载等对山坡稳定性会产生很大的影响。山区建设中,应该充分利用和保护天然排水系统和山地植被。当必须改变排水系统时,应该采用导流或拦截的方式将水引出建设场地外,避免对场地和建筑地基造成影响。
4.3.2 对于土岩组合地基,应根据地基和上部结构的具体情况采用相应的地基基础方案。地基处理可根据土岩组合地基的具体情况采用褥垫、置换、桩基,梁、拱跨越处理等措施。在地基压缩性相差较大的部位,建筑物宜结合建筑平面、结构类型以及荷载条件设置沉降缝。
条文说明
4.3.2 土岩组合地基在山区较为普遍,其工程特点是地基不均匀。工程设计除考虑上覆土的厚薄不均匀使建筑物产生不均匀沉降外,尚应根据下卧基岩表面倾斜方向和倾斜程度考虑覆土层的稳定性和变形。对于岩土界面存在软弱土层或下卧基岩表面为单坡倾斜,且坡度较大的地基,应重点考虑上覆土层的稳定性。对于下卧基岩表面向两边倾斜,而且坡度较大的地基,除了上覆土层的稳定性,地基的变形对建筑物也十分不利。对于稳定的大块孤石或个别石芽出露的地基,主要问题是其变形条件对厂房不利,应妥善处理,避免建筑物开裂。 有色金属工业企业,尤其是矿山工业场地,土岩组合地基是常见的地基类型之一。土岩组合地基的工程设计应根据工程的具体条件,采用地基处理和结构措施相结合的综合方法。地基处理可根据具体情况采用褥垫、置换、桩基,梁、拱跨越等处理措施。结构措施可根据地基条件调整和优化结构布置,调整荷载分布、加强结构刚度或设置沉降缝。对于地基条件较差,建筑体型复杂或长高比较大的厂房,宜设置沉降缝。采用沉降缝的厂房,沉降缝的设置位置应既与建筑体型和建筑平面布置相适应,又要与地基条件相适应。土岩组合地基上厂房基础设计宜避免厂房两端的基础落在局部软弱土层上。
4.3.3 对于填土场地,当利用填土作为建筑工程的地基持力层时,应根据场地的地形、地貌,工程地质勘察资料、场地地下水的补给和排泄条件,以及填料的性质、施工设备和现场施工条件等进行填方工程设计,应对拟压实的填土提出质量要求。对于重大和大型的填方工程,应在填方设计前选择典型的场区进行现场试验,应在取得填方设计参数后,进行填方工程设计和施工。未经检验以及不符合质量要求的压实填土,不得作为建筑工程的地基持力层。
4.3.4 山区场地中的暗沟(槽)、暗塘、冲沟等处欠固结的地基,不应作厂房基础的天然地基。
4.3.5 在建设场区内,由于工程建设或其他因素的影响有可能形成滑坡的地段,应根据工程地质、水文地质条件以及工程建设等因素,分析滑坡可能发生或发展的原因,采取防止产生滑坡的可靠措施。对具有发展趋势并威胁建筑物安全使用的滑坡,应及早整治,应防止滑坡继续发展。
4.3.6 在碳酸盐类岩石地区,当有溶洞、溶蚀裂隙、土洞等现象时,应计及其对地基稳定性的影响。岩溶和土洞场地的设计应符合现行国家标准《建筑地基基础设计规范》GB 50007等的规定。
4.4 软弱地基
4.4 软弱地基
Ⅰ 一般规定
4.4.1 软弱地基系指主要由淤泥、淤泥质土、冲填土、杂填土和其他高压缩性土层构成的地基。在建筑地基的局部范围内有高压缩性土层时,应视作局部软弱土层。
4.4.2 软弱地基勘察应查明软弱土层的均匀性、组成、分布范围和土质情况;对于杂填土地基,应查明堆积历史,自重压力下稳定性、湿陷性等;对于冲填土地基,尚应掌握排水固结条件。
4.4.3 抗震设防区的软弱黏性土地基应进行地基土的震陷判别。地基土的震陷判别应符合现行国家标准《建筑抗震设计规范》GB 50011的有关规定。
4.4.4 当地基主要受力层内存在软弱土层时,应根据具体情况综合确定,可采用桩基、换填土或地基处理,也可采取本规范第4.4.6条、第4.4.7条规定的措施。
4.4.5 当地基承载力或变形不能满足设计要求时,地基处理可采用机械压(夯)实、堆载预压、真空预压、换填垫层或复合地基等方法。局部软弱土层以及暗塘、暗沟等,可采用基础梁、换土、桩基或其他方法处理。
Ⅱ 结构措施
4.4.6 软土地基上厂房结构设计时,在满足使用和其他要求的前提下,建筑体型应简单。对于建筑体型比较复杂的厂房,宜根据其平面形状和尺寸、厂房高度差异情况设置沉降缝。当高度差异或荷载差异较大时,可将两个结构单元隔开。当两个单元间必须连接时,应采用能自由沉降的连接构造。
4.4.7 软土地基上厂房结构基础设计时,应采取减轻建筑物沉降和不均匀沉降及其对基础和上部结构影响的措施,并应符合下列规定:
1 可选择合适的基础埋置深度、调整各部分的荷载分布、调整基础底面积和减少基础偏心。
2 可根据工程的具体条件加强基础的整体性和刚度,也可根据工程的具体情况采用筏板基础、箱形基础等。
3 可减轻上部结构自重,厂房的围护墙和屋面结构宜采用轻质材料。
4 可根据预估基础沉降量预留调整措施。
5 储量较大的贮仓结构,在使用初期应控制加载速率,对于群仓和排仓,应做到储料荷载分布均匀;有大面积地面荷载的建筑,应符合本规范第4.4.9条、第4.4.10条的规定。
6 管道穿越建筑物处,应预留足够的空隙尺寸或对管道采用柔性接头。
条文说明
4.4.7 本条规定了软弱地基工程,为减轻建筑物沉降和不均匀沉降及其对基础和上部结构的影响,应根据各个工程的具体情况综合考虑结构体型、结构类型,荷载和岩土工程地质条件等各种因素,选择一种或多种地基处理措施组成的综合处理方案,包括地基处理、选择合理的基础方案、减轻结构自重和考虑不均匀沉降采取的预留调整措施等。对于贮仓结构和有大面积地面荷载的工程,在使用初期尚应对储料或地面荷载的分布和加载速率进行控制。实践证明,除采取相应的地基处理和选择合理的基础方案以及各种结构措施外,对一些工程预留调整措施和荷载控制措施是行之有效和可操作性强的措施。
Ⅲ 大面积地面堆载
4.4.8 在建筑范围内有地面堆载的厂房和库房设计,应计入由于地面堆载产生的地基变形和不均匀变形及其对上部结构和地下结构的不利影响,并应采取相应可靠的措施。厂房结构的设计,宜根据工程具体情况增强厂房刚度,提高厂房承重柱、墙的抗弯能力,以及加强结构节点连接构造。
4.4.9 对于大面积地面堆载工程,有条件时宜采用预压法处理地基,预压荷载应大于地面设计荷载。
4.4.10 有大面积地面堆载的厂房和库房结构设计,应符合本规范第4.4.6条、第4.4.7条的规定,并应符合下列规定:
1 地面堆载不宜压在基础上。
2 地面堆载量应满足地基承载力、变形和稳定性要求,并应计入对周边环境的影响。当堆载量超过地基承载力特征值时,应进行专项设计。
3 地面堆载布置应均衡,并应根据使用要求、堆载特点、结构类型和地质条件确定允许堆载范围和最大堆载量。堆载量应分级逐步增加,并应配合各分级堆载对建筑地面和基础变形进行检测,当地基变形稳定后应再继续分级增加堆载。
4 落地贮仓结构以及地面散装物料的挡料墙,宜与厂房基础和主体结构脱开,当不能脱开时,应计入落地贮仓结构和挡料墙对厂房基础和主体结构的不利影响。
5 应计入在使用过程中调整吊车梁和吊车轨道的可能性,应包括垫高或移动吊车轨道和吊车梁。应增大吊车顶面与屋架下弦间的净空和吊车边缘与上柱边缘间的净距,具体要求应符合本规范第7.1.5条的规定。
条文说明
4.4.8~4.4.10 大面积地面堆载包括生产堆料和工业设备等地面堆载。 软弱地基上露天或有屋盖的矿石和散装原料地面堆场、材料和设备仓库等,这类荷载属于可变荷载,其特点是荷载大,堆放范围广,分布不均匀而且堆积荷载的大小和堆积的范围随着生产过程时常变化。由于地面负载面积大,压力扩散范围广,地基压缩层厚度大,因此地基有较大的附加沉降和不均匀沉降,而且由于软弱土的渗透性差,因此地基沉降稳定历时长。大面积地面堆场范围的地面沉降大,地面呈锅形,导致柱基础和构筑物基础发生倾斜。设计应充分估算地基的变形和不均匀变形,估计其工程结构和使用的不利影响,采取相应的可靠措施,否则可能发生吊车不能正常运行,上柱产生开裂、屋面天沟排水不畅以及堆场内构筑物损坏等,影响厂房和库房正常使用和结构安全。 有工程实例表明,采用天然地基时,基础附加沉降量可达到不考虑大面积地面荷载时基础的沉降量的2倍多。采用桩基础时,桩身要承受较大的负摩阻力,当桩端不进入硬土层时仍可能有较大沉降。某工程的原料库,属于深厚层软土地基,采用的基桩长度约29m,端部进入相对较硬的土层,地面设计堆载87kN/m2,桩基础考虑地面堆载按计入负摩阻力进行设计,柱基础的沉降,考虑负摩阻力与不考虑负摩阻力的沉降比最大达到2.2。 天然地基上的填土,包括场地平整时的填土、建筑物室内填土和建筑物邻近场地近期填土等,这类荷载属于永久荷载。场地平整时的填土,应根据工程的具体情况按现行国家标准《建筑地基基础设计规范》GB 50007的有关规定进行地基处理。建筑物基础施工后进行场地填土或在已建厂房附近进行填土的,应纳入设计的工作范围。这类工程由于后填土引起的附加沉降导致建筑物受损坏的例子也有不少。 根据工程事故分析和实践经验,对软弱地基上大面积地面荷载工程的地基基础和上部结构的设计作了规定,并规定地面堆载应分级逐步增加,堆载宜均匀,避免地面堆载压在基础上以及考虑吊车轨道调整措施等。
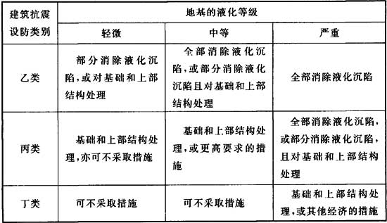
4.5 地震液化土地基
4.5 地震液化土地基
4.5.1 抗震设防区,饱和砂土与饱和粉土(不含黄土)的地基,应根据场地抗震设防烈度进行地基液化判别。6度时,可不进行判别和处理,但对液化沉陷敏感的乙类建筑可按7度的要求进行判别和处理;7度~9度时,乙类建筑可按本地区抗震设防烈度的要求进行判别。
条文说明
4.5.1 震害调查表明,在6度区液化对房屋结构所造成的震害比较轻,因此本规范依据现行国家标准《建筑抗震设计规范》GB 50011,规定除对液化沉陷敏感的乙类厂房建筑外,6度区的一般建筑可不考虑液化影响。 震害调查表明,地基液化的危害主要是由于地基土液化和喷水冒砂,造成地基丧失承载力而失效,或形成陷坑,导致建筑物产生大的沉降和不均匀沉降,严重的造成建筑物倾斜、开裂,甚至倒塌。在倾斜场地,如故河道以及邻近河岸、海岸和边坡的场地,则可能因土层液化带来场地大面积土体滑动,造成严重后果。
4.5.2 存在液化土层的地基,应根据厂房的建筑抗震设防类别、地基液化等级,以及结合工程具体情况采取相应的地基抗液化措施,包括液化土的处理措施以及基础和上部结构的处理措施。当液化土层、粉土层较平坦均匀时,宜按表4.5.2选用抗液化措施。设计时尚可计入上部结构重力荷载对液化危害的影响,并应根据液化震陷量的估算调整抗液化措施。
条文说明
4.5.2 表4.5.2采用现行国家标准《建筑抗震设计规范》GB 50011-2010的规定,确定的抗液化措施适用于液化土层比较平坦均匀,无侧向扩展或流滑危险的场地,不适用于坡度大于10°的倾斜场地和液化土层严重不均的情况。 倾斜场地的土层液化往往带来大面积土体滑动,造成严重后果。
表4.5.2 抗液化措施

4.5.3 全部消除液化沉陷措施和部分消除地基液化沉陷措施,应根据建筑抗震设防类别、地基液化等级和可液化土层的厚度确定,可采用换土法、加密法、深基础和桩基础等处理方法,各项地基处理措施的技术要求应符合现行国家标准《建筑抗震设计规范》GB 50011的有关规定。
4.5.4 为减轻液化对基础和上部结构影响,可综合分析后按本规范第4.4.5条的规定采取相应措施。
4.5.5 各种设备和设施的基础应根据其重要性和使用要求以及地基液化等级和可液化土层的厚度,确定地基抗液化措施。主要设备和主要设施的地基抗液化措施不应低于厂房主体结构的要求。
条文说明
4.5.5 各种设备和设施基础地基的抗液化措施,应根据其重要性和使用要求确定,是指大型、主要和重要的设备、设施,或发生地震液化下沉和倾斜难以修复或使设备遭受严重破坏或引起次生灾害的,以及当地基发生地震液化下沉和倾斜,可能影响工艺系统的正常生产或系统的安全的设备和设施。本条“主要设备和主要设施”,应考虑设备、设施本身的重要性,同时要考虑其在生产和安全工艺系统中的重要性,包括不能被中断,或一旦发生事故需要迅速修理恢复使用的设备和设施,其地基抗液化措施不应低于厂房主体结构的要求。
4.5.6 在故河道以及邻近河岸、海岸和边坡的场地,应计入液化土体滑动的可能进行抗滑动验算。有液化侧向扩展或流滑可能的地段内不宜修建永久性厂房。当无法避免时,应进行抗滑动验算,应采取相应抗液化、防土体滑动措施和结构抗裂措施。
4.6 基础设计
4.6 基础设计
4.6.1 地基基础设计应坚持因地制宜、保护环境、就地取材和节约资源的原则,并应综合分析建筑场地的工程地质、水文地质、上部结构类型、建筑功能、相邻建筑物基础情况、施工条件和材料供应以及场地的抗震设防烈度等因素,选择经济合理的地基基础方案。
4.6.2 有色金属工业厂房的地基基础可划分为甲、乙、丙三个设计等级,设计时根据工程的具体情况按表4.6.2确定。
表4.6.2 地基基础设计等级

注:基坑和地下建筑物的地基基础设计等级应按现行国家标准《建筑地基基础设计规范》GB 50007的有关规定执行。
条文说明
4.6.2 地基基础设计等级是根据建筑物地基基础的复杂程度和技术难度,依据现行国家标准《建筑地基基础设计规范》GB 50007的规定,并考虑有色金属工业建筑物的柱网间距较大,基础一般采用独立基础,各基础的荷载较大且有较大差异等因素确定。
4.6.3 地基基础设计所采用的荷载效应组合与相应的抗力极限值,应按现行国家标准《建筑地基基础设计规范》GB 50007和《建筑抗震设计规范》GB 50011的有关规定执行。
4.6.4 建筑物的地基均应满足承载力计算的有关规定。
4.6.5 厂房的地基基础变形验算应符合下列规定:
1 地基基础设计等级为甲级、乙级的厂房,均应进行地基变形验算。
2 地基基础设计等级为丙级的厂房,当符合表4.6.5的条件时,可不作变形验算。
表4.6.5 可不作地基变形计算的丙级厂房范围

