Appearance
《组合结构设计规范[附条文说明]》JGJ 138-2016
🗓️ 住房和城乡建设部 实施时间:2016-12-01
前言
中华人民共和国行业标准
组合结构设计规范
Code for design of composite structures
JGJ 138-2016
批准部门:中华人民共和国住房和城乡建设部
施行日期:2016年12月1日
中华人民共和国住房和城乡建设部公告
第1145号
住房城乡建设部关于发布行业标准《组合结构设计规范》的公告
现批准《组合结构设计规范》为行业标准,编号为JGJ 138-2016,自2016年12月1日起实施。其中,第3.1.5、3.2.3、4.3.8条为强制性条文,必须严格执行。原《型钢混凝土组合结构技术规程》JGJ 138-2001同时废止。
本规范由我部标准定额研究所组织中国建筑工业出版社出版发行。
中华人民共和国住房和城乡建设部
2016年6月14日
前言
根据原建设部《关于印发<二〇〇四年度工程建设城建、建工行业标准制订、修订计划>的通知》(建标[2004]66号)的要求,规范编制组经广泛调查研究,认真总结工程实践经验,参考国际标准和国外先进标准,并在广泛征求意见的基础上,修订了《型钢混凝土组合结构技术规程》JGJ 138-2001。
本规范的主要技术内容是:1.总则;2.术语和符号;3.材料;4.结构设计基本规定;5.型钢混凝土框架梁和转换梁;6.型钢混凝土框架柱和转换柱;7.矩形钢管混凝土框架柱和转换柱;8.圆形钢管混凝土框架柱和转换柱;9.型钢混凝土剪力墙;10.钢板混凝土剪力墙;11.带钢斜撑混凝土剪力墙;12.钢与混凝土组合梁;13.组合楼板;14.连接构造。
本规范修订的主要技术内容是:1.增加了组合结构房屋最大适用高度的规定;2.补充了型钢混凝土框架柱的设计和构造规定;3.补充了型钢混凝土转换梁和转换柱的设计和构造规定;4.增加了矩形钢管混凝土柱、圆形钢管混凝土柱的设计和构造规定;5.增加了型钢混凝土剪力墙、钢板混凝土剪力墙、带钢斜撑混凝土剪力墙的设计和构造规定;6.增加了各类组合柱柱脚的设计和构造规定;7.增加了钢与混凝土组合梁的设计和构造规定;8.增加了钢与混凝土组合楼板的设计和构造规定。
本规范中以黑体字标志的条文为强制性条文,必须严格执行。
本规范由住房和城乡建设部负责管理和对强制性条文的解释,由中国建筑科学研究院负责具体技术内容的解释,执行过程中如有意见和建议,请寄送中国建筑科学研究院(地址:北京市北三环东路30号,邮编:100013)。
本规范主编单位 :中国建筑科学研究院
本规范参编单位 :西安建筑科技大学
西南交通大学建筑勘察设计研究院
华南理工大学建筑学院
华东建筑设计研究院有限公司
大连市建筑设计研究院有限公司
同济大学
清华大学
中冶集团建筑研究总院
中建一局发展公司
本规范主要起草人员 :孙慧中 王翠坤 姜维山 王祖华 赵世春 汪大绥 王立长 吕西林 肖从真 聂建国 白力更 包联进 陈才华 高华杰
本规范主要审查人员 :柯长华 钱稼茹 傅学怡 窦南华 任庆英 周建龙 娄宇 左江 丁洁民 陈星
1 总则
1 总 则
1.0.1 为在建筑工程中合理应用钢与混凝土组合结构,做到安全适用、技术先进、经济合理、方便施工,制定本规范。
条文说明
1.0.1 随着我国高层建筑的迅速发展,钢与混凝土组合结构得到了广泛应用,也积累了很多工程经验和研究成果。 本规范在《型钢混凝土组合结构技术规程》JGJ 138-2001的基础上,对原条款进行了补充修订,并增加了有关组合结构构件的设计内容,包括矩形钢管混凝土柱、圆形钢管混凝土柱、钢板混凝土剪力墙、带钢斜撑混凝土剪力墙、钢与混凝土组合梁、组合楼板的设计规定。
1.0.2 本规范适用于非地震区和抗震设防烈度为6度至9度地震区的高层建筑、多层建筑和一般构筑物的钢与混凝土组合结构的设计。
1.0.3 组合结构的设计,除应符合本规范的规定外,尚应符合国家现行有关标准的规定。
条文说明
1.0.2、1.0.3 组合结构是钢与混凝土组合成的一种独立的结构形式。由于受力截面除了钢筋混凝土外,型钢(钢管、钢板)以其固有的强度和延性与钢筋、混凝土三位一体地工作,使组合结构具备了比传统的钢筋混凝土结构承载力大、刚度大、抗震性能好的优点;而与钢结构相比,具有防火性能好,结构局部和整体稳定性好,节省钢材的优点。有针对性地推广应用此类结构,对促进我国高层建筑以及多层建筑的发展、提高结构整体抗震性能、增加结构使用空间都具有极其重要的意义。 本规范针对组合结构构件的适用范围、设计方法、构造措施作出规定,规范适用于非地震区和设防烈度为6度至9度地震区的高层建筑以及多层建筑的钢与混凝土组合结构的设计。
2 术语和符号
2.1 术语
2 术语和符号
2.1 术 语
2.1.1 组合结构构件 composite structure members
由型钢、钢管或钢板与钢筋混凝土组合能整体受力的结构构件。
2.1.2 组合结构 composite structures
由组合结构构件组成的结构,以及由组合结构构件与钢构件、钢筋混凝土构件组成的结构。
2.1.3 型钢混凝土框架梁 steel reinforced concrete frame beams
钢筋混凝土截面内配置型钢的框架梁。
2.1.4 型钢混凝土转换梁 steel reinforced concrete transfer beams
承托上部楼层墙或柱,实现上部楼层到下部楼层结构形式转变或结构布置改变的型钢混凝土梁;部分框支剪力墙结构的转换梁亦称框支梁。
2.1.5 型钢混凝土框架柱 steel reinforced concrete frame col-umns
钢筋混凝土截面内配置型钢的框架柱。
2.1.6 矩形钢管混凝土框架柱 concrete-filled rectangular steel tube frame columns
矩形钢管内填混凝土形成钢管与混凝土共同受力的框架柱。
2.1.7 圆形钢管混凝土框架柱 concrete-filled circular steel tube frame columns
圆形钢管内填混凝土形成钢管与混凝土共同受力的框架柱。
2.1.8 转换柱 transfer columns
承托上部楼层墙或柱,实现上部楼层到下部楼层结构形式转变或结构布置改变的柱。
2.1.9 型钢混凝土剪力墙 steel concrete composite shear walls
钢筋混凝土剪力墙的边缘构件中配置实腹型钢的剪力墙。
2.1.10 钢板混凝土剪力墙 steel plate concrete composite shear walls
钢筋混凝土截面内配置钢板和端部型钢的剪力墙。
2.1.11 带钢斜撑混凝土剪力墙 steel concealed bracing con-crete composite shear walls
钢筋混凝土截面内配置型钢斜撑和端部型钢的剪力墙。
2.1.12 钢与混凝土组合梁 steel and concrete composite beams
混凝土翼板与钢梁通过抗剪连接件组合而成能整体受力的梁。
2.1.13 组合楼板 composite slabs
压型钢板上现浇混凝土组成压型钢板与混凝土共同承受载荷的楼板。
条文说明
2.1.1~2.1.13 本节给出了组合结构、组合结构构件、型钢混凝土组合结构构件、矩形钢管混凝土结构构件、圆形钢管混凝土结构构件、钢与混凝土组合梁、组合楼板等术语的含义。
2.2 符号
2.2 符 号
2.2.1 材料性能
E a ——型钢(钢管、钢板)弹性模量;
E c ——混凝土弹性模量;
E s ——钢筋弹性模量;
f a 、f′ a ——型钢(钢管、钢板)抗拉、抗压强度设计值;
f ak 、f′ ak ——型钢(钢管、钢板)抗拉、抗压强度标准值;
f ck 、f c ——混凝土轴心抗压强度标准值、设计值;
f t ——混凝土轴心抗拉强度设计值;
f y 、f′ y ——钢筋抗拉、抗压强度设计值;
f yh ——剪力墙水平分布钢筋抗拉强度设计值;
f yk 、f′ yk ——钢筋抗拉、抗压强度标准值;
f yv ——横向钢筋抗拉强度设计值;
f yw ——剪力墙竖向分布钢筋抗拉强度设计值。
2.2.2 作用和作用效应
M——弯矩设计值;
N——轴向力设计值;
V——剪力设计值;
σ s 、σ′ s ——正截面承载力计算中纵向钢筋的受拉、受压应力;
σ a 、σ′ a ——正截面承载力计算中型钢翼缘的受拉、受压应力;
w max ——最大裂缝宽度。
2.2.3 几何参数
A c 、A a 、A s 、A′ s ——混凝土全截面、型钢全截面、受拉钢筋总截面、受压钢筋总截面的面积;
A af 、A′ af 、A aw 、A sw ——型钢受拉翼缘截面、型钢受压翼缘截面、型钢腹板截面的面积,剪力墙竖向分布钢筋的全部截面面积;
a s 、a′ s ——纵向受拉钢筋合力点、纵向受压钢筋合力点至混凝土截面近边的距离;
a a 、a′ a ——型钢受拉翼缘截面重心、型钢受压翼缘截面重心至混凝土截面近边的距离;
B——型钢混凝土框架梁截面考虑长期作用影响的刚度;
B s ——型钢混凝土框架梁截面短期刚度;
b——混凝土矩形截面宽度;
b f ——型钢翼缘宽度;
c——混凝土保护层厚度;
e——轴向力作用点至纵向受拉钢筋和型钢受拉翼缘合力点之间的距离;对矩形钢管混凝土柱为轴向力作用点至矩形钢管远端钢板厚度中心的距离;
e a ——附加偏心距;
e i ——初始偏心距;
e 0 ——轴向力对截面重心的偏心距;
h——混凝土截面高度;
h a ——型钢截面高度;
h 0 ——型钢受拉翼缘和纵向受拉钢筋合力点至混凝土截面受压边缘的距离;
h 0s 、h 0f ——纵向受拉钢筋、型钢受拉翼缘截面重心到混凝土截面受压边缘的距离;
h w ——型钢腹板高度;
I a ——型钢截面惯性矩;
I c ——混凝土截面惯性矩;
s——箍筋间距;
t f ——型钢翼缘厚度;
t w ——型钢腹板厚度;
x——混凝土受压区高度。
2.2.4 计算系数及其他
k——考虑柱身弯矩分布梯度影响的等效长度系数;
α 1 ——受压区混凝土压应力影响系数;
α E ——钢与混凝土弹性模量之比;
β 1 ——受压区混凝土应力图形影响系数;
β c ——混凝土强度影响系数;
β h ——柱脚计算中有关冲切截面高度的影响系数;
β r ——带边框型钢混凝土剪力墙,周边柱对混凝土墙体的约束系数;
θ——圆钢管混凝土的套箍指标;
ξ——混凝土相对受压区高度;
ρ s 、ρ′ s ——纵向受拉钢筋、受压钢筋配筋率;
ρ sv ——箍筋面积配筋率;
ρ v ——箍筋体积配筋率;
φ e ——考虑偏心率影响的承载力折减系数;
φ l ——考虑长细比影响的承载力折减系数;
w——剪力墙竖向分布钢筋配置范围h sw 与截面有效高度h w0 的比值。
条文说明
2.2.1~2.2.4 符号是根据现行国家标准《工程结构设计基本术语标准》GB/T 50083的规定制定的。
3 材料
3.1 钢材
3 材 料
3.1 钢 材
3.1.1 组合结构构件中钢材宜采用Q345、Q390、Q420低合金高强度结构钢及Q235碳素结构钢,质量等级不宜低于B级,且应分别符合现行国家标准《低合金高强度结构钢》GB/T 1591和《碳素结构钢》GB/T 700的规定。当采用较厚的钢板时,可选用材质、材性符合现行国家标准《建筑结构用钢板》GB/T 19879的各牌号钢板,其质量等级不宜低于B级。当采用其他牌号的钢材时,尚应符合国家现行有关标准的规定。
条文说明
3.1.1 组合结构构件中钢材的选用标准,是依据现行国家标准《钢结构设计规范》GB 50017、《碳素结构钢》GB/T 700和《低合金高强度结构钢》GB/T 1591规定的。组合结构构件中的钢材性能应与钢结构对钢材性能的规定相同。
3.1.2 钢材应具有屈服强度、抗拉强度、伸长率、冲击韧性和硫、磷含量的合格保证,对焊接结构尚应具有碳含量的合格保证及冷弯试验的合格保证。
条文说明
3.1.2 组合结构构件中的钢材是截面的主要承重部分,钢材性能应符合屈服强度、抗拉强度、伸长率、冲击韧性和硫、磷含量的合格保证。为了保证钢材的可焊性,焊接结构的碳含量和冷弯性能应具有合格保证。
3.1.3 钢材宜采用镇静钢。
条文说明
3.1.3 沸腾钢含氧量较高,内部组织不够致密,硫、磷偏析大,冲击韧性较低,冷脆和时效倾向大,为此规范规定钢材宜采用镇静钢。
3.1.4 钢板厚度大于或等于40mm,且承受沿板厚方向拉力的焊接连接板件,钢板厚度方向截面收缩率,不应小于现行国家标准《厚度方向性能钢板》GB/T 5313中Z15级规定的容许值。
条文说明
3.1.4 厚钢板存在各向异性,Z轴向性能指标较差,对采用厚度大于或等于40mm的钢板,应符合现行国家标准《厚度方向性能钢板》GB/T 5313中有关Z15级的断面收缩率指标的规定,它相当于硫含量不超过0.01%。
3.1.5 考虑地震作用的组合结构构件的钢材应符合国家标准《建筑抗震设计规范》GB 50011-2010第3.9.2条的有关规定。 ( 自2022年1月1日起废止该条,详见新规 《组合结构通用规范》 GB55004-2021)
条文说明
3.1.5 地震区钢材应具有较好的延性,其性能应符合现行国家标准《建筑抗震设计规范》GB 50011的相关规定。钢材的极限抗拉强度是决定结构安全储备的关键,因此与屈服强度不能太接近,屈强比不应大于0.85;同时钢材应有明显的屈服台阶、伸长率应大于20%,以保证构件具有足够的塑性变形能力。
3.1.6 钢材强度指标应按表3.1.6-1、表3.1.6-2采用。
表3.1.6-1 钢材强度指标(N/mm 2 )


表3.1.6-2 冷弯成型矩形钢管强度设计值(N/mm 2 )

3.1.7 钢材物理性能指标应按表3.1.7采用。
表3.1.7 钢材物理性能指标

注:压型钢板采用冷轧钢板时,弹性模量取1.90×10 5 。
条文说明
3.1.6、3.1.7 钢材强度指标和物理性能指标应按现行国家标准《钢结构设计规范》GB 50017的规定取用。
3.1.8 压型钢板质量应符合现行国家标准《建筑用压型钢板》GB/T 12755的规定,压型钢板的基板应选用热浸镀锌钢板,不宜选用镀铝锌板。镀锌层应符合现行国家标准《连续热镀锌薄钢板及钢带》GB/T 2518的规定。
3.1.9 压型钢板宜采用符合现行国家标准《连续热镀锌薄钢板及钢带》GB/T 2518规定的S250(S250GD+Z、S250GD+ZF)、S350(S350GD+Z、S350GD+ZF)、S550(S550GD+Z、S550GD+ZF)牌号的结构用钢,其强度标准值、设计值应按表3.1.9的规定采用。
表3.1.9 压型钢板强度标准值、设计值(N/mm 2 )

条文说明
3.1.8、3.1.9 现行国家标准《连续热镀锌薄钢板及钢带》GB/T 2518不仅给出了钢板热镀锌技术条件,还给出了镀锌钢板牌号,本规范推荐目前工程中常用的S250(S250GD+Z、S250GD+ZF),S350(S350GD+Z、S350GD+ZF),S550(S550GD+Z、S550GD+ZF)牌号钢作为压型钢板的基板。表3.1.9中给出的压型钢板强度标准值和设计值,是以公称屈服强度为抗拉强度标准值,材料分项系数取1.2,得到抗拉强度设计值。对强屈比小于1.15的S550级的钢材,抗拉强度标准值取抗拉极限强度的85%。
3.1.10 钢材的焊接材料应符合下列规定:
1 手工焊接用焊条应与主体金属力学性能相适应,且应符合现行国家标准《非合金钢及细晶粒钢焊条》GB/T 5117、《热强钢焊条》GB/T 5118的规定。
2 自动焊接或半自动焊接采用的焊丝和焊剂,应与主体金 属力学性能相适应,且应符合现行国家标准《埋弧焊用碳钢焊丝和焊剂》GB/T 5293、《埋弧焊用低合金钢焊丝和焊剂》GB/T 12470、《气体保护电弧焊用碳钢、低合金钢焊丝》GB/T 8110的规定。
3.1.11 焊缝质量等级应符合现行国家标准《钢结构工程施工质量验收规范》GB 50205的规定,焊缝强度设计值应按表3.1.11的规定采用。
表3.1.11 焊缝强度设计值(N/mm 2 )


注:1 表中所列一级、二级、三级指焊缝质量等级;
2 括号中的数值用于冷成型薄壁型钢。
条文说明
3.1.10、3.1.11 对钢材的焊接用焊条、焊丝和焊剂的质量要求作出规定,焊缝强度设计值按现行国家标准《钢结构设计规范》GB 50017的规定取用。
3.1.12 钢构件连接使用的螺栓、锚栓材料应符合下列规定:
1 普通螺栓应符合现行国家标准《六角头螺栓》GB/T 5782和《六角头螺栓-C级》GB/T 5780的规定;A、B级螺栓孔的精度和孔壁表面粗糙度,C级螺栓孔的允许偏差和孔壁表面粗糙度,均应符合现行国家标准《钢结构工程施工质量验收规范》GB 50205的规定。
2 高强度螺栓应符合现行国家标准《钢结构用高强度大六角头螺栓》GB/T 1228、《钢结构用高强度大六角头螺母》GB/T 1229、《钢结构用高强度垫圈》GB/T 1230、《钢结构用高强度大六角头螺栓、大六角螺母、垫圈技术条件》GB/T 1231或《钢结构用扭剪型高强度螺栓连接副》GB/T 3632的规定。
3 普通螺栓连接的强度设计值应按表3.1.12-1采用;高强度螺栓连接的钢材摩擦面抗滑移系数值应按表3.1.12-2采用;高强度螺栓连接的设计预拉力应按表3.1.12-3采用。
4 锚栓可采用符合现行国家标准《碳素结构钢》GB/T 700、《低合金高强度结构钢》GB/T 1591规定的Q235钢、Q345钢。
表3.1.12-1 螺栓连接的强度设计值(N/mm 2 )

注:1 A级螺栓用于d≤24mm和l≤10d或l≤150mm(按较小值)的螺栓;B级螺栓用于d>24mm或l>10d或l>150mm(按较小值)的螺栓。d为公称直径,l为螺杆公称长度。
2 表中带括号的数值用于冷成型薄壁型钢。
表3.1.12-2 摩擦面的抗滑移系数

表3.1.12-3 一个高强度螺栓的预拉力(kN)

条文说明
3.1.12 对钢构件使用的普通螺栓、高强螺栓、锚栓的材料及强度设计值作出规定。
3.1.13 栓钉应符合现行国家标准《电弧螺柱焊用圆柱头焊钉》GB/T 10433的规定,其材料及力学性能应符合表3.1.13规定。
表3.1.13 栓钉材料及力学性能

条文说明
3.1.13 在型钢混凝土组合结构构件中,采用作为抗剪连接件的栓钉,应该是符合现行国家标准《电弧螺柱焊用圆柱头焊钉》GB/T 10433规定的合格产品,不得用短钢筋代替栓钉。栓钉的力学性能指标不应低于表3.1.13规定。
3.1.14 一个圆柱头栓钉的抗剪承载力设计值应符合下式规定:

式中:N c v ——栓钉的抗剪承载力设计值;
E c ——混凝土弹性模量;
f c ——混凝土受压强度设计值;
A s ——圆柱头栓钉钉杆截面面积;
f at ——圆柱头栓钉极限抗拉强度设计值,其值取为360N/mm 2 。
条文说明
3.1.14 一个栓钉的抗剪承载力设计值计算公式取自现行国家标准《钢结构设计规范》GB 50017,圆柱头栓钉极限抗拉强度设计值取为360kN/mm2。
3.2 钢筋
3.2 钢 筋
3.2.1 纵向受力钢筋宜采用HRB400、HRB500、HRB335热轧钢筋;箍筋宜采用HRB400、HRB335、HPB300、HRB500,其强度标准值、设计值应按表3.2.1的规定采用。
表3.2.1 钢筋强度标准值、设计值(N/mm 2 )

注:1 当采用直径大于40mm的钢筋时,应有可靠的工程经验;
2 用作受剪、受扭、受冲切承载力计算的箍筋,其强度设计值f yv 应按表中f y 数值取用,且其数值不应大于360N/mm 2 。
3.2.2 钢筋弹性模量E s 应按表3.2.2采用。
表3.2.2 钢筋弹性模量(×10 5 N/mm 2 )

条文说明
3.2.1、3.2.2 组合结构构件中配置的纵向钢筋宜采用具有较好延性和可焊性的HRB400、HRB500、HRB335热轧带肋钢筋;箍筋宜采用HRB400、HRB335、HRB500热轧带肋钢筋或HPB300光圆热轧钢筋。
3.2.3 抗震等级为一、二、三级的框架和斜撑构件,其纵向受力钢筋应符合国家标准《混凝土结构设计规范》GB 50010-2010第11.2.3条的有关规定。 ( 自2022年1月1日起废止该条,详见新规 《组合结构通用规范》 GB55004-2021)
条文说明
3.2.3 抗震等级一、二、三级的框架和斜撑构件,其纵向受力钢筋应满足现行国家标准《混凝土结构设计规范》GB 50010对抗震设计时材料的相关规定。纵向受力钢筋的抗拉强度实测值与屈服强度实测值的比值不应小于1.25,是为了保证构件某部位出现塑性铰以后,塑性铰处的钢筋能提供足够的转动能力和耗能能力。基于设计中“强柱弱梁”“强剪弱弯”的设计概念都以钢筋的强度设计值为基础进行内力调整,所以还规定钢筋屈服强度实测值与屈服强度标准值的比值不应大于1.30。钢筋最大拉力下的总伸长率实测值不应小于9%的规定是为了保证结构构件具有足够的延性性能。
3.3 混凝土
3.3 混凝土
3.3.1 型钢混凝土结构构件采用的混凝土强度等级不宜低于C30;有抗震设防要求时,剪力墙不宜超过C60;其他构件,设防烈度9度时不宜超过C60;8度时不宜超过C70。钢管中的混凝土强度等级,对Q235钢管,不宜低于C40;对Q345钢管,不宜低于C50;对Q390、Q420钢管,不应低于C50。组合楼板用的混凝土强度等级不应低于C20。
3.3.2 混凝土轴心抗压强度标准值f ck 、轴心抗拉强度标准值f tk 应按表3.3.2-1的规定采用;轴心抗压强度设计值f c 、轴心抗拉强度设计值f t 应按表3.3.2-2的规定采用。
表3.3.2-1 混凝土强度标准值(N/mm 2 )

表3.3.2-2 混凝土强度设计值(N/mm 2 )

3.3.3 混凝土受压和受拉弹性模量E c 应按表3.3.3的规定采用,混凝土的剪切变形模量可按相应弹性模量值的0.4倍采用,混凝土泊松比可按0.2采用。
表3.3.3 混凝土弹性模量(×10 4 N/mm 2 )

条文说明
3.3.1~3.3.3 为了充分发挥组合结构构件中钢材的作用和保证构件在地震作用下,有必要的承载力和延性,混凝土强度等级不宜过低,本规范规定了型钢混凝土结构构件的混凝土强度等级不宜低于C30。基于高强混凝土的脆性以及目前对强度在C70以上的混凝土的组合结构构件性能研究不够,因此设防烈度8度时不宜超过C70,设防烈度9度时不宜超过C60;对剪力墙,考虑到大面积墙体,高强度混凝土的收缩、脆性易带来墙体裂缝,规范规定不宜超过C60。钢管混凝土结构构件给出了不同钢号的钢管对应的混凝土强度规定。组合楼板中混凝土强度等级不应低于C20。
3.3.4 型钢混凝土组合结构构件的混凝土最大骨料直径宜小于型钢外侧混凝土保护层厚度的1/3,且不宜大于25mm。对浇筑难度较大或复杂节点部位,宜采用骨料更小,流动性更强的高性能混凝土。钢管混凝土构件中混凝土最大骨料直径不宜大于25mm。
条文说明
3.3.4 为便于混凝土的浇筑,需对混凝土最大骨科直径加以限制。
4 结构设计基本规定
4.1 一般规定
4 结构设计基本规定
4.1 一般规定
4.1.1 组合结构构件可用于框架结构、框架-剪力墙结构、部分框支剪力墙结构、框架-核心筒结构、筒中筒结构等结构体系。
条文说明
4.1.1 钢与混凝土组合结构构件的结构基本性能试验研究表明,组合结构构件相比于钢筋混凝土结构构件具有承载力大、延性性能好、刚度大的特点。目前,国内高层建筑中大量采用组合结构构件,尤其是由型钢(钢管)混凝土柱和钢梁形成的外框架(外筒)与钢筋混凝土核心筒组成的框架-核心筒、筒中筒结构体系,更显示了其固有的优良结构特性,提高了结构抗震性能,增加了使用面积,满足了工程的需要。
4.1.2 各类结构体系中,可整个结构体系采用组合结构构件,也可采用组合结构构件与钢结构、钢筋混凝土结构构件同时使用。
条文说明
4.1.2 在多、高层建筑的各种体系中,型钢混凝土结构构件可以与钢筋混凝土结构构件组合,也可与钢结构构件组合,不同结构发挥其自身特点。在组合结构设计中主要应处理好不同结构形式的连接节点,以及沿高度改变结构类型带来的承载力和刚度的突变。
4.1.3 考虑地震作用组合的各类结构体系中的框架柱,沿房屋高度宜采用同类结构构件。当采用不同类型结构构件时,应设置过渡层,并应符合本规范有关柱与柱连接构造的规定。
条文说明
4.1.3 对房屋的下部分采用型钢混凝土,上部分采用钢筋混凝土的框架柱,日本的阪神地震震害表明,凡是刚度和强度突变处容易发生破坏,因此,本规范规定考虑地震作用组合的各类结构体系中的框架柱沿房屋高度宜采用同类结构构件。当采用不同类型结构构件时,应设置过渡层。
4.1.4 各类结构体系中的楼盖结构应具有良好的水平刚度和整体性,其楼面宜采用组合楼板或现浇钢筋混凝土楼板;采用组合楼板时,对转换层、加强层以及有大开洞楼层,宜增加组合楼板的有效厚度或采用现浇钢筋混凝土楼板。
条文说明
4.1.4 各类结构体系中楼盖结构的水平刚度和整体性对结构形成整体抗侧能力十分重要。当楼面采用压型钢板组合楼板时,对受力特殊的楼层,如转换层、加强层以及开大洞楼层等,设计中宜采取加强措施。
4.2 结构体系及结构构件类型
4.2 结构体系及结构构件类型
4.2.1 型钢混凝土柱内埋置的型钢,宜采用实腹式焊接型钢(图4.2.1a、b、c);对于型钢混凝土巨型柱,其型钢宜采用多个焊接型钢通过钢板连接成整体的实腹式焊接型钢(图4.2.1d)。

图4.2.1 型钢混凝土柱的型钢截面配筋形式
条文说明
4.2.1 试验表明,配置实腹式型钢的型钢混凝土柱具有良好的变形性能和耗能能力;而配置空腹式型钢的型钢混凝土柱的试验研究及震害调查都表明其变形性能和抗剪性能相对较差,为此规范规定宜采用实腹式焊接型钢。对于型钢混凝土巨柱,根据结合工程进行的型钢分散配置、相互间不设连接板和设置连接板的型钢混凝土巨型柱对比试验结果,为保证其整体承载力和延性性能,防止由于薄弱面引起竖向裂缝产生,规范强调型钢混凝土巨型柱宜采用由多个焊接型钢通过钢板连接成整体的实腹式焊接型钢。
4.2.2 型钢混凝土梁的型钢,宜采用充满型实腹型钢,其型钢的一侧翼缘宜位于受压区,另一侧翼缘应位于受拉区(图4.2.2)。

图4.2.2 型钢混凝土梁的型钢截面配筋形式
条文说明
4.2.2 为提高型钢混凝土梁的承载力和刚度,型钢混凝土框架梁内的型钢配置,宜采用充满型实腹型钢。充满型实腹型钢,是指型钢上翼缘处于截面受压区,下翼缘处于截面受拉区,即设计中应考虑在符合型钢混凝土保护层规定和便于施工的前提下,型钢的上翼缘和下翼缘尽量靠近混凝土截面的近边。当梁截面高度较高时,可采用内配桁架式型钢的型钢混凝土梁。
4.2.3 矩形钢管混凝土柱的矩形钢管,可采用热轧钢板焊接成型的钢管,也可采用热轧成型钢管或冷成型的直缝焊接钢管。
4.2.4 圆形钢管混凝土柱的圆形 钢管,宜采用直焊缝钢管或无缝钢管,也可采用螺旋焊缝钢管,不宜选用输送流体用的螺旋焊管。
条文说明
4.2.3、4.2.4 根据钢管成型方式不同分为不同类型的钢管,在工程中常用的是热轧钢板焊接成型的矩形钢管和直缝焊接圆形钢管,对于螺旋焊接圆形钢管应由专业生产厂加工制造。
4.2.5 钢与混凝土组合剪力墙可采用型钢混凝土剪力墙(图4.2.5a)、钢板混凝土剪力墙(图4.2.5b)、带钢斜撑混凝土剪力墙(图4.2.5c)以及有端柱或带边框型钢混凝土剪力墙(图4.2.5d)。

图4.2.5 钢与混凝土组合剪力墙截面形式
条文说明
4.2.5 为提高剪力墙的承载力和延性,在剪力墙两端的边缘构件中配置型钢组成型钢混凝土剪力墙以及有端柱或带边框型钢混凝土剪力墙。近年来,为满足高层建筑设计要求,经试验研究提出了在剪力墙中除边缘构件设置型钢外,墙体中增设了钢板或型钢斜撑。试验表明,此类剪力墙可有效地提高剪力墙的抗侧力能力和延性,减小墙体厚度,增加使用空间。
4.2.6 钢与混凝土组合梁的翼板可采用现浇混凝土板、混凝土叠合板或压型钢板混凝土组合板(图4.2.6)。

图4.2.6 钢与混凝土组合梁
1-预制板
条文说明
4.2.6 由混凝土翼板与钢梁组合成的组合梁可有效提高梁的承载力和刚度。
4.2.7 钢与混凝土组合楼板中的压型钢板可采用开口型压型钢板、缩口型压型钢板和闭口型压型钢板(图4.2.7)。

