Appearance
《大直径扩底灌注桩技术规程[附条文说明] 》JGJ/T 225-2010
🗓️ 住房和城乡建设部 实施时间:2011-08-01
前言
中华人民共和国行业标准
大直径扩底灌注桩技术规程
Technical specification for large-diarneter belled cast-in-place pile foundation
JGJ/T 225-2010
批准部门:中华人民共和国住房和城乡建设部
施行日期:2 0 1 1 年 8 月 1 日
中华人民共和国住房和城乡建设部公告
第800号
关于发布行业标准《大直径扩底灌注桩技术规程》的公告
现批准《大直径扩底灌注桩技术规程》为行业标准,编号为JGJ/T 225-2010,自2011年8月1日起实施。
本规程由我部标准定额研究所组织中国建筑工业出版社出版发行。
中华人民共和国住房和城乡建设部
2010年11月4日
前言
根据住房和城乡建设部《关于印发<2008年工程建设标准规范制订、修订计划(第一批)>的通知》 (建标[2008]102号)的要求,规程编制组经广泛调查研究,认真总结实践经验,参考有关国际标准和国外先进标准,并在广泛征求意见的基础上,制订了本规程。
本规程的主要技术内容有:总则、术语和符号、基本规定、设计基本资料与勘察要求、基本构造、设计计算、施工、质量检验等。
本规程由住房和城乡建设部负责管理,由合肥工业大学负责具体技术内容的解释。在执行过程中如有意见或建议,请寄送合肥工业大学(地址:合肥市屯溪路193号合肥工业大学建筑设计研究院;邮政编码:230009)。
本规程主编单位: 合肥工业大学
浙江省东阳第三建筑工程有限公司
本规程参编单位: 同济大学
中国建筑科学研究院
建设综合勘察研究设计院
东南大学
机械工业勘察设计研究院
河海大学
深圳市勘察测绘院有限公司
天津市市政工程设计研究院
本规程主要起草人员: 高广运 杨成斌 刘志宏 滕延京
顾宝和 张文华 刘松玉 张 炜
高 盟 谢建民 刘汉龙 吴春萍
阮 翔 毛由田 冯世进 何仕英
李明生
本规程主要审查人员: 高大钊 钱力航 龚晓南 刘厚健
顾国荣 袁内镇 周宏磊 赵明华
葛兴杰 梁志荣 周同和 缪俊发
条文说明
中华人民共和国行业标准
大直径扩底灌注桩技术规程
JGJ/T225-2010
条文说明
制定说明 《大直径扩底灌注桩技术规程》JGJ/T225-2010经住房和城乡建设部2010年11月4日以800号公告批准、发布。 本规程制订过程中,编制组对国内大直径扩底灌注桩的应用情况进行了调查研究,总结了我国大直径扩底灌注桩的实践经验,开展了相关室内模型试验、数值模拟分析和现场试验。 为便于广大设计、施工、科研、学校等单位有关人员在使用本标准时能正确理解和执行条文规定,《大直径扩底灌注桩技术规程》编制组按章、节、条顺序编制了本规程的条文说明,对条文规定的目的、依据以及执行中需注意的有关事项进行了说明。但是,本条文说明不具备与标准正文同等的法律效力,仅供使用者作为理解和把握标准规定的参考。
1 总则
1 总则
1.0.1 为在大直径扩底灌注桩勘察、设计、施工及质量检验中做到技术先进、经济合理、安全适用、确保质量、保护环境,制定本规程。
条文说明
1.0.1随着我国工程建设的快速发展,具有较高承载性状的大直径扩底灌注桩,在高层建筑等大型、重要工程中得到广泛应用。大直径扩底灌注桩有以下特点: 1大直径扩底灌注桩以桩端承载力为主,绝大多数载荷试验得不到明显的极限荷载,载荷试验曲线基本上均呈缓变型,没有明显直线段,也无明显的破坏荷载,甚至比例界限也不明显,极限承载力标准值无法由载荷试验直接确定。 2根据大直径扩底灌注桩静压桩试验结果分析和其受力机理分析,大直径扩底桩具有很高的端承潜力。 3大直径扩底桩的沉降变形以桩底土的竖向压缩变形为主,而这种变形又与桩底土的特性密切相关。因此大直径扩底桩的设计必须以沉降变形和承载力双向控制。 由于大直径扩底桩的以上特点,与普通的等直径桩的承载特性不同,现行的地基基础设计标准和建筑桩基技术标准显然不能完全适用于该桩型,因此特编制本规程,用于扩底桩的设计与施工。
1.0.2 本规程适用于建筑工程的大直径扩底灌注桩的勘察、设计、施工及质量检验。
条文说明
1.0.2本规程所指的建筑工程,包括构筑物。
1.0.3 大直径扩底灌注桩的勘察、设计、施工及质量检验,应综合分析建筑场地的工程地质与水文地质条件、上部结构类型、施工技术条件与环境,合理选择成孔工艺,强化施工安全与质量管理,优化布桩,节约资源。
1.0.4 大直径扩底灌注桩的勘察、设计、施工及质量检验除应符合本规程外,尚应符合国家现行有关标准的规定。
2 术语和符号
2.1 术语
2 术语和符号
2.1 术 语
2.1.1 大直径扩底灌注桩 large-diameter belled east-inplace pile
由机械或人工成孔,桩底部扩大,现场灌注混凝土,桩身直径不小于800mm、桩长不小于5.0m的桩。简称大直径扩底桩。
条文说明
2.1.1基础埋深小于等于5m时,施工难度小,习惯上称为浅基础。而桩基为深基础,因此本规程规定大直径扩底桩桩长不小于5m。
2.1.2 扩大端 enlarged tip
大直径扩底桩底部扩大部分。
2.1.3 桩身 pile shaft
大直径扩底桩桩顶到扩大端顶部的等直径段部分。
2.1.4 大直径扩底桩单桩竖向承载力特征值 characteristic value of the vertical bearing capacity of large-diameter belled pile
由单桩载荷试验测定的大直径扩底桩荷载—沉降曲线规定的变形所对应的压力值。当能确定单桩极限荷载时,将其除以安全系数2,即为单桩竖向抗压承载力特征值。对于荷载—沉降曲线呈缓变形的试桩,取桩顶沉降小于等于10mm的荷载作为单桩竖向承载力特征值;当结构变形允许时,可适当增加沉降取值,但最大沉降值不应大于15mm。
条文说明
2.1.4本规程规定大直径扩底桩单桩竖向抗压承载力特征值,是由单桩载荷试验测定的地基土压力变形曲线拟线性段内规定的变形所对应的压力值,其取值应按下列要求确定: 1当能确定单桩极限荷载,将单桩极限荷载除以安全系数2,作为单桩竖向抗压承载力特征值。 2对缓变形荷载-沉降曲线的试桩,取沉降小于等于10mm的荷载作为单桩竖向抗压承载力特征值。结构变形允许时,可适当增加沉降取值,但最大沉降值不得超过15mm。桩顶沉降取值,应根据端承岩土体的条件和性质综合确定,通常土质越硬取值越小。确定大直径扩底桩单桩竖向承载力特征值的桩顶沉降取值,应扣除桩身压缩变形,桩身压缩计算见本规程第6.2.6条。 大直径扩底桩载荷试验曲线多为缓变形,无明显极限荷载,因此,工程中也有取桩顶沉降量s与扩底直径D之比s/D=0.01为承载力特征值的,但必须满足上部结构对变形的要求。
2.2 符号
2.2 符 号
2.2.1 作用和作用效应