注:1 地基主要受力层系指独立基础层面下深度1.5b(b为基础底面宽度),条形基础下3b,且厚度均不小于5m的范围。
2 吊车额定起重量的数值系指最大值。
3 侧向框排架结构厂房,当排架部分或框架部分不符合本表规定范围时,应作变形验算设计。
3 地基基础设计等级为丙级的厂房存在下列情况之一时,应进行变形验算:
1)地基承载力特征值小于130kPa,且体型复杂的建筑;
2)基础上及其附近有地面堆载,可能引起地基产生较大的不均匀沉降;
3)软弱地基上的建筑物有较大偏心荷载;
4)相邻基础荷载差异较大,地基可能产生过大的不均匀沉降;
5)地基内有厚度较大或厚度不均匀的填土,且自重固结未完成时;
6)基础下有软弱下卧层;
7)邻近建筑基础相互影响,可能发生倾斜时。
4 厂房的基础变形允许值应按现行国家标准《建筑地基基础设计规范》GB50007的有关规定执行。
5 采用桩基础的厂房应进行桩基础沉降验算的范围以及地基变形允许值,应符合国家现行标准《建筑地基基础设计规范》GB50007和《建筑桩基技术规范》JGJ94的规定。
条文说明
4.6.5 本条第1款、第3款为强制性条款。本条的规定与现行国家标准《建筑地基基础设计规范》GB 50007-2011的规定相一致。表4.6.5没有列入地基承载力特征值小于100kPa的条件,是考虑厂房柱网间距较大,柱基础荷载较大且各柱基础的荷载有较大差异,承载力特征值小于100kPa的地基不宜作为厂房基础底面持力层。
4.6.6 下列厂房应进行稳定性验算:
1 经常受水平荷载作用的建筑物、挡土墙和有临空面的埋地式矿仓;
2 建造在斜坡上或边坡附近以及河道的厂房。
4.6.7 地下水埋藏较浅,地下建(构)筑物存在上浮可能时,应进行抗浮验算。
4.6.8 分期建设的工程应分别预估相邻近分期建筑工程在施工期间和使用期间的地基变形。
条文说明
4.6.8 分期建设的工程应分别预估相邻近分期建筑工程在施工期间和使用期间的地基变形,使差异沉降控制在允许范围内。
4.6.9 当需要在非岩质河岸和边坡的边缘,平面上分布成因、岩性、状态明显不均匀的土层,故河道,疏松的断层破碎带,以及半填半挖地基建造厂房时,应根据具体情况采取加强地基基础和上部结构的整体性和刚度,并应避免采用对不均匀沉降敏感的结构形式的措施。
4.6.10 同一结构单元的基础不宜设置在性质截然不同的地基上,不宜部分采用天然地基、部分采用桩基。当无法避免时,应加强基础的整体性和刚度,必要时,基础和上部结构应计入地基的不均匀沉降影响进行计算分析,并应采取相应措施。
4.6.11 动力设备基础应与厂房及操作平台柱基础、上部结构以及混凝土地面脱开。
4.6.12 多层框架柱下独立基础,当符合下列条件之一时,宜在两个主轴方向设置基础系梁:
1 基础埋置深度较深或各基础埋置深度差别较大;
2 各基础底面在重力荷载代表值作用下的压应力差别较大;
3 地基主要受力层范围内存在软弱黏性土层、严重不均匀土层以及抗震设计时存在液化土层;
4 抗震设计一级框架、Ⅳ类场地二级框架柱基础;
5 高度超过24m的多层框架柱基础。
4.6.13 桩基承台之间应按下列规定设置基础系梁:
1 单桩承台,应在两个主轴方向设置基础系梁。
2 单排桩承台,应在短边方向设置基础系梁。抗震设计时,框架柱下独立承台长边方向也宜设置基础系梁。
3 抗震设计时,框架柱下独立承台除符合本条第1款、第2款的规定外,尚宜在两个主轴方向设置基础系梁。
条文说明
4.6.13 本条规定同现行国家标准《建筑地基基础设计规范》GB 50007和《建筑抗震设计规范》GB 50011的规定相一致,其中高度超过24m的多层框架柱下独立基础的规定参照现行行业标准《高层建筑混凝土结构技术规程》JGJ 3的规定。 有抗震设防要求的柱下桩基独立承台,由于地震作用下,建筑物的各桩基承台所受的地震剪力和弯矩是不确定的,因此在纵横两方向设置连系梁,有利于桩基抗震。对于单层排架结构厂房,横向跨度大,设置连系梁有困难,可仅在纵向设置连系梁,但独立承台在跨度轴线方向应布置两桩或多桩,厂房端部应按规定设置连系梁或基础梁。
4.6.14 抗震设计时,框架-剪力墙结构的剪力墙基础应有良好的整体性和抗转动的能力。
4.6.15 基础系梁的设置,应符合下列规定:
1 基础系梁顶面标高宜与基础(承台)顶面同一标高。
2 基础系梁的截面宽度不宜小于250mm,截面高度可按基础中心距离的1/15~1/10确定,且不宜小于400mm。
3 基础系梁的配筋应按计算要求确定,且梁上、下部纵向钢筋均不应少于2根,直径不应小于12mm。位于同一轴线的相邻基础系梁的纵向钢筋应连通。基础系梁纵向钢筋锚入基础或承台的锚固长度应按受拉钢筋的要求确定。
条文说明
4.6.15 基础连系梁顶面与承台顶面位于同一标高,有利于直接将柱底剪力、弯矩传递至承台。连系梁的截面尺寸及配筋可按下述方法确定:以柱端剪力作用于梁端,按轴心受压构件确定截面尺寸,按受拉、压构件确定配筋。抗震设计时,轴力可取柱轴力的1/10。连系梁承受有竖向荷载时,应同时计入竖向荷载的作用进行设计。
4.6.16 单层厂房的下柱柱间支撑和多层厂房的底层柱间支撑处的柱基础,宜在两个基础之间设置基础系梁,基础系梁应按柱间支撑水平分力(拉力和压力)乘以增大系数1.2,并应按拉、压杆设计。
4.6.17 地基土或地下水对建筑材料或结构构件具有腐蚀性,以及有腐蚀性介质厂房的地基基础,应采取相应的防护措施,地基和基础设计应符合现行国家标准《工业建筑防腐蚀设计规范》GB 50046的有关规定。
4.6.18 符合下列情况之一的厂房,应在设计文件中要求在施工和使用期间进行沉降观测,应注明沉降观测点的位置和观测要求:
1 地基基础设计等级为甲级的厂房,以及按规定应进行地基变形计算的厂房;
2 复杂软弱地基条件的厂房;
3 软弱地基条件,地基基础设计等级为乙级的厂房,以及有地面堆载厂房;
4 斜坡或边坡附近以及故河道上的厂房;
5 改建、扩建的厂房;
6 建造在处理地基上的厂房;
7 受邻近深基坑开挖施工影响或受场地地下水等环境因素变化影响的厂房。
条文说明
4.6.18 对沉降有严格要求,或软弱地基条件、复杂工程地质条件以及地面堆荷载、施工降水等有较大沉降和不均匀沉降的建(构)筑物应进行沉降观测,包括从施工开始,整个施工期内和使用期间对建筑物进行的沉降观测,以便发现问题及时处理,并作为建筑物地基基础工程质量检查的依据之一。建筑物施工期的观测日期和次数,应根据施工进度确定,建筑物竣工后的第一年内,每隔2月~3月观测一次,以后适当延长至4月~6月,直至达到沉降变形稳定标准为止。
4.7 基础埋置深度
4.7 基础埋置深度
4.7.1 基础埋置深度应按下列条件确定:
1 厂房的功能和工艺要求,有无地下室、地下设施和设备基础;
2 基础形式和构造;
3 相邻建筑物基础类型和埋置深度;
4 作用在地基上的荷载大小和性质;
5 工程地质和水文地质条件;
6 地基土冻胀和融陷的影响;
7 厂区腐蚀性介质的性质和环境条件。
4.7.2 厂房基础的埋置深度应结合上部结构布置和工程地质条件,满足地基承载力、变形和稳定性要求,并应符合下列规定:
1 在满足地基稳定性、地基承载力和变形条件下宜浅埋。除岩石地基外,基础埋置深度不宜小于0.5m。
2 基础宜埋置在地下水位以上,当必须埋置在地下水位以下时,应采取使地基土在施工时不受扰动的措施。
3 当基础埋置在易风化的岩层上时,应要求施工在基坑开挖后立即铺筑垫层。
4 有腐蚀性环境厂房的基础埋置深度,应符合国家现行标准《工业建筑防腐蚀设计规范》GB 50046的有关规定。
4.7.3 高度超过24m的多层厂房,基础的埋置深度应符合下列规定:
1 采用天然地基或复合地基时,基础埋置深度不宜小于厂房总高度的1/15;
2 采用桩基础时,桩基承台埋置深度不宜小于厂房总高度的1/18。
4.7.4 在既有建筑物邻近新建厂房时,新建厂房基础的设计应计入对既有建筑物基础的影响,应包括地基承载力和地基变形等。新建厂房基础的埋置深度不宜大于相邻既有建筑物基础的埋置深度,并应复核对既有建筑物基础的影响。当新建筑物基础埋置深度需要大于相邻既有建筑物基础的深度时,新旧相邻基础间应保持一定净距,其净距应根据工程地质条件、既有建筑物基础类型(形式)和荷载大小确定。
条文说明
4.7.4 在确定基础埋置深度时,应保证相邻既有建筑物在施工期间的安全和正常使用。为避免新建工程对既有建筑物的影响,设计时应通过计算,包括地基承载力、变形和稳定,确定新建工程与既有建筑物基础之间的安全距离。一般情况下,宜使新设计的基础不深于相邻既有建筑物基础,当必须深于原有建筑物基础时,两基础间应保持一定净距,根据荷载大小和土质情况,这个距离约为相邻基础底面高差的1~2倍。如不能满足此要求时,必须采取有效的施工措施或加固支护措施,以避免开挖新基础时,使原有基础的地基松动。 当不满足要求时,应采取分段施工、加设临时加固支撑、打板桩、地下连续墙或加固既有建筑物的地基等有效措施,保证既有建筑物的安全和正常使用。
4.8 天然地基基础
4.8 天然地基基础
4.8.1 天然地基基础的设计除应符合本规范的规定外,尚应符合现行国家标准《建筑地基基础设计规范》GB 50007等的有关规定;抗震设计时,应符合现行国家标准《建筑抗震设计规范》GB 50011的有关规定。
4.8.2 地基承载力验算,应符合现行国家标准《建筑地基基础设计规范》GB 50007的有关规定,并应符合下列规定:
1 设置桥式吊车的单层厂房,厂房柱基础底面不宜出现零应力;工作级别A4及以上的厂房柱基础,不得出现零应力。当地基承载力特征值小于200kPa时,对起重量不小于75t的厂房柱基础和起重量不小于15t的露天栈桥柱基础,其土压力图形应为梯形,基底最小应力不应小于最大应力的25%。
2 贮仓的支承结构柱基础,高度不小于24m,且高宽比大于4的多层厂房柱基础底面,不宜出现零应力。
3 除本条第1、2款规定外的高度不小于24m的多层厂房,以及抗震设计时单层厂房和多层厂房,柱基础底面与地基土之间零应力区面积不应超过基础底面面积的15%。
4.8.3 抗震设计时,厂房天然地基基础的抗震承载力验算应符合现行国家标准《建筑抗震设计规范》GB 50011的有关规定。
4.9 桩基础
4.9 桩 基 础
4.9.1 桩基础的设计除应符合本规范的规定外,尚应符合国家现行标准《建筑地基基础设计规范》GB 50007、《建筑抗震设计规范》GB 50011和《建筑桩基技术规范》JGJ 94的有关规定。
4.9.2 桩型的选择应根据上部结构类型、桩的使用功能、荷载大小和性质、桩身穿越的土层、桩端持力层、地下水位、施工技术条件,以及周围环境和制桩材料供应条件等因素综合确定。桩型和成桩工艺选择可按现行行业标准《建筑桩基技术规范》JGJ 94的有关规定执行。
条文说明
4.9.2 桩型和成桩工艺的选择应考虑多方面的因素。主要有:
(1)建筑物类型,荷载性质和量级、桩的使用功能,以及建筑物对沉降的敏感性要求。
(2)工程地质和水文地质条件:场地的地层分布、穿越土层和桩端持力层。各类桩型有其适用的土层条件,各种成桩方法也有其适用范围。因此,对场地的地层分布,持力层的深度,不良地质现象,水文地质条件及环境等都应查明分析。
(3)场地的环境,桩基础施工可能带来振动和噪声的环境污染,泥浆护壁灌注桩存在泥浆排放问题。因此,应对场地周围的环境污染的限制要求,污水处理,施工和周围建筑物的相互影响等进行分析。
(4)设备、材料和运输条件,包括施工设备能力、施工的技术力量、材料供应和运输条件等。
(5)经济分析,通常可有几种桩型可供选择,最终应在技术经济分析的基础上选择一种合适的桩型和施工方法。 桩型和成桩工艺可按现行行业标准《建筑桩基技术规范》JGJ? 94-2008附录A的表A.0.1采用。
4.9.3 桩基设计应符合下列规定:
1 桩端持力层宜选用中、低压缩性土层。
2 同一结构单元内的桩基,不宜选用压缩性差异较大的土层作桩端持力层,不宜采用部分摩擦桩和部分端承桩。
3 位于坡地、岸边的桩基,应与边坡工程统一规划、同步设计。
4 应计入桩基施工对邻近建筑物、道路、地下管线和基坑边坡等产生的不利影响。
5 采用挤土桩和部分挤土桩时,应采取消减孔隙水压力和挤土效应的技术措施,应减小挤土效应对成桩质量的影响。在深厚饱和软土中不宜采用大片密集有挤土效应的桩基。
6 先成桩后开挖基坑时,应安排好基坑挖土顺序和控制分层开挖的深度,并应计入基坑土体侧移和坑底土回弹隆起对桩身受力及桩承载力的影响。
7 承台及地下室周围的回填土应满足填土密实度要求。
8 特殊地基条件桩基础的设计尚应符合现行行业标准《建筑桩基技术规范》JGJ 94等的有关规定。
条文说明
4.9.3 本条主要依据现行国家标准《建筑地基基础设计规范》GB 50007和《建筑抗震设计规范》GB 50011的有关规定。 本条第8款的“特殊地基条件”主要指软土地基、湿陷性黄土地基、季节性冻土和膨胀土地基、岩溶地基和坡地、岸边等,应符合现行行业标准《建筑桩基技术规范》JGJ 94的有关规定。
4.9.4 抗震设计时,桩基的设计尚应符合下列规定:
1 液化土地基的桩、桩端应进入液化土层以下稳定土层。
2 承台和地下室侧墙周围应采用灰土、级配砂石、压实性较好的素土回填,并应分层夯实,也可采用素混凝土回填;处于液化土中的桩基承台周围宜用密实干土填筑夯实,用砂土或粉土时,应使土层的标准贯入锤击数不小于液化判别标准贯入锤击数临界值。
3 当承台周围为可液化土或地基承载力特征值小于40kPa或不排水抗剪强度小于15kPa的软土,且桩基水平承载力不满足计算要求时,可将承台外每侧1/2承台边长范围内的土进行加固。
4 在有液化侧向扩展的地段,应验算桩基在土流动时的侧向作用力的作用。
4.9.5 桩基础应根据工程的具体条件,按下列规定进行承载力和稳定验算:
1 所有桩基础应进行桩基础承载力、桩身承载力和承台承载力计算;
2 对于桩身穿越可液化土或不排水抗剪强度小于10kPa的软弱土层的基桩,应进行桩身压屈验算;
3 当桩端平面以下存在软弱下卧层时,应进行软弱下卧层承载力验算;
4 位于坡地、岸边的桩基应进行整体稳定性验算;
5 对于抗浮、抗拔桩基,应进行基桩和群桩的抗拔承载力计算;
6 对于处于腐蚀环境的桩基础,应根据环境类别和相应的裂缝控制等级,对基桩和承台进行裂缝控制验算;
7 对于混凝土预制桩应按吊装、运输和锤击作用进行桩身承载力和抗裂验算,对于钢管桩应进行局部压屈验算。
4.9.6 下列建筑桩基应进行沉降计算:
1 地基基础设计等级为甲级的建筑桩基;
2 地基基础设计等级为乙级的体型复杂、荷载分布不均匀或桩端平面以下存在软弱土层的建筑桩基;
3 摩擦型桩基。
4.9.7 对受水平荷载较大,或对水平位移有严格限制的建筑桩基,应根据使用要求对桩顶变位的限制,计算水平位移并对桩基的水平承载力进行验算。当水平推力较大时,可设置斜桩。
4.9.8 抗震设计时,桩基础的抗震承载力验算应符合现行国家标准《建筑抗震设计规范》GB 50011的有关规定。
4.9.9 符合下列条件之一的桩基,当桩周土层的沉降大于桩基的沉降时,应计入桩侧负摩阻力进行桩基承载力计算和变形验算:
1 桩身穿越较厚的松散填土,湿陷性黄土或欠固结土层;
2 地面大面积堆载、填土,邻近桩基的地面有局部较大长期荷载;
3 由于降低地下水位,使桩周土有效应力增大并引起桩周土层产生沉降。
4.9.10 对有可能出现负摩阻力的桩基,宜根据工程的具体情况采取减少或避免产生桩侧负摩阻力的措施,具体措施应符合现行行业标准《建筑桩基技术规范》JGJ 94的有关规定。
条文说明
4.9.10 有可能出现负摩阻力的桩基,设计时宜考虑采取有效地基处理措施,减少桩侧负摩阻力。 对于填土建筑场地,宜先填土后成桩。为保证填土的密实性,应根据填料及下卧层性质采用分层填土、分层辗压或分层强夯,压实系数不应小于0.94;对于欠固结土地基,宜采用预压措施对地基先行处理。可根据工程的具体情况,采用降水预压或堆载预压法,对于高水位场地,为加速下卧层固结,宜采取插塑料排水板等措施。 大面积堆载工程,堆载引起上部结构开裂乃至破坏的事故不少,这是由于地面堆载使桩周土相对基桩有较大沉降,基桩在负摩阻力作用下产生较大附加沉降的缘故。为减少负摩阻力,可采用对堆载地基进行加固处理的措施,但施工工期较长,造价也往往偏高。现行行业标准《建筑桩基技术规范》JGJ 94-2008第3.4.7条对可能出现负摩阻力的桩基设计原则作了规定。
5 荷载和作用
5.1 一般规定
5 荷载和作用
5.1 一般规定
5.1.1 有色金属工业厂房结构设计中涉及的作用,应包括荷载、间接作用以及地震作用。
条文说明
5.1.1 间接作用包括地基变形、混凝土收缩、温度作用等。
5.1.2 厂房结构设计采用的主要荷载和作用,应包括楼地面活荷载、屋面积灰荷载、桥式吊车荷载或其他可移动设备荷载、楼(地)面堆料荷载、贮仓物料荷载、检修荷载、地震作用以及其他特殊荷载(作用)等,应在施工图中说明。
条文说明
5.1.2 本条规定是为工程的使用和施工,乃至工程的改造、扩建和加固提供结构设计的基础资料档案,同时作为正常的生产活动或工程施工时操作的依据,也为工程改造、扩建和加固提供设计的原始基础资料,也是事故检查的依据。主要荷载和作用的说明应准确。
5.2 荷载
5.2 荷 载
5.2.1 作用在结构上的荷载可分为下列类型:
1 永久荷载,结构和建筑构件自重,支承在结构上的各种固定装置(设备、炉体、槽罐、贮仓、管道和支架等)的自重和恒定物料、介质重量,土压力、液体压力和预应力等;
2 可变荷载,楼面(平台)活荷载(操作荷载、安装和检修荷载)、屋面活荷载和积灰荷载、设备和管道试验荷载、可移动设备荷载、动力设备工作荷载(动荷载)、吊车荷载、楼(地)面堆料荷载、风荷载、雪荷载、积灰荷载、施工荷载和温度作用等;
3 偶然荷载(特殊荷载),爆炸力、撞击力、事故荷载以及提升设备的钢绳破断力等。
条文说明
5.2.1 有色金属工业厂房中的永久荷载种类较多,除结构构件自重外,固定装置包括设备、炉体、槽罐、贮仓、管道和支架等。它们产生的自重均为永久荷载。土压力、液体压力和预应力作为永久荷载是因为它们都是随时间单调变化而能趋于限值的荷载,其标准值都是依其可能出现的最大值来确定。 动力设备工作荷载指动力设备工作时产生的动荷载。 偶然荷载,根据有色金属工业的特点,包括撞击、爆炸、事故荷载以及提升设备的钢绳的破断力等。由于生产操作失控、发生爆炸、撞击或跑漏事故荷载,以及提升设备的钢绳的破断等,会导致建筑物的严重破坏甚至倒塌,造成人员和设备的损伤。为此,在工程设计中应首先认真做好防护设计,并应根据工程的重要性和实际需要,计入偶然荷载进行相关的组合与作用验算。
5.2.2 厂房设计采用的各项荷载中,与生产和生产设备相关的荷载和作用应由相关专业负责提供和核定,但不应小于现行国家标准《建筑结构荷载规范》GB 50009中规定的荷载值。
条文说明
5.2.2 荷载是结构设计的重要基础资料,在设计过程中,通常由相关专业提供与生产和生产设备相关的荷载和作用,其中包括正常生产操作、检修和可能发生的事故荷载和作用,也存在一般性、特殊性或偶然性。为了保证所提供的荷载(作用)条件的合理性、正确性,结构专业人员应根据自己的专业和行业的经验和知识,以及结构设计的需要,对相关专业提供的资料进行必要的审议,发现有疑问的,应同相关专业协商、研究确定。现行相关标准和规范有规定的,设计采用的荷载应不小于相关标准和规范的规定值。
5.2.3 楼(地)面活荷载应按实际情况确定,可按等效均布荷载取值。厂房楼(地)面活荷载应按现行国家标准《有色金属工程结构荷载规范》GB 50959的规定采用。
5.2.4 有动力设备的厂房,应分析动力作用对结构的不利影响进行结构动力计算,在有充分依据时可采用动力系数法计算。动力系数法按现行国家标准《有色金属工程结构荷载规范》GB 50959的规定采用。
5.2.5 有特殊要求的厂房,其特殊荷载和作用的计算和取值应符合国家有关厂房设计标准的规定。
5.3 地震作用
5.3 地震作用
5.3.1 各抗震设防类别厂房的地震作用应符合下列规定:
1 乙类和丙类厂房应按本地区抗震设防烈度确定其地震作用;
2 丁类厂房宜按本地区抗震设防烈度确定其地震作用。
5.3.2 各类厂房的地震作用分析计算应符合下列规定:
1 应至少在结构两个主轴方向分别计算水平地震作用。
2 有斜交抗侧力构件的结构,当相交角度大于15°时,应分别计算各抗侧力构件方向的水平地震作用。
3 质量与刚度明显不均匀、不对称的结构,应计入双向水平地震作用下的扭转影响。
4 8度和9度时,下列情况的构件应计算竖向地震作用:
1)大跨度屋架,大跨度屋盖桁架(梁);
2)支承大跨度屋架、大跨度屋盖桁架(梁)的托架(梁)以及大跨度托架(梁);
3)长悬臂结构;
4)平板形网架屋盖结构;
5)支承较大设备荷重的屋面钢梁。
5 9度时高度不小于24m的多层厂房,应计算竖向地震作用。
条文说明
5.3.2 本条为强制性条文。本条规定主要依据现行国家标准《建筑抗震设计规范》GB 50011和现行行业标准《冶金建筑抗震设计规范》YB 9081,并结合有色金属工业厂房的具体情况。 支承大跨度屋架和大跨度楼盖桁架(梁)的托架(梁),是直接承受和传递大跨度屋架和大跨度楼盖桁架(梁)竖向地震作用的结构构件,应和上述构件一样考虑竖向地震作用。大跨度屋架(梁)、栈桥桁架(梁)的跨度是指:8度时大于24m、9度时大于18m。长悬臂结构的悬挑长度是指:8度时大于2m、9度时大于1.5m。
5.3.3 计算地震作用时,重力荷载代表值应取结构和构件、固定设备及其配件自重标准值,以及各可变荷载组合值之和。各可变荷载的组合值系数应按表5.3.3采用。
表5.3.3 可变荷载组合值系数

注:1 硬钩吊车的吊重较大时,组合值系数应按实际情况采用。
2 贮仓和槽罐内贮料重以及各种机器设备在生产过程中加入的物料重量计算时,充盈系数可取0.8~0.9,单仓、单槽罐和单机器设备时取大值。
5.3.4 根据本规范第5.3.2条第4款规定应进行竖向地震作用计算的构件,其竖向地震作用标准值宜取其重力荷载代表值与竖向地震作用系数的乘积,竖向地震作用系数按表5.3.4采用。
表5.3.4 竖向地震作用系数

注:括号内数值用于设计基本地震加速度为0.30g的地区。
5.3.5 地震作用计算时,结构的阻尼比应按下列规定取值:
1 钢筋混凝土结构厂房的阻尼比应符合下列规定:
1)单层厂房、多层框架结构、框架-剪力墙结构和框排架结构可采用0.05;
2)钢支撑-框架结构不应大于0.045,也可按混凝土框架部分和钢支撑部分在结构总变形能所占的比例折算为等效阻尼比。
2 钢结构厂房的阻尼比应符合下列规定:
1)单层厂房可根据屋盖和围护墙的类型,取0.045~0.05;
2)多层钢结构,多遇地震作用下计算时可取0.03~0.04,罕遇地震作用下计算时可取0.05。
5.4 作用效应组合
5.4 作用效应组合
5.4.1 工程结构设计应按设计状况分类,应根据使用过程中可能在结构上同时出现的荷载和作用,按承载能力极限状态、正常使用极限状态分别进行荷载和作用效应组合,并应取各自最不利的效应组合设计值进行设计。
5.4.2 进行承载能力极限状态设计时,应符合下列规定:
1 持久设计状况或短暂设计状况,应采用基本组合;
2 偶然设计状况,应采用偶然组合;
3 地震设计状况,应采用地震组合。
5.4.3 进行正常使用极限状态设计时,可采用下列作用组合:
1 不可逆正常使用极限状态设计,宜采用标准组合;
2 可逆正常使用极限状态设计,宜采用频遇组合;
3 长期效应是决定性因素的正常使用限状态设计,宜采用准永久组合。
5.4.4 荷载组合应按现行国家标准《建筑结构荷载规范》GB 50009和《有色金属工程结构荷载规范》GB 50959的规定进行计算。
5.4.5 地震组合应按现行国家标准《建筑抗震设计规范》GB 50011的有关规定进行计算。
6 结构计算分析
6.1 一般规定
6 结构计算分析
6.1 一般规定
6.1.1 厂房结构的荷载和地震作用应按本规范第5章的规定进行计算。
6.1.2 厂房结构应根据实际情况进行荷载、间接作用和地震作用效应分析计算。结构和构件在施工期和使用过程中有多种受力状况时,应分别进行结构计算,并应确定其最不利的作用效应组合。
6.1.3 结构分析模型应根据结构的实际情况确定,并应符合下列规定:
1 所采用的分析模型应能比较准确地反映结构整体和结构构件的实际工作状况。结构分析所采用的近似假定和简化处理应有可靠依据,计算结果的精度应符合工程设计的要求。
2 结构分析采用的参数、边界条件、结构材料性能指标应符合结构或构件的实际工作状况。
3 结构构件和连接节点的计算及构造,应与结构计算模型和结构整体分析相一致。
条文说明
6.1.3 结构计算分析应以结构的实际工作状况和受力条件为依据。结构分析的结果应有相应的构造措施加以保证。 结构计算模型的简化处理忽略了一些实际存在的影响因素,必然带来相应的误差。为了确定计算简图而提出的简化假定,实际对结构的实际工况作了改变,隐含了对结构和构件的破坏形式以及破坏顺序的改变,因此在作出简化处理时要清楚,所采用的简化假设可能造成计算结果与结构的实际工况之间的误差,对结构安全可能会有什么影响等,并对计算结果进行判断和进行必要的补充计算,并采取相应的可靠措施。 必须强调的是,所有假定都是通过相应的构造和使用条件来实现,如挡土墙的设计中,往往在设计中要求墙背填土采用粗颗粒土,且排水良好。如因条件限制难以做到,则必须考虑填料受水后内摩擦角的减小、墙体可能出现的冻胀力等问题。
6.1.4 体型复杂和结构布置复杂的多层厂房结构,应采用不少于两个力学模型的空间结构分析软件进行结构整体计算分析。
条文说明
6.1.4 体型复杂的厂房结构受力情况复杂,采用两个不同力学模型的结构分析软件进行整体计算分析,可以相互比较和分析,确保结构力学分析成果的可靠性。 对于体型复杂的厂房结构,当厂房的结构体型和抗侧力系统复杂时,将在结构的薄弱部位发生应力集中和弹塑性变形集中,严重时会导致重大的破坏,甚至有倒塌的危险。工程设计时,符合本规范第3.4.6条和第6.1.5条规定的厂房结构,尚应进行在罕遇地震作用下薄弱层(部位)的弹塑性变形验算和采用弹性时程分析法进行多遇地震作用下的补充计算。
6.1.5 抗震设计时,厂房结构的地震作用应根据不同情况,分别采用下列计算方法:
1 单层厂房以及高度不超过40m、以剪切变形为主,且质量和刚度沿高度分布比较均匀的多层厂房结构,可采用底部剪力法。
2 除本条第1款外的其他厂房结构,宜采用振型分解反应谱法。楼层布置有重型设备或贮仓、槽罐的多层厂房结构,应采用振型分解反应谱法。
3 符合下列情况的厂房结构,7度和8度时,宜采用弹性时程分析法进行多遇地震作用下的补充计算;9度时,应采用弹性时程分析法进行多遇地震作用下的补充计算:
1)楼层在高位设置有重型设备、贮仓和槽罐的多层厂房结构;
2)特别不规则,高度在现行国家标准《建筑抗震设计规范》GB 50011规定需要采用时程分析法进行多遇地震作用下补充计算的建筑高度范围的各类厂房。
4 计算罕遇地震作用下结构薄弱层(部位)弹塑性变形验算时,可采用简化的弹塑性分析法或弹塑性时程分析法。
6.1.6 当结构及构件在温度变化以及混凝土的收缩、徐变等间接作用下,在结构中产生的作用效应可能危及结构的安全或正常使用时,应进行间接作用效应的分析,并应采取相应的构造措施和施工措施。
6.1.7 结构中受力复杂的部位和结构构件,应根据其实际工作状况进行更详细的分析计算,并应采取相应的加强措施。
6.1.8 在腐蚀环境下,超静定结构构件的内力不应采用塑性内力重分布的分析方法。
6.1.9 利用计算机进行结构分析计算时,应符合下列规定:
1 所采用的计算软件应经考核和验证。需做特殊处理时,应说明特殊处理的内容和依据。
2 所有计算结果应进行校核和判断,确定其合理、有效后方可用于工程设计。
条文说明
6.1.9 本条强调所采用的计算软件应经考核和验证,其技术条件应符合本规范和国家现行相关标准的规定要求。除了要选择使用可靠的计算软件外,还应对计算成果从力学概念和工程经验等方面加以分析判断,确认其合理性和可靠性后方可在设计中应用。
6.2 单层厂房结构计算
6.2 单层厂房结构计算
6.2.1 单层厂房结构分析计算应符合本规范第6.1节和第7章的有关规定。
6.2.2 厂房结构的静力计算分析应根据结构体系和结构布置以及荷载和各种作用的实际情况,采用相应的空间结构模型或平面结构模型。
6.2.3 抗震设计时,抗震设防烈度为6度的厂房,除本规范有具体规定外,可不进行地震作用计算。
6.2.4 厂房结构按平面结构模型进行结构分析计算时,计算单元划分应符合下列规定:
1 各列柱距相等的厂房,应取一个柱距作为计算单元。
2 纵向柱列有抽柱的厂房,计算单元应按下列规定划分:
1)每列柱应至少有一根柱划入计算单元,宜以最大柱距划分计算单元。计算单元的划分应计入结构空间影响,计算单元的宽度不宜超过24m。
2)各计算单元的主排架(刚架)的各柱应与屋架(屋面梁)直接相连。
3)计算有抽柱的排架(刚架)时,计算单元内同列柱的剪力应按各柱刚度的大小分配。
6.2.5 当厂房刚性内隔墙与厂房柱连接时,抗震设计应计入刚性内隔墙的附加地震作用影响。
6.2.6 当厂房设有局部平台且平台梁与厂房柱相连接时,应采用与厂房实际受力相符合的计算简图,平台结构应作为厂房结构的组成部分进行结构整体内力计算。
条文说明
6.2.6 抗震设计时,当工作平台与厂房主体结构刚性相连时,改变了主体结构的工作状况,扭转效应增大,加大了地震反应,造成了应力和变形集中。其局部设置工作平台,使厂房整体刚度分布不均匀,以致加重了厂房的震害。当工作平台与厂房主体结构刚性相连时,震害的严重程度因具体条件而异,震害主要表现为平台梁和厂房柱开裂,连接节点损坏等。本规范第7.1.4条规定,抗震设计时,操作平台宜与厂房主体结构脱开。 对局部带平台的厂房结构,包括平台与厂房主体结构刚性相连和铰接连接,由于采用计算机按整体计算模型进行计算分析已很简单,因此一般应按整体计算。但是当平台刚度较小时,也不排除采用二者分开单独分析的简化方法。当采用简化方法时应当注意到,地震时虽然平台质量参与了厂房主结构惯性力计算,但其刚度对厂房排架的影响是没有考虑的。另外,分开计算忽略了对厂房柱计算长度取值的影响,使计算成果不完全与结构的实际工况相符,因此要求补充局部计算。
6.2.7 厂房单元内设置多道柱间支撑时,纵向水平荷载和作用应平均分配于各柱间支撑,且各道支撑宜采用相同形式和相同规格。
6.3 多层厂房结构计算
6.3 多层厂房结构计算
6.3.1 多层厂房结构分析计算应符合本规范第6.1节、第8章和第9章的规定。
6.3.2 多层厂房结构的作用效应计算时,可假定楼、屋面板为刚性横隔板,但在设计中应保证楼、屋面的整体刚度;当楼、屋面板整体性差,有大开洞或有较大凹凸时,应根据其平面内变形情况按分块刚性、半刚性、局部弹性或柔性的横隔板计算。
条文说明
6.3.2 刚性、半刚性、柔性横隔板分别指在平面内不考虑变形、考虑变形、不考虑刚度的楼、屋盖。结构计算时,应根据工程的具体情况确定。
6.3.3 结构计算分析时,梁与竖向构件的偏心以及上、下层竖向构件之间的偏心宜按实际情况计入结构整体计算。当结构整体计算未计入偏心影响时,应采用在柱(墙)端附加弯矩的方法计算。
6.3.4 在楼盖上设置有动力设备的厂房,在设备作用下的振动计算以及隔振设计应符合国家现行标准《多层厂房楼盖抗微振设计规范》GB 50190和《机器动荷载作用下建筑物承重结构的振动计算和隔振设计规程(试行)》YSJ 009的有关规定。
6.3.5 地震作用计算时,厂房结构自振周期的折减系数可按下列规定采用:
1 钢筋混凝土框架结构可取0.7~0.8。
2 钢筋混凝土框架-剪力墙结构可取0.8~0.9。
3 钢结构可取0.8~0.9。
4 采用柔性连接的填充墙或外挂墙板的厂房可取大值。
6.4 极限状态设计表达式
6.4 极限状态设计表达式
6.4.1 工程结构设计应区分下列设计状况,并应按不同设计状况进行相应的极限状态设计:
1 持久设计状况,适用于正常生产工况。应进行承载能力极限状态和正常使用极限状态设计。
2 短暂设计状况,适用于临时工况,应包括结构施工和维修时的状况等。应进行承载能力极限状态设计,并可根据需要进行正常使用极限状态设计。
3 偶然设计状况,适用于异常工况,结构承受偶然荷载作用。应进行承载能力极限状态设计。
4 地震设计状况,适用于地震作用工况,应进行承载能力极限状态设计,并可根据需要进行正常使用极限状态设计。
6.4.2 结构构件承载力极限状态计算,应按荷载效应的基本组合(持久设计状态或短暂设计状态)、偶然组合(偶然设计状态)、地震组合(地震设计状态),采用下列极限状态设计表达式:持久设计状态、短暂设计状态、偶然设计状态:

式中:γ 0 ——结构重要性系数,对安全等级一级或设计使用年限100年的结构构件,不应小于1.1;对结构安全等级二级或设计使用年限50年的结构构件,不应小于1.0;对结构安全等级三级的结构构件不应小于0.9;
S d ——作用组合效应设计值;
R d ——结构构件的抗力设计值;
γ RE ——结构构件承载力抗震调整系数,应按本规范第6.4.3条的规定采用。
条文说明
6.4.2 对于承载能力极限状态的荷载效应组合,按现行国家标准《工程结构可靠性设计统一标准》GB?50153的规定,根据所考虑的设计状况,选用不同的组合;对持久和短暂设计状况,应采用基组合;对偶然设计状况,应采用偶然组合。地震设计状态应采用地震组合。
6.4.3 各类结构构件截面抗震验算时,承载力抗震调整系数应按表6.4.3采用。当仅计算竖向地震作用时,各类结构构件承载力抗震调整系数均应采用1.0。
表6.4.3 承载力抗震调整系数

6.4.4 结构构件正常使用极限状态验算,应根据不同的设计要求,采用下列极限状态设计表达式:

式中:S d ——正常使用极限状态的荷载效应组合设计值,应按现行国家标准《建筑结构荷载规范》GB 50009和《有色金属工程结构荷载规范》GB 50959的有关规定计算;
C——结构构件达到正常使用要求的规定限值。
7 单层厂房
7.1 一般规定
7 单层厂房
7.1 一般规定
7.1.1 本章适用于单层钢筋混凝土柱厂房和钢结构厂房的设计。单层厂房的结构体系和布置以及结构分析计算除应符合本章的规定外,尚应分别符合本规范第3章和第6章的有关规定。
条文说明
7.1.1 本章单层厂房,包括厂房内设置局部平台的单层厂房。 本规范未包括单层砌体结构厂房,主要考虑厂房采用砖柱结构时,其承受水平荷载的能力和抗震性能差,其使用范围有更多的限制,一般在小型且不设置桥式吊车的厂房采用。当实际工程需要采用单层砌体结构厂房时,可按现行国家标准《砌体结构设计规范》GB 50003的规定进行设计,抗震设计时尚应符合现行国家标准《建筑抗震设计规范》G 50011的规定。
7.1.2 单层厂房的结构布置应着重结构的空间整体性及各种水平作用传递路线的连续性,应合理设置屋盖支撑、柱间支撑和围护结构,应确保厂房结构纵向和横向的刚度和稳定性。各受力构件之间的连接应能满足承载力和变形的要求。
7.1.3 单层厂房的平面布置宜简单、整齐。厂房的布置除应满足工艺和设备布置的要求外,厂房的跨度、高度、柱距和定位轴线等尚应符合现行国家标准《厂房建筑模数协调标准》GB/T 50006的有关规定,并应符合下列规定:
1 厂房纵、横定位轴线宜采用单轴线,当需要设置插入距或联系尺寸时,可采用双轴线;
2 多跨厂房,当各跨高度根据工艺要求相差不大时,宜按等高设计;
3 同一结构单元内,不应采用不同的结构形式,不应采用横墙、山墙和排架(刚架)混合承重结构体系;
4 每个厂房单元或分期建设的各个区段,应分别设置能构成空间稳定结构的完整支撑体系。
条文说明
7.1.3 单层厂房结构宜采用规则的结构体系,在满足工艺和设备布置要求的情况下,厂房高度、跨度、柱距和定位轴线等宜符合建筑模数的规定,以便于尽可能采用标准构件,减少结构构件的类型,做到经济合理和便于施工。 对于连续多跨厂房,如果相邻各跨厂房高度不一时,构造复杂,构件规格类型增加,不利于工业化施工。等高厂房整体刚度较好,构造处理简单。因此本条规定,多跨厂房当各跨高度根据工艺要求相差不大时,宜按等高设计。
7.1.4 抗震设计时,单层厂房的结构布置尚应符合下列规定:
1 结构单元内,多跨厂房宜等高和等长,厂房不宜采用一端开口的结构布置。
2 厂房柱距宜相等,各柱列的侧移刚度宜均匀,当有抽柱时,应采取抗震加强措施。
3 体型复杂的厂房,宜设防震缝将其划分为平面比较规则且刚度分布比较均匀的结构单元。在与贴建房屋和构筑物处宜设防震缝。
4 厂房纵、横跨交接处宜设防震缝;两个主厂房之间的过渡跨,应至少在一侧设置防震缝与主厂房结构脱开。
5 操作平台、刚性工作间宜与厂房主体结构脱开。
6 有吊车的厂房,上吊车的钢梯不应靠近防震缝设置;多跨厂房各跨上吊车的钢梯不宜设置在同一横向轴线附近。
条文说明
7.1.4 本条与国家现行标准《建筑抗震设计规范》GB 50011和《冶金建筑抗震设计规范》YB?9081的规定相统一,系根据震害调查和震害分析总结得出的。 震害显示,不等高和不等长的多跨厂房,高振型反应和扭转效应均对抗震不利,历次地震的震害严重,故要求多跨厂房宜采用等高和等长。当根据工艺要求高跨和低跨的高差不大时,宜将低跨抬高而做成等高厂房;当工艺或功能要求必须采用不等高厂房,可采用防震缝将高、低跨分成各自独立的单元,或考虑由于不等高产生的高振型影响,加强高低跨处中柱的抗震能力。 采用一端有山墙、另一端开口的结构方案的厂房,两端的刚度截然不同,质量中心与刚度中心不重合,导致开口一端排架柱变位加大,扭转效应明显,震害较大。 纵、横跨相交的厂房的角部,是两个主轴方向地震作用的交汇处,受力和变形比较复杂。当贴建房屋位于厂房角部时,会使厂房的山墙和纵墙交接处均为开口,这严重削弱了结构的空间整体性,形成了质量和刚度的双向偏心,地震时扭转效应加大,造成结构受力和变形的不协调。同时贴建房屋与厂房的刚度相差较大,地震反应显著不同,地震时变形不协调,对二者均产生不利影响。 同一结构单元采用不同形式的结构,振动特性不同,不同材料,侧移刚度不同,在地震作用下,往往造成结构的破坏。因此,厂房的同一结构单元内不宜采用不同的结构形式。 吊车停放的位置与上吊车梯位置有关,吊车停放处排架的侧移刚度增大,加大了局部地震反应,特别是多跨厂房各跨吊车集中在同一轴线附近时,其震害更为严重。
7.1.5 有吊车的厂房,吊车桥架与厂房上柱内边缘和屋架下弦(屋面梁)底面之间的净空(净距)尺寸应符合下列规定:
1 吊车桥架外边缘与厂房上柱内边缘的净距不应小于100mm;当设置有安全通道时,不应小于550mm。
2 吊车桥架(包括活动部分)顶面与屋架下弦(屋面梁)底面之间的净空尺寸不应小于400mm,跨度小于15m时,可减少,但不应小于300mm,并应保证任何情况下均满足吊车检修和屋架下弦设置灯具和管道的空间要求。
3 当符合下列情况之一时,净距和净空尺寸宜加大,并应按吊车轨道可能移动的幅度,加宽钢筋混凝土吊车梁腹部及配置抗扭钢筋:
1)厂房基础底面持力层为软弱土、湿陷性黄上、膨胀土地基和填土地基;
2)厂房柱间地面有大面积荷载;
3)相邻柱基础可能出现较大沉降差;
4)当软弱地基平均压缩模量E s 为3MPa,地面平均荷载大于25kPa时,吊车桥架外边缘与厂房上柱内边缘的净距宜大于200mm;净空应根据柱基础沉降情况增加。
条文说明
7.1.5 本条依据现行国家标准《建筑地基基础设计规范》GB 50007和《冶金企业安全卫生设计规定》(1996年)第二十条第19款的规定。 对于在软弱土地基上的厂房,当使用过程中基础有较大沉降和不均匀沉降,按考虑调整吊车轨道标高以确保吊车正常运行要求进行设计时,吊车顶面与屋架下弦(屋面梁)底面之间的净空应考虑最不利情况吊车轨道标高可能调整的高度,确保调整后的净空满足正常使用要求
7.1.6 钢筋混凝土柱和钢柱厂房的柱间支撑的设置应分别符合本规范第7.2节和第7.3节的有关规定,并应符合下列规定:
1 柱间支撑应能承受纵向风荷载、吊车纵向水平荷载、温度应力以及纵向水平地震作用,并应将荷载和作用传至基础。
2 下柱柱间支撑的下节点位置和构造应保证将水平作用传给基础。支撑下节点位置和构造应符合下列规定:
1)非抗震设计和抗震设计6度、7度(0.10g),当不能直接传给基础时,支撑下节点可设在紧靠厂房室内地坪标高处的柱子上,但此时应计入支撑对柱和基础的不利影响采取加强措施;
2)抗震设计7度(0.15g)、8度和9度时,支撑下节点应设置在基础上或在连接两个基础的基础梁上。
3 不等高厂房的高低跨所在柱列的柱间支撑,应能保证屋盖和山墙的纵向风荷载和纵向水平地震作用、吊车纵向水平荷载和纵向水平地震作用直接传给柱间支撑。
条文说明
7.1.6 柱间支撑与厂房柱、连系梁、吊车梁及交叉的支撑斜杆组成的平面桁架,传递纵向水平荷载和地震作用。柱间支撑是厂房的纵向抗侧力构件,柱间支撑布置应与屋盖体系和柱网布置协调,结构连接构造应合理,力的传递路线应明确,保证厂房的整体纵向刚度,以确保结构安全和正常使用。
7.1.7 纵向柱列的柱顶以及高低跨厂房柱列的低跨屋盖的屋架(屋面梁)支座处,应设置通长水平刚性系杆,水平刚性系杆与柱的连接应满足传递纵向水平力的要求。在柱顶标高附近和低跨屋盖的屋架(屋面梁)支座附近有通长墙梁或圈梁,以及在屋架(屋面梁)支座处有通长水平系杆时,杆件与柱顶纵向连系杆可合并设置,并可按压杆或压弯构件设计。但在设有柱间支撑的节间,应按柱间支撑要求设置水平压杆。
7.1.8 有檩屋盖和无檩屋盖(大型屋面板)应按本规范第7.2节和第7.3节的规定设置屋盖支撑系统,并应符合下列规定:
1 屋盖支撑应与屋架(屋面梁)、托架、天窗架以及檩条组成完整的桁架体系。
2 设置有屋架下弦纵向支撑的屋盖,应同时设置下弦横向支撑。
3 屋架上、下弦通长水平系杆与竖向支撑应协调配套设置。
7.1.9 吊车梁应根据吊车的起重量、工作级别、柱距以及厂房结构类型等选用,并应符合下列规定:
1 钢筋混凝土柱厂房,可采用钢筋混凝土吊车梁、预应力混凝土吊车梁和钢吊车梁。当吊车起重量大于50t时,宜采用钢吊车梁或预应力混凝土吊车梁。下列情况下应采用钢吊车梁:
1)吊车工作级别A1~A5时,柱距小于7.5m,起重量大于或等于150t;柱距为7.5m~12m,起重量大于或等于125t。
2)吊车工作级别A6~A8时,柱距小于7.5m,起重量大于或等于125t;柱距为7.5m~12m,起重量大于或等于75t。
3)柱距不小于12m。
4)设有硬钩吊车、壁行吊车的厂房。
2 钢结构厂房应采用钢吊车梁。
7.1.10 钢吊车梁应设置制动结构,并应符合下列规定:
1 下列情况宜设置制动结构:
1)吊车工作级别为A6~A8时;
2)柱距等于或大于12m时;
3)采用吊车桁架时。
2 吊车工作级别为A8的吊车梁,制动结构应采用梁式;起重量大于或等于150t、吊车工作级别为A6、A7的吊车梁,当跨度大于或等于12m或制动结构的宽度小于1.2m需设置人行走道时,宜采用梁式;其他情况下,宜采用桁架式。
7.2 钢筋混凝土柱厂房
7.2 钢筋混凝土柱厂房
Ⅰ 一般规定
7.2.1 单层厂房钢筋混凝土柱可采用矩形柱、工字形柱和双肢柱。抗震设计时,宜采用矩形柱、工字形柱和斜腹杆双肢柱,不宜采用薄壁工字形柱、腹板开孔工字形柱、预制腹板的工字形柱和管柱。
7.2.2 排架厂房预制柱截面形式的确定应符合下列规定:
1 柱截面高度小于800mm时,宜采用矩形截面。
2 截面高度为800mm~1400mm时,宜采用工字形截面。
3 截面高度大于1400mm时宜采用双肢柱。抗震设计8度和9度时宜采用斜腹杆双肢柱。
4 抗震设计8度和9度时,不宜采用薄壁工字形柱、腹板开孔工字形柱、预制腹板工字形柱和管柱。
5 工字形截面柱的柱底至室内地坪以上500mm范围内以及阶形柱的上柱柱段,宜采用矩形截面。
6 设置壁行吊车时,安装壁行吊车的柱段应采用矩形截面柱。
7 腐蚀性等级为强、中环境的厂房柱宜采用实腹式,不应采用腹板开孔的工字形柱。
条文说明
7.2.2 矩形截面柱构造简单、施工方便,但在偏心受压的受力状态下,不能充分发挥其材料的承载作用,费材料、自重也大,因此其截面尺寸不宜过大。工字形柱截面形状合理,能比较充分地发挥混凝土的承载作用,整体性能好,但施工比矩形截面柱复杂,且当截面较大时,吊装比较困难。双肢柱制作较复杂,其中平腹杆双肢柱构造比斜腹杆双肢柱简单,应用较广;斜腹杆双肢柱具有桁架受力特点,但制作较复杂,宜在柱承受较大水平荷载时采用。
7.2.3 厂房山墙柱可采用钢筋混凝土柱,高大厂房宜采用钢柱。钢筋混凝土山墙柱的设计应符合本规范附录B的规定,并应符合下列规定:
1 山墙柱应与屋架上弦(屋面梁顶面)铰接连接;当采用屋架且山墙柱高度较大时,山墙柱宜与屋架上弦和屋架下弦同时铰接连接。山墙柱与屋架下弦连接时,应同时设置屋架下弦横向水平支撑。
2 山墙柱与屋架(屋面梁)连接点的位置应设在屋架的上、下弦横向支撑或屋面梁顶面横向支撑的节点处。采用屋架的屋盖结构,当山墙柱与屋架下弦的连接点不在屋盖下弦横向支撑节点处时,应在支撑中设置附加撑杆或平行于屋架下弦设置水平的钢横梁,附加撑杆或钢横梁应与山墙柱和屋盖下弦横向支撑节点相连接。
3 山墙柱高度较大时,可根据工程的具体情况在山墙柱高的中部设置抗风桁架或抗风梁。
4 山墙柱与屋架(屋面梁)的连接和连接件应满足计算和构造要求。连接件宜采用弯折钢板。
条文说明
7.2.3 山墙柱在水平方向应该与屋架(屋面梁)连接,并通过屋盖将承受的风荷载传给纵向柱列;在竖向应该允许屋架(屋面梁)与山墙柱间有一定的相对位移,因此采用弯折钢板连接,连接节点中由风荷载产生的剪力由锚筋、弯折钢板和安装螺栓承受。本条要求钢筋混凝土山墙柱的设计应符合本规范附录B的规定,其中第B.2.2条中的单柱是指下端固定而上端自由悬臂的柱。
7.2.4 抗震设计时,单层厂房结构应根据设防类别、烈度、结构类型采用不同的抗震等级,并应符合相应的计算和构造措施要求。丙类厂房横向排架柱的抗震等级应按表7.2.4的规定确定。横向为铰接排架,纵向为刚接框架的厂房,柱的抗震等级尚应符合本规范表8.1.7中框架结构的框架的规定。
表7.2.4 单层厂房排架柱抗震等级

注:建筑场地为Ⅰ类时,除6度外,应允许按表内降低一度所对应的抗震等级采取抗震构造措施,但相应的计算要求不应降低。
条文说明
7.2.4 国家现行标准《建筑抗震设计规范》GB 50011和《冶金建筑抗震设计规范》YB 9081对单层钢筋混凝土厂房排架柱的抗震设计没有划分抗震等级。本规范经过编制组研究,排架柱按现行国家标准《混凝土结构设计规范》GB 50010-2010第11.1节的规定,按铰接排架柱的抗震等级采用,对于纵向柱列采用刚接框架的厂房,尚应符合多层钢筋混凝土框架结构中的框架的规定。
Ⅱ 结构体系和结构布置
7.2.5 钢筋混凝土柱单层厂房结构体系应符合本规范第7.1节的规定,并应符合下列规定:
1 厂房横向抗侧力体系可采用排架或刚架。
2 厂房纵向抗侧力体系应符合下列规定:
1)设置桥式吊车的厂房,应采用纵向铰接框架并设置柱间支撑;
2)无桥式吊车的厂房,宜采用纵向铰接框架并设置柱间支撑;当采用纵向刚接框架时,可不设置柱间支撑。
7.2.6 柱间支撑的布置应符合下列规定:
1 应在厂房结构单元的中部设置上、下柱间支撑;
2 厂房结构纵向单元较长或抗震设计8度Ⅲ、Ⅳ类场地和9度时,宜在厂房结构纵向单元长度的三分点附近柱间各设置一道上、下柱间支撑;
3 有桥式吊车或抗震设计8度和9度时,应在厂房单元两端开间各增设一道上柱支撑。
条文说明
7.2.6 上、下柱柱间支撑设置在厂房结构单元的中部时,在纵向水平力作用下,传力路线较短,尤其是当温度变化时,厂房向两端的伸缩变形较小。
7.2.7 柱间支撑可根据具体情况采用单片和双片形式,并应符合下列规定:
1 等截面柱,截面高度不小于700mm时,其柱间支撑宜采用双片。
2 有吊车厂房柱,吊车梁以上部分的柱,其柱间支撑可采用单片;当上段柱有人孔时,应采用双片。吊车梁以下部分的柱,其柱间支撑应采用双片。
3 单片柱间支撑宜设置在柱截面中心线平面。
4 矩形和工字形柱的双片柱间支撑,其宽度可按柱的截面高度减200mm~300mm确定。
5 双肢柱的双片柱间支撑,宜设置在柱肢的中心线平面。
6 双片柱间支撑间应采用缀杆连接,两片支撑间的中心距不大于600mm时,可采用横缀杆连接;中心距大于600mm时,宜采用斜缀杆连接。
7.2.8 屋架(屋面梁)选型应符合下列规定:
1 非抗震设计跨度不大于18m时,可采用钢筋混凝土屋面梁或预应力混凝土屋面梁;抗震设计跨度不大于15m时,可采用钢筋混凝土屋面梁。
2 符合下列情况的厂房宜采用钢屋架:
1)跨度大于24m的厂房;
2)抗震设计8度Ⅲ类、Ⅳ类场地和9度跨度大于18m的厂房;
3)设置有大、中型挤压机和5t以上锻锤以及其他较大振动设备的厂房。
3 烧结、焙烧、熔炉、熔铸和铸锭加热跨(车间)等,当屋架(屋面梁)直接承受间歇性辐射热影响,屋架(屋面梁)表面温度经常大于150℃时,应采用钢屋架,且应有隔热防护措施。
4 抗震设计时,宜采用重心较低的钢筋混凝土屋架或预应力混凝土屋架。
5 抗震设计时,有突出屋面天窗架的屋盖,不宜采用钢筋混凝土或预应力混凝土空腹屋架。
条文说明
7.2.8 屋面梁高度小、重心低、施工方便、侧向刚度好,适用于有较大振动和腐蚀介质的厂房,但其自重大,材料利用不充分,造价高。当钢筋混凝土屋盖结构跨度大于18m时,一般采用预应力混凝土屋架。 预应力混凝土构件采用了高强度钢材和高强度混凝土,具有抗裂能力强、抗渗性能好、强度高、抗剪能力和抗疲劳性能好的特点。混凝土在应力条件下的腐蚀性,根据有色金属行业厂房经验,受拉部分要比受压部分严重,因此从耐久性角度来讲,预应力混凝土构件要比钢筋混凝土构件优越。
7.2.9 屋盖结构托架(梁)的选型应符合下列规定:
1 采用钢屋架的厂房,应采用钢托架(梁)。
2 柱距不大于12m时,可采用预应力混凝土托架(梁);柱距等于或大于12m时,可采用预应力混凝土托架(梁)或钢托架(梁);抗震设计时,柱距等于或大于18m的厂房,应采用钢托架。
7.2.10 有侵蚀性环境的厂房,屋架(屋面梁)和托架(梁)的选用尚应符合下列规定:
1 不宜选用钢筋混凝土屋架(屋面梁)和钢筋混凝土托架(梁);
2 屋架(屋面梁)和托架(梁)的设计应符合现行国家标准《工业建筑防腐蚀设计规范》GB 50046的有关规定。
7.2.11 大柱网厂房在满足建筑功能和工艺要求的条件下,可采用网架屋盖结构。网架结构的选型应结合厂房的平面、跨度、支承情况、荷载大小、屋面构造等要求综合分析确定。网架结构的设计应符合现行行业标准《空间网格结构技术规程》JGJ 7的规定,并应符合下列规定:
1 网架支座条件应与厂房整体结构的计算简图相符合;
2 直接承受悬挂吊车荷载并需进行疲劳验算的网架结构,其疲劳强度和构造应经过专门的试验确定。
条文说明
7.2.11 根据现行行业标准《空间网格结构技术规程》JGJ 7-2010第1.0.4条规定,单层网壳结构不应设置悬挂吊车。网架和双层网壳结构直接承受工作级别为A3及以上的悬挂吊车荷载,当应力变化的循环次数大于或等于5×104时,应进行疲劳验算,其容许应力幅及构造应经过专门的试验确定。
7.2.12 屋盖结构的屋面板类型选用应符合下列规定:
1 应采用钢筋混凝土大型屋面板、预应力钢筋混凝土大型屋面板和压型钢板等轻型板材。采用钢屋架(梁)的屋盖以及大跨度网架屋盖,应采用轻型板材的屋面板。
2 抗震设计8度(0.30g)和9度时,跨度大于24m的厂房不宜采用大型屋面板。
7.2.13 厂房天窗的布置和选型应符合下列规定:
1 天窗不宜从厂房结构单元端部第一开间开始设置;抗震设计8度和9度时,天窗宜从厂房结构单元端部第三开间开始设置。
2 宜采用突出屋面高度较小的避风型天窗。抗震设计时,有条件或9度时,宜采用下沉式天窗。
3 突出屋面的天窗可采用钢筋混凝土天窗架或钢天窗架,采用钢屋架时应采用钢天窗架。抗震设计时,宜采用钢天窗架;6度~8度时,可采用矩形截面杆件的钢筋混凝土天窗架;8度Ⅲ类、Ⅳ类场地和9度时,应采用钢天窗架。
4 不应采用端壁板代替端部天窗架。
5 天窗的屋盖,端壁板和侧板可采用钢筋混凝土板、预应力混凝土板和轻型板材;抗震设计时,宜采用轻型板材。
条文说明
7.2.13 本条关于抗震设计的规定,与国家现行标准《建筑抗震设计规范》GB 50011和《冶金建筑抗震设计规范》YB 9081相统一,根据震害调查和抗震设计经验,天窗架的设置应注意下列问题:
1 第二开间起开设天窗,将使端开间每块屋面板与屋架无法焊接或焊连的可靠性大大降低而导致地震时掉落,同时也大大降低了屋面纵向水平刚度。因此规定,抗震设计时天窗宜从第三开间起设置。
2 突出屋面的天窗架对厂房的抗震会带来不利影响。下沉式天窗的屋盖有良好的抗震性能。
3 历次地震经验表明,不仅是天窗屋盖和端壁板,就是天窗侧板也宜采用轻型板材。
7.2.14 有檩屋盖构件的支撑布置以及屋盖构件的连接应符合下列规定:
1 有檩屋盖的支撑布置宜符合表7.2.14的要求;
2 檩条应与屋架焊牢,并应有足够的支承长度;
3 双脊檩应在跨度1/3处相互拉结;
4 屋面压型钢板应与檩条可靠连接。
表7.2.14 有檩屋盖的支撑布置


注:1 表中厂房单元指厂房独立结构单元。
2 天窗跨度等于或大于12m时,尚应在天窗单元端开间的天窗架中央增设竖向支撑。
7.2.15 无檩(大型屋面板)屋盖支撑的布置以及构件的连接应符合下列规定:
1 无檩屋盖的支撑布置宜符合表7.2.15-1的规定,有中间井式天窗时宜符合表7.2.15-2的规定。屋盖采用屋面梁时,支撑的设置应符合本规范第7.2.21条的规定。
2 跨度为6m的屋面板,其支承长度不应小于60mm;跨度大于6m的屋面板,其支承长度不应小于80mm。
3 每块屋面板与屋架(屋面梁)应至少有3个焊接点。在伸缩缝和端墙处不能进行3个焊接点时,可沿纵肋焊两点。焊缝高度不应小于6mm。屋面板跨度6m时,焊缝长度不应小于50mm;屋面板跨度大于6m时,焊缝长度不应小于80mm。
4 抗震设计时,靠柱列的屋面板与屋架(屋面梁)的连接焊缝长度不宜小于80mm;8度和9度时,大型屋面板端头底面的预埋件宜采用角钢并与主筋焊牢。
5 屋面板之间的空隙应用C20细石混凝土灌实。
6 采用非标准屋面板时,宜采用装配整体式接头,也可将板角切掉后与屋架(屋面梁)焊牢。
7 有天窗厂房结构单元的端开间,以及抗震设计8度和9度时,各开间宜将垂直屋架方向两侧相邻大型屋面板的顶面焊牢。
8 屋架(屋面梁)端部顶面预埋件的锚筋,抗震设计8度时不宜小于4 
10;9度时不宜小于4 
12。
表7.2.15-1 无檩屋盖的支撑布置


注:1 表中厂房单元指厂房独立结构单元。
2 天窗跨度不小于12m时,对于应设置两侧竖向支撑的天窗,尚应在天窗架中央增设竖向支撑。
表7.2.15-2 中间井式天窗无檩屋盖支撑布置