图4.2.7 钢与混凝土组合楼板中压型钢板的形式
条文说明
4.2.7 规范给出了组合楼板中常用的压型钢板形式。
4.3 设计计算原则
4.3 设计计算原则
4.3.1 钢与混凝土组合结构多、高层建筑,其结构地震作用或风荷载作用组合下的内力和位移计算、水平位移限值、舒适度要求、结构整体稳定验算,以及结构抗震性能化设计、抗连续倒塌设计等,应符合国家现行标准《建筑结构荷载规范》GB 50009、《建筑抗震设计规范》GB 50011、 《混凝土结构设计规范》GB 50010、《高层建筑混凝土结构技术规程》JGJ 3等的相关规定。
条文说明
4.3.1 钢与混凝土组合结构多、高层建筑的设计计算,除了基本的内力、位移计算外,尚应进行稳定性验算和风荷载作用组合下的舒适度验算,必要时进行风洞试验;对于超高和复杂建筑,还应进行结构抗震性能设计、抗连续倒塌设计;以上设计验算均应符合国家现行标准的相关规定。
4.3.2 组合结构构件应按承载能力极限状态和正常使用极限状态进行设计。
条文说明
4.3.2 组合结构构件的两个极限状态的设计规定,与现行国家标准《混凝土结构设计规范》GB 50010、《建筑抗震设计规范》GB 50011一致。
4.3.3 组合结构构件的承载力设计应符合下列公式的规定:

式中:S——构件内力组合设计值,应按现行国家标准《建筑结构荷载规范》GB 50009、《建筑抗震设计规范》GB 50011的规定进行计算;
γ 0 ——构件的重要性系数,对安全等级为一级的结构构件不应小于1.1,对安全等级为二级的结构构件不应小于1.0;
R——构件承载力设计值;
γ RE ——承载力抗震调整系数,其值应按表4.3.3的规定采用。
表4.3.3 承载力抗震调整系数

注:圆形钢管混凝土偏心受压柱γ RE 取0.8。
条文说明
4.3.3 组合结构构件的承载力设计,应符合现行国家标准《建筑结构荷载规范》GB 50009、《建筑抗震设计规范》GB 50011、《混凝土结构设计规范》GB 50010有关极限状态设计表达式的规定,规范对非抗震设计规定的结构构件重要性系数和抗震设计的承载力抗震调整系数作出规定;组合结构构件系数的取值与钢筋混凝土结构构件一致。
4.3.4 在进行结构内力和变形计算时,型钢混凝土和钢管混凝土组合结构构件的刚度,可按下列规定计算:
1 型钢混凝土结构构件、钢管混凝土结构构件的截面抗弯刚度、轴向刚度和抗剪刚度可按下列公式计算:

式中:EI、EA、GA——构件截面抗弯刚度、轴向刚度、抗剪刚度;
E c I c 、E c A c 、G c A c ——钢筋混凝土部分的截面抗弯刚度、轴向刚度、抗剪刚度;
E a I a 、E a A a 、G a A a ——型钢或钢管部分的截面抗弯刚度、轴向刚度、抗剪刚度。
2 型钢混凝土剪力墙、钢板混凝土剪力墙、带钢斜撑混凝土剪力墙的截面刚度可按下列原则计算:
1)型钢混凝土剪力墙,其截面刚度可近似按相同截面的钢筋混凝土剪力墙计算截面刚度,可不计入端部型钢对截面刚度的提高作用;
2)有端柱型钢混凝土剪力墙,其截面刚度可按端柱中混凝土截面面积加上型钢按弹性模量比折算的等效混凝土面积计算其抗弯刚度和轴向刚度;墙的抗剪刚度可不计入型钢作用;
3)钢板混凝土剪力墙,可把钢板按弹性模量比折算为等效混凝土面积计算其截面刚度;
4)带钢斜撑混凝土剪力墙,可不考虑钢斜撑对其截面刚度的影响。
条文说明
4.3.4 在进行弹性阶段的内力和位移计算中,除了需要钢与混凝土组合结构构件的截面换算弹性抗弯刚度外,在考虑构件的剪切变形、轴向变形时,还需要换算截面剪切刚度和轴向刚度。计算中采用了钢筋混凝土的截面刚度和型钢截面刚度叠加的方法。
4.3.5 采用组合结构构件作为主要抗侧力结构的各种组合结构体系,其房屋最大适用高度应符合表4.3.5的规定。表中框架结构、框架-剪力墙结构中的型钢(钢管)混凝土框架,系指型钢(钢管)混凝土柱与钢梁、型钢混凝土梁或钢筋混凝土梁组成的框架;表中框架-核心筒结构中的型钢(钢管)混凝土框架和筒中筒结构中的型钢(钢管)混凝土外筒,系指结构全高由型钢(钢管)混凝土柱与钢梁或型钢混凝土梁组成的框架、外筒。
表4.3.5 组合结构房屋的最大适用高度(m)


注:1 平面和竖向均不规则的结构,最大适用高度宜适当降低;
2 表中“钢筋混凝土剪力墙”、“钢筋混凝土核心筒”,系指其剪力墙全部是钢筋混凝土剪力墙以及结构局部部位是型钢混凝土剪力墙或钢板混凝土剪力墙。
条文说明
4.3.5 采用组合结构构件作为主要抗侧力结构的框架结构、框架-剪力墙结构、剪力墙结构、部分框支剪力墙结构的最大适用高度与现行行业标准《高层建筑混凝土结构技术规程》JGJ 3中A级高度钢筋混凝土高层建筑的最大适用高度一致。对于型钢(钢管)混凝土框架(框筒)与钢筋混凝土核心筒组成的框架-核心筒结构、筒中筒结构的最大适用高度与现行行业标准《高层建筑混凝土结构技术规程》JGJ 3中的混合结构最大适用高度一致。此体系除了钢筋混凝土核心筒具有较强的抗侧能力外,组合结构的框架自身也具有良好延性,故采用该体系的房屋最大适用高度可比同样体系的A级高度钢筋混凝土高层建筑提高40%~50%,但必须指出此体系中的框架梁应采用钢梁或型钢混凝土梁,框架柱、框筒柱应全高采用型钢(钢管)混凝土柱。
4.3.6 组合结构在多遇地震作用下的结构阻尼比可取为0.04,房屋高度超过200m时,阻尼比可取为0.03;当楼盖梁采用钢筋混凝土梁时,相应结构阻尼比可增加0.01;风荷载作用下楼层位移验算和构件设计时,阻尼比可取为0.02~0.04;结构舒适度验算时的阻尼比可取为0.01~0.02。
条文说明
4.3.6 影响结构阻尼比的因素很多,准确确定结构的阻尼比是一件非常困难的事情。根据工程实测和试验研究结果,抗震设计时,钢结构的阻尼比可取为0.02,钢筋混凝土结构的阻尼比可取为0.05,组合结构的阻尼比介于两者之间,一般取为0.04;房屋高度超过200m的超高层建筑的阻尼比宜适当降低。风荷载作用下楼层位移验算和构件设计时,结构阻尼比取值一般比抗震设计时小,可取为0.02~0.04,舒适度验算时阻尼比可取0.01~0.02。
4.3.7 采用型钢(钢管)混凝土转换柱的部分框支剪力墙结构,在地面以上的框支层层数,设防烈度8度时不宜超过4层,7度时不宜超过6层。
条文说明
4.3.7 根据现行行业标准《高层建筑混凝土结构技术规程》JGJ 3的有关部分框支剪力墙结构不同设防烈度,在地面以上的框支层层数的规定,提出了相应的设计规定。
4.3.8 组合结构构件的抗震设计,应根据设防烈度、结构类型、房屋高度采用不同的抗震等级,并应符合相应的计算和构造措施规定。丙类建筑组合结构构件的抗震等级应按表4.3.8确定。 ( 自2022年1月1日起废止该条,详见新规 《组合结构通用规范》 GB55004-2021)
表4.3.8 组合结构房屋的抗震等级


注:1 建筑场地为Ⅰ类时,除6度外应允许按表内降低一度所对应的抗震等级采取抗震构造措施,但相应的计算要求不应降低;
2 底部带转换层的筒体结构,其转换框架的抗震等级应按表中框支剪力墙结构的规定采用;
3 高度不超过60m的框架-核心筒结构,其抗震等级应允许按框架-剪力墙结构采用;
4 大跨度框架指跨度不小于18m的框架。
条文说明
4.3.8 对于采用组合结构构件的框架结构、框剪结构、剪力墙结构、部分框支剪力墙结构,其抗震等级的规定与国家标准《建筑抗震设计规范》GB 50011-2010第6.1.2条强制性条文、国家标准《混凝土结构设计规范》GB 50010-2010第11.1.3条强制性条文相一致。组合结构钢构件组成的框架-核心筒结构、筒中筒结构的抗震等级的规定与行业标准《高层建筑混凝土结构技术规程》JGJ 3-2010第11.1.4条强制性条文相一致。
4.3.9 多高层组合结构在正常使用条件下,按风荷载或多遇地震标准值作用下,以弹性方法计算的楼层层间最大水平位移与层高的比值,以及结构的薄弱层层间弹塑性位移,应符合国家现行标准《建筑抗震设计规范》GB 50011、《高层建筑混凝土结构技术规程》JGJ 3的规定。
条文说明
4.3.9 考虑到钢与混凝土组合结构的延性和耗能能力的特点已在框架柱的轴压比限值中体现了,因此,对于在正常使用极限状态下,按风荷载或地震作用组合的楼层层间位移、顶点位移的限值不作放松,应符合国家现行标准《建筑抗震设计规范》GB 50011、《高层建筑混凝土结构技术规程》JGJ 3的限值规定。
4.3.10 型钢混凝土梁、钢与混凝土组合梁及组合楼板的最大挠度,应按荷载效应的准永久组合,并考虑荷载长期作用的影响进行计算,其计算值不应超过表4.3.10-1和表4.3.10-2规定的挠度限值。
表4.3.10-1 型钢混凝土梁及组合楼板挠度限值(mm)

注:1 表中l 0 为构件的计算跨度;悬臂构件的l 0 按实际悬臂长度的2倍取用;
2 构件有起拱时,可将计算所得挠度值减去起拱值;
3 表中括号中的数值适用于使用上对挠度有较高要求的构件。
表4.3.10-2 钢与混凝土组合梁挠度限值(mm)

注:1 表中l 0 为构件的计算跨度;悬臂构件的l 0 按实际悬臂长度的2倍取用;
2 表中数值为永久荷载和可变荷载组合产生的挠度允许值,有起拱时可减去起拱值;
3 表中括号内数值为可变荷载标准值产生的挠度允许值。
4.3.11 型钢混凝土梁按荷载效应的准永久值,并考虑荷载长期作用影响的最大裂缝宽度,不应大于表4.3.11规定的最大裂缝宽度限值。
表4.3.11 型钢混凝土梁最大裂缝宽度限值(mm)

注:对于年平均相对湿度小于60%地区一级环境下的型钢混凝土梁,其裂缝最大宽度限值可采用括号内的数值。
条文说明
4.3.10、4.3.11 规范对型钢混凝土梁、钢与混凝土组合梁及组合楼板的最大挠度限值作出规定,且对型钢混凝土梁按荷载效应的准永久组合,并考虑长期作用影响计算的最大裂缝宽度限值作出规定。
4.3.12 钢管混凝土柱的钢管在施工阶段的轴向应力不应大于其抗压强度设计值的60%,并应符合稳定性验算的规定。
条文说明
4.3.12 规范对钢管混凝土柱施工阶段钢管轴向应力给出了限制条件,并规定保证钢管施工阶段的稳定性。
4.3.13 框架-核心筒、筒中筒组合结构,在施工阶段应计算竖向构件压缩变形的差异,根据分析结果预调构件的加工长度和安装标高,并应采取必要的措施控制由差异变形产生的结构附加内力。
条文说明
4.3.13 框架-核心筒、筒中筒组合结构,在施工阶段,考虑到钢筋混凝土核心筒与外框架的压缩应变的差异,规定调整构件加工长度和安装标高,以符合设计规定。
4.4 一般构造
4.4 一般构造
4.4.1 型钢混凝土和钢管混凝土组合结构构件,其梁、柱、支撑的节点构造、钢筋机械连接套筒、连接板设置位置、型钢上预留钢筋孔和混凝土浇筑孔、排气孔位置等应进行专业深化设计。
条文说明
4.4.1 基于组合结构构件是由钢、混凝土和钢筋多种材料组成,在施工前进行专业深化设计是必要的。
4.4.2 组合结构中的钢结构制作、安装应符合现行国家标准《钢结构工程施工质量验收规范》GB 50205、《钢结构焊接规范》GB 50661的规定。
4.4.3 焊缝的坡口形式和尺寸,应符合现行国家标准《气焊、焊条电弧焊、气体保护焊和高能束焊的推荐坡口》GB/T 985.1和《埋弧焊的推荐坡口》GB/T 985.2的规定。
条文说明
4.4.2、4.4.3 组合结构中钢结构制作、安装、焊接、坡口形式和规定应符合现行国家标准的规定,以保证施工质量。
4.4.4 型钢混凝土柱和钢管混凝土柱采用埋入式柱脚时,型钢、钢管与底板的连接焊缝宜采用坡口全熔透焊缝,焊缝等级为二级;当采用非埋入式柱脚时,型钢、钢管与柱脚底板的连接应采用坡口全熔透焊缝,焊缝等级为一级。
条文说明
4.4.4 对采用不同柱脚形式的型钢混凝土柱、钢管混凝土柱中型钢、钢管与底板的焊接质量提出规定,以保证柱内力的传递。
4.4.5 抗剪栓钉的直径规格宜选用19mm和22mm,其长度不宜小于4倍栓钉直径,水平和竖向间距不宜小于6倍栓钉直径且不宜大于200mm。栓钉中心至型钢翼缘边缘距离不应小于50mm,栓钉顶面的混凝土保护层厚度不宜小于15mm。
条文说明
4.4.5 为发挥栓钉传递剪力作用,栓钉的直径、长度、间距宜正确的选定。
4.4.6 钢筋连接可采用绑扎搭接、机械连接或焊接,纵向受拉钢筋的接头面积百分率不宜大于50%。机械连接宜用于直径不小于16mm受力钢筋的连接,其接头质量应符合现行行业标准《钢筋机械连接技术规程》JGJ 107、《钢筋机械连接用套筒》JG/T 163的规定。当纵向受力钢筋与钢构件连接时,可采用可焊接机械连接套筒或连接板。可焊接机械连接套筒的抗拉强度不应小于连接钢筋抗拉强度标准值的1.1倍。可焊接机械连接套筒与钢构件应采用等强焊接并在工厂完成。连接板与钢构件、钢筋连接时应保证焊接质量。
条文说明
4.4.6 受力钢筋的连接,规范规定了接头百分率;对于机械连接接头质量应符合有关标准的规定。对纵向受力钢筋与钢构件连接,规范也作出了可焊接机械连接套筒的抗拉强度和焊接质量规定。
5 型钢混凝土框架梁和转换梁
5.1 一般规定
5 型钢混凝土框架梁和转换梁
5.1 一般规定
5.1.1 型钢混凝土框架梁和转换梁正截面承载力应按下列基本假定进行计算:
1 截面应变保持平面;
2 不考虑混凝土的抗拉强度;
3 受压边缘混凝土极限压应变ε cu 取0.003,相应的最大压应力取混凝土轴心抗压强度设计值f c 乘以受压区混凝土压应力影响系数α 1 ,当混凝土强度等级不超过C50时,α 1 取为1.0;当混凝土强度等级为C80时,α 1 取为0.94,其间按线性内插法确定;受压区应力图简化为等效的矩形应力图,其高度取按平截面假定所确定的中和轴高度乘以受压区混凝土应力图形影响系数β 1 ,当混凝土强度等级不超过C50时,β 1 取为0.8,当混凝土强度等级为C80时,β 1 取为0.74,其间按线性内插法确定;
4 型钢腹板的应力图形为拉压梯形应力图形,计算时简化为等效矩形应力图形;
5 钢筋、型钢的应力等于钢筋、型钢应变与其弹性模量的乘积,其绝对值不应大于其相应的强度设计值;纵向受拉钢筋和型钢受拉翼缘的极限拉应变取0.01。
条文说明
5.1.1 型钢混凝土结构构件由型钢、钢筋和混凝土三种材料组成,其受力性能的研究是此类结构构件应用于工程的关键。型钢混凝土压弯构件试验表明,压弯构件在外荷载作用下,截面的混凝土、钢筋、型钢的应变保持平面,受压极限变形接近于0.003、破坏形态以型钢受压翼缘以上混凝土突然压碎、型钢翼缘达到屈服为标志,基本性能与钢筋混凝土压弯构件相似,由此,建立了型钢混凝土框架梁和转换梁正截面承载力计算的基本假定。
5.1.2 型钢混凝土框架梁和转换梁中的型钢钢板厚度不宜小于6mm,其钢板宽厚比(图5.1.2)应符合表5.1.2的规定。

图5.1.2 型钢混凝土梁的型钢钢板宽厚比
表5.1.2 型钢混凝土梁的型钢钢板宽厚比限值

条文说明
5.1.2 型钢混凝土框架梁和转换梁中型钢钢板不宜过薄,以利于焊接和保持局部稳定。考虑到型钢受混凝土和箍筋的约束,不易发生局部压屈,因此,型钢钢板的宽厚比可比现行国家标准《钢结构设计规范》GB 50017的规定适当放松,参考日本有关资料,规定钢板宽厚比大致比纯钢结构放松1.5~1.7倍。
5.1.3 型钢混凝土框架梁和转换梁最外层钢筋的混凝土保护层最小厚度应符合现行国家标准《混凝土结构设计规范》GB 50010的规定。型钢的混凝土保护层最小厚度(图5.1.3)不宜小于100mm,且梁内型钢翼缘离两侧边距离b 1 、b 2 之和不宜小于截面宽度的1/3。

图5.1.3 型钢混凝土梁中型钢的混凝土保护层最小厚度
条文说明
5.1.3 在确定型钢的截面尺寸和位置时,型钢应有一定的混凝土保护层厚度,以防止型钢发生局部压屈变形,保证型钢、钢筋混凝土相互粘结而整体工作,同时也是提高耐火性、耐久性的必要条件。
5.2 承载力计算
5.2 承载力计算
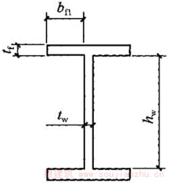
5.2.1 型钢截面为充满型实腹型钢的型钢混凝土框架梁和转换梁,其正截面受弯承载力应符合下列规定(图5.2.1):


图5.2.1 梁正截面受弯承载力计算参数示意


式中:M——弯矩设计值;
M aw ——型钢腹板承受的轴向合力对型钢受拉翼缘和纵向受拉钢筋合力点的力矩;
N aw ——型钢腹板承受的轴向合力;
α 1 ——受压区混凝土压应力影响系数;
β 1 ——受压区混凝土应力图形影响系数;
f c ——混凝土轴心抗压强度设计值;
f a 、f′ a ——型钢抗拉、抗压强度设计值;
f y 、f ′ y ——钢筋抗拉、抗压强度设计值;
A s 、A′ s ——受拉、受压钢筋的截面面积;
A af 、A′ af ——型钢受拉、受压翼缘的截面面积;
b——截面宽度;
h——截面高度;
h 0 ——截面有效高度;
t w ——型钢腹板厚度;
t f 、t′ f ——型钢受拉、受压翼缘厚度;
ξ b ——相对界限受压区高度;
E s ——钢筋弹性模量;
x——混凝土等效受压区高度;
a s 、a a ——受拉区钢筋、型钢翼缘合力点至截面受拉边缘的距离;
a′ s 、a′ a ——受压区钢筋、型钢翼缘合力点至截面受压边缘的距离;
a——型钢受拉翼缘与受拉钢筋合力点至截面受拉边缘的距离;
δ 1 ——型钢腹板上端至截面上边的距离与h 0 的比值,δ 1 h 0 为型钢腹板上端至截面上边的距离;
δ 2 ——型钢腹板下端至截面上边的距离与h 0 的比值,δ 2 h 0 为型钢腹板下端至截面上边的距离。
条文说明
5.2.1 配置充满型实腹型钢的型钢混凝土框架梁和转换梁,包括托墙转换梁和托柱转换梁,其正截面受弯承载力计算方法是通过试验研究和理论分析提出的,将型钢翼缘也作为纵向受力钢筋的一部分,在平衡式中增加了型钢腹板受弯承载力项Maw和型钢腹板轴向承载力项Naw。Maw、Naw的确定是通过对型钢腹板应力分布积分,再做一定的简化得出的。根据平截面假定提出了判断适筋梁的相对界限受压区高度ξb的计算公式。
5.2.2 型钢混凝土框架梁和转换梁的剪力设计值应按下列规定计算:

四级抗震等级,取地震作用组合下的剪力设计值。
3 公式(5.2.2-1)中的M l bua 与M r bua 之和,应分别按顺时针和逆时针方向进行计算,并取其较大值。公式(5.2.2-2)~(5.2.2-4)中的M l b 与M r b 之和,应分别按顺时针和逆时针方向进行计算的两端考虑地震组合的弯矩设计值之和的较大值,对一级抗震等级框架,两端弯矩均为负弯矩时,绝对值较小的弯矩应取零。
式中:M l bua 、M r bua ——梁左、右端顺时针或逆时针方向按实配钢筋和型钢截面积(计入受压钢筋及梁有效翼缘宽度范围内的楼板钢筋)、材料强度标准值,且考虑承载力抗震调整系数的正截面受弯承载力所对应的弯矩值;梁有效翼缘宽度取梁两侧跨度的1/6和翼板厚度6倍中的较小者;
M l b 、M r b ——考虑地震作用组合的梁左、右端顺时针或逆时针方向弯矩设计值;
V b ——梁剪力设计值;
V Gb ——考虑地震作用组合时的重力荷载代表值产生的剪力设计值,可按简支梁计算确定;
l n ——梁的净跨。
条文说明
5.2.2 为使框架梁符合“强剪弱弯”规定,对不同抗震等级的框架梁和转换梁剪力设计值Vb进行调整。调整原则与现行国家标准《混凝土结构设计规范》GB 50010一致。
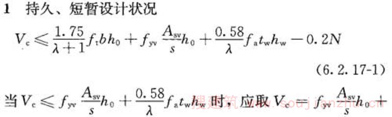
5.2.3 型钢混凝土框架梁的受剪截面应符合下列公式的规定:

式中:h w ——型钢腹板高度;
β c ——混凝土强度影响系数,当混凝土强度等级不超过C50时,取β c =1.0;当混凝土强度等级为C80时,取为β c =0.8;其间按线性内插法确定。
5.2.4 型钢混凝土转换梁的受剪截面应符合下列公式的规定:

条文说明
5.2.3、5.2.4 型钢混凝土梁的剪切破坏形式与剪跨比相关,存在剪压破坏和斜压破坏两种形式。防止剪压破坏由受剪承载力计算来保证,斜压破坏由截面控制条件来保证。通过集中荷载作用下斜截面受剪承载力试验,建立了控制斜压破坏的截面控制条件,即给出了型钢混凝土梁受剪承载力的上限,此条件对均布荷载是偏于安全的。考虑到转换梁的重要性,对型钢混凝土转换梁的受剪截面控制条件做适当加严。
5.2.5 型钢截面为充满型实腹型钢的型钢混凝土框架梁和转换梁,其斜截面受剪承载力应符合下列公式的规定:

式中:f yv ——箍筋的抗拉强度设计值;
A sv ——配置在同一截面内箍筋各肢的全部截面面积;
s——沿构件长度方向上箍筋的间距;
λ——计算截面剪跨比,λ可取λ=a/h,a为计算截面至支座截面或节点边缘的距离,计算截面取集中荷载作用点处的截面;当λ<1.5时,取λ=1.5;当λ>3时,取λ=3;
f t ——混凝土抗拉强度设计值。
条文说明
5.2.5 在试验研究的基础上,提出了型钢混凝土梁斜截面受剪承载力计算公式,分别考虑型钢和钢筋混凝土两部分的承载力。通过52根试验梁数据回归分析和可靠度分析,得出了型钢部分对受剪承载力的贡献为型钢腹板部分的受剪承载力,其值与腹板强度、腹板面积有关,对集中荷载作用下的梁,还与剪跨比有关,而且近似假定型钢腹板全截面处于纯剪状态,即τxy=
=0.58fa。集中荷载作用下的梁一般指楼盖中有次梁搁置的主框架梁和转换梁,或集中荷载对支座截面或节点边缘所产生的剪力值占总剪力的75%以上的梁。
5.2.6 配置桁架式型钢的型钢混凝土梁,其受弯承载力计算可将桁架的上、下弦型钢等效为纵向钢筋,受剪承载力计算可将桁架的斜腹杆按其承载力的竖向分力等效为抗剪箍筋,按现行国家标准《混凝土结构设计规范》GB 50010中钢筋混凝土梁的相关规定计算。
条文说明
5.2.6 当梁的荷载较大,截面高度较高时,为增加刚度、节省钢材、减少自重,可采用桁架式空腹型钢的型钢混凝土梁。由于对型钢混凝土宽扁梁尚未进行试验研究,规范规定的框架梁受剪承载力计算公式对宽扁梁不能直接采用,有待进一步研究。
5.3 裂缝宽度验算
5.3 裂缝宽度验算
5.3.1 型钢混凝土框架梁和转换梁应验算裂缝宽度,最大裂缝宽度应按荷载的准永久值并考虑长期作用的影响进行计算。
5.3.2 型钢混凝土梁的最大裂缝宽度可按下列公式计算(图5.3.2)。

图5.3.2 型钢混凝土梁最大裂缝宽度计算参数示意

式中:w max ——最大裂缝宽度;
M q ——按荷载效应的准永久值计算的弯矩值;
M cr ——梁截面抗裂弯矩;
c s ——最外层纵向受拉钢筋的混凝土保护层厚度(mm);当c s >65时,取c s =65;
ψ——考虑型钢翼缘作用的钢筋应变不均匀系数;当ψ<0.2时,取ψ=0.2;当ψ>1.0时,取ψ=1.0;
k——型钢腹板影响系数,其值取梁受拉侧1/4梁高范围中腹板高度与整个腹板高度的比值;
n——纵向受拉钢筋数量;
b f 、t f ——受拉翼缘宽度、厚度;
d e 、ρ te ——考虑型钢受拉翼缘与部分腹板及受拉钢筋的有效直径、有效配筋率;
σ sa ——考虑型钢受拉翼缘与部分腹板及受拉钢筋的钢筋应力值;
A s 、A af ——纵向受拉钢筋、型钢受拉翼缘面积;
A aw 、h aw ——型钢腹板面积、高度;
h 0s 、h 0f 、h 0w ——纵向受拉钢筋、型钢受拉翼缘、kA aw 截面重心至混凝土截面受压边缘的距离;
u——纵向受拉钢筋和型钢受拉翼缘与部分腹板周长之和。
条文说明
5.3.1、5.3.2 基于把型钢翼缘作为纵向受力钢筋,且考虑部分型钢腹板的影响,按现行国家标准《混凝土结构设计规范》GB 50010有关裂缝宽度计算公式的形式,建立了型钢混凝土梁在短期效应组合作用下并考虑长期效应组合影响的最大裂缝宽度计算公式。 型钢混凝土梁裂缝宽度计算公式通过试验研究验证,根据8根梁的试验结果,在(0.4~0.8)倍极限弯矩范围内,短期荷载作用下的裂缝宽度的计算值与试验值之比的平均值为1.001,均方差为0.24。
5.4 挠度验算
5.4 挠度验算
5.4.1 型钢混凝土框架梁和转换梁在正常使用极限状态下的挠度不应超过本规范表4.3.10-1规定的限值。对于等截面构件,计算中可假定各同号弯矩区段内的刚度相等,并取用该区段内最 大弯矩处的刚度。
5.4.2 型钢混凝土框架梁和转换梁的纵向受拉钢筋配筋率为0.3%~1.5%时,按荷载的准永久值计算的短期刚度和考虑长期作用影响的长期刚度,可按下列公式计算:

式中:B s ——梁的短期刚度;
B——梁的长期刚度;
ρ sa ——梁截面受拉区配置的纵向受拉钢筋和型钢受拉翼缘面积之和的截面配筋率;
ρ′ sa ——梁截面受压区配置的纵向受压钢筋和型钢受压翼缘面积之和的截面配筋率;
ρ s ——纵向受拉钢筋配筋率;
E c ——混凝土弹性模量;
E a ——型钢弹性模量;
E s ——钢筋弹性模量;
I c ——按截面尺寸计算的混凝土截面惯性矩;
I a ——型钢的截面惯性矩;
θ——考虑荷载长期作用对挠度增大的影响系数。
条文说明
5.4.1、5.4.2 型钢混凝土框架梁和转换梁在正常使用极限状态下的挠度,可根据构件的刚度采用结构力学的计算方法计算。试验表明,型钢混凝土梁在加载过程中截面平均应变符合平截面假定,且型钢与混凝土截面变形的平均曲率相同,因此,截面抗弯刚度可以采用钢筋混凝土截面抗弯刚度和型钢截面抗弯刚度叠加的原则来处理。 通过不同配筋率,混凝土强度等级,截面尺寸的型钢混凝土梁的刚度试验,认为钢筋混凝土截面抗弯刚度主要与受拉钢筋配筋率有关,经研究分析,确定了钢筋混凝土截面部分抗弯刚度的简化计算公式。 长期荷载作用下,由于压区混凝土的徐变、钢筋与混凝土之间的粘结滑移徐变,混凝土收缩等使梁截面刚度下降,根据现行国家标准《混凝土结构设计规范》GB 50010的有关规定,引进了荷载长期效应组合对挠度的增大系数θ,确定了长期刚度的计算公式。
5.5 构造措施
5.5 构造措施
5.5.1 型钢混凝土框架梁截面宽度不宜小于300mm;型钢混凝土托柱转换梁截面宽度,不应小于其所托柱在梁宽度方向截面宽度。托墙转换梁截面宽度不宜大于转换柱相应方向的截面宽度,且不宜小于其上墙体截面厚度的2倍和400mm的较大值。
条文说明
5.5.1 为保证框架梁对框架节点的约束作用,以及便于型钢混凝土梁的混凝土浇筑,框架梁的截面宽度不宜过小;截面高度与宽度比值过大对梁抗扭和侧向稳定不利;因此对框架梁的最小宽度作了规定。对托柱转换梁和托墙转换梁最小宽度的规定是保证转换部位的内力传递。
5.5.2 型钢混凝土框架梁和转换梁中纵向受拉钢筋不宜超过二排,其配筋率不宜小于0.3%,直径宜取16mm~25mm,净距不宜小于30mm和1.5d,d为纵筋最大直径;梁的上部和下部纵向钢筋伸入节点的锚固构造要求应符合现行国家标准《混凝土结构设计规范》GB 50010的规定。
条文说明
5.5.2 为保证梁底部混凝土浇筑密实,梁中纵向受力钢筋不宜超过二排,如超过二排,施工上应采取措施,如分层浇筑等,以保证梁底混凝土密实;纵向受拉钢筋配筋率、直径、净距的规定,是保证混凝土与钢筋与型钢有良好的粘结力,同时,也有利于梁在正常使用极限状态下的裂缝分布均匀和减小裂缝宽度。
5.5.3 型钢混凝土框架梁和转换梁的腹板高度大于或等于450mm时,在梁的两侧沿高度方向每隔200mm应设置一根纵向腰筋,且每侧腰筋截面面积不宜小于梁腹板截面面积的0.1%。
条文说明
5.5.3 梁两侧沿高度配置一定量的腰筋,其目的是增加箍筋、纵筋、腰筋所形成的整体骨架对混凝土的约束作用;同时也有助于防止由于混凝土收缩引起的收缩裂缝的出现。
5.5.4 考虑地震作用组合的型钢混凝土框架梁和转换梁应采用封闭箍筋,其末端应有135°弯钩,弯钩端头平直段长度不应小于10倍箍筋直径。
条文说明
5.5.4 钢与混凝土组合结构构件是钢和混凝土两种材料的组合体。在此组合体中,箍筋的作用尤为突出,它除了增强截面抗剪承载力,避免结构发生剪切脆性破坏外,还起到约束核心混凝土,增强塑性铰区变形能力和耗能能力的作用;对钢与混凝土组合结构构件而言,更起到保证混凝土、型钢、纵筋三者整体工作的重要作用。因此,为保证在大变形情况下能维持箍筋对混凝土的约束,箍筋应做成封闭箍筋,其末端应有135°弯钩,弯钩平直段也应有一定长度。
5.5.5 考虑地震作用组合的型钢混凝土框架梁,梁端应设置箍筋加密区,其加密区长度、加密区箍筋最大间距和箍筋最小直径应符合表5.5.5的要求。非加密区的箍筋间距不宜大于加密区箍筋间距的2倍。
表5.5.5 抗震设计型钢混凝土梁箍筋加密区的构造要求

