Appearance
《建筑地基处理技术规范》JGJ 79-2012
🗓️ 住房和城乡建设部 实施时间:2013-06-01
前言
前 言
根据住房和城乡建设部《关于印发(2009年工程建设标准规范制订、修订计划)的通知》(建标[2009]88号)的要求,规范编制组经广泛调查研究,认真总结实践经验,参考有关国际标准和国外先进标准,与国内相关规范协调,并在广泛征求意见的基础上,修订了《建筑地基处理技术规范》JGJ 79-2002。
本规范主要技术内容是:1.总则;2.术语和符号;3.基本规定;4.换填垫层;5.预压地基;6.压实地基和夯实地基;7.复合地基;8.注浆加固;9.微型桩加固;10.检验与监测。
本规范修订的主要技术内容是:1.增加处理后的地基应满足建筑物承载力、变形和稳定性要求的规定;2.增加采用多种地基处理方法综合使用的地基处理工程验收检验的综合安全系数的检验要求;3.增加地基处理采用的材料,应根据场地环境类别符合耐久性设计的要求;4.增加处理后的地基整体稳定分析方法;5.增加加筋垫层设计验算方法;6.增加真空和堆载联合预压处理的设计、施工要求;7.增加高夯击能的设计参数;8.增加复合地基承载力考虑基础深度修正的有粘结强度增强体桩身强度验算方法;9.增加多桩型复合地基设计施工要求;10.增加注浆加固;11.增加微型桩加固;12.增加检验与监测;13.增加复合地基增强体单桩静载荷试验要点;14.增加处理后地基静载荷试验要点。
本规范中以黑体字标志的条文为强制性条文,必须严格执行。
本规范由住房和城乡建设部负责管理和对强制性条文的解释,由中国建筑科学研究院负责具体技术内容的解释。执行过程中如有意见或建议,请寄送中国建筑科学研究院(地址:北京市北三环东路30号邮政编码:100013)。
本规范主编单位:中国建筑科学研究院
本规范参编单位:机械工业勘察设计研究院 湖北省建筑科学研究设计院 福建省建筑科学研究院 现代建筑设计集团上海申元岩土工程有限公司 中化岩土工程股份有限公司 中国航空规划建设发展有限公司 天津大学 同济大学 太原理工大学 郑州大学综合设计研究院
本规范主要起草人员:滕延京 张永钧 闫明礼 张峰 张东刚 袁内镇 侯伟生 叶观宝 白晓红 郑刚 王亚凌 水伟厚 郑建国 周同和 杨俊峰
本规范主要审查人员:顾国荣 周国钧 顾晓鲁 徐张建 张丙吉 康景文 梅全亭 滕文川 肖自强 潘凯云 黄新
1 总则
1 总则
1.0.1 为了在地基处理的设计和施工中贯彻执行国家的技术经济政策,做到安全适用、技术先进、经济合理、确保质量、保护环境,制定本规范。
1.0.2 本规范适用于建筑工程地基处理的设计、施工和质量检验。
1.0.3 地基处理除应满足工程设计要求外,尚应做到因地制宜、就地取材、保护环境和节约资源等。
1.0.4 建筑工程地基处理除应符合本规范外,尚应符合国家现行有关标准的规定。
2 术语和符号
2.1 术语
2 术语和符号
2.1 术语
2.1.1 地基处理 ground treatment,ground improvement
提高地基承载力,改善其变形性能或渗透性能而采取的技术措施。
2.1.2 复合地基 composite ground,composite foundation
部分土体被增强或被置换,形成由地基土和竖向增强体共同承担荷载的人工地基。
2.1.3 地基承载力特征值 characteristic value of subsoil bearing capacity
由载荷试验测定的地基土压力变形曲线线性变形段内规定的变形所对应的压力值,其最大值为比例界限值。
2.1.4 换填垫层 replacement layer of compacted fill
挖除基础底面下一定范围内的软弱土层或不均匀土层,回填其他性能稳定、无侵蚀性、强度较高的材料,并夯压密实形成的垫层。
2.1.5 加筋垫层 replacement layer of tensile reinforcement
在垫层材料内铺设单层或多层水平向加筋材料形成的垫层。
2.1.6 预压地基 preloaded ground,preloaded foundation
在地基上进行堆载预压或真空预压,或联合使用堆载和真空预压,形成固结压密后的地基。
2.1.7 堆载预压 preloading with surcharge of fill
地基上堆加荷载使地基土固结压密的地基处理方法。
2.1.8 真空预压 vacuum preloading
通过对覆盖于竖井地基表面的封闭薄膜内抽真空排水使地基土固结压密的地基处理方法。
2.1.9 压实地基 compacted ground,compacted fill
利用平碾、振动碾、冲击碾或其他碾压设备将填土分层密实处理的地基。
2.1.10 夯实地基 rammed ground,rammed earth
反复将夯锤提到高处使其自由落下,给地基以冲击和振动能量,将地基土密实处理或置换形成密实墩体的地基。
2.1.11 砂石桩复合地基 composite foundation with sandgravel columns
将碎石、砂或砂石混合料挤压入已成的孔中,形成密实砂石竖向增强体的复合地基。
2.1.12 水泥粉煤灰碎石桩复合地基 composite foundation with cement-fly ash-gravel piles
由水泥、粉煤灰、碎石等混合料加水拌合在土中灌注形成竖向增强体的复合地基。
2.1.13 夯实水泥土桩复合地基 composite foundation with rammed soil-cement columns
将水泥和土按设计比例拌合均匀,在孔内分层夯实形成竖向增强体的复合地基。
2.1.14 水泥土搅拌桩复合地基 composite foundation with cement deep mixed columns
以水泥作为固化剂的主要材料,通过深层搅拌机械,将固化剂和地基土强制搅拌形成竖向增强体的复合地基。
2.1.15 旋喷桩复合地基 composite foundation with jet grouting
通过钻杆的旋转、提升,高压水泥浆由水平方向的喷嘴喷出,形成喷射流,以此切割土体并与土拌合形成水泥土竖向增强体的复合地基。
2.1.16 灰土桩复合地基 composite foundation with compacted soil-lime columns
用灰土填入孔内分层夯实形成竖向增强体的复合地基。
2.1.17 柱锤冲扩桩复合地基 composite foundation with impact displacement columns
用柱锤冲击方法成孔并分层夯扩填料形成竖向增强体的复合地基。
2.1.18 多桩型复合地基 composite foundation with multiple reinforcement of different materials or lengths
采用两种及两种以上不同材料增强体,或采用同一材料、不同长度增强体加固形成的复合地基。
2.1.19 注浆加固 ground improvement by permeation and high hydrofracture grouting
将水泥浆或其他化学浆液注入地基土层中,增强土颗粒间的联结,使土体强度提高、变形减少、渗透性降低的地基处理方法。
2.1.20 微型桩 micropile
用桩工机械或其他小型设备在土中形成直径不大于300mm的树根桩、预制混凝土桩或钢管桩。
2.2 符号
2.2 符号
2.2.1 作用和作用效应
E——强夯或强夯置换夯击能;
pc——基础底面处土的自重压力值;
pcz——垫层底面处土的自重压力值;
pk——相应于作用的标准组合时,基础底面处的平均压力值;
pz——相应于作用的标准组合时,垫层底面处的附加压力值。
2.2.2 抗力和材料性能
Dr——砂土相对密实度;
Drl——地基挤密后要求砂土达到的相对密实度;
ds——土粒相对密度(比重);
e——孔隙比;
e0——地基处理前的孔隙比;
e1——地基挤密后要求达到的孔隙比;
emax、emin——砂土的最大、最小孔隙比;
ƒak——天然地基承载力特征值;
ƒaz——垫层底面处经深度修正后的地基承载力特征值;
ƒcu——桩体试块(边长150mm立方体)标准养护28d的立方体抗压强度平均值,对水泥土可取桩体试块(边长70.7mm立方体)标准养护90d的立方体抗压强度平均值;
ƒsk——处理后桩间土的承载力特征值;
ƒspa——深度修正后的复合地基承载力特征值;
ƒspk——复合地基的承载力特征值;
kh——天然土层水平向渗透系数;
ks——涂抹区的水平向渗透系数;
qp——桩端端阻力特征值;
qs——桩周土的侧阻力特征值;
qw——竖井纵向通水量,为单位水力梯度下单位时间的排水量;
Ra——单桩竖向承载力特征值;
Ta——土工合成材料在允许延伸率下的抗拉强度;
Tp——相应于作用的标准组合时单位宽度土工合成材料的最大拉力;
U——固结度;
Ut——t时间地基的平均固结度;
ωop——最优含水量;
ap——桩端端阻力发挥系数;
β——桩间土承载力发挥系数;
θ——压力扩散角;
λ——单桩承载力发挥系数;
λc——压实系数;
ρd——干密度;
ρdmax——最大干密度;
ρc——黏粒含量;
ρw——水的密度;
τft——t时刻,该点土的抗剪强度;
τfo——地基土的天然抗剪强度;
△σz——预压荷载引起的该点的附加竖向应力;
φcu——三轴固结不排水压缩试验求得的土的内摩擦角;
ηc——桩间土经成孔挤密后的平均挤密系数。
2.2.3 几何参数
A——基础底面积;
Ae——一根桩承担的处理地基面积;
Ap——桩的截面积;
b——基础底面宽度、塑料排水带宽度;
d——桩的直径;
de——一根桩分担的处理地基面积的等效圆直径、竖井的有效排水直径;
dP——塑料排水带当量换算直径;
l——基础底面长度;
lp——桩长;
m——面积置换率;
s——桩间距;
z——基础底面下换填垫层的厚度;
δ——塑料排水带厚度。
3 基本规定
3 基本规定
3.0.1 在选择地基处理方案前,应完成下列工作:
1 搜集详细的岩土工程勘察资料、上部结构及基础设计资料等;
2 结合工程情况,了解当地地基处理经验和施工条件,对于有特殊要求的工程,尚应了解其他地区相似场地上同类工程的地基处理经验和使用情况等;
3 根据工程的要求和采用天然地基存在的主要问题,确定地基处理的目的和处理后要求达到的各项技术经济指标等;
4 调查邻近建筑、地下工程、周边道路及有关管线等情况;
5 了解施工场地的周边环境情况。
3.0.2 在选择地基处理方案时,应考虑上部结构、基础和地基的共同作用,进行多种方案的技术经济比较,选用地基处理或加强上部结构与地基处理相结合的方案。
3.0.3 地基处理方法的确定宜按下列步骤进行:
1 根据结构类型、荷载大小及使用要求,结合地形地貌、地层结构、土质条件、地下水特征、环境情况和对邻近建筑的影响等因素进行综合分析,初步选出几种可供考虑的地基处理方案,包括选择两种或多种地基处理措施组成的综合处理方案;
2 对初步选出的各种地基处理方案,分别从加固原理、适用范围、预期处理效果、耗用材料、施工机械、工期要求和对环境的影响等方面进行技术经济分析和对比,选择最佳的地基处理方法;
3 对已选定的地基处理方法,应按建筑物地基基础设计等级和场地复杂程度以及该种地基处理方法在本地区使用的成熟程度,在场地有代表性的区域进行相应的现场试验或试验性施工,并进行必要的测试,以检验设计参数和处理效果。如达不到设计要求时,应查明原因,修改设计参数或调整地基处理方案。
3.0.4 经处理后的地基,当按地基承载力确定基础底面积及埋深而需要对本规范确定的地基承载力特征值进行修正时,应符合下列规定:
1 大面积压实填土地基,基础宽度的地基承载力修正系数应取零;基础埋深的地基承载力修正系数,对于压实系数大于0.95、黏粒含量ρc≥10%的粉土,可取1.5,对于干密度大于2.1t/m3的级配砂石可取2.0;
2 其他处理地基,基础宽度的地基承载力修正系数应取零,基础埋深的地基承载力修正系数应取1.0。
3.0.5 处理后的地基应满足建筑物地基承载力、变形和稳定性要求,地基处理的设计尚应符合下列规定:
1 经处理后的地基,当在受力层范围内仍存在软弱下卧层时,应进行软弱下卧层地基承载力验算;
2 按地基变形设计或应作变形验算且需进行地基处理的建筑物或构筑物,应对处理后的地基进行变形验算;
3 对建造在处理后的地基上受较大水平荷载或位于斜坡上的建筑物及构筑物,应进行地基稳定性验算。 (自2022年1月1日起废止该条,详见新规 《建筑与市政地基基础通用规范》 GB 55003-2021)
3.0.6 处理后地基的承载力验算,应同时满足轴心荷载作用和偏心荷载作用的要求。
3.0.7 处理后地基的整体稳定分析可采用圆弧滑动法,其稳定安全系数不应小于1.30。散体加固材料的抗剪强度指标,可按加固体材料的密实度通过试验确定;胶结材料的抗剪强度指标,可按桩体断裂后滑动面材料的摩擦性能确定。
3.0.8 刚度差异较大的整体大面积基础的地基处理,宜考虑上部结构、基础和地基共同作用进行地基承载力和变形验算。
3.0.9 处理后的地基应进行地基承载力和变形评价、处理范围和有效加固深度内地基均匀性评价,以及复合地基增强体的成桩质量和承载力评价。
3.0.10 采用多种地基处理方法综合使用的地基处理工程验收检验时,应采用大尺寸承压板进行载荷试验,其安全系数不应小于2.0。
3.0.11 地基处理所采用的材料,应根据场地类别符合有关标准对耐久性设计与使用的要求。
3.0.12 地基处理施工中应有专人负责质量控制和监测,并做好施工记录;当出现异常情况时,必须及时会同有关部门妥善解决。施工结束后应按国家有关规定进行工程质量检验和验收。
4 换填垫层
4.1 一般规定
4 换填垫层
4.1 一般规定
4.1.1 换填垫层适用于浅层软弱土层或不均匀土层的地基处理。
4.1.2 应根据建筑体型、结构特点、荷载性质、场地土质条件、施工机械设备及填料性质和来源等综合分析后,进行换填垫层的设计,并选择施工方法。
4.1.3 对于工程量较大的换填垫层,应按所选用的施工机械、换填材料及场地的土质条件进行现场试验,确定换填垫层压实效果和施工质量控制标准。
4.1.4 换填垫层的厚度应根据置换软弱土的深度以及下卧土层的承载力确定,厚度宜为0.5m~3.0m。
4.2 设计
4.2 设计
4.2.1 垫层材料的选用应符合下列要求:
1 砂石。宜选用碎石、卵石、角砾、圆砾、砾砂、粗砂、中砂或石屑,并应级配良好,不含植物残体、垃圾等杂质。当使用粉细砂或石粉时,应掺入不少于总重量30%的碎石或卵石。砂石的最大粒径不宜大于50mm。对湿陷性黄土或膨胀土地基,不得选用砂石等透水性材料。
2 粉质黏土。土料中有机质含量不得超过5%,且不得含有冻土或膨胀土。当含有碎石时,其最大粒径不宜大于50mm。用于湿陷性黄土或膨胀土地基的粉质黏土垫层,土料中不得夹有砖、瓦或石块等。
3 灰土。体积配合比宜为2:8或3:7。石灰宜选用新鲜的消石灰,其最大粒径不得大于5mm。土料宜选用粉质黏土,不宜使用块状黏土,且不得含有松软杂质,土料应过筛且最大粒径不得大于15mm。
4 粉煤灰。选用的粉煤灰应满足相关标准对腐蚀性和放射性的要求。粉煤灰垫层上宜覆土0.3m~0.5m。粉煤灰垫层中采用掺加剂时,应通过试验确定其性能及适用条件。粉煤灰垫层中的金属构件、管网应采取防腐措施。大量填筑粉煤灰时,应经场地地下水和土壤环境的不良影响评价合格后,方可使用。
5 矿渣。宜选用分级矿渣、混合矿渣及原状矿渣等高炉重矿渣。矿渣的松散重度不应小于11kN/m3,有机质及含泥总量不得超过5%。垫层设计、施工前应对所选用的矿渣进行试验,确认性能稳定并满足腐蚀性和放射性安全要求。对易受酸、碱影响的基础或地下管网不得采用矿渣垫层。大量填筑矿渣时,应经场地地下水和土壤环境的不良影响评价合格后,方可使用。
6 其他工业废渣。在有充分依据或成功经验时,可采用质地坚硬、性能稳定、透水性强、无腐蚀性和无放射性危害的其他工业废渣材料,但应经过现场试验证明其经济技术效果良好且施工措施完善后方可使用。
7 土工合成材料加筋垫层所选用土工合成材料的品种与性能及填料,应根据工程特性和地基土质条件,按照现行国家标准《土工合成材料应用技术规范》GB 50290的要求,通过设计计算并进行现场试验后确定。土工合成材料应采用抗拉强度较高、耐久性好、抗腐蚀的土工带、土工格栅、土工格室、土工垫或土工织物等土工合成材料。垫层填料宜用碎石、角砾、砾砂、粗砂、中砂等材料,且不宜含氯化钙、碳酸钠、硫化物等化学物质。当工程要求垫层具有排水功能时,垫层材料应具有良好的透水性。在软土地基上使用加筋垫层时,应保证建筑物稳定并满足允许变形的要求。
4.2.2 垫层厚度的确定应符合下列规定:
1 应根据需置换软弱土(层)的深度或下卧土层的承载力确定,并应符合下式要求:
pz+pcz≤ ƒaz (4.2.2-1)
式中:pz——相应于作用的标准组合时,垫层底面处的附加压力值(kPa);
pcz——垫层底面处土的自重压力值(kPa);
ƒaz——垫层底面处经深度修正后的地基承载力特征值(kPa)。
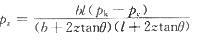
2 垫层底面处的附加压力值pz可分别按式(4.2.2-2)和式(4.2.2-3)计算:
(4.2.2-2)
- 矩形基础
(4.2.2-3)
式中:b——矩形基础或条形基础底面的宽度(m);
l——矩形基础底面的长度(m);
pk——相应于作用的标准组合时,基础底面处的平均压力值(kPa);
Pc——基础底面处土的自重压力值(kPa);