注:1 表中厂房单元指厂房独立结构单元。
2 跨中竖向支撑的布置除应符合本表的规定外,尚应符合本规范第7.2.18条第3款和第4款的规定。
7.2.16 有檩屋盖和无檩屋盖符合下列条件之一时,应设置屋架下弦横向水平支撑:
1 山墙柱与屋架下弦连接时,应在厂房结构单元的两端开间各设置一道。
2 屋架下弦设置有沿厂房纵向行驶的悬挂吊车时,应在悬挂吊车轨道梁两个端开间各设置一道;当悬挂吊车通过温度伸缩缝时,应在通过的温度伸缩缝两边第一开间各增设一道。
3 屋架下弦设置有沿厂房横向行驶的悬挂吊车时,应在其两侧相邻的柱间各设置一道,并宜在悬挂吊车轨道梁两端设置下弦水平支撑。
4 屋盖系统设置下弦纵向水平支撑时,应同时在下弦纵向水平支撑两端部开间各设置一道下弦横向水平支撑。
5 抗震设计9度时,除应符合本条第1款~第4款的规定外,尚应符合下列规定:
1)有檩屋盖,厂房单元端开间及单元长度大于42m的柱间支撑开间应各设一道下弦横向水平支撑;
2)无檩屋盖,厂房单元端开间及柱间支撑开间应各设一道下弦横向水平支撑。
条文说明
7.2.16 在下弦设有悬挂或其他设备产生纵向水平荷载时,或山墙抗风柱风荷载传至屋架下弦时,设置下弦横向水平支撑能保证纵向水平荷载或风荷载传至柱顶。
7.2.17 有檩屋盖和无檩屋盖,屋架下弦纵向水平支撑的设置应符合下列规定:
1 符合下列情况之一的厂房应设置屋架下弦纵向水平支撑:
1)采用托架(梁)支承屋架(屋面梁)的厂房;
2)柱顶高度大于24m且设有桥式吊车的厂房;
3)设有工作级别A8桥式吊车以及设有硬钩、磁力、抓斗、夹钳和刚性料耙等桥式吊车、壁行吊车或双层桥式吊车的厂房;
4)屋架下弦设置有起重量不小于5t悬挂吊车的厂房;
5)厂房内设置有较大振动设备;
6)厂房排架柱之间设有墙架柱,且以屋架下弦纵向水平支撑为支承点的厂房。
2 有檩屋盖厂房除符合本条第1款规定的条件之一时应设置屋架下弦纵向水平支撑外,设有工作级别A4、A5和A6、A7桥式吊车,且符合表7.2.17情况的厂房,应设置屋架下弦纵向水平支撑。
表7.2.17 设置屋架下弦纵向水平支撑的条件

注:1 表中Q为吊车的起重量。
2 当厂房有高低跨时,可根据相邻等高度厂房的跨度数按表中数据选用。
3 屋架下弦纵向水平支撑应沿各柱列在屋架端部节间设置,屋架下弦纵向水平支撑应与下弦横向水平支撑组成封闭的支撑系统。有高低跨的多跨厂房,高跨和低跨应按各自的标高组成相对独立的封闭支撑系统,并应符合下列规定:
1)单跨厂房,应沿两侧柱列设置。
2)多跨厂房,边柱列应沿柱列内侧设置;相邻跨等高的中间柱列,可根据工程的具体情况,沿柱列一侧或两侧设置;相邻跨不等高的中间柱列,应沿柱列两侧设置。
3)对于根据本条第1款第1项的规定设置下弦纵向水平支撑的厂房,当只在部分柱间设置托架(梁)时,下弦纵向水平支撑可在设置托架(梁)的柱间及其两端相邻的一个柱间设置;当厂房结构单元内沿同一柱列间断设置托架(梁)时,宜沿厂房全长设置。
4)对于相邻两跨长度不等的厂房,宜在平面阴角处相邻两个柱间设置纵向水平支撑。
条文说明
7.2.17 屋盖纵向水平支撑把吊车荷载产生的柱顶横向荷载分布到邻近的排架柱;若厂房设有托架时,还能保证托架的侧向稳定,并承受横向排架中由中间屋架传来的横向水平荷载。 纵向水平支撑一般设置在屋架下弦。布置时,应根据具体情况,沿着所有纵向柱列或沿部分纵向柱列设在屋架端部节间内。若厂房设有下弦横向水平支撑时,纵向水平支撑应当尽可能与横向水平支撑形成封闭的支撑系统,以增强整个厂房的整体刚度。
7.2.18 有檩屋盖和无檩屋盖的跨中竖向支撑的设置应符合下列规定:
1 跨度大于18m的厂房,非抗震设计和抗震设计6度~8度时,应在厂房单元端开间设置跨中竖向支撑。抗震设计8度时,尚应在厂房单元长度大于66m的柱间支撑开间设置跨中竖向支撑。
2 抗震设计9度时,各种跨度的厂房应在厂房单元端开间以及厂房单元长度大于42m的柱间支撑开间设置跨中竖向支撑。
3 设置有不小于5t锻锤的厂房,应在锻锤所在开间设置跨中竖向支撑,并应在以锻锤为中心30m的范围内,每隔一个开间设置跨中竖向支撑。
4 跨中竖向支撑在屋架跨度方向的间距,非抗震设计和抗震设计6度~8度时不应大于15m;抗震设计9度时不应大于12m。当仅在跨中设置一道时,应设置在屋架跨度的中点位置;当在跨中设置两道时,应在跨度的1/3附近设置。
条文说明
7.2.18 屋盖竖向支撑的主要作用是保证屋架或屋面梁在安装阶段和使用阶段的侧向稳定,并提高厂房的整体刚度。
7.2.19 有檩屋盖和无檩屋盖,纵向通长水平系杆的设置应符合下列规定:
1 下列位置应设置纵向通长水平系杆:
1)设置跨中竖向支撑和屋架端部竖向支撑的厂房,在对应竖向支撑位置设置上弦和下弦纵向通长水平系杆;
2)设有天窗的厂房,在天窗开洞范围内的屋架脊点处,以及天窗架与屋架(梁)连接处;
3)抗震设计8度Ⅲ、Ⅳ类场地和9度时,梯形屋架端部上节点处;
4)当不设置端部竖向支撑时,在柱顶支座处;
5)采用钢屋架时,结合屋架弦杆平面外长细比或计算长度要求,需要设置水平系杆的部位。
2 通长水平系杆的布置除应符合本条第1款的规定外,在屋架跨度方向的间距,抗震设计8度时不应大于15m,9度时不应大于12m。
3 纵向通长水平系杆应按压杆设计。对于有檩屋盖,当上弦水平系杆位置有檩条时,可用檩条替代上弦水平系杆,但该檩条应按压弯构件设计,并应满足水平系杆的相关构造要求。
7.2.20 无檩屋盖结构的上弦横向水平支撑的设置应符合下列规定:
1 抗震设计8度、9度时,应按本规范表7.2.14的规定设置;
2 非抗震设计和抗震设计6度、7度时,应在厂房单元端开间各设一道。跨度小于18m的厂房,当符合下列条件之一时,可不设置上弦横向水平支撑:
1)无天窗;
2)无较大振动设备;
3)吊车工作级别A1~A5且起重量不大于30t。
7.2.21 采用钢筋混凝土屋面梁的屋盖,屋盖支撑布置和构件连接应符合下列规定:
1 有檩屋盖支撑布置应符合下列规定:
1)应在厂房单元端开间设置屋面横向水平支撑和端部竖向支撑。设有天窗的厂房,应在天窗范围两端设置局部屋面横向水平支撑,并应在屋面梁上翼缘脊点设置通长水平系杆,天窗支撑的设置应符合本规范表7.2.14的规定;
2)屋面梁端部高度大于900mm时,应在单元端开间及柱间支撑开间各设一道端部竖向支撑。
2 无檩屋盖的屋盖支撑布置应符合下列规定:
1)跨度大于15m时,应在厂房单元端开间设置屋面横向水平支撑和端部竖向支撑;抗震设计8度、9度时,应在厂房柱间支撑开间增设一道上翼缘横向支撑及两端竖向支撑。
2)抗震设计8度、9度时,跨度等于或小于15m的屋面梁,应在厂房单元两端设置端部竖向支撑;单坡屋面梁的屋盖支撑布置,宜按屋架端部高度大于900mm的屋盖支撑的规定执行。
3)设有天窗的厂房除应符合本款第1项、第2项的规定外,尚应在天窗单元开洞范围的两端设置局部屋面梁上横向水平支撑,并应在屋面梁上翼缘脊点设置通长水平系杆。天窗支撑的设置应符合本规范表7.2.15的规定。
3 在屋面梁垂直方向设置悬挂吊车时,尚应在吊车轨道两端的第2个节点处各设置竖向斜撑一道;当吊车轨道跨越伸缩缝时,应在伸缩缝相邻的节点处各设置一道竖向斜撑。
4 屋盖构件的连接应分别符合本规范第7.2.14条、第7.2.15条的有关规定。
条文说明
7.2.21 采用屋面梁的屋盖上弦横向水平支撑可加强屋盖结构在纵向水平面内的刚性,同时将山墙柱所承受的纵向水平力传递至两侧柱列。 在悬挂吊车的轨道与屋面梁左、右上翼缘间设置斜撑,可将悬挂吊车的纵向水平制动力传至屋而梁的上翼缘平面。
Ⅲ 计算要点
7.2.22 钢筋混凝土柱厂房的结构分析应符合本规范第6章的规定,并应符合本节的规定。
7.2.23 厂房结构的静力计算分析应根据结构体系和结构布置以及荷载和各种作用的实际情况,采用相应的空间结构模型或平面结构模型。
条文说明
7.2.23 排架结构应进行横向排架分析计算,对于设置柱间支撑的厂房,可假定纵向水平荷载全部由柱间支撑承担,不进行纵向排架分析计算;对于纵向采用刚接框架的厂房,应进行纵向框架分析计算。 横向采用排架或刚架,纵向采用刚接框架的厂房,宜采用空间结构模型进行结构分析;大柱网结构厂房应采用空间结构模型进行结构分析。 采用平面结构模型进行结构分析时,对于钢筋混凝土屋盖结构厂房,当桥式吊车起重量较大时,可考虑厂房结构的空间作用,对按平面结构模型进行结构计算的排架柱剪力和弯矩进行调整。
7.2.24 抗震设计时,厂房结构纵向和横向地震作用计算应符合下列规定:
1 混凝土无檩和有檩屋盖厂房,宜计及屋盖纵向和横向弹性变形,按多质点空间结构分析方法计算。
2 厂房纵向地震作用计算尚应符合下列规定:
1)宜计及围护墙和隔墙的有效刚度,当质量和侧向刚度分布不对称时,尚宜计及扭转的影响;
2)柱顶高度不大于15m且跨度不大于30m的单跨厂房或平均跨度不大于30m的等高多跨厂房,宜按现行国家标准《建筑抗震设计规范》GB 50011的规定执行,应采用修正刚度法进行结构计算;
3)纵墙对称布置的单跨厂房和轻型屋盖的多跨厂房,可按柱列分片采用平面排架计算模型进行计算。
3 厂房各横向排架刚度较均匀以及轻型屋盖厂房,当柱距相等时,可采用平面排架计算模型进行横向地震作用计算;当采用平面排架计算时,应按现行国家标准《建筑抗震设计规范》GB 50011的规定对排架柱的地震剪力和弯矩进行调整。
7.2.25 抗震设计时,符合下列规定之一的厂房,可不进行横向和纵向抗震验算:
1 抗震设防烈度为6度的厂房;
2 设防烈度7度Ⅰ类、Ⅱ类场地,柱顶高度不超过10m,且结构单元两端均设有山墙的单跨和等高多跨厂房;
3 设防烈度7度时和8度(0.20g)Ⅰ类、Ⅱ类场地的露天吊车栈桥。
7.2.26 采用深基短柱基础的钢筋混凝土柱、双肢柱厂房,当深基短柱符合短柱基础的设计要求时,可不计及基础短柱对排架内力分析的影响,柱高可取自基础短柱顶面。不符合要求时,深基短柱应作为一阶柱计入结构计算简图按柱进行设计。
条文说明
7.2.26 具有短柱深基础的厂房排架,较为精确的计算应将深基础短柱作为排架柱的组成柱段考虑。 对于预制钢筋混凝土柱,当高杯口基础符合现行国家标准《建筑地基基础设计规范》GB 50007-2011第8.2.5条的规定且满足杯壁厚度要求时,可不考虑基础短柱部分对排架的影响,厂房柱按高杯口基础的顶面为固定端考虑。 对于现浇钢筋混凝土柱厂房,一般按基础短柱作为排架柱的组成柱段进行结构计算分析和结构设计。
7.2.27 厂房柱的计算长度L 0 的确定应符合下列规定:
1 刚性屋盖单层厂房等截面和单阶排架柱,露天栈桥柱,其计算长度可按表7.2.27-1的规定确定。
2 刚性屋盖单层厂房双阶柱的排架柱计算长度可按表7.2.27-2的规定确定。
3 单层厂房刚接框架柱的计算长度,现浇屋盖时可取从基础顶面算起的柱子全高的1.0倍;装配式屋盖时可取从基础顶面算起的柱子全高的1.25倍。
4 山墙抗风柱的计算长度应按本规范附录B的规定确定。
表7.2.27-1 厂房排架柱和露天栈桥柱的计算长度L 0

注:1 表中H为从基础顶面算起的柱子全高,H 1 为从基础顶面至装配式吊车梁底面或现浇式吊车梁顶面的柱子下部高度,H 2 为从装配式吊车梁底面或从现浇式吊车梁顶面算起的柱子上部高度。
2 有吊车厂房排架柱的计算长度,当计算中不计入吊车荷载时,可按无吊车厂房柱的计算长度采用,但上柱的计算长度仍可按有吊车厂房采用。
3 表中有吊车厂房排架柱的上柱在排架方向的计算长度,仅适用于H 2 /H 1 大于或等于0.3的情况;当H 2 /H 1 小于0.3时,计算长度宜采用2.5H 2 。
表7.2.27-2 厂房排架双阶柱的计算长度

注:表中H 1 、H 2 、H 3 分别为上、中、下段柱的高度。
7.2.28 排架结构或框排架结构厂房采用双肢柱时,可按下列方法进行结构整体计算:
1 双肢柱可按桁架或框架计算模型进行结构整体计算。斜腹杆双肢柱可按铰接桁架计算模型,平腹杆双肢柱可按多层框架结构计算模型。
2 可近似将双肢柱折算为实腹柱进行结构整体计算。折算实腹柱的惯性矩I,在计及材料弹塑性变形和杆件局部变形影响时,可按下列公式计算:

式中:b——柱肢的截面宽度;
h——柱肢的截面高度;
I 1 ——单肢柱肢的惯性矩;
l——柱肢截面的中心距;
β——折减系数,平腹杆取0.6,斜腹杆取0.8。
7.2.29 屋盖支撑杆件的计算和连接构造应符合下列规定:
1 屋盖支撑杆件应能承受和传递屋盖的水平荷载和水平地震作用,其连接的承载力应大于杆件的承载力,并应满足构造要求。
2 横向水平支撑、纵向水平支撑的交叉斜杆可按拉杆设计,并应取相同的截面面积;横杆和非交叉斜杆以及刚性系杆应按压杆设计。
3 支撑杆件宜采用型钢,拉杆可采用单角钢,压杆宜采用双角钢。交叉斜杆的长细比限值可取350。压杆长细比限值可取200。
7.2.30 厂房单元内设置多道柱间支撑时,各道支撑宜采用相同规格。
Ⅳ 结构构造
7.2.31 钢筋混凝土柱的截面和配筋构造除应符合本规范的规定外,尚应符合现行国家标准《混凝土结构设计规范》GB 50010的有关规定。抗震设计时尚应符合现行国家标准《建筑抗震设计规范》GB 50011的有关规定。
7.2.32 对于横向为铰接排架,纵向为刚接框架的厂房柱,其截面和配筋构造应同时满足铰接排架柱和刚接框架柱的规定要求。
7.2.33 抗震设计时,当工作平台以及刚性围护墙和隔墙与厂房柱连接,厂房柱变位受约束且剪跨比不大于2时,应按现行国家标准《建筑抗震设计规范》GB 50011的规定采取相应的抗震构造措施。
7.2.34 柱的截面尺寸应满足承载力和变形要求,并应符合下列规定:
1 柱的截面宽度不应小于300mm,有桥式吊车的厂房柱的截面宽度尚应满足吊车梁的支承长度要求,且不应小于400mm。
2 柱的截面高度应符合下列规定:
1)无桥式吊车的厂房不应小于500mm;
2)有桥式吊车的厂房柱的下柱不应小于600mm,上柱截面高度不应小于400mm,等高多跨厂房中柱的上柱截面高度不应小于500mm;
3)露天栈桥柱截面高度不应小于600mm。
7.2.35 工字形柱的外形构造尺寸应符合下列规定:
1 翼缘厚度不应小于120mm。腹板厚度不宜小于100mm;抗震设计时不应小于100mm。
2 对于腹板开孔的工字形柱,当孔的横向尺寸小于柱截面高度的1/2,孔的竖向尺寸小于相邻两孔之间的净距离时,柱的刚度可按实腹式工字形截面柱计算,但在计算截面承载力时应扣除孔洞的削弱部分;当开洞尺寸超过规定时,其刚度和承载力应按双肢柱计算。
条文说明
7.2.35 工字形柱的翼缘和腹板厚度应考虑施工和使用上的要求。如果厚度不够,浇捣混凝土时就会发生困难,使用时容易碰坏,翼缘太薄则会过早开裂。
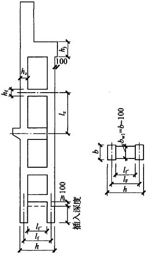
7.2.36 双肢柱外形构造尺寸(图7.2.36-1~图7.2.36-3)应符合下列规定:
1 双肢柱的柱肢中心宜与吊车梁中心重合。当不重合时,吊车梁中心不应超出柱肢的外边缘。
2 柱肢截面厚度不宜小于250mm,截面宽度不宜小于500mm,且不宜小于基础顶面至肩梁顶面长度的1/25。
3 斜腹杆双肢柱的斜腹杆设置应符合下列规定:
1)斜腹杆轴线与水平面的夹角宜取35°~55°,且不应大于60°,宜为45°。
2)设置吊车梁的柱肢上端应为斜腹杆的起点;两肢均设置有吊车梁时,应以承受较大吊车荷载的柱肢为斜腹杆的起点。
3)腹杆的截面厚度不宜小于柱肢截面厚度的50%,且不应小于120mm;截面宽度宜取柱肢宽度减100mm。
4 平腹杆双肢柱的平腹杆设置应符合下列规定:
1)平腹杆之间的净距不宜大于肢杆截面厚度的10倍;
2)平腹杆的线刚度k f (k f =I f //L f )宜大于柱肢线刚度k z (k z =I z /L z )的5倍(I f 和I z 分别为腹杆杆和肢柱的惯性矩);
3)平腹杆截面厚度不宜小于400mm,截面宽度宜取柱肢宽度减100mm。
5 双肢柱肩梁的高度应符合下列规定:
1)肩梁截面高度不应小于600mm,且不应小于柱肢厚度的2倍,并应满足上柱和柱肢纵向钢筋锚固长度的要求;
2)肩梁的线刚度k j (k j =I j /L f )与柱肢线刚度k z (k z =I z /L z )之比宜大于20(I j 和I z 分别为肩梁和柱肢的惯性矩)。
6 双肢柱的柱脚,当柱脚分肢插入基础时,应采用图7.2.36-1和图7.2.36-2的形式;当基础采用单杯口时,应采用图7.2.36-3的形式。

图7.2.36-1 平腹杆双肢柱的几何尺寸

图7.2.36-2 斜腹杆双肢柱几何尺寸

图7.2.36-3 基础为单杯口时双肢柱柱脚形式
7.2.37 屋架(屋面梁)与柱的连接应符合下列规定:
1 屋架(屋面梁)与柱可采用螺栓连接、焊接连接和钢板铰连接。抗震设计时,二级宜采用螺栓,一级宜采用钢板铰,亦可采用螺栓。
2 屋架(屋面梁)端部支承垫板的厚度不宜小于16mm,垫板的宽度应满足局部受压承载力的要求。
7.2.38 厂房柱预埋件的设置应符合下列规定:
1 柱顶预埋件应符合下列规定:
1)预埋件锚板沿排架平面方向的长度宜与柱顶截面高度相同,但不应小于柱顶截面高度的1/2及300mm。
2)预埋件锚筋的截面面积应满足计算要求,且不应少于4 
12;抗震设计时,抗震等级二级不应少于4 
14,抗震等级一级不应少于4 
16。
3)有柱间支撑的柱子,柱顶预埋件应增设抗剪钢板。
2 支承低跨屋盖的中柱牛腿(柱肩)的预埋件,应与牛腿(柱肩)中按计算承受水平拉力部分的纵向钢筋焊接,焊接的纵向钢筋不应少于2 
12;抗震设计时,抗震等级二级不应少于2 
14;抗震等级一级不应少于2 
16(图7.2.38)。
3 柱间支撑与柱连接节点预埋件的锚件,抗震等级一级和Ⅲ、Ⅳ类场地抗震等级二级时,宜采用锚固角钢加端板;其他情况可采用HRB400级钢筋,锚固长度应符合本规范第3.8.5条的规定,且不应小于锚筋直径的30倍,不满足时应增设端板。

图7.2.38 高低跨牛腿处预埋件
7.3 钢结构厂房
7.3 钢结构厂房
Ⅰ 结构体系和结构布置
7.3.1 本节适用于钢柱、钢屋架或钢屋面梁承重的单层厂房的设计。
7.3.2 单层钢结构厂房的结构体系应符合下列规定:
1 横向抗侧力结构体系,可采用铰接框架(排架)、刚接框架和门式刚架。
2 纵向抗侧力结构体系应符合下列规定:
1)设置桥式吊车的厂房,应设置柱间支撑,采用纵向铰接框架;
2)不设置桥式吊车的厂房,非抗震设计及抗震设计6度、7度时,宜采用纵向铰接框架,设置柱间支撑;也可采用纵向刚接框架,不设置柱间支撑。抗震设计8度、9度时,应采用纵向铰接框架并设置柱间支撑。
7.3.3 单层厂房钢柱,可根据柱的高度、桥式吊车的设置以及厂房功能要求等情况,采用等截面柱、阶形柱和分离式柱,并应符合下列规定:
1 无桥式吊车厂房以及设有桥式吊车,但起重量不大于20t的厂房宜采用等截面柱。
2 设有桥式吊车的厂房宜采用阶形柱。
3 当有下列情况时,可采用分离式柱:
1)桥式吊车的起重量大于或等于125t,且轨顶标高不大于10m;
2)厂房设有双层桥式吊车,而下层吊车轨顶标高不大于10m;
3)厂房中列柱两侧桥式吊车轨顶标高相差较大,且低跨桥式吊车的起重量较大,在柱上不宜设置悬挑牛腿;
4)边列预留扩建跨,或边列柱外侧设有露天桥式吊车栈桥柱。
7.3.4 钢柱的截面形式可采用实腹式和格构式,并应符合下列规定:
1 柱截面高度小于或等于1000mm时,宜采用实腹式;柱截面高度大于1000mm时,宜采用格构式柱。
2 双阶形柱的上柱宜采用实腹式;中柱宜采用实腹式,当中柱柱段较长时,也可采用格构式柱;下柱宜按本条第1款的条件确定采用实腹式或格构式。
条文说明
7.3.3、7.3.4 单层钢柱厂房的钢柱类型和截面形式可分为以下几种: 等截面柱,柱的截面沿高度不变,构造简单,只适用于无吊车或吊车起重量较小的轻型厂房。 阶形柱,柱的截面沿高度变化,通常有单阶和双阶两种。由于吊车梁或吊车桁架支承在柱截面变化的肩梁处,荷载偏心小,构造合理,用钢量比等截面柱节省,故应用较广泛。阶形柱上段,由于构造要求,如通行人孔、柱与屋架、托架的连接等,一般采用实腹式柱。 分离式柱,由两个独立的柱肢组成,构造简单,制作和安装比较方便,但用钢量比阶形柱多,且刚度较差,一般在预留扩建跨时或厂房边列柱设有露天吊车跨时采用。
7.3.5 厂房纵向柱间支撑的布置应符合本规范第7.3.2条的规定,并应符合下列规定:
1 下柱柱间支撑的布置应符合下列规定:
1)应在厂房结构单元的中部设置一道;当厂房单元柱间数不超过5个且长度小于60m时,亦可在厂房结构单元两端柱间各设置一道;
2)厂房结构单元长度大于120m或采用轻型围护材料时长度大于150m以及抗震设计8度和9度,厂房结构单元长度大于90m或采用轻型围护材料时长度大于120m时,应在厂房结构单元中部1/3区段设置两道;各种情况下,柱间支撑的间距不宜大于60m。
2 上柱柱间支撑,应在设置下柱柱间支撑的柱间以及厂房结构单元的两端柱间设置。
7.3.6 柱间支撑应根据具体情况采用单片或双片形式,并应符合下列规定:
1 等截面柱,当采用实腹式柱且截面高度不大于600mm时,可采用单片支撑,沿柱中心线平面设置;截面高度较大时,宜采用双片支撑,沿柱两翼缘设置。
2 阶形柱的上柱,柱间支撑应符合下列规定:
1)柱间支撑应沿柱侧翼缘设置。当上柱截面高度小于或等于1000mm时,宜采用单片,沿柱中心线平面设置。当设置有支承屋架的托架(梁)时,支撑的位置应与托架(梁)位置相适应;当上柱设置有人孔时,支撑应让开通道偏一侧设置;
2)截面高度大于1000mm,或在上柱设有人孔且纵向刚度要求较高时,宜采用双片支撑。
3 阶形柱的中柱,宜采用双片支撑。
4 阶形柱的下柱,应采用双片支撑。
5 分离式柱的下柱应采用双片支撑。上柱和中柱的柱间支撑的设置应符合本条第1款和第2款的规定。
7.3.7 钢结构厂房屋盖结构的选型和布置应符合下列规定:
1 钢结构厂房应采用钢屋架(屋面梁)。设有托架和天窗的厂房应采用钢托架和钢天窗架。
2 屋面板可采用钢筋混凝土屋面板、预应力混凝土屋面板和压型钢板等轻型板材;抗震设计时,大跨度和大柱距厂房屋面宜采用压型钢板等轻型板材;临时性厂房可采用瓦楞铁。
3 厂房天窗的选型和布置宜符合本规范第7.2.13条的规定。
7.3.8 有檩和无檩屋盖支撑的布置和杆件的连接应符合下列规定:
1 有檩和无檩屋盖杆件的连接应分别符合本规范第7.2.14条和第7.2.15条的规定。
2 有檩和无檩屋盖结构的支撑布置宜分别符合表7.3.8-1和表7.3.8-2的规定。
3 中间井式天窗屋盖结构的支撑布置宜符合本规范表7.2.15-2的规定。
4 实腹式门式刚架厂房屋盖支撑的设置应符合本规范第7.3.10条的规定。
表7.3.8-1 有檩屋盖的支撑系统布置

