Appearance
《建筑钢结构防火技术规范》CECS 200:2006
🗓️ 实施时间: 2018-04-01
总 则
1 总 则
1.0.1 为防止和减小建筑钢结构的火灾危害,保护人身和财产安全,经济、合理地进行钢结构抗火设计和采取防火保护措施,制定本规范。
1.0.2 本规范适用于新建、扩建和改建的建筑钢结构和组合结构的抗火设计和防火保护。
1.0.3 本规范是以火灾高温下钢结构的承载能力极限状态为基础,根据概率极限状态设计法的原则制定的。
1.0.4 建筑钢结构的抗火设计和防火保护,除应符合本规范的规定外,尚应符合我国现行有关标准的规定。
术语和符号
2.1 术 语
2.1 术 语
2.1.1 火灾荷载密度 fire load density
单位楼面面积上可燃物的燃烧热值(MJ/m2)。
2.1.2 标准火灾升温 standard fire temperature-time curve
国际标准ISO 834给出的,用于建筑构件标准耐火试验的炉内平均温度与时间的关系曲线。
2.1.3 等效曝火时间 equivalent time of fire exposure
在非标准火灾升温条件下,火灾在时间t内对构件或结构的作用效应与标准火灾在时间te内对同一构件或结构(外荷载相同)的作用效应相同,则时间te称为前者的等效曝火时间。
2.1.4 抗火承载能力极限状态 limit state for fire resistance
在火灾条件下,构件或结构的承载力与外加作用(包括荷载和温度作用)产生的组合效应相等时的状态。
2.1.5 临界温度 critical temperatrue
假设火灾效应沿构件的长度和截面均匀分布,当构件达到抗火承载力极限状态时构件截面上的温度。
2.1.6 荷载比 load level,load ratio
火灾下构件承载力与常温下相应的承载力的比值。
2.1.7 钢管混凝土 concrete-filled steel tube
在圆形或矩形钢管内填灌混凝土而形成,且钢管和混凝土在受荷全过程中共同受力的构件。
2.1.8 组合构件 composite component
截面上由型钢与混凝土两种材料组合而成的构件。例如,钢管混凝土柱、钢-混凝土组合板和钢-混凝土组合梁等。
2.1.9 屋盖承重构件 load bearing roof component
用于承受屋面荷载的主要结构构件。例如,组成屋盖网架、网壳、桁架的构件和屋面梁、支撑等。屋面檩条一般不当作屋盖承重构件,但当檩条同时起屋盖结构系统的支撑作用时,则应当作屋盖承重构件。
2.1.10 自动喷水灭火系统全保护 complete sprinkler system
建筑物内除面积小于5m2的卫生间外,均设有自动喷水灭火系统的保护。
2.2 符 号
2.2 符 号
A——构件的毛截面面积;
Af——一个翼缘的截面面积;
Aw——梁腹板的截面面积;
B——构件单位长度综合传热系数;
Bn——与梁端部约束情况有关的常数;
cs——钢材的比热容;
ci——保护层的比热容;
di——保护层厚度;
E——常温下钢材的弹性模量;
ET——高温下钢材的弹性模量;
f——常温下钢材的设计强度;
fy——常温下钢材的屈服强度;
fyT——高温下钢材的屈服强度;
fc——常温下混凝土的抗压强度;
fcT——高温下混凝土的抗压强度;
F——单位长度构件的受火表面积;
Fi——单位长度构件保护层的内表面积;
h——构件的截面高度,楼板厚度;
hw——梁腹板的高度;
hd——压型钢板的截面高度;
I——构件的截面惯性矩;
kr——火灾下钢管混凝土柱的承载力影响系数;
l——构件的长度、跨度;
l0——构件的计算长度;
Mfi——受火构件按等效作用力分析得到的杆端弯矩;
Mp——塑性弯矩;
MTi——受火构件的杆端温度弯矩;
Mx、My——构件的最大弯矩设计值;
N——构件的轴力设计值;
N'ExT、N'EyT——高温下构件的承载力参数;
Nf——受火构件按等效作用力分析得到的轴力;
NT——受火构件的轴向温度内力;
P——保护层的含水百分比;
q——梁(板)所受的均布荷载或等效均布荷载;
qr——考虑薄膜效应后楼板的极限承载力;
Qik——楼面或屋面活荷载的标准值;
R、R'、R'x、R'y——荷载比;
Rd——高温下结构或构件的设计承载力;
S——结构或构件的荷载组合效应;
Sm——高温下结构或构件的作用组合效应;
t——受火时间或耐火时间;
t'——构件温度达到100℃所需的时间;
td——结构或构件的耐火时间;
te——等效曝火时间;
tm——结构或构件的耐火极限;
tv——延迟时间;
tw——梁腹板的厚度;
T0——受火前钢构件的内部温度;
T1、T2——受火钢构件两侧或上下翼缘的温度;
Td——结构或构件的临界温度;
T'g——实际的室内火灾升温;
Tg(0)——火灾发生前的室内平均空气温度;
Tg——对应t时刻的室内平均空气温度;
Ts——钢构件温度;
Tm——在耐火极限时间内结构或构件的最高温度;
V——单位长度构件的体积;
Wp——构件的截面塑性模量;
Wx、Wy——构件绕x轴和绕y轴的毛截面模量;
αs——钢材的热膨胀系数;
βm、βt——等效弯矩系数;
γ0——结构抗火重要性系数;
γR——钢构件的抗力分项系数,抗火设计中钢材强度调整系数;
γx、γy——截面塑性发展系数;
xT——高温下钢材弹性模量折减系数;
ηT——高温下钢材强度折减系数;
υs——钢材的泊松比;
λ——构件的长细比;
λi——保护材料的导热系数;
λs——钢材的导热系数;
ρi——保护材料的密度;
ρs——钢材的密度;
αc——对流传热系数;
αr——辐射传热系数;
φ——常温下轴心受压构件的稳定系数;
φb——常温下钢梁的整体稳定系数;
φ'bT——高温下钢梁的整体稳定系数;
△t——时间增量;
△T——构件或结构的温度变化值。
钢结构防火要求
3 钢结构防火要求
3.0.1 单、多层建筑和高层建筑中的各类钢构件、组合构件等的耐火极限不应低于表3.0.1和本章的相关规定。当低于规定的要求时,应采取外包覆不燃烧体或其他防火隔热的措施。
表3.0.1 单、多层和高层建筑构件的耐火极限

注:对造纸车间、变压器装配车间、大型机械装配车间、卷烟生产车间、印刷车间等及类似的车间,当建筑耐火等级较高时,吊车梁体系的耐火极限不应低于表中梁的耐火极限要求。
3.0.2 钢结构公共建筑和用于丙类和丙类以上生产、仓储的钢结构建筑中,宜设置自动喷水灭火系统全保护。
3.0.3 当单层丙类厂房中设有自动喷水灭火系统全保护时,各类构件可不再采取防火保护措施。
3.0.4 丁、戊类厂、库房(使用甲、乙、丙类液体或可燃气体的部位除外)中的构件,可不采取防火保护措施。
3.0.5 当单、多层一般公共建筑和居住建筑中设有自动喷水灭火系统全保护时,各类构件的耐火极限可按表3.0.1的相应规定降低0.5h。
3.0.6 对单、多层一般公共建筑和甲、乙、丙类厂、库房的屋盖承重构件,当设有自动喷水灭火系统全保护,且屋盖承重构件离地(楼)面的高度不小于6m时,该屋盖承重构件可不采取其他防火保护措施。
3.0.7 除甲、乙、丙类库房外的厂、库房,建筑中设自动喷水灭火系统全保护时,其柱、梁的耐火极限可按表3.0.1的相应的规定降低0.5h。
3.0.8 当空心承重钢构件中灌注防冻、防腐并能循环的溶液,且建筑中设有自动喷水灭火系统全保护时,其承重结构可不再采取其他防火保护措施。
3.0.9 当多、高层建筑中设有自动喷水灭火系统全保护(包括封闭楼梯间、防烟楼梯间),且高层建筑的防烟楼梯间及其前室设有正压送风系统时,楼梯间中的钢构件可不采取其他防火保护措施;当多层建筑中的敞开楼梯、敞开楼梯间采用钢结构时,应采取有效的防火保护措施。
3.0.10 对于多功能、大跨度、大空间的建筑,可采用有科学依据的性能化设计方法,模拟实际火灾升温,分析结构的抗火性能,采取合理、有效的防火保护措施,保证结构的抗火安全。
材料特性
4.1 钢 材
4.1 钢 材
4.1.1 在高温下,钢材的有关物理参数应按表4.1.1采用。
表4.1.1 高温下钢材的物理参数

4.1.2 在高温下,普通钢材的弹性模量可按下式计算:

式中 Ts——温度(℃);
ET——温度为Ts时钢材的弹性模量(MPa);
E——常温下钢材的弹性模量(MPa);
xT——高温下钢材弹性模量的折减系数,可按表4.1.2采用。
表4.1.2 高温下普通钢材的弹性模量折减系数xT


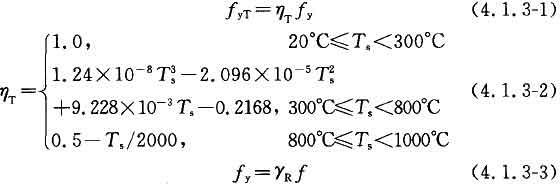
4.1.3 在高温下,普通钢材的屈服强度可按下式计算:

式中 fyT——温度为Ts时钢材的屈服强度(MPa);
fy——常温下钢材的屈服强度(MPa);
f——常温下钢材的强度设计值(MPa);
γR——钢构件抗力分项系数,取靠γR=1.1;
ηT——高温下钢材强度折减系数,可按表4.1.3采用。
表4.1.3 高温下普通钢材的强度折减系数ηT

