Appearance
《高层建筑筏形与箱形基础技术规范》JGJ 6-2011
🗓️ 住房和城乡建设部 实施时间:2011-12-01
前言
中华人民共和国行业标准
高层建筑筏形与箱形基础技术规范
Technical code for tall building
raft foundations and box foundations
JGJ 6-2011
批准部门:中华人民共和国住房和城乡建设部
施行日期: 2 0 1 1 年 1 2 月 1 日
中华人民共和国住房和城乡建设部公告
第904号
关于发布行业标准《高层建筑筏形与箱形基础技术规范》的公告
现批准《高层建筑筏形与箱形基础技术规范》为行业标准,编号为JGJ 6-2011,自2011年12月1日起实施。其中,第3.0.2、3.0.3、6.1.7条为强制性条文,必须严格执行。原行业标准《高层建筑箱形与筏形基础技术规范》JGJ 6-99同时废止。
本规范由我部标准定额研究所组织中国建筑工业出版社出版发行。
中华人民共和国住房和城乡建设部
2011年1月28日
根据原建设部《关于印发〈2005年工程建设标准规范制订、修订计划〉的通知》(建标[2005] 84号)的要求,规范编制组经广泛调查研究,认真总结实践经验,参考有关国际标准和国外先进标准,并在广泛征求意见的基础上,修订本规范。
本规范的主要技术内容是:1 总则;2 术语和符号;3 基本规定;4 地基勘察;5 地基计算;6 结构设计与构造要求;7 施工;8 检测与监测。
本规范修订的主要技术内容是:1.增加了筏形与箱形基础稳定性计算方法:2.增加了大面积整体基础的沉降计算和构造要求;3.修订了高层建筑筏形与箱形基础的沉降计算公式;4.修订了筏形与箱形基础底板的冲切、剪切计算方法;5.修订了桩筏、桩箱基础板的设计计算方法;6.修订了筏形与箱形基础整体弯矩的简化计算方法;7.根据新的研究成果和实践经验修订了原规范执行过程中发现的一些问题。
本规范中以黑体字标志的条文为强制性条文,必须严格执行。
本规范由住房和城乡建设部负责管理和对强制性条文的解释,由中国建筑科学研究院负责具体技术内容的解释。执行过程中如有意见或建议、请寄送中国建筑科学研究院(地址;北京市北三环东路30号;邮政编码:100013)。
本规范主编单位;中国建筑科学研究院
本规范参编单位:北京市建筑设计研究院 上海现代建筑设计集团申元岩土工程有限公司 北京市勘察设计研究院有限公司 中国建筑西南勘察设计研究院有限公司 中国建筑设计研究院 广东省建筑设计研究院 同济大学
本规范主要起草人员:钱力航 宫剑飞 侯光瑜 裴 捷 王曙光 唐建华 康景文 尤天直 罗赤字 楼晓明 薛慧立 谭永坚
本规范主要审查人员:许溶烈 李广信 胡庆昌 顾晓鲁 章家驹 武 威 沈保汉 林立岩 陈祥福
条文说明
修订说明
《高层建筑筏形与箱形基础技术规范》JGJ 6-2011,经住房和城乡建设部2011年1月28日以第904号公告批准、发布。
本规范是在《高层建筑箱形与筏形基础技术规范》JGJ 6-99的基础上修订而成,上一版的主编单位是中国建筑科学研究院,参编单位是北京市建筑设计研究院、北京市勘察设计研究院、上海市建筑设计研究院、中国兵器工业勘察设计研究院、辽宁省建筑设计研究院、北京市建工集团总公司。主要起草人员是:何颐华、钱力航、侯光瑜、袁炳麟、彭安宁、黄强、谭永坚、裴捷、章家驹、郑孟祥、余志成。本次修订的主要技术内容是:1.增加了筏形与箱形基础稳定性计算方法:2.增加了大面积整体基础的沉降计算和构造要求;3.修订了高层建筑筏形与箱形基础的沉降计算公式;4.修订了箱筏基础底板的冲切、剪切计算方法;5.修订了桩箱、桩筏基础板的设计计算方法;6.修订了筏形与箱形基础整体弯矩的简化计算方法;7.根据新的研究成果和实践经验修订了原规范执行过程中发现的一些问题。
本规范修订过程中,编制组对国内外高层建筑设计施工的应用情况进行了广泛的调查研究,总结了我国工程建设中高层建筑筏形和箱形基础设计、施工领域的实践经验,同时参考了国外先进技术法规、技术标准,通过室内模型试验和现场原位测试取得了能够反映我国当前高层建筑领域设计与施工整体水平的重要技术参数。
为便于广大设计、施工、科研、学校等单位有关人员在使用本规范时能正确理解和执行条文规定,《高层建筑筏形与箱形基础技术规范》编制组按章、节、条顺序编制了本规范的条文说明,对条文规定的目的、依据以及执行中需注意的有关事项进行了说明。但是,本条文说明不具备与规范正文同等的法律效力,仅供使用者作为理解和把握规范规定的参考。
1 总则
1.0.1 为了在高层建筑筏形与箱形基础的设计与施工中做到安全适用,环保节能、经济合理、确保质量、技术先进,制定本规范。
1.0.2 本规范适用于高层建筑筏形与箱形基础的设计、施工与监测。
1.0.3 高层建筑筏形与箱形基础的设计与施工,应综合分析整个建筑场地的地质条件、施工方法、施工顺序、使用要求以及与相邻建筑的相互影响。
1.0.4 在进行高层建筑筏形与箱形基础的设计、施工与监测时,除应符合本规范外,尚应符合国家现行有关标准的规定。
条文说明
1 总则
1.0.1 说明了制定本规范的目的是在高层建筑筏形和箱形基础的设计与施工中贯彻国家的技术政策,做到安全适用、环保节能、经济合理、确保质量、技术先进。
1.0.2 规定了本规范的适用范围是高层建筑筏形和箱形基础的设计、施工与监测。因为作为本规范编制依据的工程实测资料、研究成果和工程经验均来自高层建筑。高层建筑的一个重要特点是上部结构参与筏形或箱形基础的共同作用以后,使筏形或箱形基础呈现出刚性基础的特征,而一般基础并不完全具备这种特征。
1.0.3 说明了高层建筑筏形和箱形基础在设计与施工时应综合分析各种因素,这些因素都非常重要,如忽略某个因素,甚至可能造成严重的工程事故。这一条必须引起设计施工人员的重视。
1.0.4 说明了在进行高层建筑筏形和箱形基础的设计、施工与监测时,执行本规范与执行国家现行有关标准的关系。
2 术语和符号
2.1 术语
2.1.1 筏形基础 raft foundation
柱下或墙下连续的平板式或梁板式钢筋混凝土基础。
2.1.2 箱形基础 box foundation
由底板、顶板、侧墙及一定数量内隔墙构成的整体刚度较好的单层或多层钢筋混凝土基础。
2.1.3 桩筏基础 piled raft foundation
与群桩连接的筏形基础。
2.1.4 桩箱基础 piled box foundation
与群桩连接的箱形基础。
2.2 符号
A——甚础底面面积;
A1——上过梁的有效截面积;
A2——下过梁的有效截面积;
b——基础底面宽度(最小边长);或平行于剪力方向的基础边长之和;或墙体的厚度;或距形均布荷载宽度;
bw——筏板计算截面单位宽度;
c——土的黏聚力;
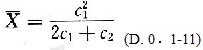
c1——与弯矩作用方向一致的帅切临界截面的边长;
c2——垂直于c1的冲切临界截面的边长;
cAB——沿弯矩作用方向,冲切临界截面重心至冲切临界截面最大剪应力点的距离;
ccu——土的固结不排水三轴试验所得的黏聚力;
cuu——土的不固结不排水三轴试验所得的黏聚力;
d ——基础埋置深度;或地下室墙的间距;
dc——控制性勘探孔的深度;
dg——般性勘探孔的深度;
e ——偏心距;
Es——土的压缩模量;
E′s——土的回弹再压缩模量;
Eo——土的变形模量;或静止土压力;
Ea——主动土压力;
Ep——被动土压力;
fa——修正后的地基承载力特征值;
faE——调整后的地基抗震承载力;
faK——地基承载力特征值;
fc——混凝土轴心抗压强度设计值;
fh——土与混凝土之间摩擦系数;
ft—— 棍凝土轴心抗拉强度设计值;
F—— 上部结构传至基础顶面的竖向力值;
F1—— 基底摩擦力合力;
F2—— 平行于剪力方向的侧壁摩擦力合力;
Fl—— 冲切力;
G——恒载;
h0—— 扩大部分墙体的竖向有效高度;或筏板的有效高度;
H——自室外地面算起的建筑物高度;
I——截面惯性矩;
Is—— 冲切临界截面对其重心的极惯性矩;
Kr——抗倾覆稳定性安全系数;
Ks——基床系数;或抗滑移稳定性安全系数;
Kv——基准基床系数;
l——垂直于剪力方向的基础边长;或基础底所长度;或洞口的净宽;或上部结构弯曲方向的柱距;或矩形均布荷载长度;
l n1——计算板格的短边的净长度;
ln2——计算板格的长边的净长度;
M——作用于基础底面的力矩或截面的弯矩;
M1——上过梁的弯矩设计值;
M2——下过梁的弯矩设计值;
Mc——倾覆力矩;
Mr——抗倾覆力矩;
MR——杭滑力距;
MS——滑动力矩;
Munb——作用在冲切临界截面重心上的不平衡弯矩;
p——基础底面处平均压力;
po——准永久组合下的基础底面处的附加压力;
pc——基础底面处地基土的自重压力;
pk——基础底面处的平局压力值
pn——扣除底板自重及其上土自重后的基底平均反力设计值;
P——竖向总荷载;
q1——作用在上过梁上的均布荷载设计值;
q2——作用在下过梁上的均布荷载设计值;
qu——土的无侧限抗压强度;
Q——作用在筏形或箱形基础顶面的风荷载、水平地震作用或其他水平荷载;
s——沉降量;
S——荷载效应基本组合设计值;
um——冲切临界截面的最小周长,
V——扩大部分墙体根部的竖向剪力设计值;
V1——上过梁的剪力设计值;
V2——下过梁的剪力设计值;
Vs——距内筒、柱或墙边缘l处,由基底反力平均值产生的剪力设计值;
W——基础底面的抵抗距;
zn——地基沉降计算深度;
a——附加应力系数;
——平均附加应力系数;am——不平衡弯矩通过弯曲传递的分配系数;
as——不平衡弯矩通过冲切临界截面上的偏心剪力传递的分配系数;
β——沉降计算深度调整系数;或与高层建筑层数或基底压力有关的经验系数;
βhp——受冲切承载力截面高度影响系数;
βhs—— 受剪切承载力截面高度影响系数;
βs——柱截面长边与短边的比值;
γ——土的重度;
ζa ——地基抗震承载力调整系数;
η ——基础沉降计算修正系数;或内筒冲切临界截面周长影响系数;
μ——剪力分配系数;
τ——剪应力;
φ——土的内摩擦角;
φcu——土的固结不排水三轴试验所得的内摩擦角;
φuu——土的不固结不排水二轴试验所得的内摩擦角;
ψs——沉降计算经验系数;
ψ′——考虑回弹影响的沉降计算经验系数。
3 基本规定
3.0.1 高层建筑筏形与箱形基础的设计等级,应按现行国家标准《建筑地基基础设计规范》GB 50007确定。
3.0.2 高层建筑筏形与箱形基础的地基设计应进行承载力和地基变形计算。对建造在斜坡上的高层建筑,应进行整体稳定验算。 (自2022年1月1日起废止该条,详见新规 《建筑与市政地基基础通用规范》 GB 55003-2021)
3.0.3 高层建筑筏形与箱形基础设计和施工前应进行岩土工程勘察,为设计和施工提供依据。 (自2022年1月1日起废止该条,详见新规 《建筑与市政地基基础通用规范》 GB 55003-2021)
3.0.4 高层建筑筏形与箱形基础设计时,所采用的荷载效应最不利组合与相应的抗力限值应符合下列规定:
1 按修正后地基承载力特征值确定基础底面积及埋深或按单桩承载力特征值确定桩数时,传至基础或承台底面上的荷载效应按正常使用极限状态下荷载效应的标准组合计算;
2 计算地基变形时,传至基础底而上的荷载效应应按正常使用极限状态下荷载效应的准永久组合计算。不应计入风荷载和地震作用。相应的限值应为地基变形允许值;
3 计算地下室外墙上压力、地基或斜坡稳定及滑坡推力时,荷载效应应按承载能力极限状态下荷载效应的基本组合计算,但其荷载分项系数均为1.0;
4 在进行基础构件的承载力设计或验算时,上部结构传来的荷载效应组合和相应的基底反力,应采用承载能力极限状态下荷载效应的基本组合及相应的荷载分项系数;当需要验算基础裂缝宽度时,应采用正常使用极限状态荷载效应标准组合;
5 基础设计安全等级、结构设计使用年限、结构重要性系数应按国家现行有关标准的规定采用,但结构重要性系数γ0不应小于1.0。
3.0.5 荷载组合应符合下列规定:
1 在正常使用极限状态下,荷载效应的标准组合值SK应用下式表示:
SK=SGK+SQ1K+φc2SQ2K+···+φciSQiK (3.0.5-1)
式中:SGK——按永久荷载标准值GK计算的荷载效应值;
SQiK——按可变荷载标准值Qik计算的荷载效应值;
φci——可变荷载Qi的组合值系数。按现行国家标准《建筑结构荷载规范》GB 50009的规定取值。
2 荷载效应的准永久组合值SK应用下式表示:
SK=SGK+φq1SQ1K+φq2SQ2K···+φqiSQiK (3.0.5-2)
式中:φqi——准永久值系数,按现行国家标准《建筑结构荷载规范》GB 50009的规定取值。
承载能力极限状态下,由可变荷载效应控制的基本组合设计值S,应用下式表达:
S=γGSGK+γQ1SQ1K+γQ2φc2SQ2K···+γQiφciSQiK (3.0.5-3)
式中:γG——永久荷载的分项系数,按现行国家标准《建筑结构荷载规范》GB 50009的规定取值;
γQi——第i个可变荷载的分项系数,按现行国家标准《建筑结构荷载规范》GB 50009的规定取值。
3 对由永久荷载效应控制的基本组合,也可采用简化规则.荷载效应基本组合的设计值s按下式确定:
S=1.35SK≤R (3.0.5-4)
式中:R——结构构件抗力的设计值,按有关建筑结构设计规范的规定确定;
SK——荷载效应的标准组合值。
3.0.6 从基础施工阶段至竣工后建筑物沉降稳定以前,应对地基变形及基础工作状况进行监测。
条文说明
3 基本规定
3.0.2 高层建筑筏形与箱形基础在进行地基设计时,首先应进行承载力和地基变形计算。在受轴心荷载、偏心荷载及地震作用下,基础底面压力均应符合本规范关于承载力的规定;地基变形计算值,不应大于建筑物的地基变形允许值;对建造在斜坡上或边坡附近的高层建筑,应进行整体稳定验算。只有当承载力和地基变形和稳定性均满足相应规定时,才能保证采用筏形与箱形基础的高层建筑的安全和正常使用。
3.0.3 岩土工程勘察是为高层建筑筏形与箱形基础设计和施工提供最基本的地质、地形、水文资料和参数的,是进行合理设计和科学施工的基本依据,所以本规范对此作了严格的规定。
4 地基勘察
4.1 一般规定
4.1.1 高层建筑筏形与箱形基础设计前,应通过工程勘察查明场地工程地质条件和不良地质作用,并应提供资料完整、评价正确、建议合理的岩土工程勘察报告。
4.1.2 岩土工程勘察宜按可行性研究勘察、初步勘察和详细勘察三个阶段进行:对于复杂场地、复杂地基以及特殊土地基,尚应根据筏形与箱形基础设计、地基处理或施工过程中可能出现的岩土工程问题进行施工勘察或专项勘察;对重大及特殊工程,或当场地水文地质条件对地基评价和地下室抗浮以及施工降水有重大影响时,进行专门的水文地质勘察。
4.1.3 岩土工程勘察前,应取得与勘察阶段相应的建筑和结构设计文件,包括建筑及地下室的平面图、剖面图、地下室设计深度,荷载情况、可能采用的基础方案及支护结构形式等。
4.1.4 岩土工程勘察应符合下列规定:
1 应查明建筑场地及其邻近地段内不良地质作用的类型、成因、分布范围、发展趋势和危害程度,提出治理方案的建议;
2 应查明建筑场地的地层结构、成因年代以及各岩土层的物理力学性质,评价地基均匀性和承载力;
3 应查明埋藏的古河道、浜沟、墓穴、防空洞、孤石等埋藏物和人工地下设施等对工程不利的埋藏物;
4 应查明地下水埋藏情况、类型、水位及其变化幅度;判定土和水对建筑材料的腐蚀性;
5 对场地抗震设防烈度大于或等于6度的地区,应对场地和地基的地震效应进行评价;
6 应提出地基基础方案的评价和建议以及相应的基础设计和施工建议;
7 对需进行地基变形计算的建筑物,应提供变形计算所需的参数,预测建筑物的变形特征;
8 当基础埋深低于地下水位时。应提出地下水控制的建议和分析地下水控制对相邻建筑物的影响,并提供有关的技术参数;
9 对基坑工程应提出放坡开挖、坑壁支护、环境保护和监测工作的方案和建议,并提出基坑稳定计算所需参数;
10 对边坡工程应提供边坡稳定计算参数,评价边坡稳定性,提出整治潜在的不稳定边坡措施的建议。
4.1.5 当工程需要时,应在专项勘察的基础上,根据建筑物基础埋探、场地岩土工程条件,论证地下水在建筑施工和使用期间可能产生的变化及其对工程和环境的影响,提出抗浮设计水的建议。
4.1.6 勘察文件的编制。除应符合本规范的要求外,尚应符合国家现行标准《岩土工程勘察规范》GB 50021、《高层建筑岩土工程勘察规程》JGJ 72等相关标准的规定。
条文说明
4.1 一般规定
4.1.1 2000年1月30日由国务院颁发的《建设工程质量管理条例》第5条规定:“从事建设工程活动,必须严格执行基本建设程序,坚持先勘察、后设计、再施工的原则”。结合目前勘察设计市场的实际情况,故在地基勘察章节一般规定中,特别强调各方建设主体必须遵守基本建设程序的规定,在进行高层建筑筏形与箱形基础设计前,应先进行岩土工程勘察,查明场地工程地质条件,同时对岩土工程勘察提出了工作要求。
4.1.2 本条规定岩土工程勘察宜分阶段进行。勘察单位应根据设计阶段和工程任务的具体要求进行相应阶段的勘察工作。不过在实际工作中,由于项目的特殊性或业主的开发要求,即使复杂场地、复杂地基以及特殊土地基勘察,不一定能清晰划分阶段,甚至是并为一次完成。只要岩上工程勘察能满足高层建筑筏形与箱形基础设计对地基计算的需求,并解决施工过程中可能出现的岩土工程问题就可以。
对于专项勘察,应结合工程需要,可穿插在三个勘察阶段或施工勘察的不同时期进行。专项勘察可以是单项岩土问题勘察,也可是专项问题研究或咨询。
4.1.3 在岩土工程勘察前,应详细了解建设方和设计方要求,取得与勘察阶段相应的设计资料.特别是在初步勘察和详细勘察时,应主动通过建设方搜集相关的建筑与结构设计文件,包括建筑总平面图、建筑结构类型、建筑层数、总高度、荷载及荷载效应组合、地下室层数、基础埋深、预计的地基基础形式、可能的基坑支护方案以及设计方的技术要求等,以便合理地进行勘察工作量的策划,有针对性地进行岩土工程评价,提出相应的地基基础方案及相关建议。但在不具备上述条件的情况下,也可先按方格网布点进行勘察,且勘察点应适当加密。在具备本条规定的条件后,根据实际需要进一步完善勘察方案。
4.1.4 本条规定了岩土工程勘察工作的基本内容和要求。此外,还应满足《岩土工程勘察规范》GB 50021、《高层建筑岩土工程勘察规程》JGJ 72和《建筑工程勘察文件编制深度规定》等相关要求。
4.1.5 建筑物抗浮设计水位与场地的工程地质和水文地质条件以及建筑物使用期内地下水位的变化趋势有关。而地下水位的变化趋势受人为因素和政府水资源政策控制的影响,因此抗浮设计水位是一个技术经济指标。抗浮设计水位的确定是十分复杂的问题。需要进行深入的研究工作。条文中的专项工作是指依据本场地的历史最高水位、近(3~5)年最高地下水位、勘探时地下水位、基础埋深、建筑荷载等资料,综合考虑建筑物使用期间地下水人工采取量和地区地下水补给条件的变化,确定抗浮设计水位。
4.2 勘探要求
4.2.1 在布置勘探点和确定勘探孔的深度时。应考虑建筑物的体形、荷载分布和地层的复杂程度,并能满足对建筑物纵横两个方向地层结构和地基进行均匀性评价的要求。
4.2.2 勘探点间距和数量应符合下列规定:
1 勘探点间距宜为15m~35m,地层变化复杂时取低值。
2 勘探点宜沿建筑物周边、角点和中心点布置,并宜在建筑层数或荷载变化较大的位置增加勘探点。
3 对单桩承载力较大的一柱一桩工程,宜在每个柱下设置一个勘探点。
4 对处于断裂破碎带、冲沟地段,地裂缝等不良地质作用发育的场地及位于斜坡上或坡脚下的高层建筑,勘察点的布置和数呈应满足整体稳定性验算和评价的需要。
5 对于基坑支护工程,勘探点应均匀布置在基坑周边。在软土或地质条件复杂的地区,勘探点宜布置在从基坑边到不小于2倍基坑开挖深度的范围内。当开挖边界外无法布置勘探点时,应通过调查取得相关资料。
6 单幢建筑的勘探点不应少于5个,其中控制性勘探点的数量不应少于勘探点总数的1/3,且不应少于2个。
4.2.3 勘探孔的深度应符合下列规定:
1 一般性勘探孔的深度应大于主要受力层的深度,可按下式估算:
dg=d+agβb (4.2.3-1)
式中:dg——一般性勘探孔的深度(m);
d——基础埋置深度(m);
ag——与土层有关的经验系数,根据地基主要受力土层的类别按表4.2.3取值;
β——与高层建筑层数或基底压力有关的经验系数,对地基基础设计等级为甲级的高层建筑可取1.1,对设计等级为甲级以外的高层建筑可取1.0;
b——基础底面宽度(m),对圆形基础或环形基础,按最大直径计算;对形状不规则的基础,按面积等代成方形,矩形或圆形面积的宽度或直径计算。
2 控制性勘探孔的深度应大于地基压缩层深度,可按下式估算:
dc=d+acβb (4.2.3-2)
式中:dc——控制性勘探孔的深度(m);
ac——与土层有关的经验系数,根据地基主要压缩层土类按表4.2.3取值。
表4.2.3 经验系数ac、ag