2.2.2 抗力和材料性能


2.2.3 几何参数



2.2.4 计算系数

3 基本规定
3 基本规定
3.0.1 大直径扩底桩宜在桩端岩土层能提供较大竖向承载力,且底部适宜扩大时采用。当缺乏地区经验时,应通过试验确定其适用性。
软弱土层、湿陷性或溶陷性土层、存在不稳定溶洞、土洞、采空区及扩大端施工时容易坍塌的土层,未经处理不得采用大直径扩底桩基础。
条文说明
3.0.1大直径扩底桩的适用条件可以归纳为以下几点: 1由于大直径扩底桩以端阻力为主,故在一定深度范围内应有承载能力较高、稳定性较好的持力层,如中密、密实的砂土或碎石土,坚硬、硬塑状态的粉土和黏性土,强风化以上的硬质岩以及中风化、微风化的软岩、较软岩等。有承载力较高的持力层才能发挥扩底桩的优势,但承载力很高的岩石,由于承载力主要由桩身强度控制,故一般不需扩底。 2无论人工还是机械扩底,施工时都有一个临空面,松散土层容易垮塌,故“适宜于底部扩大”是采用扩底桩不可或缺的条件。 3大直径扩底桩的竖向承载力很高,可达数千甚至数万千牛,故常用于单柱荷载较大的框架结构、框剪结构、排架结构、巨型柱以及剪力墙、筒结构等的基础,常采用一柱一桩,用于轻型建筑和砌体结构往往不经济。 4大直径扩底桩有较高的水平向承载力和抗拔力,可用于水平向荷载较高的工程和拔力较大的工程。 5人工开挖的扩底桩,适宜在狭小的施工场地上应用,但在地下水位以下施工时,应采取有效降水和支护措施后开挖、扩底。 6大直径扩底桩的设计和施工,经验性很强,故无论用于竖向、水平向或抗拔,均需有一定的经验,否则,应通过试验确定其适用性。
3.0.2 根据建筑物的重要性、荷载大小及地基复杂程度,可按下列规定将大直径扩底桩分为三个设计等级:
1 符合下列条件之一的大直径扩底桩,可定为甲级:
1)单柱荷载大于10000kN;
2)一柱多桩;
3)相邻扩底桩的荷载差别较大;
4)同一建筑结构单元桩端置于性质明显不同的岩土上;
5)有软弱下卧层;
6)结构特殊或地基复杂的重要建筑物。
2 除甲级和丙级以外的均可定为乙级的大直径扩底桩。
3 荷载分布均匀的七层及以下民用建筑或与其荷载类似的工业建筑的大直径扩底桩,可定为丙级。
条文说明
3.0.2为了便于设计时区别对待,需划分大直径扩底桩的设计等级。设计等级的划分主要依据设计的复杂性、技术的难易程度以及地基问题对建筑物安全和正常使用可能造成影响的严重程度,建筑物的规模和重要性、荷载大小、地基的复杂程度是主要因素。本条规定与现行国家标准《建筑地基基础设计规范》GB50007的原则和精神一致,并根据扩底桩的特殊情况进一步具体化。 大直径扩底桩主要用于柱基础,且大多采用一柱一桩,故单柱荷载很大的扩底桩应列为甲级;荷载特别大时采用一柱多桩,设计时还要考虑双桩、三桩(或更多)的合理布置和协调,应力叠加更使地基变形复杂化,故应列为甲级;当同一建筑结构单元的相邻单柱荷载差别较大或桩底置于性质明显不同的岩土层上时,易产生相邻柱基的差异沉降,设计难度较大,故列为甲级;有软弱下卧层时,地基承载力和地基变形的计算比较复杂,故也列为甲级。由于结构和地质条件多种多样,不胜枚举,故规定其他结构特殊或地质条件复杂的大直径扩底桩设计等级应列为甲级,例如结构对差异沉降特别敏感,现行国家标准《建筑地基基础设计规范》GB50007地基设计等级为甲级以及本规程第3.0.12条列出的地质条件等。 剪力墙结构、筒结构和箱筏基础下采用大直径扩底桩时,设计等级可参照柱基础确定。
3.0.3 大直径扩底桩的布置应符合下列规定:
1 对于柱基础,宜采用一柱一桩;当柱荷载较大或持力层较弱时,亦可采用群桩基础,此时桩顶应设置承台,桩的承载力中心应与竖向永久荷载的合力作用点重合;
2 对于承重墙下的桩基础,应根据荷载大小、桩的承载力以及承台梁尺寸等进行综合分析后布桩,并应优先选用沿墙体轴线布置单排桩的方案;
3 对于剪力墙结构、简体结构,应沿其墙体轴线布桩;
4 桩的中心距不宜小于1.5倍桩的扩大端直径;
5 扩大端的净距不应小于0.5m;
6 应选择承载能力高的岩土层为持力层;同一建筑结构单元的桩宜设置在同一岩土层上。
条文说明
3.0.3大直径扩底桩均为非挤土桩,故对桩的间距和净距没有特殊要求。采用一柱一桩时桩距较大,相互间没有影响。但当采用一柱多桩且净距较小时,应考虑土中应力的叠加对地基变形的影响,具体计算见本规程第6章。净距过小,施工中可能发生桩与桩互相连通,故规定不应小于0.5m。
3.0.4 当同一建筑结构单元的相邻大直径扩底桩的荷载差别较大时,可通过调整桩端扩大端面积协调地基变形。
条文说明
3.0.4由于大直径扩底桩的承载力高,由载荷试验不易确定其单桩极限承载力,故按变形控制设计是一条重要原则。当同一建筑结构单元的相邻大直径扩底桩的荷载差别较大时,可通过调整桩端扩大端的面积来协调变形。
3.0.5 大直径扩底桩设计时,应进行下列计算和验算:
1 桩基竖向承载力计算;
2 桩身和承台结构承载力计算;
3 软弱下卧层承载力和沉降验算;
4 坡地、岸边的整体稳定性验算;
5 抗拔桩的抗拔承载力计算和桩身裂缝控制验算,其中裂缝控制验算可按现行行业标准《建筑桩基技术规范》JGJ 94的规定进行;
6 设计等级为甲级和乙级时(嵌岩桩除外)的沉降和变形计算;
7 当桩承受水平荷载时,应进行水平承载力验算;当对桩的水平位移有严格限制及工程施工可使桩产生水平位移时,应计算桩的水平位移;
8 对于抗震设防区,应进行桩的抗震承载力计算。
3.0.6 大直径扩底桩设计前应具备设计基本资料,并应进行岩土工程勘察。
条文说明
3.0.6大直径扩底桩设计应有充分的设计依据,岩土工程勘察应根据工程情况,按不同设计等级提供必要的试验、测试资料和设计参数,严禁单纯依靠工程经验,不作勘察进行设计。
3.0.7 大直径扩底桩设计所采用的荷载效应组合和相应的抗力限值应符合下列规定:
1 按单桩承载力确定扩大端面积和桩数时,传至承台底面的荷载效应应按正常使用极限状态下荷载的标准组合,相应的抗力应采用单桩承载力特征值;
2 计算桩基变形时,传至承台底面的荷载效应应按正常使用极限状态下荷载效应的准永久组合,不应计入风荷载和地震作用,相应的限值为桩基变形的允许值;计算水平地震作用、水平风荷载作用下桩基水平位移时,应采用水平地震作用、水平风荷载作用效应标准组合;
3 验算坡地、岸边桩基的整体稳定性及验算抗拔稳定性时,应采用荷载效应的基本组合,但其分项系数均应取1.0;抗震设防区,应采用地震作用效应和荷载效应的标准组合;
4 验算桩基结构承载力、确定桩身尺寸和配筋时,上部结构传来的荷载效应组合和相应的地基反力,应按承载能力极限状态下荷载效应的基本组合,采用相应的分项系数;当需验算桩基结构裂缝宽度时,应采用正常使用极限状态荷载效应标准组合和准永久组合;
5 桩基结构安全等级,结构设计使用年限、结构重要性系数应按国家现行有关建筑结构标准的规定采用,但结构重要性系数不应小于1.0。
条文说明
3.0.7本条依据相关标准,规定了大直径扩底桩基础设计时应采用的荷载组合和相应的抗力限值。
3.0.8 大直径扩底桩基结构的耐久性应根据设计使用年限、现行国家标准《混凝土结构设计规范》GB 50010的环境类别规定及水、土对钢筋和混凝土的腐蚀性评价进行设计,并应符合本规程附录A的规定。
条文说明
3.0.8桩基础结构耐久性设计应按现行国家标准《混凝土结构设计规范》GB50010有关规定执行。
3.0.9 大直径扩底桩灌注混凝土前,应对持力层的岩土性质和扩底形状进行检验。
条文说明
3.0.9影响大直径扩底桩承载力和变形的主要因素是桩端持力层的岩土性质和扩底尺寸,故灌注混凝土前应逐孔检验,是否与勘察报告相符,是否满足设计要求,发现问题应及时解决和处理。检验方法和要求按本规程第8章执行。
3.0.10 大直径扩底桩成孔、成桩工艺的选择宜符合下列规定:
1 当场地地下水丰富,周边建(构)筑物密集,降水可能对周边环境产生不良影响时,宜采用钻孔扩底灌注桩;
2 当地下水位在持力层以下或地下水量小且不至造成塌孔时,可采用人工挖孔扩底灌注桩。
条文说明
3.0.10成孔、成桩工艺应根据工程地质及水文地质条件、施工条件、场地周围环境及经济指标等因素综合分析确定。
3.0.11 在人工挖孔大直径扩底桩施工时,应制定切实可行的安全措施,并应严格执行。
条文说明
3.0.11人工挖孔扩底存在安全隐患,故施工前编制施工组织设计时应有针对性地提出有效而切实可行的安全措施和应急预案,并在施工过程中严格执行。
3.0.12 大直径扩底桩遇有下列特殊地质条件时,应进行专门处理:
1 天然和人工洞穴;
2 孤石、囊状强风化带或其他软硬明显不同且分布无规律的岩土层;
3 高压力水头的承压水;
4 缺乏大直径扩底桩工程经验的特殊岩土。
条文说明
3.0.12当遇本条所述的特殊地质条件时,无论勘察、设计、施工、检验、检测,均须根据具体情况采取专门措施,以确保施工安全、工程安全。
3.0.13 大直径扩底桩的桩端持力层选择宜符合下列规定:
1 持力层宜选择中密以上的粉土、砂土、卵砾石和全风化或强风化岩体,且层位稳定;
2 当无软弱下卧层时,桩端下持力层厚度不宜小于2.5倍桩的扩大端直径;当存在相对软弱下卧层时,持力层的厚度不宜小于2.0倍桩的扩大端直径,且不宜小于5m;
3 桩端下(2.0~2.5)倍桩的扩大端直径范围内应无软弱夹层、断裂带和洞隙,且在桩端应力扩散范围内应无岩体临空面。
条文说明
3.0.13本条为合理选择大直径扩底桩桩端持力层的规定: 1持力层选择风化岩指全风化或强风化岩,因为端承于中等风化时通常不需要扩底,为嵌岩桩。 2软弱下卧层的定义见本规程第6.2.5条的条文说明。有软弱下卧层时桩端下土中附加应力的影响深度为2.0D,无软弱下卧层时桩端下附加应力的影响深度为2.5D。 3桩端下(2.0~2.5)D范围内应力扩散范围内无岩体临空面,指端承于全风化或强风化岩时。 扩底桩桩端下均质土中附加应力的影响深度约为2.5D,即压缩层主要集中在桩底下2.5D范围内;当持力层厚度小于2.5D,下卧层较为软弱时,地基变形较大,承载力降低,且增加设计计算的复杂性,故规定桩端下持力层厚度不宜小于2.5D。而存在软弱下卧层时土中附加应力的影响深度约为2.0D。 持力层厚度2.5D内如有不同土层时,除达到本规程第6.2.5条规定的为软弱下卧层外,不考虑土层的差异对桩端下土中附加应力的影响,即影响深度仍取2.5D。存在软弱下卧层时按本规程第6章的规定计算大直径扩底桩的承载力和沉降。
4 设计基础资料与勘察要求
4.1 设计基本资料
4 设计基本资料与勘察要求
4.1 设计基本资料
4.1.1 设计前,应取得下列建筑场地与环境条件的有关资料:
1 建筑场地现状,包括交通设施、高压架空线、地下管线和地下构筑物分布;
2 相邻建筑物安全等级、基础形式及埋置深度;
3 附近类似工程地质条件的试桩资料和单桩承载力设计参数;
4 泥浆排放及弃土条件;
5 抗震设防烈度和场地类别。
条文说明
4.1.1除建筑场地工程地质、水文地质资料外,场地的环境条件、新建工程的平面布置、结构类型、荷载分布、使用功能上的特殊要求、结构安全等级、抗震设防烈度、场地类别、桩的施工条件、类似地质条件的试桩资料等,这些都是大直径扩底桩设计所需的基本资料。
4.1.2 设计前,应取得下列建筑物有关资料:
1 建筑物总平面布置图;
2 建筑物的结构类型、荷载,建筑物的使用条件和设备对基础竖向及水平位移的要求;
3 建筑结构的安全等级。
4.1.3 设计前,应取得下列有关施工条件资料:
1 施工机械设备条件、动力条件,施工工艺对地质条件的适应性;
2 水、电条件及有关建筑材料的供应状况;
3 施工机械的进出场及现场运行条件。
4.1.4 设计前,应取得下列岩土工程勘察资料:
1 对建筑场地的滑坡、崩塌、泥石流、岩溶、土洞等不良地质作用的判断、结论和防治方案;
2 推荐桩端持力层,提供持力层标高、层厚及层面变化等值线图;关于成孔成桩工艺、施工工法及桩端入土深度的建议;
3 设计所需用的岩土物理力学参数及原位测试参数;
4 验算桩基沉降的计算参数;
5 地下水埋藏情况、类型和水位变化幅度及抗浮设计水位,土、水的腐蚀性评价;
6 抗震设防区的液化土层资料及液化评价;
7 地基土的冻胀性、湿陷性,膨胀性,溶陷性评价;
8 成桩可能性,桩基施工对环境影响的评价与对策,其他应注意事项的建议。
4.2 勘察要求
4.2 勘察要求
4.2.1 大直径扩底桩的岩土工程勘察应符合现行国家标准《岩土工程勘察规范》GB 50021的规定,并应符合下列规定:
1 应查明拟建场地各岩土层的类型、成因、深度、分布、工程特性和变化规律;
2 应查明场地水文地质状况,包括地下水类型、埋藏深度、地下水位变化幅度和地下水对桩身材料的腐蚀性等;
3 应选择合理的桩端持力层;采用土层作为桩端持力层时,应查明其承载力及变形特性;采用基岩作为桩端持力层时,应查明基岩的岩性、构造、岩面变化、风化程度,确定其坚硬程度、完整性和基本质量等级,判定有无洞穴、临空面、破碎岩体或软弱夹层、风化球体等;
4 应查明不良地质作用,提供可液化土层和特殊性岩土的分布及其对桩基的危害程度,并提出防治措施的建议。
条文说明
4.2.1由于大直径扩底桩是端承型桩,因此勘察工作的关键是准确获得确定桩端承载力和变形特性的参数,推荐选择合理的桩端持力层。大量工程统计分析表明。大直径扩底桩桩端埋深通常在30.0m内。
4.2.2 勘探点应按建筑轴线布设,其间距应能控制桩端持力层层面和厚度的变化,宜为12m~24m。当相邻勘探点所揭露桩端持力层面坡度大于10%,且单向倾伏时,勘探孔应加密。对于荷载较大或地基复杂的一柱一桩工程,桩位确定后应逐桩勘察。勘探深度应能满足沉降计算的要求,控制性勘探孔的深度应达到预计桩端持力层顶面以下(3.0~5.0)倍桩的扩大端直径;一般性勘探孔的深度应达到预计桩端持力层顶面以下(2.0~3.0)倍桩的扩大端直径;控制性勘探孔的比例宜为勘探孔总数的1/3~1/2。
条文说明
4.2.2荷载较大或复杂地基的一柱一桩工程,在桩位确定后应进行逐桩勘察。荷载较大是指一般单桩荷载大于20000kN,持力层通常为风化基岩及密实的砂土、碎石土的扩底桩,这类扩底桩桩基承载力很难通过单桩静载试验确定,施工验槽时重点对持力层的性质及扩底的直径进行检验,检测的重点是桩身混凝土质量及完整性;复杂地基是指桩端持力层岩土种类多、均匀性差、性质变化大的地基,由于持力层不均匀很容易造成持力层误判,一旦出现差错或事故,后果严重,因此规定在桩位确定后必须按桩位进行逐桩勘察。由于大直径扩底桩的桩端持力层多为低压缩的地层,通常为中密、密实的粉土、砂土和碎石土及全风化和强风化岩。桩端全断面进入持力层的深度可取1.0ha(ha为扩大段斜边高度,见本规程图5.1.1)。桩端下主要压缩层厚(2.0~2.5)D,勘探孔深应能满足压缩层的厚度,故规定控制性勘探孔的深度应深入预计桩端持力层顶面以下(3.00~5.0)D,一般性勘探孔的深度应达到预计桩端下(2.0~3.0)D。D大的桩取小值,D小的桩取大值。
4.2.3 勘察成果应满足用不同方法确定大直径扩底桩承载力的要求,并应符合下列规定:
1 通过原型桩静载试验确定大直径扩底桩承载力时,应提供符合试验要求的地基分层和分层岩土参数;
2 根据经验参数确定大直径扩底桩承载力时,应提供各分层岩土的室内试验或原位测试成果。
条文说明
4.2.3勘察阶段应根据确定大直径扩底桩承载力的不同方法分别提供工程勘察资料和相关岩土参数,本规程首推由原型桩静载试验确定大直径扩底桩承载力,其次是根据经验参数分别确定大直径扩底桩侧阻特征值、端阻特征值的方法。
4.2.4 勘察深度范围内的每一岩土层,均应采取原状岩土试样进行室内试验或进行原位测试。室内试验和原位测试宜符合下列规定:
1 室内试验项目应包括:密度、含水量、液限、塑限、压缩试验等,每一主要岩土层试验数据不应少于6组,必要时应进行无侧限抗压强度试验和三轴试验。对进行液化判定的饱和粉土,应进行黏粒含量分析。当需要进行变形验算时,对桩端平面以下压缩层范围内的土层,应测求其压缩性指标,试验压力不应小于实际土的有效自重压力与附加压力之和。
2 在选择大直径扩底桩桩基持力层时,可采用原位测试评价桩端土的端阻力和变形模量,并宜符合下列规定:
1)一般岩土体可采用标准贯入试验、旁压试验;
2)对于不含碎石的砂土、粉土和黏性土也可选择静力触探试验;
3)对砂土、碎石土及软岩也可选择重型或超重型动力触探试验;
4)原位测试成果应结合地区工程经验综合分析后使用。
条文说明
4.2.4对于无法取样的粗颗粒土,其压缩性指标由原位测试确定,详见本规程第6.2.6条的条文说明。
4.2.5 当大直径扩底桩端承于全风化岩和强风化岩时,确定其强度的试验应符合下列规定:
1 应采取不少于6组的岩样进行饱和状态的单轴抗压强度试验;
2 对黏土质岩,在确保施工期间及使用期不致遭水浸泡时,也可采取天然湿度岩样进行单轴抗压强度试验;
3 对取样有困难的破碎风化岩体,可进行点荷载强度试验,其试验标准和岩体单轴抗压强度的换算应符合现行国家标准《工程岩体试验方法标准》GB/T 50266、《工程岩体分级标准》GB 50218的规定。
条文说明
4.2.5本条为大直径扩底桩端承于全风化岩和强风化岩体时其强度试验的规定。对黏土质软岩,浸水饱和后通常不能进行试验或强度显著降低,在确保施工期间及使用期不致遭水浸泡时,也可采取天然湿度岩样进行单轴抗压强度试验。
5 基本构造
5.1 大直径扩底灌注桩构造
5 基本构造
5.1 大直径扩底灌注桩构造
5.1.1 大直径扩底桩扩大端尺寸应符合下列规定(图5.1.1):