注:表中厂房单元指厂房独立结构单元。
表7.3.8-2 无檩屋盖的支撑系统布置


注:表中厂房单元指厂房独立结构单元。
条文说明
7.3.8 有檩屋面结构的檩条可起横向水平支撑的横杆和撑杆的作用。 天窗上弦水平支撑、天窗竖向支撑和屋架上弦水平支撑宜布置在同一开间内,同时天窗竖向支撑应设置在屋架上弦支撑的节点处,当天窗较高或为开敞式时,为减少天窗侧腿在天窗平面外的计算长度,可在天窗侧腿平面设置纵向中间撑杆。 当有天窗时,屋架上弦横向水平支撑可移至厂房单元端部第二开间内。第一开间内的撑杆按压杆考虑。
7.3.9 有檩屋盖和无檩屋盖应按本规范第7.2节的规定设置屋架下弦横向水平支撑。当屋架端部支承在屋架下弦时,下弦横向水平支撑的设置尚应符合下列规定:
1 非抗震设计和抗震设计6度、7度时,应在厂房单元端部开间及每隔60m设置一道;
2 抗震设计8度、9度时,应在厂房单元端部开间及柱间支撑开间各设置一道。
7.3.10 采用实腹式刚架结构体系时,屋盖杆件的连接,应符合本规范第7.2.14、7.2.15条的规定,屋盖支撑的布置应符合下列规定:
1 屋盖横向水平支撑、纵向通长系杆以及纵向天窗支撑的布置,宜按本规范表7.3.8-1和表7.3.8-2的要求确定。
2 横向水平支撑、纵向通长系杆设置在屋面梁上翼缘平面,屋面梁两侧应设置隅撑作为侧向支承。
Ⅱ 计算要点
7.3.11 单层钢柱厂房结构计算应符合本规范第6章和本节的规定。
7.3.12 厂房结构的静力计算分析,应根据结构体系和结构布置以及荷载和各种作用的实际情况,采用相应的空间结构模型或平面结构模型。
7.3.13 抗震设计时,厂房结构纵向、横向地震作用计算宜分别计入屋盖纵向和横向弹性变形,并应按多质点空间结构模型进行结构分析,同时应符合下列规定:
1 厂房横向地震作用计算,对于平面规则、抗侧刚度均匀、柱距相等的轻型屋盖厂房,可按平面结构模型计算。多跨等高厂房可采用底部剪力法,有高低跨的多跨厂房应采用振型分解反应谱法。
2 厂房纵向地震作用计算可采用下列方法:
1)采用轻型墙板或与厂房柱柔性连接的预制混凝土墙板的厂房可采用底部剪力法计算;
2)采用与柱贴砌且与厂房柱拉结的普通砖砌体围护墙厂房可按本规范第7.2节的规定计算;
3)设置柱间支撑的厂房,柱列的计算应计入支撑构件屈曲后的地震作用效应。
3 地震作用计算时,围护墙的自重和刚度取值应符合下列规定:
1)轻型墙板或与厂房柱柔性连接的预制混凝土墙板应计入其全部自重,可不计入其刚度;
2)对于约束厂房主体结构侧移,与厂房柱贴砌且与厂房柱有拉结的砌体墙,应计入其全部自重。纵向地震作用计算时,尚应计入砌体墙的折算刚度,7度、8度和9度时折算系数可分别取0.6、0.4和0.2。
7.3.14 屋盖支撑构件的连接构造应符合本规范第7.2.30条的规定。
7.3.15 厂房结构构件截面和构件连接计算应符合现行国家标准《钢结构设计规范》GB 50017和《建筑抗震设计规范》GB 50011的有关规定。
条文说明
7.3.15 钢柱的截面计算应符合现行国家标准《钢结构设计规范》GB 50017的有关规定。 实腹式排架柱可按排架平面内单向偏心受压构件进行承载力和排架平面内、外的稳定计算;当厂房纵向按刚接框架设计时,应按双向偏心受压构件进行承载力和排架平面内、外的稳定计算。 格构式柱应进行单肢和柱整体的承载力和稳定计算。
7.3.16 钢柱的计算长度、允许长细比应按现行国家标准《钢结构设计规范》GB 50017的规定采用。抗震设计时,框架柱的长细比,当轴压比小于0.2时,不宜大于150;轴压比不小于0.2时,不宜大于120 
,f y 为钢材的屈服强度。
Ⅲ 柱和基础的构造要求
7.3.17 钢结构的构造要求除应符合本规范的规定外,还应符合现行国家标准《钢结构设计规范》GB 50017和《建筑抗震设计规范》GB 50011的有关规定。
7.3.18 厂房柱截面形式应按本规范第7.3.4条的规定采用,柱身的构造应符合下列规定:
1 实腹式柱在符合下列情况时应设置横向加劲肋:
1)腹板计算高度h与厚度t之比h/t大于80 
时,应采用横向加劲肋加强,横向加劲肋应成对布置,横向加劲肋间距不得大于3h;
2)横向加劲肋的尺寸和构造应符合国家现行标准《钢结构设计规范》GB 50017的有关规定。在集中水平作用点或牛腿处,横向加劲肋的厚度应满足计算要求。
2 格构式柱的截面宽度较大或在缀件处剪力较大时,宜采用缀条柱。采用缀板柱时,同一截面处缀板或型钢横杆的线刚度之和不得小于较大柱肢线刚度的6倍。
3 格构式柱和大型实腹式柱,在承受较大水平力处以及运送单元的端部应设置横隔(横隔板或横隔架)。横隔沿柱高的间距不得大于8m和柱截面长边尺寸的9倍,宜每隔4m~6m设置一道。横隔的设置应符合下列规定:
1)实腹式柱的横隔应采用横向板;
2)格构式柱的横隔可采用横隔板和横隔架,且横隔板和横隔架均应设置在水平缀条。在承受较大水平力或悬挑牛腿处应采用横隔板。
7.3.19 阶梯形柱在上柱和下柱交接处应设置肩梁。肩梁宜采用单腹板式,不能满足计算要求时,可采用双腹板式,并应符合下列规定:
1 肩梁构件的截面尺寸应根据计算确定,并应满足刚度要求。
2 肩梁腹板的高度不宜小于下柱截面高度的40%~60%,腹板厚度不宜小于10mm。
3 肩梁上盖板的厚度,轻、中型厂房不宜小于16mm,重型厂房不宜小于25mm。
4 肩梁下盖板的厚度,轻、中型厂房不宜小于12mm,重型厂房不宜小于20mm。盖板的长宽尺寸宜按填满柱肢确定。当下柱的截面尺寸较大时,可在下盖板底部两侧各焊接一根截面不小于∟100×8的角钢加强。
7.3.20 钢柱设置牛腿时,牛腿可采用工字形截面,截面尺寸可由计算确定,并应符合下列规定:
1 实腹式柱设置牛腿时,柱在牛腿上、下翼缘相对应的位置应设置横向加劲板。
2 格构式柱设置牛腿时,牛腿顶面与柱的横向水平缀杆应设在同一标高,并应设置横隔板加强。与牛腿相连接的柱肢,在牛腿上、下翼缘相对应的位置应设置横向加劲板。
3 采用顶接于柱上的牛腿,其上、下翼缘与柱的连接应采用剖口焊。
7.3.21 阶梯形柱的上段柱和中段柱,当在吊车梁顶面标高处设置人孔时,人孔的设置应符合下列规定:
1 人孔两侧的分肢应进行承载力和稳定验算。
2 人孔的宽度宜取400mm,高度宜取1800mm~2000mm。人孔周边应设置纵向和横向加劲板。横向加劲板可取与柱身横向加劲肋相同的尺寸,其厚度可比柱身横向加劲肋厚度增加2mm~4mm;纵向加劲板的厚度不应小于柱腹板的厚度,且不应小于10mm,其外伸的宽度可取柱腹板厚度的12倍,且不应小于120mm。
3 人孔底部标高应与桥式吊车梁翼缘顶面标高相一致,孔底处的横向加劲肋可与制动结构和桥式吊车梁相连,并应传递桥式吊车横向水平力。当孔底处的横向加劲肋按与制动结构和桥式吊车梁相连设计时,其构造和计算应符合制动结构的相关要求。
7.3.22 框架柱、梁板件宽厚比限值应符合现行国家标准《钢结构设计规范》GB 50017的有关规定。抗震设计时,尚应符合现行国家标准《建筑抗震设计规范》GB 50011的有关规定。
7.3.23 钢柱柱脚可采用埋入式、插入式、外包式或外露式柱脚。抗震设计时,宜采用埋入式、插入式或外包式柱脚;6度、7度时,也可采用外露式柱脚。
7.3.24 埋入式和插入式柱脚的设计应符合下列规定:
1 柱脚的埋入深度应根据计算确定,并应符合下列规定:
1)非抗震设计时,埋入深度不应小于表7.3.24规定的最小埋入深度的要求;抗震设计时,埋入深度不得小于表7.3.24规定的最小埋入深度的要求;
2)各种情况下,埋入深度均不应小于500mm和吊装时钢柱长度的1/20。
2 柱脚底部最不利组合内力应由基础的钢筋混凝土承受。
3 柱脚埋入部分的顶部应设置水平加劲肋或横隔。
表7.3.24 钢柱埋入基础的最小深度

注:h为柱截面高度(长边尺寸),b为柱的截面宽度,d为圆管管外径;d 1 为格构式柱单肢截面高度(或外径)。
4 插入式钢柱柱脚底端至基础杯口底面的距离宜采用50mm,当有柱底板时,可采用200mm。
7.3.25 外露式刚性柱脚的设计应符合下列规定:
1 柱脚应按柱脚处最不利组合内力进行计算,抗震设计时,柱脚承载力不宜小于柱截面塑性屈服承载力的1.2倍。
2 柱脚锚栓的直径和数量应根据组合内力作用下产生的最大拉力计算确定。柱脚底部的水平剪力应由柱脚钢底板与基础间的摩擦力,或设置抗剪键及其他措施承担,不应由柱脚锚栓承担。
7.3.26 外包式柱脚的设计应符合下列规定:
1 钢筋混凝土外包高度,对工字形柱,不宜小于钢柱截面高度的2.5倍;对箱形截面柱或圆管截面柱,不宜小于箱形截面高度或圆管截面直径的3倍。
2 柱脚底部的弯矩和剪力应由外包钢筋混凝土承受。
7.3.27 埋入式柱脚和外包式柱脚的混凝土保护层厚度不应小于180mm。埋入部分和外包部分,在柱的翼缘上宜设置圆柱头焊钉(栓钉),其直径不得小于16mm,水平和竖向的中心距不得大于200mm。
7.3.28 外露式柱脚的底面高出厂房地面不应小于150mm,有腐蚀性要求的厂房不宜小于300mm。埋入式和插入式柱脚,在厂房地面以下部分应采用混凝土包裹,且混凝土包裹部分高出厂房地面的高度不应小于150mm,有腐蚀性要求的厂房不宜小于300mm,混凝土包裹层的厚度不应小于50mm。
Ⅳ 柱间支撑的构造要求
7.3.29 柱间支撑形式宜采用交叉式,也可根据具体条件采用人字形。当由于生产工艺的需要,以及柱距较大不宜采用交叉式支撑时,可采用门架式支撑。
7.3.30 交叉式和人字形支撑的斜杆与水平面的交角宜取35°~55°。
7.3.31 支撑杆应采用型钢。支撑杆件宜采用整根型钢,当热轧型钢超过材料最大长度规格时,可采用拼接等强接长。
7.3.32 柱间支撑杆件的设计应符合下列规定:
1 柱间支撑杆件截面尺寸应由计算确定,并应满足长细比的要求。
2 柱间支撑杆件的最大长细比不宜超过表7.3.32-1的规定。抗震设计时,交叉式支撑的斜杆(拉杆)的最大长细比尚应符合表7.3.32-2的规定。
表7.3.32-1 柱间支撑杆件的最大长细比

注:设置有夹钳吊车和刚性料耙的厂房,吊车梁以上的柱间支撑拉杆的长细比不宜大于300。
表7.3.32-2 抗震设计交叉式支撑斜杆(拉杆)的最大长细比

注:本表适用于拉杆,当为压杆时,应满足本规范表7.3.32-1中的对应压杆的要求。
3 柱间支撑杆件截面及其连接节点验算,支撑杆件计算长度的确定和长细比验算应按现行国家标准《钢结构设计规范》GB 50017的规定执行;抗震设计时,柱间支撑杆件连接节点验算尚应符合现行国家标准《建筑抗震设计规范》GB 50011的有关规定。
7.3.33 柱间支撑的连接应符合下列规定:
1 支撑杆件之间相交连接点以及支撑与柱的连接点应设置节点板,节点板的厚度应根据计算确定,但不宜小于10mm;抗震设计时不应小于10mm。
2 支撑杆与交叉点节点板的连接应采用焊接,与端部节点板的连接宜采用焊接,也可采用高强螺栓连接。
3 柱间支撑节点连接焊缝及柱内预埋件的承载力应大于支撑杆件的承载力,节点连接焊缝及柱内预埋件计算的作用力设计值应取支撑杆件全截面抗拉强度设计值。对于单角钢交叉式支撑杆,其端部的连接计算应计入强度折减,强度折减系数系应符合现行国家标准《钢结构设计规范》GB 50017的有关规定。
4 交叉式支撑杆有一根在交叉点中断时,交叉节点板应加强,其承载力不应小于支撑杆件承载力的1.1倍。
5 支撑杆件的截面应力比不宜大于0.75。
6 柱间支撑节点板与钢筋混凝土柱预埋件的连接以及与钢柱的连接应采用焊接。
7 柱间支撑与构件连接不应小于支撑杆件塑性承载力的1.2倍。
8 多层钢筋混凝土结构厂房
8.1 一般规定
8 多层钢筋混凝土结构厂房
8.1 一般规定
8.1.1 本章适用于下列结构体系:
1 框架结构;
2 框排架结构,应包括侧向框排架结构和竖向框排架结构;
3 框架-剪力墙结构;
4 钢支撑-框架结构。
条文说明
8.1.1 在工业厂房中一般采用钢筋混凝土框架结构和钢筋混凝土框排架结构,由于受到工艺布置和厂房使用功能的限制,采用钢筋混凝土框架-剪力墙结构比较困难。当采用框架结构的刚度、层间位移角限值不满足规定要求时,可设置少量剪力墙,在楼梯电梯间或其他部位布置少量剪力墙,即采用所谓设置少量剪力墙的框架结构,但剪力墙宜对称、均匀布置。 在抗震设防烈度6度~8度地区,当厂房高度超过钢筋混凝土框架结构的最大适用高度或抗震设计时采用单跨度框架结构,而由于工艺布置和功能要求采用框架-剪力墙结构有困难时,或经过技术经济比较,采用钢支撑-框架结构既满足工艺布置又经济合理时,采用钢支撑-框架结构。 本规范对多层钢筋混凝土结构厂房没有区分多层和高层,是为与现行国家标准《建筑抗震设计规范》GB 50011和现行行业标准《冶金建筑抗震设计规范》YB 9081的规定相一致,方便设计执行。厂房结构的相关设计规定中,考虑不同高度有不同设计要求,并便于与相关标准和规范中的“高层”相互协调,在本规范的相关规定中以高度24m为分界高度。
8.1.2 框架结构中如设置少量剪力墙,在规定的水平力作用下,计算嵌固端所在层框架部分承担的地震倾覆力矩大于结构总倾覆力矩的50%时,应按设置少量剪力墙的框架结构的要求进行设计。
条文说明
8.1.2 在工业厂房的框架结构中设置少量抗震墙,往往是为了增大框架结构的刚度、满足层间位移角限值的要求。当在规定的水平力作用下,底层框架部分承担的地震倾覆力矩大于结构总倾覆力矩的50%时,仍然属于框架结构范畴。现行国家标准《建筑抗震设计规范》GB 50011规定,其框架的抗震等级应按框架结构确定,抗震墙的抗震等级可与其框架的抗震等级相同。 条文中“规定的水平力”的含义,见现行国家标准《建筑抗震设计规范》GB 50011的规定。
8.1.3 各种结构体系中,框架和剪力墙应采用现浇结构;框排架结构中的排架柱可采用现浇或预制。厂房的楼、屋盖结构选型应符合本规范第8.2.10条的规定。
8.1.4 框架-剪力墙结构以及设置少量剪力墙的框架结构中的剪力墙,不宜采用短肢剪力墙和框支剪力墙。
条文说明
8.1.4 抗震设计时,框架-剪力墙结构以及设置少量剪力墙的框架结构中的剪力墙,不应采用框支剪力墙和短肢剪力墙,主要考虑框支剪力墙和短肢剪力墙的抗震性能比一般剪力墙差,而框架-剪力墙结构以及设置少量剪力墙的框架结构,设置剪力墙主要为提高结构的抗侧力和抗震性能。不采用框支剪力墙和短肢剪力墙完全是结构专业的结构方案选择问题,不受相关工艺、设备和建筑专业设计方案的影响。
8.1.5 现浇多层厂房结构适用的最大高度应符合下列规定:
1 框架结构和框架-剪力墙结构适用的最大高度,抗震设计时应符合现行国家标准《建筑抗震设计规范》GB 50011的有关规定;非抗震设计时,应按抗震设计6度规定的最大适用高度增加,增加的高度不宜超过6度规定的最大适用高度的10%。
2 钢支撑-框架结构的最大适用高度,不宜超过钢筋混凝土框架结构和框架-抗震墙结构二者最大适用高度的平均值。但抗震设计9度时,应按框架结构的最大适用高度采用。
3 设置少量剪力墙的框架结构的最大适用高度,应按框架结构的规定采用。
4 框排架结构的最大适用高度,应按框排架结构中多层结构部分的结构类型,根据本条规定的最大适用高度采用。竖向框排架结构厂房的高度应按上部排架柱顶面标高计算。
5 高度超过规定适用的最大高度时,应进行专门研究和论证,应采取加强措施。
8.1.6 抗震设计时,厂房结构适用的最大高度尚应符合下列规定:
1 平面和竖向均不规则的结构,以及建造在Ⅳ类场地的厂房结构,适用的最大高度宜降低;
2 楼层结构上设置有贮仓、槽罐和大型重设备的厂房,适用的最大高度应降低;
3 有高大设备穿越多层楼层,使楼层楼面板开大洞口,楼层的平面内刚度严重削弱时,厂房适用的最大高度应降低。
4 9度时,对于设置有贮仓且贮仓竖壁为深梁的框架和框排架结构厂房,贮仓顶面的高度不应超过20m。
条文说明
8.1.6 贮仓竖壁的跨高比大于2.5时,贮仓竖壁为浅梁;等于或小于2.5时,贮仓竖壁为深梁。
8.1.7 抗震设计时,厂房结构应根据设防类别、烈度、结构类型和厂房高度采用不同的抗震等级,并应符合相应的计算和构造措施要求。丙类厂房结构的抗震等级应按表8.1.7确定,并应符合下列规定:
1 框排架结构的排架柱,当纵向为刚接框架且高度大于24m时,抗震等级应按框排架结构中框架的规定采用。
2 设置贮仓的框排架结构,抗震等级的确定应符合下列规定:
1)贮仓竖壁为浅梁时,侧向框排架和竖向框排架的抗震等级均应按表8.1.7中框排架结构的规定采用;
2)贮仓竖壁为深梁时,侧向框排架结构的抗震等级应按表8.1.7中框排架结构的规定采用,竖向框排架结构的抗震等级应按表8.1.7中框排架结构的高度分界降低4m确定。
3 设置少量剪力墙的框架结构,其框架的抗震等级应按框架结构的规定确定,剪力墙的抗震等级可与其框架的抗震等级相同。
4 框排架结构中的多层结构部分,当采用钢支撑-框架、框架-剪力墙或少量剪力墙的框架结构时,其抗震等级应分别按钢支撑-框架结构、框架-剪力墙结构或少量剪力墙的框架结构的规定采用。
5 设置贮仓的框架和框排架结构的抗震等级尚应符合现行国家标准《构筑物抗震设计规范》GB 50191的有关规定。
表8.1.7 钢筋混凝土多层厂房结构抗震等级

注:1 建筑场地为Ⅰ类时,除6度外可按表内降低一度所对应的抗震等级采取抗震构造措施,但相应的计算要求不应降低。
2 厂房高度接近或等于表8.1.7中高度分界时,应允许结合厂房结构的不规则程度、楼层设备重量和布置情况,以及场地、地基条件等确定结构抗震等级。
3 侧向框排架结构的高度,按框架的高度确定;竖向框排架结构的高度,按顶部排架柱顶标高确定。
4 大跨度框架指跨度不小于18m的框架。
8.1.8 抗震设计时,厂房结构抗震等级的确定尚应符合下列规定:
1 高低层相连的低层部分除应按其本身确定抗震等级外,相关范围结构不应低于高层部分的抗震等级;高层部分与低层部分顶板对应的相邻上、下各一层应加强抗震措施。低层部分与高层部分分离时,应按低层部分本身确定其抗震等级。
2 抗震设防类别为乙类的厂房应按规定提高一度确定其抗震等级。
3 设置地下室的厂房,当地下室顶板作为上部结构的嵌固部位时,地下一层的抗震等级应与上部结构相同,地下一层以下抗震构造措施的抗震等级可逐层降低一级,但不应低于四级。地下室中无上部结构的部分,抗震构造措施的抗震等级可根据具体情况采用三级或四级。
8.2 结构布置
8.2 结构布置
8.2.1 厂房的结构体系和结构布置应符合本规范第3.2节和本节的规定。
8.2.2 设置有贮仓的厂房,贮仓的平面尺寸宜与厂房柱网协调一致。
8.2.3 各种结构体系中的框架应符合下列规定:
1 框架梁与柱的连接节点应采用刚接,必要时个别部位可采用铰接。
2 框架梁、柱中心线宜重合。当梁柱中心线不能重合时,结构计算应计入偏心的影响。梁、柱中心线之间的偏心距不宜大于柱截面在该方向宽度的1/4,当偏心距大于该方向柱宽的1/4时,可采取增设梁的水平加腋等措施,且设置水平加腋后,应计入梁柱偏心的不利影响;抗震设计9度时,梁柱偏心不应大于柱截面在该方向宽度的1/4。
条文说明
8.2.3 在工程设计中,常会出现梁柱中心线不重合、产生偏心的情况。本条给出了限制条件。实践证明,采取增设梁的水平加腋等措施,能明显改善梁柱节点的受力性能。
8.2.4 框排架结构厂房结构布置应符合下列规定:
1 排架跨屋盖可采用有檩屋盖体系和无檩屋盖体系,并应设置完整的屋盖支承系统。抗震设计时,宜采用无檩屋盖体系,当采用其他屋盖体系时,屋盖支撑以及屋盖系统构件间的连接应加强。
2 侧向框排架结构和竖向框排架结构的排架跨(层)均不应采用无端屋架(屋面梁)的山墙承重方案。排架跨(层)内不应采用横墙与排架混合承重。
3 侧向框排架结构的布置尚应符合下列规定:
1)排架跨与多层结构连接处,屋架(屋面梁)支座顶面标高宜与多层结构相关楼层标高一致。当排架跨设置有桥式吊车时,吊车梁牛腿顶面标高或吊车梁顶面标高宜与框架相关楼层标高一致。
2)多层结构部分与排架宜等长;抗震设计时,不应采用局部排架布置。
3)单层与多层相连接处宜沿全长设置屋架纵向水平支撑;抗震设计时,应沿全长设置屋架纵向水平支撑。
4)当排架跨的高度大于多层结构部分,排架的屋架(屋面梁)支承在伸出框架屋面的框架柱上时,应在伸出屋面的框架柱顶处设置纵向连梁。
4 竖向框排架结构的布置尚应符合下列规定:
1)排架柱应竖向连续贯通至底部。
2)顶层排架重心宜与下部结构刚度中心接近或重合。抗震设计时,多跨排架宜等高等长。
3)排架的嵌固楼层的楼板应采用现浇,且宜避免开设大洞口;抗震设计时应避免开设大洞口。
4)排架纵向柱间支撑处的楼板不宜设置楼梯间或开洞,抗震设计时不应设置楼梯间或开洞。柱间支撑斜杆中心线应与连接处梁柱中心线汇交于一点。
5 侧向框排架的结构和屋盖支撑布置尚应符合现行国家标准《构筑物抗震设计规范》GB 50191的有关规定。
8.2.5 框架-剪力墙结构和设置少量剪力墙的框架结构,应设计成双向抗侧力体系,并应符合下列规定:
1 宜沿结构两个主轴方向布置剪力墙;抗震设计时,沿结构两个主轴方向均应布置剪力墙。
2 纵横向剪力墙宜相连,且宜沿两个主轴方向均匀对称布置。厂房单元较长时,纵向剪力墙不宜集中布置在厂房两端。
3 剪力墙宜贯通厂房全高,应避免刚度突变。剪力墙洞口宜上下对齐。
4 电梯间和楼梯间宜采用剪力墙,但不宜造成整体结构较大的扭转效应。
5 柱中线与剪力墙中线、梁中线与柱中线宜重合,并不宜大于柱宽的1/4。当中心线不重合时,应计入偏心的影响。当偏心距大于柱宽的1/4时,应按本规范第8.2.3条第2款的规定采取相应措施。
6 当墙肢与其平面外方向的楼面梁连接时,应采取减小梁端部弯矩对剪力墙不利影响的措施,应在墙肢与楼面梁连接处设置暗柱、型钢柱或沿梁轴线方向增设翼墙。端柱和暗柱的截面和配筋、型钢柱的截面应按计算确定。楼面梁的纵向钢筋应锚固在剪力墙内。
7 楼面主梁不宜支承在剪力墙洞口连梁上。
8.2.6 框架-剪力墙结构中,剪力墙之间无大开洞的楼、屋盖的长宽比,不宜超过表8.2.6的规定。超过时应计入楼、屋盖平面内变形的影响。
表8.2.6 框架-剪力墙结构剪力墙之间楼、屋盖的长宽比

