Appearance
《建筑施工工具式脚手架安全技术规范[附条文说明]》JGJ 202-2010
🗓️ 住房和城乡建设部 实施时间:2010-09-01
前言
中华人民共和国行业标准
建筑施工工具式脚手架安全技术规范
Technical code for safety of implementation scaffold practice in construction
JGJ 202-2010
批准部门:中华人民共和国住房和城乡建设部
施行日期:2 0 1 0 年 9 月 1 日
中华人民共和国住房和城乡建设部公告
第531号
关于发布行业标准《建筑施工工具式脚手架安全技术规范》的公告
现批准《建筑施工工具式脚手架安全技术规范》为行业标准,编号为JGJ 202-2010,自2010年9月1日起实施。其中,第4.4.2、4.4.5、4.4.10、4.5.1、4.5.3、5.2.11、5.4.7、5.4.10、5.4.13、5.5.8、6.3.1、6.3.4、6.5.1、6.5.7、6.5.10、6.5.11、7.0.1、7.0.3、8.2.1条为强制性条文,必须严格执行。
本规范由我部标准定额研究所组织中国建筑工业出版社出版发行。
中华人民共和国住房和城乡建设部
2010年3月31日
前言
根据原城乡建设环境保护部《1986年度工程建设城建、建工行业标准制订、修订计划》([86]城科字第263号)的要求,规范编制组经广泛调查研究,认真总结实践经验,参考有关国际标准和国外先进标准,并在广泛征求意见的基础上,制定本规范。
本规范主要内容是:1.总则;2.术语和符号;3.构配件性能;4.附着式升降脚手架;5.高处作业吊篮;6.外挂防护架;7.管理;8.验收。
本规范中以黑体字标志的条文为强制性条文,必须严格执行。
本规范由住房和城乡建设部负责管理和对强制性条文的解释,由中国建筑业协会建筑安全分会负责具体技术内容的解释。执行过程中如有意见和建议,请寄送中国建筑业协会建筑安全分会(地址:北京市三里河路9号建设部内,邮政编码:100835)。
本规范主编单位: 中国建筑业协会建筑安全分会
本规范参编单位: 北京市住房和城乡建设委员会
北京建工集团有限责任公司
沈阳建筑大学
上海市建设机械检测中心
山东省建筑施工安全监督站
成都市建设工程施工安全监督站
河南省建设安全监督总站
北京建工一建工程建设有限公司
北京市第五建筑工程有限公司
北京市建筑工程研究院
深圳市特辰科技有限公司
北京星河人施工技术有限责任公司
西安翔云工程新技术有限责任公司
重庆建工第三建设有限责任公司
无锡申欧工程设备有限公司
北京韬盛科技发展有限公司
本规范主要起草人员: 秦春芳 张镇华 魏忠泽 胡裕新 毕建伟 沈海晏 黄书凯 姚康华 马千里 李印 张佳 陈卫东 严训 郝海涛 唐伟 孙宗辅 张显来 李宗亮 张广宇 孙京燕 胡鹏 魏鹏 汤坤林 杜科 牛福增 熊琰 魏铁山 钟建都 姜传库 白继东 刘永峰 熊渝兴 魏吉祥 杨崇俭 吴仁山 吴杰 余胜国 杨爱华 尹正富 周光辉
本规范主要审查人员: 郭正兴 耿洁明 陶为农 刘群 倪富生 张有闻 张志诚 姚晓东 熊耀莹 高秋利
1 总则
1 总则
1.0.1 为贯彻执行国家“安全第一、预防为主、综合治理”的安全生产方针,确保施工人员在使用工具式脚手架施工过程中的安全,依据国家现行有关安全生产的法律、法规,制定本规范。
条文说明
1.0.1 在我国《中华人民共和国建筑法》、《安全生产法》中都明确规定我国安全生产的方针为“安全第一、预防为主”,十六大以后补充为“安全第一、预防为主、综合治理”。编制本规范的目的是为了贯彻“安全第一,预防为主、综合治理”的方针,确保采用工具式脚手架施工时,施工人员及国家财产的安全。
1.0.2 本规范适用于建筑施工中使用的工具式脚手架,包括附着式升降脚手架、高处作业吊篮、外挂防护架的设计、制作、安装、拆除、使用及安全管理。
条文说明
1.0.2 本规范适用于手动、电动和液压三种升降类型的附着式升降脚手架;也适用于简易和智能系统操作的单跨(也有称单片)、整体两类提升的架体;还适用于高处作业吊篮、外挂防护架的设计与施工。
1.0.3 工具式脚手架的设计、制作、安装、拆除、使用及安全管理除应符合本规范外,尚应符合国家现行有关标准的规定。
条文说明
1.0.3 工具式脚手架的设计、构造、安装、拆除、使用及管理牵涉面广,不仅有原材料如钢管、钢丝绳等,尚有半成品、成品如扣件、焊条等,也与其他施工技术和质量评定方面的标准密切相关。因此,凡本规范有规定者,应遵照执行;本规范无规定者,尚应按照国家有关现行标准的规定执行。
2 术语和符号
2.1 术语
2 术语和符号
条文说明
本章所用的术语和符号是参照我国现行国家标准《工程结构设计基本术语和通用符号》GBJ132的规定编写的,并根据需要增加了一些内容。
2.1 术语
条文说明
本章给出了本规范有关章节中引用的31个术语。本规范的术语是从工具式脚手架的设计与施工的角度赋予其涵义的,但涵义不一定是术语的严密定义。同时还给出了相应的推荐性英文术语,该英文术语不一定是国际上通用的标准术语,仅供参考。
2.1.1 工具式脚手架 implementation scaffold
为操作人员搭设或设立的作业场所或平台,其主要架体构件为工厂制作的专用的钢结构产品,在现场按特定的程序组装后,附着在建筑物上自行或利用机械设备,沿建筑物可整体或部分升降的脚手架。
2.1.2 附着式升降脚手架 attached lift scaffold
搭设一定高度并附着于工程结构上,依靠自身的升降设备和装置,可随工程结构逐层爬升或下降,具有防倾覆、防坠落装置的外脚手架。
2.1.3 整体式附着升降脚手架 attached lift scaffold as whole
有三个以上提升装置的连跨升降的附着式升降脚手架。
2.1.4 单跨式附着升降脚手架 attached lift single-span scaffold
仅有两个提升装置并独自升降的附着升降脚手架。
2.1.5 附着支承结构 attached supporting structure
直接附着在工程结构上,并与竖向主框架相连接,承受并传递脚手架荷载的支承结构。
2.1.6 架体结构 structure of the scaffold body
附着式升降脚手架的组成结构,一般由竖向主框架、水平支承桁架和架体构架等3部分组成。
2.1.7 竖向主框架 vertical main frame
附着式升降脚手架架体结构主要组成部分,垂直于建筑物外立面,并与附着支承结构连接。主要承受和传递竖向和水平荷载的竖向框架。
2.1.8 水平支承桁架 horizontal supporting truss
附着式升降脚手架架体结构的组成部分,主要承受架体竖向荷载,并将竖向荷载传递至竖向主框架的水平支承结构。
2.1.9 架体构架 structure of scaffold body
采用钢管杆件搭设的位于相邻两竖向主框架之间和水平支承桁架之上的架体,是附着式升降脚手架架体结构的组成部分,也是操作人员作业场所。
2.1.10 架体高度 height of scaffold body
架体最底层杆件轴线至架体最上层横杆(即护栏)轴线间的距离。
2.1.11 架体宽度 width of scaffold body
架体内、外排立杆轴线之间的水平距离。
2.1.12 架体支承跨度 supported span of the scaffold body
两相邻竖向主框架中心轴线之间的距离。
2.1.13 悬臂高度 cantilever height
架体的附着支承结构中最高一个支承点以上的架体高度。
2.1.14 悬挑长度 overhang length
指架体水平方向悬挑长度,即架体竖向主框架中心轴线至架体端部立面之间的水平距离。
2.1.15 防倾覆装置 prevent overturn equipment
防止架体在升降和使用过程中发生倾覆的装置。
2.1.16 防坠落装置 prevent falling equipment
架体在升降或使用过程中发生意外坠落时的制动装置。
2.1.17 升降机构 lift mechanism
控制架体升降运行的动力机构,有电动和液压两种。
2.1.18 荷载控制系统 loading control system
能够反映、控制升降机构在工作中所承受荷载的装置系统。
2.1.19 悬臂梁 cantilever beam
一端固定在附墙支座上,悬挂升降设备或防坠落装置的悬挑钢梁,又称悬吊梁。
2.1.20 导轨 slideway
附着在附墙支承结构或者附着在竖向主框架上,引导脚手架上升和下降的轨道。
2.1.21 同步控制装置 synchro control equipment
在架体升降中控制各升降点的升降速度,使各升降点的荷载或高差在设计范围内,即控制各点相对垂直位移的装置。
2.1.22 高处作业吊篮 high altitude work nacelle
悬挑机构架设于建筑物或构筑物上,利用提升机构驱动悬吊平台,通过钢丝绳沿建筑物或构筑物立面上下运行的施工设施,也是为操作人员设置的作业平台。
2.1.23 电动吊篮 electrical nacelle
使用电动提升机驱动的吊篮设备。
2.1.24 吊篮平台 platform of nacelle
四周装有防护栏杆及挡脚板,用于搭载施工人员、物料、工具进行高处作业的平台装置。
2.1.25 悬挂机构 equipment for hanging
安装在建筑物屋面、楼面,通过悬挑钢梁悬挂吊篮的装置。由钢梁、支架、平衡铁等部件组成。
2.1.26 提升机 elevator
安装在吊篮平台上,并使吊篮平台沿钢丝绳上下运行的装置。
2.1.27 安全锁扣 safety buckle
与安全带和安全绳配套使用的,防止人员坠落的单向自动锁紧的防护用具。
2.1.28 行程限位器 stroke limitator
对吊篮平台向上运行距离和位置起限定作用的装置,由行程开关和限位挡板组成。
2.1.29 外挂防护架 outside hanging protective frame
用于建筑主体施工时临边防护而分片设置的外防护架。每片防护架由架体、两套钢结构构件及预埋件组成。架体为钢管扣件式单排架,通过扣件与钢结构构件连接,钢结构构件与设置在建筑物上的预埋件连接,将防护架的自重及使用荷载传递到建筑物上。在使用过程中,利用起重设备为提升动力,每次向上提升一层并固定,建筑主体施工完毕后,用起重设备将防护架吊至地面并拆除。适用于层高4m以下的建筑主体施工。
2.1.30 水平防护层 level protecting floor
防护架内起防护作用的铺板层或水平网。
2.1.31 钢结构构件 steel component
支承防护架的主要构件,由钢结构竖向桁架、三角臂、连墙件组成。竖向桁架与架体连接,承受架体自重和使用荷载。三角臂支承竖向桁架,通过与建筑物上预埋件的临时固定连接,将竖向桁架、架体自重及使用荷载传递到建筑物上。连墙件一端与竖向桁架连接,另一端临时固定在建筑物的预埋件上,起防止防护架倾覆的作用。预埋件由圆钢制作,预先埋设在建筑结构中,用于临时固定三角臂和连墙件。
2.2 符号
2.2 符号
条文说明
本章给出了本规范有关章节中引用的61个符号,并分别作出了定义。
2.2.1 作用和作用效应:
G D ——悬挂横梁自重;
G k ——永久荷载(即恒载)标准值;
M max ——最大弯矩设计值;
N——拉杆或压杆最大轴力设计值;
N D ——建筑结构的楼板所受吊篮悬挂机构前支架的压力;
P H ——活塞杆设计推力;
P k ——跨中集中荷载标准值;
p Y ——液压油缸内的工作压力;
q k ——均布线荷载标准值;
q′ k ——施工活荷载标准值;
Q 1 ——钢丝绳所受竖向分力(标准值);
Q 2 ——风荷载作用于吊篮的水平力(标准值);
Q D ——吊篮钢丝绳所受拉力,应考虑吊篮的荷载组合;
Q k ——可变荷载(即活载)标准值;
R——结构构件抗力的设计值;
S——荷载效应组合的设计值;
S Gk ——恒荷载效应的标准值;
S max ——钢丝绳承受的最大静拉力;
S Qk ——活荷载效应的标准值;
S 绳 ——钢丝绳破断拉力;
T——支承悬挂机构后支架的结构所承受集中荷载;
ω k ——风荷载标准值;
ω 0 ——基本风压值。
2.2.2 计算指标:
E——钢木弹性模量;
f——钢材的抗拉、抗压和抗弯强度设计值;
f v ——钢材的抗剪强度设计值;
f b t ——螺栓抗拉强度设计值;
f b v ——螺栓抗剪强度设计值;
σ——正应力。
2.2.3 计算系数:
L——受弯杆件计算跨度;
L 0 ——钢立杆计算跨度;
u——钢立杆计算长度系数;
β b 一螺栓孔混凝土受荷计算系数;
β l ——混凝土局部承压强度提高系数;
β z ——高度z处的风振系数;
ф——挡风系数;
γ G ——恒荷载分项系数;
γ Q ——活荷载分项系数;
γ 1 ——附加安全系数;
γ 2 ——附加荷载不均匀系数;
γ 3 ——冲击系数;
φ——轴心受压构件的稳定系数;
μ z ——风压高度变化系数;
μ s ——脚手架风荷载体型系数。
2.2.4 几何参数:
A——杆的截面面积;
A n ——净截面面积;
D——活塞杆直径;
D 螺 ——螺杆直径;
h——前支架从悬挂机构横梁升起的高度,为悬挂机构横梁上皮至前后斜拉杆支点的竖向距离;
i——回转半径;
I——毛截面惯性矩;
L a ——立杆纵距;
L 1 ——悬挂机构横梁上,吊篮吊点至前支架长度;
L 2 ——悬挂机构横梁上,前支架至后支架平衡重长度;
L b ——立杆横距;
t——钢管壁厚;
υ——挠度计算值;
[υ]——容许挠度值;
W——受弯构件截面抵抗矩;
W n ——构件的净截面抵抗矩;
λ——长细比;
[λ]——容许长细比。
3 构配件性能
3 构配件性能
3.0.1 附着式升降脚手架和外挂防护架架体用的钢管,应采用现行国家标准《直缝电焊钢管》GB/T 13793和《低压流体输送用焊接钢管》GB/T 3091中的Q235号普通钢管,应符合现行国家标准《焊接钢管尺寸及单位长度重量》GB/T 21835的规定,其钢材质量应符合现行国家标准《碳素结构钢》GB/T 700中Q235-A级钢的规定,且应满足下列规定:
1 钢管应采用ф48.3×3.6mm的规格;
2 钢管应具有产品质量合格证和符合现行国家标准《金属材料 室温拉伸试验方法》GB/T 228有关规定的检验报告;
3 钢管应平直,其弯曲度不得大于管长的1/500,两端端面应平整,不得有斜口,有裂缝、表面分层硬伤、压扁,硬弯、深划痕、毛刺和结疤等不得使用;
4 钢管表面的锈蚀深度不得超过0.25mm;
5 钢管在使用前应涂刷防锈漆。
条文说明
3.0.1 本条着重提出了附着式升降脚手架和外挂防护架架体用的钢管的材质性能规定。 试验表明,脚手架的承载能力由稳定条件控制,失稳时的临界应力一般低于100N/mm2,采用高强度钢材并不能充分发挥其强度,故本规范采用现行国家标准《碳素结构钢》GB/T 700中Q 235-A级钢,比较经济合理;实际应用中,其材质性能不得低于此标准。 从通用性考虑,本规范采用符合现行国家标准《焊接钢管尺寸及单位长度重量》GB/T 21835的ф48.3×3.6mm的钢管。 本条规定了钢管应具备的形状与表面质量,有利于确保钢管的质量。 从经济角度考虑,本规范说明可采用旧钢管,但是必须符合本规范的相应规定。
3.0.2 工具式脚手架主要的构配件应包括:水平支承桁架、竖向主框架、附墙支座、悬臂梁、钢拉杆、竖向桁架、三角臂等。当使用型钢、钢板和圆钢制作时,其材质应符合现行国家标准《碳素结构钢》GB/T 700中Q235-A级钢的规定。
条文说明
3.0.2 本条规定了工具式脚手架主要构配件的材质要求,即不低于现行国家标准《碳素结构钢》GB/T 700中Q 235-A级钢的规定。
3.0.3 当室外温度大于或等于-20℃时,宜采用Q235钢和Q345钢。承重桁架或承受冲击荷载作用的结构,应具有0℃冲击韧性的合格保证。当冬季室外温度低于-20℃时,尚应具有-20℃冲击韧性的合格保证。
条文说明
3.0.3 本条为钢材选用中的温度界限,考虑了钢材的抗脆断性能,是我国实践经验的总结。
3.0.4 钢管脚手架的连接扣件应符合现行国家标准《钢管脚手架扣件》GB 15831的规定。在螺栓拧紧的扭力矩达到65N·m时,不得发生破坏。
条文说明
3.0.4 本条是对连接扣件的规定,旨在确保连接扣件的质量。
3.0.5 架体结构的连接材料应符合下列规定:
1 手工焊接所采用的焊条,应符合现行国家标准《碳钢焊条》GB/T 5117或《低合金钢焊条》GB/T 5118的规定,焊条型号应与结构主体金属力学性能相适应,对于承受动力荷载或振动荷载的桁架结构宜采用低氢型焊条;
2 自动焊接或半自动焊接采用的焊丝和焊剂,应与结构主体金属力学性能相适应,并应符合国家现行有关标准的规定;
3 普通螺栓应符合现行国家标准《六角头螺栓C级》GB/T 5780和《六角头螺栓》GB/T 5782的规定;
4 锚栓可采用现行国家标准《碳素结构钢》GB/T 700中规定的Q235钢或《低合金高强度结构钢》GB/T 1591中规定的Q345钢制成。
条文说明
3.0.5 本条是对架体结构的连接材料要求。 手工焊接时焊条型号中关于药皮类型的确定,应按结构的受力情况和重要性区别对待。 自动焊或半自动焊所采用的焊丝和焊剂应符合设计对焊缝金属力学性能的要求。按现行国家标准来选择焊丝和焊剂。 对架体上使用的螺栓和锚栓的性能和规格作了规定。
3.0.6 脚手板可采用钢、木、竹材料制作,其材质应符合下列规定:
1 冲压钢板和钢板网脚手板,其材质应符合现行国家标准《碳素结构钢》GB/T 700中Q235A级钢的规定。新脚手板应有产品质量合格证;板面挠曲不得大于12mm和任一角翘起不得大于5mm;不得有裂纹、开焊和硬弯。使用前应涂刷防锈漆。钢板网脚手板的网孔内切圆直径应小于25mm。
2 竹脚手板包括竹胶合板、竹笆板和竹串片脚手板。可采用毛竹或楠竹制成;竹胶合板、竹笆板宽度不得小于600mm,竹胶合板厚度不得小于8mm,竹笆板厚度不得小于6mm,竹串片脚手板厚度不得小于50mm;不得使用腐朽、发霉的竹脚手板。
3 木脚手板应采用杉木或松木制作,其材质应符合现行国家标准《木结构设计规范》GB 50005中Ⅱ级材质的规定。板宽度不得小于200mm,厚度不得小于50mm,两端应用直径为4mm镀锌钢丝各绑扎两道。
4 胶合板脚手板,应选用现行国家标准《胶合板 第3部分:普通胶合板通用技术条件》GB/T 9846.3中的Ⅱ类普通耐水胶合板,厚度不得小于18mm,底部木方间距不得大于400mm,木方与脚手架杆件应用钢丝绑扎牢固,胶合板脚手板与木方应用钉子钉牢。
条文说明
3.0.6 本条是对脚手板材料选用的界限及质量要求。以确保脚手板方便使用、经济合理、安全可靠。
3.0.7 高处作业吊篮产品应符合现行国家标准《高处作业吊篮》GB 19155等国家标准的规定,并应有完整的图纸资料和工艺文件。
3.0.8 高处作业吊篮的生产单位应具备必要的机械加工设备、技术力量及提升机、安全锁、电器柜和吊篮整机的检验能力。
3.0.9 与吊篮产品配套的钢丝绳、索具、电缆、安全绳等均应符合现行国家标准《一般用途钢丝绳》GB/T 20118、《重要用途钢丝绳》GB 8918、《钢丝绳用普通套环》GB/T 5974.1、《压铸锌合金》GB/T 13818、《钢丝绳夹》GB/T 5976的规定。
3.0.10 高处作业吊篮用的提升机、安全锁应有独立标牌,并应标明产品型号、技术参数、出厂编号、出厂日期、标定期、制造单位。
3.0.11 高处作业吊篮应附有产品合格证和使用说明书,应详细描述安装方法、作业注意事项。
3.0.12 高处作业吊篮连接件和紧固件应符合下列规定:
1 当结构件采用螺栓连接时,螺栓应符合产品说明书的要求;当采用高强度螺栓连接时,其连接表面应清除灰尘、油漆、油迹和锈蚀,应使用力矩扳手或专用工具,并应按设计、装配技术要求拧紧;
2 当结构件采用销轴连接方式时,应使用生产厂家提供的产品。销轴规格必须符合原设计要求。销轴必须有防止脱落的锁定装置。
3.0.13 安全绳应使用锦纶安全绳,并应符合现行国家标准《安全带》GB 6095的要求。
条文说明
3.0.7~3.0.13 对高处作业吊篮的构配件作了具体规定,以确保安全使用。
3.0.14 吊篮产品的研发、重大技术改进、改型应提出设计方案,并应有图纸、计算书、工艺文件;提供样机应由法定检验检测机构进行型式检验;产品投产前应进行产品鉴定或验收。
条文说明
3.0.14 高处作业吊篮多用于装修工程,特别是应对建筑节能的要求,而出现的在外墙表面做保温材料以后,在施工现场应用更加广泛,很多施工单位为节省成本,自行用全钢管绑制吊篮,因此,吊篮坠落事故时有发生,此条是为规范这些行为而提出来的。
3.0.15 工具式脚手架的构配件,当出现下列情况之一时,应更换或报废:
1 构配件出现塑性变形的;
2 构配件锈蚀严重,影响承载能力和使用功能的;
3 防坠落装置的组成部件任何一个发生明显变形的;
4 弹簧件使用一个单体工程后;
5 穿墙螺栓在使用一个单体工程后,凡发生变形、磨损、锈蚀的;
6 钢拉杆上端连接板在单项工程完成后,出现变形和裂纹的;
7 电动葫芦链条出现深度超过0.5mm咬伤的。
条文说明
3.0.15 本条从影响构配件承载能力和使用功能的因素方面规定了工具式脚手架构配件的报废标准。
4 附着式升降脚手架
4.1 荷载
4 附着式升降脚手架
4.1 荷载
4.1.1 作用于附着式升降脚手架的荷载可分为永久荷载(即恒载)和可变荷载(即活载)两类。
4.1.2 荷载标准值应符合下列规定:
1 永久荷载标准值(G k )应包括整个架体结构,围护设施、作业层设施以及固定于架体结构上的升降机构和其他设备、装置的自重,应按实际计算;其值也可按现行国家标准《建筑结构荷载规范》GB 50009-2001(2006年版)附录A的规定确定。脚手板自重标准值和栏杆、挡脚板线荷载标准值可分别按表4.1.2-1、表4.1.2-2的规定选用,密目式安全立网应按0.005kN/m 2 选用。


