Appearance
《电子工业防微振工程技术规范[附条文说明]》GB 51076-2015
🗓️ 住房和城乡建设部 实施时间:2015-09-01
前言
中华人民共和国国家标准
电子工业防微振工程技术规范
Technical code for anti-microvibration engineering of electronics industry
GB 51076-2015
主编部门:中华人民共和国工业和信息化部
批准部门:中华人民共和国住房和城乡建设部
施行日期:2015年9月1日
中华人民共和国住房和城乡建设部公告
第703号
住房城乡建设部关于发布国家标准《电子工业防微振工程技术规范》的公告
现批准《电子工业防微振工程技术规范》为国家标准,编号为GB 51076-2015,自2015年9月1日起实施。其中,第3.0.6、5.1.1、7.1.7条为强制性条文,必须严格执行。
本规范由我部标准定额研究所组织中国计划出版社出版发行。
中华人民共和国住房和城乡建设部
2014年12月31日
前言
本规范是根据原建设部《关于印发<2006年工程建设标准规范制订、修订计划(第二批)>的通知》(建标[2006]136号)的要求,由工业和信息化部电子工业标准化研究院电子工程标准定额站和中国电子工程设计院会同有关单位编制完成的。
本规范在编制过程中,编制组结合工程调查,经过多次反复讨论研究,并在广泛征求意见的基础上,最后经审查定稿。
本规范共分8章和2个附录,主要技术内容包括:总则、术语、基本规定、精密设备及仪器容许振动标准、规划设计、建筑结构防微振设计、隔振设计、防微振工程施工质量验收等。
本规范中以黑体字标志的为强制性条文,必须严格执行。
本规范由住房城乡建设部负责管理和对强制性条文的解释,由工业和信息化部负责日常管理,由中国电子工程设计院负责具体技术内容的解释。在执行本规范过程中,请各单位结合工程实践,认真总结经验,如发现需要修改和补充之处,请将意见和建议寄至中国电子工程设计院科技质量部(地址:北京307信箱,邮政编码:100840),以供今后修订时参考。
本规范主编单位、参编单位、主要起草人和主要审查人:
主编单位 :工业和信息化部电子工业标准化研究院电子工程标准定额站
中国电子工程设计院
参编单位 :信息产业电子第十一设计研究院科技工程股份有限公司
兵器工业北方设计研究院
上海电子工程设计研究院有限公司
中船第九设计研究院工程有限公司
世源科技工程有限公司
中国中元国际工程公司
中国航空规划建设发展有限公司
南京工业大学
东南大学
主要起草人 :陈骝 娄宇 俞渭雄 黄以庄 茅玉泉 韩方俊 杨毅萌 王立 刘传春 杜宝强 赵广鹏 邹宏 张同亿 夏艳 窦硕 胡明祎 黄健 王曙光 黄镇
主要审查人 :任庆英 高广运 陈龙珠 杨宜谦 吴成元 苏经宇 薛长立 邵庆良 万叶青
条文说明
中华人民共和国国家标准 电子工业防微振工程技术规范 GB51076-2015 条文说明 制订说明 《电子工业防微振工程技术规范》GB51076-2015,经住房和城乡建设部2014年12月31日以第703号公告批准发布。 随着工业及电子信息产业的不断发展,工业及电子科技产品质量和精度的不断提高,对产品的生产及检测所需的环境要求也越来越高,其中环境微振动控制是众多微污染控制中非常关键的一项工作。为满足产品生产和检测的要求,无论是生产厂房还是实验室的设计和建造都需要考虑防微振措施。 我国从20世纪50年代开始建造电子厂房和实验室至今,已有很多的防微振技术应用于厂房和实验室的设计和建设中,但至今我国还没有完整应用于电子工业的防微振工程技术规范,因此制定《电子工业防微振工程技术规范》十分必要。 为便于广大设计、施工、科研、教学等单位有关人员在使用本规范时能正确理解和执行条文规定,《电子工业防微振工程技术规范》编制组按章、节、条顺序编制了本规范的条文说明,对条文规定的目的、依据以及执行中需要注意的有关事项进行了说明,还着重对强制性条文的强制性理由作了解释。但是,本条文说明不具备与规范正文同等的法律效力,仅供使用者作为理解和把握规范规定的参考。
1 总则
1 总 则
1.0.1 为规范电子工业防微振工程的勘察、设计及施工质量验收,确保满足精密设备及仪器所容许的微振动环境要求,并做到技术先进、经济适用、运行可靠及节约能源,制定本规范。
条文说明
1.0.1本条阐述了本规范的指导思想,根据电子工业防微振工程对微振动控制的要求进行工程设计及施工,以求使工程做到技术先进、经济适用及节约能源的效果。
1.0.2 本规范适用于新建、改建的电子工业厂房、测试站(台)等工程的防微振设计、施工及质量验收。
条文说明
1.0.2本条明确了本规范的适用范围。由于现代工业及科技创新的迅速发展,电子行业与其他行业常融为一体,因此,凡有防微振要求的其他类似行业也可参照本规范进行设计及施工。
1.0.3 防微振工程设计、施工及质量验收,除应符合本规范外,尚应符合国家现行有关标准的规定。
2 术语
2 术 语
2.0.1 微振动 micro-vibration
影响精密设备及仪器正常运行的振动幅值较低的环境振动。
条文说明
2.0.1人类的生产活动绝大多数是在地球上进行的,而在地球上找不到一个地方是没有振动的,但经常强烈的振动是极少的,大量的是微小的振动,其振幅大多数在几微米以下。这些微小的振动足以影响精密设备及仪器的正常运行,因而研究与控制地球表面的环境振动极为重要。 地球表面的环境振动分为两大类,即地面脉动和人类活动的近距离干扰振动。 地球脉动是一种随机振动波,具有较低的振动频率,按其形成的因素,又可分为自然因素形成的第一类地面脉动和人为因素形成的第二类地面脉动。第一类地面脉动主要由风暴、台风、海浪击岸、高压气流及冷热空气团交汇所形成。其振动频率为0.1Hz~0.5Hz,甚至更低,振幅为0.1μm~10μm,且随季节不同而变化(冬季振幅较大,夏季较小)。第二类地面脉动主要由位于较远端的交通运输、厂矿机械及人员活动造成。其振动频率一般大于2Hz,振幅为0.001μm~10μm。第二类地面脉动的振动频率及振幅不仅与振源有关,而且与地质有密切关系。在坚硬的岩层上,振动频率较高,振幅较小,而在一般的土壤层上则相反。 人类活动的干扰振动分线振源振动及点振源振动两种。线振源振动如火车、汽车、拖拉机在道路上行驶及飞机在跑道上起降产生的振动;点振源振动如锻锤、压缩机、冲床、通风机、风动工具等机械运动时产生的振动等。这类振动有较宽的振动频率及较大的振幅,对近距离的影响远较地面脉动值大。 本条定义的微振动是由上述两大类振动对特定地点的影响,即该特定地点的环境振动是由多个振源影响的叠加,其振动幅值较低,但可能影响精密设备及仪器的正常运行。
2.0.2 容许振动值 allowable value of vibration
保证精密设备及仪器能正常运行的支承结构处的最大振动量值。
2.0.3 建筑结构防微振体系 structural microvibration con-trol system
为保证精密设备及仪器正常运行,对建筑结构采取减弱环境振动影响的综合措施。
2.0.4 主动隔振 active vibration isolation
为减小动力设备产生的振动对外界环境的影响而对其采取的隔振措施。
2.0.5 被动隔振 passive vibration isolation
为减小环境振动对精密设备及仪器的影响而对其采取的隔振措施。
2.0.6 主动控制隔振装置 active vibration isolating device
具有预先设置并通过自身反馈系统获取信号,使隔振装置实时施加反向作用而降低环境振动影响,保证设备正常工作的装置。
2.0.7 隔振器 vibration isolator
具有衰减振动功能的支承元件。
2.0.8 隔振装置 vibration isolation mounting
由隔振器、阻尼器、调节阀、控制器及信号处理器等组成的隔振组合体。
2.0.9 隔振系统 vibration isolation system
由被隔振对象、台板、隔振器或隔振装置组成的系统。
2.0.10 振动响应 vibration response
建筑结构或隔振系统受振动作用时,其输出的振动位移、振动速度、振动加速度等。
2.0.11 环境振动 environment vibration
建筑场地或建筑物在内外各种振源影响下的振动。
2.0.12 常时微动 usual environmental micro-vibration
无明确振源的场地或建筑物的微弱振动。
2.0.13 防微振墙 microvibration isolation wall
在建筑结构中设置的减弱振动影响的墙体。
条文说明
2.0.13本条定义防微振墙的结构形式按本规范第6.2.3条的防微振工艺设备层平台的结构而定,一般为钢筋混凝土墙体,也有采用约束砌体墙或型钢混凝土墙的。但约束砌体墙的刚度受构造设计及施工质量因素的影响,较难准确确定。
2.0.14 华夫板 waffle slab
垂直单向流洁净室生产层现浇钢筋混凝土多孔楼板。
2.0.15 防微振设计 anti-microvibration design
为将环境振动影响控制在精密设备及仪器容许振动值范围内,在工程设计规划、建筑结构设计与隔振设计等方面采取的综合措施。
2.0.16 防微振基台 anti-microvibration table
由台板和支承结构组成的有隔振作用的结构体系,支承结构可为建筑结构或独立设置的梁、板、柱及基础,在台板和支承结构之间可安装隔振器或隔振装置。
3 基本规定
3 基本规定
3.0.1 本规范所定义的微振动应为幅值不大于表3.0.1规定的限值的振动。
表3.0.1 微振动限值