注:1 h为梁高;
2 当梁跨度小于梁截面高度4倍时,梁全跨应按箍筋加密区配置;
3 一级抗震等级框架梁箍筋直径大于12mm、二级抗震等级框架梁箍筋直径大于10mm,箍筋数量不少于4肢且肢距不大于150mm时,箍筋加密区最大间距应允许适当放宽,但不得大于150mm。
5.5.6 非抗震设计时,型钢混凝土框架梁应采用封闭箍筋,其箍筋直径不应小于8mm,箍筋间距不应大于250mm。
5.5.7 梁端设置的第一个箍筋距节点边缘不应大于50mm。沿梁全长箍筋的面积配筋率应符合下列规定:


5.5.8 型钢混凝土框架梁和转换梁的箍筋肢距,可按现行国家标准《混凝土结构设计规范》GB 50010的规定适当放松。
条文说明
5.5.5~5.5.8 考虑地震作用的框架梁端应设置箍筋加密区,是从构造上增强对梁端混凝土的约束,且保证梁端塑性铰区“强剪弱弯”的规定。关于型钢混凝土框架梁和转换梁的箍筋肢距,为便于施工,在符合本规范规定的箍筋面积配筋率和构造要求的情况下,可比钢筋混凝土梁适当放松。
5.5.9 型钢混凝土托柱转换梁,在离柱边1.5倍梁截面高度范围内应设置箍筋加密区,其箍筋直径不应小于12mm,间距不应大于100mm,加密区箍筋的面积配筋率应符合下列公式的规定:

5.5.10 型钢混凝土托柱转换梁与托柱截面中线宜重合,在托柱位置宜设置正交方向楼面梁或框架梁,且在托柱位置的型钢腹板两侧应对称设置支承加劲肋。
条文说明
5.5.9、5.5.10 针对托柱转换梁受力复杂的特点,根据现行行业标准《高层建筑混凝土结构技术规程》JGJ 3的规定,对型钢混凝土托柱转换梁,提出了抗震设计、非抗震设计梁端箍筋加密区高于一般框架梁的最小面积配筋率的规定。
5.5.11 型钢混凝土托墙转换梁与转换柱截面中线宜重合;托墙转换梁的梁端以及托墙设有门洞的门洞边,在离柱边和门洞边1.5倍梁截面高度范围内应设置箍筋加密区,其箍筋直径、箍筋面积配筋率宜符合本规范第5.5.5条、第5.5.7条、第5.5.9条的规定。在托墙门洞边位置,型钢腹板两侧应对称设置支承加劲肋。
条文说明
5.5.11 托墙转换梁的梁端以及托墙设有门洞的门洞边,应按本规范第5.5.5条、5.5.7条、5.5.9条的规定配置箍筋,且托墙门洞边位置,在型钢腹板两侧应设置加劲肋。
5.5.12 当转换梁处于偏心受拉时,其支座上部纵向钢筋应至少有50%沿梁全长贯通,下部纵向钢筋应全部直通到柱内;沿梁高应配置间距不大于200mm、直径不小于16mm的腰筋。
条文说明
5.5.12 当转换梁承受弯矩、剪力、拉力时,设计时应有一定量的纵向钢筋承受拉力作用。
5.5.13 配置桁架式型钢的型钢混凝土框架梁,其压杆的长细比不宜大于120。
条文说明
5.5.13 为保证桁架式的型钢混凝土框架梁的压杆稳定,给出了压杆长细比的限制条件。
5.5.14 对于配置实腹式型钢的托墙转换梁、托柱转换梁、悬臂梁和大跨度框架梁等主要承受竖向重力荷载的梁,型钢上翼缘应设置栓钉,栓钉的设置宜符合本规范第4.4.5条的规定。
条文说明
5.5.14 转换梁、悬臂梁和大跨度梁,其荷载大、受力复杂,为增加负弯矩区混凝土和型钢上翼缘的粘结剪应力,宜在梁端型钢上翼缘设置栓钉。
5.5.15 在型钢混凝土梁上开孔时,其孔位宜设置在剪力较小截面附近,且宜采用圆形孔。当孔洞位于离支座1/4跨度以外时,圆形孔的直径不宜大于0.4倍梁高,且不宜大于型钢截面高度的0.7倍;当孔洞位于离支座1/4跨度以内时,圆孔的直径不宜大于0.3倍梁高,且不宜大于型钢截面高度的0.5倍。孔洞周边宜设置钢套管,管壁厚度不宜小于梁型钢腹板厚度,套管与梁型钢腹板连接的角焊缝高度宜取0.7倍腹板厚度;腹板孔周围两侧宜各焊上厚度稍小于腹板厚度的环形补强板,其环板宽度可取75mm~125mm;且孔边应加设构造箍筋和水平筋(图5.5.15)。

图5.5.15 圆形孔孔口加强措施
条文说明
5.5.15 为保证开孔型钢混凝土梁开孔截面的受剪承载力,应控制圆形孔的直径相对于梁高和型钢截面高度的比例不能过大;且由于孔洞周边存在应力集中情况,应采取一定的构造措施。
5.5.16 型钢混凝土框架梁的圆孔孔洞截面处,应进行受弯承载力和受剪承载力计算。受弯承载力应按本规范第5.2.1条计算,计算中应扣除孔洞面积;受剪承载力应符合下列公式的规定:


式中:γ——孔边条件系数,孔边设置钢套管时取1.0,孔边不设钢套管时取0.85;
D h ——圆孔洞直径;
∑f yv A sv ——加强箍筋的受剪承载力。
条文说明
5.5.16 圆形孔洞截面处的受剪承载力计算是参考了日本的计算方法并结合国内试验研究确定的。计算方法中考虑了扣除开孔影响后混凝土受剪承载力,以及孔洞周围补强钢筋和型钢腹板扣除孔洞后的受剪承载力。
6 型钢混凝土框架柱和转换柱
6.1 一般规定
6 型钢混凝土框架柱和转换柱
6.1 一般规定
6.1.1 型钢混凝土框架柱和转换柱正截面承载力计算的基本假定应按本规范第5.1.1条的规定采用。
条文说明
6.1.1 型钢混凝土框架柱和转换柱的正截面承载力计算假定与型钢混凝土梁相同。
6.1.2 型钢混凝土框架柱和转换柱受力型钢的含钢率不宜小于4%,且不宜大于15%。当含钢率大于15%时,应增加箍筋、纵向钢筋的配筋量,并宜通过试验进行专门研究。
条文说明
6.1.2 型钢混凝土框架柱和转换柱型钢的含钢率不宜过低,配置一定量的型钢,才能发挥型钢提高承载力、增加延性的作用;对工程中作为构造措施规定配置的型钢数量,可不受此限制。含钢率也不宜过高,高含钢率柱如果没有足够的纵向钢筋和箍筋的约束,不能保证型钢、混凝土和纵向钢筋三位一体的工作;为此规范规定含钢率大于15%时,应通过试验研究,增加箍筋的配筋量。
6.1.3 型钢混凝土框架柱和转换柱纵向受力钢筋的直径不宜小于16mm,其全部纵向受力钢筋的总配筋率不宜小于0.8%,每一侧的配筋百分率不宜小于0.2%;纵向受力钢筋与型钢的最小净距不宜小于30mm;柱内纵向钢筋的净距不宜小于50mm且不宜大于250mm。纵向受力钢筋的最小锚固长度、搭接长度应符合现行国家标准《混凝土结构设计规范》GB 50010的规定。
条文说明
6.1.3 型钢混凝土框架柱和转换柱应配置一定数量的纵向钢筋,以便在混凝土、纵筋、箍筋的约束下的型钢能充分发挥其强度和延性性能。考虑到型钢混凝土柱承受的弯矩和轴力较大,纵向钢筋直径不宜过小;为便于浇筑混凝土,对纵向钢筋与型钢的最小净距、钢筋间最小净距作出规定;对于箍筋,规定必须与纵筋牢固连接,以便起到约束混凝土的作用。
6.1.4 型钢混凝土框架柱和转换柱最外层纵向受力钢筋的混凝土保护层最小厚度应符合现行国家标准《混凝土结构设计规范》GB 50010的规定。型钢的混凝土保护层最小厚度(图6.1.4)不宜小于200mm。

图6.1.4 型钢混凝土柱中型钢保护层最小厚度
条文说明
6.1.4 在确定型钢的截面尺寸和位置时,型钢应有一定的保护层厚度,以防止型钢发生局部压屈变形,且有利于提高结构耐火性、耐久性,便于箍筋配置。
6.1.5 型钢混凝土柱中型钢钢板厚度不宜小于8mm,其钢板宽厚比(图6.1.5)应符合表6.1.5的规定。
表6.1.5 型钢混凝土柱中型钢钢板宽厚比限值

图6.1.5 型钢混凝土柱中型钢钢板宽厚比
条文说明
6.1.5 型钢混凝土柱中型钢钢板厚度不宜过薄,以利于焊接和保证局部稳定。基于型钢处于混凝土、箍筋的约束状态,钢板宽厚比限值可比现行行业标准《高层民用建筑钢结构技术规程》JGJ 99的规定放松,参考日本有关资料,规范规定的宽厚比大致比纯钢结构放松1.5倍~1.7倍。
6.2 承载力计算
6.2 承载力计算
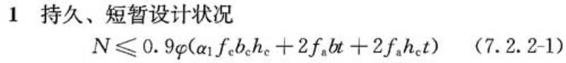
6.2.1 型钢混凝土轴心受压柱的正截面受压承载力应符合下列公式的规定:

式中:N——轴向压力设计值;
A c 、A′ s 、A′ a ——混凝土、钢筋、型钢的截面面积;
f c 、f′ y 、f′ a ——混凝土、钢筋、型钢的抗压强度设计值;
φ——轴心受压柱稳定系数,应按表6.2.1采用。
表6.2.1 型钢混凝土柱轴心受压稳定系数φ

条文说明
6.2.1
型钢混凝土轴心受压柱由截面内的混凝土、纵向钢筋、型钢共同承受轴向压力,并在承载力计算式中考虑了柱的稳定系数。
6.2.2 型钢截面为充满型实腹型钢的型钢混凝土偏心受压框架柱和转换柱,其正截面受压承载力应符合下列规定(图6.2.2):

图6.2.2 偏心受压框架柱和转换柱的承载力计算参数示意


式中:e——轴向力作用点至纵向受拉钢筋和型钢受拉翼缘的合力点之间的距离;
e 0 ——轴向力对截面重心的偏心矩;
e i ——初始偏心矩;
e a ——附加偏心距,按本规范第6.2.4条规定计算;
α 1 ——受压区混凝土压应力影响系数;
β 1 ——受压区混凝土应力图形影响系数;
M——柱端较大弯矩设计值;当需要考虑挠曲产生的二阶效应时,柱端弯矩M应按现行国家标准《混凝土结构设计规范》GB 50010的规定确定;
N——与弯矩设计值M相对应的轴向压力设计值;
M aw ——型钢腹板承受的轴向合力对受拉或受压较小边型钢翼缘和纵向钢筋合力点的力矩;
N aw ——型钢腹板承受的轴向合力;
f c ——混凝土轴心抗压强度设计值;
f a 、f′ a ——型钢抗拉、抗压强度设计值;
f y 、f′ y ——钢筋抗拉、抗压强度设计值;
A s 、A′ s ——受拉、受压钢筋的截面面积;
A af 、A′ af ——型钢受拉、受压翼缘的截面面积;
b——截面宽度;
h——截面高度;
h 0 ——截面有效高度;
t w ——型钢腹板厚度;
t f 、t′ f ——型钢受拉、受压翼缘厚度;
ξ b ——相对界限受压区高度;
E s ——钢筋弹性模量;
x——混凝土等效受压区高度;
a s 、a a ——受拉区钢筋、型钢翼缘合力点至截面受拉边缘的距离;
a′ s 、a′ a ——受压区钢筋、型钢翼缘合力点至截面受压边缘的距离;
a——型钢受拉翼缘与受拉钢筋合力点至截面受拉边缘的距离;
δ 1 ——型钢腹板上端至截面上边的距离与h 0 的比值,δ 1 h 0 为型钢腹板上端至截面上边的距离;
δ 2 ——型钢腹板下端至截面上边的距离与h 0 的比值,δ 2 h 0 为型钢腹板下端至截面上边的距离。
条文说明
6.2.2 配置充满型实腹型钢的型钢混凝土框架柱和转换柱的正截面偏心受压承载力计算公式,是在基本假定基础上,采用极限平衡方法,以及型钢腹板应力图形简化为拉压矩形应力图情况下,作出的简化计算方法。
6.2.3 配置十字形型钢的型钢混凝土偏心受压框架柱和转换柱(图6.2.3),其正截面受压承载力计算中可折算计入腹板两侧的侧腹板面积,其等效腹板厚度t′ w 可按下式计算。

式中:∑A aw ——两侧的侧腹板总面积;
t w ——腹板厚度。

图6.2.3 配置十字形型钢的型钢混凝土柱
条文说明
6.2.3 配置十字形型钢的型钢混凝土框架柱和转换柱,其偏心受压承载力计算中,可考虑腹板两侧的侧腹板的承载力。
6.2.4 型钢混凝土偏心受压框架柱和转换柱的正截面受压承载力计算,应考虑轴向压力在偏心方向存在的附加偏心距e a ,其值宜取20mm和偏心方向截面尺寸的1/30两者中的较大值。
条文说明
6.2.4 工程中实际存在着荷载作用位置的不确定性、混凝土质量的不均匀性及施工偏差等因素,都可能产生附加偏心距。型钢混凝土柱的附加偏心距取值与现行国家标准《混凝土结构设计规范》GB 50010中的规定相同。
6.2.5 对截面具有两个互相垂直的对称轴的型钢混凝土双向偏心受压框架柱和转换柱,应符合X向和Y向单向偏心受压承载力计算要求;其双向偏心受压承载力计算可按下列规定计算,也可按基于平截面假定、通过划分为材料单元的截面极限平衡方程,用数值积分的方法进行迭代计算。
1 型钢混凝土双向偏心受压框架柱和转换柱,其正截面受压承载力可按下列公式计算:

2 型钢混凝土双向偏心受压框架柱和转换柱,当e iy /h、e ix /b不大于0.6时,其正截面受压承载力可按下列公式计算(图6.2.5):

图6.2.5 双向偏心受压框架柱和转换柱的承载力计算
1-轴向力作用点

式中:N——双偏心轴向压力设计值;
N u0 ——柱截面的轴心受压承载力设计值,应按本规范第6.2.1条计算,并将此式改为等号;
N ux 、N uy ——柱截面的X轴方向和Y轴方向的单向偏心受压承载力设计值;应按本规范第6.2.2条规定计算,公式中的N应分别用N ux 、N uy 替换。
l 0 ——柱计算长度;
f c 、f y 、f a ——混凝土、纵向钢筋、型钢的抗压强度设计值;
A c 、A s 、A a ——混凝土、纵向钢筋、型钢的截面面积;
e ix 、e iy ——轴向力N对X轴及Y轴的计算偏心距,按本规范第6.2.2条中公式(6.2.2-6)~(6.2.2-8)计算;
b、h——柱的截面宽度、高度;
k 1 、k 2 ——X轴和Y轴构件长细比影响系数;
α——荷载作用点与截面中心点连线相对于X或Y轴的较小偏心角,取α≤45°。
条文说明
6.2.5 截面具有两个互相垂直对称轴的框架柱和转换柱的双向偏心受压正截面承载力计算,首先应符合单向偏心受压承载力的规定,在此基础上再进行双向偏心受压承载力的计算。 关于双向受压承载力计算,可按基于平截面假定,通过划分为材料单元的截面极限平衡方程,采用数值积分的方法进行迭代计算。同时给出了两个近似计算方法,一个是以现行国家标准《混凝土结构设计规范》GB 50010为依据,在型钢混凝土柱单偏压承载力计算的基础上建立的尼克勤(N.V.Nikitin)公式;另一个是以试验为基础考虑柱的长细比、裂缝发展等因素建立的,有一定的适用条件的双偏压承载力计算公式。
6.2.6 型钢混凝土轴心受拉柱的正截面受拉承载力应符合下列公式的规定:

式中:N——构件的轴向拉力设计值;
A s 、A a ——纵向受力钢筋和型钢的截面面积;
f y 、f a ——纵向受力钢筋和型钢的材料抗拉强度设计值。
条文说明
6.2.6 型钢混凝土轴心受拉柱承载力计算公式是考虑了型钢和纵向受力钢筋共同承受轴向拉力作用。
6.2.7 型钢截面为充满型实腹型钢的型钢混凝土偏心受拉框架柱和转换柱,其正截面受拉承载力应符合下列规定(图6.2.7):


图6.2.7 偏心受拉框架柱和转换柱的承载力计算参数示意



式中:e——轴向拉力作用点至纵向受拉钢筋和型钢受拉翼缘的合力点之间的距离;
e′——轴向拉力作用点至纵向受压钢筋和型钢受压翼缘的合力点之间的距离。
条文说明
6.2.7 型钢混凝土偏心受拉柱正截面承载力计算方法的建立是采用与型钢混凝土偏心受压柱正截面承载力计算相同的极限平衡法原理,有些计算公式也采用了与本规范第6.2.2条相同条件的积分法推导得出。对于配置十字形型钢的型钢混凝土框架柱及转换柱其腹板两侧的侧腹板的承载力同样可按本规范第6.2.3条计算。条文中的大偏心受拉是指轴向拉力作用在受拉钢筋和受拉型钢翼缘的合力点与受压钢筋和受压型钢翼缘的合力点之外,小偏心受拉是指轴向拉力作用在受拉钢筋和受拉型钢翼缘的合力点与受压钢筋和受压型钢翼缘的合力点之间。
6.2.8 考虑地震作用组合一、二、三、四级抗震等级的框架柱的节点上、下端的内力设计值应按下列公式计算:
1 节点上、下柱端的弯矩设计值

式中:∑M c ——考虑地震作用组合的节点上、下柱端的弯矩设计值之和;柱端弯矩设计值可取调整后的弯矩设计值之和按弹性分析的弯矩比例进行分配;
∑M bua ——同一节点左、右梁端按顺时针和逆时针方向采用实配钢筋和实配型钢材料强度标准值,且考虑承载力抗震调整系数的正截面受弯承载力之和的较大值;应按本规范第5.2.2条的有关规定计算;
∑M b ——同一节点左、右梁端,按顺时针和逆时针方向计算的两端考虑地震作用组合的弯矩设计值之和的较大值;一级抗震等级,当两端弯矩均为负弯矩时,绝对值较小的弯矩值应取零。
2 考虑地震作用组合的框架结构底层柱下端截面的弯矩设计值,对一、二、三、四级抗震等级应分别乘以弯矩增大系数1.7、1.5、1.3和1.2。底层柱纵向钢筋宜按柱上、下端的不利情况配置。
3 与转换构件相连的一、二级抗震等级的转换柱上端和底层柱下端截面的弯矩设计值应分别乘以弯矩增大系数1.5和1.3。
4 顶层柱、轴压比小于0.15柱,其柱端弯矩设计值可取地震作用组合下的弯矩设计值。
5 节点上、下柱端的轴向力设计值,应取地震作用组合下各自的轴向力设计值。
6.2.9 一、二级抗震等级的转换柱由地震作用产生的柱轴力应分别乘以增大系数1.5和1.2,但计算柱轴压比时可不计该项增大。
6.2.10 框架角柱和转换角柱宜按双向偏心受力构件进行正截面承载力计算。一、二、三、四级抗震等级的框架角柱和转换角柱的弯矩设计值和剪力设计值应取调整后的设计值乘以不小于1.1的增大系数。
6.2.11 地下室顶板作为上部结构的嵌固部位时,地下一层柱截面每侧的纵向钢筋面积除应符合计算要求外,不应小于地上一层对应柱每侧纵向钢筋面积的1.1倍,地下一层梁端顶面及底面的纵向钢筋应比计算值增大10%。
6.2.12 考虑地震作用组合一、二、三、四级抗震等级的框架柱、转换柱的剪力设计值应按下列规定计算:
1 一级抗震等级的框架结构和9度设防烈度一级抗震等级的各类框架


4 公式(6.2.12-1)中M t cua 与M b cua 之和,应分别按顺时针和逆时针方向进行计算,并取其较大值。M t cua 与M b cua 的值可按本规范第6.2.2条的规定计算,但在计算中应将材料的强度设计值以强度标准值代替,并取实配的纵向钢筋截面面积,不等式改为等式,对于对称配筋截面柱,将Ne以 
代替。公式(6.2.12-2~6.2.12-7)中M t c 与M b c 之和应分别按顺时针和逆时针方向进行计算,并取其较大值。
式中:V c ——柱剪力设计值;
M t cua 、M b cua ——柱上、下端顺时针或逆时针方向按实配钢筋和型钢截面积、材料强度标准值,且考虑承载力抗震调整系数的正截面受弯承载力所对应的弯矩值;
M t c 、M b c ——考虑地震作用组合,且经调整后的柱上、下端弯矩设计值;
H n ——柱的净高。
条文说明
6.2.8~6.2.12 考虑地震组合的框架柱内力调整,包括柱端弯矩设计值、柱剪力设计值的确定,都符合国家现行标准《建筑抗震设计规范》GB 50011、《混凝土结构设计规范》GB 50010、《高层建筑混凝土结构技术规程》JGJ 3的规定。
6.2.13 型钢混凝土框架柱的受剪截面应符合下列公式的规定:

式中:h w ——型钢腹板高度;
β c ——混凝土强度影响系数,当混凝土强度等级不超过C50时,取β c =1.0;当混凝土强度等级为C80时,取为β c =0.8;其间按线性内插法确定。
6.2.14 型钢混凝土转换柱的受剪截面应符合下列公式的规定:

6.2.15 配置十字形型钢的型钢混凝土框架柱和转换柱,其斜截面受剪承载力计算中可折算计入腹板两侧的侧腹板面积,等效腹板厚度可按本规范第6.2.3条规定计算。
条文说明
6.2.13~6.2.15 型钢混凝土框架柱的受剪截面限制条件与本规范第5.2.3条型钢混凝土梁的规定一致,对转换柱给予适当加严。配置十字形型钢的型钢混凝土框架柱和转换柱,受剪截面计算时可按本规范第6.2.3条的规定考虑腹板两侧的侧腹板作用。
6.2.16 型钢混凝土偏心受压框架柱和转换柱,其斜截面受剪承载力应符合下列公式的规定:

式中:f yv ——箍筋的抗拉强度设计值;
A sv ——配置在同一截面内箍筋各肢的全部截面面积;
s——沿构件长度方向上箍筋的间距;
λ——柱的计算剪跨比,其值取上、下端较大弯矩设计值M与对应的剪力设计值V和柱截面有效高度h 0 的比值,即M/(Vh 0 );当框架结构中框架柱的反弯点在柱层高范围内时,柱剪跨比也可采用1/2柱净高与柱截面有效高度h 0 的比值;当λ<1时,取λ=1;当λ>3时,取λ=3;
N——柱的轴向压力设计值;当N>0.3f c A c 时,取N=0.3f c A c 。
6.2.17 型钢混凝土偏心受拉框架柱和转换柱,其斜截面受剪承载力应符合下列公式的规定:


式中:λ——柱的计算剪跨比,按本规范第6.2.16条确定;
N——柱的轴向拉力设计值。
条文说明
6.2.16、6.2.17 试验研究表明,型钢混凝土柱的斜截面受剪承载力可由钢筋混凝土和型钢两部分的斜截面受剪承载力组成,压力对受剪承载力具有有利影响,拉力对受剪承载力具有不利影响。计算公式中型钢部分对受剪承载力的贡献只考虑型钢腹板部分的受剪承载力。由此建立了型钢混凝土框架柱和转换柱在偏心受压、偏心受拉时的斜截面承载力计算公式。
6.2.18 考虑地震作用组合的剪跨比不大于2.0的偏心受压柱,其斜截面受剪承载力宜取下列公式计算的较小值。

式中:b 0 ——型钢截面外侧混凝土的宽度,取柱截面宽度与型钢翼缘宽度之差。
条文说明
6.2.18 试验表明框架柱的破坏形态与剪跨比有关,当剪跨比为1.5~2.0时,将出现粘结破坏,粘结破坏时的承载力值与型钢翼缘宽度有关,为此规范规定剪跨比不大于2.0的框架柱,其偏心受压构件斜截面受剪承载力宜取两种剪切破坏状态下受剪承载力的较小值。
6.2.19 考虑地震作用组合的框架柱和转换柱,其轴压比应按下式计算,且不宜大于表6.2.19规定的限值。

式中:n——柱轴压比;
N——考虑地震作用组合的柱轴向压力设计值。
表6.2.19 型钢混凝土框架柱和转换柱的轴压比限值

注:1 剪跨比不大于2的柱,其轴压比限值应比表中数值减小0.05;
2 当混凝土强度等级采用C65~C70时,轴压比限值应比表中数值减小0.05;当混凝土强度等级采用C75~C80时,轴压比限值应比表中数值减小0.10。
条文说明
6.2.19 型钢混凝土框架柱轴压比限值的规定,是保证框架柱具有较好的延性和耗能性能的必要条件,通过不同轴压比情况下,承受低周反复荷载作用的型钢混凝土压弯构件试验表明,框架柱的设计轴压比
为0.62时,其延性系数能达到3.58;规范以此作为框架结构一级抗震等级的轴压比限值,对不同结构类型、不同抗震等级以及转换柱作相应的放松或加严。
6.3 裂缝宽度验算
6.3 裂缝宽度验算
6.3.1 在正常使用极限状态下,当型钢混凝土轴心受拉构件允许出现裂缝时,应验算裂缝宽度,最大裂缝宽度应按荷载的准永久组合并考虑长期效应组合的影响进行计算。
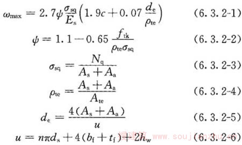
6.3.2 配置工字形型钢的型钢混凝土轴心受拉构件,按荷载的准永久组合并考虑长期效应组合的影响的最大裂缝宽度可按下列公式计算,并不应大于本规范第4.3.11条规定的限值。

式中:w max ——最大裂缝宽度;
c s ——纵向受拉钢筋的混凝土保护层厚度;
ψ——裂缝间受拉钢筋和型钢应变不均匀系数:当ψ<0.2时,取0.2;当ψ>1时,取ψ=1;
N q ——按荷载效应的准永久组合计算的轴向拉力值;
σ sq ——按荷载效应的准永久组合计算的型钢混凝土构件纵向受拉钢筋和受拉型钢的应力的平均应力值;
d e 、ρ te ——综合考虑受拉钢筋和受拉型钢的有效直径和有效配筋率;
A te ——轴心受拉构件的横截面面积;
u——纵向受拉钢筋和型钢截面的总周长;
n、d s ——纵向受拉变形钢筋的数量和直径;
b f 、t f 、h w ——型钢截面的翼缘宽度、厚度和腹板高度。
条文说明
6.3.1、6.3.2 通过研究分析,规范规定了正常使用极限状态下与现行国家标准《混凝土结构设计规范》GB 50010相应的型钢混凝土轴心受拉构件的裂缝宽度计算公式。
6.4 构造措施
6.4 构造措施
6.4.1 考虑地震作用组合的型钢混凝土框架柱应设置箍筋加密区。加密区的箍筋最大间距和箍筋最小直径应符合表6.4.1的规定。
表6.4.1 柱端箍筋加密区的构造要求

注:1 底层柱的柱根指地下室的顶面或无地下室情况的基础顶面;
2 二级抗震等级框架柱的箍筋直径大于10mm,且箍筋采用封闭复合箍、螺旋箍时,除柱根外加密区箍筋最大间距应允许采用150mm。
6.4.2 考虑地震作用组合的型钢混凝土框架柱,其箍筋加密区应为下列范围:
1 柱上、下两端,取截面长边尺寸、柱净高的1/6和500mm中的最大值;
2 底层柱下端不小于1/3柱净高的范围;
3 刚性地面上、下各500mm的范围;
4 一、二级框架角柱的全高范围。
条文说明
6.4.1、6.4.2 对于型钢混凝土框架柱,为保证柱端塑性铰区有足够的箍筋约束混凝土,使框架柱有一定的变形能力,为此,柱上下端以及受力较大部位,必须从构造上设置箍筋加密区。柱箍筋加密区除符合箍筋间距和直径规定外,还应符合箍筋体积配筋率的规定。
6.4.3 考虑地震作用组合的型钢混凝土框架柱箍筋加密区箍筋的体积配筋率应符合下式规定:

式中:ρ v ——柱箍筋加密区箍筋的体积配筋率;
f c ——混凝土轴心抗压强度设计值;当强度等级低于C35时,按C35取值;
f yv ——箍筋及拉筋抗拉强度设计值;
λ v ——最小配箍特征值,按表6.4.3采用。
表6.4.3 柱箍筋最小配箍特征值λ v

注:1 普通箍指单个矩形箍筋或单个圆形箍筋;螺旋箍指单个螺旋箍筋;复合箍指由多个矩形或多边形、圆形箍筋与拉筋组成的箍筋;复合螺旋箍指矩形、多边形、圆形螺旋箍筋与拉筋组成的箍筋;连续复合螺旋箍筋指全部螺旋箍筋为同一根钢筋加工而成的箍筋;
2 在计算复合螺旋箍筋的体积配筋率时,其中非螺旋箍筋的体积应乘以换算系数0.8;
3 对一、二、三、四级抗震等级的柱,其箍筋加密区的箍筋体积配筋率分别不应小于0.8%、0.6%、0.4%和0.4%;
4 混凝土强度等级高于C60时,箍筋宜采用复合箍、复合螺旋箍或连续复合矩形螺旋箍;当轴压比不大于0.6时,其加密区的最小配箍特征值宜按表中数值增加0.02;当轴压比大于0.6时,宜按表中数值增加0.03。
条文说明
6.4.3 箍筋符合间距构造规定而配箍率不同的型钢混凝土柱反复荷载作用下的试验表明,基于截面内型钢对混凝土有一定的约束作用,适当减小加密区箍筋的体积配筋率的规定,仍能符合柱端塑性铰转动的延性规定;为此,规范规定不同抗震等级框架柱箍筋加密区的体积配箍率相对于钢筋混凝土框架柱可减少15%。
6.4.4 考虑地震作用组合的型钢混凝土框架柱非加密区箍筋的体积配筋率不宜小于加密区的一半;箍筋间距不应大于加密区箍筋间距的2倍。一、二级抗震等级,箍筋间距尚不应大于10倍纵向钢筋直径;三、四级抗震等级,箍筋间距尚不应大于15倍纵向钢筋直径。
条文说明
6.4.4 本条对框架柱非加密区箍筋配置作了规定。
6.4.5 考虑地震作用组合的型钢混凝土框架柱,应采用封闭复合箍筋,其末端应有135°弯钩,弯钩端头平直段长度不应小于10倍箍筋直径。截面中纵向钢筋在两个方向宜有箍筋或拉筋约束。当部分箍筋采用拉筋时,拉筋宜紧靠纵向钢筋并勾住封闭箍筋。在符合箍筋配筋率计算和构造要求的情况下,对箍筋加密区内的箍筋肢距可按现行国家标准《混凝土结构设计规范》GB 50010的规定作适当放松,但应配置不少于两道封闭复合箍筋或螺旋箍筋(图6.4.5)。

