Appearance
《工业企业电气设备抗震设计规范》GB 50556-2010
🗓️ 住房和城乡建设部 实施时间:2010-12-01
前言
中华人民共和国国家标准
工业企业电气设备抗震设计规范
Code for aseismic design of electrical facilities in induslrial plants
GB 50556-2010
主编部门:中国石油化工集团公司
批准部门:中华人民共和国住房和城乡建设部
施行日期:2010年12月1日
中华人民共和国住房和城乡建设部公告
第632号
关于发布国家标准《工业企业电气设备抗震设计规范》的公告
现批准《工业企业电气设备抗震设计规范》为国家标准,编号为GB 50556-2010,自2010年12月1日起实施。 其中,第1.0.4、3.0.3、3.0.5、3.0.8条为强制性条文,必须严格执行。
本规范由我部标准定额研究所组织中国计划出版社出版发行。
中华人民共和国住房和城乡建设部
二〇—〇年五月三十一日
前言
根据原建设部《关于印发<2006年工程建设标准规范制订、修订计划(第二批)>的通知》(建标[2006]136号)的要求,规范编制组经广泛调查研究,认真总结实践经验》,参考有关国际标准和国外先进标准,并在广泛征求意见的基础上,制定本规范。
本规范共分6章,主要内容包括:总则,术语和符号,抗震设计基本要求,变配电所电气设备布置,抗震计算,电气设备安装设计的抗震措施。
本规范中以黑体字标志的条文为强制性条文,必须严格执行。
本规范由住房和城乡建设部负责管理和对强制件条文的解释,中国石油化工集团公司负责日常管理,中国石化工程建设公司负责具体技术内容的解释。在执行过程中,如有意见或建议,请寄送中国石化工程建设公司(地址:北京市朝阳区安慧北里安园21号,邮编:100101)。
本规范主编单位、参编单位、主要起草人和主要审查人名单:
主编单位: 中国石化工程建设公司
参编单位: 中国地震灾害防御中心 贵阳铝镁设计研究院 鞍钢集团设计研究院 胜利油田胜利工程设计咨询公司
主要起草人: 刘光同 倪正理 赵凤新 朱政坤 徐祥纯 李业宁 孙光明 孙恒志 宋刚 邓少强
主要审查人: 侯忠良 葛春玉 张晓鹏 谢德毅 黄左坚 李刚 刘锡荟 徐宗和 姚德康 陈绍祖 卢丙仕 杨清平 王荣贵 张希捷 魏文华 周爽
1 总则
1 总 则
1.0.1 为在工业企业电气工程设计中,贯彻“预防为主”的方针,以减轻电气设备地震破坏和损失,避免人员伤亡,制定本规范。
条文说明
1.0.1 地震是地球上最严重的自然灾害之一。我国是一个多地震的国家,地震区域分布较广,且具有震源浅、强度大的特点。从历史到近代,我国都是遭受地震灾害较为严重的国家。在强地震中,除造成建(构)筑物倒塌和人员伤亡外,工业设备也屡遭破坏,轻者导致企业停产,重者引发严重的次生灾害,造成极大损失。
1996年,国家颁布实施了强制性标准《电力设施抗震设计规范》GB 50260-96,是关于电力设施抗震设计的首部规范。该规范主要适用于电力系统的电力设施,如发电厂、变电所及超高压送电线路等;其内容偏重于发电和电网设施,而对为数众多工业企业的变配电设备涉及较少。
为在工业企业供配电的工程设计中,贯彻执行《中华人民共和国防震减灾法》,实行以预防为主的方针,减轻设备的地震破坏,减少人员伤亡和经济损失,震后可保持正常供电,特制定本规范。
1.0.2 本规范适用于设计基本地震加速度值小于或等于0. 40g(即抗震设防烈度9度及以下)地区,且电压为220kV及以下的工业企业电气设备(以下简称电气设备)的抗震设计。设计基本地震加速度值大于0. 40g地区或行业有特殊要求的工业企业电气设备,其抗震设计应按国家有关专门规定执行。
条文说明
1.0.2 本规范中未包括的电气设备(如输电线路、电力通信设备等)的抗震设计,这部分电气设备应按有关标准规范执行或参照本规范执行。
1.0.3 按本规范进行抗震设计的电气设备,当遭受相当于本地区抗震设防烈度及以下的地震影响时,可不受损坏,可继续使用。
条文说明
1.0.3 电气设备是工业企业最重要的设备之一,地震时的损坏除造成巨大的经济损失外,还会影响震后救灾和恢复生产,所以本规范的设防目标高于一般建筑物和普通生产设施,也就是中、小震不坏。为保证本规范的设防目标得以实现,本规范除对抗震措施提出要求外,对抗震计算则采用相当于遭遇抗震设防烈度地震的地震影响系数,该系数值是罕遇地震地震影响系数的40%左右,是多遇地震时地震影响系数的3倍左右。
1.0.4 设计基本地震加速度为0.05g(即抗震设防烈度6度)及以上地区的电气设备,必须进行抗震设计。
条文说明
1.0.3 电气设备是工业企业最重要的设备之一,地震时的损坏除造成巨大的经济损失外,还会影响震后救灾和恢复生产,所以本规范的设防目标高于一般建筑物和普通生产设施,也就是中、小震不坏。为保证本规范的设防目标得以实现,本规范除对抗震措施提出要求外,对抗震计算则采用相当于遭遇抗震设防烈度地震的地震影响系数,该系数值是罕遇地震地震影响系数的40%左右,是多遇地震时地震影响系数的3倍左右。
1.0.5 根据在供电系统中的重要性和特殊需要,企业电气设备可分为重要电气设备和一般电气设备,并应符合以下规定:
1 电压为110kV和220kV或向企业的一级用电负荷供电的电气设备,以及其他在地震时需保障连续供电的电气设备,为重要电气设备;
2 上款以外的电气设备,为一般电气设备。
条文说明
1.0.5 根据国家和企业的财力情况,以及在地震时的破坏情况,本规范中将工业企业的电气设备分为重要设备和一般设备,抗震设计时区别对待。
1.0.6 设计基本地震加速度值应采用中国地震动参数区划图的规定;对已编制抗震设防区划的地区或已进行地震安全性评价的工程场地,可按批准的设计地震动参数或抗震设防烈度进行抗震设防。
条文说明
1.0.6 设防烈度或地震动参数应采用国家现行规定的该地区基本烈度或地震动参数,一般情况下以中华人民共和国国家质量监督检验检疫总局发布的《中国地震动参数区划图》为准。重要工程应提高设防等级时,须经国家主管部门的批准。
1.0.7 本规范规定了工业企业电气设备抗震设计的基本技术要求,当本规范与国家有关法律、行政法规的规定相抵触时,应按国家法律、行政法规的规定执行。
1.0.8 电气设备的抗震设计,除应符台本规范外,尚应符合国家现行有关标准的规定。
条文说明
- 0.8 现行有关的强制性标准有《中国地震动参数区划图》GB 18306和《电力设施抗震设计规范》GB 50260、《建筑抗震设计规范》GB 50011等。
2 术语和符号
2.1术语
2 术语和符号
2.1 术 语
2.1.1 抗震设计 aseismic design
对需要抗震设防的工程结构进行的一种专业设计。一般包括抗震概念设计、结构抗震计算和抗震构造措施三个方面。
2.1.2 地震基本烈度 bastcmic intensity
在50年期限内,一般场地条件下,可能遭遇的超越概率为10%的地震烈度值,相当于175年一遇的烈度值。
2.1.3 地震作用效应 earthquake action effect
在地震作用下结构产生的内力(剪力、弯矩、轴向力、扭矩等)或变形(线位移、角位移等)。
2.1.4 地震影响系数 seismic influence coefficient
单质点弹性体系在地震作用下的最大加速度反应与重力加速度比值的统计平均值。
2.2符号
2.2 符 号
2.2.1 地震作用和作用效应
F——电气设备(结构)的地震作用;
m——电气设备的质量;
m i ——集中在质点i的操作状态下的质量;
M——弯矩;
T——结构自振周期;
T g ——特征周期;
σ——拉(压)应力;
τ——剪应力。
2.2.2 材料性能
E——材料弹性模量;
K——体系的侧移刚度;
σ——拉(压)应力;
τ——剪切应力(Pa);
[σ]——许用应力设计值;
[τ]——许用剪应力设计值。
2.2.3 几何参数
A——截面面积;
d——圆形截面的内径;
D——圆形截面的外径;
H——结构的高度;
H i ——质点i的计算高度;
I——截面惯性矩;
W——截面模量;
Z——截面矩。
2.2.4 计算系数
g——重力加速度;
k——不均衡系数;
α——地震影响系数;
α max ——地震影响系数最大值;
β——楼层动力放大系数;
λ——刚度折减系数;
γ——振型参与系数。
3 抗震设计基本要求
3 抗震设计基本要求
3.0.1 电气设备所在地区遭受的地震影响可采用下列地震动参数表征:
1 设计基本地震加速度或抗震设防烈度;
2 特征周期。
条文说明
3.0.1
在地震中对电气设备有较大影响的因素有两条,即地震加速度和场地地质条件,其中场地地质条件可用场地特征周期来描述。
3.0.2 设计基本地震加速度取值和抗震设防烈度的对应关系应符合表3.0.2的规定。
表3.0.2设计基本地震加速度取值和抗震设防烈度的对应关系