1 扩大端直径与桩身直径之比(D/d)不宜大于3.0。
2 扩大端的矢高(h c )宜取(0.30~0.35)倍桩的扩大端直径,基岩面倾斜较大时,桩的底面可做成台阶状。
3 扩底端侧面的斜率(b/h a ),对于砂土不宜大于1/4;对于粉土和黏性土不宜大于1/3;对于卵石层、风化岩不宜大于1/2。
4 桩端进入持力层深度,对于粉土、砂土、全风化、强风化软质岩等,可取扩大段斜边高度(h a ),且不小于桩身直径(d);对于卵石、碎石土、强风化硬质岩等,可取0.5倍扩大段斜边高度且不小于0.5m。同时,桩端进入持力层的深度不宜大于持力层厚度的0.3倍。
条文说明
5.1.1大直径扩底桩扩大端尺寸的要求,可以归纳为以下几点: 1扩大端直径与桩身直径比D/d之规定,主要考虑了施工的安全性、难易程度及扩大端受力均匀性,应根据承载力要求及扩大端侧面和桩端持力层土质确定。行业标准《建筑桩基技术规范》JGJ94-2008中规定挖孔桩的D/d不应大于3.0,钻孔桩的D/d不应大于2.5。事实上,对于钻孔扩底桩D/d亦可达3.0,人工挖孔更易实现。故本规程规定D/d一般不宜大于3.0。 2根据大量数值模拟结果,结合工程实践,扩大端的矢高取(0.30~0.35)D时,扩底桩的桩端应力分布较均匀、受力合理,桩端承载力性状较佳。因此,本规程对矢高的建议值(0.30~0.35)D,与行业标准《建筑桩基技术规范》JGJ94-2008中规定取(0.15~0.2)D相比有所增大。 3扩底端侧面的斜率b/ha应根据实际成孔及扩底端侧面土体的自立条件确定。对于砂卵石层,根据密实度或胶结程度b/ha可进行调整。风化岩的规定主要参照广东省地方标准《建筑地基基础设计规范》DBJ15-31-2003。 4为防止桩端在某些极端条件下发生滑移,保证持力层提供足够的承载力,使扩底桩正常工作,充分发挥其承载力高的特性,根据数值模拟结果,结合工程实践,本规程规定桩端进入持力层的深度为(0.5~1.0)ha,对风化岩的规定主要参照行业标准《建筑桩基技术规范》GJ94-2008及广东省地方标准《建筑地基基础设计规范》DBJ15-31-2003的规定。并规定桩端进入持力层的深度不宜大于持力层厚度的0.3倍。
5.1.2 大直径扩底桩桩身构造配筋应符合下列规定:
1 桩身正截面的最小配筋率不应小于0.3%,主筋应沿桩身横截面周边均匀布置;对于抗拔桩和受荷载特别大的桩,应根据计算确定配筋率;
2 箍筋直径不应小于8mm,间距宜为200mm~300mm,宜用螺旋箍筋或焊接环状箍筋;对于承受较大水平荷载或处于抗震设防烈度大于等于8度地区的桩,箍筋直径不应小于10mm,桩顶部3倍至5倍桩径范围内(桩径小取大值,桩径大取小值)箍筋间距应加密至100mm;
3 扩大端变截面以上,纵向受力钢筋应沿等直径段桩身通长配置;
4 当钢筋笼长度超过4m时,每隔2m宜设一道直径为18mm至25mm的加劲箍筋,每隔4m在加劲箍内设一道井字加强支撑,其钢筋直径不宜小于16mm;加劲箍筋、井字加强支撑、箍筋与主筋之间宜采用焊接;
5 除抗拔桩外,桩端扩大部分可不配筋;
6 主筋保护层厚度有地下水、无护壁时不应小于50mm;无地下水、有护壁时不应小于35mm。
条文说明
5.1.2关于桩身配筋可以归纳为以下几点: 1大直径扩底灌注桩的配筋无需考虑吊装、锤击沉桩等因素。正截面最小配筋率宜根据桩径确定,且不应小于0.3%。 2箍筋的配置,主要考虑三方面因素。一是箍筋的受剪作用,通常桩顶受到较大的剪力和弯矩,故在桩顶部应适当加密;二是箍筋在轴压作用下对混凝土起约束加强作用,可提高其受压承载力,因此桩顶部分的箍筋应加密;三是提高钢筋笼的刚度,便于施工。 3本款的规定,对于承受较大水平荷载的桩或处于抗震设防烈度大于或等于8度地区的桩,桩顶部(3~5)d(桩径小取大值,桩径大取小值)范围内箍筋间距应加密至100mm,可取d≤1.0m为小桩径,d≥1.5m为大桩径。 4大直径扩底桩作为承压桩进行设计时,按本条第3款之规定,“扩大端变截面以上,纵向受力主筋应沿等直径段通长配置”这里的“通长”包括扩大端高度,其桩端扩大部分无需配筋;但若作为抗拔桩设计时,纵向受力主筋的长度应包括扩大端高度hc,具体配筋应由计算确定。
5.1.3 当水下灌注混凝土施工时,桩身混凝土的强度等级不应低于C30;干法施工时,桩身混凝土的强度等级不应低于C25;护壁混凝土的强度等级不宜低于桩身混凝土的强度等级。
条文说明
5.1.3关于混凝土强度等级:本规程规定在干法施工时,混凝土强度应与行业标准《建筑桩基技术规范》JGJ94-2008中规定的桩身混凝土强度保持一致,提高到C25。考虑到水下灌注施工时,不确定性因素多,混凝土质量控制较困难,规定混凝土强度等级提高一个等级,为C30。
5.2 承台与连系梁构造
5.2 承台与连系梁构造
5.2.1 大直径扩底桩桩基承台应满足受冲切、受剪切、受弯承载力和上部构造要求,并应符合下列规定:
1 大直径扩底桩宜采用正方形或矩形现浇承台,承台高度不宜小于500mm,且应大于连系梁的高度50mm;承台底面边长应大于或等于桩身直径加400mm(图5.2.1);
2 采用预制柱的大直径扩底桩承台,应符合现行国家标准《建筑地基基础设计规范》GB 50007的要求;
3 承台混凝土应符合结构混凝土耐久性的基本要求;
4 承台钢筋的混凝土保护层厚度应符合下列规定:
1)承台底面:有混凝土垫层时,不应小于50mm; 无垫层时不应小于70mm;且不应小于桩头嵌入承台内的高度;
2)承台侧面:不应小于35mm。
5 一柱一桩的承台宜按本规程图5.2.1配置受力钢筋,且不宜小于Ф12 @200mm。

条文说明
5.2.1关于承台构造可以归纳为以下几点: 1承台分为现浇式承台和预制柱承台两类,实际工程中应根据具体情况选择,且多采用现浇承台。 2承台尺寸的设计应根据上部柱直径的大小及其布置情况、下部大直径扩底桩的布桩形式、桩长、桩数等情况综合确定。 3桩嵌入承台的深度的规定与行业标准《建筑桩基技术规范》JGJ94-2008中的规定相同,嵌入深度不宜太大,否则会降低承台的有效高度,不利于受力。 4承台混凝土的强度等级:对设计使用年限为50年的承台,根据现行国家标准《混凝土结构设计规范》GB50010的规定,当环境类别为二a类别时不应低于C25,二b类别时不应低于C30。有抗渗要求时,其混凝土的抗渗等级应符合有关标准的要求。
5.2.2 连系梁的设置应符合下列规定:
1 承台侧面应设置双向连系梁,连系梁截面高度应取柱中心距的1/10~1/15,且不宜小于400mm;粱的宽度不应小于250mm;当利用墙梁兼作连系梁时,梁的宽度不应小于墙宽;
2 当承台连系梁仅为符合构造要求设置时,可取所连柱最大竖向力设计值的10%作为连系梁的拉力,并应按轴心受拉构件进行截面设计;
3 连系梁的一侧纵向钢筋应按受拉钢筋锚固的要求锚入承台;其最小配筋率应符合现行国家标准《混凝土结构设计规范》GB 50010的要求。
4 连系梁的混凝土应符合结构混凝土耐久性的基本要求。
5.2.3 条形承台梁的纵向主筋除需按计算配置外尚应符合现行国家标准《混凝土结构设计规范》GB 50010中最小配筋率的规定,主筋直径不应小于12mm,架立筋直径不应小于Ⅱ级10mm,箍筋直径不应小于8mm。
5.2.4 大直径扩底桩、柱与承台的连接构造应符合下列规定:
1 桩顶部嵌入承台的长度不宜小于100mm;
2 桩顶部纵向主筋应锚入承台内,其锚固长度不应小于35倍纵向主筋直径;对于抗拔桩,桩顶部纵向主筋的锚固长度应符合现行国家标准《混凝土结构设计规范》GB 50010中受拉钢筋锚固的规定;
3 采用一桩一柱时,当建筑体系简单、柱网规则、相邻柱荷载相差较小、地基沉降较小、水平力较小时,可不设置承台;
4 对于不设置承台的一柱一桩基础,柱纵向主筋锚入桩身内的长度不应小于35倍纵向主筋直径;柱主筋与桩主筋宜焊接,并应符合现行国家标准《混凝土结构设计规范》GB 50010中钢筋焊接连接的规定;
5 对于多桩承台,柱纵向主筋锚入承台内的长度不应小于35倍纵向主筋直径;当承台高度不满足锚固要求时,竖向锚固长度不应小于25倍纵向主筋直径,并应向柱轴线方向呈90°弯折;
6 当有抗震设防要求时,对于一、二级抗震等级的柱,纵向主筋锚固长度应乘以1.15的系数;对于三级抗震等级的柱,纵向主筋锚固长度应乘以1.05的系数。
5.2.5 一柱多桩的板式承台和条式承台,应进行内力计算,可按现行行业标准《建筑桩基技术规范》JGJ 94验算承台受弯承载力、受冲切承载力、受剪承载力和局部受压承载力,并确定承台板或承台梁的截面高度和配筋。
条文说明
5.2.5当采用一柱一桩的设计形式时,除考虑设置承台外,亦可考虑将柱与桩直接相连接,实际工程根据具体情况选择。
6 设计计算
6.1 桩顶作用效用计算
6 设计计算
6.1 桩顶作用效应计算
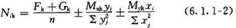
6.1.1 对于一般建筑物的大直径扩底群桩基础,应按下列公式计算柱、墙、核心筒群桩中基桩的桩顶作用效应:
轴心竖向力作用下,应按下式汁算:

偏心竖向力作用下,应按下式计算:


条文说明
6.1.1大直径扩底桩通常能满足高层建筑物框架、框剪、筒体、空间网架等结构体系或其他重型结构物承载的要求,且常可设计一柱一桩,不需桩顶承台,大大简化基础结构。 关于桩顶竖向力的计算,应是在上部结构分析将荷载凝聚于柱、墙底部的基础上进行。这样,对于柱下独立桩基,按承台为刚性板和反力呈线性分布的假定,得到计算各基桩的桩顶竖向力式(6.1.1-1)和式(6.1.1-2)。对于桩筏、桩箱基础,则按各柱、剪力墙、核心筒底部荷载分别按上述公式进行桩顶竖向力的计算。
6.1.2 对于主要承受竖向荷载的抗震设防区低承台大直径扩底桩基,在同时满足下列条件时,桩顶作用效应计算可不考虑地震力作用:
1 按现行国家标准《建筑抗震设计规范》GB 50011规定可不进行桩基抗震承载力验算的建筑物;
2 建筑场地位于建筑抗震的有利地段。
6.1.3 大直径扩底桩为端承型桩基,不宜考虑承台效应,基桩竖向承载力特征值应取单桩竖向承载力特征值。
条文说明
6.1.3大直径扩底桩为端承型桩基,即使设计为群桩基础,一般也不考虑承台效应,即基桩竖向承载力特征值取单桩竖向承载力特征值。
6.2 竖向承载力与沉降计算
6.2 竖向承载力与沉降计算
6.2.1 大直径扩底桩桩基竖向承载力计算应符合下列规定:
1 荷载效应标准组合
轴心竖向力作用下,应符合下式要求: 
偏心竖向力作用下,除符合上式要求外,尚应符合下式要求: 
2 地震作用效应和荷载效应标准组合
轴心竖向力作用下,应符合下式要求: 
偏心竖向力作用下,除符合上式要求外,尚应符合下式的要求:

6.2.2 大直径扩底桩单桩竖向承载力特征值的确定应符合下列规定:
1 设计等级为甲级的建筑桩基,应通过单桩静载荷试验确定,试验方法应符合本规程附录B的规定;同一条件下的试桩数量,不宜少于总桩数的1%,且不应少于3根;当有可靠地区经验时,可通过深层载荷试验与等直径纯摩擦桩载荷试验相结合的间接试验法确定;
2 设计等级为乙级的建筑桩基,当有可靠地区经验时,可根据原位测试结果,参照地质条件相同的试桩资料,结合工程经验综合确定;否则均应按本规程附录B规定的试验方法确定;
3 设计等级为丙级的建筑桩基,当有可靠地区经验时,可根据原位测试和经验参数确定;
4 以风化基岩、密实砂土和卵砾石为桩端持力层的建筑桩基,当有可靠地区经验时,除甲级建筑桩基外,可根据原位测试结果和经验参数确定。
条文说明
6.2.2由原型桩静载试验确定大直径扩底桩的承载力是本规程的一个基本原则。 设计等级为甲级的建筑桩基,应通过尺寸与实体相同的原型桩静载试验确定其承载力。由于绝大多数大直径扩底桩载荷试验不能获得极限荷载,甚至比例界限也不明显,所以由极限承载力获得承载力特征值与多数情况不符。对于以端承为主的扩底桩而言,端阻力充分发挥时所需沉降量较大,通常不符合建筑物对沉降的要求。故本规程采用承载力特征值而不采用极限值,规定以满足设计要求的沉降值(一般控制扩底桩的变形为10mm~15mm)所对应的荷载为大直径扩底桩承载力特征值。 由于扩底桩承载力较高,有时高达数万千牛,进行大吨位原型桩试验加载较困难。因此,在确实无原型桩试验条件时,可通过小尺寸探层载荷试验结合等直径纯摩擦桩载荷试验的方法确定工程原型扩底桩的承载力,简称间接试验法,如图1所示,S1为深层载荷试验,S4桩端填塞稻草,相当于纯摩擦桩。由图2可知,S1的荷载沉降曲线为缓变形,取s=10mm所对应的承载力值为其承载力特征值,为1080kN。载荷板面积为0.5024m2,其端阻力特征值为2149.5kPa。摩擦桩的摩阻力特征值为360kN。实际扩底桩的扩底直径D为1.6m,故其承载力特征值为2149.5×2.0096=4320kN,经尺寸效用修正,即4320×(0.8/1.6)1/3=3428kN。所以,可以求得扩底桩的承载力特征值为3428+360=3788kN。 

本规程收集不同场地的试验资料7组,对两种确定扩底桩承载力特征值的试验方法作了对比,见表1。通过对比,两者的误差在5.5%以内,可见间接试验法精度高。因此,在无条件进行原型桩试验时,有地区经验时,可采用深层载荷试验结合等直径纯摩擦载荷试验间接求得扩底桩的承载力特征值(详细内容可参见:高广运、蒋建平、顾宝和.两种静载试验确定大直径扩底桩竖向承载力,地下空间,2003,23(3):272-276;高广运、蒋建平、顾宝和.砂卵石层上大直径扩底短墩竖向承载性状,岩土力学,2004,25(3):359-362)。 
大直径扩底桩为端承型,通常端阻占单桩竖向承载力的80%以上,因此准确获得端阻力是大直径扩底桩设计的关键。可通过深层载荷试验确定桩端土的承载力,试验要点可参考现行行业标准《高层建筑岩土工程勘察规程》JGJ72。 大直径扩底桩多以风化岩、密实砂土和卵砾石为桩端持力层,该类岩土体的相关力学指标通常由原位测试确定,故这里强调原位测试。规定对设计等级为乙级的建筑桩基,当有可靠地区经验时,可由原位测试结果,参照地质条件相同的试桩资料,结合工程经验综合确定承载力。 对于持力层为风化岩和砂土、碎石土的大直径扩底桩,由于原型桩承载力很高,静载试验难度大,故规定该类桩除设计等级为甲级外,当有可靠地区经验时,可根据原位测试结果和经验参数确定承载力。
6.2.3 当符合本规程第6.2.2条第2、3、4款规定时,可根据土的物理力学指标与单桩承载力参数间的经验关系按下式估算大直径扩底桩竖向承载力特征值:




条文说明
6.2.3根据土的物理指标与承载力参数之间的经验关系计算确定扩底桩单桩竖向承载力特征值,关键是收集到涵盖不同尺寸、不同地区、不同土质条件下的经验参数,使统计分析结果具有代表性和工程适用性。 大直径扩底桩的桩端持力层多为低压缩的地层,如中密-密实的粉土、砂土、卵砾石和全风化或强风化岩。 本规程共收集完整试桩资料164根、深层载荷试验98组,涵盖十余个省市,多为编制组成员所做的试验。对收集的资料进行统计分析,并参考行业标准《建筑桩基技术规范》JGJ94-2008和北京、天津、浙江、福建、广东、山西、西安、深圳等地的经验值及部分地区地 

扩底变截面以上2d长度范围内桩土可能脱离接触,形成临空面。因此按式(6.2.3)计算桩承载力时需扣除此部分侧阻力。为安全起见,对于桩长不大于6m或桩周为淤泥、新近沉积土、可液化土层以及以生活垃圾为主的杂填土时,不应计入侧阻力。风化岩的端阻力特征值可按现行国家标准《建筑地基基础设计规范》GB50007由岩基载菏试验确定。 表6.2.3-1和表6.2.3-2,侧阻力和端阻力特征值未区分人工挖孔、机械成孔分别提供。原因是干、湿作业侧阻力几乎无差异,由现行行业标准《建筑桩基技术规范》JGJ94及北京和福建省等地方标准中可验证,因此广东省地方标准《建筑地基基础设计规范》DBJ15-31-2003未区分干、湿作业。而干、湿作业的桩端阻力差异大,前者明显大于后者,因为干作业时桩端沉渣易于清理,因此关键是控制机械成孔桩的桩端沉渣,故规定应控制桩端沉渣≤5cm,否则应注浆加固,以保证桩端阻力正常发挥。表6.2.3-1和表6.2.3-2的侧阻力特征值和端阻力特征值,可根据岩土体条件和施工情况等作适当调整,取其上限或下限值。表中数据可内插取值。 统计发现,端承于风化岩时,桩长对端阻的影响很小,因此没有考虑桩长因素,与现行行业标准《建筑桩基技术规范》JGJ94及广东、福建等地方标准一致。
6.2.4 非自重湿陷性黄土场地设计等级为甲级的建筑桩基,应由原型桩浸水载荷试验确定承载力特征值。当有可靠地区经验时,浸水饱和后非自重湿陷性黄土的桩侧阻力折减系数K,可按表6.2.4的规定取值。

条文说明
6.2.4非自重湿陷性黄土场地设计等级为甲级的建筑桩基,应由原型桩浸水载荷试验确定承载力特征值。当无条件进行浸水载荷试验而有可靠地区经验时,浸水饱和后黄土的桩侧阻力折减系数可按表6.2.4执行,即仅进行天然土的桩基试验。 浸水饱和后非自重湿陷性黄土的桩侧阻力有不同程度降低,即浸水饱和后桩的极限侧阻力有折减,折减系数与浸水前土体的饱和度密切相关,二者为线性关系。本条规定依据是豫西地区非自重湿陷性黄土场地中40余根灌注桩浸水前后的竖向承载力静载荷试验(详细内容可参见:高广运、王文东、吴世明、黄土中灌注桩竖向承载力试验分析,岩土工程学报,1998,20(3):73-79)。
6.2.5 根据原位测试和经验参数确定单桩承载力特征值的大直径扩底桩,当桩端下持力层厚度2.0D内存在与持力层压缩模量之比不大于0.6的软弱下卧层时,应按下列公式验算软弱下卧层的承载力(图6.2.5):


条文说明
6.2.5存在软弱下卧层的大直径扩底桩,应力和位移的有效影响深度距桩端下约2.0D(无软弱下卧层时有效影响深度约为2.5D),为保证桩端有足够的承载力,存在软弱下卧层时持力层厚度不宜小于2.0D。持力层厚度小于2.0D时,将引起桩端承载力的降低,此时,应按本条之规定进行软弱下卧层承载力的验算。行业标准《建筑桩基技术规范》JGJ94-2008中规定软弱下卧层验算的范围为软弱下卧层模量与持力层模量之比小于1/3,而软弱下卧层对大直径扩底桩的影响较等直径桩灵敏,当下卧层模量与持力层模量之比小于0.6时,桩端承载力将大大降低。根据数值模拟的结果,结合工程实践经验,本规程规定下卧层模量与持力层模量之比小于0.6时必须进行软弱下卧层承载力的验算。 对本条软弱下卧层承载力的验算说明如下: 1)验算条件和范围:规定当桩端下持力层厚度2.0D内存在与持力层压缩模量之比小于0.6的软弱下卧层时进行验算。 2)桩端荷载扩散:压力扩散角与现行:国家标准《建筑地基基础设计规范》GB50007一致。 3)软弱下卧层的承载力仅进行深度修正。 有关式(6.2.5-2)的推导可参见中国建筑工业出版社1998年出版的《地基及基础》(华南理工大学等四院校合编)、《土力学与基础工程》(高大钊主编)。
6.2.6 大直径扩底桩单桩竖向变形可按下列公式计算:


条文说明
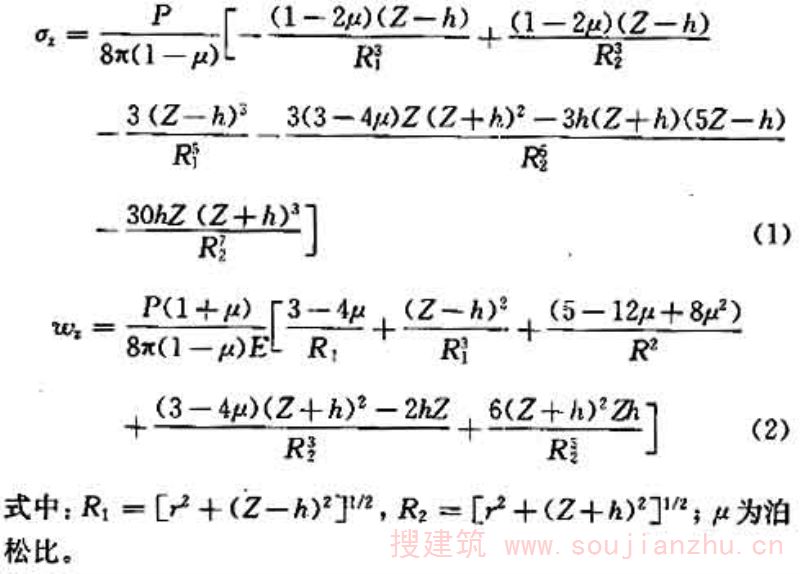
6.2.6扩底桩的竖向变形由两部分组成:桩身的压缩变形S1和扩底桩桩端下土体的沉降变形S2,前者可由弹性理论求解。桩端下土的沉降变形S2可根据Mindlin基本解答求得。 
Mindlin(1936)利用Kelvin解答求得了弹性半无限空间体内作用集中力时的解答。假设在弹性半无限空间体内深度h处作用有集中力P,如图4所示,自半无限体表面(地表)深度Z处任意点的竖向应力和位移可用式(1)~式(2)表示: 
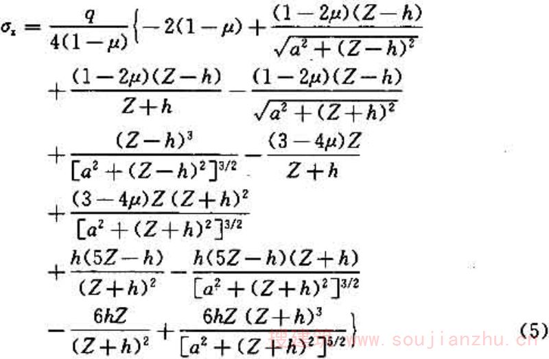
对于扩底桩基础,作用在地基内部的是一个圆形均布荷载,因此Mindlin解答不能直接用于求解其应力分布,必须将其基本解答推广到均布荷载的情况。 

在均布荷载圆面积内对式(3)积分,则由圆形均布荷载在自地面以下深度Z处产生的应力为: 
对式(4)进行积分运算可得 
同理可得 
对式(6)进行积分运算可得 
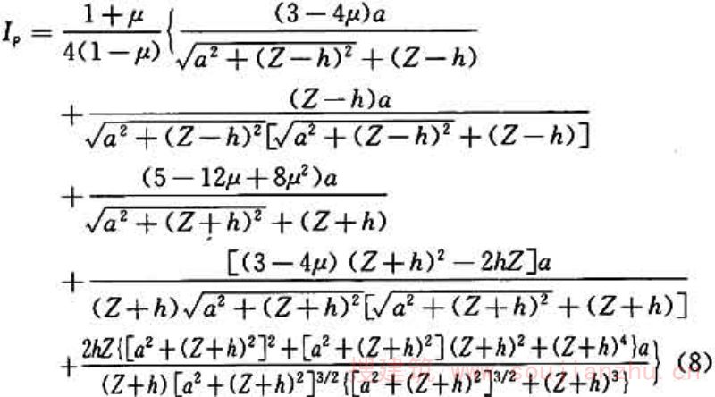
令 
则式(7)变为 
本规程规定用式(9)计算扩底桩桩端下土的沉降变形S2,即 
即本规程的式(6.2.6-3)。 为使用方便,本规程按式(8)计算给出了桩的入土深度与扩底半径之比等于2.0~15.0的沉降影响系数Iρ,见本规程的表6.2.6-1。其中土体的泊松比取适用于桩端持力层岩土体的一般值μ=0.35。 对于桩端持力层土体的变形模量E0,本规程采用顾宝和等提出的用深层平板静力载荷试验测定土的变形模量。但是对同一建筑物下所有的扩底桩位进行深层载荷试验有时难以实现。为此,本规程根据收集的扩底桩工程实测沉降和原型扩底桩静载试验结果,建立了工程 

关于本规程所用扩底桩沉降计算方法,现列举如下部分工程实例。 (1)工程实例1——国家机械委四院情报楼 该建筑物为框架结构,8层。基础方案选型时,对“黄土层中扩底墩的变形和承载力能否满足要求”有不同意见,要求进行变形计算和沉降观测等,另外还有卵石(顶板埋深23.0m~25.0m)上扩底墩和灌注桩等基础方案供选择。 场区为Ⅰ级非自重湿陷性,上部约5.0m以上为杂填土和新近堆积黄土,其下为黄土状黏性土、砂层和卵石层,持力层为黄土状粉土(顶板埋深13.0m~14.0m)。虽然场区局部有不同程度浸水,但对含砂量较大的持力层影响较小。以3号钻孔土的变形指标及对应桩基为例计算如下:以a=1.6m,Iρ=0.63,q=485.8kPa,β0=1.42,
=11.2MPa,由本规程式(6.2.6-3)计算最终沉降量s=30.8mm。 在建筑物周围设置了三个深埋水准基点,共布设沉降观测点10个。观测工作从第2层开始,以后每增高1~2层观测一次,至建成并使用一年多,观测历时34个月。沉降观测结果见表2,部分沉降实测与计算值对比见表3。选择两个测点作沉降-时间-荷载关系曲线,见图7。 

(2)工程实例2——三门峡百货大楼 该建筑物为框架剪力墙结构,5层,有一埋深-4.6m地下室。自重湿陷场地,于1986年9月进行勘察设计,1988年12月建成,至今使用良好。自重湿陷土层深达12.0m,为Ⅲ级自重湿陷场地,摩阻力为主的灌注桩和灰土挤密桩及换土垫层等地基基础方案都不适宜,最终采用埋深13.5m的土层上扩底桩方案。 地层结构为:上部12.0m以上为欠压密强湿陷黄土状粉土,其下为正常固结黄土状粉土和粉质黏土,以2号测点为例计算:a=1.85m,Iρ=0.636,q=345.29kPa,β0=2.09,
=17.1MPa,s≈11.4mm。比较计算值与建筑物使用2年后的最终沉降观测值,如表4所示,可知二者最大误差36.25%,平均误差16%。 
(3)工程实例3——中国人民解放军合肥炮兵学院12号学院宿舍楼 该建筑物高15层,框架剪力墙结构。基础工程设计方案比选后采用人工挖孔扩底混凝土灌注桩,设计工程桩总数为89根,桩身直径为900mm~1000mm,桩端直径为900mm~1800mm,桩身混凝土设计强度等级为C35,弹性模量为3.15×104MPa。桩端持力层为场地第7层中风化泥质砂岩。以26号桩(桩长23.46m,桩身直径1000nm,扩底直径1830mm)相应沉降测点(8号观测点)为例进行计算,因为持力层为中风化泥质砂岩,桩端压缩量较小,桩的沉降量主要由桩身压缩引起。由本规程式(6.2.6-2)计算得到桩身压缩量为7.11mm。因桩端中风化岩压缩性低,根据由本规程式(6.2.6-3)计算的桩端土沉降量为1.96mm,二者之和9.07mm为最终沉降量。比较建筑物竣工后5个月内的最终沉降量观测值,如表5所示,可知计算与实测误差为12.8%。 (4)工程实例4——中国人民解放军合肥炮兵学院研究生楼 该建筑物高14~15层,框架结构,占地面积(78.0×16.0)m2。基础工程方案比选后采用人工挖孔混凝土灌注桩,设计桩身混凝土强度等级为C35。建设场地地形平坦,地貌单元为南淝河Ⅱ级阶地的坳沟与水塘。经勘察,场地分为七层。以65号桩相应沉降测点(3号观测点)为例计算,桩长12.01m,桩身直径1200mm,扩底直径2400mm,桩端持力层为第5层黏土,层厚4.8m~11.50m,硬塑-坚硬状态。其中:a=1.2m,Iρ=0.625,q=451.3kPa,β0=1.98,
=16MPa,E0=31.68MPa,由本规程式(6.2.7-3)计算得沉降量s≈10.68mm。比较建筑物竣工1年后的最终沉降观测值,如表6所示,可知二者误差为1.7%。 
6.2.7 机械成孔大直径扩底桩,当桩端沉渣厚度大于50mm时,应采用桩端后注浆加固。
条文说明
6.2.7大直径扩底桩为端承型桩,而水下机械成孔时桩端沉渣厚度通常不满足表6.2.3-2桩端沉渣厚度小于等于50mm的要求,端阻力将显著降低,采用桩端注浆可保证其正常发挥端承力。
6.2.8 当大直径扩底桩穿过欠固结土、可液化土、自重湿陷性黄土或由于大面积地面堆载、降低地下水位等使桩周土体承受荷载而产生显著压缩沉降时,应考虑桩的负侧阻力或侧阻力折减,并可按现行行业标准《建筑桩基技术规范》JGJ 94的有关规定进行计算。
条文说明
6.2.8当大直径扩底桩穿过欠固结土(松散填土、新近沉积土)、可液化土、自重湿陷性黄土或由于大面积地面堆载、降低地下水位等使桩周土体承受荷载而产生显著压缩沉降时,应考虑桩的负侧阻力或侧阻力折减,可按现行行业标准《建筑桩基技术规范》JGJ94的有关规定计算。只有当桩周土体产生显著压缩沉降即桩-土间有显著的位移时,才会出现桩的负侧阻力或侧阻力折减。有地区经验时,桩的负侧阻力或侧阻力折减可根据当地经验确定。