图6.4.5 箍筋配置
条文说明
6.4.5 对考虑地震作用组合的型钢混凝土框架柱箍筋配置规定了构造规定。对部分箍筋采用拉结筋时,规范强调了拉筋宜紧靠纵筋并勾住封闭箍筋。考虑到截面中配置了型钢,在符合箍筋配箍率和构造规定情况下,箍筋肢距可作适当放松。
6.4.6 型钢混凝土转换柱箍筋应采用封闭复合箍或螺旋箍,箍筋直径不应小于12mm,箍筋间距不应大于100mm和6倍纵筋直径的较小值并沿全高加密,箍筋末端应有135°弯钩,弯钩端头平直段长度不应小于10倍箍筋直径。
6.4.7 考虑地震作用组合的型钢混凝土转换柱,其箍筋最小配箍特征值λ v 应按本规范表6.4.3的数值增大0.02,且箍筋体积配筋率不应小于1.5%。
条文说明
6.4.6、6.4.7 型钢混凝土转换柱受力大,且较为复杂,其箍筋的配置给予加严。
6.4.8 考虑地震作用组合的剪跨比不大于2的型钢混凝土框架柱,箍筋宜采用封闭复合箍或螺旋箍,箍筋间距不应大于100mm并沿全高加密;其箍筋体积配筋率不应小于1.2%;9度设防烈度时,不应小于1.5%。
条文说明
6.4.8 剪跨比不大于2的框架柱,规范除规定箍筋间距规定全高加密外,还对箍筋体积配筋率作了加严规定;对9度设防烈度的框架柱也作了加严规定。
6.4.9 非抗震设计时,型钢混凝土框架柱和转换柱应采用封闭箍筋,其箍筋直径不应小于8mm,箍筋间距不应大于250mm。
条文说明
6.4.9 对型钢混凝土框架柱和转换柱非抗震设计时的箍筋构造作了规定。
6.5 柱脚设计及构造
6.5 柱脚设计及构造
Ⅰ 一般规定
6.5.1 型钢混凝土柱可根据不同的受力特点采用型钢埋入基础底板(承台)的埋入式柱脚或非埋入式柱脚。考虑地震作用组合的偏心受压柱宜采用埋入式柱脚;不考虑地震作用组合的偏心受压柱可采用埋入式柱脚,也可采用非埋入式柱脚;偏心受拉柱应采用埋入式柱脚(图6.5.1)。

图6.5.1 型钢混凝土柱脚
条文说明
6.5.1 目前工程设计中的型钢混凝土柱的柱脚,根据工程情况,除了采用埋入式柱脚外,也有采用非埋入式柱脚。日本阪神地震震害表明,对无地下室的建筑,其非埋入式柱脚直接设置在±0.00标高,在大地震作用下,柱脚往往因抵御不了巨大的反复倾覆弯矩和水平剪力的作用而破坏。为此,规范规定:偏心受拉柱应采用埋入式柱脚;不考虑地震作用组合的偏心受压柱可采用埋入式柱脚,也可采用非埋入式柱脚。
6.5.2 无地下室或仅有一层地下室的型钢混凝土柱的埋入式柱脚,其型钢在基础底板(承台)中的埋置深度除应符合本规范第6.5.4条规定外,尚不应小于柱型钢截面高度的2.0倍。
6.5.3 型钢混凝土偏心受压柱嵌固端以下有两层及两层以上地下室时,可将型钢混凝土柱伸入基础底板,也可伸至基础底板顶面。当伸至基础底板顶面时,纵向钢筋和锚栓应锚入基础底板并符合锚固要求;柱脚应按非埋入式柱脚计算其受压、受弯和受剪承载力,计算中不考虑型钢作用,轴力、弯矩和剪力设计值应取柱底部的相应设计值。
条文说明
6.5.2、6.5.3 对不同埋置深度的型钢混凝土柱埋入式柱脚进行的试验表明,承受轴向压力、弯矩、剪力作用的埋入式柱脚的埋置深度可由原行业标准《型钢混凝土结构技术规程》JGJ 138-2001规定的“埋置深度不小于柱型钢截面高度的3倍”改为2.0倍,此埋置深度能符合柱端嵌固规定。对于型钢混凝土偏心受压柱嵌固端以下有两层及两层以上地下室时,柱脚除采用埋入式柱脚外,考虑到型钢在嵌固端以下已有一定的埋置深度,而且当柱伸至基础底板顶面时,柱的轴向压力增大,弯矩、剪力一般较小,为便于施工,柱型钢可伸至基础顶面,其柱脚应符合非埋入式柱脚的计算规定。
Ⅱ 埋入式柱脚
6.5.4 型钢混凝土偏心受压柱,其埋入式柱脚的埋置深度应符合下式规定(图6.5.4):

图6.5.4 埋入式柱脚的埋置深度

式中:h B ——型钢混凝土柱脚埋置深度;
M——埋入式柱脚最大组合弯矩设计值;
f c ——基础底板混凝土抗压强度设计值;
b v ——型钢混凝土柱垂直于计算弯曲平面方向的箍筋边长。
条文说明
6.5.4 偏心受压柱埋入柱脚的埋置深度计算公式是假设埋入式柱脚由型钢混凝土柱与基础混凝土之间的侧压力来平衡型钢混凝土柱受到的弯矩和剪力,并对由此建立的计算公式进行简化,通过试验验证,该公式适用于压弯与拉弯两种情况。
6.5.5 型钢混凝土偏心受压柱,其埋入式柱脚在柱轴向压力作用下,基础底板的局部受压承载力应符合现行国家标准《混凝土结构设计规范》GB 50010中有关局部受压承载力计算的规定。
6.5.6 型钢混凝土偏心受压柱,其埋入式柱脚在柱轴向压力作用下,基础底板受冲切承载力应符合现行国家标准《混凝土结构设计规范》GB 50010中有关受冲切承载力计算的规定。
条文说明
6.5.5、6.5.6 型钢混凝土偏心受压柱埋入式柱脚,在轴向压力作用下,基础底板应符合局部受压承载力和受冲切承载力的规定。
6.5.7 型钢混凝土偏心受拉柱,其埋入式柱脚的埋置深度应符合本规范第6.5.2、6.5.4条的规定。基础底板在轴向拉力作用下的受冲切承载力应符合现行国家标准《混凝土结构设计规范》GB 50010中有关受冲切承载力计算的规定,冲切面高度应取型钢的埋置深度,冲切计算中的轴向拉力设计值应按下式计算:

式中:N t ——冲切计算中的轴向拉力设计值;
N tmax ——埋入式柱脚最大组合轴向拉力设计值;
A a ——型钢截面面积;
A c ——全部纵向钢筋截面面积;
f a ——型钢抗拉强度设计值;
f y ——纵向钢筋抗拉强度设计值。
条文说明
6.5.7 型钢混凝土偏心受拉柱的埋入式柱脚冲切计算中,规范规定了冲切面高度和用于冲切验算的轴向拉力设计值。当冲切承载力不符合规定时,可配置抗冲切钢筋,也可在柱脚设置符合锚固构造规定的受拉锚栓。
6.5.8 型钢混凝土柱的埋入式柱脚,其型钢底板厚度不应小于柱脚型钢翼缘厚度,且不宜小于25mm。
条文说明
6.5.8 型钢混凝土偏心受压柱埋入式柱脚,型钢底板应有一定厚度,以满足轴向压力作用要求。
6.5.9 型钢混凝土柱的埋入式柱脚,其埋入范围及其上一层的型钢翼缘和腹板部位应设置栓钉,栓钉直径不宜小于19mm,水平和竖向间距不宜大于200mm,栓钉离型钢翼缘板边缘不宜小于50mm,且不宜大于100mm。
条文说明
6.5.9 型钢混凝土柱的埋入式柱脚的埋入范围及上一层型钢应按构造规定设置栓钉,以保证型钢与混凝土共同工作。
6.5.10 型钢混凝土柱的埋入式柱脚,伸入基础内型钢外侧的混凝土保护层的最小厚度,中柱不应小于180mm,边柱和角柱不应小于250mm(图6.5.10)。
6.5.11 型钢混凝土柱的埋入式柱脚,在其埋入部分顶面位置处,应设置水平加劲肋,加劲肋的厚度宜与型钢翼缘等厚,其形状应便于混凝土浇筑。
6.5.12 埋入式柱脚型钢底板处设置的锚栓埋置深度,以及柱内纵向钢筋在基础底板中的锚固长度,应符合现行国家标准《混凝土结构设计规范》GB 50010的规定,柱内纵向钢筋锚入基础底板部分应设置箍筋。

图6.5.10 埋入式柱脚混凝土保护层厚度
Ⅲ 非埋入式柱脚
条文说明
6.5.10~6.5.12 对型钢混凝土埋入式柱脚,伸入基础内型钢外侧混凝土应具有一定厚度,才能保证对型钢提供侧向压力作用,为此,规范对型钢外侧混凝土保护层厚度提出了规定。对埋入式柱脚,顶面位置应设置水平加劲肋以助于传递弯矩和剪力,柱脚底板应设置锚栓。为保证埋入式柱脚底板有效固定,柱脚底板处设置的锚栓和柱内纵筋在底板下锚固深度应符合相关规范规定,锚入基础底板的纵向钢筋周围应设置构造箍筋,以有效地约束混凝土。
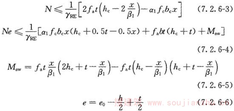
6.5.13 型钢混凝土偏心受压柱,其非埋入式柱脚型钢底板截面处的锚栓配置,应符合下列偏心受压正截面承载力计算规定(图6.5.13):

图6.5.13 柱脚底板锚栓配置计算参数示意


式中:N——非埋入式柱脚底板截面处轴向压力设计值;
M——非埋入式柱脚底板截面处弯矩设计值;
e——轴向力作用点至纵向受拉钢筋与受拉一侧最外排锚栓合力点之间的距离;
e 0 ——轴向力对截面重心的偏心矩;
e a ——附加偏心距;按本规范第6.2.4条规定计算;
A s 、A′ s 、A sa ——纵向受拉钢筋、纵向受压钢筋、受拉一侧最外排锚栓的截面面积;
σ s 、σ sa ——纵向受拉钢筋、受拉一侧最外排锚栓应力;
a——纵向受拉钢筋与受拉一侧最外排锚栓合力点至受拉边缘的距离;
E s ——钢筋弹性模量;
x——混凝土受压区高度;
b、h——型钢混凝土柱截面宽度、高度;
h 0 ——截面有效高度;
ξ b ——相对界限受压区高度;
f y 、f sa ——钢筋抗拉强度设计值、锚拴抗拉强度设计值;
α 1 ——受压区混凝土压应力影响系数,按本规范第5.1.1条取值;
β 1 ——受压区混凝土应力图形影响系数,按本规范第5.1.1条取值。
条文说明
6.5.13 型钢混凝土偏心受压柱,当采用非埋入式柱脚时,基于型钢不埋入基础,柱脚底板截面处的轴力、弯矩、剪力由锚入基础底板的锚栓、纵向钢筋和混凝土承受,为此规范规定其偏心受压的正截面受压承载力宜按现行国家标准《混凝土结构设计规范》GB 50010有关钢筋混凝土偏心受压柱正截面受压承载力计算,不考虑型钢作用。
6.5.14 型钢混凝土偏心受压柱,其非埋入式柱脚在柱轴向压力作用下,基础底板的局部受压承载力应符合现行国家标准《混凝土结构设计规范》GB 50010中有关局部受压承载力计算的规定。
6.5.15 型钢混凝土偏心受压柱,其非埋入式柱脚在柱轴向压力作用下,基础底板的受冲切承载力应符合现行国家标准《混凝土结构设计规范》GB 50010中有关受冲切承载力计算的规定。
条文说明
6.5.14、6.5.15 型钢混凝土偏心受压柱非埋入式柱脚,其基础底板在轴向压力作用下应进行局部受压承载力和受冲切承载力计算。
6.5.16 型钢混凝土偏心受压柱非埋入式柱脚底板截面处的偏心受压正截面承载力不符合本规范第6.5.13条计算规定时,可在柱周边外包钢筋混凝土增大柱截面,并配置计算所需的纵向钢筋及构造规定的箍筋。外包钢筋混凝土应延伸至基础底板以上一层的层高范围,其纵筋锚人基础底板的锚固长度应符合现行国家标准《混凝土结构设计规范》GB 50010的规定,钢筋端部应设置弯钩。
条文说明
6.5.16 型钢混凝土偏心受压柱非埋入式柱脚,当柱脚底板截面处正截面受压承载力不满足要求时,设计中可增大柱截面尺寸,并配置纵向钢筋和箍筋以符合承载力规定。其外包钢筋混凝土应向上延伸一层。
6.5.17 型钢混凝土偏心受压柱,其非埋入式柱脚型钢底板截面处的受剪承载力应符合下列规定(图6.5.17):

式中:V——柱脚型钢底板处剪力设计值;
N B ——柱脚型钢底板下按弹性刚度分配的轴向压力设计值;
N——柱脚型钢底板处与剪力设计值V相应的轴向压力设计值;
A c ——型钢混凝土柱混凝土截面面积;
A a ——型钢混凝土柱型钢截面面积;
b c1 、b c2 ——柱脚型钢底板周边箱形混凝土截面左、右侧沿受剪方向的有效受剪宽度;
h——柱脚底板周边箱形混凝土截面沿受剪方向的高度;
A c 、A s 、A a ——型钢混凝土柱的混凝土截面面积、全部纵向钢筋截面面积、型钢截面面积;
A s1 ——柱脚底板周边箱形混凝土截面沿受剪方向的有效受剪宽度和高度范围内的纵向钢筋截面面积;
A wa ——抗剪连接件型钢腹板的受剪截面面积。
条文说明
6.5.17 型钢混凝土偏心受压柱非埋入式柱脚底板截面处应进行受剪承载力计算,受剪承载力由柱脚型钢底板下轴向压力对底板产生的摩擦力和柱脚型钢底板周边箱形混凝土沿剪力方向两侧边的有效截面及其范围内配置的纵向钢筋抗剪承载力组成。混凝土部分承担的剪力是参考日本有关标准确定直剪状态下混凝土和纵向钢筋的受剪承载力。
6.5.18 型钢混凝土偏心受压柱,其非埋入式柱脚型钢底板厚度不应小于柱脚型钢翼缘厚度,且不宜小于30mm。
6.5.19 型钢混凝土偏心受压柱,其非埋入式柱脚型钢底板的锚栓直径不宜小于25mm,锚栓锚入基础底板的长度不宜小于40倍锚栓直径。纵向钢筋锚人基础的长度应符合受拉钢筋锚固规定,外围纵向钢筋锚入基础部分应设置箍筋。柱与基础在一定范围内混凝土宜连续浇筑。
条文说明
6.5.18、6.5.19 对非埋入式柱脚底板厚度、锚栓和纵向钢筋锚入基础构造、箍筋配置提出规定。基于日本阪神地震的震害经验,对非埋入式柱脚,锚栓直径和埋置深度应具有更高的安全度,为此规范规定锚栓除应满足计算要求外,还应符合相应的构造规定。
6.5.20 型钢混凝土偏心受压柱,其非埋入式柱脚上一层的型钢翼缘和腹板应按本规范第6.5.9条的规定设置栓钉。
条文说明
6.5.20 非埋入式柱脚上一层的型钢翼缘和腹板应设置栓钉,保证型钢与混凝土共同工作。
6.6 梁柱节点计算及构造
6.6 梁柱节点计算及构造
Ⅰ 承载力计算
6.6.1 考虑地震作用组合的型钢混凝土框架梁柱节点的剪力设计值应按下列公式计算:
1 型钢混凝土柱与钢梁连接的梁柱节点


2 型钢混凝土柱与型钢混凝土梁或钢筋混凝土梁连接的梁柱节点


式中:V j ——框架梁柱节点的剪力设计值;
M l au 、M r au ——节点左、右两侧钢梁的正截面受弯承载力对应的弯矩值,其值应按实际型钢面积和钢材强度标准值计算;
M l a 、M r a ——节点左、右两侧钢梁的梁端弯矩设计值;
M l bua 、M r bua ——节点左、右两侧型钢混凝土梁或钢筋混凝土梁的梁端考虑承载力抗震调整系数的正截面受弯承载力对应的弯矩值,其值应按本规范第5.2.1条或现行国家标准《混凝土结构设计规范》GB 50010的规定计算;
M l b 、M r b ——节点左、右两侧型钢混凝土梁或钢筋混凝土梁的梁端弯矩设计值;
H c ——节点上柱和下柱反弯点之间的距离;
Z——对型钢混凝土梁,取型钢上翼缘和梁上部钢筋合力点与型钢下翼缘和梁下部钢筋合力点间的距离;对钢筋混凝土梁,取梁上部钢筋合力点与梁下部钢筋合力点间的距离;
h a ——型钢截面高度,当节点两侧梁高不相同时,梁截面高度h a 应取其平均值;
h b ——梁截面高度,当节点两侧梁高不相同时,梁截面高度h b 应取其平均值。
条文说明
6.6.1 型钢混凝土框架节点包括型钢混凝土柱与钢梁、型钢混凝土梁或钢筋混凝土梁组成的节点,各类节点都需保证在梁端出现塑性铰后,节点不发生剪切脆性破坏,因此梁柱节点的剪力设计值需要调整。
6.6.2 考虑地震作用组合的框架梁柱节点,其核心区的受剪水平截面应符合下式规定:

式中:h j ——节点截面高度,可取受剪方向的柱截面高度;
b j ——节点有效截面宽度,可按本规范第6.6.3条取值;
η j ——梁对节点的约束影响系数,对两个正交方向有梁约束,且节点核心区内配有十字形型钢的中间节点,当梁的截面宽度均大于柱截面宽度的1/2,且正交方向梁截面高度不小于较高框架梁截面高度的3/4时,可取η j =1.3,但9度设防烈度宜取1.25;其他情况的节点,可取η j =1。
条文说明
6.6.2 规定节点截面限制条件,是为了防止混凝土截面过小,造成节点核心区混凝土承受过大的斜压应力,以致使节点发生斜压破坏,混凝土被压碎。规范规定的节点截面限制条件是根据静力剪切试验确定。
6.6.3 框架梁柱节点有效截面宽度应按下列公式计算:


式中:b c ——柱截面宽度;
h c ——柱截面高度;
b b ——梁截面宽度。
条文说明
6.6.3 不同类型梁对型钢混凝土柱的约束作用不同,故其组成节点的有效截面宽度计算公式存在差异。
6.6.4 型钢混凝土框架梁柱节点的受剪承载力应符合下列公式的规定:
1 一级抗震等级的框架结构和9度设防烈度一级抗震等级的各类框架

2 其他各类框架


式中: 
j ——节点位置影响系数,对中柱中间节点取1,边柱节点及顶层中间节点取0.6,顶层边节点取0.3。
条文说明
6.6.4 型钢混凝土梁柱节点试验表明,其受剪承载力由混凝土、箍筋和型钢组成;混凝土的受剪承载力,由于型钢约束作用,混凝土所承担的受剪承载力增大;为安全起见,不考虑轴压力对混凝土受剪承载力的有利影响。基于型钢混凝土柱与各种不同类型的梁形成的节点,其梁端内力传递到柱的途径有差异,给出了不同的梁柱节点受剪承载力计算公式。
6.6.5 型钢混凝土柱与型钢混凝土梁节点双向受剪承载力宜按下式计算:

式中:V jx 、V jy ——X方向、Y方向剪力设计值;
V jux 、V juy ——X方向、Y方向单向极限受剪承载力。
6.6.6 型钢混凝土柱与型钢混凝土梁节点抗裂计算宜符合下列公式的规定:

式中:β——型钢抗裂系数;
t w ——柱型钢腹板厚度;
h w ——柱型钢腹板高度;
c——柱钢筋保护层厚度;
∑M bk ——节点左右梁端逆时针或顺时针方向组合弯矩准永久值之和;
Z——型钢混凝土梁中型钢上翼缘和梁上部钢筋合力点与型钢下翼缘和梁下部钢筋合力点间的距离;
A c ——柱截面面积。
条文说明
6.6.5、6.6.6 在试验研究和分析基础上,给出了型钢混凝土梁柱节点双向受剪承载力计算公式和节点抗裂计算公式。
6.6.7 型钢混凝土框架梁柱节点的梁端、柱端的型钢和钢筋混凝土各自承担的受弯承载力之和,宜分别符合下列公式的规定:

式中:∑M a c ——节点上、下柱端型钢受弯承载力之和;
∑M a b ——节点左、右梁端型钢受弯承载力之和;
∑M rc c ——节点上、下柱端钢筋混凝土截面受弯承载力之和;
∑M rc b ——节点左、右梁端钢筋混凝土截面受弯承载力之和。
条文说明
6.6.7 钢梁或型钢混凝土梁与型钢混凝土柱的连接节点的内力传递机理较复杂,根据日本的试验结果,当梁为型钢混凝土梁或钢梁时,如果型钢混凝土柱中的型钢过小,使型钢混凝土柱中的型钢部分与梁型钢的弯矩分配比在40%以下时,不能充分发挥柱中型钢的抗弯承载力,且在反复荷载作用下,其荷载-位移滞回曲线将出现捏拢现象,由此设计中规定型钢混凝土柱中的型钢部分与梁型钢的弯矩分配比不小于40%。同时,当梁为型钢混凝土梁时,设计规定柱中的混凝土部分与梁中的混凝土部分的弯矩分配比也不小于40%。 当梁为钢筋混凝土梁、柱为型钢混凝土柱时,如果型钢混凝土柱的混凝土截面过小,同样使型钢混凝土柱中的钢筋混凝土的抗弯承载力不能充分发挥,在反复荷载作用下,其荷载-位移滞回曲线也将出现捏拢现象。因此设计中宜符合本规范(6.6.7-2)式的规定。
Ⅱ 梁柱节点形式
6.6.8 型钢混凝土框架梁柱节点的连接构造应做到构造简单,传力明确,便于混凝土浇捣和配筋。梁柱连接可采用下列几种形式:
1 型钢混凝土柱与钢梁的连接
2 型钢混凝土柱与型钢混凝土梁的连接;
3 型钢混凝土柱与钢筋混凝土梁的连接。
6.6.9 在各种结构体系中,型钢混凝土柱与钢梁、型钢混凝土梁或钢筋混凝土梁的连接,其柱内型钢宜采用贯通型,柱内型钢的拼接构造应符合钢结构的连接规定。当钢梁采用箱形等空腔截面时,钢梁与柱型钢连接所形成的节点区混凝土不连续部位,宜采用同等强度等级的自密实低收缩混凝土填充(图6.6.9)。

图6.6.9 型钢混凝土梁柱节点及水平加劲肋
6.6.10 型钢混凝土柱与钢梁或型钢混凝土梁采用刚性连接时,其柱内型钢与钢梁或型钢混凝土梁内型钢的连接应采用刚性连接。当钢梁直接与钢柱连接时,钢梁翼缘与柱内型钢翼缘应采用全熔透焊缝连接;梁腹板与柱宜采用摩擦型高强度螺栓连接;当采用柱边伸出钢悬臂梁段时,悬臂梁段与柱应采用全熔透焊缝连接。具体连接构造应符合国家现行标准《钢结构设计规范》GB 50017、《高层民用建筑钢结构技术规程》JGJ 99的规定(图6.6.10)。

图6.6.10 型钢混凝土柱与钢梁或型钢混凝土梁内型钢的连接构造
条文说明
6.6.8~6.6.10 型钢混凝土梁柱节点包括柱与钢梁、型钢混凝土梁、钢筋混凝土梁连接,节点设计应符合传力明确、可靠、施工方便的规定。在各种结构体系中,梁柱连接最好采用钢梁或型钢混凝土梁与型钢混凝土柱连接的梁柱连接方式,其传力直接,施工简单。型钢混凝土柱中型钢柱的加劲肋布置,除了按钢结构构造配置以外,为保证梁端内力更好地传递,型钢混凝土柱应在梁上、下边缘位置处设置水平加劲肋。型钢混凝土柱与各类梁包括钢筋混凝土梁或型钢混凝土梁的连接,宜采用刚性连接,设计中应从柱型钢截面形式和纵向钢筋的配置上,考虑到便于梁内纵向钢筋贯穿节点,以尽可能减少纵向钢筋穿过柱型钢的数量。
6.6.11 型钢混凝土柱与钢梁采用铰接时,可在型钢柱上焊接短牛腿,牛腿端部宜焊接与柱边平齐的封口板,钢梁腹板与封口板宜采用高强螺栓连接;钢梁翼缘与牛腿翼缘不应焊接(图6.6.11)。

图6.6.11 型钢混凝土柱与钢梁铰接连接
条文说明
6.6.11 型钢混凝土柱与钢梁连接采用铰接连接时,必须保证高强螺栓的施工质量。
6.6.12 型钢混凝土柱与钢筋混凝土梁的梁柱节点宜采用刚性连接,梁的纵向钢筋应伸入柱节点,且应符合现行国家标准《混凝土结构设计规范》GB 50010对钢筋的锚固规定。柱内型钢的截面形式和纵向钢筋的配置,宜减少梁纵向钢筋穿过柱内型钢柱的数量,且不宜穿过型钢翼缘,也不应与柱内型钢直接焊接连接。梁柱连接节点可采用下列连接方式:
1 梁的纵向钢筋可采取双排钢筋等措施尽可能多的贯通节点,其余纵向钢筋可在柱内型钢腹板上预留贯穿孔,型钢腹板截面损失率宜小于腹板面积的20%(图6.6.12a)。
2 当梁纵向钢筋伸入柱节点与柱内型钢翼缘相碰时,可在柱型钢翼缘上设置可焊接机械连接套筒与梁纵筋连接,并应在连接套筒位置的柱型钢内设置水平加劲肋,加劲肋形式应便于混凝土浇灌(图6.6.12b)。
3 梁纵筋可与型钢柱上设置的钢牛腿可靠焊接,且宜有不少于1/2梁纵筋面积穿过型钢混凝土柱连续配置。钢牛腿的高度不宜小于0.7倍混凝土梁高,长度不宜小于混凝土梁截面高度的1.5倍。钢牛腿的上、下翼缘应设置栓钉,直径不宜小于19mm,间距不宜大于200mm,且栓钉至钢牛腿翼缘边缘距离不应小于50mm。梁端至牛腿端部以外1.5倍梁高范围内,箍筋设置应符合现行国家标准《混凝土结构设计规范》GB 50010梁端箍筋加密区的规定(图6.6.12c)。

图6.6.12 型钢混凝土柱与钢筋混凝土梁的连接
条文说明
6.6.12 型钢混凝土柱与钢筋混凝土梁连接节点的刚性连接,规范列出了3种连接方式。当采用梁纵向钢筋伸入节点的连接方式,梁筋应尽量绕过柱内型钢,直接贯通节点,不能贯通的纵向钢筋宜尽量穿过型钢腹板,而不穿过型钢翼缘。在有梁约束情况下的节点区,其抗剪承载力的储备较大,但仍需要规定型钢腹板损失率的限值。关于采取在型钢柱上设置钢牛腿的方法,从试验中发现,在钢牛腿末端位置处,由于截面承载力和刚度突变,很容易发生混凝土挤压破坏,因此,需加强此种连接方式的构造。
6.6.13 型钢混凝土柱与钢梁、钢斜撑连接的复杂梁柱节点,其节点核心区除在纵筋外围设置间距为200mm的构造箍筋外,可设置外包钢板。外包钢板宜与柱表面平齐,其高度宜与梁型钢高度相同,厚度可取柱截面宽度的1/100,钢板与钢梁的翼缘和腹板可靠焊接。梁型钢上、下部可设置条形小钢板箍,条形小钢板箍尺寸应符合下列公式的规定(图6.6.13)。

式中:t w1 ——小钢板箍厚度;
h w1 ——小钢板箍高度;
h b ——钢梁高度;
b c ——柱截面宽度。

图6.6.13 型钢混凝土柱与钢梁连接节点
1-小钢板箍;2-大钢板箍
Ⅲ 构造措施
条文说明
6.6.13 型钢混凝土柱与钢梁连接,并带有斜向钢支撑的复杂梁柱节点,可采用钢板箍代替钢筋箍,以避免箍筋穿筋困难,以及柱节点区上、下边缘混凝土局部压坏。设置钢板箍的节点的受剪承载力可按下式计算: 
式中:tw2——大钢板箍厚度;
hw2——大钢板箍高度。
6.6.14 型钢混凝土节点核心区的箍筋最小直径宜符合本规范第6.4.1条的规定。对一、二、三级抗震等级的框架节点核心区,其箍筋最小体积配筋率分别不宜小于0.6%、0.5%、0.4%;且箍筋间距不宜大于柱端加密区间距的1.5倍,箍筋直径不宜小于柱端箍筋加密区的箍筋直径;柱纵向受力钢筋不应在各层节点中切断。
条文说明
6.6.14 四边有梁约束的型钢混凝土框架节点,其受剪承载力和变形能力较大,因此框架节点的箍筋体积配筋率可适当放松,但箍筋直径不宜小于柱端箍筋加密区的箍筋直径。
6.6.15 型钢柱的翼缘与竖向腹板间连接焊缝宜采用坡口全熔透焊缝或部分熔透焊缝。在节点区及梁翼缘上下各500mm范围内,应采用坡口全熔透焊缝;在高层建筑底部加强区,应采用坡口全熔透焊缝;焊缝质量等级应为一级。
条文说明
6.6.15 为保证梁柱节点区以及梁上、下翼缘500mm范围型钢的整体受力性能,规定了型钢混凝土柱中型钢的焊接做法及焊缝质量等级。
6.6.16 型钢柱沿高度方向,对应于钢梁或型钢混凝土梁内型钢的上、下翼缘处或钢筋混凝土梁的上下边缘处,应设置水平加劲肋,加劲肋形式宜便于混凝土浇筑;对钢梁或型钢混凝土梁,水平加劲肋厚度不宜小于梁端型钢翼缘厚度,且不宜小于12mm;对于钢筋混凝土梁,水平加劲肋厚度不宜小于型钢柱腹板厚度。加劲肋与型钢翼缘的连接宜采用坡口全熔透焊缝,与型钢腹板可采用角焊缝,焊缝高度不宜小于加劲肋厚度。
条文说明
6.6.16 设置水平加劲肋的目的是确保节点内力可靠传递,但加劲肋会影响混凝土的浇筑,因此应采用合理的加劲肋形式减小对混凝土浇筑质量的影响。本条对水平加劲肋的构造作了具体规定。
7 矩形钢管混凝土框架柱和转换柱
7.1 一般规定
7 矩形钢管混凝土框架柱和转换柱
7.1 一般规定
7.1.1 矩形钢管混凝土框架柱和转换柱的截面最小边尺寸不宜小于400mm,钢管壁壁厚不宜小于8mm,截面高宽比不宜大于2。当矩形钢管混凝土柱截面边长大于等于1000mm时,应在钢管内壁设置竖向加劲肋。
7.1.2 矩形钢管混凝土框架柱和转换柱管壁宽厚比b/t、h/t应符合下列公式的规定(图7.1.2):

式中:b、h——矩形钢管管壁宽度、高度;
t——矩形钢管管壁厚度;
f ak ——矩形钢管抗拉强度标准值。

图7.1.2 矩形钢管截面板件应力分布示意
条文说明
7.1.1、7.1.2 对矩形钢管混凝土构件的截面尺寸、钢管壁厚和截面高宽比作出了规定,为避免矩形钢管混凝土柱管壁受压屈曲,除了构造上规定截面边长大于等于1000mm时应在钢管内壁设置竖向加劲肋外,还提出了管壁宽厚比的规定,根据日本资料,矩形钢管混凝土柱的钢管壁的宽厚比限制条件比箱形钢管放宽1.5倍。竖向加劲肋的设计,可按现行国家标准《钢结构设计规范》GB 50017的规定。
7.1.3 矩形钢管混凝土框架柱和转换柱,其内设的钢隔板宽厚比h w1 /t w1 、h w2 /t w2 宜符合本规范第6.1.5条h w /t w 的限值规定(图7.1.3)。