z——基础底面下垫层的厚度(m);
θ——垫层(材料)的压力扩散角( °),宜通过试验确定。无试验资料时,可按表4.2.2采用。
表4.2.2 土和砂石材料压力扩散角θ( °)

注:1 当z/b<0.25时,除灰土取θ=28°外,其他材料均取θ=0°,必要时宜由试验确定;
2 当0.25<z/b<0.5时,θ值可以内插;
3 土工合成材料加筋垫层其压力扩散角宜由现场静载荷试验确定。
4.2.3 垫层底面的宽度应符合下列规定:
1 垫层底面宽度应满足基础底面应力扩散的要求,可按下式确定:
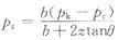
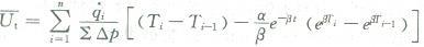
b'≥b+2ztanθ (4.2.3)
式中:b'——垫层底面宽度(m);
θ——压力扩散角,按本规范表4.2.2取值;当z/b<0.25时,按表4.2.2中z/b=0.25取值。
2 垫层顶面每边超出基础底边缘不应小于300mm,且从垫层底面两侧向上,按当地基坑开挖的经验及要求放坡。
3 整片垫层底面的宽度可根据施工的要求适当加宽。
4.2.4 垫层的压实标准可按表4.2.4选用。矿渣垫层的压实系数可根据满足承载力设计要求的试验结果,按最后两遍压实的压陷差确定。
表4.2.4 各种垫层的压实标准

注:1 压实系数λc为土的控制干密度ρd与最大干密度ρdmax的比值;土的最大干密度宜采用击实试验确定;碎石或卵石的最大干密度可取2.1t/m3~2.2t/m3;
2 表中压实系数λc系使用轻型击实试验测定土的最大干密度ρdmax时给出的压实控制标准,采用重型击实试验时,对粉质黏土、灰土、粉煤灰及其他材料压实标准应为压实系数λc≥0.94。
4.2.5 换填垫层的承载力宜通过现场静载荷试验确定。
4.2.6 对于垫层下存在软弱下卧层的建筑,在进行地基变形计算时应考虑邻近建筑物基础荷载对软弱下卧层顶面应力叠加的影响。当超出原地面标高的垫层或换填材料的重度高于天然土层重度时,宜及时换填,并应考虑其附加荷载的不利影响。
4.2.7 垫层地基的变形由垫层自身变形和下卧层变形组成。换层垫层在满足本规范第4.2.2条~4.2.4条的条件下,垫层地基的变形可仅考虑其下卧层的变形。对地基沉降有严格限制的建筑,应计算垫层自身的变形。垫层下卧层的变形量可按现行国家标准《建筑地基基础设计规范》GB 50007的规定进行计算。
4.2.8 加筋土垫层所选用的土工合成材料尚应进行材料强度验算:
Tp≤Ta (4.2.8)
式中:Ta——土工合成材料在允许延伸率下的抗拉强度(kN/m);
Tp——相应于作用的标准组合时,单位宽度的土工合成材料的最大拉力(kN/m)。
4.2.9 加筋土垫层的加筋体设置应符合下列规定:
1 一层加筋时,可设置在垫层的中部;
2 多层加筋时,首层筋材距垫层顶面的距离宜取30%垫层厚度,筋材层间距宜取30%~50%的垫层厚度,且不应小于200mm。
3 加筋线密度宜为0.15~0.35。无经验时,单层加筋宜取高值,多层加筋宜取低值。垫层的边缘应有足够的锚固长度。
4.3 施工
4.3 施工
4.3.1 垫层施工应根据不同的换填材料选择施工机械。粉质黏土、灰土垫层宜采用平碾、振动碾或羊足碾,以及蛙式夯、柴油夯。砂石垫层等宜用振动碾。粉煤灰垫层宜采用平碾、振动碾、平板振动器、蛙式夯。矿渣垫层宜采用平板振动器或平碾,也可采用振动碾。
4.3.2 垫层的施工方法、分层铺填厚度、每层压实遍数宜通过现场的试验确定。除接触下卧软土层的垫层底部应根据施工机械设备及下卧层土质条件确定厚度外,其他垫层的分层铺填厚度宜为200mm~300mm。为保证分层压实质量,应控制机械碾压速度。
4.3.3 粉质黏土和灰土垫层土料的施工含水量宜控制在ωop±2%的范围内,粉煤灰垫层的施工含水量宜控制在ωop±4%的范围内。最优含水量ωop可通过击实试验确定,也可按当地经验选取。
4.3.4 当垫层底部存在古井、古墓、洞穴、旧基础、暗塘时,应根据建筑物对不均匀沉降的控制要求予以处理,并经检验合格后,方可铺填垫层。
4.3.5 基坑开挖时应避免坑底土层受扰动,可保留180mm~220mm厚的土层暂不挖去,待铺填垫层前再由人工挖至设计标高。严禁扰动垫层下的软弱土层,应防止软弱垫层被践踏、受冻或受水浸泡。在碎石或卵石垫层底部宜设置厚度为150mm~300mm的砂垫层或铺一层土工织物,并应防止基坑边坡塌土混入垫层中。
4.3.6 换填垫层施工时,应采取基坑排水措施。除砂垫层宜采用水撼法施工外,其余垫层施工均不得在浸水条件下进行。工程需要时应采取降低地下水位的措施。
4.3.7 垫层底面宜设在同一标高上,如深度不同,坑底土层应挖成阶梯或斜坡搭接,并按先深后浅的顺序进行垫层施工,搭接处应夯压密实。
4.3.8 粉质黏土、灰土垫层及粉煤灰垫层施工,应符合下列规定:
1 粉质黏土及灰土垫层分段施工时,不得在柱基、墙角及承重窗间墙下接缝;
2 垫层上下两层的缝距不得小于500mm,且接缝处应夯压密实;
3 灰土拌合均匀后,应当日铺填夯压;灰土夯压密实后,3d内不得受水浸泡;
4 粉煤灰垫层铺填后,宜当日压实,每层验收后应及时铺填上层或封层,并应禁止车辆碾压通行;
5 垫层施工竣工验收合格后,应及时进行基础施工与基坑回填。
4.3.9 土工合成材料施工,应符合下列要求:
1 下铺地基层面应平整;
2 土工合成材料铺设顺序应先纵向后横向,且应把土工合成材料张拉平整、绷紧,严禁有皱折;
3 土工合成材料的连接宜采用搭接法、缝接法或胶接法,接缝强度不应低于原材料抗拉强度,端部应采用有效方法固定,防止筋材拉出;
4 应避免土工合成材料暴晒或裸露,阳光暴晒时间不应大于8h。
4.4 质量检验
4.4 质量检验
4.4.1 对粉质黏土、灰土、砂石、粉煤灰垫层的施工质量可选用环刀取样、静力触探、轻型动力触探或标准贯入试验等方法进行检验;对碎石、矿渣垫层的施工质量可采用重型动力触探试验等进行检验。压实系数可采用灌砂法、灌水法或其他方法进行检验。
4.4.2 换填垫层的施工质量检验应分层进行,并应在每层的压实系数符合设计要求后铺填上层。 (自2022年1月1日起废止该条,详见新规 《建筑与市政地基基础通用规范》 GB 55003-2021)
4.4.3 采用环刀法检验垫层的施工质量时,取样点应选择位于每层垫层厚度的2/3深度处。检验点数量,条形基础下垫层每10m~20m不应少于1个点,独立柱基、单个基础下垫层不应少于1个点,其他基础下垫层每50m2~100m2不应少于1个点。 采用标准贯入试验或动力触探法检验垫层的施工质量时,每分层平面上检验点的间距不应大于4m。
4.4.4 竣工验收应采用静载荷试验检验垫层承载力,且每个单体工程不宜少于3个点;对于大型工程应按单体工程的数量或工程划分的面积确定检验点数。
4.4.5 加筋垫层中土工合成材料的检验应符合下列要求:
1 土工合成材料质量应符合设计要求,外观无破损、无老化、无污染;
2 土工合成材料应可张拉、无皱折、紧贴下承层,锚固端应锚固牢靠;
3 上下层土工合成材料搭接缝应交替错开,搭接强度应满足设计要求。
5 预压地基
5.1 一般规定
5 预压地基
5.1 一般规定
5.1.1 预压地基适用于处理淤泥质土、淤泥、冲填土等饱和黏性土地基。预压地基按处理工艺可分为堆载预压、真空预压、真空和堆载联合预压。
5.1.2 真空预压适用于处理以黏性土为主的软弱地基。当存在粉土、砂土等透水、透气层时,加固区周边应采取确保膜下真空压力满足设计要求的密封措施。对塑性指数大于25且含水量大于85%的淤泥,应通过现场试验确定其适用性。加固土层上覆盖有厚度大于5m以上的回填土或承载力较高的黏性土层时,不宜采用真空预压处理。
5.1.3 预压地基应预先通过勘察查明土层在水平和竖直方向的分布、层理变化,查明透水层的位置、地下水类型及水源补给情况等。并应通过土工试验确定土层的先期固结压力、孔隙比与固结压力的关系、渗透系数、固结系数、三轴试验抗剪强度指标,通过原位十字板试验确定土的抗剪强度。
5.1.4 对重要工程,应在现场选择试验区进行预压试验,在预压过程中应进行地基竖向变形、侧向位移、孔隙水压力、地下水位等项目的监测并进行原位十字板剪切试验和室内土工试验。根据试验区获得的监测资料确定加载速率控制指标,推算土的固结系数、固结度及最终竖向变形等,分析地基处理效果,对原设计进行修正,指导整个场区的设计与施工。
5.1.5 对堆载预压工程,预压荷载应分级施加,并确保每级荷载下地基的稳定性;对真空预压工程,可采用一次连续抽真空至最大压力的加载方式。
5.1.6 对主要以变形控制设计的建筑物,当地基土经预压所完成的变形量和平均固结度满足设计要求时,方可卸载。对以地基承载力或抗滑稳定性控制设计的建筑物,当地基土经预压后其强度满足建筑物地基承载力或稳定性要求时,方可卸载。
5.1.7 当建筑物的荷载超过真空预压的压力,或建筑物对地基变形有严格要求时,可采用真空和堆载联合预压,其总压力宜超过建筑物的竖向荷载。
5.1.8 预压地基加固应考虑预压施工对相邻建筑物、地下管线等产生附加沉降的影响。真空预压地基加固区边线与相邻建筑物、地下管线等的距离不宜小于20m,当距离较近时,应对相邻建筑物、地下管线等采取保护措施。
5.1.9 当受预压时间限制,残余沉降或工程投入使用后的沉降不满足工程要求时,在保证整体稳定条件下可采用超载预压。
5.2 设计
5.2 设计
Ⅰ 堆载预压
5.2.1 对深厚软黏土地基,应设置塑料排水带或砂井等排水竖井。当软土层厚度较小或软土层中含较多薄粉砂夹层,且固结速率能满足工期要求时,可不设置排水竖井。
5.2.2 堆载预压地基处理的设计应包括下列内容:
1 选择塑料排水带或砂井,确定其断面尺寸、间距、排列方式和深度;
2 确定预压区范围、预压荷载大小、荷载分级、加载速率和预压时间;
3 计算堆载荷载作用下地基土的固结度、强度增长、稳定性和变形。
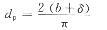
5.2.3 排水竖井分普通砂井、袋装砂井和塑料排水带。普通砂井直径宜为300mm~500mm,袋装砂井直径宜为70mm~120mm。塑料排水带的当量换算直径可按下式计算:
(5.2.3)
式中:dp——塑料排水带当量换算直径(mm);
b——塑料排水带宽度(mm);
δ——塑料排水带厚度(mm)。
5.2.4 排水竖井可采用等边三角形或正方形排列的平面布置,并应符合下列规定:
1 当等边三角形排列时,
de=1.05 l (5.2.4-1)
2 当正方形排列时,
de=1.13 l (5.2.4-2)
式中:de——竖井的有效排水直径;
l——竖井的间距。
5.2.5 排水竖井的间距可根据地基土的固结特性和预定时间内所要求达到的固结度确定。设计时,竖井的间距可按井径比n选用(n=de/dw,dw为竖井直径,对塑料排水带可取dw=dp)。塑料排水带或袋装砂井的间距可按n=15~22选用,普通砂井的间距可按n=6~8选用。
5.2.6 排水竖井的深度应符合下列规定:
1 根据建筑物对地基的稳定性、变形要求和工期确定;
2 对以地基抗滑稳定性控制的工程,竖井深度应大于最危险滑动面以下2.0m;
3 对以变形控制的建筑工程,竖井深度应根据在限定的预压时间内需完成的变形量确定;竖井宜穿透受压土层。
5.2.7 一级或多级等速加载条件下,当固结时间为t时,对应总荷载的地基平均固结度可按下式计算:
(5.2.7)
式中:Ut——t时间基地的平均固结度;
qi——第i级荷载的加载速率(kPa/d);
Σ△p——各级荷载的累加值(kPa);
Ti-1,Ti——分别为第i级荷载加载的起始和终止时间(从零点起算)(d),当计算第i级荷载加载过程中某时间t的固结度时,Ti改为t;
a、β——参数,根据地基土排水固结条件按表5.2.7采用。对竖井地基,表中所列β为不考虑涂抹和井阻影响的参数值。
表5.2.7 a和β值

5.2.8 当排水竖井采用挤土方式施工时,应考虑涂抹对土体固结的影响。当竖井的纵向通水量qw与天然土层水平向渗透系数是kh的比值较小,且长度较长时,尚应考虑井阻影响。瞬时加载条件下,考虑涂抹和井阻影响时,竖井地基径向排水平均固结度可按下列公式计算:
(5.2.8 -1)
(5.2.8 -2)
(5.2.8 -3)
(5.2.8 -4)
(5.2.8 -5)
式中:Ur——固结时间t时竖井地基径向排水平均固结度;
kh——天然土层水平向渗透系数(cm/s);
ks——涂抹区土的水平向渗透系数,可取ks=(1/5~1/3)kh(cm/s);
s——涂抹区直径ds竖井直径dw的比值,可取s=2.0~3.0,对中等灵敏黏性土取低值,对高灵敏黏性土取高值;
L——竖井深度(cm);
qw——竖井纵向通水量,为单位水力梯度下单位时间的排水量(cm3/s)。
一级或多级等速加荷条件下,考虑涂抹和井阻影响时竖井穿透受压土层地基的平均固结度可按式(5.2.7)计算,其中,a=
。
5.2.9 对排水竖井未穿透受压土层的情况,竖井范围内土层的平均固结度和竖井底面以下受压土层的平均固结度,以及通过预压完成的变形量均应满足设计要求。
5.2.10 预压荷载大小、范围、加载速率应符合下列规定:
1 预压荷载大小应根据设计要求确定;对于沉降有严格限制的建筑,可采用超载预压法处理,超载量大小应根据预压时间内要求完成的变形量通过计算确定,并宜使预压荷载下受压土层各点的有效竖向应力大于建筑物荷载引起的相应点的附加应力;
2 预压荷载顶面的范围应不小于建筑物基础外缘的范围;
3 加载速率应根据地基土的强度确定;当天然地基土的强度满足预压荷载下地基的稳定性要求时,可一次性加载;如不满足应分级逐渐加载,待前期预压荷载下地基土的强度增长满足下一级荷载下地基的稳定性要求时,方可加载。
5.2.11 计算预压荷载下饱和黏性土地基中某点的抗剪强度时,应考虑土体原来的固结状态。对正常固结饱和黏性土地基,某点某一时间的抗剪强度可按下式计算:
τft=τf0+△σz•Uttanφcu (5.2.11)
式中:τft——t时刻,该点土的抗剪强度(kPa);
τf0——地基土的天然抗剪强度(kPa);
△σz——预压荷载引起的该点的附加竖向应力(kPa);
Ut——该点土的固结度;
φcu——三轴固结不排水压缩试验求得的土的内摩擦角(°)。
5.2.12 预压荷载下地基最终竖向变形量的计算可取附加应力与土自重应力的比值为0.1的深度作为压缩层的计算深度,可按式(5.2.12)计算:

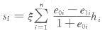
(5.2.12)
式中:sf——最终竖向变形量(m);
eoi——第i层中点土自重应力所对应的孔隙比,由室内固结试验e-p曲线查得;
eli——第i层中点土自重应力与附加应力之和所对应的孔隙比,由室内固结试验e-p曲线查得;
hi——第i层土层厚度(m);
ξ——经验系数,可按地区经验确定。无经验时对正常固结饱和黏性土地基可取ξ=1.1~1.4;荷载较大或地基软弱土层厚度大时应取较大值。
5.2.13 预压处理地基应在地表铺设与排水竖井相连的砂垫层,砂垫层应符合下列规定:
1 厚度不应小于500mm;
2 砂垫层砂料宜用中粗砂,黏粒含量不应大于3%,砂料中可含有少量粒径不大于50mm的砾石;砂垫层的干密度应大于1.5t/m3,渗透系数应大于1×10-2cm/s。
5.2.14 在预压区边缘应设置排水沟,在预压区内宜设置与砂垫层相连的排水盲沟,排水盲沟的间距不宜大于20m。
5.2.15 砂井的砂料应选用中粗砂,其黏粒含量不应大于3%。
5.2.16 堆载预压处理地基设计的平均固结度不宜低于90%, 且应在现场监测的变形速率明显变缓时方可卸载。
Ⅱ 真空预压
5.2.17 真空预压处理地基应设置排水竖井,其设计应包括下列内容:
1 竖井断面尺寸、间距、排列方式和深度;
2 预压区面积和分块大小;
3 真空预压施工工艺;
4 要求达到的真空度和土层的固结度;
5 真空预压和建筑物荷载下地基的变形计算;
6 真空预压后的地基承载力增长计算。
5.2.18 排水竖井的间距可按本规范第5.2.5条确定。
5.2.19 砂井的砂料应选用中粗砂,其渗透系数应大于1×10-2 cm/s。
5.2.20 真空预压竖向排水通道宜穿透软土层,但不应进入下卧透水层。当软土层较厚、且以地基抗滑稳定性控制的工程,竖向排水通道的深度不应小于最危险滑动面下2.0m。对以变形控制的工程,竖井深度应根据在限定的预压时间内需完成的变形量确定,且宜穿透主要受压土层。
5.2.21 真空预压区边缘应大于建筑物基础轮廓线,每边增加量不得小于3.0m。
5.2.22 真空预压的膜下真空度应稳定地保持在86.7kPa(650mmHg)以上,且应均匀分布,排水竖井深度范围内土层的平均固结度应大于90%。
5.2.23 对于表层存在良好的透气层或在处理范围内有充足水源补给的透水层,应采取有效措施隔断透气层或透水层。
5.2.24 真空预压固结度和地基强度增长的计算可按本规范第5.2.7条、第5.2.8条和第5.2.11条计算。
5.2.25 真空预压地基最终竖向变形可按本规范第5.2.12条计算。ξ可按当地经验取值,无当地经验时,ξ可取1.0~1.3。
5.2.26 真空预压地基加固面积较大时,宜采取分区加固,每块预压面积应尽可能大且呈方形,分区面积宜为20 000m2~40 000m2。
5.2.27 真空预压地基加固可根据加固面积的大小、形状和土层结构特点,按每套设备可加固地基1000m2~1500m2确定设备数量。
5.2.28 真空预压的膜下真空度应符合设计要求,且预压时间不宜低于90d。
Ⅲ 真空和堆载联合预压
5.2.29 当设计地基预压荷载大于80kPa,且进行真空预压处理地基不能满足设计要求时可采用真空和堆载联合预压地基处理。