条文说明
3.0.1本条微振动限值是根据我国电子工业生产、科研及其相关领域提出的对精密设备及仪器的容许振动值,并经过大量的工程实践总结后提出的微振动数值,同时也参考了国外有关文献对微振动幅值范围的描述,使微振动在本规范中有一个量级上的描述。由于精密设备及仪器的容许振动值越来越倾向于频域表述方式,但某些精密设备及仪器的容许振动值还是采用时域表述方式,因此本条文对微振动幅值采用频域、时域分别表述。应当指出的是,表3.0.1中各振动限值间不存在换算关系,各振动限值只是一个包络值。
3.0.2 防微振工程的勘察、设计、施工及安装宜遵循下列程序:
1 确定精密设备及仪器的容许振动标准;
2 场地工程地质、水文地质勘察及地基动力特性测试;
3 场地环境振动测试及分析;
4 场地综合评估及场地选择;
5 防微振工程设计方案论证;
6 防微振工程设计;
7 防微振工程施工及安装;
8 工程主体建筑竣工,各类设备尚未安装时的建筑结构动力测试及分析;
9 动力设备试运行时的环境振动测试及分析;
10 试生产时的环境振动测试及分析;
11 防微振工程验收;
12 微振动测试和分析应符合本规范附录A的规定。
条文说明
3.0.2本条提出的防微振工程勘察、设计、施工及安装宜遵守的程序是多年来国内防微振工程实践的总结,已被证明是行之有效的。国际上有关防微振工程的工作程序也基本类同。 微振动是物体的微观运动,量值微小,可变因素多,难以用理论公式来描述不同场地、不同环境的振动。因此特别强调依靠在工程各阶段的工程实测取得的真实数据来指导各阶段的防微振设计。有防微振要求的工厂的建设阶段,环境振动测试一般分为如下四个阶段: 第一次微振动测试,即场地环境的振动测试,主要调查拟建场地的环境振动参数,厂区周围公路、铁路等交通运输及附近厂矿生产所产生的振动影响,为场地选择及对其综合评估提供依据。并根据实测参数选择合理的厂房结构形式,保证场地的环境振动在结构上不致增大。 第二次微振动测试,即工程主体建筑竣工,厂房内各类设备尚未安装前的环境振动对主体结构影响的测试,主要测试建筑主体结构的动力特性(固有振动频率、阻尼比等)及主体结构在环境振动作用下的防微振性能,验证结构方案的合理性。必要时,可对现有结构进行部分改进,提高其防微振能力。并可作为厂房内各种振动设备的隔振设计技术依据。 第三次微振动测试,即厂房内除精密设备及仪器外其他空调、动力系统等设备和工艺附属设备联机调试或试运转时,在精密设备及仪器安装位置处的环境振动测试,以考核外界环境振动对该处的综合影响,评价是否满足精密设备及仪器的安装条件,为精密设备及仪器是否需进一步采取隔振措施提供依据。并对动力设备的振动影响进行评价,必要时可采取进一步减弱振动影响的措施。 第四次微振动测试,即精密设备及仪器安装完毕,工艺设备试生产时在精密设备及仪器安装位置处的环境振动测试,以考核外界环境及工艺设备振动对这些位置的综合影响,这也是工程投产前的最终测试。测试分析结果可作为防微振工程验收的依据,亦可作为企业制订生产、运行、厂区环境管理规定的依据。 防微振工程的勘察、设计、施工、安装程序可按图1所示框图进行。 对于大型复杂、防微振要求较高的工程,可适当增加测试次数,如地面结构或底板完成时的微振动测试。 对于一般性的防微振工程实施,程序可适当简化。
3.0.3 区域规划及厂区规划设计时振源位置应合理布置,振动大的振源宜布置在区域边缘或远离有防微振要求的建筑物。
条文说明
3.0.3本条规定了区域规划及厂区规划时振源位置的布置原则。振动大的振源引起的振动值远大于精密设备及仪器的容许振动值,将其布置在区域边缘或远离有防微振要求的建筑物,利用振动沿地基土传递衰减的效应,减弱振动对有防微振要求的建筑物的影响。
3.0.4 建筑物内的振源与精密设备及仪器应分类集中、分区布置,并应相互远离。
条文说明
3.0.4本条规定了建筑物内的振源与精密设备及仪器的布置原则。振源与精密设备及仪器分类集中、分区布置,便于振源振动的隔离与精密设备及仪器的隔振。振源与精密设备及仪器相互远离,利用振动沿建筑物地基及结构构件传递衰减的效应,减弱振动对精密设备及仪器的影响。 
图1防微振工程勘察、设计、施工、安装程序框图
3.0.5 防微振工程设计应包括下列内容:
1 建筑结构的防微振设计;
2 动力设备及管道的隔振设计;
3 精密设备及仪器的隔振设计。
条文说明
3.0.5本条规定了防微振工程设计应包括:建筑结构的防微振设计、动力设备及管道的隔振设计、精密设备及仪器的隔振设计。
防微振工程是一项系统工程,涉及建筑、结构、机电、设备等专业,因此需要各专业人员的协作配合。
3.0.6 防微振工程的设计与施工质量必须满足精密设备及仪器的容许振动标准。
条文说明
3.0.6通常有防微振要求的厂房或实验室投资巨大,其中的精密设备及仪器价值昂贵,一般处于生产工艺及科学实验的关键核心地位,振动影响直接决定其能否正常运行,进而关系到生产或实验的成败,所以,防微振工程是整个工程建设中一个非常重要的环节。 根据微振动的特点及目前的科学技术发展水平,防微振工程设计必须以精密设备及仪器的振动容许值为振动控制目标,以初步设计和详细设计为依据,以工程各阶段的振动测试数据为指导,以质量可靠的施工过程为保障,通过对各种有害振动源及其不利影响进行控制和处理,最终确保精密设备及仪器正常运行。 因此,本条规定,防微振工程的设计与施工质量必须满足精密设备及仪器的容许振动标准。本条作为强制性条文,必须严格执行。
4 精密设备及仪器容许振动标准
4.1 一般规定
4 精密设备及仪器容许振动标准
4.1 一般规定
4.1.1 精密设备及仪器容许振动值的确定应符合下列规定之一:
1 厂商提供的容许振动值;
2 工艺要求的容许振动值;
3 本规范第4.2节规定的容许振动值。
条文说明
4.1.1精密设备及仪器容许振动值,是指保证精密设备及仪器正常工作或生产条件下,位于设备及仪器底部的容许的环境振动值。精密设备及仪器的容许振动值可通过三种途径确定。 1制造商或供应商提供的精密设备及仪器的容许振动值。 2使用方根据工艺要求及实践经验提出的设备及仪器对环境振动的限值。 3本规范或国内其他规范提供的精密设备及仪器容许振动值。 应优先采用制造商或产品供应商或使用方提供的有关精密设备及仪器的容许振动值,当不具此种条件时,则应采用本规范或国内其他规范提供的数值。
4.1.2 精密设备及仪器容许振动值的确定宜结合振动环境变化及设备更新的要求。
条文说明
4.1.2由于电子工业发展迅速,工艺生产及科研技术进步较快,工艺设备更新迅速,由此产生的对精密设备及仪器容许振动限值会更为严格,因此,在工程设计中,宜考虑未来周围环境振动变化及设备更新所引起的防微振需求。
4.2 精密设备及仪器容许振动值
4.2 精密设备及仪器容许振动值
4.2.1 电子工业用精密设备及仪器、纳米实验室及物理实验室用精密设备及仪器在频域范围内竖直向和水平向的容许振动值可按表4.2.1采用。
表4.2.1 电子工业、纳米实验室、物理实验室用精密设备及仪器容许振动值


注:振动速度、振动加速度为1/3倍频程均方根值。
条文说明
4.2.1电子工业、纳米实验室及理化实验室等所用精密设备及仪器的容许振值,即表4.2.1所规定的微振动标准,是一个与国际常用标准接轨的容许振动标准。该标准于1983年由美国BBN公司提出,即所谓的VC曲线,1993年,美国环境科学技术协会(Insti-tuteofEnvironmentalSciencesandTechnology)确认,称为IEST研究报告。由于电子工业的飞速发展,设备及工艺方法的快速更新,2007年IEST又导入了纳米技术采用设备的容许振动限值,从而形成了一个比较完整的标准。 我国自改革开放以来,电子工业发展迅速,特别是在集成电路、液晶显示器、纳米技术、新能源技术、激光技术等方面,建成了一大批工厂及实验室,同时由于产品更新而引起的设备更新及技术进步更是日新月异,这类工程设计与建设,都有防微振技术需求,其中对于精密设备及仪器的容许振动值的确定,几乎都采用IEST标准,而且在工程建成投产后,均满足了生产要求。因此可以认为,采用该标准是恰当的。 表4.2.1所列容许振动值有如下特点: (1)由于精密设备及仪器本身是一个多自由度的复杂弹性系统,自身具有多个固有振动频率及阻尼比,当外界振动频率与其固有振动频率相一致时,系统产生共振,将影响其正常工作。而对于外界环境振动,大量实测及研究结果表明是一种随机振动过程,本身含有丰富的简谐振动频率,为了确保设备及仪器的正常工作,在频域对外界环境振动幅值进行限制,以减弱因共振等振动影响是较为科学的。因此,表4.2.1所列容许振动值采用频域表达。 (2)频域采用1/3倍频程带宽表示,这是因为对于随机振动频谱,采用1/3倍频程带宽来描述带宽振动的能量是合适的,同时,设备制造商提供的容许振动值也基本采用1/3倍频程带宽表示。 (3)由于随机振动能量分布在较宽的频率范围内,用峰值描述难以反映随机振动特性,采用均方根值有利于数据的检验及比对,因此表4.2.1中振动幅值采用均方根值。 (4)在标准产生的初期,由于当时的设备及仪器对于小于4Hz的频段的振动不敏感,因此就不考虑其振动影响,对于4Hz~8Hz频段,则反映对振动加速度敏感,因此采用振动加速度作为控制指标。随着时间的推移,电子工业及以后出现的激光、纳米技术等,工艺精度越来越高,就需研发精度更高的精密设备及仪器,这类新研发的设备及仪器,自身带有空气弹簧隔振装置,而它们的固有振动频率往往在1Hz~3Hz,为了防止在这些频段的振动影响,对容许振动值的频段范围延至1Hz,也即提高了对低频段的振动限值要求。
4.2.2 实验室用精密设备及仪器在时域范围内竖直向和水平向的容许振动值可按表4.2.2采用。
表4.2.2 实验室用精密设备及仪器容许振动值


注:1 振动位移和振动速度为峰值;
2 表内同时列有容许振动位移及容许振动速度的精密设备及仪器,两者均应满足。
条文说明
4.2.2本条对实验室用精密设备及仪器的容许振动值的规定,沿用了现行国家标准《隔振设计规范》GB50463中的有关规定。
4.2.3 消声室和半消声室在频域范围内竖直向和水平向容许振动值可按表4.2.3采用。
表4.2.3 消声室和半消声室容许振动值


注:振动加速度为倍频程均方根值。
条文说明
4.2.3本条明确了消声室和半消声室容许振动加速度值与这些声学实验室所要求的本底噪声级别有关,对于要求本底噪声级别低的(即严格的),其容许振动值也小。对于这类声学实验室,振动频率限制在31.5Hz~500Hz,并按倍频程计算。
4.2.4 消声水池在频域范围内的竖直向和水平向的容许振动值可按表4.2.4采用。
表4.2.4 消声水池容许振动值