图7.1.3 钢隔板位置及尺寸示意
条文说明
7.1.3 考虑到矩形钢管混凝土构件内设隔板处于混凝土约束状态,其隔板的宽厚比可按型钢混凝土柱的型钢宽厚比规定确定。
7.2 承载力计算
7.2 承载力计算
7.2.1 矩形钢管混凝土框架柱和转换柱,其正截面承载力计算的基本假定应按本规范第5.1.1条的规定采用。
条文说明
7.2.1 计算基本假定与型钢混凝土柱计算基本假定一致。在设计计算中,假定矩形钢管腹板的强度能充分发挥,将其应力分布简化为等效矩形应力图形。
7.2.2 矩形钢管混凝土轴心受压柱的受压承载力应符合下列公式的规定(图7.2.2):

图7.2.2 轴心受压柱受压承载力计算参数示意


式中:N——矩形钢管柱轴向压力设计值;
γ RE ——承载力抗震调整系数;
f a 、f c ——矩形钢管抗压和抗拉强度设计值、内填混凝土抗压强度设计值;
b、h——矩形钢管截面宽度、高度;
b c ——矩形钢管内填混凝土的截面宽度;
h c ——矩形钢管内填混凝土的截面高度;
t——矩形钢管的管壁厚度;
α 1 ——受压区混凝土压应力影响系数,按本规范第5.1.1条取值;
φ——轴心受压柱稳定系数,按本规范第6.2.1条的规定取值。
条文说明
7.2.2 根据钢管和混凝土共同工作的机制,建立轴心受压构件承载力计算公式。事实上,钢管对混凝土的约束效应和混凝土的徐变都会影响对构件的承载力产生影响,但考虑到此影响因素较为复杂,且对矩形钢管混凝土轴心受压构件承载力的提高并不显著,对于管壁较薄的构件更是如此,因此本规范规定的轴心受压承载力计算公式未考虑此影响。
7.2.3 矩形钢管混凝土偏心受压框架柱和转换柱正截面受压承载力应符合下列规定:


图7.2.3-2 小偏心受压柱计算参数示意


式中:e——轴力作用点至矩形钢管远端翼缘钢板厚度中心的距离;
e 0 ——轴力对截面重心的偏心距;
e a ——附加偏心距,按本规范第7.2.4条规定计算;
M——柱端较大弯矩设计值,当考虑挠曲产生的二阶效应时,柱端弯矩M应按现行国家标准《混凝土结构设计规范》GB 50010的规定确定;
N——与弯矩设计值M相对应的轴向压力设计值;
M aw ——钢管腹板轴向合力对受拉或受压较小端钢管翼缘钢板厚度中心的力矩;
σ a ——受拉或受压较小端钢管翼缘应力;
x——混凝土等效受压区高度;
ε cu ——混凝土极限压应变,按本规范第5.1.1条规定确定;
ξ b ——相对界限受压区高度;
h c ——矩形钢管内填混凝土的截面高度;
E a ——钢管弹性模量;
β 1 ——受压区混凝土应力图形影响系数,应按本规范第5.1.1条规定。
条文说明
7.2.3 偏心受压矩形钢管混凝土构件,在本规范第5.1.1条基本假定基础上,按照钢管和混凝土协同工作理论建立计算公式。
7.2.4 矩形钢管混凝土偏心受压框架柱和转换柱的正截面受压承载力计算,应考虑轴向压力在偏心方向存在的附加偏心距,其值宜取20mm和偏心方向截面尺寸的1/30两者中的较大者。
条文说明
7.2.4 由于工程中存在着荷载作用位置的不确定性、混凝土质量的不均匀性及施工偏差等因素,都可能产生附加偏心距。钢管混凝土柱的附加偏心距取值与现行国家标准《混凝土结构设计规范》GB 50010中的规定相同。
7.2.5 矩形钢管混凝土轴心受拉柱的受拉承载力应符合下列公式的规定:

条文说明
7.2.5 矩形钢管混凝土轴心受拉承载力计算,仅考虑钢管管壁承受其轴向拉力。
7.2.6 矩形钢管混凝土偏心受拉框架柱和转换柱正截面受拉承载力应符合下列公式的规定:
1 大偏心受拉(图7.2.6-1)

图7.2.6-1 大偏心受拉柱计算参数示意


2 小偏心受拉(图7.2.6-2)

图7.2.6-2 小偏心受拉柱计算参数示意

条文说明
7.2.6 偏心受拉采用与偏心受压相同的截面计算基本假定,同时假定矩形钢管上、下管壁分别为上、下翼缘,侧管壁为腹板,以此建立矩形钢管混凝土柱偏心受拉承载力计算公式。
7.2.7 矩形钢管混凝土偏心受压框架柱和转换柱的斜截面受剪承载力应符合下列公式的规定:

式中:λ——框架柱计算剪跨比,取上下端较大弯矩设计值M与对应剪力设计值V和柱截面高度h的比值,即M/(Vh);当框架结构中的框架柱反弯点在柱层高范围内时,也可采用1/2柱净高与柱截面高度h的比值;当λ小于1时,取λ=1;当λ大于3时,取λ=3;
N——框架柱和转换柱的轴向压力设计值;当N>0.3f c b c h c 时,取N=0.3f c b c h c 。
条文说明
7.2.7 矩形钢管混凝土柱的受剪性能与型钢混凝土柱相似,偏心受压矩形钢管混凝土柱的斜截面受剪承载力由混凝土和两侧管壁承受,计算中考虑了轴向压力的有利作用。通常情况下,由于矩形钢管抗剪承载力较大,出现构件剪切破坏的情况较少。
7.2.8 矩形钢管混凝土偏心受拉框架柱和转换柱的斜截面受剪承载力应符合下列公式的规定:

式中:N——柱轴向拉力设计值。
条文说明
7.2.8 矩形钢管混凝土框架柱和转换柱偏心受拉时斜截面受剪承载力计算中考虑了轴向拉力对受剪承载力的不利作用。
7.2.9 考虑地震作用组合的框架柱和转换柱的内力设计值应按本规范第6.2.8~6.2.12条规定计算。
条文说明
7.2.9 考虑地震作用组合的矩形钢管混凝土框架柱和转换柱弯矩和剪力设计值的调整与型钢混凝土柱的规定一致。
7.2.10 考虑地震作用组合的矩形钢管混凝土框架柱和转换柱,其轴压比应按下式计算,且不宜大于表7.2.10中规定的限值。

式中:n——柱轴压比;
N——考虑地震作用组合的柱轴向压力设计值;
A c ——矩形钢管内填混凝土面积;
A a ——矩形钢管壁截面面积。
表7.2.10 矩形钢管混凝土框架柱和转换柱的轴压比限值

注:1 剪跨比不大于2的柱,其轴压比限值应比表中数值减小0.05;
2 当混凝土强度等级采用C65~C70时,轴压比限值应比表中数值减小0.05;当混凝土强度等级采用C75~C80时,轴压比限值应比表中数值减小0.10。
条文说明
7.2.10 矩形钢管混凝土柱在不同轴压比低周反复水平力作用下的试验表明,轴压比大小对构件破坏形态和滞回特性影响较大。但根据工程实践经验,在矩形钢管混凝土结构中,当层间位移角限值符合规定后,柱的轴压比一般较小,因此对轴压比没有必要提出更高的规定。规范规定考虑地震作用组合的矩形钢管混凝土框架柱和转换柱的轴压比限值的规定与型钢混凝土柱的规定一致。
7.3 构造措施
7.3 构造措施
7.3.1 矩形钢管混凝土柱与钢梁、型钢混凝土梁或钢筋混凝土梁的连接宜采用刚性连接,矩形钢管混凝土柱与钢梁也可采用铰接连接。当采用刚性连接时,对应钢梁上、下翼缘或钢筋混凝土梁上、下边缘处应设置水平加劲肋,水平加劲肋与钢梁翼缘等厚,且不宜小于12mm;水平加劲肋的中心部位宜设置混凝土浇筑孔,孔径不宜小于200mm;加劲肋周边宜设置排气孔,孔径宜为50mm。
条文说明
7.3.1 梁柱连接宜采用刚接,柱与钢梁也可采用铰接。对刚性连接时矩形钢管混凝土柱节点处水平加劲肋、混凝土浇筑孔和排气孔作出了规定。
7.3.2 矩形钢管混凝土柱边长大于等于2000mm时,应设置内隔板形成多个封闭截面;矩形钢管混凝土柱边长或由内隔板分隔的封闭截面边长大于或等于1500mm时,应在柱内或封闭截面中设置竖向加劲肋和构造钢筋笼。内隔板的厚度宜符合本规范第7.1.3条宽厚比的规定,构造钢筋笼纵筋的最小配筋率不宜小于柱截面或分隔后封闭截面面积的0.3%。
条文说明
7.3.2 为了防止矩形钢管混凝土柱管壁受压屈曲,同时考虑内填混凝土收缩对钢管和混凝土的共同工作性能会产生不利影响,根据构件试验结果,规范规定柱最小边长尺寸大于等于2000mm时应设置内隔板;当矩形钢管混凝土柱边长或分隔的封闭截面最小边长大于或等于1500mm时,在封闭截面中宜设置竖向加劲肋、钢筋笼等构造措施。
7.3.3 每层矩形钢管混凝土柱下部的钢管壁 上应对称设置两个排气孔,孔径宜为20mm。
7.3.4 焊接矩形钢管上、下柱的对接焊缝应采用坡口全熔透焊缝。
7.4 柱脚设计及构造
7.4 柱脚设计及构造
Ⅰ 一般规定
7.4.1 矩形钢管混凝土柱可根据不同的受力特点采用埋入式柱脚或非埋入式柱脚,且应符合本规范第6.5.1条的规定。
条文说明
7.4.1 为更有效地保证矩形钢管混凝土柱脚安全可靠的承受各种外力作用,对矩形钢管混凝土柱的柱脚规定了和型钢混凝土柱脚相同的适用条件。震害表明非埋入式柱脚抗震性能较差,因此规定仅可用于非地震作用的偏心受压柱。
7.4.2 无地下室或仅有一层地下室的矩形钢管混凝土柱的埋入式柱脚,其在基础底板(承台)中的埋置深度除应符合本规范第7.4.4条规定外,尚不应小于矩形钢管柱长边尺寸的2.0倍。
7.4.3 矩形钢管混凝土偏心受压柱嵌固端以下有两层及两层以上地下室时,可将矩形钢管混凝土柱伸入基础底板,也可伸至基础底板顶面。当伸至基础底板顶面时,柱脚锚栓应锚入基础,且应符合锚固规定,柱脚应按非埋入式柱脚计算其受压、受弯和受剪承载力。
条文说明
7.4.2、7.4.3 为确保柱端的嵌固作用,对于无地下室或仅有一层地下室的矩形钢管混凝土埋入式柱脚规定了最小埋深的限制条件。另外,考虑到工程设计中在嵌固端以下有两层及两层以上的地下室时,除采用埋入式柱脚外,还可将柱伸至基础底板顶面,考虑到其柱脚已有相当深的埋深,柱轴力增加,弯矩减小,为方便施工,可采用非埋入式柱脚,但应符合非埋入式柱脚的计算及构造规定。
Ⅱ 埋入式柱脚
7.4.4 矩形钢管混凝土偏心受压柱,其埋入式柱脚的埋置深度应符合下式规定:

式中:h B ——矩形钢管混凝土柱埋置深度;
M——埋入式柱脚弯矩设计值;
f c ——基础底板混凝土抗压强度设计值;
b——矩形钢管混凝土柱垂直于计算弯曲平面方向的柱边长。
条文说明
7.4.4 矩形钢管混凝土柱的埋入式柱脚在埋置深度范围内,基础混凝土对柱的侧压力可以平衡柱承受的弯矩和剪力,为此采用与型钢混凝土柱相同的埋置深度的计算公式,式中b为柱计算弯曲平面方向的柱边长。
7.4.5 矩形钢管混凝土偏心受压柱,其埋入式柱脚在柱轴向压力作用下,基础底板的局部受压承载力应符合现行国家标准《混凝土结构设计规范》GB 50010中有关局部受压承载力计算的规定。
7.4.6 矩形钢管混凝土偏心受压柱,其埋入式柱脚在柱轴向压力作用下,基础底板受冲切承载力应符合现行国家标准《混凝土结构设计规范》GB 50010中有关受冲切承载力计算的规定。
条文说明
7.4.5、7.4.6 矩形钢管混凝土偏心受压柱埋入式柱脚,在轴向压力作用下,基础底板应符合局部受压承载力和受冲切承载力的规定。
7.4.7 矩形钢管混凝土偏心受拉柱,其埋入式柱脚的埋置深度应符合本规范第7.4.2条、第7.4.4条的规定。基础底板在轴向拉力作用下的受冲切计算应符合现行国家标准《混凝土结构设计规范》GB 50010中有关受冲切承载力计算的规定,计算中冲切面高度应取钢管的埋置深度。
7.4.8 矩形钢管混凝土柱埋入式柱脚的钢管底板厚度,不应小于柱脚钢管壁的厚度,且不宜小于25mm。
条文说明
7.4.7、7.4.8 偏心受拉柱的埋入式柱脚,在符合规范规定的埋置深度基础上,基础底板在轴向拉力作用下的受冲切承载力应符合规范规定,计算中冲切面高度取钢管的埋置深度。当冲切承载力不符合规定时,可配置抗冲切钢筋,也可在柱脚处设置符合构造规定的受拉锚栓。柱脚底板从构造上应符合一定厚度的规定。
7.4.9 矩形钢管混凝土柱埋入式柱脚的埋置深度范围内的钢管壁外侧应设置栓钉,栓钉的直径不宜小于19mm,水平和竖向间距不宜大于200mm,栓钉离侧边不宜小于50mm且不宜大于100mm。
条文说明
7.4.9 矩形钢管混凝土的埋入式柱脚,包括偏心受压柱、偏心受拉柱,其埋置深度范围内应设置栓钉,以增加钢管壁与混凝土之间的粘结力以及竖向抗剪能力。
7.4.10 矩形钢管混凝土柱埋入式柱脚,在其埋入部分的顶面位置,应设置水平加劲肋,加劲肋的厚度不宜小于25mm,且加劲肋应留有混凝土浇筑孔。
条文说明
7.4.10 矩形钢管混凝土埋入式柱脚顶面应设置水平加劲肋以增加截面刚度。
7.4.11 矩形钢管混凝土柱埋入式柱脚钢管底板处的锚栓埋置深度,应符合现行国家标准《混凝土结构设计规范》GB 50010的规定。
条文说明
7.4.11 为保证柱脚受力的可靠性,对矩形钢管混凝土柱埋入式柱脚底板处的锚栓埋置深度作出规定。
Ⅲ 非埋入式柱脚
7.4.12 矩形钢管混凝土偏心受压柱,其非埋入式柱脚宜采用由矩形环底板、加劲肋和刚性锚栓组成的柱脚(图7.4.12)。

图7.4.12 矩形钢管混凝土柱非埋入式柱脚
1-锚栓;2-矩形环底板;3-加劲肋;4-基础顶面
条文说明
7.4.12 矩形钢管混凝土偏心受压柱,非埋入式柱脚由矩形环底板、加劲肋和刚性锚栓组成。
7.4.13 矩形钢管混凝土偏心受压柱,其非埋入式柱脚在柱脚底板截面处的锚栓配置,应符合下列偏心受压正截面承载力计算规定:


式中:N——非埋入式柱脚底板截面处轴向压力设计值;
M——非埋入式柱脚底板截面处弯矩设计值;
e——轴向力作用点至受拉一侧锚栓合力点之间的距离;
e 0 ——轴向力对截面重心的偏心矩;
e a ——附加偏心距,应按本规范第7.2.4条规定计算;
A sa ——受拉一侧锚栓截面面积;
f sa ——锚栓强度设计值;
E sa ——锚栓弹性模量;
a sa ——受拉一侧锚栓合力点至柱脚底板近边的距离;
b a 、h a ——柱脚底板宽度、高度;
h 0 ——柱脚底板截面有效高度;
x——混凝土受压区高度;
σ sa ——受拉一侧锚栓的应力值;
α 1 ——受压区混凝土压应力影响系数,按本规范第5.1.1条取值;
β 1 ——受压区混凝土应力图形影响系数,按本规范第5.1.1条取值。
条文说明
7.4.13 矩形钢管混凝土偏心受压柱,当采用非埋入式柱脚时,柱脚底板截面处的轴力、弯矩和剪力由锚入基础底板的锚栓和混凝土承受,所需的锚栓面积应符合正截面受压承载力计算的规定。
7.4.14 矩形钢管混凝土偏心受压柱,其非埋入式柱脚在柱轴向压力作用下,基础底板局部受压承载力应符合现行国家标准《混凝土结构设计规范》GB 50010中有关局部受压承载力计算的规定。
7.4.15 矩形钢管混凝土偏心受压柱,其非埋入式柱脚在柱轴向压力作用下,基础底板受冲切承载力应符合现行国家标准《混凝土结构设计规范》GB 50010中有关受冲切承载力计算的规定。
条文说明
7.4.14、7.4.15 矩形钢管混凝土偏心受压柱非埋入式柱脚,在轴向压力作用下,基础底板应符合局部受压承载力和受冲切承载力的规定。
7.4.16 矩形钢管混凝土偏心受压柱,其非埋入式柱脚底板截面处的偏心受压正截面承载力不符合本规范第7.4.13条规定时,可在钢管周围外包钢筋混凝土增大柱截面,并配置计算所需的纵向钢筋及构造规定的箍筋。外包钢筋混凝土应延伸至基础底板以上一层的层高范围,其纵筋锚入基础底板的锚固长度应符合现行国家标准《混凝土结构设计规范》GB 50010的规定,钢筋端部应设置弯钩。钢管壁外侧应按本规范第7.4.9条设置栓钉。
条文说明
7.4.16 矩形钢管混凝土偏心受压柱采用非埋入式柱脚,其柱脚底板截面处的正截面承载力不能符合计算规定时,可采用外包钢筋混凝土增大柱脚截面并配置计算所需的纵向钢筋和符合构造规定的箍筋,外包范围应延伸至基础底板以上一层的层高范围。
7.4.17 矩形钢管混凝土偏心受压柱,其非埋入式柱脚底板截面处的受剪承载力应符合下列公式的规定:

式中:V——非埋入式柱脚底板截面处的剪力设计值;
N B ——矩形环底板按弹性刚度分配的轴向压力设计值;
N——柱脚底板截面处与剪力设计值V相应的轴向压力设计值;
A c1 ——矩形钢管混凝土柱环形底板内上下贯通的核心混凝土截面面积;
A c ——矩形钢管混凝土柱内填混凝土截面面积;
A a ——矩形钢管混凝土柱钢管壁截面面积;
A wa ——矩形环底板下抗剪连接件型钢腹板的受剪截面面积;
A s1 ——矩形环底板内核心混凝土中配置的纵向钢筋截面面积;
f a ——抗剪连接件的抗拉强度设计值;
f y ——纵向钢筋抗拉强度设计值;
f t ——矩形钢管混凝土柱环形底板内核心混凝土抗拉强度设计值。
条文说明
7.4.17 矩形钢管混凝土偏心受压柱非埋入式柱脚底板截面处,应进行受剪承载力计算。其受剪承载力由环形底板下轴向压力产生的摩擦力和环内核心混凝土的直剪承载力组成。在环形底板下设置抗剪件或核心混凝土内配置钢筋笼时,可考虑其抗剪承载力。
7.4.18 矩形钢管混凝土偏心受压柱,采用矩形环板的非埋入式柱脚构造应符合下列规定:
1 矩形环板的厚度不宜小于钢管壁厚的1.5倍,宽度不宜小于钢管壁厚的6倍;
2 锚栓直径不宜小于25mm,间距不宜大于200mm,锚栓锚入基础的长度不宜小于40倍锚栓直径和1000mm的较大值;
3 钢管壁外加劲肋厚度不宜小于钢管壁厚,加劲肋高度不宜小于柱脚板外伸宽度的2倍,加劲肋间距不应大于柱脚底板厚度的10倍。
条文说明
7.4.18 矩形钢管混凝土偏心受压柱非埋入式柱脚宜采用矩形环板柱脚,本条规定了其构造措施,以保证非埋入式柱脚的可靠性。
7.5 梁柱节点计算及构造
7.5 梁柱节点计算及构造
Ⅰ 承载力计算
7.5.1 考虑地震作用的矩形钢管混凝土框架梁柱节点,其内力设计值应按本规范第6.6.1条的规定计算。
7.5.2 在各种结构体系中,矩形钢管混凝土柱与框架梁或转换梁形成的框架梁柱节点,其框架梁或转换梁宜采用钢梁、型钢混凝土梁,也可采用钢筋混凝土梁。
条文说明
7.5.1、7.5.2 矩形钢管混凝土梁柱节点,其框架梁宜采用钢梁或型钢混凝土梁,以保证其节点具有可靠的承载力和延性性能。节点的内力设计值调整与型钢混凝土柱的梁柱节点相同。
7.5.3 带内隔板的矩形钢管混凝土柱与钢梁的刚性焊接节点,其框架节点受剪承载力应按下列公式计算(图7.5.3):


图7.5.3 带内隔板的刚性节点示意

式中:V j ——梁柱节点剪力设计值;
M uw ——焊缝受弯承载力;
M uj ——内隔板受弯承载力;
N cv ——核心混凝土受剪承载力;
t,t j ——钢管壁、钢管内隔板厚度;
f w ,f a ,f j ——焊缝、柱钢管壁、内隔板抗拉强度设计值;
b c ,h c ——矩形钢管内填混凝土截面宽度、高度;
h b ——钢梁高度;
a c ——钢梁翼缘与钢管柱壁的有效焊缝厚度。
条文说明
7.5.3 带内隔板的矩形钢管混凝土柱与钢梁的刚性焊接节点的抗剪承载力计算公式中分别考虑了柱焊缝、柱腹板、内隔板和混凝土斜压受力对节点的抗剪贡献。 矩形钢管混凝土柱与型钢混凝土梁的连接节点,基于仅考虑梁中型钢的抗剪承载力,可采用与钢梁相同的节点受剪承载力公式。
Ⅱ 梁柱节点形式
7.5.4 矩形钢管混凝土柱与钢梁的连接可采用下列形式:
1 带牛腿内隔板式刚性连接:矩形钢管内设横隔板,钢管外焊接钢牛腿,钢梁翼缘应与牛腿翼缘焊接,钢梁腹板与牛腿腹板宜采用摩擦型高强螺栓连接(图7.5.4-1)。

图7.5.4-1 带牛腿内隔板式梁柱连接示意
2 内隔板式刚性连接:矩形钢管内设横隔板,钢梁翼缘应与钢管壁焊接,钢梁腹板与钢管壁宜采用摩擦型高强螺栓连接(图7.5.4-2)。
3 外环板式刚性连接:钢管外焊接环形牛腿,钢梁翼缘应与环板焊接,钢梁腹板与牛腿腹板宜采用摩擦型高强螺栓连接;环板挑出宽度c应符合下列规定(图7.5.4-3):

式中:t j ——外环板厚度;
f ak ——外环板钢材的屈服强度标准值。
4 外伸内隔板式刚性连接:矩形钢管内设贯通钢管壁的横隔板,钢管与隔板焊接,钢梁翼缘应与外伸内隔板焊接,钢梁腹板与钢管壁宜采用摩擦型高强度螺栓连接(图7.5.4-4)。

图7.5.4-2 内隔板式梁柱连接示意

图7.5.4-3 外隔板式梁柱连接示意

图7.5.4-4 外伸内隔板式梁柱连接示意
条文说明
7.5.4 矩形钢管混凝土柱与钢梁的连接,从承载力和施工构造等方面提出了较为成熟的连接方式。
7.5.5 矩形钢管混凝土柱与型钢混凝土梁的连接可采用焊接牛腿式连接节点,梁内型钢可通过变截面牛腿与柱焊接,梁纵筋应与钢牛腿可靠焊接,钢管柱内对应牛腿翼缘位置应设置横隔板,其厚度应与牛腿翼缘等厚。节点的受剪承载力可按本规范第7.5.3条规定计算(图7.5.5)。

图7.5.5 型钢混凝土梁与矩形钢管混凝土柱连接节点示意
条文说明
7.5.5 矩形钢管混凝土柱与型钢混凝土梁的刚性连接,规范规定可采用焊接牛腿式连接节点,梁纵筋与牛腿焊接。
7.5.6 矩形钢管混凝土柱与钢筋混凝土梁的连接可采用焊接牛腿式连接节点,其钢牛腿高度不宜小于0.7倍梁高,长度不宜小于1.5倍梁高;牛腿上下翼缘和腹板的两侧应设置栓钉,间距不宜大于200mm;梁纵筋与钢牛腿应可靠焊接。钢管柱内对应牛腿翼缘位置应设置横隔板,其厚度应与牛腿翼缘等厚。梁端应设置箍筋加密区,箍筋加密区范围除钢牛腿长度以外,尚应从钢牛腿外端点处为起点并符合箍筋加密区长度的规定;加密区箍筋构造应符合现行国家标准《建筑抗震设计规范》GB 50011和《混凝土结构设计规范》GB 50010的规定(图7.5.6)。

图7.5.6 钢筋混凝土梁与矩形钢管混凝土柱焊接牛腿式连接节点示意
7.5.7 矩形钢管混凝土柱与钢筋混凝土梁采用钢牛腿连接时,其梁端抗剪及抗弯均应由牛腿承担。
条文说明
7.5.6、7.5.7 矩形钢管混凝土柱与现浇钢筋混凝土梁连接的情况,可采用焊接牛腿式连接节点,其梁端抗剪及抗弯均由牛腿承担。 矩形钢管混凝土柱与现浇钢筋混凝土梁的焊接牛腿式连接节点,钢牛腿高度不宜小于0.7倍梁高,主要是考虑到梁中混凝土剪力传递给牛腿时,大部分是通过翼缘板的承压来传递,这需要翼缘有一定的承压面积。抗震设计时,钢牛腿强于钢筋混凝土梁段,因此钢筋混凝土梁的塑性铰区外移了。矩形钢管混凝土柱与钢筋混凝土梁连接节点的受剪承载力的计算是考虑梁端剪力和弯矩由钢牛腿承受。
Ⅲ 构造措施
7.5.8 当矩形钢管混凝土柱与梁刚接,且钢管为四块钢板焊接时,钢管角部的拼接焊缝在节点区以及框架梁上、下不小于600mm以及底层柱柱根以上1/3柱净高范围内应采用全熔透焊缝,其余部位可采用部分熔透焊缝。钢梁的上、下翼缘与牛腿、隔板或柱焊接时,应采用全熔透坡口焊缝,且应在梁上、下翼缘的底面设置焊接衬板。抗震设计时,对采用与柱面直接连接的刚接节点,梁下翼缘焊接用的衬板在翼缘施焊完毕后,应在底面与柱相连处用角焊缝沿衬板全长焊接,或将衬板割除再补焊焊根。当柱钢管壁较薄时,在节点处应加强以利于与钢梁焊接。
条文说明
7.5.8 矩形钢管柱与梁刚接,为保证节点刚性及传力可靠,规定了节点连接的焊接构造做法。在节点区及底层柱等受力复杂部位应采用坡口全熔透焊缝,其余部位可采用部分熔透焊缝,但在施工浇筑混凝土时,应采取有效措施防止钢管爆裂。
7.5.9 矩形钢管混凝土柱短边尺寸不小于1500mm时,钢管角部拼接焊缝应沿柱全高采用全熔透焊缝。
条文说明
7.5.9 考虑到高层建筑底部的柱截面较大,其弯矩作用的反弯点不一定在柱中部,因此规范规定当柱最小边长尺寸不小于1500mm时,钢管角部的拼接焊缝应沿柱高采用全熔透焊缝。
7.5.10 当设防烈度为8度、场地为Ⅲ、Ⅳ类或设防烈度为9度时,柱与钢梁的刚性连接宜采用能将梁塑性铰外移的连接方式。
条文说明
7.5.10 当水平构件为钢梁时,纯钢结构中的做法可以用于矩形钢管混凝土结构中。 常用的钢梁和柱刚性的连接形式有:全部焊接、栓焊混合连接和全部用高强度螺栓连接。全部焊接适合于工厂连接,不适用于工地连接,而全部用高强度螺栓连接费用太高,我国目前大多数采用栓焊混合的现场连接形式。 对8度设防Ⅲ、Ⅳ类场地或9度设防时柱与钢梁的刚性连接,宜采用能将塑性铰外移的连接。具体措施可按现行国家标准《建筑抗震设计规范》GB 50011的规定。
7.5.11 当钢梁与柱为铰接连接时,钢梁翼缘与钢管可不焊接。腹板连接宜采用内隔板式连接形式。
条文说明
7.5.11 高层钢结构中柱与梁的典型刚性连接,是梁腹板用高强度螺栓连接,梁翼缘用焊接。这种接头的施工顺序为,先拧紧腹板上的螺栓,再焊接梁翼缘板的焊缝(“先栓后焊”)。当钢梁与柱铰连接时,钢梁翼缘与柱翼缘或外隔板无须焊接。
7.5.12 矩形钢管混凝土柱内隔板厚度应符合板件的宽厚比限值,且不应小于钢梁翼缘厚度。钢管外隔板厚 度不应小于钢梁翼缘厚度。
条文说明
7.5.12 此规定是为了防止内隔板在管内未填充混凝土时出现失稳破坏。
7.5.13 矩形钢管混凝土柱内竖向隔板与柱的焊接在节点区和框架梁上、下600mm范围应采用坡口全熔透焊。
条文说明
7.5.13 本条对矩形钢管混凝土柱内设置的竖向隔板与钢管的焊接作了规定。
8 圆形钢管混凝土框架柱和转换柱
8.1 一般规定
8 圆形钢管混凝土框架柱和转换柱
8.1 一般规定
8.1.1 圆形钢管混凝土框架柱和转换柱的钢管外直径不宜小于400mm,壁厚不宜小于8mm。
条文说明
8.1.1 圆形钢管的直径不宜过小,以保证混凝土浇筑质量。圆形钢管混凝土柱一般采用薄壁钢管,但钢管壁不宜太薄,以避免钢管壁屈曲。
8.1.2 圆形钢管混凝土框架柱和转换柱的套箍指标θ宜取0.5~2.5;套箍指标应按下式计算:

式中:A c 、f c ——钢管内的核心混凝土横截面面积、抗压强度设计值;
A a 、f a ——钢管的横截面面积、抗拉和抗压强度设计值。
条文说明
8.1.2 套箍指标θ反映了钢管对混凝土的约束程度。θ过小,钢管对混凝土的约束作用不够,影响构件延性;若过大,则钢管壁可能较厚,不经济。
8.1.3 圆形钢管混凝土框架拄和转换柱的钢管外直径与钢管壁厚之比D/t应符合下式规定(图8.1.3):

式中:D——钢管外直径;
t——钢管壁厚;
f ak ——钢管的抗拉强度标准值。

图8.1.3 圆形钢管混凝土柱截面
条文说明
8.1.3 D/t的规定是保证管壁局部稳定的规定,是基于空钢管轴心受压时分析的结果;对于管内存在混凝土的情况是偏于安全的。
8.1.4 圆形钢管混凝土框架柱和转换柱的等效计算长度与钢管外直径之比L c /D不宜大于20。
条文说明
8.1.4 对圆形钢管混凝土柱的等效计算长度与钢管外直径之比的限制相当于限制其长细比不宜大于80。
8.2 承载力计算
8.2 承载力计算
8.2.1 圆形钢管混凝土轴心受压柱的正截面受压承载力应符合下列规定:
1 持久、短暂设计状况

