Appearance
《高耸结构设计标准[附条文说明]》GB 50135-2019
🗓️ 住房和城乡建设部 实施时间:2019-12-01
前言
中华人民共和国国家标准
高耸结构设计标准
Standard for design of high-rising structures
GB 50135-2019
主编部门:中华人民共和国住房和城乡建设部
批准部门:中华人民共和国住房和城乡建设部
发布部门:中华人民共和国住房和城乡建设部
国家市场监督管理总局
发布日期:2019年05月24日
实施日期:2019年12月01日
中华人民共和国住房和城乡建设部公告
2019年第133号
住房和城乡建设部关于发布国家标准《高耸结构设计标准》的公告
现批准《高耸结构设计标准》为国家标准,编号为GB 50135-2019,自2019年12月1日起实施。其中,第5.1.2、7.1.5条为强制性条文,必须严格执行。原《高耸结构设计规范》(GB 50135-2006)同时废止。
本标准在住房和城乡建设部门户网站(www.mohurd.gov.cn)公开,并由住房和城乡建设部标准定额研究所组织中国计划出版社出版发行。
中华人民共和国住房和城乡建设部
2019年5月24日
前言
根据住房和城乡建设部《关于印发<2014年工程建设标准规范制订修订计划>的通知》(建标[2013]169号)要求,标准编制组经广泛调查研究,认真总结实践经验,参考有关国际标准和国外先进标准,并在广泛征求意见的基础上,修订本标准。
本标准的主要技术内容是:总则、术语和符号、基本规定、荷载与作用、钢塔架和桅杆结构、混凝土圆筒形塔、地基与基础以及相关的附录。
本标准修订的主要技术内容是:与国家近期颁布的新标准内容相协调,增加了风力发电塔相关设计内容;补充了高耸钢管结构节点设计的规定;提出了承受拉压交变作用下高强螺栓抗疲劳设计要求;提出了风力发电塔预应力锚栓基础和预应力岩石锚杆基础的设计要求。
本标准中以黑体字标志的条文为强制性条文,必须严格执行。
本标准由住房和城乡建设部负责管理和对强制性条文的解释,由同济大学负责具体技术内容的解释。执行过程中如有意见或建议,请寄送同济大学(地址:上海四平路1239号土木大楼A703,邮编:200092)。
本标准主编单位:同济大学
本标准参编单位:同济大学建筑设计研究院(集团)有限公司 中冶东方工程技术有限公司 中广电广播电影电视设计研究院 重庆大学 大连理工大学 湖南大学 北京市市政工程设计研究总院 江苏省邮电规划设计院有限责任公司 中国电力工程顾问集团西北电力设计院有限公司 中国电力工程顾问集团西南电力设计院有限公司 中国移动通信集团设计院有限公司 电力规划设计总院 中国电子工程设计院 中国建筑西南设计研究院有限公司 中国建筑科学研究院 中石化洛阳工程有限公司 中讯邮电咨询设计院有限公司 河北省电力勘测设计研究院 中国电力工程顾问集团华东电力设计院有限公司 北京北广科技股份有限公司 电联工程技术股份有限公司 青岛中天斯壮科技有限公司 内蒙古金海新能源科技股份有限公司 青岛东方铁塔股份有限公司 新疆金风科技股份有限公司 青岛王宝强实业有限公司 上海矩尺土木科技有限公司 浙江巨匠钢业有限公司
本标准主要起草人员:马人乐 牛春良 何建平 何敏娟 李喜来 肖克艰 邓洪洲 陈凯 荆建中 李正良 屠海明 梁峰 罗烈 肖洪伟 娄宇 陈俊岭 吕兆华 杨靖波 黄冬平 王立成 董建尧 舒亚俐 付举宏 李占岭 武笑平 沈之容 曹向东 陈艾荣 黄荣鑫 葛卫春 廖宗高 徐华刚 陈飞 范志华 王建磊 王谦 舒兴平 王同华 丛欧 王虎长 王宝山 沈卫明 张学斌
本标准主要审查人员:陈禄如 范峰 章一萍 吴欣之 赵金城 秦惠纪 滕延京 谢郁山 李兴利 缪国庆 段然
条文说明
中华人民共和国国家标准
高耸结构设计标准
GB50135-2019
条文说明
编制说明 《高耸结构设计标准》GB50135-2019,经住房和城乡建设部2019年5月24日以第133号公告批准发布。 本标准是在《高耸结构设计规范》GB50135-2006(以下简称原标准)的基础上修订而成的。上一版的主编单位是同济大学、中广电广播电影电视设计研究院(原国家广播电影电视总局设计院)、中国建筑科学研究院、北京广播电影电视设备制造厂等,主要起草人是王肇民、马人乐、马星、牛春良、王俊、王建磊、王墨耕、邓洪洲、乐俊旺等。 本标准在修订的过程中,针对与各现行相关标准之间协调和高耸结构领域内出现的新技术、新工艺进行展开,根据已修订的上一级国家标准的修改内容,对原标准做相对应的修改。补充了三管柱、四管柱的风荷载体型系数,对高耸结构的风振系数做了修订;对高耸结构的抗震设计方法做了修改补充;根据高耸结构在2008年冰灾中的反应对原标准中抗”覆冰”设计参数及方法做了修改补充;对桅杆拉耳的疲劳破坏问题作出设计规定;对“热浸锌高强螺栓”和“拉压交变型高强螺栓”的设计方法作出规定;对高耸结构预应力柔性拉杆设计方法、法兰设计、相贯线焊接设计、预应力混凝土高耸结构设计做了相应的修改及补充;对“预应力锚栓”、无埋深预制基础、螺旋桩基础、筒式基础的设计方法作出规定;对独立扩展基础地反力计算表作出调整。收集了自原标准发布以来反馈的意见和建议,认真总结了工程设计经验,参考了国内外规范的有关内容,在全国范围内广泛征求了建设主管部门和设计院等有关使用单位的意见,并对反馈意见进行了汇总和处理。 本次修订,增加了附录C、附录D、附录E、附录F和附录G。标准的涵盖范围较原标准有一定程度的补充。 为了便于设计、施工、科研、学校等单位有关人员在使用本标准时能正确理解和执行条文规定,《高耸结构设计标准》编制组按章、节、条顺序编写了本标准的条文说明,对条文规定的目的、编制依据以及执行中需注意的有关事项进行了说明,还着重对强制性条文的强制性理由做了解释。但是,本条文说明不具备与标准正文同等的法律效力,仅供使用者作为理解和把握标准规定的参考。
1 总则
1 总则
1.0.1 为了在高耸结构设计中做到安全适用、技术先进、经济合理、确保质量、保护环境,制定本标准。
1.0.2 本标准适用于钢及钢筋混凝土高耸结构,包括广播电视塔、旅游观光塔、通信塔、导航塔、输电高塔、石油化工塔、大气监测塔、烟囱、排气塔、水塔、矿井架、瞭望塔、风力发电塔等的设计。
条文说明
1.0.2输电高塔是指大跨越塔及高度高于150m的输电塔。
1.0.3 高耸结构设计应综合考虑制作、防护、运输、现场施工以及建成后的环境影响和维护保养等问题。
1.0.4 高耸结构设计除应符合本标准的规定外,尚应符合国家现行有关标准的规定。
条文说明
1.0.4与本标准有关的现行国家标准有《建筑结构荷载规范》GB50009、《钢结构设计标准》GB50017、《混凝土结构设计规范》GB50010、《建筑地基基础设计规范》GB50007、《构筑物抗震设计规范》GB50191和《建筑抗震设计规范》GB50011等。
2 术语和符号
2.1 术语
2 术语和符号
条文说明
根据标准编制的统一标准及正文中出现的主要术语和符号编制本章。本章中出现的符号、计量单位和基本术语是按现行国家标准《工程结构设计基本术语标准》GB/T50083的有关规定采用的。
2.1 术语
2.1.1 高耸结构 high-rising structure
高而细的结构。
2.1.2 钢塔架 steel tower
自立构架式高耸钢结构。
2.1.3 钢桅杆 guyed steel mast
由立柱和拉索构成的高耸钢结构。
2.1.4 混凝土圆筒形塔 reinforced concrete cylindrical tower
横截面为圆筒形、材料为钢筋混凝土的自立式高耸结构。
2.1.5 预应力锚栓 prestressed anchor bolt
通过锚固板锚固于基础中,用于连接上部结构的无黏结预应力地脚螺栓。
条文说明
2.1.5预应力锚栓主要由荷载分散板、锚固板、锚栓及其套管等组成。锚栓贯穿基础整个高度,连接整体性好。采用直接张拉法对锚栓施加准确的预拉力,使荷载分散板、锚固板对钢筋混凝土施加压力。基础承受外荷载时,混凝土压应力有所释放但始终处于受压状态,不会出现裂缝,提高了连接的耐久性。
2.1.6 预应力岩石锚杆 prestressed anchor rod in rock
由自由段和锚固段构成的施加预应力的岩石锚杆。
条文说明
2.1.6预应力岩石锚杆不同于普通岩石锚杆之处有两方面:其一,必须对锚杆施加预拉力;其二,锚杆的上端应通过螺母锚固于基础顶面,穿越基础的锚杆杆身段必须采用套管使其与基础混凝土隔离,即成为非锚固的自由段,以保证对锚杆施加预应力时,锚杆产生足够的拉伸变形。而锚固段则是指预应力锚杆锚固于岩层中的区段。
2.1.7 连续倒塌 progressive collapse
初始的局部破坏,从构件到构件扩展,最终导致整个结构倒塌或与起因不相称的一部分结构倒塌。
2.2 符号
2.2 符号
2.2.1 作用和作用效应:
A f ——风压频遇值作用下塔楼处水平动位移幅值;
b一一基本覆冰厚度;
N——纤绳拉力设计值;
q——塔筒线分布重力;
q a ——单位面积上的覆冰荷载;
q l ——单位长度上的覆冰荷载;
l/r c ——塔筒代表截面处的弯曲变形曲率;
l/r dc ——塔筒代表截面处的地震弯曲变形曲率;
S A ——与横风向临界风速计算相应的顺风向风荷载效应;
S L ——横风向风振效应;
S wk ——风荷载标准值的效应;
△μ'——纤绳层间水平位移差;
V e ——土体滑动面上剪切抗力的竖向分量之和;
υ cr ——临界风速;
ω 0 ——基本风压;
ω l ——绝缘子串风荷载的标准值;
ω k ——作用在高耸结构z高度处单位投影面积上的风荷载标准值;
ω 0,R ——对应于重现期为R的风压代表值;
ω x ——垂直于导线及地线方向的水平风荷载标准值;
γ——覆冰重度。
2.2.2 计算指标:
C——高耸结构设计对变形、裂缝等规定的相应限值;
f w ——钢丝绳或钢绞线强度设计值;
f u ——锚栓经热处理后的最低抗拉强度;
R t ——单根锚杆抗拔承载力特征值;
σ crt ——筒壁局部稳定临界应力。
2.2.3 几何参数:
A——构件毛截面面积,纤绳的钢丝绳或钢绞线截面面积,塔筒截面面积,基础底面面积;
A 1 ——绝缘子串承受风压面积计算值;
d——导线或地线的外径或覆冰时的计算外径,圆截面构件、拉绳、缆索、架空线的直径,塔筒计算截面的外径,圆板(环)形基础底板的外径,锚杆直径;
d 0 ——石油化工塔的内径;
H——高耸结构总高度;
h——纤绳的间距,肋板的高度;
H 1 ——共振临界风速起始高度;
h cr ——土重法计算的临界深度;
h t ——基础上拔深度;
l 0 ——弹性支承点之间杆身计算长度;
r c ——筒体底截面的平均半径;
r co ——截面核心距(半径);
t——连接件的厚度,筒壁厚度;
α 0 ——土体重量计算的抗拔角;
θ——风向与导线或地线方向之间的夹角(°),塔柱与铅直线的夹角;
λ 0 ——弹性支承点之间杆身换算长细比;
ф ——截面受压区半角。
2.2.4 计算系数及其他:
A 0 ——塔筒水平截面的换算截面面积;
B 1 ——覆冰时风荷载增大系数;
B 2 ——输电高塔构件覆冰时风荷载增大系数;
f R ——正常运行范围内风轮的最大旋转频率;
f R,m ——m个风轮叶片的通过频率;
f 0,n ——塔架(在整机状态下)的第n阶固有频率;
f 0,1 ——塔架(在整机状态下)的第一阶固有频率;
g——峰值因子;
I 10 ——10m高紊流度;
Re——雷诺数;
St——斯脱罗哈数;
a 1 ——与构件直径有关的覆冰厚度修正系数;
a 2 ——覆冰厚度的高度递增系数;
a t ——受拉钢筋的半角系数;
β z ——高度z处的风振系数、输电高塔风振系数;
γ 0 ——高耸结构重要性系数;
γ R1 一一土体重的抗拔稳定系数;
γ R2 一一基础重的抗拔稳定系数;
ε 1 ——风压脉动和风压高度变化等的影响系数;
ε 2 ——振型、结构外形的影响系数;
ε q ——综合考虑风压脉动、高度变化及振型影响的系数;
λ j ——共振区域系数;
μ s ——风荷载体型系数;
μ sc ——导线或地线的体型系数;
μ sn ——垂直于横梁的体型系数分量;
μ sp ——平行于横梁的体型系数分量;
μ z ——高度z处的风压高度变化系数;
ξ——脉动增大系数,格构式桅杆杆身按压弯杆件计算时的刚度折减系数;
Ф——挡风系数;
ψ一一裂缝间纵向受拉钢筋应变不均匀系数,环形基础底板外形系数;
ψ wE ——抗震基本组合中的风荷载组合值系数;
ω hs 、ω hp 一一塔筒水平截面的特征系数;
ω v ——塔筒竖向截面的特征系数。
3 基本规定
3 基本规定
3.0.1 本标准采用以概率理论为基础的极限状态设计方法,以可靠指标度量结构构件的可靠度,采用分项系数的设计表达式进行设计。
3.0.2 本标准采用的设计基准期为50年。
3.0.3 高耸结构的设计使用年限应符合下列规定:
1 特别重要的高耸结构设计使用年限应为100年;
2 一般高耸结构的设计使用年限应为50年;
3 建于既有建筑物或构筑物上的通信塔,其设计使用年限宜与既有结构的后续设计使用年限相匹配;
4 风力发电塔的设计使用年限宜与发电设备的设计使用年限相匹配;
5 对有其他特殊要求的高耸结构,使用年限宜根据具体条件确定。
条文说明
3.0.3对结构设计使用年限为100年的高耸结构,荷载等相关参数取值除根据现行国家标准《建筑结构荷载规范》GB50009要求选用之外,现行国家标准《建筑结构荷载规范》GB50009未定的应根据其他标准做调整。 后建于已建建筑物上的通信塔,其设计基准期仍为50年,但由于已建建筑物的使用寿命一般少于50年,所以不能要求在其上后建的塔的寿命要达到50年。影响其寿命的主要是其与老建筑连接的耐久性问题。 风力发电塔,其上的发电设备使用寿命一般为25年,但塔的设计基准期仍为50年,荷载重现期也按50年取。影响其使用寿命的主要是机械的疲劳荷载,按1000万次计,基本是25年。其实当一套发电设备在25年后报废时,新装的设备也不可能是原设备同样的疲劳作用,所以要求50年使用寿命无实际意义。
3.0.4 高耸结构在规定的设计使用年限内应满足下列功能要求:
1 在正常施工和使用时,能承受可能出现的各种荷载和作用;
2 在正常使用时,具有良好的工作性能;
3 在正常维护下,具有足够的耐久性能;
4 当发生偶然事件时,结构能保持必需的整体稳固性,不出现与起因不对应的破坏后果,防止出现结构的连续倒塌。
条文说明
3.0.4偶然事件包括爆炸、撞击、人为错误等与起因对应的破坏。
3.0.5 高耸结构设计时,应根据结构破坏可能产生的后果,根据危及人的生命、造成经济损失、产生社会、环境影响等的严重性,采用不同的安全等级。高耸结构安全等级的划分应符合表3.0.5的规定,并应符合下列规定:
1 高耸结构安全等级应按表3.0.5的要求采用。
表3.0.5 高耸结构安全等级

注:1 对特殊高耸结构,其安全等级可根据具体情况另行确定;
2 对风力发电塔,安全等级应为二级。
2 结构重要性系数γ 0 应按下列规定采用:
1)对安全等级为一级的结构构件,不应小于1.1;
2)对安全等级为二级的结构构件,不应小于1.0;
3)对安全等级为三级的结构构件,不应小于0.9。
条文说明
3.0.5结构破坏可能产生的后果的严重性主要体现在对人的生命的危害、经济损失及社会影响等方面。 省级以上的电视塔安全等级为一级。烟囱高度大于或等于200m时,烟囱的安全等级为一级,否则,为二级;对于高度小于200m的电厂烟囱,当单机容量不小于300MW时,其安全等级应按一级考虑。电压等级为±800kV、1000kV的输电高塔安全等级为一级。 本条增加了高耸结构的安全等级为三级。以前高耸结构的数量少,且特别重要,因此规定其安全等级为一级或者二级。但是随着目前高耸结构数量日益增多,使用范围扩大,尤其是一些移动式基站的出现,因此增加了安全等级为三级的规定。对于临时的通信塔,安全等级为三级。 风力发电设备单机容量较小,通常风力发电机组不大于0.6万kW。因此风力发电塔倒塌对电网冲击较小,不会严重影响居民生活及工业用电;由于技术的发展,风力发电设备已基本做到无人值守,且多安装于空旷地带,故风力发电塔倒塌不会造成大量人员伤亡,不会造成严重社会影响;风力发电塔倒塌引起的财产损失多在1000万~2000万人民币之间,相对火电、水电、核电等电力设备,引起的财产损失较小。此外,风力发电塔一般使用寿命为20年~25年。综合考虑风力发电塔倒塌造成的破坏损失,不论功率、高度,统一取安全等级为二级。
3.0.6 高耸结构除疲劳设计采用容许应力法外,应按极限状态法进行设计。
3.0.7 对于承载能力极限状态,高耸结构及构件应按荷载效应的基本组合和偶然组合进行设计。
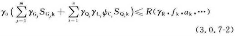
1 基本组合应采用下列极限状态设计表达式中的最不利组合:
1)可变荷载效应控制的组合:

2)永久荷载效应控制的组合:

式中:γ 0 ——高耸结构重要性系数,按本标准第3.0.5条第2款的规定确定;
γG j ——第j个永久荷载分项系数,按表3.0.7-1采用;
γQ 1 、γQ i ——第一个可变荷载、其他第i个可变荷载的分项系数,一般用1.4;可变荷载效应对结构有利时,分项系数为0;
γ Li ——第i个可变荷载考虑设计使用年限的调整系数,其中γ L1 为主导可变荷载Q 1 考虑设计使用年限的调整系数;
S Gjk ——按第j个永久荷载标准值G jk 计算的荷载效应值;
S Q i K ——按第i个可变荷载标准值Q iK 计算的荷载效应值;
ψQ i ——可变荷载Q i 的组合值系数,按行业规范取值,当行业规范无特殊要求时按表3.0.7-2采用;
m——参与组合的永久荷载数;
n——参与组合的可变荷载数;
R(γ k ,f k ,a k )一一结构抗力;
γ R ——结构抗力分项系数,其值应符合各类材料的结构设计标准规定;
f k ——材料性能的标准值;
a k ——几何参数的标准值,当几何参数的变异对结构构件有明显影响时可另增减一个附加值△ a 考虑其不利影响。
表3.0.7-1 永久荷载分项系数

注:初始状态下导线或纤绳张力的γ G =1.4。
表3.0.7-2 不同荷载基本组合中可变荷载组合值系数表

注:1 G表示自重等永久荷载,W、A、I、T、L分别表示风荷载、安装检修荷载、覆冰荷载、温度作用和塔楼楼屋面或平台的活荷载;
2 对于带塔楼或平台的高耸结构,塔楼顶及外平台面的活载准永久值加雪荷载组合值大于活载组合值时,该平台活载组合值改为准永久值,即ψ CL 均改为0.40,而雪荷载组合系数ψ CS 在组合Ⅰ、Ⅲ、Ⅳ中均取0.70;
3 在组合Ⅱ中ψ CW 可取0.25~0.70,即—般取0.25,但0.25W 0 ≥0.15kN/m 2 ;对覆冰后冬季风很大的区域,应根据调查选用相应的值;
4 在组合Ⅲ中,ψ CW 可取0.60,但对于临时固定状态的结构遭遇强风时,应取ψ CW =1.00,且按临时固定状况验算;
5 表中ψ CW 、ψ CA 、ψ CI 、ψ CT 、ψ CL 分别为风荷载,安装检修荷载、覆冰荷载、温度作用和塔楼楼屋面或平台的活荷载的可变荷载组合值系数。
2 采用偶然组合设计时应符合下列规定:
1)高耸结构在偶然组合承载能力极限状态验算中,偶然作用的代表值不乘分项系数,与偶然作用同时出现的可变荷载应根据观测资料和工程经验采用适当的代表值;
2)具体的表达式及参数应按国家现行有关标准确定。
条文说明
3.0.7本条规定了在承载能力极限状态下,高耸结构及构件基本组合和偶然组合的设计方法。 1可变荷载组合值系数表3.0.7-2中关于覆冰重力荷载下风荷载的组合值系数,根据电力部门的实测和与国外规范的对比,综合实测和国外规范,此系数取值为0.25~0.70,由于设计者根据实际调查选取。 楼面、平台活荷载不根据使用年限做调整,因为活荷载对于高耸结构影响很小。 在安装检修荷载下(包括结构的整个安装过程,尚未形成完整的结构体系时),风的组合值系数与现行国家标准《建筑结构荷载规范》GB50009中风的组合值系数统一取为0.60。 在温度作用下,风的组合值系数在北方地区实际较大。本标准考虑实际情况并与现行国家标准《建筑结构荷载规范》GB50009中风的组合值系数统一取值为0.60。 对桅杆结构,不应简单套用式(3.0.7-1)先做各种荷载效应计算,再将各种效应做线性迭加,而应先将桅杆的荷载与作用做不利组合,再计算非线性结构效应,然后与结构抗力比较。 2偶然组合:高耸结构的偶然组合有“断线作用”“罕遇地震”等。“断线作用”按现行行业标准《架空输电线路荷载规范》DL/T5551执行,“罕遇地震”按现行国家标准《建筑抗震设计规范》GB50011执行。
3.0.8 高耸结构抗震设计时,基本组合应采用下列极限状态表达式:

式中:S——结构构件内力组合的设计值,包括组合的弯矩、轴力和剪力设计值等;
γ Eh 、γ Ev ——水平、竖向地震作用分项系数,按表3.0.8的规定采用;
γ w ——风荷载分项系数,取1.4;
S GE ——重力荷载代表值的效应,可按本标准第4.4.13条的规定采用;
S Ehk ——水平地震作用标准值的效应;
S Evk ——竖向地震作用标准值的效应;
S wk ——风荷载标准值的效应;
ψ wE ——抗震基本组合中的风荷载组合值系数,可取0.2;对于风力发电塔,取0.7;
R——抗力,按本标准相应各章的有关规定计算;
γ RE ——承载力抗震调整系数,按有关标准取值。
表3.0.8 地震作用分项系数

3.0.9 对于正常使用极限状态,应根据不同的设计要求,分别采用荷载的短期效应组合(标准组合或频遇组合)和长期效应组合(准永久组合)进行设计,变形、裂缝等作用效应的代表值应符合下式规定:
S d ≤C (3.0.9-1)
式中:S d ——变形、裂缝等作用效应的代表值;
C——设计对变形、裂缝、加速度、振幅等规定的相应限值,应符合本标准第3.0.11条的规定。
1 标准组合:

2 频遇组合:

3 准永久组合:

式中:ψ f1 ——第1个可变荷载的频遇值系数,按表3.0.9取值;
ψ qi ——第i个可变荷载的准永久值系数,按表3.0.9取值。
表3.0.9 高耸结构常用可变荷载的组合值、频遇值、准永久值系数表

注:1 雪荷载的分区应按现行国家标准《建筑结构荷载规范》GB 50009执行;
2 风荷载的ψ c 仅在验算抗震时用0.2。
条文说明
3.0.9本条按现行国家标准《建筑结构荷载规范》GB50009的系数取值和高耸结构的特点,明确列出了高耸结构常见荷载的组合值系数、频遇值系数和准永久值系数,以便设计人员采用。 式(3.0.9-2)~式(3.0.9-4)中不包含地震作用。本条中短期效应组合指标准组合或频遇组合,长期效应组合指准永久组合。
3.0.10 高耸结构按正常使用极限状态设计时,可变荷载代表值可按表3.0.10选取。
表3.0.10 高耸结构按正常使用极限状态设计时可变荷载代表值

注:括号内代表值适用于风玫瑰图呈严重偏心的地区,计算地基不均匀沉降时可用频遇值作为风荷载的代表值。
条文说明
3.0.10本条对各类高耸结构按正常使用极限状态设计时,可变荷载代表值的选取做了明确规定。其中,既考虑了与现行国家标准《建筑结构荷载规范》GB50009、《建筑地基基础设计规范》GB50007的协调,也考虑了高耸结构的特点。
3.0.11 高耸结构正常使用极限状态的控制条件应符合下列规定:
1 对于装有方向性较强(如微波塔、电视塔)或工艺要求较严格(如石油化工塔)的设备的高耸结构,在不均匀日照温度或风荷载标准值作用下,设备所在位置塔身的角位移应满足工艺要求;
2 在风荷载或多遇地震作用下,塔楼处的剪切位移角θ不宜大于1/300;
3 在风荷载的动力作用下,设有游览设施或有人员在塔楼值班的塔,塔楼处振动加速度幅值应符合公式(3.0.11-1)的规定,塔身任意高度处的振动加速度可按公式(3.0.11-2)计算:

式中:A f ——风压频遇值作用下塔楼处水平动位移幅值,其值为结构对应点在0.4ω k 作用下的位移值与0.4μ z μ s ω 0 作用下的位移值之差,对仅有游客的塔楼可按实际使用情况取A f 为6级~7级风作用下水平动位移幅值(mm);
ω 1 ——塔第一圆频率(l/s)。
4 风力发电塔顶部加速度值不宜大于0.15g,g为重力加速度;
5 在各种荷载标准值组合作用下,钢筋混凝土构件的最大裂缝宽度应符合现行国家标准《混凝土结构设计规范》GB 50010的规定,且不应大于0.2mm;
6 高耸结构的基础变形值应符合本标准第7.2.5条的规定;
7 高耸结构在以风为主的荷载标准组合及以地震作用为主的荷载标准组合下,其水平位移角不得大于表3.0.11的规定。单管塔的水平位移限值可比表3.0.11所列限值适当放宽,具体限值根据各行业标准确定;但同时应按荷载的设计值对塔身进行非线性承载能力极限状态验算,并将塔脚处非线性作用传给基础进行验算。对于下部为混凝土结构、上部为钢结构的自立式塔,钢结构塔位移应符合表3.0.11的规定;其下部混凝土结构应符合结构变形及开裂的有关规定。
表3.0.11 高耸结构水平位移角限值