注:振动加速度为均方根值。
条文说明
4.2.4消声水池是为声学器件或声学装置进行水池声学实验的一个建筑设施,根据声学实验的要求,需对消声水池壁及池底的振动有所限制,其容许振动值在频域衡量。通常频率下限都在400Hz以上,而对于1000Hz以上的振动,在土中及结构中衰减较快,可以忽略,因此,取频段400Hz~1000Hz范围是可行的。
5 规划设计
5.1 一般规定
5 规划设计
5.1 一般规定
5.1.1 电子工业区域规划布局和厂区布置,不得选择在强振源、强噪声、强风沙、强电磁辐射、有害气体等不利区域。
条文说明
5.1.1电子工业区域规划和厂区布置,由于厂房和实验室对环境振动干扰所引起的有害振动要求很高,因此必须避开强振源、强噪声、强电磁辐射、强风沙、有害气体等环境危害。如在区域规划和厂区布置时,应避开冶金、矿山、锻压等具有强或较强的振动和噪声的工业区,并应避开有强电磁波辐射范围的影响地区。要远离振动能量较大的铁路干线、运输繁忙的公路干线及轨道交通线等有害振动的环境,要远离化工等有害气体和液体污染的影响地区。不应设在有强风并引起沙尘较大的地区。本条为强制性条文,必须严格执行。
5.1.2 厂区选择宜符合下列规定:
1 宜选择在地基土较坚硬或基岩埋藏较浅的地区,不宜选择在软土及填土等不良地质区域;
2 宜避开江河湖泊、海岸沙滩、常年冰冻等地区;
3 宜选择抗震设防烈度不大于8度的地区,避开地震活动断裂带等不利地段,宜避开液化砂土层等区域,并应符合现行国家标准《建筑抗震设计规范》GB 50011的有关规定;
4 无法避开时应采取相应处理措施。
条文说明
5.1.2选择厂址的地基宜避开各种不良地质条件,如软弱土、自重湿陷性黄土、河流、湖泊、海岸、沙滩及会发生不均匀沉降等地区,还要避开有较大环境振动影响的地区。特别应注意避开地震烈度8度区以上的强震地区,以及根据现行国家标准《建筑抗震设计规范》GB50011规定,避开地震活动的断裂带并相距一定的距离,避开饱和砂土的液化区,当不能满足时,要进行专门研究,以免地震时对建筑物产生不利影响,甚至引起严重的裂缝或损坏。
5.1.3 厂区位置选择时,应根据场地环境微振动测试和自然条件,经论证比较、综合评估后确定;当不具备环境振动测试条件时,振源防振距离可按本规范第5.2节确定。
条文说明
5.1.3厂区位置选择时,场地应经环境振动测试和自然条件综合评估后确定,但对防振要求较高的防微振工程宜选择不少于两个场地,并根据环境振动测试和自然条件,经论证和综合评估比较后抉择。
5.2 防振距离
5.2 防振距离
5.2.1 对各类振源在不同土体内的防振距离,可按下式计算:

式中:L——无任何防振措施时的防振距离(m);
K 1 ——不同土体的调整系数,按表5.2.1-2取值;
K 2 ——不同类汽车的调整系数,按表5.2.1-3取值,其他振源K 2 =1;
L 0 ——土体为黏土类的防振距离(m),按表5.2.1-1取值。
表5.2.1-1 防振距离L 0 (m)

注:1 表中容许振动值为时域值;
2 容许振动速度中间值可按表中数值线性插值确定;
3 其他动力设备的防振距离宜测试确定。
表5.2.1-2 不同地基及基础调整系数K 1

注:坚硬土为基岩时取小值。
表5.2.1-3 不同类汽车调整系数K 2

条文说明
5.2.1防振距离可由测试确定,在厂区内外的振源无条件测试时,可参照表5.2.1-1,表中的防振距离是根据单一振源作用下,通过测试取得的地面振动衰减曲线。有174条各种空气压缩机;105条冷冻机,其中冷冻机有大型8ASJ-170、中型6AW-135、小型2F、4F、8S-10、LH48、6FW1;100多条各类锻锤;40多条冲床、压力机;109条各类列车,包括蒸汽机车、内燃机车、电气机车等客车和货车;297条各类汽车及部分8号~12号风机、砂轮机、水泵等的地面振动传播衰减所提供的曲线,在黏土类土体中测试的覆盖率大于90%,并在满足容许振动速度大于或等于0.03mm/s以上范围内的防振距离时,对其他土体经类比作相应调整。而地铁是参照现行国家标准《古建筑防工业振动技术规范》GB/T50452-2008表5.1.1中的地铁在黏土类的衰减曲线取其中间值,修正后并延伸估计确定的。表5.2.1-1中容许振动速度0.03mm/s~0.003mm/s对应的数值,是根据实测衰减曲线延伸估计确定的。
5.2.2 当本规范表5.2.1-1中振源采取隔振时,隔振后防振距离应由测试确定。
5.2.3 结合规划区、厂区内外的不同振源,对有防微振动要求的建筑物,宜按综合振动叠加后的最大振动影响确定相应的防振距离。多振源振动响应的综合叠加计算可按本规范附录B计算。
条文说明
5.2.3确定防振距离时,要分别考虑按不同性质振源组成的多振源的综合振动响应叠加,同时要考虑其中最大的振动影响;在无实测资料时,可参照附录B确定。其中,当为两个稳态振源时要直接考虑相位一致时的叠加;三个时要考虑平方和开方后的1.15倍。而多个时要考虑其中两个最大振动响应按相位一致时的叠加或最大一个振动响应加上其他振动响应按平方和开方法取值,取以上两值中的较大值。当多个稳态和多个瞬态同时作用时,由于稳态是连续不断地出现,与瞬态仍有可能相位一致,当稳态大于瞬态时,可考虑稳态和瞬态中各自振动较大一个的振动叠加;当瞬态大于稳态时,要考虑瞬态最大振动的一个加上所有稳态振动的平方和开方后的振动值。 对随机振动的多台机床同时工作、多辆汽车连续行驶或两列火车相遇,均可按平方和平方的振动响应叠加取值。 对于瞬态振源由于其作用属瞬时间歇出现,衰减较快,极少出现两个以上的振动响应叠加,只需考虑其中一个最大振动响应即可。
5.3 厂区布置
5.3 厂区布置
5.3.1 厂区内有振动影响的站房布置应符合下列要求:
1 锻压车间应布置在厂区边缘,并应远离有防微振要求的建筑;
2 空压机、冷冻机、水泵等动力站房和其他振源宜单独布置;
3 精密设备及仪器应布置在振动影响最小的区域。
条文说明
5.3.1厂区内大或较大的锻锤、压力机和空压机的振源应布置在厂区后边或边缘;至于建筑物内的小振源与精密厂房和实验室的精密设备及仪器应分别集中布置,并相互远离。根据精密设备和仪器的容许振动要求,应布置在厂区综合振动叠加响应较小的区域;要求较高时,应经过测试确定布置在厂区振动综合叠加响应最小的区域。
5.3.2 厂区内外的道路设置应符合下列要求:
1 有防微振要求的建筑应远离厂区主干道,并应远离铁路、公路和城市轨道交通线;
2 有防微振要求的建筑物周边道路应加固路基,并宜选用柔性路面;
3 有防微振要求的建筑物周围道路宜限制车辆载重、行驶车速及行驶时间。
条文说明
5.3.2厂区内道路主干线不宜设在精密厂房和实验室的周围,在精密厂房和实验室周边的道路宜加固路基后采用柔性路面,如采用混凝土内掺有废轮胎粉碎的橡胶块路面或沥青路面,使路面具有一定弹性的吸振、消振作用;对行驶车辆要严格控制行车速度和载重,有利于减小振动响应,行驶时间与精密设备及仪器的使用时间尽量错开,避免引起过大的环境振动影响。精密设备和仪器还应与厂外道路干线远离,避免外加振动、尘埃的影响。
5.3.3 厂区内有防微振要求的建筑物周围绿化宜种植常青灌木和草皮,不宜种植乔木。
条文说明
5.3.3厂区内精密厂房和实验室周围的绿化,不宜种植高大、粗壮的大树,以免飓风摆动连同树根一起引起不利的振动影响,宜种植草皮和常青灌木;在精密厂房和实验室相距一定距离的厂区周围,可种植高低错落适宜的常青树木和灌木、草皮,以达到防风、过滤尘埃和减少噪声的目的。
6 建筑结构防微振设计
6.1 一般规定
6 建筑结构防微振设计
6.1 一般规定
6.1.1 建筑结构防微振设计应采取下列综合措施:
1 建筑物地基基础的防微振措施;
2 地面结构的防微振措施;
3 主体结构的防微振措施;
4 精密设备及仪器的独立基础的防微振措施。
6.1.2 建筑结构防微振设计应具备下列资料:
1 精密设备及仪器容许振动值;
2 工程地质及水文地质勘察报告;
3 地基动力特性测试报告,当不具条件时可按现行国家标准《动力机器基础设计规范》GB 50040的有关规定取值;
4 场地环境振动测试及分析报告。
6.1.3 建筑结构防微振设计宜具备下列资料:
1 精密设备及仪器在建筑物内的工艺布置、外形尺寸、重量及工作方式;
2 动力设备在建筑物内的位置、外形尺寸、重量、转速及运行方式;
3 管道在建筑物内的空间位置、单位长度重量及输送介质。
6.1.4 建筑物内设备布置应符合下列规定:
1 精密设备及仪器与动力设备的布置较靠近时,宜采用隔振缝隔开;
2 当楼层布置精密设备或仪器时,动力设备应布置于底层或楼层边跨,并应在楼层设隔振缝与精密设备或仪器所在区域隔离;
3 精密设备及仪器不宜布置于受电梯振动影响的范围内;
4 当楼层布置精密设备及仪器时,其位置宜位于梁、墙、柱等结构刚度较大的部位或附近。
条文说明
6.1.4本条规定了建筑物内设备布置的原则,说明如下:
1精密设备及仪器对生产环境如空气洁净度、温度和湿度有较高的要求,因此应集中布置,可以缩短各种管线,节省投资。配电站房、空调机房宜靠近负荷中心布置,可以缩短管线,降低能耗。平面设计时应按生产工艺流程合理组织人流、物流及消防疏散路线,确保消防疏散的安全。动力站房是产生振动的振源,当动力站房靠近精密设备及仪器布置时,设置隔振缝并对动力设备及连接管道采取主动隔振是多年来防微振设计的成功经验。隔振缝应从基础开始设置,直至屋顶。非地震区缝宽不应小于50mm,地震区缝宽不应小于100mm,且要满足现行国家标准《建筑抗震设计规范》GB50011对防震缝的有关要求,缝内应采用柔性材料填充。
2动力设备产生的振动都比较大,当楼层布置精密设备或仪器时,因其防微振要求应远离动力设备布置,以减少动力设备布置振动的影响。
3电梯开动时会对支承电梯的结构产生振动,因此当支承电梯的井道与支承精密设备及仪器的楼盖连在一起时,精密设备及仪器应远离电梯布置,当无法远离电梯布置时,宜将电梯井道与楼盖设隔振缝分开。
4当楼层布置精密设备或仪器不能位于梁、墙、柱等结构刚度较大的部位或附近时,可加大精密设备及仪器区间楼盖梁、板、柱截面的尺寸,提高楼盖的整体刚度。
6.1.5 多层厂房内不宜设置起重设备。设置起重设备时,宜采用悬臂式起重设备或其他振动影响较小的运输工具。
条文说明
6.1.5 支承在多层厂房框架结构上的起重设备开动时,会对框架和楼盖产生振动,因此在有防微振要求的多层厂房内尽量不设起重设备,当必须设置起重设备时,宜采用单独设置的悬臂式起重设备。
6.1.6 建筑物内的动力设备及产生振动的管道进入防微振区域时,应采取隔振措施。
6.1.7 建筑物内应采用低速送风,空气密度变化率宜控制在10%以内。当布置有自循环高效过滤器(FFU)装置时,应采取隔振措施。
6.1.8 防微振区域内的门应采用柔性缓冲装置。
6.2 防微振措施
6.2 防微振措施
6.2.1 建筑物地基基础的防微振设计应符合下列要求:
1 抗震设防烈度为7度、8度的地区,建筑物基础持力层范围内存在承载力特征值分别小于80kPa、100kPa的软弱黏土层时,应采用桩基或人工处理复合地基。采用复合地基时,应按国家现行标准《建筑地基基础设计规范》GB 50007和《建筑地基处理技术规范》JGJ 79的有关规定进行载荷试验和地基变形验算;
2 防微振厂房同一结构单元的基础不宜埋置在不同类别的地基土上。
条文说明
6.2.1本条是对建筑物地基基础防微振设计的要求。 1软弱黏土层主要指淤泥、淤泥质土、冲填土、杂填土或其他高压缩土层,即抗震设防烈度为7度、8度、9度时,地基承载力特征值分别小于80kPa、100kPa和120kPa的土层,这种土层承载力低,压缩性大,基础沉降量大,基础容易产生不均匀沉降,使地坪、楼面、墙体产生裂缝。精密设备及仪器平台有较高的防微振要求,选择桩基穿透软弱黏土层是最佳选择。如采用人工处理复合地基时,处理深度也应穿透软弱黏土层,并按现行行业标准《建筑地基处理技术规范》JGJ79的有关规定进行载荷试验和地基变形验算,地基变形允许值应符合现行国家标准《建筑地基基础设计规范》GB50007的有关规定。 2本款规定是为了控制建筑物的不均匀沉降,减少沉降差,避免地坪、楼面、墙体产生裂缝。
6.2.2 地面结构或底板结构的防微振设计应符合下列要求:
1 集成电路制造厂房前工序、液晶显示器制造厂房、纳米科技建筑及实验室应按防微振要求设置厚板式钢筋混凝土地面。当采用天然地基时,地面结构厚度不宜小于500mm,地基土应夯压密实,压实系数不得小于0.95。当采用桩基支承的结构地面时,地面结构厚度不宜小于400mm,对于软弱土地区,不宜小于500mm;对于欠固结土,宜采取防止桩间土与地面结构底部脱开的措施;
2 当地面为超长混凝土结构时,不宜设置伸缩缝,可采用超长混凝土结构无缝设计措施。
条文说明
6.2.2地面或底板结构采用厚板,提高了地面的整体刚度,工程实践证明,这对于防微振是非常有效的。当采用桩基支承的结构地面时,由于地面与桩连成了一个整体,故其厚度可以适当减薄,对于欠固结土,宜在浇筑底板结构前将桩间土夯压密实。
6.2.3 主体结构的防微振设计应符合下列要求:
1 集成电路制造厂房前工序、液晶显示器件制造厂房、光伏太阳能制造厂房、纳米科技建筑及各类实验室等建筑宜采用小跨度柱网,工艺设备层平台宜采用钢筋混凝土结构。平台与周围结构之间宜设隔振缝。
2 防微振工艺设备层平台的设计应符合下列要求:
1)平台下的柱网尺寸应以0.6m为模数,跨度不宜大于6m;
2)平台宜采用现浇钢筋混凝土梁板式或井式楼盖结构,亦可采用钢框架组合楼板结构;
3)混凝土平台的现浇梁、板、柱截面的最小尺寸宜符合表6.2.3-1的规定;
表6.2.3-1 梁、板、柱截面的最小尺寸