注:1 表中范围值对同类土中,地质年代老,密实或地下水位深者取小值,反之取大值;
2 在软土地区,取值时应考虑基础宽度,当b>60m时取小值;b≤20m时取大值。
3 抗震设防区的勘探孔深度尚应符合现行国家标准《建筑抗震设计规范》GB 50011的有关规定。
4 桩筏和桩箱基础控制性勘探孔应穿透桩端平面以下的压缩层;一般性勘探孔应达到桩端平面以下(3~5)倍桩身设计直径的深度,且不应小于桩端平面以下3m;对于大直径桩不应小于桩端平面以下5m;当钻至预计深度遇到软弱上层时,勘探孔深度应加深。
5 当需要对处于断裂破碎带、冲沟地段、地裂缝等小良地质作用发育场地及位于斜坡上或坡脚下的高层建筑进行整体稳定性验算时,控制性勘察孔的深度应满足验算和评价的需要。
6 当需对土的湿陷性、膨胀性、地震液化、场地覆盖层厚度、地下水渗透性等进行特殊评价时,勘探孔的深度应按相关规范的要求确定。
4.2.4 采取土试样和进行原位测试的勘探孔,应符合下列规定:
1 采取土试样和进行原位测试的勘探点数量,应根据地层结构、地基土的均匀性和设计要求确定,宜占勘探点总数的1/2~2/3,对于单幢建筑不应少于3个;
2 地基持力层和主要受力土层采取的原状土样每层不应少于6件,或原位测试数据不应少于6组。
条文说明
4.2 勘探要求
4.2.1 本条规定了布置勘探点和确定勘探孔深度应考虑的因素和遵循的基本原则,重点探明高层建筑地基的均匀性,防止发生倾斜。
4.2.2 勘探点间距的规定是参照现行行业标准《高层建筑岩土工程勘察规程》JGJ 72提出的。单幢高层建筑的勘探点不应少于5个,其中控制性深孔不应少于2个是为满足倾斜和差异沉降分析的要求规定的。大直径桩因其承受荷载较大,结构对其沉降量要求较严,因此,当地基条件复杂时,宜在每个桩下都布置有钻孔,以取得准确可靠的地质资料。
4.2.3 勘探孔深度的确定原则是依照国家现行标准《高层建筑岩土工程勘察规程》JGJ 72、《建筑抗震设计规范》GB 50011和《建筑桩基技术规范》JGJ 94提出的。此外,本条还重点强调特殊土场地,尤其是对处于断裂破碎带等不良地质作用发育、位于斜坡附近对整体稳定性有影响以及抗震设防有要求的场地,其控制性勘察孔应满足的基本要求。
4.3 室内试验与现场原位测试
4.3.1 室内压缩试验所施加的最大压力值应大于土的有效自重压力与预计的附加压力之和。压缩系数和压缩模量应取土的有效自重压力至土的有效自重压力与附加压力之和的压力段进行计算,当需分析深基坑开挖卸荷和再加荷对地基变形的影响时,应进行回弹再压缩试验,其压力的施加应模拟实际加卸荷的应力状态。
4.3.2 抗剪强度试验方法应根据建筑物施工速率、地层排水条件确定,宜采用不固结不排水剪试验或快剪试验。
4.3.3 地基基础设计等级为甲级建筑物的地基承载力和变形计算参数,宜通过平板载荷试验取得。
4.3.4 在查明黏性土、粉土、砂土的均匀性和承载力及变形特征时,宜进行静力触探、标准贯入试验和旁压试验。
4.3.5 确定粉土和砂土的密实度或判别其地震液化的可能性时,宜进行标准贯入试验。
4.3.6 在查明碎石土的均匀性和承载力时,宜进行重型或超重型动力触探试验。
4.3.7 当抗震设计需要提供相关参数时,应进行波速试验。
4.3.8 当设计需要地基土的基床系数时,应进行基床系数载荷试验。基床系数载荷试验应按本规范附录A的规定执行。
4.3.9 对重要建筑、地质条件复杂、特殊土、有特殊设计要求的场地,宜采用两种以上原位测试方法,通过对比试验确定岩土参数。
4.3.10 大直径桩的桩端阻力应根据现行行业标准《高层建筑岩土工程勘察规程》JGJ 72的规定,通过深层荷载试验确定。
条文说明
4.3 室内试验与现场原位测试
4.3.1 高层建筑的荷载大,地基压缩层的深度也大,因此,在确定土的压缩模量时,必须考虑土的自重压力的影响。计算地基变形时应取土的有效自重压力至土的有效自重压力与附加压力之和的压力段来计算压缩模量。
当基坑开挖较深时,尤其是软土地区。应考虑卸荷对地基土性状和基础沉降的影响,应进行回弹再压缩试验以及模拟地基土和基坑侧壁土体的卸荷试验。
计算地基变形时,需取得地基压缩层范围内各土层的压缩模量或变形模量,但遇到难于取到原状土样的土层(如软土、砂土和碎石土)而使变形计算产生困难,为解决这类土进行地基变形计算所需的计算参数问题,可以考虑利用适当的原位测试方法(如标准贯入试验、重型动力触探等),将测试数据与地区的建筑物沉降观测资料以反演方法算出的变形参数建立统计关系。
4.3.2 由于试验方法不同,测得的抗剪强度指标也明显不同,因此试验方法应根据地基的加荷及卸荷速率和地基土的排水条件综合选择。
直剪和三轴剪切试验是室内试验抗剪强度的基本手段。其中,三轴剪力试验的土样受力条件比较清楚,测得的抗剪强度指标也比较符合实际情况。直剪试验具有操作方便、造价低等优点。多年的实践经验表明:对有经验的地区,采用直剪试验也可满足工程需要。
4.3.3 载荷试验是确定地基承载力较为可靠的方法,本条规定了地基基础设计等级为甲级的建筑物宜通过载荷试验确定地基承载力和变形计算参数。
对于极破碎或易软化的岩基或类似同类土的岩石地基,除应进行岩基平板载荷试验外,还直进行压板面积不小于500mm×500mm的载荷试验,进行对比研究,以便确定地基的实际性状和地基承载力的修正方式及变形参数,积累地区工程经验。
4.3.10 用深层载荷试验确定大直径桩端阻力时,应特别注意试验压板周边的约束条件,因实际工作中经常出现将无约束条件的深井载荷试验结果误当作桩端阻力进行使用。进行深井载荷试验时.除满足压板直径不小于800mm和周边约束土层厚度不小于压板直径外,压板边缘与约束土体的距离不应大于1/3的压板直径。
4.4 地下水
4.4.1 应根据场地特点和工程需要,查明下列水文地质状况,并提出相应的工程建议:
1 地下水类型和赋存状态;
2 主要含水层的分布规律及岩性特征;
3 年降水量、蒸发量及其变化规律和对地下水的影响等区域性资料;
4 地下水的补给排泄条件、地表水与地下水的补排关系及其对地下水位的影响;
5 勘察时的地下水位、历史最高水位、近(3~5)年最高水位、常年水位变化幅度或水位变化趋势及其主要影响因素;
6 当场地内存在对工程有影响的多层地下水时,应分别查明每层地下水的类型、水位和年变化规律,以及地下水分布特征对地基和基础施工可能造成的影响;
7 当地下水可能对地基或基坑开挖造成影响时,应根据地基基础形式或基坑支护方案对地下水控制措施提出建议;
8 当地下水位可能高于基础埋深并存在基础抗浮问题时,应提出与建筑物抗浮有关的建议;
9 应查明场区是否存在对地下水和地表水的污染源及其可能的污染程度,提出相应工程措施的建议。
4.4.2 当场地水文地质条件对地基评价和地下室抗浮以及施工降水有重大影响时,或对重大及特殊工程,除应进行专门的水文地质勘察外。对缺少地下水位相关资料的地区尚宜设置地下水位长期观测孔。
4.4.3 含水层的渗透系数等水文地质参数,宜根据岩土层特性和工程需要,采用抽水试验,渗水试验或注水试验等试验获得。
4.4.4 在评价地下水对丁程及环境的作用和影响时,应包括下列内容:
1 地下水对基础及建筑物的上浮作用;
2 地下水位变化对地基变形和地基承载力的影响;
3 地下水对边坡稳定性的不利影响;
4 地下水产生潜蚀、流土、管涌的可能性;
5 不同排水条件下静水压力和渗透力对支挡结构的影响;
6 施工期间降水或隔水措施的可行性及其对地基、基坑稳定和邻近工程的影响。
4.4.5 地下水的物理、化学作用的评价应包括下列内容:
1 对混凝土、金属材料的腐蚀性;
2 对软质岩石、强风化岩石、残积土、湿陷性土、膨胀岩土和盐渍岩土等特殊地基,地下水的聚集和散失所产生的软化、崩解、湿陷、胀缩和潜蚀等有害作用;
3 在冻土地区,地下水对土的冻胀和融陷的影响。
4.4.6 对地下水采取降低水位措施时,应符合下列规定:
1 设计降水深度应在基坑底面0.5m以下;
2 应防止细颗粒土在降水过程中流失;
3 应防止承压水引起的基坑底部突涌。
条文说明
4.4 地下水
4.4.1 地下水埋藏情况是地基基础设计和基坑设计施工的重要依据。近年来由于地下水引发的工程事故时有发生,因此查明地下水赋存状态是勘察阶段的一项重要任务。地基勘察除应满足本条规定的要求外,在有条件时还应掌握与建筑物设计使用年限相同时间周期内的最高水位、水位变化幅度或水位变化趋势及其主要影响因素。
4.4.2 由于高层建筑筏形和箱形基础的埋深较深,场地的地下水对筏基、箱基的设计和施工影响都很大。如水压力的计算、水久性抗浮和防水的设计以及施工降水和施工阶段的抗浮等。因此,当场地水文地质条件对地基评价和地下室抗浮以及施工降水有重大影响时,或对重大及特殊工程,应通过专门的水文地质勘察探明场地的地下水类型、水位和水质情况,分析地下水位的变化幅度和变化趋势。对于重要建筑物或缺少区域水文地质资料的地区,应设置地下水长期观测孔。
5 地基计算
5.1 一般规定
5.1.1 高层建筑筏形与箱形基础的地基应进行承载力和变形计算,当基础埋深不符合本规范第5.2.3条的要求或地基土层不均匀时应进行基础的抗滑移和抗倾覆稳定性验算及地基的整体稳定性验算。
5.1.2 当多幢新建相邻高层建筑的基础距离较近时,应分析各高层建筑之间的相互影响。当新建高层建筑的基础和既有建筑的基础距离较近时,应分析新旧建筑的相互影响,验算新旧建筑的地基承载力、地基变形和地基稳定性。
5.1.3 对单幢建筑物,在地基均匀的条件下,筏形与箱形基础的基底平面形心宜与结构竖向永久荷载重心重合;当不能重合时,在荷载效应准永久组合下,偏心距e宜符合下式规定:
e≤0.1(W/A) (5.1.3)
式中:W——与偏心距方向一致的基础底面边缘抵抗矩(m3);
A——基础底面积(m2)。
5.1.4 大面积整体基础上的建筑宜均匀对称布置。当整体基础面积较大且其上建筑数量较多时,可将整体基础按单幢建筑的影响范围分块,每幢建筑的影响范围可根据荷载情况、基础刚度、地下结构及裙房刚度、沉降后浇带的位置等因素确定。每幢建筑竖向永久荷载重心宜与影响范围内的基底平面形心重合。当不能重合时,宜符合本规范第5.1.3条的规定。
5.1.5 下列桩筏与桩箱基础应进行沉降计算:
1 地基基础设计等级为甲级的非嵌岩桩和桩端为非深厚坚硬土层的桩筏、桩箱基础;
2 地基基础设计等级为乙级的体形复杂、荷载不均匀或桩端以下存在软弱下卧层的桩筏、桩箱基础;
3 摩擦型桩的桩筏、桩箱基础。
5.1.6 对于地质条件不复杂、荷载较均匀、沉降无特殊要求的端承型桩筏、桩箱基础,当有可靠地区经验时,可不进行沉降计算。
5.1.7 筏形与箱形基础的整体倾斜值,可根据荷载偏心、地基的不均匀性、相邻荷载的影响和地区经验进行计算。
条文说明
5.1 一般规定
5.1.1 高层建筑筏形和箱形基础的地基承载力和变形计算在正常情况下均应进行,而抗滑移和抗倾覆稳定性验算及地基的整体稳定性验算仅当基础埋深不符合本规范5.2.3条的要求或地基土层不均匀时应进行计算,对此在第5.2.2条、第5.2.3条中还将进一步说明。
5.1.2 无论是新建建筑与原有建筑,还是新建建筑物之间,当基础相距较近时,相互之间的影响总是存在的。距离过近,影响过大,就会危及建筑物的安全或正常使用。因此分析建筑物之间的相互影响,验算新旧建筑物的地基承载力、地基变形和地基稳定性是必要的。决定建筑物相邻影响距离大小的因素,主要有“影响建筑”的沉降量和“被影响建筑”的刚度等。“影响建筑”的沉降量与地基土的压缩性、建筑物的荷载大小有关。而“被影响建筑”的刚度则与其结构形式、长高比以及地基土的性质有关。现行国家标准《建筑地基基础设计规范》GB 50007根据国内55个工程实例的调查和分析规定,当“影响建筑物”的平均沉降小于7cm或“被影响建筑物”具有较好刚度、长高比小于1.5时,一般可不考虑对相邻建筑的影响。当“影响建筑物”的平均沉降大于40cm时,相邻建筑基础之间的距离应大于12m。这些规定对于高层建筑筏形与箱形基础也是可以参考的。
当相邻建筑物较近时,应采取措施减小相互影响:①尽量减小“影响建筑物”的沉降量;②新建建筑物的基础埋深不宜大于原有建筑基础;③选择对地基变形不敏感的结构形式;④采用施工后浇带;⑤设置沉降缝:⑥施工时采取措施,保护或加固原有建筑物地基等。
5.1.3 对单幢建筑物,在均匀地基的条件下,基础底面的压力和基础的整体倾斜主要取决于永久荷载与可变荷载效应组合产生的偏心距大小。对基底平面为矩形的箱基,在偏心荷载作用下,基础抗倾覆稳定系数KF可用下式表示:
KF=y/e=γB/e=γ/(e/B) (1)
式中:B——与组合荷载竖向合力偏心方向平行的箱基边长;
e——作用在基底平面的组合荷载全部竖向合力对基底面积形心的偏心距;
y——基底平面形心至最大受压边缘的距离。γ为y与B的比值。
从式中可以看出e/B直接影响着抗倾覆稳定系数KF,KF随着e/B的增大而降低,因此容易引起较大的倾斜。表1三个典型工程的实测证实了在地基条件相同时,e/B越大,则倾斜越大。
表1 e/B值与整体倾斜的关系 
高层建筑由于楼身质心高,荷载重。当箱形基础开始产生倾斜后,建筑物总重对箱形基础底面形心将产生新的倾覆力矩增量,而倾覆力矩的增量又产生新的倾斜增量,倾斜可能随时间而增长,直至地基变形稳定为止。因此,为避免箱基产生倾斜,应 尽量使结构竖向永久荷载与基础平面形心重合,当偏心难以避免时,则应规定竖向合力偏心距的限值。本规范根据实测资料并参考《公路桥涵设计通用规范》JTG D60—2004对桥墩合力偏心距的限制,规定了在永久荷载与楼(屋)面活载组合时,e≤0.1(W/A)。从实测结果来看,这个限制对硬土地区稍严格,当有可靠依据时可适当放松。
5.1.4 大面积整体基础上的建筑宜均匀对称布置,使建筑物荷载与整体基础的形心尽量重合。但在实际工程中要做到二者重合是比较困难的。根据中国建筑科学研究院地基所黄熙龄、袁勋、宫剑飞等人的研究成果,多幢建筑下的大面积整体基础,具有以下一些特征:
1 大型地下框架厚筏的变形与高层建筑的布置、荷载的大小有关。筏板变形具有以高层建筑为变形中心的不规则变形特征,高层建筑间的相互影响与加载历程有关。高层建筑本身的变形仍具有刚性结构的特征,框架—筏板结构具有扩散高层建筑荷载的作用。
2 各塔楼独立作用下产生的变形效应通过以各个塔楼下面一定范围内的区域为沉降中心,各自沿径向向外围衰减,并在其共同的影响范围内相互叠加。地基反力的分布规律与此相同(图1)。
3 双塔楼共同作用下的沉降变形曲线基本上可以看作是每个塔楼单独作用下的沉降变形曲线的叠加,见图1。
4 由于主楼荷载扩散范围的有限性和地基变形的连续性,在通常的楼层范围内,对于同一大底盘框架厚筏基础上的多个高层建筑,应用叠加原理计算基础的沉降变形和地基反力是可行的。
因此可以将整体基础按单幢建筑分块进行近似计算,每幢建筑的有效影响范围可按主楼外边缘向外延伸一跨确定,影响范围内的基底平面形心宜与结构竖向永久荷载重心重合。当不能重合时,宜符合本规范第5.1.3条的规定。