注:△μ为水平位移,与分母代表的高度对应;△υ为由剪切变形引起的水平位移,与分母代表的高度对应;△μ'为纤绳层间水平位移差,与分母代表的高度对应;H为总高度;h对于桅杆为纤绳之间距,对于自立式塔为层高。
条文说明
3.0.11本条规定了高耸结构正常使用极限状态的控制条件。 2剪切位移角定义如下(图1):
图1剪切位移角 3对于有游览设施或有人员值班的塔,本标准参见国内外的研究资料,当加速度幅值达到200mm/s2时,达到人不能忍受的程度,故明确限定在风荷载动力作用下塔楼处振动加速度幅值Afω12不应大于200mm/s2。 5混凝土塔的筒身有可能是抗裂控制。在这种情况下,可采用预应力或部分预应力技术提高抗裂度,满足标准要求。 7考虑到某些高耸结构的实际正常使用条件限制较宽(如输电塔,行业规程认定可不做变形计算)。对于这类高耸结构,限定变形的目的仅仅是为了限定非线性变形对结构的不利作用。当在计算中考虑非线性变形对结构的不利作用时,可将变形限制条件适当放宽。因此,本标准将按非线性方法计算的高耸结构的最大变形限值放宽为H/50。当然,前提是变形须满足使用工艺要求。对于单管塔,由于其用途很多,变形一般较大,在本标准中不宜给出一个统一的变形限度标准,故将这一问题留给使用单管塔的各行业标准制定者。 对于高耸结构,一般不做层间位移角限值要求,对于有塔楼的或容易造成非结构构件破坏的部位,应控制该部位的层间位移角,计算时应扣除该位置弯曲转角造成的层间变形值。
3.0.12 对于受变形、加速度控制非强度控制的高耸结构,宜采用适当的振动控制技术来减小结构变形及加速度。对于高度超过100m的风力发电塔,应采用振动控制技术减小共振。
条文说明
3.0.12由于振动控制技术在国内高耸结构领域内已有一些应用,且通过实测对振动控制技术的有效性做了认定。故本标准本着实事求是的原则,提出当结构为变形或加速度控制非强度控制时,宜采用振动控制技术减小结构变形和加速度,以节约工程造价。 本条增加了风力发电塔减振要求。通过减振可以抑制风机共振或延缓共振,使风机机械控制策略有较长时间发挥作用,穿越共振频率区域,从而减少共振引起的停机。
3.0.13 风力发电塔架固有频率应符合下列规定:
1 结构固有频率f 0,n 和激振频率f R 、f R,m 应满足下列公式要求:

式中:f R ——正常运行范围内风轮的最大旋转频率;
f 0,1 ——塔架(在整机状态下)的第一阶固有频率,应通过实测或监测修正;
f R,m ——m个风轮叶片的通过频率;
f 0,n ——塔架在整机状态下的第n阶固有频率。
2 计算固有频率时,应考虑基础的影响;
3 对于同一型号塔架,宜做现场动力实测或监测;
4 在计算固有频率时,为了考虑不确定性因素的影响,频率应有±5%的浮动。
条文说明
3.0.13风力发电塔架应在全部设计荷载情况下,稳定、安全地支撑风轮和机舱(包括发电机和传动系统等部件)。塔架应具有足够的强度,承受作用在风轮、机舱和塔架上的静荷载和动荷载,满足风力发电机组的设计寿命。应通过计算分析或试验确定塔架(在整机状态下)的固有频率和阻尼特性,并进行共振计算分析,使其固有频率避开风轮旋转频率及叶片通过频率。塔架可能存在共振情况时,允许通过调整控制策略等方法以避开共振点。本条增加了对风塔结构有自振频率的控制,这虽然不是结构反应,但仍然是牵涉到正常使用的结构特征参数,也难以归入承载能力极限状态,所以列入本条。宜对风力发电塔频率进行计算或实测。
3.0.14 高耸结构地基基础设计前应进行岩土工程勘察。
条文说明
3.0.14岩土勘察是设计地基基础的最根本的依据,任何一个地基基础设计时,都必须进行岩土工程勘察。 岩工工程勘察要求应符合现行国家标准《建筑地基基础设计规范》GB50007的相关规定。
3.0.15 在下列条件下,高耸钢结构可不进行抗震验算:
1 设防烈度为6度,高耸钢结构及其地基基础;
2 设防烈度小于或等于8度,Ⅰ、Ⅱ类场地的不带塔楼的钢塔架及其地基基础;
3 设防烈度小于9度的钢桅杆。
条文说明
3.0.15本条与原标准第4.4.3条相对应,去除了原标准第4.4.3条第3款关于混凝土高耸筒体结构及其地基基础可不进行截面抗震验算的条件。原因是随着高耸结构的功能日益多样化,导致地震在结构验算尤其是对于塔楼结构验算时可能会起控制作用。因此去掉这部分内容,使得高耸结构的设计更加安全化。
3.0.16 高耸结构应分别计算两个主轴方向和对角线方向的水平地震作用,并应进行抗震验算。
条文说明
3.0.16高耸钢塔中在塔楼、塔头部位经常有悬挑距离较大的桁架、梁等,这些部位竖向地震作用可能成为最不利作用,所以在此提出要求。
3.0.17 高耸结构的地震作用计算应采用振型分解反应谱法。对于重点设防类、特殊设防类高耸结构还应采用时程分析法做验算,地震波的选取应按现行国家标准《建筑抗震设计规范》GB 50011执行。
3.0.18 高耸结构的扭转地震效应的计算应采用空间模型。
4 荷载与作用
4.1 荷载与作用分类
4 荷载与作用
条文说明
本节将高耸结构上的荷载分为永久荷载、可变荷载、偶然荷载三类,并对各类荷载包括的内容作出具体规定。本节增加了风力发电塔的机械振动作用。
4.1 荷载与作用分类
4.1.1 高耸结构上的荷载与作用可分为下列三类:
1 永久荷载与作用:结构自重,固定的设备重,物料重,土重,土压力,初始状态下索线或纤绳的拉力,结构内部的预应力,地基变形作用等;
2 可变荷载与作用:风荷载,机械设备动力作用,覆冰荷载,多遇地震作用,雪荷载,安装检修荷载,塔楼楼面或平台的活荷载,温度作用等;
3 偶然荷载与作用:索线断线,撞击、爆炸、罕遇地震作用等。
4.1.2 荷载与作用应按下列原则确定:
1 仅列出风荷载、覆冰荷载及地震作用的标准值;
2 机械振动的作用按机械运行规律由机械专业人员测算提供;
3 其他荷载应按现行国家标准《建筑结构荷载规范》GB 50009执行。
条文说明
4.1.2本条第2款是指类似风力发电塔的作用,应由风机设计人员提供。
4.2 风荷载
4.2 风荷载
4.2.1 垂直作用于高耸结构表面单位计算面积上的风荷载标准值应按下式计算:
ω k =β z μ s μ z ω 0 (4.2.1)
式中:ω k ——作用在高耸结构z高度处单位投影面积上的风荷载标准值(kN/m 2 );
ω 0 ——基本风压(kN/m 2 ),取值不得小于0.35kN/m 2 ;
μ z ——高度z处的风压高度变化系数;
μ s ——风荷载体型系数;
β z ——高度z处的风振系数。
条文说明
4.2.1高耸结构受风荷载影响较大,影响风荷载的因素较多,计算方法也多种多样,它们将直接关系到风荷载的取值和结构安全。 对于主要承重结构,风荷载标准值的表达可有两种形式,一种为平均风压加上由脉动风引起导致结构风振的等效风压;另一种为平均风压乘以风振系数。由于在结构的风振计算中,一般往往是第1振型起主要作用,因而我国与大多数国家相同,采用后一种表达形式,即采用风振系数βz,它综合考虑了结构在风荷载作用下的动力响应,其中包括风速随时间、空间的变异性和结构的阻尼特性等因素。 显然,随着建设的发展,新的高耸结构的体型复杂性大大增加,而计算机更普遍应用到每个单位和个人,因而第一种方法将要并已经开始在风工程中普遍使用。 当重现期R<50时,风压代表值的最小值应通过进行换算,ω0,R表示重现期为R的风压代表值。 本条风荷载为顺风向风阻,单位计算面积是指沿高耸结构高度方向分段的当前计算段落的正面挡风面积。
4.2.2 基本风压ω 0 应以当地空旷平坦地面、离地10m高、50年重现期、10min平均年最大风速为标准,其值应按现行国家标准《建筑结构荷载规范》GB 50009执行,且应符合本标准第4.2.1条的规定。
条文说明
4.2.2基本风压的确定方法和重现期直接关系到当地基本风压值的大小,因而也直接关系到建筑结构在风荷载作用下的安全。 基本风压W0是根据全国各气象台站历年来的最大风速记录,按基本风压的标准要求,将不同风仪高度和时次时距的年最大风速,统一换算为离地10m高,自记10min平均年最大风速(m/s)。根据该风速数据,经统计分析确定重现期为50年的最大风速,作为当地的基本风速v0。再按贝努利公式确定基本风压。以往,国内的风速记录大多数根据风压板的观测结果和刻度所反映的风速,实际上是统一根据标准的空气密度ρ=1.25kg/m3按上述公式反算而得的,因此在按该风速确定风压时,可统一按公式ω0=v02/1600(kN/m2)计算。 鉴于当前各气象台站已累积了较多的根据风杯式自记风速仪记录的10min平均年最大风速数据,已具有合理计算的基础。但是要特别注意的是,按基本风压的标准要求,应以当地比较空旷平坦地面为计算依据。随着建设的发展,很多气象台站不再具备比较空旷平坦地面为计算依据的条件,应用时应特别注意。 现行国家标准《建筑结构荷载规范》GB50009-2012第8.1.2条规定:“对于高层建筑、高耸结构以及对风荷载比较敏感的其他结构,基本风压的取值应适当提高,并应符合有关结构设计标准的规定。”对于高耸结构,经大量的调查和研究认为应当把基本风压提高到不小于0.35kN/m2。对于ω0在0.35kN/m2及以上的风压,没有必要再另行增大ω0。
4.2.3 当城市或建设地点的基本风压值在现行国家标准《建筑结构荷载规范》GB 50009的全国基本风压图上没有给出时,其基本风压值可根据当地年最大风速资料,按基本风压定义,通过统计分析确定,分析时应考虑样本数量的影响。当地没有风速资料时,可根据附近地区规定的基本风压或长期资料,通过气象和地形条件的对比分析确定;也可按现行国家标准《建筑结构荷载规范》GB 50009中全国基本风压分布图确定。
4.2.4 山区及偏僻地区的10m高处的风压,应通过实地调查和对比观察分析确定。一般情况可按附近地区的基本风压乘以下列调整系数采用:
1 对于山间盆地、谷地等闭塞地形,调整系数为0.75~0.85;
2 对于与风向一致的谷口、山口,调整系数为1.20~1.50。
条文说明
4.2.4对于山间盆地和谷地,一般可按推荐系数的平均值取,当地形对风的影响很大时,应做具体调查后确定。对于与风向一致的谷口、山口,根据欧洲钢结构协会标准ECCS/T12,如果山谷狭窄,其收缩作用使风产生加速度,为考虑这种现象,对最不利情况,相应的系数最大可取到1.5。国内一些资料也有到1.4。本标准建议应通过实地调查和对比观察分析确定,如因故未进行上述工作,也可取较大系数1.4。
4.2.5 沿海海面和海岛的10m高的风压,当缺乏实际资料时,可按邻近陆上基本风压乘以表4.2.5规定的调整系数采用。
表4.2.5 海面和海岛的基本风压调整系数

4.2.6 风压高度变化系数,对于平坦或稍有起伏的地形,应根据地面粗糙度类别按表4.2.6确定。
表4.2.6 风压高度变化系数μ z

1 地面粗糙度可分为A、B、C、D四类:
1)A类指近海海面、海岛、海岸、湖岸及沙漠地区;
2)B类指田野、乡村、丛林、丘陵以及房屋比较稀疏的乡镇;
3)C类指有密集建筑群的城市市区;
4)D类指有密集建筑群且房屋较高的城市市区。
2 在确定城区的地面粗糙度类别时,当无实测资料时,可按下列原则确定:
1)以拟建高耸结构为中心,2km为半径的迎风半圆影响范围内的建筑及构筑物密集度来区分粗糙度类别,风向以该地区最大风的风向为准,但也可取其主导风;
2)以半圆影响范围内建筑及构筑物平均高度 
来划分地面粗糙度类别: 
≥18m时,为D类;9m< 
<18m时,为C类; 
≤9m时,为B类;
3)影响范围内不同高度的面域:每座建筑物向外延伸距离为其高度的面域内均为该高度;当不同高度的面域相交时,交叠部分的高度取大者;
4)平均高度 
取各面域面积为权数计算。
3 对于山区的高耸结构,风压高度变化系数可按结构计算位置离山地周围平坦地面高度计算。
条文说明
4.2.6随着我国建设事业的蓬勃发展,城市房屋的高度和密度日益增大,尤其是诸如北京、上海、广州等超大型城市群的发展,城市涵盖的范围越来越大,使得城市地貌下的大气边界层厚度与原来相比有显著增加。本次修订根据荷载规范的变化,提高了C、D两类地貌的粗糙度类别的梯度风高度,由400m和450m分别修改为450m和550m。 根据地面粗糙度指数及梯度风高度,即可得出风压高度变化系数如下: 
在确定城区的地面粗糙度类别时,当无α的实测时,可按下述原则近似确定: (1)以拟建房屋为中心、2km为半径的迎风半圆影响范围内的房屋高度和密集度来区分粗糙度类别,风向原则上应以该地区最大风的风向为准,但也可取其主导风向; (2)以半圆影响范围内建筑物的平均高度h来划分地面粗糙度类别:h≥18m,为D类;9m<h<18m,为C类;h≤9m,为B类; (3)影响范围内不同高度的面域可按下述原则确定,即每座建筑物向外延伸距离为高度的面域内均为该高度,当不同高度的面域相交时,交叠部分的高度取大者; (4)平均高度h取各面域面积为权数计算。 对于山区的建筑物,风压高度变化系数按计算位置离山地周围平坦地面高度计算,这里说的山地周围平坦地面是指最邻近B类地貌处。 根据大量高耸结构工程设计经验,原标准规定的对于山区高耸结构地形修正系数设计不适用,在本次修订时,将其删除。加入将风压改为风阻。
4.2.7 不同类型高耸结构的风荷载体型系数μ s 取值应符合下列规定:
1 悬臂结构,当计算局部表面[图4.2.7-1(a)]分布的体型系数μ s 时,应按表4.2.7-1采用;当计算整体[图4.2.7-1(b)]体型系数时,应按表4.2.7-2采用。

图4.2.7-1 悬臂结构
表4.2.7-1 悬臂结构体型系数μ s

注:表中数值适用于μ z ω 0 d 2 ≥0.02的表面光滑情况,其中ω 0 为基本风压,以kN/m 2 计,d以m计。
表4.2.7-2 悬臂结构整体计算体型系数μ s

注:1 表中圆形结构的μ s 值适用于μ z ω 0 d 2 ≥0.02的情况,D以m计;ω 0 为基本风压,以kN/m 2 计;
2 表中“光滑”系指钢、混凝土等圆形结构的表面情况,“粗糙”系指结构表面凸出肋条较小的情况;
3 计算正方形对角线方向的风载时,体型系数按照表4.2.7-2取值,迎风面积按照正方形单面面积取值。
2 型钢及组合型钢结构(图4.2.7-2)的体型系数应按表4.2.7-3采用。

图4.2.7-2 型钢及组合钢结构
表4.2.7-3 型钢及组合型钢结构体型系数μ s

3 塔架结构(图4.2.7-3)的体型系数应按下列规定取值:

图4.2.7-3 塔架结构截面形式
1)角钢塔架整体体型系数μ s 应按表4.2.7-4采用。
表4.2.7-4 角钢塔架的整体体型系数μ s

续表4.2.7-4

注:1 挡风系数 
,均按塔架迎风面的一个塔面计算;
2 六边形及八边形塔架的μ s 值,可近似地按表中方形塔架参照对应的风向①或②采用;但六边形塔迎风面积按两个相邻塔面计算,八边形塔迎风面积按三个相邻塔面计算。
2)管子及圆钢塔架的整体体型系数μ s 应按下列规定取值:
a)当μ z ω 0 d 2 ≤0.002时,μ s 值应按角钢塔架的整体体型系数μ s 值乘以0.8采用;
b)当μ z ω 0 d 2 ≥0.015时,μ s 值应按角钢塔架的整体体型系数μ s 值乘以0.6采用;
c)当0.002<μ z ω 0 d 2 <0.015时,μ s 值应按插入法计算。
3)当高耸结构由不同类型截面组合而成时,应按不同类型杆件迎风面积加权平均选用μ s 值。
4 格构式横梁的体型系数应按下列规定取值:
1)矩形格构式横梁(图4.2.7-4),当风向垂直于横梁(θ=90°)时,横梁的整体体型系数μ s 应按表4.2.7-5取值;当风向不与横梁垂直时,横梁的整体体型系数μ s 应按表4.2.7-6取值;

图4.2.7-4 矩形格构式横梁
表4.2.7-5 风向垂直于角钢桁架横梁的整体体型系数μ s

表4.2.7-6 风向不与横梁垂直时横梁整体体型系数μ s

注:1 μ sn 、μ sp 分别为垂直和平行于横梁的体型系数分量;
2 μ s 为风向垂直于横梁时的整体体型系数;
3 计算μ sn 及μ sp 时,均以横梁正面面积为准。
2)三角形横梁的整体体型系数可按矩形横梁的值乘以0.9采用;
3)管子及圆钢组成的横梁可按本条第3款第2项的方法计算整体体型系数μ s 的值。
5 架空线、悬索、管材等(图4.2.7-5)的体型系数应按表4.2.7-7取值。

图4.2.7-5 架空线、悬索、管材
1-结构(线索、管)
表4.2.7-7 架空线、悬索、管材体型系数μ sn

注:μ sn 为作用于结构的垂直风向分量ω n 的体型系数;作用于结构的平行风向分量ω p 的体型系数μ sp 影响较小,可不计。
6 架空管道为上下双管[图4.2.7-6(a)]时,整体体型系数μ s 应按表4.2.7-8的规定取值;当架空管道为前后双管[图4.2.7-6(b)]时,整体体型系数μ s 应按表4.2.7-9的规定取值。

图4.2.7-6 架空管道
表4.2.7-8 架空管道为上下双管时体型系数μ s

注:表中μ s 值适用于μ z ω 0 d 2 ≥0.02。
表4.2.7-9 架空管道为前后双管时体型系数μ s

注:表中μ s 值适用于μ z ω 0 d 2 ≥0.02的情况,并为前后两管的系数之和。
7 倒锥形水塔的水箱[图4.2.7-7(a)]的体型系数和绝缘子[图4.2.7-7(b)]的体型系数应按表4.2.7-10的规定取值。

图4.2.7-7 倒锥形水塔的水箱、绝缘子立面图
表4.2.7-10 倒锥形水塔的水箱、绝缘子体型系数μ s

8 微波天线(图4.2.7-8)的体型系数应按表4.2.7-11的规定取值。

图4.2.7-8 微波天线平面图
表4.2.7-11 微波天线体型系数μ s

续表4.2.7-11

9 石油化工塔型设备(图4.2.7-9)的体型系数应按表4.2.7-12的规定取值。

图4.2.7-9 石油化工塔型设备
1-爬梯;2-平台
表4.2.7-12 石油化工塔型设备的体型系数μ s

注:1 表中μ s 值适用于包括了平台、梯子、管线等影响的单个塔型设备,计算风荷载时其挡风面积可仅取塔型设备的外径;
2 当塔型设备直径为变直径时,可按各段高度和外径求加权平均值;
3 当设备直径为表中中间值时,μ s 可用插入法计算。
10 球状结构(图4.2.7-10)的体型系数应按表4.2.7-13的规定取值。

图4.2.7-10 球状结构
表4.2.7-13 球状结构的体型系数

11 封闭塔楼和设备平台(图4.2.7-11)的体型系数应按表4.2.7-14的规定取值。

图4.2.7-11 封闭塔楼和设备平台立面图
表4.2.7-14 封闭塔楼和设备平台的体型系数

12 四管组合柱(图4.2.7-12)的体型系数应按表4.2.7-15的规定取值。

图4.2.7-12 四管组合柱
表4.2.7-15 四管组合柱体型系数μ s

注:以一个圆管的直径计算挡风面积。
13 三管组合柱对角线风向[图4.2.7-13(a)、(b)、(c)]的体型系数μ s 应按表4.2.7-16取值,0°风向[图4.2.7-13(c)、(d)]的体型系数μ s 应按表4.2.7-17取值。


图4.2.7-13 三管组合柱
表4.2.7-16 三管组合柱对角线风向体型系数μ s

注:以一个圆管的直径计算挡风面积。
表4.2.7-17 三管组合柱0°风向体型系数μ s

注:1 以一个圆管的直径计算挡风面积;
2 μ sX 、μ sY 分别为X方向和Y方向的体型系数, 
为整体体型系数,且整体体型系数在x轴、y轴投影,应等于在x轴、y轴上的单独体型系数。
条文说明
4.2.7本条列出了不同类型的建筑物和各类结构体型及其体型系数,这些都是根据国内外的试验资料和外国规范中的建议性规定整理而成,当建筑物与表中列出的体型类同时可参考应用,否则仍应由风洞试验确定。 3、4在表4.2.7-3、表4.2.7-4中,挡风系数φ只列到0.5为止。对于φ大于0.5的体型系数,如无参考资料,也可取φ为0.5时较大值的体型系数。 5索线与地面夹角一般为40°~60°,根据高耸结构实践,体型系数值与现行国家标准《建筑结构荷载规范》GB50009-2012表8.3.1体型系数项次39中的数值略有不同。《建筑结构荷载规范》GB50009-2012表8.3.1中仅提供了拉索平面内的体型系数,当风不在拉索平面内时,作用更大。本标准表4.2.7-5提出了风不在拉索平面时,作用于结构的垂直风向分量的体型系数。 12对四管组合柱开展了刚性模型测力及测压风洞试验。试验充分考虑了不同风向角、不同间距比等因素对结构体型系数的影响。为充分考虑雷诺数效应对于钝体结构体型系数的影响,亦开展了高风速下均匀流场、不同紊流度的紊流场等多种流场工况下的风洞试验,同时参考国内外相关资料得出其体型系数。 风洞试验开展了均匀流、8%紊流度、15%紊流度三种流场工况下的测力及测压试验。其中,风速为30m/s的均匀流工况时,结构处于超临界范围;紊流场可使钝体结构在较低雷诺数下表现出处于超临界区的受力特性,故可认为结构在8%紊流度(风速10m/s、15m/s)流场工况、15%紊流度(风速10m/s、15m/s)流场工况下亦处于超临界范围。 对于同一来流攻角、同一间距比的体型系数,选取上述五种工况所测得体型系数的最大值(保留小数点后两位)作为其体型系数(表1)。 表1四管组合柱风荷载体型系数表 
13对三管组合柱开展了刚性模型测力及测压风洞试验。试验中充分考虑的不同风向角、不同间距比等因素对结构体型系数的影响。为充分考虑雷诺数效应对于钝体结构体型系数的影响,亦开展了高风速下均匀流场、不同紊流度的紊流场等多种流场工况下的风洞试验,综合比较分析得出其体型系数(图2)。 
图2三管组合柱风向图
4.2.8 高耸结构体型未在现行国家标准《建筑结构荷载规范》GB 50009中列出的,但与本标准所列结构体型相似时,其风荷载体型系数可按本标准第4.2.7条的规定采用;特别重要或体型复杂的高耸结构,宜由风洞试验或数值风洞计算确定。
条文说明
4.2.8风荷载体型系数涉及的是关于固体与流体相互作用的流体动力学问题,对于不规则形状的固体,问题尤为复杂,无法给出理论上的结果。由于用计算流体动力学分析目前尚未成熟,至今一般仍由试验确定。鉴于真型实测的方法对结构设计的不现实性,目前只能采用相似原理,在边界层风洞内对拟建的建筑物模型进行测试。
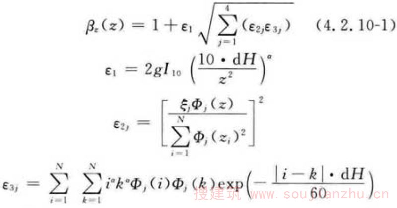
4.2.9 自立式高耸结构在z高度处的风振系数β z 可按下式确定:

式中:ξ——脉动增大系数,按表4.2.9-1采用,其中T取结构的基本自振周期;
ε 1 ——风压脉动和风压高度变化等的影响系数,按表4.2.9-2采用;
ε 2 ——振型、结构外形的影响系数,按表4.2.9-3采用。
表4.2.9-1 脉动增大系数ξ

注:1 表中给出了结构对应的阻尼比从左到右依次为0.01~0.05,可根据结构型式相应选取;对于单管塔可取阻尼比0.01,其余类型塔的阻尼比可按照本标准第4.4.6条选取;
2 对于上部用钢材、下部用混凝土的结构,可近似地分别根据钢和混凝土查取相应的ξ值,并计算各自的风振系数。
表4.2.9-2 考虑风压脉动和风压高度变化的影响系数ε 1

注:1 对于结构外形或质量有较大突变的高耸结构,风振计算均应按随机振动理论进行;
2 计算时,对地面粗糙度B类地区可直接带入基本风压,而对A类、C类、D类地区应按当地的基本风压分别乘以1.28、0.54、0.26。
表4.2.9-3 考虑振型和结构外形的影响系数ε 2

续表4.2.9-3

注:1 表中有括弧的,括弧内的系数适用于直线变化结构,括弧外的系数适用于凹线形变化的结构,其余无括弧的系数两者均适用;
2 表中变化范围中的数字为A类地貌至D类地貌,B类地貌可取该数字范围内约1/5处,C类可取约1/2处。
条文说明
4.2.9风振系数应根据随机振动理论导出。 现行国家标准《建筑结构荷载规范》GB50009对顺风向风振系数作出了较大的修改,采用了国际上通用背景响应因子和共振响应因子的形式,但基本计算理论仍是基于第一振型的惯性风荷载法。自立式高耸结构刚度相对较小、自振频率相对较低,是以第一振型振动为主的风敏感结构,风荷载起控制作用。本标准列出的式(4.2.9)是根据现行国家标准《建筑结构荷裁规范》GB50009针对只考虑第一振型影响的结构有关公式转换而来的,考虑到方便查用,顺风向风振系数仍采用脉动增大系数和脉动影响系数的表达形式,并针对几种规则结构外形做了适当简化,其意义同现行国家标准《建筑结构荷载规范》GB50009是一致的。同时也根据现行国家标准《建筑结构荷载规范》GB50009的修改调整了相关参数的取值,编制了计算表格方便查用。由于现行国家标准《建筑结构荷载规范》GB50009将A、B、C、D四类场地10m高紊流度从8.8%、11.4%、16.7%、27.8%提高到12%、14%、23%、39%,将峰值因子从2.2提高到2.5,增大了脉动风荷载,因此使得各类地貌的风振系数均有增大。参考美国、日本和英国的规范及国内相关单位的一些实测数据,认为原标准将钢结构的阻尼比统一取0.01过于笼统,对于钢塔架偏小,因此建议将构架式钢塔架(包括角钢塔和钢管塔)的阻尼比由原来的0.01调整到0.02,以减小现行国家标准《建筑结构荷载规范》GB50009调整所造成的风振系数增大程度,并给出阻尼比0.01~0.05分别对应的脉动增大系数,供不同类别的结构形式查用。 应该说明,随着计算机的普及应用和结构形式愈来愈多样性和复杂性,只考虑第一振型影响已不能满足要求,而且也无必要,可根据基本原理考虑多振型影响进行电算。 表4.2.9-3中变化范围数字为A类地貌至D类地貌,B类、C类地貌的查表为1/5、1/2处,例如Z/H=0.6,lx(H)/lx(0)=0.5时,B类可取ε2=0.55,C类ε2=0.59。
4.2.10 钢桅杆风振系数应符合下列规定:
1 杆身风振系数应按下列规定确定:
1)当钢桅杆高度不大于150m时:
悬臂段β z (z)=2.1;
非悬臂段β z (z)=1.6;
2)当钢桅杆高度大于150m时:

式中:g——峰值因子,取2.5;
I 10 ——10m高紊流度,A类、B类、C类、D类地貌分别为12%、14%、23%、39%;
α——风剖面指数,A类、B类、C类、D类地貌分别为0.12、0.15、0.22、0.30;
ξ j ——脉动增大系数,按表4.2.9-1采用;
H——塔身全高;
N——沿杆身全高取N个等分点计算风振系数,每小段的长度为dH=H/N,点的编号自下至上为1,2,…,N;
Φ,(i)——杆身第i点所在高度的第j阶振型系数。
2 钢桅杆纤绳风振系数应按下列规定确定:
1)当钢桅杆高度不大于150m时:
β z =1.6
2)当钢桅杆高度大于150m时:
β z =1+ξε q (4.2.10-2)
式中:ξ——脉动增大系数,按表4.2.9-1采用,其中T取纤绳的基本自振周期;
ε q ——综合考虑风压脉动、高度变化及振型影响的系数,按表4.2.10采用。
表4.2.10 综合考虑风压脉动、高度变化及振型影响的系数ε q