4)防微振工艺设备平台现浇华夫板次梁的间距为1.2m时,截面最小尺寸宜符合表6.2.3-2的规定;
表6.2.3-2 华夫板截面的最小尺寸

5)采用钢框架-组合楼板结构的防微振工艺设备层平台,次梁间距不宜大于3.2m,钢梁、组合楼板截面的最小尺寸宜符合表6.2.3-3的规定;
表6.2.3-3 钢梁、组合楼板截面的最小尺寸

6)防微振工艺设备层平台华夫板的开孔率应满足洁净设计要求,不宜大于30%。
3 当采用混凝土结构的建筑物超长时,不宜设置伸缩缝,而应采用超长混凝土结构无缝设计技术,并应采取降低温度伸缩应力的措施。
4 根据防微振需要,可在平台下的部分柱间设置钢筋混凝土防微振墙,墙体宜纵横向对称布置,厚度不宜小于250mm,墙体不宜开设孔洞。
5 当屋盖多跨结构的中柱与工艺设备层平台之间设缝时,在非地震区,缝宽不应小于50mm;在地震区,缝宽不应小于100mm,且应符合现行国家标准《建筑抗震设计规范》GB 50011中防震缝的有关规定。
条文说明
6.2.3本条是对主体结构防微振设计的要求。 1工艺设备层钢筋混凝土平台宜采用小跨度柱网,如3.0m、3.6m、4.2m、4.8m,最大不超过6.0m,以提高钢筋混凝土平台的整体刚度,从而提高其固有振动频率。 2防微振工艺设备层平台的设计: (1)混凝土平台的现浇梁、板、柱截面的最小尺寸比非防微振工艺设备层平台提高25%~40%,从而提高了工艺设备层平台的整体刚度,实践证明对于防微振是十分有效的。 (2)华夫板是洁净厂房一种常用的开孔板,提高主梁、次梁的截面高度,是保证工艺设备层平台刚度的必要措施,对于防微振是十分必要的。 (3)钢框架-组合楼板结构中,为了保证工艺设备层平台刚度,必须加大主梁、次梁的截面高度,加大组合楼板的厚度,一些工程实例中主梁的高跨比达到1/10,次梁的高跨比达到1/15,组合楼板的厚度达到250mm~450mm,才能满足防微振的要求。 3有防微振要求的厂房,一般对生产环境如空气洁净度、温度和湿度有较高的要求,为了满足厂房建筑密闭性要求,当结构超长时,也不宜设置温度伸缩缝,而应采用超长混凝土结构无缝设计技术。 超长混凝土结构无缝设计技术主要有以下几点: (1)采用补偿收缩混凝土,设置膨胀加强带。膨胀加强带带内膨胀剂掺量14%~15%(膨胀率约4×10-4~6×10-4),带外膨胀剂掺量8%~12%(膨胀率约2×10-4~3×10-4),等量取代水泥。膨胀加强带内钢筋贯通并配置加强筋,加强筋面积为受力主筋的1/2,混凝土强度提高一级。膨胀剂可以采用UEA或其他类型的膨胀剂。 (2)配置温度构造钢筋。根据膨胀混凝土与纵向纲筋的应力关系,混凝土构件温度构造钢筋按下式计算: 
式中:As——温度构造钢筋截面积(mm2); Ac——混凝土构件截面积(mm2); σc——膨胀混凝土的自压应力(N/mm2),净化厂房取0.5N/mm2~0.7N/mm2; Es——钢筋的弹性模量(N/mm2); εs——钢筋的伸长率,正常环境条件下εs=α(T1+T2); α——混凝土线膨胀系数; T1——混凝土的水化热温升(℃),多维散热时,普通硅酸盐水泥混凝土的水化热温升为16℃~19℃; T2——环境平均温差(℃),按当地的气象条件而定。 (3)加强纵向梁(墙)、板的纵向通长钢筋。纵向框架梁上部通长钢筋不宜小于支座或跨中钢筋面积的1/4,每侧温度构造钢筋最小配筋率不宜小于0.2%;混凝土墙体水平纵向钢筋最小配筋率不宜小于0.4%。 楼板、屋面板纵向钢筋最小配筋率不宜小于0.4%,屋面板宜双层配筋,温差较大时适当增加配筋。 (4)加强保温隔热措施。做好屋面和墙面的保温隔热层,这是建筑节能、减少室内外温差、降低温度应力的主要途径,对于恒温厂房尤为重要。
6.2.4 精密设备及仪器的独立基础设计应符合下列要求:
1 地面上设置的精密设备及仪器,基础底面应置于坚硬土层或基岩上。其他地质情况下,应采用桩基础或人工处理复合地基;
2 精密设备及仪器受中低频振动影响敏感时,基础周围可不设隔振沟;
3 精密设备及仪器的基台采用框架式支承时,宜采用钢筋混凝土框架,台板宜采用型钢混凝土结构,其周边应设隔振缝;
4 工艺设备层平台上设置的精密设备或仪器宜采用防微振基台,台板宜采用型钢混凝土结构,厚度不宜小于200mm。
条文说明
6.2.4精密设备及仪器的独立基础比厂房建筑的基础对沉降控制的要求更严格,当基础底面持力层为坚硬土层或基岩时,可以采用天然地基,基础底面持力层的承载力特征值应大于300kPa,当不具备这一条件时,应采用桩基础或人工处理复合地基。
6.3 微振动验算
6.3 微振动验算
6.3.1 微振动验算应符合下列规定:
1 有防微振要求的厂房及实验室的下列部位宜进行防微振验算:
1)地面结构;
2)工艺层楼盖;
3)独立基础。
2 微振动验算应针对下列振动影响分阶段进行:
1)环境振动;
2)动力及工艺设备振动。
3 微振动验算应符合下列规定:
1)需进行微振动验算的结构应整体实体建模。
2)天然地基、桩基及人工复合地基的地基动力特性参数应现场试验确定;当无条件时,可按现行国家标准《动力机器基础设计规范》GB 50040的有关规定采用;当无条件测试时,阻尼比可按本款第4项取值。
3)地面结构周边回填土对地基刚度的影响可按现行国家标准《动力机器基础设计规范》GB 50040的有关规定采用。
4)地基土的阻尼比宜取0.15~0.35,钢筋混凝土结构的阻尼比宜取0.05,钢结构的阻尼比宜取0.02,钢与混凝土组合结构的阻尼比宜取0.035。
5)基础影响深度范围内的土层应作为计算深度。
6)计算活荷载的影响。
7)对结构进行模态计算和响应计算,其中模态分析有效振型数量宜按结构总体振型质量参与系数不小于95%进行取值。
8)环境振动影响的验算以实测最不利的振动记录作为计算的输入荷载,样本时间长度不宜少于60s。
4 分析模型的建立应符合下列要求:
1)明确防微振设计方案,对地面结构和工艺层结构进行计算模型简化。当工艺设备层与建筑物主体结构有连接时,结构计算模型应包含主体结构;
2)根据设计方案设置几何参数;
3)合理选择物理参数;
4)根据工程地质勘察报告确定黏弹性边界约束条件。
5 振动影响验算的响应值应符合下式要求:

式中:R——结构中心点或特征点的振动响应值;
[R]——精密设备及仪器的容许振动值。
条文说明
6.3.1本条是对微振动验算的规定。 1地面结构主要指厚板式钢筋混凝土地面。考虑底部和周边的支承条件,基础影响深度范围内的土层应作为计算深度。 2微振动验算可分成三阶段进行。 第一阶段为环境振动作用下,通过验算确定建筑结构的整体防微振方案。 第二阶段为建筑物内动力设备和工艺设备振动作用下,通过验算确定结构的详细设计参数。 第三阶段为建筑物内动力设备和工艺设备振动作用下,通过验算确定动力设备和工艺设备局部隔振设计参数。 图2为电子工业厂房防微振辅助分析验算流程图。 
图2电子工业厂房防微振辅助分析验算流程图 3考虑到这类厂房通常采用厚板(华夫板)结构,不应过于简化成杆单元进行模拟计算,而应根据结构受力特性、生产和试验数据等,对结构进行适当简化,尽量采用梁、壳、实体单元相结合的方式进行有限元建模分析,而且要对不同单元连接方式进行处理,以保证自由度传递连续。 现行国家标准《动力机器基础设计规范》GB50040中地基土的阻尼比取值偏小,本规范适当提高至0.15~0.35。 由于该类厂房地基土通常会进行人工处理(桩基或复合地基),有限元建模时底板下需要有支承条件,应该考虑土层的影响,才能进行正确的有限元数值仿真计算。而且对于土层边界条件采用完全弹性、完全黏性或黏弹性方式,需要结合实际工程地质勘察报告进行设定。 计算活荷载的影响,主要指工艺层设备布置活荷载的影响,要在有限元建模时加以考虑。 总体振型质量参与系数不小于95%时,计算结果既能包含结构的整体阵型,又能反映出结构部分薄弱处的局部阵型,基本满足模态分析有效振型数量的要求。 4梁、柱、墙截面与孔洞几何尺寸(圆形变方形或矩形变方形等)的变化,均可在方案的模型计算过程中进行简化。 当主体结构的支承柱与工艺平台周边设缝时,可仅对工艺平台进行建模振动影响计算;否则应对整体结构进行建模计算。 几何参数可包括假定参与计算的土层边界尺寸,结构的长、宽、高,主要梁、柱、板的截面尺寸,也包括柱间距、斜撑截面及位置,对于大型动力设备或工艺设备,需要其质心位置和结构外轮廓尺寸。 物理参数可包括各参与计算结构对应材料的弹性模量、密度、强度标号、配筋率等。
6.3.2 受环境振动影响的微振动应符合下列公式要求:

式中:R hV ——结构中心点的竖直向振动响应;
R hH ——结构中心点的水平向振动响应;
K V ——竖直向的动态影响系数。K V =0.4~0.6。该系数与动力设备数量和布置有关。当设备数量较多或距特征点位置较近时,K V 取小值,反之取大值;
K H ——水平向的动态影响系数。K H =0.3~0.5。该系数与动力设备数量和布置有关。当设备数量较多或距特征点位置较近时,K H 取小值,反之取大值;
[R V ]——精密设备及仪器竖直向的容许振动值;
[R H ]——精密设备及仪器水平向的容许振动值。
条文说明
6.3.2 在工程设计的方案阶段,应输入环境振动影响的实测场地环境振动记录进行有限元分析计算,得出响应值。验算位置为防微振工艺设备层平台或基础顶面的几何中心位置,即中心点位置,验算结果应满足式(6.3.2-1)及式(6.3.2-2)要求,式中系数取值KV=0.4~0.6、KH=0.3~0.5。该系数取值主要是根据电子工业厂房实际工程测试数据统计而得。
6.3.3 动力设备及工艺设备产生影响的微振动验算应符合下列规定:
1 应在所建立的实体模型上选取特征点,并应在单位荷载为1kN作用下计算其动力响应谱R d ;
2 特征点的振动响应按下列公式验算:

式中:R V ——结构特征点的竖直向振动响应;
R H ——结构特征点的水平向振动响应;
α V ——竖直向已建同类工程的特征点动力响应系数;
R VS ——已建同类工程特征点振动记录进行频域分析得到特征点的竖直向振动响应曲线;
R Vd ——建立已建同类工程有限元实体模型,在特征点上竖直向施加单位荷载P=1kN,计算动力响应谱曲线;
α H ——水平向已建同类工程的特征点动力响应系数;
R HS ——已建同类工程特征点振动记录进行频域分析得到特征点的水平向振动响应曲线;
R Hd ——建立已建同类工程有限元实体模型,在特征点上水平向施加单位荷载P=1kN,计算动力响应谱曲线;
η——已建同类工程和新建工程相似比系数,可按0.9~1.2取值;
R dV ——结构特征点竖直向在单位荷载为1kN作用下的振动响应;
R dH ——结构特征点水平向在单位荷载为1kN作用下的振动响应。
条文说明
6.3.3本条为动力设备及工艺设备影响的微振动验算的规定。本规范中的微振动验算方法是基于传递函数理论而建立的,具体计算方法说明如下。 根据设计方案,从数据库中寻找已建同类工程结构数据,通过对已建同类工程结构的实际测试数据,采用传递函数的方法,对于已建同类工程结构特征点A点处(如精密设备的安装位置)的实际响应,具有下式线性传递关系: 
通过对已建同类工程结构进行有限元建模,并在A点施加单位荷载进行正弦波扫频,如果A点对应传递函数为ThA,A(wj),则A点扫频响应具有下式线性传递关系: 
对于已建同类工程结构而言,根据式(2)和式(3)可以推导获取相似谱,见下式: 
对于新建工程结构而言,可以根据线性传递关系,采用下式进行计算: 
同时仿照式(3),可以对新建工程结构特征点B点(如精密设备的安装位置)建立单位荷载扫频函数,建立下式: 
同理,根据式(4),对于新建结构可建立下式: 
进而,可得到式(8)。 
根据相似性,可以假设,如果已建同类工程结构和新建工程结构的主体结构形式基本相似,配备的动力设备和工艺设备类别、数量、位置相似的特点,则可以近似建立起等效关系式,见下式: 
式中:Rh,rA(wj)——已建同类工程结构实测A点频域响应; Rh,fA(wj)——已建同类工程结构A点单位荷载扫频频域响应; ThA,A(wj)——已建同类工程结构A点单位荷载扫频对应A点传递函数; Ih,fA(wj)——已建同类工程结构A点单位荷载扫频荷载; Fh,ri(wj)——已建同类工程结构真实的第i个荷载值; ThA,i(wj)——已建同类工程结构A点第i个荷载对应响应传递函数; Rb,rB(wj)——新建工程结构B点待求频域响应; Rb,fB(wj)——新建工程结构B点单位荷载扫频频域响应; TbB,B(wj)——新建工程结构B点单位荷载扫频对应B点传递函数; Ib,fB(wj)——新建工程结构B点单位荷载扫频荷载; Fb,ri(wj)——新建工程结构真实的第i个荷载值; TbB,i(wj)——新建工程结构B点第i个荷载对应响应传递函数; αA,j——已建工程结构特征点动力响应曲线系数; ηj——已建同类工程结构和新建工程结构相似比系数,可按0.9~1.2取值。 其中,Rb,rB(wj)是本规范第6.3.3条中的RV或RH,αA,j是本规范第6.3.3条中αV或αH,它是已建同类工程结构特征点动力响应曲线系数,Rh,fB(wj)是本规范第6.3.3条中的RdV或RdH,Rh,rA(wj)是本规范第6.3.3条中的RVS或RHS,Rh,fA(wj)是本规范第6.3.3条中的RVd或RHd。
6.3.4 防微振工程各阶段振动验算的实测及评估应符合下列规定:
1 场地环境振动实测时,应通过测试获取拟建场地受周围环境振动影响的数据,作为输入荷载对微振动初步设计方案进行验算;
2 建筑物主体结构竣工实测及评估时,应通过对建筑物主体结构进行振动测试,对主体结构防微振体系进行评估,并应和计算结果进行对比分析,确认其有效性,为动力设备及工艺设备整体隔振方案提供设计依据;
3 动力设备及工艺设备运行实测及评估时,应通过对动力设备及工艺设备运行时的结构进行振动测试,对最终建成的结构防微振体系进行评估,并应和计算结果进行对比分析,确认其有效性,为动力设备及工艺设备局部隔振方案提供设计依据。
条文说明
6.3.4 本条旨在说明场地环境振动实测、建筑物主体结构竣工时实测及评估、动力设备及工艺设备运行时实测及评估这三个部分的实测和评估与各阶段振动验算之间的关系、目的以及其重要性。
7 隔振设计
7.1 一般规定
7 隔振设计
7.1 一般规定
7.1.1 动力设备应选用振动影响小的产品,旋转型设备应选用中、高转速的产品。
7.1.2 动力设备对精密设备及仪器有振动影响时,应采取隔振措施。
条文说明
7.1.2 电子工业厂房及实验室周围动力站房及有防微振要求的建筑物内的动力设备,由于可能对精密设备及仪器产生振动影响,在大多数情况下,都对动力设备采取隔振措施,由于成本较低,效果显著,更有利于环保,因此是一种普遍采用的方法。
7.1.3 当建筑结构采取防微振措施及动力设备采取隔振措施后仍不能满足要求时,应对精密设备及仪器采取隔振措施。
7.1.4 隔振设计除应遵守本规范外,尚应符合现行国家标准《隔振设计规范》GB 50463的有关规定。
7.1.5 选用隔振器应具备下列资料:
1 外形尺寸、重量及安装要求;
2 承载范围;
3 刚度值及变化范围;
4 阻尼值及变化范围;
5 荷载-压缩量-频率关系图表;
6 使用环境条件。
7.1.6 选用空气弹簧隔振装置时,除应符合本规范第7.1.5条的要求外,尚应具备下列资料:
1 工作压力及容许最大压力;
2 工作高度;
3 充气时间;
4 自动调平时间及调平精度。
条文说明
7.1.6空气弹簧是一种高性能隔振器,其刚度具有随内部气体压力变化而变化的特性,以及具有可以调节阻尼值的结构,使隔振系统具有较低的固有振动频率和所需的阻尼值,从而获得优良的隔振性能。再者,当空气弹簧隔振器与高度控制阀、控制柜组合后,成为可以对隔振系统实施自动调平的隔振装置,通常应用于精密设备及仪器的隔振。 隔振装置的组成包括下列组件:空气弹簧隔振器、竖直向和水平向阻尼器、高度控制阀、控制柜、管道和接头、气源。 上述组件可根据工程需要选择后组合使用。不论选用何种组合,应具备的资料除本规范第7.1.5条规定的外,尚应具有下列资料: 1工作压力及容许最大压力。空气弹簧的工作压力有一个范围,在此范围内,空气弹簧能保持正常工作,工程设计中可据此确定所需隔振器的数量。另外,提供容许最大压力是为了在设计及使用时,确保隔振装置的使用压力不超过该值,以保证装置的安全运行。 2工作高度。即空气弹簧隔振器充气使隔振系统达到稳定工作状态后的高度。 3充气时间。即隔振装置由不充气状态到充气完成所需的时间。 4自动调平时间。采用带有高度控制阀的空气弹簧隔振装置,使用过程中由于台面所安装的设备位置或质量发生变化,以及受外荷载干扰等因素影响而引起台面倾斜,高度控制阀会实时响应,调节台面的水平度,使台面恢复水平,这种恢复台面水平所需的时间,即自动调平时间。 5调平精度。高度控制阀对台面进行调平后,台面尚存的残余倾斜量,即为调平精度。
7.1.7 隔振系统不得与外围结构刚性连接。
条文说明
7.1.7 隔振系统与外部的任何连接必须是柔性的,任何刚性连接将严重影响其隔振性能,因此在防微振工程的设计中必须特殊注明,在工程安装时应严加注意。本条为强制性条文,必须严格执行。
7.2 主动隔振
7.2 主动隔振
7.2.1 动力设备隔振宜采用支承式(图7.2.1)。