2 可变荷载中的施工活荷载(Q k )应包括施工人员、材料及施工机具,应根据施工具体情况,按使用、升降及坠落三种工况确定控制荷载标准值,设计计算时施工活荷载标准值应按表4.1.2-3的规定选取。
3 风荷载标准值(ω k )应按下式计算:

式中:ω k ——风荷载标准值(kN/m 2 );
μ z ——风压高度变化系数,应按现行国家标准《建筑结构荷载规范》GB 50009的规定采用;
μ s ——脚手架风荷载体型系数,应按表4.1.2-4的规定采用,表中ф为挡风系数,应为脚手架挡风面积与迎风面积之比;密目式安全立网的挡风系数ф应按0.8计算;
ω 0 ——基本风压值,应按现行国家标准《建筑结构荷载规范》GB 50009-2001(2006年版)附表D.4中n=10年的规定采用;工作状态应按本地区的10年风压最大值选用,升降及坠落工况,可取0.25kN/m 2 计算;
β z ——风振系数,一般可取1,也可按实际情况选取。



条文说明
4.1.2 荷载标准值 施工活荷载标准值最小值的取值(表4.1.2-3)在使用情况下按《编制建筑施工脚手架安全技术标准的统一规定》(修订稿)的规定,结构施工时取3.0kN/m2按2层同时作业计算,装修施工取2.0kN/m2,按3层同时作业计算,但是在升降情况下,根据本规范4.7.3条的规定附着升降脚手架操作时严禁操作人员停留在架体上,因此施工活荷载取0.5kN/m2按2层考虑;装修施工每层活荷载取0.5kN/m2按3层同时作业考虑。 坠落工况只是使用和升降情况下发生事故之前的瞬间状况,因此在计算防坠落装置时,应按使用和升降两种状况发生坠落的情况考虑,按表4.1.2-3的“注”中说明昕述,活荷载标准值分两种情况选取。 风荷载标准值ωk按现行国家标准《建筑结构荷载规范》GB 50009的规定计算,由于附着式升降脚手架使用周期一般为一年左右,基本风压值ω0按现行国家标准《建筑结构荷载规范》GB 50009附录表D.4取n=10的取值,风振系数取βz=1。 密目式安全立网的挡风系数确定为0.8,是根据上海做的风动实验得出的。上海在风动实验中得出挡风系数为0.5,又考虑在施工中安全立网网眼积满灰尘。因此,确定为0.8。
4.1.3 当计算结构或构件的强度、稳定性及连接强度时,应采用荷载设计值(即荷载标准值乘以荷载分项系数);计算变形时,应采用荷载标准值。永久荷载的分项系数(γ G )应采用1.2,当对结构进行倾覆计算而对结构有利时,分项系数应采用0.9。可变荷载的分项系数(γ Q )应采用1.4。风荷载标准值的分项系数(γ Qw )应采用1.4。
条文说明
4.1.3 说明荷载分项系数取值,根据现行结构设计规范来选取。
4.1.4 当采用容许应力法计算时,应采用荷载标准值作为计算依据。
条文说明
4.1.4 说明采用容许应力法计算时的荷载取值。
4.1.5 附着式升降脚手架应按最不利荷载组合进行计算,其荷载效应组合应按表4.1.5的规定采用,荷载效应组合设计值(S)应按式(4.1.5-1)、式(4.1.5-2)计算:


不考虑风荷载

考虑风荷载

式中:S——荷载效应组合设计值(kN);
γ G ——恒荷载分项系数,取1.2;
γ Q ——活荷载分项系数,取1.4;
S Gk ——恒荷载效应的标准值(kN);
S Qk ——活荷载效应的标准值(kN);
S wk ——风荷载效应的标准值(kN)。
条文说明
4.1.5~4.1.8 荷载效应组合及附加安全系数 计算结构极限状态的承载能力,其荷载基本组合按《建筑结构荷载规范》GB 50009中的第3.2.5条规定选取,可变荷载效应控制的组合按本规范式(4.1.5-1)、式(4.1.5-2)计算组合值中取最不利的去验算。 附加安全系数,γ1=1.43的推导如下: 本规范采用“概率极限状态设计法”,并要求结构安全度同以往容许应力方法中采用的安全系数K相符合,即K值应达到:计算强度时K1≥1.5,计算稳定时K2≥2。因此结构抗力调整系数rR可按承载能力极限状态设计表达式求得: 对轴心受压杆 不组合风荷载时: 
式中:
;
rm
——钢管的抗力分项系数,r m =1.165;
r′ R ——不组合风荷载时的结构抗力调整系数。
当η=2~3时,可以计算出γ 1 =1.43~1.41。为方便计算,并稍偏于安全,统一取为常数,γ 1 =1.43。由于水平支承桁架与主框架的节点往往在构造上不能达到理想的铰接,因此主框架、附着支承结构、动力设备、吊具等在正常使用情况下应乘以荷载不均匀系数γ 2 = 1.3;在升降工况下(包括升降工况时坠落瞬间),由于不能完全同步升降,有一定的同步差,应乘以不均匀系数γ2=2,坠落的瞬间不取荷载不均匀系数,而取冲击系数γ3=2。
冲击系数是根据在施工现场对附着式升降脚手架做了多次防坠落实验而得到的。在防坠落实验中大部分数据为1.83、1.82、1.9、1.5等,而取综合2。
4.1.6 水平支承桁架应选用使用工况中的最大跨度进行计算,其上部的扣件式钢管脚手架计算立杆稳定时,其设计荷载值应乘以附加安全系数γ 1 =1.43。
4.1.7 附着式升降脚手架使用的升降动力设备、吊具、索具、主框架在使用工况条件下,其设计荷载值应乘以附加荷载不均匀系数γ 2 =1.3;在升降、坠落工况时,其设计荷载值应乘以附加荷载不均匀系数γ 2 =2.0。
4.1.8 计算附墙支座时,应按使用工况进行,选取其中承受荷载最大处的支座进行计算,其设计荷载值应乘以冲击系数γ 3 =2.0。
4.2 设计计算基本规定
4.2 设计计算基本规定
4.2.1 附着式升降脚手架的设计应符合现行国家标准《钢结构设计规范》GB 50017、《冷弯薄壁型钢结构技术规范》GB 50018、《混凝土结构设计规范》GB 50010以及其他相关标准的规定。
条文说明
4.2.1 此条规定了附着式升降脚手架的设计应符合国家有关现行标准的规定,其中《编制建筑施工脚手架安全技术标准的统一规定》(修订稿)主要是针对脚手架的特点,对脚手架计算的重要性系数、结构强度与压杆稳定计算的安全系数,以及风荷载的计算作出了一些补充规定。
4.2.2 附着式升降脚手架架体结构、附着支承结构、防倾装置、防坠装置的承载能力应按概率极限状态设计法的要求采用分项系数设计表达式进行设计,并应进行下列设计计算:
1 竖向主框架构件强度和压杆的稳定计算;
2 水平支承桁架构件的强度和压杆的稳定计算;
3 脚手架架体构架构件的强度和压杆稳定计算;
4 附着支承结构构件的强度和压杆稳定计算;
5 附着支承结构穿墙螺栓以及螺栓孔处混凝土局部承压计算;
6 连接节点计算。
条文说明
4.2.2 本条明确规定了架体结构承载能力设计计算方法和必须计算的项目。
4.2.3 竖向主框架、水平支承桁架、架体构架应根据正常使用极限状态的要求验算变形。
条文说明
4.2.3 架体结构构件变形过大会影响脚手架正常安全使用,因此规定要进行变形验收。
4.2.4 附着升降脚手架的索具、吊具应按有关机械设计的规定,按容许应力法进行设计。同时还应符合下列规定:
1 荷载值应小于升降动力设备的额定值;
2 吊具安全系数K应取5;
3 钢丝绳索具安全系数K=6~8,当建筑物层高3m(含)以下时应取6,3m以上时应取8。
条文说明
4.2.4 钢丝绳等吊具以及升降动力设备的承载能力计算应根据有关机械设计计算方法进行,同时考虑建筑物层高的影响,比如楼层高为3m时,架体总高度不超过15m;当楼层高为5m时,架体总高度可达到23m左右。考虑到架体总高变化与楼层高度的影响较大,因此层高较大时钢丝绳的安全系数应适当提高。
4.2.5 脚手架结构构件的容许长细比[λ]应符合下列规定:
1 竖向主框架压杆:[λ]≤150
2 脚手架立杆:[λ]≤210
3 横向斜撑杆:[λ]≤250
4 竖向主框架拉杆:[λ]≤300
5 剪刀撑及其他拉杆:[λ]≤350
4.2.6 受弯构件的挠度限值应符合表4.2.6的规定。