图1 双塔楼不同加载路径反力、变形曲线
1 主楼A、B同步加载至800kN;2 主楼A由800kN加载至1600kN,
主楼B持载800kN;3一主楼B由800kN加载至1600kN,
主楼A持载1600kN
5.1.5、5.1.6 桩筏与桩箱基础是否应进行沉降计算的规定与现行行业标准《建筑桩基技术规范》JGJ 94的规定是一致的。
5.2 基础埋置深度
5.2.1 高层建筑筏形与箱形基础的埋置深度,应按下列条件确定:
1 建筑物的用途,有无地下室,设备基础和地下设施,基础的形式和构造;
2 作用在地基上的荷载大小和性质;
3 工程地质和水文地质条件;
4 相邻建筑物基础的埋置深度;
5 地基土冻胀和融陷的影响;
6 抗震要求。
5.2.2 高层建筑筏形与箱形基础的埋置深度应满足地基承载力、变形和稳定性要求。
5.2.3 在抗震设防区,除岩石地基外,天然地基上的筏形与箱形基础的埋置深度不宜小于建筑物高度的1/15;桩筏与桩箱基础的埋置深度(不计桩长)不宜小于建筑物高度的1/18。
条文说明
5.2 基础埋置深度
5.2.2 在确定高层建筑筏形和箱形基础的埋置深度时,满足地基承载力、变形和稳定性要求是必须的,是前提。有一定的埋置深度才能保证基础的抗倾覆和抗滑移稳定性,也能使地基土的承载力得到充分发挥。
5.2.3 在抗震设防区,除岩石地基外,天然地基上的筏形和箱形基础的埋置深度不宜小于建筑物高度的1/15、桩筏或桩箱基础的埋置深度(不计桩长)不宜小于建筑物高度的1/18是高层建筑筏形和箱形基础埋深的经验值,是根据工程经验经过统计分析得到的。北京市勘察设计研究院张在明等研究了高层建筑地基整体稳定性与基础埋深的关系,以二幢分别为15层和25层的居住建筑,抗震设防烈度为8度,地震作用按《建筑抗震设计规范》GBJ 11—89计算,并考虑了地基的种种不利因素,用圆弧滑动面法进行分析,其结论是25层的建筑物,埋深1.8m,其稳定安全系数为1.44,如果埋深达到3.8m(1/7.8),则安全系数达到1.64。当采用桩基础时,桩与底板的连接应符合下列要求:
1 桩顶嵌入底板的长度一般不宜小于50mm,大直径桩不宜小于100mm;
2 混凝土桩的桩顶主筋伸入底板的锚固长度不宜小于35倍主筋直径。
5.3 承载力计算
5.3.1 筏形与箱形基础的底面压力应符合下列公式规定:
1 当受轴心荷载作用时
pk≤fa (5.3.1-1)
式中:pk——相应于荷载效应标准组合时,基础底面处的平均压力值(kPa):
fa——修正后的地基承载力特征值(kPa)。
2 当受偏心荷载作用时,除应符合式(5.3.1-1)规定外,尚应符合下式规定:
pkmax≤1.2fa (5.3.1-2)
式中:pkmax——相应于荷载效应标准组合时,基础底面边缘的最大压力值(kPa)。
3 对于非抗震设防的高层建筑筏形与箱形基础,除应符合式(5.3.1-1)、式(5.3.1-2)的规定外,尚应符合下式规定:
pkmin≥0 (5.3.1-3)
式中:pkmin—— 相应于荷载效应标准组合时,基础底而边缘的最小压力值(kPa)。
5.3.2 筏形与箱形基础的底面压力,可按下列公式确定:
1 当受轴心荷载作用时
pk=(Fk+Gk)/A (5.3.2-1)
式中:Fk——相应于荷载效应标准组合时, 上部结构传至基础顶面的竖向力值(kN);
Gk——基础自重和基础上的土重之和,在稳定的地下水位以下的部分,应扣除水的浮力(kN);
A——基础底面面积(m2)。
2 当受偏心荷载作用时
pkmax=[(Fk+Gk)/A ]+Mk/W (5.3.2-2)
pkmin=[(Fk+Gk)/A ]-Mk/W (5.3.2-3)
式中:Mk——相应于荷载效应标准组合时,作用于基础底面的力矩值(kN·m);
W——基础底面边缘抵抗矩(m3)。
5.3.3 对于抗震设防的建筑,筏形与箱形基础的底面压力除应符合第5.3.1条的要求外,尚应按下列公式验算地基抗震承载力:
pkE≤faE (5.3.3-1)
pmax≤1.2faE (5.3.3-2)
faE =ζafa(5.3.3-3)
式中:pkE——相应于地震作用效应标准组合时,基础底面的平均压力值(kPa);
pmax——相应于地震作用效应标准组合时,基础底面边缘的最大压力值(kPa);
faE——调整后的地基抗震承载力(kPa);
ζa——地基抗震承载力调整系数,按表5.3.3确定。
在地震作用下,对于高宽比大于4的高层建筑,基础底面不宜出现零应力区;对于其他建筑,当基础底面边缘出现零应力时,零应力区的面积不应超过基础底面面积的15%;与裙房相连且采用天然地基的高层建筑,在地震作用下主楼基础底面不宜出现零应力区。
表5.1.3 地基抗震承载力调整系数ζa
注:fak为地基承载力的特征值。
5.3.4 地基承载力特征值可由载荷试验等原位测试或按理论公式并结合工程实践经验综合确定。
5.3.5 地基承载力特征值应按现行国家标准《建筑地基基础设计规范》GB 50007的规定进行深度和宽度修正。
条文说明
5.3 承载力计算
5.3.1 在验算基础底面压力时,对于非地震区的高层建筑箱形和筏形基础要求pkmax≤1.2fa;pmin≥0。前者与一般建筑物基础的要求是一致的,而pmin≥0是根据高层建筑的特点提出的。因为高层建筑的高度大、重量大,本身对倾斜的限制也比较严格,所以它对地基的强度和变形的要求也较一般建筑严格。
5.3.3 对于地震区的高层建筑筏形和箱形基础,在验算地基抗震承载力时,采用了地基抗震承载力设计值faE,即:faE=ζafa (2)
式中 fa为经过深度和宽度修正后的地基承载力特征值(kPa)。这是总结工程实践经验以后确定的。
5.4 变形计算
5.4.1 高层建筑筏形与箱形基础的地基变形计算值,不应大于建筑物的地基变形允许值,建筑物的地基变形允许值应按地区经验确定,当无地区经验时应符合现行国家标准《建筑地基基础设计规范》GB 50007的规定。
5.4.2 当采用土的压缩模量计算筏形与箱形基础的最终沉降量s时,应按下列公式计算:
s=s1+s2 (5.4.2-1)

式中:S——最终沉降量(mm);
s1——基坑底面以下地基土回弹再压缩引起的沉降量(mm);
s2——由基底附加压力引起的沉降量(mm);
ψ′——考虑回弹影响的沉降计算经验系数,无经验时取ψ′=1;
ψs——沉降计算经验系数,按地区经验采用;当缺乏地区经验时,可按现行国家标准《建筑地基基础设计规范》GB 50007的有关规定采用;
pc——相当于基础底面处地基土的自重压力的基底压力(kPa),计算时地下水位以下部分取土的浮重度(kN/m3);
po——准永久组合下的基础底面处的附加压力(kPa);
E′si、Esi——基础底面下第i层土的回弹再压缩模量和压缩模量(MPa),按本规范第4.3.1条试验要求取值;
m——基础底面以下回弹影响深度范围内所划分的地基土层数;
n——沉降计算深度范围内所划分的地基土层数;
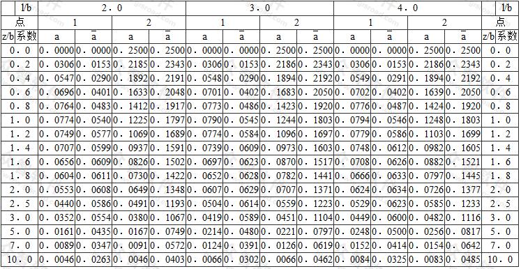
zi、zi-1——基础底面至第i层、第i一1层底面的距离(m);
i、i-1——基础底面计算点至第i层、第i—1层底面范围内平均附加应力系数,技本规范附录B采用。式(5.4.2-2)中的沉降计算深度应拉地区经验确定,当无地区经验时可取基坑开挖深度;式(5.4.2-3)中的沉降计算深度可按现行国家标准《建筑地基基础设计规范》GB 50007确定。
5.4.3 当采用土的变形模量计算筏形与箱形基础的最终沉降量s时,应按下式计算:

式中:pk——长期效应组合下的基础底面处的平均压力标准值(kPa);
b——基础底面宽度(m);
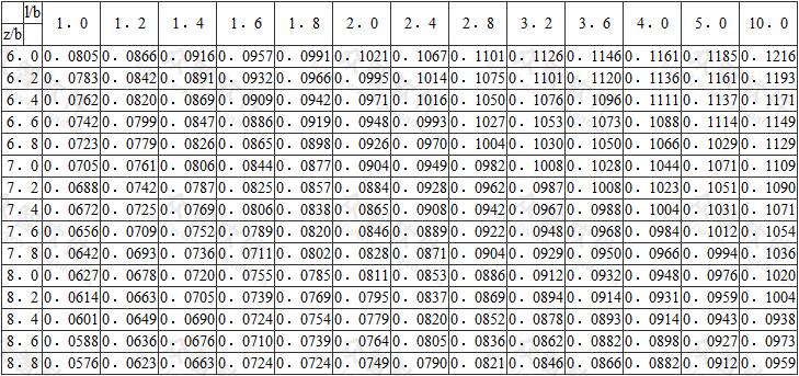
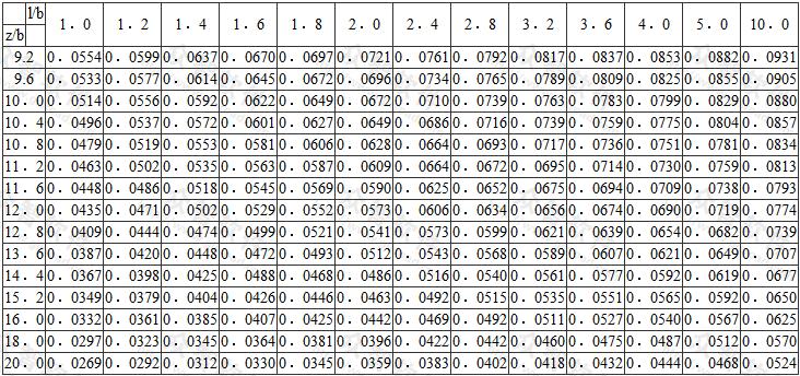
δiδi-1——与基础长宽比L/b及基础底面至第i层土和第i—1层土底面的距离深度z有关的无因次系数,可按本规范附录C中的表C确定;
Eoi——基础底面下第i层土的变形模量(MPa),通过试验或按地区经验确定;
η——沉降计算修正系数,可按表5.4.3确定。
表5.4.3 修正系数η 
5.4.4 按式(5.4.3)进行沉降计算时,沉降计算深度zn宜按下式计算:
zn=(zm+ζb)β (5.4.4)
式中:zm——与基础长宽比有关的经验值(m),可按表5.4.4-1确定;
ζ——折减系数,可按表5.4.4-1确定;
β——调整系数,可按表5.4.4-2确定。
表5.4.4-1 zm值和折减系数ζ 
表5.4.4-2 调整系数β 
5.4.5 带裙房高层建筑的大面积整体筏形基础的沉降宜按上部结构、基础与地基共同作用的方法进行计算。
5.4.6 对于多幢建筑下的同一大面积整体筏形基础,可根据每幢建筑及其影响范围按上部结构、基础与地基共同作用的方法分别进行沉降计算,并可按变形叠加原理计算整体筏形基础的沉降。
条文说明
5.4 变形计算
5.4.1 建筑物的地基变形计算值,不应大于地基变形允许值,地基变形允许值应按地区经验确定,当无地区经验时应符合现行国家标准《建筑地基基础设计规范》GB 50007的规定。
5.4.2 建于天然地基上的建筑物,其基础施工时均需先开挖基坑。此时地基土受力性状的改变,相当于卸除该深度土自重压力pc的荷载。卸载后地基即发生回弹变形。在建筑物从砌筑基础以至建成投入使用期间,地基处于逐步加载受荷的过程中。当外荷小于或等于pc时,地基沉降变形s1是由地基回弹转化为再压缩的变形。当外荷大于pc时,除上述s1回弹再压缩地基沉降变形外,还由于附加压力p0=p—pc产生地基固结沉降变形s2。对基础埋置深的建筑物地基最终沉降变形皆应由s1+s2组成;如按分层总和法计算地基最终沉降,即如本规范中式(5.4.2-1)~式(5.4.2-3)所示。
由于建筑物基础埋置深度不同,地基的回弹再压缩变形s1在量值程度上有较大差别。如果建筑物的基础埋深小,该回弹再压缩变形s1值甚小,计算沉降时可以忽略不计。这样考虑正是常规的仅以附加压力p0计算沉降的方法。也就是按式(5.4.2-3)计算的s2沉降部分。
应该指出高层建筑箱基和筏基由于基础埋置较深,因此地基回弹再压缩变形s1往往在总沉降中占重要地位,甚至有些高层建筑设置(3~4)层(甚至更多层)地下室时,总荷载有可能等于或小于pc,这样的高层建筑地基沉降变形将仅由地基回弹再压缩变形决定。由此看来。对于高层建筑筏基和箱基在计算地基最终沉降变形中s1部分的变形不但不应忽略,而应予以重视和考虑。
式(5.4.2-2)中所用的回弹再压缩模量Es'和压缩模量Es应按本规范第4.3.1条的试验要求取得。按式(5.4.2-1)~式(5.4.2-3)计算最终沉降,实际上也考虑了应力历史对地基土固结的影响。
式(5.4.2-3)中沉降计算经验系数ψs可按地区经验采用;由于该系数仅用于对s2部分的沉降进行调整,这样就与现行国家标准《建筑地基基础设计规范》GB 50007相一致,故在缺乏经验地区时可按现行国家标准《建筑地基基础设计规范》GB50007的有关规定采用。地基沉降回弹再压缩变形s1部分的经验系数ψ'亦可按地区经验确定,但目前有经验的地区和单位较少,尚须不断积累,目前暂可按ψ'=1考虑。
按式(5.4.2-3)计算时,基础中点的沉降计算深度可按现行国家标准《建筑地基基础设计规范》GB 50007采用。不另作说明。而按式(5.4.2-2)计算时,沉降计算深度可取基坑开挖深度。
5.4.3 本规范除在第5.4.2条规定采用室内压缩模量计算沉降量外,又在第5.4.3条规定了按变形模量计算沉降的方法。设计人员可以根据工程的具体情况选择其中任一种方法进行沉降计算。或者采用两种方法计算,进行比较,根据工程经验预估沉降量。
高层建筑筏形与箱形基础地基的沉降计算与一般中小型基础有所不同,如前所述,高层建筑除具有基础面积大、埋置深,尚有地基回弹等影响。因此,利用本条方法计算地基沉降变形时尚应遵守以下原则:
1 关于计算荷载问题
我国地基沉降变形计算是以附加压力作为计算荷载,并且已积累了很多经验。一些高层建筑基础埋置较深,根据使用要求及地质条件,有时将筏形与箱形基础做成补偿基础,此种情况下,附加压力很小或等于零。如按附加压力为计算荷载,则其沉降变形也很小或等于零。但实际上并非如此,由于筏形或箱形基础的基坑面积大,基坑开挖深度深,基坑底土回弹不能忽视.当建筑物荷载增加到一定程度时,基础仍然会有沉降变形,该变形即为回弹再压缩变形。
为了使沉降计算与实际变形接近,采用总荷载作为地基沉降计算压力的建议,对于埋置深度很深、面积很大的基础是适宜的。也比采用附加压力计算合理。一方面近似考虑了深埋基础(或补偿基础)计算中的复杂问题,另一方面也近似解决了大面积开挖基坑坑底的回弹再压缩问题。
2 关于地基变形模量问题
采用野外载荷试验资料算得的变形模量E0,基本上解决了试验土样扰动的问题。土中应力状态在载荷板下与实际情况比较接近。因此,有关资料指出在地基沉降计算公式中宜采用原位载荷试验所确定的变形模量最理想。其缺点是试验工作量大,时间较长。目前我国采用旁压仪确定变形模量或标准贯入试验及触探资料,间接推算与原位载荷试验建立关系以确定变形模量,也是一种有前途的方法。例如我国《深圳地区建筑地基基础设计试行规程》就规定了花岗岩残积土的变形模量可根据标准贯入锤击数N确定。
3 大基础的地基压缩层深度问题
高层建筑筏形及箱形基础宽度一般都大于10m,可按大基础考虑。由何颐华《大基础地基压缩层深度计算方法的研究》一文可知大基础地基压缩层的深度zn与基础宽度B、土的类别有密切的关系。该资料已根据不同基础宽度B计算了方形、矩形及带形基础地基压缩层zn,并将计算结果zn与B绘成曲线。由曲线可知在基础宽度B=10m~30m(带形基础为10m~20m)的区段间,zn与B的曲线近似直线关系。从而得到了地基压缩层深度的计算公式。又根据工程实测的地基压缩层深度对计算值作了调整,即乘一调整系数β值,对砂类土β=0.5。一般黏土β=0.75,软弱土β=1.00,最后得到了大基础地基压缩层zn的近似计算式(5.4.4)。利用该式计算地基压缩层深度zn并与工程实测作了对比,一般接近实际,而且简易实用。
4 高层建筑筏形及箱形基础地基沉降变形计算方法
目前,国内外高层建筑筏形及箱形基础采用的地基沉降变形计算方法一般有分层总和法与弹性理论法。地基是处于三向应力状态下的,土是分层的。地基的变形是在有效压缩层深度范围之内的。很多学者在三向应力状态下计算地基沉降变形量的研究中作了大量工作。本条所述方法以弹性理沦为依据,考虑了地基中的三向应力作用、有效压缩层、基础刚度、形状及尺寸等因素对基础沉降变形的影响,给出了在均布荷载下矩形刚性基础沉降变形的近似解及带形刚性基础沉降变形的精确解,计算结果与实测结果比较接近,见表2。
表2 按本规范第5.4.3条计算的地基沉降与实测值比较表


5.4.5 带裙房高层建筑的大面积整体筏形基础的沉降按上部结构、基础与地基共同作用的方法进行计算是比较合理的。设计人员可根据所在单位的技术条件酌情采用。
5.4.6 对于多幢建筑下的同一大面积整体筏形基础,可按叠加原理计算基础的沉降的原因,可参看第5.1.4条的说明。
5.5 稳定性计算
5.5.1 高层建筑在承受地震作用、风荷载或其他水平荷载时。筏形与箱形基础的抗滑移稳定性(图5.5.1 )应符合下式的要求:
KsQ≤F1+F2+(Ep-Ea)l ( 5.5.1 )
式中:F1——基底摩擦力合力(kN);
F2——平行于剪力方向的侧壁摩擦力合力(kN);
Ea、Ep——垂直于剪力方向的地下结构外墙面单位长度上主动土压力合力、被动土压力合力(kN/m);
l——垂直于剪力方向的基础边长(m);
Q——作用在基础顶面的风荷载、水平地震作用或其他水平荷载(kN)。风荷载、地震作用分别按现行国家标准《建筑结构荷载规范》GB 50009、《建筑抗震设计规范》GB 50011确定,其他水平荷载按实际发生的情况确定;
Ks——抗滑移稳定性安全系数,取1.3。

图 5.5.1 抗滑移稳定性验算示意
5.5.2 高层建筑在承受地震作用、风荷载、其他水平荷载或偏心竖向荷载时,筏形与箱形基础的抗倾覆稳定性应符合下式的要求:
KrMc≤Mr (5.5.2)
式中:Mr——抗倾覆力矩(kN·m);
Mc——倾覆力矩(kN·m);
Kr——抗倾覆稳定性安全系数,取1.5。
5.5.3 当地基内存在软弱土层或地基土质不均匀时,应采用极限平衡理论的圆弧滑动面法验算地基整体稳定性。其最危险的滑动面上诸力对滑动中心所产生的杭滑力矩与滑动力矩应符合下式规定:
KMs≤MR (5.5.3)
式中:MR——杭滑力矩(kN·m);
Ms——滑动力矩(kN·m);
K——整体稳定性安全系数,取1.2。
5.5.4 当建筑物地下室的一部分成全部在地下水位以下时,应进行抗浮稳定性验算。抗浮稳定性验算应符合下式的要求:
F′k+Gk ≥KfFf (5.5.4)
式中:F′k——上部结构传至基础顶面的竖向永久荷载(kN);
Gk—— 基础自重和基础上的土重之和(kN);
Ff——水浮力(kN),在建筑物使用阶段按与设计使用年限相应的最高水位计算;在施工阶段,按分析地质状况、施工季节、施工方法、施工荷载等因素后确定的水位计算;
Kf——抗浮稳定安全系数,可根据工程重要性和确定水位时统计数据的完整性取1.0~1.1。
条文说明
5.5 稳定性计算
5.5.1 高层建筑承受各种竖向荷载和水平荷载的作用,地质条件也千差万别,本规范规定通过抗滑移稳定性、抗倾覆稳定性、抗浮稳定性和地基整体滑动稳定性这四种稳定性的验算来保证高层建筑的安全。当高层建筑在承受较强地震作用、风荷载或其他水平荷载时,筏形与箱形基础应验算其抗滑移稳定性。抗滑移的力是基底摩擦力、平行于剪力方向的侧壁摩擦力和垂直于剪力方向被动土压力的合力。计算基底摩擦力F1时,除了按基础底面的竖向总压力和土与混凝土之间摩擦系数计算外,还应按地基上抗剪强度进行计算,取二者中的小值作为其抗滑移的力,是安全的。
土与混凝土之间的摩擦系数可根据试验或经验取值,也可参照现行国家标准《建筑地基基础设计规范》GB 50007中关于挡土墙设计时按墙面平滑与填土摩擦的情况取值,其值如表3所示。
表3 土对挡土墙基底的摩擦系数