5.2.30 堆载体的坡肩线宜与真空预压边线一致。
5.2.31 对于一般软黏土,上部堆载施工宜在真空预压膜下真空度稳定地达到86.7kPa(650mmHg)且抽真空时间不少于10d后进行。对于高含水量的淤泥类土,上部堆载施工宜在真空预压膜下真空度稳定地达到86.7kPa(650mmHg)且抽真空20d~30d后可进行。
5.2.32 当堆载较大时,真空和堆载联合预压应采用分级加载,分级数应根据地基土稳定计算确定。分级加载时,应待前期预压荷载下地基的承载力增长满足下一级荷载下地基的稳定性要求时,方可增加堆载。
5.2.33 真空和堆载联合预压时地基固结度和地基承载力增长可按本规第5.2.7条、5.2.8条和5.2.11条计算。
5.2.34 真空和堆载联合预压最终竖向变形可按本规范第5.2.12条计算,ξ可按当地经验取值,无当地经验时,ξ可取1.0~1.3。
5.3 施工
5.3 施工
Ⅰ 堆载预压
5.3.1 塑料排水带的性能指标应符合设计要求,并应在现场妥善保护,防止阳光照射、破损或污染。破损或污染的塑料排水带不得在工程中使用。
5.3.2 砂井的灌砂量,应按井孔的体积和砂在中密状态时的干密度计算,实际灌砂量不得小于计算值的95%。
5.3.3 灌入砂袋中的砂宜用干砂,并应灌制密实。
5.3.4 塑料排水带和袋装砂井施工时,宜配置深度检测设备。
5.3.5 塑料排水带需接长时,应采用滤膜内芯带平搭接的连接方法,搭接长度宜大于200mm。
5.3.6 塑料排水带施工所用套管应保证插入地基中的带子不扭曲。袋装砂井施工所用套管内径应大于砂井直径。
5.3.7 塑料排水带和袋装砂井施工时,平面井距偏差不应大于井径,垂直度允许偏差应为±1.5%,深度应满足设计要求。
5.3.8 塑料排水带和袋装砂井砂袋埋入砂垫层中的长度不应小于500mm。
5.3.9 堆载预压加载过程中,应满足地基承载力和稳定控制要求,并应进行竖向变形、水平位移及孔隙水压力的监测,堆载预压加载速率应满足下列要求:
1 竖井地基最大竖向变形量不应超过15mm/d;
2 天然地基最大竖向变形量不应超过10mm/d;
3 堆载预压边缘处水平位移不应超过5mm/d;
4 根据上述观测资料综合分析、判断地基的承载力和稳定性。
Ⅱ 真空预压
5.3.10 真空预压的抽气设备宜采用射流真空泵,真空泵空抽吸力不应低于95kPa。真空泵的设置应根据地基预压面积、形状、真空泵效率和工程经验确定,每块预压区设置的真空泵不应少于两台。
5.3.11 真空管路设置应符合下列规定:
1 真空管路的连接应密封,真空管路中应设置止回阀和截门;
2 水平向分布滤水管可采用条状、梳齿状及羽毛状等形式,滤水管布置宜形成回路;
3 滤水管应设在砂垫层中,上覆砂层厚度宜为100mm~200mm;
4 滤水管可采用钢管或塑料管,应外包尼龙纱或土工织物等滤水材料。
5.3.12 密封膜应符合下列规定:
1 密封膜应采用抗老化性能好、韧性好、抗穿刺性能强的不透气材料;
2 密封膜热合时,宜采用双热合缝的平搭接,搭接宽度应大于15mm;
3 密封膜宜铺设三层,膜周边可采用挖沟埋膜,平铺并用黏土覆盖压边、围埝沟内及膜上覆水等方法进行密封。
5.3.13 地基土渗透性强时,应设置黏土密封墙。黏土密封墙宜采用双排搅拌桩,搅拌桩直径不宜小于700mm;当搅拌桩深度小于15m时,搭接宽度不宜小于200mm;当搅拌桩深度大于15m时,搭接宽度不宜小于300mm;搅拌桩成桩搅拌应均匀,黏土密封墙的渗透系数应满足设计要求。
Ⅲ 真空和堆载联合预压
5.3.14 采用真空和堆载联合预压时,应先抽真空,当真空压力达到设计要求并稳定后,再进行堆载,并继续抽真空。
5.3.15 堆载前,应在膜上铺设编织布或无纺布等土工编织布保护层。保护层上铺设100mm~300mm厚砂垫层。
5.3.16 堆载施工时可采用轻型运输工具,不得损坏密封膜。
5.3.17 上部堆载施工时,应监测膜下真空度的变化,发现漏气应及时处理。
5.3.18 堆载加载过程中,应满足地基稳定性设计要求,对竖向 变形、边缘水平位移及孔隙水压力的监测应满足下列要求:
1 地基向加固区外的侧移速率不应大于5mm/d;
2 地基竖向变形速率不应大于10mm/d;
3 根据上述观察资料综合分析、判断地基的稳定性。
5.3.19 真空和堆载联合预压除满足本规范第5.3.14条~5.3.18条规定外,尚应符合本规范第5.3节“Ⅰ堆载预压”和“Ⅱ真空预压”的规定。
5.4 质量检验
5.4 质量检验
5.4.1 施工过程中,质量检验和监测应包括下列内容:
1 对塑料排水带应进行纵向通水量、复合体抗拉强度、滤膜抗拉强度、滤膜渗透系数和等效孔径等性能指标现场随机抽样测试;
2 对不同来源的砂井和砂垫层砂料,应取样进行颗粒分析和渗透性试验;
3 对以地基抗滑稳定性控制的工程,应在预压区内预留孔位,在加载不同阶段进行原位十字板剪切试验和取土进行室内土工试验;加固前的地基土检测,应在打设塑料排水带之前进行;
4 对预压工程,应进行地基竖向变形、侧向位移和孔隙水压力等监测;
5 真空预压、真空和堆载联合预压工程,除应进行地基变形、孔隙水压力监测外,尚应进行膜下真空度和地下水位监测。
5.4.2 预压地基竣工验收检验应符合下列规定:
1 排水竖井处理深度范围内和竖井底面以下受压土层,经预压所完成的竖向变形和平均固结度应满足设计要求;
2 应对预压的地基土进行原位试验和室内土工试验。 (自2022年1月1日起废止该条,详见新规 《建筑与市政地基基础通用规范》 GB 55003-2021)
5.4.3 原位试验可采用十字板剪切试验或静力触探,检验深度不应小于设计处理深度。原位试验和室内土工试验,应在卸载3d~5d后进行。检验数量按每个处理分区不少于6点进行检测,对于堆载斜坡处应增加检验数量。
5.4.4 预压处理后的地基承载力应按本规范附录A确定。检验数量按每个处理分区不应少于3点进行检测。
6 压实地基和夯实地基
6.1 一般规定
6 压实地基和夯实地基
6.1 一般规定
6.1.1 压实地基使用于处理大面积填土地基。浅层软弱地基以及局部不均匀地基的换填处理应符合本规范第4章的有关规定。
6.1.2 夯实地基可分为强夯和强夯置换处理地基。强夯处理地基适用于碎石土、砂土、低饱和度的粉土与黏性土、湿陷性黄土、素填土和杂填土等地基;强夯置换适用于高饱和度的粉土与软塑~流塑的粘性土地基上对变形要求不严格的工程。
6.1.3 压实和夯实处理后的地基承载力应按本规范附录A确定。
6.2 压实地基
6.2 压实地基
6.2.1 压实地基处理应符合下列规定:
1 地下水位以上填土,可采用碾压法和振动压实法,非黏性土或黏粒含量少、透水性较好的松散填土地基宜采用振动压实法。
2 压实地基的设计和施工方法的选择,应根据建筑物体型、结构与荷载特点、场地土层条件、变形要求及填料等因素确定。对大型、重要或场地地层条件复杂的工程,在正式施工前,应通过现场试验确定地基处理效果。
3 以压实填土作为建筑地基持力层时,应根据建筑结构类型、填料性能和现场条件等,对拟压实的填土提出质量要求。未经检验,且不符合质量要求的压实填土,不得作为建筑地基持力层。
4 对大面积填土的设计和施工,应验算并采取有效措施确保大面积填土自身稳定性、填土下原地基的稳定性、承载力和变形满足设计要求;应评估对邻近建筑物及重要市政设施、地下管线等的变形和稳定的影响;施工过程中,应对大面积填土和邻近建筑物、重要市政设施、地下管线等进行变形监测。
6.2.2 压实填土地基的设计应符合下列规定:
1 压实填土的填料可选用粉质黏土、灰土、粉煤灰、级配良好的砂土或碎石土,以及质地坚硬、性能稳定、无腐蚀性和无放射性危害的工业废料等,并应满足下列要求:
1)以碎石土作填料时,其最大粒径不宜大于100mm;
2)以粉质黏土、粉土作填料时,其含水量宜为最优含水量,可采用击实试验确定;
3)不得使用淤泥、耕土、冻土、膨胀土以及有机质含量大于5%的土料;
4)采用振动压实法时,宜降低地下水位到振实面下600mm。
2 碾压法和振动压实法施工时,应根据压实机械的压实性能,地基土性质、密实度、压实系数和施工含水量等,并结合现场试验确定碾压分层厚度、碾压遍数、碾压范围和有效加固深度等施工参数。初步设计可按表6.2.2-1选用。
表6.2.2-1 填土每层铺填厚度及压实遍数

3 对已经回填完成且回填厚度超过表6.2.2-1中的铺填厚度,或粒径超过100mm的填料含量超过50%的填土地基,应采用较高性能的压实设备或采用夯实法进行加固。
4 压实填土的质量以压实系数λc控制,并应根据结构类型和压实填土所在部位按表6.2.2-2的要求确定。
表6.2.2-2 压实填土的质量控制

注:地坪垫层以下及基础底面标高以上的压实填土,压实系数不应小于0.94。
5 压实填土的最大干密度和最优含水量,宜采用击实试验确定,当无试验资料时,最大干密度可按下式计算:
(6.2.2)
式中:ρdmax——分层压实填土的最大干密度(t/m3);
η——经验系数,粉质黏土取0.96,粉土取0.97;
ρw——水的密度(t/m3);
ds——土粒相对密度(比重)(t/m3);
ωop——填料的最优含水量(%)。
当填料为碎石或卵石时,其最大干密度可取2.1t/m3~2.2t/m3。
6 设置在斜坡上的压实填土,应验算其稳定性。当天然地面坡度大于20%时,应采取防止压实填土可能沿坡面滑动的措施,并应避免雨水沿斜坡排泄。当压实填土阻碍原地表水畅通排泄时,应根据地形修筑雨水截水沟,或设置其他排水设施。设置在压实填土区的上、下水管道,应采取严格防渗、防漏措施。
7 压实填土的边坡坡度允许值,应根据其厚度、填料性质等因素,按照填土自身稳定性、填土下原地基的稳定性的验算结果确定,初步设计时可按表6.2.2-3的数值确定。
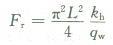
8 冲击碾压法可用于地基冲击碾压、土石混填或填石路基分层碾压、路基冲击增强补压、旧砂石(沥青)路面冲压和旧水泥混凝土路面冲压等处理;其冲击设备、分层填料的虚铺厚度、分层压实的遍数等的设计应根据土质条件、工期要求等因素综合确定,其有效加固深度宜为3.0m~4.0m,施工前应进行试验段施工,确定施工参数。
表6.2.2-3 压实填土的边坡坡度允许值

注:当压实填土厚度H大于15m时,可设计成台阶或者采用土工格栅加筋等措施,验算满足稳定性要求后进行压实填土的施工。
9 压实填土地基承载力特征值,应根据现场静载荷试验确定,或可通过动力触探、静力触探等试验,并结合静载荷试验结果确定;其下卧层顶面的承载力应满足本规范式(4.2.2-1)、式(4.2.2-2)和式(4.2.2-3)的要求。
10 压实填土地基的变形,可按现行国家标准《建筑地基基础设计规范》GB 50007的有关规定计算,压缩模量应通过处理后地基的原位测试或土工试验确定。
6.2.3 压实填土地基的施工应符合下列规定:
1 应根据使用要求、邻近结构类型和地质条件确定允许加载量和范围,并按设计要求均衡分步施加,避免大量快速集中填土。
2 填料前,应清除填土层底面以下的耕土、植被或软弱土层等。
3 压实填土施工过程中,应采取防雨、防冻措施,防止填料(粉质黏土、粉土)受雨水淋湿或冻结。
4 基槽内压实时,应先压实基槽两边,再压实中间。
5 冲击碾压法施工的冲击碾压宽度不宜小于6m,工作面较窄时,需设置转弯车道,冲压最短直线距离不宜少于100m,冲压边角及转弯区域应采用其他措施压实;施工时,地下水位应降低到碾压面以下1.5m。
6 性质不同的填料,应采取水平分层、分段填筑,并分层压实;同一水平层,应采用同一填料,不得混合填筑;填方分段施工时,接头部位如不能交替填筑,应按1:1坡度分层留台阶;如能交替填筑,则应分层相互交替搭接,搭接长度不小于2m;压实填土的施工缝,各层应错开搭接,在施工缝的搭接处,应适当增加压实遍数;边角及转弯区域应采取其他措施压实,以达到设计标准。
7 压实地基施工场地附近有对振动和噪声环境控制要求时,应合理安排施工工序和时间,减少噪声与振动对环境的影响,或采取挖减振沟等减振和隔振措施,并进行振动和噪声监测。
8 施工过程中,应避免扰动填土下卧的淤泥或淤泥质土层。压实填土施工结束检验合格后,应及时进行基础施工。
6.2.4 压实填土地基的质量检验应符合下列规定:
1 在施工过程中,应分层取样检验土的干密度和含水量;每50m2~100m2面积内应设不少于1个检测点,每一个独立基础下,检测点不少于1个点,条形基础每20延米设检测点不少于1个点,压实系数不得低于本规范表6.2.2-2的规定;采用灌水法或灌砂法检测的碎石土干密度不得低于2.0t/m3。
2 有地区经验时,可采用动力触探、静力触探、标准贯入等原位试验,并结合干密度试验的对比结果进行质量检验。
3 冲击碾压法施工宜分层进行变形量、压实系数等土的物理力学指标监测和检测。
4 地基承载力验收检验,可通过静载荷试验并结合动力触探、静力触探、标准贯入等试验结果综合判定。每个单体工程静载荷试验不应少于3点,大型工程可按单体工程的数量或面积确定检验点数。
6.2.5 压实地基的施工质量检验应分层进行。每完成一道工序,应按设计要求进行验收,未经验收或验收不合格时,不得进行下一道工序施工。 (自2022年1月1日起废止该条,详见新规 《建筑与市政地基基础通用规范》 GB 55003-2021)
6.3 夯实地基
6.3 夯实地基
6.3.1 夯实地基处理应符合下列规定:
1 强夯和强夯置换施工前,应在施工现场有代表性的场地选取一个或几个试验区,进行试夯或试验性施工。每个试验区面积不宜小于20m×20m,试验区数量应根据建筑场地复杂程度、建筑规模及建筑类型确定。
2 场地地下水位高,影响施工或夯实效果时,应采取降水或其他技术措施进行处理。
6.3.2 强夯置换处理地基,必须通过现场试验确定其适用性和处理效果。 (自2022年1月1日起废止该条,详见新规 《建筑与市政地基基础通用规范》 GB 55003-2021)
6.3.3 强夯处理地基的设计应符合下列规定:
1 强夯的有效加固深度,应根据现场试夯或地区经验确定。在缺少试验资料或经验时,可按表6.3.3-1进行预估。
表6.3.3-1 强夯的有效加固深度(m)

注:强夯法的有效加固深度应从最初起夯面算起;单击夯击能E大于12 000kN?m时,强夯的有效加固深度应通过试验确定。
2 夯点的夯击次数,应根据现场试夯的夯击次数和夯沉量关系曲线确定,并应同时满足下列条件:
1)最后两击的平均夯沉量,宜满足表6.3.3-2的要求,当单击夯击能E大于12 000kN?m时,应通过试验确定;
表6.3.3-2 强夯法最后两击平均夯沉量(mm)

2)夯坑周围地面不应发生过大的隆起;
3)不因夯坑过深而发生提锤困难。
3 夯击遍数应根据地基土的性质确定,可采用点夯(2~4)遍,对于渗透性较差的细颗粒土,应适当增加夯击遍数;最后以低能量满夯2遍,满夯可采用轻锤或低落距锤多次夯击,锤印搭接。
4 两遍夯击之间,应有一定的时间间隔,间隔时间取决于土中超静孔隙水压力的消散时间。当缺少实测资料时,可根据地基土的渗透性确定,对于渗透性较差的黏性土地基,间隔时间不应少于(2~3)周;对于渗透性好的地基可连续夯击。
5 夯击点位置可根据基础底面形状,采用等边三角形、等腰三角形或正方形布置。第一遍夯击点间距可取夯锤直径的(2.5~3.5)倍,第二遍夯击点应位于第一遍夯击点之间。以后各遍夯击点间距可适当减小。对处理深度较深或单击夯击能较大的工程,第一遍夯击点间距宜适当增大。
6 强夯处理范围应大于建筑物基础范围,每边超出基础外缘的宽度宜为基底下设计处理深度的1/2~2/3,且不应小于3m;对可液化地基,基础边缘的处理宽度,不应小于5m;对湿陷性黄土地基,应符合现行国家标准《湿陷性黄土地区建筑规范》GB 50025的有关规定。
7 根据初步确定的强夯参数,提出强夯试验方案,进行现场试夯。应根据不同土质条件,待试夯结束一周至数周后,对试夯场地进行检测,并与夯前测试数据进行对比,检验强夯效果,确定工程采用的各项强夯参数。
8 根据基础埋深和试夯时所测得的夯沉量,确定起夯面标高、夯坑回填方式和夯后标高。
9 强夯地基承载力特征值应通过现场静载荷试验确定。
10 强夯地基变形计算,应符合现行国家标准《建筑地基基础设计规范》GB 50007有关规定。夯后有效加固深度内土的压缩模量,应通过原位测试或土工试验确定。
6.3.4 强夯处理地基的施工,应符合下列规定:
1 强夯夯锤质量宜为10t~60t,其底面形式宜采用圆形,锤底面积宜按土的性质确定,锤底静接地压力值宜为25kPa~80kPa,单击夯击能高时,取高值,单击夯击能低时,取低值,对于细颗粒土宜取低值。锤的底面宜对称设置若干个上下贯通的排气孔,孔径宜为300mm~400mm。
2 强夯法施工,应按下列步骤进行:
1)清理并平整施工场地;
2)标出第一遍夯点位置,并测量场地高程;
3)起重机就位,夯锤置于夯点位置;
4)测量夯前锤顶高程;
5)将夯锤起吊到预定高度,开启脱钩装置,夯锤脱钩自由下落,放下吊钩,测量锤顶高程;若发现因坑底倾斜而造成夯锤歪斜时,应及时将坑底整平;
6)重复步骤5),按设计规定的夯击次数及控制标准,完成一个夯点的夯击;当夯坑过深,出现提锤困难,但无明显隆起,而尚未达到控制标准时,宜将夯坑回填至与坑顶齐平后,继续夯击;
7)换夯点,重复步骤3)~6),完成第一遍全部夯点的夯击;
8)用推土机将夯坑填平,并测量场地高程;
9)在规定的间隔时间后,按上述步骤逐次完成全部夯击遍数;最后,采用低能量满夯,将场地表层松土夯实,并测量夯后场地高程。
6.3.5 强夯置换处理地基的设计,应符合下列规定:
1 强夯置换墩的深度应由土质条件决定。除厚层饱和粉土外,应穿透软土层,到达较硬土层上,深度不宜超过10m。
2 强夯置换的单击夯击能应根据现场试验确定。
3 墩体材料可采用级配良好的块石、碎石、矿渣、工业废渣、建筑垃圾等坚硬粗颗粒材料,且粒径大于300mm的颗粒含量不宜超过30%。
4 夯点的夯击次数应通过现场试夯确定,并应满足下列条件:
1)墩底穿透软弱土层,且达到设计墩长;
2)累计夯沉量为设计墩长的(1.5~2.0)倍;
3)最后两击的平均夯沉量可按表6.3.3-2确定。
5 墩位布置宜采用等边三角形或正方形。对独立基础或条形基础可根据基础形状与宽度作相应布置。
6 墩间距应根据荷载大小和原状土的承载力选定,当满堂布置时,可取夯锤直径的(2~3)倍。对独立基础或条形基础可取夯锤直径的(1.5~2.0)倍。墩的计算直径可取夯锤直径的(1.1~1.2)倍。
7 强夯置换处理范围应符合本规范第6.3.3条第6款的规定。
8 墩顶应铺设一层厚度不小于500mm的压实垫层,垫层材料宜与墩体材料相同,粒径不宜大于100mm。
9 强夯置换设计时,应预估地面抬高值,并在试夯时校正。
10 强夯置换地基处理试验方案的确定,应符合本规范第6.3.3条第7款的规定。除应进行现场静载荷试验和变形模量检测外,尚应采用超重型或重型动力触探等方法,检查置换墩着底情况,以及地基土的承载力与密度随深度的变化。
11 软黏性土中强夯置换地基承载力特征值应通过现场单墩静载荷试验确定;对于饱和粉土地基,当处理后形成2.0m以上厚度的硬层时,其承载力可通过现场单墩复合地基静载荷试验确定。
12 强夯置换地基的变形宜按单墩静载荷试验确定的变形模量计算加固区的地基变形,对墩下地基土的变形可按置换墩材料的压力扩散角计算传至墩下土层的附加应力,按现行国家标准《建筑地基基础设计规范》GB 50007的有关规定计算确定;对饱和粉土地基,当处理后形成2.0m以上厚度的硬层时,可按本规范第7.1.7条的规定确定。
6.3.6 强夯置换处理地基的施工应符合下列规定:
1 强夯置换夯锤底面宜采用圆形,夯锤底静接地压力值宜大于80kPa。
2 强夯置换施工应按下列步骤进行:
1)清理并平整施工场地,当表层土松软时,可铺设1.0m~2.0m厚的砂石垫层;
2)标出夯点位置,并测量场地高程;
3)起重机就位,夯锤置于夯点位置;
4)测量夯前锤顶高程;
5)夯击并逐击记录夯坑深度;当夯坑过深,起锤困难时,应停夯,向夯坑内填料直至与坑顶齐平,记录填料数量;工序重复,直至满足设计的夯击次数及质量控制标准,完成一个墩体的夯击;当夯点周围软土挤出,影响施工时,应随时清理,并宜在夯点周围铺垫碎石后,继续施工;
6)按照“由内而外、隔行跳打”的原则,完成全部夯点的施工;
7)推平场地,采用低能量满夯,将场地表层松土夯实,并测量夯后场地高程;
8)铺设垫层,分层碾压密实。
6.3.7 夯实地基宜采用带有自动脱钩装置的履带式起重机,夯锤的质量不应超过起重机械额定起重质量。履带式起重机应在臂杆端部设置辅助门架或采取其他安全措施,防止起落锤时,机架倾覆。
6.3.8 当场地表层土软弱或地下水位较高,宜采用人工降低地下水位或铺填一定厚度的砂石材料的施工措施。施工前,宜将地下水位降低至坑底面以下2m。施工时,坑内或场地积水应及时排除。对细颗粒土,尚应采取晾晒等措施降低含水量。当地基土的含水量低,影响处理效果时,宜采取增湿措施。
6.3.9 施工前,应查明施工影响范围内地下构筑物和地下管线的位置,并采取必要的保护措施。
6.3.10 当强夯施工所引起的振动和侧向挤压对邻近建构筑物产生不利影响时,应设置监测点,并采取挖隔振沟等隔振或防振措施。 (自2022年1月1日起废止该条,详见新规 《建筑与市政地基基础通用规范》 GB 55003-2021)
6.3.11 施工过程中的监测应符合下列规定:
1 开夯前,应检查夯锤质量和落距,以确保单击夯击能量符合设计要求。
2 在每一遍夯击前,应对夯点放线进行复核,夯完后检查夯坑位置,发现偏差或漏夯应及时纠正。
3 按设计要求,检查每个夯点的夯击次数、每击的夯沉量、最后两击的平均夯沉量和总夯沉量、夯点施工起止时间。对强夯置换施工,尚应检查置换深度。
4 施工过程中,应对各项施工参数及施工情况进行详细记录。
6.3.12 夯实地基施工结束后,应根据地基土的性质及所采用的施工工艺,待土层休止期结束后,方可进行基础施工。
6.3.13 强夯处理后的地基竣工验收,承载力检验应根据静载荷试验、其他原位测试和室内土工试验等方法综合确定。强夯置换后的地基竣工验收,除应采用单墩静载荷试验进行承载力检验外,尚应采用动力触探等查明置换墩着底情况及密度随深度的变化情况。 (自2022年1月1日起废止该条,详见新规 《建筑与市政地基基础通用规范》 GB 55003-2021)
6.3.14 夯实地基的质量检验应符合下列规定:
1 检查施工过程中的各项测试数据和施工记录,不符合设计要求时应补夯或采取其他有效措施。
2 强夯处理后的地基承载力检验,应在施工结束后间隔一定时间进行,对于碎石土和砂土地基,间隔时间宜为(7~14)d;粉土和黏性土地基,间隔时间宜为(14~28)d;强夯置换地基,间隔时间宜为28d。
3 强夯地基均匀性检验,可采用动力触探试验或标准贯入试验、静力触探试验等原位测试,以及室内土工试验。检验点的数量,可根据场地复杂程度和建筑物的重要性确定,对于简单场地上的一般建筑物,按每400m2不少于1个检测点,且不少于3点;对于复杂场地或重要建筑地基,每300m2不少于1个检验点,且不少于3点。强夯置换地基,可采用超重型或重型动力触探试验等方法,检查置换墩着底情况及承载力与密度随深度的变化,检验数量不应少于墩点数的3%,且不少于3点。
4 强夯地基承载力检验的数量,应根据场地复杂程度和建筑物的重要性确定,对于简单场地上的一般建筑,每个建筑地基载荷试验检验点不应少于3点;对于复杂场地或重要建筑地基应增加检验点数。检测结果的评价,应考虑夯点和夯间位置的差异。强夯置换地基单墩载荷试验数量不应少于墩点数的1%,且不少于3点;对饱和粉土地基,当处理后墩间土能形成2.0m以上厚度的硬层时,其地基承载力可通过现场单墩复合地基静载荷试验确定,检验数量不应少于墩点数的1%,且每个建筑载荷试验检验点应不少于3点。
7 复合地基
7.1 一般规定
7 复合地基
7.1 一般规定
7.1.1 复合地基设计前,应在有代表性的场地上进行现场试验或试验性施工,以确定设计参数和处理效果。
7.1.2 对散体材料复合地基增强体应进行密实度检验;对有粘结强度复合地基增强体应进行强度及桩身完整性检验。 (自2022年1月1日起废止该条,详见新规 《建筑与市政地基基础通用规范》 GB 55003-2021)
7.1.3 复合地基承载力的验收检验应采用复合地基静载荷试验,对有粘结强度的复合地基增强体尚应进行单桩静载荷试验。 (自2022年1月1日起废止该条,详见新规 《建筑与市政地基基础通用规范》 GB 55003-2021)
7.1.4 复合地基增强体单桩的桩位施工允许偏差:对条形基础的边桩沿轴线方向应为桩径的±1/4,沿垂直轴线方向应为桩径的±1/6,其他情况桩位的施工允许偏差应为桩径的±40%;桩身的垂直度允许偏差应为±1%。
7.1.5 复合地基承载力特征值应通过复合地基静载荷试验或采用增强体静载荷试验结果和其周边土的承载力特征值结合经验确定,初步设计时,可按下列公式估算:
1 对散体材料增强体复合地基应按下式计算:
fspk=[1+m(n-1)]fsk (7.1.5-1)
式中:fspk——复合地基承载力特征值(kPa);
fsk——处理后桩间土承载力特征值(kPa),可按地区经验确定;
n——复合地基桩土应力比,可按地区经验确定;
m——面积置换率,m=d2/d2e;d为桩身平均直径(m),de为一根桩分担的处理地基面积的等效圆直径(m);等边三角形布桩de=1.05s,正方形布桩de=1.13s,矩形布桩de=1.13
,s、s1、s2分别为桩间距、纵向桩间距和横向桩间距。
2 对有粘结强度增强体复合地基应按下式计算:
(7.1.5-2)
式中:λ——单桩承载力发挥系数,可按地区经验取值;
Ra——单桩竖向承载力特征值(kN);
Ap——桩的截面积(m2);
β——桩间土承载力发挥系数,可按地区经验取值。
3 增强体单桩竖向承载力特征值可按下式估算:
(7.1.5-3)
式中:up——桩的周长(m);
qsi——桩周第i层土的侧阻力特征值(kPa),可按地区经验确定;
lpi——桩长范围内第i层土的厚度(m);
ap——桩端端阻力发挥系数,应按地区经验确定;
qp——桩端端阻力特征值(kPa),可按地区经验确定;对于水泥搅拌桩、旋喷桩应取未经修正的桩端地基土承载力特征值。
7.1.6 有粘结强度复合地基增强体桩身强度应满足式(7.1.6-1)的要求。当复合地基承载力进行基础埋深的深度修正时,增强体桩身强度应满足式(7.1.6-2)的要求。
(7.1.6-1)
(7.1.6-2)
式中:fcu——桩体试块(边长150mm立方体)标准养护28d的立方体抗压强度平均值(kPa),对水泥土搅拌桩应符合本规范第7.3.3条的规定;
γm——基础底面以上土的加权平均重度(kN/m3),地下水位以下取有效重度;
d——基础埋置深度(m);
fspa——深度修正后的复合地基承载力特征值(kPa)。
7.1.7 复合地基变形计算应符合现行国家标准《建筑地基基础设计规范》GB 50007的有关规定,地基变形计算深度应大于复合土层的深度。复合土层的分层与天然地基相同,各复合土层的压缩模量等于该层天然地基压缩模量的ξ倍,ξ值可按下式确定:
(7.1.7)
式中:fak——基础底面下天然地基承载力特征值(kPa)。
7.1.8 复合地基的沉降计算经验系数ψs可根据地区沉降观测资料统计值确定,无经验取值时,可采用表7.1.8的数值。
表7.1.8 沉降计算经验系数ψs

注:Es为变形计算深度范围内压缩模量的当量值,应按下式计算:
(7.1.8)
式中:Ai——加固土层第i层土附加应力系数沿土层厚度的积分值;
Aj——加固土层下第j层土附加应力系数沿土层厚度的积分值。
7.1.9 处理后的复合地基承载力,应按本规范附录B的方法确定;复合地基增强体的单桩承载力,应按本规范附录C的方法确定。
7.2 振冲碎石桩和沉管砂石桩复合地基
7.2 振冲碎石桩和沉管砂石桩复合地基
7.2.1 振冲碎石桩、沉管砂石桩复合地基处理应符合下列规定:
1 适用于挤密处理松散砂土、粉土、粉质黏土、素填土、杂填土等地基,以及用于处理可液化地基。饱和黏土地基,如对变形控制不严格,可采用砂石桩置换处理。
2 对大型的、重要的或场地地层复杂的工程,以及对于处理不排水抗剪强度不小于20kPa的饱和黏性土和饱和黄土地基,应在施工前通过现场试验确定其适用性。
3 不加填料振冲挤密法适用于处理黏粒含量不大于10%的中砂、粗砂地基,在初步设计阶段宜进行现场工艺试验,确定不加填料振密的可行性,确定孔距、振密电流值、振冲水压力、振后砂层的物理力学指标等施工参数;30kW振冲器振密深度不宜超过7m,75kW振冲器振密深度不宜超过15m。
7.2.2 振冲碎石桩、沉管砂石桩复合地基设计应符合下列规定:
1 地基处理范围应根据建筑物的重要性和场地条件确定,宜在基础外缘扩大(1~3)排桩。对可液化地基,在基础外缘扩大宽度不应小于基底下可液化土层厚度的1/2,且不应小于5m。
2 桩位布置,对大面积满堂基础和独立基础,可采用三角形、正方形、矩形布桩;对条形基础,可沿基础轴线采用单排布桩或对称轴线多排布桩。
3 桩径可根据地基土质情况、成桩方式和成桩设备等因素确定,桩的平均直径可按每根桩所用填料量计算。振冲碎石桩桩径宜为800mm~1200mm;沉管砂石桩桩径宜为300~800mm。
4 桩间距应通过现场试验确定,并应符合下列规定:
1)振冲碎石桩的桩间距应根据上部结构荷载大小和场地土层情况,并结合所采用的振冲器功率大小综合考虑;30kW振冲器布桩间距可采用1.3m~2.0m;55kW振冲器布桩间距可采用1.4m~2.5m;75kW振冲器布桩间距可采用1.5m~3.0m;不加填料振冲挤密孔距可为2m~3m;
2)沉管砂石桩的桩间距,不宜大于砂石桩直径的4.5倍;初步设计时,对松散粉土和砂土地基,应根据挤密后要求达到的孔隙比确定,可按下列公式估算:
等边三角形布置
(7.2.2-1)
正方形布置
(7.2.2-2)
e1=emax-Drl(emax-emin) (7.2.2-3)
式中: s——砂石桩间距(m);
d——砂石桩直径(m);
ξ——修正系数,当考虑振动下沉密实作用时,可取1.1~1.2;不考虑振动下沉密实作用时,可取1.0;
e0——地基处理前砂土的孔隙比,可按原状土样试验确定,也可根据动力或静力触探等对比试验确定;
e1——地基挤密后要求达到的孔隙比;
emax、emin——砂土的最大、最小孔隙比,可按现行国家标准《土工试验方法标准》GB/T 50123的有关规定确定;
Drl——地基挤密后要求砂土达到的相对密实度,可取0.70~0.85。
5 桩长可根据工程要求和工程地质条件,通过计算确定并应符合下列规定:
1)当相对硬土层埋深较浅时,可按相对硬层埋深确定;
2)当相对硬土层埋深较大时,应按建筑物地基变形允许值确定;
3)对按稳定性控制的工程,桩长应不小于最危险滑动面以下2.0m的深度;
4)对可液化的地基,桩长应按要求处理液化的深度确定;
5)桩长不宜小于4m。
6 振冲桩桩体材料可采用含泥量不大于5%的碎石、卵石、矿渣或其他性能稳定的硬质材料,不宜使用风化易碎的石料。对30kW振冲器,填料粒径宜为20mm~80mm;对55kW振冲器,填料粒径宜为30mm~100mm;对75kW振冲器,填料粒径宜为40mm~150mm。沉管桩桩体材料可用含泥量不大于5%的碎石、卵石、角砾、圆砾、砾砂、粗砂、中砂或石屑等硬质材料,最大粒径不宜大于50mm。
7 桩顶和基础之间宜铺设厚度为300mm~500mm的垫层,垫层材料宜用中砂、粗砂、级配砂石和碎石等,最大粒径不宜大于30mm,其夯填度(夯实后的厚度与虚铺厚度的比值)不应大于0.9。
8 复合地基的承载力初步设计可按本规范(7.1.5-1)式估算,处理后桩间土承载力特征值,可按地区经验确定,如无经验时,对于一般黏性土地基,可取天然地基承载力特征值,松散的砂土、粉土可取原天然地基承载力特征值的(1.2~1.5)倍;复合地基桩土应力比n,宜采用实测值确定,如无实测资料时,对于黏性土可取2.0~4.0,对于砂土、粉土可取1.5~3.0。
9 复合地基变形计算应符合本规范第7.1.7条和第7.1.8条的规定。
10 对处理堆载场地地基,应进行稳定性验算。
7.2.3 振冲碎石桩施工应符合下列规定:
1 振冲施工可根据设计荷载的大小、原土强度的高低、设计桩长等条件选用不同功率的振冲器。施工前应在现场进行试验,以确定水压、振密电流和留振时间等各种施工参数。
2 升降振冲器的机械可用起重机、自行井架式施工平车或其他合适的设备。施工设备应配有电流、电压和留振时间自动信号仪表。
3 振冲施工可按下列步骤进行:
1)清理平整施工场地,布置桩位;
2)施工机具就位,使振冲器对准桩位;
3)启动供水泵和振冲器,水压宜为200kPa~600kPa,水量宜为200L/min~400L/min,将振冲器徐徐沉入土中,造孔速度宜为0.5m/min~2.0m/min,直至达到设计深度;记录振冲器经各深度的水压、电流和留振时间;
4)造孔后边提升振冲器,边冲水直至孔口,再放至孔底,重复(2~3)次扩大孔径并使孔内泥浆变稀,开始填料制桩;
5)大功率振冲器投料可不提出孔口,小功率振冲器下料困难时,可将振冲器提出孔口填料,每次填料厚度不宜大于500mm;将振冲器沉入填料中进行振密制桩,当电流达到规定的密实电流值和规定的留振时间后,将振冲器提升300mm~500mm;
6)重复以上步骤,自下而上逐段制作桩体直至孔口,记录各段深度的填料量、最终电流值和留振时间;
7)关闭振冲器和水泵。
4 施工现场应事先开设泥水排放系统,或组织好运浆车辆将泥浆运至预先安排的存放地点,应设置沉淀池,重复使用上部清水。
5 桩体施工完毕后,应将顶部预留的松散桩体挖除,铺设垫层并压实。
6 不加填料振冲加密宜采用大功率振冲器,造孔速度宜为8m/min~10m/min,到达设计深度后,宜将射水量减至最小,留振至密实电流达到规定时,上提0.5m,逐段振密直至孔口,每米振密时间约1 min。在粗砂中施工,如遇下沉困难,可在振冲器两侧增焊辅助水管,加大造孔水量,降低造孔水压。
7 振密孔施工顺序,宜沿直线逐点逐行进行。
7.2.4 沉管砂石桩施工应符合下列规定:
1 砂石桩施工可采用振动沉管、锤击沉管或冲击成孔等成桩法。当用于消除粉细砂及粉土液化时,宜用振动沉管成桩法。
2 施工前应进行成桩工艺和成桩挤密试验。当成桩质量不能满足设计要求时,应调整施工参数后,重新进行试验或设计。
3 振动沉管成桩法施工,应根据沉管和挤密情况,控制填砂石量、提升高度和速度、挤压次数和时间、电机的工作电流等。
4 施工中应选用能顺利出料和有效挤压桩孔内砂石料的桩尖结构。当采用活瓣桩靴时,对砂土和粉土地基宜选用尖锥形;一次性桩尖可采用混凝土锥形桩尖。
5 锤击沉管成桩法施工可采用单管法或双管法。锤击法挤密应根据锤击能量,控制分段的填砂石量和成桩的长度。
6 砂石桩桩孔内材料填料量,应通过现场试验确定,估算时,可按设计桩孔体积乘以充盈系数确定,充盈系数可取1.2~1.4。
7 砂石桩的施工顺序:对砂土地基宜从外围或两侧向中间进行。
8 施工时桩位偏差不应大于套管外径的30%,套管垂直度允许偏差应为±1%。
9 砂石桩施工后,应将表层的松散层挖除或夯压密实,随后铺设并压实砂石垫层。