条文说明
4.2.5、4.2.6 根据相关的结构设计规范,规定了架体结构构件的长细比及受弯构件的容许变形。
4.2.7 螺栓连接强度设计值应按表4.2.7的规定采用。

4.2.8 扣件承载力设计值应按表4.2.8的规定采用。

4.2.9 钢管截面特性及自重标准值应符合表4.2.9的规定。

条文说明
4.2.7~4.2.9 这些条文对螺栓连接强度、扣件承载力、钢管截面特性等作出相应规定。
4.3 构件、结构计算
4.3 构件、结构计算
4.3.1 受弯构件计算应符合下列规定:
1 抗弯强度应按下式计算:

式中:M max ——最大弯矩设计值(N·m);
f——钢材的抗拉、抗压和抗弯强度设计值(N/mm 2 )
W n ——构件的净截面抵抗矩(mm 3 )。
2 挠度应按下列公式验算:

式中:υ——受弯构件的挠度计算值(mm);
[υ]——受弯构件的容许挠度值(mm);
q k ——均布线荷载标准值(N/mm);
P k ——跨中集中荷载标准值(N);
E——钢材弹性模量(N/mm 2 );
I x ——毛截面惯性矩(mm 4 );
l——计算跨度(m)。
条文说明
4.3.1 受弯构件应进行强度和变形计算,根据钢结构设计规范的规定进行计算。
4.3.2 受拉和受压杆件计算应符合下列规定:
1 中心受拉和受压杆件强度应按下式计算:

式中:N——拉杆或压杆最大轴力设计值(N);
A n ——拉杆或压杆的净截面面积(mm 2 );
f——钢材的抗拉、抗压和抗弯强度设计值(N/mm 2 )。
2 压弯杆件稳定性应满足下式要求:

当有风荷载组合时,水平支承桁架上部的扣件式钢管脚手架立杆的稳定性应符合下式要求:

式中:A——压杆的截面面积(mm 2 );
φ——轴心受压构件的稳定系数,应按本规范附录A表A选取;
M x ——压杆的弯矩设计值(N·m);
W x ——压杆的截面抗弯模量(mm 3 );
f——钢材的抗拉、抗压和抗弯强度设计值(N/mm 2 )。
条文说明
4.3.2 轴心受拉、受压杆件应根据钢结构设计规范进行计算。压杆应进行强度、稳定两项计算。
4.3.3 水平支承桁架设计计算应符合下列规定:
1 水平支承桁架上部脚手架立杆的集中荷载应作用在桁架上弦的节点上。
2 水平支承桁架应构成空间几何不可变体系的稳定结构。
3 水平支承桁架与主框架的连接应设计成铰接并应使水平支承桁架按静定结构计算。
4 水平支承桁架设计计算应包括下列内容:
1)节点荷载设计值;
2)杆件内力设计值;
3)杆件最不利组合内力;
4)最不利杆件强度和压杆稳定性;受弯构件的变形验算;
5)节点板及节点焊缝或连接螺栓的强度。
5 水平支承桁架的外桁架和内桁架应分别计算,其节点荷载应为架体构架的立杆轴力;操作层内外桁架荷载的分配应通过小横杆支座反力求得。
条文说明
4.3.3 附着式升降脚手架架体结构的荷载传递过程如下: 施工荷载→脚手架立杆→水平支承桁架→竖向主框架→附墙支承结构→所附着的工程结构。 水平支承桁架实际是由内外桁架通过上下弦水平支撑杆件组合而成的空间结构。计算时应按内、外两片平面桁架计算,因为脚手架作业时内、外立杆传下的轴力不同,内外两片桁架的荷载就不同,因此应分别计算内外两片桁架的节点荷载。 脚手架的自重内外排有所不同,外排有剪刀撑、挡脚板、防护栏杆、安全网,内排没有,因此脚手架外排自重较大。但是操作层的脚手板及活荷载却是内排较大,因为脚手架与墙面的空隙处,小横杆一般向外挑约300mm,因此操作层内外排立杆的荷载分配,应该通过小横杆的支座反力求得。 
其中q为操作层均布荷载设计值。
4.3.4 竖向主框架设计计算应符合下列规定:
1 竖向主框架应是几何不可变体系的稳定结构,且受力明确;
2 竖向主框架内外立杆的垂直荷载应包括下列内容:
1)内外水平支承桁架传递来的支座反力;
2)操作层纵向水平杆传递给竖向主框架的支座反力。
3 风荷载按每根纵向水平杆挡风面承担的风荷载,传递给主框架节点上的集中荷载计算;
4 竖向主框架设计计算应包括下列内容:
1)节点荷载标准值的计算;
2)分别计算风荷载与垂直荷载作用下,竖向主框架杆件的内力设计值;
3)计算风荷载与垂直荷载组合最不利杆件的内力设计值;
4)最不利杆件强度和压杆稳定性以及受弯构件的变形计算;
5)节点板及节点焊缝或连接螺栓的强度;
6)支座的连墙件强度计算。
条文说明
4.3.4 竖向主框架的计算,其最不利的情况是在使用工况并考虑风荷载的组合时的情况。竖向主框架应设计成桁架,可分单桁架或空间桁架。在主框架所覆盖的每个楼层处都应设置附墙支座,它既是支撑主框架的水平支座,又是架体上的荷载传递到附着建筑物的传力点。
4.3.5 附墙支座设计应符合下列规定:
1 每一楼层处均应设置附墙支座,且每一附墙支座均应能承受该机位范围内的全部荷载的设计值,并应乘以荷载不均匀系数2或冲击系数2;
2 应进行抗弯、抗压、抗剪、焊缝、平面内外稳定性、锚固螺栓计算和变形验算。
条文说明
4.3.5 针对附墙支座的受力特点,提出荷载和结构计算的要求。
4.3.6 附着支承结构穿墙螺栓计算应符合下列规定:
1 穿墙螺栓应同时承受剪力和轴向拉力,其强度应按下列公式计算:

式中:N v 、N t ——一个螺栓所承受的剪力和拉力设计值(N);
N b v 、N b t ——一个螺栓抗剪、抗拉承载能力设计值(N);
D 螺 ——螺杆直径(mm);
f b v ——螺栓抗剪强度设计值,一般采用Q235,取f b v =140N/mm 2 ;
d 0 ——螺栓螺纹处有效截面直径(mm);
f b t ——螺栓抗拉强度设计值,一般采用Q235,取f b t =170N/mm 2 。
4.3.7 穿墙螺栓孔处混凝土受压状况如图4.3.7所示,其承载能力应符合下式要求:


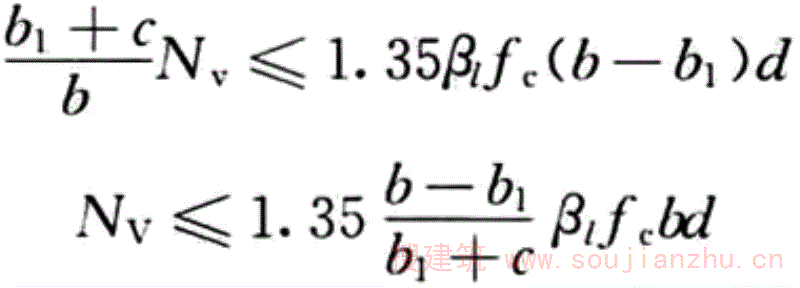
式中: N v ——一个螺栓所承受的剪力设计值(N);
β b ——螺栓孔混凝土受荷计算系数,取0.39;
β l ——混凝土局部承压强度提高系数,取1.73;
f c ——上升时混凝土龄期试块轴心抗压强度设计值(N/mm 2 );
b——混凝土外墙的厚度(mm);
d——穿墙螺栓的直径(mm)。
条文说明
4.3.6、4.3.7 穿墙螺栓的强度是按照现行国家标准《钢结构设计规范》GB 50017的规定进行计算的,螺栓孔壁混凝土承压是根据现行国家标准《混凝土结构设计规范》GB 50010中对局部承压承载力计算公式计算的,根据升降时混凝土螺栓孔壁的局部承压承载力和穿墙螺栓受力的静力平衡原理建立三元一次方程组,求得螺栓对孔壁的局部压力。 
求解结果如下: 
取R2
进行验算:
由R 2 ≤1.35β l f c A m 得

引入螺栓孔混凝土受荷计算系数
综合施工现场多数情况下的计算值,βb在0.39~0.41间,为偏于安全计,取βb=0.39。
4.3.8 导轨(或导向柱)设计应符合下列规定:
1 荷载设计值应根据不同工况分别乘以相应的荷载不均匀系数;
2 应进行抗弯、抗压、抗剪、焊缝、平面内外稳定性、锚固螺栓计算和变形验算。
4.3.9 防坠装置设计应符合下列规定:
1 荷载的设计值应乘以相应的冲击系数,并应在一个机位内分别按升降工况和使用工况的荷载取值进行验算;
2 应依据实际情况分别进行强度和变形验算;
3 防坠装置不得与提升装置设置在同一个附墙支座上。
4.3.10 主框架底座和吊拉杆设计应符合下列规定:
1 荷载设计值应依据主框架传递的反力计算;
2 结构构件应进行强度和稳定性验算,并对连接焊缝及螺栓进行强度计算。
4.3.11 用作升降和防坠的悬臂梁设计应符合下列规定:
1 应按升降和使用工况分别选择荷载设计值,两种情况选取最不利的荷载进行计算,并应乘以冲击系数2,使用工况时应乘以荷载不均匀系数1.3;
2 应进行强度和变形计算;
3 悬挂动力设备或防坠装置的附墙支座应分别计算。
条文说明
4.3.8~4.3.11 针对导轨(或导向柱)、防坠装置、主框架底座、悬臂梁的受力特点,提出荷载和结构计算的要求。
4.3.12 升降动力设备选择应符合下列规定:
1 应按升降工况一个机位范围内的总荷载,并乘以荷载不均匀系数2选取荷载设计值;
2 升降动力设备荷载设计值N s 不得大于其额定值N c 。
条文说明
4.3.12 升降的动力设备,应该按照将整个架体结构提升时的荷载,进行计算。而且还应该考虑在此过程中,如有不同步,还会产生荷载变异,所以应乘以变化系数r2=2。
4.3.13 液压油缸活塞推力应按下列公式计算:

式中:p 1 ——活塞杆的静工作阻力,也即是起重计算时一个液压机位的荷载设计值(kN/cm 2 );
1.2——活塞运动的摩阻力系数;
P H ——活塞杆设计推力(kN);
D——活塞直径(cm);
p Y ——液压油缸内的工作压力(kN/cm 2 )。
条文说明
4.3.13 活塞运动的原阻力包括两部分:一部分是油缸以外运动部件的摩擦阻力;还有一部分是油缸活塞与油缸杆密封处的摩擦力。一般取上述两部分摩阻力之和为(0.1~0.2)p1,为偏于安全取上限0.2p1,因此pY=1.2p1
4.3.14 对位于建筑物凸出或凹进结构处的附着式升降脚手架,应进行专项设计。
条文说明
4.3.14 针对建筑物凸出与凹进部分,附着式脚手架应采取针对性的措施,进行专项设计。
4.4 构造措施
4.4 构造措施
4.4.1 附着式升降脚手架应由竖向主框架、水平支承桁架、架体构架、附着支承结构、防倾装置、防坠装置等组成。
条文说明
4.4.1 本条说明附着式升降脚手架必备的基本构造。
4.4.2 附着式升降脚手架结构构造的尺寸应符合下列规定:
1 架体高度不得大于5倍楼层高;
2 架体宽度不得大于1.2m;
3 直线布置的架体支承跨度不得大于7m,折线或曲线布置的架体,相邻两主框架支撑点处的架体外侧距离不得大于5.4m;
4 架体的水平悬挑长度不得大于2m,且不得大于跨度的1/2;
5 架体全高与支承跨度的乘积不得大于110m 2 。 ( 自2022年10月1日起废止该条, ▶▶ 点击查看: 新规《施工脚手架通用规范》GB 55023-2022 )
条文说明
4.4.2 附着式升降脚手架是将落地式双排外脚手架抬到空中来,附着在在建工程上,自行升降,那么架体的整体性能要好,既要符合不倾斜不坠落的安全的要求,又要满足施工作业的需要,因此,本条规定了附着式升降脚手架结构构造的尺寸。 1 规定了架体的高度,主要考虑了3层未拆除模板层的高度和顶部在施楼层以及其上防护栏杆(1.8m)的防护要求,且同时满足底层模板拆除层外围防护的要求,真正达到安全防护的目的,如果高度不够,则不是顶部没有防护就是底部拆模层没有防护;如果高度过大,架体自重也增加,附着支承结构处现浇混凝土的强度无法满足要求。 2 架体宽度指内外排立杆轴线间的距离;内排立杆距建筑结构不应太大,要考虑减少架体的外倾力矩。 3 支承跨度本规范较以前要求更加严格,是因为支承跨度是设计计算的重要指标,是有效控制升降动力设备提升力超载现象的重要措施。 4 一般情况下,架体的端部荷载最大,如果不严格控制则危险性也最大,因此本条规定作出了更严格的规定。 5 主要考虑由于不同层高建筑使用的附着式升降脚手架高度不同,必须同时控制高度和跨度,确保控制荷载和使用安全。
4.4.3 附着式升降脚手架应在附着支承结构部位设置与架体高度相等的与墙面垂直的定型的竖向主框架,竖向主框架应是桁架或刚架结构,其杆件连接的节点应采用焊接或螺栓连接,并应与水平支承桁架和架体构架构成有足够强度和支撑刚度的空间几何不可变体系的稳定结构。竖向主框架结构构造(图4.4.3)应符合下列规定:
1 竖向主框架可采用整体结构或分段对接式结构。结构形式应为竖向桁架或门型刚架形式等。各杆件的轴线应汇交于节点处,并应采用螺栓或焊接连接,如不交汇于一点,应进行附加弯矩验算;
2 当架体升降采用中心吊时,在悬臂梁行程范围内竖向主框架内侧水平杆去掉部分的断面,应采取可靠的加固措施;
3 主框架内侧应设有导轨;
4 竖向主框架宜采用单片式主框架[图4.4.3(a)];或可采用空间桁架式主框架[图4.4.3(b)]。