注:1 对易风化的软质岩和塑性指数Ip大于22的黏性上,基底摩擦系数应通过试验定;
2 对碎石土,可根据其密实程度、填亢物状况、风化程度等确定。
5.5.2 高层建筑在承受较强地震作用、风荷载、其他水平荷载或偏心竖向荷载时,应验算筏形和箱形基础的抗倾覆稳定性,验算的公式是明了的。
5.5.3 当非岩石地基内存在软弱土层或地基土质不均匀时,应采用极限平衡理论的圆弧滑动面法验算地基整体滑动稳定性。其计算方法是成熟的,可见于一般教科书。
5.5.4 建筑物地下室、地下车库、水池等由于水浮力的作用,上浮的事故常有发生。因此,当筏形和箱形基础部分或全部在地下水位以下时,应进行抗浮验算。抗浮验算的关键是地下水位的确定。抗浮验算用的地下水位应由勘察单位提供。
抗浮设防水位应在研究场区各层地下水的赋存条件、场区地下水与区域性水文地质条件之间的关系、各层地下水的变化趋势以及引起这种变化的客观条件的基础上,经综合分析确定:
1 当有长期水位观测资料时,抗浮设防水位可根据历史最高水位和建筑物使用期间可能发生的变化来确定;
2 当无长期水位观测资料或资料缺乏时,按勘察期间实测最高稳定水位并结合场地地形地貌、地下水补给、排泄条件等因素综合确定;
3 场地有承压水且与潜水有水力联系时,应实测承压水水位并考虑其对抗浮设防水位的影响;
4 在可能发生地面积水和洪水泛滥的地区,可取地面标高为抗浮设防水位;
5 施工期间的抗浮设防水位可根据施工地区、季节和现场的具体情况,按近(3~5)年的最高水位确定。
水浮力、结构永久荷载的分项系数应取1.0。
6 结构设计与构造要求
6.1 一般规定
6.1.1 筏形和箱形基础的平面尺寸,应根据工程地质条件、上部结构布置、地下结构底层平面及荷载分布等因素,按本规范第5章有关规定确定,当需要扩大底板面积时。宜优先扩大基础的宽度。当采用整体扩大箱形基础方案时,扩大部分的墙体应与箱形基础的内墙或外墙连通成整体,且扩大部分墙体的挑出长度不宜大于地下结构埋入土中的深度。与内墙连通的箱形基础扩大部分墙体可视为由箱基内、外墙伸出的悬挑梁,扩大部分悬挑墙体根部的竖向受剪截面应符合下式规定:
V≤0.2fcbh0(6.1.1)
式中:V——扩大部分墙体根部的竖向剪力设计值<>
fc——混凝土轴心抗压强度设计值(kPa);
b——扩大部分墙体的厚度(m);
h0——扩大部分墙体的竖向有效高度(m)。
当扩大部分墙体的挑出长度大于地下结构埋入土中的深度时,箱基基底反力及内力应按弹性地基理论进行分析,计算分析时应根据土层情况和地区经验选用地基模型和参数。
6.1.2 筏形与箱形基础地下室施工完成后,应及时进行基坑回填。回填土应按设计要求选料。回填时应先清除基坑内的杂物,在相对的两侧或四周同时进行并分层夯实,回填土的压实系数不应小于0.94。
6.1.3 当地下室的四周外墙与土层紧密接触时,上部结构的嵌固部位按下列规定确定:
1 上部结构为剪力墙结构,地下室为单层或多层箱形基础地下室,地下一层结构顶板可作为上部结构的嵌固部位。
2 上部结构为框架、框架—剪力墙或框架—核心筒结构时:
1)地下室为单层箱形基础,箱形基础的顶板可作为上部结构的嵌固部位[图6.1.3(a)]
2)对采用筏形基础的单层或多层地下室以及采用箱形基础的多层地下室,当地下一层的结构侧向刚度KB大于或等于与其相连的上部结构底层楼层侧向刚度KF的1.5倍时,地下一层结构顶板可作为的结构上部结构的嵌固部位[图6.1.3(b)、(c)];
<>

(a)地下室为箱基、上部结构为框架—剪力墙结构时的嵌固部位

(b)采用筏基或箱基的多层地下室,KB ≥1.5KF,上部结构为框架或框架-剪力墙结构时的嵌固部位

(c)采用筏基的单层地下室,KB ≥1.5KF,上部结构为框架或框架-剪力墙结构时的嵌固部位
图6.1.3 上部结构的嵌固部位示意
1—嵌固部位:地下室顶板;2 —室外地坪;
3—嵌固部位;地下一层顶板;4—地下二层(或地下二层为箱基);
5一筏基;6—地下室为箱基; 7一地下一层;8一单层地下室
<>
3)对大底盘整体筏形基础,当地下室内、外墙与主体结构墙体之间的距离符合表6.1.3要求时,地下一层的结构侧向刚度可计入该范围内的地下室内、外墙刚度,但此范围内的侧向刚度不能重复使用于相邻塔楼,当KB小于1.5KF时,建筑物的嵌固部位可设在筏形基础或箱形基础的顶部,结构整体计算分析时宜考虑基底土和基侧土的阻抗,可在地下室与周围土层之间设置适当的弹簧和阻尼器来模拟。
<>
表6.1.3 地下室墙与主体结构墙之间的最大间距d

<>
6.1.4 当地下一层结构顶板作为上部结构的嵌固部位时,应能保证将上部结构的地震作用或水平力传递到地下室抗侧力构件上,沿地下室外墙和内墙边缘的板面不应有大洞口;地下一层结构顶板应采用梁板式楼盖,板厚不应小于180mm,其混凝土强度等级不宜小于C30;楼面应采用双层双向配筋,且每层每个方向的配筋率不宜小于0.25%。
6.1.5 地下室的抗震等级、构件的截面设计以及抗震构造措施应符合现行国家标准《建筑抗震设计规范》GB 50011的有关规定。剪力墙底部加强部位的高度应从地下室顶板算起;当结构嵌固在基础顶面时,剪力墙底部加强部位的范围亦应从地面算起,并将底部加强部位延伸至基础顶面。
6.1.6 当四周与土体紧密接触带地下室外墙的整体式筏形和箱形基础建于Ⅲ、Ⅳ类场地时,按刚性地基假定计算的基底水平地震剪力和倾覆力矩可根据结构刚度、埋置深度、场地类别、土质情况、抗震设防烈度以及工程经验折减。
6.1.7 基础混凝土应符合耐久性要求。筏形基础和桩箱、桩筏基础的混凝土强度等级不应低于C30;箱形基础的混凝土强度等级不应低于C25。 (自2022年1月1日起废止该条,详见新规 《建筑与市政地基基础通用规范》 GB 55003-2021)
6.1.8 当采用防水混凝土时,防水混凝土的抗渗等级应按表6.1.8表选用。对重要建筑,宜采用自防水并设置架空排水层。
<>
6.1.8 防水混凝土抗渗等级 条文说明

6.1 一般规定
6.1.1 箱形基础的平面尺寸,通常是先将上部结构底层平面或地下室布置确定后,再根据荷载分布情况验算地基承载力、沉降量和倾斜值。若不满足要求则需调整其底面积和形状。将基础底板一侧或全部适当挑出,或将箱形基础整体加大,或增加埋深以满足地基承载力和变形的要求。
当采用整体扩大箱形基础方案时,扩大部分的墙体应与箱形基础的内墙或外墙连通成整体,且扩大部分墙体的挑出长度不宜大于地下结构埋入土中的深度,以保证主楼荷载有效地扩散到悬挑的墙体上。
对平面为矩形的箱形基础,沉降观察结果表明纵向相对挠曲要比横向大得多。为防止由于加大基础的纵向尺寸而引起纵向挠曲的增加。当需要扩大基底面积时,以及增加基础抗倾覆能力,宜优先扩大基础的宽度。
6.1.2 试验资料和理论分析都表明,回填土的质量影响着基础的埋置作用,如果不能保证填土和地下室外墙之间的有效接触,将减弱土对基础的约束作用,降低基侧土对地下结构的阻抗和基底土对基础的转动阻抗。因此,应注意地下室四周回填土应均匀分层夯实。
6.1.3 在设计中通常都假定上部结构嵌固在基础结构上,实际上这一假定只有在刚性地基的条件下才能实现,对绝大多数都属柔性地基的地基土而言,在水平力作用下结构底部以及地基都会出现转动,因此所谓嵌固实质上是指异常接近于固定的计算基面而已。本条款中的嵌固即属此意。
1989年,美国旧金山市一幢257.9m高的钢结构建筑,地下室采用钢筋混凝土剪力墙加强,其下为2.7m厚的筏板,基础持力层为黏性土和密实性砂土,基岩位于室外地面下48m~60m处。在强震作用下,地下室除了产生52.4mm的整体水平位移外,还产生了万分之三的整体转角。实测记录反映了两个基本情况:其一是地下室经过剪力墙加强后其变形呈现出与刚体变形相似的特征;其二是地下结构的转角体现了柔性地基的影响。在强震作用下,既然四周与土层接触的具有外墙的地下室其变形与刚体变形基本一致,那么在抗震设计中可假设地下结构为一刚体,上部结构嵌固在地下室的顶板上,而在嵌固部位处增加一个大小与柔性地基相同的转角。
对有抗震设防要求的高层建筑,基础结构设计中的一个重要原则是,要保证上部结构在强震作用下能实现预期的耗能机制,要求基础结构的刚度和强度大于上部结构刚度,逼使上部结构先于基础结构屈服,保证上部结构进入非弹性阶段时,基础结构仍具有足够的承载力,始终能承受上部结构传来的荷载并将荷载安全传递到地基上。
四周外墙与土层紧密接触、且具有较多纵横墙的箱形基础和带有外围挡土墙的厚筏基础其特点是刚度较大。能承受上部结构屈服超强所产生的内力。同时地震作用逼使与地下室接触的土层发生相应的变形,导致土对地下室外墙及底板产生抗力,约束了地下结构的变形,从而提高了基侧土对地下结构的阻抗和基底土对基础的转动阻抗。
当上部结构为框架、框架—剪力墙或框架—核心筒结构时:采用筏形基础的单、多层地下室,其非基础部分的地下室除外围挡土墙外,地下室内部结构布置基本与上部结构相同。数据分析表明,由于地下室外墙参与工作,其层间侧向刚度一般都大于上部结构,为保证上部结构在地震作用下出现预期的耗能机制,本规范参考了1993年北京市建筑设计研究院胡庆昌《带地下室的高层建筑抗震设计》以及罗马尼亚有关规范,规定了当上部结构嵌固在地下一层顶板时,地下一层的层间侧向刚度大于或等于与其相连的上部结构楼层刚度的1.5倍;对于大底盘基础,当地下室基础墙与主楼剪力墙的间距符合表6.1.3要求时,可将该基础墙的刚度计入地下室层间侧向刚度内,但该范围内的侧向刚度不能重叠使用于相邻建筑。
当上部结构为剪力墙结构、采用的箱基其净高又较大,在忽略箱基周边土的有利条件下,箱形基础墙的侧向刚度与相邻上部结构底层剪力墙侧向刚度之比会达不到1.5倍的要求。如何处理此类结构计算简图的嵌固部位,目前有两种不同的看法:其一是将上部结构的嵌固部位定在箱基底板的上皮,将箱基底板视作筏板;其二是将箱基视作为箱式筏基,上部结构的嵌固部位定在箱基的顶部。JGJ 6—99在编制时曾做了大量分析工作,计算结果表明,在地震作用下,第二种计算模型算得的基底剪力大于第一种计算模型算得的基底剪力。
图2为一典型的一梯十户高层住宅,层高为2.7m,基础为单层箱基,埋深取建筑物高度的1/15,箱形基础高度不小于3m。抗震设防烈度为8度,场地类别为Ⅱ类,设计地震分组为第一组。上部结构按嵌固在基底和箱基顶部两种计算简图进行计算。计算结果列于表4中,表中F0、F1分别表示基底和首层结构的总水平地震作用标准值;M0、M1分别表示基底和首层结构的倾覆力矩标准值。从表中我们可以看到第二种计算模型算得的结果大于第一种计算模型算得的结果。从基础变形角度来看,由于第一种计算模型将底板与刚度很大的基础墙割开,把上部结构置于厚度较薄的底板上,因而算得的地基变形值远大于规范规定的变形允许值。此外,考虑到地震发生时四周与土壤接触的箱基其变形与刚体变形基本一致的事实,对单、多层箱基的地下室,上部为剪力墙结构时,本规范推荐其嵌固部位取地下一层箱基的顶部。

表4 剪力墙结构单层箱基-地基交接面上水平地震作用和倾覆力矩比较

注: * 表示M0=M1+F0×箱高
6.1.4 当地下一层结构顶板作为上部结构的嵌固部位时,为保证上部结构的地震等水平作用能有效通过楼板传递到地下室抗侧力构件中,地下一层结构顶板上开设洞口的面积不宜过大;沿地下室外墙和内墙边缘的楼板不应有大洞口;地下一层结构顶板应采用梁板式楼盖;楼板的厚度、混凝土强度等级及配筋率不应过小。本规范提出地下一层结构顶板的厚度不应小于180mm的要求,不仅旨在保证楼板具有一定的传递水平作用的整体刚度外,还旨在有效减小基础变形和整体弯曲度以及基础内力。使结构受力、变形合理而且经济。
6.1.5 国内震害调查表明,唐山地震中绝大多数地面以上的工程均遭受严重破坏,而地下人防工程基本完好。如新华旅社上部结构为8层组合框架,8度设防,实际地震烈度为10度。该建筑物的梁、柱和墙体均遭到严重破坏(未倒塌),而地下室仍然完好。天津属软土区,唐山地震波及天津时,该地区的地震烈度为(7~8)度,震后人防地下室基本完好,仅人防通道出现裂缝。这不仅仅由于地下室刚度和整体性一般较大,还由于土层深处的水平地震加速度一般比地面小,因此当结构嵌固在基础顶面时,剪力墙底部加强部位的高度应从地下室顶板算起,但地下部分也应作为加强部位。
国内震害还表明,个别与上部结构交接处的地下室柱头出现了局部压坏及剪坏现象。这表明了在强震作用下,塑性铰的范围有向地下室发展的可能。因此,与上部结构底层相邻的那一层地下室是设计中需要加强的部位。有关地下室的抗震等级、构件的截面设计以及抗震构造措施参照现行国家标准《建筑抗震设计规范》GB 50011有关条款使用。
6.1.6 当地基为非岩石持力层时,由于地基与结构的相互作用,结构按刚性地基假定分析的水平地震作用比其实际承受的地震作用大,因此可以根据场地条件、基础埋深、基础和上部结构的刚度等因素确定是否对水平地震作用进行适当折减。
实测地震记录及理论分析表明,土中的水平地震加速度一般随深度而渐减,较大的基础埋深,可以减少来自基底的地震输入,例如日本取地表下20m深处的地震系数为地表的0.5倍;法国规定筏基或带地下室的建筑的地震作用比一般的建筑少20%。同时,较大的基础埋深,可以增加基础侧面的摩擦阻力和土的被动土压力,增强土对基础的嵌固作用。通过对比美国“UBC和NEMA386”、法国、希腊等国规范以及本规范编制时所作的计算分析工作,建议:对四周与土层紧密接触带地下室外墙的整体式的筏基和箱基,结构基本自振周期处于特征周期的1.2倍至5倍范围时。场地类别为Ⅲ和Ⅳ类、抗震设防烈度为8度和9度,按刚性地基假定分析的基底水平地震剪力和倾覆力矩可分别折减10%和15%,但该折减系数不能与现行国家标准《建筑抗震设计规范》GB 50011第5.2节中提出的折减系数同时使用。
6.1.7 筏形和箱形基础除应通过计算使之符合受弯、受冲切和受剪承载力的要求外,为了保证其整体刚度、防渗能力和耐久性,本规范不仅对筏形和箱形基础的构造作出了规定,还对其抗裂性提出了要求。而要满足这些要求,最根本的保证则是基础混凝土的强度,所以本规范对此作出了强制性规定。
6.2 筏形基础
6.2.1 平板式筏形基础和梁板式筏形基础的选型应根据地基上质、上部结构体系、柱距、荷载大小、使用要求以及施工等条件确定。框架一核心筒结构和筒中筒结构宜采用平板式筏形基础。
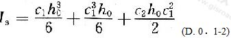
6.2.2 平板式筏基的板厚除应符合受弯承载力的要求外,尚应符合受冲切承载力的要求。验算时应计入作用在冲切临界截画重心上的不平衡弯矩所产生的附加剪力。筏板的最小厚度不应小于500mm。对基础的边柱和角柱进行冲切验算时,其冲切力应分别来以1.1和1.2的增大系数。距柱边h0/2处冲切临界截面

图6.2.2 内柱冲切临界截面示意
1—柱; 2—筏板
(图6.2.2 )的最大剪应力τmax 应符合下列公式的规定;

式中:Fl——相应于荷载效应基本组合时的冲切力(kN),对内柱取轴力设计值与筏板冲切破坏锥体内的基底反力设计值之差;对基础的边柱和角柱,取轴力设计值与筏板冲切临界截面范内的基底反力设计值之差;
计算基底反力值时应扣除底板及其上填土的自重;
um——距柱边缘不小于h0/2处的冲切临界截面的最小周长(m),按本规范附录D计算;
h0——筏板的有效高度(m);
Munb——作用在冲切临界截面重心上的不平衡弯矩(kN·m);
cAB——沿弯矩作用方向,冲切临界截面重心至冲切临界截面最大剪应力点的距离(m),按本规范附录D计算;
Is——冲切临界截面对其重心的极惯性矩(m4),按本规范附录D计算;
βs——柱截面长边与短边的比值:当βs<2时,βs取2;当βs>4时,βs取4;
βhp——受冲切承载力截面高度影响系数:当h≤800mm时,取βhp=1.0;当h≥2000mm时,取βhp=0.9;其间按线性内插法取值;
ft——混凝土轴心抗拉强度设计值(kPa);
c1——与弯矩作用方向一致的冲切临界截面的边长(m),按本规范附录D计算;
c2——垂直于c1的冲切临界截面的边长(m),按本规范 附录D计算;
as——不平衡弯矩通过冲切临界截面上的偏心剪力传递的分配系数。
当柱荷载较大,等厚度筏板的受冲切承载力不能满足要求时,可在筏板上面增设柱墩或在筏板下局部增加板厚或采用抗冲切钢筋等提高受冲切承载能力。
6.2.3 平板式筏基在内筒下的受冲切承载力应符合下式规定:
F1/umh0≤0.7βhpft/η (6.2.3-1)
式中:F1——相应于荷载效应基本组合时的内筒所承受的轴力设计值与内筒下筏板冲切破坏锥体内的基底反力设计值之差(kN)。计算基底反力值时应扣除底板及其上填土的自重;
um——距内筒外表面h0/2处冲切临界截面的周长(m)(图6.2.3);