6.2.9 当存在相邻荷载时,可按现行国家标准《建筑地基基础设计规范》GB 50007的规定,考虑相邻荷载计算大直径扩底桩桩基沉降。
6.2.10 验算大直径扩底桩桩身承载力时,不宜计入钢筋的受压作用。
6.3 水平承载力和抗拔承载力
6.3 水平承载力和抗拔承载力
条文说明
应由现场静载荷试验确定大直径扩底桩的水平承载力、抗拔承载力是本规程的基本原则。试验应按现行行业标准《建筑基桩检测技术规范》JGJ106执行。根据工程的重要性,可进行带承台桩的水平承载力载荷试验。 第6.3.2条是针对符合行业标准《建筑桩基技术规范》JGJ94-2008附录C的情况,计算基桩的内力和位移。
6.3.1 大直径扩底桩单桩水平承载力宜通过现场水平载荷试验确定,试验宜采用慢速维持荷载法,试验方法和承载力取值应按现行行业标准《建筑基桩检测技术规范》JGJ 106执行。
6.3.2 受水平荷载作用的大直径扩底群桩,当考虑承台(包括地下墙体)、基桩协同工作和土的弹性抗力作用时,可按现行行业标准《建筑桩基技术规范》JGJ 94的有关规定计算基桩内力和位移。
6.3.3 当验算地震作用下的桩身抗拔承载力时,应根据现行国家标准《建筑抗震设计规范》GB 50011的规定,对作用于桩顶的地震作用效应进行调整。
6.3.4 对于设计等级为甲级和乙级的大直径扩底桩的单桩抗拔极限承载力,应通过现场单桩抗拔静载荷试验确定,试验应符合现行行业标准《建筑基桩检测技术规范》JGJ 106的规定。丙级大直径扩底桩的单桩抗拔极限承载力,可按现行行业标准《建筑桩基技术规范》JGJ 94的有关规定计算。
7 施工
7.1 一般规定
7 施 工
7.1 一般规定
7.1.1 大直径扩底桩施工前应具备下列资料:
1 建筑场地岩土工程详细勘察报告;
2 桩基工程施工图设计文件及图纸会审纪要;
3 建筑场地和邻近区域地面建筑物及地下管线、地下构筑物等调查资料;
4 主要施工机械及其配套设备的技术性能资料;
5 桩基工程的施工组织设计或专项施工方案;
6 水泥、砂、石、钢筋等原材料的质量检验报告;
7 设计荷载、施工工艺的试验资料。
7.1.2 成孔施工工艺选择应符合下列规定:
1 在地下水位以下成孔时宜采用泥浆护壁工艺;
2 在黏性土、粉土、砂土、碎石土及风化岩层中,可采用旋挖成孔工艺;
3 在地下水位以上或降水后可采用干作业钻、挖成孔工艺;
4 在地下水位较高,有承压水的砂土层、厚度较大的流塑淤泥和淤泥质土层中不宜选用人工挖孔施工工艺。
7.1.3 成孔设备就位后,应保持平整、稳固,在成孔过程中不得发生倾斜和偏移。在成孔钻具上应设置控制深度的标尺,并应在施工中进行观测和记录。
条文说明
7.1.4大直径扩底桩为端承型桩,对持力层的要求高,应按设计控制成孔深度,以确保桩端置于设计标高的持力层。
7.1.4 桩端进入持力层的实际深度应由工程勘察人员、监理工程师、设计和施工技术人员共同确认。
7.1.5 灌注桩成孔施工的允许误差应符合表7.1.5的规定:

7.1.6 钢筋笼制作、安装的质量应符合下列规定:
1 钢筋的材质、数量、尺寸应符合设计要求;
2 制作允许偏差应符合表7.1.6的规定;

3 分段制作的钢筋笼,宜采用焊接或机械连接接头,并应符合国家现行标准《混凝土结构工程施工质量验收规范》GB 50204、《钢筋机械连接技术规程》JGJ 107、《钢筋焊接及验收规程》JGJ 18的有关规定;
4 加劲箍筋宜设在主筋外侧,当施工工艺有特殊要求时也可置于内侧;
5 灌注混凝土的导管接头处外径应比钢筋笼的内径小100mm以上;
6 搬运和吊装钢筋笼时,应防止变形;安放时应对准孔位,自由落下,避免碰撞孔壁,就位后应立即固定。
7.1.7 桩体混凝土粗骨料可选用卵石或碎石,其骨料粒径不得大于50mm,且不宜大于主筋最小净距的1/3。
7.1.8 大直径扩底桩在大批量施工前,宜先进行成桩试验施工。
7.1.9 应防止钢筋笼在灌注混凝土时上浮或下沉,应将钢筋笼固定在孔口上,宜将部分纵向钢筋伸到孔底。
7.2 施工准备
7.2 施工准备
7.2.1 应调查周边环境,桩基施工的供水、供电、通信、道路、排水、泥浆排放等设施应准备就绪,施工场地应进行平整,施工机械应能正常作业。
7.2.2 应建立桩基轴线控制网,场地测量基准控制点和水准点应设在不受施工影响处。开工前,基准控制点和水准点经复核后应妥善保护,施工中应经常复测。
7.2.3 施工前应向作业人员进行安全、技术交底。
7.2.4 应根据桩型、钻孔深度、土层情况、泥浆排放、环境条件等因素综合确定钻孔机具及施工工艺。
7.2.5 大直径扩底桩的施工组织设计或专项施工方案,应包括下列内容:
1 施工平面图,图中应标明桩位、桩位编号、施工顺序、水电线路和临时设施的位置;采用泥浆护壁成孔时,尚应标明泥浆制备设施及其循环系统的布设位置;
2 成孔、扩底、钢筋笼安放和混凝土灌注的施工工艺及技术要求,对于泥浆护壁应有泥浆制备和处理措施;
3 施工作业计划和劳动力组织计划;
4 施工机械设备、配件、工具、材料供应计划;
5 爆破作业、文物和环境保护技术措施;
6 保证工程质量、安全生产和季节性施工的技术措施;
7 成桩机械检验、维护措施;
8 应急预案。
7.3 泥浆护壁成孔大直径扩底灌注桩
7.3 泥浆护壁成孔大直径扩底灌注桩
Ⅰ 泥浆的制备和处理
7.3.1 采用泥浆护壁成孔工艺施工时,除能自行造浆的黏性土层外,均应制备泥浆。泥浆制备应选用高塑性黏土或膨润土。泥浆应根据施工机械、施工工艺及穿过土层的情况进行配合比设计。
7.3.2 一台钻机应有一套泥浆循环系统,每套泥浆循环系统应设置用于配制和储存优质泥浆及清孔换浆的储浆池,其容量不应小于桩孔的容积;应设置用于钻进(含扩底钻进)泥浆的循环池,其容量不宜小于桩孔容积的1/2;应设置沉淀储渣池,其容量不宜小于20m 3 ;尚应设置相应的循环沟槽。泥浆循环系统中池、沟、槽均应用砖砌成,施工完毕应拆除砖块后用土回填夯实。
条文说明
7.3.2泥浆循环系统,扩底桩施工应进行三次清孔换浆,现场宜采用C15~C20混凝土铺设地面,主要车辆通道混凝土地面厚度宜为(15~20)cm。
7.3.3 泥浆护壁施工应符合下列规定:
1 施工期间护筒内的泥浆面应高出地下水位1.0m以上,在受水位涨落影响时,泥浆面应高出最高水位1.5m以上;
2 成孔时孔内泥浆液面应保持稳定,且不宜低于硬地面30cm;
3 在容易产生泥浆渗漏的土层中应采取保证孔壁稳定的措施;
4 开孔时宜用密度为1.2g/cm 3 的泥浆;在黏性土层、粉土层中钻进时,泥浆密度宜控制在1.3g/cm 3 以下。
条文说明
7.3.3在清孔过程中,应不断置换泥浆,直至灌注水下混凝土为止。
7.3.4 废弃的浆、渣应进行集中处理,不得污染环境。
Ⅱ 正、反循环钻孔扩底灌注桩
7.3.5 钻机定位后,应用钢丝绳将护筒上口挂戴在钻架底盘上,成孔过程中钻机塔架头部滑轮组、固转器与钻头应始终保持在同一铅垂线上,保证钻头在吊紧的状态下钻进。
条文说明
7.3.5钻机定位应准确、水平、稳固,钻机转盘中心与护筒中心的允许偏差不宜大于50mm。成孔时孔内泥浆液面应保持稳定,且不宜低于硬地面30cm。注入孔口的泥浆及排出孔口泥浆性能指标,应根据地质情况和钻机的机械性能进行合理调整。
7.3.6 孔深较大的端承型桩,宜采用反循环工艺成孔或清孔,也可根据土层情况采用正循环钻进、反循环清孔。
7.3.7 泥浆护壁成孔应设孔口护筒,并应符合下列规定:
1 护筒位置应准确,护筒中心与桩位中心的允许偏差应为±50mm;护筒埋设应稳固;
2 护筒宜用厚度为4mm~8mm的钢板制作,内径应大于钻头直径100mm,其上部宜开设1~2个溢浆孔;
3 护筒的埋设深度:在黏性土中不宜小于1.0m;砂土中不宜小于1.5m;其高度应满足孔内泥浆面高度的要求;
4 受水位涨落影响或在水下钻进施工,护筒应加高加深,必要时应打入不透水层。
7.3.8 宜采用与钻机配套的标准直径钻头成孔,并应根据成孔的充盈系数确定钻头的直径大小,应保证成桩的充盈系数不小于1.10。
条文说明
7.3.8水下作业钻扩桩适用于地下水位以下的填土层、黏性土层、粉土层、砂土层和粒径不大的砂砾(卵)石层,其扩底部宜设置于较硬(密)实的黏土层、粉土层、砂土层和砂砾(卵)石层,有的扩孔钻头可在基岩中钻进。我国水下作业钻扩桩常采用YKD、MRR和MRS扩底钻头,这3种系列扩底钻头系由国土资源部勘探所研制开发成功的,主要采用扩刀下开方式。 YKD系列液压扩底钻头,主要由钻头体、回转接头、泵站和检测控制台等部分组成,钻头体为三翼下开式结构,刀头采用硬质合金,可用于钻进黏性土层、砂层、砂砾层以及粒径小于5mm的卵石层。该系列钻头成孔直径0.6m~2.4m,扩底直径1.2m~4.0m,扩底角15°~25°。 MRR系列滚刀扩底钻头,该钻头的基本结构为下开式,采用对称双翼,中心管为四方结构,以便能可靠地将扭矩传递到扩孔翼上,扩孔翼本身为箱式结构。破岩刀具为CG型滚刀,它采用高强度、高硬度的合金为刀齿,以冲击、静压加剪切的方式破碎岩石可以实现体积破碎,而所需的钻进压力和扭矩均相对较小。该扩底钻头,主要用于在各种岩石中进行扩底,如各种砂岩、石灰岩、花岗岩等。扩底前,需采用滚刀钻头或组合牙轮钻头钻进,当钻头在预定基岩中成孔后,再将扩底钻头下入孔底。该系列钻头成孔直径0.8m~2.4m,扩底直径1.6m~4.0m,扩底角30°。 MRS系列扩底钻头,主要用于黏性土层、砂层、砂砾层中扩底,其基本结构为三翼或四翼下开式,刀齿为硬质合金。主要部件包括扩底翼、加压架、底盘和连杆等。特点是结构简单、操作容易、加工方便和成本低廉。用该钻头扩底前,需用普通刮刀钻头钻进成孔,然后下入扩底钻头。钻头成孔直径0.5m~2.4m,扩底直径1.0m~4.0m,扩底角20°~25°。带可扩张切削工具的钻头。
7.3.9 钻机设置的垂直度导向装置应符合下列规定:
1 潜水钻的钻具上应有长度不小于3倍钻头直径的导向装置;
2 利用钻杆加压的正循环回转钻机,在钻具上应加设扶正器。
7.3.10 钻孔应采用钻机自重加压法钻进。开机钻进时,应先轻压、慢转,并适当控制泥浆泵量。当钻机进入正常工作状态时,可逐渐加大转速与钻压,加压时钻机不应晃动,保证及时排渣。钻孔的技术参数宜按下列规定控制:
1 钻压:不大于10kPa;
2 转速:30r/min~60r/min;
3 泥浆泵量:50m 3 /h~75m 3 /h;
4 当遇到岩层或砂层时,应调整钻压与转速,以整机不发生跳动为准;
5 当遇到松软土层时,应根据泥浆补给情况控制钻进速度;
6 当遇到有易塌孔土层时,应适当加大泥浆相对密度。
7.3.11 钻进过程中如发生斜孔、塌孔和护筒周围冒浆时,应停止钻进,待采取相应措施后再行钻进。
7.3.12 灌注混凝土前孔底沉渣厚度应符合下列规定:
1 竖向承载的扩底桩,不应大于50mm;
2 抗拔或抗水平力的扩底桩,不应大于200mm。
7.3.13 大直径扩底灌注桩扩底尺寸除应符合本规程第5.1.1条的规定外,尚应符合下列规定(图7.3.13):