7.2.5 振冲碎石桩、沉管砂石桩复合地基的质量检验应符合下列规定:
1 检查各项施工记录,如有遗漏或不符合要求的桩,应补桩或采取其他有效的补救措施。
2 施工后,应间隔一定时间方可进行质量检验。对粉质黏土地基不宜少于21 d,对粉土地基不宜少于14d,对砂土和杂填土地基不宜少于7d。
3 施工质量的检验,对桩体可采用重型动力触探试验;对桩间土可采用标准贯入、静力触探、动力触探或其他原位测试等方法;对消除液化的地基检验应采用标准贯入试验。桩间土质量的检测位置应在等边三角形或正方形的中心。检验深度不应小于处理地基深度,检测数量不应少于桩孔总数的2%。
7.2.6 竣工验收时,地基承载力检验应采用复合地基静载荷试验,试验数量不应少于总桩数的1%,且每个单体建筑不应少于3点。
7.3 水泥土搅拌桩复合地基
7.3 水泥土搅拌桩复合地基
7.3.1 水泥土搅拌桩复合地基处理应符合下列规定:
1 适用于处理正常固结的淤泥、淤泥质土、素填土、黏性土(软塑、可塑)、粉土(稍密、中密)、粉细砂(松散、中密)、中粗砂(松散、稍密)、饱和黄土等土层。不适用于含大孤石或障碍物较多且不易清除的杂填土、欠固结的淤泥和淤泥质土、硬塑及坚硬的黏性土、密实的砂类土,以及地下水渗流影响成桩质量的土层。当地基土的天然含水量小于30%(黄土含水量小于25%)时不宜采用粉体搅拌法。冬期施工时,应考虑负温对处理地基效果的影响。
2 水泥土搅拌桩的施工工艺分为浆液搅拌法(以下简称湿法)和粉体搅拌法(以下简称干法)。可采用单轴、双轴、多轴搅拌或连续成槽搅拌形成柱状、壁状、格栅状或块状水泥土加固体。
3 对采用水泥土搅拌桩处理地基,除应按现行国家标准《岩土工程勘察规范》GB 50021要求进行岩土工程详细勘察外,尚应查明拟处理地基土层的pH值、塑性指数、有机质含量、地下障碍物及软土分布情况、地下水位及其运动规律等。
4 设计前,应进行处理地基土的室内配比试验。针对现场拟处理地基土层的性质,选择合适的固化剂、外掺剂及其掺量,为设计提供不同龄期、不同配比的强度参数。对竖向承载的水泥土强度宜取90d龄期试块的立方体抗压强度平均值。
5 增强体的水泥掺量不应小于12%,块状加固时水泥掺量不应小于加固天然土质量的7%;湿法的水泥浆水灰比可取0.5~0.6。
6 水泥土搅拌桩复合地基宜在基础和桩之间设置褥垫层,厚度可取200mm~300mm。褥垫层材料可选用中砂、粗砂、级配砂石等,最大粒径不宜大于20mm。褥垫层的夯填度不应大于0.9。
7.3.2 水泥土搅拌桩用于处理泥炭土、有机质土、pH值小于4的酸性土、塑性指数大于25的黏土,或在腐蚀性环境中以及无工程经验的地区使用时,必须通过现场和室内试验确定其适用性。 (自2022年1月1日起废止该条,详见新规 《建筑与市政地基基础通用规范》 GB 55003-2021)
7.3.3 水泥土搅拌桩复合地基设计应符合下列规定:
l 搅拌桩的长度,应根据上部结构对地基承载力和变形的要求确定,并应穿透软弱土层到达地基承载力相对较高的土层;当设置的搅拌桩同时为提高地基稳定性时,其桩长应超过危险滑弧以下不少于2.0m;干法的加固深度不宜大于15m,湿法加固深度不宜大于20m。
2 复合地基的承载力特征值,应通过现场单桩或多桩复合地基静载荷试验确定。初步设计时可按本规范式(7.1.5-2)估算,处理后桩间土承载力特征值?sk(kPa)可取天然地基承载力特征值;桩间土承载力发挥系数β,对淤泥、淤泥质土和流塑状软土等处理土层,可取0.1~0.4,对其他土层可取0.4~0.8;单桩承载力发挥系数λ可取1.0。
3 单桩承载力特征值,应通过现场静载荷试验确定。初步设计时可按本规范式(7.1.5-3)估算,桩端端阻力发挥系数可取0.4~0.6;桩端端阻力特征值,可取桩端土未修正的地基承载力特征值,并应满足式(7.3.3)的要求,应使由桩身材料强度确定的单桩承载力不小于由桩周土和桩端土的抗力所提供的单桩承载力。
Ra=ηfcuAp (7.3.3)
式中:fcu——与搅拌桩桩身水泥土配比相同的室内加固土试块,边长为70.7mm的立方体在标准养护条件下90d龄期的立方体抗压强度平均值(kPa);
η——桩身强度折减系数,干法可取0.20~0.25 ;湿法可取0.25。
4 桩长超过10m时,可采用固化剂变掺量设计。在全长桩身水泥总掺量不变的前提下,桩身上部1/3桩长范围内,可适当增加水泥掺量及搅拌次数。
5 桩的平面布置可根据上部结构特点及对地基承载力和变形的要求,采用柱状、壁状、格栅状或块状等加固形式。独立基础下的桩数不宜少于4根。
6 当搅拌桩处理范围以下存在软弱下卧层时,应按现行国家标准《建筑地基基础设计规范》GB 50007的有关规定进行软弱下卧层地基承载力验算。
7 复合地基的变形计算应符合本规范第7.1.7条和第7.1.8条的规定。
7.3.4 用于建筑物地基处理的水泥土搅拌桩施工设备,其湿法施工配备注浆泵的额定压力不宜小于5.0MPa;干法施工的最大送粉压力不应小于0.5MPa。
7.3.5 水泥土搅拌桩施工应符合下列规定:
1 水泥土搅拌桩施工现场施工前应予以平整,清除地上和地下的障碍物。
2 水泥土搅拌桩施工前,应根据设计进行工艺性试桩,数量不得少于3根,多轴搅拌施工不得少于3组。应对工艺试桩的质量进行检验,确定施工参数。
3 搅拌头翼片的枚数、宽度、与搅拌轴的垂直夹角、搅拌头的回转数、提升速度应相互匹配,干法搅拌时钻头每转一圈的提升(或下沉)量宜为10mm~15mm,确保加固深度范围内土体的任何一点均能经过20次以上的搅拌。
4 搅拌桩施工时,停浆(灰)面应高于桩顶设计标高500mm。在开挖基坑时,应将桩顶以上土层及桩顶施工质量较差的桩段,采用人工挖除。
5 施工中,应保持搅拌桩机底盘的水平和导向架的竖直,搅拌桩的垂直度允许偏差和桩位偏差应满足本规范第7.1.4条的规定;成桩直径和桩长不得小于设计值。
6 水泥土搅拌桩施工应包括下列主要步骤:
1)搅拌机械就位、调平;
2)预搅下沉至设计加固深度;
3)边喷浆(或粉),边搅拌提升直至预定的停浆(或灰)面;
4)重复搅拌下沉至设计加固深度;
5)根据设计要求,喷浆(或粉)或仅搅拌提升直至预定的停浆(或灰)面;
6)关闭搅拌机械。
在预(复)搅下沉时,也可采用喷浆(粉)的施工工艺,确保全桩长上下至少再重复搅拌一次。
对地基土进行干法咬合加固时,如复搅困难,可采用慢速搅拌,保证搅拌的均匀性。
7 水泥土搅拌湿法施工应符合下列规定:
1)施工前,应确定灰浆泵输浆量、灰浆经输浆管到达搅拌机喷浆口的时间和起吊设备提升速度等施工参数,并应根据设计要求,通过工艺性成桩试验确定施工工艺;
2)施工中所使用的水泥应过筛,制备好的浆液不得离析,泵送浆应连续进行。拌制水泥浆液的罐数、水泥和外掺剂用量以及泵送浆液的时间应记录;喷浆量及搅拌深度应采用经国家计量部门认证的监测仪器进行自动记录;
3)搅拌机喷浆提升的速度和次数应符合施工工艺要求,并设专人进行记录;
4)当水泥浆液到达出浆口后,应喷浆搅拌30s,在水泥浆与桩端土充分搅拌后,再开始提升搅拌头;
5)搅拌机预搅下沉时,不宜冲水,当遇到硬土层下沉太慢时,可适量冲水;
6)施工过程中,如因故停浆,应将搅拌头下沉至停浆点以下0.5m处,待恢复供浆时,再喷浆搅拌提升;若停机超过3h,宜先拆卸输浆管路,并妥加清洗;
7)壁状加固时,相邻桩的施工时间间隔不宜超过12h。
8 水泥土搅拌干法施工应符合下列规定:
1)喷粉施工前,应检查搅拌机械、供粉泵、送气(粉)管路、接头和阀门的密封性、可靠性,送气(粉)管路的长度不宜大于60m;
2)搅拌头每旋转一周,提升高度不得超过15mm;
3)搅拌头的直径应定期复核检查,其磨耗量不得大于10mm;
4)当搅拌头到达设计桩底以上1.5m时,应开启喷粉机提前进行喷粉作业;当搅拌头提升至地面下500mm时,喷粉机应停止喷粉;
5)成桩过程中,因故停止喷粉,应将搅拌头下沉至停灰面以下1m处,待恢复喷粉时,再喷粉搅拌提升。
7.3.6 水泥土搅拌桩干法施工机械必须配置经国家计量部门确认的具有能瞬时检测并记录出粉体计量装置及搅拌深度自动记录仪。 (自2022年1月1日起废止该条,详见新规 《建筑与市政地基基础通用规范》 GB 55003-2021)
7.3.7 水泥土搅拌桩复合地基质量检验应符合下列规定:
1 施工过程中应随时检查施工记录和计量记录。
2 水泥土搅拌桩的施工质量检验可采用下列方法:
1)成桩3d内,采用轻型动力触探(N10)检查上部桩身的均匀性,检验数量为施工总桩数的1%,且不少于3根;
2)成桩7d后,采用浅部开挖桩头进行检查,开挖深度宜超过停浆(灰)面下0.5m,检查搅拌的均匀性,量测成桩直径,检查数量不少于总桩数的5%。
3 静载荷试验宜在成桩28d后进行。水泥土搅拌桩复合地基承载力检验应采用复合地基静载荷试验和单桩静载荷试验,验收检验数量不少于总桩数的1%,复合地基静载荷试验数量不少于3台(多轴搅拌为3组)。
4 对变形有严格要求的工程,应在成桩28d后,采用双管单动取样器钻取芯样作水泥土抗压强度检验,检验数量为施工总桩数的0.5%,且不少于6点。
7.3.8 基槽开挖后,应检验桩位、桩数与桩顶桩身质量,如不符合设计要求,应采取有效补强措施。
7.4 旋喷桩复合地基
7.4 旋喷桩复合地基
7.4.1 旋喷桩复合地基处理应符合下列规定:
1 适用于处理淤泥、淤泥质土、黏性土(流塑、软塑和可塑)、粉土、砂土、黄土、素填土和碎石土等地基。对土中含有较多的大直径块石、大量植物根茎和高含量的有机质,以及地下水流速较大的工程,应根据现场试验结果确定其适应性。
2 旋喷桩施工,应根据工程需要和土质条件选用单管法、双管法和三管法;旋喷桩加固体形状可分为柱状、壁状、条状或块状。
3 在制定旋喷桩方案时,应搜集邻近建筑物和周边地下埋设物等资料。
4 旋喷桩方案确定后,应结合工程情况进行现场试验,确定施工参数及工艺。
7.4.2 旋喷桩加固体强度和直径,应通过现场试验确定。
7.4.3 旋喷桩复合地基承载力特征值和单桩竖向承载力特征值应通过现场静载荷试验确定。初步设计时,可按本规范式(7.1.5-2)和式(7.1.5-3)估算,其桩身材料强度尚应满足式(7.1.6-1)和式(7.1.6-2)要求。
7.4.4 旋喷桩复合地基的地基变形计算应符合本规范第7.1.7条和第7.1.8条的规定。
7.4.5 当旋喷桩处理地基范围以下存在软弱下卧层时,应按现行国家标准《建筑地基基础设计规范》GB 50007的有关规定进行软弱下卧层地基承载力验算。
7.4.6 旋喷桩复合地基宜在基础和桩顶之间设置褥垫层。褥垫层厚度宜为150mm~300mm,褥垫层材料可选用中砂、粗砂和级配砂石等,褥垫层最大粒径不宜大于20mm。褥垫层的夯填度不应大于0.9。
7.4.7 旋喷桩的平面布置可根据上部结构和基础特点确定,独立基础下的桩数不应少于4根。
7.4.8 旋喷桩施工应符合下列规定:
1 施工前,应根据现场环境和地下埋设物的位置等情况,复核旋喷桩的设计孔位。
2 旋喷桩的施工工艺及参数应根据土质条件、加固要求,通过试验或根据工程经验确定。单管法、双管法高压水泥浆和三管法高压水的压力应大于20MPa,流量应大于30L/min,气流压力宜大于0.7MPa,提升速度宜为0.1m/min~0.2m/min。
3 旋喷注浆,宜采用强度等级为42.5级的普通硅酸盐水泥,可根据需要加入适量的外加剂及掺合料。外加剂和掺合料的用量,应通过试验确定。
4 水泥浆液的水灰比宜为0.8~1.2。
5 旋喷桩的施工工序为:机具就位、贯入喷射管、喷射注浆、拔管和冲洗等。
6 喷射孔与高压注浆泵的距离不宜大于50m。钻孔位置的允许偏差应为±50mm。垂直度允许偏差应为±1%。
7 当喷射注浆管贯入土中,喷嘴达到设计标高时,即可喷射注浆。在喷射注浆参数达到规定值后,随即按旋喷的工艺要求,提升喷射管,由下而上旋转喷射注浆。喷射管分段提升的搭接长度不得小于100mm。
8 对需要局部扩大加固范围或提高强度的部位,可采用复喷措施。
9 在旋喷注浆过程中出现压力骤然下降、上升或冒浆异常时,应查明原因并及时采取措施。
10 旋喷注浆完毕,应迅速拔出喷射管。为防止浆液凝固收缩影响桩顶高程,可在原孔位采用冒浆回灌或第二次注浆等措施。
11 施工中应做好废泥浆处理,及时将废泥浆运出或在现场短期堆放后作土方运出。
12 施工中应严格按照施工参数和材料用量施工,用浆量和提升速度应采用自动记录装置,并做好各项施工记录。
7.4.9 旋喷桩质量检验应符合下列规定:
1 旋喷桩可根据工程要求和当地经验采用开挖检查、钻孔取芯、标准贯入试验、动力触探和静载荷试验等方法进行检验;
2 检验点布置应符合下列规定:
1)有代表性的桩位;
2)施工中出现异常情况的部位;
3)地基情况复杂,可能对旋喷桩质量产生影响的部位。
3 成桩质量检验点的数量不少于施工孔数的2%,并不应少于6点;
4 承载力检验宜在成桩28d后进行。
7.4.10 竣工验收时,旋喷桩复合地基承载力检验应采用复合地基静载荷试验和单桩静载荷试验。检验数量不得少于总桩数的1%,且每个单体工程复合地基静载荷试验的数量不得少于3台。
7.5 灰土挤密桩和土挤密桩复合地基
7.5 灰土挤密桩和土挤密桩复合地基
7.5.1 灰土挤密桩、土挤密桩复合地基处理应符合下列规定:
1 适用于处理地下水位以上的粉土、黏性土、素填土、杂填土和湿陷性黄土等地基,可处理地基的厚度宜为3m~15m;
2 当以消除地基土的湿陷性为主要目的时,可选用土挤密桩;当以提高地基土的承载力或增强其水稳性为主要目的时,宜选用灰土挤密桩;
3 当地基土的含水量大于24%、饱和度大于65%时,应通过试验确定其适用性;
4 对重要工程或在缺乏经验的地区,施工前应按设计要求,在有代表性的地段进行现场试验。
7.5.2 灰土挤密桩、土挤密桩复合地基设计应符合下列规定:
1 地基处理的面积:当采用整片处理时,应大于基础或建筑物底层平面的面积,超出建筑物外墙基础底面外缘的宽度,每边不宜小于处理土层厚度的1/2,且不应小于2m;当采用局部处理时,对非自重湿陷性黄土、素填土和杂填土等地基,每边不应小于基础底面宽度的25%,且不应小于0.5m;对自重湿陷性黄土地基,每边不应小于基础底面宽度的75%,且不应小于1.0m。
2 处理地基的深度,应根据建筑场地的土质情况、工程要求和成孔及夯实设备等综合因素确定。对湿陷性黄土地基,应符合现行国家标准《湿陷性黄土地区建筑规范》GB 50025的有关规定。
3 桩孔直径宜为300mm~600mm。桩孔宜按等边三角形布置,桩孔之间的中心距离,可为桩孔直径的(2.0~3.0)倍,也可按下式估算:
(7.5.2-1)
式中:s——桩孔之间的中心距离(m);
d——桩孔直径(m);
ρdmax——桩间土的最大干密度(t/m3);
ρd——地基处理前土的平均干密度(t/m3);
ηc——桩间土经成孔挤密后的平均挤密系数,不宜小于0.93。
4 桩间土的平均挤密系数ηc,应按下式计算:
(7.5.2-2)
式中:ρdl——在成孔挤密深度内,桩间土的平均干密度(t/m3),平均试样数不应少于6组。
5 桩孔的数量可按下式估算:
(7.5.2-3)
式中:n——桩孔的数量;
A——拟处理地基的面积(m2);
Ae——单根土或灰土挤密桩所承担的处理地基面积(m2),即:
(7.5.2-4)
式中:de——单根桩分担的处理地基面积的等效圆直径(m)。
6 桩孔内的灰土填料,其消石灰与土的体积配合比,宜为2:8或3:7。土料宜选用粉质黏土,土料中的有机质含量不应超过5%,且不得含有冻土,渣土垃圾粒径不应超过15mm。石灰可选用新鲜的消石灰或生石灰粉,粒径不应大于5mm。消石灰的质量应合格,有效CaO+MgO含量不得低于60%。
7 孔内填料应分层回填夯实,填料的平均压实系数λc 不应低于0.97,其中压实系数最小值不应低于0.93。
8 桩顶标高以上应设置300mm~600mm厚的褥垫层。垫层材料可根据工程要求采用2:8或3:7灰土、水泥土等。其压实系数均不应低于0.95。
9 复合地基承载力特征值,应按本规范第7.1.5条确定。初步设计时,可按本规范式(7.1.5-1)进行估算。桩土应力比应按试验或地区经验确定。灰土挤密桩复合地基承载力特征值,不宜大于处理前天然地基承载力特征值的2.0倍,且不宜大于250kPa;对土挤密桩复合地基承载力特征值,不宜大于处理前天然地基承载力特征值的1.4倍,且不宜大于180kPa。
10 复合地基的变形计算应符合本规范第7.1.7条和第7.1.8条的规定。
7.5.3 灰土挤密桩、土挤密桩施工应符合下列规定:
1 成孔应按设计要求、成孔设备、现场土质和周围环境等情况,选用振动沉管、锤击沉管、冲击或钻孔等方法;
2 桩顶设计标高以上的预留覆盖土层厚度,宜符合下列规定:
1)沉管成孔不宜小于0.5m;
2)冲击成孔或钻孔夯扩法成孔不宜小于1.2m。
3 成孔时,地基土宜接近最优(或塑限)含水量,当土的含水量低于12%时,宜对拟处理范围内的土层进行增湿,应在地基处理前(4~6)d,将需增湿的水通过一定数量和一定深度的渗水孔,均匀地浸入拟处理范围内的土层中,增湿土的加水量可按下式估算:
Q=υρd(ωop—ω)k (7.5.3)
式中:Q——计算加水量(t);
υ——拟加固土的总体积(m3);
ρd——地基处理前土的平均干密度(t/m3);
ωop——土的最优含水量(%),通过室内击实试验求得;
ω——地基处理前土的平均含水量(%);
k——损耗系数,可取1.05~1.10。
4 土料有机质含量不应大于5%,且不得含有冻土和膨胀土,使用时应过10mm~20mm的筛,混合料含水量应满足最优含水量要求,允许偏差应为±2%,土料和水泥应拌合均匀;
5 成孔和孔内回填夯实应符合下列规定:
1)成孔和孔内回填夯实的施工顺序,当整片处理地基时,宜从里(或中间)向外间隔(1~2)孔依次进行,对大型工程,可采取分段施工;当局部处理地基时,宜从外向里间隔(1~2)孔依次进行;
2)向孔内填料前,孔底应夯实,并应检查桩孔的直径、深度和垂直度;
3)桩孔的垂直度允许偏差应为±1%;
4)孔中心距允许偏差应为桩距的±5%;
5)经检验合格后,应按设计要求,向孔内分层填入筛好的素土、灰土或其他填料,并应分层夯实至设计标高。
6 铺设灰土垫层前,应按设计要求将桩顶标高以上的预留松动土层挖除或夯(压)密实;
7 施工过程中,应有专人监督成孔及回填夯实的质量,并应做好施工记录;如发现地基土质与勘察资料不符,应立即停止施工,待查明情况或采取有效措施处理后,方可继续施工;
8 雨期或冬期施工,应采取防雨或防冻措施,防止填料受雨水淋湿或冻结。
7.5.4 灰土挤密桩、土挤密桩复合地基质量检验应符合下列规定:
1 桩孔质量检验应在成孔后及时进行,所有桩孔均需检验并作出记录,检验合格或经处理后方可进行夯填施工。
2 应随机抽样检测夯后桩长范围内灰土或土填料的平均压实系数λc,抽检的数量不应少于桩总数的l%,且不得少于9根。对灰土桩桩身强度有怀疑时,尚应检验消石灰与土的体积配合比。
3 应抽样检验处理深度内桩间土的平均挤密系数ηc,检测探井数不应少于总桩数的0.3%,且每项单体工程不得少于3个。
4 对消除湿陷性的工程,除应检测上述内容外,尚应进行现场浸水静载荷试验,试验方法应符合现行国家标准《湿陷性黄土地区建筑规范》GB 50025的规定。
5 承载力检验应在成桩后14d~28d后进行,检测数量不应少于总桩数的1%,且每项单体工程复合地基静载荷试验不应少于3点。
7.5.5 竣工验收时,灰土挤密桩、土挤密桩复合地基的承载力检验应采用复合地基静载荷试验。
7.6 夯实水泥土桩复合地基
7.6 夯实水泥土桩复合地基
7.6.1 夯实水泥土桩复合地基处理应符合下列规定:
1 适用于处理地下水位以上的粉土、黏性土、素填土和杂填土等地基,处理地基的深度不宜大于15m;
2 岩土工程勘察应查明土层厚度、含水量、有机质含量等;
3 对重要工程或在缺乏经验的地区,施工前应按设计要求,选择地质条件有代表性的地段进行试验性施工。
7.6.2 夯实水泥土桩复合地基设计应符合下列规定:
1 夯实水泥土桩宜在建筑物基础范围内布置;基础边缘距离最外一排桩中心的距离不宜小于1.0倍桩径;
2 桩长的确定:当相对硬土层埋藏较浅时,应按相对硬土层的埋藏深度确定;当相对硬土层的埋藏较深时,可按建筑物地基的变形允许值确定;
3 桩孔直径宜为300mm~600mm;桩孔宜按等边三角形或方形布置,桩间距可为桩孔直径的(2~4)倍;
4 桩孔内的填料,应根据工程要求进行配比试验,并应符合本规范第7.1.6条的规定;水泥与土的体积配合比宜为1:5~1:8;
5 孔内填料应分层回填夯实,填料的平均压实系数λc不应低于0.97,压实系数最小值不应低于0.93;
6 桩顶标高以上应设置厚度为100mm~300mm的褥垫层;垫层材料可采用粗砂、中砂或碎石等,垫层材料最大粒径不宜大于20mm;褥垫层的夯填度不应大于0.9;
7 复合地基承载力特征值应按本规范第7.1.5条规定确定;初步设计时可按公式(7.1.5-2)进行估算;桩间土承载力发挥系数β可取0.9~1.0;单桩承载力发挥系数λ可取1.0;
8 复合地基的变形计算应符合本规范第7.1.7条和第7.1.8条的有关规定。
7.6.3 夯实水泥土桩施工应符合下列规定:
1 成孔应根据设计要求、成孔设备、现场土质和周围环境等,选用钻孔、洛阳铲成孔等方法。当采用人工洛阳铲成孔工艺时,处理深度不宜大于6.0m。
2 桩顶设计标高以上的预留覆盖土层厚度不宜小于0.3m。
3 成孔和孔内回填夯实应符合下列规定:
1)宜选用机械成孔和夯实;
2)向孔内填料前,孔底应夯实;分层夯填时,夯锤落距和填料厚度应满足夯填密实度的要求;
3)土料有机质含量不应大于5%,且不得含有冻土和膨胀土,混合料含水量应满足最优含水量要求,允许偏差应为±2%,土料和水泥应拌合均匀;
4)成孔经检验合格后,按设计要求,向孔内分层填入拌合好的水泥土,并应分层夯实至设计标高。
4 铺设垫层前,应按设计要求将桩顶标高以上的预留土层挖除。垫层施工应避免扰动基底土层。
5 施工过程中,应有专人监理成孔及回填夯实的质量,并应做好施工记录。如发现地基土质与勘察资料不符,应立即停止施工,待查明情况或采取有效措施处理后,方可继续施工。
6 雨期或冬期施工,应采取防雨或防冻措施,防止填料受雨水淋湿或冻结。
7.6.4 夯实水泥土桩复合地基质量检验应符合下列规定:
1 成桩后,应及时抽样检验水泥土桩的质量;
2 夯填桩体的干密度质量检验应随机抽样检测,抽检的数量不应少于总桩数的2%;
3 复合地基静载荷试验和单桩静载荷试验检验数量不应少于桩总数的1%,且每项单体工程复合地基静载荷试验检验数量不应少于3点。
7.6.5 竣工验收时,夯实水泥土桩复合地基承载力检验应采用单桩复合地基静载荷试验和单桩静载荷试验;对重要或大型工程,尚应进行多桩复合地基静载荷试验。
7.7 水泥粉煤灰碎石桩复合地基
7.7 水泥粉煤灰碎石桩复合地基
7.7.1 水泥粉煤灰碎石桩复合地基适用于处理黏性土、粉土、砂土和自重固结已完成的素填土地基。对淤泥质土应按地区经验或通过现场试验确定其适用性。
7.7.2 水泥粉煤灰碎石桩复合地基设计应符合下列规定:
1 水泥粉煤灰碎石桩,应选择承载力和压缩模量相对较高的土层作为桩端持力层。
2 桩径:长螺旋钻中心压灌、干成孔和振动沉管成桩宜为350mm~600mm泥浆护壁钻孔成桩宜为600mm~800mm;钢筋混凝土预制桩宜为300mm~600mm。
3 桩间距应根据基础形式、设计要求的复合地基承载力和变形、土性及施工工艺确定:
1)采用非挤土成桩工艺和部分挤土成桩工艺,桩间距宜为(3~5)倍桩径;
2)采用挤土成桩工艺和墙下条形基础单排布桩的桩间距宜为(3~6)倍桩径;
3)桩长范围内有饱和粉土、粉细砂、淤泥、淤泥质土层,采用长螺旋钻中心压灌成桩施工中可能发生窜孔时宜采用较大桩距。
4 桩顶和基础之间应设置褥垫层,褥垫层厚度宜为桩径的40%~60%。褥垫材料宜采用中砂、粗砂、级配砂石和碎石等,最大粒径不宜大于30mm。
5 水泥粉煤灰碎石桩可只在基础范围内布桩,并可根据建筑物荷载分布、基础形式和地基土性状,合理确定布桩参数:
1)内筒外框结构内筒部位可采用减小桩距、增大桩长或桩径布桩;
2)对相邻柱荷载水平相差较大的独立基础,应按变形控制确定桩长和桩距;
3)筏板厚度与跨距之比小于1/6的平板式筏基、梁的高跨比大于1/6且板的厚跨比(筏板厚度与梁的中心距之比)小于1/6的梁板式筏基,应在柱(平板式筏基)和梁(梁板式筏基)边缘每边外扩2.5倍板厚的面积范围内布桩;
4)对荷载水平不高的墙下条形基础可采用墙下单排布桩。
6 复合地基承载力特征值应按本规范第7.1.5条规定确定。初步设计时,可按式(7.1.5-2)估算,其中单桩承载力发挥系数λ和桩间土承载力发挥系数β应按地区经验取值,无经验时λ可取0.8~0.9;β可取0.9~1.0;处理后桩间土的承载力特征值?sk,对非挤土成桩工艺,可取天然地基承载力特征值;对挤土成桩工艺,一般黏性土可取天然地基承载力特征值;松散砂土、粉土可取天然地基承载力特征值的(1.2~1.5)倍,原土强度低的取大值。按式(7.1.5-3)估算单桩承载力时,桩端端阻力发挥系数ap可取1.0;桩身强度应满足本规范第7.1.6条的规定。
7 处理后的地基变形计算应符合本规范第7.1.7条和第7.1.8条的规定。
7.7.3 水泥粉煤灰碎石桩施工应符合下列规定:
1 可选用下列施工工艺:
1)长螺旋钻孔灌注成桩:适用于地下水位以上的黏性土、粉土、素填土、中等密实以上的砂土地基;
2)长螺旋钻中心压灌成桩:适用于黏性土、粉土、砂土和素填土地基,对噪声或泥浆污染要求严格的场地可优先选用;穿越卵石夹层时应通过试验确定适用性;
3)振动沉管灌注成桩:适用于粉土、黏性土及素填土地基;挤土造成地面隆起量大时,应采用较大桩距施工;
4)泥浆护壁成孔灌注成桩,适用于地下水位以下的黏性土、粉土、砂土、填土、碎石土及风化岩层等地基;桩长范围和桩端有承压水的土层应通过试验确定其适应性。
2 长螺旋钻中心压灌成桩施工和振动沉管灌注成桩施工应符合下列规定:
1)施工前,应按设计要求在试验室进行配合比试验;施工时,按配合比配制混合料;长螺旋钻中心压灌成桩施工的坍落度宜为160mm~200mm,振动沉管灌注成桩施工的坍落度宜为30mm~50mm;振动沉管灌注成桩后桩顶浮浆厚度不宜超过200mm;
2)长螺旋钻中心压灌成桩施工钻至设计深度后,应控制提拔钻杆时间,混合料泵送量应与拔管速度相配合, 不得在饱和砂土或饱和粉土层内停泵待料;沉管灌注成桩施工拔管速度宜为1.2m/min~1.5m/min,如遇淤泥质土,拔管速度应适当减慢;当遇有松散饱和粉土、粉细砂或淤泥质土,当桩距较小时,宜采取隔桩跳打措施;
3)施工桩顶标高宜高出设计桩顶标高不少于0.5m;当施工作业面高出桩顶设计标高较大时,宜增加混凝土灌注量;
4)成桩过程中,应抽样做混合料试块,每台机械每台班不应少于一组。
3 冬期施工时,混合料入孔温度不得低于5℃,对桩头和桩间土应采取保温措施;
4 清土和截桩时,应采用小型机械或人工剔除等措施,不得造成桩顶标高以下桩身断裂或桩间土扰动;
5 褥垫层铺设宜采用静力压实法,当基础底面下桩间土的含水量较低时,也可采用动力夯实法,夯填度不应大于0.9;
6 泥浆护壁成孔灌注成桩和锤击、静压预制桩施工,应符合现行行业标准《建筑桩基技术规范》JGJ 94的规定。
7.7.4 水泥粉煤灰碎石桩复合地基质量检验应符合下列规定:
1 施工质量检验应检查施工记录、混合料坍落度、桩数、桩位偏差、褥垫层厚度、夯填度和桩体试块抗压强度等;
2 竣工验收时,水泥粉煤灰碎石桩复合地基承载力检验应采用复合地基静载荷试验和单桩静载荷试验;
3 承载力检验宜在施工结束28d后进行,其桩身强度应满足试验荷载条件;复合地基静载荷试验和单桩静载荷试验的数量不应少于总桩数的1%,且每个单体工程的复合地基静载荷试验的试验数量不应少于3点;
4 采用低应变动力试验检测桩身完整性,检查数量不低于总桩数的10%。
7.8 柱锤冲扩桩复合地基
7.8 柱锤冲扩桩复合地基
7.8.1 柱锤冲扩桩复合地基适用于处理地下水位以上的杂填土、粉土、黏性土、素填土和黄土等地基;对地下水位以下饱和土层处理,应通过现场试验确定其适用性。
7.8.2 柱锤冲扩桩处理地基的深度不宜超过10m。
7.8.3 对大型的、重要的或场地复杂的工程,在正式施工前,应在有代表性的场地进行试验。
7.8.4 柱锤冲扩桩复合地基设计应符合下列规定:
1 处理范围应大于基底面积。对一般地基,在基础外缘应扩大(1~3)排桩,且不应小于基底下处理土层厚度的1/2;对可液化地基,在基础外缘扩大的宽度,不应小于基底下可液化土层厚度的1/2,且不应小于5m;
2 桩位布置宜为正方形和等边三角形,桩距宜为1.2m~2.5m或取桩径的(2~3)倍;
3 桩径宜为500mm~800mm,桩孔内填料量应通过现场试验确定;
4 地基处理深度:对相对硬土层埋藏较浅地基,应达到相对硬土层深度;对相对硬土层埋藏较深地基,应按下卧层地基承载力及建筑物地基的变形允许值确定;对可液化地基,应按现行国家标准《建筑抗震设计规范》GB 50011的有关规定确定;
5 桩顶部应铺设200mm~300mm厚砂石垫层,垫层的夯填度不应大于0.9;对湿陷性黄土,垫层材料应采用灰土,满足本规范第7.5.2条第8款的规定。
6 桩体材料可采用碎砖三合土、级配砂石、矿渣、灰土、水泥混合土等,当采用碎砖三合土时,其体积比可采用生石灰:碎砖:黏性土为1:2:4,当采用其他材料时,应通过试验确定其适用性和配合比;
7 承载力特征值应通过现场复合地基静载荷试验确定;初步设计时,可按式(7.1.5-1)估算,置换率m宜取0.2~0.5;桩土应力比n应通过试验确定或按地区经验确定;无经验值时,可取2~4;
8 处理后地基变形计算应符合本规范第7.1.7条和第7.1.8条的规定;
9 当柱锤冲扩桩处理深度以下存在软弱下卧层时,应按现行国家标准《建筑地基基础设计规范》GB 50007的有关规定进行软弱下卧层地基承载力验算。
7.8.5 柱锤冲扩桩施工应符合下列规定:
1 宜采用直径300mm~500mm、长度2m~6m、质量2t~10t的柱状锤进行施工。
2 起重机具可用起重机、多功能冲扩桩机或其他专用机具设备。
3 柱锤冲扩桩复合地基施工可按下列步骤进行:
1)清理平整施工场地,布置桩位。
2)施工机具就位,使柱锤对准桩位。
3)柱锤冲孔:根据土质及地下水情况可分别采用下列三种成孔方式:
①冲击成孔:将柱锤提升一定高度,自由下落冲击土层,如此反复冲击,接近设计成孔深度时,可在孔内填少量粗骨料继续冲击,直到孔底被夯密实;
②填料冲击成孔:成孔时出现缩颈或塌孔时,可分次填入碎砖和生石灰块,边冲击边将填料挤入孔壁及孔底,当孔底接近设计成孔深度时,夯入部分碎砖挤密桩端土;
③复打成孔:当塌孔严重难以成孔时,可提锤反复冲击至设计孔深,然后分次填入碎砖和生石灰块,待孔内生石灰吸水膨胀、桩间土性质有所改善后,再进行二次冲击复打成孔。
当采用上述方法仍难以成孔时,也可以采用套管成孔,即用柱锤边冲孔边将套管压入土中,直至桩底设计标高。
4)成桩:用料斗或运料车将拌合好的填料分层填入桩孔夯实。当采用套管成孔时,边分层填料夯实,边将套管拔出。锤的质量、锤长、落距、分层填料量、分层夯填度、夯击次数和总填料量等,应根据试验或按当地经验确定。每个桩孔应夯填至桩顶设计标高以上至少0.5m,其上部桩孔宜用原地基土夯封。
5)施工机具移位,重复上述步骤进行下一根桩施工。
4 成孔和填料夯实的施工顺序,宜间隔跳打。
7.8.6 基槽开挖后,应晾槽拍底或振动压路机碾压后,再铺设垫层并压实。
7.8.7 柱锤冲扩桩复合地基的质量检验应符合下列规定:
1 施工过程中应随时检查施工记录及现场施工情况,并对照预定的施工工艺标准,对每根桩进行质量评定;
2 施工结束后7d~14d,可采用重型动力触探或标准贯入试验对桩身及桩间土进行抽样检验,检验数量不应少于冲扩桩总数的2%,每个单体工程桩身及桩间土总检验点数均不应少于6点;
3 竣工验收时,柱锤冲扩桩复合地基承载力检验应采用复合地基静载荷试验;
4 承载力检验数量不应少于总桩数的1%,且每个单体工程复合地基静载荷试验不应少于3点;
5 静载荷试验应在成桩14d后进行;
6 基槽开挖后,应检查桩位、桩径、桩数、桩顶密实度及槽底土质情况。如发现漏桩、桩位偏差过大、桩头及槽底土质松软等质量问题,应采取补救措施。
7.9 多桩型复合地基
7.9 多桩型复合地基
7.9.1 多桩型复合地基适用于处理不同深度存在相对硬层的正常固结土,或浅层存在欠固结土、湿陷性黄土、可液化土等特殊土,以及地基承载力和变形要求较高的地基。
7.9.2 多桩型复合地基的设计应符合下列原则:
1 桩型及施工工艺的确定,应考虑土层情况、承载力与变形控制要求、经济性和环境要求等综合因素;
2 对复合地基承载力贡献较大或用于控制复合土层变形的长桩,应选择相对较好的持力层;对处理欠固结土的增强体,其桩长应穿越欠固结土层;对消除湿陷性土的增强体,其桩长宜穿过湿陷性土层;对处理液化土的增强体,其桩长宜穿过可液化土层;
3 如浅部存在有较好持力层的正常固结土,可采用长桩与短桩的组合方案;
4 对浅部存在软土或欠固结土,宜先采用预压、压实、夯实、挤密方法或低强度桩复合地基等处理浅层地基,再采用桩身强度相对较高的长桩进行地基处理;
5 对湿陷性黄土应按现行国家标准《湿陷性黄土地区建筑规范》GB 50025的规定,采用压实、夯实或土桩、灰土桩等处理湿陷性,再采用桩身强度相对较高的长桩进行地基处理;
6 对可液化地基,可采用碎石桩等方法处理液化土层,再采用有粘结强度桩进行地基处理。
7.9.3 多桩型复合地基单桩承载力应由静载荷试验确定,初步设计可按本规范第7.1.6条规定估算;对施工扰动敏感的土层,应考虑后施工桩对已施工桩的影响,单桩承载力予以折减。
7.9.4 多桩型复合地基的布桩宜采用正方形或三角形间隔布置,刚性桩宜在基础范围内布桩,其他增强体布桩应满足液化土地基和湿陷性黄土地基对不同性质土质处理范围的要求。
7.9.5 多桩型复合地基垫层设置,对刚性长、短桩复合地基宜选择砂石垫层,垫层厚度宜取对复合地基承载力贡献大的增强体直径的1/2;对刚性桩与其他材料增强体桩组合的复合地基,垫层厚度宜取刚性桩直径的1/2;对湿陷性的黄土地基,垫层材料应采用灰土,垫层厚度宜为300mm。
7.9.6 多桩型复合地基承载力特征值,应采用多桩复合地基静载荷试验确定,初步设计时,可采用下列公式估算:
1 对具有粘结强度的两种桩组合形成的多桩型复合地基承载力特征值:
(7.9.6-1)
式中:m1、m2——分别为桩1、桩2的面积置换率;
λ1、λ2——分别为桩1、桩2的单桩承载力发挥系数;应由单桩复合地基试验按等变形准则或多桩复合地基静载荷试验确定,有地区经验时也可按地区经验确定;
Ra1、Ra2——分别为桩1、桩2的单桩承载力特征值(kN);
Ap1、Ap2——分别为桩1、桩2的截面面积(m2);
β——桩间土承载力发挥系数;无经验时可取0.9~1.0;
fsk——处理后复合地基桩间土承载力特征值(kPa)。
2 对具有粘结强度的桩与散体材料桩组合形成的复合地基承载力特征值:
(7.9.6-2)
式中:β——仅由散体材料桩加固处理形成的复合地基承载力发挥系数;
n——仅由散体材料桩加固处理形成复合地基的桩土应力比;
fsk——仅由散体材料桩加固处理后桩间土承载力特征值(kPa)。