图6.2.3 筏板受内筒冲切的临界截面位置
h0——距内筒外表面h0/2处筏板的截面有效高度(m);
η——内筒冲切临界截面周长影响系数,取1.25。
当需要考虑内筒根部弯矩的影响时,距内筒外表面h0/2处冲切临界截面的最大剪应力可按本规范式(6.2.2-1)计算,此时最大剪应力应符合下式规定:
τmax≤0.7βhpft/η (6.2.2-2)
6.2.4 平板式筏基除应符合受冲切承载力的规定外,尚应按下列公式验算距内筒和柱边缘h0处截面的受剪承载力:
Vs≤0.7βhsftbwh0 (6.2.4-1)
βhs=(800/h0)1/4 (6.2.4-2)
式中:Vs ——距内筒或柱边缘h0处,扣除底板及其上填土的自重后,相应于荷载效应基本组合的基底平均净反力产生的筏板单位宽度剪力设计值(kN);
βhs——受剪承载力截面高度影响系数:当h0<800mm时,取h0=800mm;当h0>2000mm时,取h0=2000mm;其间按内插法取值;
bw——筏板计算截面单位宽度(m);
h0——距内筒或柱边缘h0处筏板的截面有效高度(m);
当筏板变厚度时,尚应验算变厚度处筏板的截面受剪承载力。
6.2.5 梁板式筏基底板的厚度应符合受弯、受冲切和受剪承载力的要求,且不应小于400mm;板厚与最大双向板格的短边净跨之比尚不应小于1/14。梁板式筏基梁的高跨比不宜小于1/6。
6.2.6 梁板式筏基的基础梁除应符合正截面受弯承载力的要求外,尚应验算柱边缘处或梁柱连接面八字角边缘处基础梁斜截面受剪承载力。
6.2.7 梁板式筏形基础梁和平板式筏形基础底板的顶面应符合底层柱下局部受压承载力的要求。对抗震设防烈度为9度的高层建筑,验算柱下基础梁、板局部受压承载力时,尚应按现行国家标准《建筑抗震设计规范》GB 50011的要求,考虑竖向地震作用对柱轴力的影响。
6.2.8 地下室底层柱、剪力墙与梁板式筏基的基础梁连接的构造应应符合下列规定;
1 当交叉基础梁的宽度小于柱截面的边长时,交叉基础梁连接处宜设置八字角,柱角和八字角之间的净距不宜小于50mm[图6.2.8(a)];

图6.2.8 地下室底层柱和剪力墙与梁板式筏基的基础梁连接构造
1—基础梁;2—柱;3—墙
2 当单向基础梁与柱连接、且柱截面的边长大于400mm时,可按图6.2.8(b)、图6.2.8(c)采用,柱角和八字角之间的净距不宜小于50mm;当柱截面的边长小于或等于400mm时,可按图6.2.8(d)采用;
3 当基础梁与剪力墙连接时,基础梁边至剪力墙边的距离不宜小于50mm[图6.2.8(e)]。
6.2.9 筏形基础地下室的外墙厚度不应小于250mm,内墙厚度不宜小于200mm。墙体内应设置双面钢筋,钢筋不宜采用光面圆钢筋。钢筋配置量除应满足承载力要求外,尚应考虑变形、抗裂及外墙防渗等要求。水平钢筋的直径不应小于12mm,竖向钢筋的直径不应小于10mm,间距不应大于200mm。当筏板的厚度大于2000mm时,宜在板厚中间部位设置直径不小于12mm、间距不大于300mm的双向钢筋。
6.2.10 当地基土比较均匀、地基压缩层范围内无软弱土层或可液化土层, 上部结构刚度较好,柱网和荷载较均匀、相邻柱荷载及柱间距的变化不超过20%,且平板式筏基板的厚跨比或梁板式筏基粱的高跨比不小于1/6时,筏形基础可仅考虑底板局部弯曲作用,计算筏形基础的内力时,基底反力可按直线分布,并扣除底板及其上填土的自重。
当不符合上述要求时,筏基内力可按弹性地基梁板等理论进行分析。计算分析时应根据土层情况和地区经验选用地基模型和参数。
6.2.11 对有抗震设防要求的结构,嵌固端处的框架结构底层柱截面组合弯矩设计值应按现行国家标准《建筑抗震设计规范》GB 50011的规定乘以与其抗震等级相对应的增大系数。
6.2.12 当梁板式筏基的基底反力按直线分布计算时,其基础梁的内力可按连续梁分析,边跨的跨中弯矩以及第一内支座的弯矩值宜乘以1.2的增大系数。考虑到整体弯曲的影响,梁板式筏基的底板和基础梁的配筋除应满足计算要求外,基础梁和底板的顶部跨中钢筋应按实际配筋全部连通,纵横方向的底部支座钢筋尚应有1/3贯通全跨。底板上下贯通钢筋的配筋率均不应小于0.15%。
6.2.13 按基底反力直线分布计算的平板式筏基,可按柱下板带和跨中板带分别进行内力分析,并应符合下列要求:
1 柱下板带中在柱宽及其两侧各0.5倍板厚且不大干1/4板跨的有效宽度范围内,其钢筋配置量不应小于柱下板带钢筋的一半,且应能承受部分不平衡弯矩amMunb,Munb为作用在冲切临界面重心上的部分不平衡弯矩,am可按下式计算:
am=1-as (6.2.13)
式中:am——不平衡弯矩通过弯曲传递的分配系数;
as——按本规范式(6.2.2-3)计算。
2 考虑到整体弯曲的影响。筏板的柱下板带和跨中板带的底部钢筋应有1/3贯通全跨,顶部钢筋应按实际配筋全部连通,上下贯通钢筋的配筋率均不应小于0.15%。
3 有抗震设防要求,平板式筏基的顶面作为上部结构的嵌固端、计算柱下板带截面组合弯矩设计值时,柱根内力应考虑乘以与其抗震等级相应的增大系数。
6.2.14 带裙房高层建筑筏形基础的沉降缝和后浇带设置应符合下列要求:
1 当高层建筑与相连的裙房之间设置沉降缝时,高层建筑的基础埋深应大于裙房基础的埋深,其值不应小于2m;地面以下沉降缝的缝隙应用粗砂填实:图[6.2.14(a)]。
2 当高层建筑与相连的裙房之间不设置沉降缝时,宜在裙房一侧设置用于控制沉降差的后浇带。当高层建筑基础面积满足地基承载力和变形要求时,后浇带宜设在与高层建筑相邻裙房的第一跨内。当需要满足高层建筑地基承载力、降低高层建筑沉降量,减小高层建筑与裙房间的沉降差而增大高层建筑基础面积时,后浇带可设在距主楼边柱的第二跨内,此时尚应满足下列条件:
1)地基土质应较均匀;
2)裙房结构刚度较好且基础以上的地下室和裙房结构层数不应少于两层;
3)后浇带一侧与主楼连接的裙房基础底板厚度应与高层建筑的基础底板厚度相同:图[6.2.14(b)]。

图6.2.14 后浇带(沉降缝)示意
1—高层;2—室外地坪以下用粗砂填实;3—后浇带;4—裙房及地下室
根据沉降实测值和计算值确定的后期沉降差满足设计要求后,后浇带混凝土方可进行浇筑。
3 当高层建筑与相连的裙房之间不设沉降缝和后浇带时。高层建筑及与其紧邻一跨裙房的筏板应采用相同厚度,裙房筏板的厚度宜从第二跨裙房开始逐渐变化,应同时满足主、裙楼基础整体性和基础板的变形要求;应进行地基变形和基础内力的验算,验算时应分析地基与结构间变形的相互影响,并应采取有效措施防止产生有不利影响的差异沉降。
6.2.15 在同一大面积整体筏形基础上有多幢高层和低层建筑时,筏基的结构计算宜考虑上部结构、基础与地基土的共同作用。筏基可采用弹性地基梁板的理论进行整体计算;也可按各建筑物的有效影响区域将筏基划分为若干单元分别进行计算,计算时应考虑各单元的相互影响和交界处的变形协调条件。
6.2.16 带裙房的高层建筑下的大面积整体筏形基础,其主楼下筏板的整体挠曲值不应大于0.5‰,主楼与相邻的裙房柱的差异沉降不应大于跨度的1‰。
6.2.17 在同一大面积整体筏形基础上有多幢高层和低层建筑时,各建筑物的筏板厚度应各自满足冲切及剪切要求。
6.2.18 在大面积整体筏形基础上设置后浇带时,应符合本规范第6.2.14条以及第7.4节的规定。
条文说明
6.2 筏形基础
6.2.1 框架—核心筒结构和筒中筒结构的核心筒竖向刚度大,荷载集中,需要基础具有足够的刚度和承载能力将核心筒的荷载扩散至地基。与梁板式筏基相比,平板式筏基具有抗冲切及抗剪切能力强的特点,且构造简单,施工便捷,经大量工程实践和部分工程事故分析,平板式筏基具有更好的适应性。
6.2.2 N.W.Hanson和J.M.Hanson在他们的“混凝土板柱之间剪力和弯矩的传递”试验报告中指出:板与柱之间的不平衡弯矩传递,一部分不平衡弯矩是通过临界截面周边的弯曲应力T和C来传递,而一部分不平衡弯矩则通过临界截面上的偏心剪力对临界截面重心产生的弯矩来传递的,如图3所示。因此,在验算距柱边h0/2处的冲切临界截面剪应力时,除需考虑竖向荷载产生的剪应力外,尚应考虑作用在冲切临界截面重心上的不平衡弯矩所产生的附加剪应力。本规范式(6.2.2-1)右侧第一项是根据现行国家标准《混凝土结构设计规范》GB 50010在集中力作用下的受冲切承载力计算公式换算而得,右侧第二项是引自美国ACI 318规范中有关的计算规定。

图3 板与柱不平衡弯矩传递示意
关于式(6.2.2-1)中冲切力取值的问题,国内外大量试验结果表明,内柱的冲切破坏呈完整的锥体状,我国工程实践中一直沿用柱所承受的轴向力设计值减去冲切破坏锥体范围内相应的地基反力作为冲切力;对边柱和角柱,中国建筑科学研究院地基所试验结果表明,其冲切破坏锥体近似为1/2和1/4圆台体,本规范参考了国外经验,取柱轴力设计值减去冲切临界截面范围内相应的地基反力作为冲切力设计值。本规范中的角柱和边柱是相对于基础平面而言的,大量计算结果表明,受基础盆形挠曲的影响,基础的角柱和边柱产生了附加的压力。中国建筑科学研究院地基所滕延京和石金龙在《柱下筏板基础角柱边柱冲切性状的研究报告》中,将角柱、边柱和中柱的冲切破坏荷载与规范公式计算的冲切破坏荷载进行了对比,计算结果表明,角柱和边柱下筏板的冲切承载力的“安全系数”偏低,约为1.45和1.6。为使角柱和边柱与中柱抗冲切具有基本一致的安全度,本次规范修订时将角柱和边柱的冲切力乘以了放大系数1.2和1.1。
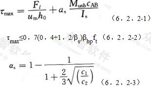
式(6.2.2-1)中的Munb是指作用在柱边h0/2处冲切临界截面重心上的弯矩,对边柱它包括由柱根处轴力设计值N和该处筏板冲切临界截面范围内相应的地基反力P对临界截面重心产生的弯矩。由于本条款中筏板和上部结构是分别计算的,因此计算M值时尚应包括柱子根部的弯矩Mc,如图4所示,M的表达式为:
Munb=NeN—Pep±Mc

图4 边柱Munb计算示意图
对于内柱,由于对称关系,柱截面形心与冲切临界截面重心重合,eN=ep=0,因此冲切临界截面重心上的弯矩。取柱根弯矩。
本规范的式(6.2.2-2)是引自我国现行国家标准《建筑地基基础设计规范》GB 50007,式中包含了柱截面长、短边比值的影响,适用于包括扁柱和单片剪力墙在内的平板式筏基。
对有抗震设防要求的平板式筏基,尚应验算地震作用组合的临界截面的最大剪应力τE,max,此时式(6.2.2-1)和式(6.2.2-2)应改写为:
τE,max=(VsE/As)+as(ME/Is)CAB
τE,max≤(0.7/γRE)[0.4+(1.2/βs)]βhpft
式中:VsE——考虑地震作用组合后的冲切力设计值(kN);
ME——考虑地震作用组合后的冲切临界截面重心上的弯矩(kN·m):
As——距柱边h0/2处的冲切临界截面的筏板有效面积(m2);
γRE——抗震调整系数,取0.85。
6.2.3 Venderbilt在他的“连续板的抗剪强度”试验报告中指出:混凝土受冲切承载力随比值um/h0的增加而降低。在框架核心筒结构中,内筒占有相当大的面积,因而距内筒外表面h0/2处的冲切临界截面周长是很大的,在h0保持不变的条件下,内筒下筏板的受冲切承载力实际上是降低了,因此需要局部提高内筒下筏板的厚度。本规范引用了我国现行国家标准《建筑地基基础设计规范》GB 50007给出的内筒下筏板受冲切承载力计算公式。对于处在基础边缘的筒体下的筏板受冲切承载力应按现行国家标准《混凝土结构设计规范》GB 50010中有关公式计算。
6.2.4 本规范明确了取距内柱和内筒边缘h0处作为验算筏板受剪的部位,如图5所示:角柱下验算筏板受剪的部位取距柱角h0处,如图6所示。式(6.2.4-1)中的Vs即作用在图5或图6中阴影面积上的地基平均净反力设计值除以验算截面处的板格中至中的长度(内柱)、或距角柱角点h0处45°斜线的长度(角柱)。国内筏板试验报告表明:筏板的裂缝首先出现在板的角部,设计中需适当考虑角点附近土反力的集中效应,乘以1.2增大系数。当角柱下筏板受剪承载力不满足规范要求时,可采用适当加大底层角柱横截面或局部增加筏板角隅板厚等有效措施,以期降低受剪截面处的剪力。
对上部为框架-核心筒结构的平板式筏形基础,设计人应根据工程的具体情况采用符合实际的计算模型或根据实测确定的地基反力来验算距核心筒h0处的筏板受剪承载力。当边柱与核心筒之间的距离较大时。式(6.2.4-1)中的Vs即作用在图7中阴影面积上的地基平均净反力设计值与边柱轴力设计值之差除以b(图7),b取核心筒两侧紧邻跨的跨中分线之间。当主楼核心筒外侧有两排以上框架柱或边柱与核心筒之间的距离较小时,设计人应根据工程具体情况慎重确定筏板受剪承载力验算单元的计算宽度。

图5 内柱(筒) 下筏板验算剪切部位示意图
1 验算剪切部位;2 板格中线

图6 角柱(筒)下筏板验算剪切部位示意图
1 验算剪切部位:2 板格中线

图7 框架-核心筒下筏板受剪承载力计算截面位置和计算单元宽度
1—混凝土核心筒与柱之间的分界线;2—剪切计算截面;b—验算单元的计算宽度
6.2.10 中国建筑科学研究院地基所黄熙龄和郭天强在他们的框架柱-筏基础模型试验报告中指出,在均匀地基上,上部结构刚度较好,柱网和荷载分布较均匀,且基础梁的截面高度大于或等于1/6的梁板式筏形基础,可不考虑筏板的整体弯曲影响。只按局部弯曲计算,地基反力可按直线分布。试验是在粉质黏土和碎石土两种不同类型的土层上进行的,筏基平面尺寸为3220mm×2200mm,厚度为150mm(图8),其上为三榀单层框架(图9)。试验结果表明,土质无论是粉质黏土还是碎石土,沉降都相当均匀(图10)。筏板的整体挠曲约为万分之三,整体挠曲相似于箱形基础。基础内力的分布规律,按整体分析法(考虑上部结构作用)与倒梁板法是一致的,且倒梁板法计算出来的弯矩值还略大于整体分析法(图11)。规定的基础梁高度大于或等于1/6柱距的条件是根据柱距l与文克勒地基模型中的弹性特征系数λ的乘积λl≤1.75;作了对比,分析结果表明。当高跨比大于或等于1/6时,对一般柱距及中等压缩性的地基都可考虑地基反力为直线分布。当不满足上述条件时,宜按弹性地基梁法计算内力,分析时采用的地基模型应结合地区经验进行选择。

图8 模型试验平面图

图9 模型试验

轴剖面图
1—框架梁;2—柱;3—传感器;4—筏板

图10
轴线沉降曲线
对于单幢平板式筏基,当地基土比较均匀,地基压缩层范围内无软弱土层或液化土层,上部结构刚度较好,柱网和荷载分布较均匀,相邻荷载及柱间的变化不超过20%,筏板厚度满足受冲切和受剪切承载力要求,且筏板的厚跨比不小于1/6时,平板式筏基可仅考虑局部弯曲作用。筏形基础内力可按直线分布进行计算。当不满足上述条件时,宜按弹性地基理论计算内力。
对于地基土、结构布置和荷载分布不符合本条款要求的结构,如框架—核心筒结构等,核心筒和周边框架柱之间竖向荷载差异较大,一般情况下核心筒下的基底反力大于周边框架柱下基底反力,因此不适用于本条款提出的简化计算方法,应采用能正确反映结构实际受力情况的计算方法。

图11 整体分析法与倒梁板法弯矩计算结果比较
1—整体(考虑上部结构刚度):2—倒梁板法
6.2.13 工程实践表明,在柱宽及其两侧一定范围的有效宽度内,其钢筋配置量不应小于柱下板带配筋量的一半。且应能承受板与柱之间一部分不平衡弯矩αmMunb,以保证板柱之间的弯矩传递。并使筏板在地震作用过程中处于弹性状态。条款中有效宽度的范围,是根据筏板较厚的特点,以小于1/4板跨为原则而提出来的。有效宽度范围如图12所示。
对于筏板的整体弯曲影响。本条款通过构造措施予以保证,要求柱下板带和跨中板带的底部钢筋应有1/3贯通全跨,顶部钢筋按实际配筋全部连通,上下贯通钢筋配筋率均不应小于0.15%。

图12 两侧有效宽度范围的示意
1—有效宽度范围内的钢筋应不小于柱下板带配筋量的一半,且能承担αmMunb;
2—柱下板带;3—柱;4—跨中板带
6.2.14 中国建筑科学研究院地基所黄熙龄、袁勋、宫剑飞、朱红波等通过大比例室内模型试验及实际工程的原位沉降观测,得到以下结论:
1 厚筏基础具备扩散主楼荷载的作用,扩散范围与相邻裙房地下室的层数、间距以及筏板的厚度有关。在满足本规范给定的条件下,主楼荷载向周围扩散,影响范围不超过三跨,并随着距离的增大扩散能力逐渐衰减。
2 多塔楼作用下大底盘厚筏基础(厚跨比不小于1/6)的变形特征为:各塔楼独立作用下产生的变形通过以各个塔楼下面一定范围内的区域为沉降中心,各自沿径向向外围衰减,并在具共同影响范围内相互叠加而形成。
3 多塔楼作用下大底盘厚筏基础的基底反力的分布规律为:各塔楼荷载以其塔楼下某一区域为中心。通过各自塔楼周围的裙房基础沿径向向外围扩散,并随着距离的增大扩散能力逐渐衰减,在其共同荷载扩散范围内,基底反力相互叠加。
4 基于上述试验结果,在同一大面积整体筏形基础上有多幢高层和低层建筑时,沉降可以高层建筑为单元将筏基划分为若干块按弹性理论进行计算,并考虑各单元的相互影响。当各单元间交界处的变形协调时,便可将计算的沉降值进行叠加。
5 室内模型试验和工程实测结果表明,当高层建筑与相连的裙房之间不设沉降缝和后浇带时,高层建筑的荷载通过裙房基础向周围扩散并逐渐减小,因此与高层建筑邻近一定范围内裙房基础下的地基反力相对较大。当与高层建筑紧邻的裙房的基础板厚度突然减小过多时,有可能出现基础板的截面承载力不够而发生破坏或因其变形过大造成裂缝不满足要求。因此本条款提出高层建筑及与其紧邻一跨的裙房筏板应采用相同厚度,裙房筏板的厚度宜从第二跨裙房开始逐渐变化。