4.1.4 当按第4.1.2、4.1.3条确定高温下钢材的特性时,常温下钢材的特性应按现行国家的标准《钢结构设计规范》GB 50017的规定采用。
4.1.5 在高温下,耐火钢的弹性模量和屈服强度可分别按式(4.1.2-1)和式(4.1.3-1)确定。其中,弹性模量折减系数xT和屈服强度折减系数ηT可分别按式(4.1.5-1)和(4.1.5-2)确定。

4.2 混凝土
4.2 混凝土
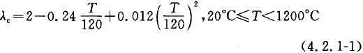
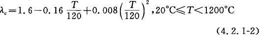
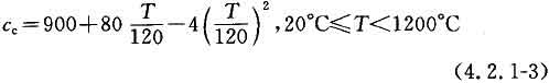
4.2.1 在高温下,普通混凝土的有关物理参数可按下列规定采用:
1 导热系数
硅质骨料混凝土:

式中 λc——温度为T时混凝土的导热系数[W/(m·℃)];
T——混凝土的温度(℃)。
钙质骨料混凝土:

2 比热容

式中 cc——温度为T时混凝土的比热容[J/(kg·℃)] 。
4.2.2 在高温下,普通混凝土的初始弹性模量可按下式计算:

式中 EcT——温度为T时混凝土的初始弹性模量(MPa);
Ec ——常温下混凝土的初始弹性模量(MPa)。
4.2.3 在高温下,混凝土的抗压强度可按下式计算:

式中 fcT——高温下混凝土的抗压强度;
fc ——常温下混凝土的抗压强度;
ηcT——高温下混凝土的抗压强度折减系数,可按表4.2.3采用。

4.2.4 当按第4.2.2、4.2.3条确定高温下混凝土的材料特性时,常温下混凝土的特性应按现行国家标准《混凝土结构设计规范》GB 50010的规定采用。
4.2.5 在高温下,其他类型混凝土的特性,应根据有关标准通过高温材性试验确定。
4.3 防火涂料
4.3 防火涂料
4.3.1 当钢结构采用防火涂料保护时,可采用膨胀型或非膨胀型防火涂料。
4.3.2 钢结构防火涂料的技术性能除应符合现行国家标准《钢结构防火涂料》GB 14907的规定外,尚应符合下列要求:
1 生产厂应提供非膨胀型防火涂料导热系数(500℃时)、比热容、含水率和密度参数,或提供等效导热系数、比热容和密度参数。非膨胀型防火涂料的等效导热系数可按附录A的规定测定。
2 主要成分为矿物纤维的非膨胀型防火涂料,当采用干式喷涂施工工艺时,应有防止粉尘、纤维飞扬的可靠措施。
4.4 防火板
4.4 防火板
4.4.1 当钢结构采用防火板保护时,可采用低密度防火板、中密度防火板和高密度防火板。
4.4.2 防火板材应符合下列要求:
1 应为不燃性材料;
2 受火时不炸裂,不产生穿透裂纹;
3 生产厂应提供产品的导热系数(500℃时)或等效导热系数、密度和比热容等参数。防火板的等效导热系数可按附录A的规定测定。
4.5 其他防火隔热材料
4.5 其他防火隔热材料
4.5.1 钢结构也可采用粘土砖、C20混凝土或金属网抹M5砂浆等其他隔热材料作为防火保护层。
4.5.2 当采用其他防火隔热材料作为钢结构的防火保护层时,生产厂除应提供强度和耐候性参数外,尚应提供导热系数(500℃时)或等效导热系数、密度和比热容等参数。其他防火隔热材料的等效导热系数可参照附录A的规定测定。
抗火设计基本规定
5.1 抗火极限状态设计要求
5.1 抗火极限状态设计要求
5.1.1 当满足下列条件之一时,应视为钢结构构件达到抗火承载能力极限状态:
1 轴心受力构件截面屈服。
2 受弯构件产生足够的塑性铰而形成可变机构。
3 构件整体丧失稳定。
4 构件达到不适于继续承载的变形。
5.1.2 当满足下列条件之一时,应视为钢结构整体达到抗火承载能力极限状态:
1 结构产生足够的塑性铰形成可变机构。
2 结构整体丧失稳定。
5.1.3 钢结构的抗火设计应满足下列要求之一:
1 在规定的结构耐火极限时间内,结构或构件的承载力Rd不应小于各种作用所产生的组合效应Sm,即:
Rd≥Sm (5.1.3-1)
2 在各种荷载效应组合下,结构或构件的耐火时间td不应小于规定的结构或构件的耐火极限tm,即:
td≥tm (5.1.3-2)
3 结构或构件的临界温度Td不应低于在耐火极限时间内结构或构件的最高温度Tm,即:
Td≥Tm (5.1.3-3)
5.2 一般规定
5.2 一般规定
5.2.1 在一般情况下,可仅对结构的各种构件进行抗火计算,使其满足构件抗火设计的要求。
5.2.2 当进行结构某一构件的抗火验算时,可仅考虑该构件的受火升温。
5.2.3 有条件时,可对结构整体进行抗火计算,使其满足结构抗火设计的要求。此时,应进行各构件的抗火验算。
5.2.4 进行结构整体抗火验算时,应考虑可能的最不利火灾状况。
5.2.5 对于跨度大于80m或高度大于100m的建筑结构和特别重要的建筑结构,宜对结构整体进行抗火验算,按最不利的情况进行抗火设计。
5.2.6 对第5.2.5条规定以外的结构,当构件的约束较大时,如在荷载效应组合中不考虑温度作用,则其防火保护层设计厚度应按计算厚度增加30%。
5.2.7 连接节点的防火保护层厚度不得小于被连接构件防火保护层厚度的较大值。
温度作用及其效应组合
6.1 室内火灾空气升温
6.1 室内火灾空气升温
6.1.1 一般工业与民用建筑的室内火灾空气温度可按下式计算:
Tg(t)-Tg(O)=345lg(8t+1) (6.1.1)
式中:Tg(t)——对应于t时刻的室内平均空气温度(℃);
Tg(O)——火灾发生前的室内平均空气温度,取20℃;
t——升温时间(min)。
6.1.2 当能准确确定建筑室内有关参数时,可按附录B方法计算室内火灾的空气温度,也可按其他轰燃后的火灾模型计算室内火灾的空气温度。
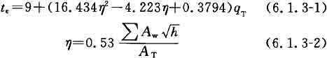
6.1.3 实际的室内火灾升温在任意时刻对结构的影响,可等效为标准火灾升温在等效曝火时刻对结构的影响。本规范以钢构件温度相等为等效原则。当采用附录B方法计算室内火灾的空气温度时,等效曝火时间te可按下式计算:

式中 te——等效曝火时间(min);
η——开口因子(m1/2);
qT——设计火灾荷载密度(MJ/m2),按附录C计算;
Aw——按门窗开口尺寸计算的房间开口面积(m2);
h——房间门窗洞口高度(m);
AT——包括门窗在内的房间六壁面积之和(m2)。
6.2 高大空间火灾空气升温
6.2 高大空间火灾空气升温
6.2.1 本规范中,高大空间是指高度不小于6m、独立空间地(楼)面面积不小于500m2的建筑空间。
6.2.2 高大空间建筑火灾中的空气升温过程可按下式确定:

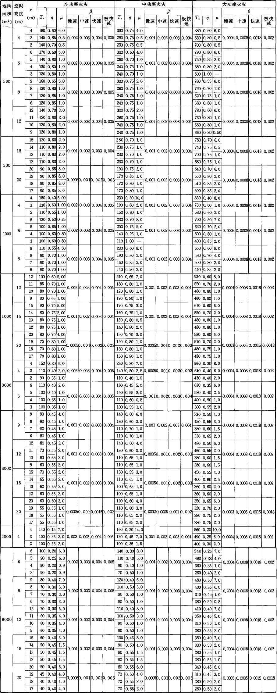
式中 T(x,z,t)——对应于t时刻,与火源中心水平距离为x(m)、与地面垂直距离为z(m)处的空气温度(℃);
Tg(O)——火灾发生前高大空间内平均空气温度,取20℃;
Tz——火源中心距地面垂直距离为z(m)处的最高空气升温(℃),按附录D确定;
β——根据火源功率类型和火灾增长类型,按附录D确定;
b——火源形状中心至火源最外边缘的距离(m);
η——与火源中心水平距离为x(m)的温度衰减系数(无量纲),按附录D确定,当x<b时,η=1;
μ——系数,按附录D确定。
6.2.3 火源功率设计值Qs应根据建筑物实际可燃物的情况,选取一合理数值。根据火源功率设计值Qs,可按
表6.2.3确定火灾功率类型。
表6.2.3 火源功率类型

6.2.4 火灾增长类型可根据可燃物类型按表6.2.4确定。
表6.2.4 火灾增长类型

6.3 钢构件升温计算
6.3 钢构件升温计算
6.3.1 火灾下钢构件的升温可按下列增量法计算,其初始温度取20℃:

式中 △t——时间增量(s),不宜超过30s;
Ts——钢构件温度(℃);
Tg——火灾下钢构件周围空气温度(℃);
B——钢构件单位长度综合传热系数[W/(m3·℃)],按第6.3.2条计算;
cs——钢材比热容,按表4.1.1取值;
ρs——钢材密度,按表4.1.1取值。
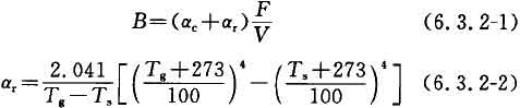
6.3.2 钢构件单位长度综合传热系数B可按下列公式计算:
1 构件无防火保护层时

式中 F——构件单位长度的受火表面积(m2/m);
V——构件单位长度的体积(m3/m);
αc——对流传热系数,取25[W/(m2·℃)];
αr——辐射传热系数[W/(m2·℃)]。
2 构件有非膨胀型保护层时