8.2.7 钢支撑-框架结构的框架应符合本规范第8.2.3条的规定,框架和钢支撑的布置应符合下列规定:
1 钢支撑应在结构的两个主轴线方向同时设置,并宜均匀对称布置,应避免导致扭转效应。
2 钢支撑宜上下连续布置,当受工艺设计方案限值无法连续布置时,应在邻柱间延续布置。
3 楼梯间宜布置钢支撑。
4 钢支撑之间无大开洞的楼、屋盖的长宽比宜符合本规范表8.2.6的规定,超过时,结构整体计算应计入楼、屋盖平面内变形的影响。
5 钢支撑的斜杆的轴线宜与框架柱轴线相重合,当二者轴线偏离超过框架柱宽的1/4时,应计入附加弯矩。
6 钢支撑宜采用交叉支撑,也可采用人字形支撑或V形支撑。当采用单斜杆支撑时,两个方向的斜杆应相向成对布置。
8.2.8 抗震设计时,钢支撑-框架结构的底层钢支撑框架按刚度分配的地震倾覆力矩,应大于结构总地震倾覆力矩的50%。
8.2.9 多层钢筋混凝土厂房的楼、屋盖结构除排架跨屋盖结构外,宜采用现浇钢筋混凝土结构。当采用预制装配整体式楼盖时,应采取加强预制板之间以及楼盖与框架梁(剪力墙)连接的措施,并应确保楼面的整体性。符合下列情况之一时,应采用现浇楼盖:
1 厂房高度超过50m;
2 抗震设计8度、9度;
3 屋盖以及顶层楼盖;
4 有转换结构的楼层、平面复杂或开洞过大的楼层、地下室顶板,以及竖向框排架结构排架嵌固楼层的楼板;
5 支承设备的楼层。
条文说明
8.2.9 本条规定主要考虑避免吊车纵向往复水平力对结构的不利作用,使该作用由纵向柱间支撑承担。
8.2.10 现浇楼板的设计应符合下列规定:
1 楼板的厚度不宜小于100mm,有振动设备楼层的楼板厚度不宜小于120mm。
2 楼板孔洞尺寸大于1m或洞口边有集中荷载时,宜设置边梁。
3 对于设置有地下室的厂房(不含局部地下室),地下室顶板厚度不宜小于160mm;作为上部结构嵌固部位时,不宜小于180mm,且应双向双层配筋。
4 竖向框排架结构中,顶层排架下部嵌固楼层楼板的厚度不应小于150mm,且应双层双向配筋。
8.2.11 预制装配整体式楼盖应确保楼盖的整体性,采取的构造措施应符合下列规定:
1 板端应与支承梁或剪力墙焊接连接。板端部应设锚固钢筋相互连接,并宜与板的支承构件(梁或剪力墙)伸出的钢筋及板端拼缝中设置的通长钢筋连接。
2 预制板之间的拼缝上口宽度不宜小于40mm,并不应小于30mm。拼缝宽度大于40mm时,应在拼缝内配钢筋,并应贯通整个结构单元,板的拼缝应使用强度等级不小于预制板混凝土强度且不小于C30的细石混凝土浇灌密实。
3 预制装配整体式楼盖应设置钢筋混凝土现浇层,厚度不应小于50mm,混凝土强度等级不应低于C20和预制板的强度等级,并应配置直径6mm~8mm、间距150mm~250mm的钢筋网,同时应锚入梁和剪力墙内。
条文说明
8.2.10、8.2.11 现浇混凝土板楼屋盖是工业厂房通常采用的结构类型,整体刚性好,且能适应工艺设备对楼面的各种特殊要求;抗震设计时,采用现浇混凝上板楼屋盖,结构具有更好的抗震性能。因此结构方案设计时,应优先考虑采用现浇混凝土梁板楼屋盖。采用预制板楼面结构,整体性和抗震性较差,而且不便于开设孔洞和满足工艺设备基座锚固构造的要求。当采用预制板楼面时,应采取措施加强预制板之间以及楼盖与框架梁和剪力墙的连接,并设置钢筋混凝土现浇层,以确保楼而的整体性。
8.3 计算要点
8.3 计算要点
8.3.1 厂房结构的计算分析应符合本规范第6章的规定。结构层间变形应符合本规范第3.4节的规定。本节未作规定的应符合现行国家标准《混凝土结构设计规范》GB 50010、《建筑抗震设计规范》GB 50011等的规定。
8.3.2 厂房结构的变形和内力可按弹性方法计算,框架梁和连梁等构件可根据工程的具体情况结合局部塑性内力重分布的方法计算。对于直接承受动力荷载作用,以及处于腐蚀环境和潮湿环境的结构、预应力混凝土结构和二次受力的叠合构件,不应采用塑性内力重分布的分析方法进行计算。
条文说明
8.3.2 厂房结构的变形和内力通常按弹性方法计算,对于框架梁和连梁等构件,可根据工程的具体情况结合局部塑性内力重分布的方法计算。但有色金属工业厂房大部分情况是直接承受动力荷载作用以及处于腐蚀环境和潮湿环境的结构,一般不应采用塑性内力重分布的分析方法进行。
8.3.3 计算厂房结构的作用效应时,楼、屋面板的刚性假定应符合本规范第6.3.2条的规定。
条文说明
8.3.3 有色金属工业厂房结构配置楼板平面经常有大开洞或有较大凹凸,计算分析时应根据实际情况采用合理的力学模型,保证结构分析的可靠性。
8.3.4 厂房结构整体计算分析时,应计入上、下层竖向构件偏心和框架梁与柱的偏心。当结构整体计算未计入偏心时,应采用在柱端附加弯矩的方法计算。
8.3.5 框架结构,当梁柱截面高度比较大时,宜计入节点区的刚域影响。
8.3.6 厂房结构计算时,现浇楼盖和装配整体式楼盖中梁的刚度可根据翼缘的作用予以增大,刚度增大系数可根据翼缘和楼板开洞情况取1.3~2.0。对于单边有楼板的梁应取小值;无现浇面层的装配式楼盖,不宜计入翼缘的作用。
条文说明
8.3.6 现浇楼面和装配整体式楼面的楼板作为梁的有效翼缘形成T形截面,提高了楼面梁的刚度,结构计算时应予以考虑。当近似考虑其影响时,应根据梁翼缘尺寸与梁截面尺寸的比例关系确定增大系数的取值。通常现浇楼面的边框架梁可取1.3,中框架梁可取2.0;有现浇面层的装配式楼面梁的刚度增大系数可适当减小。一般来说,工业厂房框架梁截面较大,楼板也较厚,梁刚度实际增大不超出1.3~2.0的范围。
8.3.7 厂房结构计算分析时,应根据国家现行标准《建筑抗震设计规范》GB 50011和《高层建筑混凝土结构技术规程》JGJ 3的有关规定,确定是否计入重力二阶效应的不利影响。
8.3.8 现浇和装配整体式钢筋混凝土楼、屋而梁,除本规范第8.3.2条规定不应计入塑性变形内力重分布的结构外,可根据具体情况结合塑性变形内力重分布对梁端负弯矩进行调整,调整系数的取值,现浇框架梁可取0.8~0.9,装配整体式框架梁可取0.7~0.8。梁端负弯矩调幅后,应按平衡条件计算相应的跨中弯矩值。框架梁截面设计时,框架梁跨中截面正弯矩设计值不应小于竖向荷载作用下按简支梁计算的跨中弯矩的50%。
条文说明
8.3.8 在竖向荷载作用下,框架梁端负弯矩往往较大,配筋较多,不便于施工和保证施工质量。因此允许考虑塑性变形内力重分布,对梁端负弯矩进行适当调幅。钢筋混凝土的塑性变形能力有限,调幅的幅度应该加以限制。框架梁端负弯矩减少后,梁跨中弯矩应按平衡条件相应增大。截面设计时,为保证框架梁跨中截面底钢筋不至于过少,其正弯矩设计值不应小于竖向荷载作用下按简支梁计算的跨中弯矩的50%。在腐蚀环境中的有色金属工业厂房不应考虑塑性变形内力重分布。
8.3.9 抗震设计时,框架-剪力墙结构在地震作用下各层框架部分承担的剪力应符合下列规定:
1 侧向刚度沿竖向分布基本均匀的框架-剪力墙结构,任一层框架部分承担的剪力值不应小于结构底部总地震剪力的20%和按框架-抗震墙结构计算的框架部分各楼层地震剪力中最大值1.5倍二者的较小值。
2 各层框架所承担的地震剪力不满足本条第1款要求时,应按各层框架所承担的地震剪力不小于0.2V 0i 和1.5V fmax 中的较小值,调整框架内力。
8.3.10 设置少量剪力墙的框架结构,其框架部分的地震剪力值宜采用框架结构模型和框架-剪力墙结构模型二者计算结果的较大值。
条文说明
8.3.10 本条引用现行国家标准《建筑抗震设计规范》GB 50011的有关规定。对于设置少量剪力墙的框架结构,框架部分的地震剪力值取框架结构模型和框架-剪力墙结构模型两种计算模型的较大值较为妥当。
8.3.11 框架柱的计算长度的取值应符合现行国家标准《混凝土结构设计规范》GB 50010的有关规定。
8.4 结构构造的一般规定
8.4 结构构造的一般规定
8.4.1 厂房的结构构造除应符合本规范的规定外,尚应符合现行国家标准《混凝土结构设计规范》GB 50010的有关规定。抗震设计时,应符合现行国家标准《建筑抗震设计规范》GB 50011和《构筑物抗震设计规范》GB 50191的有关规定。
8.4.2 处于有侵蚀性介质环境的厂房,结构构造尚应符合现行国家标准《工业建筑防腐蚀设计规范》GB 50046的有关规定。
8.4.3 厂房结构钢筋的连接接头可采用机械连接、绑扎搭接或焊接。各种连接接头的连接构造应符合现行国家标准《混凝土结构设计规范》GB 50010的有关规定,并应符合下列规定:
1 连接接头宜设置在受力较小处,抗震设计时不宜设置在框架梁和柱端部箍筋加密区范围。在同一根钢筋上宜少设接头。重要结构构件和结构关键传力部位的纵向受力钢筋不宜设置连接接头。
2 受拉钢筋直径大于25mm及受压钢筋直径大于28mm时,不宜采用绑扎搭接接头。
3 轴心受拉及小偏心受拉杆件的纵向受力钢筋不得采用绑扎搭接。
8.4.4 钢筋的锚固长度和构造、钢筋的搭接长度和搭接构造应按现行国家标准《混凝土结构设计规范》GB 50010的有关规定执行,抗震设计时尚应符合现行国家标准《建筑抗震设计规范》GB 50011的有关规定。
条文说明
8.4.4 当钢筋采用锚固板锚固时,应按现行行业标准《钢筋锚固板应用技术规程》JGJ 256的规定执行。
8.5 框架的构造要求
8.5 框架的构造要求
Ⅰ 框架柱
8.5.1 柱的截面尺寸应符合下列规定:
1 柱截面的高度和宽度不宜小于350mm,支承贮仓的框架柱不应小于400mm。抗震设计时,抗震等级一、二、三级的框架柱不宜小于400mm。
2 柱截面的高度与宽度的比值不宜大于3。
3 抗震设计时,柱的剪跨比宜大于2。
条文说明
8.5.1 本条关于框架柱截面尺寸的规定,参照现行国家标准《混凝土结构设计规范》GB 50010、《建筑抗震设计规范》GB 50011和《构筑物抗震设计规范》GB 50191的规定,并根据有色金属工业厂房的特点和实践经验确定。
8.5.2 抗震设计时,框架柱的轴压比应符合下列规定:
1 框架柱的轴压比不宜超过表8.5.2的规定,并应符合下列规定:
1)建造在Ⅳ类场地,高度超过30m的厂房,柱的轴压比限值宜降低0.05;
2)当沿柱全高采用井字复合箍且箍筋肢距不大于200mm、间距不大于100mm、直径不小于12mm时,轴压比限值均可增加0.10,且最小配箍特征值均应按增大的轴压比确定;
3)当沿柱全高采用复合螺旋箍、螺旋间距不大于100mm、箍筋肢距不大于200mm、直径不小于12mm时,轴压比限值均可增加0.10,且最小配箍特征值均应按增大的轴压比确定;
4)当沿柱全高采用连续复合矩形螺旋箍、螺旋净距不大于80mm、箍筋肢距不大于200mm、直径不小于10mm时,轴压比限值均可增加0.10。且最小配箍特征值均应按增大的轴压比确定;
5)当在柱的截面中部附加芯柱,其中另加的纵向钢筋的总面积不少于柱截面面积的0.8%时,轴压比限值可增加0.05;
6)当同时采用本款第2项、第3项措施时,轴压比限值可增加0.15,且箍筋的配箍特征值应按抽压比增加0.10的要求确定;
7)柱轴压比不应大于1.05。
表8.5.2 框架柱轴压比限值

注:1 轴压比指柱组合的轴压力设计值与柱的全截面面积和混凝土轴心抗压强度设计值乘积的比值;对于按规定不进行地震作用计算的结构,可取无地震作用组合的轴力设计值。
2 表内限值适用于剪跨比大于2、混凝土强度等级不高于C60的柱;剪跨比不大于2的柱轴压比限值应降低0.05;剪跨比小于1.5的柱,轴压比限值应专门研究并采取特殊构造措施。
2 支承重型设备的独立框架,柱的轴压比限值宜取按表8.5.2中框架结构的轴压比限值减少0.05。
3 框排架结构、钢支撑-框架结构以及设置少量剪力墙的框架结构中的框架柱,轴压比应按框架结构柱的轴压比限值采用。
8.5.3 框架柱全部纵向受力钢筋的配筋率不应小于表8.5.3规定的数值,并应符合下列规定:
1 框架柱的每一侧纵向钢筋的配筋率不应小于0.2%。建造在Ⅳ类场地,高度超过30m的厂房,最小配筋率应按表8.5.3规定的数值增加0.1。
2 抗震设计时,支承重型设备的独立框架柱,全部纵向钢筋的最小配筋率不应小于表8.5.3中角柱的要求。
表8.5.3 柱全部纵向受力钢筋最小配筋率(%)

注:1 表中括号内数值用于框架结构的柱。
2 采用335MPa级、400MPa级纵向受力钢筋时,应分别按表中数值增加0.1和0.05采用。
3 当混凝土强度等级高于C60时,应按表中数值增加0.1。
8.5.4 框架柱纵向受力钢筋的配置尚应符合下列规定:
1 纵向受力钢筋的直径不宜小于12mm。抗震设计时,纵向受力钢筋宜对称配置。
2 纵向受力钢筋的净距不应小于50mm,且不宜大于300mm;抗震设计时,截面边长大于400mm的柱,钢筋的间距不宜大于200mm。
3 纵向受力钢筋的配筋率应符合下列规定:
1)非抗震设计时,全部纵向受力钢筋的配筋率不宜大于5%,并不应大于6%;
2)抗震设计时,全部纵向受力钢筋的配筋率不应大于5%;剪跨比不大于2的一级框架柱,每侧纵向受力钢筋的配筋率不宜大于1.2%。
4 抗震设计时,框架边柱、角柱以及剪力墙端柱,在地震作用组合下处于小偏心受拉时,柱内纵向受力钢筋总面积应比计算值增加25%。
5 抗震设计时,对于纵向受力钢筋采用绑扎接头的柱,绑扎接头应避开箍筋加密区。
8.5.5 框架柱箍筋的配置应符合下列规定。抗震设计时,柱箍筋的配置尚应符合本规范第8.5.6条~第8.5.8条的规定:
1 柱以及其他受压构件中的周边箍筋应采用封闭式。箍筋末端应做成135°弯钩,弯钩末端平直段长度不应小于箍筋直径的5倍。
2 箍筋直径不应小于纵向钢筋最大直径的1/4,且不应小于6mm。
3 箍筋的间距不应大于400mm及构件截面的短边尺寸,且不应大于纵向受力钢筋最小直径的15倍。
4 下列情况应设置复合箍筋:
1)柱截面短边尺寸大于400mm,且每边纵向钢筋多于3根时;
2)柱截面短边尺寸不大于400mm,但每边纵向钢筋多于4根时。
5 在配有螺旋式或焊接环式箍筋的柱中,如在正截面受压承载力计算中计入间接钢筋的作用时,箍筋间距不应大于80mm及按箍筋内表面确定的核心截面直径(d cor )的1/5,且不宜小于40mm。
6 当柱中全部纵向受力钢筋的配筋率大于3%时,箍筋直径不应小于8mm;箍筋末端应做成135°弯钩,且弯钩末端平直段长度不应小于箍筋直径的10倍;箍筋的间距不应大于纵向受力钢筋中最小直径的10倍,且不应大于200mm。
7 柱内纵向受力钢筋采用搭接时,搭接长度范围内箍筋直径不应小于搭接钢筋中较大直径的1/4。箍筋间距,纵向受拉钢筋搭接范围内不应大于搭接钢筋中较小直径的5倍,且不应大于100mm;纵向受压钢筋搭接范围内不应大于搭接钢筋中较小直径的10倍,且不应大于200mm。当受压钢筋直径大于25mm时,尚应在搭接接头两个端面以外100mm范围内各设置两道箍筋。
8.5.6 抗震设计时,框架柱箍筋应在下列范围加密:
1 底层柱的上端以及其他各层柱的上、下端取柱截面的长边尺寸、柱净高的1/6和500mm三者中的最大值。
2 底层柱的柱根不少于柱净高的1/3。当地面为刚性地面时,尚应在刚性地面上、下各500mm范围加密。
3 设置有牛腿的框架柱,牛腿以及其上、下各500mm范围;牛腿上、下柱段的净高与柱截面高度之比不大于4时,箍筋加密范围应取柱的全高。
4 下列框架柱的箍筋加密范围应取柱的全高:
1)框支柱和剪跨比不大于2的框架柱;
2)因填充墙等形成柱净高与柱截面长边尺寸之比不大于4的柱;
3)抗震等级一级和二级的角柱;
4)支承贮仓的框架柱以及支承重型设备的独立框架柱;
5)8度和9度,当防震缝两侧结构的层高相差较大时,防震缝两侧框架柱;
6)根据工程具体情况需要提高变形能力的框架柱。
8.5.7 抗震设计时,柱箍筋加密区的箍筋最大间距和最小直径应符合表8.5.7的要求,并应符合下列规定:
1 剪跨比不大于2的框架柱,以及竖向框排架结构中与顶层设置有纵向柱间支撑的排架柱相连接的下部框架柱,箍筋间距不应大于100mm。
2 一级框架柱的箍筋直径大于12mm且箍筋肢距不大于150mm,以及二级框架柱的箍筋直径不小于10mm且箍筋肢距不大于200mm,除底层框架的柱根外,箍筋的最大间距可采用150mm。
3 三级框架柱的截面尺寸不大于400mm时,箍筋最小直径可采用6mm。
4 四级框架柱剪跨比不大于2,或柱中全部纵向受力钢筋的配筋率大于3%时,箍筋最小直径不应小于8mm。
表8.5.7 柱箍筋加密区的箍筋最大间距和最小直径

注:1 d为柱的纵向受力刚筋的最小直径。
2 柱根指底层柱下端箍筋加密区范围。
8.5.8 抗震设计时,框架柱箍筋的设置尚应符合下列规定:
1 加密区箍筋应满足体积配箍率的要求,箍筋加密区体积配箍率应按现行国家标准《建筑抗震设计规范》GB 50011的规定执行。柱箍筋非加密区的箍筋体积配箍率不宜小于加密区的50%。
2 箍筋加密区的箍筋肢距,一级框架柱不宜大于200mm;二、三级框架柱不宜大于250mm和20倍箍筋直径二者中较大值;四级不宜大于300mm。每隔一根纵向钢筋宜在两个方向有箍筋或拉筋约束;采用拉筋复合箍时,拉筋宜紧靠纵向钢筋并钩住箍筋。
3 非加密区箍筋的间距,一、二级框架柱不应大于10倍纵向钢筋直径;三、四级框架柱不应大于15倍纵向钢筋直径。
8.5.9 抗震设计时,剪跨比不大于1.5的框架柱,钢筋的配置尚应符合下列规定:
1 箍筋应按提高一级抗震等级的要求配置,抗震等级一级时,应适当提高箍筋的要求。
2 框架柱每个方向应配置两根对角斜筋(图8.5.9),对角斜筋的直径,抗震等级一、二级时,分别不应小于20mm和18mm,三、四级时,不应小于16mm。对角斜筋的锚固长度(L a )不应小于其直径的40倍。

图8.5.9 对角斜筋配置
8.5.10 竖向框排架结构中与顶层设置有纵向柱间支撑的排架柱相连接的下部框架柱,全部纵向受力钢筋的配筋率应按本规范表8.5.3中角柱的要求采用。抗震设计时,箍筋间距不应大于100mm,箍筋加密范围应取柱的全高。
Ⅱ 框架梁
8.5.11 框架梁的截面尺寸应符合下列规定:
1 截面高度可取梁计算跨度的1/18~1/8,且梁净跨与梁截面高度的比值不宜小于4;
2 截面宽度不宜小于250mm;
3 梁的截面高度与宽度的比值不宜大于4;
4 不宜采用宽扁梁,不应采用宽度大于柱宽度的宽扁梁;
5 设置贮仓的框架,贮仓竖壁和隔板的截面尺寸尚应符合现行国家标准《构筑物抗震设计规范》GB 50191的有关规定。
条文说明
8.5.11 本条规定不宜采用宽扁梁,不应采用宽度大于柱宽度的宽扁梁,是因为宽扁梁,尤其大于柱宽度的扁梁的工作性能差,而且从厂房建筑和工艺角度考虑,必要时因梁高的原因调整厂房层高并不困难,因此规定不宜采用宽扁梁,不应采用宽度大于柱宽的宽扁梁。
8.5.12 框架梁纵向受力钢筋的配置应符合下列规定:
1 沿梁全长顶面和底面应至少各配置两根通长的纵向钢筋。钢筋的直径,非抗震设计和抗震设计三、四级时,不应小于12mm;抗震设计一、二级时,不应小于14mm,且分别不应少于框架梁两端顶面和底面纵向受力钢筋中较大截面面积的1/4。
2 抗震设计时,框架中间层中间节点处,框架梁的上部纵向钢筋应贯穿中间节点。贯穿中柱的每根纵向钢筋的直径应符合下列规定:
1)一、二、三级框架,不宜大于矩形截面柱在该方向尺寸的1/20,且9度时各类结构中的框架不宜大于矩形截面柱在该方向尺寸的1/25;
2)设置少量剪力墙的框架结构应按框架结构的规定采用。
3 梁支座截面承受负弯矩的纵向受拉钢筋不宜在受拉区截断。当必须截断时,应符合现行国家标准《混凝土结构设计规范》GB 50010的有关规定。
4 设置悬臂梁时,悬臂梁中应有不少于两根上部钢筋仲至悬臂梁外端,并应向下弯折不小于12倍钢筋直径。
5 梁上部纵向钢筋水平方向的净距不应小于30mm和纵向钢筋最大直径的1.5倍;梁下部纵向钢筋水平方向的净距不应小于25mm和纵向钢筋的最大直径。当梁的下部纵向钢筋配置多于两层时,2层以上钢筋水平方向的中距应比下面2层的中距增大一倍。在梁的配筋密集区域宜采用并筋形式。
8.5.13 抗震设计时,框架梁梁端纵向钢筋的配置尚应符合下列规定:
1 梁端计入受压钢筋的混凝土受压区高度和有效高度之比,一级不应大于0.25;二、三级不应大于0.35。
2 梁端截面的底部和顶部的纵向受力钢筋截面面积的比值除应按计算确定外,一级不应小于0.5;二、三级抗震等级不应小于0.3。
8.5.14 框架梁纵向受拉钢筋的最小配筋率,非抗震设计时不应小于0.2%和45f t /f y 二者的较大值。抗震设计时,不应小于表8.5.14规定的数值,并应符合本规范第8.5.15条的规定。
表8.5.14 抗震设计时框架梁纵向受拉钢筋的最小配筋率(%)

注:f t 、f y 分别为混凝土的轴心抗拉强度设计值和钢筋的抗拉强度设计值。
8.5.15 抗震设计时,梁端纵向受拉钢筋的配筋率不宜大于2.5%,不应大于2.75%。当梁端受拉钢筋的配筋率大于2.5%时,受压钢筋的配筋率不应小于受拉钢筋的1/2。
8.5.16 框架梁箍筋的设置应符合下列规定。抗震设计时尚应符合本规范第8.5.17条和第8.5.18条的规定:
1 当框架梁的剪力V<0.7f t bh 0 时,箍筋的配筋率ρ sv 应符合下列公式要求:

式中:b——梁的截面宽度;
h 0 ——梁截面的有效高度;
A sv ——同一截面内箍筋全部截面面积;
s——沿构件长度方向箍筋的间距;
V——梁斜截面上的最大剪力设计值;
f t ——混凝土轴心抗拉强度设计值;
f yv ——箍筋抗拉强度设计值。
2 框架梁应沿梁全长设置箍筋,第一个箍筋应距框架节点边缘不大于50mm处。
3 箍筋的直径不应小于6mm;梁截面高度大于800mm的梁,箍筋的直径不宜小于8mm。在纵向受力钢筋搭接长度范围内,箍筋的直径不应小于搭接钢筋最大直径的1/4。
4 箍筋的最大间距不应大于表8.5.16的规定,并应符合下列规定:
1)在纵向受力钢筋搭接范围内的箍筋间距,在受拉钢筋搭接长度范围内,不应大于搭接钢筋最小直径的5倍,且不应大于100mm;
2)在受压钢筋搭接长度范围内的箍筋间距,不应大于搭接钢筋最小直径的10倍,且不应大于200mm。当受压钢筋直径大于25mm时,尚应在搭接接头两个端面外100mm的范围内各设置两道箍筋。
表8.5.16 梁中箍筋的最大间距(mm)

