Appearance
《钢-混凝土组合桥梁设计规范[附条文说明]》GB 50917-2013
🗓️ 住房和城乡建设部 实施时间:2014-05-01
前言
中华人民共和国国家标准
钢-混凝土组合桥梁设计规范
Code for design of steel and concrete composite bridges
GB 50917-2013
主编部门:中华人民共和国住房和城乡建设部
批准部门:中华人民共和国住房和城乡建设部
施行日期:2014年5月1日
中华人民共和国住房和城乡建设部公告
第144号
住房城乡建设部关于发布国家标准《钢-混凝土组合桥梁设计规范》的公告
现批准《钢-混凝土组合桥梁设计规范》为国家标准,编号为GB 50917-2013,自2014年5月1日起实施。其中,第4.2.2条为强制性条文,必须严格执行。
本规范由我部标准定额研究所组织中国计划出版社出版发行。
中华人民共和国住房和城乡建设部
2013年9月6日
前 言
根据原建设部《关于印发<2007年工程建设标准规范制订、修订计划(第一批)>的通知》(建标[2007]125号)的要求,本规范由上海市城市建设设计研究总院和同济大学会同有关单位调查研究,认真总结实践经验,参考有关国内外先进标准,并在广泛征求意见的基础上,制定本规范。
本规范共分8章和4个附录,主要内容包括总则,术语和符号,材料,基本规定,承载能力极限状态计算,正常使用极限状态验算,抗剪连接件,构造要求等。
本规范中以黑体字标志的条文为强制性条文,必须严格执行。
本规范由住房和城乡建设部负责管理和对强制性条文的解释,由上海市城市建设设计研究总院负责具体技术内容的解释。在执行过程中,若有意见和建议请寄送上海市城市建设设计研究总院(地址:上海市东方路3447号,邮政编码:200125),以便今后修订时参考。
本规范主编单位、参编单位、主要起草人和主要审查人:
主编单位 :上海市城市建设设计研究总院
同济大学
参编单位 :天津市市政工程设计研究院
交通运输部公路科学研究院
中国中铁二院工程集团有限责任公司
中交第二公路勘察设计研究院有限公司
宏润建设集团股份有限公司
主要起草人 :周良 薛伟辰 陆元春 邓玮琳 都锡龄 吕建鸣 彭元诚 彭俊 闫兴非 郭卓明 朱敏 吴勇 李雪峰 康莉 宋建永 袁明 朱玉 郭建勋 袁翔 韩高茂 吉伯海 白丽丽 孙天荣 蒋栓
主要审查人 :范立础 包琦玮 王用中 高宗余 程为和 周志祥 吴冲 李宗平 宗周红 蔡忠明
条文说明
中华人民共和国国家标准
钢-混凝土组合桥梁设计规范
GB50917-2013
条文说明
制订说明 《钢-混凝土组合桥梁设计规范》GB50197-2013,经住房和城乡建设部2013年9月6日以第144号公告批准发布。 钢-混凝土组合梁由于能充分发挥钢材与混凝土材料各自的优点,在我国得到了广泛的应用。然而目前国内尚没有针对钢-混凝土组合梁在桥梁结构中应用的设计规范,现行公路规范中钢-混凝土组合梁的条文归并在《公路桥涵钢结构及木结构设计规范》JTJ025-86中,采用容许应力设计方法,年代久远,且与现行行业标准《公路桥涵设计通用规范》JTGD60的总体设计要求不尽一致,这使得钢-混凝土组合梁的优良性能在桥梁结构中的应用受到一定程度的限制,这也是编制本规范的意义所在。本规范在制订过程中,编制组进行了广泛的调查研究,认真总结了实践经验,同时参考了有关国际标准和国外先进标准。 为便于广大设计、施工、科研等单位有关人员在使用本规范时能正确理解和执行条文规定,《钢-混凝土组合桥梁设计规范》编写组按照章、节、条顺序编写了本规范的条文说明,对条文规定的目的、依据以及执行中需注意的有关事项进行了说明。但是,本条文说明不具备与规范正文同等的法律效力,仅供使用者作为理解和把握规范规定时的参考。
1 总则
1 总 则
1.0.1 为使钢-混凝土组合桥梁的设计符合安全可靠、适用耐久、技术先进、经济合理的要求,制定本规范。
条文说明
1.0.1钢-混凝土组合桥梁在公路工程、城市桥梁工程中已经得到广泛的应用。现行公路规范中钢-混凝土组合梁的条文归并在《公路桥涵钢结构及木结构设计规范》JTJ025-86中,采用容许应力设计方法,年代久远,且与现行行业标准《公路桥涵设计通用规范》JTGD60的总体设计要求不尽一致。为了使钢-混凝土组合桥梁的结构设计更具有科学性、先进性及合理性,总结理论研究和工程实践经验,并按照桥梁结构设计总体性规范的要求进行钢-混凝土组合桥梁设计规范的编制非常具有必要性。
1.0.2 本规范适用于道路工程中单跨跨径不大于120m的梁式钢-混凝土组合桥梁的设计。本规范不适用于采用特种混凝土的组合桥梁设计。
条文说明
1.0.2本规范依据现行国家标准《工程结构可靠性设计统一标准》GB50153规定的设计原则编制,适用范围为公路桥梁、城市桥梁(统称为道路工程中的桥梁),与目前公路桥梁、城市桥梁采用的结构设计规范的适用范围是一致的。基于工程实践经验,适用跨度定为120m。轨道交通桥梁,由于其工程特点对结构尚有其他要求,可参照使用。本规范不适用于特种混凝土的组合桥梁设计,也不适用于组合桥梁的加固工程。 本规范规定的钢-混凝土组合梁系指由混凝土桥面板和工字形或槽形等钢梁通过抗剪连接件结合而成的组合桥梁。本规范的规定不适用其他截面形式的组合桥梁结构(如钢结构外包混凝土或混凝土外包钢结构)。
1.0.3 本规范采用以概率理论为基础的极限状态设计方法(疲劳计算除外),按分项系数的表达式进行设计。
条文说明
1.0.3按照极限状态法进行设计是现行国家标准《工程结构可靠性设计统一标准》GB50153的基本要求。极限状态分为承载能力和正常使用两类。 承载能力极限状态涉及桥梁的结构安全,包括构件及连接强度、疲劳、结构整体稳定等;正常使用极限状态涉及桥梁的使用条件及耐久性,包括结构的变形、抗裂性等。桥梁结构满足两种极限状态。保证了结构的安全性、适用性及耐久性,使桥梁结构满足可靠性的要求,达到全部预定的功能。 以概率理论为基础的极限状态设计,在基准期内结构的可靠指标满足目标指标,结构安全是指在统计基准期中概率意义上的安全。
1.0.4 钢-混凝土组合桥梁设计除应符合本规范外,尚应符合国家现行有关标准的规定。
条文说明
1.0.4需要满足的其他相关规范由本规范的适用范围所确定,公路工程中的组合桥梁的设计需要满足公路桥梁规范的要求,城市组合桥梁的设计需要满足城市桥梁规范的要求。
2 术语和符号
2.1 术语
2 术语和符号
条文说明
术语列出了与组合桥梁相关的专业性术语,以达到概念解释与表达统一的目的。符号按材料性能、作用与作用效应、计算系数等几个部分列出。主体符号参照公路桥梁规范,以达到设计使用习惯的一致性。
2.1 术 语
2.1.1 钢-混凝土组合梁 steel-concrete composite beam
由混凝土桥面板与钢梁通过抗剪连接件组合而成能整体受力的梁。
2.1.2 抗剪连接件 shear connector
用于连接钢梁与混凝土桥面板并承受二者之间的水平剪力,能抵抗二者相对滑移、竖向分离,保证二者共同工作的部件。
2.1.3 有效宽度 effective width
在进行截面强度和稳定计算时,假定板件有效的那一部分宽度。
2.1.4 有效弹性模量 effective modulus of elasticity
将混凝土徐变随时间变化引起的应力-应变非线性关系等效为线性关系的等效弹性模量。
2.1.5 材料强度标准值 characteristic value of material strength
设计结构或构件时采用的材料强度的基本代表值。
2.1.6 材料强度设计值 design value of material strength
材料强度标准值除以材料强度分项系数后的值。
2.1.7 作用效应基本组合 fundamental combination for action effects
承载能力极限状态设计时,永久作用设计值效应与可变作用设计值效应的组合。
2.1.8 作用效应标准组合 standard combination for action effects
永久作用标准值效应与主导可变作用标准值效应、伴随可变作用组合值效应的组合。
2.2 符号
2.2 符 号
2.2.1 材料性能
E c ——混凝土的弹性模量;
E c Φ ——混凝土的有效弹性模量;
E p ——预应力筋的弹性模量;
E r ——普通钢筋的弹性模量;
E s ——钢材的弹性模量;
G c ——混凝土的剪切模量;
G s ——钢材的剪切模量;

ck 、
cd ——混凝土轴心抗压强度标准值、设计值;

tk 、
td ——混凝土轴心抗拉强度标准值、设计值;

y ——钢材屈服强度;

d ——钢材抗拉、抗压和抗弯强度设计值;

vd ——钢材抗剪强度设计值;

ced ——钢材端面承压强度设计值;

y std 、
std ——栓钉的屈服强度和抗拉强度;

sk 、
sd ——普通钢筋抗拉强度标准值、设计值;

pk 、
pd ——预应力筋抗拉强度标准值、设计值;
′ sd 、
′ pd ——普通钢筋、预应力筋抗压强度设计值。
2.2.2 作用与作用效应
M——弯矩设计值;
N s ——计算荷载下单个抗剪连接件承受的剪力;
N c v ——抗剪连接件的抗剪承载力设计值;
P d ——高强度螺栓的预拉力设计值;
T p ——预应力筋有效预拉力;
V——剪力设计值;
σ c ——混凝土桥面板应力;
σ s ——钢梁应力;
σ pe ——体外预应力筋的有效应力;
σ pu ——体外预应力筋的极限应力;
σ pu,d ——体外预应力筋的极限应力设计值;
△σ e ——体外预应力筋的弹性应力增量;
△σ pu ——体外预应力筋的极限应力增量。
2.2.3 几何参数
A c ——混凝土桥面板的截面面积;
A s ——钢梁的截面面积;
A 0 ——混凝土桥面板与钢梁组成截面的换算面积;
A sc ——钢梁受压区的截面面积;
A p ——体外预应力筋的截面面积;
A r ——混凝土桥面板内纵向钢筋的截面面积;
A rt ——负弯矩区混凝土桥面板有效宽度范围内的纵向钢筋截面面积;
A sd ——栓钉的栓杆截面面积;
H——组合梁截面高度;
L——组合梁计算跨度;
I 0 ——组合梁截面换算截面惯性矩;
b c ——混凝土桥面板的有效宽度;
h——钢梁截面高度;
h 0 ——钢梁腹板计算高度;
h c1 ——混凝土桥面板的厚度;
h c2 ——混凝土桥面板的承托高度;
l d ——栓钉纵向间距;
n r ——一个剪跨区的抗剪连接件数目;
n f ——每个剪跨区段内抗剪连接件的数目;
y 1 ——混凝土桥面板受压区截面形心至钢梁受拉区截面形心的距离;
y 2 ——钢梁受压区截面形心至钢梁受拉区截面形心的距离;
y 3 ——体外预应力筋的截面形心至钢梁受拉区截面形心的距离;
y 4 ——混凝土桥面板内纵向钢筋的截面形心至钢梁受拉区截面形心的距离;
y c ——混凝土桥面板顶至组合梁弹性中和轴的距离;
y s ——钢梁下翼缘至组合梁弹性中和轴的距离。
2.2.4 计算系数及其他
n 0 ——钢与混凝土的弹性模量比;
n L ——钢与混凝土的有效弹性模量比。
3 材料
3.1 混凝土
3 材 料
3.1 混 凝 土
3.1.1 混凝土强度等级应按边长为150mm立方体试件的抗压强度标准值确定。
条文说明
3.1.1抗压强度标准值系指试件用标准方法制作、养护至28d龄期,以标准试验方法测得的具有95%保证率的抗压强度(以MPa计)。 混凝土强度等级为边长150mm的立方体抗压强度总体分布平均值减去1.645倍标准差(方差)的值,前冠C,是混凝土各项力学指标的基本代表值。
3.1.2 钢-混凝土组合梁的主要受力构件中混凝土强度等级应符合下列规定:
1 钢筋混凝土构件不应低于C30,且不宜大于C60。
2 预应力混凝土构件不应低于C40。
条文说明
3.1.2主要受力混凝土构件一般系指桥面板,根据当前国内材料的使用及施工的特点,混凝土强度等级选用C30~C60。
3.1.3 混凝土轴心抗压强度标准值f ck 和轴心抗拉强度标准值f tk 应按表3.1.3采用。
表3.1.3 混凝土强度标准值(MPa)

条文说明
3.1.3轴心抗压强度标准值是以棱柱体强度为基础的,并考虑实体结构与试件的差异对强度的影响,且适当考虑混凝土的脆性对强度的影响。轴心抗压强度标准值与立方体强度(强度等级)的关系为:
ck=kc1kc2kc3
cu,k(1) 式中:
ck——混凝土轴心抗压强度标准值; kc1——棱柱体强度与立方体强度的换算系数,按试验数据统计取值,C50及以下混凝土取0.76,C55~C80取0.78~0.82(线性内插); kc2——构件强度与试件强度的换算系数,按试验数据及经验取0.88; kc3——混凝土的脆性系数,C40以下取为1.0,C40~C80取1.0~0.87(线性内插);
cu,k——混凝土强度等级。 如混凝土强度等级C50的抗压强度标准值为:50×0.76×0.88×0.97=32.4(MPa)。
3.1.4 混凝土轴心抗压强度设计值f cd 和轴心抗拉强度设计值f td 应按表3.1.4采用。
表3.1.4 混凝土强度设计值(MPa)

条文说明
3.1.4混凝土强度设计值是在标准值的基础上,根据可靠度指标所确定的材料分项系数进行计算得到。本规范的取值与现行行业标准《公路钢筋混凝土及预应力混凝土桥涵设计规范》JTGD62中的取值一致。
3.1.5 混凝土受压或受拉时的弹性模量E c 应按表3.1.5采用。
表3.1.5 混凝土的弹性模量(MPa)

注:当采用引气剂及较高砂率的泵送混凝土且无实测数据时,表中C50~C60的E c 值应乘以折减系数0.95。
条文说明
3.1.5混凝土弹性模量同现行行业标准《公路钢筋混凝土及预应力混凝土桥涵设计规范》JTGD62中的取值。
3.1.6 混凝土的剪切模量G c 可按本规范表3.1.5数值的0.4倍采用,混凝土的泊松比υ c 可采用0.2,混凝土的温度线膨胀系数α c 可取为1×10 -5 /℃。
条文说明
3.1.6混凝土的其他物理力学指标(剪切模量、泊松比、线膨胀系数)同现行行业标准《公路钢筋混凝土及预应力混凝土桥涵设计规范》JTGD62中的取值。
3.2 钢材
3.2 钢 材
3.2.1 钢-混凝土组合梁的钢结构应根据结构形式、受力特点、连接方式及所处环境条件合理选用钢材的牌号和质量等级。
条文说明
3.2.1钢材的生产过程,包括熔炼、脱氧、轧制及后期的处理等,这些都对钢材的物理力学性能有较大的影响。钢材的制作安装、受载方式、低温和腐蚀介质的影响,则会对结构的性能产生较大的影响。 结构工程中所用的钢材都是塑性比较好的材料,与其他结构材料比较,强度要高得多,截面尺寸也要小得多。同时,虽然结构钢材有比较好的韧性,但材质、板厚、受力状态、温度都会对它有影响。 对于桥梁结构中用的钢材,由于应力水平高、受力复杂、动力作用大等因素,钢材的牌号及质量等级需要针对结构的特点进行匹配。 钢材的质量等级,主要是钢材的韧性指标,反映钢材韧性对温度的敏感程度,即脆断敏感性。质量等级中对应的温度为试验温度,相对于同一韧性指标,试验温度越低,则表示钢材脆断敏感性越低。 设计选用何种质量等级的钢材,需要根据最大板厚、工程所在地最低温度、构造细节、应力水平及应变速率等多种因素来综合考虑。直接采用工程所在地最低温度对应试验温度来选用钢材质量等级,不能保证材料选择的安全性及合理性,且对于一般的工程而言偏于保守。最大板厚选择与试验温度和最低温度的关系及控制要求可参见英国钢桥规范《Steel,concreteandcompositebridges—Part3:Codeofpracticefordesignofsteelbridges》BS5400-3:2000中关于最大容许板厚的相关条文。
3.2.2 钢-混凝土组合梁的钢材可采用Q235钢、Q345钢、Q390钢和Q420钢,其质量应分别符合现行国家标准《碳素结构钢》GB/T 700和《低合金高强度结构钢》GB/T 1591的规定。钢材强度设计值应按表3.2.2采用。
表3.2.2 钢材的强度设计值(MPa)


注:表中厚度系指计算点的钢材厚度,对轴心受拉和轴心受压构件系指截面中较厚板件的厚度。
条文说明
3.2.2现行国家标准《碳素结构钢》GB/T700、《低合金高强度结构钢》GB/T1591是结构用钢材的基本材料标准。
3.2.3 设计使用年限为100年的钢-混凝土组合梁宜采用桥梁用结构钢,其质量应符合现行国家标准《桥梁用结构钢》GB/T 714的规定。钢材强度设计值应按表3.2.3采用。
表3.2.3 钢材的强度设计值(MPa)