1 扩孔边锥角(α):风化基岩中宜取θ=22°~28°,较稳定土层宜取15°~25°;
2 扩孔底锥角(γ):宜取105°~135°;
3 最大桩径段高度(h b ):宜取0.3m~0.4m;
4 沉渣孔:直径宜取0.2m~0.3m;深度宜取0.1m~0.3m。
7.3.14 扩底钻进宜采用泵吸反循环钻进工艺施工,并宜符合下列规定:
1 施工流程宜为:直孔段钻进成孔→第一次清孔换浆→换扩底钻头扩底钻进→第二次清孔换浆→检验扩底尺寸及形状→安放钢筋笼→下导管及第三次清孔换浆→灌注混凝土成桩;
2 扩底钻进施工前,应根据扩底直径确定钻机的扩底行程,并固定好钻头的行程限位器;当开始扩底钻进时,应先轻压、慢转,逐渐转入正常工作状态。当转至所标注行程时,应放松钻具钢丝绳;
3 清孔换浆应符合下列规定:
1)第一次清孔换浆应将钻具提离孔底300mm~500mm,用泵吸反循环工艺吸净孔底沉渣;
2)第三次清孔换浆可利用混凝土灌注导管和砂石泵组进行,置换出来的泥浆相对密度应小于1.15,含砂率应小于6%,泥浆黏度应控制在18s~25s;
4 扩底施工中应采取下列孔壁稳定措施:
1)孔内静水压力宜保持在15kPa~20kPa;
2)钻进时应选用优质泥浆并及时置换;
3)应精心操作,防止孔内水压激变以及人为扰动孔壁。
7.3.15 扩底钻进施工操作应符合下列规定:
1 每一种规格的扩底钻具使用前均应做张、收试验,准确测量下列数据,并应符合设计要求:
1)全收和全张时的钻头长度,钻头扩底时的最大行程;
2)全张时的最大扩底直径;
3)同一钻头不同扩底直径的扩底行程;
4)任一距离的扩底行程所对应的扩底直径。
2 扩底钻具入孔前,应在地表对钻具各部位焊接、销轴连接,应对滚刀及滚刀架等进行整体检验。
3 扩底钻进采取低转速,切削具的线速度宜取1.5m/s。
4 扩底钻头严禁反转施工。
5 正常扩底时,若无异常情况,不得无故提动钻具。
6 在裂隙发育、不均质的风化岩中扩底时,施加压力应在运转平稳后进行,以防卡住钻机,造成事故。
7 扩底完成后,应轻缓的提钻具至孔外。当出现提钻受阻时,不得强提、猛拉,应上下窜动钻具;当钻头脱离孔底时,可轻轻旋转钻头并收拢。
8 扩底钻头提出孔外后,应及时冲洗、检查,发现问题应及时维修。
Ⅲ 水下混凝土灌注
7.3.16 在第三次清孔检验合格后,应立即灌注混凝土。
条文说明
7.3.16钢筋笼吊装前,应安置导管与气泵第三次清孔,并应检验孔位、孔径、垂直度、孔深、沉渣厚度等,检验合格后应立即灌注混凝土。
7.3.17 水下灌注的混凝土应符合下列规定:
1 应具备良好的和易性;配合比应通过试验确定;坍落度宜为(180~220)mm;水泥用量不宜少于360kg/m 3 ;
2 混凝土的含砂率宜为40%~50%,并宜选用中粗砂;
3 混凝土宜掺加外加剂。
7.3.18 灌注混凝土的导管应符合下列规定:
1 导管壁厚不宜小于3mm,直径宜为200mm~250mm,直径允许偏差应为±2mm;导管的分节长度可视工艺要求确定,底管长度不宜小于4m,接头宜采用矩形双螺纹快速接头;
2 导管使用前应进行试拼装、试压,试水压力可取0.6MPa~1.0MPa;
3 导管应连接可靠、接头严密,接口宜用“○”形密封圈;导管吊入桩孔时,位置应居孔中,应防止刮擦钢筋笼和碰撞孔壁;
4 导管下应设置隔水塞,隔水塞应有良好的隔水性能,并应保证顺利排出;
5 每次使用后应对导管内外进行清洗。
条文说明
7.3.18导管的管径要满足混凝土灌注速度要求。导管长度按桩孔深来考虑,导管距孔底约300mm~500mm。灌注混凝土时,导管埋入混凝土中的长度不应小于2000mm,混凝土灌注表面每上升4m~5m时,应拆除相应数量的导管。当混凝土倒人漏斗,而桩孔口泥浆不返浆,稍稍将孔中漏斗往上提,混凝土仍不能迅速地向下移动,此时应拆提导管。在灌注混凝土时应准确测量混凝土面的深度,在保证导管埋入混凝土中不小于2000mm前提下,及时拆管。隔水塞,在混凝土开始灌注时起隔水作用,保证初灌混凝土质量,隔水塞宜采用与桩身混凝土强度等级相同的细石混凝土制作。
7.3.19 水下混凝土灌注施工应符合下列规定:
1 开始灌注混凝土时,导管底部至孔底的距离宜为0.3m~0.5m;
2 应始终保持导管埋入混凝土深度大于2m,并宜小于或等于4m,严禁将导管提出混凝土灌注面;应控制提拔导管速度,并应跟踪测量导管埋入混凝土灌注面的高差及导管内外混凝土的高差,及时填写水下混凝土灌注记录;
3 水下混凝土灌注应连续施工,每根桩混凝上的灌注时间应按初盘混凝土的初凝时间控制;
4 应控制混凝土的灌注量,超灌高度宜为0.8m~1.0m;凿除泛浆后,应保证暴露的桩顶混凝土强度达到设计等级。
7.4 干作业成孔大直径扩底灌注桩
7.4 干作业成孔大直径扩底灌注桩
Ⅰ 钻孔扩底灌注桩
条文说明
干作业钻扩桩适用于地下水位以上的填土层、黏性土层、粉土层、砂土层和粒径不大的砾砂层,其扩底部宜设置于较硬(密)实的黏土层、粉土层、砂土层和砾砂层。在选择该类钻扩桩的扩底部持力层时,需考虑:①在有效桩长范围内,没有地下水或上层滞水;②在钻深范围内的土层应不塌落、不缩颈、孔壁能保持直立;③扩底部与桩根底部应置于中密以上的黏性土、粉土或砂土层上;④持力层应有一定厚度,且水平方向分布均匀。
7.4.1 钻孔施工应符合下列规定:
1 钻杆应保持垂直稳固,位置准确,应防止因钻杆晃动引起扩径;
2 钻进速度应根据电流值变化及时调整;
3 钻进过程中,应随时清理孔口积土,遇到地下水、塌孔、缩孔等异常情况时,应及时处理。
7.4.2 扩底部位施工应符合下列规定:
1 应根据电流值或油压值,调节扩孔刀片削土量,防止出现超负荷现象;
2 扩底直径和孔底的虚土厚度应符合设计要求。
7.4.3 成孔扩底达到设计深度后,应保护孔口,并应按本规程规定进行验收,及时作好记录。
7.4.4 当扩底成孔发现桩底硬质岩残积土或页岩、泥岩等发生软化时,应重新启动钻机将其清除。
条文说明
7.4.4干作业钻孔扩底,对遇水后软化的岩层作桩端持力层,检查时发现凡是软化的土层必须重新清理后才能灌注混凝土。
7.4.5 灌注混凝土前,应在孔口安放护孔漏斗,然后放置钢筋笼,并应再次测量孔内虚土厚度。灌注混凝土时,第一次应灌到扩大端的顶面,并随即振捣密实;灌注桩顶以下5m范围内混凝土时,应随灌注随振捣密实,每次灌注高度不应大于1.5m。
Ⅱ 人工挖孔扩底灌注桩
条文说明
人工成孔的大直径扩底灌注桩涉及人工挖孔,为保证施工安全,宜增加场地的限制使用条件,如地基土中存在较厚的流塑状泥或软塑状土、松散及稍密的砂层或厚度超过3m的中密、密实砂层,桩径不小于1.2m等。广东省是采用人工挖孔桩较早、较为广泛的地区,现已发文限制使用,并严格审批。
7.4.6 人工挖孔大直径扩底灌注桩的桩身直径不宜小于0.8m;孔深不宜大于30m。当相邻桩间净距小于2.5m时,应采取间隔开挖措施。相邻排桩间隔开挖的最小施工净距不得小于4.5m。
条文说明
7.4.6对人工挖孔桩桩长、桩径的规定主要出于安全的考虑。如深圳地区规定:“最小直径应视桩长而定,挖孔桩桩长小于10m,桩径不小于1200mm;桩长在10m~15m时,桩径不小于1200mm;桩长在15m~30m时,桩径不小于1400mm;桩长超过30m时,需经专门研究决定”。国内某些地区禁止采用人工挖孔桩作业,主要原因是出于安全考虑,故本条和本规程7.6.6条提出一些必要的安全措施。
7.4.7 人工挖孔大直径扩底灌注桩的混凝土护壁厚度及护壁配筋应符合下列规定:
1 当桩身直径不大于1.5m时,混凝土护壁厚度不宜小于100mm,护壁应配置直径不小于8mm的环形和竖向构造钢筋,钢筋水平和竖向间距不宜大于200mm,钢筋应设于护壁混凝土中间,竖向钢筋应上下搭接或焊接;
2 当桩身直径大于1.5m且小于2.5m时,混凝土护壁厚度宜为120mm~150mm;应在护壁厚度方向配置双层直径为8mm的环形和竖向构造钢筋,钢筋水平和竖向间距不宜大于200mm,竖向钢筋应上下搭接或焊接;
3 当桩身直径大于等于2.5m且小于4m时,混凝土护壁厚度宜为200mm,应在护壁厚度方向配置双层直径为8mm的环形和竖向构造钢筋,钢筋水平和竖向间距不宜大于200mm,竖向钢筋应上下搭接或焊接。
条文说明
7.4.7现行行业标准《建筑桩基技术规范》JGJ94-2008中6.6.10条规定:“护壁的厚度、拉接钢筋、配筋、混凝土强度等级均应符合设计要求”,具体如何设计,没有给出具体要求,本规程对此作具体规定。人工挖孔桩混凝土护壁的厚度不应小于100mm,护壁厚度宜依桩径大小、土层状况、施工安全性计算确定,桩径大,护壁厚度应加大。部分地区施工过程中遇到设计施工的挖孔桩图纸护壁最小厚度均在150mm以上。
7.4.8 开始挖孔前,桩位应准确定位放线,应在桩位外设置定位基准桩,安装护壁模板时应采用定位基准桩校正模板位置。
7.4.9 第一节护壁井圈应符合下列规定:
1 井圈中心线与设计轴线的偏差不得大于20mm;
2 井圈顶面应高于场地地面100mm~150mm,第一节井圈的壁厚应比下一节井圈的壁厚加厚100mm~150mm,并应按本规程第7.4.7条的规定配置构造钢筋。
7.4.10 人工挖孔大直径扩底桩施工时,每节挖孔的深度不宜大于1.0m; 每节挖土应按先中间、后周边的次序进行。当遇有厚度不大于1.5m的淤泥或流砂层时,应将每节开挖和护壁的深度控制在0.3m~0.5m,并应随挖随验,随做护壁,或采用钢护筒护壁施工,并应采取有效的降水措施。
7.4.11 扩孔段施工应分节进行,应边挖、边扩、边做护壁,严禁将扩大端一次挖至桩底后再进行扩孔施工。
7.4.12 人工挖孔桩应在上节护壁混凝土强度大于3.0MPa后,方可进行下节土方开挖施工。
7.4.13 当渗水量过大时,应采取截水、降水等有效措施。严禁在桩孔中边抽水边开挖。
7.4.14 护壁井圈施工应符合下列规定:
1 每节护壁的长度宜为0.5m~1.0m;
2 上下节护壁的搭接长度不得小于50mm;
3 每节护壁均应在当日连续施工完毕;
4 护壁混凝土应振捣密实,如孔壁少量渗水可在混凝土中掺入速凝剂,当孔壁渗水较多或出现流砂时,应采用钢护筒等有效措施;
5 护壁模板的拆除应在灌注混凝土24h后进行;
6 当护壁有孔洞、露筋、漏水现象时,应及时补强;
7 同一水平面上的井圈直径的允许偏差应为50mm。
7.4.15 当挖至设计标高后,应清除护壁上的泥土和孔底残渣、积水,隐蔽工程验收后应立即封底和灌注桩身混凝土。当桩底岩土因浸水等软化时,应清除干净后方可灌注混凝土。
条文说明
7.4.15对桩端持力层验收提出具体要求,使桩基承载能力满足设计要求。
7.4.16 灌注桩身混凝土时宜采用串筒或溜管,串筒或溜管末端距混凝土灌注面高度不宜大于2m;也可采用导管泵送灌注混凝土。混凝土应垂直灌入桩孔内,并连续灌注,宜利用混凝土的大坍落度和下冲力使其密实。桩顶5m以内混凝土应分层振捣密实,分层灌注厚度不应大于1.5m。
条文说明
7.4.16人工挖孔桩混凝土灌注时,常因坍落高度太大而使混凝土离析,从而产生桩身混凝土断层和夹层等质量事故,本条是对混凝土输送作出相应的技术规定。
7.4.17 钢筋笼制作应符合本规程第5.1.2条的规定。
7.5 大直径扩底灌注桩后注浆
7.5 大直径扩底灌注桩后注浆
条文说明
后注浆可提高承载力,这里有两个问题:一是后注浆是一种补救措施;二是后注浆本身就是扩底桩的工法内容,本条规定属于后者。在工程实践中,后注浆对邻近中细砂层正在施工的钻孔有显著影响,易造成塌孔。
7.5.1 大直径扩底灌注桩后注浆装置的设置及施工应符合下列规定;
1 后注浆导管应采用直径为30mm~50mm的钢管,且应与钢筋笼的加强箍筋固定牢固;
2 桩端后注浆导管及注浆阀的数量宜根据桩径大小设置,直径不大于1200mm的桩,宜沿钢筋笼圆周对称设置5~7根;
3 当桩长超过15m且单桩承载力增幅要求较高时,宜采用桩端、桩侧复式注浆;
4 对于非通长配筋桩,下部应有不少于2根与注浆管等长的主筋组成的钢筋笼通底;
5 钢筋笼应沉放到底,不得悬吊,下笼受阻时不得撞笼、墩笼、扭笼。
7.5.2 后注浆阀应符合下列规定:
1 注浆阀应能承受设计要求的静水压力;注浆阀外部保护层应能抵抗砂石等硬质物的刮撞;
2 注浆阀应具备逆止功能。
7.5.3 浆液配比、终止注浆压力、流量、注浆量等参数设计应符合下列规定:
1 浆液的水灰比应根据土的饱和度、渗透性确定,对于饱和土,水灰比宜为0.45~0.65;对于非饱和的松散碎石土、砾砂土等水灰比宜为0.5~0.6;低水灰比浆液宜掺入减水剂。
2 注浆终止时的注浆压力应根据土层性质及注浆点深度确定,风化岩、非饱和黏性土及粉土,注浆压力宜为3MPa~10MPa;饱和土层注浆压力宜为1.2MPa~4MPa。软土宜取低值,密实黏性土宜取高值。
3 注浆流量不宜大于75L/min。
4 单桩注浆量的设计应根据桩径、桩长、桩端和桩侧土层性质、单桩承载力增幅及是否复式注浆等因素确定,可按下式估算:

式中:G c —— 注浆量,以水泥质量计(t);
α p 、α s —— 分别为桩端、桩侧注浆经验系数,α p =1.5~1.8, α s =0.5~0.7,对于卵砾石、中粗砂取高值,一般黏性土取低值;
D—— 扩大端直径(m);
n—— 桩侧注浆断面数;
d—— 桩身直径(m)。
对独立单桩、桩距大于6d的群桩和群桩初始注浆的数根基桩的注浆量,应按公式(7.5. 3)估算,并将估算值乘以1.2的系数。
5 后注浆作业开始前,宜通过注浆试验优化并确定注浆参数。
条文说明
7.5.3式(7.5.3)是经验公式,在编写注浆方案时作参考。主要是通过同类工程桩和相应土层总结施工经验,分析具体工程情况,作出综合判断后提出配比方案,也可通过试桩后确定。
7.5.4 注浆前应对注浆管及设施进行压水试验。
条文说明
7.5.4注浆前压水试验是验证工程桩可灌性能和确定注浆参数的主要手段,是必须实施的一个步骤。
7.5.5 后注浆作业起始时间、顺序和速率应符合下列规定:
1 注浆作业宜于成桩2d后开始;
2 注浆作业与成桩作业点的距离不宜小于10m;
3 对于饱和土,宜先桩侧后桩端注浆;对于非饱和土,宜先桩端后桩侧;对于多断面桩侧注浆,应先上后下;桩侧和桩端注浆间隔时间不宜少于2h;
4 桩端注浆时,应对同一根桩的各注浆导管依次实施等量注浆;
5 对于群桩注浆宜先外围、后内部;
6 应记录注浆压力、注浆量和注浆管的变化,并用百分表检测桩的上抬量。
条文说明
7.5.5注浆顺序应根据土的饱和度、注浆部位等因素综合确定。
7.5.6 当满足下列条件之一时,即可终止注浆:
1 注浆总量和注浆压力均达到设计要求;
2 注浆总量达到设计值的75%及以上,且注浆压力超过设计值。
条文说明
7.5.6何时终止注浆应满足设计要求,包括注浆量、注浆压力,现场应由施工、设计、监理、勘察共同商定。当桩底下有溶洞时,注浆总量明显高于原设计估量时,应另行处理。
7.5.7 当注浆压力长时间低于正常值或地面出现冒浆或周围桩孔出现串浆时,应改为间歇注浆,间歇时间宜为30min~60min,或调低浆液水灰比。
条文说明
7.5.7在注浆过程中,应经常检查注浆工艺参数,若发生异常,本条提出一些应采取的技术措施。
7.6 安全措施
7.6 安全措施
7.6.1 机械设备应由考核合格的专业机械工操作,并应持证上岗。
条文说明
7.6.1特种作业人员考核是指特殊工种必须持由安全部门颁发的证件上岗。
7.6.2 对大直径扩底灌注桩施工机械设备的操作应符合现行行业标准《建筑机械使用安全技术规程》JGJ 33的规定,应对机械设备、设施、工具配件以及个人劳保用品经常检查,应确保完好和使用安全。
7.6.3 桩孔口应设置围栏或护栏、盖板等安全防护设施,每个作业班结束时,应对孔口防护进行逐一检查,严禁非施工作业人员入内。
7.6.4 在距未灌注混凝土的桩孔5m范围内,场地堆载不应超过15kN/m 2 ,不应有运输车辆行走。对于软土地基,在表层地基土影响范围内禁止堆载。
7.6.5 雨、雪、冰冻天气应采取相应的安全措施,雨后施工应排除积水。
7.6.6 人工挖孔大直径扩底桩施工应采取下列安全措施:
1 孔内应设置应急软爬梯供作业人员上下;操作人员不得使用麻绳、尼龙绳吊挂或脚踏井壁上下;使用的电葫芦、吊笼等应安全可靠,并应配有自由下落卡紧保险装置;电葫芦宜用按钮式开关,使用前应检验其安全起吊能力,并经过动力试验;
2 每日开工前应检测孔内是否有有毒、有害气体,并应有安全防范措施;当桩孔挖深超过3m~5m时,应配置向孔内作业面送风的设备,风量不应少于25L/s;
3 在孔口应设置防止杂物掉落孔内的活动盖板;
4 挖出的土方应及时运离孔口,不得堆放在孔口周边5m的范围内,当孔深大于6m时,应采用机械动力提升土石方,提升机构应有反向锁定装置。
7.6.7 应控制注浆的压力,严禁超压运作。试压时注浆管口应远离人群。
7.6.8 钻头吊入护筒内后,应关好钻架底层铁门,防止杂物落入桩孔。
7.6.9 启动、下钻及钻进时,须设专人收、放电缆和进浆管。使用潜水电钻成孔设备时,应设有过载保护装置,在阻力过大时应能自动切断电源。
7.6.10 废弃泥浆、渣土应有序排放,严禁随意流淌或倾倒。泥浆池应设置围栏。
7.6.11 工地临时用电线路架设及用电设施,应按现行行业标准《施工现场临时用电安全技术规范》JGJ 46的有关规定执行。
条文说明
7.6.11加强用电安全管理,电工必须持证上岗;现场设备必须具有接地装置,做到一机一闸一保险和三级漏电保护;严禁私自拉接照明线路,现场实行轮流值班制,便于及时处理突发事故。
8 质量检验
8.1 一般规定
8 质量检验
8.1 一般规定
8.1.1 大直径扩底桩质量检验应包括下列内容:
1 桩体原材料检验;
2 成孔检验;
3 成桩检验;
4 后注浆检验;
5 桩承台检验。
8.1.2 大直径扩底桩质量检验要求,应符合表8.1.2的规定。

8.1.3 大直径扩底桩钢筋笼质量检验要求,应符合表8. 1.3的规定。

8.1.4 桩体原材料质量检验应符合现行国家标准《建筑地基基础工程施工质量验收规范》GB 50202的规定。
8.1.5 承台工程的检验除应符合本规程的规定外,尚应符合现行国家标准《混凝土结构工程施工质量验收规范》GB 50204的规定。
条文说明
8.1.1~8.1.5 大直径扩底桩的质量检验,主要包括桩体原材料、成孔质量、桩身质量、后注浆检验和桩承台检验。现行国家标准《建筑地基基础工程施工质量验收规范》GB 50202和现行行业标准《建筑基桩检测技术规范》JGJ 106以强制性条文规定必须对基桩承载力和桩身完整性进行检验。如何保证在各种不同的地质条件下的成孔质量,目前无论是施工部门还是设计部门,尚缺少应有的重视和有效措施。大直径钻孔扩底灌注桩以端承力为主,如何有效控制成孔质量,确保工程安全,就尤其重要。 将大直径扩底桩质量检验要求进行归纳,见本规程表8.1.2。将大直径扩底桩钢筋笼质量检验要求进行归纳,见表8.1.3。
8.2 成孔质量检验
8.2 成孔质量梭验
8.2.1 大直径扩底桩成孔施工前,应试成孔,其数量在每个场地不应少于2个。对于有经验的建筑场地,试成孔可结合工程桩进行。
条文说明
8.2.1成孔施工前应试成孔,其目的是研究成孔的可能性,并确定相关的施工工艺、参数等。
8.2.2 成孔质量检验应包括:孔深、孔径、垂直度、扩大端尺寸、孔底沉渣厚度等。
8.2.3 人工成孔时,应逐孔检验桩端持力层岩土性质、进入持力层深度、扩大端孔径、桩身孔径和垂直度,孔底虚土应清理干净。持力层为风化基岩时,宜采用点荷载法逐孔测试风化岩的强度。
8.2.4 机械成孔时,应逐孔检验桩端持力层岩土性质、进入持力层深度、扩大端孔径、桩身孔径、垂直度和孔底沉渣厚度。
条文说明
8.2.2~8.2.4大直径钻孔扩底桩成孔的孔径、孔深、垂直度及孔底沉渣厚度检测的主要目的为:其一,作为第三方检测,可以有效地控制成孔施工质量;其二,规范大直径钻孔灌注桩成孔检测的方法和技术;其三,钻孔灌注桩成孔检测可以成为指导施工的主要辅助手段。 由于大直径扩底桩的工程重要性,因此规定桩端持力层岩土性质、进入持力层深度、扩大端孔径、桩身孔径、垂直度和孔底沉渣厚度100%检测。 点荷载法可测试桩端风化岩的强度,试验标准及与岩石单轴抗压强度的换算关系应分别按现行国家标准《工程岩体试验标准》GB/T50266及《工程岩体分级标准》GB50218中有关规定进行,可参见本规程第4.2.5条。
8.2.5 机械成孔桩扩大端孔径及桩身孔径可采用超声波法或伞形孔径仪进行检验,并应符合本规程附录C、附录D的规定。伞形孔径仪的标定方法应符合本规程附录E的规定。
8.2.6 机械成孔的孔底沉渣厚度应符合本规程第7.3.12条的规定,可采用沉渣测定仪检测,并应符合下列规定:
1 沉渣厚度检测宜在清孔完毕后、灌注混凝土前进行;
2 检测至少应进行3次,应取3次检测数据的平均值为最终检测结果。
8.2.7 沉渣测定仪应符合下列规定:
1 检测仪器、设备应是有计量器具生产许可证的厂家生产的合格产品,并应在标定有效期内使用;
2 检测仪器、设备应具有良好的稳定性及绝缘性,且应具备检测工作所必需的防尘、防潮、防振等功能,并应能在-10℃~+40℃温度范围内正常工作;
3 检测精度应满足评价要求。
条文说明
8.2.5~8.2.7本节方法适用于检测建筑工程中的大直径钻孔扩底灌注桩成孔的孔径、垂直度、孔深及孔底沉渣厚度。检测方法为超声波法或接触式仪器组合法。 机械成孔桩扩大端孔径及桩身孔径可采用超声波法或伞形孔径仪进行检验,第8.2.5条主要来源于天津市工程建设标准《基桩检测技术规程》DB29-38-2002、天津市工程建设标准《钻孔灌注桩成孔、地下连续墙成槽检测技术规程》DB29-112-2004。 接触式仪器组合法,系采用伞形孔径仪、沉渣测定仪分别检测成孔孔径及沉渣厚度,是由多种仪器设备组合形成的检测系统。因相对于超声波法,采用接触式仪器组合法检测时,各种仪器的检测探头必须保持对孔壁或孔底的接触,所以属于接触式检测方法。 根据现行国家标准《建筑地基基础工程施工质量验收规范》GB50202,沉渣厚度可以采用沉渣仪或重锤测量,目前国内已经出现了多种沉渣厚度测定方法,主要有测锤法、电阻率法、电容法、声波法等。本规程规定只要是具有计量器具生产许可证的厂家生产的合格产品,并能在标定有效期内使用,其检测精度能够满足沉渣厚度的评价要求的仪器设备或工具,均可用于沉渣厚度检测。 从定性上讲,沉渣可以定义为钻孔灌注桩成孔后,淤积于孔底部的非原状沉淀物。从定量上准确区分沉渣和下部原状地层,目前还有一定难度。所以对于沉渣厚度的检测,实际上是利用有效的沉渣测定仪或其他检测工具,检测估算沉渣厚度。 伞形孔径仪桩孔直径检测结果,是探头4个测臂各自检测结果的平均值,对于非轴对称孔径变化桩孔的检测存在一定误差。 检测机构应通过省级以上计量行政主管部门的计量认证。如果检测机构未能通过计量认证考核,其提供的数据和成果报告不具备法律效力。
8.2.8 大直径扩底桩成孔施工允许偏差应符合本规程表8.1.2的要求。
8.3 成桩质量检验
8.3 成桩质量检验
8.3.1 大直径扩底桩成桩质量检验项目应包括:钢筋笼制作与吊放、混凝土灌注、混凝土强度,桩位、桩身完整性、单桩承载力等。
8.3.2 钢筋笼制作前应对钢筋与焊条规格、品种、质量、主筋和箍筋的制作偏差等进行检查,钢筋笼制作偏差应符合本规程第8.3.3条的规定。
8.3.3 钢筋笼制作与吊放应按设计要求施工,除应符合本规程表8.1.3的规定外,尚应符合下列规定:
1 钢筋保护层允许偏差为±10m;
2 钢筋笼就位后,顶面和底面标高允许偏差为±50mm。
8.3.4 应对钢筋笼安装进行检查,并应填写相应质量检测、检查记录。
8.3.5 拌制混凝土时,应对原材料计量、混凝土配合比、坍落度等进行检查;
8.3.6 成桩后应对桩位偏差、混凝土强度、桩顶标高等进行检验,并应符合本规程表8.1.2的规定。
8.3.7 每灌注50m 3 混凝土必须有1组试件,每根桩必须有1组试件。
8.3.8 大直径扩底桩可采用钻芯法或声波透射法进行桩身完整性检验,抽检数量不应少于总桩数的30%,且不应少于10根;采用低应变法检验桩身完整性时,检验数量应为100%。钻芯法或声波透射法检验应符合现行行业标准《建筑基桩检测技术规范》JGJ 106的规定。
条文说明
8.3.8桩身完整性检测为工程桩验收检测必检项目之一,对甲、乙、丙级建筑桩基都要适用,故规定100%逐桩检测。 钻芯法或声波透射法检验应符合现行行业标准《建筑基桩检测技术规范》JGJ106的规定。钻芯法适用于检测大直径扩底桩的桩长、桩身混凝土强度、桩底沉渣厚度和桩身完整性,判定或鉴别桩端持力层岩土性状。声波透射法适用于已预埋声测管的大直径扩底桩的桩身完整性检测,判定桩身缺陷的程度并确定其位置。
8.3.9 大直径扩底桩应进行承载力检测,并应符合下列规定:
1 当采用单桩静载试验检测承载力时,检验数量不应少于同条件下总桩数的1%,且不应少于3根;当总桩数少于50根时,检测数量不应少于2根;
2 在桩身混凝土强度达到设计要求的条件下,后注浆桩承载力检测应在注浆20d后进行,浆液中掺入早强剂时可于注浆15d后进行。
8.3.10 大直径扩底桩单桩竖向抗压静载试验应符合本规程附录B的要求,单桩竖向抗拔承载力和单桩水平承载力的静载试验应符合现行行业标准《建筑基桩检测技术规范》JGJ 106的规定。
条文说明
8.3.10动测法试验对扩底桩承载力检测不适用,故规定对工程桩承载力的检测应采用静载试验法。
8.3.11 大直径扩底桩质量合格判定应符合下列规定:
1 桩身所用的原材料合格;每桩留有桩身混凝土试件,其抗压强度应符合设计要求;
2 桩身直径、扩大端尺寸、桩身入土深度、桩端进入持力层深度应符合设计要求;
3 桩的平面位置和成孔质量应符合现行国家标准《建筑地基基础工程施工质量验收规范》GB 50202的规定;
4 桩身完整性经检验合格;
5 单桩承载力特征值符合设计要求。
8.4 大直径扩底灌注桩及承台质量验收
8.4 大直径扩底灌注桩及承台质量验收
8.4.1 大直径扩底桩及承台工程的验收应符合现行国家标准《建筑地基基础工程施工质量验收规范》GB 50202的规定。
8.4.2 当桩顶设计标高与施工场地标高相近时,大直径扩底桩桩基工程应待成桩完毕后验收;当桩顶设计标高低于施工场地标高时,应待开挖到设计标高后进行验收。
8.4.3 大直径扩底桩验收应包括下列资料:
1 工程地质勘察报告、竣工图、图纸会审纪要、设计变更单及材料代用通知单等;
2 经审定的施工组织设计、施工方案及执行中变更情况;
3 桩位测量放线图,包括工程桩桩位线复核签证单;
4 原材料的质量合格证和质量检验报告;
5 施工记录及隐蔽工程验收文件;
6 成孔质量检验报告;
7 成桩质量检验报告;
8 单桩承载力检验报告或基岩载荷检验报告;
9 其他必须提供的文件和记录。
8.4.4 后注浆大直径扩底桩验收,除应符合本规程8.4. 3条的要求外,尚应包括下列资料:
1 水泥材质检验报告;
2 压力表检定证书;
3 设计工艺参数;
4 试注浆记录;
5 后注浆作业记录;
6 特殊情况处理记录等资料。
8.4.5 承台工程验收时应包括下列资料:
1 承台钢筋、混凝土的施工与检验记录;
2 桩头与承台的锚筋、边桩离承台边缘距离、承台钢筋保护层检验记录;
3 承台厚度、长宽和宽度的检验记录及混凝土外观检验记录等。
附录A耐久性规定
附录A 耐久性规定
A.0.1 二类和三类环境中,设计使用年限为50年的桩基结构混凝土耐久性应符合表A.0. 1的规定。