式中 ci——保护材料的比热容[J/(kg·℃)];
ρi——保护材料的密度(kg/m3);
di——保护层厚度(m);
λi——保护材料500℃时的导热系数或等效导热系数[W/(m3·℃)];
Fi——构件单位长度防火保护材料的内表面积(m2/m)。
各类构件的Fi/V值可按附录E采用。
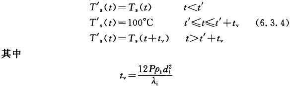
6.3.3 有非膨胀型防火保护层的构件,当构件温度不超过600℃时,在标准火灾升温条件下其内部温度可按下式近似计算:

式中 Ts(0)——火灾前构件的初始温度,取20℃;
t——火灾升温时间(s),当为非标准火灾升温时,用第6.1.3条确定的等效曝火时间te代替。
有膨胀型防水保护层的构件,在标准火灾升温条件下,其内部温度应按附录I规定的方法确定。
6.3.4 在标准火灾升温条件下,无防火保护层的钢构件和采用不同参数防火被覆构件的升温也可按附录F查表确定。
6.3.5 当钢构件的防火被覆中含有水分时,宜考虑钢构件的升温延迟现象。此时钢构件的内部温度可按下式计算:

式中 tv——延迟时间(s);
t' ——构件温度达到100℃所需的时间(s);
P——保护层中所含水分的质量百分比(%);
T's(t)——考虑延迟现象的影响时,构件在t时刻的内部温度;
Ts(t)——不考虑延迟现象的影响时,构件在t时刻的内部温度,按第6.3.1、6.3.3或6.3.4条确定。
当有实测数据时,延迟时间tv可采用实测值。
当采用由附录A确定的防火被覆的等效导热系数计算钢构件的升温时,无需考虑防火被覆中水分引起的延迟时间。
6.4 结构内力分析
6.4 结构内力分析
6.4.1 在进行钢结构抗火计算时,应考虑温度内力和变形的影响。
6.4.2 计算钢结构中某一构件受火升温的温度内力和变形时,可将受火构件的温度效应等效为杆端作用力(图6.4.2),并将该作用力作用在与该杆端对应的结构节点上,然后按常温下的分析方法进行结构分析,得到该构件升温对结构产生的温度内力和变形。其中,受火构件的温度内力可按下式确定:

NT——受火构件的轴向温度内力(压力);
MTi——受火构件的杆端温度弯矩(方向与图6.4.2b所示MTe方向相反);
Nf——按等效作用力分析得到的受火构件的轴力(受拉为正);
Mfi——按等效作用力分析得到的受火构件的杆端弯矩(方向与图6.4.2b所示MTe方向一致为正);
T1、T2——受火构件两侧或上下翼缘的温度,对于有防火保护层的钢构件取T1=T2;
T0——受火前构件的温度;
ET——温度为(T1+T2)/2时钢材的弹性模量;
A——受火构件的截面面积;
I——受火构件的截面惯性矩;
h——受火构件的截面高度。

图6.4.2 结构温度效应等效为杆端作用力
6.4.3 计算框架柱的温度内力时,如仅考虑该柱升温(相邻柱不升温),则该柱的温度内力可根据计算结果折减30%。
6.4.4 钢结构构件抗火验算时,受火构件在外荷载作用下的内力,可采用常温下相同荷载所产生的内力乘以折减系数0.9。
6.5 作用效应组合
6.5 作用效应组合
6.5.1 钢结构抗火验算时,可按偶然设计状况的作用效应组合,采用下列较不利的设计表达式:

式中 Sm——作用效应组合的设计值;
SGk——永久荷载标准值的效应;
STk——火灾下结构的标准温度作用效应;
SQk——楼面或屋面活荷载标准值的效应;
Swk——风荷载标准值的效应;
——楼面或屋面活荷载的频遇值系数,按现行国家标准《建筑结构荷载规范》GB 50009的规定取值;
——楼面或屋面活荷载的准永久值系数,按现行国家标准《建筑结构荷载规范》GB 50009的规定取值;
γ0——结构抗火重要性系数,对于耐火等级为一级的建筑取1.15,对其他建筑取1.05。
钢结构抗火验算
7.1 抗火设计步骤
7.1 抗火设计步骤
7.1.1 钢结构构件抗火设计可采用第7.1.2或7.1.3条规定的步骤进行。
7.1.2 钢结构构件抗火设计方法一的步骤为:
1 按第6.5.1条进行荷载效应组合。
2 根据构件和荷载类型,按第7.4和7.5节有关条文,确定构件的临界温度Td。
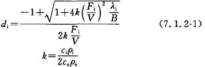
3 当保护材料为膨胀型时,保护层厚度可按试验方法确定。当保护材料为非膨胀型时,可按下述方法计算所需防火被覆厚度:
1)由给定的临界温度Td、耐火极限(标准升温时间t或等效曝火时间te),按附录G查表确定构件单位长度综合传热系数B。
2)由下式计算保护层厚度:

3)当k≤0.01或不便确定时,可偏于安全地按下式计算保护层厚度:

4)当防火保护材料的平衡含水率P较大(延迟时间大于5min),可先按式(7.1.2-1)求出初定厚度d'i,然后按下式估计延迟时间:

以(t-tv)代表t重新按附录G查表确定构件单位长度综合传热系数B值,再根据式(7.1.2-1)求得最后厚度。
如果防火保护材料的等效导热系数根据附录A确定,则无需考虑防火被覆中水分引起的延迟时间。
以上各式中符号意义同第6.3节。
7.1.3 钢结构构件抗火设计方法二的步骤为:
1 设定一定的防火被覆厚度。
2 按第6.3节有关条文计算构件在要求的耐火极限下的内部温度。
3 按第4.1节有关条文确定高温下钢材的参数,按第6.4节有关条文计算结构构件在外荷载和温度作用下的内力。
4 按第5.2节规定进行结构分析(含温度效应分析),并按第6.5节进行荷载效应组合。
5 根据构件和受载的类型,按第7.2和7.3节有关条文进行构件耐火承载力极限状态验算。
6 当设定的防火被覆厚度不合适时(过小或过大),可调整防火被覆厚度,重复上述1~5步聚。
7.1.4 钢结构整体的抗火验算可按下列步骤进行:
1 设定结构所有构件一定的防火被覆厚度。
2 确定一定的火灾场景。
3 进行火灾温度场分析及结构构件内部温度分析。
4 在第6.5.1条规定的荷载作用下,分析结构是否满足第5.1.3条的要求。
5 当设定的结构防火被覆厚度不合适时(过小或过大),调整防火被覆厚度,重复上述1~4步骤。
7.2 基本钢构件的抗火承载力验算
7.2 基本钢构件的抗火承载力验算
7.2.1 高温下,轴心受拉钢构件或轴心受压钢构件的强度应按下式验算:

式中 N——火灾下构件的轴向拉力或轴向压力设计值;
An——构件的净截面面积;
ηT——高温下钢材的强度折减系数;
γR——钢构件的抗力分项系数,近似取γR=1.1;
f——常温下钢材的强度设计值。
7.2.2 高温下,轴心受压钢构件的稳定性应按下式验算;

式中 N——火灾时构件的轴向压力设计值;
A——构件的毛截面面积;
φT——高温下轴心受压钢构件的稳定系数;
αc——高温下轴心受压钢构件的稳定验算参数;对于普通结构钢构件,根据构件长细比和构件温度按表7.2.2-1确定,对于耐火钢构件,按表7.2.2-2确定;
φ——常温下轴心受压钢构件的稳定系数,按现行国家标准《钢结构设计规范》GB 50017确定。
表7.2.2-1 高温下轴心受压普通结构钢构件的稳定验算参数 αc

注:温度在50℃及以下时αc取1.0,其他温度αc按线性插值确定。
表7.2.2-2 高温下轴心受压耐火钢构件的稳定验算参数αc

注:温度在50℃及以下时αc取1.0,其他温度αc按线性插值确定。
7.2.3 高温下,单轴受弯钢构件的强度应按下式验算:

式中 M——火灾时最不利截面处的弯矩设计值;
Wn——最不利截面的净截面模量;
γ——截面塑性发展系数,对于工字型截面γx=1.05、γy=1.2,对于箱形截面γx=γy=1.05,对于圆钢管截面γx=γy=1.15。
7.2.4 高温下,单轴受弯钢构件的稳定性应按下式验算:

式中 M——火灾时构件的最大弯矩设计值;
W——按受压纤维确定的构件毛截面模量;
φ’bT——高温下受弯钢构件的稳定系数;
φb——常温下受弯钢构件的稳定系数(基于弹性阶段),按现行国家标准《钢结构设计规范》GB 50017有关规定计算,但当所计算的φb>0.6时,φb不作修正;
αb——高温下受弯钢构件的稳定验算参数,按表7.2.4-1、表7.2.4-2确定。
表7.2.4-1 高温下受弯普通结构钢构件的稳定验算参数 αb

表7.2.4-2 高温下受弯耐火钢构件的稳定验算参数αb

7.2.5 高温下,拉弯或压弯钢构件的强度应按下式验算:

式中 N——火灾时构件的轴力设计值;
Mx、My——火灾时最不利截面处的弯矩设计值,分别对应于强轴x轴和弱轴y轴;
An——最不利截面的净截面面积;
Wax、Way——分别为对强轴x轴和弱轴y轴的净截面模量;
γx、γy——分别为绕强轴弯曲和绕弱轴弯曲的截面塑性发展系数,对于工字型截面γx=1.05、γy=1.2;对于箱形截面γx=γy=1.05;对于圆钢管截面γx=γy=1.15。
7.2.6 高温下,压弯钢构件的稳定性应按下式验算:
1 绕强轴x轴弯曲:

2 绕弱轴y轴弯曲:

式中 N——火灾时构件的轴向压力设计值;
Mx、My——分别为火灾时所计算构件段范围内对强轴(x)和弱轴(y)的最大弯矩设计值;
A——构件的毛截面面积;
Wx、Wy——分别为对强轴和弱轴的毛截面模量;
N'ExT、N'EyT——分别为高温下绕强轴弯曲和绕弱轴弯曲的参数;
λx、λy——分别为对强轴和弱轴的长细比;
φxT、 φyT——高温下轴心受压钢构件的稳定系数,分别对应于强轴失稳和弱轴失稳,按式(7.2.2-2)计算;
φ'bxT、 φ'byT——高温下均匀弯曲受弯钢构件的稳定系数,分别对应于强轴失稳和弱轴失稳,按式(7.2.4-2)计算;
γx、γy——分别为绕强轴弯曲和绕弱轴弯曲的截面塑性发展系数,对于工字型截面γx=1.05、γy=1.2,对于箱形截面以γx=γy=1.05,对于圆钢管截面γx=γy=1.15;
η——截面影响系数,对于闭口截面η=0.7,对于其他截面η=1.0;
βmx、βmy——弯矩作用平面内的等效弯矩系数,按现行国家标准《钢结构设计规范》GB 50017确定;
βtx、βty——弯矩作用平面外的等效弯矩系数,按现行国家标准《钢结构设计规范》GB 50017确定。
7.3 钢框架梁、柱的抗火承载力验算
7.3 钢框架梁、柱的抗火承载力验算
7.3.1 火灾时,按图7.3.1所示钢框架柱的承载能力极限状态,应按下式验算其高温承载力:

式中 N——火灾时框架柱所受的轴力设计值,应考虑温度内力的影响;
A——框架柱的毛截面面积;
φT——高温下轴心受压钢构件的稳定系数,按式(7.2.2-2)计算,其中框架柱计算长度取构件高度。

图7.3.1 梁升温使柱端屈服
7.3.2 火灾时,按图7.3.2所示钢框架梁承载能力极限状态,应按下式验算其高温承载力:

式中 Mq——梁上荷载产生的最大弯矩设计值,不考虑温度内力;当梁承受的荷载为非均布荷载时,可按简支梁跨间最大弯矩等效的原则,将其等效为均布荷载;
q——火灾时梁承受的均布荷载设计值;
l——梁的跨度;
Bn——与梁端部连接有关的参数,当梁两端铰接时, Bn=1,当梁两端刚接时, Bn=0.5;
MpT——高温下梁截面的塑性弯矩;
Wp——梁截面的塑性截面模量。

图7.3.2 框架梁的极限状态
7.4 基本钢构件的临界温度
7.4 基本钢构件的临界温度
7.4.1 轴心受拉钢构件根据其截面强度荷载比R,可按表7.4.1-1、表7.4.1-2确定构件的临界温度Td。其中,R可按下式计算:

式中 N——火灾时构件的轴向拉力设计值;
An——构件的净截面面积;
f——常温下钢材的强度设计值。
表7.4.1-1 普通结构钢构件根据截面强度荷载比R确定的临界温度Td(℃)

表7.4.1-2 耐火钢构件根据截面强度荷载比R确定的临界温度Td(℃)

7.4.2 轴心受压钢构件的临界温度Td可取以下两个临界温度T'd、T''d中的较小者:
1 临界温度T'd
根据截面强度荷载比R,可按表7.4.1-1、表7.4.1-2确定T'd。其中,R可按下式计算:

式中 N——火灾时构件所受的轴压力。
2 临界温度T''d
根据构件稳定荷载比R’以及构件长细比λ,可按表7.4.2-1、表7.4.2-2确定T''d。其中,R’可按下式计算:

式中 A——构件的毛截面面积;
φ——常温下轴心受压构件的稳定系数。
表7.4.2-1 轴心受压普通结构钢构件根据构件稳定荷载比R'确定的临界温度T''d(℃)

表7.4.2-2 轴心受压耐火钢构件根据构件稳定荷载比R'确定的临界温度T''d(℃)

7.4.3 单轴受弯钢构件的临界温度Td可取以下两个临界温度T'd、T''d中的较小者:
1 临界温度T'd
根据截面强度荷载比R,可按表7.4.1-1、表7.4.1-2确定T'd。其中,R可按下式计算:

式中 M——火灾时最不利截面处的弯矩设计值;
Wn——最不利截面的净截面模量;
γ——截面塑性发展系数。
2 临界温度T''d
根据构件稳定荷载比R' 以及常温下受弯构件的稳定系数φ'b,可按表7.4.3-1、表7.4.3-2确定T''d。其中,R' 可按下式计算:

式中 M——火灾时构件的最大弯矩设计值;
W——构件的毛截面模量;
φ'b——常温下受弯构件的稳定系数;
φb——常温下受弯钢构件的稳定系数(基于弹性受力阶段),根据现行国家标准《钢结构设计规范》GB 50017的有关规定计算。
表7.4.3-1 受弯普通结构钢构件根据构件稳定荷载比R' 确定的临界温度T''d(℃)

表7.4.3-2 受弯耐火钢构件根据构件稳定荷载比R' 确定的临界温度T''d(℃)

7.4.4 拉弯钢构件根据其截面强度荷载比R,可按表7.4.1-1、表7.4.1-2确定构件的临界温度Td。其中,R可按下式计算:

式中 N——火灾时构件的轴向拉力设计值;
Mx、My——火灾时最不利截面处的弯矩,分别对应于强轴x轴和弱轴y轴;
An——最不利截面的净截面面积;
Wnx、Wny——分别为对强轴x轴和弱轴y轴的净截面模量;
γx、γy——分别为绕强轴弯曲和绕弱轴弯曲的截面塑性发展系数。
7.4.5 压弯钢构件的临界温度Td可取以下三个临界量温度T'd、T''dx、T''dy中的较小者:
1 临界温度T'd
根据截面强度荷载比R,可按表7.4.1-1、表7.4.1-2确定T'd。其中,R可按下式计算:

式中 N——火灾时构件的轴向压力设计值;
Mx、My——火灾时最不利截面处的弯矩,分别对应于强轴x轴和弱轴y轴;
An——最不利截面的净截面面积;
Wnx、Wny——分别为对强轴x轴和弱轴y轴的净截面模量;
γx、γy——分别为绕强轴弯曲和绕弱轴弯曲的截面塑性发展系数。
2 临界温度T''dx
根据绕强轴x轴弯曲的构件稳定荷载比R’x以及长细比λx、参数e1、参数e2,可按表7.4.5-1、表7.4.5-2确定T''dx。其中,R'x、e1、e2分别可按下式计算:

式中 N——火灾时构件所受的轴向压力设计值;
Mx、My——分别为火灾时所计算构件段范围内对强轴和弱轴的最大弯矩设计值;
A——构件的毛截面面积;
Wx、Wy——分别为对强轴和弱轴的毛截面模量;
N'Ex、N'Ey——分别为绕强轴弯曲和绕弱轴弯曲的参数;
E——常温下钢材的弹性模量;
λx、λy——分别为对强轴和弱轴的长细比;
φx——常温下轴心受压构件对应于强轴失稳的稳定系数;
φ'by——常温下均匀弯曲受弯构件对应于弱轴失稳的稳定系数,按式(7.4.3-3)计算;
γx——绕强轴弯曲的截面塑性发展系数;对于工字型截面γx=1.05,对于箱形截面γx=1.05,对于圆钢管截面γx=1.15;
η——截面影响系数,对于闭口截面η=0.7,对于其他截面η=1.0;
βmx——弯矩作用平面内的等效弯矩系数,根据现行国家标准《钢结构设计规范》GB 50017确定;
βty——弯矩作用平面外的等效弯矩系数,根据现行国家标准《钢结构设计规范》GB 50017确定。
3 临界温度T''dy
根据绕弱轴y轴弯曲的构件稳定荷载比R'y以及长细比λy、参数e1、参数e2,可按表7.4.5-1、表7.4.5-2确定T''dy,(R'y对应于R'x,λy对应于λx)。其中,R'y、e1、e2分别可按下式计算:

式中 φy——常温下轴心受压构件对应于弱轴失稳的稳定系数;
φ'bx——常温下均匀弯曲受弯构件对应于强轴失稳的稳定系数,按式(7.4.3-3)计算;
γy——绕弱轴弯曲的截面塑性发展系数;对于工字型截面γy=1.2,对于箱形截面,γy=1.05,对于圆钢管截面γy=1.15;
βmy——弯矩作用平面内的等效弯矩系数,根据现行国家标准《钢结构设计规范》GB 50017确定;
βty——弯矩作用平面外的等效弯矩系数,根据现行国家标准《钢结构设计规范》GB 50017确定。
表7.4.5-1 压弯普通结构钢构件根据构件稳定荷载比R'x(或R'y)确定的临界温度T''dx( 或T''dy) (℃)

表7.4.5-2 压弯耐火钢构件根据构件稳定荷载比R'x(或R'y)确定的临界温度T''dx( 或T''dy) (℃)

7.5 钢框架梁、柱的临界温度
7.5 钢框架梁、柱的临界温度
7.5.1 钢框架柱的临界温度Td可按表7.4.2-1、表7.4.2-2确定。其构件稳定荷载比R’可按下式计算:

7.5.2 钢框架梁的临界温度Td可按表7.4.1-1、表7.4.1-2确定。其截面强度荷载比R可按下式计算:

组合结构抗火验算
8.1 钢管混凝土柱
8.1 钢管混凝土柱
8.1.1 当圆形截面钢管混凝土柱保护层采用非膨胀型防水涂料时,其厚度可按表8.1.1确定。
表8.1.1 圆形截面钢管混凝土柱非膨胀型防火涂料保护层厚度

注:λ=4L/D,其中L为柱的计算长度,D为柱截面直径。
8.1.2 当矩形截面钢管混凝土柱保护层采用非膨胀型防火涂料时,其厚度可按表8.1.2确定。
表8.1.2 矩形截面钢管混凝土柱非膨胀型防火涂料保妒层厚度