5 当梁中配有按计算需要的纵向受压钢筋时,箍筋的配置尚应符合下列规定:
1)箍筋应采用封闭式,且应有135°弯钩,弯钩末端平直段长度不应小于箍筋直径的5倍。
2)箍筋间距不应大于纵向受压钢筋最小直径的15倍,且不应大于400mm;当一层内纵向受压钢筋多于5根且直径大于18mm时,箍筋间距不应大于受压钢筋最小直径的10倍。
3)当梁的宽度大于400mm且一层内的纵向受压钢筋多于3根,或当梁的宽度不大于400mm且一层内的纵向受压钢筋多于4根时,应设置复合箍筋。
8.5.17 抗震设计时,框架梁的两端箍筋应加密,加密区长度、加密区箍筋的最小直径和最大间距应按表8.5.17的规定采用。当框架梁端部纵向受拉钢筋的配筋率大于2%时,箍筋的最小直径应在表8.5.17的基础上增加2mm。
表8.5.17 梁端箍筋加密区长度、箍筋的最大间距和最小直径

注:1 表中d为纵向钢筋的最小直径,h b 为梁的截面高度。
2 箍筋直径大于12mm、数量不少于四肢且肢距不大于150mm时,一、二级的最大间距可放宽,但不得大于150mm。
8.5.18 抗震设计时,框架梁箍筋设置尚应符合下列规定:
1 沿梁全长的箍筋面积配筋率ρ sv 应符合下列公式要求:

2 梁端加密区范围内的箍筋肢距,抗震等级一级时,不宜大于200mm和20倍箍筋直径的较大值;抗震等级二、三级时,不宜大于250mm和20倍箍筋直径的较大值;抗震等级四级时,不宜大于300mm。
3 箍筋应有135°弯钩,弯钩末端平直段长度不应小于箍筋直径的10倍和75mm的较大值。
8.5.19 承受弯矩、剪力和扭矩的框架梁,其受扭箍筋的配置尚应符合下列规定:
1 箍筋的配筋率ρ sv 应满足下式要求:

2 箍筋中受扭所需的箍筋应做成封闭式,且应沿截面周边布置。当采用复合箍筋时,位于截面内部的箍筋不应计入受扭所需的箍筋面积。受扭所需箍筋的末端应做成135°弯钩,弯钩末端平直长度不应小于箍筋直径的10倍。
Ⅲ 梁、柱节点
8.5.20 框架梁、柱节点区梁、柱纵向钢筋的锚固构造应符合现行国家标准《混凝土结构设计规范》GB 50010的有关规定。
8.5.21 框架节点箍筋设置应符合下列规定:
1 非抗震设计时,框架节点水平箍筋的构造应符合本规范第8.5.5条的规定,但箍筋间距不宜大于250mm。对四边均有梁与之相连的中间节点,可只设置沿周边的矩形箍筋。当顶层端节点内设置有梁上部纵向钢筋与柱外侧受力钢筋搭接时,节点内水平箍筋的配置尚应符合本规范第8.5.5条第7款的规定。
2 抗震设计时,框架节点核芯区水平箍筋的最大间距和最小直径应符合本规范表8.5.7的规定。一、二、三级框架节点核芯区,配箍特征值分别不应小于0.12、0.10和0.08,且体积配筋率分别不宜小于0.6%、0.5%和0.4%。当框架柱的剪跨比不大于2时,其节点核芯区体积配筋率不宜小于核芯区上、下柱端体积配筋率中的较大值。体积配筋率和框架节点核芯区配箍特征值应按现行国家标准《混凝土结构设计规范》GB 50010的规定采用。
8.6 剪力墙的构造要求
8.6 剪力墙的构造要求
8.6.1 本节适用于框架-剪力墙结构和设置少量剪力墙的框架结构中的剪力墙。
8.6.2 剪力墙的长度不宜大于8m,每个独立墙肢截面高度与厚度之比不宜小于4。
8.6.3 剪力墙的厚度应符合下列规定:
1 非抗震设计时,剪力墙的厚度不应小于160mm,且不宜小于层高的1/20;
2 抗震设计时,剪力墙的厚度,底部加强部位不应小于200mm,且不宜小于层高或无支长度的1/16。其他部位不应小于160mm,且不宜小于层高或无支长度的1/20。
条文说明
8.6.1~8.6.3 本规范中的剪力墙,包括设置少量剪力墙的框架结构(少墙框架结构)中的剪力墙和框架-抗震墙结构中的剪力墙。框架-剪力墙结构中的剪力墙,是作为该结构体系第一道防线的主要的抗侧力构件,因此结构布置、结构计算分析以及截面设计应符合框架-剪力墙结构的规定要求,其抗震构造措施需要比剪力墙结构中的剪力墙有所加强。而设置少量剪力墙的框架结构,剪力墙在该结构体系中的地位不同于框架-剪力墙结构中的剪力墙。现行国家标准《建筑抗震设计规范》GB 50011规定,设置少量剪力墙的框架结构,其剪力墙的抗震措施可仍按剪力墙结构体系中的剪力墙的规定执行。 关于设置少量剪力墙的框架结构的剪力墙的厚度以及竖向和水平分布钢筋配筋率配筋的规定,是依据现行国家标准《建筑抗震设计规范》GB 50011,参照现行行业标准《高层建筑混凝土结构设计规程》JGJ 3的相关规定,并考虑工业厂房结构工作环境的特点,剪力墙的最小厚度按不小于160mm考虑,并按剪力墙部分承受的地震倾覆力矩与结构总地震倾覆力矩比值为小于20%和等于或大于20%,对剪力墙的厚度以及竖向和水平分布钢筋配筋率配筋作了规定。
8.6.4 有端柱时,剪力墙墙体在楼盖处宜设置暗梁,暗梁的截面高度可取墙厚的2倍和400mm的较大值;端柱截面宜与同层框架柱相同,并应符合本规范第8.5节有关框架柱的要求;剪力墙底部加强部位的端柱和紧靠抗震墙洞口的端柱,宜按柱箍筋加密区的要求沿全高加密箍筋。暗梁的配筋可按构造配置,且应满足框架梁相应抗震等级的最小配筋要求。
8.6.5 抗震设计时,剪力墙底部加强部位的范围应符合下列规定:
1 剪力墙底部加强部位的高度应从剪力墙基础顶面算起;对于设置地下室的厂房,应从地下室顶板算起。
2 厂房高度大于24m时,底部加强部位的高度可取底部两层的高度和剪力墙墙体总高度的1/10中的较大值;厂房高度不大于24m时,底部加强部位可取底部一层。
3 对于设置地下室的厂房,当结构计算嵌固端位于地下室一层的底板或以下时,底部加强部位的范围宜向下延伸到计算嵌固端。
8.6.6 抗震设计时,一、二、三级剪力墙在重力荷载代表值作用下,墙肢轴压比不宜超过表8.6.6的限值。
表8.6.6 墙肢的轴压比限值

注:剪力墙墙肢轴压比指在重力荷载代表值作用下,墙的轴压力设计值与墙肢的全截面面积和混凝土抗压强度设计值乘积的比值。
8.6.7 抗震设计时,剪力墙两端和洞口两侧应设置边缘构件,应包括暗柱、端柱和翼墙,边缘构件的设置应符合下列规定:
1 一、二、三级剪力墙,当底层墙肢底截面的轴压比大于本规范表8.6.7的规定时,应在底部加强部位及其相邻上一层设置约束边缘构件,以上其他部位可设置构造边缘构件;
2 四级及底层墙肢底截面的轴压比不大于表8.6.7规定的一、二、三级剪力墙时,可设置构造边缘构件。
表8.6.7 剪力墙设置构造边缘构件的最大轴压比

8.6.8 剪力墙的构造边缘构件和约束边缘构件的设计,应按现行国家标准《混凝土结构设计规范》GB 50010和《建筑抗震设计规范》GB 50011的有关规定执行。
8.6.9 非抗震设计时,剪力墙墙肢两端应配置竖向受力钢筋,竖向钢筋应满足正截面承载力计算要求,且每端不宜少于4根直径12mm的钢筋,箍筋直径不应小于6mm,间距不宜大于250mm。
8.6.10 剪力墙竖向和水平分布钢筋配筋率应符合下列规定:
1 非抗震设计时,不应小于0.20%;
2 抗震设计时,不应小于0.25%。
8.6.11 温度、收缩应力较大的部位、剪力墙竖向和水平分布钢筋的配筋率宜提高。
条文说明
8.6.11 温度、收缩应力较大的部位,主要指房屋顶层墙、楼梯(电梯)间墙以及端开间墙等,是剪力墙温度应力和收缩应力较大和易开裂部位,要根据工程经验适当提高墙体竖向和水平分布钢筋的配筋率,以抵抗温度和收缩应力的不利影响。
8.6.12 剪力墙竖向和水平分布钢筋均应双排布置,并应符合下列规定:
1 竖向和水平分布钢筋的直径不宜小于墙厚的1/10,并应符合下列规定:
1)非抗震设计时,竖向和水平分布钢筋直径均不宜小于8mm;
2)抗震设计时,设置少量剪力墙的框架结构,剪力墙竖向和水平分布钢筋直径不应小于8mm,且竖向分布钢筋的直径不宜小于10mm;框架-剪力墙结构的剪力墙,竖向和水平分布钢筋直径均不宜小于10mm。
2 双排分布钢筋应沿墙的两个侧面布置,竖向和水平分布钢筋的间距不宜大于300mm,且应采用拉筋拉结,拉筋直径不应小于6mm,间距不应大于600mm。
8.6.13 剪力墙设置有小洞口,当各边长度小于800mm,且在结构整体计算不计入其影响时,洞口配筋应符合下列规定:
条文说明
8.6.13 本条规定了设备或工艺管道穿过剪力墙时,墙上开洞的构造措施。适用于开洞较小,在整体计算中不考虑其影响时的情况。
1 应将剪力墙在洞口处被截断的竖向分布钢筋和水平钢筋总量的1/2,分别集中配置在洞口左、右和上、下两边,且每边集中配置的钢筋不应少于2根,直径不应小于12mm,钢筋自洞口边伸入墙内的锚固长度应满足受拉钢筋锚固长度的要求;
2 当洞口有设备或工艺管道穿过时,设备或管道不宜支承在墙上,有振动的设备和管道不应支承在墙上。洞口周边应设置暗柱和暗梁进行加强,每个暗柱和暗梁的纵向配筋不应小于4根,直径不应小于12mm,箍筋直径不应小于8mm,间距不应大于200mm(图8.6.13)。

图8.6.13 洞口暗柱和暗梁
8.6.14 剪力墙构造除应符合本节的规定外,尚应符合现行国家标准《混凝土结构设计规范》GB 50010和《建筑抗震设计规范》GB 50011的有关规定。
9 多层钢结构厂房
9.1 一般规定
9 多层钢结构厂房
9.1 一般规定
9.1.1 本章适用于下列结构体系:
1 框架结构;
2 框排架结构,包括侧向框排架结构和竖向框排架结构;
3 框架-支撑结构,应包括框架-中心支撑结构和框架-偏心支撑结构。
9.1.2 钢结构厂房适用的最大高度应符合下列规定:
1 框架结构和框架-支撑结构厂房适用的最大高度,抗震设计时,应符合现行国家标准《建筑抗震设计规范》GB 50011的有关规定;非抗震设计时,可按抗震设防烈度6度的规定采用。
2 框排架结构的最大适用高度,应按框排架结构中多层部分的结构类型,根据本条规定的最大适用高度采用。竖向框排架结构厂房的高度,应按上部排架柱顶面标高计算。
3 楼层上设置有贮仓、槽罐以及大型重设备的厂房,最大适用高度宜降低。
4 当设备穿越多层楼层,使楼层楼面板大开洞口,楼层的平面内刚度严重削弱时,厂房的最大适用高度宜降低。
5 平面和竖向均不规则的结构,适用的最大高度宜降低。
6 高度超过规定适用的最大高度时,应进行专门研究和论证,并应采取加强措施。
条文说明
9.1.1、9.1.2 多层钢结构厂房的结构类型较多采用框架和框排架结构。 框架-支撑结构的支撑部分在结构中起着类似剪力墙的作用,无论从承载力还是从变形角度考虑都十分有效,因此在抗震设防高烈度区,当结构刚度不满足要求,或根据需要必须采用单跨框架结构,或抗震设防区楼层上设置有重型设备或贮仓时,经过技术经济比较合理时,可以采用框架-支撑结构。 本规范对多层钢结构厂房与多层钢筋混凝土结构厂房一样,没有区分多层和高层,是为与国家现行标准《建筑抗震设计规范》GB 50011和《冶金建筑抗震设计规范》YB 9081一致,方便设计执行。厂房结构的相关设计规定中,当考虑不同高度厂房的不同设计要求时,在相关规定中以厂房高度为界予以考虑。 有色金属工业厂房高度一般不超过60m,因此规定适用的最大高度,抗震设计时,按现行国家标准《建筑抗震设计规范》GB 50011的规定执行,非抗震设计时,比照6度时适用的最大高度的规定执行。
9.1.3 抗震设计时,多层钢结构厂房结构应根据设防类别、烈度、厂房高度采用不同的抗震等级,并应符合相应的计算和构造措施要求。丙类厂房结构的抗震等级应按表9.1.3的规定确定。当厂 房高度接近或等于表9.1.3中的高度分界时,应结合厂房结构的不规则程度、楼层设备重量和布置情况,以及场地、地基条件等确定结构抗震等级。
条文说明
9.1.3 本条为强制性条文。本条规定与现行国家标准《建筑抗震设计规范》GB 50011的有关规定一致。有色金属工业多层钢结构厂房应当根据工程所在地的抗震设防类别、抗震设防烈度以及厂房高度采用不同的抗震等级,并要符合相应的计算和抗震构造措施要求,采用与其抗震等级对应的“作用效应调整系数”和“抗震构造措施”,以满足厂房的抗震要求。考虑到多层厂房柱距大,结构布置不规则,荷载大且不均匀布置,结构受力复杂等,其抗震等级的高度分界比民用建筑降低10m。
表9.1.3 钢结构多层厂房结构抗震等级

9.1.4 厂房柱脚应能保证传递柱的承载力,宜采用埋入式、插入式或外包式,并应符合本规范第7.3节的有关规定。
9.2 结构体系和结构布置
9.2 结构体系和结构布置
9.2.1 钢结构厂房的结构体系和结构布置应符合本规范第3.2节和本节的有关规定。
9.2.2 框架-支撑结构的布置应符合下列规定:
1 支撑框架在两个方向均宜对称布置,支撑框架之间楼盖的长宽比不宜大于3。
2 支撑框架宜布置在荷载较大的柱间,支撑框架宜上下连续贯通;当受工艺设计条件限制必须错开布置时,应在紧邻柱间连续布置,并宜增加附近楼层或屋面的水平支撑或柱间支撑相互搭接一层,应确保支撑承担的水平荷载和水平地震作用传递至基础。
3 有抽柱的结构,应增加相邻楼、屋盖的水平支撑,并应在相邻柱间设置竖向支撑。
4 支撑的形式沿竖向宜一致。对于采用偏心支撑的厂房,顶层可采用中心支撑。
5 支撑的轴线与框架梁、柱中心线宜在同一平面内。
6 框架-支撑结构的支撑水平杆兼作框架横梁时,框架横梁沿厂房应连续贯通。
7 各柱列的纵向刚度宜相等或接近。
条文说明
9.2.2 框架-支撑结构体系中支撑框架的布置,应遵循抗侧力中心与水平地震作用合力接近重合的原则,要求在两个方向均宜对称布置,同时支撑框架之间楼盖的长宽比不宜大于3,以保证抗侧力刚度沿长度分布均匀。 中心框架-支撑结构,交叉支撑可按拉杆设计,比较经济,而且构造简单。偏心支撑具有弹性阶段刚度接近中心支撑框架,弹塑性阶段的延性和消能能力接近于延性框架的特点,是一种良好的抗震结构,但构造相对中心框架-支撑结构复杂,因此本条规定,非抗震设计和抗震设计时抗震等级三级、四级且高度不大于40m的厂房,宜优先采用中心框架-支撑结构;抗震等级一级、二级时宜采用偏心支撑。 支撑杆件宜采用整根材料。当采用焊接型钢时,应采用整根型钢制作支撑杆件;当采用热轧型钢时,拼接处应采用拼接板加强,确保杆件达到等强接长。
9.2.3 框排架结构厂房结构布置应符合本规范第8.2.4条的规定。
9.2.4 中心支撑框架应符合下列规定:
1 中心支撑框架的支撑宜采用交叉支撑,也可采用人字形支撑、单斜杆支撑和V字形支撑(图9.2.4-1),不宜采用K形支撑。抗震设计时不应采用K形支撑。

图9.2.4-1 中心支撑框架
2 支撑框架的框架梁、柱应采用刚性连接。支撑的两端与框架应采用刚性连接,而结构计算分析时可按铰接计算。
3 支撑杆件的轴线宜交汇于框架梁柱构件轴线的交点,当构造上确有困难时,偏离交点的偏心距不应超过支撑杆件宽度。
4 当采用只能受拉的单斜杆支撑时,应同时设置不同倾斜方向的两组斜杆,且每组中不同方向单斜杆的截面面积在水平方向的投影面积之差不应大于10%(图9.2.4-2)。

图9.2.4-2 单斜杆支撑的布置
条文说明
9.2.4 中心支撑宜优先采用交叉支撑,也可采用人字形支撑、单斜杆支撑和V字形支撑,不宜采用K形支撑;抗震设计时不应采用K形支撑,因为K形支撑在地震作用下有可能因受压斜杆屈曲或受拉斜杆屈服引起较大的侧向变形,使柱发生屈曲甚至倒塌,故在抗震设防区的厂房结构中不应再采用。
9.2.5 偏心支撑框架应符合下列规定:
1 支撑由支撑斜杆及与其相交的框架梁段组成,可采用单斜杆形和人字形(图9.2.5)。

图9.2.5 偏心支撑框架
2 偏心支撑的每根支撑轴线应至少有一端在框架的梁柱节点以外与框架梁轴线相交。
3 支撑框架的框架梁、杜应采用刚性连接。支撑的两端与框架应采用刚性连接,而结构计算分析时可按铰接计算。
条文说明
9.2.5 偏心支撑框架无论采用何种支撑形式,每根支撑至少有一端应偏离梁、柱节点而直接与框架梁连接,而不是交在梁与柱的交点。在支撑节点与梁柱节点之间的框架梁段或支撑节点与另一支撑节点之间有一段梁,这段梁称为耗能梁段。在大震作用下通过耗能梁段的非弹性变形耗能,达到抗震耗能。偏心支撑框架体系的耗能能力,很大程度取决于耗能梁段。
9.2.6 屈曲约束支撑框架的支撑宜采用人字形支撑、成对布置的单斜杆支撑等形式,不应采用K形或X形。支撑与柱的夹角宜为35°~55°。
9.2.7 钢结构厂房,当设置地下室时,框架-支撑结构中竖向连续布置的支撑应延伸至基础;钢框架柱应至少延伸至地下一层,其竖向荷载应直接传至基础。
9.2.8 厂房楼(屋)盖结构应符合下列规定:
1 宜采用现浇钢筋混凝土楼板、压型钢板现浇钢筋混凝土组合楼板。非抗震设计和抗震设计6、7度且高度不超过40m的厂房,尚可采用装配整体式钢筋混凝土楼板,亦可采用装配式钢筋混凝土楼板和钢铺板。各种类型楼板均应与厂房主体结构钢梁和楼盖钢梁有可靠连接,应确保楼盖的整体性。
2 设置有振动设备的楼层以及楼板开洞较大,楼层刚度削弱较大的楼层以及直接支承设备的楼板,应采用现浇钢筋混凝土楼板或现浇钢筋混凝土组合楼板。
3 竖向框排架结构中,顶层排架下部嵌固楼层应采用现浇混凝土楼板或现浇混凝土组合楼板,楼板厚度不宜小于150m,并应双层双向配筋。
4 钢铺板楼盖结构,宜沿楼盖四周设置水平支撑;楼板大开洞处以及厂房柱间支撑相应位置应设置水平支撑。当各榀框架侧向刚度相差较大、柱间支撑布置又不规则时,应设置水平支撑。
5 楼盖主、次钢梁的连接宜采用平接方案,即主梁和次梁顶面宜为同一标高。次梁与主梁的连接宜采用铰接构造。次梁有悬臂端时,应采用连续梁布置方案。
6 设置有设备的楼层,应按本规范第3.2.3条第7款的规定设置钢梁支承设备荷载。
7 有腐蚀性环境的楼层,楼盖结构的设计尚应符合现行国家标准《工业建筑防腐蚀设计规范》GB 50046的有关规定。
9.3 计算要点
9.3 计算要点
9.3.1 结构计算分析应符合本规范第6章的规定。结构层间变形应符合本规范第3.4节的规定。钢结构构件和节点设计应符合现行国家标准《钢结构设计规范》GB 50017、《建筑抗震设计规范》GB 50011等的有关规定。
9.3.2 厂房结构的变形和内力可采用弹性方法计算。抗震设计时,除应进行地震作用下的弹性效应计算外,尚应根据规定进行结构在罕遇地震作用下弹塑性的变形验算。
9.3.3 结构的作用效应计算时,楼、屋面板的刚性假定应符合本规范第6.3.2条的有关规定。
9.3.4 结构进行弹性分析时,现浇钢筋混凝土楼盖、压型钢板现浇钢筋混凝土组合楼板和装配整体式楼盖中梁的刚度,宜计入翼缘的作用予以增大,刚度增大系数,对于现浇钢筋混凝土楼板,可取1.5~2.0;对于压型钢板现浇钢筋混凝土组合楼板,可取1.2~1.5。单边有楼板的梁宜取小值。无现浇面层的装配式楼盖、钢铺板楼盖不宜计入翼缘的作用,钢铺板楼盖不应计入翼缘的作用。结构弹塑性分析时,不宜计入梁与楼板的共同工作。
条文说明
9.3.4 在弹性计算时,楼板和钢梁可考虑协同工作。弹塑性分析时,楼板可能严重开裂,故不宜考虑共同工作。 本条规定的楼板和钢梁协同工作时,框架梁刚度的增大系数,考虑了有色金属工业厂房的实际情况,参照了现行行业标准《冶金建筑抗震设计规范》YB 9081和《高层民用建筑钢结构技术规程》JGJ 99的规定。
9.3.5 结构弹性方法计算时,应计入梁、柱的弯曲变形和柱的轴向变形,并宜计入梁、柱的剪切变形,以及梁柱节点域剪切变形对侧移的影响。
条文说明
9.3.5 结构计算时,计入梁柱节点域剪切变形对高层建筑钢结构侧移的影响,可按现行国家标准《高层民用建筑钢结构技术规程》JGJ 99-98第5.2.8条和第5.2.9条的规定,采用近似将梁柱节点域当作一个单独的单元进行结构分析的方法。
9.3.6 厂房结构计入重力二阶效应影响的计算,应符合现行国家标准《钢结构设计规范》GB 50017的有关规定;抗震设计时,应符合现行国家标准《建筑抗震设计规范》GB 50011的有关规定。
9.3.7 抗震设计时,框架-支撑结构的框架部分按刚度分配计算所承担的地震剪力,不应小于结构底部总剪力的25%和框架部分计算最大层剪力的1.8倍二者的较小值,不满足时,应进行调整,应使框架部分承担的剪力不小于本条两个数值中的较小值。
条文说明
9.3.7 框架-支撑结构是双重抗侧力体系结构,要求支撑构件具有一定的刚度和抗侧力能力,同时要求框架部分有相应的刚度和抗侧力能力,以发挥多道抗震防线的作用。框架部分承担的地震剪力不应小于结构底部总地震剪力的25%和框架部分计算地震剪力最大值1.8倍二者的最小值,当结构计算得到的地震剪力不满足上述规定要求时,应按上述规定要求调整。本条规定与现行国家标准《建筑抗震设计规范》GB 50011的有关规定一致。
9.3.8 中心支撑框架的计算应符合下列规定:
1 当支撑斜杆轴线偏离框架梁柱轴线交点的距离不超过支撑杆件的宽度时,可按中心支撑框架进行计算,但应计入由此产生的附加弯矩;
2 人字形支撑和V形支撑的框架梁在支撑连接处应保持连续,并应按不计入支撑支点作用的梁验算重力荷载和支撑屈曲时不平衡力作用下的承载力。不平衡力应按受拉支撑的最小屈服承载力和受压支撑最大屈曲承载力的30%计算。必要时,人字形支撑和V形支撑可沿竖向交替设置。
9.3.9 抗震设计时,偏心支撑框架中与消能梁段相连接构件的内力设计值,应取消能梁段达到受剪承载力时该构件的内力乘以增大系数,增大系数不应小于表9.3.9的规定。
条文说明
9.3.9 本条规定与现行国家标准《建筑抗震设计规范》GB 50011的有关规定相一致。为使偏心支撑框架仅在消能梁段屈服,支撑斜杆、柱和非消能梁段的内力设计值应根据消能梁段屈服时的内力确定,并考虑消能梁段的实际有效超强系数,再根据各构件的承载力抗震调整系数,确定斜杆、柱和非消能梁段保持弹性所需的承载力。
表9.3.9 偏心支撑框架构件内力增大系数