图7.2.1 隔振方案
1-动力设备;2-台板;3-隔振器
7.2.2 动力设备隔振应符合下列要求:
1 安装于地面及地下室的动力设备,可采用钢筋混凝土台板或型钢台板;
2 安装于楼层及屋面的动力设备宜采用型钢台板,对于较集中安装于楼层的动力设备宜采用浮筑板隔振方式;
3 与声学实验室相关的动力设备,宜采用钢筋混凝土台板,且台板质量与设备质量之比宜大于3。
条文说明
7.2.2本条需要说明的问题如下:
2对于微振动极敏感防微振工程,当楼层安装的动力设备较集中时,可采用浮筑板隔振方式,同时,浮筑板上的动力设备还可采取隔振措施,这种多级隔振的措施,对减弱众多动力设备的组合振动影响是十分有效的。
3为减弱与声学实验室相关动力设备的振动及固体传声影响,对于这类动力设备的隔振,除选择适用的隔振器外,尚需增大台座质量,以减弱台座振动及对连接管道的振动影响,根据经验,台座质量与设备质量之比宜大于3。
7.2.3 管道隔振宜符合下列要求:
1 水平向管道宜采用悬挂式,竖直向管道宜采用支承式(图7.2.3-1);
2 管道穿墙宜采用支承式(图7.2.3-2);
3 管道与动力设备之间应采用柔性连接;
4 隔振器应按隔振要求、管道荷载及相关专业的规定布置。
7.2.4 隔振器选用宜符合下列要求:
1 室内动力设备及管道宜采用橡胶隔振垫、橡胶隔振器、金属阻尼弹簧隔振器及空气弹簧隔振器;
2 室外动力设备及管道宜采用金属弹簧隔振器。

图7.2.3-1 隔振方案
1-管道;2-隔振器

图7.2.3-2 支承式隔振方案
1-管道;2-隔振托架
7.2.5 带隔振器的动力设备应提供隔振性能检测报告。
7.2.6 当动力设备采用一级隔振方案不能满足要求时,可采用二级或多级隔振方案。
7.2.7 动力设备隔振传递率不宜大于0.1。
条文说明
7.2.7有关振动计算应按现行国家标准《隔振设计规范》GB50463进行,为使隔振系统具有良好的隔振效果,要求传递率不宜大于0.1。
7.3 被动隔振
7.3 被动隔振
7.3.1 精密设备及仪器隔振设计应根据其容许振动值、工作特性、支承条件及安装要求确定隔振方案,并做隔振计算,选用隔振器或隔振装置。
条文说明
7.3.1有关振动计算应按现行国家标准《隔振设计规范》GB50463进行,计算宜输入支承结构(或地基)的实测振动数据,可以是振动位移、振动速度或振动加速度,也可利用结构动力分析程序(有限元程序)进行计算,输入实测振动波。
7.3.2 精密设备及仪器的隔振型式宜符合下列规定:
1 支承式隔振,隔振器设置在隔振台板下,与隔振台板组合成隔振系统(图7.3.2-1);

图7.3.2-1 支承式隔振方案
1-精密设备及仪器;2-台板;3-隔振器
2 悬挂式隔振,隔振器与刚性吊杆串联并和隔振台板组合成隔振系统(图7.3.2-2)。

图7.3.2-2 悬挂式隔振方案
1-精密设备及仪器;2-台板;3-隔振器;4-刚性吊杆
7.3.3 对于运行中重量及重心位置发生变化的精密设备及仪器,应选用带有倾斜校正机构的隔振装置。
条文说明
7.3.3由于隔振器是一种刚度较小的柔性体,安装于隔振台座上的精密设备及仪器在运行中由于质量及质心位置变化,造成隔振系统总刚度中心与总质心在水平投影面上不重合,因而使台座产生倾斜,这种倾斜会影响精密设备和仪器的正常工作,是不容许的。为此,应采用倾斜校正机构,及时校正台座的倾斜。到目前为止,只有空气弹簧隔振装置具有倾斜校正机构,即所谓高度控制阀,这种高度控制阀的作用是当台座产生倾斜时,引起高度控制阀的杠杆产生位移,从而使阀门开启,实施对某些空气弹簧隔振器的进气及某些空气弹簧隔振器的排气,这种进气、排气会引起空气弹簧隔振器内空气压力发生变化,由于空气压力的变化即改变了空气弹簧隔振器的刚度(竖直向及水平向),从而重新使隔振系统刚度中心与总质心在水平投影面上重合,使台座保持水平,保证了精密设备及仪器的正常工作。简单地说,配置高度控制阀的空气弹簧隔振装置,当隔振系统质量及质心位置变化时,能实现系统总刚度中心对体系总质心的自动跟踪,并使其在水平投影面上重合,以保证精密设备及仪器的正常工作。
7.3.4 隔振计算应包括下列内容:
1 隔振系统固有振动频率计算;
2 隔振系统外部振源作用下振动响应计算;
3 隔振系统内部振源作用下振动响应计算。
7.3.5 大型或超大型隔振系统的计算宜包括台板的弹性变形影响。
条文说明
7.3.5对于大型或超大型隔振系统,例如台座平面尺寸超宽或超长,台座将不能认定为一刚体。在隔振系统的计算中,就需考虑台座的弹性变形影响,即需对台座的结构模态进行分析,并应计算其微振动的影响。
7.3.6 振动计算不应包括精密设备及仪器自带隔振器的隔振作用。
条文说明
7.3.6本规范所提出的精密设备及仪器的容许振动值,均为设备与仪器底部的容许环境振动值。因此,在振动计算时,设备及仪器自带隔振器的隔振作用均不计入内。
7.3.7 当采用被动隔振措施仍不能满足使用要求时,应采用主动控制隔振装置。
7.3.8 隔振系统各向阻尼比不宜小于0.08。
条文说明
7.3.8对于精密设备及仪器被动隔振的隔振台座,由于对微振动的限值十分严格,特别是那些对低频振动敏感的设备及仪器,如隔振系统阻尼比较小,台座在受到直接干扰作用时会产生晃动,由此影响设备与仪器的正常使用。例如,由于室内气流的扰动,阻尼比小的隔振系统常产生较大的晃动,特别对于那些体量大(如长度为数十米)的隔振台座,其影响尤甚。因此,本条规定对于被动隔振系统的阻尼比值作出了最低值的规定。
8 防微振工程施工质量验收
8.1 一般规定
8 防微振工程施工质量验收
8.1 一般规定
8.1.1 防微振工程的质量验收应由建设单位负责组织施工、设计、监理等单位共同进行,合格后应办理竣工验收手续。
8.1.2 防微振工程施工应按被批准的设计文件实施。当修改设计时,应由原设计单位确认,并应经建设单位同意。
条文说明
8.1.2由于防微振的特殊性,工程应按设计文件施工,按设计文件施工是质量验收最基本的条件,本条规定修改设计应由原设计单位进行,这对保证工程质量有重要作用。
8.1.3 防微振工程施工过程中涉及的专业工种及防微振设备专业调试人员等,应按相关要求持证上岗。
条文说明
8.1.3本条规定施工单位需具备相应的专业资质,这也符合我国建筑市场管理规定。
8.1.4 防微振工程施工过程中使用的各类工器具,应检定合格,并应在有效期内。
条文说明
8.1.4施工、安装和调试用各类计量器具,应检定合格,并在有效期内。
8.1.5 主要设备、材料、成品和半成品进场应检验,除应符合国家现行标准规定外,尚应符合下列规定:
1 主要设备、材料、成品和半成品应有质量合格证明文件;
2 主要设备、材料、成品和半成品应有进场检验合格记录;
3 当有质量异议时,应由具备相关资质的机构进行检测,在出具合格检测报告后,可在工程中使用;
4 进口防微振设备、器具和材料的进场验收,除应符合本条第1款~第3款规定外,尚应提供商检证明和中文版质量合格证明文件,还应提供技术规格书及安装使用手册等相关技术文件。
条文说明
8.1.5本条主要控制进场材料的质量,提出防微振工程中使用的所有材料、设备及产品均应有质量合格证明文件,以防假冒产品进场,并强调按规定进行进场检验,严把材料进场的质量关。进口设备产品还应包括出入境商品检验合格证明,以及中文版技术规格书、安装使用手册、检测报告、维修手册等文件。
8.1.6 防微振工程的施工质量验收除应符合本规范外,尚应符合现行国家标准《建筑工程施工质量验收统一标准》GB 50300的有关规定。
条文说明
8.1.6本规范编制的依据是现行国家标准《建筑工程施工质量验收统一标准》GB50300。防微振工程中部分工程如钢筋混凝土工程、钢结构工程等系建筑工程中的子分部(分项)工程,因此在执行本规范时,强调应与现行国家标准《建筑工程施工质量验收统一标准》GB50300配套使用。
8.1.7 防微振基台隔振工程和动力设备及管道隔振工程所用隔振器和隔振装置的材料、型号、规格、数量应符合下列规定:
1 提供合格证、性能检测报告、安装及使用说明书等技术文件;
2 包装完好,外观完整,无缺损,无裂纹,涂层完整。
8.2 防微振工程地基处理施工质量验收
8.2 防微振工程地基处理施工质量验收
8.2.1 防微振工程地基处理的施工质量检验标准应符合表8.2.1的规定。
表8.2.1 防微振工程地基处理的施工质量检验标准