注:表中厚度系指计算点的钢材厚度,对轴心受拉和轴心受压构件系指截面中较厚板件的厚度。
条文说明
3.2.3现行国家标准《桥梁用结构钢》GB/T714是适用桥梁结构特点的专用钢材标准。对于设计使用年限为100年的组合桥梁的钢结构材料宜采用桥梁用结构钢。 钢材的强度设计值是根据极限状态下可靠度指标要求的、含材料分项系数的设计计算值。 (1)抗拉、抗压和抗弯强度设计值
d是以钢材的屈服点为基础除以材料抗力分项系数γR并取5的整倍数而得。材料的抗力分项系数取γR=1.25。钢材的屈服点取自现行国家标准《桥梁用结构钢》GB/T714。例如:厚度为50mm以下的Q345q钢,其屈服强度
y=345MPa,则抗拉、抗压和抗弯强度设计值
d=
y/γR=345/1.25=276(MPa),取为275MPa。 (2)钢材的抗剪强度设计值
vd是以
d为基础,
vd=
d/√3=0.577
d,与国内其他相关规范保持一致。 (3)钢件端面承压(刨平顶紧)使接触处产生局部塑性变形,扩大了接触面积,相当于提高了钢材承压承载力,取
ced=1.5
d,与国内其他相关规范保持一致。
3.2.4 钢梁及连接件的焊接应符合下列规定:
1 手工焊接采用的焊接材料应符合现行国家标准《碳钢焊条》GB 5117或《低合金钢焊条》GB 5118的规定。选用的焊条型号应与主体金属性能相适应。
2 自动焊接或半自动焊接采用的焊丝和焊剂,应与主体金属性能相适应,并应符合国家现行相关标准的规定。
条文说明
3.2.4焊接材料及相应的焊接工艺,直接影响焊接接头的性能,选择经过工艺评定所确认的与主体钢材匹配的焊接材料及工艺,是保证焊接质量的基本要求。
3.2.5 钢梁及连接件使用的高强螺栓应符合下列规定:
1 高强度螺栓、螺母、垫圈应符合现行国家标准《钢结构用高强度大六角头螺栓、大六角螺母、垫圈技术条件》GB/T 1231或《钢结构用扭剪型高强度螺栓连接副》GB/T 3632的规定。
2 高强度螺栓的预拉力设计值P d 应按表3.2.5采用。
3 高强度螺栓连接的钢材摩擦面抗滑移系数宜采用0.45。
表3.2.5 高强螺栓的预拉力设计值(kN)

条文说明
3.2.5本条规定了采用高强度螺栓用于摩擦型连接的材料要求及设计预拉力。
3.2.6 构件中设置的栓钉应符合现行国家标准《电弧螺柱焊用圆柱头焊钉》GB/T 10433的规定。栓钉的力学性能应符合表3.2.6的规定。
表3.2.6 栓钉的力学性能(MPa)

条文说明
3.2.6作为抗剪连接件的栓钉,其性能与焊接工艺有其明确特定的要求,应满足现行国家标准的要求。
3.2.7 钢材的物理性能指标应按表3.2.7采用。
表3.2.7 钢材的物理性能指标

条文说明
3.2.7物理性能是钢材的基本指标。其中,组合桥梁钢与混凝土在温度作用下由于不同的线膨胀系数会引起截面内的约束应力,因此一般不得采用与混凝土一致的线膨胀系数来简化计算温度作用的效应。钢材的线膨胀系数取为1.2×10-5/℃。
3.3 普通钢筋
3.3 普通钢筋
3.3.1 钢筋混凝土及预应力混凝土中的普通钢筋宜选用HPB300、HRB400、HRB500、HRBF400、HRBF500和RRB400钢筋,并应符合现行国家标准《钢筋混凝土用钢 第1部分:热轧光圆钢筋》GB 1499.1或《钢筋混凝土用钢 第2部分:热轧带肋钢筋》GB 1499.2的规定。
条文说明
3.3.1钢筋材料的选用要求,原则与现行的国内其他规范一致,并按新的国家标准的选材原则取消了HRB235钢筋。
3.3.2 普通钢筋的抗拉强度标准值应具有不小于95%的保证率。
普通钢筋的抗拉强度标准值f sk 应按表3.3.2采用。
表3.3.2 普通钢筋抗拉强度标准值

条文说明
3.3.2普通钢筋的强度标准值取自相应国家标准的钢筋屈服点(具有不小于95%的保证率)。
3.3.3 普通钢筋的抗拉强度设计值f sd 和抗压强度设计值f′ sd 应按表3.3.3采用。
表3.3.3 普通钢筋抗拉、抗压强度设计值(MPa)

注:1 钢筋混凝土轴心受拉和小偏心受拉构件的钢筋抗拉强度设计值大于330MPa时,应按330MPa取用;在斜截面抗剪承载力、受扭承载力和冲切承载力计算中垂直于纵向受力钢筋的箍筋或间接钢筋等横向钢筋的抗拉强度设计值大于330MPa时,应按330MPa取用。
2 构件中配有不同种类的钢筋时,每种钢筋应采用各自的强度设计值。
条文说明
3.3.3普通钢筋的强度设计值为强度标准值除以材料分项系数1.2并取整,满足目标可靠指标的要求。
3.3.4 普通钢筋的弹性模量E r 应按表3.3.4采用。
表3.3.4 普通钢筋的弹性模量(MPa)

条文说明
3.3.4与现行有关国家标准取值一致。
3.4 预应力筋
3.4 预应力筋
3.4.1 预应力钢-混凝土组合梁中的预应力筋应选用钢绞线、钢丝,中、小型构件或横向预应力筋也可选用精轧螺纹钢筋。
钢绞线应满足现行国家标准《预应力混凝土用钢绞线》GB/T 5224的要求,钢丝应满足现行国家标准《预应力混凝土用钢丝》GB/T 5223的要求,精轧螺纹钢应满足现行国家标准《预应力混凝土用螺纹钢筋》GB/T 20065的要求。
无粘结钢绞线应满足现行行业标准《无粘结预应力钢绞线》JG 161的要求,成品与非成品体外索的保护应满足相关规范的要求。
条文说明
3.4.1组合桥梁的预应力筋一般分为混凝土桥面板内配置与整体梁上体外配置两种方式。 体内配置的预应力筋通常采用钢绞线及钢丝,中小型构件中也采用精轧螺纹钢筋;体外钢束一般采用钢绞线(镀锌或环氧涂层钢绞线)。 预应力钢丝系指现行国家标准《预应力混凝土用钢丝》GB/T5223及其第一号修改单中消除应力的三面刻痕钢丝、螺旋肋钢丝和光面钢丝。
3.4.2 预应力筋的抗拉强度标准值应具有不小于95%的保证率。
预应力筋的抗拉强度标准值f pk 应按表3.4.2采用。
表3.4.2 预应力筋抗拉强度标准值(MPa)

条文说明
3.4.2钢绞线与钢丝的抗拉标准强度取自现行国家标准的抗拉极限强度,精轧螺纹钢的抗拉标准强度取自相关标准的材料屈服点。均有不小于95%的保证率。
3.4.3 体内有粘结预应力筋的抗拉强度设计值f pd 和抗压强度设计值f′ pd 应按表3.4.3采用。
表3.4.3 预应力筋抗拉、抗压强度设计值(MPa)


条文说明
3.4.3预应力筋的强度设计值与极限状态下的应力有关。一般认为,体内配置的预应力筋在极限状态下能达到其屈服点(或条件屈服点),所以体内配置的预应力筋强度设计值为材料屈服点除以材料分项安全系数。 钢绞线以标准强度的0.85倍作为条件屈服点,故其强度设计值为标准强度乘以0.85后除以材料分项安全系数1.25。如标准强度(极限强度)为1860MPa的钢绞线,其强度设计值为1860×0.85/1.25=1264.8(MPa),取整为1260MPa。 精轧螺纹标准强度即为屈服点,故强度设计值为标准强度除以材料分项系数(1.20),如标准强度为785MPa的精轧螺纹钢筋,其强度设计值为785/1.20=654.2(MPa),取整为650MPa。 本规范的取值与现行行业标准《公路钢筋混凝土及预应力混凝土桥涵设计规范》JTGD62一致。 需要说明的是,对于体外配置的预应力钢束(或体内的无粘结筋),由于其极限状态下的极限应力与结构的整体有关,一般达不到屈服点,故承载能力公式中的强度设计值应是在极限应力的基础上进行材料安全系数的折减。
3.4.4 体外无粘结预应力筋的极限应力设计值σ pu,d 应采用预应力的极限应力σ pu 除以考虑材料性能、结构体系等因素的分项系数γ pu ,γ pu 可取1.2。
条文说明
3.4.4体外无粘结预应力筋的极限应力设计值为极限应力除以考虑材料性能、结构体系等因素的分项系数,满足目标可靠指标的要求。
3.4.5 预应力筋的弹性模量E p 应按表3.4.5采用。
表3.4.5 预应力筋的弹性模量(MPa)

条文说明
3.4.5预应力筋的弹性模量与其他现行有关标准一致。
4 基本规定
4.1 一般规定
4 基本规定
4.1 一般规定
4.1.1 钢-混凝土组合桥梁应对其构件及连接件进行下列验算:
1 按承载能力极限状态的要求进行持久状况及偶然状况的承载力、整体稳定计算。
2 按正常使用极限状态的要求进行持久状况的抗裂性、应力、挠度、局部稳定验算,以及耐久性设计。
3 按短暂状况结构受力状态的要求进行施工等工况的验算。
条文说明
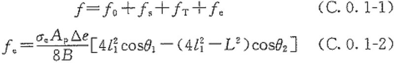
4.1.1承载能力极限状态计算包括了持久状况及偶然状况下构件截面的承载能力计算,以及稳定、倾覆、疲劳的计算。在作用及荷载的组合中,截面抗弯、抗剪承载能力以及整体稳定计算时效应组合按照基本组合;倾覆计算和疲劳计算时效应组合按照标准组合(表1)。 正常使用极限状态计算包括了持久状况下构件的挠度、抗裂性及应力等验算。应力验算是用工程实践经验来控制结构的正常使用状态,实质上也是强度计算的补充。 短暂状况一般可以采用应力控制,但对于结构受力状态比较复杂的施工工况,也应该进行承载能力及变形的验算及控制。 组合桥梁由于其施工顺序对结构的应力及变形状态影响较大,在计算应力及变形时,应考虑施工顺序的影响。 表1 验算内容及荷载组合表

4.1.2 钢-混凝土组合桥梁的设计基准期应为100年。
条文说明
4.1.2设计基准期是为确定可变作用等的取值而选用的时间参数。采用以可靠性理论为基础的极限状态设计法需要确定选定的时间段,将其作为评定各种可变作用取值及与时间相关的材料性能取值的依据,这个时间段即为设计基准期。基准期内的结构安全并非绝对意义上的安全,而是结构的可靠指标满足目标指标,在统计基准期中概率意义上的安全。根据国家标准《工程结构可靠性设计统一标准》GB50153-2008附录A第A.3.2条,桥梁结构的设计基准期应为100年。
4.1.3 钢-混凝土组合桥梁的设计使用年限应按表4.1.3采用。
表4.1.3 钢-混凝土组合桥梁的设计使用年限

注:对有特殊要求结构的设计使用年限,可在上述规定基础上经技术经济论证后予以调整。
条文说明
4.1.3设计使用年限是设计规定的结构或者构件不需要进行大修即可按预定目的使用的年限,即桥梁在正常设计、正常施工、正常使用、正常维护下达到的使用年限。根据国家标准《工程结构可靠性设计统一标准》GB50153-2008附录A第A.3.3条,桥梁结构的设计使用年限按照本规范的表4.1.3的规定采用。
4.1.4 钢-混凝土组合梁的钢梁可采用工字形或槽形等截面形式,混凝土桥面板可采用现浇或预制,连接件可采用栓钉、开孔板或槽钢等形式。
条文说明
4.1.4本条规定了本规范适用的钢-混凝土组合桥梁的基本形式。实际设计中,断面的形式与跨径有一定的关系,一般简支梁当跨径不大于35m时可采用工字形钢梁,大于35m宜采用槽形钢梁。对于连续梁,跨径可适当加大,但边跨与中跨之比不宜小于0.70。钢与混凝土组合截面的中心轴一般宜置于钢梁截面内。
4.1.5 钢-混凝土组合梁桥面板的有效宽度b c 应符合下列规定:
1 组合梁各跨跨中及中间支座处的混凝土桥面板有效宽度b c (图4.1.5)应按下列公式计算,且不应大于混凝土桥面板实际宽度:
b c =b 0 +∑b ci (4.1.5-1)
b ci =L c,i /6≤b i (4.1.5-2)
式中:b 0 ——钢梁腹板上方最外侧剪力连接件中心间距(mm);
b ci ——钢梁腹板一侧的混凝土桥面板有效宽度(mm)。其中b i 为最外侧剪力件中心至相邻钢梁腹板上方的最外侧剪力件中心距离的一半或最外侧剪力件中心至混凝土桥面板自由边的距离;
L c,i ——等效跨径(mm),简支梁应取计算跨径,连续梁应按图4.1.5(a)选取。
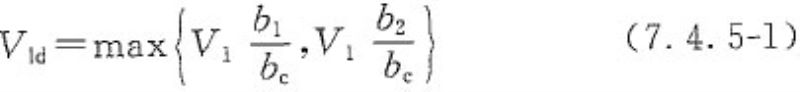
2 简支梁支点和连续梁边支点处的混凝土桥面板有效宽度b c 应按下列公式计算:
b c =b 0 +∑β i b ci (4.1.5-3)
β i =0.55+0.025L c,i /b i ≤1.0 (4.1.5-4)
3 混凝土桥面板有效宽度b c 沿梁长的分布可假设为如图4.1.5(b)所示的形式。
4 预应力组合梁在计算预加力引起的混凝土应力时,预加力作为轴向力产生的应力可按实际混凝土桥面板全宽计算;由预加力偏心引起的弯矩产生的应力可按混凝土桥面板有效宽度计算。
5 对超静定结构进行整体分析时,组合梁混凝土桥面板有效宽度可取实际宽度。

图4.1.5 混凝土桥面板等效跨径及有效宽度示意图
条文说明
4.1.5梁受弯时,混凝土桥面板由于剪滞效应,在横向同一纤维层上的法向应力呈不等值。初等材料力学方法的平截面假定不成立,但可采用高等材料力学方法进行求解。在保证工程设计计算精度的前提下,为了能用简便的初等材料力学公式求解,采用了有效宽度的概念,按照峰值应力相等或者应力体积相等的原则对计算宽度进行折减,使得按初等材料力学公式求解的应力等于按高等材料学方法求解的峰值应力(或应力体积相等)。 本条系参照欧洲规范《Eurocode4:Designofcompositesteelandconcretestructures》(以下简称欧洲规范4)中关于组合梁有效宽度的规定采用。
4.1.6 预应力钢-混凝土组合梁在正常使用极限状态计算中,预应力损失计算应包括下列内容:
1 体内布置钢束应力损失因素:
预应力筋与管道壁之间的摩擦 σ l1 ;
锚具变形、钢筋回缩和接缝压缩 σ l2 ;
预应力筋与台座之间的温差 σ l3 ;
材料的弹性压缩 σ l4 ;
预应力筋的应力松弛 σ l5 ;
混凝土的收缩和徐变 σ l6 。
2 体外布置钢束应力损失因素:
转向构造和锚固构造管道壁摩擦阻力 σ l1 ;
锚具变形、钢筋回缩和接缝压缩 σ l2 ;
材料的弹性压缩 σ l4 ;
预应力筋的应力松弛 σ l5 ;
混凝土的收缩和徐变 σ l6 。
3 应计入预应力筋与锚圈口之间的摩擦等因素引起的预应力损失。
4 计算混凝土收缩徐变因素引起的预应力损失时,应计入钢结构对混凝土的约束作用。
5 预应力损失宜根据试验确定,当无可靠试验数据时,体内配置钢束各类因素引起的预应力损失计算可按现行行业标准《公路钢筋混凝土及预应力混凝土桥涵设计规范》JTG D62的相应规定计算。
条文说明
4.1.6钢-混凝土组合梁在混凝土桥面板内布置的预应力筋的应力损失因素与混凝土梁是基本一致的。体外钢束一般没有先张法预应力的做法,故体外钢束的预应力损失因素少了预应力筋与台座之间的温差一项。 受钢结构的约束,钢-混凝土组合梁的混凝土桥面板的收缩徐变作用会引起整个截面内的约束应力,导致混凝土收缩徐变应变由于钢结构约束而呈现出组合梁的特点,其应变值一般较混凝土梁要小。故收缩徐变因素引起的预应力损失需要考虑这个特点,可根据预应力重心处由于收缩徐变作用引起的应力重分布后的应力增量(应变增量)来计算相应的预应力损失。 对于体外预应力,收缩徐变会增加结构的变形量,一般体外钢束的预应力值会略有增加而不是降低,如偏安全地简化计算,可不计收缩徐变因素引起的体外钢束预应力损失。
4.1.7 混凝土收缩徐变可按现行行业标准《公路钢筋混凝土及预应力混凝土桥涵设计规范》JTG D62的相应条款计算。
条文说明
4.1.7混凝土的收缩徐变模型系采用行业标准《公路钢筋混凝土及预应力混凝土桥涵设计规范》JTGD62-2004中附录F的计算模型。此模型是基于《CEB—FIPModelCode》中的公式,按一般硅酸盐水泥或快硬水泥的影响系数修正,并针对C50以上的混凝土进行了折减。 详见行业标准《公路钢筋混凝土及预应力混凝土桥涵设计规范》JTGD62-2004条文说明第6.2.7条。
4.1.8 钢-混凝土组合梁的温度作用应按下列规定计算:
1 计算组合梁由于均匀温度作用引起的效应时,应从受到约束时的结构温度开始,计算环境最高和最低有效温度的作用效应。当缺乏实际调查资料时,最高和最低有效温度标准值可按现行行业标准《公路桥涵设计通用规范》JTG D60取值。材料线膨胀系数应按本规范第3.1.6条和第3.2.7条的规定取值。
2 计算组合梁由于梯度温度引起的效应时,宜采用表4.1.8所示的竖向温度梯度分布形式。
表4.1.8 钢-混凝土组合梁的梯度温度分布