式中:N——圆形钢管混凝土柱的轴向压力设计值;
α——与混凝土强度等级有关的系数,按表8.2.1取值;
[θ]——与混凝土强度等级有关的套箍指标界限值,按表8.2.1取值;
φ l ——考虑长细比影响的承载力折减系数,按本规范第8.2.2条计算。
条文说明
8.2.1 钢管混凝土柱承载力的计算采用基于实验的极限平衡理论。计算公式是在总结国内外约480个试验资料的基础上,用极限平衡法推导得出的。公式中的α系数的取值,主要与混凝土强度等级有关。经大量试验资料归纳分析,并考虑到计算的简便,α系数的取值对普通混凝土(≤C50)取α=2.0;对高强混凝土(C50~C80)取α=1.8。试验结果和理论分析表明,该公式对于钢管与核心混凝土同时受载、仅核心混凝土直接受载以及钢管在弹性极限内预先受载,然后再与核心混凝土共同受载等加载方式均适用。公式中考虑了长细比影响对承载力的折减系数φl。公式右端的系数0.9,是按现行国家标准《混凝土结构设计规范》GB 50010规定,为提高安全度而引入的附加系数。
8.2.2 圆形钢管混凝土轴心受压柱考虑长细比影响的承载力折减系数φ l 应按下列公式计算:

式中:L——柱的实际长度;
D——钢管的外直径;
L e ——柱的等效计算长度;
μ——考虑柱端约束条件的计算长度系数,根据梁柱刚度的比值,按现行国家标准《钢结构设计规范》GB 50017确定。
表8.2.1 系数α、套箍指标界限值[θ]

条文说明
8.2.2 考虑长细比影响的承载力折减系数公式是总结国内外大量试验结果(约340个)得出的经验公式。对于普通混凝土,在Le/D≤50的范围内,对于高强混凝土,在Le/D≤20的范围内,该公式的计算值与试验实测值均符合良好。从现有的试验数据看,钢管径厚比D/t,钢材品种以及混凝土强度等级或套箍指标等的变化,对φl值的影响无明显规律,其变化幅度都在试验结果的离散程度以内,故公式中对这些因素都不予考虑。
8.2.3 圆形钢管混凝土偏心受压框架柱和转换柱的正截面受压承载力应符合下列规定:

式中:φ e ——考虑偏心率影响的承载力折减系数,按本规范第8.2.4条计算;
φ l ——考虑长细比影响的承载力折减系数,按本规范第8.2.5条计算;
φ 0 ——按轴心受压柱考虑的长细比影响的承载力折减系数φ 1 值,按本规范第8.2.2条计算。
条文说明
8.2.3 圆形钢管混凝土偏心受压构件正截面承载力计算原理与轴心受压构件相同,其承载力计算公式采用双系数乘积对轴心受压构件承载力公式进行修正得到。其中双系数乘积规律是根据试验结果确定的,经用国内外大量试验结果(约360个)复核,证明该公式与试验结果符合良好。
8.2.4 圆形钢管混凝土框架柱和转换柱考虑偏心率影响的承载力折减系数φ e ,应按下列公式计算:

式中:e 0 ——柱端轴向压力偏心距之较大值;
r c ——核心混凝土横截面的半径;
M——柱端较大弯矩设计值;
N——轴向压力设计值。
条文说明
8.2.4 由极限平衡理论建立的钢管混凝土柱在轴力N和端弯矩M共同作用下的广义屈服条件,在M-N直角坐标系中是一条外凸曲线,并可足够精确地简化为两条直线AB和BC(图8.2.4-1)。其中A为轴心受压;C为纯弯受力状态,由试验数据得纯弯时的抗弯强度取M0=0.3Norc;B为大小偏心受压的分界点,
=1.55,Mu=M1=0.4Norc。 
计算中定义考虑偏心率影响的承载力折减系数
,经简单变换后,可得公式(8.2.4-1)和(8.2.4-3)。令二式的φe相等,即得界限偏心率
=1.55。 考虑偏心率影响的承载力折减系数φe的计算公式是通过试验所得的相关曲线建立的,对高强混凝土的钢管混凝土柱,其折减系数φe实测值与计算值吻合较好。
8.2.5 圆形钢管混凝土偏心受压框架柱和转换柱考虑长细比影响的承载力折减系数φ l 应按下列公式计算:

式中:k——考虑柱身弯矩分布梯度影响的等效长度系数,按本规范第8.2.6条计算。
8.2.6 圆形钢管混凝土框架柱和转换柱考虑柱身弯矩分布梯度影响的等效长度系数k,应按下列公式计算(图8.2.6):


图8.2.6 框架有无侧移示意图

式中:β——柱两端弯矩设计值之绝对值较小者M 1 与较大者M 2 的比值;单向压弯时,β为正值;双曲压弯时,β为负值。
条文说明
8.2.5、8.2.6 规范规定的等效计算长度考虑了柱端约束条件(转动和侧移)和沿柱身弯矩分布梯度等因素对柱承载力的影响。 柱端约束条件的影响,借引入“计算长度”的办法予以考虑,与现行国家标准《钢结构设计规范》GB 50017所采用的办法完全相同。其中有侧移框架和无侧移框架的判定标准按现行国家标准《钢结构设计规范》GB 50017采用。 为考虑沿柱身弯矩分布梯度的影响,在实用上可采用等效标准单元柱的办法予以考虑。即将各种一次弯矩分布图不为矩形的两端铰支柱以及悬臂柱等非标准柱转换为具有相同承载力的一次弯矩分布图呈矩形的等效标准柱。我国《钢结构设计规范》GB 50017和国外的一些结构设计规范,例如美国ACI混凝土结构规范,采用的是等效弯矩法,即将非标准柱的较大端弯矩予以缩减,取等效弯矩系数c≤1,相应的柱长保持不变(图2a);本规范采用的则是等效长度法,即将非标准柱的长度予以缩减,取等效长度系数k≤1,相应的柱端较大弯矩M2保持不变(图2b)。两种处理办法的效果是相同的。本规范采用等效长度法,在概念上更为直观,对于在实验中观察到的双曲压弯下的零挠度点漂移现象,更易于解释。根据试验研究结果建立了等效长度系数的经验公式。 
8.2.7 圆形钢管混凝土轴心受拉柱的正截面受拉承载力应符合下列公式的规定:

8.2.8 圆形钢管混凝土偏心受拉框架柱和转换柱的正截面受拉承载力应符合下列公式的规定:


式中:N——圆形钢管混凝土柱轴向拉力设计值;
M——圆形钢管混凝土柱柱端较大弯矩设计值;
N ut ——圆形钢管混凝土柱轴心受拉承载力计算值;
M u ——圆形钢管混凝土柱正截面受弯承载力计算值;
N 0 ——圆形钢管混凝土轴心受压短柱的承载力计算值。
8.2.9 圆形钢管混凝土框架柱和转换柱轴力为0的正截面受弯承载力应符合下列公式的规定:

式中:M u ——圆形钢管混凝土柱正截面受弯承载力计算值,按本规范第8.2.8条计算。
条文说明
8.2.7~8.2.9 虽然钢管混凝土柱的优势在抗压,只宜作受压构件,但在个别特殊工况下,钢管混凝土柱也可能有处于受拉状态的情况。为验算这种工况下的安全性,本规范增加了钢管混凝土柱轴向受拉承载能力的计算方法。计算中假定钢管承担全部拉力,不考虑核心混凝土的作用。这对于小偏心受拉,即偏心距不超过截面核心点(e0≤0.25rc)是合适的,对于大偏心受拉,因忽略核心混凝土的抗压作用,则偏于保守。
8.2.10 圆形钢管混凝土偏心受压框架柱和转换柱,当剪跨小于柱直径D的2倍时,应验算其斜截面受剪承载力。斜截面受剪承载力应符合下列公式的规定:


式中:V——柱剪力设计值;
N——与剪力设计值对应的轴向力设计值;
M——与剪力设计值对应的弯矩设计值;
D——钢管混凝土柱的外径;
a——剪跨。
条文说明
8.2.10 钢管混凝土柱的钢管,是一种特殊形式的配筋,系三维连续的配筋场,既是纵筋,又是横向箍筋,无论构件受到压、拉、弯、剪、扭等何种作用,钢管均可随着应变场的变化而自行调节变换其配筋功能。一般情况下,钢管混凝土柱主要受压弯作用,在按压弯构件确定了柱的钢管截面尺寸和套箍指标后,其抗剪配筋场亦相应确定,不需做抗剪配筋设计。以往的试验观察表明,钢管混凝土柱在剪跨柱径比a/D>2时,都是弯曲型破坏。在一般建筑工程中的钢管混凝土框架柱,其高度与柱径之比(即剪跨柱径比)大都在3以上,横向抗剪问题不突出。工程实践表明,在某些情况下,例如钢管混凝土柱之间设有斜撑的节点处,大跨重载梁的梁柱节点区等,仍可能出现钢管混凝土小剪跨抗剪问题。为解决这一问题,进行了专门的抗剪试验研究,并根据试验结果提出了本条的计算公式。
8.2.11 考虑地震作用组合的圆形钢管混凝土框架柱和转换柱的内力设计值应按本规范第6.2.8~6.2.12条的规定计算。
条文说明
8.2.11 考虑地震作用组合的圆形钢管混凝土框架柱和转换柱的内力调整与型钢混凝土柱相同。
8.3 构造措施
8.3 构造措施
8.3.1 圆形钢管混凝土柱与钢梁、型钢混凝土梁或钢筋混凝土梁的连接宜采用刚性连接,圆形钢管混凝土柱与钢梁也可采用铰接连接。对于刚性连接,柱内或柱外应设置与梁上、下翼缘位置对应的水平加劲肋,设置在柱内的水平加劲肋应留有混凝土浇筑孔;设置在柱外的水平加劲肋应形成加劲环肋。加劲肋的厚度与钢梁翼缘等厚,且不宜小于12mm。
条文说明
8.3.1 圆钢管柱与钢梁、型钢混凝土梁或钢筋混凝土梁的连接宜采用刚性连接,本条规定了刚性连接时圆钢管柱加劲肋设置的构造措施。
8.3.2 圆形钢管混凝土柱的直径大于或等于2000mm时,宜采取在钢管内设置纵向钢筋和构造箍筋形成芯柱等有效构造措施,减少钢管内混凝土收缩对其受力性能的影响。
条文说明
8.3.2 当钢管直径过大时,管内混凝土收缩会造成钢管与混凝土脱开,影响钢管与混凝土的共同受力,因此需要采取有效措施减少混凝土收缩的影响,如在钢管内配置芯柱等构造措施。
8.3.3 焊接圆形钢管的焊缝应采用坡口全熔透焊缝。
条文说明
8.3.3 钢管混凝土柱的钢管除纵向受压外,同时承受环向拉力作用。因此,规定采用熔透的等强对接焊缝。
8.4 柱脚设计及构造
8.4 柱脚设计及构造
Ⅰ 一般规定
8.4.1 圆形钢管混凝土柱可根据不同的受力特点采用埋入式柱脚或非埋入式柱脚,且应符合本规范第6.5.1条的规定。
条文说明
8.4.1 根据工程情况,圆形钢管混凝土柱的柱脚除采用埋入式柱脚外,也有非埋入式柱脚。震害表明,非埋入式柱脚在大地震作用下,柱脚往往因抵御不了巨大的地震作用而破坏。为保证柱脚的安全,规范规定了柱脚的适用条件,非埋入式柱脚仅可用于非地震作用的偏心受压柱。
8.4.2 无地下室或仅有一层地下室的圆形钢管混凝土柱的埋入式柱脚,其在基础中的埋置深度除应符合本规范第8.4.4条计算规定外,尚不应小于圆形钢管直径的2.5倍。
8.4.3 圆形钢管混凝土偏心受压柱嵌固端以下有两层及两层以上地下室时,可将圆形钢管混凝土柱伸入基础底板,也可伸至基础底板顶面。当伸至基础底板顶面时,柱脚锚栓应锚入基础,且应符合锚固规定,柱脚应按非埋入式柱脚计算其受压、受弯和受剪承载力。
条文说明
8.4.2、8.4.3 通过对圆形钢管混凝土柱,采用不同埋置深度的埋入式柱脚试验表明,承受轴向压力、弯矩、剪力作用的埋入式柱脚的埋置深度可取为2.5倍钢管直径,此埋置深度能符合柱端嵌固规定。对于有两层及两层以上地下室的柱脚,除采用埋入式柱脚外,考虑到此时作用于柱脚的弯矩一般较小,为便于施工,可采用非埋入式柱脚,但应符合非埋入式柱脚的计算及构造规定。
Ⅱ 埋入式柱脚
8.4.4 圆形钢管混凝土偏心受压柱,其埋入式柱脚的埋置深度应符合下式规定:

式中:h B ——圆形钢管混凝土柱埋置深度;
M——埋入式柱脚弯矩设计值;
D——钢管柱外直径。
条文说明
8.4.4 圆形钢管混凝土偏心受压柱埋入柱脚的埋置深度计算公式是假设埋入式柱脚由钢管混凝土柱与基础混凝土之间的侧压力来平衡钢管混凝土柱受到的弯矩和剪力,并对由此建立的计算公式进行简化,并与试验结果进行比较,该公式适用于压弯与拉弯两种情况。
8.4.5 圆形钢管混凝土偏心受压柱,其埋入式柱脚在柱轴向压力作用下,基础底板的局部受压承载力应符合现行国家标准《混凝土结构设计规范》GB 50010中有关局部受压承载力计算的规定。
8.4.6 圆形钢管混凝土偏心受压柱,其埋入式柱脚在柱轴向压力作用下,基础底板受冲切承载力应符合现行国家标准《混凝土结构设计规范》GB 50010中的有关受冲切承载力计算的规定。
条文说明
8.4.5、8.4.6 圆形钢管混凝土偏心受压柱的埋入式柱脚,在柱轴向压力作用下,基础底板应符合局部受压承载力和受冲切承载力规定。
8.4.7 圆形钢管混凝土偏心受拉柱,其埋入式柱脚的埋置深度应符合本规范第8.4.2条、第8.4.4条的规定。基础底板在柱轴向拉力作用下的受冲切计算应符合现行国家标准《混凝土结构设计规范》GB 50010中有关受冲切承载力计算的规定,计算中冲切面高度可取钢管的埋置深度。
条文说明
8.4.7 圆形钢管混凝土偏心受拉柱的埋入式柱脚,在符合规范规定的埋置深度基础上,基础底板在轴向拉力作用下的受冲切承载力应符合规范规定,计算中冲切面高度取钢管的埋置深度。当冲切承载力不符合规定时,可配置抗冲切钢筋,也可在柱脚处设置符合构造规定的受拉锚栓。
8.4.8 圆形钢管混凝土柱埋入式柱脚的柱脚底板厚度不应小于圆形钢管壁厚,且不应小于25mm。
8.4.9 圆形钢管混凝土柱埋入式柱脚的埋置深度范围内的钢管壁外侧应设置栓钉,栓钉的直径不宜小于19mm,水平和竖向间距不宜大于200mm。
条文说明
8.4.8、8.4.9 规范对圆形钢管混凝土柱埋入式柱脚底板厚度以及埋置深度范围内栓钉设置作出了规定。
8.4.10 圆形钢管混凝土柱埋入式柱脚,在其埋入部分的顶面位置,应设置水平加劲肋,加劲肋的厚度不宜小于25mm,且加劲肋应留有混凝土浇筑孔。
条文说明
8.4.10 埋入式柱脚的埋入部分顶面位置,应设置水平加劲肋,以利于圆钢管整体工作,增加截面刚度。
8.4.11 圆形钢管混凝土柱埋入式柱脚钢管底板处的锚栓埋置深度,应符合现行国家标准《混凝土结构设计规范》GB 50010的规定。
条文说明
8.4.11 为保证柱脚受力的可靠性,对圆形钢管混凝土柱埋入式柱脚底板处的锚栓埋置深度作出规定。
Ⅲ 非埋入式柱脚
8.4.12 圆形钢管混凝土偏心受压柱,其非埋入式柱脚底板宜采用由环形底板、加劲肋和刚性锚栓组成的端承式柱脚(图8.4.12)。
条文说明
8.4.12 圆形钢管混凝土偏心受压柱非埋入式柱脚,由环形底板、加劲肋和刚性锚栓组成。
8.4.13 圆形钢管混凝土偏心受压柱,其非埋入式柱脚在柱脚底板截面处的锚栓配置,应符合下列偏心受压正截面承载力计算公式的规定(图8.4.13):

图8.4.12 圆形钢管混凝土柱非埋入式柱脚
1-锚栓;2-环形底板;3-加劲肋;4-基础顶面

图8.4.13 柱脚环形底板锚栓配置计算

式中:N——柱脚底板截面处轴向压力设计值;
M——柱脚底板截面处弯矩设计值;
e 0 ——轴向力对截面重心的偏心矩;
e a ——考虑荷载位置不定性、材料不均匀、施工偏差等引起的附加偏心距;按本规范第6.2.4条规定计算;
A sa ——锚栓总截面面积;
A——柱脚底板外边缘围成的圆形截面面积;
r——柱脚底板外边缘围成的圆形截面半径;
r s ——锚栓中心所在圆周半径;
α——对应于受压区混凝土截面面积的圆心角(rad)与2π的比值;
α t ——纵向受拉锚栓截面面积与总锚栓截面面积的比值,当α t 大于0.625时,取α t为0;
f sa ——锚栓强度设计值;
α 1 ——受压区混凝土压应力影响系数,按本规范第5.1.1条取值;
β 1 ——受压区混凝土应力图形影响系数,按本规范第5.1.1条取值。
条文说明
8.4.13 圆形钢管混凝土偏心受压柱采用非埋入式柱脚,设计中应重视柱脚底板截面处锚栓的配置,在轴压力、弯矩作用下,锚栓配置应符合正截面受压承载力的规定。计算中不考虑受压锚栓的作用。
8.4.14 圆形钢管混凝土偏心受压柱,其非埋入式柱脚在轴向压力作用下,基础底板局部受压承载力应符合现行国家标准《混凝土结构设计规范》GB 50010中的有关局部受压承载力计算的规定。
8.4.15 圆形钢管混凝土偏心受压柱,其非埋入式柱脚在轴向压力作用下,基础底板受冲切承载力应符合现行国家标准《混凝土结构设计规范》GB 50010中有关受冲切承载力计算的规定。
条文说明
8.4.14、8.4.15 圆形钢管混凝土偏心受压柱非埋入式柱脚,在轴向压力作用下,基础底板应符合局部受压承载力和受冲切承载力的规定。
8.4.16 圆形钢管混凝土偏心受压柱,其非埋入式柱脚底板截面处的偏心受压正截面承载力不符合本规范第8.4.13条计算规定时,可在钢管周围外包钢筋混凝土增大柱截面,并配置计算所需的纵向钢筋及构造规定的箍筋。外包钢筋混凝土应延伸至基础底板以上一层的层高范围,其纵筋锚入基础底板的锚固长度应符合现行国家标准《混凝土结构设计规范》GB 50010的规定,钢筋端部应设置弯钩。钢管壁外侧应按本规范第8.4.9条规定设置栓钉。
条文说明
8.4.16 圆形钢管混凝土偏心受压柱采用非埋入式柱脚,其柱脚底板截面处的正截面承载力不能符合计算规定时,可采用在钢管壁外外包钢筋混凝土,外包范围应延伸至基础底板以上一层的层高范围,以避免层间承载力和刚度突变。
8.4.17 圆形钢管混凝土偏心受压柱,其非埋入式柱脚底板截面处的受剪承载力应符合下列公式的规定:

式中:V——非埋入式柱脚底板截面处的剪力设计值;
N B ——环形底板按弹性刚度分配的轴向压力设计值;
N——柱脚底板截面处与剪力设计值V相应的轴向压力设计值;
A c1 ——环形底板内上下贯通的核心混凝土截面面积;
A c ——圆形钢管混凝土柱内填混凝土截面面积;
A a ——圆形钢管截面面积;
A wa ——环形底板下抗剪连接件型钢腹板的受剪截面面积;
A s1 ——环形底板内核心混凝土中配置的纵向钢筋截面面积;
f a ——抗剪连接件的抗压强度设计值;
f y ——环形底板内核心混凝土中配置的纵向钢筋抗压强度设计值;
f t ——环形底板内核心混凝土抗拉强度设计值。
条文说明
8.4.17 圆形钢管混凝土偏心受压柱非埋入式柱脚,应符合钢管底板下截面受剪承载力的规定,其受剪承载力由柱脚钢管底板下轴压力产生的水平摩擦力和底板内贯通混凝土的直剪承载力组成。钢管底板下的摩擦力取0.4倍的轴压力,贯通混凝土直剪强度取1.5ft。当摩擦力和混凝土直剪承载力不足以抵抗柱脚水平剪力时,应设置抗剪连接件。如构造需要在混凝土核心部分配置芯柱时,其纵向钢筋可计入柱脚受剪承载力计算。
8.4.18 圆形钢管混凝土偏心受压柱,采用环形底板的非埋入式柱脚构造宜符合下列规定:
1 环形底板的厚度不宜小于钢管壁厚的1.5倍,且不应小于20mm;
2 环形底板的宽度不宜小于钢管壁厚的6倍;且不应小于100mm;
3 钢管壁外加劲肋厚度不宜小于钢管壁厚,加劲肋高度不宜小于柱脚板外伸宽度的2倍,加劲肋间距不应大于柱脚底板厚度的10倍;
4 锚栓直径不宜小于25mm,间距不宜大于200mm,锚栓锚入基础的长度不宜小于40倍锚栓直径和1000mm的较大值。
条文说明
8.4.18 本条规定了环形底板非埋入式柱脚的构造措施。
8.5 梁柱节点形式及构造
8.5 梁柱节点形式及构造
8.5.1 在各种结构体系中,圆形钢管混凝土柱与框架梁或转换梁连接的梁柱节点,其框架梁或转换梁宜采用钢梁、型钢混凝土梁,也可采用钢筋混凝土梁。
条文说明
8.5.1 考虑到节点抗震性能及构造的难易性,钢管混凝土柱宜优先采用钢梁或型钢混凝土梁。
8.5.2 圆形钢管混凝土柱与钢梁的连接可采用外加强环或内加强环形式,并应符合下列规定:
1 外加强环应是环绕柱的封闭钢环,外加强环与钢管外壁应采用全熔透焊缝连接,外加强环与钢梁应采用栓焊连接,环板厚度不宜小于钢梁翼缘厚度,宽度(c)不宜小于钢梁翼缘宽度的0.7倍(图8.5.2-1)。

图8.5.2-1 钢梁与圆形钢管混凝土柱外设置加强环连接构造
1-外加强环
2 内加强环与钢管外壁应采用全熔透焊缝连接;梁与柱可采用现场焊缝连接,也可以在柱上设置悬臂梁段现场拼接,型钢翼缘应采用全熔透焊缝,腹板宜采用摩擦型高强螺栓连接(图8.5.2-2)。

图8.5.2-2 钢梁与圆形钢管混凝土柱设置内加强环连接构造
1-内加强环
条文说明
8.5.2 钢管混凝土柱与钢梁用外加强环的连接是常用的刚接节点。在正对钢梁的上下翼缘,在管柱上用坡口对接熔透焊缝焊接带短梁(牛腿)的加强环。牛腿的尺寸和所连接的钢梁相同。其翼缘的连接可用高强度螺栓,也可用对接焊缝,对接焊缝必须与母材等强;腹板的连接常采用高强度螺栓。采用内加强环连接时,梁与柱之间最好通过悬臂梁段连接。悬臂梁段在工厂与钢管采用全焊连接,即梁翼缘与钢管壁全熔透坡口焊缝连接、梁腹板与为钢管壁角焊缝连接;悬臂梁段在现场与梁拼接,可以采用栓焊连接,也可以采用全螺栓连接。采用不等截面悬臂梁段,即翼缘端部加宽或腹板加腋或同时翼缘端部加宽和腹板加腋,或采用梁端加盖板或骨形连接,均可有效转移塑性铰,避免悬臂梁段与钢管的连接破坏。
8.5.3 圆形钢管混凝土柱与钢筋混凝土梁连接时,钢管外剪力传递可采用环形牛腿或承重销;钢管混凝土柱与钢筋混凝土无梁楼板或井式密肋楼板连接时,钢管外剪力传递可采用台锥式环形深牛腿;其构造应符合下列规定:
1 环形牛腿或台锥式环形深牛腿由均匀分布的肋板和上、下加强环组成,肋板与钢管壁、加强环与钢管壁及肋板与加强环均可采用角焊缝连接;牛腿下加强环应预留直径不小于50mm的排气孔(图8.5.3-1)。其受剪承载力宜按下列公式计算:


图8.5.3-1 环形牛腿、台锥式深牛腿构造
1-上加强环;2-下加强环;3-腹板(肋板);4-钢管混凝土柱;5-根据上加强环宽确定是否开孔

式中:V u1 ——由环形牛腿支承面上的混凝土局部承压强度决定的受剪承载力;
V u2 ——由肋板抗剪强度决定的受剪承载力;
V u3 ——由肋板与管壁的焊接强度决定的受剪承载力;
V u4 ——由环形牛腿上部混凝土的直剪(或冲切)强度决定的受剪承载力;
V u5 ——由环形牛腿上、下环板决定的受剪承载力;
β 2 ——混凝土局部承压强度提高系数,β 2 可取为1;
D——钢管的外径;
b——环板的宽度;
l——直剪面的高度;
t——环板的厚度;
n——肋板的数量;
h w ——肋板的高度;
t w ——肋板的厚度;
f v ——钢材的抗剪强度设计值;
f a ——钢材的抗拉(压)强度设计值;
∑l w ——肋板与钢管壁连接角焊缝的计算总长度;
h e ——角焊缝有效高度;
f w f ——角焊缝的抗剪强度设计值。
2 钢管混凝土柱外径较大时,可采用承重销传递剪力。承重销的腹板和部分翼缘应深入柱内,其截面高度宜取梁截面高度的0.5倍,翼缘板穿过钢管壁不少于50mm,钢管与翼缘板、钢管与穿心腹板应采用全熔透坡口焊缝连接,其余焊缝可采用角焊缝连接(图8.5.3-2)。

图8.5.3-2 承重销构造
条文说明
8.5.3 环形牛腿(台锥式环形深牛腿)的受剪承载力由5个环节中的最薄弱环节决定。公式(8.5.3-2)~(8.5.3-6)分别用来计算这5个环节。为了简化,公式未考虑管外剪力的不均匀分布(不利因素),因此,计算时应取与环形牛腿相连接的各梁中最大的梁端剪力乘以梁端的数量,作为该牛腿的管外剪力V的设计值。此外,公式未考虑某些有利因素,以留作安全储备,如:取混凝土局部承压强度提高系数β=1.0;不计混凝土与钢管壁接触面的粘结强度;不计上下加强环板对肋板受剪承载力的贡献;不计上下加强环板与钢管壁之间的焊缝沿钢管轴向的抗剪强度。 公式(8.5.3-6)用于计算由上下加强环决定的受剪承载力。推导如下:由钢管外剪力V在钢管柱单位周长上产生的扭矩为: 
式中:fa——钢材的抗拉(压)强度设计值;
b——环板的宽度;
t——环板的厚度;
hw——肋板的高度。 
式中:b1,t1——分别为较窄环板的宽度和厚度。 本条还规定了传递剪力的承重销的构造措施。
8.5.4 钢筋混凝土梁与圆形钢管混凝土柱的弯矩传递可采用设置钢筋混凝土环梁或纵向钢筋直接穿入梁柱节点,其构造应符合下列规定:
1 钢筋混凝土环梁的配筋应由计算确定,环梁的构造应符合下列规定(图8.5.4-1):
1)环梁截面高度宜比框架梁高50mm;
2)环梁的截面宽度不宜小于框架梁宽度;
3)钢筋混凝土梁的纵向钢筋应伸入环梁,在环梁内的锚固长度应符合现行国家标准《混凝土结构设计规范》GB 50010的规定;
4)环梁上、下环筋的截面积,分别不应小于梁上、下纵筋截面积的0.7倍;
5)环梁内、外侧应设置环向腰筋,其直径不宜小于16mm,间距不宜大于150mm;
6)环梁按构造设置的箍筋直径不宜小于10mm,外侧间距不宜大于150mm。

图8.5.4-1 钢筋混凝土环梁构造示意图
1-钢管混凝土柱;2-主梁环筋;3-框架梁纵筋;4-环梁箍筋
2 钢筋直接穿入梁柱节点时,宜采用双筋并股穿孔,钢管开孔的区段应采用内衬管段或外套管段与钢管壁紧贴焊接,衬(套)管的壁厚不应小于钢管的壁厚,穿筋孔的环向净距s不应小于孔的长径b,衬(套)管端面至孔边的净距w不应小于孔长径b的2.5倍(图8.5.4-2)。

图8.5.4-2 钢筋直接穿入梁柱节点构造示意图
1-双钢筋;2-内衬管段;3-柱钢管;4-双筋并股穿孔
条文说明
8.5.4 规定了钢筋混凝土环梁的构造措施,目的是使框架梁端弯矩能平稳地传递给钢管混凝土柱,并使环梁不先于框架梁端出现塑性铰。环梁的配筋计算,可参考有关文献。“穿筋”节点增设内衬管或外套管,是为了弥补钢管开孔所造成的管壁削弱。穿筋后,孔与筋的间隙可以补焊。框架梁端可水平加腋,梁的部分纵筋宜从柱侧绕过,以减少穿筋的数量。 钢筋混凝土梁与钢管混凝土柱的连接方式,上一条及本条分别针对管外剪力传递和管外弯矩传递两个方面做了具体规定,在相应条文的图示中只针对剪力传递或弯矩传递的一个方面做了表示,工程中的连接节点可以根据工程特点采用不同的剪力和弯矩传递方式进行组合。
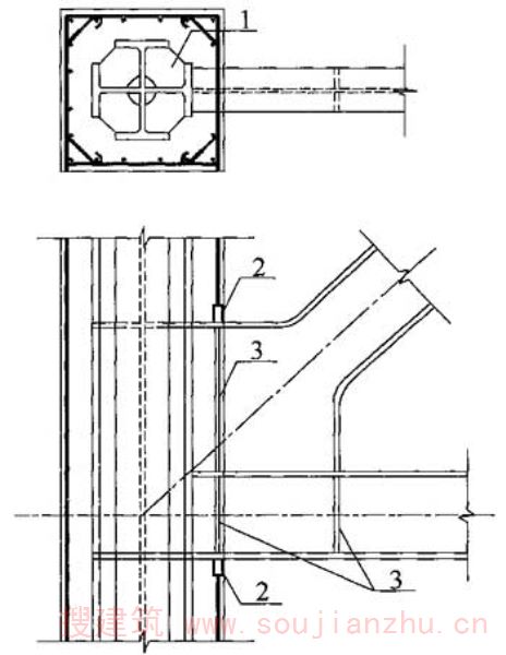
9 型钢混凝土剪力墙
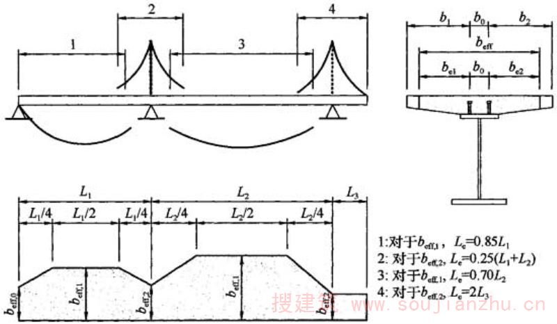
9.1 承载力计算
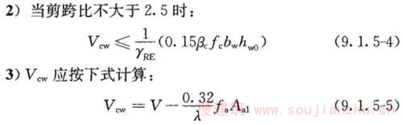
9 型钢混凝土剪力墙
9.1 承载力计算
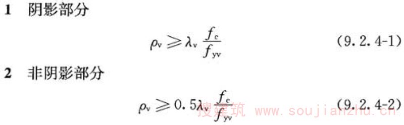
9.1.1 型钢混凝土偏心受压剪力墙,其正截面受压承载力应符合下列规定(图9.1.1):