图13 后浇带(沉降缝)示意图
6.2.15 在同一大面积整体筏形基础上有多幢高层和低层建筑时,筏基的结构计算宜考虑上部结构、基础与地基土的共同作用。进行整体计算。对塔楼数目较多且塔裙之间平面布局较复杂的工程,设计时可能存在一定难度。基于中国建筑科学研究院地基所的研究成果。对于同一大面积整体筏形基础上的复杂工程。建议可按高层建筑物的有效影响区域将筏基划分为若干单元分别按弹性理论进行计算,计算时宜考虑上部结构、基础与地基土的共同作用。
采用这种方法计算时,需要根据各单元间交界处的变形协调条件,依据沉降达到基本稳定的时间长短或工程经验,控制和调整各建筑单元之间的沉降差后。得到整体筏基的计算结果。
6.2.16 高层建筑基础不但应满足强度要求,而且应有足够的刚度,方可保证上部结构的安全。本条款给出的限值,是基于一系列室内模型试验和大量工程实测分析得到的。基础的整体挠曲度定义为:基础两端沉降的平均值与基础中间最大沉降的差值与基础两端之间距离的比值。
6.3 箱形基础
6.3.1 箱形基础的内、外墙应沿上部结构柱网和剪力墙纵横均匀布置,当上部结构为框架或框剪结构时,墙体水平截面总面积不宜小于箱基水平投影面积的1/12;当基础平面长宽比大于4时,纵墙水平截面面积不宜小于箱形基础水平投影面积的1/18。在计算墙体水平截面面积时,可不扣除洞口部分。
6.3.2 箱形基础的高度应满足结构承载力和刚度的要求,不宜小于箱形基础长度(不包括底板悬挑部分)的1/20,且不宜小于3m。
6.3.3 高层建筑同一结构单元内,箱形基础的埋置深度宜一致。且不得局部采用箱形基础。
6.3.4 箱形基础的底板厚度应根据实际受力情况、整体刚度及防水要求确定,底板厚度不应小于400mm,且板厚与最大双向板格的短边净跨之比不应小于1/14。底板除应满足正截面受弯承载力的要求外,尚应满足受冲切承载力的要求(图6.3.4)。当底板区格为矩形双向板时,底板的截面有效高度h0应符合下式规定:

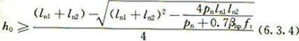
式中:pn——扣除底板及其上填土自重后,相应于荷载效应基本组合的基底平均净反力设计值(kPa);基底反力系数可按本规范附录E选用;
ln1、ln2——计算板格的短边和长边的净长度(m);
βhp——受冲切承载力截面高度影响系数,按本规范第6.2.2条确定。

图6.3.4 底板的冲切计算示意
1—冲切破坏锥体的斜截面;2—墙;3—底板
6.3.5 箱形基础的底板应满足斜截面受剪承载力的要求。当底板板格为矩形双向板时,其斜截面受受剪承载力可按下式计算:
Vs≤0.7βhsft(ln2-2h0)h0 (6.3.5)
式中:Vs——距强边缘h0处,作用在图6.3.5阴影部分面积上的扣除底板及其上填土自重后,相应于荷载效应基本组合的基地平均净反力产生的剪力设计值(kN);
βhs——受剪承载力截面高度影响系数,按本规范式(6.2.4-2)确定。
当底板板格为单向板时,其斜截面受剪承载力应按本规范式(6.2.4-1)计算,其中Vs,为支座边缘处由基底平均净反力产生的剪力设计值。

图6.3.5 Vs计算方法的示意
6.3.6 箱形基础的墙身厚度应根据实际受力情况、整体刚度及防水要求确定。外墙厚度不应小于250mm;内墙厚度不宜小于200mm。墙体内应设置双面钢筋。竖向和水平钢筋的直径均不应小于10mm,间距不应大于200mm。除上部为剪力墙外,内、外墙的墙顶处宜配置两根直径不小于20mm的通长构造钢筋。
6.3.7 当地基压缩层深度范围内的土层在竖向和水平方向较均匀、且上部结构为平、立面布置较规则的剪力墙、框架、框架—剪力墙体系时,箱形基础的顶、底板可仅按局部弯曲计算,计算时地基反力应扣除板的自重。顶、底板钢筋配置量除满足局部弯曲的计算要求外,跨中钢筋应按实际配筋全部连通,支座钢筋尚应有1/4贯通全跨,底板上下贯通钢筋的配筋率均不应小于0.15%。
6.3.8 对不符合本规范第6.3.7条要求的箱形基础,应同时计算局部弯曲及整体弯曲作用。计算整体弯曲时应采用上部结构、箱形基础和地基共同作用的分析方法;底板局部弯曲产生的弯矩应乘以0.8折减系数;箱形基础的自重应按均布荷载处理;基底反力可按本规范附录正确定。对等柱距或柱距相差不大干20%的框架结构,箱形基础整体弯矩的简化计算可按本规范附录F进行。
在箱形基础顶、底板配筋时,应综合考虑承受整体弯曲的钢筋与局部弯曲的钢筋的配置部位,使截面各部位的钢筋能充分发挥作用。
6.3.9 当地下室箱形基础的墙体面积率不能满足本规范第6.3.1条要求时,箱形基础的内力可按截条法,或其他有效计算方法确定。
6.3.10 箱形基础的内、外墙,除与上部剪力墙连接者外,各片墙的墙身的竖向受剪截面应符合本规范式(6.1.1)要求。
计算各片墙竖向剪力设计值时,可按地基反力系数表确定的地基反力按基础底板等角分线与板中分线所围区域传给对应的纵横基础墙(图6.3.10),并假设底层柱为支点,按连续梁计算基础墙上各点竖向剪力。对不符合本规范第6.3.1条和第6.3.7条要求的箱形基础,尚应考虑整体弯曲的影响。

图6.3.10 计算墙竖向剪力时地基反力分配图
6.3.11 箱基上的门洞宜设在柱间居中部位,洞边至上层柱中心的水平距离不宜小于1.2m,洞口上过梁的高度不宜小于层高的1/5,洞口面积不宜大于柱距与箱形基础全高乘积的1/6。
墙体洞口周围应设置加强钢筋,洞口四周附加钢筋面积不应小于洞口内被切断钢筋面积的一半,且不应少于两根直径为14mm的钢筋,此钢筋应从洞口边缘处延长40倍钢筋直径。
6.3.12 单层箱基洞口上、下过梁的受剪截面应分别符合下列公式的规定:
当hi/b≤4时
Vi≤0.25fcAi(i=1,为上过梁;i=2,为下过梁)(6.3.12-1)
当hi/b≥6时
Vi≥0.20fcAi(i=1,为上过梁;i=2,为下过梁)(6.3.12-2)
当4<hi/b<6时,按线性内插法确定。
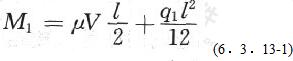
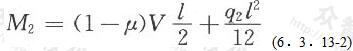
V1=μV +(q1l/2) (6.3.12-3)
V2=(1-μ)V +[(q2l/2)] (6.3.12-4)

式中:V1、V2——上、下过梁的剪力设计值(kN);
V——洞口中点处的剪力设计值(kN);
μ——剪力分配系数;
q1、q2——作用在上、下过梁上的均布荷载设计值(kPa);
l——洞口的净宽;
A1、A2——上、下过梁的有效截面积(m2),可按图6.3.12(a)及图6.3.12(b)的阴影部分计算,并取其中较大值。
多层箱基洞口过梁的剪力设计值也可按式(6.3.12-1)~式(6.3.12-5)计算。
6.3.13 单层箱基洞口上、下过梁截面的顶部和底部纵向钢筋,应分别按式(6.3.13-1)、式(6.3.13-2)求得的弯矩设计值配置:


图6.3.12 洞口上下过梁的有效截面积 
式中:M1、M2——上、下过梁的弯矩设计值(kN·m)。
6.3.14 底层柱与箱形基础交接处,柱边和墙边或柱角和八字角之间的净距不宜小于50mm,并应验算底层柱下墙体的局部受压承载力;当不能满足时,应增加墙体的承压面积或采取其他有效措施。
6.3.15 底层柱纵向钢筋伸入箱形基础的长度应符合下列规定;
1 柱下三面或四面有箱形基础墙的内柱,除四角钢筋应直通基底外,其余钢筋可终止在顶板底面以下40倍钢筋直径处;
2 外柱、与剪力墙相连的柱及其他内柱的纵向钢筋应直通到基底。
6.3.16 当箱形基础的外墙设有窗井时,窗井的分隔墙应与内墙连成整体。窗井分隔墙可视作由箱形基础内墙伸出的挑梁。窗井底板应按支承在箱形基础外墙、窗井外墙和分隔墙上的单板或双向板计算。
6.3.17 与高层建筑相连的门厅等低矮结构单元的基础,可采用从箱形基础挑出的基础梁方案(图6.3.17)。挑出长度不宜大于0.15倍箱形基础宽度,并应验算挑梁产生的偏心荷载对箱基的不利影响,挑出部分下面应填充一定厚度的松散材料,或采取其他能保证其自由下沉的措施。

图6.3.17 箱形基础挑出部位示意
1—裙房;2—室外地坪;3—箱基
6.3.18 当箱形基础兼作人防地下室时,箱形基础的设计和构造尚应符合现行国家标准《人民防空地下室设计规范》GB 50038的规定。
条文说明
6.3 箱形基础
6.3.1 箱形基础墙体的作用是连接顶、底板并把很大的竖向荷载和水平荷载较均匀地传递到地基上去。提出墙体面积率的要求是为了保证箱形基础有足够的整体刚度及在纵横方向各部位的受剪承载力。这些面积率指标主要来源于国内已建工程墙体面积率的统计资料,详见表5。其中有些工程经过了6度地震的考验,这样的面积率指标在一般工程中基本上都能达到,并且能满足一般人防使用上的要求。
在墙体水平截面面积率的控制中,对基础平面长宽比大于4的箱形基础纵墙控制较严。因为工程实测沉降表明,箱形基础的相对挠曲,纵向要大于横向。这说明了在正常的受力状态下,纵向是我们要考虑的主要方向。然而横墙的数量也不能太少,横墙受剪面积不足,将影响抵抗挠曲的刚度。
十多年来的工程实践经验表明,墙体水平截面总面积率可适当放宽,因此,本规范将墙体水平截面总面积率控制在已建工程墙体面积率的统计资料的下限值,由原规范的1/10改为1/12。
6.3.2 本规范提出箱形基础高度不宜小于基础长度的1/20,且不宜小于3m的要求,旨在要求箱形基础具有一定的刚度,能适应地基的不均匀沉降,满足使用功能上的要求,减少不均匀沉降引起的上部结构附加应力。制定这种控制条件的依据是:从已建工程的统计资料来看,箱形基础的高度与长度的比值在1/3.8至1/21.1之间,这些工程的实测相对挠曲值,软土地区一般都在万分之三以下,硬土地区一般都小于万分之一,除个别工程,由于施工中拔钢板桩将基底下的土带出,使部分外纵墙出现上大下小内外贯通裂缝外(裂缝最宽处达2mm)。其他工程并没有出现异常现象,刚度都较好。表6给出了北京、上海、西安、保定等地的12项工程的实测最大相对挠曲资料。
表5 箱形基础工程实例表

表6 建筑物实测最大相对挠曲 
注:△s/L 为正值时表示基底变形呈盆状,即“U”状。
6.3.4 为使基础底板具有一定刚度以减少其下地基上反力不均匀程度和避免基础底板因板厚过小而产生较大裂缝,底板厚度最小限值由原《高层建筑箱形与筏形基础技术规范》JGJ 6—99中的300mm改为400mm,并规定了板厚与最大双向板格的短边净跨之比不应小于1/14。
6.3.5 本规范箱形基础和梁板式筏基双向底板受冲切承载力和受剪承载力验算方法源于1980年颁布实施的《高层建筑箱形基础设计与施工规程》JGJ 6—80。验算底板受剪承载力时。《高层建筑箱形基础设计与施工规程》JGJ 6—80规定了以距墙边h0(底板的有效高度)处作为验算底板受剪承载力的部位。《建筑地基基础设计规范》GB 50007—2002在编制时。对北京市十余幢已建的箱形基础进行调查及复算,调查结果表明按此规定计算的底板并没有发现异常现象,情况良好。多年工程实践表明按《高层建筑箱形基础设计与施工规程》JGJ 6—80提出的方法计算此类双向板是可行的。表7和表8给出了部分已建工程有关箱形基础双向底板的信息,以及箱形基础双向底板按不同规范计算剪切所需的h0。分析比较结果表明。取距支座边缘h0处作为验算双向底板受剪承载力的部位,并将梯形受荷面积上的平均净反力摊在(ln2-2h0)上的计算结果与工程实际的板厚以及按ACI 318计算结果是十分接近的。
表7 已建工程箱形基础双向底板信息表 
表8 已建工程箱形基础双向底板剪切计算分析 
6.3.6 箱形基础的墙身厚度,除应按实际受力情况进行验算外,还规定了内、外墙的最小厚度,即外墙不应小于250mm,内墙不宜小于200mm,这一限制是在保证箱形基础整体刚度的条件下及分析了大量工程实例的基础上提出的,统计资料列于表5。这一限制,也是配合本标准第6.3.1条使用的。
6.3.7 箱基分析实质上是一个求解地基—基础—上部结构协同工作的课题。近40年来,国内外不少学者先后对这一课题进行了研究,在非线性地基模型及其参数的选择、上下协同工作机理的研究上取得了不少成果。特别是20世纪70年代后期以来,国内一些科研、设计单位结合具体工程在现场进行了包括基底接触应力、箱基钢筋应力以及基础沉降观测等一系列测试,积累了大量宝贵资料,为箱基的研究和分析提供了可靠的依据。
建筑物沉降观测结果和理论研究表明,对平面布置规则、立面沿高度大体一致的单幢建筑物,当箱基下压缩土层范围内沿竖向和水平方向土层较均匀时,箱形基础的纵向挠曲曲线的形状呈盆状形。纵向挠曲曲线的曲率并不随着楼层的增加、荷载的增大而始终增大。最大的曲率发生在施工期间的某一临界层,该临界层与上部结构形式及影响其刚度形成的施工方式有关。当上部结构最初几层施工时,由于其混凝土尚处于软塑状态,上部结构的刚度还未形成,上部结构只能以荷载的形式施加在箱基的顶部,因而箱基的整体挠曲曲线的曲率随着楼层的升高而逐渐增大,其工作犹如弹性地基上的梁或板。当楼层上升至—定的高度之后,最早施工的下面几层结构随着时间的推移,它的刚度就陆续形成,一般情况下,上部结构刚度的形成时间约滞后三层左右。在刚度形成之后,上部结构要满足变形协调条件,符合呈盆状形的箱形基础沉降曲线,中间柱子或中间墙段将产生附加的拉力,而边柱或尽端墙段则产生附加的压力。上部结构内力重分布的结果,导致了箱基整体挠曲及其弯曲应力的降低。在进行装修阶段,由于上部结构的刚度已基本完成,装修阶段所增加的荷载又使箱基的整体挠曲曲线的曲率略有增加。图14给出了北京中医医院病房楼各施工阶段(1~5)的箱基纵向沉降曲线图,从图中可以清楚看出箱基整体挠曲曲线的基本变化规律。
国内大量测试表明。箱基顶、底板钢筋实测应力,一般只有20N/mm2~30N/mm2,最高也不过50N/mm2。造成钢筋应力偏低的因素很多,除了上部结构参与工作以及箱基端部土层出现塑性变形,导致箱基整体弯曲应力降低等因素外。主要原因是:

图14 北京中医医院病房楼箱形基础纵向沉降曲线图
1—四层;2—八层;3—主体完工;4—装修阶段Ⅰ;5—装修阶段Ⅱ
(1)箱形基础弯曲受拉区的混凝土参与了工作。为保证上部结构和箱基在使用荷载下不致出现裂缝,本规范在编制时曾利用实测纵向相对挠曲值来反演箱基的抗裂度。反演时挑选了上部结构刚度相对较弱的框架结构、框剪结构下的箱形基础作为分析对象。分析时假定箱形基础自身为一挠曲单元,其整体挠曲曲线近似为为圆弧形。箱基中点的弯矩M=(8△sEI)/L2,按受弯构件验算箱基的抗裂度,验算时箱基的混凝土强度等级为C20,EI为混凝土的长期刚度,其值取0.5EcI。表9列出了按现行《混凝土结构设计规范》GB 50010计算的几个典型工程的箱形基础抗裂度。
上海国际妇幼保健院是我们目前收集到的箱形基础纵向相对挠曲最大的一个,其纵向相对挠曲值△s/L为2.78×10-4,验算的抗裂度为1.13。应该指出的是,验算时箱形基础的刚度是按实腹工字形截面计算的,没有考虑墙身洞口对刚度的削弱影响,实际的抗裂度要稍大于计算值。因此,一般情况下按本规范提出的箱基高度和墙率设计的箱形基础,其抗裂度可满足混凝土结构设计规范的要求。
(2)箱形基础底板下土反力存在向墙下集中的现象,对5个工程的箱形基础的14块双向底板的墙下和跨中实测反力值进行多元回归分析,结果表明一般情况下双向板的跨中平均土反力约为墙下平均土反力的85%。计算结果表明箱基底板截面并未开裂,混凝土及钢筋均处于弹性受力阶段。这也是钢筋应力偏小的主要原因之一。
(3)基底与土之间的摩擦力影响。地基与基础的关系实质上是—个不同材性、不同结构的整体。从接触条件来讲,箱基受力后它与土壤之间应保持接触原则。箱基整体挠曲不仅反映了点与点之间的沉降差,也反映了基础与地基之间沿水平方向的变形。
这种水平方向的变形值虽然很小,但引发出的基底与土壤之间的摩擦力,却对箱基产生一定的影响。摩擦力对箱基中和轴所产生的弯矩其方向总是与整体弯矩相反。一般情况下,箱基顶、底板在基底摩擦力作用下分别处于拉、压状态,与呈盆状变形的箱基顶、底板的受力状态相反,从而改善了底板的受力状态,降低了底板的钢筋应力。
因此,当地基压缩层深度范围内的土层在竖向和水平方向较均匀、且上部结构为平、立面布置较规则的剪力墙、框架、框架—剪力墙体系时,箱形基础的顶、底板可仅按局部弯曲计算。
考虑到整体弯曲的影响。箱基顶、底板纵横方向的部分支座钢筋应贯通全跨,跨中钢筋按实际配筋全部连通。箱基顶、底板纵横方向的支座钢筋贯通全跨的比例,由原《高层建筑箱形与筏形基础技术规范》JGJ 6-99中的1/2~1/3改为1/4。底板上下贯通钢筋的配筋率均不应小于0.15%。
表9 按实测纵向相对挠曲反演箱基抗裂度 
6.3.8 1980年颁布的《高层建筑箱形基础设计与施工规程》JGJ 6—80,提出了在分析整体弯曲作用时,将上部结构简化为等代梁,按照无榫连接的双梁原理,将上部结构框架等效刚度EBIB和箱形基础刚度EFIF叠加得总刚度,按静定梁分析各截面的弯矩和剪力。并按刚度比将弯矩分配给箱基的计算原则。这个考虑了上部结构抗弯刚度的简化方法,是符合共同工作机理的。但是,国内许多研究人员的分析结果表明,上部结构刚度对基础的贡献并不是随着层数的增加而简单的增加,而是随着层数的增加逐渐衰减。例如,上海同济大学朱百里、曹名葆、魏道垛分析了每层楼的竖向刚度KVY对基础贡献的百分比,其结果见表10。从表中可以看到上部结构刚度的贡献是有限的,结果是符合圣维南原理的。
表10 楼层竖向刚度Kvy对减小基础内力的贡献 
北京工业大学孙家乐、武建勋则利用二次曲线型内力分布函数,考虑了柱子的压缩变形,推导出连分式框架结构等效刚度公式。利用该公式算出的结果,也说明了上部结构刚度的贡献是有限的,见图15。
因此,在确定框架结构刚度对箱基的贡献时。《高层建筑箱形与筏形基础技术规范》JGJ 6—99规范在《高层建筑箱形基础设计与施工规程》JGJ 6—80的框架结构等效刚度公式的基础上,提出了对层数的限制,规定了框架结构参与工作的层数不多于8层,该限制是综合了上部框架结构竖向刚度、弯曲刚度以及剪切刚度的影响。