8.1.3 当圆形截面钢管混凝土柱保护层采用金属网抹M5普通水泥砂浆时,其厚度可按表8.1.3确定。
表8.1.3 圆形截面钢管混凝土柱金属网抹M5普通水泥砂浆保护层厚度

注:λ=4L/D,其中L为柱的计算长度,D为柱截面直径。
8.1.4 当矩形截面钢管混凝土柱保护层采用金属网抹M5普通水泥砂浆时,其厚度可按表8.1.4确定。
表8.1.4 矩形截面钢管混凝土柱金属网抹M5普通水泥砂浆保护层厚度


8.1.5 当钢管混凝土柱不采用防火保护措施时,在火灾条件下的荷载比应满足下列要求:
R < kr (8.1.5)
式中 R——火灾下钢管混凝土柱的荷载比;
kr——火灾下钢管混凝土柱承载力影响系数,按表8.1.5确定。
表8.1.5 火灾下钢管混凝土桩承载力系数kr

注:表内中间值可按线性插值确定。
8.1.6 为保证发生火灾时核心混凝土中水蒸气的排放,每个楼层的柱均应设置直径为20mm的排气孔。其位置宜在柱与楼板相交处的上方和下方各100mm处,并沿柱身反对称布置(图8.1.6)。

图8.1.6 排气孔位置
8.2 压型钢板组合楼板
8.2 压型钢板组合楼板
8.2.1 当压型钢板在楼板中仅起模板作用时,可不采取防火保护措施。当压型钢板在楼板中起承重作用时,若压型钢板-混凝土组合楼板满足第8.2.2~8.2.4条的规定,可不采取防火保护措施。
8.2.2 压型钢板起承重作用的组合楼板的抗火设计,可根据是否允许在火灾下产生大挠度变形,分别按第8.2.3或8.2.4条的规定进行。若楼板满足第8.2.3或8.2.4条的要求,则楼板无需采用其他防火保护措施。否则楼板应采用防火材料保护,或楼板常温下的设计不应考虑压型钢板的组合作用,而另配受拉钢筋。
8.2.3 当不允许楼板产生大挠度变形时,可根据下式计算组合楼板的耐火时间:

式中tr——组合楼板耐火时间(min);
ηF——组合板的内力指标;
Mmax——火灾下单位宽度组合板内由荷载产生的最大正弯矩设计值;
RMC——火灾下单位宽度组合板内素混凝土板的正弯矩承载力;
ft——常温下混凝土的抗拉强度设计值;
W——单位宽度组合板内低于700℃部分素混凝土板截面的正弯矩抵抗矩。
压型钢板-混凝土组合板在ISO 834标准升温条件下,各时刻的700℃等温线如图8.2.3所示,其他时刻的700℃等温线可以按内插值法得到。
如果按式(8.2.3-1)计算所得tr不小于楼板规定的耐火极限要求,则该楼板无需采用其他防火保护措施。

图8.2.3 ISO 834标准升温条件下700℃等温线在组合板内的移动过程(mm)
8.2.4 当允许压型钢板组合楼板产生大挠度变形时可考虑薄膜效应,并按附录H的方法计算楼板的极限承载力。若满足下式的要求,则楼板无需采取其他防火保护措施。
qr≥q (8.2.4)
式中 qr——考虑薄膜效应的楼板极限承载力;
q ——火灾下楼板的面荷载设计值,按第6.5.1条确定。
8.3 钢-混凝土组合梁
8.3 钢-混凝土组合梁
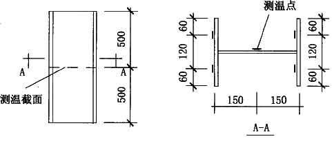
8.3.1 火灾下组合梁中混凝土楼板内的平均温度可按表8.3.1确定。
表8.3.1 混凝土楼板的平均升温(℃)

注:1 混凝土顶板厚度指压型钢板肋高以上混凝土板厚度。
2 对顶板厚度介于50~100mm的混凝土楼板,其升温可通过线性插值得到。
8.3.2 可将组合楼板中的H型钢梁分成两部分:一部分为下翼缘与腹板组成的倒T型构件;另一部分为上翼缘。两部分在火灾下的温度可分别按第6.3节相关规定计算。其中,上翼缘按三面受火考虑,下翼缘与腹板组成的倒T型构件按四面受火考虑。
8.3.3 组合梁抗火承载力应按下式验算:

式中 M——将梁当作简支梁时,相应荷载产生的跨中最大弯矩设计值,对承受均布荷载的梁
,
MR+——高温下组合梁正弯矩作用时的抵抗弯矩值,按第8.3.4条计算;
MR-——高温下组合梁负弯矩作用时的抵抗弯矩值,按第8.3.5条计算。
8.3.4 高温下组合梁正弯矩作用时的抵抗弯矩值可按下式计算:
1 塑性中和轴在混凝土板内(图8.3.4-1),即
时:

图8.3.4-1 正弯矩作用时组合梁第一类截面及其应力分布
MR+=hC1C1-hF1F1-hF2F2 (8.3.4-1)
式中和图中
C1Tot——混凝土顶板全部受压时的承载力, C1Tot=fcTAc1,其中Ac1为混凝土板截面积,fcT为混凝土高温抗压强度,按混凝土顶板平均温度确定;
C1——混凝土顶板所受压力,

F1——钢梁上翼缘全部屈服时的承载力,F1=γRηTfAf1,其中Af1为上翼缘截面面积,ηT为钢材强度高温折减系数,按钢梁上翼缘温度确定;
F2——钢梁腹板全部受拉或受压屈服时的承载力, F2=γRηTfAw,Aw为腹板截面面积,ηT为钢材强度高温折减系数,按钢梁腹板温度确定;
F3——下翼缘全部屈服时的承载力,F3=γRηTfAf2,其中Af2为下翼缘截面面积,ηT为钢材强度高温折减系数,按钢梁下翼缘温度确定;
H——钢梁截面总高度;
H0——整个组合梁截面总高度,H0=H+hu+hd;
hu——混凝土板等效厚度,当组合梁为主梁时,其值取压型钢板肋以上混凝土板厚加肋高度一半;当组合梁为次梁时,仅取压型钢板肋以上的混凝土板厚;
hd——混凝土肋的等效高度,当组合梁为主梁时,其值取压型钢板肋高度的一半;当组合梁为次梁时,取压型钢板肋的全高;
be——混凝土板有效宽度,根据现行国家标准《钢结构设计规范》GB 50017相关条文确定;
e1——混凝土顶板受压区高度;
hc1——混凝土顶板受压区中心到钢梁下翼缘中心的距离,hc1=H0-0.5e1;
hF1——上翼缘中心到下翼缘中心的距离;
hF2——腹板中心到下翼缘中心的距离。
2 塑性中和轴在钢梁截面内(图8.3.4-2),即
时:

式中 hC1——混凝土顶板受压区中心到钢梁下翼缘中心的距离,hC1=H0-0.5hu;
F2com——腹板受压区的合力,F2com=0.5(-C1-F1+F2+F3);
hF2com——腹板受压区中心到下翼缘中心的距离,hF2com=0.5(e2+H),其中e2为截面塑性中和轴到下翼缘中心的距离,
;
F2ten——腹板受拉区的合力,F2ten=0.5(C1+F1+F2-F3);
hF2ten——腹板受拉区中心到下翼缘中心的距离,为0.5e2。
8.3.5 高温下组合梁受负弯矩作用时,可不考虑楼板和钢梁下翼缘的承载作用(图8.3.5),相应的组合梁抵抗弯矩可按下式计算:

图8.3.5 负弯矩作用时组合梁截面及其应力分布

式中 Fy2com——腹板受压区合力,Fy2com=0.5(F1+F2);
Fy2ten——腹板受拉区合力,Fy2ten=0.5(-F1+F2);
hy2com ——腹板受压区中心到下翼缘中心的距离,当Fy2ten>0时hy2com=0.5(H+e3),当Fy2ten≤0时hy2com=0.5H;
e3——塑性中和轴到上翼缘中心的距离,当Fy2ten>0时,
;当Fy2ten≤0时,e3=0;
hy2ten ——腹板受拉区中心到下翼缘中心的距离,当Fy2ten>0时,hy2ten =0.5e3;当Fy2ten≤0时hy2ten =0。
防火保护措施
9.1 保护措施及其选用原则
9.1 保护措施及其选用原则
9.1.1 钢结构可采用下列防火保护措施:
1 外包混凝土或砌筑砌体。
2 涂敷防火涂料。
3 防火板包覆。
4 复合防火保护,即在钢结构表面涂敷防火除料或采用柔性毡状隔热材料包覆,再用轻质防火板作饰面板。
5 柔性毡状隔热材料包覆。
9.1.2 钢结构防火保护措施应按照安全可靠、经济实用的原则选用,并应考虑下列条件:
1 在要求的耐火极限内能有效地保护钢构件。
2 防火材料应易于与钢构件结合,并对钢构件不产生有害影响。
3 当钢构件受火产生允许变形时,防火保护材料不应发生结构性破坏,仍能保持原有的保护作用直至规定的耐火时间。
4 施工方便,易于保证施工质量。
5 防火保护材料不应对人体有毒害。
9.1.3 钢结构防火涂料品种的选用,应符合下列规定:
1 高层建筑钢结构和单、多层钢结构的室内隐蔽构件,当规定的耐火极限为1.5h以上时,应选用非膨胀型钢结构防火涂料。
2 室内裸露钢结构、轻型屋盖钢结构和有装饰要求的钢结构,当规定的耐火极限为1.5h以下时,可选用膨胀型钢结构防火涂料。
3 当钢结构耐火极限要求不小于1.5h,以及对室外的钢结构工程,不宜选用膨胀型防火涂料。
4 露天钢结构应选用适合室外用的钢结构防火涂料,且至少应经过一年以上室外钢结构工程的应用验证,涂层性能无明显变化。
5 复层涂料应相互配套,底层涂料应能同普通防锈漆配合使用,或者底层涂料自身具有防锈功能。
6 膨胀型防火涂料的保护层厚度应通过实际构件的耐火试验确定。
9.1.4 防火板的安装应符合下列要求:
1 防火板的包敷必须根据构件形状和所处部位进行包敷构造设计,在满足耐火要求的条件下充分考虑安装的牢固稳定。
2 固定和稳定防火板的龙骨粘结剂应为不燃材料。龙骨材料应便于构件、防火板连接。粘接剂在高温下应仍能保持一定的强度,保证结构稳定和完整。
9.1.5 采用复合防火保护时应符合下列要求:
1 必须根据构件形状和所处部位进行包敷构造设计,在满足耐火要求的条件下充分考虑保护层的牢固稳定。
2 在包敷构造设计时,应充分考虑外层包敷的施工不应对内防火层造成结构性破坏或损伤。
9.1.6 采用柔性毡状隔热材料防火保护时应符合下列要求:
1 仅适用于平时不受机械损伤和不易人为破坏,且不受水湿的部位。
2 包覆构造的外层应设金属保护壳。金属保护壳应固定在支撑构件上,支撑构件应固定在钢构件上。支撑构件应为不燃材料。
3 在材料自重下,毡状材料不应发生体积压缩不均的现象。
9.2 构 造
9.2 构 造
9.2.1 采用外包混凝土或砌筑砌体的钢结构防火保护构造宜按图9.2.1选用。采用外包混凝土的防火保护宜配构造钢筋。