图9.1.1 型钢混凝土偏心受压剪力墙正截面受压承载力计算参数示意


式中:e 0 ——轴向压力对截面重心的偏心矩;
e——轴向力作用点到受拉型钢和纵向受拉钢筋合力点的距离;
M——剪力墙弯矩设计值;
N——剪力墙弯矩设计值M相对应的轴向压力设计值;
a s 、a a ——受拉端钢筋、型钢合力点至截面受拉边缘的距离;
a′ s 、a′ a ——受压端钢筋、型钢合力点至截面受压边缘的距离;
a——受拉端型钢和纵向受拉钢筋合力点至受拉边缘的距离;
α 1 ——受压区混凝土压应力影响系数,按本规范第5.1.1条取值;
h w ——剪力墙截面高度;
h w0 ——剪力墙截面有效高度;
x——受压区高度;
A a 、A′ a ——剪力墙受拉、受压边缘构件阴影部分内配置的型钢截面面积;
A s 、A′ s ——剪力墙受拉、受压边缘构件阴影部分内配置的纵向钢筋截面面积;
A sw ——剪力墙边缘构件阴影部分外的竖向分布钢筋总面积;
f yw ——剪力墙竖向分布钢筋抗拉强度设计值;
β 1 ——受压区混凝土应力图形影响系数,按本规范第5.1.1条取值;
N sw ——剪力墙竖向分布钢筋所承担的轴向力;
M sw ——剪力墙竖向分布钢筋的合力对受拉端型钢截面重心的力矩;
h sw ——剪力墙边缘构件阴影部分外的竖向分布钢筋配置高度;
b w ——剪力墙厚度。
条文说明
9.1.1 在钢筋混凝土剪力墙的边缘构件中配置型钢所形成的型钢混凝土剪力墙,试验研究表明,在轴压力和弯矩作用下的压弯承载力提高,延性改善,其压弯承载力计算可采用现行国家标准《混凝土结构设计规范》GB 50010中截面腹部均匀配置纵向钢筋的偏心受压构件的正截面受压承载力计算公式,计算中把端部配置的型钢作为纵向受力钢筋的一部分考虑。
9.1.2 型钢混凝土偏心受拉剪力墙,其正截面受拉承载力应符合下列公式的规定:


式中:N——型钢混凝土剪力墙轴向拉力设计值;
e 0 ——轴向拉力对截面重心的偏心矩;
N 0u ——型钢混凝土剪力墙轴向受拉承载力;
M wu ——型钢混凝土剪力墙受弯承载力。
条文说明
9.1.2 偏心受拉型钢混凝土剪力墙正截面受弯承载力计算采用现行行业标准《高层建筑混凝土结构设计规程》JGJ 3中有关偏心受拉剪力墙正截面受弯承载力的计算公式,公式中有关剪力墙轴向受拉承载力和受弯承载力计算考虑了端部型钢的作用。
9.1.3 特一级抗震等级的型钢混凝土剪力墙,底部加强部位的弯矩设计值应乘以1.1的增大系数,其他部位的弯矩设计值应乘以1.3的增大系数;一级抗震等级的型钢混凝土剪力墙,底部加强部位以上墙肢的组合弯矩设计值应乘以1.2的增大系数。
9.1.4 考虑地震作用组合的型钢混凝土剪力墙,其剪力设计值应按下列公式计算:


式中:V——考虑地震作用组合的剪力墙墙肢截面的剪力设计值;
V w ——考虑地震作用组合的剪力墙墙肢截面的剪力计算值;
M wua ——考虑承载力抗震调整系数γ RE 后的剪力墙墙肢正截面受弯承载力,计算中应按实际配筋面积、材料强度标准值和轴向力设计值确定,有翼墙时应计入墙两侧各一倍翼墙厚度范围内的纵向钢筋;
M w ——考虑地震作用组合的剪力墙墙肢截面的弯矩计算值。
条文说明
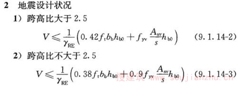
9.1.3、9.1.4 考虑地震作用的型钢混凝土剪力墙的弯矩、剪力设计值的确定与国家现行标准《混凝土结构设计规范》GB 50010以及《高层建筑混凝土结构设计规程》JGJ 3一致。
9.1.5 型钢混凝土剪力墙的受剪截面应符合下列公式的规定:


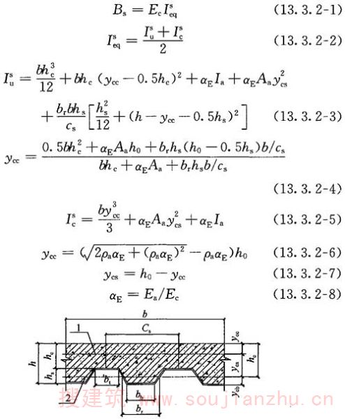
式中:V cw ——仅考虑墙肢截面钢筋混凝土部分承受的剪力设计值;
λ——计算截面处的剪跨比, 
;当λ<1.5时,取1.5;当λ>2.2时,取λ=2.2;此处,M为与剪力设计值V对应的弯矩设计值,当计算截面与墙底之间距离小于0.5h w0 时,应按距离墙底0.5h w0 处的弯矩设计值与剪力设计值计算。
A a1 ——剪力墙一端所配型钢的截面面积,当两端所配型钢截面面积不同时,取较小一端的面积;
β c ——混凝土强度影响系数,按本规范第5.2.3条取值。
条文说明
9.1.5 型钢混凝土剪力墙受剪截面控制条件中剪力设计值可扣除剪力墙一端所配型钢的抗剪承载力。
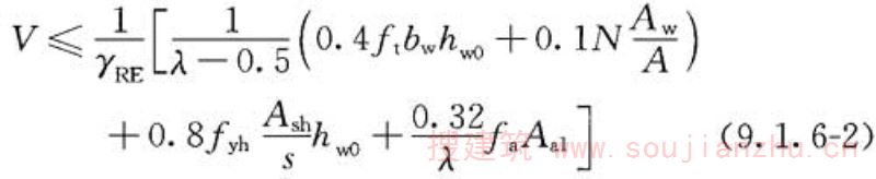
9.1.6 型钢混凝土偏心受压剪力墙,其斜截面受剪承载力应符合下列公式的规定(图9.1.6):

图9.1.6 型钢混凝土剪力墙斜截面受剪承载力计算参数示意


式中:N——剪力墙的轴向压力设计值,当N>0.2f c b w h w 时,取N=0.2f c b w h w ;
A——剪力墙的截面面积,当有翼缘时,翼缘有效面积可按本规范第9.1.7条规定计算;
A w ——剪力墙腹板的截面面积,对矩形截面剪力墙应取A w =A;
A sh ——配置在同一水平截面内的水平分布钢筋的全部截面面积;
f yh ——剪力墙水平分布钢筋抗拉强度设计值;
s——水平分布钢筋的竖向间距。
条文说明
9.1.6 两端配有型钢的型钢混凝土剪力墙的受剪性能试验表明,端部设置了型钢,由于型钢的暗销抗剪作用和对墙体的约束作用,受剪承载力大于钢筋混凝土剪力墙,本条所提出的剪力墙在偏心受压时的斜截面受剪承载力计算公式中,加入了端部型钢的暗销抗剪和约束作用这一项。
9.1.7 在承载力计算中,剪力墙的翼缘计算宽度可取剪力墙的间距、门窗洞口间翼墙的宽度、剪力墙厚度加两侧各6倍翼墙厚度、剪力墙墙肢总高度的1/10四者中的最小值。
条文说明
9.1.7 剪力墙翼缘计算宽度按现行国家标准《混凝土结构设计规范》GB 50010相关规定。
9.1.8 型钢混凝土偏心受拉剪力墙,其斜截面受剪承载力应符合下列公式的规定:


式中:N——剪力墙的轴向拉力设计值。
条文说明
9.1.8 两端配有型钢的型钢混凝土剪力墙,偏心受拉时的斜截面受剪承载力,基于轴向拉力存在,降低了剪力墙的抗剪承载力,为此在计算公式中应考虑轴向拉力的不利影响。
9.1.9 带边框型钢混凝土偏心受压剪力墙,其正截面受压承载力可按本规范第9.1.1条计算,计算截面应按工字形截面计算,有关受压区混凝土部分的承载力可按现行国家标准《混凝土结构设计规范》GB 50010中工字形截面偏心受压构件的计算方法计算。
条文说明
9.1.9 带边框剪力墙的正截面偏心受压承载力计算应按两端配有型钢的型钢混凝土剪力墙正截面偏心受压承载力的计算公式计算,不同的是由于边框柱的存在,计算截面应按工字形截面计算,计算中有关受压区混凝土轴向承载力和抗弯承载力计算方法可根据现行国家标准《混凝土结构设计规范》GB 50010中有关工字形截面偏心受压构件计算中的有关公式。
9.1.10 带边框型钢混凝土偏心受压剪力墙,其斜截面受剪承载力应符合下列公式的规定(图9.1.10):

图9.1.10 带边框型钢混凝土剪力墙斜截面受剪承载力计算参数示意

式中:V——带边框型钢混凝土剪力墙整个墙肢截面的剪力设计值;
N——剪力墙整个墙肢截面的轴向压力设计值;
A a1 ——带边框型钢混凝土剪力墙一端边框柱中宽度等于墙肢厚度范围内的型钢截面面积;
β r ——周边柱对混凝土墙体的约束系数,取1.2。
9.1.11 带边框型钢混凝土偏心受拉剪力墙,其斜截面受剪承载力应符合下列公式的规定:

式中:N——剪力墙整个墙肢截面的轴向拉力设计值。
条文说明
9.1.10、9.1.11 带边框剪力墙偏心受压和偏心受拉时的斜截面受剪承载力同样由混凝土部分、水平分布钢筋、周边柱内型钢三部分的受剪承载力之和组成。公式中考虑了轴向压力的有利作用和轴向拉力的不利作用以及边框柱对墙体的约束作用。考虑到工程中带边框剪力墙的边框柱柱边长相对于墙宽相差过大,为偏于安全,在计算公式中抗剪型钢面积只考虑一端边框柱中宽度等于墙肢厚度范围内的型钢面积。
9.1.12 型钢混凝土剪力墙连梁的剪力设计值应按下列公式计算:


4 四级抗震等级,取地震作用组合下的剪力设计值。
式中:M l bua 、M r bua ——连梁左、右端顺时针或逆时针方向,按实配钢筋面积、型钢截面积、材料强度标准值,且考虑承载力抗震调整系数的正截面受弯承载力所对应的弯矩值;
M l b 、M r b ——连梁左、右端考虑地震作用组合的弯矩设计值;
V Gb ——重力荷载代表值作用下按简支梁计算的梁端截面剪力设计值;
l n ——梁的净跨。
9.1.13 型钢混凝土剪力墙中的钢筋混凝土连梁的受剪截面应符合下列公式的规定:

式中:V——连梁截面剪力设计值;
b b ——连梁截面宽度;
h b0 ——连梁截面高度。
条文说明
9.1.12、9.1.13 型钢混凝土剪力墙连梁的剪力调整、截面限制条件与现行行业标准《高层建筑混凝土结构设计规程》JGJ 3中钢筋混凝土剪力墙连梁相关规定一致。
9.1.14 型钢混凝土剪力墙中的钢筋混凝土连梁,其斜截面受剪承载力应符合下列公式的规定:


式中:V——调整后的连梁截面剪力设计值。
9.1.15 当钢筋混凝土连梁的受剪截面不符合本规范第9.1.13条的规定时,可采取在连梁中设置型钢或钢板等措施。
条文说明
9.1.14、9.1.15 型钢混凝土剪力墙中的钢筋混凝土连梁斜截面抗剪计算与现行行业标准《高层建筑混凝土结构设计规程》JGJ 3中钢筋混凝土剪力墙连梁相关规定一致;当钢筋混凝土连梁斜截面受剪承载力不符合计算规定时,可采取在连梁中设置型钢或钢板,其斜截面抗剪承载力计算可考虑型钢或钢板的作用。
9.1.16 考虑地震作用的型钢混凝土剪力墙,其重力荷载代表值作用下墙肢的轴压比应按下式计算,且不宜超过表9.1.16的限值。

式中:n——型钢混凝土剪力墙轴压比;
N——墙肢重力荷载代表值作用下轴向压力设计值;
A a ——剪力墙两端暗柱中全部型钢截面面积。
表9.1.16 型钢混凝土剪力墙轴压比限值

注:当剪力墙中部设置型钢且与墙内型钢暗梁相连时,计算剪力墙轴压比可考虑中部型钢的截面面积。
条文说明
9.1.16 型钢混凝土剪力墙中,由于型钢的存在,改善和提高了剪力墙的延性性能,在计算轴压比时应考虑两端型钢的作用,本条给出了特一、一、二、三级抗震等级型钢混凝土剪力墙轴压比限值的规定。
9.2 构造措施
9.2 构造措施
9.2.1 考虑地震作用组合的型钢混凝土剪力墙,其端部型钢周围应设置纵向钢筋和箍筋组成内配型钢的约束边缘构件或构造边缘构件。端部型钢宜设置在本规范第9.2.3条、第9.2.6条规定的阴影部分内。
条文说明
9.2.1 钢筋混凝土剪力墙端部应设置边缘构件,以提高剪力墙正截面受压承载力和改善延性性能。对型钢混凝土剪力墙,也应在端部型钢周围设置纵向钢筋和箍筋,形成剪力墙端部阴影部分配置型钢的约束边缘构件和构造边缘构件。
9.2.2 特一、一、二、三级抗震等级的型钢混凝土剪力墙墙肢底截面在重力荷载代表值作用下轴压比大于表9.2.2的规定值时,以及部分框支剪力墙结构的剪力墙,其底部加强部位及其上一层墙肢端部应设置约束边缘构件。墙肢截面轴压比不大于表9.2.2的规定时,可设置构造边缘构件。
表9.2.2 型钢混凝土剪力墙可不设约束边缘构件的最大轴压比

条文说明
9.2.2 试验表明,轴压比是影响剪力墙在地震作用下延性性能的重要因素,剪力墙端部设置边缘构件,即在端部一定范围内配置纵向钢筋和封闭箍筋,可提高剪力墙在高轴压比情况下的塑性变形能力。为此规范规定剪力墙轴压比超过一定限值时以及部分框支剪力墙结构,应在底部加强部位和相邻上一层设置约束边缘构件;其他部位应设置构造边缘构件。轴压比小于限值时,可设置构造边缘构件。
9.2.3 型钢混凝土剪力墙端部约束边缘构件沿墙肢的长度l c 、配箍特征值λ v 宜符合表9.2.3的规定。在约束边缘构件长度l c 范围内,阴影部分和非阴影部分的箍筋体积配筋率ρ v 应符合下列公式的规定(图9.2.3):

图9.2.3 型钢混凝土剪力墙约束边缘构件
1-阴影部分;2-非阴影部分

式中:ρ v ——箍筋体积配筋率,计入箍筋、拉筋截面积;当水平分布钢筋伸入约束边缘构件,绕过端部型钢后90°弯折延伸至另一排分布筋并勾住其竖向钢筋时,可计入水平分布钢筋截面积,但计入的体积配箍率不应大于总体积配箍率的30%;
λ v ——约束边缘构件的配箍特征值;
f c ——混凝土轴心抗压强度设计值;当强度等级低于C35时,按C35取值;
f yv ——箍筋及拉筋的抗拉强度设计值。
表9.2.3 型钢混凝土剪力墙约束边缘构件沿墙肢长度l c 及配箍特征值λ v

注:1 两侧翼墙长度小于其厚度3倍时,视为无翼墙剪力墙;端柱截面边长小于墙厚2倍时,视为无端柱剪力墙;
2 约束边缘构件沿墙肢长度l c 除符合表9.2.3的规定外,且不宜小于墙厚和400mm;当有端柱、翼墙或转角墙时,尚不应小于翼墙厚度或端柱沿墙肢方向截面高度加300mm;
3 h w 为墙肢长度。
9.2.4 特一、一、二、三级抗震等级的型钢混凝土剪力墙端部约束边缘构件的纵向钢筋截面面积分别不应小于本规范图9.2.3中阴影部分面积的1.4%、1.2%、1.0%、1.0%。
9.2.5 型钢混凝土剪力墙约束边缘构件内纵向钢筋应有箍筋约束,当部分箍筋采用拉筋时,应配置不少于一道封闭箍筋。箍筋或拉筋沿竖向的间距,特一级、一级不宜大于100mm,二、三级不宜大于150mm。
条文说明
9.2.3~9.2.5 对型钢混凝土剪力墙端部约束边缘构件阴影部分和非阴影部分箍筋体积配筋率、纵向钢筋配筋率等构造作出了规定。型钢混凝土剪力墙约束边缘构件的箍筋配置应符合最小体积配筋率的规定,箍筋体积配筋率的计算可计入箍筋、拉筋、水平分布钢筋,但水平分布钢筋的配置应满足相应的构造要求,且计入的数量不应大于总体积配筋率的30%。
9.2.6 型钢混凝土剪力墙构造边缘构件的范围宜按图9.2.6阴影部分采用,其纵向钢筋、箍筋的设置应符合表9.2.6的规定。

图9.2.6 型钢混凝土剪力墙构造边缘构件
表9.2.6 型钢混凝土剪力墙构造边缘构件的最小配筋

注:1 A c 为构造边缘构件的截面面积,即图9.2.6剪力墙截面的阴影部分;
2 符号 
表示钢筋直径;
3 其他部位的转角处宜采用箍筋。
条文说明
9.2.6 本条规定了型钢混凝土剪力墙构造边缘构件的范围以及底部加强部位和其他部位的纵向钢筋、箍筋的构造措施。
9.2.7 在各种结构体系中的剪力墙,当下部采用型钢混凝土约束边缘构件,上部采用型钢混凝土构造边缘构件或钢筋混凝土构造边缘构件时,宜在两类边缘构件间设置1~2层过渡层,其型钢、纵向钢筋和箍筋配置可低于下部约束边缘构件的规定,但应高于上部构造边缘构件的规定。
条文说明
9.2.7 为避免剪力墙承载力突变,当下部型钢混凝土剪力墙端部设置了约束边缘构件而上部为型钢混凝土或钢筋混凝土构造边缘构件时,应在两种边缘构件之间设置过渡层。
9.2.8 型钢混凝土剪力墙的水平和竖向分布钢筋的最小配筋率应符合表9.2.8规定,分布钢筋间距不宜大于300mm,直径不应小于8mm,拉结筋间距不宜大于600mm。部分框支剪力墙结构的底部加强部位,水平和竖向分布钢筋间距不宜大于200mm。
表9.2.8 型钢混凝土剪力墙分布钢筋最小配筋率

注:1 特一级底部加强部位取0.4%;
2 部分框支剪力墙结构的剪力墙底部加强部位不应小于0.3%。
9.2.9 型钢混凝土剪力墙端部型钢的混凝土保护层厚度不宜小于150mm;水平分布钢筋应绕过墙端型钢,且应符合钢筋锚固长度规定。
条文说明
9.2.8、9.2.9 对型钢混凝土剪力墙分布钢筋的最小配筋率、间距、最小直径、拉结筋间距、端部型钢保护层等构造措施作出规定,其目的是保证分布钢筋对墙体混凝土的约束作用和型钢混凝土剪力墙的整体工作性能。
9.2.10 周边有型钢混凝土柱和梁的带边框型钢混凝土剪力墙,剪力墙的水平分布钢筋宜全部绕过或穿过周边柱型钢,且应符合钢筋锚固长度规定;当采用间隔穿过时,宜另加补强钢筋。周边柱的型钢、纵向钢筋、箍筋配置应符合型钢混凝土柱的设计规定,周边梁可采用型钢混凝土梁或钢筋混凝土梁;当不设周边梁时,应设置钢筋混凝土暗梁,暗梁的高度可取2倍墙厚。
条文说明
9.2.10 带边框柱的型钢混凝土的剪力墙,周边梁可采用型钢混凝土梁或钢筋混凝土梁,当不设周边梁时,也应在相应位置设置钢筋混凝土暗梁。另外,为保证现浇混凝土剪力墙与周边柱的整体作用,规定剪力墙中的水平分布钢筋绕过或穿过周边柱的型钢,且要符合钢筋锚固规定。
9.2.11 剪力墙洞口连梁中配置的型钢或钢板,其高度不宜小于0.7倍连梁高度,型钢或钢板应伸入洞口边,其伸入墙体长度不应小于2倍型钢或钢板高度;型钢腹板及钢板两侧应设置栓钉,栓钉应按本规范第4.4.5条的规定配置。
条文说明
9.2.11 型钢混凝土剪力墙当采用型钢混凝土连梁或钢板混凝土连梁时,为了保证其与混凝土墙体可靠连接,规定了型钢和钢板伸入墙体的长度和栓钉设置等构造措施。
10 钢板混凝土剪力墙
10.1 承载力计算
10 钢板混凝土剪力墙
10.1 承载力计算
10.1.1 钢板混凝土偏心受压剪力墙,其正截面受压承载力应符合下列规定:

图10.1.1 钢板混凝土偏心受压剪力墙正截面受压承载力计算参数示意



式中:e 0 ——轴向压力对截面重心的偏心矩;
e——轴向力作用点到受拉型钢和纵向受拉钢筋合力点的距离;
M——剪力墙弯矩设计值;
N——剪力墙弯矩设计值M相对应的轴向压力设计值;
a s 、a a ——受拉端钢筋、型钢合力点至截面受拉边缘的距离;
a′ s 、a′ a ——受压端钢筋、型钢合力点至截面受压边缘的距离;
a——受拉端型钢和纵向受拉钢筋合力点到受拉边缘的距离;
x——受压区高度;
α 1 ——受压区混凝土压应力影响系数,按本规范第5.1.1条规定取值;
A a 、A′ a ——剪力墙受拉、受压边缘构件阴影部分内配置的型钢截面面积;
A sw ——剪力墙边缘构件阴影部分外的竖向分布钢筋总面积;
f yw ——剪力墙竖向分布钢筋强度设计值;
A p ——剪力墙截面内配置的钢板截面面积;
f p ——剪力墙截面内配置钢板的抗拉和抗压强度设计值;
β 1 ——受压区混凝土应力图形影响系数,按本规范第5.1.1条规定取值;
N sw ——剪力墙竖向分布钢筋所承担的轴向力;
M sw ——剪力墙竖向分布钢筋合力对受拉型钢截面重心的力矩;
N pw ——剪力墙截面内配置钢板所承担轴向力;
M pw ——剪力墙截面配置钢板合力对受拉型钢截面重心的力矩;
h sw ——剪力墙边缘构件阴影部分外的竖向分布钢筋配置高度;
h pw ——剪力墙截面钢板配置高度;
h w0 ——剪力墙截面有效高度;
b w ——剪力墙厚度;
h w ——剪力墙截面高度。
条文说明
10.1.1 随着高层建筑的发展,针对核心筒剪力墙的研究成为工程界极为关注的问题,截面中配置钢板、两端配置型钢且两者焊接为整体的钢板混凝土剪力墙,是一种既能提高抗弯、抗剪承载力,又能改善剪力墙延性、提高抗震性能,减小墙体厚度的结构形式。钢板混凝土剪力墙受弯性能、受剪性能试验研究表明,由于加入了钢板,正截面受弯承载力明显提高。其正截面偏心受压承载力计算沿用型钢混凝土剪力墙的计算公式,但公式中增加了截面配置的钢板所承担的轴力值和弯矩值,计算结果与实验结果吻合较好。
10.1.2 钢板混凝土偏心受拉剪力墙,其正截面受拉承载力应符合下列公式的规定:

式中:N——钢板混凝土剪力墙轴向拉力设计值;
e 0 ——钢板混凝土剪力墙轴向拉力对截面重心的偏心矩;
N 0u ——钢板混凝土剪力墙轴向受拉承载力;
M wu ——钢板混凝土剪力墙受弯承载力。
条文说明
10.1.2 钢板混凝土剪力墙正截面偏心受拉承载力计算,沿用型钢混凝土剪力墙正截面偏心受拉承载力计算公式,计算公式中增加了截面配置的钢板所承担的轴力值和弯矩值。
10.1.3 考虑地震作用的钢板混凝土剪力墙,其弯矩设计值、剪力设计值应按本规范第9.1.3条、第9.1.4条的规定计算。
10.1.4 钢板混凝土剪力墙的受剪截面应符合下列公式的规定:


式中:V——钢板混凝土剪力墙的墙肢截面剪力设计值;
V cw ——仅考虑墙肢截面钢筋混凝土部分承受的剪力值,即墙肢剪力设计值减去端部型钢和钢板承受的剪力值;
λ——计算截面处的剪跨比, 
。当λ<1.5时,取λ=1.5,当λ>2.2时,取λ=2.2;当计算截面与墙底之间的距离小于0.5h w0 时,λ应按距离墙底0.5h w0 处的弯矩值与剪力值计算;
A a1 ——钢板混凝土剪力墙一端所配型钢的截面面积,当两端所配型钢截面面积不同时,取较小一端的面积;
β c ——混凝土强度影响系数,按本规范第5.2.3条取值。
条文说明
10.1.4 钢板混凝土剪力墙剪力由钢筋混凝土墙体、端部型钢以及截面中所配钢板三部分承担,本条提出的截面限制条件即控制剪压比的目的是为了防止当剪力墙截面尺寸过小而横向配筋过多时,在横向钢筋充分发挥作用之前,墙腹部混凝土会产生斜压破坏。钢板混凝土剪力墙受剪性能试验表明,由钢板混凝土剪力墙试件的破坏过程和破坏形态看,即使剪力超过了钢筋混凝土的截面抗剪限制条件,但由于钢板的存在,并未出现以上斜压破坏的情况,还是表现为剪压破坏的特征。因此本条规定钢板混凝土剪力墙的受剪截面限制条件中的剪力设计值仅考虑墙肢截面钢筋混凝土部分承受的剪力值。
10.1.5 钢板混凝土偏心受压剪力墙,其斜截面受剪承载力应符合下列公式的规定:


式中:N——钢板混凝土剪力墙的轴向压力设计值,当N>0.2f c b w h w 时,取N=0.2f c b w h w ;
A——钢板混凝土剪力墙截面面积;
A w ——剪力墙腹板的截面面积,对矩形截面剪力墙应取A w =A;
f yh ——剪力墙水平分布钢筋抗拉强度设计值;
s——剪力墙水平分布钢筋间距;
A sh ——配置在同一水平截面内的水平分布钢筋的全部截面面积。
10.1.6 钢板混凝土偏心受拉剪力墙,其斜截面受剪承载力应符合下列公式的规定:


式中:N——钢板混凝土剪力墙的轴向拉力设计值。
条文说明
10.1.5、10.1.6 根据钢板混凝土剪力墙抗剪试验结果,提出了考虑钢板抗剪承载力的斜截面受剪承载力计算公式。
10.1.7 考虑地震作用的钢板混凝土剪力墙,其重力荷载代表值作用下墙肢的轴压比应按下式计算,且不宜超过表10.1.7的限值。

式中:n——钢板混凝土剪力墙轴压比;
N——墙肢重力荷载代表值作用下轴向压力设计值;
A a ——剪力墙两端暗柱中全部型钢截面面积;
A p ——剪力墙截面内配置的钢板截面面积。
表10.1.7 钢板混凝土剪力墙轴压比限值

条文说明
10.1.7 试验表明,钢板混凝土剪力墙在轴力和弯矩作用下,延性和耗能能力比剪力墙有明显提高,轴压比计算可考虑钢板的承压能力,轴压比限值的规定与现行行业标准《高层建筑混凝土结构技术规程》JGJ 3一致。
10.1.8 钢板混凝土剪力墙中的钢板两侧面应设置栓钉,每片钢板的栓钉数量应按下列公式计算:

式中:n f ——每片钢板两侧应设置的栓钉总数量;
V cw ——钢板混凝土剪力墙中钢筋混凝土部分承受的剪力值;
V p ——钢板混凝土剪力墙中钢板部分承受的总剪力值;
f t ——混凝土轴心抗拉强度设计值;
f p ——钢板抗拉和抗压强度设计值;
A p ——剪力墙内配置的钢板的截面面积;
E c ——混凝土的弹性模量;
f c ——混凝土轴心抗压强度;
N c v ——一个圆柱头栓钉连接件的抗剪承载力,按本规范第3.1.14条规定计算。
条文说明
10.1.8 对钢板混凝土剪力墙,只有当钢板与混凝土共同工作时,钢板才能发挥作用,因此钢板与混凝土之间应设置栓钉,以保证其共同工作。根据试验结果并参照其他相关规范,提出了栓钉数量的计算方法。
10.2 构造措施
10.2 构造措施
10.2.1 钢板混凝土剪力墙,其钢板厚度不宜小于10mm,且钢板厚度与墙体厚度之比不宜大于1/15。
条文说明
10.2.1 钢板混凝土剪力墙,其钢板外侧混凝土墙体对保证钢板的侧向稳定有重要作用,因此钢板厚度与墙体厚度宜有一个合理的比值。钢板混凝土剪力墙在平面内承受压、弯、剪,在平面外可认为仅受压。根据钢结构中对压杆的支撑刚度规定,推算出钢筋混凝土墙体厚度与钢板厚度的关系。据此计算,规定混凝土墙的厚度与钢板的厚度之比不宜小于14,规范作了适当调整,规定混凝土墙的厚度与钢板的厚度之比不宜小于15。
10.2.2 钢板混凝土剪力墙的水平和竖向分布钢筋的最小配筋率应符合表10.2.2的规定,分布钢筋间距不宜大于200mm,拉结钢筋间距不宜大于400mm,分布钢筋及拉结钢筋与钢板间应有可靠连接。
表10.2.2 钢板混凝土剪力墙分布钢筋最小配筋率

条文说明
10.2.2 对钢板混凝土剪力墙的水平和竖向分布钢筋的最小配筋率、间距,拉结钢筋的间距作出了比型钢混凝土剪力墙更严的规定,其目的是增加钢板两侧钢筋混凝土对钢板的约束作用,防止钢板屈曲失稳;同时促使钢筋混凝土部分与钢板部分承载力相协调,从而提高整个墙体的承载力。
10.2.3 钢板混凝土剪力墙的端部型钢周围应配置纵向钢筋和箍筋,组成内配型钢的约束边缘构件或构造边缘构件。边缘构件沿墙肢的长度、纵向钢筋和箍筋的配置应符合本规范第9章有关型钢混凝土剪力墙边缘构件的规定。
条文说明
10.2.3 钢板混凝土剪力墙端部型钢周围应配置纵向钢筋和箍筋,以形成暗柱、翼墙等边缘构件,由此保证端部在纵向钢筋、箍筋、型钢以及钢板共同组合作用下增强剪力墙的受弯、受剪承载力和塑性变形能力。边缘构件的设置应符合型钢混凝土剪力墙端部边缘构件的规定。
10.2.4 钢板混凝土剪力墙在楼层标高处应设置型钢暗梁。钢板混凝土剪力墙内钢板与四周型钢宜采用焊接连接。
条文说明
10.2.4 钢板混凝土剪力墙除了钢板两侧边设置型钢外,在楼层标高处也应设置型钢暗梁,使墙内钢板处于四周约束状态,保证钢板发挥抗剪、抗弯作用。
10.2.5 钢板混凝土剪力墙端部型钢的混凝土保护层厚度不宜小于150mm,水平分布钢筋应绕过墙端型钢,且应符合钢筋锚固长度规定。
条文说明
10.2.5 钢板混凝土剪力墙端部型钢的混凝土保护层宜有一定的厚度,由此保证钢筋混凝土对型钢的约束,也便于箍筋、纵筋和分布钢筋的施工。
10.2.6 钢板混凝土剪力墙的钢板两侧和端部型钢翼缘应设置栓钉,栓钉直径不宜小于16mm,间距不宜大于300mm。
10.2.7 钢板混凝土剪力墙角部1/5板跨且不小于1000mm范围内墙体分布钢筋和抗剪栓钉宜适当加密。
条文说明
10.2.6、10.2.7 为保证钢筋混凝土与钢板共同工作,钢板与钢筋混凝土之间应有可靠的连接,因此规定了钢板上栓钉的构造措施。
10.2.8 钢板混凝土剪力墙约束边缘构件阴影部分的箍筋应穿过钢板或与钢板焊接形成封闭箍筋;阴影部分外的箍筋可采用封闭箍筋或与钢板有连接的拉筋。
条文说明
10.2.8 钢板混凝土剪力墙端部约束边缘构件阴影部分的箍筋应穿过钢板或与钢板焊接形成封闭箍筋,其目的是保证端部边缘构件箍筋对型钢和混凝土的约束作用,形成型钢、钢筋、混凝土三位一体共同工作的有效边缘构件。
11 带钢斜撑混凝土剪力墙
11.1 承载力计算
11 带钢斜撑混凝土剪力墙
11.1 承载力计算
11.1.1 带钢斜撑混凝土偏心受压和偏心受拉剪力墙(图11.1.1),其正截面受压承载力和受拉承载力可按本规范第9.1.1条、第9.1.2条计算,计算中不考虑钢斜撑的压弯和拉弯作用。