注:g为重力加速度9.81m/s 2
3.0.3 电力变压器类、垂直布置的三相电抗器和避雷器、断路器及瓷套管等电气设备具有下列情况之一时,均应进行抗震验算:
1 电压为110kV和220kV;
2 设计基本地震加速度为0.20g及以上地区;
3 设计基本地震加速度为0.10g及0.15g地区且放置电气设备的楼层或支架高度大于1.8m。
3.0.4 电力电容器、蓄电池、高压开关柜、整流柜、低压配电屏、控制保护屏、直流屏、不间断供电设备、动力配电箱等和本规范第3.0.3 条规定以外的电气设备可不进行抗震验算,但应采取抗震措施。
条文说明
3.0.4 经国内有关单位的震害调查及计算分析,抗震设防烈度6度区的电气设备及7度区电压为110kV以下的断路器、隔离开关、电流互感器、棒式绝缘子及穿墙套管,地震时一般不会遭受破坏,只需采取固定措施即可。电力电容器、蓄电池及高低压开关柜屏箱类设备,本身大多为钢制框架结构,强度较高,本身重心也较低,据国内外震害调查,只要是用地脚螺栓固定的,地震时一般不会遭受破坏。
3.0.5 重要电气设备应按本地区抗震设防烈度提高一度采取抗震措施,但抗震设防烈度为9度时,应按比9度更高要求采取抗震措施;地震作用计算所采用的设计基本地震加速度值应提高0.05g,但设计基本地震加速度为0.20g及以上时不再提高。
条文说明
3.0.5 这里所说的重要电气设备是指总变电所的主变压器及其他关键设备等,在《电力设施抗震设计规范》GB 50260中规定,要提高一度计算;而按《建筑抗震设计规范》GB 50011规定,只是抗震设防提高一度,但抗震计算不提高,与前者有所不同。若按前者提高一度计算,由于地震设防烈度为7度和8度时分别都有两个设计基本地震加速度值(见第3.0.2条),给抗震计算带来困难。为此,本规范规定只提高一级计算地震作用。对于设计基本地震加速度值为0.05g、0.1g和0.15g,提高一级后分别为0.10g、0.15g和0.20g。
3.0.6 电气设备应选择符合抗震设防要求的产品,当无法满足抗震设防要求时,应采取抗震措施或按附录A的规定采取减震、隔震措施。
条文说明
3.0.6 经对国内部分电气设备产品生产厂家的调查得知,有些电气设备是经过不同抗震设防烈度设计生产的。所以,在产品说明书中标注该产品的抗震设防烈度。有些产品可根据用户的抗震设防要求进行再设计,尽量满足用户的抗震要求。
3.0.7 除本规范另有规定外,电气设备抗震设计所采用的许用应力设计值应按下列规定选用:
1 弹性材料可取材料许用应力的1.2倍,但不应大于材料在常温下屈服强度的0.9倍;
2 脆性材料可取材料在常温下强度设计值的1.1倍,或材料破坏应力值的0.5倍。
条文说明
3.0.7 电气设备抗震设计所采用的许用应力标准值与常规设计所采用的许用应力标准值是有区别的,因为地震是小概率事件且持续时间较短,所以其抗震设计所采用的许用应力标准值应大于常规设计所采用的许用应力标准值。但脆性材料(如:电瓷产品)因无延性,其安全储备较小,所以本条要求其抗震设计所采用的许用应力标准值不应大于该材料强度设计值的1.1倍或破坏应力的0.5倍。
3.0.8 各类电气设备应可靠地固定在基础或支座上。
条文说明
3.0.8 该条是根据震害确定的,即浮放电气设备的震害远远大于固定设备的震害。该条的电气设备含箱式变电站。
4 变配电所电气设备布置
4 变配电所电气设备布置
4.0.1 自备电站、总变电所和重要生产区域变配电所中的室外主变压器、整流变压器、断路器、避雷器及电压或电流互感器等电气设备,宜布置在对抗震有利的地段。
条文说明
4.0.1 选择场地时,应按表1划分对抗震有利、不利和危险地段。
表1 有利、不利和危险地段的划分