注:1 氯离子含量系指其与水泥用量的百分率;
2 当混凝土中加入活性掺合料或能提高耐久性的外加剂时,可适当降低最小水泥用量;
3 当使用非碱活性骨料时,对混凝土中碱含量不作限制;
4 当有可靠工程经验时,表中混凝土最低强度等级可降低一个等级。
A.0.2 桩身裂缝控制等级及最大裂缝宽度应根据环境类别和水、土介质腐蚀性等级按表A. 0.2规定选用。

注:1 水、土为强、中腐蚀时,抗拔桩裂缝控制等级应提高一级;
2 二a环境中,位于稳定地下水位以下的基桩,其最大裂缝宽度限值可采用括弧中的数值。
A.0.3 四类、五类环境桩基结构耐久性设计可按现行行业标准《港口工程混凝土结构设计规范》JTJ 267和现行国家标准《工业建筑防腐蚀设计规范》GB 50046等执行。
A.0.4 对三、四、五类环境桩基结构,受力钢筋宜采用环氧树脂涂层带肋钢筋。
附录B大直径扩底灌注桩单桩竖向抗压承载力静载试验要点
附录B 大直径扩底灌注桩单桩竖向抗压承载力静载试验要点
B.0.1 本试验要点适用于测求大直径扩底桩单桩竖向抗压承载力特征值。
B.0.2 大直径扩底桩单桩竖向抗压承载力静载试验应采用锚桩横梁反力装置或锚桩压重联合反力装置,且加载反力装置能提供的反力不得小于最大加载量的1.2倍。
B.0.3 为设计提供依据的竖向抗压静载荷试验应采用慢速维持荷载法。
B.0.4 试验加载应分级进行,采用逐级等量加载;分级荷载宜为最大加载量或预估极限承载力的1/10,其中第一级可取分级荷载的2倍。
B.0.5 每级荷载加载后,在第5min、10min、15min、30min、45min、60min时测读桩顶沉降量s,以后每隔30min测读一次。
B.0.6 在每一小时内桩顶沉降不超过0.1mm,且连续出现两次(从分级荷载施加后第30min开始,按1.5h连续三次每30min的沉降观测值计算)后,可判定试桩在本级荷载作用下已经相对稳定,可施加下一级荷载。
B.0.7 终止加载条件应符合下列规定之一:
1 某级荷载作用下,桩顶沉降量应大于前一级荷载作用下沉降量的5倍;
2 某级荷载作用下,桩顶沉降量应大于前一级荷载作用下沉降量的2倍,且经24h沉降量尚不能达到稳定标准;
3 当荷载达到锚桩抗拔承载力或当工程桩作锚桩时,锚桩上拔量应已达到允许值;
4 当桩端持力层为坚硬土层或风化软岩,且不存在软弱下卧层时,最大加载量应不小于单桩承载力特征值的2倍;
5 荷载-沉降曲线有可判定单桩极限承载力的陡降段,可终止加载;缓变型曲线可加载至桩顶总沉降量大于60mm~80mm;在特殊情况下,可根据具体要求加载至桩顶累计沉降量大于100mm。
B.0.8 卸载时,每级荷载维持1h(按第15min、30min、60min测读桩顶沉降量),即可卸下一级荷载。卸载至零后,应测读桩顶残余沉降量,维持时间3h(测读时间为第15min、30min,以后每隔30min测读一次)。
B.0.9 大直径扩底桩单桩竖向抗压承载力特征值应按下列要求确定:
1 当单桩极限荷载能确定,将单桩极限荷载除以安全系数2,作为单桩竖向抗压承载力特征值;
2 对缓变形荷载-沉降曲线的试桩,取沉降小于等于10mm的荷载作为单桩竖向抗压承载力特征值;结构变形允许时,可适当增加沉降取值,但最大沉降值不得超过15mm。
B.0.10 大直径扩底桩单桩竖向抗压承载力统计特征值的确定应符合下列规定:
1 参加统计的试桩结果,当满足其极差不超过平均值30%时,取其平均值作为单桩竖向抗压承载力特征值。
2 当极差超过平均值的30%时,应分析极差过大的原因,结合工程具体情况综合确定,必要时可增加试桩数量。
3 对多桩的柱下承台,或工程桩抽检数量少于3根时,应取低值。
B.0.11 施工后的工程桩验收检测宜采用慢速维持荷载法。
B.0.12 当需要测试桩侧阻力和端阻力时,可在桩身内埋设量测桩身应力、应变、桩底反力的传感器或位移杆,具体应按现行行业标准《建筑桩基检测技术规范》JGJ 106执行。
附录C大直径钻孔扩底灌注桩超声波成孔检测方法
附录C 大直径钻孔扩底灌注桩超声波成孔检测方法
C.0.1 本方法适用于泥浆护壁大直径钻孔扩底桩孔的垂直度、孔径检测。
C.0.2 被检测的大直径钻孔扩底桩的孔径不应大于5.0m。
C.0.3 超声波检测时,孔内泥浆性能应符合表C. 0.3的规定。

C.0.4 检测中应采取有效手段,保证检测信号清晰有效。
C.0.5 检测中探头升降速度不宜大于10m/min。
C.0.6 超声波法检测仪器设备应符合下列规定:
1 孔径检测精度不应低于0.2%;
2 孔深度检测精度不应低于0.3%;
3 测量系统应为超声波脉冲系统;
4 超声波工作频率应满足检测精度要求;
5 脉冲重复频率应满足检测精度要求;
6 检测通道应至少为两通道;
7 记录方式应为模拟式或数字式;
8 应具有自校功能。
C.0.7 超声波法检测仪器进入现场前应利用自校程序进行自校,每孔测试前利用护筒直径的作为标准距离标定仪器系统。标定应至少进行2次。
C.0.8 标定完成后应及时锁定标定旋钮,在同一孔的检测进程中不得变动。
C.0.9 超声波法成孔检测,应在钻孔清孔完毕、孔中泥浆气泡基本消散后进行。
C.0.10 仪器探头宜对准护筒中心。
C.0.11 检测宜自孔口至孔底或自孔底至孔口连续进行。
C.0.12 应正交x-x′、y-y′两方向检测,直径大于4.0m的桩孔、试成孔及静载试桩孔应增加检测方位。
C.0.13 应标明检测剖面x-x′、y-y′,等走向与实际方位的关系。
C.0.14 成孔后经检测满足规定的要求,应立即灌注混凝土;如隔置时间长,应在成孔后每小时内等间隔检测不宜少于3次,每次应定向检测。
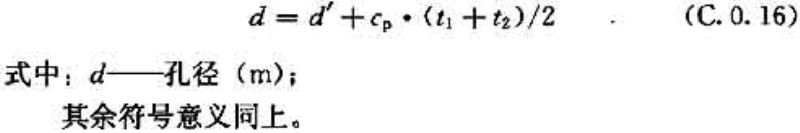
C.0.15 超声波在泥浆介质中传播速度可按下式计算:

C.0.16 孔径d可按下式计算:

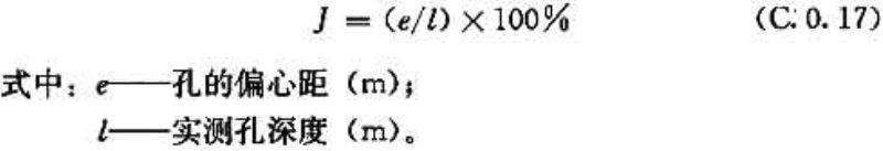
C.0.17 孔径的垂直度J可按下式计算:

C.0.18 现场检测记录图应符合下列规定:
1 应有明显的刻度标记,能准确显示任何深度截面的孔径及孔壁的形状;
2 应标记检测时间、设计孔径、检测方向及孔底深度。
附录D大直径钻孔扩底灌注桩伞形孔径仪孔径检测方法
附录D 大直径钻孔扩底灌注桩伞形孔径仪孔径检测方法
D.0.1 钻孔扩底桩成孔孔径检测,应在钻孔、清孔完毕后进行。
D.0.2 伞形孔径仪必须是具有计量器具生产许可证的厂家生产的合格产品。现场检测前应按照本规程附录E的要求标定。伞形孔径仪标定后的恒定电流源电流、量程、仪器常数及起始孔径在检测过程中不得变动。
D.0.3 伞形孔径仪应符合下列规定:
1 被测孔径小于1.2m时,孔径检测误差应为±15mm,被测孔径大于等于1.2m时,孔径检测误差应为±25mm;
2 孔深检测精度不低于0.3%;
3 探头绝缘性能不小于100MΩ/500V,在潮湿情况下不小于2MΩ/500V;
4 应在-10~+40°C温度范围内正常工作,并具备检测工作必需的防尘、防潮、防振等功能。
D.0.4 检测前应校正好自动记录仪的走纸与孔口滑轮的同步关系。
D.0.5 检测前应将深度起算面与钻孔钻进深度起算面对齐,以此计算孔深。
D.0.6 孔径检测应自孔底向孔口连续进行。
D.0.7 检测中探头应匀速上提,提升速度应不大于10m/min。孔径变化较大处,应降低探头提升速度。
D.0.8 检测结束时,应根据孔口护简直径的检测结果,再次标定仪器的测量误差,必要时应重新标定后再次检测。
D.0.9 孔径记录图应符合下列规定:
1 应有清晰的孔径、深度刻度标记,能准确显示任意深度截面的孔径;
2 应有设计孔径基准线、基准零线及同步记录深度标记;
3 记录图纵横比例尺,应根据设计孔径及孔深合理设定,并应满足分析精度需要。
D.0.10 桩端扩大端孔径及桩身孔径可按下式计算:

附录E伞形孔径仪标定方法
附录E 伞形孔径仪标定方法
E.0.1 伞形孔径仪的标定应在专用标定架上进行。标定架应定期送交国家法定计量检测机构检定合格。
E.0.2 标定架刻度误差应为±1mm。
E.0.3 伞形孔径仪应按下列步骤进行标定:
1 连孔径仪,打开电源,确认设备工作正常;
2 按从小到大、从大到小的顺序,分别将四条测臂置于标定架不同直径D′的刻度点,记录仪器每次测量值d;
3 将各次的直径-测量值数据组,按最小二乘法拟合出D′-d的线性方程:
d=D 0 +k×D′ (E.0.3)
式中:k —— 斜率(仪器常数);
D 0 —— 截距(起始孔径)。
4 将方程求出的仪器常数及起始孔径输入记录仪;
5 将测臂置于标定架不同直径刻度点3次,分别记录各次仪器测量值;
6 将上述3次标准直径分别代入线性方程,计算出方程的测量值;
7 对应不同标准直径,比较方程测量值与仪器测量值的
E.0.4 根据上述标定的结果,若仪器测量值与方程测量值之差满足规范精度要求,表明仪器正常,可以进行检测。否则需重新标定确定仪器常数及起始孔径,若精度仍不满足要求,仪器必须返厂维修。
本规程用词说明
本规程用词说明
1 为便于在执行本规程条文时区别对待,对要求严格程度不同的用词说明如下:
1)表示很严格,非这样做不可的:
正面词采用“必须”,反面词采用“严禁”;
2)表示严格,在正常情况下均应这样做的:
正面词采用“应”,反面词采用“不应”或“不得”;
3)表示允许稍有选择,在条件许可时首先应这样做的:
正面词采用“宜”,反面词采用“不宜”;
4)表示有选择,在一定条件下可以这样做的,采用“可”。
2 条文中指明应按其他有关标准执行的写法为: “应符合……的规定”或“应按……执行”。
引用标准名录
引用标准名录
1 《建筑地基基础设计规范》GB 50007
2 《混凝土结构设计规范》GB 50010
3 《建筑抗震设计规范》GB 50011
4 《岩土工程勘察规范》GB 50021
5 《工业建筑防腐蚀设计规范》GB 50046
6 《建筑地基基础工程施工质量验收规范》GB 50202
7 《混凝土结构工程施工质量验收规范》GB 50204
8 《工程岩体分级标准》GB 50218
9 《工程岩体试验方法标准》GB/T 50266
10 《钢筋焊接及验收规程》JGJ 18
11 《建筑机械使用安全技术规程》JGJ 33
12 《施工现场临时用电安全技术规范》JGJ 46
13 《建筑桩基技术规范》JGJ 94
14 《建筑基桩检测技术规范》JGJ 106
15 《钢筋机械连接技术规程》JGJ 107
16 《港口工程混凝土结构设计规范》JTJ 267