注:温度值T 1 、T 2 为相对值。
条文说明
4.1.8组合桥梁的钢结构与混凝土桥面板结合后,在整体升降温的作用下,由于钢与混凝土不同的线膨胀系数,截面内会产生约束自应力。在梯度温度的作用下,截面内会产生自应力。对于超静定结构,截面的自应力还会引起二次内力。 整体升降温作用及梯度温度作用的取值与行业标准《公路桥涵设计通用规范》JTGD60-2004第4.3.10条规定一致。 在一定的时间周期内,钢-混凝土组合梁上表面的温升、温降将导致梁部经历最高(顶面温度高)、最低(顶面温度低)温度的变化。由于钢和混凝土的导热性能不同使二者温度沿梁截面高度方向产生梯度而产生内力,当环境温度变化保持一段时间后,二者温度趋于一致,该内力逐渐消失。故梯度温度产生的内力是短期的。 所有研究均显示,梯度温度沿梁截面高度的分布是非线性的,且一般可表达为两种分布形式:分段折线形式(称为“一般形式”),混凝土桥面板均匀升降温形式(称为“简化形式”)。采用一般形式的主要规范有我国的《公路桥涵设计通用规范》JTGD60-2004、英国的《钢-混凝土和组合梁桥规范》BS5400:PART2:1978(Steel,concreteandcompositebridges—Part2:Specificationforloads)、美国各州联合规范(《AASHTOLRFDBridgeDesignSpecifications》,ThirdEdition,2004)等,此外,2003年中南大学对青藏铁路组合梁试件进行了降温试验而得到的梯度温度分布形式和2004年广东省建筑设计研究院对观音沙大桥(跨径65m+2×120m+65m刚构桥)混凝土箱梁断面测试的竖向梯度温度也接近此分布形式。采用简化形式的主要规范有我国的公路标准《公路桥涵钢结构及木结构设计规范》JTJ025-86、我国的铁路标准《铁路结合梁设计规定》TBJ24-89、日本规范《钢道路桥示方书I钢桥篇》。欧洲规范BSEN1991-1-5:2003(Eurocodel:Actionsonstrucures—Part1-5:Generalactions—Thermalactions)同时采用了上述两种形式。可见,组合梁梯度温度的分布形式受区域温度的分布情况影响不大,主要受材料的热传导性能控制。 对于钢-混凝土组合梁梯度温度的取值,各国“一般形式”的温度取值差别较大,美国把全国分为四个温度区,梯度温度的升温最大值为21℃~30℃,降温最大值根据铺装类型分别为升温最大值的-30%(混凝土铺装)和-20%(沥青混凝土铺装);英国规范梯度温度的升温最大值为16℃,降温最大值为-8℃;欧洲规范与英国规范相同;各国简化形式的温度取值比较接近,分别为混凝土桥面板比钢梁温度高、低10℃~15℃。参照国内外规范,本规范沿用了我国现行行业标准《公路桥涵设计通用规范》JTGD60的规定。
4.2 承载能力极限状态计算
4.2 承载能力极限状态计算
4.2.1 钢-混凝土组合桥梁的安全等级应根据结构的重要性、结构破坏可能产生后果的严重性按表4.2.1采用。
表4.2.1 钢-混凝土组合桥梁设计安全等级

注:1 表中所列大、中、小桥系按现行行业标准《公路桥涵设计通用规范》JTG D60中的单孔跨径确定,对于多跨不等跨桥梁,以其中最大跨径为准;本表冠以“重要”的中桥和小桥,系指高速公路和一级公路上、国防公路上、城市快速路上、主干路和交通特别繁忙的城市次干路上的桥梁。
2 对有特殊要求的桥梁,其设计安全等级可根据具体情况另行确定。
条文说明
4.2.1本条是关于钢-混凝土组合桥梁安全等级的选用。表4.2.1中的安全等级划分是按照现行国家标准《工程结构可靠性设计统一标准》GB50153的相关规定,并考虑钢-混凝土组合桥梁的特点给出的,与现行行业标准《城市桥梁设计规范》CJJ11保持一致。
4.2.2 钢-混凝土组合梁的承载能力极限状态计算应采用下式:
γ 0 S ud ≤R (4.2.2-1)
当采用预应力的超静定结构时,应采用下式:
γ 0 S ud +γ p S p ≤R (4.2.2-2)
式中:γ 0 ——桥梁结构的重要性系数,对应于设计安全等级一级、二级的钢-混凝土组合桥梁应分别取不小于1.1、1.0;
γ p ——预应力分项系数,当预应力效应对结构有利时,应取1.0,不利时应取1.2;
S ud ——作用效应的组合设计值,对于汽车荷载应计入冲击系数;
S p ——扣除全部预应力损失后,预应力引起的次效应;
R——构件承载力设计值。 ( 自2022年1月1日起废止该条,详见新规 《组合结构通用规范》 GB55004-2021)
条文说明
4.2.2本条给出了承载能力极限状态计算的表达式,适用于本规范结构构件的承载力计算。本规范同时指出在计算采用预应力的超静定结构的承载能力极限状态时,应考虑由预应力引起的次效应,与现行行业标准《公路钢筋混凝土及预应力混凝土桥涵设计规范》JTGD62保持一致。本条为强制性条文。
4.2.3 当钢-混凝土组合梁进行截面承载力、整体稳定、抗剪连接件承载力计算时,作用(或荷载)的效应组合应采用现行行业标准《公路桥涵设计通用规范》JTG D60的基本组合;当进行倾覆稳定计算和疲劳计算时,作用的效应组合应采用标准组合。
条文说明
4.2.3本条规定了不同类别的承载能力极限状态计算时的作用组合方式。 国家标准《工程结构可靠性设计统一标准》GB50153-2008第4.1.1条第1款规定,当结构或结构构件丧失稳定时,应认为该结构或构件超过了承载能力极限状态。钢-混凝土组合梁不论在施工阶段还是运营阶段,当钢梁受压部分承受较大的压力时,都有可能出现失稳现象,甚至会使桥梁迅速破坏,这种破坏常呈脆性破坏的特性,具有突发性。因此,组合梁桥在承载能力极限状态设计时,除应满足本规范的强度要求外,尚应根据本规范的相关规定进行整体稳定计算。
4.2.4 钢-混凝土组合梁中混凝土桥面板的计算除应符合本规范的规定外,尚应符合现行行业标准《公路钢筋混凝土及预应力混凝土桥涵设计规范》JTG D62中的相关规定。
条文说明
4.2.4钢-混凝土组合梁中混凝土桥面板的构造及计算,与混凝土梁的区别主要是收缩徐变的约束效应对混凝土桥面板的影响、连接件对混凝土桥面板的作用及由于横桥向钢结构对混凝土桥面板约束刚度较小的影响等。
4.3 正常使用极限状态验算
4.3 正常使用极限状态验算
4.3.1 钢-混凝土组合梁的正常使用极限状态验算应采用下式:
S sd ≤C (4.3.1)
式中:S sd ——正常使用极限状态作用(或荷载)组合的效应设计值;
C——结构构件达到正常使用要求所规定的变形、应力和裂缝宽度等的限值。
条文说明
4.3.1式(4.3.1)为持久状况正常极限状态的验算表达式。作用的效应组合一般采用标准组合、频遇组合及准永久组合,不含安全等级决定的重要性系数;限值的取值源于工程实践的经验。
4.3.2 钢-混凝土组合梁的正常使用极限状态应符合下列规定:
1 对短期挠度验算及混凝土结构抗裂验算,作用(或荷载)应采用现行行业标准《公路桥涵设计通用规范》JTG D60中短期效应组合;对长期挠度验算,作用(或荷载)应采用现行行业标准《公路桥涵设计通用规范》JTG D60中长期效应组合;计算值不得超过本规范规定的各相应限值。
2 应力验算的作用(或荷载)应采用标准组合。其中,汽车荷载应计入冲击系数。
3 对连续梁等超静定结构,尚应计入由预加力、混凝土收缩徐变、基础不均匀沉降以及温度变化等引起的次效应。
条文说明
4.3.2作用的组合规定与现行行业标准《公路钢筋混凝土及预应力混凝土桥涵设计规范》JTGD62的相关规定基本一致。
4.3.3 钢-混凝土组合梁的挠度应符合下列规定:
1 由汽车荷载(不计冲击力)所引起简支或连续梁的竖向挠度,不应超过计算跨径的1/600;梁悬臂端部的竖向挠度不应超过悬臂长度的1/300。
2 当结构自重和静活载产生的挠度超过计算跨径的1/1600时,桥跨结构应设置预拱度,其值等于结构重力和1/2静活载所产生的竖向挠度和,预拱度线形应采用平顺曲线。
3 对于临时或特殊结构,其竖向挠度容许值可与有关部门协商确定。
条文说明
4.3.3梁的挠度控制是结构刚度的控制要求,预拱度设置是成桥行车平顺的要求。限值与现行行业标准《公路钢筋混凝土及预应力混凝土桥涵设计规范》JTGD62一致。
4.3.4 钢-混凝土组合梁的局部稳定应符合本规范第6.4节的要求。
条文说明
4.3.4国家标准《工程结构可靠性设计统一标准》GB50153-2008第4.1.1条第2款规定,当结构或结构构件出现影响正常使用或耐久性能的局部损坏状态,应认为该结构或结构构件超过了正常使用极限状态。钢-混凝土组合梁的抗弯能力主要来自翼缘,翼缘若局部失稳,将招致全梁破坏;一旦翼缘板出现失稳,腹板就失掉了翼板对它的支撑,就没有强大的拉力场,腹板也很容易急剧增加其屈曲,甚至促使全梁破坏。另外,组合梁的混凝土桥面板由于受温度、混凝土收缩和钢梁约束等因素,桥面板容易出现裂纹,严重时可影响桥梁的整体性。因此,钢-混凝土组合桥梁按正常使用极限状态设计时,除应满足本规范规定的强度要求外,尚应根据本规范的相关规定,进行结构局部稳定和混凝土开裂验算。
4.3.5 钢-混凝土组合梁中的混凝土结构裂缝宽度应根据环境类别按现行行业标准《公路钢筋混凝土及预应力混凝土桥涵设计规范》JTG D62的限值要求进行验算。
条文说明
4.3.5对于不同的环境类别,混凝土裂缝的控制要求与现行行业标准《公路钢筋混凝土及预应力混凝土桥涵设计规范》JTGD62一致。 组合桥梁的混凝土桥面板由于混凝土收缩受到钢梁的约束,在板内会产生拉应力,即使是正弯矩区段,桥面板仍可能出现裂缝,设计计算时应给予充分重视。
4.4 持久状况及短暂状况应力验算
4.4 持久状况及短暂状况应力验算
4.4.1 对短暂状况的设计,应计算构件在制作、运输及安装等施工阶段由自重、施工荷载等引起的应力,并不应超过本节规定的限值。施工荷载除有特别规定外,均应采用标准组合;温度作用效应可按施工时实际温度场取值;动力安装设备产生的效应应乘以相应的动力系数。
4.4.2 持久状况下,钢-混凝土组合梁的应力验算应符合下列规定:
1 混凝土构件正截面的最大压应力不宜大于0.50
ck 。
2 钢结构应力不应大于75%的强度设计值,且应满足稳定的要求。
3 体内钢束(钢绞线、钢丝)最大拉应力不应大于0.65
pk 。
4 体外钢束(钢绞线、钢丝)直线段最大拉应力不应大于0.60
pk 。
4.4.3 短暂状况下,钢-混凝土组合梁的应力验算应符合下列规定:
1 混凝土构件正截面的最大压应力不宜大于0.70
ck 。
2 钢结构应力不应大于80%的强度设计值,且应满足稳定的要求。
3 体内钢束(钢绞线、钢丝)张拉控制应力不应大于0.75
pk 。
4 体外钢束(钢绞线、钢丝)张拉控制应力不应大于0.65
pk 。
条文说明
4.4.1~4.4.3应力限值的取值源于工程实践经验,并与目前现行的有关规范基本一致。部分控制值作为强度验算的补充。
4.5 倾覆稳定计算
4.5 倾覆稳定计算
4.5.1 钢-混凝土组合梁刚体倾覆稳定计算应采用下式:
γ qf S sk ≤S bk (4.5.1)
式中:γ qf ——抗倾覆稳定系数,不应小于2.5;
S sk ——不平衡作用效应的标准组合;
S bk ——平衡作用效应的标准组合。
条文说明
4.5.1结构的倾覆稳定是属于结构承载能力极限状态的问题,其破坏具有突然性与严重性。 桥梁的倾覆主要是由于汽车荷载的偏载作用。倾覆的极限状态主要有:一是在偏载作用下,梁作为刚体绕某一倾覆轴线达到临界状态;二是在偏载作用下,梁体某些部分产生较大的转角,引起约束条件及平衡条件的改变,恒载由稳定效应逐步变为倾覆效应而达到临界状态。 一般横向均采用双支点支承的梁体倾覆主要是第一种状态。边墩采用双支点支承、中墩采用单支点支承的连续梁(直线梁或曲线梁)可能发生第二种状态。第一种状态验算较为直观简单,采用简单的力学平衡公式即可解决;第二种状态过程较为复杂,应以控制约束条件的有效性及控制中支点处梁体横向转角限值来解决。具体为: (1)在最不利的荷载或作用标准组合下,支承不得出现脱空; (2)在抗倾覆系数γqf倍的倾覆作用与自重标准组合下,任一支承处梁体的横向转角一般不得超过1/50。 综合实际运营汽车与设计汽车荷载的相互关系,确定抗倾覆系数γqf不应小于2.5。
4.5.2 计算倾覆稳定的汽车荷载及其组合应符合下列规定:
1 验算倾覆稳定的汽车荷载应采用现行行业标准《公路桥涵设计通用规范》JTG D60或《城市桥梁设计规范》CJJ 11中的车道荷载,集中荷载标准值应乘以1.2的系数。
2 汽车荷载横向应按相应规范的最不利位置布置,多车道桥梁汽车荷载产生的效应不得折减。
3 汽车荷载应计入冲击作用。
4 应计入风荷载与汽车荷载的共同作用。
条文说明
4.5.2同向两个车道以上的折减,对于倾覆影响不大,折减系数偏安全的取为1.0(不折减);与汽车荷载同时作用的风荷载,可按工程所在地10年一遇及25m/s风速的小值计算。汽车荷载的冲击作用系数是基于支承力的系数,宜适当取大。
4.6 疲劳计算
4.6 疲劳计算
4.6.1 钢-混凝土组合梁的疲劳计算应采用下式:
△σ≤[△σ] (4.6.1)
式中:△σ——应力幅;对于常幅疲劳,△σ=σ max -σ min ;对于变幅疲劳,△σ可取为等效常幅应力幅;
[△σ]——容许应力幅。
4.6.2 钢-混凝土组合梁的疲劳计算应采用容许应力幅法,应力应按弹性状态计算。容许疲劳应力幅应按构件与连接件类别以及应力循环次数确定。
4.6.3 钢-混凝土组合梁的结构构件与连接应进行疲劳验算。
4.6.4 连接件的疲劳验算应符合本规范第7.3节的规定。
条文说明
4.6.1~4.6.4本规范的疲劳验算方法采用容许应力幅法,与现行有关标准一致,具体验算可参照相应钢结构规范。连接件的疲劳验算应符合本规范的相关条文规定。
5 承载能力极限状态计算
5.1 抗弯承载力计算
5 承载能力极限状态计算
5.1 抗弯承载力计算
5.1.1 钢-混凝土组合梁的截面当符合表5.1.1的要求时,可采用塑性设计方法计算抗弯承载力。不符合时,应采用弹性设计方法进行,计算时应计入施工顺序,以及混凝土的徐变、收缩与温度等作用的影响。
表5.1.1 板件宽厚比


注:表中α为钢梁受压高度的比例系数,可近似采用下列各式计算:
正弯矩作用区段,塑性中和轴在钢梁截面内时:


式中:A st 、A sb ——分别为钢梁上翼缘、下翼缘面积;
A sc ——钢梁受压区的截面面积。
条文说明
5.1.1按塑性理论计算钢-混凝土组合梁截面的抗弯承载力时,要求构件的稳定问题不能先于截面塑性前发生,故对钢梁板件的宽厚比作出较严格的限制,以避免由于板件局部失稳而降低构件的承载力。参考欧洲规范4的要求,采用塑性方法设计时,为了保证构件的塑性发展,采用钢材的力学性能应满足强屈比
u/
y≥1.10,伸长率不小于15%,相应于抗拉强度
u的应变εu不小于15倍屈服时的应变εy。 受弯钢-混凝土组合梁根据钢结构稳定与截面塑性发展之间的关系,按欧洲规范4可以分为: 第一类截面,全截面达到塑性,并可形成塑性铰(改变结构形成内力重分布); 第二类截面,全截面可达到塑性,但不能形成塑性铰,稳定问题先于塑性铰出现; 第三类截面,截面边缘达到塑性,稳定问题先于全截面塑性出现; 第四类截面,稳定问题先于塑性出现,即承载能力完全由局部稳定控制。 第一类、第二类截面可采用塑性计算截面抗弯承载力,第三类截面可采用弹塑性计算截面承载力,第四类截面一般设计上是不允许采用的。 截面的分类按照受压翼缘板及腹板各自的不同情况进行判定。 本条规定参考了欧洲规范4的相关规定,以第一、二类截面进行控制。 当板件宽厚比不满足表5.1.1的限值,但满足本规范构造要求的截面时,可采用弹性方法计算截面抗弯承载能力,即应变满足平截面假定,应力应变关系满足虎克定律,截面边缘应力达到材料设计强度的条件来计算截面承载能力,即: roσ≤
(2) 式中:σ——基本组合下钢筋、钢梁或混凝土的计算应力值(MPa)
——钢筋、钢梁或混凝土的强度设计值(MPa)。 用塑性设计方法计算截面承载能力,其最终的极限状态可不考虑施工过程及徐变、收缩、温度作用的影响。采用弹性设计方法时,其应力的极限状态为继承应力,故应计入这些作用的影响。
5.1.2 塑性设计方法计算钢-混凝土组合梁强度时,在下列部位可不计及弯矩与剪力的相互影响:
1 受正弯矩作用的组合梁截面;
2 受负弯矩作用且A rt f sd 不小于0.15A s f d 的组合梁截面(A rt 为负弯矩区混凝土桥面板有效宽度范围内纵向钢筋的截面面积)。
条文说明
5.1.2当钢梁同时受弯受剪时,由于腹板剪应力的存在,截面的抗弯承载能力会有所降低。或者反过来说,当截面中有了较大的弯矩作用后,截面的抗剪承载能力会有所降低。 对于简支梁,一般不出现上述情况(除了在跨中弯矩最大处还有较大的集中力作用)。 对于连续梁的中支点处截面,受弯受剪最大必然同时出现。但根据试验表明,当桥面板的纵向配筋率较大,满足Art
sd≥0.15As
d(普通钢筋与钢梁的力比大于0.15)的要求时,抗剪承载能力有较大的提高,抗弯承载能力也可不考虑剪力的影响。 当不满足本条规定时,抗弯承载能力可根据下列规定计算: (1)当剪力设计值小于50%的剪力承载能力时,仍可不考虑剪力对抗弯承载能力的影响; (2)当剪力设计值等于100%的剪力承载能力时,抗弯承载能力仅由钢梁翼缘和纵向钢筋提供; (3)当剪力设计值在50%~100%的剪力承载能力之间时,抗弯承载力可在上述两种状态中线性内插。
5.1.3 塑性设计方法计算正弯矩区钢-混凝土组合梁的抗弯承载力时,应符合下列规定:
1 塑性中和轴在钢梁截面内(图5.1.3-1),即A c f cd +A r f sd <A s f d +A p σ pu,d 时,抗弯承载力应符合下列公式要求:

图5.1.3-1 塑性中和轴在钢梁内时的组合梁截面及应力图形
h c1 —混凝土桥面板的厚度;h c2 —混凝土桥面板的承托高度

式中:γ 0 ——桥梁结构的重要性系数,按本规范第4.2.1条的规定采用;
M——正弯矩设计值(N·mm);
k——考虑滑移效应的拟合系数,可取为0.96,也可采用式(5.1.3-3)进行详细计算;
A c ——混凝土桥面板的截面面积(mm 2 );
A sc ——钢梁受压区的截面面积(mm 2 );
A p ——体外预应力筋的截面面积(mm 2 );
A r ——塑性中和轴上侧混凝土桥面板内纵向钢筋的截面面积(mm 2 );
A s ——钢梁的截面面积(mm 2 );
y 1 ——混凝土桥面板受压区截面形心至钢梁受拉区截面形心的距离(mm);
y 2 ——钢梁受压区截面形心至钢梁受拉区截面形心的距离(mm);
y 3 ——体外预应力筋的截面形心至钢梁受拉区截面形心的距离(mm);
y 4 ——混凝土桥面板内纵向钢筋的截面形心至钢梁受拉区截面形心的距离(mm);
σ pu,d ——体外预应力筋的极限应力设计值(MPa),按本规范第5.1.4条计算;
f cd ——混凝土的抗压强度设计值(MPa);
f d ——钢材的抗拉强度设计值(MPa);
f sd ——混凝土桥面板内纵向钢筋的抗拉强度设计值(MPa);
r——剪力连接程度;
n r ——一个剪跨区的抗剪连接件数目,剪跨区的确定见本规范第7.5.2条;
N c v ——一个抗剪连接件的抗剪承载力设计值(MPa),按本规范第7.2节的有关公式计算。
2 塑性中和轴在混凝土桥面板内(图5.1.3-2),即A c f cd +A r f sd ≥A s f d +σ pu,d A p 时,抗弯承载力应符合下列公式要求:

式中:A cc ——塑性中和轴上侧混凝土桥面板的面积(mm 2 );
b c ——混凝土桥面板的有效宽度(mm);
χ——混凝土桥面板受压区高度(mm);
k——考虑滑移效应的拟合系数,可取为0.94,也可采用式(5.1.3-7)进行精确计算。

图5.1.3-2 塑性中和轴在混凝土桥面板内时的组合梁截面及应力图形
条文说明
5.1.3栓钉等抗剪连接件在传递钢梁和混凝土桥面板交界面上的水平剪力时会发生变形,从而在交界面上引起滑移,使钢-混凝土组合梁截面的极限抗弯强度降低,因此在计算钢-混凝土组合梁抗弯强度时应考虑滑移效应的影响。本条给出了考虑滑移效应和混凝土桥面板内普通钢筋作用的正弯矩作用下的钢-混凝土简支组合梁极限抗弯强度计算公式。 由于混凝土桥面板和钢梁之间有相对滑移,极限状态时混凝土桥面板和钢梁中都存在中和轴,钢-混凝土组合梁截面抗弯强度计算分四种情况:混凝土桥面板内中和轴在两层钢筋之间且钢梁内中和轴在钢梁上翼缘内,混凝土桥面板内中和轴在两层钢筋之间且钢梁内中和轴在钢梁腹板内,混凝土桥面板内中和轴在下层钢筋以下且钢梁内中和轴在钢梁上翼缘内,混凝土桥面板内中和轴在下层钢筋以下且钢梁内中和轴在钢梁腹板内。 本条所列的正弯矩作用区段钢-混凝土组合梁抗弯强度计算公式是结合理论公式和相关试验结果拟合得出的(详见《钢-混凝土组合梁单调静力性能和设计理论研究报告》,《钢-混凝土组合桥梁设计规范》编制组,2010)。混凝土桥面板面积计算时应考虑承托的面积。 按照本规范、现行国家标准《钢结构设计规范》GB50017、欧洲规范4、美国钢结构规范AISC(《SpecificationforStructuralSteelBuildingsApprovedbytheAmericanInstituteofSteelConstructionCommittee》2005)、英国钢结构规范《BritishStanderd:Structuraluseofsteelworkinbuilding》BS5950-3:1990、S.Chen《Loadcarryingcapacityofcompositebeamsprestressedwithexternaltendonsunderpositivemoment》(《JournalofConstructionalSteelReseach》,2005,Vol.61(4):515-530)和聂建国《钢-混凝土组合梁强度、变形和裂缝的研究》(博士后出站报告,北京:清华大学,1994)中公式分别对规范编制组完成的试验和其他相关试验中的23根钢-混凝土组合梁的抗弯强度进行了验算(详见《钢-混凝土组合梁单调静力性能和设计理论研究报告》,《钢-混凝土组合桥梁设计规范》编制组,2010)。结果表明,按照本规范公式计算得到的结果与试验结果误差较小(平均误差为0.2%,标准差为0.058)。
5.1.4 体外预应力筋的极限应力应按下列公式计算:

式中:σ pu ——体外预应力筋的极限应力(MPa);
σ pe ——体外预应力筋的有效应力(MPa);
σ pu,d ——体外预应力筋的极限应力设计值(MPa);
γ pu ——考虑材料性能、结构体系等因素的分项系数,可取1.2;
△σ pu ——体外预应力筋的极限应力增量(MPa)。
△σ pu 可按下列公式进行计算:
若A c f cd +A r f sd <A s f d +A p σ pe ,则塑性中和轴在钢梁截面内:

若A c f cd +A r f sd ≥A s f d +A p σ pe ,则初步判断塑性中和轴在混凝土桥面板截面内

将式(5.1.4-4)计算的△σ pu 代入判别式,若A c f cd +A r f sd <A s f d +A p (σ pe +△σ pu ),需重新按塑性中和轴在钢梁截面内的情况计算△σ pu ,即采用式(5.1.4-3)。
此时,应力设计值尚应符合下式要求:
σ pu,d ≤f pd (5.1.4-5)
式中:f pd ——体外预应力筋的抗拉强度设计值(MPa),可按本规范表3.4.3取值;
I c ——混凝土桥面板截面的惯性矩(mm 4 );
I s ——钢梁截面的惯性矩(mm 4 );
H——组合梁截面高度(mm);
L——组合梁计算跨度(mm)。
条文说明
5.1.4本条给出了体外预应力筋的极限应力的计算方法。体外预应力筋的极限应力是体外预应力筋的有效应力加上应力增量,应力增量的计算分为塑性中和轴在板内和钢梁内两种情况。根据本规范编制组完成的试验结果,应力增量的计算公式是根据选用的参数进行拟合而得出的。 按照本规范、S.Chen《Loadcarryingcapacityofcompositebeamsprestressedwithexternaltendonsunderpositivemoment》(《JournalofConstructionalSteelReseach》,2005,Vol.61(4):515—530)和聂建国《钢-混凝土组合梁强度、变形和裂缝的研究》(博士后出站报告,北京:清华大学,1994)中公式分别对规范编制组完成的试验和其他相关试验中的14根钢-混凝土组合梁体外预应力筋极限应力增量和极限应力进行了验算(详见《钢-混凝土组合梁单调静力性能和设计理论研究报告》,《钢-混凝土组合桥梁设计规范》编制组,2010)。结果表明,按照本规范公式计算得到的预应力筋极限应力增量和极限应力与试验值结果误差较小(平均误差分别为6.3%和2.5%,标准差分别为0.098和0.035)。
5.2 抗剪承载力计算
5.2 抗剪承载力计算
5.2.1 钢-混凝土组合梁的抗剪承载力可采用下式计算:
γ 0 V≤h w t w 
vd (5.2.1)
式中:V——剪力设计值(N);
h w ——钢梁腹板高度(mm);
t w ——钢梁腹板厚度(mm);

vd ——钢材的抗剪强度设计值(MPa)。
条文说明
5.2.1现行国内外规范都规定在极限状态时,钢-混凝土组合梁的全部竖向剪力仅由钢梁腹板承担。本条所列公式与现行国家标准《钢结构设计规范》GB50017一致。
5.2.2 钢-混凝土组合梁承受弯矩和剪力共同作用时,应按下列规定验算腹板最大折算应力:

式中:σ、τ——钢梁腹板计算高度边缘同一点上同时产生的正应力、剪应力(MPa);

d ——钢材抗拉强度设计值(MPa)。
条文说明
5.2.2当组合梁承受弯、剪共同作用时,组合梁抗剪承载力会随截面所承受弯矩的增加而减小,故采用最大折算应力的方法考虑组合梁弯、剪耦合作用。
5.3 整体稳定计算
5.3 整体稳定计算
5.3.1 钢-混凝土组合梁对下列情况可不进行整体稳定计算:
1 混凝土桥面板与钢梁的受压翼缘通过抗剪连接件连接,两者已牢固结合且能阻止钢梁受压翼缘的侧向位移时。
2 受负弯矩作用的I字形截面组合梁,当钢梁受压翼缘的自由长度l 1 与其总宽度b 1 的比值不超过表5.3.1规定的数值时。
表5.3.1 I字形钢梁不需要计算整体稳定的最大l 1 /b 1 值

注:1 对跨中无侧向支承点的梁,l 1 为其跨径;对跨中有支承点的梁,l 1 为受压翼缘侧向支点间的距离(梁的支承处视为有侧向支承点)。
2 b 1 为I字形钢梁受压翼板的宽度。
3 梁的支座截面应采取构造措施防止其扭转。
3 受负弯矩作用的槽形截面组合梁,当钢梁截面高度h与腹板中距b 0 之比小于或等于6,且梁受压底板侧向支点间距l 1 与腹板中距b 0 之比小于或等于65(345/f y )时。
条文说明
5.3.1本条规定了钢-混凝土组合梁可不进行整体稳定计算的情况。 1梁从平面弯曲状态变为弯扭状态(侧向弯曲和扭转变形)的现象,称为整体失稳。组合梁中,当混凝土桥面板本身具有足够的强度和刚度,且通过连接件将其与钢梁的受压翼缘牢固地连接在一起时,能阻止受压翼缘的侧向位移,钢梁就不会丧失整体稳定,因此不必验算梁的整体稳定性。 2受负弯矩作用的Ⅰ字形截面组合梁,下翼缘受压,需要考虑整体稳定问题。考虑其受力状态与单纯Ⅰ字钢梁类似,偏安全地参考Ⅰ字钢梁的最大l1/b1限值。我国现行国家标准《钢结构设计规范》GB50017为了简化计算和便于应用,结合工程实践中可能遇到的截面最不利尺寸比例,根据梁的整体稳定系数,近似地给出了不验算整体稳定性时钢梁受压翼缘自由长度(l1)与其总宽度(b1)的限值,见《钢结构设计规范》GB50017-2003表4.2.1。该表中的数值系根据双轴对称等截面Ⅰ字形简支梁,当梁的稳定系数(
b)为2.5(相应于
′b为0.95)时导出的,并认为:
b为2.5时,梁的截面将由强度控制,而不是由整体稳定性控制。本款选用了该表中的有关数值。 3受负弯矩作用的槽形截面组合梁底板受压,需要考虑整体稳定问题。考虑其受力状态与箱形钢梁类似,参考箱形钢梁不验算整体稳定的腹板中距的限值。根据我国学者潘有昌的研究论文《单轴对称箱形简支梁的整体稳性》(见《钢结构研究论文报告选集》第二册,1983),箱形截面简支梁由于其截面的抗扭刚度远远大于开口截面的抗扭刚度,在一般的截面尺寸情况下,只要满足强度条件和刚度条件,可不进行整体稳定计算。另外,从工程实践可知,整体稳定的钢箱形梁,其截面尺寸h/b0多数等于或小于6,且l1/b0不超过95(235/fy),因此本规范5.3.1条第3款,采用了现行国家标准《钢结构设计规范》GB50017-2003第4.2.4条的规定,即箱形截面简支梁的尺寸符合h/b0≤6,且l1/b0≤95(235/fy)的条件,可不验算箱形钢梁的整体稳定性。根据常用的钢材将95(235/fy)换算为65(345/fy)。
5.3.2 施工阶段的组合梁,混凝土桥面板未硬化前,应对钢梁进行整体稳定性计算。
条文说明
5.3.2施工阶段的组合梁,在混凝土桥面板未硬化前,不能提供对钢梁受压翼缘的侧向约束,钢梁处于单独受力状态,此时可根据有关钢结构设计规范对其进行整体稳定性验算。
5.3.3 当钢梁与混凝土桥面板结合后,受负弯矩作用的钢-混凝土组合梁不符合本规范第5.3.1条的情况时,其整体稳定可按下列公式进行计算:
γ 0 M d ≤χ LT M Rd (5.3.3-1)

式中:M d ——组合梁最大弯矩设计值(N·mm);
M Rd ——按本规范第5.1节规定计算的组合梁截面抗弯承载力(N·mm);
χ LT ——组合梁侧扭屈曲的折减系数;

LT ——计算过程中简写符号;
λ LT ——换算长细比;
α LT ——缺陷系数,应按本规范表5.3.3-1和表5.3.3-2取值;
M Rk ——采用材料强度标准值计算的组合梁截面抗弯承载力(N·mm),应按本规范第5.1节的规定计算;
M cr ——组合梁侧扭屈曲的弹性临界弯矩(N·mm),可按本规范附录A进行计算;
f y ——钢材的屈服强度(MPa);
W n ——组合截面的净截面模量(mm 3 )。
表5.3.3-1 缺陷系数α LT

表5.3.3-2 侧向失稳曲线分类

条文说明
5.3.3负弯矩区段的组合梁,当钢梁的截面比较高且窄(如工字梁),侧向的支撑间距较大时,钢梁的受压部分(翼缘和腹板)可能扭屈而偏离受弯的主平面,从而导致组合梁在达到材料强度前丧失承载能力,这种现象为侧扭屈曲或丧失整体稳定性。 本条的表达式参照欧洲规范4的条文。屈曲抗弯承载能力为不考虑屈曲的抗弯承载能力(材料强度设计值控制)乘以侧扭屈曲折减系数。折减系数中考虑了钢梁制作安装引起的缺陷对承载能力的影响,采用不同的缺陷系数αLT计算。 当计算换算长细比λ
LT时,需要计算侧扭屈曲整体失稳的临界弯矩Mcr,有多种模型及计算方法,如基于工字钢梁截面考虑钢梁腹板及混凝土桥面板约束作用的连续倒U形框架、基于考虑腹板约束作用的弹性地基梁压杆模型等。在设计中也可偏保守地不考虑混凝土桥面板按照钢结构相关规范来计算Mcr,精细的分析可采用有限元数值方法。
按式(5.3.3-2)计算的折减系数χLT如表2所示。
表2 换算长细比与侧扭折减系数的对应关系


6 正常使用极限状态验算
6.1 一般规定
6 正常使用极限状态验算
6.1 一般规定
6.1.1 钢-混凝土组合梁应根据正常使用极限状态要求进行短暂状况和持久状况的计算。
条文说明
6.1.1组合桥梁的成桥过程及长期使用过程均是结构受力的重要阶段,除了承载能力的计算外,正常使用的极限状态及施工过程中的受力状态在设计中也有重要的地位。如果设计不好,也有可能间接引发出结构的安全问题。其中,短暂状况是指构件在制作、运输及安装等的施工阶段,持久状况是指建成后承受自重、车辆荷载等持续时间很长的状况。
6.1.2 按持久状况设计时,应对钢-混凝土组合梁的截面应力、抗裂性、裂缝宽度和挠度进行计算;按短暂状况设计时,应对钢-混凝土组合梁的截面应力进行计算。各项计算值应满足本规范规定的相应限值。
条文说明
6.1.2本条规定了持久状况及短暂状况一般应验算的效应内容。各项效应的限值在第4章中进行了规定。
6.1.3 钢-混凝土组合梁弹性阶段计算可采用下列基本假定:
1 钢与受压混凝土材料均为理想的线弹性体;
2 组合梁弯曲时,混凝土桥面板截面与钢梁截面各自符合平截面假定,材料服从虎克定律。
条文说明
6.1.3设计应力验算一般均采用简便的初等材料力学方法,基本假定是在满足设计精度的前提下,规范的公式可采用初等材料力学公式。通过对混凝土的弹性模量折减,使得计算时可将材料均视为弹性。弹性计算时,不考虑钢与混凝土之间的滑移,认为是完全连接的。
6.1.4 弹性阶段计算可根据钢与混凝土弹性模量比n 0 进行截面换算,将混凝土桥面板换算成钢截面后按材料力学公式计算应力,换算前后混凝土桥面板重心高度应保持不变。在长期荷载作用下,计入混凝土徐变的影响进行截面换算时,弹性模量比可用有效弹性模量比n L 代替。钢与混凝土弹性模量比n 0 和有效弹性模量比n L 的确定应符合本规范第6.2.3条的规定。
条文说明
6.1.4钢-混凝土组合梁截面计算时,可采用成熟简便的弹性模量换算方法,把混凝土与钢两种不同的材料等代成一种材料来进行截面应力计算。采用不同的有效弹性模量比是因为混凝土的徐变随材料特性对不同作用效应的影响不同,弹性模量比与作用的类型有关,且比值还与加载的龄期有关。
6.1.5 计算钢-混凝土组合梁的挠度和应力时应计入施工顺序的影响,并应计入混凝土徐变、收缩以及温度等作用的效应。
条文说明
6.1.5组合桥梁的成桥受力状态与施工顺序密切相关。应力及变形应按照组合截面的形成方式及对应的荷载或作用进行累计计算。一般施工顺序可以分为两种:一是钢梁架设后,在钢梁上浇筑或者安装混凝土桥面板,结合后形成组合梁,钢梁需先承受一部分的荷载;二是钢梁与混凝土桥面板结合成整体后开始承受全部的荷载。在正常使用阶段设计验算时需要充分考虑施工顺序对结构受力状态的影响。 混凝土徐变、收缩及温度等作用在截面内会产生自应力,对于超静定结构还会有二次效应的应力。在正常使用阶段设计验算时,应计入这些作用的效应。
6.1.6 计算钢-混凝土连续组合梁的挠度时,在正弯矩区,可按有效宽度内的全截面计算;在负弯矩区,可根据混凝土的开裂情况计入混凝土桥面板的影响。
条文说明
6.1.6计算连续梁挠度时,当荷载标准组合下中支座处混凝土桥面板的拉应力大于0.75
tk时,两侧各0.15l范围内,可不计混凝土桥面板的作用,但应计入混凝土板有效宽度内钢筋的作用;当荷载标准组合下中支座处混凝土桥面板的拉应力小于0.75
tk时,可计入混凝土板的作用。
6.1.7 连续梁中支点混凝土的裂缝宽度可按现行行业标准《公路钢筋混凝土及预应力混凝土桥涵设计规范中》JTG D62中的轴心受拉构件进行验算。
条文说明
6.1.7负弯矩区的混凝土桥面板受力状态接近拉弯的混凝土桥面板,一般弯矩较小,拉力较大。验算裂缝时,可忽略弯矩,按混凝土轴心受拉构件进行验算。
6.2 应力验算
6.2 应力验算
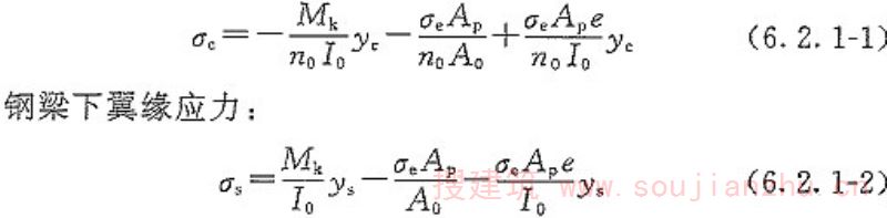
6.2.1 钢-混凝土组合梁受弯构件在弯矩及预应力作用下产生的混凝土桥面板及钢梁法向应力可按下列公式计算:
混凝土桥面板板顶应力:

式中:σ c ——混凝土桥面板板顶应力(MPa);
M k ——截面弯矩值(N·mm);
n 0 ——钢材弹性模量与混凝土弹性模量的比值,n 0 =E s /E c ;
I 0 ——混凝土桥面板与钢梁组合截面的换算惯性矩(mm 4 );
y c ——混凝土桥面板顶至组合梁弹性中和轴的距离(mm);
σ e ——体外预应力筋的弹性应力(MPa),可按本规范第6.2.2条计算;
A p ——体外预应力筋的截面面积(mm 2 );
A 0 ——混凝土桥面板与钢梁组合截面的换算面积(mm 2 );
e——预应力筋形心位置至换算截面中性轴的偏心距(向下为正)(mm);
σ s ——钢梁下翼缘应力(MPa);
y s ——钢梁下翼缘至组合梁弹性中和轴的距离(mm)。
条文说明
6.2.1组合梁截面混凝土与钢梁的法向应力计算包括外荷载作用下的应力、收缩徐变及温度等作用在截面内产生的自应力(应力重分布),以及超静定结构中可能的二次效应的应力。 截面法向应力计算的基本假定是: (1)混凝土与钢梁连接为完全连接,不考虑滑移; (2)组合梁弯曲时,符合平截面假定; (3)收缩徐变产生的法向应力可采用叠加原则。 计算弯矩及预应力作用产生的截面法向应力时,一般采用弹性模量比的方法,将两种材料的截面折算成一种材料的截面,按照初等材料力学的公式进行计算。 考虑施工顺序的不同,可采用不同阶段的截面特性进行计算。当采用组合截面形成后落架的施工方法时,组合梁的自重及其上荷载都作用在组合截面上,采用组合截面特性进行计算。当采用组合截面形成前钢梁需要单独受力的施工方法时,应力计算需要分阶段进行:在施工阶段(即第一阶段受力状态),组合梁尚未形成组合截面,钢梁应单独承担其自身重量、湿混凝土重量和施工荷载等;在使用阶段(即第二阶段受力状态),混凝土硬化达到设计强度,钢梁与混凝土桥面板形成组合截面,共同承担后续施加的荷载。 考虑徐变作用影响时,可采用有效弹性模量比方法(按本规范第6.2.3条)进行计算。对于不同的基本作用,采用不同的徐变因子来体现徐变影响的程度。计算得到的应力为基本作用与徐变影响共同产生的法向应力。如外荷载(考虑至t时刻的徐变影响)作用下的法向应力为: 混凝土桥面板板顶应力: 
徐变影响的法向应力:也可按本规范第6.2.5条基于有效弹性模量的虚拟荷载法单独计算。基本思路与计算公式详见本规范附录B。 组合梁的混凝土收缩徐变、温度作用,在静定结构中,不产生截面弯矩,但在截面内产生约束自应力;在超静定结构中,这些作用引起的变形会产生二次应力。温度梯度产生截面自应力,整体升降温由于材料的线膨胀率的差异也产生截面自应力。徐变对收缩、温度的影响,一般认为温度为短期作用,不考虑徐变影响;收缩为长期作用,考虑徐变的影响(混凝土受拉徐变),计算也可按照有效弹性模量法进行折算,影响的效果等同于收缩作用的折减。
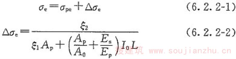
6.2.2 体外预应力筋的弹性应力可按下列公式计算:


式中:σ pe ——体外预应力筋的有效应力(MPa);
△σ e ——体外预应力筋的弹性应力增量(MPa),在需要计入的情况下,可按式(6.2.2-2)进行计算;
L——组合梁计算跨径(mm);
l i ——第i段预应力筋在局部坐标系的投影长度(mm),见图6.2.2(a);
e i ——端部锚固处或第i个转向点处预应力筋形心位置至换算截面中性轴的偏心距(mm);
e i0 ——第i段预应力筋的起点到换算截面中性轴的距离(mm),见图6.2.2(b);
e i1 ——第i段预应力筋的终点到换算截面中性轴的距离(mm),见图6.2.2(b);
M 0 ——单位荷载下的弯矩(N·mm/N);
M 0 i0 ——单位荷载下在第i段预应力筋的起点处的弯矩(N·mm/N),见图6.2.2(c);
M 0 i1 ——单位荷载下在第i段预应力筋的终点处的弯矩(N·mm/N),见图6.2.2(c);
ξ 1 ——计算过程中简写符号(mm 3 );
ξ 2 ——计算过程中简写符号(N·mm 3 )。

图6.2.2 预应力筋弹性应力增量计算系数计算模型
条文说明
6.2.2本条给出了体外预应力筋弹性应力增量和弹性应力的计算公式。一般情况下,弹性应力增量计算值较小,可忽略计算;当忽略后可能导致结构不安全时,可采用式(6.2.2-2)进行详细计算。 按照本规范、AyyubB.M.《PrestressedCompositeGirdersUnderPositiveMoment》(《ASCEJournalofStructuralEngineering》,1990,116(11):2931-2951)、HoadleyP.G《BehaviorofPrestressedCompositeSteelBeams》(《JournalofStructuralDivisionASCE》,1963,9(3):21-34)和NieJ.G.《ExperimentalandAnalyticalStudyofPrestressedSteel—ConcreteCompositeBeamsConsideringSlipEffect》(《ASCEJournalofStructuralEngineering》,2007,133(4):530—540)中公式分别对规范编制组完成的试验和其他相关试验中的14根预应力钢-混凝土组合梁在P=0.2Pu、0.4Pu(Pu为组合梁的极限荷载)时的预应力筋的应力增量和应力进行了验算(详见《钢-混凝土组合梁单调静力性能和设计理论研究报告》,《钢-混凝土组合桥梁设计规范》编制组,2010)。结果表明,不同荷载作用下,按本规范公式计算得到的预应力筋弹性应力增量值和应力值与试验值的误差较小(在P=0.2Pu、0.4Pu时,预应力筋弹性应力增量与试验值的平均误差分别为11.3%和11.0%,标准差分别为0.187和0.139,预应力筋应力值的平均误差分别为0.2%和0.6%,标准差分别为0.008和0.014)。
6.2.3 钢-混凝土组合梁截面验算时,应计入钢梁与混凝土桥面板结合后混凝土徐变的影响,计算可采用混凝土有效弹性模量法按下列公式计算:
混凝土的有效弹性模量:

式中:E c ——混凝土的弹性模量(MPa)。按本规范表3.1.5采用;
ψ L ——根据荷载类型确定的徐变因子,永久作用取1.1,用于调整内力的强迫位移作用取1. 5,混凝土收缩作用取0.55;

(t,t 0 )——加载龄期为t 0 ,计算考虑龄期为t的混凝土徐变系数,可取为徐变系数最终值,根据混凝土桥面板的加载龄期和理论厚度按表6.2.3采用;
n 0 ——短期荷载作用下钢与混凝土的弹性模量比;
E s ——钢材的弹性模量(MPa),按本规范表3.2.7采用。
表6.2.3 混凝土徐变系数 
(t,t 0 )

条文说明
6.2.3本条参考欧洲规范4给出了考虑混凝土徐变影响的有效弹性模量法。 混凝土徐变作用产生的效应是依附于其他基本作用下的。徐变作用效应是增加或者减少基本作用效应,没有其他的基本作用,也就没有徐变作用。采用有效弹性模量法简化计算时,不同的基本作用的徐变影响不相同,故相应的混凝土有效弹性模量也不同,数值通常取决于荷载或作用的类型,徐变的影响通过徐变因子(或称徐变影响系数)来体现。当结构受到多种作用时,徐变的影响效应可简化应用叠加原理进行组合。 有效弹性模量的公式及参数取值与欧洲规范4一致。 汽车荷载是一种长期作用,一般认为徐变对其作用的效应也有影响,可按拟恒载的方法考虑,即汽车荷载折减后作为基本作用,然后计算徐变作用的影响。考虑徐变影响的汽车荷载基本作用,可采用现行行业标准《公路桥涵设计通用规范》JTGD60中汽车荷载的准永久值(准永久值系数0.4,不计冲击力)。 采用有效弹性模量法计算徐变作用的影响效应时,可采用两种方法: (1)与基本作用合并一起计算。采用有效弹性模量法进行截面换算,求得的效应为基本作用与徐变影响的叠加值。 (2)与基本作用分开,单独计算徐变对各基本作用的影响效应。此时,基本作用效应计算时,采用真实弹性模量进行截面换算。徐变影响可采用虚拟荷载法进行计算,根据基本作用下的徐变应变换算成虚拟荷载进行效应计算,求得的效应为徐变作用的增量。 徐变系数最终值的计算系根据1990年《CEB—FIPModelCode》提供的公式计算得到,具体公式可参见现行行业标准《公路钢筋混凝土及预应力混凝土桥涵设计规范》JTGD62-2004附录F。徐变最终值计算的说明如下: 《CEB—FIPModelCode》对混凝土徐变系数的计算,考虑了持续时间或加载后时间70年,我国现行行业标准《公路钢筋混凝土及预应力混凝土桥涵设计规范》JTGD62按10年延续期计算,本规范认为10年以后徐变系数值增长不可忽略,因此本规范取t→∞时的徐变系数为徐变最终值,并建议计算徐变时取其最终值。
6.2.4 混凝土桥面板收缩作用应按钢梁与混凝土桥面板结合后开始计入。混凝土构件的收缩量可采用名义收缩系数乘以收缩折减系数计算得到。名义收缩系数可按表6.2.4-1所列数值采用;收缩折减系数可根据混凝土桥面板与钢梁结合前发生的龄期和理论厚度按表6.2.4-2采用。
表6.2.4-1 混凝土名义收缩系数ε cs0 ×10 3

注:1 本表适用于一般硅酸盐类水泥或快硬水泥配制而成的混凝土;
2 本表适用于季节性变化的平均温度为-20℃~40℃;
3 本表数值系按C40混凝土计算所得,对于强度等级为C50及以上混凝土,表列数值应乘以 
,式中f ck 为混凝土轴心抗压强度标准值,按本规范表3.1.3采用。
表6.2.4-2 收缩折减系数

注:钢与混凝土桥面板结合前发生的龄期和理论厚度为表列数值中间值时,折减系数可按直线内插法取值。
条文说明
6.2.4本条给出了预制或现浇混凝土桥面板收缩系数的计算。 同条文说明6.2.3条,本规范取t→∞时的收缩应变为收缩应变最终值,并建议计算收缩应变时取其最终值。 由于收缩作用是在混凝土桥面板与钢梁结合后产生效应,为区分现浇桥面板与预制桥面不同的收缩作用,本规范给出了结合时对应混凝土龄期的收缩折减系数表。混凝土构件的收缩量计算可采用名义收缩系数乘以收缩折减系数。收缩折减系数是考虑钢与混凝土桥面板结合前发生的龄期,对收缩应变值进行的折减,采用下列公式计算得到: 
式中:εcs(tb,ts)——收缩开始时的龄期为ts,计算考虑的龄期为tb时的收缩应变; εcs(∞,ts)——收缩开始时的龄期为ts的收缩应变最终值。
6.2.5 混凝土徐变、收缩、温度等作用引起的截面应力增量可按本规范附录B进行计算。
6.3 挠度验算
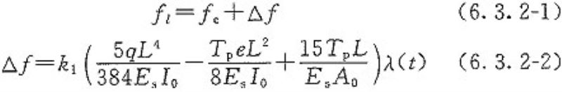
6.3 挠度验算
6.3.1 正弯矩作用下钢-混凝土组合梁的短期挠度可按下列公式计算:
=
0 +
s +
T (6.3.1-1)
注:该计算公式未考虑预应力筋矢高变化的影响,适用于非预应力组合梁及跨中位置设置转向点的体外预应力组合梁,对于跨中位置未设置转向点的组合梁变形可按本规范附录C的规定计算。

1 均布荷载作用(图6.3.1-1):

图6.3.1-1 均布荷载作用下简支组合梁的计算模型
2 单点集中荷载作用(图6.3.1-2):


式中:
0 ——未考虑滑移效应和预应力筋弹性应力增量影响的组合梁变形(mm);

s ——滑移引起的变形(mm);

T ——预应力引起的变形(mm),对于非预应力组合梁,取
T =0;
B——组合梁换算截面刚度(N·mm 2 );
z 1 ——端部预应力筋形心到组合梁换算截面形心的距离(mm),预应力筋形心在换算形心上方为正;
l i ——第i段预应力筋在局部坐标系的投影长度(mm);
θ i ——第i段预应力筋与水平线的夹角(°);
B s ——考虑滑移的组合梁换算截面刚度(N·mm 2 );
m——梁端至单点集中荷载加载点距离与组合梁计算跨度的比值;
r——剪力连接程度,按本规范第5.1.3条的规定计算;
K L ——单位长度上抗剪连接件的抗剪刚度(N/mm 2 );
h sc ——钢梁截面形心到混凝土截面形心的距离(mm);
E c ——混凝土的弹性模量(MPa);
E s ——钢材的弹性模量(MPa);
A c ——混凝土桥面板的截面面积(mm 2 );
A s ——钢梁的截面面积(mm 2 );
I c ——混凝土截面的惯性矩(mm 4 );
I s ——钢梁截面的惯性矩(mm 4 );
n s ——栓钉或开孔板连接件的排数;
K——单个抗剪连接件的抗剪刚度(N/mm),采用栓钉连接件时,可按K=2(N c v -0.97N s )计算;采用开孔板连接件时,可按本规范附录D的规定计算;
N c v ——抗剪连接件的抗剪承载力(N),按本规范第7.2节的规定计算;
N s ——计算荷载下单个抗剪连接件承受的剪力(N),N s =V ld p/n s ;
V ld ——外荷载作用下组合梁剪跨区段内单位长度界面上的纵向剪力(N/mm),V ld =VS 0 /I 0 ;
V——剪跨区段内组合梁截面上的竖向剪力(N);
S 0 ——混凝土桥面板的换算截面对换算组合截面中性轴的面积矩(mm 3 );
p——剪跨段内抗剪连接件的平均间距(mm),对于栓钉连接件取剪跨段内栓钉的纵向平均间距,对于开孔板连接件取剪跨段内开孔的纵向平均中心间距。