条文说明
4.4.3 竖向主框架是附着式升降脚手架重要的承力和稳定构件,架体所有荷载均由其传递给附着支承结构,竖向主框架要求设计为具有足够强度和支撑刚度的空间几何不变体系的稳定结构。 1 从整体承载和支撑的强度、刚度考虑应设计为整体式结构,为便于安装运输也可设计为分段对接式结构。 2 指某些采用中心起吊的架体,在吊装悬挑梁行程范围内主框架及架体纵向水平杆必须断开,断开部位必须进行可靠加固。 3 由于竖向主框架必须通过导轨进行上下运动,进而带动架体升降,某些形式的升降脚手架还可通过导轨传递荷载,故规定主框架内侧应设置导轨,推荐使用导轨与主框架设计为一体结构,其强度、刚度会更高,使用更科学合理。
4.4.4 在竖向主框架的底部应设置水平支承桁架,其宽度应与主框架相同,平行于墙面,其高度不宜小于1.8m。水平支承桁架结构构造应符合下列规定:
1 桁架各杆件的轴线应相交于节点上,并宜采用节点板构造连接,节点板的厚度不得小于6mm;
2 桁架上下弦应采用整根通长杆件或设置刚性接头。腹杆上下弦连接应采用焊接或螺栓连接;
3 桁架与主框架连接处的斜腹杆宜设计成拉杆;
4 架体构架的立杆底端应放置在上弦节点各轴线的交汇处;
5 内外两片水平桁架的上弦和下弦之间应设置水平支撑杆件,各节点应采用焊接或螺栓连接;
6 水平支承桁架的两端与主框架的连接,可采用杆件轴线交汇于一点,且为能活动的铰接点;或可将水平支承桁架放在竖向主框架的底端的桁架底框中。
条文说明
4.4.4 水平支承桁架是作为承载架体荷载并将其传递给主框架的构件。
1~3 是对水平支承桁架构造设计的要求。
4 考虑主要承受由立杆传递的架体竖向荷载,故要求立杆底端必须放置在上弦节点各轴线的交汇处,确保承传力合理有效。
5 内外排水平支承桁架应构成空间稳定结构,以提高其整体性和稳定性。
6 主要考虑架体在升降过程中,出现高差时,水平支承桁架与主框架的连接节点如果刚性过大,两个升降动力设备中有的提升过快或下降过慢时,都会出现高差,存在安全隐患,为减少提升荷载不均匀的影响,所以应设计为能活动的铰接点。
4.4.5 附着支承结构应包括附墙支座、悬臂梁及斜拉杆,其构造应符合下列规定:
1 竖向主框架所覆盖的每个楼层处应设置一道附墙支座;
2 在使用工况时,应将竖向主框架固定于附墙支座上;
3 在升降工况时,附墙支座上应设有防倾、导向的结构装置;
4 附墙支座应采用锚固螺栓与建筑物连接,受拉螺栓的螺母不得少于两个或应采用弹簧垫圈加单螺母,螺杆露出螺母端部的长度不应少于3扣,并不得小于10mm,垫板尺寸应由设计确定,且不得小于100mm×100mm×10mm;
5 附墙支座支承在建筑物上连接处混凝土的强度应按设计要求确定,且不得小于C10。 ( 自2022年10月1日起废止该条, ▶▶ 点击查看: 新规《施工脚手架通用规范》GB 55023-2022 )
条文说明
4.4.5 说明附着支承结构的基本形式、构造和使用要求。这项要求是保证附着式升降脚手架能附着在在建工程上,并沿着支承结构能自行升降的重要措施。只有满足此构造要求,附着式升降脚手架才能在建筑物上生根,才是安全的。
1 附墙支座是承受架体所有荷载并将其传递给在建建筑结构的构件,应于竖向主框架所覆盖的每一楼层处设置一道附墙支座,每一楼层是指已浇灌混凝土且混凝土强度已达到要求的楼层。
2 主要是保证主框架的荷载能直接有效的传递给附墙支座。
3 附墙支座还应具有防倾覆和升降导向的功能。
4 附墙支座与建筑物连接螺栓的使用要求;主要考虑防止受拉端的螺母退出而提出的要求。与混凝土面接触的垫板最小尺寸规定为100mm×100mm×10mm,过小可能会引起预留孔处混凝土的局部破坏。
5 对建筑结构强度的最低要求。
4.4.6 架体构架宜采用扣件式钢管脚手架,其结构构造应符合现行行业标准《建筑施工扣件式钢管脚手架安全技术规范》JGJ 130的规定。架体构架应设置在两竖向主框架之间,并应以纵向水平杆与之相连,其立杆应设置在水平支承桁架的节点上。
条文说明
4.4.6 由于扣件式钢管脚手架有较强的适用性和普遍性,架体构架宜采用,在搭设时应符合现行国家标准《建筑施工扣件式钢管脚手架安全技术规范》JGJ 130的规定。架体荷载是通过架体构架传递给竖向主框架和水平桁架的,所以架体构架必须与主框架和水平桁架可靠、有效连接。
4.4.7 水平支承桁架最底层应设置脚手板,并应铺满铺牢,与建筑物墙面之间也应设置脚手板全封闭,宜设置可翻转的密封翻板。在脚手板的下面应采用安全网兜底。
条文说明
4.4.7 水平桁架最底层作为整个架体的最后防护必须要求脚手板严密,安全网兜底;由于架体是运动的,水平铺设的脚手板与建筑结构之间无法紧贴,故脚手板与结构间应设置可翻转的密封翻板,达到全封闭的要求。
4.4.8 架体悬臂高度不得大于架体高度的2/5,且不得大于6m。
条文说明
4.4.8 架体悬臂高度应含一层再施楼层高度和一道防护栏杆高度,出于架体防倾覆和稳定性考虑,高度不得大于架体高度(H)的2/5和6m。
4.4.9 当水平支承桁架不能连续设置时,局部可采用脚手架杆件进行连接,但其长度不得大于2.0m,且应采取加强措施,确保其强度和刚度不得低于原有的桁架。
条文说明
4.4.9 由于受水平支承桁架模数局限和建筑结构变化多样的影响,很多工程水平桁架不能连续设置,此时可局部采用脚手架杆件连接。
4.4.10 物料平台不得与附着式升降脚手架各部位和各结构构件相连,其荷载应直接传递给建筑工程结构。 ( 自2022年10月1日起废止该条, ▶▶ 点击查看: 新规《施工脚手架通用规范》GB 55023-2022 )
条文说明
4.4.10 物料平台是设置在脚手架外侧的装卸材料的平台,如将它与附着式升降脚手架相连接,就会给附着式升降脚手架造成了一个向外翻的荷载,严重地影响了架体的安全,因此,两者应严格独立使用。
4.4.11 当架体遇到塔吊、施工升降机、物料平台需断开或开洞时,断开处应加设栏杆和封闭,开口处应有可靠的防止人员及物料坠落的措施。
条文说明
4.4.11 在遇到塔吊、施工电梯、物料提升机的附墙支撑和物料平台时架体必须断开或开洞,断开或开洞处应按照临边,洞口的防护要求进行防护。
4.4.12 架体外立面应沿全高连续设置剪刀撑,并应将竖向主框架、水平支承桁架和架体构架连成一体,剪刀撑斜杆水平夹角应为45°~60°;应与所覆盖架体构架上每个主节点的立杆或横向水平杆伸出端扣紧;悬挑端应以竖向主框架为中心成对设置对称斜拉杆,其水平夹角不应小于45°。
条文说明
4.4.12 剪刀撑对附着式升降脚手架架体的整体稳定、防止安全事故的发生起重要的作用。若剪刀撑连接立杆太小,未与竖向主框架、水平支承桁架和架体连成一体,则纵向支撑刚度较差,故对剪刀撑跨度和水平夹角作了规定。
4.4.13 架体结构应在以下部位采取可靠的加强构造措施:
1 与附墙支座的连接处;
2 架体上提升机构的设置处;
3 架体上防坠、防倾装置的设置处;
4 架体吊拉点设置处;
5 架体平面的转角处;
6 架体因碰到塔吊、施工升降机、物料平台等设施而需要断开或开洞处;
7 其他有加强要求的部位。
条文说明
4.4.13 附着式升降脚手架架体结构在与附墙支座的连接处、架体上提升机构的设置处、架体上防坠及防倾装置的设置处、架体吊拉点设置处,因承受架体集中荷载较大,容易变形或损坏,因此本条规定在这些位置应设计有加强构造措施;另外在架体平面的转角处、架体因碰到塔吊、施工升降机、物料平台等设施而需要断开或开洞处等,因架体断开变成悬挑,亦规定应采取加强措施,如斜拉、斜撑等。
4.4.14 附着式升降脚手架的安全防护措施应符合下列规定:
1 架体外侧应采用密目式安全立网全封闭,密目式安全立网的网目密度不应低于2000目/100cm 2 ,且应可靠地固定在架体上;
2 作业层外侧应设置1.2m高的防护栏杆和180mm高的挡脚板;
3 作业层应设置固定牢靠的脚手板,其与结构之间的间距应满足现行行业标准《建筑施工扣件式钢管脚手架安全技术规范》JGJ 130的相关规定。
条文说明
4.4.14 本条主要是针对附着式升降脚手架的安全防护方面作出规定。具体说明如下:
1 架体外侧满挂密目安全网,可有效防止物件掉落。
2 作业层外侧设置防护栏杆和挡脚板,为防止施工人员坠落。
3 对作业层脚手板作出相应规定。
4.4.15 附着式升降脚手架构配件的制作应符合下列规定:
1 应具有完整的设计图纸、工艺文件、产品标准和产品质量检验规程;制作单位应有完善有效的质量管理体系;
2 制作构配件的原材料和辅料的材质及性能应符合设计要求,并应按本规范第3.0.1~3.0.6条的规定对其进行验证和检验;
3 加工构配件的工装、设备及工具应满足构配件制作精度的要求,并应定期进行检查,工装应有设计图纸;
4 构配件应按工艺要求及检验规程进行检验;对附着支承结构、防倾、防坠落装置等关键部件的加工件应进行100%检验;构配件出厂时,应提供出厂合格证。
条文说明
4.4.15 本条主要是对附着式升降脚手架构配件的制作质量提出要求,从设计图纸、工艺文件、工装、原辅材料、检验规程等作出较详细的规定,以确保使用安全。
4.4.16 附着式升降脚手架应在每个竖向主框架处设置升降设备,升降设备应采用电动葫芦或电动液压设备,单跨升降时可采用手动葫芦,并应符合下列规定:
1 升降设备应与建筑结构和架体有可靠连接;
2 固定电动升降动力设备的建筑结构应安全可靠;
3 设置电动液压设备的架体部位,应有加强措施。
条文说明
4.4.16 由于每一竖向主框架均承受架体荷载,故在升降工况下,每个竖向主框架处必须设置升降动力设备;电动葫芦或电动液压设备已是目前通用的较成熟的产品。 在升降工况下,架体所有荷载全部由升降动力设备和固定处的建筑结构承受,所以安全可靠的设备、连接、结构必不可少。
4.4.17 两主框架之间架体的搭设应符合现行行业标准《建筑施工扣件式钢管脚手架安全技术规范》JGJ 130的规定。
条文说明
4.4.17 两主框架间架体都是用扣件式钢管脚手架搭设的,应该按现行国家标准《建筑施工扣件式钢管脚手架安全技术规范》JGJ 130的要求搭设。
4.5 安全装置
4.5 安全装置
4.5.1 附着式升降脚手架必须具有防倾覆、防坠落和同步升降控制的安全装置。 ( 自2022年10月1日起废止该条, ▶▶ 点击查看: 新规《施工脚手架通用规范》GB 55023-2022 )
条文说明
4.5.1 这条提出了对附着式升降脚手架的安全装置的基本要求。附着式升降脚手架使用、升降工况都是由附墙支座固定在工程结构上,依靠自身的升降设备,可随工程结构施工逐层爬升、固定、下降,因此附着式升降脚手架必须配置可靠的防倾覆、防坠落和同步升降控制等安全防护装置,以确保附着式升降脚手架在各种工况下都能具有不倾翻、不坠落的安全可靠性。
4.5.2 防倾覆装置应符合下列规定:
1 防倾覆装置中应包括导轨和两个以上与导轨连接的可滑动的导向件;
2 在防倾导向件的范围内应设置防倾覆导轨,且应与竖向主框架可靠连接;
3 在升降和使用两种工况下,最上和最下两个导向件之间的最小间距不得小于2.8m或架体高度的1/4;
4 应具有防止竖向主框架倾斜的功能;
5 应采用螺栓与附墙支座连接,其装置与导轨之间的间隙应小于5mm。
条文说明
4.5.2 本条是针对防倾覆装置的设置要求作出的具体规定。
1、2 附着式升降脚手架附着在建筑物上,架体偏心受力,因此必须设置防倾覆装置,且该装置必须有可靠的刚度和足够的强度,故规定防倾覆装置中,必须包括防倾覆导轨和两个以上与防倾覆导轨连接的可滑动的导向件,同时要求在防倾导向件的范围内必须设置防倾覆导轨,且必须与竖向主框架可靠连接。
3 防倾覆装置中导向件和工程结构连接的螺栓受力与上下两个导向件距离成反比,本条从导向件与工程结构的连接螺栓受力综合考虑,规定最上和最下两个导向件之间的最小间距不得小于2.8m或架体高度的1/4,有条件时尽可能大。
4 防倾覆装置中的防倾覆导轨与竖向主框架必须可靠连接,在防倾覆导轨和竖向主框架满足刚度的要求下,必须保证防倾覆装置中的导向件通过螺栓连接固定在附墙支座上,且不能前后、左右移动,从而保证具有防止竖向主框架前、后、左、右倾斜的功能。
5 附着式升降脚手架的垂直度主要是由防倾覆装置来控制的,而防倾覆装置中导向件与导轨之间的最大间隙确定了附着式升降脚手架的垂直度,本着安全、可靠的原则规定了防倾覆装置中导向件与导轨之间的最大间隙应小于5mm。
4.5.3 防坠落装置必须符合下列规定:
1 防坠落装置应设置在竖向主框架处并附着在建筑结构上,每一升降点不得少于一个防坠落装置,防坠落装置在使用和升降工况下都必须起作用;
2 防坠落装置必须采用机械式的全自动装置,严禁使用每次升降都需重组的手动装置;
3 防坠落装置技术性能除应满足承载能力要求外,还应符合表4.5.3的规定。