注:1 变化范围的数字A类至D类地貌,B类地貌取该数字范围内约1/10处,C类取1/2处;
2 表中,ω为考虑杆身影响后的纤绳实际基频(rad/s),l为纤绳弦向长度(m),S为纤绳张力(N),m为纤绳线质量密度(kg/m);
3 两端铰支的纤绳的基频为 
。
条文说明
4.2.10钢桅杆风振系数根据随机振动理论导出,考虑到初步设计已很容易计算出桅杆杆身的前几阶振型,一般可考虑前4阶自振频率和振型(剔除扭转振型),桅杆杆身的风振系数为: 
其中脉动系数: 
式中:ξn一一脉动增大系数; g——峰值因子,取2.5; I10——10m高紊流度,A类、B类、C类、D类地貌分别为12%、14%、23%、39%; a——风剖面指数,A类、B类、C类、D类地貌分别为0.12、0.15、0.22、0.30; μz(z)——风压高度系数; Φn(z)——n阶振型在高度z处的取值。 按桅杆杆身风振系数的计算公式,可编程计算得到桅杆杆身沿高度变化的z高度的风振系数βz。 为方便计算,条文中根据风振系数计算公式给出简化算法,计算步骤如下: 桅杆杆身按纤绳层数分段,如(n-1)层纤绳可分为n段(包括悬臂段),每段按高度4等分,桅杆杆身被等分为N=4n个节点;则每段高度为dH=H/N,各点的编号自下而上为1、2、…、N,用以描述风振系数沿杆身全高H的变化规律,则风振系数计算公式中的积分计算转换成为求和计算,可用EXCEL软件计算出各点的风振系数。 对于桅杆纤绳,考虑脉动风荷载主要影响纤绳张力,故只考虑一阶振型的影响,将非均布动力风荷载等效为均布荷载,求得换算的均布荷载的风振系数,并编制相应表格(表4.2.10)。B类、C类地貌的εq查表为1/10、1/2处,例如
、纤绳高度100m,B类、C类地貌的εq分别为0.47、0.70。
4.2.11 高耸结构应考虑由脉动风引起的垂直于风向的横向共振的验算。
条文说明
4.2.11当构筑物受到风力作用时,不但顺风向可能发生风振,而且也可能发生横风向风振。横风向风振是由不稳定的空气动力形成的,其性质远比顺风向风振更为复杂,其中包括旋涡脱落Vortex-shedding、颤振Flutter等空气动力现象。 对圆截面柱体结构,当发生旋涡脱落,脱落频率与结构自振频率相符时,将出现共振。大量试验表明,旋涡脱落频率fs与风速v成正比,与截面的直径d成反比。同时,雷诺数
69000υd(υ为空气运动黏性系数,约为1.45×10-5m2/s),斯托罗哈数
,它们在识别其振动规律方面有重要意义。 当风速较低,即Re<3×105时,一旦fs与结构自振频率相符,即发生亚临界的微风共振,对圆截面柱体,St≈0.2;当风速增大而处于超临界范围,即3×105≤Re<3.5×106时,旋涡脱落没有明显的周期,结构的横向振动也呈随机性;当风更大,即Re≥3.5×106时,即进入跨临界范围,重新出现规则的周期性旋涡脱落,一旦与结构自振频率接近,结构将发生强风共振。 因此规定,当雷诺数Re<3×105且υH>υcr,1时,可能发生第1振型微风共振(亚临界范围的共振),此时应在构造上采取防振措施或控制结构的临界风速υcr,1不小于15m/s,以降低微风共振的发生率。当雷诺数Re≥3.5×106且1.2υH>υcr,j时,可能发生横风向共振(跨临界范围的共振),此时应验算共振响应。 一般情况下,当风速在亚临界或超临界范围内时,不会对结构产生严重影响,即使发生微风共振,结构可能对正常使用有些影响,但也不至于破坏,设计时,只要采取适当构造措施,或按微风共振控制要求控制结构顶部风速即可。 当风速进入跨临界范围内时,结构有可能出现严重的振动,甚至破坏,国内外都曾发生过很多这类的损坏和破坏的事例,对此必须引起注意。
4.2.12 对于竖向斜率不大于2%的圆筒形塔、烟囱等圆截面构筑物以及圆管、拉绳和悬索等圆截面构件,应根据雷诺数Re的不同情况按下列规定进行横风向风振的验算:
1 可按下列公式计算结构或构件的雷诺数Re、临界风速υ cr 、结构顶部风速υ H :

式中:υ cr,j ——第j振型临界风速(m/s);
υ——计算雷诺数时所取风速(m/s),可取υ=υ cr,j ;
d——圆筒形结构的外径(m),有锥度时可取2/3高度处的外径;
St——斯脱罗哈数,对圆形截面结构或构件取0.2;
T j ——结构或构件的j振型的自振周期(s);
υ H ——结构顶部的风速(m/s);
μ H ——高度H处风压高度变化系数。
2 圆形截面结构或构件的横风向风振响应分析应符合下列规定:
1)当雷诺数Re<3×10 5 且υ H >υ cr,j 时,应在构造上采取防振措施或控制结构的临界风速υ cr,j 不小于15m/s;
2)当雷诺数Re≥3.5×10 6 且1.2υ H >υ cr,j 时,应验算共振响应。横向共振引起的等效静风荷载ω Ldj (kN/m 2 )应按下列公式计算:

式中:φ ji ——第j振型在i点的相对位移;
υ cr,j ——第j振型的共振临界风速(m/s),按公式(4.2.12-2)计算;
υ H,α ——粗糙度指数为α时的结构顶点的风速;
ξ j ——结构第j振型阻尼比,对于高振型,可参考类似资料,如无试验资料,也可取与第1振型相同的值;
μ L ——横向力系数,取0.25;
λ j ——共振区域系数,由表4.2.12确定;
H 1 ——共振临界风速起始高度。
表4.2.12 λ j 计算用表

注:校核横风向风振时考虑的振型序号不大于4,对一般悬臂结构可只考虑第1或第2振型。
3)当雷诺数为3×10 5 ≤Re<3.5×10 6 时,不发生超临界范围的共振,可不做处理。
条文说明
4.2.12对亚临界的微风共振,微风共振时结构会发生共振声响,但一般不会对结构产生破坏。此时可采用调整结构布置以使结构基本周期T1改变而不发生微风共振,或者控制结构的临界风速υcr,1不小于15m/s,以降低共振的发生率。 对跨临界的强风共振,设计时必须按不同振型对结构予以验算。式(4.2.12-4)中的计算系数λj是对j振型情况下考虑与共振锁住区分布有关的折算系数。在临界风速υcr,j起始点高度H1以上至1.3υcr,j一段范围内均为锁住区,风速均为υcr,j。共振锁住区的终点高度
,式中υH,α为该地貌的结构顶点的风速,H2一般常在顶点高度之上,故锁住区常取到结构顶点,计算系数λj就根据此点而作出。个别情况如H2<H,可根据实际情况进行计算,此时λj可按λj(H1)-λj(H2)确定,如考虑安全,也可将H2取至顶点。若临界风速起始点在结构顶部,不发生共振,也不必验算横风向的风振荷载。临界风速υcr,j计算时,应注意对不同振型是不同的。根据国外资料和我们的计算研究,一般考虑前四个振型就足够了,但以前两个振型的共振为最常见。还应注意到,对跨临界的强风共振验算时,考虑到结构强风共振的严重性及试验资料的局限性,应尽量提高验算要求。一些国外规范如ISO4354就要求考虑增大风速验算。这里采用将顶部风速增大到1.2倍以扩大验算范围。
4.2.13 对于非圆截面构筑物,其横风向风振可按本标准公式(4.2.12-1)~公式(4.2.12-5)进行验算,并宜通过风洞试验或可靠资料确定有关系数,当无试验值时,可按下列规定取值:
1 斯脱罗哈数St取0.15;
2 方形截面以及深宽比1≤D/B≤2的矩形截面的横风向力系数μ L ,取0.60;
3 公式中圆筒外径d由迎风面最大宽度B代替。
条文说明
4.2.13对于非圆截面的柱体,同样也存在旋涡脱落等空气动力不稳定问题,但其规律更为复杂,国外的风荷载规范逐渐趋向于也按随机振动的理论建立计算模型,目前,标准仍建议对重要的柔性结构宜在风洞试验的基础上进行设计。
4.2.14 考虑横风向风振时,风荷载的总效应S可按下式进行计算:

式中:S L ——横风向风振效应;
S D ——发生横风向共振时相应的顺风向风荷载效应。
条文说明
4.2.14基本风速一般取当地空旷平坦地面上10m高度处10min时距,平均的年最大风速观测数据,经概率统计得出50(30)年一遇最大值后确定的风速。 当发生横风向风振时,其顺风向与横风向综合风振效应按矢量和计算。一般情况下,顺风向风振与横风向风振的相关性较小,当发生横风向强风共振时,顺风向的风荷载可不考虑脉动风影响,仅考虑其静力风荷载组合。高耸结构等效风振系数一般在1.6~1.8左右,故顺风向静力风效应可取总顺风向风荷载效应的60%,相当于取等效风振系数约为1.67。由于发生横风向共振时未必是设计风压条件,低于设计风速的所有风速都是可能发生的,故此时的顺风向风荷载应该为横风向共振条件下的对应风速下的风荷载。
4.2.15 输电高塔设计风荷载可根据行业的具体情况确定,并应符合下列规定:
1 输电高塔设计基本风速的重现期取值应按国家现行标准有关规定确定。
2 位于山地上的高塔的基本风速应符合下列规定:
1)宜采用统计分析和对比观测等方法,由临近地区气象台、站的气象资料推算,并应结合实际运行经验确定;
2)当无可靠资料时,宜将附近平原地区的统计值提高10%。
3 大跨越高塔的基本风速应符合下列规定:
1)当无可靠资料时,宜将附近陆上相同电压等级输电线路的风速统计值换算到跨越处历年大风季节平均最低水位以上10m处,并增加10%,考虑水面影响再增加10%后选用;
2)大跨越高塔的基本风速不应低于相连接的陆上输电线路的基本风速,且330kV及以下大跨越高塔的基本风速不低于25m/s,500kV、±400kV及以上大跨越高塔的基本风速不低于30m/s;
3)必要时,尚宜按稀有风速条件进行验算。
4.2.16 对于处于地形条件复杂或几何形状复杂的高耸结构,可通过风洞试验或数值模拟来确定风荷载计算参数。
4.3 覆冰荷载
4.3 覆冰荷载
4.3.1 设计电视塔、无线电塔桅和输电高塔等类似结构时,应考虑结构构件、架空线、拉绳等表面覆冰后所引起的荷载及挡风面积增大的影响和不均匀脱冰时产生的不利影响。
条文说明
4.3.1在电力行业中,输电杆塔的导地线覆冰荷载比较复杂,且具有显著的行业特点,输电杆塔覆冰荷载计算应遵循电力行业的设计技术规程和规定。
4.3.2 基本覆冰厚度应根据当地离地10m高度处的观测资料和设计重现期分析计算确定。当无观测资料时,应通过实地调查确定,或按下列经验数值分析采用:
1 重覆冰区:基本覆冰厚度可取20mm~50mm;
2 中覆冰区:基本覆冰厚度可取15mm~20mm;
3 轻覆冰区:基本覆冰厚度可取5mm~10mm。
条文说明
4.3.2电力行业根据2005年华中地区、2008年初我国南方地区覆冰灾害情况分析结果,对输电线路基本覆冰划分为轻、中、重三个等级,采用不同的设计参数。按现行行业标准《重覆冰架空输电线路设计技术规程》DL/T5440对冰区划分和基本覆冰厚度取值进行了规定。输电高塔基本覆冰厚度重现期取值应与基本风速重现期取值一致。
4.3.3 覆冰重力荷载的计算应符合下列规定:
1 圆截面的构件、拉绳、缆索、架空线等每单位长度上的覆冰重力荷载可按下式计算:
q l =πbα 1 α 2 (d+bα 1 α 2 )γ× 10 -6 (4.3.3-1)
式中:q l ——单位长度上的覆冰重力荷载(kN/m);
b——基本覆冰厚度(mm),按本标准第4.3.2条的规定采用;
d——圆截面构件、拉绳、缆索、架空线的直径(mm);
α 1 ——与构件直径有关的覆冰厚度修正系数,按表4.3.3-1采用;
α 2 ——覆冰厚度的高度递增系数,按表4.3.3-2采用;
γ——覆冰重度,一般取9kN/m 3 。
2 非圆截面的其他构件每单位面积上的覆冰重力荷载q a (kN/m 2 )可按下式计算:
q a =0.6bα 2 γ×10 -3 (4.3.3-2)
式中:q a ——单位面积上的覆冰重力荷载(kN/m 2 )。
表4.3.3-1 与构件直径有关的覆冰厚度修正系数α 1

表4.3.3-2 覆冰厚度的高度递增系数α 2

4.4 地震作用
4.4 地震作用
4.4.1 基于结构使用功能和重要性,应按现行国家标准《建筑工程抗震设防分类标准》GB 50223的规定将结构划分为特殊设防类、重点设防类、标准设防类、适度设防类四类,并应按现行国家标准《建筑抗震设计规范》GB 50011进行设计。
条文说明
4.4.1高耸结构根据使用功能和重要性的不同,将结构划分为四类设防,对应于每种设防标准,结构抗震设计的计算和构造要求也不同,直接涉及高耸结构的安全性和经济性。 本条是根据现行国家标准《建筑工程抗震设防分类标准》GB50223-2008中关于建筑工程的四个抗震设防类别进行划分的。
4.4.2 对设防烈度为7度(0.15g)及以上带塔楼的高耸结构、设防烈度为8度及以上的高耸混凝土结构和设防烈度为9度及以上的高耸钢结构,应同时考虑竖向地震作用和水平地震作用的不利组合。对高耸结构的悬挑桁架、悬臂梁、较大跨梁等,应考虑竖向地震作用。刚度中心与质量中心存在偏心时,应考虑地震作用的扭转效应。
4.4.3 带有塔楼的高耸结构应进行性能化设计。当高耸结构采用抗震性能设计时,应根据其抗震设防类别、设防烈度、场地条件、结构类型、功能要求、投资、造成损失大小和修复难易程度等,对选定的抗震性能目标提出技术和经济可行性综合分析和论证。
条文说明
4.4.3高耸结构的抗震性能目标可按现行行业标准《高层混凝土结构技术规程》JGJ3的相关规定并结合高耸结构的自身特点确定。
4.4.4 地震影响系数(图4.4.4)应根据现行国家标准《建筑抗震设计规范》GB 50011采用,其最大值按本标准第4.4.5条的规定采用,其形状参数应符合下列规定:

图4.4.4 地震影响系数曲线
α-地震影响系数;α max -地震影响系数最大值;η 1 -直线下降段的下降斜率调
整系数;γ-衰减指数;T g -特征周期;η 2 -阻尼调整系数;T-结构自振周期
1 直线上升段,周期小于0.1s的区段;
2 水平段,自0.1s至特征周期区段,应取最大值α max ;
3 曲线下降段,自特征周期至5倍特征周期区段,衰减指数应取0.9;
4 直线下降段,自5倍特征周期至6.0s区段,下降斜率调整系数应取0.02;
5 特征周期,根据场地类别和设计地震分组按表4.4.4采用;计算8度、9度罕遇地震作用时,特征周期应增加0.05s。
表4.4.4 特征周期值(s)

条文说明
4.4.4弹性反应谱理论仍是现阶段抗震设计的最基本理论,本标准的设计反应谱以地震影响系数曲线的形式给出,并有如下重要改进: (1)设计反应谱周期延至6s。根据地震学研究和强震观测资料统计分析,在周期6s范围内,有可能给出比较可靠的数据,也基本满足了国内高耸结构的抗震设计需要。对于长周期大于6s的结构,抗震设计反应谱应进行专门研究。 (2)理论上,设计反应谱存在两个下降阶段,即速度控制段和位移控制段,在加速度反应谱中,前者衰减指数为1,后者衰减指数为2。设计反应谱是用来预估建筑结构在其设计基准期内可能经受的地震作用,通常根据大量实际地震记录的反应谱进行统计并结合工程经验判断加以规定。为保持标准的延续性,在T≤5Tg范围内与《建筑抗震设计规范》GB50011-89相同,把《建筑抗震设计规范》GB50011-89的下平台改为倾斜段,使T>5Tg后的反应谱值有所下降,不同场地类别的最小值不同,较符合实际反应谱的统计规律。在T=6Tg附近,新的反应谱比《建筑抗震设计规范》GB50011-89约增加15%,其余范围取值的变动更小。 (3)为了与我国地震动参数区划图接轨,根据地震动参数区划的反应谱特征周期分区和不同场地类别确定反应谱特征周期Tg,即特征周期不仅与场地类别有关,而且还与特征周期Tg分区有关,同时反映了震级大小、震中距和场地条件的影响。Tg分区中的一区、二区、三区分别反映了近、中、远震影响。为了适当调整和提高结构的抗震安全度,各分区中Ⅰ、Ⅱ、Ⅲ类场地的特征周期较《建筑抗震设计规范》GB50011-89的值约增大了0.05s。同理,罕遇地震作用时,特征周期Tg值也适当延长。这样处理比较接近近年来得到的大量地震加速度资料的统计结果。与《建筑抗震设计规范》GB50011-89相比,安全度有一定提高。
4.4.5 计算地震作用标准值时,水平地震影响系数最大值应按表4.4.5采用。
表4.4.5 水平地震影响系数最大值

注:括号中数值分别用于设计基本地震加速度取为0.15g(抗震设防烈度为7度)和0.30g(抗震设防烈度为8度)的地区。
条文说明
4.4.5现阶段采用抗震设防烈度所对应的水平地震影响系数最大值αmax,多遇地震烈度和罕遇地震烈度分别对应于50年设计基准期内超越概率为63%和2%~3%的地震烈度,也就是通常所说的小震烈度和大震烈度。为了与新的地震动参数区划图接口,表4.4.5中的αmax沿用标准6度、7度、8度、9度的所对应的设计基本加速度之外,对于7度~8度、8度~9度之间各增加一档,用括号内的数字表示,分别对应于现行国家标准《建筑抗震设计规范》GB50011-2010附录A中的0.15g和0.30g。 高耸结构阻尼比的确定与现行国家标准《构筑物抗震设计规范》GB50191统一,明确其数值。由于本标准对高于200m以上的塔推荐使用振动控制技术,故本条规定加振动控制设备的高耸结构的阻尼比可按“等效阻尼比”取值。 对于周期大于6.0s的高耸结构所采用的地震影响系数,应专门研究。 本条在原标准基础上增加了“设防地震”的水平地震影响系数。此修改是根据现行行业标准《高层混凝土结构技术规程》JGJ3-2010关于结构抗震性能的设计和相关规定,根据结构抗震性能目标,高耸结构应能满足设防地震作用下弹性的要求。
4.4.6 当高耸结构抗震阻尼比的取值不等于0.05时,地震影响系数曲线的阻尼调整系数η 2 及形状参数应按下列规定调整:
1 曲线下降段的衰减指数应按下式确定:

式中:γ——曲线下降段的衰减指数;
ζ——结构抗震阻尼比,按表4.4.6采用。
表4.4.6 结构抗震阻尼比

注:对于上部钢结构、下部钢筋混凝土的高耸结构,换算阻尼系数可根据该振型振动时能量耗散等效的原则确定。
2 直线下降段的下降斜率调整系数应按下式确定:

式中:η 1 ——直线下降段的下降斜率调整系数,当小于0时取0。
3 阻尼调整系数应按下式确定:

式中:η 2 ——阻尼调整系数,当小于0.55时,应取0.55。
条文说明
4.4.6本条在原标准基础上补充了四类高耸结构在多遇地震、设防地震、罕遇地震作用下阻尼比的取值。 考虑到不同结构类型的抗震设计需要,提供了不同阻尼比(0.01~0.20)地震影响系数曲线相对于标准的地震影响系数α(阻尼比为0.05)的修正方法。根据实际强度记录的统计分析结果,这种修正可分两段进行:在反应谱平台阶段(α=αmax),修正幅度最大;在反应谱上升阶段和(T<Tg)和下降段(T>Tg),修正幅度变小;在曲线两端(0s和6s),不同阻尼比下的α系数趋向接近。 表达式为: 
对应于不同阻尼比计算地震影响系数的调整系数(表2),条文中规定,当η2<0.55时取0.55;当η1<0.0时取0.0。 表2地震影响系数 
4.4.7 计算高耸结构的地震作用时,其重力荷载代表值应取结构自重标准值和各竖向可变荷载的组合值之和。结构自重和各竖向可变荷载的组合值系数应按下列规定采用:
1 对结构自重(结构和构配件自重、固定设备重等)取1.0;
2 对设备内的物料重取1.0,对特殊情况可按国家现行有关标准采用;
3 对升降机、电梯的自重取1.0,对吊重取0.3;
4 对塔楼楼面和平台的等效均布荷载取0.5,按实际情况考虑时取1.0;
5 对塔楼顶的雪荷载取0.5。
4.5 温度作用
4.5 温度作用
4.5.1 对带塔楼的多功能电视塔或其他旅游塔,应计算塔楼内结构和邻近处塔楼外结构的温差作用效应。电梯井道封闭的多功能钢结构电视塔应计算温度作用引起井道相对于塔身的纵向变形值,并采取措施释放其应力,且不应影响使用。计算温差标准值△t为当地的历年冬季或夏季最冷或最热的钢结构日平均气温或钢筋混凝土结构月平均气温与室内设计温度之差值,正负温差均应验算。
条文说明
4.5.1经研究,对高寒地区的多功能钢结构电视塔,其塔楼内外结构的温度效应予考虑。本条确定了室外低温的计算标准值。
4.5.2 高耸结构由日照引起向阳面和背阳面的温差,应按实测数据采用,当无实测数据时可按不低于20℃采用。
4.5.3 桅杆温度作用应按当地历年冬季或夏季最冷或最热的日平均气温与桅杆安装调试完成时的月平均气温之差计算。
5 钢塔架和桅杆结构
5.1 一般规定
5 钢塔架和桅杆结构
5.1 一般规定
5.1.1 钢塔架和桅杆结构(以下简称塔桅钢结构)设计应进行强度、稳定和变形验算。
条文说明
5.1.1承载能力和疲劳关系到结构的安全性,而变形关系到结构的使用性,这三种状态中的任何一种都可能对结构计算起控制作用。 原标准中承载力、稳定的定义区间有重合,现改为强度、稳定和变形验算。 塔桅钢结构的承载能力是指结构或构件达到其允许的最大承载能力,或者虽未达到最大承载能力,但由于塑性变形使得结构或构件几何形状发生显著改变,彻底不能使用,也认为已经达到最大承载能力。塔桅结构的变形验算可以理解为结构或构件不能超过使用功能上允许的某个变形限值,例如,过大的变形不仅会对结构产生不利影响,可能还会使人们在心理上产生不安全的感觉,或者不满足工艺要求。
5.1.2 对于承受疲劳动力作用的高耸钢结构应进行抗疲劳设计。 ( 自2022年1月1日起废止该条,详见新规 《钢结构通用规范》GB 55006-2021)
条文说明
5.1.2高耸结构的疲劳破坏主要是风力发电塔的破坏,每年都有若干起,造成很大的经济损失,《高耸结构设计规范》GB50135-2006修编时,风力发电塔还很少,所以未有针对性条款。目前每年都有上万座风力发电塔建成,需维护的风塔的数量急剧增大,所以疲劳问题已成为风电发展中的重要问题。故本次修编加以强调,作为强制性条文,必须严格执行。风电塔的疲劳问题在钢结构方面主要是钢筒焊缝热影响区的母材疲劳问题和法兰连接螺栓的疲劳问题,以后这一问题更为普遍和典型。本标准第5.8.2条、第5.8.3条、第5.9.1条中有具体规定。本条为强制性条文,必须严格执行。
5.1.3 塔桅钢结构选用的钢材材质应符合现行国家标准《钢结构设计标准》GB 50017的规定。螺栓、紧固件应符合国家现行相关标准的要求。
条文说明
5.1.3本条所指钢材材质应符合现行国家标准《钢结构设计标准》GB50017的规定是要求设计者根据钢结构设计的基本原理并结合高耸钢结构的特点来选择材料及辅助材料。材料选择对于钢结构来讲至关重要,涉及结构设计的安全性和经济性。 高耸钢结构是承受动力荷载(以风为主)的室外结构,而且绝大部分为焊接结构(小型角钢输电塔不在本标准覆盖范围之内)。所以在选择材料时应考虑以下几点: (1)应选用Q235-B及以上的钢材; (2)对于桅杆纤绳的拉耳设计,应考虑微风时扭转效应引起的疲劳荷载作用,材料和焊缝应比一般高耸钢结构提高一个等级; (3)对于高耸钢结构的悬臂天线段,应考虑鞭梢效应及高频振动作用,适当选用较好的材料或适当降低应力比; (4)对于寒冷地区的高耸钢结构,应考虑冷脆问题,适当提高材料等级;根据经验,冬季极限低温在-20℃~-40℃的地区,可采用C级钢材; (5)钢材的选择应考虑经济性,并易于采购,易于管理。
5.1.4 塔桅钢结构的钢材及连接强度设计值应按本标准附录A的表A.0.1~表A.0.4采用,并按本标准表A.0.5折减。钢铰线的强度设计值可按本标准表A.0.6采用。单角钢连接计算应符合现行国家标准《钢结构设计标准》GB 50017的规定。
条文说明
5.1.4本条所涉及的表A.0.3中增加预应力锚栓的设计参数,其抗拉强度是按现行国家标准《钢结构设计标准》GB50017中关于高强螺栓的抗拉强度得出的。但因在表A.0.3注6中规定预应力锚栓应用直接张拉法施工,所以不得用扭矩法施工。抗拉和抗扭共同作用,强度要除以1.2,此处只除以1.1。提高强度利用率,也要有一定余地。而且对于锚栓加预应力,实践经验证明必须用直接张拉法,用扭矩法易于折断锚栓。 表A.0.3注7中提出对于用直接张拉法施工的摩擦型高强螺栓,其强度也可提高10%,也是同理。但这种螺栓的螺杆长度要达到螺栓直径的6倍以上,其预应力损失才低于20%,可被接受。由于标准适用范围增加了电力高塔,故电力高塔中常用的钢绞线的强度设计值亦予收录。国内电力系统使用螺栓品种、数量较钢结构建筑多,也对各类螺栓的承载能力进行过大量试验,试验结果比现行国家标准《钢结构设计标准》GB50017提供的承载能力略大,故电力系统普遍采用的螺栓承载力与现行国家标准《钢结构设计标准》GB50017有所区别。为了尊重试验结果,本标准在基本仍采用现行国家标准《钢结构设计标准》GB50017数据的前提下作出说明,即有大量可靠试验依据时,可根据行业内具体情况做适当修正,而修正需在行业内以行业标准形式统一规定。
5.1.5 塔桅钢结构应做长效防腐蚀处理。一般情况以热浸锌为宜,构件体型特殊且很大时可用热喷锌(铝)复合涂层。对厚度大于或等于5mm的构件,锌层平均厚度不应小于86μm;对厚度小于5mm的构件,锌层平均厚度不应小于65μm。
条文说明
5.1.5高耸结构处于室外,大气环境腐蚀影响较大。由于维护费用问题越来越突出,故目前对高耸结构一般均做长效防腐蚀处理。本条所列两种长效防腐蚀方法均已经过大量工程实践验证。其他长效防腐方法如氟碳涂层法、无机富锌涂层法等均有较好的应用前景,但尚需经过一定量实际工程检验。
5.1.6 塔桅钢结构应有可靠的防雷接地,接地标准应按国家现行有关标准执行。当采用镀锌钢塔塔体作为引下线时,必须保证塔体由避雷针到接地线全线连通,无绝缘涂层。高强缆索不应作为接地体。
条文说明
5.1.6塔桅钢结构的防雷接地是普遍性的重要问题,且利用结构主体作为防雷引下线最为经济,防雷接地又与基础的设计与施工有关。故在此作为设计的一般规定。
5.1.7 桅杆结构设计时,宜有一层纤绳采用各向双纤绳,纤绳所在轴线不宜通过桅杆杆身轴线(图5.1.7)。
条文说明
5.1.7与一般结构相比,桅杆结构是受气候影响更显著的高耸结构,风荷载和裹冰荷载常常是其控制荷载;且桅杆结构高度较大,横截面相对较小,杆身长细比通常在100~200左右,远大于一般的高耸结构。桅杆结构的柔索纤绳和细长杆身导致横向荷载作用下的大变形,整个结构表现出强非线性,静力和动力特性十分复杂。 桅杆结构的非线性因素主要体现在:①纤绳弦向变形和弦向张力不成正比,纤绳动力刚度是非线性的;②二阶矩的影响,由于纤绳斜向张拉的作用,杆身内部轴向力很大,二阶矩的影响不容忽略;③阻尼的非线性,纤绳相当于一个等效的阻尼器,能迅速衰减杆身的振动,其阻尼作用与纤绳的变形有关。另外,通常桅杆每层纤绳均于空间相交于一点,且各层交点连成一条线,整个结构是一个瞬变体系,初始抗扭刚度为零,发生扭转变形后才有抗扭刚度与弹性恢复力。所以桅杆结构在微风荷载作用下就易发生扭转振动。在正常使用情况下,微风出现的频率最大,因而桅杆发生微风风激振动的频率也就很高。 桅杆的这些特点使其在风荷载作用下易产生各种复杂的风效应,如顺风随机振动、横风涡激振动、自激振动、参数振动、混沌现象等。频繁且复杂的风激振动易使桅杆产生疲劳损伤,而疲劳损伤又是桅杆结构倒塌的最常见原因之一,因此,在桅杆结构设计时需要采取抗疲劳措施,以下分别从加固节点和增大结构抗扭刚度两方面考虑。①桅杆结构拉耳连接节点是最易发生疲劳破坏的部位,拉耳节点板在设计中只考虑平面内受拉,平面外刚度很小。杆身发生扭转时,纤绳与拉耳节点板会产生平面外夹角,使得节点板在平面外受弯,这种平面外受力状态对拉耳抗疲劳性能有不利的影响。工程中对于拉耳节点板平面外受力问题通常采用加劲板来增加其平面外刚度。②增大结构抗扭刚度可以通过改变纤绳布置方案来实现,增加纤绳数量和改变节点位置使得纤绳拉力作用方向线与结构中心不重合,可以为结构提供额外的抗扭刚度。
5.1.8 塔桅钢结构节点处各杆件的内力宜交汇于一点。