4.0.2 设计基本地震加速度为0.20g及以上地区,电压为110kV和220kV的配电装置不宜采用高型布置或多层布置方式;管形母线宜采用悬挂结构。
4.0.3 分相式电抗器不宜采用垂直布置。
条文说明
4.0.3 当电抗器需采用垂直布置时,可采用环氧玻璃钢管进行固定。
5 抗震计算
5.1地面设备地震作用计算
5 抗震计算
5.1 地面设备地震作用计算
条文说明
本节是参照《中国地震动参数区划图》GB 18306和《石油化工电气设备抗震设计规范》SH 3048-1999编写的。
5.1.1 电气设备的抗震计算宜选用下列方法:
1 高度不超过30m,且以剪切变形为主的结构和近似于单质点体系的电气设备(含基础地面以上部分),可采用底部剪力法等简化方法;
2 除上款外的电气设备宜采用振型分解反应谱法。
条文说明
5.1.1 对于大多数电气设备都可采用底部剪力法,只有极少数高柔设备或体型分布严重不均匀的,需要采用振型分解反应谱法。
5.1.2 地面上的电气设备(或结构)地震影响系数应根据抗震设防烈度或设计基本地震加速度、设计地震分组、场地类别和结构自振周期、结构的阻尼比(图5.1.2)确定。其水平地震影响系数最大值应按表5.1.2-1的规定采用;特征周期值应根据场地类别和设计地震分组按表5.1.2-2的规定采用。场地类别应符合现行国家标准《建筑抗震设计规范》GB 50011 的有关规定。
条文说明
5.1.2 该条是根据最新修订的国标《构筑抗震设计规范》编制的。为保证本规范第1.0.1条和第1.0.3条的电气设备抗震设防目标的实现,本条规定的水平地震影响系数最大值是抗震设防烈度下的地震影响系数最大值,是《建筑抗震设计规范》GB 50011-2001和《石油化工刚制设备抗震设计规范》SH 3048-1999规定的多遇地震时地震影响系数最大值的3倍左右。

图5.1.2 地震影响系数曲线
α-地震影响系数;α max -地震影响系数最大值;T-结构自振周期;
T g -特征周期;η 1 -直线下降段的下降斜率调整系数;η 2 -阻尼调整系数。
表5.1.2-1水平地震影响系数最大值

表5.1.2-2特征 周期值(s)

5.1.3 地震影响系数曲线的直线下降段的下降斜率调整系数和阻尼调整系数,应按下列公式确定:
1 下降斜率调整系数:
η 1 =0.009﹙1-5ζ﹚ (5.1.3-1)
式中:η 1 ——地震影响系数直线下降段的下降斜率调整系数;
ζ——电气设备(或结构)的阻尼比。
2 阻尼调整系数:

﹙5.1.3-2﹚
式中:η 2 ——地震影响系数的阻尼调整系数,当小于0.55时应取0.55。
5.1.4 电气设备(或结构)的阻尼比可按下表规定取值。
条文说明
5.1.4 本规范给出的不同材料电气设备的阻尼比,钢或钢筋混凝土材料制作的结构或设备的阻尼比系数是参照《建筑抗震设计规范》GB 50011-2001给出的。众所周知,电瓷设备的阻尼比系数比较离散,室外实测值有时在地脉动(微震)情况下测得的,其值小于在地震(强震)情况下的阻尼比系数,所以本规范的电瓷设备阻尼比系数值是根据室内振动台部分原型实验值(见表2)归纳的。从表2 可以看出,除个别实验值偏大外,大多数都在0.03左右。 表2 部分电瓷型电气设备振动特性振动台部分实测值

表5.1.4 电气设备(或结构)的阻尼比

5.1.5 采用底部剪力法时,电气设备(或结构)的水平地震作用标准值(图5.1.5):可按下列公式计算:
条文说明
5.1.5 本条是参照《建筑抗震设计规范》GB 50011-2001给出的。

(5.1.5-1)

(5.1.5-2)

(5.1.5-3)
式中:F H ——电气设备(或结构)的总水平地震作用标准值(N);
g——重力加速度(m/s 2 ),取9.81;
α 1 ——对应于电气设备(或结构)基本自振周期的水平地震影响系数;
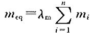
m eq ——电气设备(或结构)在操作状态下的等效总质量(kg);
λm——等效质量系数,单质点体系取1;
多质点体系取0.85;
F i ——作用于质点i的水平地震作用标准值(N);
m i ——集中在质点i的操作状态下的质量(kg);
H i ——质点i的计算高度(m);
n——质点数;
δ——弯曲变形影响指数,按表5.1.5选取。

表5.1.5 弯曲变形影响指数

5.1.6 采用振型分解反应谱法时,电气设备(或结构)的地震作用标准值和作用效应应按下列公式计算:
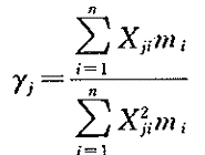
1 电气设备j振型i质点的水平地震作用标准值:

(5.1.6-1)

(5.1.6-2)
(i=1,2…n;j=1,2…k)
式中:F H ji ——笫j振型i质点的水平地震作用标准值(N);
α j ——电气设备(或结构)第j振型自振周期的地震影响系数;
γ j ——第j振型的振型参与系数;
X ji ——第j振型第i质点的水平相对位移;
k ——振型数,通常可取前(2~3)阶振型;当基本自振周期大于1.5s时,振型数不宜少于3阶。
2 水平地震作用标准值的作用效应(包括弯矩、剪力、轴向力):