图9.2.1采用外包混凝土的防火保护构造
9.2.2 采用防火涂料的钢结构防火保护构造宜按图9.2.2选用。当钢结构采用非膨胀型防火涂料进行防火保护且有下列情形之一时,涂层内应设置与钢构件相连接的钢丝网:
1 承受冲击、振动荷载的构件。
2 涂层厚度不小于30mm的构件。
3 粘结强度不大于0.05MPa的钢结构防火涂料。
4 腹板高度超过500mm的构件。
5 涂层幅面较大且长期暴露在室外。

图9.2.2 采用防火涂料的防火保护构造
9.2.3 采用防火板的钢结构防火保护构造宜按图9.2.3-1、图9.2.3-2选用。

图9.2.3-1 钢柱采用防火板的防火保护构造

图9.2.3-2 钢梁采用防火板的防火保护构造
9.2.4 采用柔性毡状隔热材料的钢结构防火保护构造宜按图9.2.4选用。

图9.2.4 采用柔性毡状隔热材料的防火保护构造
9.2.5 钢结构采用复合防火保护的构造宜按图9.2.5-1~图9.2.5-3选用。

图9.2.5-1 钢柱采用防火涂料和防火板的复合防火保护构造

图9.2.5-2 钢梁采用防火涂料和防火板的复合防火保护构造

图9.2.5-3 钢柱采用柔性毡和防火板的复合防火保护构造
防火保护工程施工质量控制及验收
10.1 一般规定
10.1 一般规定
10.1.1 用于保护钢结构的防火材料,应符合现行国家产品标准和设计的要求。
10.1.2 钢结构防火保护工程的施工单位应具备相应的施工资质。施工现场质量管理应有相应的施工技术标准、质量管理体系、质量控制和检验制度。
10.1.3 钢结构防火保护工程的设计修改必须由设计单位出具设计变更通知单,改变防火保护材料或构造时,还必须报经当地消防监督机构批准。
10.1.4 钢结构防火保护分项工程可分成一个或若干个检验批。相同材料、工艺、施工条件的防火保护工程应按防火分区或按楼层划分为一个检验批。
10.1.5 钢结构防火保护工程应按下列规定进行施工质量控制:
1 钢结构防火保护工程所使用的主要材料必须具有中文质量合格证明文件,并具有有检测资质的试验室出具的检测报告。
2 每一个检验批应在施工现场抽取不少于5%构件数(且不少于3个)的防火材料试样,并经监理工程师(建设单位技术负责人)见证取样、送样。
3 每一个检验批防火材料试样的500℃导热系数或等效导热系数平均值不应大于产品合格证书上注明值的5%,最大值不应大于产品合格证书注明值的15%,防火材料试样密度和比热容平均值不应超过产品合格证书上注明值的±10%。
10.1.6 钢结构防火保护工程应在钢结构安装工程检验批和钢结构普通涂料涂装检验批的施工质量验收合格后进行。采用复合构造的钢结构防火保护工程,其防火饰面板的施工应在包裹柔性毡状隔热材料或涂敷防火涂料检验批的施工质量验收合格后进行。
10.1.7 钢结构防火保护工程不应被后继工程所破坏。如有损坏,应进行修补。
10.1.8 钢结构防火保护工程施工前钢材表面除锈及防锈底漆涂装应符合设计要求和国家现行有关标准的规定。
检查数量:按构件数抽查10%,且同类构件不应少于3件。
检验方法:表面除锈用铲刀检查和用现行国家标准《涂装前钢材表面锈蚀等级和除锈等级》GB/T 8923规定的图片对照观察检查。底漆涂装用干漆膜测厚仪检查,每个构件检测5处。
每处的数值为3个相距50mm测点涂层干漆膜厚度的平均值。
10.2 防火涂料保护工程质量控制
10.2 防火涂料保护工程质量控制
10.2.1 涂装时的环境温度和相对湿度应符合涂料产品说明书的要求。当产品说明书无要求时,环境温度宜在5~38℃之间,相对湿度不应大于85%。涂装时构件表面不应有结露;涂料未干前应避免雨淋、水冲等,并应防止机械撞击。
10.2.2 在防火涂料施工前,应对下列项目进行检验,并由具有检测资质的试验室出具检验报告后方可进行涂装。
1 对防火涂料的粘结强度进行检验,粘结强度应符合现行协会标准《钢结构防火涂料应用技术规范》CECS 24的规定,检验方法应符合现行国家标准《钢结构防火涂料》GB 14907的规定。
2 对膨胀型防火涂料应进行涂层膨胀性能检验,最小膨胀率不应小于5。当涂层厚度不大于3mm时,最小膨胀率不应小于10。膨胀型防火涂料膨胀率的检验方法应符合附录I的规定。
10.2.3 防火涂料涂层各测点平均厚度不应小于设计要求,单测点最小值不应小于设计要求的85%。
检查数量:按同类构件数抽查10%,且均不应少于3件。
检验方法:用涂层厚度测量仪、测针和钢尺检查。测量方法应符合现行协会标准《钢结构防火涂料应用技术规范》CECS 24的规定和国家标准《钢结构工程施工质量验收规范》GB 50205-2001附录F的要求。
10.2.4 膨胀型防火涂料涂层表面裂纹宽度不应大于0.5mm,且1m长度内均不得多于1条。当涂层厚度不大于3mm时,涂层表面裂纹宽度不应大于0.1mm。非膨胀型防火涂料涂层表面裂纹宽度不应大于1mm,且1m长度内不得多于3条。
检查数量:按同类构件数抽查10%,且均不应少于3件。
检验方法:观察和用尺量检查。
10.2.5 当防火涂层同时充当防锈涂层时,则还应满足有关防腐、防锈标准的规定。
10.2.6 防火涂料涂装基层不应有油污、灰尘和泥砂等污垢。
检查数量:全数检查。
检验方法:观察检查。
10.2.7 防火涂料不应有误涂、漏涂,涂层应闭合无脱层、空鼓、明显凹陷、粉化松散和浮浆等外观缺陷,乳凸应剔除。
检查数量:全数检查。
检验方法:观察检查。
10.3 防火板保护工程质量控制
10.3 防火板保护工程质量控制
10.3.1 支撑固定件应固定牢固,现场拉拔强度应符合设计要求。
检查数量:按同类构件数抽查10%,且均不应少于3件。
检查方法:现场手掰检查;查验进场验收记录、现场拉拔检测报告。
10.3.2 防火板安装必须牢固稳定,封闭良好。
检查数量:按同类构件数抽查10%,且均不应少于3件。
检查方法:观察检查。
10.3.3 防火板表面应平整、无裂痕、缺损和泛出物。有装饰要求的防火极表面应洁净、色泽一致、无明显划痕。
检查数量:全数检查。
检查方法:观察检查。
10.3.4 防火板接缝应严密、顺直。接缝边缘应整齐。
检查数量:全数检查。
检查方法:观察和用尺量检查。
10.3.5 防火板安装时表面不应有孔洞和凸出物。
检查数量:全数检查。
检查方法:观察检查。
10.3.6 防火板安装的允许偏差和检查方法:
立面垂直度,用2m垂直检测尺检查,其误差不大于4mm。
表面平整度,用2m靠尺和塞尺检查,其误差不大于2mm。
阴阳角正方,用直角检测尺检查,其误差不应大于2mm。
接缝高低差,用钢直尺和塞尺检查,其误差不应大于1mm。
接缝宽厚,用钢直尺检查,其误差不应大于2mm。
10.3.7 分层包裹时,防火板应分层固定,相互压缝。
检查数量:全数检查。
检查方法:查验隐蔽工程记录和施工记录。
10.4 柔性毡状隔热材料防火保护工程质量控制
10.4 柔性毡状隔热材料防火保护工程质量控制
10.4.1 柔性毡状材料的防火保护层厚度大于100mm时,必须分层施工。
检查数量:按同类构件数抽查10%,且均不应少于3件。
检查方法:观察和用尺量检查。
10.4.2 防火保护层拼缝应严实、规则,同层应错缝,上下层应压缝,表面应做严缝处理,错缝应整齐,表面应平整。
检查数量:按同类构件数抽查10%,且均不应少于3件。
检查方法:观察和用尺量检查。
10.4.3 支撑件的安装间距应符合要求,位置正确,且安装牢固无松动。其间距应均匀,并垂直于钢构件表面。
检查数量:按同类构件数抽查10%,且均不应少于3件。
检查方法:观察和用尺量检查、手掰检查。
10.4.4 金属保护壳的环向、纵向和水平接缝必须上搭下,成顺水方向;搭接处应做密封处理,膨胀缝应留设正确,搭接尺寸应符合规定。
检查数量:按同类构件数抽查10%,且均不应少于3件。
检查方法:观察和用尺量检查。
10.4.5 防火保护层厚度及其表观密度应符合设计要求。毡状隔热材料的厚度偏差应不大于10%、不小于5%,且不得大于+10mm,也不小于-10mm。毡状隔热材料表观密度偏差不应大于+10%。
检查数量:按同类构件数抽查10%,且均不应少于3件。
检查方法:厚度采用针刺、尺量,表观密度采用称量检查。
10.4.6 毡状隔热材料的捆扎应牢固、平整,捆扎间距应符合设计要求,且均匀。
检查数量:按同类构件数抽查10%,且均不应少于3件。
检查方法:观察和用尺量检查。
10.4.7 金属保护壳应无翻边、翘缝和明显凹坑。外观应整齐。金属保护壳圆度公差不应大于10mm。金属保护壳表面平整度偏差不应大于4mm。金属保护壳包柱时,垂直度偏差每米不应大于2mm,全长不应大于5mm。
检查数量:按同类构件数抽查10%,且均不应少于3件。
检查方法:观察检查。圆度公差用外卡尺、钢尺检查;表面平整度用1m直尺和楔形塞尺检查;垂直度用线坠、直尺检查。
10.5 防火保护工程的验收
10.5 防火保护工程的验收
10.5.1 钢结构防火保护工程应按检验批进行质量验收。防火保护工程的验收按工程进度分为隐蔽工程验收、施工验收和消防验收。
10.5.2 隐蔽工程验收是对需要隐蔽的防火保护工程进行的检查验收。需进行隐蔽验收的项目有:
1 吊顶内、夹层内、井道内等隐蔽部位的防火保护工程;
2 钢结构表面的涂料涂装工程;
3 复合防火保护基层防火层的施工质量检查;
4 龙骨、连接固定件的安装;
5 多层防火板、多层柔性毡状隔热材料施工时,层间质量检查。
10.5.3 隐蔽工程验收由建设单位、监理单位和施工单位参加,共同签署验收意见。
10.5.4 施工验收是防火保护工程完工后,由施工单位向建设单位移交工程的验收。施工验收时施工单位应向建设单位提供下列文件和记录:
1 防火工程的竣工图和相关设计文件;
2 材料的隔热性能检测报告、燃烧性能检测报告、含水率及表观密度检测报告;
3 施工组织设计和施工方案;
4 产品质量合格证明文件;
5 抽检产品的导热系数、表观密度、比热容、粘结强度、拉拔强度和膨胀性能的检测报告;
6 现场施工质量检查记录;
7 分项工程中间验收记录;
8 隐蔽工程检验项目检查验收记录;
9 分项工程检验批质量验收记录;
10 工程变更记录;
11 材料代用通知单;
12 重大质量问题处理意见。
10.5.5 施工验收应由施工单位组织,建设单位、监理单位、设计单位参加并共同签署验收意见。
10.5.6 消防验收是国家消防监督机构依照《消防法》对建筑消防工程进行的验收。消防验收时,建设单位应向地方消防监督机构提交第10.5.4条规定的文件。
10.5.7 钢结构的防火保护工程应按防火保护分项工程列入建筑消防工程的施工验收。
10.5.8 工程施工质量的验收,必须采用经计量检定、校准合格的计量器具。
10.5.9 当钢结构采用防火涂料保护时,其验收应符合下列条件:
1 钢结构防火涂料施工前,除锈和防锈应符合设计要求和国家现行标准的规定;
2 抽检的钢结构防火涂料主要技术性能,应符合生产厂提供的产品质保书的要求;
3 钢结构防火涂料涂层的厚度应符合设计要求;
4 钢结构防火涂料的施工工艺应与其检测时的试验条件一致;
5 钢结构防火涂料的外观、裂缝等其他要求应符合现行协会标准《钢结构防火涂料应用技术规范》CECS 24及其他相关国家标准或行业标准的要求。
10.5.10 当钢结构采用防火板保护时,其验收应符合下列条件:
1 抽检的钢结构防火板试样的技术性能参数,应符合生产厂提供的产品质保书的要求。
2 钢结构防火板的厚度应符合设计要求;
3 钢结构防火板的施工工艺应与其检测时的试件条件一致。
10.5.11 当钢结构采用柔性毡状隔热材料保护时,其验收应符合下列条件:
1 抽检的柔性毡状隔热材料试样的主要技术性能,应符合生产厂提供的产品质保书的要求;
2 柔性毡状隔热材料的厚度应符合设计要求;
3 柔性毡状隔热材料的施工工艺应与其检测时的试件条件一致。
10.5.12 建设单位应委托有检验资质的工程质检单位,按照国家现行有关标准和设计要求,对钢结构防火保护工程及其材料进行检测,检测项目应包括下列内容:
1 施工中抽样产品的性能参数检验。检测施工用材料的高温导热系数、表观密度和比热容是否与施工方提供的产品说明书相符。
2 施工中抽样产品的强度检验。检测涂覆型防火保护材料的粘结强度,包覆型保护材料的抗折强度。
3 膨胀型防火涂料的膨胀率的检测。
4 产品外观质量的检测。
5 防火保护材料的厚度检测。
附录A 非膨胀型防火涂料和防火板等效导热系数测试方法
附录A 非膨胀型防火涂料和防火板等效导热系数测试方法
A.0.1 现场施工所采用防火材料的导热系数可按下列步骤进行检测:
1 预制图A.0.1-1所示截面的钢试件,长度1.0m。
2 在钢结构防火工程的施工现场,采用现场施工的防火材料对钢试件进行防火保护(图A.0.1-2),厚度取20mm。试件两端用相同防火材料封堵。
3 对钢试件进行标准火灾升温试验,量测1.5h时刻试件在图A.0.1-3所示测点处的温度。