图5.1.7 双纤绳布置方案
1-杆身;2-纤绳
条文说明
5.1.8要求节点构造简单紧凑的目的主要是减小受风面积,同时也可以简化制作、节约钢材。选型应使传力明确,并尽量减小次应力影响,其节点构造应简单紧凑。
5.2 塔桅钢结构的内力计算
5.2 塔桅钢结构的内力计算
5.2.1 塔桅钢结构宜按整体空间桁架做静力结构分析;对于需进行抗震验算的钢塔及安全等级属一级高耸结构的钢塔,应进行反应谱分析或时程分析。
条文说明
5.2.120世纪80年代,塔架的内力计算采用平面桁架法或分层空间桁架法手算较多。但随着技术的进步,这些不太精确的方法已基本被淘汰,精确的整体空间桁架法已被广泛采用。故本标准修订中体现了这一变化,并提出对重要结构做动力分析的要求。
5.2.2 桅杆可用梁索单元或杆索单元非线性有限元法做静力分析;当钢桅杆安全等级为一级时应进行非线性动力分析。当桅杆杆身为格构式并按压弯杆件计算时,其刚度应乘以折减系数ξ,折减系数可按下式确定:

式中:l 0 ——弹性支承点之间杆身计算长度(m);
i——杆身截面回转半径(m);
λ 0 ——弹性支承点之间杆身换算长细比,按本标准第5.5.5条的规定计算。
条文说明
5.2.2对于桅杆的计算,现已很少采用弹性支座连接梁法手算,所以去除这一方法。现用压弯杆-索或杆-索有限元法计算。
5.2.3 当计算所得四边形钢塔斜杆承担的剪力与同层塔柱承担的剪力之比 
时,斜杆内力宜取塔柱内力乘系数α(图5.2.3),α可按公式(5.2.3)确定。当未按本条规定的方法复核斜杆受力时,斜杆设计内力不宜小于主材内力的3%。

式中:μ——斜杆为刚性时,μ=1;斜杆为柔性时,μ=2;
V、M——层顶剪力、弯矩;
b——为层顶宽度;
θ——塔柱与铅直线之夹角;
h——所计算截面以上塔体高度。

图5.2.3 斜杆最小内力限值计算图
1-斜杆;2-指向塔心方向;3-上部结构
条文说明
5.2.3由于风沿高耸结构高度方向的实际分布状况是多变的,而计算公式无法反映这种复杂的变化,所以当按一般的方法计算塔架中某些斜杆的内力时,有时会得到非常小的内力值。而实际上当风的分布状况发生变化时,斜杆的内力会大大超过这一值。这一现象称为“埃菲尔效应”。国外塔桅结构设计规范中已对这种不利效应作出对策。在本标准修订过程中,经过研究并与英国规范对比,得出本条文。即对于计算结果中受力很小的斜杆,要控制其“最小内力”,以免在实际工作状态下内力不稳定造成结构的破坏。当未按本条规定的方法复核斜杆受力时,为了保证斜材具有足够的承载能力,其设计内力不宜小于主材内力的3%。
5.2.4 塔桅钢结构中的构造支撑的设计内力不应小于被它所支撑的杆件的内力值的1/50。
条文说明
5.2.4塔桅钢结构中的构造支撑件(指零杆或计算法兰受力很小的横膈,再分式腹杆等)在没有初位移、初弯曲的线性内力计算中受力很小。但由于结构的初始缺陷,这些杆件有一定内力,而且此内力相对于计算给出的内力值差异较大。所以必须根据施工标准规定的初始缺陷限值给定一个最小内力。所以本条规定在计算所得内力和它所支撑的杆件内力的1/50两者中选取较大者作为设计内力。这一做法与现行国家标准《钢结构设计标准》GB50017规定的二力杆的剪力计算接近,也经历了输电塔设计的多年考验。
5.2.5 塔桅钢结构中柔性预应力交叉斜杆的预拉力值不宜小于按线弹性理论计算时交叉斜杆的压力设计值,应按预应力结构体系进行计算。
条文说明
5.2.5柔性交叉斜杆分预应力和非预应力两种,非预应力柔性斜杆一旦受压则退出工作,拉杆仍有长细比限制。预应力柔性斜杆在施加预应力后使柔性斜杆在各种工况中始终处在受拉状态,计算整体塔架时应考虑预应力对塔柱和横杆产生的压力。
5.3 塔桅钢结构的变形和整体稳定
5.3 塔桅钢结构的变形和整体稳定
5.3.1 塔桅钢结构在结构布置、结构形体设计时应考虑结构变形的影响,并进行变形验算。变形应满足本标准第3.0.10条和本标准第3.0.11条的规定。
条文说明
5.3.1原标准第5.3.1条只是指出按第3.0.10条等验算,似与第3.0.10条重复。修改之前先指出在结构布局和形体设计时考虑减少结构变形的不利影响,然后再做验算,这样做出的工程设计应该更优。具体地说,结构整体适当的高宽比、纤绳的几何对称性、适当的预拉力、大跨度梁的适当预拱等都有利于减小变形。
5.3.2 桅杆除应按本标准第5.1.1条验算承载能力外,尚应验算各安装阶段的整体稳定,整体稳定安全系数不应低于2.0。对于纤绳上有绝缘子的桅杆,应验算绝缘子破坏后的受力状况,此时可假定纤绳初应力值降低20%,相应的稳定安全系数不应低于1.6。
条文说明
5.3.2桅杆按非线性有限元计算,根据本标准第5.2.2条,条件是设计风荷载不利组合。本条指在安装阶段,风压为0.1kN/m2,纤绳拉力按实际计取,再加安装荷载,此时桅杆有可能发生杆身分枝屈曲失稳,要按本条规定验算桅杆的安全性。
5.4 纤绳
5.4 纤绳
5.4.1 桅杆纤绳可按一端连接于杆身的抛物线计算。
5.4.2 纤绳的初应力应综合考虑桅杆变形、杆身的内力和稳定以及纤绳承载力等因素确定,宜在200N/mm 2 ~300N/mm 2 范围内选用。
条文说明
5.4.2根据纤绳(钢绞线、钢丝绳)强度的提高以及设计经验的累积,将原标准中初应力改为200N/mm2~300N/mm2。原标准中初应力的范围太大,不利于设计质量;原标准中初应力偏低,此处将其略提高。屋顶塔简易塔的纤绳预拉力不按本条采用。
5.4.3 纤绳的截面强度应按下式验算:

式中:N——纤绳拉力设计值(N);
A——纤绳的钢丝绳或钢绞线截面面积(mm 2 );
f w ——钢丝绳或钢绞线强度设计值(N/mm 2 ),按本标准表A.0.6、表A.0.7采用。
5.5 轴心受拉和轴心受压构件
5.5 轴心受拉和轴心受压构件
5.5.1 轴心受拉和轴心受压构件的截面强度应按下式验算:

式中:N——轴心拉力和轴心压力;
A n ——构件净截面面积(mm 2 ),对多排螺栓连接的受拉构件,要计及锯齿形破坏情况;
f——钢材的强度设计值(N/mm 2 ),按本标准附录A的表A.0.1采用,并按本标准附录A的表A.0.5修正。
条文说明
5.5.1受拉板的净截面积等于板的净宽与板厚的乘积。板的净宽度为整个宽度减去锯齿形截面上所有螺栓孔直径的和,再对每一孔间距加上S2/(4g),如图3所示。受拉板的净宽度bn: 
式中:b——受拉板的宽度(mm); n0——锯齿形截面上的螺孔个数; d0——螺栓孔直径(mm); Si——纵向相邻两孔的间距(mm); gi——横向相邻两孔的间距(mm)。 图3拉板沿锯齿形截面破坏 
5.5.2 轴心受压构件的稳定性应按下式验算:

式中:A——构件毛截面面积;
φ——轴心受压构件稳定系数,可根据构件长细比λ、材料强度及截面类别按本标准附录B采用。
5.5.3 塔桅钢结构的构件长细λ可按下列方法取值:
1 单角钢:
1)弦杆长细比λ按表5.5.3-1采用。
2)斜杆长细比λ按表5.5.3-2采用。
3)横杆和横膈长细比λ按表5.5.3-3采用。
表5.5.3-1 塔架和桅杆的弦杆长细比λ

表5.5.3-2 塔架和桅杆的斜杆长细比λ

表5.5.3-3 塔架和桅杆的横杆和横膈长细比λ

2 单角钢、双角钢、T形及十字形截面应按现行国家标准《钢结构设计标准》GB 50017考虑扭转及弯扭屈曲采用等效长细比计算。
条文说明
5.5.3根据近期的研究及电力系统的工程实践对表5.5.3-2做了补充和修改。与表中数据所对应的连接状态是腹杆直接连接在塔柱角钢肢上。
5.5.4 构件的容许长细比λ应符合表5.5.4的规定。
表5.5.4 构件容许长细比λ

注:格构式桅杆采用换算长细比。
5.5.5 格构式轴心受压构件的稳定性应按本标准公式(5.5.2)验算。此时对虚轴长细比应采用换算长细比λ 0 ,λ 0 应按表5.5.5计算,并应符合下列规定:
1 缀板式构件的单肢长细比λ 1 不应大于40;
2 斜缀条与构件轴线间的倾角应为40°~70°;
3 缀条式轴心受压格构式构件的单肢长细比λ 1 不应大于构件双向长细比的70%;缀板式轴心受压格构式构件的单肢长细比λ 1 不应大于构件双向长细比的50%。
表5.5.5 格构式构件换算长细比λ 0

续表5.5.5

5.5.6 所有对地夹角不大于30°的杆件,应能承受跨中1kN检修荷载。此时,不与其他荷载组合。
条文说明
5.5.6塔桅钢结构一般按空间桁架计算,其杆件均按二力杆计算,但实际上这些二力杆也会受到局部作用力而受弯,为避免不安全而提出增加横向集中力作用,即检修荷载。
5.6 拉弯和压弯构件
5.6 拉弯和压弯构件
5.6.1 高耸结构拉弯和压弯构件的计算应按现行国家标准《钢结构设计标准》GB 50017执行。
5.6.2 单圆钢管或多边形钢管塔径厚比D/t不宜大于400,单管塔除应按现行国家标准《钢结构设计标准》GB 50017中压弯构件的有关公式进行强度和稳定验算外,尚应进行局部稳定验算。单管塔受弯时,考虑到管壁局部稳定影响,当验算弯矩作用平面内稳定时,其设计强度f应乘以修正系数μ d 。μ d 应按公式(5.6.2-1)~公式(5.6.2-4)计算。当径厚比D/t大于公式(5.6.2-1)~公式(5.6.2-4)规定范围时,应按本标准附录C计算单管塔局部稳定。


条文说明
5.6.2原标准条文存在一定的局限性,原标准条文规定单管塔受弯时,其轴压应力占最大应力值控制在5%以内,且仅给出Q235和Q345两种钢材,使得公式应用受到限制。本次修订增加了Q390和Q420钢材强度修正系数的计算方法。 单管杆塔对刚度要求较低,按径厚比
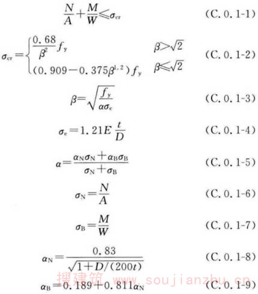
设计时强度利用明显不足。而国外这类单管杆塔用得很多,其径厚比也突破100的限定。标准编制组以美国规范相应条文为蓝本,进一步考虑单管塔固有的部分轴压力不利作用。对美国规范计算公式做了适当调整(更趋向于安全)。在电力部门,美国规范的公式已在国内大量使用,未发生工程问题。那么本条文公式的使用应该更是可行的。而本条文的实施对与单管塔的建设可以节约大量材料和资金。但本条文公式的径厚比有一定范围限制,超过此范围时,按本标准附录C公式进行计算。 本条文规定单管塔径厚比不宜大于400,是基于原标准及目前单管塔应用情况确定的。 本条文中多边形钢管一般为8边形及以上。
5.7 焊缝连接
5.7 焊缝连接
条文说明
原标准这节的标题为“焊缝连接计算”,本次修订去除“计算”。因焊缝设计不仅包括计算,还包括选择种类、等级和尺度等。
5.7.1 高耸钢结构中,承受疲劳动力作用且受拉或高频振动的对接 焊缝及角接焊缝,宜采用一级焊缝;其他对接焊缝及角接焊缝可采用二级焊缝。所有对接焊缝宜与较薄母材等厚。对于操作空间狭小,无法按二级焊缝要求焊接的位置,允许采用熔透焊并按二级焊缝做外观检查。次要结构的焊缝可采用角焊缝,按二级焊缝做外观检查。
条文说明
5.7.1本标准涵盖风力发电塔等带疲劳动力作用的高耸结构,所以删除了原标准中“一般高耸结构不承受疲劳动力荷载”。 高耸结构中所有的焊缝原则上都可以用现行国家标准《钢结构设计标准》GB50017的方法验算,但为了使高耸钢结构的焊接连接受力均衡,应力流顺畅,减少焊接对母材的不利影响,提高焊接的经济性,也是为了减少高耸钢结构设计中焊缝计算的工作量,分不同等级,提出了四条焊缝设计要求: (1)对高耸钢结构中受疲劳动力作用且受拉的对接焊缝和角接焊缝,要求尽可能采用一级焊缝。因为一级焊缝有利于焊缝处母材允许疲劳应力幅的提高。提出“受拉”的原因是有些角接焊缝尽管有疲劳动力作用,但其应力变化均在受压范围内,所以不存在疲劳问题,也不必用一级焊缝。检验要求之所以取消,是因为与现行国家标准《钢结构设计标准》GB50017相同。 (2)除(1)所规定的对接焊缝及角接焊缝,原则上按与母材等强设计,所以用二级焊缝。 (3)“等厚”是为了应力流的顺畅,也是因为等强等厚就不需要做对接焊缝强度验算。等厚也是为了限制焊缝设计过厚对母材产生不利影响。 (4)高耸结构中不可避免有一些角焊缝,这些角焊缝一般暴露在户外,受力也较复杂,故对其提出“按二级焊缝作外观检查”的进一步质量要求。
5.7.2 高耸钢结构中的对接焊缝、角焊缝的承载能力应按现行国家标准《钢结构设计标准》GB 50017进行验算。
5.7.3 承受疲劳动力荷载的高耸钢结构应按现行国家标准《钢结构设计标准》GB 50017对焊缝相邻处的母材进行疲劳验算。
条文说明
5.7.2、5.7.3原标准第5.7.2条~第5.7.6条与现行国家标准《钢结构设计标准》GB50017内容相同,故删除。原标准第5.7.7条的连接不常用,而且均为偏心连接,不提倡,故取消。但类似的对称连接方式还可采用。因为这类对称连接方式的焊缝验算与现行国家标准《钢结构设计标准》GB50017中的验算方法无本质区别,故不再列出。本标准第5.7.2条规定了焊缝要按现行国家标准《钢结构设计标准》GB50017做承载能力验算;本标准第5.7.3条规定了与焊缝相邻的金属母材当受疲劳动力作用应按现行国家标准《钢结构设计标准》GB50017做疲劳验算。
5.7.4 高耸空间桁架结构的主管与支杆连接(图5.7.4-1)应符合下列规定:
1 应使上下两支杆相连的节点板连成一体。
2 应符合螺栓连接的构造要求。
3 应符合螺栓连接的承载能力要求。
4 节点板与钢管的焊缝应满足上下两支杆内力N X1 ,N X2 在焊缝处的合力△N及弯矩 
的强度要求(图5.7.4-2)。N、N+△N为主管上段和下段内力。△N、△M为焊缝内力。
5 节点板宽b 1 与板厚t 1 之比不应大于15,节点板厚t 1 ≤t-2,且t 1 不应小于4mm,t为主管壁厚。
6 当完全符合本条第1款~第5款要求且节点板的长度l g 与主管直径D的比值l g /D大于本标准附录D表D.0.1中节点板临界比值要求时,可不对主管承载力进行验算,否则应按现行国家标准《钢结构设计标准》GB 50017的规定或按弹塑性有限元法验算主管承载力,在荷载设计值作用下,塑性发展深度不应大于0.1t。

条文说明
5.7.4图5.7.4-1所示主管与支杆连接方式很常用,支杆可以跟钢管,用双剪或单剪连接,也可以是角钢,螺栓抗剪连接。类似的连接还有水平向再加一根横杆的板-管连接,受力优于仅有斜杆的板-管连接。 这种连接的设计规定基于高耸钢结构的以下特点:①高耸钢结构杆件长细比较大,多为空间桁架结构,所以连接板与主管之焊缝上的力可归结为△N和△M,没有垂直于立管轴线方向的合力;②高耸钢结构主管内力源于风荷载引起高耸结构的弯矩,沿高度方向呈二次抛物线分布,从上到下增长速率很快;而支杆内力源于风荷载引起高耸结构的剪力,沿高度方向从上到下按算术方式增长,速率较慢,所以除了输电塔的横担节点、电视塔的塔楼节点之外,支杆相对于主管的内力大多要小一个数量级,所以当作出一些适当的设计规定后,实际上大部分高耸结构的板-管节点都可以免除钢管局部承载力这一最为复杂的验算,而其他验算都是相对基本而简单的。 关于具体要求的原因陈述如下: (1)两支杆相连的节点板连成一体后,水平方向的分力可在节点板内平衡,不必影响到连接焊缝。 (2)节点板的尺度要求与螺栓连接的构造要求是不同的,构造要求满足后,节点板的尺度往往足够大,可以省去很多麻烦。 (3)无论哪一种支杆及连接方式,支杆与节点板的连接均应符合现行国家标准《钢结构设计标准》GB50017的规定。 (4)节点板与主管的连接焊缝强度应符合现行国家标准《钢结构设计标准》GB50017的规定,与此同时节点板的强度也满足了现行国家标准《钢结构设计标准》GB50017的规定。 (5)主管是整体结构中的主要构件,此处按轴心受压设计,不希望受支杆连接板的过大不利影响,因而规定支板厚应比主管壁厚小2mm以上(包括2mm),本条比现行国家标准《钢结构设计标准》GB50017的规定严格,这是由于高耸钢结构主管与支管的受力相对比值和重要性差异决定的,也比较容易自然满足。 (6)主管与支管连接板焊接后,受到连接板传来的力△N和力矩△M(见图5.7.4-2),根据同济大学的研究以及大量工程实践调查,只要节点板长度Lg与主管直径D之比大于表D.0.1的要求,主管承载能力即可满足节点板处局部受力的要求,即大部分此类节点都无需进行复杂的主管局部承载能力的分析。这和现行国家标准《钢结构设计标准》GB50017的规定不同,现行国家标准《钢结构设计标准》GB50017因为不具备本条文说明总结的高耸钢结构节点设计的两条基本特点,所以对此类节点都要求进行主管局部承载能力的验算。 另外,空间方向多块连接板同时与主管连接(呈90°或120°、135°)时的主管壁局部承载力要大于单块连接板作用时的主管壁局部承载力,不做计算。
5.7.5 高耸钢结构主管与支管用相贯线焊接时,应符合下列规定:
1 主管径厚比D/t不宜大于45;支管与主管直径之比不宜小于0.4,主管壁厚与支管壁厚之比t/t i 不宜小于1.2;主管长细比不宜小于40。应按本条第2款第1项~第4项要求设计焊缝。当满足上述条件时可不做主管局部承载力验算,否则应按现行国家标准《钢结构设计标准》GB 50017相应要求做主管局部承载力验算。
2 主管与支管的相贯线焊缝应符合下列规定:
1)相贯线焊缝包括坡口线应该连续,圆滑过渡。
2)当支管壁厚t i 不大于6mm时,可用相贯线全长角焊缝连接,焊脚尺寸h f =1.2t i ,按二级焊缝要求做外观检查。
3)当支管壁厚t i 大于6mm时,当节点受疲劳动力作用或高频振动,或主管与支管轴线最小夹角小于30°时,相贯线焊缝应全长按四分区方式设计(图5.7.5-1,图5.7.5-2),应按一级焊缝检查;主管表面与支管表面相贯线夹角ψ的使用范围与焊缝坡口角度Φ的关系应按表5.7.5-1确定;焊缝的焊脚尺寸T=at,t为支管厚度,a为系数,应按表5.7.5-2取值。

图5.7.5-1
1-A区;2-B区;3-C区和D区
表5.7.5-1 ψ使用范围与坡口角度Φ

表5.7.5-2 ψ使用范围与系数a取值


图5.7.5-2 钢管相贯焊缝四分区法
4)当支管壁厚t i 大于6mm时,除本款第3项之外的其他情况,相贯线焊缝全长可按三分区方式设计(图5.7.5-3)。对接焊缝全熔透,和角焊缝可按二级焊缝做外观检查。

图5.7.5-3 钢管相贯焊缝三分区法
1-A区;2-B区;3-C区
5)当与主管连接的多根支管在节点处相互干扰时,应首先确保受力大的主要支管按本款第1项~第4项的要求做相贯线焊接,受力较小的次要支管可通过其他过渡板与主管连接。两根支管受力相当时,则通过对称中心的加强板辅助相贯线连接(图5.7.5-4),并按现行国家标准《钢结构设计标准》GB 50017相应要求验算主管局部承载力。

图5.7.5-4 加强板辅助相贯线连接
1-主管;2-支管A;3-支管B;4-对称中心加强板
条文说明
5.7.5主管与支管的相贯线焊接大量用于高耸钢结构中,原标准未涉及此内容,本次修订增加本条。 对于承受疲劳动力作用(风力发电塔)或高频振动(有鞭梢效应的电视塔或天线顶段)的相贯线,按一级焊缝且构造处理均按对接焊缝要求,这是必要的。相应施工难度会较大,但可以在设计时避免用相贯线焊缝。被焊接管交角小于30°也是首先应该避免的,实在难以避免时则按高标准做。 相贯线焊接有三大问题,一是焊缝强度问题,二是主管壁的局部承载力问,三是焊缝残余应力和应力集中问题。 (1)焊缝强度问题,其实不是问题。因为按本标准规定无论是对接焊缝还是角焊缝,其强度都应与管壁强度相当。而高耸结构钢管构件均为压力大于拉力,抗压又以整体稳定控制,特别是支管,长细比一般都比较大,所以按强度验算应力水平很低,而相贯线长度总是大于圆周,所以焊缝强度就不必验算。 (2)主管壁的局部承载力问题,现行国家标准《钢结构设计标准》GB50017有详细计算方法,但很烦琐,根据高耸结构钢管结构的两个基本特点:①支管力与主管力相比相当小;②支管长细比与主管长细比相比大得多(计算长度支管比主管大40%左右,回转半径支管只有主管的50%左右)。所以支管直径不应该取得过小。本条第1款按高耸钢结构的实际常见状况规定了几个设计参数的取值范围,然后按现行国家标准《钢结构设计标准》GB50017相应条款进行大量验算,验算结果及趋势都证明只要符合这些条件,相贯线焊缝连接的主管局部承载力都满足要求,不必验算。这是绝大部分情况,少量不能满足上述规定的情况,就按现行国家标准《钢结构设计标准》GB50017验算。 (3)相贯线焊缝的残余应力和应力集中问题,主要是在疲劳作用下对结构安全很不利。当交角小于30°时,尖角处的撕裂应力也较严重。所以将这两种情况和一般情况区别对待。A区是不用开坡口就能保证对接焊的,B区是稍加修整就能形成坡口并做对接焊的。对于一般情况,C区就用等强度角焊缝即可,但对于有疲劳作用的节点或交角小于30°的节点,则要在C区和D区切出适当的坡口,再做对接焊,这样才能减少焊接应力,保证焊接质量。这种方法借鉴于美国海洋钻井平台的焊接标准。在我国高耸钢结构中使用也超过20年(1993年青岛电视塔使用了此技术,此后的20多年内多个大型钢管塔也用这种技术),没有出现过一例工程事故。所以将此技术列入本标准。 另一种情况是很多支管相连于主管,且发生干扰的情况,现行国家标准《钢结构设计标准》GB50017允许相互重叠,甚至重叠处可以有不完整的焊缝,然后规定不同的验算方法。根据高耸结构中此类“干扰”经常表现的形式,本标准不建议支管相互重叠,更不允许重叠处的间断焊缝,而是列出了利用对称中心加强板作为部分“媒介”传递部分内力的连接方式。这种方式受力明确、均衡。现行国家标准《钢结构设计标准》GB50017中有合适的验算方法,而且也在大量高耸钢结构中使用,取得了成熟的经验,所以列入本标准。
5.7.6 当塔柱节点上有与塔柱受力相当的杆件集中力作用时,可对塔柱做局部加强,并应按本标准第5.7.5条要求进行验算。
条文说明
5.7.6本条指例如输电塔的横担或是多功能电视塔的塔楼悬挑桁架与塔柱连接的情况。这类节点与一般腹杆和钢管柱连接不同,支管受力与主管受力比较接近。这种情况下主管的局部承载力问题就较为严重,因此可以用多种方法对塔柱做局部加强再进行验算。
5.8 螺栓连接
5.8 螺栓连接
5.8.1 高耸钢结构中的普通螺栓连接应符合下列规定:
1 应按现行国家标准《钢结构设计标准》GB 50017相应要求进行螺栓承载能力验算;
2 应符合现行国家标准《钢结构设计标准》GB 50017中关于普通螺栓连接的构造要求;
3 应规定螺栓防松措施,防松措施可用双螺母或扣紧螺母。
条文说明
5.8.1原标准第5.8.1条、第5.8.2条基本上引用了现行国家标准《钢结构设计标准》GB50017中普通螺栓承载能力验算的条文,本条将其简化为“按现行国家标准《钢结构设计标准》GB50017相应要求进行螺栓承载能力验算”。 本条第3款规定要有防松措施,这是高耸钢结构一贯坚持的要求,作为普通螺栓能在工程中使用的必要条件之一。条文中列出的两种防松措施是高耸结构中用得最广泛的措施。一般的弹簧垫片在高耸结构中不作为防松措施,因其实际效果不佳。
5.8.2 高耸钢结构中的高强螺栓连接应符合下列规定:
1 应按现行国家标准《钢结构设计标准》GB 50017相应要求进行高强螺栓承载能力验算,其中高强螺栓承压型连接应确保在荷载标准值下保持高强螺栓状态;
2 应符合现行国家标准《钢结构设计标准》GB 50017中关于高强螺栓连接的构造要求;
3 对于不同防腐蚀涂层,不同受力特征的高强螺栓应按如下不同要求施加预应力:
1)对于室内无长效防腐蚀涂层的高强螺栓,按现行国家标准《钢结构设计标准》GB 50017规定的扭矩法施加预应力;
2)对于有长效防腐蚀涂层的高强螺栓中受剪及受一般拉力作用者,用转角法施加预应力;
3)对于有长效防腐蚀涂层的高强螺栓中受拉压交变疲劳作用者,用直接张拉法施加预应力。
条文说明
5.8.2原标准未专门规定高强螺栓的设计要求,仅有一条注解。但高耸结构中的高强螺栓大多与通用高强螺栓不同。高耸结构大量采用镀锌的或做其他长效防腐蚀表面处理的高强螺栓,对于这些高强螺栓,无法按现行国家标准《钢结构设计标准》GB50017的规定用扭矩法施加预应力,因而达不到高强螺栓的效果,也无法确保其正常的受力性能。本条对高耸结构中常用的高强螺栓作出有别于现行国家标准《钢结构设计标准》GB50017的特殊规定: 1承载能力验算中,除一般同现行国家标准《钢结构设计标准》GB50017的规定外还增加一条:承压型高强螺栓应确保其在荷载标准值下保持高强螺栓的状态,即预应力仍有效。这对于保持长期受风振影响的高强螺栓的正常状态有很好的效果。 2应符合构造要求。 3对于不同的高强螺栓,规定了不同的施加预应力的要求: 1)一般同现行国家标准《钢结构设计标准》GB50017; 2)对有长效防腐蚀涂层的受剪、受拉高强螺栓,因扭矩系数的离散性大,无法用扭矩法施工,又因螺栓杆长相对较短,不宜用直接张拉法。故退而求其次用“转角法”施加预拉力。“转角法”对镀锌高强螺栓施加预拉力在美国和日本的规范中有详细介绍; 3)对于有长效防腐蚀涂层的高强螺栓中受拉压交变疲劳作用者,例如风力发电塔筒法兰连接用高强螺栓,以往大多用扭矩法施工,防松效果差,每隔3个月到半年要检查并拧紧螺栓,实际形同高强度普通螺栓,对抗疲劳作用非常不利,也多次因此引起倒塔。而采用直接张拉法施加预应力,螺栓中没有反弹扭矩,不会因受压而反弹松动。经大量实际工程验证,这是长期保持受拉压交变疲劳作用的高强螺栓正常工作状态的成熟方法,故列入本标准。
5.8.3 承受疲劳动力作用的高强螺栓的应力幅应按下式计算:

式中:△σ——高强螺栓的应力幅(MPa),不应大于按现行国家标准《钢结构设计标准》GB 50017确定的容许疲劳应力幅;
△T——拉力幅值;
A c ——受压钢板面积,当构造条件复杂,A c 不易确定时,应按实测或有限元计算确定;
A d ——螺栓的面积。
条文说明
5.8.3本条规定了承受疲劳动力作用的高耸结构(如风力发电塔)的高强螺栓的疲劳应力幅的计算方法,这出自教材《钢结构基本原理》(沈祖炎等,中国建筑工业出版社,2000),但实际螺栓连接中受压钢板面积很难计取,故用有限元或实测计取更为准确。
5.9 法兰连接
5.9 法兰连接
5.9.1 高耸钢管结构中的法兰连接应与结构整体计算模型相匹配,与施工条件相适应,与受力性质相对应:
1 按空间桁架计算钢管结构,其节点邻近处的法兰可用高强度普通螺栓连接,加双螺母防松;
2 按空间刚架计算的钢管结构或按空间桁架计算的钢管结构杆件中段的法兰应用刚接法兰,用高强螺栓连接,并提出明确的预应力设计参数;
3 非标准或大直径管结构的连接可采用有加劲肋法兰;
4 标准化或较小直径管结构的连接可采用无加劲肋法兰;
5 小直径管结构应采用外法兰;大直径管结构可采用内法兰,并设计配套施工辅助设施;基础顶面与大型单管塔连接可用双面T形法兰;
6 所受压力与拉力相比大一个数量级或以上的法兰应采用承压型法兰,钢管和法兰焊接后端面铣平顶紧,焊缝不传递压力,螺栓传递可能承受的较小拉力;
7 刚接柱脚可用双层法兰。
条文说明
5.9.1高耸钢管结构中的主要连接方式之一是法兰连接,法兰连接的位置、形式与结构整体计算模式相关,与施工和维护条件相关,也与具体结构的受力特点有关。本条对法兰的选用作出原则规定: 1钢管塔一般采用空间桁架的计算模式,这是因为构件长细比较大(大于30以上即可),杆件抗弯影响较小,用空间桁架计算既简单又准确。既然是空间桁架,在节点附近出现铰或半铰就符合整体计算模式。用普通螺栓连接的法兰尽管可以做到传递拉力、压力,甚至也可以抗弯,但在受弯时法兰板部分脱离接触,只能做半刚接。 2按空间刚架计算的高耸结构,其构件的连接要求刚接,刚接的必要条件是有足够的抗弯强度和连续抗弯刚度。所以要用高强螺栓连接,对法兰施加预压力,使法兰板在受力过程中不开缝,抗弯刚度就连续了。空间桁架的杆件若很长,中间要加法兰连接,原则上也要刚接,否则相当于在一根压杆中间加一个半铰,其整体稳定承载力就会降低;钢管结构杆件中段一般为离节点3倍直径以上。 3有加劲法兰受力合理,用钢较省,设计也相对灵活,所以用于非标准管结构连接成大型、重复性低的管结构连接较好,但其焊缝多是缺点,耗用劳动力也多。 4无加劲法兰焊缝少,耗用劳动力少,用于标准化钢结构或重复率高的钢结构连接,模具成本降低,有一定成本优势,但其耗钢量大,造价一般较高。 5小直径管结构内部不能进人操作,所以只能用外法兰,大直径管结构(如风塔)内部可进人,用内法兰可节省施工辅助设施,内法兰抗弯刚度小,但对大直径钢管,影响就会小一些,基础与大型单管塔连接法兰的螺栓布置要考虑螺栓埋在基础混凝土中的构造要求,中距应加倍,所以单面法兰强度不足,改为双面法兰既便于施工,设计强度又容易保证。 6一般高耸结构的法兰所受拉力、压力相差不大,压力略大于拉力,此时钢管到法兰板之间力的传递要靠焊缝,对于一些特殊的主要受压力的高耸结构提升支架,用钢管端磨平顶紧传递压力,结构效率很高。 7双层法兰螺栓有较大的自由长度,施加预应力准确,预应力损失小;双层法兰上表面螺栓操作不受加劲板影响,两层法兰板之间的加劲板又可以有足够的长度布置焊缝,所以很适合于刚接柱脚。
5.9.2 刚接法兰的计算应符合下列规定:
1 刚接法兰中摩擦型高强螺栓群同时受弯矩M和轴拉力N时,单个螺栓最大拉力应按下式计算:

式中:y i ——第i个螺栓到法兰中性轴的距离;
y n ——离法兰中性轴最远的螺栓到法兰中性轴的距离;
n 0 ——法兰盘上螺栓总数;
N t b ——摩擦型高强螺栓抗拉设计承载力。
2 刚接法兰中法兰板厚度t应按下式计算:

式中:M max ——按单个螺栓最大拉力均布到法兰板对应区域时计算得到的法兰板单位板宽最大弯矩;无加劲肋法兰时,按悬臂板计算;有加劲肋法兰时,按两边沿加劲板边固结,一边沿管壁铰接弹性薄板近似计算弯矩;
f——钢材抗拉强度设计值。
单位板宽法兰板最大弯矩M max 应按下列公式计算:

式中:a——固结边长度;
b——简支边长度(图5.9.2-1,实际取扇形区域的平均宽度), 
;
N tmax ——单个螺栓最大拉力设计值;
m b ——弯矩计算系数,按表5.9.2取值。

图5.9.2-1 法兰板受弯计算简图
1-固定边(靠加劲板);2-自由边;3-简支边(靠钢管)
表5.9.2 均布荷载下有加劲肋法兰(一边简支,两边固结板)
弯矩计算系数m b 和加劲板反力比a

3 刚接法兰的加劲板强度按平面内拉、弯计算,拉力大小按三边支承板的两固结边支承反力计,拉力中心与螺栓对齐。加劲板与法兰板的焊缝、加劲板与筒壁焊缝按上述同样受力分别验算。法兰加劲肋板焊缝(图5.9.2-2)应进行如下计算。加劲板受力F=aN tmax 。a按表5.9.2取值。

图5.9.2-2 内、外法兰肋板焊缝计算示意图
竖向对接焊缝验算:

水平对接焊缝验算:

式中:σ f ——垂直于焊缝长度方向的拉应力;
τ f ——平行焊缝长度方向的剪应力;
B——加劲板宽度;
t——肋板的厚度(mm);
e——N tmax 偏心距,取螺栓中心到钢管外壁的距离;
a——加劲板承担反力的比例,按表5.9.2取值,加劲板受力为:F=aN tmax ;
h——肋板的高度;
S 1 ——肋板下端切角高度;
S 2 ——加劲板横向切角尺寸;
f t w 、f v w ——对接焊缝抗拉、抗剪强度设计值。
4 刚接法兰抗剪按高强螺栓抗剪验算。
条文说明
5.9.2本条规定了刚性法兰的计算要求。 1刚接法兰在弯矩作用的同时可有拉力或压力作用。对螺栓及法兰板的不利作用是弯和拉共同作用。在本标准公式(5.9.2-1)中,不考虑受压。刚接法兰要求法兰板永远处于受压状态,法兰连接的刚度能保持连续。在这一前提下,变形处于弹性状态,且转动中心轴为通过法兰形心的中性轴。 2公式(5.9.2-2)为允许法兰板部分进入塑性条件下的验算公式。法兰实际为厚板。螺母与法兰板上压力分布属局部环状分布。但这两种状态的精确计算只能根据有限元法,不利于工程设计。所以一般仍采用弹性薄板理论按荷载均布计算法兰板抗弯,最后允许局部进入塑性。其结果与按有限元法计算总体接近,在工程上也经长期实践检验。所以采用此法。 钢管构件所受压力一般大于拉力(因重力作用)。而压力分布一般都直接由筒壁通过筒壁与法兰板的内外环焊缝直接传给法兰板,然后在法兰板靠筒壁根部区域通过接触传递。因法兰板较厚,经扩散的局部承压足够且受压区常靠近支座,所以压力虽大但法兰板弯矩不大。一般要求法兰板与筒壁的焊缝承载力不小于钢管抗压承载力。法兰板受弯则由螺栓最大拉力控制。这种设计方法比压力控制板厚更为经济。这已为有限元分析及工程实践所证明。 3刚接法兰抗弯按最大螺栓所在板块计算,其加劲板与法兰板连接焊缝受力比法兰板与筒壁连接焊缝受力大。根据表5.9.2中分配系数α,可得到加劲板及其焊缝受力。 4刚接法兰抗剪按高强螺栓抗剪验算。一般不起控制作用,也无需对法兰顶紧面做表面处理,也不要测定摩擦系数。
5.9.3 半刚接法兰的计算应符合下列规定:
1 半刚接法兰用高强度普通螺栓连接。在荷载频遇值作用下,法兰不宜开缝;在承载能力极限状态下,法兰可开缝,并绕特定的转动中心轴转动。
2 半刚接法兰既可能受轴压又可能受轴拉时,轴压力通过钢管与法兰板之间的焊缝直接传递。应保证焊缝与钢管壁等强,拉力N则通过螺栓传递。
1)有加劲肋法兰单个螺栓拉力应按下式计算:

2)无加劲肋法兰(图5.9.3-1)单个螺栓拉力应按下式计算:

图5.9.3-1 无加劲肋法兰受力

式中:T b ——一个螺栓对应的筒壁拉力;
N b t,max ——单个螺栓受力;
m一一工作条件系数,取0.65。
3 半刚接法兰主要受弯矩作用时:
1)有加劲肋外法兰、有加劲肋内法兰[图5.9.3-2(a)、图5.9.3-2(b)]螺栓最大拉力应按下式计算:

式中:y i ——螺栓群转动中心轴到第i个螺栓的距离;
y n ——离螺栓群转动中心轴最远螺栓的距离。

图5.9.3-2 法兰螺栓群计算形心轴
1-外焊缝;2-受压区形心轴;3-内法兰;4-受压区形心轴
2)无加劲肋法兰螺栓最大拉力按下式计算:

式中:M——法兰板所受的弯矩;
R——钢管的外半径;
n——法兰板上螺栓数目。
4 半刚接法兰板厚度应按本标准第5.9.2条第2款计算。
5 半刚接法兰加劲板对应的焊缝应按本标准第5.9.2条第3款验算。
6 半刚接法兰所受剪力不应大于螺栓拉力在法兰板内产生的压力对应的摩擦力。
条文说明
5.9.3本条规定了半刚接法兰的计算。 1半刚接法兰用高强度普通螺栓连接,通常要加与同样高强度螺栓1/3设计预拉力相对应的扭矩,以基本达到法兰在荷载频遇值作用下不开缝的要求。当荷载继续增大时,法兰会开缝。法兰绕某一转动中心轴转动,这对于内法兰和外法兰是不同的。按有限元分析可得到两个转动中心轴位置及相应的算式。 2半刚接法兰受拉、受压在空间桁架杆件连接中最常见。一般压力大于拉力。所以以往按压力对法兰板做验算。但有限元计算表明,压力的传递直接通过法兰板与管壁焊缝及法兰板之间的接触,分布范围小且接近支座,对法兰计算不起控制作用。因此现按抗拉计算法兰板,已经几年工程实践验证,安全且节约材料。 3主要受弯曲作用指类似单管塔、悬臂杆之类压应力与弯曲应力相比小一个数量级的杆件。 根据标准编制人员对多种典型法兰计算比较,外法兰将受压区转动中心轴放在离圆心处3R/4更为合理。但考虑到原标准将受压区形心轴定在钢管外壁也未发生事故,故折中取钢管内壁切线为受压区转动中心轴。内法兰将转动中心轴放在离圆心2R/3处更为合理。 对于空间桁架杆件,理论上仅受拉力、压力,无剪力亦无抗剪问题。若要考虑Af/85构造剪力,则有剪力必有弯矩,有弯矩则法兰上有压力区,此压力必产生摩擦力抗剪。对于单管塔之类主要受弯连接,弯矩产生的局部区域压力产生的摩擦力足以抗剪。
5.9.4 承压型法兰应按铣平顶紧计算管端受压(图5.9.4)。法兰仅承受次要工况下的弯矩或拉力作用时,法兰计算应与刚接法兰相同。

图5.9.4 承压型法兰
1-端面铣平
条文说明
5.9.4承压型法兰用于压力产生的应力大大超过其他内力产生的应力情况,所以用管端局部承压传递压力。法兰、加劲板、焊缝与传递压力无关,仅用于传递其他内力。这样设计结构效率很高,已有成功的工程实例。一般这类法兰的连接用摩擦型高强度螺栓,这并不是为了利用其摩擦力,而是为了结构免除杆端的接缝变形且当巨大作用时产生振动效应。所以其抗弯计算也同刚性法兰。
5.9.5 双层法兰应与基础中预应力锚栓配套使用。双层法兰应按下列规定计算(图5.9.5):

图5.9.5 刚性柱脚双层法兰
1-柱脚;2-上法兰板;3-加劲板;4-下法兰板;5-套管;6-预应力
锚栓(高强螺栓);7-定位螺母;8-受力螺母;9-下锚板;10-基础高度
1 下法兰板与混凝土接触的毛面积按基础顶面混凝土局部承压确定,应满足下列公式要求:

式中:f c ——混凝土轴线抗压强度设计值;
P——锚栓预拉力;
σ l,max ——无预应力状态下基础底法兰面按平截面假定计算得到的最大拉应力设计值。
2 下法兰板分布荷载取σ max ,应根据本标准第5.9.2条进行抗弯验算。
3 螺栓最大拉力N b max 应按下式验算:
N b max ≤0.8P (5.9.5-3)
4 上法兰板按设计预拉力均布在螺栓作用区间计算荷载抗弯,应按公式(5.9.2-2)计算。
5 加劲板应按本标准第5.9.2条第3款进行计算。
6 螺栓加预拉力应用直接张拉法,宜超张拉15%。
7 下锚板应计算混凝土多向局部承压和板抗弯。
条文说明
5.9.5双层法兰一般用于刚接柱脚。柱脚刚接要达到两个标准:①抗弯强度不小于柱截面;②抗弯刚度保持连续,没有突变。为达到后者要求,柱脚法兰就不能在弯矩作用下开缝。因此,柱脚要达到刚接,锚栓要加预拉力。锚栓加预拉力之后,柱脚在使用中永久处于受压状态,底板不脱离基础顶面。锚栓加预拉力,则要设锚固板、锚栓套管。若不设套管,则预应力损失较大。对锚栓施加预拉力应采用直接张拉法。若用扭矩法,锚栓处于复杂应力状态,折断的可能性加大,而锚栓万一折断则很难修复。直接张拉法施工锚栓处于简单受力状态,质量稳定且安全。
5.10 构造要求
5.10 构造要求
Ⅰ 一般规定
5.10.1 塔桅钢结构应采取防锈措施,在可能积水的部分必须设置排水孔。对管形和其他封闭形截面的构件,当采用热喷铝或油漆防锈时,端部应密封;当采用热浸锌防锈时,端部不得密封。在锌液易滞留的部位应设溢流孔。
条文说明
5.10.1本条增加了热浸锌时锌液宜滞留的部位应设溢流孔的要求。
5.10.2 角钢塔的腹杆应伸入弦杆,钢塔腹杆应直接与弦杆相连,或用不小于腹杆厚度的节点板连接;当采用螺栓连接时,腹杆与弦杆间的净距离不宜小于10mm。当节点板与弦杆采用角焊缝连接时,尚应兼顾角焊缝高度的影响。
条文说明
5.10.2钢管塔腹杆当采用相贯线连接时,用相贯线焊缝焊于弦杆上。
5.10.3 塔桅钢结构主要受力构件塔柱、横杆、斜杆及其连接件宜符合下列规定:
1 钢板厚度不应小于5mm;
2 角钢截面不应小于L45×4;
3 圆钢直径不应小ф16;
4 钢管壁厚不应小于4mm。
条文说明
5.10.3对钢塔主要受力构件圆钢最小直径的限定由ф12改为ф16。
5.10.4 塔桅钢结构截面的边数不小于4时,应按结构计算要求设置横膈。当塔柱及其连接抗弯刚度较大,横膈按计算为零杆时,可按构造要求设置横膈,宜每隔2节~3节设置一道横膈;在塔柱变坡处,桅杆运输单元的两端及纤绳节点处应设置横膈。横膈应具有足够的刚度。
条文说明
5.10.4本条区分了按计算要求设横膈和按构造要求设横膈这两种不同情况。实际上横膈有时在计算中是必须的,如“K”形腹杆中点,必须有横膈支撑。
5.10.5 单管塔底部开设人孔等较大孔洞时,应采取加强圈补强或贴板补强等补强措施。
条文说明
5.10.5单管塔底部开设人孔等较大孔洞时,往往对单管塔的极限承载力和刚度产生较大的削弱影响,其影响程度主要受开孔率ф=θ/2π决定,θ为人孔高度中心所在单管塔横截面开孔区域所对应的圆心角角度(rad)。需要采取适当的补强措施。 (1)贴板补强。 贴板补强构造形状及尺寸如图4所示。主要构造参数为贴板相对宽度比ф[ф=2sb/sd,sb为贴板沿管壁周向的弧长(m),sd为人孔对应管壁周向弧长(m)]和贴板相对厚度比ψ[ψ=tb/t,tb为贴板厚度(m),t为管壁厚度(m)]。 
图4贴板补强构造形状及尺寸 1-孔边贴板补强区;2-开孔区 贴板补强构造简单,使用经验成熟。但这种构造存在以下缺点:补强金属过于分散,补强效率不高;使用贴板补强后,虽然降低了孔边的应力集中,但是由于外形尺寸的突变,在贴板的外围边界区域造成新的应力集中,使其容易在焊缝脚趾处开裂;此构造由于没有和塔筒壳体形成整体,因而抗疲劳性能较差;此外,贴板与塔筒壳体相焊时,因塔筒刚度大,对角焊缝的冷却收缩起到了很大的约束作用,容易在焊缝处形成裂纹,特别是高强钢淬硬性大,对焊接裂纹比较敏感,更容易开裂。 (2)加强圈补强。 加强圈构造的形状及尺寸如图5所示。主要参数为加强圈的相对高度比λ[λ=2h/sd,h为加强圈高度(m),sd为人孔对应管壁周向弧长(m)]和相对厚度比γ[γ=tb/t,tb为加强圈厚度(m);t为管壁厚度(m)]。 
图5三种加强圈补强构造形状及尺寸 加强圈不仅能增大塔筒截面惯性矩,而且能有效约束孔边高应力区壳体的变形,因此能有效地降低孔边应力集中,改善结构性能。加强圈补强构造简单,焊缝质量容易检验。其缺点是焊缝处于孔洞边缘最大应力区域内,为达到补强的要求,焊缝应保证全焊透,焊缝质量检验要求高。根据加强圈与管壁的相对位置不同,可将加强圈分为内加强圈、中间加强圈和外加强圈三种。 (3)有限元模拟分析表明: 1)对于贴板补强构造的使用,应遵循以下原则: ①贴板补强构造比较适用于薄壁小开孔(δ≤7%)单管塔的补强,对厚壁大开孔(δ>7%,特别是人孔)单管塔要慎重使用,并且使用时要采取措施(如在贴板上开孔塞焊),尽量减小贴板补强的缺点带来的不利影响,以获得尽可能好的补强效果; ②贴板宽度通常取相对宽度比ф=1(即“等面积”补强),ф>1时,贴板补强不经济; ③对小开孔(δ≤7%)的情况,可取相对厚度比ψ=1.0,对相对较大的开孔(δ>7%的人孔)的情况,应取ψ=1.5。 2)对于加强圈补强结构使用,应遵循以下原则: ①与贴板补强构造相比,加强圈补强构造更适用于实际工程中较大开孔的补强; ②可取加强圈相对高度比λ=0.6,可取加强圈相对厚度γ=1.5; ③中间加强圈的补强效果最好,内加强圈次之,外加强圈最差。另外从加强圈和管壁的连接方面来看,中间加强圈的加工和焊接效果比较好。 (4)开孔补强现场足尺对比试验表明: 1)经贴板补强后或中加强圈补强后,单管塔开孔区的应力水平较补强前有所降低,应力集中现象缓解,补强效果显著; 2)相同荷载下经中加强圈补强后单管塔开孔区的应力峰值相对较低,且其高应力区相对较小,补强效果更好; 3)两种补强措施对单管塔的刚度补偿作用差异不大; 4)相同的补强效率要求下,中加强圈补强经济性略好。
Ⅱ 焊缝连接
5.10.6 焊接材料的强度宜与主体钢材的强度相适应。当不同强度的钢材焊接时,宜按强度低的钢材选择焊接材料。当大直径圆钢对接焊时,宜采用铜模电渣焊及熔槽焊,也可用“X”形坡口电弧焊。对接焊缝强度不应低于母材强度。高耸结构钢管宜选用热轧无缝钢管或焊接钢管,不宜选用热扩无缝管,当钢管对接焊接时,焊缝强度不应低于钢管的母材强度。
5.10.7 焊缝的布置应对称于构件重心,避免立体交叉和集中在一处。
5.10.8 焊缝的坡口形式应根据焊件尺寸和施工条件按国家现行有关标准的要求确定,并应符合下列规定:
1 钢板对接的过渡段的坡度不得大于1:2.5;
2 钢管或圆钢对接的过渡段长度不得小于直径差的2倍。
5.10.9 角焊缝的构造尺寸应符合现行国家标准《钢结构设计标准》GB 50017的规定。
5.10.10 圆钢与圆钢、圆钢与钢板或型钢间的角焊缝有效厚度,不宜小于圆钢直径的20%(当两圆钢直径不同时,取平均直径),且不宜小于3mm,并不应大于钢板厚度的1.2倍;计算长度不应小于20mm。
5.10.11 塔桅结构构件端部的焊缝应采用围焊,所有围焊的转角处应连续施焊。
Ⅲ 螺栓连接
5.10.12 构件采用螺栓连接时,连接螺栓的直径不应小于12mm,每一杆件在接头一端的螺栓数不宜少于2个,连接法兰盘的螺栓数不应少于3个。对桅杆的腹杆或格构式构件的缀条与弦杆的连接及钢塔中相当于精制螺栓的销连接可用一个螺栓。弦杆角钢对接,在接头一端的螺栓数不宜少于6个。
条文说明
5.10.12每一杆件在接头一边的螺栓数不宜少于2个,但对于相当于精制螺栓的销连接,可以只用1个螺栓。因这种连接螺栓(销)加工精度高,受力状态较理想化,质量可靠。而这在柔性杆连接中为常用构造,安装很方便,且节约节点用材。
5.10.13 螺栓排列和距离应符合表5.10.13的规定。
表5.10.13 螺栓的排列和允许距离

注:1 d 0 为螺栓或铆钉的孔径,t为外层较薄板件的厚度;
2 钢板边缘与刚性构件(如角钢、槽钢等)相连的螺栓或铆钉的最大间距,可按中间排的数值采用;
3 当有试验依据时,螺栓的允许距离可适当调整,但应按相关标准执行。
5.10.14 受剪螺栓的螺纹不宜进入剪切面。高耸钢结构中受拉普通螺栓应用双螺母防松,其他普通螺栓应用扣紧螺母防松。靠近地面的塔柱和拉线的连接螺栓宜采取防拆卸措施。
条文说明
5.10.14本条增加了受剪螺栓的螺纹不宜进入剪切面的规定,以提高螺栓抗剪的可靠性。本条还强调由于高耸钢结构受风振作用,故重要螺栓连接,特别是有可能受拉压循环作用的螺栓,必须要有防松措施。一般螺栓也要用扣紧螺母防松。
Ⅳ 法兰盘连接
5.10.15 当圆钢或钢管与法兰盘焊接且设置加劲肋时,加劲肋的厚度除应满足支承法兰板的受力要求及焊缝传力要求外,不宜小于肋长的1/15,并不宜小于5mm。加劲肋与法兰板及钢管交汇处应切除直角边长不小于20mm的三角,应避免三向焊缝交叉。
5.10.16 塔柱由角钢或其他格构式杆件组成时,塔柱与法兰盘的连接构造应与柱脚相同。
6 混凝土圆筒形塔
6.1 一般规定
6 混凝土圆筒形塔
6.1 一般规定
6.1.1 本章适用于电视塔、排气塔、水塔支筒、风力发电塔等结构设计,风力发电塔应采用预应力混凝土结构。
预应力混凝土圆筒形塔宜采用后张法有黏结预应力混凝土,并应配置非预应力钢筋。当采用无黏结预应力混凝土时,受拉预应力筋的应力应按无黏结预应力筋的有效预应力与无黏结预应力筋在荷载作用下的应力增量之和进行计算,并应符合国家有关规定。烟囱的截面设计应按现行国家标准《烟囱设计规范》GB 50051执行。
条文说明
6.1.1本章适用于普通混凝土和预应力混凝土圆筒形塔的设计,适用范围包含了风力发电塔。无黏结预应力混凝土的预应力钢筋达不到屈服状态,故本章用于塔身承载力计算的有关公式仅适用于有黏结预应力结构。当采用无黏结预应力混凝土结构时,可参考本标准的有关计算方法,但预应力筋应采用设计应力进行计算。 为了避免风力发电塔发生疲劳破坏,本标准规定风力发电塔应采用预应力混凝土结构。
6.1.2 混凝土及预应力混凝土圆筒形塔身的正常使用极限状态设计控制条件应符合本标准第3.0.11条的有关规定。
6.1.3 塔身由于设置悬挑平台、牛腿、挑梁、支承托架、天线杆、塔楼等而受到局部荷载作用时,荷载组合和设计控制条件等应根据实际情况按国家现行有关标准确定。
6.1.4 高耸结构后张预应力混凝土构件的一般规定及计算,如张拉控制应力,预应力损失及钢筋和混凝土等应按现行国家标准《混凝土结构设计规范》GB 50010执行。
6.1.5 对于抗震设防烈度为7度及以上的高耸混凝土结构,采用预应力混凝土时,应采取有效措施保证结构具有必要的延性。
条文说明
6.1.5采用预应力混凝土时,塔身刚度提高,但其延性下降,故应采取有效措施保证结构具有必要的延性。其配置的非预应力钢筋应满足最小配筋率。在抗震设防烈度较高地区,可采取主动或被动减震措施。
6.2 塔身变形和塔筒截面内力计算
6.2 塔身变形和塔筒截面内力计算
6.2.1 计算圆筒形塔的动力特征时,可将塔身简化成多质点悬臂体系,可沿塔高每5m~10m设1个质点,每座塔的质点总数不宜少于8个。
每个质点的重力荷载代表值应取相邻上下质点距离内结构自重的一半,有塔楼时应包括相应的塔楼自重、楼面固定设备重、楼面活荷载标准值的1/2。
条文说明
6.2.1相邻质点间的塔身截面刚度取该区段的平均截面刚度,可不考虑开孔和局部加强措施(如洞口扶壁柱等)的影响。
6.2.2 计算结构自振特性和正常使用极限状态时,可将塔身视为弹性体系。其截面刚度可按下列规定取值:
1 计算结构自振特性时,混凝土高耸结构取0.85E c I,预应力混凝土高耸结构取1.0E c I;
2 计算正常使用极限状态时,混凝土高耸结构取0.65E c I,预应力混凝土高耸结构取βE c I,其中β为刚度折减系数,可按表6.2.2取值。
表6.2.2 刚度折减系数β