图15 等效刚度计算结果
①—按《高层建筑箱形基础设计与施工规程》JGJ 6—80的等效
刚度计算结果;②—按北工大提出的连分式等效刚度计算结果
在本规范修订中总结了近十年来工程实践经验,同时考虑到计算机的普及,提出了如本规范附录F中图F.0.2所示的更接近实际情况的整体弯曲作用分析计算模型,即将上部框架简化为等代梁并以底层柱与筏形或箱形基础连接。修改后的计算模型的最大优点是,其计算结果可反映由于上部结构参与工作而发生的荷载重分布现象,为设计人员提供了一种估算上部结构底层竖向构件次应力的简化方法。此外,根据上部结构各层对箱基的贡献大小以及工程实践,本次规范修改时将框架结构参与工作的层数最大限值由8层修改为5层。
在计算底板局部弯曲内力时,考虑到双向板周边与墙体连接产生的推力作用,注意到双向板实测跨中反压力小于墙下实测反压力的情况,对底板为双向板的局部弯曲内力采用0.8的折减系数。
箱形基础的地基反力,可按附录E采用,也可参照其他有效方法确定。地基反力系数表。系中国建筑科学研究院地基所根据北京地区一般黏性土和上海淤泥质黏性土上高层建筑实测反力资料以及收集到的西安、沈阳等地的实测成果研究编制的。
当荷载、柱距相差较大,箱基长度大于上部结构的长度(悬挑部分大于1m)时。或者建筑物平面布置复杂、地基不均匀时,箱基内力宜根据土—箱基或土—箱基—上部结构协同工作的计算程序进行分析。
6.3.9 当墙体水平截面面积率较小时,其内力和整体挠曲变形应采取能反映其实际受力和变形情况的有效计算方法确定,此时,为保证箱形基础刚度分布较均匀应注意内墙布置尽可能均匀对称,并且横墙间距不宜过大。
6.3.10 本规范给出的土反力系数是基于实测的结果。它反映了地基、基础和上部结构共同工作以及地基的非线性变形的影响。对符合本规范第6.3.1条和第6.3.7条要求的箱形基础,箱形基础的各片墙可直接按土反力系数确定的基底反力按45°线划分到纵、横基础墙上,近似将底层柱作为支点,按连续梁计算基础墙上各点剪力。
6.4 桩筏与桩箱基础
6.4.1 当筏形基础或箱形基础下的天然地基承载力或沉降值不能满足设计要求时,可采用桩筏或桩箱基础。桩的类型应根据工程地质状况、结构类型、荷载性质、施工条件以及经济指标等因素决定。桩的设计应符合国家现行标准《建筑地基基础设计规范》GB 50007和《建筑桩基技术规范》JGJ 94的规定,抗震设防区的桩基尚应符合现行国家标准《建筑抗震设计规范》GB 50011的规定。
6.4.2 桩筏或桩箱基础中桩的布置应符合下列原则:
1 桩群承载力的合力作用点宜与结构竖向永久荷载合力作用点相重合;
2 同一结构单元应避免同时采用摩擦桩和端承桩;
3 桩的中心距应符合现行行业标准《建筑桩基技术规范》JGJ 94的相关规定;
4 宜根据上部结构体系、荷载分布情况以及基础整体变形特征,将桩集中在上部结构主要竖向构件(柱、墙和筒)下面,桩的数量宜与上部荷载的大小和分布相对应;
5 对框架—核心筒结构宜通过调整桩径、桩长或桩距等措施,加强核心筒外缘1倍底板厚度范围以内的支承刚度。以减小基础差异沉降和基础整体弯矩;
6 有抗震设防要求的框架—剪力墙结构,对位于基础边缘的剪力墙,当考虑其两端应力集小影响时,宜适当增加墙端下的布桩量;当桩端为非岩石持力层时,宜将地震作用产生的弯矩乘以0.8的降低系数。
6.4.3 桩上的筏形与箱形基础计算应符合下列规定:
1 均匀布桩的梁板式筏形与箱形基础的底板厚度,以及平板式筏形基础的厚度应符合受冲切和受剪切承载力的规定。梁板式筏形与箱形基础底板的受冲切承载力和受剪承载力,以及平板式筏基上的结构墙、柱、核心筒、桩对筏板的受冲切承载力和受剪承载力可按国家现行标准《建筑地基基础设计规范》GB 50007和《建筑桩基技术规范》JGJ 94进行计算。
当平板式筏形基础柱下板的厚度不能满足受冲切承载力要求时,可在筏板上增设柱墩或在筏板内设置抗冲切钢筋提高受冲切承载力。
2 对底板厚度符合受冲切和受剪切承载力规定的箱形基础、基础板的厚跨比或基础梁的高跨比不小于1/6的平板式和梁板式筏形基础,当桩端持力层较坚硬且均匀、上部结构为框架、剪力墙、框剪结构,柱距及柱荷载的变化不超过20%时,筏形基础和箱形基础底板的板与梁的内力可仅按局部弯矩作用进行计算。计算时先将基础板上的竖向荷载设计值按静力等效原则移至基础底面桩群承载力重心处,弯矩引起的桩顶不均匀反力校直线分布计算,求得各桩顶反力,并将桩顶反力均匀分配到相关的板格内,按倒楼盖法计算箱形基础底板和筏形基础板、梁的内力。内力计算时应扣除底板、基础梁及具上填土的自重。当桩顶反力与相关的墙或柱的荷载效应相差较大时,应调整桩位再次计算桩顶反力。
3 对框架—核心筒结构以及不符合本条第2款要求的结构,当桩筏、桩箱基础均匀布桩时,可将基桩简化为弹簧,按支承于弹簧上的梁板结构进行桩筏、桩箱基础的整体弯曲和局部弯曲计算。当上述结构按本规范第6.4.2条第5款布桩时,可仅按局部弯矩作用进行计算。基桩的弹簧系数可取桩顶压力与桩顶沉降量之比,并结合地区经验确定;当群桩效应不明显、桩基沉降量较小时,桩的弹簧系数可根据单桩静荷载试验的荷载-位移曲线撞桩顶荷载和桩顶沉降量之比确定。
6.4.4 基桩的构造及桩与筏形或箱形基础的连接应符合现行行业标准《建筑桩基技术规范》JGJ 94的规定。
6.4.5 桩上筏形与箱形基础的构造应符合下列规定:
1 桩上筏形与箱形基础的混凝土强度等级不应低于C30;垫层混凝土强度等级不应低于C10,垫层厚度不应小于70mm;
2 当箱形基础的底板和筏板仅按局部弯矩计算时,其配筋除应满足局部弯曲的计算要求外,箱基底板和筏板顶部跨中钢筋应全部连通,箱基底板和筏基的底部支座钢筋应分别有1/4和1/3贯通全跨,上下贯通钢筋的配筋率均不应小于0.15%;
3 底板下部纵向受力钢筋的保护层厚度在有垫层时不应小于50mm,无垫层时不应小于70mm,此外尚不应小于桩头嵌入低板内的长度;
4 均匀布桩的粱板式筏基的底板和箱基底板的厚度除应满足承载力计算要求外,其厚度与最大双向板格的短边净跨之比不应小于1/14,且不应小于400mm;平板式筏基的板厚不应小于500mm;
5 当筏板厚度大于2000mm时,宜在板厚中间设置直径不小于12mm、间距不大于300mm的双向钢筋网。
6.4.6 当基础板的混凝土强度等级低于柱或桩的混凝土强度等级时,应验算柱下或桩上基础板的局部受压承载力。
6.4.7 当抗拔桩常年位于地下水位以下时,可按现行国家标准《混凝土结构设计规范》GB 50010关于控制裂缝宽度的方法进行设计。
7 施工
7.1 一般规定
7.1.1 高层建筑筏形与箱形基础的施工组织设计应依据基础设计施工图、基坑支护设计施工图、场地的工程地质、水文地质资料等进行编制,并应对降水和隔水、支护结构、地基处理、土方开挖,基础混凝工浇筑等施工项目的顺序和相互之间的搭接进行合理安排。
7.1.2 高层建筑筏形与箱形基础的施工组织设计应包括下列内容:
1 降水和隔水施工;
2 周围废旧建(构)筑物基础和废旧管道处理;
3 地基处理;
4 基坑支护结构施工、土方开挖、堆放和运输;
5 基础和地下室施工,基础施工各阶段的抗浮验算和措施;
6 施工监测和信息化施工;
7 周围既有建筑和环境保护及应急抢险预案等。
7.1.3基坑施工前,应对周围的既有建(构)筑物、道路和地下管线的状态进行详细调查;对裂缝、下沉、倾斜等损坏迹象,应做好标记和影像、文字记录;对需要保护的原有建(构)筑物、道路和地下管线的位移应确定控制标准,必要时应采取加固措施。
7.1.4 对下列基坑的施工方案应组织专家进行可行性和安全性论证:
1 重要建(构)筑物附近的基坑;
2 工程地质条件复杂的基坑;
3 深度超过5m的基坑;
4 有特殊要求的基坑。
7.1.5 基坑支护结构应由专业设计单位进行。在软土地区基坑的设计与施工中宜分析土体的蠕变和空间尺度对支护结构位移的影响,规定允许位移量,并制定控制位移的技术措施。
7.1.6 基坑支护的设计使用期限应满足基础施工的要求,且不应小于一年。
7.1.7 在基坑施工过程中存在下列情况时,应进行地基土加固处理:
1 基坑及周围的土层不能满足开挖、放坡及基础的正常施工条件;
2 基坑内地基不能满足基坑侧壁的稳定要求;
3 对影响范围内须保护的建(构)筑物、道路和地下管线的影响超过其承受能力。
7.1.8 基坑内外地基土加固处理应与支护结构统一进行设计。
7.1.9 基坑开挖完成后,应立即进行基础施工。当不能立即进行基础施工时,应采取防止基坑底部积水和土体扰动的保护措施。
7.1.10 基坑施工过程中应对降水、隔水系统、支护结构、各类观察点和监测点采取保护措施,并应根据施工组织设计做好监测记录,及时反馈信息,发现异常情况应及时处理。
条文说明
7.1 一般规定
7.1.1 不同的建设工程项目具有不同的特点。因此,筏形与箱形基础的施丁组织设计除应根据建筑场地、工程地质和水文地质资料以及现场环境等条件外。还应分析工程项目的特殊性和施工难点,以明晰施工控制的关键点,尤其对施工过程中可能出现的问题有一个清醒的认识和必要的准备。
7.1.6 大多数高层建筑基础埋置深度较深,有的超过20m。深基坑支护设计合理与否直接影响建筑物的施工工期与造价,影响邻近建筑物的安全。有的工程采用永久性支护方案即把支护结构作为地下室外墙,取得较好的经济效益,施工前应做好准备工作,施工时能顺利进行。保证质量。
7.1.10 监测工作不仅限于施工过程,有些内容应延续至现场施工结束。观测和监测结果是对建设工程实际状态的真实反映。对观测和监测资料的及时整理和分析及反馈是作好施工过程控制以及处理异常情况的基本要求。
7.2 地下水控制
7.2.1 当地表水、地下水影响基坑施工时,应采取排水、截水、隔水、人工降低地下水位或降低承压水压力的措施;在可能发生流砂、管涌等现象的场区,不得采用明沟排水。
7.2.2 地下水控制方案应根据水文地质资料、基坑开挖深度、支护方式及降水影响区域内建(构)筑物、管线对降水反应的敏感程度等因素确定。
7.2.3 对未设置隔水帷幕的基坑,宜将地下水位降低至基坑底面以下0.5m~1.0m。对已设置隔水帷幕的基坑,应对坑内土体进行临时疏干。
7.2.4 应对降水影响范围进行估算。对降水影响区域内的危房、重要建筑、变形敏感的建(构)筑物,除在降水过程中应进行监测外,尚应估算由降水引起的附加沉降。如沉降超过允许值,应采取隔水、回灌等措施或对建(构)筑物进行加固。
7.2.5 降水工程的施工应符合现行国家标准《建筑地基基础工程施工质量验收规范》GB 50202的规定,并严格控制出水的含沙量。当发现抽出的水体中有较多泥沙时,应立即封井停止抽水。
7.2.6 严禁施工用水、废旧管道渗漏的水和雨水等积聚在坑外土体中并严禁其流入基坑。应随时做好坑内临时排水明沟和集水井,保证大气降水能及时排出。当基坑及其汇水面积较大时,应计算暴雨可能产生的汇水水量,并准备足够的排水泵等应急设备。
7.2.7 降水方案可选用轻型井点、喷射井点、深井井点和真空深井井点。轻型井点的降水深度不宜超过6m,大于6m时可采用多级轻型井点。轻型井点的真空设备可采用真空泵、隔膜泵或射流泵。真空泵应与总管放在同一标高。
7.2.8 喷射井点可在降水深度不超过8m时采用。喷射井点的喷射器应放到井点管的滤管中,直接在滤管附近形成真空。
7.2.9 当降水深度大于6m,且土层的渗透系数大于1.0×10-5cm/s时,宜采用自流深井井点。自流深井井点宜采用通长滤管。
7.2.10 当降水深度大于6m,且土层的渗透系数小于1.0×10-5cm/s时,宜采用在深井井管内施加真空的真空深井井点。真空深井井点应在开挖面以下的井底设置滤管,滤管长度宜为4m。当降水深度较深时,可设置多个滤管。真空深井井点可疏干的面积宜取其周围150m2~300m2。
7.2.11 深井井点的井管宜用外径为250mm~300mm的钢管,井孔直径不宜小干700mm。管壁与孔壁之间应回填不小于200mm的洁净砾砂滤层。真空泵宜采用柱塞泵。应始终保持砾砂滤层和滤层中稳定的真空度。抽水期间井内真空度不应小于0.7。井孔上部接近土体表面处应用黏土封闭,开挖后裸露的滤管也应及时拆除或封闭,防止漏气。
7.2.12 降水井点的平面布置应与土方开挖的分层、分块和顺序相结合,并应与坑内支撑的布置相结合。放坡开挖的基坑,井点管至坑边的距离不应小于1m。机房至坑边的距离不应小于1.5m,地面应夯实填平。降水完毕后,应根据工程特点和土方回填进度陆续关闭和拔除井点管。轻型井点管拔除后应立即用砂土将井孔回填密实。对于深井井点,应制定专门的封井措施,防止承压水在停止降水后向上冲冒。
7.2.13 当基坑底面以下存在渗透性较强、含承压水的土层时、应按下式验算坑底突涌的危险性:

式中:γi——含承压水土层顶面到基坑底面第i层上的重度(kN/m3);
hi——含承压水土层顶面到基坑底面第i层土的厚度(m);
σww——含承压水土层顶面处的水头压力(kPa);
K——安全系数,可取K=1.05
7.2.14 在施工阶段应根据地下水位和基础施工的实际情况按本规范第5.5.4条进行抗浮稳定验算;在确定抗浮验算水位时,尚应考虑岩石裂隙水积聚等因素的影响。
7.2.15 可采取延长降水井抽水时间或在基底设置倒滤层等措施减小基底水压力,防止地下室上浮。
条文说明
7.2 地下水控制
7.2.1 降水的目的是为了降低地下水位、疏干基坑、固结土体、稳定边坡、防止流砂与管涌,便于基坑开挖与基础施工。边坡失稳、流砂与管涌的发生一般都与地下水有关,尤其是与地下水的动水压力梯度的增大有关:
目前降水、隔水方案很多,如:井点降水(包括轻型井点、真空井点)、地下连续墙支护与隔水、支护桩配以搅拌桩或高压旋喷桩隔水、降水与回灌相结合疏干基坑和保持坑外地下水位等等。采用哪种方法进行地下水控制除考虑本条所列的因素外还应 考虑经济效益和地区成熟的经验与技术。
7.2.5 在施工中常发生由于降水对邻近建筑物、道路及管线产上不良影响的工程事故。降水产生不良影响的原因主要有两个,是降水引起地下水位下降使土体产生固结沉降,二是降水过程带出大量土颗粒。在土体中产生孔洞、孔洞塌陷造成沉降。
7.2.12 一定要注意使排水远离基坑边坡,如边坡被水浸泡,土的抗剪强度、黏聚力立即下降,容易引起基坑坍塌和滑坡。
7.2.14 当基础埋置深度大,而地下水位较高时尤其要重视水浮力,必须满足抗浮要求。当建筑物高低层采用整体基础时,要验算高低层结合处基础板的负弯矩和抗裂强度,需要时,可在低层部分的基础下打抗拔桩或拉锚。
7.3 基坑开挖
7.3.1 在下列情况下,基坑开挖时应采取支护措施:
1 基坑深度较大,不具备自然放坡施工条件;
2 地基土质松软,地下水位高或有丰盛上层滞水;
3 基坑开挖可能危及邻近建(构)筑物、道路及地下管线的安全与使用。
7.3.2 基坑支护结构应根据当地工程经验,综合分析水文地质条件、基坑开挖深度、场地条件及周围环境等因素进行设计、施工。
7.3.3 当支护结构的水平位移和周围建(构)筑物的沉降达到预警值时,应加强观测,并分析原因;达到控制值时,应采取应急措施,确保基坑及周围建(构)筑物的安全。
7.3.4 基坑开挖时,应在地面和坑内设置排水系统;必要时应对基坑顶部一定范围进行硬化封闭;冬期和雨期施工时,应采取有效措施,防止地基土的冻胀和浸泡。
7.3.5 在基坑隔水帷幕的施上中,应加强防水薄弱部位的观察和处理,并应制订防止接缝处渗水的措施。
7.3.6 基坑周边的施工荷载严禁超过设计规定的限值,施工荷载至基坑边的距离不得小于1m。当有重型机械需在基坑边作业时,应采取确保机械和基坑安全的措施。
7.3.7 在基坑开挖过程中,严禁损坏支护结构、降水设施和工程桩;应避免挖土机械直接压在支撑上。对工程监测设施。宜设置醒目的提示标志和可靠的保护构架进行保护。
7.3.8 采用钢筋混凝土内支撑的基坑,当支撑长度大于50m时,宜分析支撑混凝土收缩和昼夜温差变化引起的热胀冷缩对支护结构的影响。当基坑的长度和宽度均大于100m时,宜采用中心岛法、逆作法等方法,减小混凝土收缩不利影响。
7.3.9 基坑开挖应根据支扩结构特点、开挖土体的性质、大小、深度和形状按设计流程分块、分层进行,严禁超挖。在软土中挖土的分层厚度不宜大于3m,并应采取措施,防止因土体流动造成桩基损坏。
7.3.10 当开挖过程中出现坑内临时土坡时,应在施工组织设计中注明放坡坡度,防止土坡失稳。
7.3.11 挖土机械宜放置在高于挖土标高的台阶上,向下挖土,边挖边退,减少挖土机械对刚挖出土面的扰动。当挖到坑底时,应在基坑设计底面以上保留200mm~300mm土层,由人工挖除应在基坑设计底面以上保留200mm~300mm土层,由人工挖除。
7.3.12 基坑开挖至设计标高并经验收合格后,应立即进行垫层施工,防止暴晒和雨水浸泡造成地基土破坏。
7.3.13 在软土地区地面堆土时应均衡进行,堆土量不应超过地基承载力特征值。不应危及在建和既有建筑物的安全。
7.3.14 当地下连续墙作为永久结构一部分时,其施工应符合下列规定:
1 应进行二次清槽或采用槽底注浆等方法,确保沉渣满足要求;
2 应采用抗渗性能强的墙幅间的接头形式,或在接头的内侧或外侧增设抗渗措施;
3 与板、柱、梁、内衬墙等的连接可采用预埋钢筋、钢板和钢筋接驳器等形式。
7.3.15 在软弱地基上采用逆作法施工时,应采取措施保证施工期间受力桩及桩上钢构架柱的垂直度和平面位置精度。
7.3.16 当用于基坑支护的钢板桩需回收时,应逐根拔除,并应及时用土将拔桩留下的孔洞回填密实。
条文说明
7.3 基坑开挖
7.3.1 基坑开挖是否要支护视具体情况而定,各地区差异很大,即使同一地区也不尽相同,本条所列三种情况应予以重视。由于支护属临时性措施,因此在保证安全的前提下还应考虑经济性。
采用自然放坡一定要谨慎,作稳定性分析时,土的物理力学指标的选用必须符合实际。需要指出的是土的力学指标对含水量的变化非常敏感,虽然计算得十分安全,往往一场大雨之后严重的塌方就发生了。施工时一定要考虑好应急措施。
7.3.2 我国地域辽阔,基坑支护方法很多。作为一种临时性的支护结构,应充分考虑土质、结构特点以及地区,因地制宜进行支护设计。
7.3.3 基坑及周边环境的沉降及水平位移的允许值、报警值的确定因要求不同而不同,应结合环境条件和特殊要求并结合地区工程经验。
7.3.4 坑内排水可设排水沟和集水坑,由水泵排出基坑。在严寒地区冬期施工要做好保温措施,由于季节变化易出现基础板底面与地基脱开。
7.3.6 由于施工场地狭小,常常发生坑边堆载超过设计规定的现象,因此,在施工过程中必须严格控制。
7.3.12 防止雨水浸泡地基是避免地基性状改变的基本条件。对膨胀土和湿陷性严重的地基尤显其重要性。基坑开挖完成并经验收合格后,应立即进行垫层施工,防止暴晒和雨水浸泡造成地基土破坏。
7.4 筏形与箱形基础施工
7.4.1 筏形与箱形基础的施工应符合现行国家标准《混凝土结构工程施工及验收规范》GB 50204的有关规定。
7.4.2 当筏形与箱形基础的长度超过40m时,应设置永久性的沉降缝和温度收缩缝。当不设置永久性的沉降缝和温度收缩缝时,应采取设置沉降后浇带、温度后浇带、诱导缝或用微膨胀混凝土、纤维混凝土浇筑基础等措施。
7.4.3 后浇带的宽度不宜小于800mm,在后浇带处,钢筋应贯通。后浇带两侧应采用钢筋支架和钢丝网隔断,保持带内的清洁.防止钢筋锈蚀或被压弯、踩弯。并应保证后浇带两侧混凝土的浇注质量。
7.4.4 后浇带浇筑混凝土前,应将缝内的杂物清理干净。做好钢筋的除锈工作并将两侧混凝土凿毛,涂刷界面剂。后浇带混凝土应采用微膨胀混凝土,且强度等级应比原结构混凝土强度等级增大一级。
7.4.5 沉降后浇带混凝土浇筑之前。其两侧宜设置临时支护,并应限制施工荷载,防止混凝土浇筑及拆除模板过程中,支撑松动、移位。
7.4.6 沉降后浇带应在其两侧的差异沉降趋于稳定后再浇筑混凝土。
7.4.7 温度后浇带从设置到浇筑混凝土的时间不宜少于两个月。
7.4.8 后浇带馄凝土浇筑时的环境温度宜低于两侧混凝土浇筑时的环境温度。后浇带混凝土浇筑完毕后,应做好养护工作。
7.4.9 当地下室有防水要求时,地下室后浇带不宜留成直槎,并应做好后浇带与整体基础连接处的防水处理。
7.4.10 桩筏与桩箱基础底板与桩连接的防水做法应符合现行行业标准《建筑桩基技术规范》JGJ 94的规定。
7.4.11 基础混凝土应采用同—品种水泥、掺合料、外加剂和同一配合比。
7.4.12 大体积混凝土施工应符合下列规定:
1 宜采用掺合料和外加剂改善混凝土和易性,减少水泥用量,降低水化热,其用量应通过试验确定。掺合料和外加剂的质量应符合现行国家标准《混凝土质量控制标准》GB 50164的规定;
2 宜连续浇筑。少设施工缝;宜采用斜面式薄层浇捣,利用自然流淌形成斜坡,浇筑时应采取防止混凝土将钢筋推离设计位置的措施;采用分仓浇筑时,相邻仓块浇筑的间隔时间不宜少于14d;
3 宜采用蓄热法或冷却法养护,其内外温差不宜大于25℃;
4 必须进行二次抹面,减少表面收缩裂缝,必要时可在混凝土表层设置钢丝网。
7.4.13 混凝土的泌水宜采用抽水机抽吸或在侧模上设置泌水孔排除。
条文说明
7.4 筏形与箱形基础施工
7.4.2 筏形和箱形基础长度超40m,基础墙体都易发生裂缝(垂直分布),外墙上的裂缝对防水不利,处理费用很高。
7.4.4 后浇带施工做法很多,或事先把钢筋贯通,用钢丝网模隔断,接缝前用人工将混凝土表面凿毛,或直接采用齿口连接拉板网放置在施工缝处模板内侧,待拆模后,表面露出拉板网齿槽,增加新老混凝土之间的咬接,或钢筋也有事先不贯通的,先在缝的两侧伸出受力钢筋,但不相连,而在基础混凝土浇筑三至四星期之后再将伸出的钢筋等强焊接。
7.4.9 差异沉降容易造成基础板开裂,对于有防水要求的基础,后浇带的防水处理要考虑这一因素,施工缝与后浇带的防水处理要与整片基础同时做好,不要在此处断缝,并要采取必要的保护措施,防止施工时损坏。
7.4.11 混凝土外加剂与掺合料的应用技术性很强,应通过试验。
7.4.12 大体积混凝土的养护以前多采用冷却法,而目前蓄热养护法正被许多工程人员所接受,效果也很理想。
二次抹面工作很重要。应及时进行,否则一旦泥水混入则难以处理,二次抹面不但具有补强效果,而且对防渗也有很大作用。
8 检测与监测
8.1 一般规定
8.1.1 高层建筑筏形与箱形基础施工以前应编制检测与监测方案。检测与监测方案应根据建筑场地的地质条件和工程需要确定。方案中应包括工程概况、环境状况、地质条件、检测与监测项目、测点布置、传感器埋设与测试方法、监测项目的设计值和报警值、读数的间隔时间和数据速报制度。
8.1.2 高层建筑筏形与箱形基础应进行沉降观测。重要的、体形复杂的高层建筑,尚应进行地基反力和基础内力的监测。在软土地区或工程需要时,宜进行地基土分层沉降和基坑回弹观测。
8.1.3 地下水位变化对拟建工程或周边环境有较大影响时,应进行地下水位监测。在施工降水和回灌过程中,尚应对各个相关的含水土层进行水位监测。
8.1.4 基坑开挖时,应对支护结构的位移、变形和内力进行监测。
8.1.5 基坑开挖后,应对开挖揭露的地基状况进行检验,当发现与勘察报告和设计文件不一致或遇到异常情况时,应进行处理。
8.1.6 监测与检测数据应真实、完整,测试工作完成后,应提交监测或检测报告。
条文说明
8.1 一般规定
8.1.1 现场监测是指在工程施工及使用过程中对岩土体性状的变化、建筑物内部结构工作状态和使用状态、对相邻建筑和地下设施等周边环境的影响所引起的变化进行的系统的现场观测工作,并视其变化规律和发展趋势。作出预测或预警反应。
现场监测应作出系统的监测方案,监测方案应包括监测目的、监测项目、监测方法等。监测项目和要求随工程地质条件和工程的具体情况确定,难以在规范条文中作出具体的规定。应由设计人员根据工程需要,在设计文件中明确。
8.1.2 由于地基沉降计算方法还不完善,变形参数和经验修正系数不能完全反映地基实际的应力状态和变形特性,因此预估沉降和实际沉降往往有较大出入。为了积累科研数据,提高沉降预测和地基基础设计的水平,本条规定在工程需要时,可进行地基反力、基础内力的测试以及分层沉降观测、基坑回弹观测等特殊项目的监测工作。
8.1.3 近年来。由于地下水引发的工程事故很多,因此本条规定当地下水水位的升降以及施工排水对拟建工程和邻近工程有较大影响时,应进行地下水位的监测,以规避工程风险。
8.2 施工监测
8.2.1 施工过程中心按监测方案对影响区域内的建(构)筑物,道路和地下管线的变形进行监测,监测数据应作为调整施工进度和工艺的依据。
8.2.2 对承受地下水浮力的工程,地下水位的监测应进行至荷载大于浮力并确认建筑物安全时方可停止。
8.2.3 在进行筏形与箱形基础大体积混凝土施工时,应对其表面和内部的温度进行监测。
条文说明
8.2 施工监测
8.2.2 随着地下空间的利用,高层建筑与裙房、深大地下室及地下车库连为一体的工程日益增多,抗浮问题尤为突出。一般情况下,正常使用阶段存在的抗浮问题会受到人们关注,设计人将进行专门的抗浮设计;施工期间存在的抗浮问题,则应该通过施工降排水和地下水位监测解决和控制,但这一点往往被人们所忽视。近年来,因施工期间停止降水,地下水位过早升高而发生的工程问题常有发生。如:某工程设有4层地下室,因场区地下水位较高。采取施工降水措施。但结构施工至±0.000时,施工停止了降水,也未通知设计人。两个月后,发现整个地下室上浮,最大处可达20cm。之后又重新开始降水。并在地下室内施加一定的重量,使地下室下沉至原位。因此施工期间的抗浮问题应该引起重视,同时作好地下水位监测,确保工程安全。
8.2.3 混凝土结构在建设和使用过程中出现不同程度、不同形式的裂缝,这是一个相当普遍的现象,大体积混凝土结构出现裂缝更普遍。在全国调查的高层建筑地下结构中,底板出现裂缝的现象占调查总数的20%左右,地下室的外墙混凝土出现裂缝的现象占调查总数的80%左右。据裂缝原因分析。属于由变形(温度、湿度、地基沉降)引起的约占80%以上,属于荷载引起的约占20%左右。为避免大体积混凝土工程在浇筑过程中,由于水泥水化热引起的混凝土内部温度和温度应力的剧烈变化,从而导致混凝土发生裂缝。需对混凝土表面和内部的温度进行监测,采取有效措施控制混凝土浇筑块体因水化热引起的升温速度、混凝土浇筑块体的内外温差及降温速度,防止混凝土出现有害的温度裂缝(包括混凝土收缩)。
8.3 基坑检验
8.3.1 基坑检验应包括下列内容:
1 核对基坑的位置、平面尺寸、坑底标高是否与勘察和设计文件一致;
2 核对基坑侧面和基坑底的土质及地下水状况是否与勘察报告一致;
3 检查是否有洞穴、古墓、古井、暗沟、防空掩体及地下埋设物、并查清其位置、深度、性状;
4 检查基坑底土是否受到施工的扰动及扰动的范围和深度;
5 冬、雨期施工时应检查基坑底土是否受冻,是否受浸泡、冲刷或干裂等,并应查明受影响的范围和深度;对开挖完成后未能立即浇筑混凝土基坑,应检查基坑底的保护措施;
6 对地基土,可采用轻型圆锥动力触探进行检验;轻型圆锥动力触探的规格及操作应符合现行国家标准《岩土工程勘察规范》GB 50021的规定;
7 基坑检验尚应符合现行国家标准《建筑地基基础工程施工质量验收规范》GB 50202的有关规定。
8.3.2 对经过处理的地基,应检验地基处理的质量是否符合设计要求。
8.3.3 对桩筏与桩箱基础,基坑开挖后。应检验桩的位置、桩顶标高、桩头混凝土质量及预留插入底板的钢筋长度是否符合设计要求。
8.3.4 应根据基坑检验发现的问题,提出关于设计和施工的处理意见。
8.3.5 当现场检验结果与勘察报告有较大差异时,应进行补充勘察。
条文说明
8.3 基坑检验
8.3.1 本条规定的基坑与基槽开挖后应检验的内容,是对几十年来工程实践,特别是北京地区工程实践经验的总结。关于钎探(本规范改为轻型圆锥动力触探),北京市建设工程质量监督总站及北京市勘察设计管理处曾于1987年6月18日联合发文[市质监总站质字(87)第35号、市设管处管字(87)第1号],规定“钎探钎锤一律按《工业与民用建筑地基基础设计规范》附录四之二,轻便触探器穿心锤的质量10kg。钎探杆直径Φ25焊上圆锥头,净长度1.5m~1.8m,上部穿心锤自由净落距离等于500mm”。因此,标准的钎探与轻型圆锥动力触探意义相同,本条条文作了相应的规定。
8.3.4 基坑检验过程中当发现洞穴、古墓、古井、暗沟、防空掩体及地下埋没物,或槽底土质受到施工的扰动、受冻、浸泡和冲刷、干裂等,应在现场提出对设计和施工处理的建议。
8.4 建筑物沉降观测
8.4.1 建筑物沉降观测应设置永久性高程基准点,每个场地永久性高程基准点的数量不得少于3个。高程基准点应设置在变形影响范围以外,高程基准点的标石应埋设在基岩或稳定的地层中,并应保证在观测期间高程基准点的标高不发生变动。
8.4.2 沉降观测点的布设,应根据建筑物体形、结构特点、工程地质条件等确定。宜在建筑物中心点、角点及周边每隔10m~15m或每隔(2~3)根柱处布设观测点。并应在基础类型、埋深和荷载有明显变化及可能发生差异沉降的两侧布设观测点。
8.4.3 沉降观测的水准测量级别和精度应根据建筑物的重要性、使用要求、环境影响、工程地质条件及预估沉降量等因素按现行行业标准《建筑变形测量规范》JGJ 8有关规定确定。
8.4.4 沉降观测应从完成基础底板施工时开始,在施工和使用期间连续进行长期观测。直至沉降稳定终止。
8.4.5 沉降稳定的控制标准宜按沉降观测期间最后100d的平均沉降速率不大于0.01mm/d采用。
条文说明
8.4 建筑物沉降观测
8.4.1 本条重点强调了水准点的埋设要求。目前有些工程在进行建筑物沉降观测时,通常使用浅埋或施工单位设置的普通水准点。由于水准点不稳定,并时常受周围环境和区域沉降的影响,致使建筑物实测沉降较小、甚至出现“上浮”。实际上这种情况所获得的实测沉降数据只是建筑物的相对沉降,不能真实反映建筑物的实际沉降量。因此水准点的埋没质量直接影响建筑物沉降观测的准确性。
8.4.4 高层建筑地下室埋置较深。为获取完整的沉降观测资料,沉降观测应从基础底板浇筑后立即进行埋点观测。由于高层建筑荷载较大,地基压缩层较深,一般地基土固结变形都需要较长的时间。大量实测工程也证明,高层建筑在结构封顶或竣工后,其后期沉降还是较大的。但目前多数建筑物仅在施工期间进行沉降观测,甚至在结构主体封顶或竣工后立刻停止沉降观测。不仅没有了解建筑物竣工后的沉降发展规律,而且也未真正获取建筑物完整的实测沉降数据。建筑物沉降观测工作量不大。经费较低,但确有较高的应用价值。设计单位和建设方即可依据观测结果规避建设风险。也可积累工程经验,为优化类似工程的地基基础设计方案提供可靠依据。
8.4.5 现行行业规范《建筑变形测量规范》JGJ 8规定的稳定标准沉降速率为(1~4)mm/100d,主要是根据北京、上海、天津、济南和西安5个城市的稳定控制指标确定的。其中,北京、上海和济南为1mm/100d;天津为(1~1.7)mm/100d;西安为(2~4)mm/100d。实际应用中,稳定标准应根据不同地区地基土压缩性综合确定。
附录A基床系数载荷试验要点
A.0.1 本试验要点适用于测求弹性地基基床系数。
A.0.2 平板载荷试验应布置在有代表性的地点进行,每个场地不宜少于3组试验,且应布置于基础底面标高处。
A.0.3 载荷试验的试坑直径不应小于承压板直径的3倍。
A.0.4 用于基床系数载荷试验的标准承压板应为圆形,其直径应为0.30m。
A.0.5 试验最大加载量应达到破坏。承压板的安装、加荷分级、观测时间、稳定标准和终止加荷条件等,应符合现行国家标准《建筑地基基础设计规范》GB 50007浅层平板载荷试验要点的要求。A.0.6 根据载荷试验成果分析要求,应绘制p-s曲线,必要时绘制各级荷载下s-t,或s-lgt曲线,根据p-s曲线拐点,结合s-lgt曲线特征,确定比例界限压力。
A.0.7 确定地基土基床系数Ks应符合下列要求:
1 根据标准承压板载荷试验p-s曲线,应按下式计算基准基床系数Kv:
Kv=p/s (A.0.7-1)
式中:p——实测p-s曲线比例界限压力,若p-s曲线无明显直线段,p取极限压力之半(kPa);
s——为相应于该p值的沉降量(m)。
2 根据实际基础尺寸,修正后的地基土基准基床系数Kvl应按下式计算:
黏性土:Kvl=(0.30/b)Kv (A.0.7-2)
砂土:Kvl=[(b+0.30)/2b]2Kv (A.0.7-3)
式中: b——基础底面宽度(m)。
3 根据实际基础形状,修正后的地基基床系数Ksl应按下式计算:
黏性土:Ksl=[Kvl(2l+b)/3l] (A.0.7-4)
砂土:Ksl=Kvl (A.0.7-5)
式中:l——基础底面长度(m)。
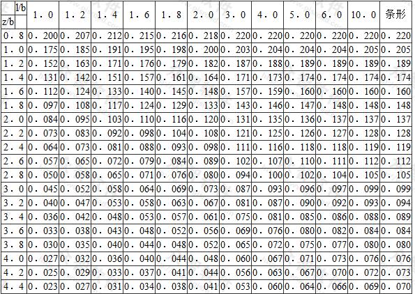
附录B附加应力系数a、平均附加应力系数a
B.0.1 矩形面积上均布荷载下角点的附加应力系数a、平均附加应力系数应按表B.0.11、表B.0.1-2确定。

表B.0.1-1 矩形面积上均布荷载作用下角点附加应力系数a 
续表 B.0.1-1

续B.0.1-1

注:l——矩形均布荷载长度(m);b——矩形均布荷载宽度(m);z——计算点离基础底面或桩端平面垂直距离(m)。
表B.0.1-2 矩形面积上均布荷载作用下角点平均附加应力系数
续表B.0.1-2

续表B.0.1-2

续表B.0.1-2

B.0.2 矩形面积上三角形分布荷载下角点的附加应力系数a、平均附加应力系数应按表B.0.2确定。

B.0.2 矩形面积上三角形分布荷载作用下的附加应力系数a、与平均附加应力系数
续表B.0.2

续表B.0.2

续表B.0.2

续表B.0.2

B.0.3 圆形面积上均布荷载下角点的附加应力系数a、平均附加应力系数应按表B.0.3确定。
表B.0.3 圆形面积上均布荷载作用下中点的附加应力系数a与平均附加应力系数
B.0.4 圆形面积上三角形分布荷载下角点的附加应力系数a、平均附加应力系数应按表B.0.4确定。

r——圆形面积的半径
表B.0.4 圆形面积上三角形分布荷载作用下边点的附加应力系数a与平均附加应力系数
续表B.0.4

附录C按Eo计算沉降时的δ系数
表C δ系数 
注:b——矩形基础的长度与宽度;z——基础底面至该层上底面的距离。
附录D冲切临界截面周长及极惯性矩计算
D.0.1 冲切临界截面的周长um以及冲切临界截面对其重心的极惯性矩Is,应根据柱所处的部位分别按下列公式进行计算:
1 内柱

图 D.0.1-1
um=2c1+2c2 (D.0.1-1)

c1=hc+h0 (D.0.1-3)
c2=bc+h0 (D.0.1-4)
cAB=c1/2 (D.0.1-5)
式中:hc——与弯矩作用方向一致的柱截面的边长(m);
bc——垂直于hc的柱截面边长<m)。
2 边柱
um=2c1+c2 (D.0.1-6)

c1=hc+h0/2 (D.0.1-8)
图 D.0.1-2
c2=bc+h0 (D.0.1-9)
cAB=c1- (D.0.1-10)

式中:——冲切临界截面重心位置(m)。
式(D.0.1-6)~式(D.0.1-11)适用于柱外侧齐筏板边缘的边柱。对外伸式筏板,边柱柱下筏板冲切临界截面的计算模式应根据边柱外侧筏板的悬挑长度和柱子的边长确定。当边柱外侧的悬挑长度小于或等于(h0+0.5bc)时,冲切临界截面可计算至垂直于自由边的板端,计算c1及Is值时应计及边柱外侧的悬挑长度;当边柱外侧筏板的悬挑长度大于(h0+0.5bc)时,边柱柱下筏板冲切临界截面的计算模式同中柱。
3 角柱

图 D.0.1-3
um=c1+c2 (D.0.1-12)

c1=hc+h0/2 (D.0.1-14)
c2=bc+h0/2 (D.0.1-15)
cAB=c1- (D.0.1-16)

式中:——冲切临界截面重心位置(m)。
式(D.0.1-12)~式(D.0.1-17)适用于柱两相邻外侧齐筏板边缘的角柱。对外伸式筏板,角柱柱下筏板冲切临界截面的计算模式应根据角柱外侧筏板的悬挑长度和柱子的边长确定。当角柱两相邻外侧筏撅的悬挑长度分别小于或等于(h0+0.5bc)和(h0+0.5hc)时,冲切临界截面可计算至垂直于自由边的板端,计算c1、c2及Is值应计及角柱外侧筏板的悬挑长度;当角柱两相邻外侧筏板的悬挑长度大于(h0+0.5bc)和(h0+0.5hc)时,角柱柱下筏板冲切临界截面的计算模式同中柱。