图A.0.1-1 钢试件截面

图A.0.1-2 防火保护试件截面

图A.0.1-3 试件上温度测点布置
4 计算钢试件的预测温度。
对于采用非膨胀型防火涂料保护的试件:

对于采用防火板保护的试件:

式中 Ts0——试验前试件的初始温度(℃);
λi——防火材料的导热系数[W/(m·℃)]。
5 如果各测点的最高温度Tmax和平均温度T0满足下列公式:

则施工所用材料的导热系数与产品标准值相符,否则,不相符。
A.0.2 非膨胀型防火涂料和防火板的等效导热系数,可按下列步骤进行测定:
1 预制图A.0.1-1所示截面的钢试件,长度1.0m。
2 采用待测防火材料对钢试件进行防火保护(图A.0.1-2),厚度取20mm。试件两端用相同防火材料封堵。
3 对钢试件进行标准火灾升温试验,量测1.5h时刻试件在图A.0.1-3所示测点处的温度。
4 计算各测点的平均温度T0。
5 计算防火材料的等效导热系数λi[W/(m·℃)]。
对于非膨胀型防火涂料:

对于防火板:

附录B 室内火灾平均温度计算
附录B 室内火灾平均温度计算
B.0.1 当能准确确定建筑室内有关参数时,在t时刻室内火灾的平均温度Tg可按下式迭代计算:

式中 T'g——本次迭代前室内平均温度(℃);
D——热释放速率系数,按第B.0.2条确定;
η——房间的通风系数,按式(6.1.3-2)计算;
α——对流、辐射换热系数之和[W/(m2·℃)],按第B.0.3条确定;
cg——烟气比热容(J/(kg·℃))按表B.0.4取值;
T1——壁面内表面温度(℃),按第B.0.5条确定。
B.0.2 热释放速率系数D按下式计算:

式中 t——轰燃后火灾持续时间(min);
t0——房间内所有可燃物烧尽时的火灾理论持续时间(min);
qT——房间设计火灾荷载密度,按附录C取值。
B.0.3 对流、辐射换热系数之和按式(B.0.3)计算:

B.0.4 烟气比热容cg按表B.0.4取值:
表B.0.4 烟气比热容cg

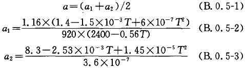
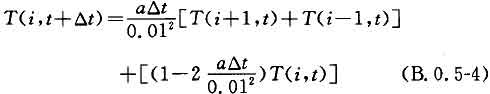
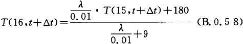
B.0.5 壁面内表面温度T1按下列步骤计算:
1 将壁面封墙、楼板厚度(均取150mm),按厚度为10mm划分为15个薄层,交界处在时刻t时的温度分别为T(1,t),T(2,t),…,T(16,t),其中T(1,t)为房间内表面温度,T(16,t)为房间外表面温度。
2 将轰燃后的火灾持续时间t离散为△t,可取△t=60s。
3 利用初始条件,令所有节点温度T(i,0)=20℃。
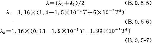
4 在任意时刻t节点i的导温系数α可按下式计算:

式中 α1——混凝土的导温系数(m2/s);
α2——加气混凝土的导温系数(m2/s);
T——计算节点的温度(℃)。
5 按下式计算所有内节点(除内、外表面,i=2~15)的温度T(i,t+△t):

6 在任意时刻t,外表面节点(i=16)的导热系数λ按下式计算:

式中 λ1——混凝土的导热系数[W/(m·K)];
λ2——加气混凝土的导热系数[W/(m·K)];
T——T(16,t)、T(15,t)即外表面和相邻节点的平均温度(℃)。
7 外表面的温度可按下式计算:

8 在任意时刻t,内表面节点(t=1)的导热系数λ可按式(B.0.5-5)~式(B.0.5-7)计算,但式中T为T(1,t)、T(2,t),即内表面与相邻节点的平均温度(℃)。
9 内表面的温度可按下式计算:

联立(B.0.5-9)、(B.0.3)、(B.0.1),迭代求解T1,Tg,α。一般迭代10次即可满足精确度要求。
附录C 火灾荷载密度
附录C 火灾荷载密度
C.0.1 设计火灾荷载密度可按下式计算:

式中 qk——标准火灾荷载密度,按第C.0.2条确定;
γ1——结构的重要性系数,按表C.0.1-1取值;
γ2——火灾危险性系数,按表C.0.1-2取值;
γ3——主动防火系数,按表C.0.1-3取值。
表C.0.1-1 结构的重要性系数γ1

注:建筑高度指室外地面到顶层檐口高度,不计入屋顶局部凸出物如楼梯间等。
表C.0.1-2 火灾危险性系数γ2

表C.0.1-3 主动防火系数γ3

C.0.2 建筑物内的标准火灾荷载密度,宜根据建筑物的使用功能确定可燃物数量,按下式计算:

式中 Mi——第i种可燃物质量(kg);
Hi——第i种可燃物热值,按表C.0.2-1确定;
AT——包括窗在内的房间六壁面积之和(m2)。
表C.0.2-1 可燃材料单位质量发热量H1

建筑物内的标准火灾荷载密度也可按下式估计:

式中 q0——按地板面积确定的火灾荷载密度,按表C.0.2-2取值;
Af——火灾房间地板面积(m2)
表C.0.2-2 按地板面积确定的火灾荷载密度q0 (MJ/m2)

注:1 各类仓库(包括商场等建筑物的中转库、书库)的火灾荷载密度应按实际用途进行估计。
2 表中只包括使用可燃物,不包括装修可燃物和可燃建筑构件。当存在装修可燃物和可燃建筑构件时应按实际质量以式(C.0.2-1)估算增加火灾荷载。
附录D 高大空间建筑火灾升温计算参数Tz、η、μ、β
附录D 高大空间建筑火灾升温计算参数Tz、η、μ、β
表D 高大空间建筑火灾升温计算参数值

附录E 有保护层构件的截面系数
附录E 有保护层构件的截面系数
表E 有保护层构件的截面系数值

附录F 标准火灾升温条件下钢构件的升温
附录F 标准火灾升温条件下钢构件的升温
F.0.1 标准火灾升温条件下无保护层钢构件的升温见表F.0.1 。
表F.0.1 标准火灾升温条件下无保护层钢构件的升温(℃)

注:1 当F/V<10时,构件温度应按截面温度非均匀分布计算。
2 当F/V>300时,可认为构件温度等于空气温度。
F.0.2 di/λi为0.01、0.05、0.1、0.2、0.3、0.4、0.5时标准升温条件下有保护层钢构件的升温见表F.0.2-1~F.0.2-7。
表F.0.2-1 di/λi为0.01时标准升温条件下有保护层钢构件的升温(℃)

表F.0.2-2 di/λi为0.05时标准升温条件下有保护层钢构件的升温(℃)

表F.0.2-3 di/λi为0.1时标准升温条件下有保护层钢构件的升温(℃)

表F.0.2-4 di/λi为0.2时标准升温条件下有保护层钢构件的升温(℃)

表F.0.2-5 di/λi为0.3时标准升温条件下有保护层钢构件的升温(℃)

表F.0.2-6 di/λi为0.4时标准升温条件下有保护层钢构件的升温(℃)

表F.0.2-7 di/λi为0.5时标准升温条件下有保护层钢构件的升温(℃)

附录G 构件单位长度综合传热系数B
附录G 构件单位长度综合传热系数B
表G 构件单位长度综合传热系数B[W/(m3·℃)]

续表G

注:1 t为标准升温时间或等效曝火时间(min)。
2 Td为钢构件的临界温度(℃)。
附录H 考虑薄膜效应时楼板的极限承载力
附录H 考虑薄膜效应时楼板的极限承载力
H.0.1 当钢结构中的楼板为普通现浇楼板或压型钢板组合楼板,且楼板的耐火极限不大于1.5h时,可考虑薄膜效应,按本附录方法进行楼板的抗火设计。
H.0.2 考虑薄膜效应进行楼板的抗火设计时,应按下列要求将楼板划分为板块设计单元:
1 板块应为矩形,且长宽比不大于2;
2 板块四周应有梁支撑,且梁满足第7章的抗火设计要求;
3 板块中应布置钢筋网,对于普通现浇楼板可为受力钢筋网,对于压型钢板组合楼板可为温度钢筋网;
4 板块内可有1根以上次梁,且次梁的方向一致;
5 板块内部区域不得有柱(柱可设在板块边界上);
6 板块内开洞尺寸不得大于300mm。
若划分的板块设计单元不符合以上要求,则不得按本附录方法进行楼板的抗火设计。
H.0.3 考虑薄膜效应后,板块的极限承载力可按下式计算:

式中 eT——高温下,考虑板的薄膜效应后板块承载力的增大系数,按第H.0.4条计算;
qf——板块在常温下的极限承载力,对压型钢板组合楼板按肋以上混凝土板部分并考虑负筋和温度钢筋的作用计算;
qb,t——板块中次梁在火灾中的承载力。
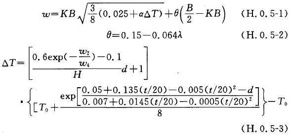
H.0.4 eT可通过图H.0.4-1~H.0.4-3查得,其中μ为板块短跨方向配筋率与长跨方向配筋率的比值,α为板块长短跨长的比值。h0为楼板的有效厚度,即板厚减去钢筋保护层厚度。ω为板块中心在耐火极限t时的最大竖向位移,按式(H.0.5-1)计算。


H.0.5 板块中心在1.5h时的竖向位移ω,应按下式计算:

式中 K——与楼板变形有关的系数,取0.4;
B——板块短跨尺寸(m);
α——钢筋的温度膨胀系数,取1.4×10-5;
λ——普通现浇楼板单位宽度负弯矩钢筋截面面积与板底钢筋截面面积的比值;压型钢板组合楼板负弯矩钢筋截面面积与温度钢筋截面面积的比值;
△T——普通现浇楼板板底钢筋在1.5h时的升温,按表H.0.5确定;压型钢板组合楼板为温度钢筋在1.5h的升温;
t——曝火时间(min),取90min;
T0——室温(℃);
d——温度钢筋中心到曝火面的距离(m);
H——板厚(m)(图H.0.5);
ω2、ω4——几何参数(图H.0.5)(m)。

表H.0.5 普通现浇混凝土板钢筋在1.5h时的温度(℃)

注:表中d为板底受火面到钢筋中心的距离;常规指常规混凝土,轻质指轻质混凝土。
H.0.6 当板块内有次梁时,对与次梁平行的板块边界处的支承梁进行抗火验算宜考虑由于次梁承载力降低而转移到边界梁上的荷载。
附录I 膨胀型防火涂料检测方法
附录I 膨胀型防火涂料检测方法
I.0.1 可按下列方法检测膨胀型防火涂料的隔热性能:
1 选取设计临界温度最低的钢结构构件,制成长度为构件截面高度3倍的试件,共3个;
2 采用与施工现场相同的防火涂料和厚度,在试件上涂敷防火涂料;
3 将所有试件置于试验炉中,按标准火灾升温燃烧至设计耐火极限要求的时间;
4 测量试件跨中截面的升温(每个试件不少于3个测点),取各测点升温的平均值作为该试件的代表值;
5 如果各试件温度的平均值低于设计的临界温度,且试件的最高温度不高于设计临界温度的1.15倍,则该防火涂料的隔热性能满足要求。
I.0.2 膨胀型防火涂料的膨胀性能,可采用下列试验室检测方法:
1 仪器
不燃性测定仪、涂料膨胀测量容器。
2 制样
对现场取样的防火涂料,按粘接强度的测试方法进行涂覆。达到试验条件后,在已涂覆防火涂料的样件表面刮取约10g左右的防火涂料碎块。
3 试验方法
将刮取的防火涂料碎块粉碎后,放入直径φ45mm的特制容器中,均匀铺满容器底部并压实至2mm刻度线处。然后放入恒温750℃的不燃性测定仪中,试验进行5min。停止试验后取出容器,观查膨胀后的涂料表面是否溢出容器上表面。如溢出,则判定膨胀性能合格;如未溢出,则判定膨胀性能不合格。
注:本试验所需的特制容器直径45mm,距底部2mm处有一刻度线,容器深度10mm或20mm。
I.0.3 膨胀型防火涂料膨胀性能,可采用下列现场检测方法:
1 仪器
测厚仪、喷枪、游标卡尺。
2 试样选取
在现场随机选取已涂覆防火涂料的构件3处,进行膨胀检测。
3 试验方法
光对所选取的测点进行涂层厚度检测,并记录。点燃喷枪,并将火焰尖刚好与涂层表面垂直接触,保持喷枪在该位置持续燃烧15min。熄灭后,将游标卡尺的深度测量尾尺插入膨胀层内并触及构件基层,使游标卡尺主尺尾部与膨胀层表面接触,测量膨胀厚度并记录,计算膨胀率。所有检测点的膨胀率均应满足相应涂料膨胀率的技术指标要求。
本规范用词说明
本规范用词说明
1 为便于在执行本规程条文时区别对待,对要求严格程度不同的用词说明如下:
1)表示很严格,非这样做不可的:
正面词采用“必须”;
反面词采用“严禁”。
2)表示严格,在正常情况下均应这样做的:
正面词采用“应”;
反面词采用“不应”或“不得”。
3)表示允许稍有选择,在条件许可时首先应这样做的:
正面词采用“宜”;
反面词采用“不宜”。
4)表示有选择,在一定条件下可以这样做的:
正面词采用“可”;
反面词采用“不可”。
2 条文中指定应按其他有关标准执行时,写法为“应按……执行”或“应符合……要求(或规定)”。非必须按所指定标准执行时,写法为“可参照……执行”。