注:1 λ为预应力度,即有效预压应力和标准荷载组合下混凝土中的拉应力之比;
2 E c 为混凝土的弹性模量,I为圆环截面的惯性矩。
6.2.3 计算不均匀日照引起的塔身变位时,截面曲率(l/r c )可按下式计算:

式中:aT——混凝土的线膨胀系数,取1×10 -5 /℃;
△t——由日照引起的塔身向阳面和背阳面的温度差;
d——塔筒计算截面的外径。
6.2.4 考虑横向风振时,截面的组合弯矩可按下式计算:

式中:M max ——截面组合弯矩(kN·m);
M C ——横向风振引起的弯矩(kN·m);
M A ——相应于临界风速的顺风向弯矩(kN·m)。
条文说明
6.2.4横向风振和临界风速可按本标准第4章的规定计算。
6.2.5 在塔身截面i处由塔体竖向荷载和水平位移所产生的附加弯矩M ai 可按下式计算(图6.2.5):

式中:G j ——j质点的重力荷载(考虑竖向地震影响时应包括竖向地震作用);
μ i 、μ j ——i、j质点的最终水平位移,计算时包括日照温差和基础倾斜的影响和材料的非线性影响。

图6.2.5 附加弯矩
条文说明
6.2.5塔身的附加弯矩计算,原标准给出理论公式和近似计算公式,是基于兼顾手工计算考虑,由于近似附加弯矩计算方法是以等曲率假设为前提的,在许多情况下误差较大。随着计算程序的普及应用,应该采用理论公式计算。故本次修订只保留理论计算公式,而近似公式放到附录,方便还有需要的设计人员使用。 在计算质点的重力荷载时,应考虑结构自重及各层平台的活荷载,其组合值应与对应组合工况一致,当考虑竖向地震影响时应包括竖向地震作用。
6.3 塔筒截面承载能力验算
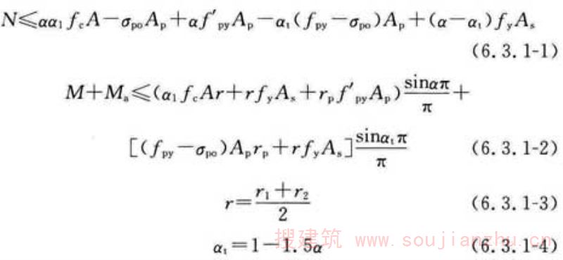
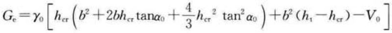
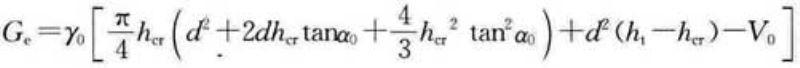
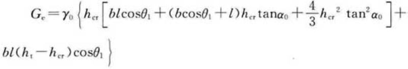
6.3 塔筒截面承载能力验算
6.3.1 塔筒截面无孔洞时(图6.3.1),水平截面承载能力可按下列公式验算:

图6.3.1 塔筒截面无孔洞时极限承载力计算简图
1-受压区;2-中和区;3-受拉区

式中:A——塔筒截面面积;
A p 、A s ——全部纵向预应力钢筋和非预应力钢筋的截面面积;
r 1 、r 2 ——环形截面的内、外半径;
r p ——预应力钢筋的半径;
a——受压区的半角系数,按公式(6.3.1-1)确定;
a 1 ——受压区混凝土矩形应力图的应力与混凝土抗压强度设计值的比值,当混凝土强度等级不超过C50时,a 1 取为1.0;当混凝土强度等级为C80时,a 1 取为0.94,其间按线性内插法取用;
a t ——受拉钢筋的半角系数,当 
时,取a t =0;
f py 、f' py ——预应力钢筋的抗拉、抗压强度(N/mm 2 );
f y 、f' y ——非预应力钢筋的抗拉、抗压强度(N/mm 2 ),f y =f' y ;
σ po ——消压状态时预应力钢筋中的拉应力(N/mm 2 )。
条文说明
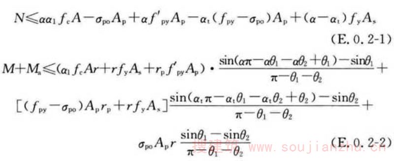
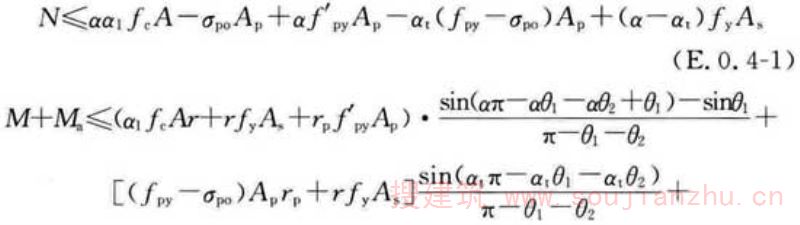
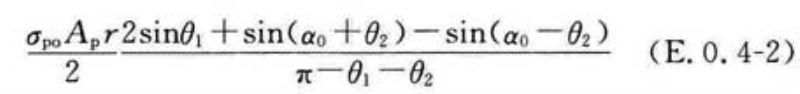
6.3.1与原标准相比,本次标准修订扩大了筒壁开孔使用范围。原标准规定,当同一截面开两个孔时,要求两个孔中心线夹角需满足180°要求,本次修订,理论上允许两个孔中心线夹角为任意角度,但实际应用时应满足构造要求。 本标准给出了配有非预应力筋和同时配有预应力筋的通用公式。当不配预应力筋时,令预应力筋项的值为零即可。本标准公式适用于有黏结预应力混凝土结构。应当指出:在计算公式中,当仅开设1个孔洞时,是按孔洞在受压区给出的。当开设两个孔洞时,其中较大的孔洞在受压区。
6.3.2 当混凝土塔身有孔洞时,其水平截面极限承载能力可按本标准附录E验算。
6.4 塔筒裂缝宽度验算
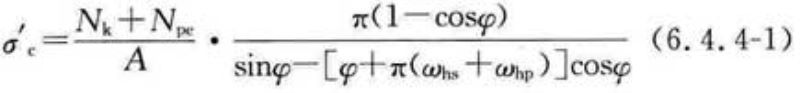
6.4 塔筒裂缝宽度验算
6.4.1 预应力混凝土塔筒的抗裂验算应按现行国家标准《混凝土结构设计规范》GB 50010的有关规定进行。
条文说明
6.4.1预应力混凝土塔筒的抗裂验算应按现行国家标准《混凝土结构设计规范》GB50010的有关规定进行计算。本标准未做新规定。
6.4.2 验算混凝土和预应力混凝土塔筒裂缝宽度时,应按e ok ≤r co 和e ok >r co 两种偏心情况计算截面混凝土压应力和钢筋拉应力。此时轴向力和截面圆心的偏心距e ok 应分别按下列规定计算:
1 轴向力对截面圆心的偏心距e ok :
1)当截面上无孔洞或有两个大小相等且对称的孔洞时:

2)当截面上有孔且大小不相等或不对称时:

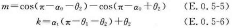
式中:N k 、M k 、M ak ——荷载标准值(包括风荷载)作用下的截面轴向力(N)、弯矩(N·m)和附加弯矩(N·m);
a——截面形心轴至圆心轴的距离(m),可按本标准附录F计算;
N pe ——有效预应力,预应力钢筋对构件产生的轴向力(N)。
2 截面核心距r co 可按本标准附录F进行计算。
条文说明
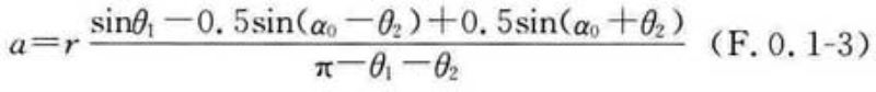
6.4.2为计算混凝土和预应力混凝土塔筒的裂缝开展宽度,需要计算在正常使用状态的混凝土压应力和钢筋拉应力。为此,应首先判别eok≤rco或eok>rco。因为这两种不同情况,应力的计算公式是不同的。其中截面核心距rco又分为截面无孔洞及有一个孔洞和有两个孔洞等情况,应分别加以判断。本条给出了有关计算公式。
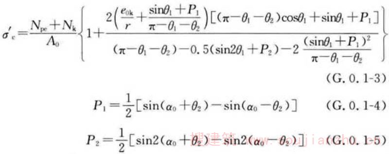
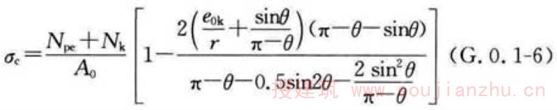
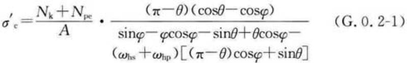
6.4.3 当e ok ≤r co (图6.4.3)且塔筒计算截面无孔洞时,应按下列规定确定背风面和迎风面混凝土压应力;当塔筒计算截面有孔洞时,可按本标准附录G进行计算。

图6.4.3 水平截面在标准荷载作用下的计算
1 背风面混凝土的压应力σ' c 。应按下式计算:

2 迎风面混凝土的压应力σ c 应按下式计算:

式中:A 0 ——塔筒水平截面的换算截面面积,A 0 =2πrt(1+ω hs +ω hp );t为筒壁厚度;
ω hs 、ω hp ——塔筒水平截面的特征系数,取ω hs =2.5ρ s aE s ,ω hp =2.5ρ p aE p ;aE s 、aE p 为钢筋、预应力钢筋和混凝土弹性模量之比;aE s =E s /E c ,aE p =E p /E c ;ρ s 、ρ p 为纵向普通钢筋和预应力钢筋的配筋率。
条文说明
6.4.3本条给出了当eok≤rco时,混凝土压应力的计算公式。由于eok≤rco,迎风侧钢筋拉应力小于零,此种状态无需验算裂缝。
6.4.4 当e ok >r co (图6.4.4)且塔筒计算截面无孔洞时,应按下列规定确定背风面混凝土压应力和迎风面纵向钢筋和预应力钢筋的拉应力;当塔筒计算截面有孔洞时,可按本标准附录G进行计算。

图6.4.4 水平截面在标准荷载作用下的计算
1 背风面混凝土的压应力σ' c 应按下式计算:

式中:A——塔筒水平截面面积。
2 迎风面纵向钢筋和预应力钢筋的拉应力σ s 和σ p 应按下列公式计算:


3 截面受压区半角φ可按下式计算:

条文说明
6.4.4当eok>rco时,应分别求出混凝土压应力和受拉区钢筋拉应力。求出钢筋拉应力才能验算裂缝开展宽度。本条计算公式与现行国家标准《烟囱设计规范》GB50051的不同之处在于增加了预应力钢筋。
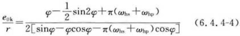
6.4.5 混凝土塔筒在荷载标准值和温度共同作用下产生的最大水平裂缝宽度ω max (mm)可按下列公式计算:

式中:σ sk ——在标准荷载和温度共同作用下的纵向钢筋拉应力或预应力钢筋等效应力;
σ s ——在荷载标准组合值作用下的纵向钢筋拉应力(N/mm 2 )或预应力钢筋的等效应力,可按本标准第6.4.4条计算;
a T ——混凝土线膨胀系数,取1×10 -5 /℃;
△t——筒壁内外温差(℃);
a cr ——构件受力特征系数,按表6.4.5-1采用;
ψ——裂缝间纵向受拉钢筋应变不均匀系数,当ψ<0.2时取0.2,当ψ>1.0时取1.0,对直接承受重复荷载的构件,呻ψ=1;
f tk ——混凝土抗拉强度标准值(N/mm 2 );
ρ te ——按有效受拉混凝土截面面积计算的纵向受拉钢筋配筋率;对无黏结后张构件,仅取纵向受拉普通钢筋计算配筋率;在最大裂缝宽度计算中,当ρ te <0.01时,取ρ te =0.01;
C s ——最外层纵向受拉钢筋外边缘至受拉区底边的距离(mm),当C s <20时,取C s =20;当C s >65时,取C s =65;
A te ——有效受拉混凝土截面面积(mm 2 );
A s ——受拉区纵向非预应力钢筋截面面积(mm 2 );
A p ——受拉区纵向预应力钢筋截面面积(mm 2 );
d eq ——受拉区纵向钢筋的等效直径(mm);
d i ——受拉区第i种纵向钢筋的公称直径(mm);
n i ——受拉区第i种纵向钢筋的根数;
v i ——受拉区第i种纵向钢筋的相对黏结特性系数,按表6.4.5-2采用。
表6.4.5-1 构件受力特征系数

表6.4.5-2 钢筋的相对黏结特性系数

注:1 对环氧树脂涂层带肋钢筋,其相对黏结特性系数应按表中系数的80%取用;
2 当e ok ≤r co 时,不需验算水平裂缝宽度。
条文说明
6.4.5本条给出了塔筒在标准荷载和温度共同作用下产生的水平裂缝宽度计算公式。裂缝开展宽度的计算公式与现行国家标准《混凝土结构设计规范》GB50010相同。但由于在自然温度作用下,筒壁的内侧与外侧有一定的温度差,此温度差使受拉钢筋增大了拉应力。由温度产生的钢筋拉应力反映在公式(6.4.5-2)中。 本标准裂缝计算公式与现行国家标准《烟囱设计规范》GB50051的公式有所不同,现行国家标准《烟囱设计规范》GB50051的公式中增加了一个大于1的工作条件系数k,其理由是: (1)烟囱处于室外环境及温度作用下,混凝土的收缩比室内结构大得多。在长期高温作用下,钢筋与混凝土间的黏结强度有所降低,滑移增大。这些均可导致裂缝宽度增加。 (2)烟囱筒壁模型试结果表明,烟囱筒壁外表面由温度作用造成的竖向裂缝并不是沿圆周均匀分布,而是集中在局部区域,应是由于混凝土的非匀质性引起的,而现行国家标准《混凝土结构设计规范》GB50010中,裂缝间距计算部分与烟囱实际情况不甚符合,以致裂缝开展宽度的实测值大部分大于现行国家标准《混凝土结构设计规范》GB50010公式的计算值。重庆电厂240m烟囱的竖向裂缝亦远非均匀分布,实测值也大于计算值。 (3)模型试验表明,在荷载固定温度保持恒温时,水平裂缝仍继续增大。估计是裂缝间钢筋与混凝土的膨胀差所致。
6.4.6 混凝土塔筒由于内外温差所产生的最大竖向裂缝宽度ω max 可按本标准第6.4.5条的公式进行计算,但σ sk 应按下列公式计算:
σ sk =E s △ta T (1-ξ) (6.4.6-1)

式中:ξ——受压区相对高度;
ω v ——塔筒竖向截面的特征系数;
aE——钢筋和混凝土的弹性模量比,aE=E s /E c 。
条文说明
6.4.6塔筒的竖向裂缝仅由筒壁内外温度差产生。本条给出了有关计算公式。对于塔筒由于温度差较小,不像烟囱筒壁内外侧温度差很大,如有一定的环向配筋,一般裂缝不会很大。
6.5 混凝土塔筒的构造要求
6.5 混凝土塔筒的构造要求
6.5.1 塔筒的最小厚度t min (mm)可按下式计算,但不应小于180mm:
t min =100+0.01d (6.5.1)
式中:d——塔筒外直径(mm)。
6.5.2 塔筒外表面沿高度坡度可连续变化,也可分段采用不同的坡度。塔筒壁厚可沿高度均匀变化,也可分段阶梯形变化。
6.5.3 对混凝土塔筒,混凝土强度等级不宜低于C30;混凝土的水胶比应符合现行国家标准《混凝土结构设计规范》GB 50010的规定,且不宜大于0.5;对预应力混凝土筒壁,混凝土强度等级不宜低于C40。钢筋的混凝土保护层厚度不宜小于30mm,筒壁外表面距离预留孔道壁的距离应大于40mm,且不宜小于孔道直径的一半。孔道之间的净距不应小于50mm或孔道直径。孔道直径应比预应力钢筋束外径、钢筋对焊接头处外径或需穿过孔道的锚具外径大10mm~15mm。
条文说明
6.5.3本条与现行国家标准《混凝土结构设计规范》GB50010的有关内容进行了协调。
6.5.4 筒壁上的孔洞应规整,同一截面上开多个孔洞时,宜沿圆周均匀分布,其圆心角总和不应超过140°,单个孔洞的圆心角不应大于70°。同一截面上两个孔洞之间的筒壁宽度不宜小于筒壁厚度的3倍,且不应小于两相邻孔洞宽度之和的25%。当同一截面上圆心角总和大于70°时,洞口影响范围及以下截面的混凝土强度等级宜大于上部截面一个等级。
条文说明
6.5.4由于筒壁开孔计算公式不再局限于两个孔中心线夹角需满足180°的要求,故对同一截面上两个孔洞之间的筒壁最小宽度提出要求。筒身开孔较大时,考虑到筒身竖向刚度和承载力突变的影响,对洞口影响范围及以下截面的混凝土强度等级提出了要求。
6.5.5 混凝土塔筒应配置双排纵向钢筋和双层环向钢筋,且纵向普通钢筋宜采用变形带肋钢筋,其最小配筋率应符合表6.5.5的规定。在后张法预应力塔筒中,应配置非预应力构造钢筋,当有较多的非预应力受力钢筋时,可代替构造钢筋。
表6.5.5 混凝土塔筒的最小配筋率(%)

注:受拉侧环向钢筋最小配筋率尚不应小于(45f t /f y )%,其中f y 、f t 分别为钢筋和混凝土抗拉强度设计值。
6.5.6 纵向钢筋和环向钢筋的最小直径和最大间距应符合表6.5.6的规定。
表6.5.6 钢筋最小直径和钢筋最大间距(mm)

6.5.7 内、外层环向钢筋应分别与内、外排纵向钢筋绑扎成钢筋网(图6.5.7)。内外钢筋网之间应用拉筋连接,拉筋直径不宜小于6mm,拉筋的纵横间距可取500mm。拉筋应交错布置,并应与纵向钢筋连接牢固。

图6.5.7 纵向钢筋与环向钢筋布置
1-拉筋
6.5.8 当纵向钢筋直径不大于18mm时,可采用非焊接或焊接的搭接接头;当纵向钢筋直径大于18mm时,宜采用机械连接或对焊接头。环向钢筋可采用搭接接头,地震区应采用焊接接头。环向钢筋应放置在纵向钢筋的外侧。
钢筋的搭接和锚固应按现行国家标准《混凝土结构设计规范》GB 50010执行。同一截面上搭接接头的截面积不应超过钢筋总截面积的1/4;焊接接头则接头截面积不应超过钢筋总截面积的1/2,且接头位置应均匀错开。
6.5.9 塔筒孔洞处的加强钢筋应按下列要求配置:
1 加强钢筋应布置在孔洞边缘3倍筒壁厚度范围内,其面积可取同方向被孔洞切断钢筋截面积的1.3倍;其中环向加强钢筋的一半应贯通整个环形截面;
2 矩形孔洞的四角处应配置45°方向的斜向钢筋,每处斜向钢筋可按筒壁每100mm厚度采用250mm 2 的钢筋面积,且钢筋不宜少于2根;
3 所有加强钢筋伸过孔洞边缘的长度不应小于45倍钢筋直径;
4 孔洞宜设计成圆形。矩形孔洞的转角宜设计成弧形(图6.5.9)。

图6.5.9 洞口加强筋
1-矩形孔洞;2-圆形孔洞
条文说明
6.5.9本条的有关构造要求与原标准相比,增加了洞口加强的一些要求。这些要求参考了现行国家标准《烟囱设计规范》GB50051的有关内容。洞口加强钢筋应尽量靠近洞口边缘放置,当洞口较大时,其每侧布置区间应控制在3倍壁厚范围内,其洞口两侧加强筋数量的总和为同方向截断钢筋面积的1.3倍。
6.5.10 在后张法有黏结预应力混凝土塔筒两端及中部应设置灌浆孔,其间距不宜大于12m。孔道灌浆应密实,水泥浆强度等级不应低于M20,其水胶比宜为0.40~0.45,并应按有关规定掺加膨胀剂,筒壁端部应设排气孔。
6.5.11 配置钢丝、钢铰线的后张法预应力筒壁的端部,在预应力筋的锚具下和张拉设备的支承处应进行局部加强,宜附加横向钢筋网或螺旋式钢筋,其配筋量由计算确定,应根据现行国家标准《混凝土结构设计规范》GB 50010中相应的条文计算,且体积配筋率ρ v 不应小于0.5%,构件端部锚固区的混凝土截面可适当加大。
6.5.12 后张法预应力构件的锚固应选用可靠的锚具,其制作方法和质量要求应符合现行国家标准《混凝土结构工程施工及验收规范》GB 50204的规定。
7 地基与基础
7.1 一般规定
7 地基与基础
7.1 一般规定
7.1.1 高耸结构的基础宜根据结构特点、地质条件按表7.1.1选型。
表7.1.1 高耸结构地基基础选型

注:构架式塔包括钢结构或混凝土结构的空间桁架或空间刚架式塔。
条文说明
7.1.1表7.1.1中关于中低压缩性土和高压缩性土的意义同第7.2.6条条文说明。本次修订补充了风力发电塔部分内容。
7.1.2 高耸结构的地基基础应进行承载能力计算。
1 表7.1.2中的高耸结构应进行地基变形验算。
表7.1.2 需验算地基变形的高耸结构

注:地基主要受力层系指独立基础下为1.5b(b为基础底面宽度),且厚度不小于5m范围内的地基土层。
2 非表7.1.2中所列高耸结构有下列情况之一时,仍应做地基变形验算:
1)在基础上及其附近有地面堆载或相邻基础荷载差异较大,可能引起地基产生过大的不均匀沉降时;
2)软弱地基上相邻建筑距离近,可能发生倾斜时;
3)地基内有厚度较大或厚薄不均的填土或地基土,其自重固结未完成时;
4)石化塔在f ak <200kPa的地基上均应计算地基变形;
5)采用地基处理消除湿陷性黄土地基的部分湿陷量时,下部未处理湿陷性黄土层的剩余湿陷量应符合现行国家标准《湿陷性黄土地区建筑规范》GB 50025的规定。
条文说明
7.1.2地基变形是地基设计中的一个重要组成部分。当高耸结构地基产生过大的变形时,会影响设备正常的工作,危及结构安全。在表7.1.2中增列了风力发电塔的内容。
7.1.3 高耸结构基础设计应符合下列规定:
1 电视塔、微波塔基础底面在正常使用极限状态下及风力发电塔在正常运行工况下,基底不应出现零应力区;
2 观光塔、带有旅游功能的电视塔基础底面在地震作用下,基底不宜出现零应力区;
3 石油化工塔基础底面在正常操作或充水试压情况下,基础底面不应出现零应力区,在停产检修时可出现零应力区,但不应超过15%;
4 其他各类塔基础底面在考虑地震设计组合时或在正常使用极限状态标准组合作用下,基底零应力区面积不应大于基础底面的1/4。
7.1.4 高耸结构地基基础设计时,所采用的作用效应与相应的抗力限值应符合下列规定:
1 按地基承载力确定基础底面积及埋深或按单桩承载力确定桩数时,传至基础或承台底面上的作用效应应采用正常使用极限状态下作用的标准组合;相应的抗力应采用地基承载力特征值或单桩承载力特征值;
2 计算地基变形时,传至基础底面上的作用效应应采用正常使用极限状态下作用的准永久组合,当风玫瑰图严重偏心时,应取风的频遇值组合,不应计入地震作用;
3 计算挡土墙、地基或滑坡稳定以及基础抗拔稳定时,作用效应应采用承载能力极限状态下作用的基本组合,但其分项系数应为1.0;
4 在确定基础或桩基承台高度、挡土墙截面厚度,计算基础或挡土墙内力,确定配筋和验算材料强度时,上部结构传来的作用效应组合和相应的基底反力应采用承载能力极限状态下作用的基本组合,采用相应的分项系数;验算基础裂缝宽度时,应按正常使用极限状态下作用的标准组合并考虑长期作用的影响进行计算。
条文说明
7.1.4本条主体部分与现行国家标准《建筑地基基础设计规范》GB50007一致,但针对高耸结构特点做如下说明: 在验算地基承载力时,效应取标准值。对高耸结构,常有部分基础底面脱离地基,即压力为0,脱开比值限定小于0.25。此时应按实际情况重新确定地基受压区域,再按调整后压力不为0的区域验算地基承载力,参见第7.2.3条。但在验算基础强度项目时,效应取设计值,所以脱开比值可能大于1/4,这时也要按此条件确定地基受压区域及压强分布,然后以此压强分布作用在基础上验算基础各部分的强度。
7.1.5 风力发电塔基础应进行抗疲劳设计。设计中应采用预应力锚栓保证混凝土在疲劳作用下的拉应力不应大于混凝土抗拉强度的标准值,验算时疲劳荷载应采用风机工作荷载及相对应的作用次数。 ( 自2022年1月1日起废止该条,详见新规 《钢结构通用规范》GB 55006-2021)
条文说明
7.1.5对于风力发电塔基础,因其有1×107次疲劳荷载,工程中已有若干基础在2年~3年后就发生疲劳破坏的实例(设计规定使用寿命25年),所以规定要做疲劳设计和验算。而疲劳是用预应力锚栓对受拉压交变作用的混凝土施加预压力,使混凝土不受拉或不开裂。否则,混凝土一旦在工作荷载下开裂,疲劳破坏就很难避免。本条为强制性条文,必须严格执行。
7.1.6 当高耸结构基础有可能处于地下水位以下时,应考虑地下水对基础及覆土实际可能的浮力作用。
7.1.7 高耸结构基础应根据地下水对基础有无侵蚀性进行相应的防侵蚀处理。
7.1.8 对存在液化土层的地基上的高耸结构,基础设计时应按现行国家标准《建筑抗震设计规范》GB 50011的规定选择抗液化措施。
7.2 地基计算
7.2 地基计算
7.2.1 地基承载力的计算应符合下列规定:
1 当轴心荷载作用时:
p k ≤f a (7.2.1-1)
式中:p k ——相应于作用的标准组合时,基础底面的平均压力值(kPa);
f a ——修正后的地基承载力特征值,应按现行国家标准《建筑地基基础设计规范》GB 50007的规定采用。
2 当偏心荷载作用时,除应符合公式(7.2.1-1)的规定外,尚应按下式验算:
p kmax ≤1.2f a (7.2.1-2)
式中:p kmax ——相应于作用的标准组合时,基础底面边缘的最大压力值(kPa)。
当考虑地震作用时,在公式(7.2.1-1)、公式(7.2.1-2)中应采用调整后的地基抗震承载力f aE 代替地基承载力特征值f a ,地基抗震承载力f aE 应按现行国家标准《建筑抗震设计规范》GB 50011的规定采用。
7.2.2 当基础承受轴心荷载和在核心区内承受偏心荷载时,验算地基承载力的基础底面压力可按下列公式计算:
1 矩形和圆(环)形基础承受轴心荷载时:

式中:F k ——相应于作用的标准组合时,上部结构传至基础的竖向力值(kN);
G k ——基础自重和基础上的土重标准值(kN);
A——基础底面面积(m 2 )。
2 矩形和圆(环)形基础承受(单向)偏心作用时:

式中:M k ——相应于作用的标准组合时,上部结构传至基础的力矩值(kN·m);
W——基础底面的抵抗矩(m 3 );
p kmin ——相应于作用的标准组合时,基础边缘最小压力值(kPa)。
3 当矩形基础承受双向偏心荷载时:

式中:M kx 、M ky ——相应于作用的标准组合时,上部结构传至基础对x轴、y轴的力矩值(kN·m);
W x 、W y ——矩形基础底面对x轴、y轴的抵抗矩(m 3 )。
7.2.3 当基础在核心区外承受偏心荷载,且基础脱开基底面积不大于全部面积的1/4时,验算地基承载力的基础底面压力可按下列公式确定。当基础底面脱开地基土的面积不大于全部面积的1/4,且符合本标准第7.2.1条规定时,可不验算基础的倾覆。
1 矩形基础承受单向偏心荷载时(图7.2.3-1):

式中:b——平行于x轴的基础底面边长(m);
l——平行于y轴的基础底面边长(m);
a——合力作用点至基础底面最大压应力边缘的距离(m)。

图7.2.3-1 在单向偏心荷载作用下矩形基础
底面部分脱开时的基底压力
A T -基底脱开面积;e-偏心距
2 矩形基础承受双向偏心荷载时(图7.2.3-2):

式中:a x ——合力作用点至e x 一侧基础边缘的距离(m),按 
计算;
a y ——合力作用点至e y 一侧基础边缘的距离(m),按 
计算;
e x ——x方向的偏心距(m),按 
计算;
e y ——y方向的偏心距(m),按 
计算。
3 圆(环)形基础承受偏心荷载时(图7.2.3-3):

式中:r 1 ——基础底板半径(m);
r 2 ——环形基础孔洞的半径(m),当r 2 =0时即为圆形基础;
a c ——基底受压面积宽度(m);
ξ、τ——系数,根据比值r 2 /r 1 及e/r 1 按本标准附录H确定。

7.2.4 高耸结构的地基变形计算应符合下列规定:
1 计算值不应大于地基变形允许值;
2 地基最终沉降量应按现行国家标准《建筑地基基础设计规范》GB 50007的规定计算;
3 当计算风荷载作用下的地基变形时,应采用地基土的三轴试验不排水模量(弹性模量)代替变形模量;
4 对于高度低于100m的高耸结构,当地基土均匀,又无相邻地面荷载的影响时,在地基最终沉降量能满足允许沉降量的要求后,可不验算倾斜;
5 基础倾斜应按下式计算:

式中:s 1 、s 2 ——基础倾斜方向两端边缘的最终沉降量(mm),对矩形基础可按现行国家标准《建筑地基基础设计规范》GB 50007计算,对圆板(环)形基础可按现行国家标准《烟囱设计规范》GB 50051计算;对构架式塔的分离式基础,为单个基础的中心点沉降;
b——矩形基础底板沿倾斜方向的边长(mm),构架式塔的分离式基础的中心距(mm);
d——圆板(环)形基础底板的外径(mm)。
条文说明
7.2.1~7.2.4按现行国家标准《建筑地基基础设计规范》GB50007,在地基计算中用荷载效应标准组合为代表值,以特征值(承载力)为抗力代表值。
7.2.5 高耸结构的地基变形允许值应满足工艺要求,并应符合表7.2.5的规定。
表7.2.5 高耸结构的地基变形允许值

注:H为高耸结构的总高度(m),d 0 为石油化工塔的内径(m)。
条文说明
7.2.5根据不同类型高耸结构的特点,提出不同的沉降量要求和倾斜允许值的要求,这不仅涉及安全,也涉及经济性。 高耸结构地基变形允许值与现行国家标准《建筑地基基础设计规范》GB50007协调,并在分类上做适当变更。本标准增加了风力发电塔的地基变形限制4‰。
7.2.6 高耸结构各组成部分相邻基础间的沉降差应满足工艺要求,并应符合表7.2.6的规定。
表7.2.6 高耸结构相邻基础间的沉降差限值

注:l为相邻基础中心间的距离(mm)。
条文说明
7.2.6本条对高耸结构内相邻基础间的沉降差作出限定。一是为了减小由于沉降差引起附加应力,二是为了防止沉降差造成使用状态的恶化及管线的损坏。总沉降差往往在井道基础和塔柱基础之间产生。 对于中低压缩性土,以压缩系数值a<0.5MPa-1为标准,当a≥0.5MPa-1时为高压缩性土。
7.2.7 处于山坡地的高耸结构应按现行国家标准《建筑地基基础设计规范》GB 50007进行地基稳定性计算。
条文说明
7.2.7对山坡地上的高耸结构要分析地基的稳定性,并对此作出科学的评价。
7.3 基础设计
7.3 基础设计
Ⅰ 天然地基基础
7.3.1 基础不加连系梁且塔底无横杆的构架式塔的独立基础的柱墩宜采用斜立式,其倾斜方向及柱心倾斜度宜与塔柱一致(图7.3.1)。

图7.3.1 斜立式基础
条文说明
7.3.1本文提出了斜立式基础的适用范围及大致形式。
7.3.2 底面无横杆的构架式塔宜在基础顶面以下300mm左右设连系梁(图7.3.2),连梁及基础柱墩可作为空间刚架整体计算,基础底面可作为固定端,但不计周围土对基础柱墩的嵌固作用。基础连梁应按偏心拉压杆计算。截面计算时除按刚架算得内力外,尚应计入由混凝土梁自重引起的弯矩。基础柱墩应按偏心拉压杆设计。基础底板设计时应考虑基础受压和抗拔,根据不同受力状况计算出板的正负弯矩,并应分别在板底和板顶配置受力钢筋。在冻土区域基础连梁应采用防冻胀措施。

图7.3.2 基础顶部连梁
条文说明
7.3.2本文对构架式塔的独立式基础加连系梁的基础形式的设计方法做了明确规定。这种基础在高耸结构中用得最多。
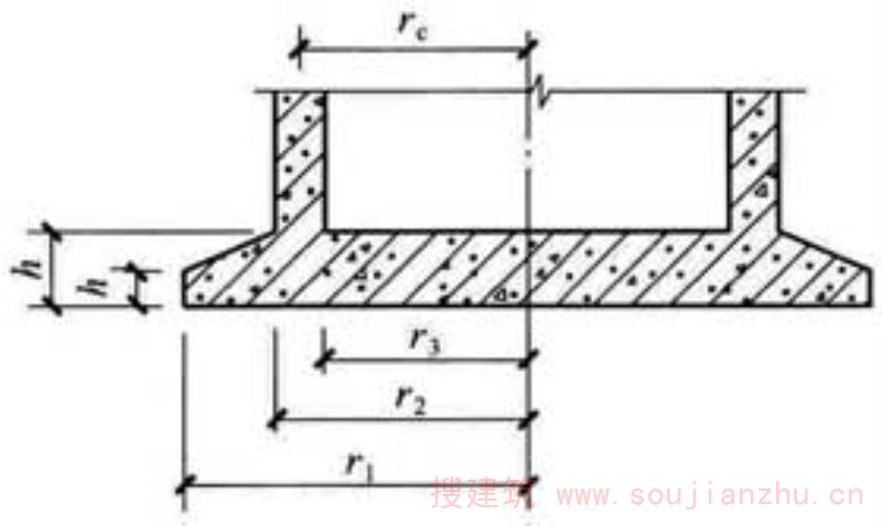
7.3.3 圆板、环形扩展基础的外形尺寸宜符合下列规定:
1 圆形扩展基础(图7.3.3-1):

2 环形扩展基础(图7.3.3-2):

式中:r c 一一筒体底截面的平均半径(m), 
;
r 1 、r 2 、r 3 、r 4 ——基础不同位置的半径(m);
h、h 1 、h 2 ——基础底板不同位置的厚度(m);
ψ——环形基础底板外形系数,可根据比值r 1 /r c 按图7.3.3-3确定,或按 

进行计算。

图7.3.3-1 圆形扩展基础

图7.3.3-2 环形扩展基础

图7.3.3-3 环形基础底板外形系数ψ曲线
7.3.4 计算矩形扩展基础强度时,坡形顶面的扩展基础(图7.3.4)底压力可按下列规定采用:
计算任一截面x-x的内力时,可采用按下式求得的基底均布荷载设计值p:

式中:P——基底均布荷载(kPa);
p max ——由基础顶面内力传来形成的基底边缘最大压力(kPa);
p x ——由基础顶面内力传来形成的计算截面x-x处的基底压力(kPa)。

图7.3.4 坡形顶面扩展基的荷载计算
7.3.5 计算圆形、环形基础底板强度时(图7.3.5),可取基础外悬挑中点处的基底最大压力p作为基底均布荷载,p值可按下式计算,对基底部分脱开的基础,除基底压力分布的计算不同外,底板强度计算时p的取法相同。

式中:N——相应于作用效应基本组合上部结构传至基础的轴向力设计值(不包括基础底板自重及基础底板上的土重)(kN);
M——相应于作用效应基本组合上部结构传至基础的力矩设计值(kN·m);
A——基础底板的面积(m 2 );
I——基础底板的惯性矩(m 4 )。

图7.3.5 圆形、环形基础的基底荷载计算
条文说明
7.3.3~7.3.5重点阐述了《高耸结构设计规范》GBJ135-90中的“板式基础”,即本标准中的“扩展基础”。此种基础在天然地基上的高耸结构基础中最为常见,有圆形、方形、环形等。环形基础底板外形系数根据图7.3.3-3曲线拟合而成。 因台阶形基础不适合于上表面配筋,故去除。注明基础自重和覆土重时对基础底板强度计算正弯矩无关。
7.3.6 高耸结构扩展基础(独立基础整体和圆环形基础局部)在承受拔力时均应进行底板抗拔强度计算,按计算在底板上表面配负弯矩钢筋,并应满足最小配筋率要求。可按下式求得基础上表面均布荷载设计值基本组合p:

式中:G——考虑作用分项系数的基础自重及抗拔角范围内覆土重,抗拔角应按本标准第7.4.3条的规定采用;
A——基础底板的面积(m 2 )。
条文说明
7.3.6高耸结构在基础受拔力作用(靠自重、覆土重及土的抗剪切性能)时,底板反向受弯,因而在底板上表面也要做配筋验算。这种情况对其他结构相当独特,但在高耸结构中却很普遍。本条新增了计算底部上表面配筋时的均布荷载设计值公式,此时基础及其上覆土重量起控制作用,故取分项系数1.35。同时,上表面配筋尚应满足最小配筋率要求。
7.3.7 高耸钢结构基础顶面的锚栓设计应符合下列规定:
1 锚栓设计应根据上部高耸钢结构传到塔脚的上拔力或弯矩、水平力等进行,考虑安装构造要求并根据基础顶后浇混凝土情况进行必要验算;
2 塔脚底板安装后必须与下部混凝土支撑面贴合紧密,严禁长期悬空;当塔脚底板下设置后浇混凝土层时,应按压弯构件并考虑水平剪力,验算施工期悬空段锚栓的强度与稳定;
3 普通锚栓宜用双螺母防松;
4 普通锚栓埋设深度应根据现行国家标准《混凝土结构设计规范》GB 50010的规定按受拉钢筋锚固要求确定。
条文说明
7.3.7高耸结构一般很少用“刚性基础”,即“无筋扩展基础”。
7.3.8 风力发电塔等受疲劳荷载作用的基础锚栓应采用预应力锚栓,并应符合下列规定:
1 预应力锚栓按直接张拉法施工时,其预拉力计算值P应按下式确定;
0.37f u A e ≤P≤0.63f u A e (7.3.8-1)
式中:f u ——锚栓经热处理后的最低抗拉强度,对8.8级取为830MPa,对10.9级取为1040MPa;
A e ——锚栓螺纹处的有效面积。
预应力锚栓抗拉承载力设计值P d 应按下式确定:
P d =0.8P (7.3.8-2)
2 预应力锚栓对混凝土施加预压力应使正常工作状态下混凝土的拉应力小于其抗拉强度;
3 预应力锚栓为后张拉锚栓时,应采用套管使其与混凝土隔离,并做防腐蚀处理;
4 荷载分散板、锚固板对混凝土的局压验算应符合现行国家标准《混凝土结构设计规范》GB 50010的规定,并应配置间接钢筋;板厚应根据其受弯验算确定;
5 直接张拉法紧固预应力锚栓时,超张拉系数可取为1.15;锚栓使用第一年后,应重新张拉一次;
6 预应力锚栓承受疲劳动力荷载作用时,应验算其疲劳应力幅不超过允许应力幅,且应保证其在工作环境温度下的冲击韧性;
7 预应力锚栓的锚固板应埋置在基础底部。
条文说明
7.3.8高耸钢结构的锚栓是上部结构与基础之间的重要连接件,设计时应考虑对钢结构和混凝土结构兼容。而两者的施工标准差异很大,本条根据高耸结构的特点及设计经验,提出了锚栓设计的具体要求。预应力锚栓的疲劳应力幅的相关规定见Eurocode3:DesignofSteelStructures,Partl.9.Fatigue。锚栓组合件如图6所示。 
图6预应力锚栓组合件 1-上锚板;2-尼龙螺母;3-热缩管;4-锚栓及套管; 5-下锚板;6-支撑;7-锚固螺母;8-预埋件;9-苯板;10-垫层 现行国家标准《钢结构设计标准》GB50017规定锚栓预拉力P以锚栓的抗拉强度为准,再考虑必要的系数和实用需要,用锚栓的有效截面经计算确定。 锚栓预拉力的取值直接影响预应力混凝土的使用效果,如果预拉力取值过低,则预应力锚栓经过各种损失后,对混凝土产生的预压应力过小,不能有效地提高预应力混凝土构件的抗裂度和刚度,且易松弛。如果张拉控制应力取值过高,则可能引起锚固区混凝土局压破坏,构件的延性降低,且对锚栓抗疲劳不利。 基础预应力锚栓因采用直接张拉法施工,没有拉扭复合应力,故预拉力值可比现行国家标准《钢结构设计标准》GB50017提高,将该标准中影响系数1.20改成1.15。 考虑锚栓材质的不均匀性,引进折减系数0.9。 施工时为了补偿锚栓预拉力的松弛,一般超张拉5%~10%,为此采用一个超张拉系数0.9。 由于以锚栓的抗拉强度为准,为安全起见再引入一个附加安全系数0.9。这样,锚栓最大预拉力应按下式计算: 
式中:fu——锚栓经热处理后的最低抗拉强度;对8.8级取为830MPa,对10.9级取为1040MPa; Ae——螺纹处的有效面积。 当混凝土局部承压难以满足时,锚栓最小预拉力可取为0.37fuAe,但最小预拉力必须保证基础混凝土在风机工作荷载下处于受压状态。 现行国家标准《混凝土结构结构设计规范》GB50010对预应力螺纹钢筋张拉控制应力的要求为0.50fpyk~0.85fpyk,基础锚栓为高强螺栓,材料延性和韧性较预应力螺纹钢筋好。按该规定,预应力锚栓预拉力取为0.37fuAe~0.63fuAe也较为合适。
Ⅱ 桩基础
7.3.9 当地基的软弱土层较深厚,上部荷载大而集中,采用浅基础已不能满足高耸结构对地基承载力和变形的要求时,宜采用桩基础。
7.3.10 高耸结构的桩基础可采用预制钢筋混凝土桩、混凝土灌注桩和钢管桩。桩的选型和设计宜符合下列规定:
1 选用时应根据地质情况、上部结构类型、荷载大小、施工条件、设计单桩承载力、沉桩设备、建筑场地环境等因素,通过技术经济比较进行综合分析后确定。
2 应选择较硬土层作为桩端持力层。桩端全断面进入持力层的深度,对于黏性土、粉土,不宜小于2d;对于砂土,不宜小于1.5d;对于碎石土类,不宜小于1d。当存在软弱下卧层时,桩端以下硬土层厚度不宜小于3d。对于嵌岩桩,嵌岩深度应综合荷载、上覆土层、基岩、桩径、桩长等因素确定;嵌入倾斜的完整和较完整岩的全断面深度不宜小于0.4d且不宜小于0.5m,倾斜度大于30%的中风化岩,宜根据倾斜度及岩石完整性适当加大嵌岩深度;嵌入平整、完整的坚硬岩的深度不宜小于0.2d,且不应小于0.2m。d为圆形截面桩的直径或方形截面桩的边长。
3 桩基计算包括桩顶作用效应计算,桩基竖向抗压及抗拔承载力计算,桩基沉降计算,桩基的变形允许值、桩基水平承载力与位移计算,桩身承载力与抗裂计算,桩承台计算等,均应按现行行业标准《建筑桩基技术规范》JGJ 94的规定进行。
7.3.11 承受水平推力的桩的设计应符合下列规定:
1 承受水平推力的桩,桩身内力可按m法计算,m为地基土水平抗力系数的比例系数。桩纵向筋的长度不得小于4.0/a,a为桩的水平变形系数。m和a应符合现行行业标准《建筑桩基础技术规范》JGJ 94的规定。当桩长小于4.0/a时,应通长配筋。
2 承受水平推力的单桩独立承台之间应设正交双向拉梁,其截面高度不应小于桩距的1/15,受拉钢筋截面积可按所连接柱的最大轴力的10%作为拉力计算确定。
3 承受水平力的桩在桩顶5d(d为圆形截面桩的直径或方形截面桩的边长)范围内箍筋应适当加密。
4 受横向力较大或对横向变位要求严格的高耸结构桩基,应验算横向变位,必要时尚应验算桩身裂缝宽度。桩顶位移限值应小于10mm。
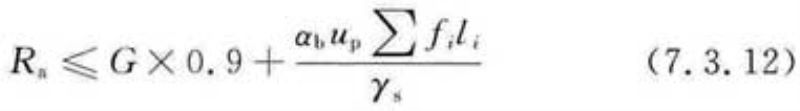
7.3.12 高耸结构桩的抗拔设计应符合下列规定:
1 除通信塔、输电塔外,对于安全等级为一级或二级的高耸结构,应通过拔桩试验求得单桩的抗拔承载力。
2 高耸结构桩基础单桩的抗拔承载力特征值R a ,初步计算时可根据下式计算:

式中:γ s ——桩侧阻抗力分项系数,一般取γ s =2.0;
α b ——桩与土之间抗拔极限摩阻力与受压极限摩阻力间的折减系数。当无试验资料且桩的入土深度不小于6.0m时,可根据土质和桩的入土深度,取α b =0.6~0.8(砂性土,桩入土较浅时取低值;黏性土,桩入土较深时取高值);
f i ——桩穿过的各分层土的极限摩阻力(kPa);
l i ——桩穿过的各分层土的厚度(m);
μ p ——桩的截面周长(m);
G——桩身的有效重力(kN),水下部分按浮重计。
应按现行国家标准《混凝土结构设计规范》GB 50010验算抗拔桩桩身的受拉承载力。
条文说明
7.3.12高耸结构不同于一般建筑结构,因其自身细而高的特点,对风荷载较为敏感,在风荷载作用下,柱脚往往出现较大拔力。因此采用桩基础时,必须对桩基进行抗拔验算及抗拔试验。这涉及桩基的安全,因此必须做严格规定。
7.3.13 抗拔桩设计应满足裂缝控制要求,并应符合下列构造规定:
1 抗压又抗拔桩应按计算及构造要求通长配置钢筋。纵向钢筋应沿桩周边均匀布置,纵向筋焊接接头必须符合受拉接头的要求。
2 具有多根抗压又抗拔桩的板式承台,其顶面和底面均应根据双向可变弯矩的计算或构造要求配筋,上下层钢筋之间应设架立筋。
3 抗拔桩主筋和基础柱墩主筋锚入承台的长度均应按抗震区受拉钢筋的锚固长度或者非抗震区受拉钢筋锚固长度计算,每个桩中宜有两根主筋用附加钢筋与锚栓焊接连通,附加钢筋不宜小于ф12。
条文说明
7.3.13本条规定了高耸结构抗拔桩及承台的具体构造要求。
Ⅲ 岩石锚杆基础
7.3.14 当高耸结构建设场地岩层外露或埋深较浅时,宜按岩石锚杆基础设计。岩石锚杆基础的承载力特征值应按岩土工程勘察报告确定,岩石锚杆基础适用于中风化及以上的硬质岩。
7.3.15 对于承受拉力或较大水平力的高耸结构单独基础,当承受非疲劳动力作用且建设场地为稳定的岩石基础时,宜采用岩石锚杆基础(图7.3.15)。岩石锚杆基础的基座应与基岩连成整体,并应符合下列规定:
1 锚杆孔直径,一般取3倍至4倍锚杆直径(d),但不应小于1倍锚杆直径加50mm。锚杆钢筋的锚固长度应大于40d,锚杆中心间距不小于6倍锚杆孔直径(d 1 ),锚杆到基础的边距不应小于150mm,锚杆钢筋离孔底距离宜为50mm。

图7.3.15 普通锚杆基础
d 1 -锚杆孔直径;l-锚杆的有效锚固长度;d-锚杆直径
2 锚杆插入上部结构的长度应符合钢筋的锚固长度规定。
3 锚杆宜采用热轧带肋钢筋;锚杆应按作用效应基本组合计算的拔力,并按钢筋强度设计值计算其截面。
4 灌孔的水泥砂浆或细石混凝土强度等级不宜低于M30或C30,灌浆前应将锚杆孔清理干净,并保证灌注密实。
7.3.16 岩石普通锚杆基础中单根锚杆所承受的拔力应按下列公式验算:

式中:F k ——相应于作用效应标准组合作用在基础顶面的竖向压力值(kN),拔力为负值;
G k ——基础自重及其上的土重标准值(kN);
M xk 、M yk ——按作用效应标准组合计算作用在基础底面形心的力矩值(kN·m);
x i 、y i ——第i根锚杆至基础底面形心的y轴、x轴的距离(m);
N ti ——按作用效应标准组合下,第i根锚杆所承受的拔力值(kN);
R t ——单根锚杆抗拔承载力特征值(kN)。
7.3.17 单根锚杆抗拔承载力特征值的确定应符合下列规定:
1 对于安全等级为一级的高耸结构,单根锚杆的抗拔承载力特征值应通过现场试验确定,其试验方法应符合现行国家标准《建筑地基基础设计规范》GB 50007的规定;
2 对于安全等级为二级的高耸结构,单根锚杆的抗拔承载力特征值可按下式计算:
R t ≤0.8πd 1 lf (7.3.17)
式中:R t ——单根锚杆的抗拔承载力(kN);
d 1 ——锚杆孔直径(m);
l——锚杆有效锚固长度(m),当l超过13倍锚杆孔直径d 1 时,取l=13d 1 ;
f——砂浆与岩石间的黏结强度特征值(kPa),由试验确定;当缺乏资料时,可根据岩质情况按表7.3.17取用。
表7.3.17 砂浆与岩石间的黏结强度特征值(kPa)

注:水泥砂浆强度等级为M30,或细石混凝土强度等级C30。
条文说明
7.3.14~7.3.17这几条对在岩石地基上的高耸结构所常用的锚杆基础的设计计算及构造要求作出具体规定。
Ⅳ 预应力岩石锚杆基础
7.3.18 当高耸结构建设场地岩层外露,地基中中风化岩及以上的硬质岩层埋藏较浅,且基础承受疲劳动力荷载作用时,如按锚杆基础设计,应采用预应力岩石锚杆基础。
条文说明
7.3.18疲劳动力荷载作用下,普通岩石锚杆疲劳应力幅较大,且其黏结锚固有逐步失效的趋势。故承受疲劳动力荷载作用时,应采用预应力岩石锚杆基础。
7.3.19 预应力锚杆预应力P和抗拉承载力R t 的确定应按下列公式计算:
P=min(0.63R tk ,0.5R tkl ) (7.3.19-1)
R t =0.8P (7.3.19-2)
式中:R t ——单根锚杆的抗拔承载力(kN);
R tk ——单根锚杆的抗拔承载力标准值(kN);
R tkl ——单根锚杆锚固端的抗拔承载力标准值(kN)。
7.3.20 预应力岩石锚杆应露出基础顶面,锚杆应采用套管与基础混凝土隔离;基础的顶部配筋计算及构造要求应等同普通岩石锚杆基础要求。
7.3.21 预应力岩石锚杆的材料要求、预拉力计算及施加应按高强螺栓相关规定执行。
7.3.22 承受疲劳动力作用的预应力岩石锚杆宜采用自锁式岩石锚杆或扩底岩石锚杆。
条文说明
7.3.22采用自锁式岩石锚杆或扩底岩石锚杆可使锚杆锚固力由“握裹”抗剪转变为岩石的抗压,以及抗压后产生的摩擦,提高了锚固的可靠性和抗疲劳。
Ⅴ 几种特殊的基础形式
7.3.23 通信塔无埋深预制基础设计应符合下列规定(图7.3.23):
1 无埋深预制基础应建造在有可靠持力层的地基上面,地基承载力应符合本标准第7.2.1条的规定;
2 预制基础应按承载力极限状态下作用的基本组合,根据上部结构作用效应与相应的地基反力进行强度计算;
3 预制基础结构应验算抗倾覆、抗滑移稳定性;
4 预制基础应与上部结构可靠连接。预制基础各条块之间应采取可靠连接固定措施,以加强其整体刚性,保证各条块协同共同工作。

图7.3.23 无埋深预制基础
1-上部结构;2-预制基础条块;3-处理后地坪
条文说明
7.3.23本条对无埋深预制基础的主要设计原则作出规定。 无埋深预制基础是指在工厂预制完成的钢筋混凝土块,在现场经组合拼装后放置在有可靠持力层的地基上,作为上部高耸结构的基础。无埋深预制基础主要通过预制混凝土块及其上的铁塔、机房等自重来抵抗风荷载引起的弯矩。目前在通信工程领域应用广泛。考虑到运输与安装方便,预制基础一般均分条块制作。为保证其整体性,各条块间应可靠连接。 预制基础的抗倾覆稳定性可以依据“在正常使用极限状态标准组合作用下基底脱开面积不大于基础底面1/4”的原则得到保证,抗滑移稳定性可依据本标准第7.4.6条执行。
7.3.24 对于小型高耸结构,可根据工业化制造、装配化施工条件、岩土工程勘察资料等,采用螺旋钢桩基础。螺旋桩设计应符合下列规定:
1 螺旋钢桩应进行单桩承载力试验,抗力分项系数取2;
2 螺旋钢桩应进行桩身承载能力验算;
3 螺旋钢桩应采取有效的防腐蚀措施。
条文说明
7.3.24本条对螺旋桩(图7)的使用作出规定。螺旋桩因其自身带有螺纹,跟普通钢管桩相比,具有抗拔承载力相对较高的优点。且因为高耸结构基础抗拔是结构的一个重要受力特点,因此建议高耸结构基础采用螺旋桩。目前螺旋桩没有较为完善的理论计算公式,设计者可按现行行业标准《建筑桩基技术规范》JGJ94对其进行估算,并且通过试验验证其承载能力。 
图7螺旋桩结构示意图 1-后注浆;2-预制承台;3-螺旋桩
7.3.25 高耸结构可根据工业化制造、施工条件、岩土工程勘察资料等,选用筒式基础。筒式基础的设计应包括地基土承载能力、筒式基础变形以及筒式基础强度验算等内容。
条文说明
7.3.25本条对筒式基础的主要设计原则作出规定。 筒式基础采用单个直径较大的筒体作为高耸结构的基础,筒体可采用预应力混凝土或者钢材。筒式基础目前在风电与通信工程领域有一定应用。 筒式基础由沿深度分布的水平地基反力组成的力矩与合力抵抗弯矩和剪力。由于刚度相对土体较大,可作为刚性桩计算。结构设计时,可采用刚性桩计算原则,主要验算地基土承载能力、筒式基础变形以及筒式基础自身强度等。筒式基础示意图如图8所示。 
图8筒式基础示意图 1-塔体;2-连接法兰;3-筒式基础桩身;4-桩尖 筒式基础应按下列方法进行抗弯承载力、竖向承载力、顶部位移、转角以及筒式基础强度的验算。 (1)受力简图以及土压力分布曲线(图9): 
式中:q——单位长度上的土被动抗力(kN/m); a、b——曲线系数,单位分别为kN/m2.5、kN/m1.5; Mk——荷载效应标准组合下地面(z=0处)弯矩(kN·m); Fk——荷载效应标准组合下压力(kN); Vk——荷载效应标准组合下地面(z=0处)剪力(kN); H——有效桩长(m); z——离地面距离(m)。 
图9受力简图及土压力分布曲线 O'-刚性转动小心点;Z1-转动中心点至地面距离; Z0-浅部土压力极值点至地面距离 