条文说明
8.2.1本条中的表8.2.1给出了地基处理的施工质量标准和检验方法。
8.2.2 防微振工程地基处理所采用的方法除应符合本规范外,尚应符合现行国家标准《建筑地基基础工程施工质量验收规范》GB 50202的有关规定。
8.3 块体式混凝土防微振基础施工质量验收
8.3 块体式混凝土防微振基础施工质量验收
8.3.1 基础施工质量验收应包括动力设备混凝土基础和精密设备及仪器混凝土基础的施工质量验收。
8.3.2 块体式混凝土防微振基础的施工质量检验标准应符合表8.3.2的规定。
表8.3.2 块体式混凝土防微振基础的施工质量检验标准


条文说明
8.3.2本条中的表8.3.2给出了块体式混凝土防微振基础的施工质量标准和检验方法。
8.4 防微振工程结构施工质量验收
8.4 防微振工程结构施工质量验收
8.4.1 防微振工程中的结构工程施工质量验收应包括有微振动要求的精密设备厂房的基础(底板)、梁、板、柱等结构体系的施工质量验收。
条文说明
8.4.1本条明确了防微振工程中的结构工程施工质量验收范围。
8.4.2 防微振工程结构的施工质量检验标准应符合表8.4.2的规定。
表8.4.2 防微振工程结构的施工质量检验标准

条文说明
8.4.2本条中的表8.4.2给出了防微振工程结构的施工质量标准和检验方法。
8.5 精密设备及仪器隔振工程施工质量验收
8.5 精密设备及仪器隔振工程施工质量验收
8.5.1 隔振工程施工质量验收应包括防微振基台、空气弹簧隔振装置及主动控制隔振装置的工程施工质量验收。
条文说明
8.5.1本条明确了隔振工程施工质量验收的范围。
8.5.2 洁净厂房精密设备防微振基台的施工质量应符合下列规定:
1 应结合厂房结构的土建误差安装防微振基台;
2 应在防微振基台周围设置隔振缝,缝宽宜为10mm~15mm;
3 防微振基台台板下设置隔振器时,应计算工艺设备安装后隔振器的压缩量,安装完成后的台板顶面标高应满足工艺设备的使用要求;
4 防微振基台台板下无隔振器时,台板应与支撑系统刚性连接。
8.5.3 防微振基台工程的施工质量检验标准应符合表8.5.3的规定。
表8.5.3 防微振基台工程的施工质量检验标准

条文说明
8.5.3本条中的表8.5.3给出了防微振基台工程的施工质量标准和检验方法。 防微振基台台板采用钢筋混凝土或型钢混凝土结构时,为保证工程质量,还应按照国家现行有关标准执行。
8.5.4 空气弹簧隔振装置的质量检验标准应符合表8.5.4的规定。
表8.5.4 空气弹簧隔振装置的质量检验标准


8.5.5 主动控制隔振装置的质量检验标准应符合表8.5.5的规定。
表8.5.5 主动控制隔振装置的质量检验标准


注:主动隔振装置安装精度应符合主动控制隔振装置供应商在技术规格书中的具体要求,但不应低于本规范要求。
8.6 动力设备及管道隔振工程施工质量验收
8.6 动力设备及管道隔振工程施工质量验收
8.6.1 动力设备隔振工程施工质量验收宜包括浮筑板、动力设备隔振基础的施工质量验收。
条文说明
8.6.1本条明确了动力设备隔振工程施工质量验收的范围。
8.6.2 动力设备隔振工程的施工质量检验标准应符合表8.6.2的规定。
表8.6.2 动力设备隔振工程的施工质量检验标准

条文说明
8.6.2本条中的表8.6.2给出了动力设备隔振工程的施工质量标准和检验方法。
8.6.3 动力设备的管道隔振工程的施工质量检验标准应符合表8.6.3的规定。
表8.6.3 管道隔振工程的施工质量检验标准

条文说明
8.6.3本条中的表8.6.3给出了动力设备管道隔振工程的施工质量标准和检验方法。
8.7 防微振工程施工质量验收
8.7 防微振工程施工质量验收
8.7.1 防微振工程的施工质量验收应符合下列规定:
1 防微振工程外观与性能验收的检查率应为100%,且应符合验收标准,发现问题应立即处理,直至符合要求;
2 防微振工程的施工质量验收应符合表8.7.1的规定。
表8.7.1 防微振工程的施工质量验收