(5.1.6-3)
式中:S H ——水平地震作用标准值的效应;
S H j ——j振型水平地震作用标准值的效应。
5.1.7 设计基本地震加速度不小于0.20g、长悬臂或大跨度设备应计入竖向地震作用影响。
5.1.8 垂直于地面的电气设备,竖向地震作用标准值可取其水平地震作用标准值的60%;非垂直于地面的电气设备,竖向地震作用标准值可取该设备垂直于地面时水平地震作用标准值的70%。
条文说明
5.1.8 在地震时地面上的结构物除受到水平地震的影响外,还要受到竖向地震的影响。竖向地震的影响大小,除与地震类型、震中距等非人为因素有关外,还与结构物摆放形式有关。经研究,当结构物垂直于地面时,结构物受竖向地震的影响较非垂直于地面时要小。所以,在考虑竖向地震影响时,垂直于地面的电气设备的竖向地震影响取水平地震影响的60%,而非垂直于地面的电气设备的竖向地震影响取水平地震影响的70%。
5.2楼层设备地震作用计算
5.2 楼层设备地震作用计算
条文说明
本节是根据《建筑抗震设计规范》GB 50011-2001和《石油化工钢制设备抗震设计规范》SH 3048-1999编写的。
本节的各公式引自《石油化工钢制设备抗震设计规范》SH 3048-1999,《建筑抗震设计规范》GB 50011-2001。
5.2.1 楼层上的电气设备所在楼层的动力放大系数应按图5.2.1确定。其中,当确定基本自振周期时,可将建筑物和构筑物视为电气设备的刚性基础。

图5.2.1 楼层的动力放大系数曲线
β-楼层动力放大系数;T s -支承电气设备的建筑和建筑物的基本自振周期(s);T e -电气设备的基本自振周期(s)
5.2.2 确定支承电气设备的建筑物和构筑物的自振周期时,其质量应包括楼层上的电气设备及其附属物的质量。在楼层详细设计(即施工图)完成前,对钢结构建筑物和构筑物可取100kg/m 2 ~150kg/m 2 ,对钢筋混凝土结构建筑物和构筑物可取450kg/m 2 ~600kg/m 2 。
5.2.3 建筑物和构筑物的基本自振周期可按下列公式计算:
1 钢结构建筑物和构筑物的基本自振周期:
T s =0.03H s (5.2.3-1)
式中: T s ——自振周期(s);
H s ——建筑物和构筑物的总高度(m)。
2 钢筋混凝土结构建筑物和构筑物的基本自振周期:

(5.2.3-2)
3 砖混结构建筑物和构筑物的基本自振周期:

(5.2.3-3)
5.2.4 楼层上电气设备的水平地震作用标准值计算应符合下列规定:
1 支承电气设备的多层建筑物和构筑物的抗震计算模型可按本规范图5.1.5确定;
2 第i层楼层的加速度系数应按下式计算:

(5.2.3-3)
式中: 
——第i层楼层的加速度系数;
F i ——第i层楼层的水平地震作用标准值(N)。
3 第i层楼层上的电气设备的水平地震影响系数应按下式计算:

(5.2.4-2)
式中: α si ——第i层楼层上的电气设备的水平地震影响系数。
4 第i层楼层上的电气设备的水平地震作用标准值应按下式计算:

(5.2.4-3)
式中: 
——第i层楼层上电气设备的水平地震作用标准值(N)。
5 楼层上的电气设备计算的水平地震作用标准值,若小于按建在地面上所得到的水平地震作用标准值时,应采用建在地面上所得到的水平地震作用标准值。
条文说明
5.2.4 本条中的等效地面加速度可以为向厂家订货时提出的条件。当计算等效加速度小于基本地震加速度时,应取设计基本地震加速度值。
5.2.5 在初步设计阶段,楼层上电气设备的水平地震作用标准值可按下式计算:
条文说明
5.2.5 该条中规定了楼层上的设备在初步设计时的简易计算方法。该方法的设计基本加速度值是地面设计基本加速度值的两倍。这相当于楼层设备的地震作用为地面设备地震作用的两倍。

(5.2.5)
5.3电力变压器类
5.3 电力变压器类
条文说明
本节是根据《石油化工企业电气设备抗震鉴定标准》SH 3071-95编写的,取消了地震作用效应调整系数和结构影响系数。
鉴于在地震中大容量变压器的震害比较严重,造成的经济损失和社会影响较大,提高大容量变压器的抗震性能是增强企业电力系统抗震能力的关键。唐山地震后,当时中国石化集团公司抗震办公室组织了有关单位的工程技术人员.对大型变压器的抗震性能进行研究(本规范的主要编制人员参加了这项工作)。主要工作如下:
1)大型变压器的抗震性能研究的主要内容和目的如下:
①确定大型变压器的动力特性和计算方法。
②确定大型变压器和附属设施的动力反应,找出抗震的薄弱部位。
③鉴定在役大型变压器的抗震能力。
2)大型变压器的抗震性能研究的主要方法如下:
①采用脉动法、激振法和模态法,进行现场测试。
③利用三向六自由度大型震动台,进行实物振动试验。
④进行理论推导,建立计算模型和方法。
3)经上述研究和震害得到了以下几点结论:
①变压器铁芯的地震加速度比壳体要小,应力也小。
②变压器的壳体和铁芯,在振动台上模拟相当于9度的地震作用时,未发现异常;因此,可满足地震设防烈度为6度~9度地区的抗震要求。
③变压器浮放造成地震时整体位移是震害的主要原因,仅采取限位措施,震害证明是不够的,所以本规范规定应采取固定措施。
④大型变压器的油枕和散热器与本体连接较薄弱;经振动台试验证明,地震时变压器本体会产生二次放大作用,使油枕和散热器的加速度值为本体输入值的2倍以上。
⑤经研究表明,变压器的硬母线加软连接,对保护变压器的瓷套管有较好的保护作用。
⑥因为变压器属于刚体结构,因此本规范规定,变压器的地震影响系数取最大值。
根据上述各种试验研究结果分析和理论推导,本规范给出了简单、可靠和易操作的计算方法和公式。
5.3.1 变压器应对下列部位进行抗震验算:
1 变压器的地脚螺栓;
2 变压器与悬臂式散热器之间的连接管;
3 变压器油枕的支腿。
5.3.2 变压器(含消弧线圈、油浸电抗器等)的地脚螺栓抗震验算应符台下列规定:
1 地面上的变压器本体的水平地震作用计算应符合本规范第5.1.5条的规定,其中水平地震影响系数可按本规范表5.1.2-1的规定确定;
2 楼层上的变压器本体的水平地震作用计算,应符合本规范第5.2节的规定,其中变压器的基本自振周期可取0.1s;
3 地脚螺栓在地震作用下所产生的各种效应应按下列规定计算:
1)当设计基本地震加速度小于等于0.15g时,拉应力应按下式计算:

(5.3.2-1)
2)当设计基本地震加速度大于0.15g时,拉应力应按下式计算,并应计入竖向地震作用:

(5. 3.2-2)
式中:σ 0 ——地脚螺栓的拉应力(Pa);
F H ——变压器本体的水平地震作用标准值(N);
F v ——变压器本体的竖向地震作用标准值(N);
n——地脚螺栓个数;
A b ——每个地脚螺栓的有效截面积(m 2 );
l b ——地脚螺栓的最小间距(m);
H v ——变压器本体高度1/2处至基础顶面的距离(m);
m eq ——变压器的等效总质量(kg)。
3)当设计基本地震加速度为小于等于0.15g时,剪应力应按下式计算:

(5. 3.2-3)
4)当设计基本地震加速度大于0.15g时,剪应力应按下式计算,并应计入竖向地震作用:

(5. 3.2-4)
式中:τ 0 ——地脚螺栓的剪应力(Pa)。
5)变压器地脚螺栓截面的抗震验算应分别满足下列公式要求:
σ 0 ≤[σ] d (4.3.2-5)
τ 0 ≤ [τ] d (4.3.2-6)
式中:[σ] d ——地脚螺栓拉伸许用应力设计值(Pa),按本规范笫3.0.7条规定确定;
[τ] d ——地脚螺栓许用剪应力设计值(Pa),可取地脚螺栓拉伸许用应力设计值的0.7倍。
5.3.3 变压器的悬臂式散热器的抗震验算应符合下列规定:
1 散热器的地震作用标准值应按下列公式计算:
F Hf =α max m f g (5.3.3-1)
F vf =0.7 F Hf (5.3.3-2)
式中: F Hf ——散热器的水平地震作用标准值(N);
F vf ——散热器的竖向地震作用标准值(N);
m f ——散热器的质量(kg)。
2 水平地震作用下散热器与变压器本体连接管的弯曲应力应按下式计算:

(5.3.3-3)
式中:σ 1 ——水平地震作用下散热器与变压器本体连接管的弯曲应力(Pa);
l——散热器中心至变压器本体边缘的间距(m);
D——散热器与变压器连接管的外径(m);
n——散热器与变压器本体连接管的根数;
I——单根连接管的截面惯性矩(m 4 )。
3 水平地震作用下散热器与变压器本体连接管的剪应力应按下式计算:

(5.3.3-4)
式中:τ 1 ——水平地震作用下散热器与变压器本体连接管的剪应力(Pa);
A——一根连接管的截面面积(m 2 )。
4 当设计基本地震加速度大于0.15g时,竖向荷载作用下散热器与变压器本体连接管的弯曲应力应按下式计算:

(5.3.3-5)
式中:σ 2 ——竖向荷载作用下散热器与变压器本体连接管的弯曲应力(Pa)。
5 当设计基本地震加速度大于0.15g时,竖向荷载作用下散热器与变压器本件连接管的剪应力应按下式计算;

(5.3.3-6)
式中:τ 2 ——竖向荷载作用下散热器与变压器本体连接管的剪应力(Pa)。
6 散热器与变压器连接管的组合应力应按下列公式计算:

(5.3.3-7)

(5.3.3-8)

(5.3.3-9)
式中:σ——连接管的组合应力(Pa);
σ 0 ——组合弯曲应力(Pa);
τ 0 ——组合剪切应力(Pa)。
7 散热器与变压器本体连接管截面的抗震验算应满足下式要求:
σ≤[σ] (5.3.3-10)
式中:[σ]——散热器与变压器本体连接管的许用应力设计值(Pa),应按本规范第3.0.7条规定确定。
5.3.4 变压器油枕的支腿抗震验算应符合下列规定:
1 变压器的油枕地震作用标准值应按下列公式计算:

(5.3.4-1)

(5.3.4-2)
式中: F H0 ——变压器油枕的水平地震作用标准值(N);
F v0 ——变压器油枕的竖向地震作用标准值(N);
m 0 ——变压器油枕的质量(kg)。
2 水平地震作用下变压器油枕的支腿的拉应力或压应力应按下式计算:

(5.3.4-3)
式中: 
——水平地震作用下变压器油枕的拉应力或压应力(Pa);
h——油枕1/2处至变压器与油枕支腿连接处的距离(m);
Z 1 ——油枕单个支腿沿油枕纵向的截面矩(m 3 )。
3 水平地震作用下变压器油枕的支腿的剪应力应按下式计算:

(5.3.4-4)
式中:τ 1 ——水平地震作用下变压器油枕的支腿的剪应力(Pa);
A ——油枕一个支腿的截面面积(m 2 )。
4 竖向荷载作用下,变压器油枕的支腿的压应力应按下列公式计算:
1)当设计基本地震加速度小于等于0.15g时:

(5.3.4-5)
式中: 
——变压器油枕支腿的压应力(Pa)。
2)当设计基本地震加速度大于0.15g时:

(5.3.4-6)
5 变压器油枕支腿截面的组合应力应按本规范第5.3.3条公式5.3.3-7、公式5.3.3-8计算。
6 变压器油枕支腿截面的抗震验算应满足下式要求:
σ≤[σ] (5.3.4-7)
式中:[σ]——变压器油枕支腿的许用应力设计值(Pa),应按本规范第3.0.7条规定确定。
5.4三相垂直布置电抗器
5.4 三相垂直布置电抗器
条文说明
本节是根据三相电抗器的简化模型取一阶振型推导编写的,计算公式中未考虑竖向地震作用,如需要考虑竖向地震作用,可将三相电抗器水平地震影响系数取60%计算.并参与荷载效应的组合即可。
5.4.1 三相垂直布置电抗器(以下简称电抗器)应对每层支撑瓷瓶进行抗震验算。
5.4.2 电抗器的抗震验算时,可简化为串联三自由度计算模型,各质点质量应分别取各相电抗器的质量,且位于质心处。
条文说明
5.4.2 根据抗震验算三相电抗器自振周期大多在0.1s左右,个别小于0.1s,故建议三相电抗器自振周期可取0.1s。
5.4.3 电抗器的基本自振周期可按下列公式计算,并可在简化计算时取0.1s。