4 防坠落装置应具有防尘、防污染的措施,并应灵敏可靠和运转自如;
5 防坠落装置与升降设备必须分别独立固定在建筑结构上;
6 钢吊杆式防坠落装置,钢吊杆规格应由计算确定,且不应小于ф25mm。 ( 自2022年10月1日起废止该条, ▶▶ 点击查看: 新规《施工脚手架通用规范》GB 55023-2022 )
条文说明
4.5.3 防坠落装置是防止附着式升降脚手架在各种工况下坠落的一种安全防护措施,必须保证该装置万无一失。本条是针对防坠落装置的设置要求和对防坠落装置本身的要求作出详细规定,应严格执行:
1 防坠落装置必须与附着式升降脚手架可靠连接,其连接处的刚度和强度应满足设计要求,由于架体坠落时冲击荷载较大,而竖向主框架承受冲击荷载的能力相对较好,故本规范规定防坠落装置设置在竖向主框架处,且每一升降动力设备处不得少于一个防坠落装置,防坠落装置在使用和升降工况下均必须起作用。
2 为了保证防坠落装置具有高可靠性,规定防坠落装置必须是机械式的全自动装置,严禁使用每次升降都需重组的受人为因素影响很大的手动装置。
3 防坠落装置的性能应满足当架体坠落时,对与他相邻的升降动力设备和附墙支座产生的冲击荷载不能过大的要求;架体坠落时,其防坠装置制动距离大小确定了与他相邻的升降动力设备和附墙支座产生附加冲击荷载。本着安全、可靠的原则,表4.5.3具体规定了制动距离。
4 防坠落装置如受到各种尘埃等的污染,就不能灵敏可靠和运转自如,也就失去了防坠落的作用。
5 若升降动力设备和防坠落装置设置在同一套附墙装置上时,当动力设备故障,使附墙装置断裂坠落时,造成防坠落装置同时坠落。为使防坠落装置能充分发挥作用,不受升降设备的影响,本条规定升降动力设备与防坠落装置必须分别独立固定在两套附墙装置上。
6 出于安全的考虑,对于钢吊杆式防坠落装置,钢吊杆的规格应由计算确定,且不应小于ф25mm。
4.5.4 同步控制装置应符合下列规定:
1 附着式升降脚手架升降时,必须配备有限制荷载或水平高差的同步控制系统。连续式水平支承桁架,应采用限制荷载自控系统;简支静定水平支承桁架,应采用水平高差同步自控系统;当设备受限时,可选择限制荷载自控系统。
2 限制荷载自控系统应具有下列功能:
1)当某一机位的荷载超过设计值的15%时,应采用声光形式自动报警和显示报警机位;当超过30%时,应能使该升降设备自动停机;
2)应具有超载、失载、报警和停机的功能;宜增设显示记忆和储存功能;
3)应具有自身故障报警功能,并应能适应施工现场环境;
4)性能应可靠、稳定,控制精度应在5%以内。
3 水平高差同步控制系统应具有下列功能:
1)当水平支承桁架两端高差达到30mm时,应能自动停机;
2)应具有显示各提升点的实际升高和超高的数据,并应有记忆和储存的功能;
3)不得采用附加重量的措施控制同步。
条文说明
4.5.4 同步控制装置是用来控制多个升降设备在同时升降时,出现的不同步的状态的设施。附着式升降脚手架在升降工况时架体均在动态状况下,安全、可靠性相对较差,因此必须加强对提升设备提升力、提升高差等状况进行监管、控制,以防止升降设备因荷载不均匀而造成超载,进而引发升降设备故障的情况发生。故附着式升降脚手架升降时必须安装有同步控制装置,以确保升降时升降设备的安全、可靠性。 附着式升降脚手架必须设置有监控升降控制系统,通过监控各升降设备间的升降差或荷载来控制架体升降,该系统还应具有升降差超限或超载、欠载报警停机功能。条件许可的,可采用计算机同步自动控制,该装置能够全面自动调整和均衡各机位的升降速度、提升力,从而达到同步升降目的,进而提高升降设备的可靠性。 同步控制装置一般分为限制荷载和控制水平高差两类。 为了避免升降时因不同步而造成的架体坠落事故,规定了该两种同步控制装置必须具有的功能。
4.6 安装
4.6 安装
4.6.1 附着式升降脚手架应按专项施工方案进行安装,可采用单片式主框架的架体(图4.6.1-1),也可采用空间桁架式主框架的架体(图4.6.1-2)。


条文说明
4.6.1 对附着式升降脚手架保证安全施工提出的基本的要求,目的是因为每个工程的结构有每个工程的特殊牲,因此应由具有相应资质等级的专业承包单位编写有针对性的专项施工方案,并在具体施工实施过程中严格按专项施工方案贯彻和执行。
4.6.2 附着式升降脚手架在首层安装前应设置安装平台,安装平台应有保障施工人员安全的防护设施,安装平台的水平精度和承载能力应满足架体安装的要求。
条文说明
4.6.2 附着式升降脚手架在现场组装时,必须设置安装平台。搭设的安装平台必须有保障施工人员安全的防护设施;保证平台水平精度和足够的承载能力。
4.6.3 安装时应符合下列规定:
1 相邻竖向主框架的高差不应大于20mm;
2 竖向主框架和防倾导向装置的垂直偏差不应大于5‰,且不得大于60mm;
3 预留穿墙螺栓孔和预埋件应垂直于建筑结构外表面,其中心误差应小于15mm;
4 连接处所需要的建筑结构混凝土强度应由计算确定,但不应小于C10;
5 升降机构连接应正确且牢固可靠;
6 安全控制系统的设置和试运行效果应符合设计要求;
7 升降动力设备工作正常。
4.6.4 附着支承结构的安装应符合设计规定,不得少装和使用不合格螺栓及连接件。
4.6.5 安全保险装置应全部合格,安全防护设施应齐备,且应符合设计要求,并应设置必要的消防设施。
4.6.6 电源、电缆及控制柜等的设置应符合现行行业标准《施工现场临时用电安全技术规范》JGJ 46的有关规定。
4.6.7 采用扣件式脚手架搭设的架体构架,其构造应符合现行行业标准《建筑施工扣件式钢管脚手架安全技术规范》JGJ 130的要求。
4.6.8 升降设备、同步控制系统及防坠落装置等专项设备,均应采用同一厂家的产品。
4.6.9 升降设备、控制系统、防坠落装置等应采取防雨、防砸、防尘等措施。
条文说明
4.6.3~4.6.9 附着式升降脚手架的安装质量对今后的使用安全特别重要。为保证附着式升降脚手架的安装质量,本条对附着支承结构和建筑结构的混凝土强度、预留预埋件、架体结构、升降机构、升降动力设备、安全保险装置、安全控制系统等作出了各项规定,安装时应认真执行。
4.7 升降
4.7 升降
4.7.1 附着式升降脚手架可采用手动、电动和液压三种升降形式,并应符合下列规定:
1 单跨架体升降时,可采用手动、电动和液压三种升降形式;
2 当两跨以上的架体同时整体升降时,应采用电动或液压设备。
条文说明
4.7.1 针对我国附着式升降脚手架有单跨式和整体式,单跨式架体升降时对同步升降要求不高,可采用手动升降设备;整体式附着式升降脚手架升降时,各个机位同步升降的要求较高,必须采用电动或液压升降动力设备。
4.7.2 附着式升降脚手架每次升降前,应按本规范表8.1.4的规定进行检查,经检查合格后,方可进行升降。
条文说明
4.7.2 附着式升降脚手架升降工况时架体与附着支承结构是动态配合,架体竖向荷载是通过升降动力设备中的附着支承结构传到建筑结构上,而升降系统可靠是确保附着式升降脚手架安全的首要条件。为保证升降系统的安全可靠,本条规定在升、降前应按表8.1.4进行严格检查,检查合格后方可进行升降。
4.7.3 附着式升降脚手架的升降操作应符合下列规定:
1 应按升降作业程序和操作规程进行作业;
2 操作人员不得停留在架体上;
3 升降过程中不得有施工荷载;
4 所有妨碍升降的障碍物应已拆除;
5 所有影响升降作业的约束应已解除;
6 各相邻提升点间的高差不得大于30mm,整体架最大升降差不得大于80mm。
条文说明
4.7.3 升降操作是附着式升降脚手架使用安全的关键环节,为保证附着式升降脚手架升降时的安全及升降到位后使用时的安全,本条对升降操作及升降到位后的固定作出了各项规定,目的是确保在附着式升降脚手架升降操作过程中得到严格贯彻实施和执行。
4.7.4 升降过程中应实行统一指挥、统一指令。升降指令应由总指挥一人下达;当有异常情况出现时,任何人均可立即发出停止指令。
4.7.5 当采用环链葫芦作升降动力时,应严密监视其运行情况,及时排除翻链、绞链和其他影响正常运行的故障。
4.7.6 当采用液压设备作升降动力时,应排除液压系统的泄漏、失压、颤动、油缸爬行和不同步等问题和故障,确保正常工作。
4.7.7 架体升降到位后,应及时按使用状况要求进行附着固定;在没有完成架体固定工作前,施工人员不得擅自离岗或下班。
4.7.8 附着式升降脚手架架体升降到位固定后,应按本规范表8.1.3进行检查,合格后方可使用;遇5级及以上大风和大雨、大雪、浓雾和雷雨等恶劣天气时,不得进行升降作业。
条文说明
4.7.4~4.7.8 本条是为避免附着式升降脚手架升降到位后,架体结构和建筑主体结构必须连接可靠,各种安全防护措施应及时恢复到位。如在没有进行检查验收就投入使用,极有可能发生安全事故。同时在恶劣天气时,如进行架体升降作业,存在各种不可意料的安全隐患,也极有可能引发安全事故,故本条又规定在上述天气时严禁进行升降作业。
4.8 使用
4.8 使用
4.8.1 附着式升降脚手架应按设计性能指标进行使用,不得随意扩大使用范围;架体上的施工荷载应符合设计规定,不得超载,不得放置影响局部杆件安全的集中荷载。
条文说明
4.8.1 附着式升降脚手架是附着在建筑结构上的高空悬挂设备,在设计上对其使用范围有较高要求,本条规定旨在保证架体上的使用荷载控制在设计规定范围内,并有效避免在架体上堆放集中荷载。
4.8.2 架体内的建筑垃圾和杂物应及时清理干净。
条文说明
4.8.2 附着式升降脚手架架体内不可避免的存留有较多建筑垃圾和各种各样的杂物,如不及时清理,既增加了架体荷载,又有可能掉落伤人损物而发生事故,为避免上述情形的发生,制订本条规定。
4.8.3 附着式升降脚手架在使用过程中不得进行下列作业:
1 利用架体吊运物料;
2 在架体上拉结吊装缆绳(或缆索);
3 在架体上推车;
4 任意拆除结构件或松动连接件;
5 拆除或移动架体上的安全防护设施;
6 利用架体支撑模板或卸料平台;
7 其他影响架体安全的作业。
条文说明
4.8.3 本条规定严禁在附着式升降脚手架使用过程中进行存在严重不安全因素的作业,旨在确保附着式升降脚手架的使用安全,必须认真执行。具体说明如下: 在附着式升降脚手架架体上吊运物料会损坏架体,或因堆放吊运物料形成集中荷载而压垮架体。 在附着式升降脚手架架体上拉结吊装缆绳(索),会造成因吊装缆绳(索)受力不确定拉翻架体发生塌架事故。 附着式升降脚手架架体结构件和连接件,是根据设计要求设置的,各个架体结构和连接件均有其特定的作用,任意拆除会使其受力发生变化、连接强度降低,从而会降低架体的承载能力而存在安全隐患,产生不安全因素。 架体上的安全防护设施是为确保使用安全设置的,是必不可少的,任意拆除或移动将存在安全隐患而发生安全事故。 利用附着式升降脚手架架体支撑模板,会超出附着式升降脚手架的设计规定,如支撑模板在混凝土浇灌时产生的极大侧压力传到架体上,会造成架体结构损坏或局部垮架。
4.8.4 当附着式升降脚手架停用超过3个月时,应提前采取加固措施。
条文说明
4.8.4 附着式升降脚手架停用期间,维护保养会相对减小;因此本条规定在停用超过3个月时,应提前对附着式升降脚手架进行加固措施,如增加临时拉结、抗上翻装置、固定所有构件等,确保停工期间的安全。
4.8.5 当附着式升降脚手架停用超过1个月或遇6级及以上大风后复工时,应进行检查,确认合格后方可使用。
条文说明
4.8.5 本条规定旨在避免附着式升降脚手架停用后或遇6级以上大风天气后,未经检查直接复工使用。架体因停工或遇6级以上大风天气后,可能存在变形、损坏,安全防护构件锈蚀,脚手板腐蚀等安全隐患,不经检查直接复工会引发安全事故。
4.8.6 螺栓连接件、升降设备、防倾装置、防坠落装置、电控设备、同步控制装置等应每月进行维护保养。
条文说明
4.8.6 螺栓连接件、升降设备、防倾装置、防坠落装置、电控设备、同步控制装置是确保附着式升降脚手架使用安全的重要构件。本条规定对上述构件每月进行一次维护保养旨在保证它们的工作可靠性。
4.9 拆除
4.9 拆除
4.9.1 附着式升降脚手架的拆除工作应按专项施工方案及安全操作规程的有关要求进行。
条文说明
4.9.1 本条规定旨在说明附着式升降脚手架有时是在高空进行拆除作业,因此必须按专项施工方案中的拆架要求及安全操作规程案进行。
4.9.2 应对拆除作业人员进行安全技术交底。
条文说明
4.9.2 对所有作业人员进行安全技术交底,是保证安全生产的必要条件。
4.9.3 拆除时应有可靠的防止人员或物料坠落的措施,拆除的材料及设备不得抛扔。
条文说明
4.9.3 本条明确规定了附着式升降脚手架拆除时必须设有安全防护措施。
4.9.4 拆除作业应在白天进行。遇5级及以上大风和大雨、大雪、浓雾和雷雨等恶劣天气时,不得进行拆除作业。
条文说明
4.9.4 本条明确规定了附着式升降脚手架拆除工作必须白天进行,遇有恶劣天气时严禁进行拆除作业。
5 高处作业吊篮
5.1 荷载
5 高处作业吊篮
5.1 荷载
5.1.1 高处作业吊篮的荷载可分为永久荷载(即恒载)和可变荷载(即活载)两类。永久荷载包括:悬挂机构、吊篮(含提升机和电缆)、钢丝绳、配重块;可变荷载包括:操作人员、施工工具、施工材料、风荷载。
条文说明
5.1.1 吊篮用作施工脚手架时的承载能力,应按脚手架的受力分析进行荷载统计。恒荷载包括:吊篮自重、钢丝绳(工作绳和保险绳)、悬挂支架、配重块。
5.1.2 永久荷载标准值(G k )应根据生产厂家使用说明书提供的数据选取。
条文说明
5.1.2 在生产厂家的产品使用说明书中应提供相应数据。
5.1.3 施工活荷载标准值(q′ k ),宜按均布荷载考虑,应为1kN/m 2 。
条文说明
5.1.3 施工活荷载标准值q′k,根据目前市场上较为常见的产品的额定载荷确定。由于产品的额定载荷没有详细说明荷载的作用形式(如集中荷载、均布荷载、作用位置等),本条限制为按均布荷载1kN/m2考虑。产品的额定载荷与此数值不符,应按产品的额定载荷确施工活荷载的标准值q′k,但不能大于1kN/m2。吊篮内的施工活荷载,一般应均匀分布。如果吊篮使用时,有明显不平衡荷载分布(如位于建筑物角部的吊篮,进行墙角部位安装作业,需要多人合作时的情况),应折算为受力较大一侧的动力钢丝绳所受荷载进行核定。
5.1.4 吊篮的风荷载标准值应按下式计算:

式中:Q wk ——吊篮的风荷载标准值(kN);
ω k ——风荷载标准值(kN/m 2 );
F——吊篮受风面积(m 2 )。
5.1.5 吊篮在结构设计时,应考虑风荷载的影响;在工作状态下,应能承受的基本风压值不低于500Pa;在非工作状态下,当吊篮安装高度不大于60m时,应能承受的基本风压值不低于1915Pa,每增高30m,基本风压值应增加165Pa;吊篮的固定装置结构设计风压值应按1.5倍的基本风压值计算。
条文说明
5.1.4、5.1.5 吊篮作业属施工风险较大的作业方式。使用中,不良气候条件对设备安全的影响较大。吊篮作业应符合现行国家标准《高处作业吊篮》GB 19155的规定。
5.2 设计计算
5.2 设计计算
5.2.1 吊篮动力钢丝绳强度应按容许应力法进行核算,计算荷载应采用标准值,安全系数K应选取9。
条文说明
5.2.1 吊篮是定型产品,设计时是按单系数的容许应力方法进行计算的。为与之相协调,又与脚手架受力计算的荷载体系相吻合,在进行动力钢丝绳核算时,荷载采用标准值,取单一安全系数9。
5.2.2 吊篮动力钢丝绳所承受荷载,应符合下列规定:
1 竖向荷载标准值应按下式计算:

式中:Q 1 ——吊篮动力钢丝绳竖向荷载标准值(kN);
G k ——吊篮及钢丝绳自重标准值(kN);
Q k ——施工活荷载标准值(kN)。
2 作用于吊篮上的水平荷载可只考虑风荷载,并应由两根钢丝绳各负担1/2,水平荷载标准值应按下式计算:

式中:Q 2 ——吊篮动力钢丝绳水平荷载标准值(kN);
Q wk 一一吊篮的风荷载标准值(kN)。
5.2.3 吊篮在使用时,其动力钢丝绳所受拉力应按下式核算:

式中:Q D ——动力钢丝绳所受拉力的施工核算值(kN);
K——安全系数,选取9。
条文说明
5.2.2、5.2.3 吊篮动力钢丝绳的承载能力在使用前是应该进行核算的。本条规定核算钢丝绳时,应同时考虑竖向荷载和水平荷载。水平荷载只考虑风荷载。
5.2.4 吊篮在使用时,动力钢丝绳所受拉力(Q D )不应大于钢丝绳的破断拉力。
条文说明
5.2.4 不同产品的电动吊篮动力钢丝绳的规格不同,核算吊篮动力钢丝绳强度后,应与钢丝绳的破断拉力进行对比。
5.2.5 高处作业吊篮通过悬挂机构支撑在建筑物上,应对支撑点的结构强度进行核算。
条文说明
5.2.5 电动吊篮一般采用可移动式的悬挂支架支撑在建筑物上。为保证吊篮使用安全,支撑悬挂支架的建筑结构应坚固、稳定;同时,吊篮悬挂支架的使用,也不应对提供支撑力的建筑物造成损坏。
5.2.6 支承悬挂机构前支架的结构所承受的集中荷载应按下式计算:

式中:N D ——支承悬挂机构前支架的结构所承受的集中荷载(kN);
Q D ——吊篮动力钢丝绳所受拉力的施工核算值,应按式(5.2.3)计算(kN);
G D ——悬挂横梁自重(kN);
L 1 ——悬挂横梁前支架支撑点至吊篮吊点的长度(m);
L 2 ——悬挂横梁前支架支撑点至后支架支撑点之间的长度(m)。
条文说明
5.2.6 电动吊篮一般采用可移动式的悬挂支架支撑在建筑物上。吊篮适于安装在平屋顶(或楼层楼板)上。移动式的悬挂支架由一根水平梁和前、后支架组成,其受力简图如图1所示。为了更好地发挥材料性能,还可以将前支架升起来作为支点,设置拉杆拉结吊篮吊点和后支架。使水平梁形成桁架,其受力简图如图2所示。移动式的悬挂支架往往在前、后支架装有轮子,使得移动和拆装方便。对投入使用的上人屋面面层构造和防水层影响较小,适用于装修和修缮改造工程。 

5.2.7 当后支架采用加平衡重的形式时,支承悬挂机构后支架的结构所承受的集中荷载应按下式计算:

式中:T——支承悬挂机构后支架的结构所承受集中荷载 (kN)。
条文说明
5.2.7 支撑悬挂机构前支架支撑点应该能承受由吊篮通过支撑传来的集中荷载。对于采用平衡重的悬挂机构,支承后支架的支撑点,也应该能承受由支架传来的集中荷载。
5.2.8 当后支架采用与楼层结构拉结卸荷形式时,支承悬挂机构后支架的结构所承受集中荷载应按下式计算:

条文说明
5.2.8 由于施工条件限制,结构无法支撑悬挂机构的后支架,或结构承受不住后支架平衡压重时,可以在后支架位置设置拉结点,将吊篮工作时所需平衡拉力,用拉杆传递到结构上。固定式的悬挂机构,可将后支架拉杆用钢丝绳或钢筋连接在结构预埋吊环上,也可将悬挂钢梁平放在结构屋面楼面,后支架位置直接插入结构预埋吊环内,其受力简图如图3所示。 采用钢筋、钢丝绳索拉住后支架的绳索固定点位置的结构,所受到的是拉应力,必须校核此部位承载能力。绳索和结构均应满足所需承载能力的要求。 
5.2.9 当支承悬挂机构前后支撑点的结构的强度不能满足使用要求时,应采取加垫板放大受荷面积或在下层采取支顶措施。
条文说明
5.2.9 当支撑悬挂支架的前后支撑点的结构强度,不能满足安装要求时,应在受力点下方设置厚度不小于50mm的垫木或在下层结构加支撑回顶,防止结构受损。
5.2.10 固定式悬挂支架(指后支架拉结型)拉结点处的结构应能承受设计拉力;当采用锚固钢筋作为传力结构时,其钢筋直径应大于16mm;在混凝土中的锚固长度应符合该结构混凝土强度等级的要求。
条文说明
5.2.10 采取绳索拉结方式固定后支架时,如将绳索锚固在混凝土的钢筋上,钢筋直径要适当加大,在混凝土中的锚固长度要符合要求。
5.2.11 悬挂吊篮的支架支撑点处结构的承载能力,应大于所选择吊篮各工况的荷载最大值。 ( 自2022年10月1日起废止该条, ▶▶ 点击查看: 新规《施工脚手架通用规范》GB 55023-2022 )
条文说明
5.2.11 为规范吊篮安全使用的各个环节,应当明确对悬挂支架支撑点处结构的承载能力进行核定。吊篮使用说明书中,列有各不同工况条件下的荷载值(含自重和施工荷载)等技术参数,支承结构的承载能力应大于此技术参数。所选择的吊篮型号应与结构承载能力相适应。
5.3 构造措施
5.3 构造措施
5.3.1 高处作业吊篮应由悬挂机构、吊篮平台、提升机构、防坠落机构、电气控制系统、钢丝绳和配套附件、连接件组成。
5.3.2 吊篮平台应能通过提升机构沿动力钢丝绳升降。
条文说明
5.3.1、5.3.2 规定了高处作业吊篮的组成和基本运动。
5.3.3 吊篮悬挂机构前后支架的间距,应能随建筑物外形变化进行调整。
条文说明
5.3.3 吊篮悬挂机构的安装,原则上应与吊篮工作面相垂直,但在转角、弧形等部位时,吊篮悬挂机构往往不能与吊篮工作面垂直,形成一定夹角,悬挂机构的抗倾覆力矩会随之发生变化,为保证抗倾覆力矩不降低,应调整前后支架间距。
5.4 安装
5.4 安装
5.4.1 高处作业吊篮安装时应按专项施工方案,在专业人员的指导下实施。
条文说明
5.4.1 应按照专项安装施工方案对参加安装的施工人员进行安全交底,明确分工,并指导安装人员操作。
5.4.2 安装作业前,应划定安全区域,并应排除作业障碍。
条文说明
5.4.2 应对吊篮作业区域进行清理。
5.4.3 高处作业吊篮组装前应确认结构件、紧固件已配套且完好,其规格型号和质量应符合设计要求。
条文说明
5.4.3 高处作业吊篮进场前,应核实确认构建筑物的承载能力,并根据施工要求对吊篮的各种工况进行受力分析,核定所选用吊篮的技术参数。
5.4.4 高处作业吊篮所用的构配件应是同一厂家的产品。
条文说明
5.4.4 为避免选用不同的厂家产品,带来的构件不匹配造成的安全隐患。所有零部件应符合质量要求,规格应符合使用说明书的配置要求。
5.4.5 在建筑物屋面上进行悬挂机构的组装时,作业人员应与屋面边缘保持2m以上的距离。组装场地狭小时应采取防坠落措施。
5.4.6 悬挂机构宜采用刚性联结方式进行拉结固定。
5.4.7 悬挂机构前支架严禁支撑在女儿墙上、女儿墙外或建筑物挑檐边缘。 ( 自2022年10月1日起废止该条, ▶▶ 点击查看: 新规《施工脚手架通用规范》GB 55023-2022 )
条文说明
5.4.7 女儿墙或建筑物挑檐边承受不了吊篮的荷载,因此不能作为悬挂机构的支撑点。
5.4.8 前梁外伸长度应符合高处作业吊篮使用说明书的规定。
5.4.9 悬挑横梁应前高后低,前后水平高差不应大于横梁长度的2%。
条文说明
5.4.5、5.4.6、5.4.8、5.4.9 悬挂机构的安装是吊篮安装的重点环节,应在专业人员的带领、指导下进行,以确保安装正确;并应确保其在受到外力影响或吊篮升降过程中产生振动时,不致造成位移或失稳倾覆。
5.4.10 配重件应稳定可靠地安放在配重架上,并应有防止随意移动的措施。严禁使用破损的配重件或其他替代物。配重件的重量应符合设计规定。 ( 自2022年10月1日起废止该条, ▶▶ 点击查看: 新规《施工脚手架通用规范》GB 55023-2022 )
条文说明
5.4.10 配重件是吊篮安全使用的重要措施,必须加以重点控制。
5.4.11 安装时钢丝绳应沿建筑物立面缓慢下放至地面,不得抛掷。
条文说明
5.4.11 保证安装过程中的安全,钢丝绳严禁抛掷。
5.4.12 当使用两个以上的悬挂机构时,悬挂机构吊点水平间距与吊篮平台的吊点间距应相等,其误差不应大于50mm。
条文说明
5.4.12 悬挂机构吊点水平间距与吊篮平台的吊点间距过大,吊篮平台升至顶端时,通过钢丝绳传递的水平拉力会破坏悬挂机构的稳定性。
5.4.13 悬挂机构前支架应与支撑面保持垂直,脚轮不得受力。 ( 自2022年10月1日起废止该条, ▶▶ 点击查看: 新规《施工脚手架通用规范》GB 55023-2022 )
条文说明
5.4.13 悬挂机构上的脚轮是为方便吊篮做平行位移而设置的,其本身承载能力有限,如吊篮荷载传递到脚轮就会产生集中荷载易对建筑物产生局部破坏,当悬挂机构受外力牵拉或频繁振动时,易发生位置移动,也使得吊篮无法保持平衡,晃动的吊篮会威胁施工人员的安全。
5.4.14 安装任何形式的悬挑结构,其施加于建筑物或构筑物支承处的作用力,均应符合建筑结构的承载能力,不得对建筑物和其他设施造成破坏和不良影响。
条文说明
5.4.14 悬挂机构的前后支点对建筑物施加的集中载荷,可能会对建筑物产生不良影响,应与结构工程师或业主核实构筑物的承载能力,对建筑物的承载能力进行验算。
5.4.15 高处作业吊篮安装和使用时,在10m范围内如有高压输电线路,应按照现行行业标准《施工现场临时用电安全技术规范》JGJ 46的规定,采取隔离措施。
条文说明
5.4.15 为避免因误操作造成悬挂机构坠落和触电事故,吊篮的拆卸不得带电作业。拆卸时应首先将吊篮平台与悬挂机构分离,再分别拆卸。
5.5 使用
5.5 使用
5.5.1 高处作业吊篮应设置作业人员专用的挂设安全带的安全绳及安全锁扣。安全绳应固定在建筑物可靠位置上不得与吊篮上任何部位有连接,并应符合下列规定:
1 安全绳应符合现行国家标准《安全带》GB 6095的要求,其直径应与安全锁扣的规格相一致;
2 安全绳不得有松散、断股、打结现象;
3 安全锁扣的配件应完好、齐全,规格和方向标识应清晰可辨。
条文说明
5.5.1 安全绳应使用专业生产劳动保护用品的厂家按现行国家标准《安全带》GB 6095的规定而生产的锦纶绳。使用中的安全绳长度应自固定结点至地面,绳结在非外力作用下不得松开。在建筑物拐角处应对安全绳采取保护措施。
5.5.2 吊篮宜安装防护棚,防止高处坠物造成作业人员伤害。
条文说明
5.5.2 安装防护棚的目的是防止高处坠物造成对作业人员的伤害。
5.5.3 吊篮应安装上限位装置,宜安装下限位装置。
条文说明
5.5.3 安装上限位装置的目的是防止吊篮在上升过程中出现冒顶现象。
5.5.4 使用吊篮作业时,应排除影响吊篮正常运行的障碍。在吊篮下方可能造成坠落物伤害的范围,应设置安全隔离区和警告标志,人员或车辆不得停留、通行。
5.5.5 在吊篮内从事安装、维修等作业时,操作人员应佩戴工具袋。
条文说明
5.5.4、5.5.5 由于吊篮使用单位或操作人员对吊篮产品和吊篮施工的特点缺少系统的了解,使用过程中存在大量违章操作和事故隐患,故对吊篮的操作加以规范。
5.5.6 使用境外吊篮设备时应有中文使用说明书;产品的安全性能应符合我国的行业标准。
条文说明
5.5.6 目前存在打着某国和某地区的招牌引进吊篮产品的现象,这些产品既无产地标准,也无操作规程。因此要求在使用国外或境外吊篮产品时,应充分了解其产品性能、技术参数、配件明细、安装要点、操作方法、故障处置和维护保养方法,否则极易发生事故。
5.5.7 不得将吊篮作为垂直运输设备,不得采用吊篮运送物料。
条文说明
5.5.7 用吊篮运输物料易超载,造成吊篮翻转或坠落事故。
5.5.8 吊篮内的作业人员不应超过2个。 ( 自2022年10月1日起废止该条, ▶▶ 点击查看: 新规《施工脚手架通用规范》GB 55023-2022 )
条文说明
5.5.8 主要是考虑吊篮作业面小,出现坠落事故时,减少人员伤亡,将上人数量控制在2人。
5.5.9 吊篮正常工作时,人员应从地面进入吊篮内,不得从建筑物顶部、窗口等处或其他孔洞处出入吊篮。
5.5.10 在吊篮内的作业人员应佩戴安全帽,系安全带,并应将安全锁扣正确挂置在独立设置的安全绳上。
条文说明
5.5.9、5.5.10 对吊篮使用中的注意事项进行了规定。
5.5.11 吊篮平台内应保持荷载均衡,不得超载运行。
条文说明
5.5.11 避免荷载不均衡、超载运行造成吊篮倾覆事故。
5.5.12 吊篮做升降运行时,工作平台两端高差不得超过150mm。
5.5.13 使用离心触发式安全锁的吊篮在空中停留作业时,应将安全锁锁定在安全绳上;空中启动吊篮时,应先将吊篮提升使安全绳松弛后再开启安全锁。不得在安全绳受力时强行扳动安全锁开启手柄;不得将安全锁开启手柄固定于开启位置。
5.5.14 吊篮悬挂高度在60m及其以下的,宜选用长边不大于7.5m的吊篮平台;悬挂高度在100m及其以下的,宜选用长边不大于5.5m的吊篮平台;悬挂高度在100m以上的,宜选用不大于2.5m的吊篮平台。
5.5.15 进行喷涂作业或使用腐蚀性液体进行清洗作业时,应对吊篮的提升机、安全锁、电气控制柜采取防污染保护措施。
5.5.16 悬挑结构平行移动时,应将吊篮平台降落至地面,并应使其钢丝绳处于松弛状态。
条文说明
5.5.12、5.5.16 规定了吊篮安全使用的保证措施。
5.5.17 在吊篮内进行电焊作业时,应对吊篮设备、钢丝绳、电缆采取保护措施。不得将电焊机放置在吊篮内;电焊缆线不得与吊篮任何部位接触;电焊钳不得搭挂在吊篮上。
条文说明
5.5.17 本条说明了3个方面的含义:
1)在吊篮内施焊前,应提前采用石棉布等将电焊火花的迸溅范围遮挡严密,防止电焊火花将吊篮设备、钢丝绳烧毁;
2)电焊机不得放在吊篮内是为防止电焊机的电源线接触吊篮,以免发生触电;
3)电焊机把线(二次线)也有80V,也不是安全电压,那么,这条把线也应通过瓷夹或其他绝缘措施与吊篮接触,以免电线破皮漏电,使吊篮带电,发生触电事故。
5.5.18 在高温、高湿等不良气候和环境条件下使用吊篮时,应采取相应的安全技术措施。
5.5.19 当吊篮施工遇有雨雪、大雾、风沙及5级以上大风等恶劣天气时,应停止作业,并应将吊篮平台停放至地面,应对钢丝绳、电缆进行绑扎固定。
5.5.20 当施工中发现吊篮设备故障和安全隐患时,应及时排除,对可能危及人身安全时,应停止作业,并应由专业人员进行维修。维修后的吊篮应重新进行检查验收,合格后方可使用。
5.5.21 下班后不得将吊篮停留在半空中,应将吊篮放至地面。人员离开吊篮、进行吊篮维修或每日收工后应将主电源切断,并应将电气柜中各开关置于断开位置并加锁。
条文说明
5.5.18~5.5.21 明确了吊篮在高温、雨雪天气、发现故障及下班后的安全使用保证措施。
5.6 拆除
5.6 拆除
5.6.1 高处作业吊篮拆除时应按照专项施工方案,并应在专业人员的指挥下实施。
5.6.2 拆除前应将吊篮平台下落至地面,并应将钢丝绳从提升机、安全锁中退出,切断总电源。
5.6.3 拆除支承悬挂机构时,应对作业人员和设备采取相应的安全措施。
5.6.4 拆卸分解后的构配件不得放置在建筑物边缘,应采取防止坠落的措施。零散物品应放置在容器中。不得将吊篮任何部件从屋顶处抛下。
条文说明
5.6.1~5.6.4 对吊篮拆除中的安全注意事项进行了规定。
6 外挂防护架
6.1 荷载
6 外挂防护架
6.1 荷载
6.1.1 作用于防护架的荷载可分为永久荷载(即恒载)与可变荷载(即活载)。
6.1.2 永久荷载应包括下列内容:
1 钢结构构件自重;
2 防护架结构自重,包括立杆、纵向水平杆、横向水平杆、剪刀撑和扣件等的自重;
3 构配件自重,包括脚手板、栏杆、挡脚板、安全网等防护设施的自重。
6.1.3 可变荷载应包括下列内容:
1 施工荷载,包括作业层(只限一层)上的作业人员、随身工具的重量,不得大于0.8kN/m 2 ;
2 风荷载。
6.1.4 荷载标准值应符合下列规定:
1 永久荷载标准值应符合下列规定:
1)钢结构构件的自重标准值,应按其实际自重选取;
2)冲压钢脚手板、木脚手板及竹串片脚手板自重标准值,应按表6.1.4-1的规定采用;