图6.3.1-2 单点集中荷载作用下简支组合梁的计算模型
条文说明
6.3.1本条给出了考虑滑移效应的、正弯矩作用下钢-混凝土简支组合梁的跨中挠度计算公式。 栓钉处于弹性阶段时,荷载-滑移曲线接近直线,本规范建议栓钉的抗剪刚度K取割线刚度,即K=V/s(参见Y.C.Wang《DeflectionofSteel—ConcreteCompositeBeamswithPartialShearInteraction》,《JournalofStructuralEngineering》,1998,124(10):1159-1165)。规范编制组根据大量实验结果拟合得出栓钉荷载-滑移曲线的计算模型:
(s为相对滑移量:单位为mm)。根据该模型推出弹性阶段栓钉的抗剪刚度公式(参见XueW.C.《Staticbehaviorandtheoreticalmodelofstudshearconnectors》,《ASCEJournalofBridgeEngineering》,2008,134(6):623-634): K=2(Vu-0.97V)(6) 式中:V——栓钉产生滑移s时承受的剪力(N); Vu——栓钉抗剪承载力(N)。 在计算两点对称集中荷载作用下组合梁弹性阶段的变形时,在简支梁全跨长范围内,K可取剪跨区段内栓钉的抗剪刚度。 正弯矩作用下钢-混凝土组合梁的挠度计算基于如下假定: (1)在正常使用阶段,钢梁和混凝土都处于弹性工作阶段; (2)钢梁与混凝土桥面板交界面上的水平剪力与相对滑移成正比; (3)外荷载作用下,同一截面的钢梁和混凝土单元具有相同的曲率。 基于整体和分离体的平衡方程、应变协调关系及钢和混凝土材料的本构关系,建立钢-混凝土组合梁的微段分析模型,如图1所示。 
图1 钢-混凝土组合梁微段计算模型 图中符号Nc、Vc、Mc为混凝土形心处的轴力、剪力、弯矩,Ns、Vs、Ms为钢梁形心处的轴力、剪力、弯矩,M为截面总弯矩,q为交界面单位长度上的水平力。 按照本规范、国家标准《钢结构设计规范》GB50017-2003、欧洲规范4(1992)和英国钢结构规范《Britishstandard:structuraluseofsteelworkinbuilding》BS5950—3:1990分别对规范编制组完成的试验及相关试验[参见何池《预应力组合梁长短期性能研究与时随分析》(同济大学硕士学位论文,上海:同济大学,2002)和聂建国《钢-混凝土组合梁强度、变形和裂缝的研究》(博士后出站报告,北京:清华大学,1994)]中的3根简支钢-混凝土组合梁在正弯矩作用下的跨中挠度进行了验算(详见《钢-混凝土组合梁单调静力性能和设计理论研究报告》,《钢-混凝土组合桥梁设计规范》编制组,2010)。结果表明,在P=0.2Pu、0.4Pu时,按本规范公式计算得到的结果与试验结果误差较小(在P=0.2Pu、0.4Pu时,挠度计算值和实验值的平均误差均为4.3%,平均标准差分别为0.014和0.049)。
6.3.2 体外预应力钢-混凝土组合简支梁长期挠度可按下列公式计算:


式中:
e ——组合梁在荷载作用下的短期挠度(mm),向下为正;
△
——长期荷载作用下产生的挠度增量(mm);
λ(t)——与时间有关的系数;
t——计算时刻(d);
k 1 ——与混凝土桥面板平均应力有关的系数,按式(6.3.2-4)计算;
σ ——混凝土桥面板的平均应力(MPa),受压取负值,受拉取 σ =0;
T P ——预应力筋有效预拉力(N),非预应力钢-混凝土简支组合梁时(不包括体内预应力钢-混凝土组合梁)取T P =0。
条文说明
6.3.2目前国内外规范尚未有针对预应力钢-混凝土组合梁长期变形的计算公式,本条给出了适用于预应力和非预应力钢-混凝土组合简支梁长期变形的简化计算公式。 基于整体和分离体的平衡方程、应变协调关系及钢和混凝土材料的本构关系,建立了预应力钢-混凝土组合梁长期变形理论计算模型,推导了长期变形计算公式(详见《体外预应力钢-混凝土组合梁长期性能研究报告》,《钢-混凝土组合桥梁设计规范》编制组,2010)。公式考虑了混凝土收缩、徐变、预应力筋松弛等因素的影响,但过于复杂,不适用于组合梁设计。 以组合梁附加变形主要影响因素为参数,引入与时间有关的系数λ(t)和与混凝土桥面板平均应力有关的系数是k1,结合1500d预应力钢-混凝土组合梁长期性能试验结果,对原有公式进行了简化,得到本规范式(6.3.2-2)。式中计算时刻单位为“d”。 按照本规范公式对本规范编制组完成的5根预应力简支梁和4根非预应力简支梁张拉完成后1500d内的跨中附加变形进行了计算,并与试验结果和程序计算结果进行了对比(详见《钢-混凝土组合梁长期性能试验与理论研究报告》,《钢-混凝土组合桥梁设计规范》编制组,2010)。结果表明,按本规范公式计算得到的结果与试验结果吻合良好,且偏于安全。
6.4 局部稳定验算
6.4 局部稳定验算
6.4.1 钢-混凝土组合梁腹板局部稳定计算,可按弹性约束于翼板,简支于竖向加劲肋和水平加劲肋上的薄板考虑。
条文说明
6.4.1根据我国学者胡春农、夏志斌等的研究表明(见《钢结构设计的若干理论》,胡春农等编,中国铁道出版社,1984年,第36页和《钢结构:原理和设计》,夏志斌等编,中国建筑工业出版社,2004年,第287页):尽管对某些钢结构的板件来说,屈曲后的承载潜力仍然不小,但对直接承受动力荷载的钢腹板板件稳定计算则不考虑腹板屈曲强度。因为多次反复屈曲可能导致腹板出现疲劳裂纹,在分析由加劲肋分割成的腹板稳定性时则按荷载作用在中面内的弹性矩形薄板考虑。 因梁的用途不同和被加劲肋分割的腹板各区格位置不同,各腹板区格所受的荷载也就各不相同。 在确定组合梁的腹板矩形板的边界条件时,由于翼缘板上有混凝土桥面板连接,使受压翼缘的扭转受到约束,但考虑混凝土桥面板与钢翼缘存在一定的滑移问题,又不能认为两者完全固结,只能按弹性约束考虑;另外,鉴于竖向加劲肋或水平加劲肋的刚度与腹板刚度相差不多,所以视为腹板简支于这些加劲肋上的板块考虑。即腹板在加劲肋处可以自由转动,但不能作侧向位移。
6.4.2 腹板最小厚度应满足表6.4.2的要求。
表6.4.2 腹板最小厚度

注:当腹板厚度满足h w /50(或h w /40),但有局部竖向压应力作用时,仍应按构造设置竖向加劲肋(图6.4.2-4)。

图6.4.2-1 仅布置竖向加劲肋

图6.4.2-2 布置一道纵向水平加劲肋及竖向加劲肋

图6.4.2-3 布置两道纵向水平加劲肋及竖向加劲肋
1—竖向加劲肋;2—水平加劲肋

图6.4.2-4 钢梁腹板受局部压应力
6.4.3 腹板加劲肋的布置应符合下列规定:
1 腹板竖向加劲肋的间距a不得大于腹板高度h w 的1.5倍。
2 仅布置竖向加劲肋时,其间距应满足a≤950t w /√τ,且不应大于2m。
3 水平加劲肋和竖向加劲肋共同布置时,竖向加劲肋的间距应满足a≤850t w /√τ。
4 设一道纵向水平加劲肋时,宜布置于距受压翼缘0.2h w 附近[图6.4.3-1(a)];设两道纵向水平加劲肋时,宜分别布置于距受压翼缘0.14h w 和0.36h w 附近[图6.4.3-1(b)]。

图6.4.3-1 纵向水平加劲肋布置图
1—纵向水平加劲肋;2—受压翼缘;3—受拉翼缘
5 局部压应力很大的梁,必要时尚宜在受压区布置短加劲肋(图6.4.3-2)。
注:h w ——钢梁腹板计算高度(mm),焊接钢梁为腹板全高;
t w ——腹板厚度(mm);
a——竖向加劲肋的间距(mm);
τ——验算板段处的腹板平均剪应力(MPa),τ=V/(h w t w );
V——板段中间截面处的剪力(N)。

图6.4.3-2 短竖加劲肋的布置图
1—竖向加劲肋;2—水平加劲肋;3—短竖向加劲肋
条文说明
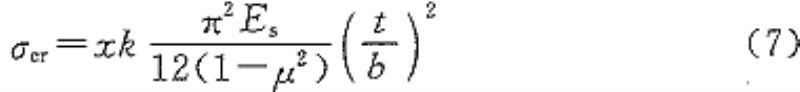
6.4.2、6.4.3梁丧失局部稳定性会改变梁的受力情况,降低梁的整体稳定性和刚度,因此,应严肃对待梁的局部稳定性问题。为保证钢梁腹板的局部稳定性,要求设置一定数量的加劲肋。简支梁的梁端区格主要受剪力作用,跨中区格受弯矩正应力作用,其他区格则受剪力和正应力的共同作用,有时还承受集中力。 根据薄板的弹性屈曲理论,梁腹板在周边应力作用下的弹性临界应力可用下式表达: 
式中:χ——支承边的弹性约束系数,对简支板取1.0; k——弹性屈曲系数; t、b——板厚和板宽; μ——泊松比,取0.3; Es——钢材弹性模量。 (1)受剪构件的临界应力τcr可由下式计算: 
其中ks为板受剪时的屈曲系数,当矩形板长a大于板宽h时,ks=5.34+4(hw/a)2;当a大于hw较多时,ks取为5.34。另外,Q345q钢的容许剪力[τ]为120MPa(取自行业标准《铁路桥梁钢结构设计规范》TB10002.2-2005表3.2.1,下同)。 安全系数取1.72,则τcr=1.72×120=207(MPa),代入式(8),并解得hw/tw≤70,考虑板面不平等不利因素,乘以0.715的折减系数,则得hw/tw≤50。 由此可知:当hw/tw≤50时,对无局部压应力(σc=0)的梁,可以不设置中间竖向加劲肋;但对有局部压应力(σc≠0)的梁,仍应按构造配置竖向加劲肋。 (2)受弯板件: 对于周边简支,并承受弯曲法向应力时,其临界应力按式(9)计算: 
式中:ks——屈曲系数,四边简支板的最小值取23.9。 Q345q钢的容许轴向应力[σ]取200MPa,且令安全系数为1.15,折减系数为1.0,则σcr=1.0×1.15×200=230(MPa),将此值代入式(7),解得hw/tw≤140。考虑到其他不利因素,限值取为hw/tw≤120。 若竖向加劲肋的间距小于腹板高度,则b代表竖向加劲肋的间距,a代表腹板高度h,根据桥梁的实践情况,认为竖向加劲肋的间距不会小于腹板高度的一半,令b=hw/1.5=0.66hw。 屈曲系数ks=4.0+5.34(a/hw)2=4.0+5.34(0.66hw/hw)2=6.32。 令τcr=τy=1.3τ(τ为腹板的平均剪力,1.3为安全系数)。 
由式(10)解得竖向加劲肋的间距为,但不得大于2.0m。计算表明,若b>0.5h,则安全系数大于1.3,即更为安全。 因此,当120≥hw/tw时,应设置中间竖向加劲肋,其间距,且不应大于2.0m。 (3)当设置一道水平加劲肋,并将其设在离受压翼缘为hw/5时,其临界应力为: 
式中:kb——屈曲系数。 在竖肋和水平肋并用时,将水平肋置于距受压翼缘hw/5时,可使板件屈曲系数kb值达到129(按水平肋抗弯刚度足以使板件在设肋处不发生屈曲考虑)。考虑到当腹板高度不大时,水平肋离翼缘太近将使构造细节难于布置,这时可将其置于距受压翼缘hw/4处,其屈曲系数将降为93,因此取93进行计算。 Q345q钢的容许轴向应力[σ]取200MPa,安全系数取1.4,则σcr=1.4×200=280(MPa)。 代入式(11),并解得:hw/tw=250,考虑到其他不利因素,限值取为hw/tw≤210。 所以,本规范规定,当210≥hw/tw>120时,除设置竖向加劲肋外,还宜在距压翼缘hw/5处设置水平加劲肋。 (4)当设置两道水平加劲肋,并将其分别设在离受压翼缘0.14hw和0.36hw附近,得到高厚比限值为hw/tw≤300。即当300≥hw/tw>210时,宜在距压翼缘0.14hw和0.36hw处设置两道水平加劲肋。
6.4.4 腹板加劲肋的尺寸应符合下列规定:
1 当仅用竖向加劲肋加强腹板时,则成对设置的中间竖向加劲肋的每侧宽度不得小于h w /30+40mm。
2 当用竖向加劲肋与水平加劲肋加强腹板时,则加劲肋的截面横矩不得小于:
竖向加劲肋:3h w t 3 w ;
水平加劲肋:h w t 3 w [2.4(a/h w ) 2 -0.13],但不得小于1.5h w t 3 w 。
3 加劲肋伸出肢的宽厚比不得大于15。
4 当采用单侧加劲肋时,其截面对于按腹板边线为轴线的惯性矩不得小于成对加劲肋对腹板中心的截面惯性矩。
条文说明
6.4.4加劲肋应有足够的刚度,使其成为腹板的不动支点。当腹板发生翘曲时,加劲肋条仍能保证平直。为了使梁的整体稳定不致产生人为的侧向偏心,加劲肋最好两侧成对配置(特殊需要时也可单侧布置)。 在腹板两侧成对配置竖向加劲肋时,其截面尺寸和其刚度要求采用现行行业标准《公路桥涵钢结构及木结构设计规范》JTJ025-86第1.5.10条第四、五两款规定的内容。因为这些规定值都是公路和铁路桥梁设计规范多年沿用的实践数据。 当在腹板单侧配置加劲肋时,加劲肋的尺寸和刚度要求采用观行行业标准《公路桥涵钢结构及木结构设计规范》JTJ025-86第1.5.10条第六款规定的内容。
6.4.5 梁的支 座处和上翼缘承受有较大固定集中荷载处,应设置成对的竖向加劲肋,并应按承受支座反力或固定集中荷载的轴心受压构件计算其在腹板平面外的稳定性。
条文说明
6.4.5支承加劲肋是指梁的支座处或较大固定集中荷载处的竖向加劲肋,其作用是把固定集中力或支座反力通过加劲肋传给梁腹板,避免使腹板局部压屈。支承加劲板在腹板两侧设置。其受力如同轴心受压柱,在支座反力或集中荷载下,支承加劲肋连同其附近的腹板有可能在腹板平面外失稳。因而,设计时应保证其在腹板平面外的整体稳定。其稳定性按轴心受压构件稳定公式考虑
,但其截面积A则包括加劲肋面积和加劲肋两侧各
范围内的腹板面积之和。
7 抗剪连接件
7.1 一般规定
7 抗剪连接件
7.1 一般规定
7.1.1 钢-混凝土组合梁抗剪连接件的选用应保证钢梁和混凝土桥面板有效组合并共同承担作用。
条文说明
7.1.1钢与混凝土组合梁的力学性能不仅受到两种材料各自材质的影响,而且与剪力连接件的选用有较大关系。应选用合理的剪力连接件保证钢梁与混凝土桥面板共同受力。
7.1.2 钢-混凝土组合梁的抗剪连接件宜采用栓钉,也可采用开孔板、槽钢连接件(图7.1.2),或有可靠依据的其他类型连接件。

图7.1.2 连接件的种类和设置方向
条文说明
7.1.2抗剪连接件分为刚性连接件和柔性连接件。刚性连接件包括开孔板连接件、槽钢连接件等;柔性连接件包括栓钉连接件等。若采用栓钉、开孔板、槽钢以外的新型抗剪连接件时,宜通过试验与分析论证后使用。 抗剪连接件的选用参考下列原则: (1)当钢梁与混凝土桥面板结合面剪力的作用方向不明确时,应选用栓钉连接件; (2)当栓钉连接件布置过密,或对抗剪刚度、抗疲劳性能有较高要求时,宜选用开孔板连接件; (3)当对抗剪刚度要求很高,且拉拔力作用较小时,可选用槽钢连接件。 不同形式的连接件不宜在同一截面混合使用。 连接件的纵向间距在同一组合梁中不宜超过3种。
7.1.3 钢-混凝土组合梁正常使用极限状态下,单个抗剪连接件承担的剪力设计值不应超过75%的抗剪承载力设计值。
条文说明
7.1.3为保证正常使用极限状态下钢梁和混凝土桥面板间不发生过大的相对滑移,有必要对正常使用阶段栓钉连接件所承担的剪力进行限制。
7.2 抗剪承载力设计值
7.2 抗剪承载力设计值
7.2.1 栓钉连接件的抗剪承载力设计值应根据下列公式确定:
单个栓钉连接件的抗剪承载力设计值取式(7.2.1-1)和式(7.2.1-2)中的较小值。
当发生栓钉剪断破坏时:

当发生混凝土压碎破坏时:

式中:N c v ——栓钉抗剪承载力(N);
A std ——栓杆的截面面积(mm 2 );
E c 、E s ——混凝土和栓钉的弹性模量(MPa);

cu ——边长为150mm的混凝土立方体抗压强度(MPa);

cd ——混凝土的轴心抗压强度设计值(MPa);

std ——栓钉的抗拉强度(MPa)。当栓钉材料性能等级为4.6级时,取400MPa;
η——群钉效应折减系数。当6<l d /d<13时,对于C30~C40混凝土,η=0.021l d /d+0.73(l d 为栓钉纵向间距,d为栓钉直径,均以mm计);对于C45、C50混凝土,η=0.016l d /d+0.80;对于C55、C60混凝土,η=0.013l d /d+0.84。当l d /d≥13时,不考虑群钉效应,取1.0。
条文说明
7.2.1栓钉抗剪承载力设计值主要影响因素为混凝土强度等级、弹性模量以及栓钉的材料强度、弹性模量等(参见《Staticbehaviorandtheoreticalmodelofstudshearconnectors》,XueW.C.,DingM,WangH,etal.,JournalofBridgeEngineering,2008,13(6):623-634)。基于试验数据拟合,建议按本规范式(7.2.1-1)和式(7.2.1-2)计算,取二者中的较小值作为栓钉抗剪承载力设计值。 按照本规范公式计算所得结果与规范编制组完成的试验结果进行对比表明,不同混凝土强度得到的计算值与试验值比值在0.83~1.35之间。计算值与其他试验结果详见《PBL剪力连接件承载力试验》(胡建华,叶梅新,黄琼,中国公路学报,2006,19(6):65-72)和《ExperimentalanalysisofPerfobondshearconnectionbetweensteelandlightweightconcrete》(IsabelValente,PauloJ.S.Cruz,JournalofConstructionalSteelResearch.2004,60:465-479)。按照本规范公式计算所得结果与按照国家标准《钢结构设计规范》GB50017-2003计算得到的结果对比值在1.00~1.11之间,平均值为1.06。 试验研究表明,栓钉的抗剪承载力设计值受混凝土强度等级、栓钉直径、栓钉长度的影响显著。通常,栓钉直径越大,其抗剪承载力设计值越高;混凝土强度等级越高,栓钉抗剪承载力设计值越大,极限滑移变形越小;栓钉长度越长,其抗剪承载力设计值越低,建议栓钉的长度不应超过其直径的6倍。 此外,普通围焊的施工工艺不能使栓钉的抗剪能力充分发挥。高压熔焊试件,其承载力和极限滑移都比普通围焊试件要高;提高混凝土桥面板中箍筋的配筋率,可以提高栓钉的抗剪承载力设计值,但是对小直径栓钉的效果并不明显。
7.2.2 开孔板连接件的单孔抗剪承载力设计值应根据下式确定:

式中:N c v ——开孔板连接件的单孔抗剪承载力设计值(N);
d 1 ——开孔直径(mm);
d 2 ——横向贯通钢筋直径(mm);

td ——混凝土轴心抗拉强度设计值(MPa);

vd ——钢筋抗剪强度设计值(MPa),按式
vd =0.577
sd 计算,
sd 为钢筋抗拉强度设计值(MPa);
α——提高系数,取6.1。
条文说明
7.2.2基于规范编制组已完成的14组共42个开孔板连接件的推出试验,对试验结果及破坏模式的分析表明,开孔板连接件抗剪承载力设计值主要影响因素为混凝土强度等级、开孔直径、横向贯通钢筋直径及数量等。 开孔板连接件的抗剪承载力设计值主要由两部分组成:开孔板孔中混凝土部分抗剪及横向贯通钢筋抗剪。建议开孔板连接件抗剪承载力设计值按照本规范式(7.2.2)进行计算。 现有研究表明,混凝土的抗剪强度与抗拉强度近似呈线性关系,因此混凝土强度采用
t进行计算。并考虑到开孔钢板对孔中混凝土存在侧向约束作用,横向贯通钢筋对混凝土横向变形也可以起到约束作用,使孔中混凝土处于三向约束状态。因此基于连接件推出试验结果,采用考虑三向约束的混凝土抗剪强度提高系数α对混凝土部分承载力进行修正。 钢筋抗剪强度,参照钢材抗剪强度计算方法,按式
vd=0.577
d进行计算。按照本规范公式对规范编制组完成的试验中开孔板的抗剪承载力设计值进行验算,计算值与其他试验结果[参见胡建华《PBL剪力连接件承载力试验》(《中国公路学报》,2006,19(6):65—72)和IsabelValente《ExperimentalanalysisofPerfobondshearconnectionbetweensteelandlightweightconcrete》(《JournalofConstructionalSteelResearch》,2004,60:465—479)]的对比表明,计算值与试验值比值在0.7~1.67之间,平均值为1.07。
7.2.3 槽钢连接件的抗剪承载力设计值应根据下式确定:

式中:N c v ——槽钢连接件的抗剪承载力设计值(N);
t——槽钢翼缘的平均厚度(mm);
t w ——槽钢腹板的厚度(mm);
l c ——槽钢的长度(mm)。
连接槽钢与钢梁的角焊缝应按承受该连接件的抗剪承载力设计值N c v 进行计算。
7.3 抗剪连接件疲劳计算
7.3 抗剪连接件疲劳计算
7.3.1 抗剪连接件应根据下列公式进行疲劳验算:
γ Ff △N p ≤△N L /γ Mf (7.3.1-1)
△N p =N p,max -N p,min (7.3.1-2)
式中:γ Ff ——疲劳荷载分项系数,取1.0;
γ Mf ——疲劳抗力分项系数,对重要构件取1.35,对次要构件取1.15:
△N p ——抗剪连接件按疲劳荷载模型计算得到的剪力幅(N);
△N L ——连接件疲劳容许剪力幅(N),可按本规范第7.3.3条计算;
N p,max 、N p,min ——无限疲劳寿命验算的疲劳荷载模型按最不利情况加载于影响线得出的最大和最小剪力(N)。
7.3.2 抗剪连接件的疲劳荷载模型,采用现行行业标准规定的车道荷载形式,其集中荷载为0.7P k ,均布荷载为0.3q k ,计算时应计入多车道的影响,多车道系数按现行行业标准的相关规定计算。
7.3.3 抗剪连接件的疲劳容许剪力幅应符合下式规定:
△N L ≤0.2N c v (7.3.3)
条文说明
7.3.1~7.3.3本节规定是参照相关规范及栓钉的疲劳要求制订的。 疲劳荷载模型一般分为三类。荷载模型Ⅰ用于整体构件的无限疲劳寿命验算,荷载模型Ⅱ用于整体构件的设计使用期疲劳验算,荷载模型Ⅲ用于局部构件的疲劳验算。 一般认为,当荷载作用下产生应力变化的循环次数能满足n≥1×108,构件满足无限疲劳寿命的要求;当荷载作用下产生应力变化的循环次数能满足n在2×106~5×106,构件满足设计使用期的疲劳寿命要求。抗剪连接件的受力属于整体构件的受力,应采用疲劳荷载模型Ⅰ进行无限疲劳寿命验算,或采用疲劳荷载模型Ⅱ进行设计使用期的疲劳寿命验算。 当采用疲劳荷载模型Ⅰ进行连接件的无限疲劳寿命验算,对于栓钉连接件,其剪应力幅应满足: γFf△τp≤△τL/γMf(12) △τp=τp,max-τp,min(13) 式中:γFf——疲劳荷载分项系数,取1.0; γMf——疲劳抗力分项系数,对重要构件取1.35,对次要构件取1.15(重要构件是指失效会对结构受力产生较大影响的构件,次要构件是指失效对结构受力产生影响较小的构件); △τp——按疲劳荷载模型Ⅰ计算得到的剪应力幅; △τL——剪应力幅疲劳截止限; τp,max、τp,min——将疲劳荷载模型Ⅰ按最不利情况加载于影响线得出的最大和最小剪应力(MPa)。 
图2剪应力幅疲劳强度曲线 参考欧洲规范4,栓钉的疲劳细节类别可取为△τc=90,m=8。 按照栓钉的疲劳容许剪应力与抗剪承载力设计值对应的名义剪应力(260MPa~295MPa)的关系,并认为其关系同样适用疲劳容许剪力与抗剪承载力设计值,可以推得用疲劳荷载模型Ⅰ验算的疲劳容许剪力幅约为20%的抗剪承载力。 开孔板抗剪连接件和槽钢抗剪连接件的疲劳受力情况可参照使用,工程设计中如有可靠试验资料,可适当提高。
7.4 混凝土桥面板纵向抗剪计算
7.4 混凝土桥面板纵向抗剪计算
7.4.1 钢-混凝土组合梁承托及桥面板纵向抗剪承载力验算时,应分别验算图7.4.1所示的纵向受剪界面。a-a、b-b、c-c及d-d。

图7.4.1 混凝土桥面板纵向受剪界面
A t —混凝土桥面板顶部附近单位长度内钢筋面积的总和(mm 2 );
A b —混凝土桥面板底部单位长度内钢筋面积的总和(mm 2 );
A bh —承托底部单位长度内钢筋面积的总和(mm 2 )
7.4.2 单位梁长混凝土桥面板内钢筋总面积应满足下式要求:
A e >0.8L s /
sd (7.4.2)
式中:A e ——单位长度混凝土桥面板内横向钢筋总面积(mm 2 /mm),按图7.4.1和表7.4.2取值;
0.8——系数(N/mm 2 );
L s ——纵向受剪界面的长度,按图7.4.1所示的a-a、b-b、c-c及d-d连线在抗剪连接件以外的最短长度取值(mm);

sd ——横向钢筋的抗拉强度设计值(MPa)。
表7.4.2 单位长度上横向钢筋的截面积A c

条文说明
7.4.1、7.4.2混凝土桥面板纵向剪切破坏是组合桥的主要破坏形式之一,设计时应予以考虑。钢梁与混凝土桥面板间的纵向剪力集中分布于布置有连接件的位置,混凝土桥面板在这种集中力作用下可能发生开裂或破坏。 根据组合梁的构造形式,混凝土桥面板纵向抗剪设计时需要判断可能出现纵向剪切破坏的潜在剪切面,并且确保在承载力极限状态下任意潜在剪切面的极限抗剪承载力超过实际存在的纵向剪力。 影响组合梁混凝土桥面板纵向开裂和纵向抗剪承载力的因素包括混凝土桥面板的厚度,混凝土强度等级,横向配筋率和横向钢筋的位置,抗剪连接件的种类及排列方式、数量、间距,荷载的作用方式等。设计时,应重点从混凝土桥面板的最小截面尺寸以及配筋两个方面进行控制。
7.4.3 承受桥面板结合面纵向剪力的横向钢筋在剪切面外的长度应满足锚固长度的要求;底部横向钢筋间距不应大于连接件超出横向钢筋高度的4倍,且不应大于600mm。
条文说明
7.4.3只有在剪切面两侧均能有效锚固的横向钢筋才能计入钢筋面积。锚固长度的要求参见现行行业标准《公路钢筋混凝土及预应力混凝土桥涵设计规范》JTGD62的有关条文。用于桥面板横向受弯所配置的钢筋,可计入纵向抗剪钢筋。
7.4.4 钢-混凝土组合梁承托及混凝土桥面板纵向界面受剪承载力计算应符合下式要求:
V ld ≤V lRd (7.4.4)
式中:V ld ——形成组合作用以后,单位梁长内混凝土桥面板各纵向受剪界面的纵向剪力(N/mm);
V lRd ——单位梁长内各纵向受剪界面受剪承载力设计值(N/mm)。
条文说明
7.4.4连接件的设计荷载作用仅包括钢梁与混凝土桥面板形成组合截面之后的各种荷载,如恒荷载、活荷载、预应力、收缩徐变以及温度效应等。在计算纵向水平剪力作用时,按线弹性分析方法并假设钢梁和混凝土桥面板完全组合进行计算,不考虑钢梁与混凝土桥面板之间的粘结力及摩擦作用,且不考虑负弯矩区混凝土开裂的影响。
7.4.5 形成组合作用之后,单位梁长内混凝土桥面板各纵向受剪界面的纵向剪力V ld 应符合下列规定:
1 单位梁长内a-a纵向受剪界面的计算纵向剪力:

2 单位梁长内b-b、c-c及d-d纵向受剪界面的计算纵向剪力:
V ld =V l (7.4.5-2)
式中:b c ——混凝土桥面板的有效宽度(mm);
b 1 、b 2 ——混凝土桥面板左右两侧在a-a界面以外的有效宽度(mm),见图7.4.1;
V l ——形成组合作用之后,单位梁长的钢梁与混凝土桥面板的界面纵向剪力(N/mm)。
3 单位梁长的界面纵向剪力应按下列要求进行计算:
1)由竖向剪力引起的单位梁长的界面纵向剪力:

2)由预应力束集中锚固力、混凝土收缩变形或温差引起的纵向剪力:
预应力束在梁跨中间锚固,锚固点前后均传递纵向剪力:

预应力束在梁跨中间锚固,锚固点前(预应力作用区段)传递剪力或梁端部锚固:

式中:V d ——形成组合作用之后,作用于组合梁的竖向剪力(N);
V t ——由预应力束集中锚固力、混凝土收缩变形或温差的初始效应在混凝土桥面板中产生的纵向剪力(N);
S oc ——混凝土桥面板对组合截面中和轴的面积矩(mm 3 );
I o ——组合梁截面换算截面惯性矩(mm 4 );
l cs ——混凝土收缩变形或温差引起的纵向剪力计算传递长度(mm),取主梁间距和主梁长度的1/10中的较小值。
条文说明
7.4.5由竖向剪力引起的界面纵向剪力,可按材料力学相关公式计算。由预应力束集中锚固力、混凝土收缩变形或温差引起的纵向剪力,由端部或锚固处长度lcs范围内的连接件承受,并假定该纵向剪力沿lcs线性分布,即在端部为Vt,在距端部lcs处为0。各国规范中对纵向剪力计算传递长度有不同的规定,本规范与国内规范一致,偏保守地采用主梁间距与1/10主梁长度的较小值。
7.4.6 单位长度内纵向界面受剪承载力设计值V lRd 应按下列公式计算,并应取两者的较小值:
V lRd =0.7L s 
td +0.8A e 
sd (7.4.6-1)
V lRd =0.25L s 
cd (7.4.6-2)
式中:V lRd ——单位长度内纵向界面受剪承载力(N/mm);
L s ——纵向受剪界面的长度,按图7.4.1所示的a-a、b-b、c-c及d-d连线在抗剪连接件以外的最短长度取值(mm);

td ——混凝土轴心抗拉强度设计值,按本规范表3.1.4取值(MPa);

sd ——横向钢筋的抗拉强度设计值(MPa);

cd ——混凝土轴心抗压强度设计值,按本规范表3.1.4取值(MPa)。
条文说明
7.4.6混凝土桥面板的纵向抗剪承载力由混凝土和横向钢筋两部分组成。同时,对混凝土的剪应力水平进行了限制,以防止发生脆性破坏。
7.5 抗剪连接件的数量计算与布置
7.5 抗剪连接件的数量计算与布置
7.5.1 每个剪跨区段内抗剪连接件的数目n f 应满足下式要求:
n f ≥V s /N c v (7.5.1)
式中:V s ——每个剪跨区段内钢梁与混凝土桥面板交界面的纵向剪力(N);
N c v ——单个连接件的抗剪承载力设计值(N)。
7.5.2 剪跨区的划分应以弯矩绝对值最大点及零弯矩点为界限逐段进行(图7.5.2)。

图7.5.2 连续梁剪跨区划分图
7.5.3 每个剪跨区段内钢梁与混凝土桥面板交界面的纵向剪力V s 应按下列方法确定:
1 位于正弯矩区段的剪跨:
V s =min{A s 
d ,A c 
cd } (7.5.3-1)
式中:A s ——钢梁的截面面积(mm 2 );

d ——钢材的抗拉强度设计值(MPa);
A c ——混凝土桥面板的截面面积(mm 2 );

cd ——混凝土轴心抗压强度设计值(MPa)。
2 位于负弯矩区段的剪跨:
V s =A rt 
sd (7.5.3-2)
式中:A rt ——负弯矩区混凝土桥面板有效宽度范围内的纵向钢筋截面面积(mm 2 );

sd ——钢筋抗拉强度设计值(MPa)。
3 当采用栓钉和槽钢抗剪件时,可将剪跨区m 2 和m 3 、m 4 和m 5 分别合并为一个区配置抗剪连接件(图7.5.2),合并为一个区段后的纵向剪力应符合下列规定:
V s =A c 
cd +A rt 
sd (7.5.3-3)
条文说明
7.5.1~7.5.3抗剪连接件的数量保证了塑性设计极限状态下混凝土桥面板与钢梁之间的剪力传递。一个剪跨区段内,连接件的承载能力大于混凝土桥面板或钢梁的纵向受压或受拉承载力。负弯矩区段,混凝土桥面板处于受拉状态,连接的纵向剪力仅考虑大于混凝土体内的纵向钢筋受拉承载能力。 剪力件数目的确定,对于永久作用,可采用弯矩分布图进行剪跨分区,并确定剪力件个数;对于活载作用,需要分别采用弯矩最大值和最小值的包络图进行分区,分别计算各个区域内所需的剪力件个数。最终取不同包络分区剪力件个数的大值。 以三跨连续梁为例(图3)进行说明。 根据弯矩最大值包络线确定出剪力件的数目nMmax(χ),根据弯矩最小值包络线确定出剪力件的数目nMmin(χ),最终剪力件的布置取两者的大值,即nf=max{nMmax(χ),nMmin(χ)}。 
图3连续梁弯矩包络图
7.5.4 位于负弯矩区段的抗剪连接件,其抗剪承载力设计值N c v 应乘以折减系数0.9(中间支座两侧)或0.8(悬臂部分)。
条文说明
7.5.4负弯矩区段,考虑连接件周围的混凝土约束程度由于开裂而降低,连接件的抗剪承载能力应予以折减。
7.5.5 抗剪连接件可在对应的剪跨区段内均匀布置。当在此剪跨区段内有较大集中荷载作用时,应将连接件个数n f 按剪力图面积比例分配后再各自均匀布置。
条文说明
7.5.5考虑连接件存在滑移及一定的变形能力,连接件具有一定的纵向剪力重分布能力,一个剪跨区段内的数量可平均分布。
7.5.6 抗剪连接件在结合面端部的布置,应计入由于预应力束集中锚固力、混凝土收缩变形和温差引起的纵向剪力的叠加。单位梁长的界面纵向剪力应按本规范第7.4.5条的规定计算。
条文说明
7.5.6混凝土桥面板与钢梁连接的端部,在收缩、温度等作用下,通常有较大的纵向剪力。这些位置的纵向连接应进行加强。
8 构造要求
8.1 混凝土桥面板
8 构造要求
8.1 混凝土桥面板
8.1.1 混凝土桥面板板厚不宜小于180mm,根据需要可设计承托。当有承托时,应符合下列规定(图8.1.1):
1 承托高度h c2 不宜大于混凝土桥面板厚度h c1 的1.5倍。
2 承托顶的宽度b o 不宜小于钢梁上翼缘宽度b t 与1.5倍承托高度h c2 之和。
3 承托边至抗剪连接件外侧的距离不得小于40mm。
4 承托外形轮廓应在由连接件根部起的45°角线的界限以外。
5 承托中横向钢筋的下部水平段应设置在距钢梁上翼缘50mm的范围之内;抗剪连接件抗掀起端底面高出横向钢筋的距离h e 不得小于30mm;横向钢筋间距不应大于4h e ,且不应大于600mm。