条文说明
8.7.1本条规定了防微振工程施工质量验收中外观及性能验收的范围。性能验收是防微振工程的关键验收,所以检查率规定为100%,发现不合格应立即处理,直至满足设计要求。
本条中的表8.7.1规定了防微振工程的施工质量验收的内容及验收阶段。
8.7.2 防微振工程位于洁净厂房内时,其验收尚应符合现行国家标准《洁净室施工及验收规范》GB 50591的有关规定。
条文说明
8.7.2大部分防微振工程位于洁净厂房内,本条强调此类防微振工程验收还应满足现行国家标准《洁净室施工及验收规范》GB50591的相关要求,以便控制洁净厂房内防微振工程的材料及施工工艺要求,以确保洁净度不受影响。
8.7.3 防微振工程施工质量验收除应提供相关规范要求的资料外,尚应提供下列资料:
1 防微振工程设计施工图、设计变更文件及竣工图;
2 主要材料、设备、成品半成品及仪表的出厂合格证明及进场检验报告;
3 防微振工程隐蔽工程检查记录;
4 防微振工程系统调试记录;
5 防微振工程性能检测报告;
6 防微振工程验收报告;
7 防微振工程使用说明书。
条文说明
8.7.3本条规定防微振工程施工质量验收应提供完整的资料。
附录A微振动测试分析
A.1一般规定
附录A 微振动测试分析
A.1 一般规定
A.1.1 场地环境微振动测试应具备下列资料:
1 精密设备及仪器的容许振动值;
2 建筑场地工程地质勘察资料;
3 邻近现有建筑物及地下管道、电缆等有关资料;
4 场地及周围道路布置图,道路行车状况;
5 拟建场地及邻近的振源位置及运行状况;
6 拟建场地建筑物布置规划。
A.1.2 建筑物微振动测试应具备下列资料:
1 精密设备及仪器的容许振动值;
2 建筑物的建筑、结构设计图;
3 安装精密设备及仪器的基础、台板设计图;
4 建筑物内振源位置及运行状况;
5 建筑物外邻近振源位置及运行状况。
A.1.3 防微振基台微振动测试应具备下列资料:
1 精密设备及仪器的容许振动值;
2 防微振基台设计图;
3 隔振装置参数;
4 隔振计算资料;
5 防微振基台内振源位置及运行状况;
6 防微振基台外邻近振源位置及运行状况。
A.1.4 测试前,应对现场进行实地踏勘,制订测试方案。测试方案应包括下列内容:
1 测试目的及要求;
2 测试内容及方法;
3 测点布置方案;
4 测试仪器配置;
5 数据分析处理方法。
条文说明
A.1.4微振动测试前,应将为测试所需的资料收集齐全,同时有必要对现场实地踏勘,在此基础上,制订测试方案,这样做才能比较完善地完成微振动测试任务。
A.1.5 室外测试时,应对测试仪器采取保护措施。
A.1.6 测试过程中应采取措施避免强电磁及交流电源对测试仪器产生干扰。
条文说明
A.1.6电磁及交流电源干扰将严重影响测试数据的准确性,当难以避开时,应采取措施(如接地等),去除干扰影响。
A.2测试设备及仪器
A.2 测试设备及仪器
A.2.1 测试系统宜包括振动传感器、滤波器、放大器、信号采集分析仪及激振装置。
条文说明
A.2.1测试系统组成如图3所示。 
图3测试系统组成示意图
对于高灵敏度传感器,也可不采用放大器,传感器(经滤波器)采集的信号可直接引入数据采集器。
A.2.2 传感器应根据测试需要,选用高灵敏度三向一体传感器,或采用单轴向传感器组成三向测量传感器。
A.2.3 传感器频响范围应根据测试要求选定,宜为0.5Hz~120Hz,消声水池和消声室宜为0.5Hz~1000Hz。
条文说明
A.2.2、A.2.3 微振动测试用传感器选择恰当与否,直接影响微振动测试的准确性。微振动测试用传感器一般是选用速度型或加速度型,要求应有高灵敏度及宽的频响范围。例如对速度型传感器灵敏度希望达到1×10-5mm/s,加速度型传感器的灵敏度希望达到1×10-6m/s2,频响在0.5Hz~100Hz范围,期望有好的低频响应。对于消声室、半消声室及消声水池等的振动测试,应选择频响为0.5Hz~1000Hz的传感器。
A.2.4 放大器宜采用具有抗混滤波功能的多通道放大器,各通道在最大放大倍数时幅值一致性偏差应小于2%,相位一致性偏差应小于0.1ms。放大器应具有积分、微分等功能。
A.2.5 数据采集应采用带有模/数转换的数据采集仪,其模/数转换器的精度不宜小于16位,动态范围不宜小于80dB。数据采集系统的幅值畸变应小于1dB。
A.2.6 数据采集及分析软件应具有时域、频域多通道显示功能和FFT频谱分析等功能。
条文说明
A.2.6市场供应的数据采集及分析软件众多,功能强大,对于微振动测试而言,基本功能应包括:时域多通道采集、时域频域多通道显示、FFT频谱分析、传递函数及相干分析、结构阻尼性能分析、结构模态分析等,数据采集及分析软件应具较高的精度。
A.2.7 激振装置可采用电磁式或机械式。电磁式激振器推力不宜小于2kN,工作频率宜为0.05Hz~1000Hz。机械式激振器激振力不宜小于5kN,工作频率宜为3Hz~60Hz。
A.2.8 振动测试系统应在国家认定的计量单位进行校准,并应在校准的有效期内使用。
条文说明
A.2.8传感器、放大器、数据采集仪作为完整的测试系统,每年应在国家认定的计量单位进行系统标定及校准,并应出具有法律效力的标定证书。
A.3测试设备及仪器安装
A.3 测试设备及仪器安装
A.3.1 传感器安装应符合下列要求:
1 每1测点应安装3只同型号的单轴向传感器或三向一体传感器,测试方向应互相垂直,分别采集竖直向及水平向振动数据;
2 3只单轴向压电型加速度传感器可固定在大于传感器质量20倍且不小于1kg的金属块上,可用螺栓、胶粘或磁性吸附方法固定于测试点;
3 天然地基土场地应挖测试坑,去除虚土并夯实,测试坑底部应浇注薄层混凝土;
4 测试坑上应有防护设施,防护设施不得干扰正常的振动数据采集。
条文说明
A.3.1由于微振动测试的振动信号比较微弱,一般情况下,传感器可固定在较重(20倍传感器质量)的金属块上,并可直接置于被测物体上。 对于自然地基土场地,应挖测试坑,去除虚土,将传感器置于坚实土层或薄层混凝土上,保证测试数据的真实性。
A.3.2 电磁式激振器安装应符合下列要求:
1 竖直向安装时应采用坚固的支架,将激振器用柔性橡胶带悬吊于支架上,其固有振动频率应低于测试最低频率4倍;
2 水平向安装时应采用坚固的型钢支架,激振器应呈水平向固定;
3 激振器与被测体之间应用推力杆连接。
A.3.3 机械式激振器应用螺栓与被测体进行连接。
A.3.4 仪器安装应采取接地措施。
A.4振动数据采集
A.4 振动数据采集
A.4.1 数据采集前,同型号传感器应进行试采样及比对分析。
条文说明
A.4.1测试前,同型号传感器应集中于一处,试采样并做数据对比,当存在误差时,应在信号分析过程中予以修正。
A.4.2 采样频率应大于数据分析截止频率的2倍,每个样本数据不应少于1024个。
A.4.3 采样时间和次数应符合下列要求:
1 随机振动不应小于20min;
2 稳态振动不应小于5min;
3 同类移动振源不应少于振源通过5次;
4 同类冲击振动不应少于5次。
条文说明
A.4.3为了保证微振动测试数据的准确性,要求采样时间较长,如随机振动不小于20min,稳态(周期性)振动不小于5min。但对于移动振源(汽车等)或冲击性振源,采样时间可以缩短。
A.4.4 每次采样除规定的振源及振源组合外,其余振源应停止运行。
条文说明
A.4.4微振动测试时,应按测试方案中规定的振源及振源组合作用进行数据采集,其余振源停止运行,只有这样,才能保证测试结果的准确性及微振动调查目的的明确性,因此,在测试前应加强与有关各方的协调,一切均应服从测试组织的统一指挥。
A.4.5 采用激振器激振时,应待激振频率及扰力幅值稳定时采样。
A.5场地环境振动测试
A.5 场地环境振动测试
A.5.1 场地环境振动测试应根据工程规模、建筑场地面积、有防微振要求的建筑物位置、周边道路及邻近干扰振源等因素确定测点位置。在一个场地上不宜少于5个测点,测点间距不宜大于40m。
A.5.2 环境振动工况分类及组合应包括常时微动、固定干扰振源及移动干扰振源的分别作用及组合,采样时间和次数应符合本附录A.4.3的规定。
A.5.3 传感器周围15m范围内应避免人员行走影响。
A.5.4 测试应采取多测点同时采样,当传感器数量不足或不能使所有测点同时采样时,可分批采样,但应保持振动工况一致。
A.5.5 当场地内外道路无车辆行驶时,可采用车辆模拟移动干扰振源运行,车辆数量、载重量、行驶方向、行驶速度应根据测试方案要求确定。
条文说明
A.5.1~A.5.5本节对场地环境振动测试的测点布置、振源及其组合等作出了规定。场地环境振动测试一般应不少于5个测点,以便于摸清场地环境振动的强弱分布,对于某些主要的点、线振源,尚可通过测试摸清其随距离增加而振动衰减的规律。当场地内外已建或拟建道路无车辆行驶时,应用车辆模拟行驶,测量其振动影响,通过场地环境振动测试,可以对场地已有环境振动作出综合评估。
A.6建筑物振动测试
A.6 建筑物振动测试
A.6.1 精密设备及仪器的独立基础动力特性测试应符合下列要求:
1 可采用冲击法或共振法测试基础固有振动频率及阻尼比,传感器应布置于基础顶面的质心投影点位置;
2 动力特性测试的重复测试次数不应少于3次。
条文说明
A.6.1本条对精密设备及仪器(非隔振)的独立基础的动力特性测试作了规定,以了解测试数据与计算是否相符合,进而论证能否满足防微振需求。对建筑物的动力特性测试也时常与结构模态测试结合起来进行,通过测试,不仅了解建筑物的固有振动频率及阻尼值,还能获得建筑结构的动刚度。
A.6.2 建筑物动力特性测试应符合下列要求:
1 建筑物楼层结构应测试竖直向和水平向动力特性;
2 传感器应布置于梁板结构的主梁、次梁及板跨中,无梁楼板结构应布置于板跨中。
条文说明
A.6.2本条对建筑物在环境振动作用下微振动响应的测试作了规定,主要目的是通过测试,考核其防微振性能是否达到预期效果。测试应特别需要对振源分类及其组合做好策划,以求获得满意结果。
A.6.3 环境微振动测试应符合下列要求:
1 环境微振动工况分类及组合应包括常时微振动、本建筑以外的固定干扰振源、移动干扰振源,本建筑内的固定干扰振源、移动干扰振源的分别作用及组合;
2 传感器布置应符合下列要求:
1)对于精密设备或仪器的独立基础,传感器应布置于基础顶面质心处及基础长边及短边方面两端;
2)对于楼层结构,传感器应布置于精密设备或仪器的安装位置处,或布置于结构主梁、次梁及跨板中。
A.7防微振基台振动测试
A.7 防微振基台振动测试
A.7.1 动力特性测试应符合下列要求:
1 测试前,隔振系统应经过调试,确认正常工作状态;
2 动力特性测试应符合本附录A.6.1第1款的规定;
3 对于超宽、超长台座,宜进行基台结构模态测试。
条文说明
A.7.1本条对防微振基台动力特性测试作了规定,对于超宽、超长台座,宜进行基台结构模态测试。通过测试,还可对隔振系统的动力特性进行修正,如改变隔振器刚度及阻尼比,以使基台更好地满足使用要求。
A.7.2 微振动测试应符合下列要求:
1 环境微振动工况分类及组合应符合本附录A.6.3第1款的规定;
2 传感器布置应符合下列要求:
1)应位于台板顶面隔振系统的质心处及长边、短边方面两端;
2)应位于台板顶面隔振系统的质心处及支承结构对应位置处。
条文说明
A.7.2本条对防微振基台的隔振性能测试作了规定。其中测点布置除布置于台板顶面隔振系统质心处,尚需布置于台板长短边的两端,以测试隔振系统的旋转振动。为了测试隔振性能,测点应布置于台板顶面隔振系统质心处及支承结构对应位置处,并同时进行数据采集。
A.8振动数据分析
A.8 振动数据分析
A.8.1 振动数据的预处理应符合下列要求:
1 微振动测试所采集的样本应与测试原始记录核对,应选择有效样本进行排序整理;
2 应对每一样本进行检查,并应除去零点漂移及干扰。
A.8.2 振动数据的时域分析应符合下列要求:
1 对于时域振动位移、速度及加速度均方根值,采用平均方法求得,平均次数根据数据采样长度决定;
2 对于时域振动位移、速度及加速度峰值,显示时域曲线可直接判读。
A.8.3 振动数据的频域分析应符合下列要求:
1 应做频域1/3倍频程谱,线性谱或功率谱分析;
2 窗函数宜采用汉宁(Hanning)窗;
3 应根据需要设定截止分析频率;
4 频域分析对样本信号的平均次数应根据数据采样长度决定;
5 稳态或随机振动信号应采用线性平均或峰值保持平均进行频域分析;
6 对于移动振源或冲击振动信号,宜采用峰值保持平均进行频域分析。
条文说明
A.8.2、A.8.3条文的规定是针对微振动测试而言,说明如下: (1)对于随机振动信号,需对采集数据的进行多次平均,平均次数越多,就越真实,条文中规定的平均次数根据数据采样长度决定。 (2)窗函数有多种,如矩形窗、指数窗、汉宁窗等,建议采用汉宁窗。 (3)采用线性平均或峰值保持平均,分析结果有较大差异。对于移动振源(汽车、列车)或冲击振源,如果对精密设备及仪器正常工作产生明显影响,例如这类振动作用对产品品质或实验数据会产生不可挽救的损失,则需采用峰值保持平均进行数据分析。
附录B多振源振动响应叠加计算
B.1一般规定
附录B 多振源振动响应叠加计算
B.1 一般规定
B.1.1 多振源振动响应叠加可由测试确定,在无测试条件时,可按本附录第B.2.1条~第B.2.5条进行计算。
B.1.2 多振源振动传递衰减至距振源距离r处时,振动响应叠加应按稳态振源、瞬态振源和随机振源叠加组合进行计算。
B.2多振源振动响应叠加计算
B.2 多振源振动响应叠加计算
B.2.1 多个不同振源振动响应的叠加可按式(B.2.2-1)~式(B.2.2-4)计算,取其中较大值。
B.2.2 多个稳态振源振动响应的叠加可按式(B.2.2-1)~式(B.2.2-4)计算:

式中: D r ——多个振源距指定点距离r i处的振动响应叠加;
D r i ——每个振源距指定点处的振动响应;
D r 1 ——第一个稳态振源距指定点处的振动响应;
D r 2 ——第二个稳态振源距指定点处的振动响应;
D r 1 , max ——多个振源中距指定点处振动响应最大的一个;
D r 2 , max ——多个振源中距指定点处振动响应次大的一个;
n——振源个数。
B.2.3 多个稳态和多个瞬态振源振动响应的叠加可按下列公式计算:

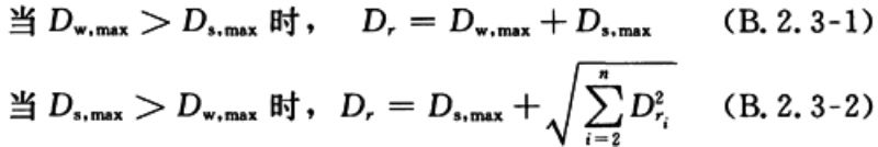
式中:D w,max ——多个稳态振源中距指定点处振动响应最大的一个;
D s,max ——多个瞬态振源中距指定点处振动响应最大的一个。
B.2.4 火车、汽车、机床等随机振源的振动响应叠加按下式计算:

B.2.5 瞬态振源应按其中振动响应最大的一个进行计算。
本规范用词说明
本规范用词说明
1 为便于在执行本规范条文时区别对待,对要求严格程度不同的用词说明如下:
1)表示很严格,非这样做不可的:
正面词采用“必须”,反面词采用“严禁”;
2)表示严格,在正常情况下均应这样做的:
正面词采用“应”,反面词采用“不应”或“不得”;
3)表示允许稍有选择,在条件许可时首先应这样做的:
正面词采用“宜”,反面词采用“不宜”;
4)表示有选择,在一定条件下可以这样做的,采用“可”。
2 条文中指明应按其他有关标准执行的写法为:“应符合……的规定”或“应按……执行”。
引用标准名录
引用标准名录
《建筑地基基础设计规范》GB 50007
《建筑抗震设计规范》GB 50011
《动力机器基础设计规范》GB 50040
《建筑地基基础工程施工质量验收规范》GB 50202
《建筑工程施工质量验收统一标准》GB 50300
《隔振设计规范》GB 50463
《洁净室施工及验收规范》GB 50591
《建筑地基处理技术规范》JGJ 79