3)栏杆与挡脚板自重标准值,应按表6.1.4-2的规定采用;

4)防护架上设置的安全网等安全设施所产生的荷载应按实际情况采用。
2 施工荷载标准值为0.8kN/m 2 。
3 作用于防护架上的水平风荷载标准值,应按下式计算:

式中:ω k ——风荷载标准值(kN/m 2 );
μ z ——风压高度变化系数,应按现行国家标准《建筑结构荷载规范》GB 50009的规定采用;
μ s 一—防护架风荷载体型系数,应按表6.1.4-3采用;
ω 0 ——基本风压值按国家标准《建筑结构荷载规范》GB 50009-2001(2006年版)附表D.4中n=10年的规定采用。

6.1.5 设计防护架的承重构件时,应根据使用过程中可能出现的荷载取最不利组合进行计算,荷载效应组合应按表6.1.5的规定采用。

条文说明
6.1.1~6.1.5 本条对防护架的荷载作了规定。由于防护架只在建筑主体施工阶段起防护作用,不作为结构承重架和装修架使用,考虑到工人临边施工时需要站在防护架上,因此考虑使用荷载为0.8kN/m2,并只限单层使用。
6.2 设计计算
6.2 设计计算
6.2.1 设计计算应按下列规定进行:
1 防护架的承载能力应按概率极限状态设计法的要求,采用分项系数设计表达式进行下列设计计算:
1)竖向桁架、三角臂及拉杆等钢结构构件的强度计算;
2)纵向、横向水平杆等受弯构件的强度和连接扣件抗滑承载力计算;
3)竖向桁架、立杆以及三角臂的压杆稳定性计算;
4)三角臂及拉杆连接销轴强度计算;
5)竖向桁架与三角臂及拉杆、三角臂拉杆连接板焊缝的强度计算;
6)预埋件强度的计算。
2 计算构件的强度、稳定性以及预埋件和焊缝强度时,应采用荷载效应组合的设计值。永久荷载分项系数应取1.2,可变荷载分项系数应取1.4。
3 防护架中的受弯构件,应验算变形。验算构件变形时,应采用荷载标准值。
4 钢材的强度设计值与弹性模量应按表6.2.1的规定采用。

条文说明
6.2.1 本条对防护架的设计计算内容作了基本规定。
6.2.2 竖向桁架、三角臂的计算应符合下列规定:
1 竖向桁架、三角臂中的压杆的稳定性应满足下列公式要求:
不组合风荷载只考虑轴力作用时

组合风荷载按压弯构件计算时

式中:N——竖向桁架、架体立杆以及三角臂中压杆计算段的轴向力设计值,应按式(6.2.2-4)、式(6.2.2-5)计算;
M w ——立杆由风荷载设计值产生的弯矩;
φ——轴心受压构件的稳定系数,应按本规范附录A表A选取;
λ——长细比,λ=l 0 /i;
l 0 ——杆件计算长度,按现行国家标准《钢结构设计规范》GB 50017取值;
i——杆件截面的最小回转半径,应按本规范表4.2.9取值;
A——竖向桁架、架体立杆以及三角臂中压杆的截面面积;
W——截面模量;
f——钢材的抗压强度设计值,应按本规范表6.2.1取值。
立杆由风荷载设计值产生的弯矩M w 按下式计算:

式中:ω k ——风载荷标准值,应按本规范式(6.1.4)计算;
l a ——立杆纵距;
h——立杆步距。
2 竖向桁架中的立杆以及三角臂中压杆计算段的轴向力设计值(N)应按下列公式计算:
不组合风荷载时:

组合风荷载时:

式中:N G1k ——防护架结构自重标准值产生的轴向力(kN);
N G2k ——构配件自重标准值产生的轴向力(kN);
ΣN Qk ——施工荷载标准值产生的轴向力总和(kN),内、外立杆应分别计算。
3 竖向桁架中的立杆计算长度及三角臂中压杆计算长度应按现行国家标准《钢结构设计规范》GB 50017计算。
条文说明
6.2.2 本条对防护架的主要钢结构构件竖向桁架、三角臂的计算公式进行说明。
6.2.3 连墙件及三角臂的强度、稳定性和预埋件强度应按现行国家标准《钢结构设计规范》GB 50017、《冷弯薄壁型钢结构技术规范》GB 50018、《混凝土结构设计规范》GB 50010等的规定计算。
条文说明
6.2.3 本条对防护架的钢结构构件连墙件及三角臂的强度、稳定性计算依据进行了规定。
6.2.4 连墙件的轴向力设计值(N 1 )应按下列公式计算:

式中:N 0 ——连墙件约束脚手架平面外变形所产生的轴向力(kN),取3;
N Lw ——由风荷载产生的连墙件轴向力设计值(kN);
A w ——每个连墙件的覆盖面积内,脚手架外侧面的迎风面积(m 2 )。
6.3 构造措施
6.3 构造措施
6.3.1 在提升状况下,三角臂应能绕竖向桁架自由转动;在工作状况下,三角臂与竖向桁架之间应采用定位装置防止三角臂转动。 ( 自2022年10月1日起废止该条, ▶▶ 点击查看: 新规《施工脚手架通用规范》GB 55023-2022 )
条文说明
6.3.1 本条规定三角臂在提升状态下应能绕竖向桁架旋转,是考虑到建筑物上存在檐板等凸出物,三角臂如能绕竖向桁架旋转就可以避开这类凸出物,防止提升过程中三角臂与其发生碰撞,以保证顺利提升;工作状况下,由于三角臂直接承受由竖向桁架传递来的荷载,因此在这种情况下,三角臂与竖向桁架之间必须有定位装置防止三角臂转动,否则整个防护架就不是一个稳定结构了。
6.3.2 连墙件应与竖向桁架连接,其连接点应在竖向桁架上部并应与建筑物上设置的连接点高度一致。
6.3.3 连墙件与竖向桁架宜采用水平铰接的方式连接,应使连墙件能水平转动。
条文说明
6.3.2、6.3.3 对防护架的三角臂与竖向桁架、竖向桁架与连墙件的连接方式作了规定,主要是考虑到在使用中方便工人操作。
6.3.4 每一处连墙件应至少有2套杆件,每一套杆件应能够独立承受架体上的全部荷载。 ( 自2022年10月1日起废止该条, ▶▶ 点击查看: 新规《施工脚手架通用规范》GB 55023-2022 )
条文说明
6.3.4 本条规定保证防护架结构安全。每一个连墙点要求由两套连墙件,每一套均能独立承受架体上的全部荷载,这样,即使有一套失效,另一套仍然可以发挥作用,防止防护架发生倾覆、坠落事故,保证防护架结构安全。
6.3.5 每榀竖向桁架的外节点处应设置纵向水平杆,与节点距离不应大干150mm。
6.3.6 每片防护架的竖向桁架在靠建筑物一侧从底部到顶部,应设置横向钢管且不得少于3道,并应采用扣件连接牢固,其中位于竖向桁架底部的一道应采用双钢管。
6.3.7 防护层应根据工作需要确定其设置位置,防护层与建筑物的距离不得大于150mm。
6.3.8 竖向桁架与架体的连接应采用直角扣件,架体纵向水平杆应搭设在竖向桁架的上面。竖向桁架安装位置与架体主节点距离不得大于300mm。
6.3.9 架体底部的横向水平杆与建筑物的距离不得大于50mm。
6.3.10 预埋件宜采用直径不小于12mm的圆钢,在建筑结构中的埋设长度不应小于其直径的35倍,其端头应带弯钩。
6.3.11 每片防护架应设置不少于3道水平防护层,其中最底部的一道应满铺脚手板,外侧应设挡脚板。
6.3.12 外挂防护架底层除满铺脚手板外,应采用水平安全网将底层及与建筑物之间全封闭。
条文说明
6.3.5~6.3.12 对防护架的构造方式进行了规定。
6.3.13 防护架构造的基本参数应符合表6.3.13的规定。


条文说明
6.3.13 本条对防护架的构造参数进行了规定。
6.4 安装
6.4 安装
6.4.1 应根据专项施工方案的要求,在建筑结构上设置预埋件。预埋件应经验收合格后方可浇筑混凝土,并应做好隐蔽工程记录。
条文说明
6.4.1 本条强调对预埋件应当进行验收后再浇筑混凝土,确保安全。
6.4.2 安装防护架时,应先搭设操作平台。
6.4.3 防护架应配合施工进度搭设,一次搭设的高度不应超过相邻连墙件以上二个步距。
6.4.4 每搭完一步架后,应校正步距、纵距、横距及立杆的垂直度,确认合格后方可进行下道工序。
6.4.5 竖向桁架安装宜在起重机械辅助下进行。
6.4.6 同一片防护架的相邻立杆的对接扣件应交错布置,在高度方向错开的距离不宜小于500mm;各接头中心至主节点的距离不宜大于步距的1/3。
条文说明
6.4.3、6.4.4、6.4.6 主要规定了对防护架架体的搭设应符合《建筑施工扣件式钢管脚手架安全技术规范》JGJ 130的要求。
6.4.7 纵向水平杆应通长设置,不得搭接。
6.4.8 当安装防护架的作业层高出辅助架二步时,应搭设临时连墙杆,待防护架提升时方可拆除。临时连墙杆可采用2.5m~3.5m长钢管,一端与防护架第三步相连,一端与建筑结构相连。每片架体与建筑结构连接的临时连墙杆不得少于2处。
6.4.9 防护架应将设置在桁架底部的三角臂和上部的刚性连墙件及柔性连墙件分别与建筑物上的预埋件相连接。根据不同的建筑结构形式,防护架的固定位置可分为在建筑结构边梁处、檐板处和剪力墙处(图6.4.9)。