式中:K i ——第i层支承瓷瓶柱的侧移刚度(N/m);
E——支承瓷瓶柱材料的弹性模量(Pa);
I i ——单根第i层支承瓷瓶柱的截面惯性矩(m 4 );
n i ——第i层支承瓷瓶柱的数目;
H i ——质点i的高度(m);
h i ——第i层支承瓷瓶柱的高度(m);
m i ——第i质点的质量(kg)。
5.4.4 电抗器每层质点水平地震作用标准值应按本规范第5.1. 5条的规定进行计算。
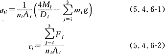
5.4.5 每层支承瓷瓶柱底部弯矩应按下列公式计算:

(5.4.5-1)

(5.4.5-2)

(5.4.5-3)
式中:M 1 、M 2 、M 3 ——分别为第1、2、3层支承瓷瓶柱底部弯矩(N·m);
h——单相电抗器的高度(m)。
5.4.6 每层支承瓷瓶柱的拉应力和剪应力应分别按下列公式计算:

式中:σ ti ——第i层支承瓷瓶柱的底部拉应力(Pa);
τ i ——第i层点承瓷瓶柱的剪应力(Pa);
A i ——单根第i层支承瓷瓶柱的有效截面积(m 2 );
D i ——第i层支承瓷瓶柱的中心圆直径(m)。
5.4.7 每层支承瓷瓶柱的截面抗震验算应满足下列公式要求:
σ ti ≤[σ] (5.4.7-1)
τ i ≤[τ] (5.4.7-2)
式中:[σ]——支承瓷瓶柱的许用拉应力设计值(Pa),应按本规范第3.0.7条规定确定。
[τ]——支承瓷瓶柱的许用剪应力设计值(Pa),应按本规范第3.0.7条规定确定。
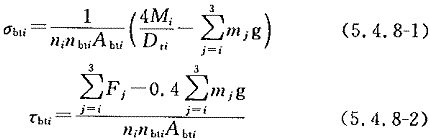
5.4.8 电抗器各层地脚螺栓的拉应力和剪应力应分别按下列公式计算:

式中:σ bti ——第i层支承瓷瓶柱地脚螺栓的拉应力(Pa),当计算值小于0时,应取0;
τ bti ——第i层支承瓷瓶柱地脚螺栓的剪应力(Pa),当计算值小于0时,应取0;
n bti ——第i层单根支承瓷瓶柱的地脚螺栓数;
A bti ——第i层支承瓷瓶柱一个地脚螺栓的有效截面积(m 2 );
D ti ——第i层支承瓷瓶拄地脚螺栓的中心圆直径(m)。
5.4.9 电抗器各层地脚螺栓截面的抗震验算应分别满足下列公式要求:
σ bti ≤[σ bt ] (5.4.9-1)
τ bti ≤[τ bt ] (5.4.9-2)
式中:[σ bt ]——地脚螺栓的许用拉应力设计值(Pa),应按本规范第3.0.7条规定确定;
[τ bt ]——地脚螺栓的许用剪切应力设计值(Pa),宜取其许用拉应力的0.7倍。
5.5断路器、避雷器等细长电瓷类设备
5.5 断路器、避雷器等细长电瓷类设备
5.5.1 断路器、避雷器等细长电瓷件应对下列部位进行抗震验算:
1 断路器、避雷器等细长电瓷件的瓷件根部;
2 有绝缘拉杆的避雷器在绝缘拉杆上面一节瓷件的根部。
条文说明
5.5.1 断路器及避雷器都为悬臂结构,根据震害调查和实型试验分析,危险断面大多发生在根部,所以需对瓷件根部截面进行验算。
断路器、避雷器属于细长高型电瓷世备,在历次地震中,其震害都比较严重,甚至在地震烈度为六、七度时,也有震害发生。所以,各国对其抗震性能的研究都比较重视。我国从海城、唐山地震后,有关单位也陆续地开展了大量的研究工作。
1)断路器、避雷器抗震研究的主耍内容有以下几个方面:
① 现场测试其动力特性参数。
② 利用大型振动台,进行实物的动力特性参数和抗震性能试验。
③ 断路器减震器和避雷器阻尼装置的研制。
④ 高强度电瓷材料的研制。
⑤ 断路器(避雷器)安装减震器(阻尼装置)前、后的计算模型和方法。
2)通过上述研究,得到了以下几点有价值的结论:
① 断路器的自振频率一般在3Hz左右,临界阻尼比在3%左右;避雷器的自振频率一般在5Hz以下,临界阻尼比在2%左右。
② 由普通电气陶瓷制造的瓷套或瓷捧,其弹性模量和破坏强度的离散性很大,破坏强度较低(一般在12MPa~20MPa);而高强度瓷件的破坏强度可达到70MPa以上,这将大幅度提高了设备的抗震能力。
③ 安装减(隔)震器,经试验可以大幅度地减小设备所受到的地震作用。使设备所验算部位的最大组合应力折减50%左右,具有很好的抗震效果。
④ 当设备的引线采用硬母线连接时,对设备的抗震性能有不利的影响;加设软连接后,则提高了设备的抗震性能。
⑤ 断路器一般是安装在支架上的,而支架对断路器的抗震性能有较大的影响;选择合适的支架刚度和质量(降低支架的高度),可以使整体结构的自振频率避开所安装场地的卓越频率,减小设备的地震反应。
3)鉴于上述研究成果,本规范做出了以下几项规定:
① 本规范中断路器和无绝缘拉杆避雷器自振周期计算公式的计算模型是按质量和刚度均匀分布的连续杆,并根据能量法推导得到的。因断路器和避雷器为多节瓷瓶由螺栓连接而成,节点间为弹性连接,所以,实测刚度比计算刚度要小。根据试验结果和计算结果的比较分析,本规范选用了刚度折减系数来反映这一差异,并规定断路器的刚度折减系数取0.2,无绝缘拉杆避雷器的刚度折减系数取0.22。
② 有绝缘拉杆避雷器自振周期计算公式的计算模型是按质量和刚度均匀分布的连续杆,且在杆的5/8处有一限制水平位移的铰支座,并根据瑞雷-利兹法推导得到的。其刚度折减系数0.051隐含在公式内。
③ 随着科学进步,电气陶瓷的制造工艺也在不断提高,断路器和避雷器等由原来强度较低的普通电气陶瓷制造,到目前陶瓷的强度越来越高;所以本规范要求电瓷件应选用高强度抗震型陶瓷。另外本规范还规定该类设备为减小设备的地震反应可安装减震器,并以规范性附录形式给出了具体规定与要求。
④ 因断路器和避雷器的瓷瓶横截面面积是不规则变化的,所以本规范为保证安全,对所验算部位的应力应乘以不均衡系数(取1.67)。
有绝缘拉杆避雷器(如部分220kV避雷器),根据震害分析和内力计算发现,在绝缘拉杆上面一节瓷瓶根部的内力较大,所以需对该截面进行抗震验算。
参照有关单位对500kV避雷器的振动台试验报告,当瓷件最产生破坏,所以此条只要求对瓷件的应力进行抗震验算。
参照有关单位对500kV避雷器的振动台试验报告,当瓷件最大应力达到14×106Pa时,底部瓷瓶的法兰连接螺栓的最大应力只达到56×105Pa,远小于螺栓的许用应力,地震时一般不会在此产生破坏,所以此条只要求对瓷件的应力进行抗震验算。
5.5.2 地面上的断路器和避雷器的基本自振周期可按下列规定计算,并可在简化计算时取0.1s。
条文说明
5.5.2 根据某公司生产的66kV、126kV、252kV棍形支柱绝缘子,126kV、252kV出线瓷套和110kV、220kV避雷器等高压电瓷产品的抗震验算表明,其自振周期大多在0.1s左右,个别小于0.1s;所以,建议这类产品的自振周期可取0.1s。 本条给出的断路器及无绝缘拉杆的避雷器的自振周期计算公式,是按质量均匀分布的连续杆计算模型推导的,因为断路器及避雷器基奉上为一连续介质且无明显突加质量的悬臂结构。由于断路器、避雷器为多节瓷瓶由螺栓连接而成,节点间为弱性连接,使实测刚度比计算刚度小。根据设备在振动台的试验结果,选用了侧移刚度折减系数来反映这一因素。根据试验结果、分析结果,对断路器选用0.2;对避雷器选用0.22。有绝缘拉杆的避雷器由于其精确解求解困难,可利用瑞雷利兹法求其上限解(频率偏高、周期偏低,故安全)。
1 断路器及无绝缘拉杆的避雷器的基本自振周期可按下式计算:

(5.5.2-1)
式中:T——设备的基本振周期(s);
m e ——设备的总质量(kg);
H——设备的总高(m);
E——瓷件材料的弹性模量(Pa);
λ——侧移刚度折减系数,断路器可取0.2,避雷器可取0.22;
I——瓷件根部的惯性矩(m 4 )。
2 有绝缘拉杆的避雷器的基本自振周期可按下式计算:

(5.5.2-2)
5.5.3 地面上的断路器和避雷器的水平地震作用标准值和计算截面弯矩应按下列规定计算。
1 无绝缘拉杆避雷器和断路器水平地震作用标准值和计算截面弯矩,应分别按下列公式计算:
F H =α 1 m e g (5.5.3-1)

(5.5.3-2)
式中:F H ——避雷器及断路器的水平地震作用标准值(N);
M——计算截面的弯矩(N·m);
α 1 ——地震影响系数,应按本章第5.1.2条规定确定;
h——计算截面距设备根部的高度(m)。
2 有绝缘拉杆避雷器的水下地震作用标准值和计算截面弯矩可按下列规定计算。
1)有绝缘拉杆避雷器的水平地震作用标准值可按下式计算:
F H =α 1 mg (5.5.3-3)
2)拉杆与避雷器连接部位的弯矩应按下式计算:
当 
时 
(5.5.3-4)
3)拉杆与避雷器连接部位以下的弯矩,应按下式计算:
当 
时 
(5.5.3-5)
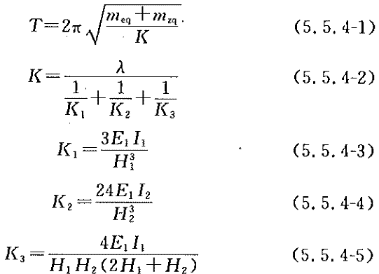
5.5.4 支座上的断路器、避雷器等细长瓷套的基本自振周期可按下列公式计算,并可在简化计算时取0.1s。

式中:m eq ——体系的等效质量(kg),可取电气设备的总质量(包括所有部件和油的质量);
m zq ——支座等效质量(kg),可取支座等效质量的1/3;
K——体系的侧移刚度(N/m);
E 1 ——支座材料弹性模量(Pa);
I 1 、I 2 ——分别为支座截面、瓷件截面的惯性矩(m 4 );
H 1 、H 2 ——分别为支座高度、设备高度(m)。
5.5.5 支座上的断路器和避雷器的根部组合弯矩应按下式计算:

(5.5.5)
式中:M sg ——支座上的断路器及避雷器根部的组合弯矩(N·m)。
5.5.6 断路器和避雷器的计算截面应力应按下式计算:

(5.5.6)
式中:σ sg ——计算截面的应力(Pa);
W——计算截面的截面模量(m 3 );
k——不均衡系数,可取1.67。
5.5.7 断路器及避雷器的计算截面抗震验箅应满足下式要求:
σ sg ≤[σ] (5.5.7)
式中:[σ]——验算部位材料的许用应力设计值(Pa),应按本规范第3.0.7条的规定确定。
6 电气设备安装设计的抗震措施
6.1电力变压器类
6 电气设备安装设计的抗震措施
6.1 电力变压器类
6.1. 1 变压器、消弧线圈和油浸电抗器等安装时,宜拆除滚轮,并应采用地脚螺栓等方法固定。
条文说明
6.1.1 变压器因浮放受地震而破坏的情况,在许多震害调查报告中已有论述。关于固定方式有两种意见,一种认为应用螺栓或焊接的方式;一种认为应采用打拉线或其他弹性固定。在经过振动台试验后,证明铁芯加速度比变压器外壳小,应力也不大。在企业以往的加固工作中,有的变压器只是用角钢等进行限位,在大地震时仍有可能发生位移,抗震效果不太明显,因此,应采取螺栓或其他方式固定。
6.1.2 大型变压器的悬臂式散热器可采用固定在变压器本体上的钢架支承或采用扁钢沿散热器环形连接。
条文说明
6.1.2 大型变压器的油枕和散热器与本体连接较薄弱,而且地震时会产生二次放大作用。在振动台进行的试验证明,油枕和散热器的加速度值为本体输入值的2倍或更大,所以要进行验算,并应按本条采取抗震措施,其目的是提高散热器整体抗震能力。
6.1.3 单独设置的油冷却器与变压器本体之间的连接管,在靠近变压器处应设柔性接头和切断阀。散热器、潜油泵和连接管与基础间的最小间距不应小于200mm。
条文说明
6.1.3
本条是为防止地震时油管折断,油大量泄漏使变压器无法运行而制定的。
6.1.4 变压器套管连接引线宜采用软导线并留有伸长余量。当绝缘间距不符合要求时可采用弹簧线夹。
条文说明
6.1.4 变压器采用软母线连接或硬母线加软连接对保护变压器瓷套管有很大作用。地震时影响因素很多,对软连接详细计算较困难,本条规定只是根据各企业的经验,综合总结得出的。
6.1.5 变压器套管当采用硬母线连接且截面大于50mm×5mm时,应加设软连接;软连接宜采用铜编织带制成。软连接应安装在变压器与外部连接母线的第一个支持点之间,并宜靠近套管。
6.1.6 杆上变压器的下部应采用螺栓与下横梁固定,变压器的上部与电杆之间也宜采取固定措施。
6.2各类电瓷设备
6.2 各类电瓷设备
6.2.1 电压为110kV及以上的断路器和避雷器宜采用低位布置。电压(或电流)互感器的底部,应固定在基础、支架或支柱上。
6.2.2 电瓷类设备引线以及设备之间连线宜采用软导线,并应留有伸长余量;当采用硬母线或管形母线连接时,应加设软连接或伸缩接头。
条文说明
6.2.2 本条要求是防止地震时因引线连接过紧对瓷件产生不利影响。根据国内外的研究表明,软引线连接对电气设备本身影响较小,而硬连接的引线对设备的影响较大。
6.2.3 断路器、避雷器等电瓷类设备应采用抗震性能较高的产品,导体引线长度应满足抗震设防烈度下的地震位移要求。
6.3电力电容器、蓄电池
6.3 电力电容器、蓄电池
6.3.1 电力电容器应固定在支架上。电压为6kV或10kV的电力电容器可采用两侧支耳或提环固定。
6.3.2 电力电容器的引线宜采用软导线。抗震设防烈度8度、9度时,硬母线应加设软连接。
6.3.3 蓄电池宜选用干式蓄电池.并应设有防止位移和倾倒的措施。当采用支架固定时,支架应与地面、墙或基础固定。
6.3.4 蓄电池之间宜采用软导线或电缆连接;端电池宜采用电缆作为引出线。
6.3.5 直流屏、不间断供电设备(简称UPS)内安装的蓄电池盒应设有防止滑出脱落的措施。
6.4屏、柜、箱类设备
6.4 屏、柜、箱类设备
6.4.1 高压开关柜、低压配电屏、控制保护屏、直流屏、不间断供电设备(简称UPS)和配电箱类,宜用地脚螺栓固定在基础上。
6.4.2 抗震设防烈度8度、9度时,成列高压开关柜、低压配电屏及控制保护屏等柜(或屏)之间,应在设备重心以上采用螺栓连结成整体。柜(或屏)间连接的硬母线在通过建筑物防震缝、沉降缝、伸缩缝处,应加设软连接。
6.4.3 高压移开式开关柜和低压抽出式配电屏的二次电缆插头应设有防松动措施。
条文说明
6.4.3 部分企业的移开(手车)式开关柜和低压抽出(抽屉)开关柜二次电缆采用刷式插头,这种插头在地震时极易松动,使其失去操作电源。
6.4.4 高压开关柜、低压配电屏和控制保护屏上的继电器和仪表应采用螺栓或安装夹具固定。
6.4.5 高压移开式开关柜的移动单元应设有定位锁住机构。固定式高压开关柜上的隔离开关应设有定位锁住机构。低压抽出式配电屏的抽出单元处于工作位置时,应设有机械锁住机构。
6.4.6 控制保护屏、励磁屏及其地柜屏中的电路板插件应设有防止松动的锁住机构。
6.5电抗器、整流柜类
6.5 电抗器、整流柜类
6.5.1 电抗器和整流柜的支撑瓷瓶宜采用强度较高的瓷件。
6.5.2 抗震设防烈度8度、9度时,分相式电抗器宜采用平面布置。当采用垂直布置时,应校核各截面支撑瓷瓶的强度;当支撑瓷瓶强度不满足抗震要求时.应根据校核结果更换为强度更高的瓷瓶或采取其他抗震措施。
6.5.3 整流柜在安装前应对支撑瓷瓶进行抗震强度校核,当产品不能满足抗震要求时,应根据校核结果更换为截面较大或强度更高的瓷瓶,也可增加瓷瓶的数量。
附录A电气设备的减震与隔震设计
附录A 电气设备的减震与隔震设计
条文说明
本附录是参照电力行业标准《高压电力设备减震技术规定》和《石油化工企业电气设备抗震设计规范》SH 3048-1999的相关内容,并结合多年来电气设备抗震设计的实际经验而编写的。
A.0.1 减震措施可分为装设隔震器和减震器。常用的减震器包括橡胶阻尼器、阻尼垫和剪弯型、拉压型、剪切型等铅合金减震器以及其他减震装置。
A.0.2 应根据电气设备的结构特点、使用要求、自振周期及场地类别等,选择相适用的减震或隔震措施。
A.0.3 冬季环境温度低于-15℃及以下地区,应选用有耐低温性能的橡胶阻尼器。
A.0.4 隔震器和减震器应满足强度和位移要求。
A.0.5 隔震器或减震器宜设置在支架或电气设备与基础、建筑物及构筑物的连接处。
A.0. 6 采用减振或隔震措施时,不应影响电气设备的正常使用功能。
本规范用词说明
本规范用词说明
1 为便于在执行本规范条文时区别对待,对要求严格程度不同的用词说明如下:
1)表示很严格,非这样做不可的:
正面词采用“必须”,反面词采用“严禁”;
2)表示严格,在正常情况下均应这样做的:
正面词采用“应”,反面词采用“不应”或“不得”;
3)表示允许稍有选择,在条件许可时首先应这样做的:
正面词采用“宜”,反面词采用“不宜”;
4)表示有选择,在一定条件下可以这样做的,采用“可”。
2 条文中指明应按其他有关标准执行的写法为:“应符合……的规定”或“应按……执行”。
引用标准名录
引用标准名录
《建筑抗震设计规范》 GB 50011-2001