(6)地基土比例系数C值可按以下规定确定: 1)在土质相近地区大量使用筒式基础时,宜通过水平静载试验确定; 2)当无水平静载试验资料时,应按表3的要求采用; 表3不同土类对应C值 
注:表中IL为土的液性指数,e为土的孔隙比。对于第2类土,取Ee=2E1-2;对于第3类土,取E=Ee=3E1-2;对于第4类土,取Ee=4E1-2。其中E1-2为土体压缩模量。 3)当筒式基础侧面由几种土层组成时,应求得主要影响深度hc=2(D0+1)m范围内的C值作为计算值(图10)。当hc深度内存在两层不同土时: 
图10不同土层C值计算示意图 
当hc深度内存在三层不同土时: 
(7)适用条件:筒式基础应符合下列规定: H≤2.5/λ(26) 式中:λ——桩土形变系数(1/m),
; C——地基土比例系数(kN/m3.5); D1——筒式基础的计算直径(m);当D0≤1.0m时,D1=0.9(1.5D0+0.5);当D0>1.0m时,D1=0.9(D0+1.0); D0——筒式基础直径(m); E——弹性模量(kN/m2); I——惯性矩(m4)。
7.4 基础的抗拔稳定和抗滑稳定
7.4 基础的抗拔稳定和抗滑稳定
7.4.1 承受上拔力的独立扩展基础、锚板基础等均应验算抗拔稳定性。扩展基础承受上拔力时,在验算其抗拔稳定性的同时,尚应按上拔力进行强度和配筋计算,并按计算结果在基础的上表面配置钢筋,配筋应满足最小配筋率要求。
7.4.2 基础抗拔稳定计算可根据抗拔土体和基础的不同分为土重法和剪切法。土重法适用于回填土体,剪切法适用于原状土体。
7.4.3 采用土重法计算钢塔基础的抗拔稳定时应符合下式规定(图7.4.3):

式中:F——基础的受拔力(kN),对应本标准第7.1.4条第3款组合值;
G e ——土体重量(kN),按本标准附录J计算,此时土的计算重度γ s 按表7.4.3-1采用;当基础上拔深度h t ≤h cr 时,取基础底板以上、抗拔角α 0 以内的土体重[图7.4.3(a)];当基础上拔深度h t >h cr 时,取h cr 以上、抗拔角α 0 以内的土体重和高度为(h t -h cr )的土柱重之和[图7.4.3(b)];
G f ——基础重(kN),按基础的体积与容重计算;
α 0 ——土体重量计算的抗拔角,按表7.4.3-1采用;
h cr 一一土重法计算的临界深度(m),按表7.4.3-2采用;
γ R1 ——土体滑动面上剪切抗力V e 、土体重的抗拔稳定系数,可用2.0;当专业标准有详细规定时,可按专业标准采用;
γ R2 ——基础重的抗拔稳定系数,可用1.4;当专业标准有详细规定时,可按专业标准采用。

图7.4.3 土重法基础抗拔稳定计算
表7.4.3-1 土的计算重力密度γ s 和土体计算抗拔角α 0

表7.4.3-2 土重法计算的临界深度

注:1 公式(7.4.3)对非松散砂类土适用于h t /b≤5.0和h t /d≤4.0;对黏性土适用于h t /b≤4.5和h t /d≤3.5。
2 当高耸结构的基础有可能处于地下水面以下或有可能被水淹没时,土重和基础重标准值均应减去水的浮力。
3 按土重法计算时需确保填土密度达到和超过表7.4.3-1中γ s 。当对基础开挖方式及施工质量无把握时,抗拔角α 0 可按0°取用。基础上拔深度内有多层土时,α 0 可按加权平均值估算。
4 上拔时的临界深度h cr 即为土体整体破坏的计算深度。
5 d、b分别为圆形基础的直径和方形基础的边长。
6 当矩形基础的长边l与短边b之比小于3时,可折算为d=0.6(b+l)后,按圆形基础的临界深度h cr 采用。
7.4.4 采用土重法时,倾斜拉绳锚板基础的抗拔稳定应按下式计算(图7.4.4):

式中:F——垂直于锚板的拉绳拔力(kN),对应本标准第7.1.4条第3款组合值;
G e ——土体重量(kN),可按本标准附录J计算;按本标准第7.4.3条考虑浮力影响;
G f ——拉绳锚板基础重(kN);按本标准第7.4.3条考虑浮力影响;
θ——拔力F与水平地面的夹角;公式(7.4.4)仅适用于θ>45°;当θ≤45°时,考虑土体剪切作用,可按本标准附录J计算;
γ R1 、γ R2 ——同本标准公式(7.4.3)说明。

图7.4.4 拉绳锚板基础的抗拔稳定计算
7.4.5 采用剪切法时基础抗拔稳定,对原状土体应按下列公式计算:
1 当h t ≤h cr 时[图7.4.5(a)]:

2 当h t >h cr 时[图7.4.5(b)]:

当基础埋置在软塑黏土内时:

式中:V e ——土体滑动面上剪切抗力的竖向分量之和(kN),可按本标准附录J计算;
G f ——基础重,按基础的体积与容重计算(kN);考虑浮力影响;
G e ——当h t >h cr 时,在h t -h cr 范围内土体的重量(kN),可按本标准附录J计算;考虑浮力影响;
h cr ——剪切法计算的临界深度(m),按表7.4.5采用;
c——凝聚力(kPa),按本标准附录J采用;
h t 、d——基础埋深(m)、基础宽度(m);非松散砂类土适用于h t /d≤4.0,对黏性土适用于h t /d≤3.5。

图7.4.5 剪切法基础抗拔稳定计算
表7.4.5 剪切法计算的临界深度

注:d为基础宽度。
条文说明
7.4.2~7.4.5与原标准条文基本一致,对标准公式中的代表值按新的标准做了注释,并调整了个别参数。
7.4.6 无埋深基础的抗滑稳定验算应按下式进行:

式中:P h ——基底上部结构传至基础的水平力代表值(kN),对应本标准第7.1.4条第3款组合值;
N——上部结构传至基础的竖向力代表值(kN),与P h 对应;
G——基础自重(kN);
μ——基础底面对地表土的摩擦系数,可按试验确定。
条文说明
7.4.6本条主要对无埋深预制基础的抗滑稳定作出规定。地基的稳定性应按现行国家标准《建筑地基基础设计规范》GB50007进行验算。基础底面对地表土的摩擦系数μ,当无试验数据时,一般取0.25。
附录A材料及连接
附录A 材料及连接
A.0.1 钢材的强度设计值应根据钢材厚度或直径按表A.0.1采用。
表A.0.1 钢材的强度设计值(N/mm 2 )

注:1 20 # 钢(无缝钢管)的强度设计值同Q235钢;
2 焊接高耸结构应至少采用B级钢材。
条文说明
A.0.1表A.0.1为钢材强度设计值(N/mm2)。在高耸钢结构中,大量使用20#钢无缝管材,而这种材料的性能在现行国家标准《钢结构设计标准》GB50017中未列出。为适用工程需要,在备注中对20#钢的强度取值作出说明。根据现行国家标准《优质碳素结构钢》GB/T699,20#钢的强度、延性、可焊性等主要结构参数均优于Q235钢。但属于同一强度等级,故为简化起见,规定20#钢的设计强度同Q235钢。
A.0.2 钢材的焊缝强度设计值应按表A.0.2采用。
表A.0.2 焊缝的强度设计值(N/mm 2 )

注:1 自动焊和半自动焊所采用的焊丝和焊剂,应保证其熔敷金属抗拉强度不低于相应手工焊焊条的数值;
2 焊缝质量等级应符合现行国家标准《钢结构工程施工质量验收规范》GB 50205的规定;
3 对接焊缝抗弯受压区强度设计值取f c w ,抗弯受拉区强度设计值取f t w ;
4 构件钢材为20 # 钢(无缝钢管)与Q235钢相同。
A.0.3 钢材的螺栓连接强度设计值应按表A.0.3采用。
表A.0.3 螺栓连接的强度设计值(N/mm 2 )

注:1 A级螺栓用于d≤24mm和l≤10d或l≤150mm(按较小值)的螺栓;B级螺栓用于d>24mm和l>10d或l>150mm(按较小值)的螺栓。d为公称直径,l为螺杆公称长度;
2 A、B级螺栓孔的精度和孔壁表面粗糙度,C级螺栓孔的允许偏差和孔壁表面粗糙度,均应符合现行国家标准《钢结构工程施工质量验收规范》GB 50205的规定;
3 当有实验依据时,螺栓强度设计值可适当提高,但需按行业标准统一实行;
4 35号钢、45号钢锚栓材质应符合现行国家标准《优质碳素结构钢))GB/T 699的规定,35号钢一般不宜焊接,45号钢一般不应焊接;
5 摩擦型高强螺栓连接的强度设计值按现行国家标准《钢结构设计标准》GB 50017取值;
6 预应力锚栓应采用直接张拉法施工;
7 对于用直接张拉法施工的摩擦型高强螺栓,其强度可提高10%。
条文说明
A.0.3表A.0.3为螺栓连接的强度设计值。在大量的角钢塔中,螺栓强度等级不限于现行国家标准《钢结构设计标准》GB50017规定的4.8级、8.8级、10.9级,还有6.8级。为适应高耸结构工程的要求,特根据现行国家标准《优质碳素结构钢》GB/T699,将6.8级列入该表。在锚栓设计中,Q235锚栓强度低,Q345圆钢又很难采购,故本标准按现行国家标准《钢结构设计标准》GB50017中关于锚栓设计强度的换算方法,并按现行国家标准《优质碳素结构钢》GB/T699的规定,确定了35号钢、45号钢锚栓的抗拉强度值,并规定对35号钢不宜焊接,对45号钢不应焊接。我国电力系统钢塔设计及施工中有大量使用优质碳素结构钢作锚栓的经验。
A.0.4 钢丝绳弹性模量应按表A.0.4取值。
表A.0.4 钢丝绳弹性模量(N/mm 2 )

A.0.5 钢材强度设计值折减系数应按表A.0.5取值。
表A.0.5 钢材强度设计值折减系数

A.0.6 镀锌钢绞线强度设计值应按表A.0.6取值。
表A.0.6 镀锌钢绞线强度设计值(MPa)

A.0.7 钢丝绳强度设计值应按表A.0.7取值。
表A.0.7 钢丝绳强度设计值(MPa)

A.0.8 混凝土强度设计值应按表A.0.8取值。
表A.0.8 混凝土强度设计值(N/mm 2 )

A.0.9 混凝土受拉或受压的弹性模量应按表A.0.9取值。
表A.0.9 混凝土弹性模量E c (1×10 4 N/mm 2 )

A.0.10 普通钢筋强度设计值应按表A.0.10取值。
表A.0.10 普通钢筋强度设计值(N/mm 2 )

A.0.11 预应力钢筋强度标准值和设计值应按表A.0.11取值。
表A.0.11 预应力钢筋强度标准值和设计值(N/mm 2 )

A.0.12 钢筋及钢绞线的弹性模量应按表A.0.12取值。
表A.0.12 钢筋及钢绞线的弹性模量(N/mm 2 )

条文说明
A.0.6~A.0.12根据高耸结构设计的需要,增加了表A.0.6~表A.0.12,其内容为镀锌钢绞线、钢丝绳强度设计值以及混凝土、钢筋强度设计值和弹性模量。
附录B轴心受压钢构件的稳定系数
附录B 轴心受压钢构件的稳定系数
B.0.1 高耸结构常用轴心受压钢构件的截面分类应按表B.0.1确定。
表B.0.1 高耸结构常用轴心受压钢构件的截面分类

注:其他截面分类应按现行国家标准《钢结构设计标准》GB 50017执行。
条文说明
B.0.1表B.0.1为轴心受压钢构件的截面分类。根据现行国家标准《钢结构设计标准》GB50017对截面的分类做了调整,然而真正用于高耸结构轴压构件的截面仍为a、b两类,其他均略去。
B.0.2 a类截面轴心受压构件的稳定系数φ应按表B.0.2取值。
表B.0.2 a类截面轴心受压构件的稳定系数φ

B.0.3 b类截面轴心受压构件的稳定系数φ应按表B.0.3取值。
表B.0.3 b类截面轴心受压构件的稳定系数φ

条文说明
B.0.2、B.0.3表B.0.2、表B.0.3为a、b两类截面轴心受压构件的稳定系数,按现行国家标准《钢结构设计标准》GB50017确定。
附录C单管塔局部稳定验算
附录C 单管塔局部稳定验算
C.0.1 当单管塔径厚比D/t超过本标准第5.6.2条公式(5.6.2-1)~公式(5.6.2-4)规定时,单管塔局部稳定应按下列公式验算:

式中:σ cr ——筒壁局部稳定临界应力(MPa);
f y ——钢材屈服强度(MPa);
t——计算截面壁厚(mm);
D——计算截面外直径(mm);
E——钢材的弹性模量(MPa)。
附录D节点板尺寸的临界值
附录D 节点板尺寸的临界值
D.0.1 节点板尺寸的临界值(l g /D)可按表D.0.1取值。
表D.0.1 节点板尺寸的临界值(l g /D)

注:1 l g 为节点板长;
2 D为主管直径;
3 △N/N按本标准第5.7.4条规定采用;
4 λ为主管长细比;
5 表中为满应力,当非满应力时,应对λ做修正,修正系数
;
6 通常l g /D在2.0以内,粗线左下方都满足不验算要求,超出部分适当注意延长节点板即可。
附录E开孔塔筒截面承载力验算
附录E 开孔塔筒截面承载力验算
E.0.1 塔筒受压区有一个孔洞时(图E.0.1),应按下列公式计算:


图E.0.1 塔筒截面受压区有一个孔洞时计算简图
1-受压区;2-中和区;3-受拉区
E.0.2 塔筒截面上有两个对称孔洞时(α 0 =π,受压区为2θ 1 ,受拉区为2θ 2 ,且θ 1 >θ 2 )(图E.0.2),应按下列公式计算:


图E.0.2 塔筒截面上有两个对称孔洞时计算简图
1-受压区;2-中和区;3-受拉区
E.0.3 塔筒截面上有两个非对称孔洞,且α 0 ≤α(π-θ 1 -θ 2 )+θ 1 +θ 2 时,可按θ=θ 1 +θ 2 的单孔洞截面计算。
E.0.4 塔筒截面上有两个非对称孔洞,且α(π-θ 1 -θ 2 )+θ 1 +θ 2 <α 0 ≤π-θ 2 -α t (π-θ 1 -θ 2 )时(受压区为2θ 1 ,且θ 1 >θ 2 )(图E.0.4),应按下列公式计算:



图E.0.4 塔筒截面上有两个非对称孔洞,且
α(π-θ 1 -θ 2 )+θ 1 +θ 2 <α 0 ≤π-θ 2 -α t (π-θ 1 -θ 2 )时计算简图
1-受压区;2-中和区;3-受拉区
E.0.5 塔筒截面上有两个非对称孔洞,且α 0 >π-θ 2 -α t (π-θ 1 -θ 2 )时(受压区为2θ 1 ,且θ 1 >θ 2 )(图E.0.5),应按下列公式计算:



图E.0.5 塔筒截面上有两个非对称孔洞,且
α 0 >π-θ 2 -α t (π-θ 1 -θ 2 )时计算简图
1-受压区;2-中和区;3-受拉区
式中:A——扣除孔洞面积后塔筒截面面积;
θ 1 、θ 2 ——塔筒截面受压、受拉区的孔洞半角(rad);
α 0 ——计算截面有两个孔洞时,两孔洞角平分线的夹角(rad)。
附录F截面形心轴至圆心轴的距离及截面核心距计算
附录F 截面形心轴至圆心轴的距离及截面核心距计算
F.0.1 截面形心轴至圆心轴的距离可按下列公式计算:
1 当有一个孔洞时:

2 当有两个孔洞且对称布置时:

3 当有两个孔洞且不对称布置时:

式中:θ——塔筒截面受压区的开孔洞半角(rad);
θ 1 、θ 2 ——塔筒截面受压、受拉区的开孔洞半角(rad)。
F.0.2 截面核心距r co 可按下列公式计算:
1 塔筒计算截面无孔洞或有两个对称布置的大小相等的孔洞时:

2 塔筒截面受压区有一个孔洞时:

3 塔筒截面有两个对称布置的大小不相等的孔洞(α 0 =π,并将大孔洞置于受压区)时:

4 塔筒截面有两个非对称孔洞(α 0 ≠π,并将大孔洞置于受压区)且α 0 ≤π-θ 2 时:

5 塔筒截面有两个非对称孔洞(α 0 ≠π,并将大孔洞置于受压区)且α 0 >π-θ 2 时:

式中:r——塔筒平均半径。
附录G开孔塔筒截面应力计算
附录G 开孔塔筒截面应力计算
G.0.1 混凝土和预应力混凝土塔筒水平截面的应力,当e ok ≤r co 时应按下列规定确定(图G.0.1):
1 背风面混凝土的压应力σ' c 应按下列公式计算:
1)塔筒截面受压区有一个孔洞时:

2)塔筒截面有两个孔洞(α 0 =π,大孔洞置于受压区)时:

3)塔筒截面有两个孔洞(α 0 ≠π,大孔洞置于受压区)时:

2 迎风面混凝土的压应力σ c 应按下列公式计算:
1)塔筒计算截面受压区有一个孔洞时:

2)塔筒截面有两个孔洞(α 0 =π,大孔洞置于受压区)时:

3)塔筒截面有两个孔洞(α 0 ≠π,大孔洞置于受压区)且α 0 ≤π-θ 2 时:

4)塔筒截面有两个孔洞(α 0 ≠π,大孔洞置于受压区)且α 0 >π-θ 2 时:

式中:A 0 ——塔筒水平截面的换算截面面积,对于无孔洞截面:A 0 =2πrt(1+ω hs +ω hp );对于有一个孔洞截面:A 0 =2(π-θ)rt(1+ω hs +ω hp );对于有两个孔洞截面:A 0 =2(π-θ 1 -θ 2 )rt(1+ω hs +ω hp );t为筒壁厚度;
ω hs 、ω hp ——塔筒水平截面的特征系数,取ω hs =2.5ρ s aE s ,ω hp =2.5ρ p aE p ;aE s 、aE p 为钢筋、预应力钢筋和混凝土弹性模量之比,aE s =E s /E c ,aE p =E p /E c ;ρ s 、ρ p 为纵向普通钢筋和预应力钢筋的配筋率;
θ 1 、θ 2 ——两孔洞的半角,θ 1 >θ 2 ,且θ 1 位于受压区。

图G.0.1 水平截面在标准荷载作用下的计算
(e ok ≤r co ,全截面受力情况)
1-孔洞;2-受压区
G.0.2 混凝土和预应力混凝土塔筒水平截面的应力,当e ok >r co 时应按下列规定确定(图G.0.2):

图G.0.2 水平截面在标准荷载作用下的计算
(e ok >r co ,拉压区均存在情况)
1-孔洞;2-受压区;3-形心轴
1 背风面混凝土的压应力σ' c 应按下列公式计算:
1)塔筒截面受压区有一个孔洞时:

2)塔筒截面有两个对称孔洞(α 0 =π,大孔洞位于受压区)时:

3)塔筒截面有两个非对称孔洞(α 0 ≠π,大孔洞置于受压区)时:

式中:A——塔筒水平截面面积。如有两个孔洞时:A=2(π-θ 1 -θ 2 )rt;有一个孔洞时,令θ 2 =0。
2 迎风面纵向钢筋和预应力钢筋的拉应力σ s 和σ p 应按下列公式计算:
1)塔筒截面有一个孔洞时:

2)塔筒截面有两个对称孔洞(α 0 =π,大孔洞位于受压区)时:

3)塔筒截面有两个非对称孔洞(α 0 ≠π,大孔洞置于受压区)且α 0 ≤π-θ 2 时:

4)塔筒截面有两个非对称孔洞(α 0 ≠π,大孔洞置于受压区)且α 0 >π-θ 2 时:

3 截面受压区半角φ可按下列公式计算:
1)塔筒截面受压区有一个孔洞时:

2)塔筒截面有两个对称孔洞(α 0 =π,大孔洞位于受压区)时:

3)塔筒截面有两个非对称孔洞(α 0 ≠π,大孔洞置于受压区)时:

附录H在偏心荷载作用下,圆形、环形基础基底零应力区的基底压力计算系数
附录H 在偏心荷载作用下,圆形、环形基础基底零应力区的基底压力计算系数
H.0.1 在偏心荷载作用下,圆形、环形基础基底零应力区的基底压力计算系数值可按表H.0.1采用。
表H.0.1 在偏心荷载作用下,圆形、环形基础基底零应力区的基底压力计算系数

续表H.0.1

续表H.0.1

注:1 r 2 /r 1 =0时为圆形基础,r 2 /r 1 >0时为环形基础;
2 当e/r 1 、r 2 /r 1 为中间值时,τ、ξ均可用内插法确定。
条文说明
H.0.1表H.0.1增加了τ、ξ的取值范围,因按原标准附录只能计算荷载标准组合下的地基反力,但在基础承载能力计算时还要知道设计荷载下的地基反力,所以将表中取值范围扩大。
附录J基础和锚板基础抗拔稳定计算
附录J 基础和锚板基础抗拔稳定计算
J.0.1 利用土重法计算高耸结构基础的抗拔稳定时,本标准公式(7.4.3)中的G e 可按下式计算:
G e =(V t -V 0 )γ 0 (J.0.1)
式中:V t ——h t 深度范围内的土体(包括基础)的体积(m 3 );
V 0 ——h t 深度范围内的基础体积(m 3 );
γ 0 ——土的计算重度(kN/m 3 )。
1 当h t ≤h cr 时:
方形底板: 
圆形底板: 
2 当h t >h cr 时:
方形底板: 
圆形底板: 
上述G e 的计算值应根据不同的H/F比值乘以下列系数采用:
当H/F=0.15~0.40时,乘以1.00~0.90;
当H/F=0.40~0.70时,乘以0.90~0.80;
当H/F=0.70~1.00时,乘以0.80~0.75;
此外,当底板坡角α<45°时,G e 尚应乘以系数0.8。
J.0.2 利用土重法计算拉绳锚板基础的抗拔稳定时,本标准公式(7.4.4)中的G e 可按下式计算:
G e =V t γ 0 (J.0.2)
式中:V t ——锚板上h t 深度范围内的土体积(m 3 );
γ 0 ——土的计算重度(kN/m 3 )。
1 当h t ≤h cr 时,矩形锚板: 
2 当h t >h cr 时,矩形锚板: 
式中:θ 1 ——拉绳锚板面与水平面的夹角。
J.0.3 利用剪切法计算拉绳锚杆基础的抗拔稳定时,当本标准图7.4.4中θ≤45°,且锚板处于原状土体中时,可按下式验算锚板基础的抗力:
F≤0.5γ 0 A(a 1 h t /b+a 2 )/γ R3 (J.0.3)
式中:F——垂直于锚板的拉绳拔力(θ 1 =90°-θ);
A——矩形锚板面积;
b——锚板宽度(图7.4.4);
γ R3 ——土体抗剪稳定系数,一般可采用2.0;当专业标准有详细规定时,可按专业标准采用;
a 1 ,a 2 ——与锚板正反面土压力及θ有关的系数,按本标准表J.0.4-4采用。
J.0.4 利用剪切法计算基础的抗拔稳定时,剪切抗力是由与土的凝聚力c和内摩擦角φ有关的两部分组成。
1 当h t ≤h cr 时,本标准公式(7.4.5-1)中土体滑动面上剪切抗力的总竖向分量V e 可按下式计算:
V e =0.4A 1 ch t 2 +0.8A 2 γ t h t 3 (J.0.4-1)
2 当h t >h cr 时,本标准公式(7.4.5-2)中的V e 可按下式计算:
V e =0.4A 1 ch cr 2 +0.8A 2 γ t h cr 3 (J.0.4-2)
本标准公式(7.4.5-2)中的G e 可按下式计算:

式中:c——土体饱和状态下的凝聚力(N/m 2 );对黏性土,当具有塑性指数I p 和天然孔隙比e时可按表J.0.4-1确定;当粗略估计土体抗拔时,可根据土的密实度按表J.0.4-2确定;
A 1 ,A 2 ——与φ、h t /d有关的无因次系数,按图J.0.4-1~图J.0.4-3确定;这里的φ为土的计算内摩擦角,对黏性土和砂类土,按表J.0.4-1~表J.0.4-3采用;
h t ——基础上拔深度(m);
γ t ——原状土的重度(N/m 3 );
△V 0 ——h t -h cr 范围内的基础体积(m 3 )。
当基底展开角α>45°时,上述V e 和G e ,即本标准公式(7.4.5-1)和公式(7.4.5-2)的右侧V e 项应乘以系数1.2,此外,尚应根据不同的H/F值乘以与本标准附录J.0.1相同的系数。
表J.0.4-1 黏性土凝聚力c和内摩擦角φ

注:黏性土的凝聚力和内摩擦角和砂类土的内摩擦角,可按土工实验方法或其他野外鉴定方法确定。
表J.0.4-2 黏性土凝聚力c和内摩擦角φ


图J.0.4-1 A 1 =f(φ,h t /d)曲线

图J.0.4-2 A 2 =f(φ,h t /d)曲线之一

图J.0.4-3 A 2 =f(φ,h t /d)曲线之二
表J.0.4-3 砂类土内摩擦角φ

注:孔隙比e小者,φ取大值。
表J.0.4-4 锚板剪切法计算系数表

本标准用词说明
本标准用词说明
1 为便于在执行本标准条文时区别对待,对要求严格程度不同的用词说明如下:
1)表示很严格,非这样做不可的:
正面词采用“必须”,反面词采用“严禁”;
2)表示严格,在正常情况下均应这样做的:
正面词采用“应”,反面词采用“不应”或“不得”;
3)表示允许稍有选择,在条件许可时首先应这样做的:
正面词采用“宜”,反面词采用“不宜”;
4)表示有选择,在一定条件下可以这样做的,采用“可”。
2 条文中指明应按其他有关标准执行的写法为:“应符合……的规定”或“应按……执行”。
引用标准名录
引用标准名录
《建筑地基基础设计规范》GB 50007
《建筑结构荷载规范》GB 50009
《混凝土结构设计规范》GB 50010
《建筑抗震设计规范》GB 50011
《钢结构设计标准》GB 50017
《湿陷性黄土地区建筑规范》GB 50025
《烟囱设计规范》GB 50051
《混凝土结构工程施工及验收规范》GB 50204
《钢结构工程施工质量验收规范》GB 50205
《建筑工程抗震设防分类标准》GB 50223
《优质碳素结构钢》GB/T 699
《建筑桩基技术规范》JGJ 94
自2022年1月1日起废止的条文