7.9.7 多桩型复合地基面积置换率,应根据基础面积与该面积范围内实际的布桩数量进行计算,当基础面积较大或条形基础较长时,可用单元面积置换率替代。
1 当按图7.9.7(a)矩形布桩时,m1=

图7.9.7(a) 多桩型复合地基矩形布桩单元面积计算模型
1-桩1;2-桩2
2 当按图7.9.7(b)三角形布桩且s1=s2时,m1=


图7.9.7(b) 多桩型复合地基三角形布桩单元面积计算模型
1-桩1;2-桩2
7.9.8 多桩型复合地基变形计算可按本规范第7.1.7条和第7.1.8条的规定,复合土层的压缩模量可按下列公式计算:
1 有粘结强度增强体的长短桩复合加固区、仅长桩加固区土层压缩模量提高系数分别按下列公式计算:
(7.9.8-1)
(7.9.8-2)
式中:fspk1、fspk——分别为仅由长桩处理形成复合地基承载力特征值和长短桩复合地基承载力特征值(kPa);
ξ1、ξ2——分别为长短桩复合地基加固土层压缩模量提高系数和仅由长桩处理形成复合地基加固土层压缩模量提高系数。
2 对由有粘结强度的桩与散体材料桩组合形成的复合地基加固区土层压缩模量提高系数可按式(7.9.8-3)或式(7.9.8-4)计算:
(7.9.8-3)
(7.9.8-4)
式中:fspk2——仅由散体材料桩加固处理后复合地基承载力特征值(kPa);
a——处理后桩间土地基承载力的调整系数,a=fsk/fak;
m——散体材料桩的面积置换率。
7.9.9 复合地基变形计算深度应大于复合地基土层的厚度,且应满足现行国家标准《建筑地基基础设计规范》GB 50007的有关规定。
7.9.10 多桩型复合地基的施工应符合下列规定:
1 对处理可液化土层的多桩型复合地基,应先施工处理液化的增强体;
2 对消除或部分消除湿陷性黄土地基,应先施工处理湿陷性的增强体;
3 应降低或减小后施工增强体对已施工增强体的质量和承载力的影响。
7.9.11 多桩型复合地基的质量检验应符合下列规定:
1 竣工验收时,多桩型复合地基承载力检验,应采用多桩复合地基静载荷试验和单桩静载荷试验,检验数量不得少于总桩数的1%;
2 多桩复合地基载荷板静载荷试验,对每个单工程检验数量不得少于3点;
3 增强体施工质量检验,对散体材料增强体的检验数量不应少于其总桩数的2%,对具有粘结强度的增强体,完整性检验数量不应少于其总桩数的10%。
8 注浆加固
8.1 一般规定
8 注浆加固
8.1 一般规定
8.1.1 注浆加固适用于建筑地基的局部加固处理,适用于砂土、粉土、黏性土和人工填土等地基加固。加固材料可选用水泥浆液、硅化浆液和碱液等固化剂。
8.1.2 注浆加固设计前,应进行室内浆液配比试验和现场注浆试验,确定设计参数,检验施工方法和设备。
8.1.3 注浆加固应保证加固地基在平面和深度连成一体,满足土体渗透性、地基土的强度和变形的设计要求。
8.1.4 注浆加固后的地基变形计算应按现行国家标准《建筑地基基础设计规范》GB 50007的有关规定进行。
8.1.5 对地基承载力和变形有特殊要求的建筑地基,注浆加固宜与其他地基处理方法联合使用。
8.2 设计
8.2 设计
8.2.1 水泥为主剂的注浆加固设计应符合下列规定:
1 对软弱地基土处理,可选用以水泥为主剂的浆液及水泥和水玻璃的双液型混合浆液;对有地下水流动的软弱地基,不应采用单液水泥浆液。
2 注浆孔间距宜取1.0m~2.0m。
3 在砂土地基中,浆液的初凝时间宜为5min~20min;在黏性土地基中,浆液的初凝时间宜为(1~2)h。
4 注浆量和注浆有效范围,应通过现场注浆试验确定;在黏性土地基中,浆液注入率宜为15%~20%;注浆点上覆土层厚度应大于2m。
5 对劈裂注浆的注浆压力,在砂土中,宜为0.2MPa~0.5MPa;在黏性土中,宜为0.2MPa~0.3MPa。对压密注浆,当采用水泥砂浆浆液时,坍落度宜为25mm~75mm,注浆压力宜为1.0MPa~7.0MPa。当采用水泥水玻璃双液快凝浆液时,注浆压力不应大于1.0MPa。
6 对人工填土地基,应采用多次注浆,间隔时间应按浆液的初凝试验结果确定,且不应大于4h。
8.2.2 硅化浆液注浆加固设计应符合下列规定:
1 砂土、黏性土宜采用压力双液硅化注浆;渗透系数为(0.1~2.0)m/d的地下水位以上的湿陷性黄土,可采用无压或压力单液硅化注浆;自重湿陷性黄土宜采用无压单液硅化注浆;
2 防渗注浆加固用的水玻璃模数不宜小于2.2,用于地基加固的水玻璃模数宜为2.5~3.3,且不溶于水的杂质含量不应超过2%;
3 双液硅化注浆用的氧化钙溶液中的杂质含量不得超过0.06%,悬浮颗粒含量不得超过1%,溶液的pH值不得小于5.5;
4 硅化注浆的加固半径应根据孔隙比、浆液黏度、凝固时间、灌浆速度、灌浆压力和灌浆量等试验确定;无试验资料时,对粗砂、中砂、细砂、粉砂和黄土可按表8.2.2确定;
表8.2.2 硅化法注浆加固半径

续表8.2.2

5 注浆孔的排间距可取加固半径的1.5倍;注浆孔的间距可取加固半径的(1.5~1.7)倍;最外侧注浆孔位超出基础底面宽度不得小于0.5m;分层注浆时,加固层厚度可按注浆管带孔部分的长度上下各25%加固半径计算;
6 单液硅化法应采用浓度为10%~15%的硅酸钠,并掺入2.5%氯化钠溶液;加固湿陷性黄土的溶液用量,可按下式估算:
Q=VndN1a (8.2.2-1)
式中:Q——硅酸钠溶液的用量(m3);
V——拟加固湿陷性黄土的体积(m3);
n——地基加固前,土的平均孔隙率;
dN1——灌注时,硅酸钠溶液的相对密度;
a——溶液填充孔隙的系数,可取0.60~0.80。
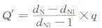
7 当硅酸钠溶液浓度大于加固湿陷性黄土所要求的浓度时,应进行稀释,稀释加水量可按下式估算:
(8.2.2-2)
式中:Q'——稀释硅酸钠溶液的加水量(t);
dN——稀释前,硅酸钠溶液的相对密度;
q——拟稀释硅酸钠溶液的质量(t)。
8 采用单液硅化法加固湿陷性黄土地基,灌注孔的布置应符合下列规定:
1)灌注孔间距:压力灌注宜为0.8m~1.2m;溶液无压力自渗宜为0.4m~0.6m;
2)对新建建(构)筑物和设备基础的地基,应在基础底面下按等边三角形满堂布孔,超出基础底面外缘的宽度,每边不得小于1.Om;
3)对既有建(构)筑物和设备基础的地基,应沿基础侧向布孔,每侧不宜少于2排;
4)当基础底面宽度大于3m时,除应在基础下每侧布置2排灌注孔外,可在基础两侧布置斜向基础底面中心以下的灌注孔或在其台阶上布置穿透基础的灌注孔。
8.2.3 碱液注浆加固设计应符合下列规定:
1 碱液注浆加固适用于处理地下水位以上渗透系数为(0.1-2.0)m/d的湿陷性黄土地基,对自重湿陷性黄土地基的适应性应通过试验确定;
2 当1OOg干土中可溶性和交换性钙镁离子含量大于1Omg?eq时,可采用灌注氢氧化钠一种溶液的单液法;其他情况可采用灌注氢氧化钠和氯化钙双液灌注加固;
3 碱液加固地基的深度应根据地基的湿陷类型、地基湿陷等级和湿陷性黄土层厚度,并结合建筑物类别与湿陷事故的严重程度等综合因素确定;加固深度宜为2m~5m;
1)对非自重湿陷性黄土地基,加固深度可为基础宽度的(1.5~2.0)倍;
2)对Ⅱ级自重湿陷性黄土地基,加固深度可为基础宽度的(2.0~3.0)倍。
4 碱液加固土层的厚度h,可按下式估算:
h=l+r (8.2.3-1)
式中:l——灌注孔长度,从注液管底部到灌注孔底部的距离(m);
r——有效加固半径(m)。
5 碱液加固地基的半径r,宜通过现场试验确定。当碱液浓度和温度符合本规范第8.3.3条规定时,有效加固半径与碱液灌注量之间,可按下式估算:
(8.2.3-2)
式中:V——每孔碱液灌注量(L),试验前可根据加固要求达到的有效加固半径按式(8.2.3-3)进行估算;
n——拟加固土的天然孔隙率。
r——有效加固半径(m),当无试验条件或工程量较小时,可取0.4m~0.5m。
6 当采用碱液加固既有建(构)筑物的地基时,灌注孔的平面布置,可沿条形基础两侧或单独基础周边各布置一排。当地基湿陷性较严重时,孔距宜为0.7m~0.9m;当地基湿陷较轻时,孔距宜为1.2m~2.5m;
7 每孔碱液灌注量可按下式估算:
V=aβлr2(l+r)n (8.2.3-3)
式中:a——碱液充填系数,可取0.6~0.8;
β——工作条件系数,考虑碱液流失影响,可取1.1。
8.3 施工
8.3 施工
8.3.1 水泥为主剂的注浆施工应符合下列规定:
1 施工场地应预先平整,并沿钻孔位置开挖沟槽和集水坑。
2 注浆施工时,宜采用自动流量和压力记录仪,并应及时进行数据整理分析。
3 注浆孔的孔径宜为70mm~110mm,垂直度允许偏差应为±1%。
4 花管注浆法施工可按下列步骤进行:
1)钻机与注浆设备就位;
2)钻孔或采用振动法将花管置入土层;
3)当采用钻孔法时,应从钻杆内注入封闭泥浆,然后插入孔径为50mm的金属花管;
4)待封闭泥浆凝固后,移动花管自下而上或自上而下进行注浆。
5 压密注浆施工可按下列步骤进行:
1)钻机与注浆设备就位;
2)钻孔或采用振动法将金属注浆管压入土层;
3)当采用钻孔法时,应从钻杆内注入封闭泥浆,然后插入孔径为50mm的金属注浆管;
4)待封闭泥浆凝固后,捅去注浆管的活络堵头,提升注浆管自下而上或自上而下进行注浆。
6 浆液黏度应为80s~90s,封闭泥浆7d后70.7mm×70.7mm×70.7mm立方体试块的抗压强度应为0.3MPa~0.5MPa。
7 浆液宜用普通硅酸盐水泥。注浆时可部分掺用粉煤灰,掺入量可为水泥重量的20%~50%。根据工程需要,可在浆液拌制时加入速凝剂、减水剂和防析水剂。
8 注浆用水pH值不得小于4。
9 水泥浆的水灰比可取0.6~2.0,常用的水灰比为1.0。
10 注浆的流量可取(7~10)L/min,对充填型注浆,流量不宜大于20L/min。
11 当用花管注浆和带有活堵头的金属管注浆时,每次上拔或下钻高度宜为0.5m。
12 浆体应经过搅拌机充分搅拌均匀后,方可压注,注浆过程中应不停缓慢搅拌,搅拌时间应小于浆液初凝时间。浆液在泵送前应经过筛网过滤。
13 水温不得超过30℃~35℃,盛浆桶和注浆管路在注浆体静止状态不得暴露于阳光下,防止浆液凝固;当日平均温度低于5℃或最低温度低于-3℃的条件下注浆时,应采取措施防止浆液冻结。
14 应采用跳孔间隔注浆,且先外围后中间的注浆顺序。当地下水流速较大时,应从水头高的一端开始注浆。
15 对渗透系数相同的土层,应先注浆封顶,后由下而上进行注浆,防止浆液上冒。如土层的渗透系数随深度而增大,则应自下而上注浆。对互层地层,应先对渗透性或孔隙率大的地层进行注浆。
16 当既有建筑地基进行注浆加固时,应对既有建筑及其邻近建筑、地下管线和地面的沉降、倾斜、位移和裂缝进行监测。并应采用多孔间隔注浆和缩短浆液凝固时间等措施,减少既有建筑基础因注浆而产生的附加沉降。
8.3.2 硅化浆液注浆施工应符合下列规定:
1 压力灌浆溶液的施工步骤应符合下列规定:
1)向土中打入灌注管和灌注溶液,应自基础底面标高起向下分层进行,达到设计深度后,应将管拔出,清洗干净方可继续使用;
2)加固既有建筑物地基时,应采用沿基础侧向先外排,后内排的施工顺序;
3)灌注溶液的压力值由小逐渐增大,最大压力不宜超过200kPa。
2 溶液自渗的施工步骤,应符合下列规定:
1)在基础侧向,将设计布置的灌注孔分批或全部打入或钻至设计深度;
2)将配好的硅酸钠溶液满注灌注孔,溶液面宜高出基础底面标高0.50m,使溶液自行渗入土中;
3)在溶液自渗过程中,每隔2h~3h,向孔内添加一次溶液,防止孔内溶液渗干。
3 待溶液量全部注入土中后,注浆孔宜用体积比为2:8灰土分层回填夯实。
8.3.3 碱液注浆施工应符合下列规定:
1 灌注孔可用洛阳铲、螺旋钻成孔或用带有尖端的钢管打入土中成孔,孔径宜为60mm~100mm,孔中应填入粒径为20mm~40mm的石子到注液管下端标高处,再将内径20mm的注液管插入孔中,管底以上300mm高度内应填入粒径为2mm~5mm的石子,上部宜用体积比为2:8灰土填入夯实。
2 碱液可用固体烧碱或液体烧碱配制,每加固1m3 黄土宜用氢氧化钠溶液35kg~45kg。碱液浓度不应低于90g/L;双液加固时,氯化钙溶液的浓度为50g/L~80g/L。
3 配溶液时,应先放水,而后徐徐放入碱块或浓碱液。溶液加碱量可按下列公式计算:
1)采用固体烧碱配制每1m3 液度为M的碱液时,每1m3 水中的加碱量应符合下式规定:
(8.3.3-1)
式中:Gs——每lm3碱液中投入的固体烧碱量(g);
M——配制碱液的浓度(g/L);
P——固体烧碱中,NaOH含量的百分数(%)。
2)采用液体烧碱配制每1m3浓度为M的碱液时,投入的液体烧碱体积V1和加水量V2应符合下列公式规定:
(8.3.3-2)
(8.3.3-3)
式中:V1——液体烧碱体积(L);
V2——加水的体积(L);
dN——液体烧碱的相对密度;
N——液体烧碱的质量分数。
4 应将桶内碱液加热到90℃以上方能进行灌注,灌注过程中,桶内溶液温度不应低于80℃。
5 灌注碱液的速度,宜为(2~5)L/min。
6 碱液加固施工,应合理安排灌注顺序和控制灌注速率。宜采用隔(1~2)孔灌注,分段施工,相邻两孔灌注的间隔时间不宜少于3d。同时灌注的两孔间距不应小于3m。
7 当采用双液加固时,应先灌注氢氧化钠溶液,待间隔8h~12h后,再灌注氯化钙溶液,氯化钙溶液用量宜为氢氧化钠溶液用量的1/2~1/4。
8.4 质量检验
8.4.1 水泥为主剂的注浆加固质量检验应符合下列规定: 1 注浆检验应在注浆结束28d后进行。可选用标准贯入、轻型动力触探、静力触探或面波等方法进行加固地层均匀性检测。 2 按加固土体深度范围每间隔1 m取样进行室内试验,测定土体压缩性、强度或渗透性。 3 注浆检验点不应少于注浆孔数的2%~5%。检验点合格率小于80%时,应对不合格的注浆区实施重复注浆。
8.4.2 硅化注浆加固质量检验应符合下列规定: 1 硅酸钠溶液灌注完毕,应在7d~10d后,对加固的地基土进行检验; 2 应采用动力触探或其他原位测试检验加固地基的均匀性; 3 工程设计对土的压缩性和湿陷性有要求时,尚应在加固土的全部深度内,每隔1m取土样进行室内试验,测定其压缩性和湿陷性;4 检验数量不应少于注浆孔数的2%~5%。
8.4.3 碱液加固质量检验应符合下列规定: 1 碱液加固施工应做好施工记录,检查碱液浓度及每孔注入量是否符合设计要求。 2 开挖或钻孔取样,对加固土体进行无侧限抗压强度试验和水稳性试验。取样部位应在加固土体中部,试块数不少于3个,28d龄期的无侧限抗压强度平均值不得低于设计值的90%。将试块浸泡在自来水中,无崩解。当需要查明加固土体的外形和整体性时,可对有代表性加固土体进行开挖,量测其有效加固半径和加固深度。 3 检验数量不应少于注浆孔数的2%~5%。
8.4.4 注浆加固处理后地基的承载力应进行静载荷试验检验。 (自2022年1月1日起废止该条,详见新规 《建筑与市政地基基础通用规范》 GB 55003-2021)
8.4.5 静载荷试验应按附录A的规定进行,每个单体建筑的检验数量不应少于3点。
9 微型桩加固
9.1 一般规定
9 微型桩加固
9.1 一般规定
9.1.1 微型桩加固适用于既有建筑地基加固或新建建筑的地基处理。微型桩按桩型和施工工艺,可分为树根桩、预制桩和注浆钢管桩等。
9.1.2 微型桩加固后的地基,当桩与承台整体连接时,可按桩基础设计;桩与基础不整体连接时,可按复合地基设计。按桩基设计时,桩顶与基础的连接应符合现行行业标准《建筑桩基技术规范》JCJ 94的有关规定;按复合地基设计时,应符合本规范第7章的有关规定,褥垫层厚度宜为100mm~150mm。
9.1.3 既有建筑地基基础采用微型桩加固补强,应符合现行行业标准《既有建筑地基基础加固技术规范》JGJ 123的有关规定。
9.1.4 根据环境的腐蚀性、微型桩的类型、荷载类型(受拉或受压)、钢材的品种及设计使用年限,微型桩中钢构件或钢筋的防腐构造应符合耐久性设计的要求。钢构件或预制桩钢筋保护层厚度不应小于25mm,钢管砂浆保护层厚度不应小于35mm,混凝土灌注桩钢筋保护层厚度不应小于50mm;
9.1.5 软土地基微型桩的设计施工应符合下列规定:
1 应选择较好的土层作为桩端持力层,进入持力层深度不宜小于5倍的桩径或边长;
2 对不排水抗剪强度小于10kPa的土层,应进行试验性施工;并应采用护筒或永久套管包裹水泥浆、砂浆或混凝土;
3 应采取间隔施工、控制注浆压力和速度等措施,减小微型桩施工期间的地基附加变形,控制基础不均匀沉降及总沉降量;
4 在成孔、注浆或压桩施工过程中,应监测相邻建筑和边坡的变形。
9.2 树根桩
9.2 树根桩
9.2.1 树根桩适用于淤泥、淤泥质土、黏性土、粉土、砂土、碎石土及人工填土等地基处理。
9.2.2 树根桩加固设计应符合下列规定:
1 树根桩的直径宜为150mm~300mm,桩长不宜超过30m,对新建建筑宜采用直桩型或斜桩网状布置。
2 树根桩的单桩竖向承载力应通过单桩静载荷试验确定。当无试验资料时,可按本规范式(7.1.5-3)估算。当采用水泥浆二次注浆工艺时,桩侧阻力可乘1.2~1.4的系数。
3 桩身材料混凝土强度不应小于C25,灌注材料可用水泥浆、水泥砂浆、细石混凝土或其他灌浆料,也可用碎石或细石充填再灌注水泥浆或水泥砂浆。
4 树根桩主筋不应少于3根,钢筋直径不应小于12mm,且宜通长配筋。
5 对高渗透性土体或存在地下洞室可能导致的胶凝材料流失,以及施工和使用过程中可能出现桩孔变形与移位,造成微型桩的失稳与扭曲时,应采取土层加固等技术措施。
9.2.3 树根桩施工应符合下列规定:
1 桩位允许偏差宜为±20mm;桩身垂直度允许偏差应为±1%。
2 钻机成孔可采用天然泥浆护壁,遇粉细砂层易塌孔时应加套管。
3 树根桩钢筋笼宜整根吊放。分节吊放时,钢筋搭接焊缝长度双面焊不得小于5倍钢筋直径,单面焊不得小于10倍钢筋直径,施工时,应缩短吊放和焊接时间;钢筋笼应采用悬挂或支撑的方法,确保灌浆或浇注混凝土时的位置和高度。在斜桩中组装钢筋笼时,应采用可靠的支撑和定位方法。
4 灌注施工时,应采用间隔施工、间歇施工或添加速凝剂等措施,以防止相邻桩孔移位和窜孔。
5 当地下水流速较大可能导致水泥浆、砂浆或混凝土流失影响灌注质量时,应采用永久套管、护筒或其他保护措施。
6 在风化或有裂隙发育的岩层中灌注水泥浆时,为避免水泥浆向周围岩体的流失,应进行桩孔测试和预灌浆。
7 当通过水下浇注管或带孔钻杆或管状承重构件进行浇注混凝土或水泥砂浆时,水下浇注管或带孔钻杆的末端应埋入泥浆中。浇注过程应连续进行,直到顶端溢出浆体的黏稠度与注入浆体一致时为止。
8 通过临时套管灌注水泥浆时,钢筋的放置应在临时套管拔出之前完成,套管拔出过程中应每隔2m施加灌浆压力。采用管材作为承重构件时,可通过其底部进行灌浆。
9 当采用碎石或细石充填再注浆工艺时,填料应经清洗,投入量不应小于计算桩孔体积的0.9倍,填灌时应同时用注浆管注水清孔。一次注浆时,注浆压力宜为0.3MPa~1.0MPa,由孔底使浆液逐渐上升,直至浆液溢出孔口再停止注浆。第一次注浆浆液初凝时,方可进行二次及多次注浆,二次注浆水泥浆压力宜为2MPa~4MPa。灌浆过程结束后,灌浆管中应充满水泥浆并维持灌浆压力一定时间。拔除注浆管后应立即在桩顶填充碎石,并在1 m~2m范围内补充注浆。
9.2.4 树根桩采用的灌注材料应符合下列规定:
1 具有较好的和易性、可塑性、黏聚性、流动性和自密实性;
2 当采用管送或泵送混凝土或砂浆时,应选用圆形骨料;骨料的最大粒径不应大于纵向钢筋净距的1/4,且不应大于15mm;
3 对水下浇注混凝土配合比,水泥含量不应小于375kg/m3,水灰比宜小于0.6;
4 水泥浆的制配,应符合本规范第9.4.4条的规定,水泥宜采用普通硅酸盐水泥,水灰比不宜大于0.55。
9.3 预制桩
9.3 预制桩
9.3.1 预制桩适用于淤泥、淤泥质土、黏性土、粉土、砂土和人工填土等地基处理。
9.3.2 预制桩桩体可采用边长为150mm~300mm的预制混凝土方桩,直径300mm的预应力混凝土管桩,断面尺寸为100mm~300mm的钢管桩和型钢等,施工除应满足现行行业标准《建筑桩基技术规范》JGJ 94的规定外,尚应符合下列规定:
1 对型钢微型桩应保证压桩过程中计算桩体材料最大应力不超过材料抗压强度标准值的90%;
2 对预制混凝土方桩或预应力混凝土管桩,所用材料及预制过程(包括连接件)、压桩力、接桩和截桩等,应符合现行行业标准《建筑桩基技术规范》JGJ 94的有关规定;
3 除用于减小桩身阻力的涂层外,桩身材料以及连接件的耐久性应符合现行国家标准《工业建筑防腐蚀设计规范》GB 50046的有关规定。
9.3.3 预制桩的单桩竖向承载力应通过单桩静载荷试验确定;无试验资料时,初步设计可按本规范式(7.1.5-3)估算。
9.4 注浆钢管桩
9.4 注浆钢管桩
9.4.1 注浆钢管桩适用于淤泥质土、黏性土、粉土、砂土和人工填土等地基处理。
9.4.2 注浆钢管桩单桩承载力的设计计算,应符合现行行业标准《建筑桩基技术规范》JGJ 94的有关规定;当采用二次注浆工艺时,桩侧摩阻力特征值取值可乘以1.3的系数。
9.4.3 钢管桩可采用静压或植入等方法施工。
9.4.4 水泥浆的制备应符合下列规定:
1 水泥浆的配合比应采用经认证的计量装置计量,材料掺量符合设计要求;
2 选用的搅拌机应能够保证搅拌水泥浆的均匀性;在搅拌槽和注浆泵之间应设置存储池,注浆前应进行搅拌以防止浆液离析和凝固。
9.4.5 水泥浆灌注应符合下列规定:
1 应缩短桩孔成孔和灌注水泥浆之间的时间间隔;
2 注浆时,应采取措施保证桩长范围内完全灌满水泥浆;
3 灌注方法应根据注浆泵和注浆系统合理选用,注浆泵与注浆孔口距离不宜大于30m;
4 当采用桩身钢管进行注浆时,可通过底部一次或多次灌浆;也可将桩身钢管加工成花管进行多次灌浆;
5 采用花管灌浆时,可通过花管进行全长多次灌浆,也可通过花管及阀门进行分段灌浆,或通过互相交错的后注浆管进行分步灌浆。
9.4.6 注浆钢管桩钢管的连接应采用套管焊接,焊接强度与质量应满足现行国家标准《建筑地基基础工程施工质量验收规范》GB 50202的要求。
9.5 质量检验
9.5 质量检验
9.5.1 微型桩的施工验收,应提供施工过程有关参数,原材料的力学性能检验报告,试件留置数量及制作养护方法、混凝土和砂浆等抗压强度试验报告,型钢、钢管和钢筋笼制作质量检查报告。施工完成后尚应进行桩顶标高和桩位偏差等检验。
9.5.2 微型桩的桩位施工允许偏差,对独立基础、条形基础的边桩沿垂直轴线方向应为±1/6桩径,沿轴线方向应为±1/4桩径,其他位置的桩应为±1/2桩径;桩身的垂直度允许偏差应为±1%。
9.5.3 桩身完整性检验宜采用低应变动力试验进行检测。检测桩数不得少于总桩数的10%,且不得少于10根。每个柱下承台的抽检桩数不应少于1根。
9.5.4 微型桩的竖向承载力检验应采用静载荷试验,检验桩数不得少于总桩数的1%,且不得少于3根。
10 检验与监测
10.1 检验
10 检验与监测
10.1 检验
10.1.1 地基处理工程的验收检验应在分析工程的岩土工程勘察报告、地基基础设计及地基处理设计资料,了解施工工艺和施工中出现的异常情况等后,根据地基处理的目的,制定检验方案,选择检验方法。当采用一种检验方法的检测结果具有不确定性时,应采用其他检验方法进行验证。
10.1.2 检验数量应根据场地复杂程度、建筑物的重要性以及地基处理施工技术的可靠性确定,并满足处理地基的评价要求。在满足本规范各种处理地基的检验数量,检验结果不满足设计要求时,应分析原因,提出处理措施。对重要的部位,应增加检验数量。
10.1.3 验收检验的抽检位置应按下列要求综合确定:
1 抽检点宜随机、均匀和有代表性分布;
2 设计人员认为的重要部位;
3 局部岩土特性复杂可能影响施工质量的部位;
4 施工出现异常情况的部位。
10.1.4 工程验收承载力检验时,静载荷试验最大加载量不应小于设计要求的承载力特征值的2倍。
10.1.5 换填垫层和压实地基的静载荷试验的压板面积不应小于1.0m2;强夯地基或强夯置换地基静载荷试验的压板面积不宜小于2.0m2。
10.2 监测
10.2 监测
10.2.1 地基处理工程应进行施工全过程的监测。施工中,应有专人或专门机构负责监测工作,随时检查施工记录和计量记录,并按照规定的施工工艺对工序进行质量评定。
10.2.2 堆载预压工程,在加载过程中应进行竖向变形量、水平位移及孔隙水压力等项目的监测。真空预压应进行膜下真空度、地下水位、地面变形、深层竖向变形和孔隙水压力等监测。真空预压加固区周边有建筑物时,还应进行深层侧向位移和地表边桩位移监测。
10.2.3 强夯施工应进行夯击次数、夯沉量、隆起量、孔隙水压力等项目的监测;强夯置换施工尚应进行置换深度的监测。
10.2.4 当夯实、挤密、旋喷桩、水泥粉煤灰碎石桩、柱锤冲扩桩、注浆等方法施工可能对周边环境及建筑物产生不良影响时,应对施工过程的振动、噪声、孔隙水压力、地下管线和建筑物变形进行监测。
10.2.5 大面积填土、填海等地基处理工程,应对地面变形进行长期监测;施工过程中还应对土体位移和孔隙水压力等进行监测。
10.2.6 地基处理工程施工对周边环境有影响时,应进行邻近建(构)筑物竖向及水平位移监测、邻近地下管线监测以及周围地面变形监测。
10.2.7 处理地基上的建筑物应在施工期间及使用期间进行沉降观测,直至沉降达到稳定为止。 (自2022年1月1日起废止该条,详见新规 《建筑与市政地基基础通用规范》 GB 55003-2021)
附录A 处理后地基静载荷试验要点
附录A 处理后地基静载荷试验要点
A.0.1 本试验要点适用于确定换填垫层、预压地基、压实地基、夯实地基和注浆加固等处理后地基承压板应力主要影响范围内土层的承载力和变形参数。
A.0.2 平板静载荷试验采用的压板面积应按需检验土层的厚度确定,且不应小于1.0m2 ,对夯实地基,不宜小于2.0m2 。
A.0.3 试验基坑宽度不应小于承压板宽度或直径的3倍。应保持试验土层的原状结构和天然湿度。宜在拟试压表面用粗砂或中砂层找平,其厚度不超过20mm。基准梁及加荷平台支点(或锚桩)宜设在试坑以外,且与承压板边的净距不应小于2m。
A.0.4 加荷分级不应少于8级。最大加载量不应小于设计要求的2倍。
A.0.5 每级加载后,按间隔10min、10min、10min、15min、15min,以后为每隔0.5h测读一次沉降量,当在连续2h内,每小时的沉降量小于0.1mm时,则认为已趋稳定,可加下一级荷载。
A.0.6 当出现下列情况之一时,即可终止加载,当满足前三种情况之一时,其对应的前一级荷载定为极限荷载:
1 承压板周围的土明显地侧向挤出;
2 沉降s急骤增大,压力-沉降曲线出现陡降段;
3 在某一级荷载下,24h内沉降速率不能达到稳定标准;
4 承压板的累计沉降量已大于其宽度或直径的6%。
A.0.7 处理后的地基承载力特征值确定应符合下列规定:
1 当压力-沉降曲线上有比例界限时,取该比例界限所对应的荷载值。
2 当极限荷载小于对应比例界限的荷载值的2倍时,取极限荷载值的一半。
3 当不能按上述两款要求确定时,可取s/b=0.01所对应的荷载,但其值不应大于最大加载量的一半。承压板的宽度或直径大于2m时,按2m计算。
注:s为静载荷试验承压板的沉降量;b为承压板宽度。
A.0.8 同一土层参加统计的试验点不应少于3点,各试验实测值的极差不超过其平均值的30%时,取该平均值作为处理地基的承载力特征值。当极差超过平均值的30%时,应分析极差过大的原因,需要时应增加试验数量并结合工程具体情况确定处理后地基的承载力特征值。
附录B 复合地基静载荷试验要点
附录B 复合地基静载荷试验要点
B.0.1 本试验要点适用于单桩复合地基静载荷试验和多桩复合地基静载荷试验。
B.0.2 复合地基静载荷试验用于测定承压板下应力主要影响范围内复合土层的承载力。复合地基静载荷试验承压板应具有足够刚度。单桩复合地基静载荷试验的承压板可用圆形或方形,面积为一根桩承担的处理面积;多桩复合地基静载荷试验的承压板可用方形或矩形,其尺寸按实际桩数所承担的处理面积确定。单桩复合地基静载荷试验桩的中心(或形心)应与承压板中心保持一致,并与荷载作用点相重合。
B.0.3 试验应在桩顶设计标高进行。承压板底面以下宜铺设粗砂或中砂垫层,垫层厚度可取100mm~150mm。如采用设计的垫层厚度进行试验,试验承压板的宽度对独立基础和条形基础应采用基础的设计宽度,对大型基础试验有困难时应考虑承压板尺寸和垫层厚度对试验结果的影响。垫层施工的夯填度应满足设计要求。
B.0.4 试验标高处的试坑宽度和长度不应小于承压板尺寸的3倍。基准梁及加荷平台支点(或锚桩)宜设在试坑以外,且与承压板边的净距不应小于2m。
B.0.5 试验前应采取防水和排水措施,防止试验场地地基土含水量变化或地基土扰动,影响试验结果。
B.0.6 加载等级可分为(8~12)级。测试前为校核试验系统整体工作性能,预压荷载不得大于总加载量的5%。最大加载压力不应小于设计要求承载力特征值的2倍。
B.0.7 每加一级荷载前后均应各读记承压板沉降量一次,以后每0.5h读记一次。当1h内沉降量小于0.1mm时,即可加下一级荷载。
B.0.8 当出现下列现象之一时可终止试验:
1 沉降急剧增大,土被挤出或承压板周围出现明显的隆起;
2 承压板的累计沉降量已大于其宽度或直径的6%;
3 当达不到极限荷载,而最大加载压力已大于设计要求压力值的2倍。
B.0.9 卸载级数可为加载级数的一半,等量进行,每卸一级,间隔0.5h,读记回弹量,待卸完全部荷载后间隔3h读记总回弹量。
B.0.10 复合地基承载力特征值的确定应符合下列规定:
1 当压力-沉降曲线上极限荷载能确定,而其值不小于对应比例界限的2倍时,可取比例界限;当其值小于对应比例界限的2倍时,可取极限荷载的一半;
2 当压力-沉降曲线是平缓的光滑曲线时,可按相对变形值确定,并应符合下列规定:
1)对沉管砂石桩、振冲碎石桩和柱锤冲扩桩复合地基,可取s/b或s/d等于0.01所对应的压力;
2)对灰土挤密桩、土挤密桩复合地基,可取s/b或s/d等于0.008所对应的压力;
3)对水泥粉煤灰碎石桩或夯实水泥土桩复合地基,对以卵石、圆砾、密实粗中砂为主的地基,可取s/b或s/d等于0.008所对应的压力;对以黏性土、粉土为主的地基,可取s/b或s/d等于0.01所对应的压力;
4)对水泥土搅拌桩或旋喷桩复合地基,可取s/b或s/d等于0.006~0.008所对应的压力,桩身强度大于1.0MPa且桩身质量均匀时可取高值;
5)对有经验的地区,可按当地经验确定相对变形值,但原地基土为高压缩性土层时,相对变形值的最大值不应大于0.015;
6)复合地基荷载试验,当采用边长或直径大于2m的承压板进行试验时,b或d按2m计;
7)按相对变形值确定的承载力特征值不应大于最大加载压力的一半。
注:s为静载荷试验承压板的沉降量;b和d分别为承压板宽度和直径。
B.0.11 试验点的数量不应少于3点,当满足其极差不超过平均值的30%时,可取其平均值为复合地基承载力特征值。当极差超过平均值的30%时,应分析离差过大的原因,需要时应增加试验数量,并结合工程具体情况确定复合地基承载力特征值。工程验收时应视建筑物结构、基础形式综合评价,对于桩数少于5根的独立基础或桩数少于3排的条形基础,复合地基承载力特征值应取最低值。
附录C 复合地基增强体单桩静载荷试验要点
附录C 复合地基增强体单桩静载荷试验要点
C.0.1 本试验要点适用于复合地基增强体单桩竖向抗压静载荷试验。
C.0.2 试验应采用慢速维持荷载法。
C.0.3 试验提供的反力装置可采用锚桩法或堆载法。当采用堆载法加载时应符合下列规定:
1 堆载支点施加于地基的压应力不宜超过地基承载力特征值;
2 堆载的支墩位置以不对试桩和基准桩的测试产生较大影响确定,无法避开时应采取有效措施;
3 堆载量大时,可利用工程桩作为堆载支点;
4 试验反力装置的承重能力应满足试验加载要求。
C.0.4 堆载支点以及试桩、锚桩、基准桩之间的中心距离应符合现行国家标准《建筑地基基础设计规范》GB 50007的规定。
C.0.5 试压前应对桩头进行加固处理,水泥粉煤灰碎石桩等强度高的桩,桩顶宜设置带水平钢筋网片的混凝土桩帽或采用钢护筒桩帽,其混凝土宜提高强度等级和采用早强剂。桩帽高度不宜小于1倍桩的直径。
C.0.6 桩帽下复合地基增强体单桩的桩顶标高及地基土标高应与设计标高一致,加固桩头前应凿成平面。
C.0.7 百分表架设位置宜在桩顶标高位置。
C.0.8 开始试验的时间、加载分级、测读沉降量的时间、稳定标准及卸载观测等应符合现行国家标准《建筑地基基础设计规范》GB 50007的有关规定。
C.0.9 当出现下列条件之一时可终止加载:
1 当荷载-沉降(Q-s)曲线上有可判定极限承载力的陡降段,且桩顶总沉降量超过40mm;
2
≥2,且经24h沉降尚未稳定;
3 桩身破坏,桩顶变形急剧增大;
4 当桩长超过25m,Q-s曲线呈缓变形时,桩顶总沉降量大于60mm~80mm;
5 验收检验时,最大加载量不应小于设计单桩承载力特征值的2倍。
注:△sn——第n级荷载的沉降增量;△sn+1——第n+1级荷载的沉降增量。
C.0.10 单桩竖向抗压极限承载力的确定应符合下列规定:
1 作荷载-沉降(Q-s)曲线和其他辅助分析所需的曲线;
2 曲线陡降段明显时,取相应于陡降段起点的荷载值;
3 当出现本规范第C.0.9条第2款的情况时,取前一级荷载值;
4 Q-s曲线呈缓变型时,取桩顶总沉降量s为40mm所对应的荷载值;
5 按上述方法判断有困难时,可结合其他辅助分析方法综合判定;
6 参加统计的试桩,当满足其极差不超过平均值的30%时,设计可取其平均值为单桩极限承载力;极差超过平均值的30%时,应分析离差过大的原因,结合工程具体情况确定单桩极限承载力;需要时应增加试桩数量。工程验收时应视建筑物结构、基础形式综合评价,对于桩数少于5根的独立基础或桩数少于3排的条形基础,应取最低值。
C.0.11 将单桩极限承载力除以安全系数2,为单桩承载力特征值。
引用标准名录
引用标准名录
1 《建筑地基基础设计规范》GB 50007
2 《建筑抗震设计规范》GB 50011
3 《岩土工程勘察规范》GB 50021
4 《湿陷性黄土地区建筑规范》GB 50025
5 《工业建筑防腐蚀设计规范》GB 50046
6 《土工试验方法标准》GB/T 50123
7 《建筑地基基础工程施工质量验收规范》GB 50202
8 《土工合成材料应用技术规范》GB 50290
9 《建筑桩基技术规范》JGJ 94
10 《既有建筑地基基础加固技术规范》JGJ 123
本规范用词说明
本规范用词说明
1 为便于在执行本规范条文时区别对待,对要求严格程度不同的用词如下:
1)表示很严格,非这样做不可的:
正面词采用“必须”;反面词采用“严禁”;
2)表示严格,在正常情况下均应这样做的:
正面词采用“应”;反面词采用“不应”或“不得”;
3)表示允许稍有选择,在条件许可时首先应这样做的:
正面词采用“宜”;反面词采用“不宜”;
4)表示有选择,在一定条件下可以这样做的,采用“可”。
2 条文中指明应按其他有关标准执行时的写法为:“应符合……的规定”或“应按……执行”。
自2022年1月1日起废止的条文