条文说明
6.4.7~6.4.9 对防护架的安装注意事项进行了规定和说明。
6.5 提升
6.5 提升
6.5.1 防护架的提升索具应使用现行国家标准《重要用途钢丝绳》GB 8918规定的钢丝绳。钢丝绳直径不应小于12.5mm。 ( 自2022年10月1日起废止该条, ▶▶ 点击查看: 新规《施工脚手架通用规范》GB 55023-2022 )
条文说明
6.5.1 本条规定了防护架的提升索具。钢丝绳作为柔性提升索具,具有方便使用的优点;规定钢丝绳直径至少采用12.5mm,是考虑到其承载能力足以确保防护架提升安全,满足钢丝绳安全系数K=10的要求。
6.5.2 提升防护架的起重设备能力应满足要求,公称起重力矩值不得小于400kN·m,其额定起升重量的90%应大于架体重量。
6.5.3 钢丝绳与防护架的连接点应在竖向桁架的顶部,连接处不得有尖锐凸角等。
6.5.4 提升钢丝绳的长度应能保证提升平稳。
条文说明
6.5.2~6.5.4 对钢丝绳的连接点和长度以及提升速度作了规定。 从安全角度考虑,对提升防护架的注意事项作了说明。
6.5.5 提升速度不得大于3.5m/min。
6.5.6 在防护架从准备提升到提升到位交付使用前,除操作人员以外的其他人员不得从事临边防护等作业。操作人员应佩带安全带。
6.5.7 当防护架提升、下降时,操作人员必须站在建筑物内或相邻的架体上,严禁站在防护架上操作;架体安装完毕前,严禁上人。 ( 自2022年10月1日起废止该条, ▶▶ 点击查看: 新规《施工脚手架通用规范》GB 55023-2022 )
条文说明
6.5.7 本条规定防护架处于运行状态下严禁上人,是考虑到提升状态下,如果防护架上有人,当防护架发生摇晃或者是起重机械发生故障或者是提升钢丝绳断裂时,会造成高空坠落的事故,因此严禁在提升时操作人员站在防护架上。为保证安全,操作人员应站在建筑物内或相邻的架体上进行操作。未安装完成的架体上人,也存在同样危险。
6.5.8 每片架体均应分别与建筑物直接连接;不得在提升钢丝绳受力前拆除连墙件;不得在施工过程中拆除连墙件。
6.5.9 当采用辅助架时,第一次提升前应在钢丝绳收紧受力后,才能拆除连墙杆件及与辅助架相连接的扣件。指挥人员应持证上岗,信号工、操作工应服从指挥、协调一致,不得缺岗。
条文说明
6.5.5、6.5.6、6.5.8、6.5.9 从安全角度考虑,对提升防护架的注意事项作了说明。
6.5.10 防护架在提升时,必须按照“提升一片、固定一片、封闭一片”的原则进行,严禁提前拆除两片以上的架体、分片处的连接杆、立面及底部封闭设施。 ( 自2022年10月1日起废止该条, ▶▶ 点击查看: 新规《施工脚手架通用规范》GB 55023-2022 )
条文说明
6.5.10 本条规定了防护架提升的原则,是保证其他未处于提升状态的防护架仍然处于正常的工作状态,防止在此期间,物料、工具及人员从防护架上坠落,导致安全事故的发生。
6.5.11 在每次防护架提升后,必须逐一检查扣件紧固程度;所有连接扣件拧紧力矩必须达到40N·m~65N·m。 ( 自2022年10月1日起废止该条, ▶▶ 点击查看: 新规《施工脚手架通用规范》GB 55023-2022 )
条文说明
6.5.11 本条规定了对防护架连接件紧固的要求,防护架的部分架体是用扣件固定在竖向桁架上的,为防止防护架上的扣件由于提升而发生滑移造成节点松动,使架体垮塌,必须按照每次提升后逐一检查,并达到扣件的螺栓拧紧力矩40N·m~65N·m的规定。
6.6 拆除
6.6 拆除
6.6.1 拆除防护架的准备工作应符合下列规定:
1 对防护架的连接扣件、连墙件、竖向桁架、三角臂应进行全面检查,并应符合构造要求;
2 应根据检查结果补充完善专项施工方案中的拆除顺序和措施,并应经总包和监理单位批准后方可实施;
3 应对操作人员进行拆除安全技术交底;
4 应清除防护架上杂物及地面障碍物。
条文说明
6.6.1 本条对拆除防护架的准备工作作了规定。
6.6.2 拆除防护架时,应符合下列规定:
1 应采用起重机械把防护架吊运到地面进行拆除;
2 拆除的构配件应按品种、规格随时码堆存放,不得抛掷。
条文说明
6.6.2 本条对拆除防护架的注意事项作了说明。
7 管理
7 管理
7.0.1 工具式脚手架安装前,应根据工程结构、施工环境等特点编制专项施工方案,并应经总承包单位技术负责人审批、项目总监理工程师审核后实施。 ( 自2022年10月1日起废止该条, ▶▶ 点击查看: 新规《施工脚手架通用规范》GB 55023-2022 )
条文说明
7.0.1 本条是依据国务院第393号令《建设工程安全生产管理条例》中的第十七条、二十六条的规定提出的,是控制工具式脚手架使用安全的一项重要措施,也是当前施工现场存在的一大通病,因没有专项施工方案或不按方案实施是造成事故的重要原因之一。
7.0.2 专项施工方案应包括下列内容;
1 工程特点;
2 平面布置情况;
3 安全措施;
4 特殊部位的加固措施;
5 工程结构受力核算;
6 安装、升降、拆除程序及措施;
7 使用规定。
条文说明
7.0.2 明确了工具式脚手架专项施工方案应包括的内容。
7.0.3 总承包单位必须将工具式脚手架专业工程发包给具有相应资质等级的专业队伍,并应签订专业承包合同,明确总包、分包或租赁等各方的安全生产责任。 ( 自2022年10月1日起废止该条, ▶▶ 点击查看: 新规《施工脚手架通用规范》GB 55023-2022 )
条文说明
7.0.3 依据国务院第393号令《建设工程安全生产管理条例》第二十四条的规定,进一步明确了总包与专业承包单位的安全责任。当前建筑施工中很多总包单位为了降低成本,将工具式脚手架发包给没有资质的工程队伍,这些无资质队伍为了减少投入,连必要的防坠落、防倾覆、同步装置都不使用,这也是当前造成脚手架事故的主要原因之一。本条规定总包和分包单位的安全生产责任,使其各尽其责,切实保证安全生产是十分必要的。
7.0.4 工具式脚手架专业施工单位应当建立健全安全生产管理制度,制订相应的安全操作规程和检验规程,应制定设计、制作、安装、升降、使用、拆除和日常维护保养等的管理规定。
7.0.5 工具式脚手架专业施工单位应设置专业技术人员、安全管理人员及相应的特种作业人员。特种作业人员应经专门培训,并应经建设行政主管部门考核合格,取得特种作业操作资格证书后,方可上岗作业。
条文说明
7.0.4、7.0.5 此两条是工具式脚手架专业承包单位应当履行的职责。
7.0.6 施工现场使用工具式脚手架应由总承包单位统一监督,并应符合下列规定:
1 安装、升降、使用、拆除等作业前,应向有关作业人员进行安全教育;并应监督对作业人员的安全技术交底;
2 应对专业承包人员的配备和特种作业人员的资格进行审查;
3 安装、升降、拆卸等作业时,应派专人进行监督;
4 应组织工具式脚手架的检查验收;
5 应定期对工具式脚手架使用情况进行安全巡检。
条文说明
7.0.6 依据国务院第393号令《建设工程安全生产管理条例》第二十一条规定,根据多年来施工现场的经验和教训,细化了总包单位的责任。
7.0.7 监理单位应对施工现场的工具式脚手架使用状况进行安全监理并应记录,出现隐患应要求及时整改,并应符合下列规定:
1 应对专业承包单位的资质及有关人员的资格进行审查;
2 在工具式脚手架的安装、升降、拆除等作业时应进行监理;
3 应参加工具式脚手架的检查验收;
4 应定期对工具式脚手架使用情况进行安全巡检;
5 发现存在隐患时,应要求限期整改,对拒不整改的,应及时向建设单位和建设行政主管部门报告。
条文说明
7.0.7 依据国务院第393号令《建设工程安全生产管理条例》第十四条规定,结合施工现场的管理经验,进一步细化了监理单位的责任。
7.0.8 工具式脚手架所使用的电气设施、线路及接地、避雷措施等应符合现行行业标准《施工现场临时用电安全技术规范》JGJ 46的规定。
条文说明
7.0.8 与工具式脚手架相关的电器设施等都应执行现行国家标准《施工现场临时用电安全技术规范》JGJ 46。
7.0.9 进入施工现场的附着式升降脚手架产品应具有国务院建设行政主管部门组织鉴定或验收的合格证书,并应符合本规范的有关规定。
条文说明
7.0.9 本条是原建设部发布的《建筑施工附着升降脚手架管理暂行规定》(建建[2000]230号)中确定的,也是依据国务院第393号令《建设工程安全生产管理条例》的要求作出的;自1999年以来,原建设部科技司已将工具式脚手架列为部级产品鉴定的项目,2004年后,又将原鉴定改为产品验收。
7.0.10 工具式脚手架的防坠落装置应经法定检测机构标定后方可使用;使用过程中,使用单位应定期对其有效性和可靠性进行检测。安全装置受冲击载荷后应进行解体检验。
7.0.11 临街搭设时,外侧应有防止坠物伤人的防护措施。
7.0.12 安装、拆除时,在地面应设围栏和警戒标志,并应派专人看守,非操作人员不得入内。
7.0.13 在工具式脚手架使用期间,不得拆除下列杆件:
1 架体上的杆件;
2 与建筑物连接的各类杆件(如连墙件、附墙支座)等。
7.0.14 作业层上的施工荷载应符合设计要求,不得超载。不得将模板支架、缆风绳、泵送混凝土和砂浆的输送管等固定在架体上;不得用其悬挂起重设备。
7.0.15 遇5级以上大风和雨天,不得提升或下降工具式脚手架。
7.0.16 当施工中发现工具式脚手架故障和存在安全隐患时,应及时排除,对可能危及人身安全时,应停止作业。应由专业人员进行整改。整改后的工具式脚手架应重新进行验收检查,合格后方可使用。
7.0.17 剪刀撑应随立杆同步搭设。
7.0.18 扣件的螺栓拧紧力矩不应小于40N·m,且不应大于65N·m。
7.0.19 各地建筑安全主管部门及产权单位和使用单位应对工具式脚手架建立设备技术档案,其主要内容应包含:机型、编号、出厂日期、验收、检修、试验、检修记录及故障事故情况。
7.0.20 工具式脚手架在施工现场安装完成后应进行整机检测。
条文说明
7.0.10~7.0.20 条文是对工具式脚手架的使用所作的具体规定。
7.0.21 工具式脚手架作业人员在施工过程中应戴安全帽、系安全带、穿防滑鞋,酒后不得上岗作业。
条文说明
7.0.21 在工具式脚手架上作业为高处作业,所以作业人员必须遵守高处作业规定。
8 验收
8.1 附着式升降脚手架
8 验收
8.1 附着式升降脚手架
8.1.1 附着式升降脚手架安装前应具有下列文件:
1 相应资质证书及安全生产许可证;
2 附着式升降脚手架的鉴定或验收证书;
3 产品进场前的自检记录;
4 特种作业人员和管理人员岗位证书;
5 各种材料、工具的质量合格证、材质单、测试报告;
6 主要部件及提升机构的合格证。
条文说明
8.1.1 对附着式升降脚手架验收应具备的技术文件进行了规定。
1 依据国务院令第397号《安全生产许可证条例》及建设部令第128号《建筑施工企业安全生产许可证管理规定》,对建筑施工等高危行业的企业施行安全生产许可证制度,附着式升降脚手架企业属于规定范围内的企业,必须办理安全生产许可证,无安全生产许可证(未办理的、发生事故被暂扣的等)不得承揽工程,因此在施工前必须出示安全生产许可证。
2 在《建筑施工安全检查标准》JGJ 59-99及《建筑施工附着升降脚手架管理暂行规定》(建建[2000]230号)均明确提出附着升降脚手架必须经过国务院建设行政主管部门组织鉴定,原建设部科技司一直支持这项工作,自1999年以来对附着升降脚手架组织专家鉴定,并发放部级产品鉴定证书。2003年后,国家科委取消了对新产品的鉴定,但建设部科技司考虑到附着升降脚手架属于高危产品,事故多发,各地不同程度地存在的不规范产品是造成事故的主要原因,因此保留了这个做法,只是将其改为按照计划内项目验收的程序,组织专家对产品进行验收并发放部级产品验收证书。
8.1.2 附着式升降脚手架应在下列阶段进行检查与验收:
1 首次安装完毕;
2 提升或下降前;
3 提升、下降到位,投入使用前。
条文说明
8.1.2 本条对附着式升降脚手架验收时间进行了规定。
8.1.3 附着式升降脚手架首次安装完毕及使用前,应按表8.1.3的规定进行检验,合格后方可使用。



8.1.4 附着式升降脚手架提升、下降作业前应按表8.1.4的规定进行检验,合格后方可实施提升或下降作业。


8.1.5 在附着式升降脚手架使用、提升和下降阶段均应对防坠、防倾装置进行检查,合格后方可作业。
8.1.6 附着式升降脚手架所使用的电气设施和线路应符合现行行业标准《施工现场临时用电安全技术规范》JGJ 46的要求。
条文说明
8.1.3~8.1.6 条文对附着式升降脚手架的各个验收项目的内容进行了规定。
8.2 高处作业吊篮
8.2 高处作业吊篮
8.2.1 高处作业吊篮在使用前必须经过施工、安装、监理等单位的验收,未经验收或验收不合格的吊篮不得使用。 ( 自2022年10月1日起废止该条, ▶▶ 点击查看: 新规《施工脚手架通用规范》GB 55023-2022 )
条文说明
8.2.1 高处作业吊篮中的作业人员始终处在高空、动态、悬空的环境中,吊篮的安装质量直接关系到作业人员的生命安全,因此使用前的验收至关重要。
8.2.2 高处作业吊篮应按表8.2.2的规定逐台逐项验收,并应经空载运行试验合格后,方可使用。


条文说明
8.2.2 本条对高处作业吊篮的各个验收项目的内容进行了规定。
8.3 外挂防护架
8.3 外挂防护架
8.3.1 外挂防护架在使用前应经过施工、安装、监理等单位的验收。未经验收或验收不合格的防护架不得使用。
条文说明
8.3.1 规定外挂防护架必须进行验收后才能使用。
8.3.2 外挂防护架应按表8.3.2的规定逐项验收,合格后方可使用。


条文说明
8.3.2 本条对外挂防护架的各个验收项目的内容进行了规定。
附录AQ235 A钢轴心受压构件的稳定系数
附录A Q235-A钢轴心受压构件的稳定系数

本规范用词说明
本规范用词说明
1 为了便于在执行本规范条文时区别对待,对要求严格程度不同的用词说明如下;
1)表示很严格,非这样做不可的:
正面词采用“必须”;反面词采用“严禁”;
2)表示严格,在正常情况下均应这样做的用词:
正面词采用“应”;反面词采用“不应”或“不得”;
3)表示允许稍有选择,在条件许可时首先应这样做的用词:
正面词采用“宜”;反面词采用“不宜”;
4)表示有选择,在一定条件下可以这样做的,采用“可”。
2 条文中指明应按其他有关标准、规范执行的写法为“应按……执行”或“应符合……的规定”。
引用标准名录
引用标准名录
1 《木结构设计规范》GB 50005
2 《建筑结构荷载规范》GB 50009
3 《混凝土结构设计规范》GB 50010
4 《钢结构设计规范》GB 50017
5 《冷弯薄壁型钢结构技术规范》GB 50018
6 《金属材料 室温拉伸试验方法》GB/T 228
7 《碳素结构钢》GB/T 700
8 《低合金高强度结构钢》GB/T 1591
9 《低压流体输送用焊接钢管》GB/T 3091
10 《碳钢焊条》GB/T 5117
11 《低合金钢焊条》GB/T 5118
12 《六角头螺栓C级》GB/T 5780
13 《六角头螺栓》GB/T 5782
14 《钢丝绳用普通套环》GB/T 5974.1
15 《钢丝绳夹》GB/T 5976
16 《安全带》GB 6095
17 《重要用途钢丝绳》GB 8918
18 《胶合板 第3部分:普通胶合板通用技术条件》GB/T 9846.3
19 《直缝电焊钢管》GB/T 13793
20 《压铸锌合金》GB/T 13818
21 《钢管脚手架扣件》GB 15831
22 《高处作业吊篮》GB 19155
23 《一般用途钢丝绳》GB/T 20118
24 《焊接钢管尺寸及单位长度重量》GB/T 21835
25 《施工现场临时用电安全技术规范》JGJ 46
26 《建筑施工扣件式钢管脚手架安全技术规范》JGJ 130
自2022年10月1日起废止的条文