图8.1.1 组合梁的截面形式
8.1.2 钢-混凝土组合梁边梁混凝土桥面板的构造应符合下列规定(图8.1.2):
1 有承托时,伸出长度不宜小于h c2 。

图8.1.2 边梁构造图
2 无承托时,应同时满足伸出钢梁中心线不小于150mm、伸出钢梁翼缘边不小于50mm的要求。
8.1.3 负弯矩区钢筋混凝土桥面板受拉钢筋截面配筋率不应小于1.5%。板下层钢筋截面积不宜小于截面总钢筋截面积的50%。
条文说明
8.1.3本条规定主要以混凝土桥面板开裂内力为基准,并考虑混凝土桥面板内钢筋与钢梁的有效共同作用,与后列栓钉构造要求一起,提出靠近钢板侧钢筋数量的要求,日本规范有钢筋周长率要求,英国规范有钢筋间距要求,目的均是增加钢筋与混凝土的握裹力以及混凝土桥面板与钢梁之间的整体作用。 国外的组合梁规范相应的纵向配筋要求如下: 欧洲规范: (1)除采用《Eurocode2:Designofconcretestructures—Part1—1:Generalrulesandnulesforbuildings》EN1992-1-1:2004中的精确方法,在全部截面没有预应力钢束的预加力及没有由于强迫变形受到较大的拉应力(如收缩的初级及二次效应的影响),组合或无直接荷载作用下组合梁的混凝土桥面板的最小配筋面积As为:As=kskck
ct,effAct/σs(
ct,eff为混凝土桥面板受拉区域的开裂拉力值,可简化按混凝土全截面计算)。 (2)一半以上的钢筋面积应布置在受拉较大侧板的一半高度范围内; (3)横向变高度混凝土桥面板,应取用局部高度; (4)按照(1)、(2)确定的钢筋,应布置在作用的特征组合下混凝土出现拉应力的区域。 日本规范: 受拉应力的板中,在忽略混凝土截面的连续合成梁中间支点附近,负弯矩引起的桥轴方向钢筋拉应变使混凝土桥面板产生裂纹。与钢筋混凝土梁相同,这种裂缝使设计时不能考虑混凝土的抗拉作用,对混凝土桥面板参与主梁作用及局部桥面板作用都不利。基于这一宗旨,规定桥轴方向钢筋截面积必须在混凝土截面积2%以上,周长率为0.045cm/cm2。 加拿大规范: 非预应力桥面板纵向配筋率不小于1%,并有2/3钢筋布置于有效宽度范围顶层。
8.1.4 组合梁的梁端及连续组合梁中支点附近桥面板内,宜按下列要求设置承担混凝土收缩和温差应力的斜向分布钢筋(图8.1.4):

图8.1.4 斜向分布钢筋布置图
1 设置范围宜为腹板间距的50%~100%。
2 钢筋的长度宜接近板的全宽,直径不宜小于16mm,间距不宜大于150mm。
3 宜布置在桥面板的截面中性轴附近。
4 钢筋的方向应与板的伸缩方向一致。
8.2 钢梁
8.2 钢 梁
8.2.1 钢梁的翼板厚度不应小于16mm,腹板厚度不应小于12mm,所用填板厚度不应小于4mm。
条文说明
8.2.1钢梁各部位的钢板厚度除应具有一定的强度和刚度外,尚应考虑在长期运营过程中腐蚀作用带来的不利因素。另外,如果焊接板梁的腹板太薄,容易产生焊接变形,甚至会引起腹板的局部稳定问题。因此,对钢结构构件的厚度提出了尺寸要求。
8.2.2 与混凝土结合的钢梁上翼缘宽度不得小于250mm,并不应大于其厚度的24倍。上翼缘与腹板的焊接宜采用熔透T字角焊缝。
条文说明
8.2.2简支钢梁的上翼缘宽度太小时,不容易保证梁的整体稳定,太大时则翼缘中的应力分布不均匀;组合梁上翼缘宽度尚应满足混凝土桥面板的局部承压强度的要求。根据我国宗听聪的研究(见《钢结构》,宗听聪编,中国建筑工业出版社,1991年),为了保证受压翼缘的局部稳定,其一侧自由外伸宽度与厚度之比不超过
,将Q345q的屈服强度代入,即得翼缘板全宽度不得超过24倍的厚度(
,取24倍)。
8.2.3 在梁的两端和跨中应布置横隔板或横撑架,其余横隔板或横撑架的布置位置宜根据受力分析确定。
条文说明
8.2.3横隔板(横撑架)以及加劲肋的数量、规格和具体布置应根据实际受力情况,并结合本规范表5.3.1(Ⅰ字形钢梁不需要验算整体稳定的最大l1/b1值)和本规范第6.4节局部稳定验算要求综合考虑后设置。
8.3 抗剪连接件
8.3 抗剪连接件
8.3.1 抗剪连接件的设置应符合下列规定:
1 栓钉连接件钉头下表面或槽钢连接件上翼缘下表面高出桥面板底部钢筋顶面不宜小于30mm。
2 连接件沿梁跨度方向的最大间距不宜大于混凝土桥面板(包括承托)厚度的4倍,且不应大于400mm。
3 连接件的外侧边缘与钢梁翼缘边缘之间的距离不应小于30mm。
4 连接件的外侧边缘至混凝土桥面板边缘间的距离不应小于100mm。
5 连接件顶面的混凝土保护层厚度不应小于15mm。
8.3.2 栓钉连接件除应满足本规范第8.3.1条的要求外,尚应符合下列规定:
1 当栓钉位置不正对钢梁腹板时,如钢梁上翼缘承受拉力,则栓杆杆径不应大于钢梁上翼缘厚度的1.5倍;如钢梁上翼缘不承受拉力,则栓钉杆径不应大于钢梁上翼缘厚度的2.5倍。
2 栓钉长度不应小于其杆径的4倍,并不宜超过其杆径的6倍。
3 栓钉沿梁轴线方向的间距不应小于杆径的6倍;垂直于梁轴线方向的间距不应小于杆径的4倍;当栓钉间距较小时,应计入群钉效应。
条文说明
8.3.1、8.3.2栓钉连接头下表面高出桥面板底部钢筋30mm以上,是为了保证连接件能抵抗混凝土桥面板与钢梁之间的掀起作用;连接件沿梁跨度方向的最大间距规定,主要是为了防止在混凝土桥面板与钢梁接触面间产生过大的裂缝,影响组合梁的整体性能。
8.3.3 开孔板连接件除应符合本规范第8.3.1条的要求外,尚应符合下列规定:
1 开孔间距应大于2.25倍开孔直径。
2 开孔板间距大于1.25倍开孔板高度时,开孔板连接件的抗剪承载力可按实际开孔数量乘以单孔承载力。
3 横向贯通钢筋直径不应大于开孔直径的1/2。
4 开孔板与钢梁之间的焊接应采用双面角焊缝。
条文说明
8.3.3开孔板的构造尺寸,主要根据承载能力所依据的试验的构造尺寸。
8.3.4 槽钢连接件可采用Q235钢,截面不宜大于[12.6。
8.4 其他构造要求
8.4 其他构造要求
8.4.1 钢-混凝土组合桥梁应根据结构的特点,结合桥址处的环境条件,从结构整体的耐久性观点进行构造设计。
条文说明
8.4.1组合桥梁的耐久性构造设计,不单纯是混凝土部件的耐久性设计和钢部件防腐蚀措施的简单组合,而应从结构整体耐久性设计的内、外因素双管齐下综合处理。其要点包括: (1)从环境、材料、施工、养护的角度,整体考虑桥梁的耐久性。 (2)主要构件满足可视、可达的养护要求。组合桥梁在设计使用期内,按规定期限对其进行观察和养护是耐久性设计的必要条件。故组合桥梁的布置和构造要满足便于正常养护和维修的要求。 (3)适当提高桥面排水的暴雨重现期;桥面应设置可靠的桥面防水层;排水构造应能满足养护要求;桥梁侧面应设置滴水槽;箱梁内不宜设置排水管道;钢结构构件中,应尽量避免采用宜于积水的闭口截面,并于凹槽、坑槽处设置有效的排水孔。 桥面系统的防水设计及构造是组合桥梁结构耐久性设计的重要组成部分,其中,完善而有效的防水层、侧面檐口、必要的滴水槽以及不让排水管设置在箱梁内等都是防止桥面板的渗漏水污染、腐蚀钢梁的必要措施。
8.4.2 钢梁结合面在浇筑(或安装)混凝土桥面板前应清除铁锈、焊渣、冰层、积雪、泥土和其他杂物。
8.4.3 钢梁结合面边缘30mm范围内应进行防腐涂装。
8.4.4 当桥面板采用预制钢筋混凝土桥面板时,应采取措施使预制板与钢梁间密贴,满足防水要求。
条文说明
8.4.3、8.4.4组合桥梁中钢梁翼缘和混凝土桥面板的结合面是个关键部位,其强度和耐久性关系到桥梁的整体安全和使用寿命。另外,结合面易受桥面渗漏水的腐蚀,构造要完善密封。
附录A组合梁侧扭屈曲的弹性临界弯矩计算
附录A 组合梁侧扭屈曲的弹性临界弯矩计算
A.0.1 组合梁侧扭屈曲的弹性临界弯矩宜采用数值分析方法计算。
A.0.2 组合梁侧扭屈曲的弹性临界弯矩可采用弹性约束压杆模型(图A.0.2),按下列公式简化计算:

式中:M cr ——组合梁侧扭屈曲的弹性临界弯矩(N·mm);
N cr ——等效弹性约束压杆的临界力(N);
W os ——不考虑开裂混凝土的截面模量(mm 3 );
A sb 、A sw ——受压下翼缘和腹板的面积(mm 2 );
E s ——钢材弹性模量(MPa);
I sby ——等效弹性约束压杆关于y轴的惯性矩(mm 4 );
l o ——弹性约束压杆的计算长度(mm);
l——弹性约束压杆的长度(mm);
m——计算过程中无量纲数;
k s ——单位梁长的转动约束刚度(N/mm 2 );
I w ——单位宽度腹板出平面的截面惯性矩(mm);
h s ——钢梁翼缘剪力中心间的距离(mm);
t w ——钢梁腹板厚度(mm);
b sb 、t sb ——钢梁下翼缘的宽度和厚度(mm)。

图A.0.2 弹性约束压杆模型
附录B基于有效弹性模量的虚拟荷载法
附录B 基于有效弹性模量的虚拟荷载法
B.0.1 基于有效弹性模量的虚拟荷载法可用于计算混凝土徐变、收缩等引起的截面应力增量。
B.0.2 虚拟荷载法可按下列步骤计算:
1 假定钢梁与混凝土之间无连接,混凝土桥面板在温度、收缩等作用下产生自由形变ε c 。
2 根据混凝土桥面板的应变及有效弹性模量求解虚拟荷载P o ;将该虚拟荷载P o 反向施加于混凝土桥面板形心上,使混凝土桥面恢复形变ε c 。
3 恢复钢梁与混凝土桥面板之间的连接,释放P o ,求解截面应力。
4 将以上3个步骤的应力进行叠加。
B.0.3 组合截面各位置处的应力增量可按下列公式计算:
混凝土桥面板截面:

式中:P o ——虚拟荷载(N),通过混凝土在作用(或荷载)效应下的应变求解;
M o ——虚拟荷载由于偏心产生的弯矩(N·mm);
A oL ——换算截面面积(mm 2 );
I oL ——换算截面惯性矩(mm 4 );
y c oL ——混凝土桥面板所求应力点至换算截面中和轴的距离(mm);
y s oL ——钢梁所求应力点至换算截面中和轴的距离(mm)。
B.0.4 虚拟荷载的确定应符合下列规定:
1 徐变引起的永久作用截面应力增量:

式中:y oc ——混凝土桥面板形心至换算中和轴的距离(mm);
E cg Φ ——考虑徐变影响时永久作用的有效弹性模量(MPa);
ε o ——组合梁混凝土桥面板形心处在t o 时刻的初应变;
n L ——钢与混凝土的有效弹性模量比;
n o ——钢与混凝土的弹性模量比;
(t,τ)——混凝土的徐变系数;
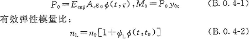
ψ L ——永久作用的徐变因子,取1.1;
(t,t o )——加载龄期为t o ,计算考虑龄期为t的混凝土徐变系数。徐变系数最终值可根据混凝土桥面板的加载龄期和理论厚度按本规范表6.2.3采用。
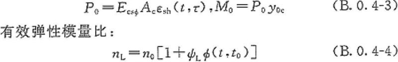
2 考虑徐变影响的收缩截面应力增量:

式中:E cs Φ ——考虑徐变影响时混凝土收缩作用的有效弹性模量(MPa);
ε sh ——混凝土的收缩应变;
ψ L ——混凝土收缩作用的徐变因子,取0.55。
3 温度作用的截面应力增量:
温度荷载作用下有效弹性模量比n L 取为n o ,即

式中:ψ L ——温度作用的徐变因子,取0。
1)整体升降温度:假定温度变化后组合梁的温度一致,约束应力增量仅为钢与混凝土之间由于膨胀率不同的变形差值。
P o =E c A c △t(α s -α c ),M o =P o y oc (B.0.4-6)
2)矩形温差:即假定钢梁温度一致、混凝土结构温度一致。
P o =E c A c (t s α s -t c α c ),M o =P o y oc (B.0.4-7)
3)梯形温差:梯度温度转换的虚拟荷载应按积分公式求解,并应符合现行行业标准《公路钢筋混凝土及预应力混凝土桥涵设计规范》JTG D62的相关要求。
附录C跨中未设置转向点的体外预应力组合梁挠度计算方法
附录C 跨中未设置转向点的体外预应力组合梁挠度计算方法
条文说明
跨中不带转向点的体外预应力组合梁跨中挠度计算与有转向点的组合梁跨中挠度计算的差异在于有无预应力筋矢高变化引起的变形。跨中未设置转向点的体外预应力组合梁变形计算需要考虑预应力筋矢高变化引起的变形,
e的计算是基于整体和分离体的平衡方程、应变协调关系及钢和混凝土材料的本构关系推导而出,详细推导过程可查看条文说明第6.3.1条。 按照本规范公式对相关实验[参见AyyubB.M.《PrestressedCompositeGirdersUnderPositiveMoment》(《ASCEJournalofStructuralEngineering》,1990,116(11):2931-2951)和WojciechLorenc《BehaviorofCompositeBeamsPrestressedwithExternalTendons:ExperimentalStudy》(《JournalofConstructionalSteelResearch》,2006,62(12):1353-1366)]中的4根简支钢-混凝土组合梁在正弯矩作用下的跨中挠度进行验算(详见《钢-混凝土组合梁单调静力性能和设计理论研究报告》,《钢-混凝土组合桥梁设计规范》编制组,2010),结果表明,在P=0.2Pu、0.4Pu时,按本规范公式计算得到的结果与试验结果误差较小(在P=0.2Pu、0.4Pu时,挠度计算值和实验值的平均误差均分别为1.1%和0.9%,平均标准差分别为0.167和0.080)。
C.0.1 对于跨中无转向点的体外预应力组合梁的变形计算,以三折线形布筋形式为例(图C.0.1),其跨中挠度可按下列公式计算:

式中:
e ——矢高变化引起的组合梁跨中挠度(mm);
△e——跨中矢高变化量(mm);
T 和B计算方法见本规范第6.3节。

图C.0.1 均布荷载作用下简支组合梁的计算模型
1—混凝土桥面板;2—钢梁;3—换算截面中和轴;4—预应力筋;5—转向块;6—锚具
C.0.2 以三折线形布筋形式为例(图C.0.2),矢高变化量△e可按下式计算:
△e=△ 1 -Δ 2 (C.0.2)
式中:Δ 1 ——跨中截面处组合梁的竖向位移(mm),运用换算截面刚度按结构力学方法近似计算;
Δ 2 ——靠近跨中截面转向点的竖向位移(mm),运用换算截面刚度按结构力学方法近似计算。

图C.0.2 跨中矢高变化计算示意图
1—变形前的预应力筋;2—变形后的预应力筋
附录D开孔板连接件抗剪刚度计算方法
附录D 开孔板连接件抗剪刚度计算方法
D.0.1 当混凝土种类、开孔直径和横向贯通筋直径符合下列情况时,开孔板连接件抗剪刚度可按下列公式计算:
1 采用C50混凝土:
开孔直径为55mm,横向贯通钢筋采用
16的开孔板连接件抗剪刚度为:
K=1.027(N c v -0.744N s ) (D.0.1-1)
开孔直径为45mm,横向贯通钢筋采用
16的开孔板连接件抗剪刚度为:
K=0.849(N c v -0.629N s ) (D.0.1-2)
开孔直径为55mm,横向贯通钢筋采用
20的开孔板连接件抗剪刚度为:
K=1.876(N c v -0.929N s ) (D.0.1-3)
开孔直径为35mm,横向贯通钢筋采用
12的开孔板连接件抗剪刚度为:
K=3.247(N c v -1.007N s ) (D.0.1-4)
2 采用C40混凝土:
开孔直径为55mm,横向贯通钢筋采用
16的开孔板连接件抗剪刚度为:
K=0.943(N c v -0.781N s ) (D.0.1-5)
开孔直径为45mm,横向贯通钢筋采用
16的开孔板连接件抗剪刚度为:
K=4.167(N c v -1.023N s ) (D.0.1-6)
式中:K——开孔板连接件抗剪刚度(N/mm)。
D.0.2 当不符合本规范D.0.1条规定的情况时,开孔板连接件抗剪刚度的确定应优先选择试验的方法。当缺乏试验条件时,可按本规范第D.0.1条给出的公式确定。
本规范用词说明
本规范用词说明
1 为便于在执行本规范条文时区别对待,对要求严格程度不同的用词说明如下:
1)表示很严格,非这样做不可的:
正面词采用“必须”,反面词采用“严禁”;
2)表示严格,在正常情况下均应这样做的:
正面词采用“应”,反面词采用“不应”或“不得”;
3)表示允许稍有选择,在条件许可时首先应这样做的:
正面词采用“宜”,反面词采用“不宜”;
4)表示有选择,在一定条件下可以这样做的,采用“可”。
2 条文中指明应按其他有关标准执行的写法为:“应符合……的规定”或“应按……执行”。
引用标准名录
引用标准名录
《碳素结构钢》GB/T 700
《桥梁用结构钢》GB/T 714
《钢结构用高强度大六角头螺栓、大六角螺母、垫圈技术条件》GB/T 1231
《钢筋混凝土用钢 第1部分:热轧光圆钢筋》GB 1499.1
《钢筋混凝土用钢 第2部分:热轧带肋钢筋》GB 1499.2
《低合金高强度结构钢》GB/T 1591
《钢结构用扭剪型高强度螺栓连接副》GB/T 3632
《碳钢焊条》GB 5117
《低合金钢焊条》GB 5118
《预应力混凝土用钢丝》GB/T 5223
《预应力混凝土用钢绞线》GB/T 5224
《电弧螺柱焊用圆柱头焊钉》GB/T 10433
《预应力混凝土用螺纹钢筋》GB/T 20065
《城市桥梁设计规范》CJJ 11
《无粘结预应力钢绞线》JG 161
《公路桥涵设计通用规范》JTG D60
《公路钢筋混凝土及预应力混凝土桥涵设计规范》JTG D62
自2022年1月1日起废止的条文