9.3.10 厂房结构的节点连接,非抗震设计时,应按结构处于弹性受力阶段设计;抗震设计时,应按处于弹性受力阶段和结构进入弹塑性阶段分别进行设计。节点连接的承载力应高于构件截面的承载力。
9.4 框架的结构构造
9.4 框架的结构构造
9.4.1 框架柱宜采用工字形截面或箱形截面。当在两个互相垂直方向都与框架梁刚接时,宜采用箱形截面柱;当仅在一个方向刚接时,宜采用工字形截面,并宜将柱腹板(强轴)置于刚接框架平面内。
条文说明
9.4.1 在框架结构中,要求柱在框架平面内有较大的惯性矩,而在截面面积相同的情况下,工字形柱绕弱轴的惯性矩比箱形截面的惯性矩小,因此在互相垂直的方向都组成框架的柱宜采用箱形截面。十字形截面柱虽然在两个方向都具有较大的惯性矩,但构造、施工和安装均较复杂,一般适用于钢骨混凝土柱的情况。
9.4.2 框架梁与柱刚性连接时,在梁翼缘上、下各500mm的范围内,组合截面柱的组合焊缝应采用全熔透坡口焊缝。
9.4.3 框架梁宜采用双轴对称的轧制或焊接的组合工字形截面,也可根据工程的具体条件,采用上下翼缘不等的不对称工字形截面。必要时也可采用箱形截面。
9.4.4 框架柱的长细比和框架梁、柱板件的宽厚比,应符合现行国家标准《钢结构设计规范》GB 50017和《建筑抗震设计规范》GB 50011的规定。
条文说明
9.4.4 本条规定的框架柱长细比限值,依据现行国家标准《钢结构设计规范》GB 50017和《建筑抗震设计规范》GB 50011的规定。
9.4.5 柱与柱的工厂接头应采用全熔透焊缝连接。
9.4.6 柱与柱的工地接头连接应符合下列规定:
条文说明
9.4.6 本条规定主要考虑柱与柱连接接头位置放在柱受力小的部位。
1 工地拼接接头应设置在框架梁上方,与梁上方的距离,可取1.3m和框架柱净高1/2二者的较小值。
2 工地拼接接头处上、下各100mm范围内,工字形截面柱和采用组合截面柱时的翼缘与腹板间,以及箱形截面柱角部壁板间的焊缝,应采用全熔透坡口焊缝。
3 在工地拼接接头部位应设置耳板、夹具等定位连接件。耳板厚度应根据阵风和其他的施工荷载确定,且不得小于10mm。耳板宜仅设置于柱的一个方向的两侧,或柱接头受弯应力最大处。
4 工字形截面柱和箱形截面柱的工地连接尚应符合本规范第9.4.7条和第9.4.8条的规定。
9.4.7 工字形截面柱的工地连接尚应符合下列规定:
1 非抗震设计时,翼缘接头应采用坡口全熔透焊缝,腹板可采用高强度螺栓连接。当采用全焊接接头时,上柱翼缘应开V形坡口;腹板应开K形坡口。
2 抗震设计时,翼缘和腹板均应采用全熔透焊缝连接。
条文说明
9.4.7 本条规定,考虑按内力设计的工字形截面柱工地拼接,分别非抗震设计和抗震设防时的情形,给出了相应的不同规定。
9.4.8 箱形柱在工地的连接接头应全部采用全熔透焊接(图9.4.8),并应符合下列规定:
1 下节柱的上端应设置隔板,并应与柱口齐平,厚度不宜小于16mm。其边缘应与柱口截面一起刨平。
2 在上节柱安装单元的下部附近,应设置横隔板,其厚度不宜小于10mm。

图9.4.8 箱形柱的工地连接构造
条文说明
9.4.8 图9.4.8所示箱形柱的工地接头,是日本在高层建筑钢结构中采用的典型构造方式,在我国已被广泛采用。
9.4.9 框架柱沿竖向改变截面尺寸时,可采用柱截面周边尺寸不变,而改变翼缘厚度的做法,也可采用改变柱截面周边尺寸的做法。变截面段宜避开梁柱连接节点且变截面段应作为下段柱的一部分由工厂完成。当采用改变柱截面周边尺寸时,框架柱的连接构造应符合下列规定:
条文说明
9.4.9 当柱需要改变截面时,宜将变截面段设于主梁接头部位,使柱在层间保持等截面。
1 边柱宜采用图9.4.9(a)的做法,结构计算时应计入上下柱偏心产生的附加弯矩;中柱可采用图9.4.9(b)的做法。当变截面段设置在梁柱连接节点时,可采用图9.4.9(c)的做法。
2 柱变截面处的上下端均应设置横隔板。

图9.4.9 柱的变截面连接构造
9.4.10 框架梁与柱的连接宜采用柱贯通型。
9.4.11 框架梁与工字形柱翼缘(强轴)(图9.4.11)以及箱形柱刚性连接时,节点连接构造应符合下列规定:
1 柱在梁翼缘的对应位置,工字形柱应设置横向加劲肋,箱形柱应设置隔板,横向加劲肋(隔板)的中心线应与梁翼缘的中心线应一致,并应符合下列规定:
1)横向加劲肋(隔板)的厚度,非抗震设计时,横向加劲肋(隔板)应能传递梁翼缘的集中力,厚度应满足计算要求,且不得小于梁翼缘厚度的1/2。横向加劲肋(隔板)的厚度尚应符合板件宽厚比限值的要求;抗震设计时,不应小于梁翼缘厚度,外边缘与梁翼缘外边缘应对齐,强度和梁翼缘应相同。
2)箱形截面柱隔板与柱壁板应采用坡口全熔透对接焊缝连接;工字形截面柱的横向加劲肋与柱翼缘宜采用坡口全熔透对接焊缝连接,与腹板可采用角焊缝连接。
2 梁翼缘与柱翼缘应采用全熔透坡口焊缝连接,抗震设计时的一级、二级框架,梁翼缘与柱翼缘的全熔透坡口焊缝应检验V形切口的冲击韧性,其夏比冲击韧性在—20℃时不应低于27J。
3 梁腹板与柱宜采用摩擦型高强度螺栓连接,有条件时也可采用焊接。
4 当节点域的腹板厚度不满足规定要求时,应采取加厚柱腹板或采取贴焊补强板的措施。补强板的厚度及其焊缝应按传递补强板所分担剪力的要求设计。节点域的计算和构造应按国家现行标准《钢结构设计规范》GB 50017、《建筑抗震设计规范》GB 50011和《高层民用建筑钢结构技术规程》JGJ 99的有关规定执行。
5 采用悬臂梁段时,悬臂梁段与柱的连接应采用全焊缝连接,且上、下翼缘焊接孔的形式宜相同。

图9.4.11 框架梁与工字形柱翼缘刚性连接
9.4.12 当柱两侧的梁高不等时,柱在每个梁翼缘对应位置均应按本规范第9.4.11条第1款的规定设置横向加劲肋,且加劲肋间距不应小于150mm和横向加劲肋的宽度[图9.4.12(a)]。当不能满足上述要求时,应调整梁端部截面高度,可采取在截面高度较小的梁端部增设竖向加腋的措施,局部加大框架梁腹板高度,腋部翼缘的坡度不得大于1:3[图9.4.12(b)]。两个互相垂直方向连接的框架梁高度不等时,均应按本条规定进行处理。

图9.4.12 柱两侧的梁高不等时的节点构造
9.4.13 当框架梁与柱在垂直于工字形截面柱腹板(弱轴)刚性连接时,应符合下列规定:
1 柱在梁翼缘的对应位置应设置横向加劲肋,在梁高范围内应设置竖向连接板,横向加劲肋和竖向连接板的厚度和强度应分别与梁翼缘和腹板相同。加劲肋与柱的翼缘和腹板均应采用全熔透焊缝连接,竖向连接板与柱腹板的连接应采用角焊缝连接。
2 框架梁与柱的工地连接(图9.4.13)时,梁翼缘与柱横向加劲肋应采用全熔透坡口焊缝连接,并应避免连接处板件宽度突变;梁腹板与竖向连接板采用高强度螺栓连接。
3 采用悬臂梁段时,悬臂梁段与柱的连接应符合本规范第9.4.11条第5款的规定。

图9.4.13 框架梁垂直于工字形柱腹板与柱刚性连接构造
9.4.14 梁与柱铰接连接时,柱在梁上下翼缘相对应的位置应设置横向加劲肋,梁与柱的连接应符合下列规定:
1 梁与柱翼缘(强轴)连接时,在柱翼缘设置连接角钢(连接板),应采用高强度螺栓与梁腹板连接[图9.4.14(a)]。
2 梁与柱腹板(弱轴)连接时,在柱上相应位置设置竖向连接板与柱腹板和横向加劲肋焊接,应采用高强度螺栓与梁腹板连接[图9.4.14(b)]。
3 梁与柱铰接连接节点应按承受梁端剪力和偏心弯矩M进行设计,偏心弯矩M应按下式计算:


图9.4.14 梁柱铰接连接
9.4.15 采用柱带悬臂梁段的悬臂梁与框架梁的工地连接接头应符合下列规定:
1 悬臂梁段的长度,自柱中心线算起的外伸长度不宜大于1.6m。
2 连接接头应符合下列规定:
1)翼缘可采用全熔透焊缝连接,腹板可采用摩擦型高强度螺栓连接;
2)翼缘和腹板均可采用摩擦型高强度螺栓连接;
3)翼缘和腹板均可采用全熔透焊缝连接。
条文说明
9.4.15 本条所述悬臂梁段的长度,主要从梁与梁的连接点位置避开框架梁最大应力区考虑。梁与梁的连接形式中,翼缘采用全熔透焊缝连接,腹板采用摩擦型高强度螺栓的连接形式应用最多。
9.4.16 框架梁、柱构件受压翼缘应根据需要设置侧向支承;梁、柱构件在出现塑性铰的截面处,其上、下翼缘均应设置侧向支承。梁、柱构件侧向支承的设计应符合现行国家标准《钢结构设计规范》GB 50017的规定。
9.4.17 框架梁、柱板件的宽厚比应满足构件的整体稳定和局部稳定要求,并应按现行国家标准《钢结构设计规范》GB 50017等的有关规定执行;抗震设计时,尚应符合现行国家标准《建筑抗震设计规范》GB 50011的有关规定。
9.4.18 多层框架结构柱脚应能保证传递柱的承载力,宜采用埋入式或外包式;非抗震设计和抗震设计6度、7度且高度不超过40m时,也可采用外露式。
9.5 框架 支撑的结构构造
9.5 框架-支撑的结构构造
9.5.1 支撑杆件宜采用轧制宽翼缘H型钢,以及角钢或槽钢的组合截面等抗压、抗拉承载性能良好的截面。抗震设计时,一级、二级、三级结构的支撑杆件宜采用H型钢;一级和二级采用焊接工字形截面的支撑时,其翼缘与腹板的连接宜采用全熔透连续焊缝。
9.5.2 支撑杆件的平面外长细比宜小于平面内的长细比。支撑构件宜采用双轴对称截面,当采用双角钢组成的T形截面等单轴对称截面时,应采取防止构件扭转屈曲的构造措施。
9.5.3 支撑杆件的长细比应符合下列规定:
1 中心支撑的支撑杆件长细比不应大于表9.5.3的限值。
表9.5.3 中心支撑的支撑杆件长细比限值

注:1 表列数值适用于Q235钢,采用其他牌号钢材时,应乘以 
;圆管应乘以235/f y 。
2 对于可能受拉和受压的杆件,应按受压杆件的规定采用。
2 偏心支撑框架的支撑杆件长细比不应大于120 
。
9.5.4 中心支撑杆件的板件宽厚比,非抗震设计时,不应超过现行国家标准《钢结构设计规范》GB 50017规定的轴心受压构件在弹性设计时的宽厚比限值;抗震设计时,不应超过现行国家标准《建筑抗震设计规范》GB 50011规定的限值。采用节点板连接时,尚应保证节点板的强度和稳定。
9.5.5 中心支撑节点的构造应符合下列规定:
1 支撑杆件的轴线宜交汇于框架梁、柱构件轴线的交点,当构造上确有困难时,偏离交点的偏心距不应超过支撑杆件宽度,并应符合本规范第9.3.8条第1款的规定。
2 支撑两端与框架采用刚接构造时,框架梁、柱与支撑连接处,工字形截面柱应设置加劲肋,箱形截面柱应设置隔板。
3 框架梁在与V形支撑或人字形支撑相交处应设置侧向支承。该支承点与梁端支承点间的侧向长细比以及支承力应符合现行国家标准《钢结构设计规范》GB 50017中有关塑性设计的规定。
4 支撑与框架采用节点板连接时,应符合现行国家标准《钢结构设计规范》GB 50017的有关规定。
5 当支撑与框架采用节点板连接时,节点板每侧边缘与连接杆件轴线的夹角不应小于30°。抗震设计时,支撑端部至节点板最近嵌固点(节点板与框架构件焊缝的端部)在沿支撑杆件轴线方向的距离不宜小于节点板厚度的2倍,抗震设计一、二级支撑框架不应小于节点板厚度的2倍(图9.5.5)。当支撑采用轧制工字形杆件时,支撑端部宜放大或做成圆弧形。

图9.5.5 支撑杆件端部节点板构造
9.5.6 偏心支撑框架消能梁段的钢材屈服强度不应大于345MPa。偏心支撑消能梁段及与消能梁段同一跨内的非消能梁段板件的宽厚比,应符合现行国家标准《建筑抗震设计规范》GB 50011规定的宽厚比限值。支撑杆件的板件宽厚比不应超过现行国家标准《钢结构设计规范》GB 50017规定的轴心受压构件在弹性设计时的宽厚比限值。
附录A改建与扩建工程结构设计原则
附录A 改建与扩建工程结构设计原则
A.0.1 改建和扩建工程,应包括延长既有厂房使用年限、改变用途,以及扩建或加固等。
A.0.2 改建和扩建工程结构设计前,应对既有厂房结构进行调查研究和可靠性鉴定。抗震设防区工程尚应进行建筑抗震鉴定。
A.0.3 对既有厂房结构的调查应包括下列内容:
1 查阅设计文件和相关原始资料,应包括施工图和相关资料、结构计算书、岩土工程勘察报告等,以及加固、改造图纸和相关资料。
2 查阅施工文件,应包括竣工图、施工验收记录以及施工过程的隐蔽工程记录和事故处理资料等。
3 调查厂房使用历史情况,应包括施工、维修、加固、变更用途、变更使用条件和受灾害情况,以及相关厂房使用的检测记录等。
4 现场调查,应调查既有厂房的现状、实际使用条件、内外环境和存在问题等,以及厂房现状与本条第1款和第2款所查阅的资料是否相符合。
A.0.4 厂房结构可靠性鉴定和建筑抗震鉴定的程序及技术要求,应符合现行国家标准《工业建筑可靠性鉴定标准》GB 50144和《建筑抗震鉴定标准》GB 50023等的有关规定。
A.0.5 建造在有不良地质作用和地质灾害的场地的工程,以及抗震设防区建造在抗震不利或危险地段的工程,应根据场地条件进行改建或扩建设计,并应符合本规范第4.2节的规定。
A.0.6 改建和扩建工程的设计使用年限不应低于工程的后续使用年限。后续使用年限应根据厂房的使用历史、当前结构状况、改建和扩建工程建设计划,结合实际需要和可能,与建设单位共同商定,并应符合下列规定:
1 经可靠性鉴定可继续使用的既有厂房结构,其后续使用年限不应少于30年。
2 20世纪80年代建造的厂房,宜采用40年或更长;20世纪90年代建造的厂房,不宜少于40年,条件许可时可采用50年。
3 2001年后建造的厂房,其后续使用年限宜采用50年。
A.0.7 改建和扩建工程设计时,应根据调查资料、可靠性鉴定和抗震鉴定资料以及建设单位的工程改建和扩建计划,对既有厂房结构的安全性、适用性、耐久性和抗灾害能力进行评定。应根据评定结果、使用要求和目标使用年限,结合施工技术条件和施工方法,综合进行技术经济方案比较后,确定改建和扩建设计方案,应做到安全可靠、经济合理、工期短、少影响生产和施工方便,并应符合下列规定:
1 对既有承重结构和构件应进行计算分析和验算,不满足要求时,应进行加固或补强。构件的加固和补强方案应保证新增构件与既有结构构件的连接可靠,应形成整体共同工作。
2 应避免不必要的拆除或更换。
3 应避免对未加固部分的结构、构件和地基基础造成不利的影响。
4 应采取确保邻近建筑物不受损害的技术措施。
5 对加固过程中可能出现倾斜、失稳、过大变形或坍塌的结构或构件,应在加固设计文件中说明并提出相应的临时性安全措施。
6 改建和扩建的厂房,在生产的过程中存在有高温、高湿、低温和腐蚀环境时,应提出保证结构安全的防范措施。
条文说明
A.0.2~A.0.7 随着生产的发展和适应市场经济的需要,老的企业常有对原有厂房进行扩建,或对原生产工艺进行改造,或改变厂房功能,需对现有厂房进行改建或扩建的要求。强调对改建、扩建工程应进行详细调查,搜集既有工程的相关基础资料,包括原工程的设计文件和相关原始资料、工程施工文件等,了解既有厂房使用历史情况,并根据相关标准和规范的规定进行检测和鉴定,包括可靠性鉴定和抗震鉴定。 对于建造在有不良地质作用和地质灾害的场地的工程,以及抗震设防区建造在抗震不利或危险地段的工程,改建或扩建设计时尚应考虑场地条件,并符合本规范第4.2节的相关规定。 只有经过对原有工程进行深入的调查研究和细致的综合分析,并根据可靠性鉴定和抗震鉴定资料以及改建或扩建设计方案的实际情况,进行结构整体和相关部位的计算和验算,才能提出安全可靠、经济合理的改建、扩建设计方案。 后续使用年限(又称“目标使用年限”),指改建和扩建工程的厂房结构和构件,不需要大修即可按其预定目的使用的时期。
A.0.8 对于在既有厂房结构上加层或改变结构体系的工程,新增加的结构和构件宜选择轻质高强的材料和轻型钢结构体系。
A.0.9 既有结构的加固设计应符合国家现行标准《混凝土结构加固设计规范》GB 50367、《建筑抗震加固技术规程》JGJ 116和《既有建筑地基基础加固技术规范》JGJ 123等的有关规定。
条文说明
A.0.9 加固方案应根据既有结构的特点和状况及改建或扩建设计方案,结合实际的施工技术和施工方法,综合考虑技术经济效果,进行技术经济方案比较后确定。
附录B钢筋混凝土山墙柱设计规定
B.1一般规定
附录B 钢筋混凝土山墙柱设计规定
B.1 一般规定
B.1.1 山墙柱应承受山墙墙面风荷载、柱自重以及山墙墙梁、墙板和其他竖向荷载;抗震设计时,尚应承受水平地震作用。作用在山墙柱上的风荷载和水平地震作用,一部分应由山墙柱上端传递到屋盖支撑系统再传递到厂房的纵向柱列,一部分应由山墙柱直接传递到基础。
B.1.2 山墙柱的上柱宜采用矩形柱,截面尺寸h×b不宜小于350mm×300mm;下柱可采用矩形或工字形截面柱。下柱截面应符合下列规定:
1 截面高度h应大于或等于自基础顶面至屋架(屋面梁)连接点的较低距离H x 的1/25,且不应小于600mm。
2 截面宽度b应大于或等于柱宽方向竖向两支点间最大间距H y 的1/35,且不应小于350mm,山墙在与屋架(屋面梁)、基础固结端、钢筋混凝土墙梁的支承点均可视为山墙柱宽方向的支点。
B.1.3 山墙柱与屋盖结构(屋架或屋面梁)的连接应满足计算要求,并应符合本规范第7.2.37条的规定。上端与屋架(屋面梁)上、下弦连接点应视为铰接支点,当仅与屋架上弦(屋面梁上翼缘)连接时应视为单铰[图B.1.3(b)];当与屋架上、下弦同时连接时应视为双铰[图B.1.3(a)]。柱底与基础应视为固定端。
B.1.4 抗震设计时,高大厂房的山墙柱,设防烈度8度和9度时,应进行平面外的截面抗震承载力验算。
B.1.5 山墙柱内力计算时,均应结合风荷载作用和水平地震作用,按正反两个方向作用进行计算。作用在柱上的竖向荷载应计入其偏心作用。

图B.1.3 山墙柱计算简图
B.2荷载和地震作用内力计算
B.2 荷载和地震作用内力计算
Ⅰ 风荷载作用计算
B.2.1 山墙柱计入风荷载作用的计算宜按图B.2.1采用。风荷载q应按现行国家标准《建筑结构荷载规范》GB 50009的有关规定进行计算。当设置抗风圈梁时,计算简图应按设置抗风圈梁的实际情况确定。

图B.2.1 山墙抗风柱风荷载作用计算简图
B.2.2 山墙柱在各种荷载作用下的内力,应按上柱各支承点为不动铰支点进行计算,并应符合下列规定:
1 山墙柱与屋架上、下弦同时连接时,上柱支点反力应按下列公式计算:

式中:δ b 、δ c ——分别为当b点、c点作用单位水平力时,在b点、c点的单柱侧位移;
δ bc ——在c点作用单位水平力时,在b点产生的单柱侧位移;
△ b 、△ c ——在实际荷载作用下,在b点、c点的单柱侧位移。
2 山墙柱仅与屋架上弦连接时,上柱支点反力应按下式计算:

Ⅱ 地震作用计算
B.2.3 山墙柱的地震作用内力应包括下列内容:
1 由山墙抗风柱自重和其两侧相应范围的山墙自重以及其他各项由山墙抗风柱支承的重力荷载引起的水平地震作用,宜近似取沿抗风柱高度呈倒三角形分布。
2 屋盖纵向地震作用位移引起的山墙柱的水平地震作用效应。
B.2.4 倒三角形水平地震作用在山墙柱顶的作用值可按下式计算:

式中:α i ——对应于厂房纵向基本自振周期T 1 的地震影响系数值,应根据计算确定,简化计算时可近似取α max ;
G i ——山墙柱承担的单位高度自重和柱两侧按柱间中线划分的相应范围内的山墙自重,以及由山墙柱支承的管道、平台和活荷载等,折算为单位高度上的重力荷载代表值(kN/m)。
B.2.5 山墙柱在倒三角形水平地震作用下,上柱支点反力应按下列公式计算:
1 单铰支点反力(图B.2.5-1)应按下式计算:

图B.2.5-1 单铰支承柱计算简图
2 双铰支点反力(图B.2.5-2)应按下列公式计算:

式中:δ bb 、δ cc ——分别为当b点、c点作用单位水平力时,在b点、c点的侧位移;
δ bc ——在c点作用单位水平力时,在b点产生的侧位移;

图B.2.5-2 双铰支承柱计算简图
B.2.6 计入屋盖纵向地震作用位移时,山墙柱上部支点反力应按下列公式计算:

式中:△——屋盖纵向地震作用位移值,由厂房纵向地震作用计算得出,取山墙柱所在跨两侧柱列顶部纵向位移平均值乘以增大系数1.2;
I 2 、I 1 ——分别是上、下柱的截面惯性矩。
B.2.7 各铰支点处的组合弹性反力应按下列公式计算:

B.2.8 根据支点处的反力组合值和作用在山墙柱上的水平地震作用,应按悬臂柱计算山墙柱各截面的地震作用效应。
B.3截面计算和构造
B.3 截面计算和构造
B.3.1 荷载作用效应组合和有地震作用的效应组合,应按本规范第5.4节的规定计算,并应符合下列规定:
1 无地震作用效应组合计算时,风荷载的分项系数应取1.4,组合系数应取1.0。
2 有地震作用效应组合计算时,宜取0;风荷载起控制作用时,应取0.2。
B.3.2 山墙柱的截面计算应符合下列规定:
1 山墙柱截面尺寸应按计算确定,并应符合本规范第B.1.2条的规定。
2 宜按偏心受压构件计算。当只承受柱自重和风荷载或地震作用时,可按受弯构件计算。
3 当山墙采用砌体墙且砌体墙与山墙柱的连接符合本规范第3.6节的规定时,可不进行平面外的计算。
4 抗震设计8度和9度时,高大厂房山墙柱应进行平面外的截面抗震验算。
B.3.3 按偏心受压构件计算时,山墙柱计算长度的确定应符合下列规定:
1 计算简图,单铰宜采用本规范图8.2.5-1,双铰应采用本规范图B.2.5-2,平面内计算长度应按表B.3.3采用。
2 平面外的计算长度,可按本规范第B.1.2条的规定取山墙柱两个支点的最大距离乘以系数1.25。
表B.3.3 山墙柱平面内的计算长度

B.3.4 山墙柱的截面配筋计算应按现行国家标准《混凝土结构设计规范》GB 50010的有关规定执行。
B.3.5 山墙柱的配筋构造应符合现行国家标准《混凝土结构设计规范》GB 50010有关铰接排架柱的规定,并应符合下列规定:
1 山墙柱在变截面处一侧的竖向钢筋应用作柱肩的纵向受拉钢筋锚入柱肩,锚固构造应与牛腿纵向钢筋的构造相同(图B.3.5)。
2 抗震设计时,山墙柱的抗震等级应与排架柱相同。

图B.3.5 柱肩配筋构造
本规范用词说明
本规范用词说明
1 为便于在执行本标准条文时区别对待,对要求严格程度不同的用词说明如下:
1)表示很严格,非这样做不可的:
正面词采用“必须”,反面词采用“严禁”;
2)表示严格,在正常情况下均应这样做的:
正面词采用“应”,反面词采用“不应”或“不得”;
3)表示允许稍有选择,在条件许可时首先应这样做的:
正面词采用“宜”,反面词采用“不宜”;
4)表示有选择,在一定条件下可以这样做的,采用“可”。
2 条文中指明应按其他有关标准执行的写法为:“应符合……的规定”或“应按……执行”。
引用标准名录
引用标准名录
《砌体结构设计规范》GB 50003
《厂房建筑模数协调标准》GB/T 50006
《建筑地基基础设计规范》GB 50007
《建筑结构荷载规范》GB 50009
《混凝土结构设计规范》GB 50010
《建筑抗震设计规范》GB 50011
《钢结构设计规范》GB 50017
《岩土工程勘察规范》GB 50021
《建筑抗震鉴定标准》GB 50023
《工业建筑防腐蚀设计规范》GB 50046
《工业建筑可靠性鉴定标准》GB 50144
《工程结构可靠性设计统一标准》GB 50153
《多层厂房楼盖抗微振设计规范》GB 50190
《构筑物抗震设计规范》GB 50191
《建筑工程抗震设防分类标准》GB 50223
《混凝土结构加固设计规范》GB 50367
《有色金属工程结构荷载规范》GB 50959
《耐候结构钢》GB/T 4171
《厚度方向性能钢板》GB/T 5313
《焊接结构用铸钢件》GB/T 7659
《一般工程用铸造碳钢件》GB/T 11352
《机器动荷载作用下建筑物承重结构的振动计算和隔振设计规程(试行)》YSJ 009
《岩土工程勘察技术规范》YS 5202
《高层建筑混凝土结构技术规程》JGJ 3
《空间网格结构技术规程》JGJ 7
《建筑桩基技术规范》JGJ 94
《高层民用建筑钢结构技术规程》JGJ 99
《建筑抗震加固技术规程》JGJ 116
《既有建筑地基基础加固技术规范》JGJ 123