图11.1.1 带钢斜撑混凝土剪力墙
1-钢斜撑
11.1.2 带钢斜撑混凝土剪力墙,其弯矩设计值、剪力设计值应按本规范第9.1.3条、第9.1.4条的规定计算。
条文说明
11.1.1、11.1.2 试验表明,带钢斜撑混凝土剪力墙,其斜撑对剪力墙的正截面受弯承载力的提高作用不明显,为此,其正截面受弯承载力按型钢混凝土剪力墙计算。
11.1.3 带钢斜撑混凝土剪力墙的受剪截面应符合下列公式的规定:


式中:V——剪力墙的剪力设计值;
V cw ——仅考虑墙肢截面钢筋混凝土部分承受的剪力值,即墙肢剪力设计值减去端部型钢和钢斜撑承受的剪力值;
λ——计算截面处的剪跨比,当λ<1.5时,取λ=1.5,当λ>2.2时,取λ=2.2;当计算截面与墙底之间的距离小于0.5h w0 时,λ应按距离墙底0.5h w0 处的弯矩值与剪力值计算;
A a1 ——剪力墙一端所配型钢的截面面积,当两端所配型钢截面面积不同时,取较小一端的面积;
f c ——混凝土轴心抗压强度设计值;
f a ——剪力墙端部型钢抗拉、抗压强度设计值;
f g 、f′ g ——剪力墙受拉、受压钢斜撑的强度设计值;
A g 、A′ g ——剪力墙受拉、受压钢斜撑截面面积;
φ——受压斜撑面外稳定系数,按现行国家标准《钢结构设计规范》GB 50017的规定计算;
α——斜撑与水平方向的倾斜角度;
h w0 ——剪力墙截面有效高度;
b w ——剪力墙厚度;
h w ——剪力墙截面高度;
β c ——混凝土强度影响系数,按本规范第5.2.3条取值。
条文说明
11.1.3 试验研究表明,带钢斜撑混凝土剪力墙可有效提高剪力墙受剪承载力。其剪力主要由钢筋混凝土墙体、端部型钢以及型钢斜撑承担。本条提出截面限制条件即控制剪压比,其目的是为了防止当剪力墙截面尺寸过小,在横向钢筋充分发挥作用之前,墙腹部混凝土产生斜压破坏。因此受剪截面限制条件中的剪力设计值规定为仅考虑截面钢筋混凝土部分承受的剪力值。
11.1.4 带钢斜撑混凝土偏心受压剪力墙,其斜截面受剪承载力应符合下列公式的规定:

式中:N——剪力墙的轴向压力设计值,当N>0.2f c b w h w 时,取N=0.2f c b w h w ;
A——剪力墙截面面积;
A w ——剪力墙腹板的截面面积,对矩形截面剪力墙,取A w =A;
A sh ——配置在同一水平截面内的水平分布钢筋的全部截面面积;
f t ——混凝土轴心抗拉强度设计值;
f yh ——剪力墙水平分布钢筋抗拉强度设计值;
s——剪力墙水平分布钢筋间距。
11.1.5 带钢斜撑混凝土偏心受拉剪力墙,其斜截面受剪承载力应符合下列公式的规定:


式中:N——剪力墙轴向拉力设计值。
条文说明
11.1.4、11.1.5 试验研究表明,带钢斜撑混凝土剪力墙可有效提高剪力墙受剪承载力。根据试验研究结果并与相关规范的协调,确定了带钢斜撑混凝土偏心受压和偏心受拉剪力墙受剪承载力的计算公式。
11.1.6 考虑地震作用的带钢斜撑混凝土剪力墙,其重力荷载代表值作用下墙肢的轴压比应按下式计算,且不宜超过表11.1.6的限值。

式中:n——带钢斜撑混凝土剪力墙轴压比;
N——墙肢重力荷载代表值作用下轴向压力设计值;
A a ——带钢斜撑混凝土剪力墙两端暗柱中全部型钢截面面积。
表11.1.6 带钢斜撑混凝土剪力墙轴压比限值

条文说明
11.1.6 试验研究表明,带钢斜撑混凝土剪力墙对延性有改善,基于试验研究数量有限,暂不考虑配置型钢斜撑对轴压比的贡献。
11.2 构造措施
11.2 构造措施
11.2.1 带钢斜撑混凝土剪力墙,其端部型钢周围应配置纵向钢筋和箍筋,组成内配型钢的约束边缘构件或构造边缘构件。边缘构件沿墙肢的长度、纵向钢筋和箍筋的配置应符合本规范第9章有关型钢混凝土剪力墙边缘构件的规定。
11.2.2 带钢斜撑混凝土剪力墙在楼层标高处应设置型钢,其钢斜撑与周边型钢应采用刚性连接。
条文说明
11.2.1、11.2.2 带钢斜撑混凝土剪力墙是在型钢混凝土剪力墙的腹部设置钢斜撑,目的是提高其受剪承载力,改善其延性。因此,规定带钢斜撑混凝土剪力墙端部型钢周围应配置纵向钢筋和箍筋以形成暗柱、翼墙等边缘构件。同时,为保证墙内钢筋混凝土墙、型钢斜撑与端部型钢共同工作,规定型钢斜撑与周边型钢应采用刚性连接。
11.2.3 带钢斜撑混凝土剪力墙,其端部型钢的混凝土保护层厚度不宜小于150mm;钢斜撑每侧混凝土厚度不宜小于墙厚的1/4,且不宜小于100mm;水平及竖向分布钢筋设置应符合本规范第10.2.2条的规定。
条文说明
11.2.3 带型钢剪力墙的端部型钢及斜撑应具有一定的保护层厚度,且配置与钢板混凝土剪力墙相同规定的分布钢筋,以防止钢斜撑局部压屈变形,保证钢斜撑、型钢与钢筋混凝土三位一体的整体工作。
11.2.4 钢斜撑全长范围和横梁端1/5跨度范围的型钢翼缘部位应设置栓钉,其直径不宜小于16mm,间距不宜大于200mm。
条文说明
11.2.4 为保证钢斜撑与钢筋混凝土之间有可靠的连接,规定了钢板上栓钉的设置构造措施。
11.2.5 钢斜撑倾角宜取40°~60°。
条文说明
11.2.5 本条规定了钢斜撑受力较为合适的倾角范围。
12 钢与混凝土组合梁
12.1 一般规定
12 钢与混凝土组合梁
12.1 一般规定
12.1.1 钢与混凝土组合梁截面承载力计算时,跨中及支座处混凝土翼板的有效宽度应按下式计算(图12.1.1):

式中:b e ——混凝土翼板的有效宽度;
b 0 ——板托顶部的宽度,当板托倾角α<45°时,应按α=45°计算板托顶部的宽度;当无板托时,则取钢梁上翼缘的宽度;
b 1 ,b 2 ——梁外侧和内侧的翼板计算宽度,各取梁等效跨度l e 的1/6;b 1 尚不应超过翼板实际外伸宽度S 1 ;b 2 尚不应超过相邻钢梁上翼缘或板托间净距S 0 的1/2;
l e ——等效跨度,对于简支组合梁,取为简支组合梁的跨度l;对于连续组合梁,中间跨正弯矩区取为0.6l,边跨正弯矩区取为0.8l,支座负弯矩区取为相邻两跨跨度之和的0.2倍。

图12.1.1 混凝土翼板的计算宽度
1-钢梁;2-板托;3-混凝土翼板
条文说明
12.1.1 钢-混凝土组合梁的混凝土翼缘板可以带板托,也可以不带板托,是否带板托应该由组合梁的承载力、刚度和材料用量及施工便利性等条件确定。相对而言,不带板托的组合梁施工较为方便,带板托的组合梁材料较省,但板托构造复杂,施工不便。 与混凝土结构类似,组合梁混凝土板同样存在剪力滞后效应,目前各国规范均采用有效宽度的方法考虑混凝土板剪力滞后效应的影响,但有效宽度计算方法不尽相同: 1 美国钢结构协会的《钢结构建筑荷载及抗力系数设计规范》(AISC-LRFD,1999)规定,混凝土翼缘板的有效宽度be取为钢梁轴线两侧有效宽度之和,其中一侧的混凝土有效宽度为以下三者中的较小值:a)组合梁跨度的1/8,其中梁跨度取为支座中线之间的距离;b)相邻组合梁间距的1/2;c)钢梁至混凝土翼板边缘的距离。 2 欧洲规范4规定,对于连续组合梁中间跨和中间支座以及边支座的有效宽度分别按下列规定计算(图3)。 
式中:b0——同一截面最外侧抗剪连接件间的横向间距;
bei——钢梁腹板一侧的混凝土桥面板有效宽度,取为Le/8,但不超过板的实际宽度bi。bi应取为最外侧的抗剪连接件至两根钢梁间中线的距离,对于自由端则取为混凝土悬臂板的长度。 
Le——组合梁的有效跨径,为反弯点间的近似长度;对简支梁取为梁的实际跨度;对于连续组合梁,其正弯矩区有效宽度与正弯矩区的长度有关,负弯矩区有效宽度则与负弯矩区(中支座区)的长度有关,应根据控制设计的弯矩包络图来确定。 以上有效宽度规定用于截面极限承载力验算,当采用弹性方法对组合梁进行整体分析时,每一跨的有效宽度可以采用定值:对于中间跨和简支边跨可采用上述规定的中间跨有效宽度beff,1,对于悬臂跨则采用上述规定的支座有效宽度beff,2。 3 美国各州公路及运输工作者协会(AASHTO)制定的公路桥梁设计规范规定,混凝土翼板有效宽度be应等于或小于1/4的跨度以及12倍的最小板厚。对于边梁,外侧部分的有效宽度应不超过其实际悬挑长度。如果边梁仅一侧有混凝土板时,则有效宽度应等于或小于跨度的1/12以及6倍的最小板厚。 4 英国规范(BS5400)第5部分根据有限元分析及试验研究的成果,以表格的形式给出了对应于不同宽跨比的组合梁混凝土桥面板有效宽度。 相比较而言,欧洲规范4对组合梁混凝土板有效宽度的计算方法概念明确,并将简支组合梁和连续组合梁的计算方法统一起来,摒弃了混凝土板有效宽度与厚度相关的规定,适用性更强。 本条给出的组合梁混凝土翼板的有效宽度,系参考现行国家标准《混凝土结构设计规范》GB 50010和《钢结构设计规范》GB 50017的相关规定,同时根据已有的研究成果并借鉴欧洲规范4的相关条文。 严格说来,楼盖边部无翼板时,其内侧的b2值应小于中部两侧有翼板的b2,集中荷载作用时的b2值应小于均布荷载作用时的b2值。 以上计算组合梁混凝土翼板有效宽度的方法基本都是依据组合梁在弹性阶段的受力性能所建立起来的。而当组合梁达到极限承载力时,混凝土翼板已进入塑性状态,此时翼板中的应力分布趋向均匀,塑性阶段混凝土翼板的有效宽度大于弹性阶段。因此,将根据弹性分析得到的翼板有效宽度应用于塑性计算,计算结果偏于安全。
12.1.2 进行结构整体内力和变形计算时,对于仅承受竖向荷载的梁柱铰接简支或连续组合梁,每跨混凝土翼板有效宽度可取为定值,按本规范第12.1.1条规定的跨中有效翼缘宽度取值计算;对于承受竖向荷载并参与结构整体抗侧力作用的梁柱刚接框架组合梁,宜考虑楼板与钢梁之间的组合作用,其抗弯惯性矩I e 可按下列公式计算:

式中:I s ——钢梁抗弯惯性矩;
α——刚度放大系数,当α>2时,宜取α=2;
I c ——混凝土翼板等效抗弯惯性矩;
L——梁跨度;
B 1 ,B 2 ——分别为组合梁两侧实际混凝土翼板宽度,取为梁中心线到混凝土翼板边缘的距离,或梁中心线到相邻梁中心线之间距离的一半;
h c1 ——混凝土翼板厚度,不考虑托板、压型钢板肋的高度;
α E ——钢材和混凝土弹性模量比。
条文说明
12.1.2 当组合梁和柱子铰接或组合梁作为次梁时,仅承受竖向荷载,不参与结构整体抗侧,参考欧洲规范4的相关建议,混凝土翼板的有效宽度可统一取为跨中截面的有效宽度取值。 近年来,组合框架在多层及高层建筑中的应用十分广泛,试验研究表明,楼板的空间组合作用对组合框架结构体系的整体抗侧刚度有显著的提高作用。近年来清华大学分析国内外大量组合框架结构的试验结果,表明采用固定刚度放大系数在某些情况下会低估楼板对组合框架梁刚度的提高作用,从而可能低估结构整体抗侧刚度,低估结构承受的地震剪力。另外楼板对组合框架梁的刚度放大作用还会改变框架结构的整体变形特性,使结构剪切型变形的特征更为明显,对组合框架梁刚度的低估会导致为符合框架-核心筒结构体系外框剪力承担率的规定,使外框钢梁截面高度偏大而影响组合梁经济性优势的发挥。大量的数值算例和试验结果表明,组合框架梁的刚度放大系数和钢梁对于混凝土板的相对刚度密切相关,本条采用的刚度放大系数公式正是基于这一结论通过大量参数分析归纳得到,其精度经过了国内外组合框架结构体系试验和大量数值算例结果的验证。考虑到实际工程的复杂性,规定刚度放大系数α的计算值大于2时取为2。
12.1.3 组合梁承载力按本规范第12.2节塑性分析方法进行计算时,连续组合梁和框架组合梁在竖向荷载作用下的梁端负弯矩可进行调幅,其调幅系数不宜超过30%。
条文说明
12.1.3 尽管连续组合梁和框架组合梁在竖向荷载作用下负弯矩区混凝土受拉、钢梁受压,但组合梁具有较好的内力重分布性能,故仍然具有较好的经济效益。负弯矩区可以利用混凝土板钢筋和钢梁共同抵抗弯矩,通过弯矩调幅后可使连续组合梁的结构高度进一步减小。欧洲规范4建议,当采用非开裂分析时,对于第一类截面,调幅系数可取40%,第二类截面30%,第三类截面20%,第四类截面10%,而符合塑性设计规定的截面基本符合第一类截面规定。根据国内大量连续组合梁的试验结果,并参考欧洲规范4的相关建议,考虑负弯矩区混凝土板开裂以及截面塑性发展的影响,将连续组合梁和框架组合梁竖向荷载作用下承载能力验算时的弯矩调幅系数上限定为30%是合理安全的。
12.2 承载力计算
12.2 承载力计算
12.2.1 完全抗剪连接组合梁的正截面受弯承载力应符合下列公式的规定:
1 正弯矩作用区段
1)当A a f a ≤f c b e h c1 时,中和轴在混凝土翼板内(图12.2.1-1):

图12.2.1-1 中和轴在混凝土翼板内时的组合梁截面及应力图形
1-组合梁塑性中和轴;2-栓钉

2)当A a f a >f c b e h c1 时,中和轴在钢梁截面内(图12.2.1-2):

图12.2.1-2 中和轴在钢梁内时的组合梁截面及应力图形
1-组合梁塑性中和轴


图12.2.1-3 负弯矩作用时组合梁截面和计算简图
1-组合梁塑性中和轴;2-钢梁塑性中和轴

式中:M——正弯矩设计值;
A a ——钢梁的截面面积;
h c1 ——混凝土翼板厚度,不考虑托板、压型钢板肋的高度;
x——混凝土翼板受压区高度;
y——钢梁截面应力的合力至混凝土受压区截面应力的合力间的距离;
f c ——混凝土抗压强度设计值;
f a ——钢梁的抗压和抗拉强度设计值;
b e ——组合梁混凝土翼板有效宽度,按本规范第12.1.1条规定计算;
γ RE ——承载力抗震调整系数,取0.75;
A ac ——钢梁受压区截面面积;
y 1 ——钢梁受拉区截面形心至混凝土翼板受压区截面形心的距离;
y 2 ——钢梁受拉区截面形心至钢梁受压区截面形心的距离;
M′——负弯矩设计值;
M s ——钢梁塑性弯矩;
S t ,S b ——钢梁塑性中和轴以上和以下截面对该轴的面积矩;
A′ s ——负弯矩区混凝土翼板有效宽度范围内的纵向钢筋截面面积;
f y ——钢筋抗拉强度设计值;
y 3 ——钢筋截面形心到钢筋和钢梁形成的组合截面塑性中和轴的距离。根据截面轴力平衡式(12.2.1-10)或(12.2.1-12)求出钢梁受压区面积A ac ,取钢梁拉压区交界处位置为组合梁塑性中和轴位置;
y 4 ——组合梁塑性中和轴至钢梁塑性中和轴的距离。当组合梁塑性中和轴在钢梁腹板内时,可按公式(12.2.1-14)计算,当组合梁塑性中和轴在钢梁翼缘内时,可取y 4 等于钢梁塑性中和轴至腹板上边缘的距离。
条文说明
12.2.1 完全抗剪连接组合梁是指抗剪连接件的抗剪承载力足够符合充分发挥组合梁抗弯承载力的需求。组合梁设计可按简单塑性理论形成塑性铰的假定来计算组合梁的抗弯承载能力。即:
1)位于塑性中和轴一侧的受拉混凝土因为开裂而不参加工作,板托部分亦不予考虑,混凝土受压区假定为均匀受压,并达到轴心抗压强度设计值;
2)根据塑性中和轴的位置,钢梁可能全部受拉或部分受压部分受拉,但都假定为均匀受力,并达到钢材的抗拉或抗压强度设计值。当塑性中和轴在钢梁腹板内时,钢梁受压区板件宽厚比应符合现行国家标准《钢结构设计规范》GB 50017中关于“塑性设计”的规定。此外,忽略钢筋混凝土翼板受压区中钢筋的作用。用塑性设计法计算组合梁最终承载力时,可不考虑施工过程中有无支承及混凝土的徐变、收缩与温度作用的影响。 试验研究表明,组合梁具有良好的抗震性能,具有和钢结构类似的延性和耗能能力,故抗震设计时组合梁抗弯承载力抗震调整系数按现行国家标准《建筑抗震设计规范》GB 50011关于钢梁构件在强度验算时的规定取值。
12.2.2 部分抗剪连接组合梁正截面受弯承载力应符合下列规定:
1 正弯矩作用区段(图12.2.2)


图12.2.2 部分抗剪连接组合梁计算简图
1-组合梁塑性中和轴

式中:M u,r ——部分抗剪连接时组合梁截面抗弯承载力;
n——部分抗剪连接时最大正弯矩验算截面到最近零弯矩点之间的抗剪连接件数目;
N c v ——一个抗剪连接件的纵向抗剪承载力,按本规范第12.2.7条的规定计算。
2 负弯矩作用区段
应按本规范式(12.2.1-9)或(12.2.1-11)计算,计算中将A′ s f y 改为nN c v 和A′ s f y 两者的较小值,n为最大负弯矩验算截面到最近零弯矩点之间的抗剪连接件数目。
条文说明
12.2.2 当抗剪连接件的设置受构造等原因影响不能全部配置,因而不足以承受组合梁上最大弯矩点和邻近支座之间剪跨区段内所需的纵向水平剪力时,可采用部分抗剪连接设计法。对于单跨简支梁,是采用简化塑性理论按下列假定确定的:
1)在所计算截面左右两个剪跨内,取连接件抗剪承载力设计值之和nNcv中的较小值,作为混凝土翼板中等效矩形应力块合力的大小;
2)抗剪连接件必须具有一定的柔性,且全部进入理想的塑性状态;
3)钢梁与混凝土翼板间产生相对滑移,以致在截面的应变图中混凝土翼板与钢梁有各自的中和轴。 部分抗剪连接组合梁的抗弯承载力计算公式,实际上是考虑最大弯矩截面到零弯矩截面之间混凝土翼板的平衡条件。混凝土翼板等效矩形应力块合力的大小,取决于最大弯矩截面到零弯矩截面之间抗剪连接件能够提供的总剪力。
12.2.3 组合梁根据抗剪连接栓钉的数量可分为完全抗剪连接和部分抗剪连接,其混凝土翼板与钢梁间设置的抗剪连接件应符合下列公式的规定:

式中:V s ——每个剪跨区段内钢梁与混凝土翼板交界面的纵向剪力,按本规范第12.2.4条规定计算;
N c v ——一个抗剪连接件的纵向抗剪承载力,按本规范第12.2.7条的规定计算;
n——完全抗剪连接的组合梁在一个剪跨区的抗剪连接件数目。
条文说明
12.2.3 为了保证部分抗剪连接的组合梁能有较好的工作性能,在任一剪跨区内,部分抗剪连接时连接件的数量不得少于按完全抗剪连接设计时该剪跨区内所需抗剪连接件总数nf的50%,否则,将按单根钢梁计算,不考虑组合作用。国内外研究成果表明,在承载力和变形都能符合规定时,采用部分抗剪连接组合梁是可行的。
12.2.4 钢梁与混凝土翼板交界面的纵向剪力应以弯矩绝对值最大点及支座为界限,划分若干剪跨区计算,各剪跨区纵向剪力应按下列公式计算(图12.2.4):

图12.2.4 连续梁剪跨区划分

条文说明
12.2.4 试验研究表明,采用栓钉等柔性抗剪连接件的组合梁具有很好的剪力重分布能力,因此没有必要按照剪力图布置连接件,可在每个剪跨区内按极限平衡的方法均匀布置,这样可给设计和施工带来很大方便。 对于采用柔性抗剪连接件的组合梁,每个剪跨区段内的界面纵向剪力Vs可按简化塑性方法确定。为了便于设计,应以最大弯矩点和支座为界限划分区段,并在每个区段内均匀布置连接件,计算时应注意在各区段内混凝土翼板隔离体的平衡。
12.2.5 组合梁的受剪承载力应符合下列公式的规定:

式中:V b ——剪力设计值,抗震设计时应按本规范第5.2.2条的规定计算;
h w ,t w ——钢梁的腹板高度和厚度;
f av ——钢梁腹板的抗剪强度设计值;
γ RE ——承载力抗震调整系数,取0.75。
条文说明
12.2.5 试验研究表明,假定全部剪力仅由钢梁腹板承担是偏于安全的,因为混凝土翼板的抗剪作用亦较大。由于组合梁抗剪承载力仅考虑钢梁腹板的贡献,故其抗震调整系数按现行国家标准《建筑抗震设计规范》GB 50011关于钢梁构件在强度验算时的规定取值。
12.2.6 用塑性设计法计算组合梁正截面受弯承载力时,受正弯矩的组合梁可不考虑弯矩和剪力的相互影响,受负弯矩的组合梁应考虑弯矩与剪力间的相互影响,按下列规定对腹板抗压、抗拉强度设计值进行折减:

2 当V b ≤0.5h w t w f av 时,可不对腹板强度设计值进行折减。
式中:f ae ——折减后的钢梁腹板抗压、抗拉强度设计值;
f a ——钢梁腹板抗压和抗拉强度设计值;
ρ——折减系数。
条文说明
12.2.6 连续组合梁的中间支座截面的弯矩和剪力都较大。钢梁由于同时受弯、剪作用,截面的极限抗弯承载能力会有所降低。采用欧洲规范4建议的相关设计方法,对于正弯矩区组合梁截面不用考虑弯矩和剪力的相互影响,对于负弯矩区组合梁截面,通过对钢梁腹板强度的折减来考虑剪力和弯矩的相互作用,其代表的组合梁负弯矩弯剪承载力相关关系为:
1)如果竖向剪力设计值Vb不超过竖向塑性抗剪承载力Vp的一半,即Vb≤0.5Vp时,竖向剪力对抗弯承载力的不利影响可以忽略,抗弯计算时可以利用整个组合截面。
2)如果竖向剪力设计值Vb等于竖向塑性抗剪承载力Vp,即Vb=Vp,则钢梁腹板只用于抗剪,不能再承担外荷载引起的弯矩,此时的设计弯矩由混凝土翼板有效宽度内的纵向钢筋和钢梁上下翼缘共同承担。
3)如果0.5Vp<Vb<Vp,弯剪作用的相关曲线则用一段抛物线表示。
12.2.7 组合梁的抗剪连接件宜采用圆柱头焊钉,也可采用槽钢。一个抗剪连接件的承载力设计值应符合下列规定(图12.2.7):

图12.2.7 组合梁抗剪连接件

3 槽钢连接件通过肢尖肢背两条通长角焊缝与钢梁连接,角焊缝应按承受该连接件的抗剪承载力设计值N c v 进行计算。
4 位于负弯矩区段的抗剪连接件,其一个抗剪连接件的承载力设计值N c v 应乘以折减系数,中间支座两侧的折减系数为0.9,悬臂部分的折减系数为0.8。
式中:N c v ——一个抗剪连接件的纵向抗剪承载力;
A s ——圆柱头焊钉钉杆截面面积;
f at ——圆柱头焊钉极限强度设计值;
E c ——混凝土的弹性模量;
t——槽钢翼缘的平均厚度;
t w ——槽钢腹板的厚度;
l c ——槽钢的长度。
条文说明
12.2.7 目前应用最广泛的抗剪连接件为圆柱头焊钉连接件,在没有条件使用焊钉连接件的地区,可以采用槽钢连接件代替。 本条给出的连接件抗剪承载力计算公式是通过推导与试验确定的。
1)圆柱头焊钉连接件:试验表明,焊钉在混凝土中的抗剪工作类似于弹性地基梁,在焊钉根部混凝土受局部承压作用,因而影响抗剪承载力的主要因素有:焊钉的直径(或焊钉的截面积As=πd2/4)、混凝土的弹性模量Ec以及混凝土的强度等级。当焊钉长度为直径的4倍以上时,焊钉抗剪承载力为: 
该公式既可用于普通混凝土,也可用于轻骨料混凝土。 考虑可靠度的因素后,公式(10)中的fActualc除应以混凝土的轴心抗压强度fc代替外,尚应乘以折减系数0.85,这样就得到条文中的焊钉抗剪承载力设计公式(12.2.7-1)。 试验研究表明,焊钉的抗剪承载力并非随着混凝土强度的提高而无限地提高,存在一个与焊钉抗拉强度有关的上限值,该上限值为0.7Asfat,约相当于焊钉的极限抗剪强度。根据现行国家标准《电弧螺柱焊用圆柱头焊钉》GB/T 10433的相关规定,圆柱头焊钉的极限强度设计值fat不得小于400MPa。 )槽钢连接件:其工作性能与焊钉相似,混凝土对其影响的因素亦相同,只是槽钢连接件根部的混凝土局部承压区局限于槽钢上翼缘下表面范围内。各国规范中采用的公式基本上是一致的,我国在这方面的试验也极为接近,即: 
考虑可靠度的因素后,公式(11)中的fActualc除应以混凝土的轴心抗压强度设计值fc代替外,尚应再乘以折减系数0.85,这样就得到条文中的抗剪承载力设计值公式(12.2.7-2)。 抗剪连接件起抗剪和抗拔作用,一般情况下,连接件的抗拔规定自然符合,不需要专门验算。有时在负弯矩区,为了释放混凝土板的拉应力,也可以采用只有抗拔作用而无抗剪作用的特殊连接件。 当焊钉位于负弯矩区时,混凝土翼缘处于受拉状态,焊钉周围的混凝土对其约束程度不如位于正弯矩区的焊钉受到其周围混凝土的约束程度高,故位于负弯矩区的焊钉抗剪承载力也应予以折减。
12.2.8 对于用压型钢板混凝土组合板做翼板的组合梁,一个圆柱头焊钉连接件的抗剪承载力设计值应分别按下列规定予以折减:

图12.2.8 用压型钢板作混凝土翼板底模的组合梁
1 当压型钢板肋平行于钢梁布置(图12.2.8a),b w /h e <1.5时,焊钉抗剪连接件承载力设计值的折减系数应按下式计算:

2 当压型钢板肋垂直于钢梁布置时(图12.2.8b),焊钉抗剪连接件承载力设计值的折减系数应按下式计算:

式中:β v ——抗剪连接件承载力折减系数,当β v ≥1时取β v =1;
b w ——混凝土凸肋的平均宽度,当肋的上部宽度小于下部宽度时(图12.2.8c),取其上部宽度;
h e ——混凝土凸肋高度;
h d ——焊钉高度;
n 0 ——梁截面处一个肋中布置的栓钉数,当多于3个时,按3个计算。
条文说明
12.2.8 采用压型钢板混凝土组合板时,其抗剪连接件一般用圆柱头焊钉。由于焊钉需穿过压型钢板而焊接至钢梁上,且焊钉根部周围没有混凝土的约束,当压型钢板肋垂直于钢梁时,由压型钢板的波纹形成的混凝土肋是不连续的,故对焊钉的抗剪承载力应予以折减。本条规定的折减系数是根据试验分析而得到的。
12.2.9 连接件数量可在对应的剪跨区段内均匀布置。当在此剪跨区段内有较大集中荷载作用时,应将连接件个数按剪力图面积比例分配后再各自均匀布置。
条文说明
12.2.9 对于简支组合梁,可以将抗剪连接件均匀布置在最大正弯矩截面至支座截面之间。对于连续组合梁,可以把抗剪连接件分别在图12.2.4中m1、m2、m3区段内均匀布置,但应注意各区段内混凝土翼板隔离体的平衡。当剪力有较大突变时,考虑到抗剪连接件变形能力的限制,应在大剪力分布区段集中布置连接件。
12.2.10 组合梁由荷载作用引起的单位纵向抗剪界面长度上的剪力设计值应按下列规定计算(图12.2.10):

图12.2.10 托板及翼板的纵向受剪界面及纵向剪力简化计算图

式中:V b1 ——荷载作用引起的单位纵向抗剪界面长度上的剪力;
V s ——每个剪跨区段内钢梁与混凝土翼板交界面的纵向剪力,按本规范第12.2.4条的规定计算;
m i ——剪跨区段长度,按本规范第12.2.4条规定计算;
b e ——混凝土翼板的有效宽度,按本规范第12.1.1条的规定取跨中有效宽度;
b 1 、b 2 ——混凝土翼板左、右两侧挑出的宽度。
条文说明
12.2.10 国内外试验表明,在剪力连接件集中剪力作用下,组合梁混凝土板可能发生纵向开裂现象,组合梁纵向抗剪能力与混凝土板尺寸及板内横向钢筋的配筋率等因素密切相关,作为组合梁设计最为特殊的一部分,组合梁纵向抗剪验算应引起足够的重视。 沿着一个既定的平面抗剪称为界面抗剪,组合梁的混凝土板(承托、翼板)在纵向水平剪力作用时属于界面抗剪。图12.2.10给出对应不同翼板形式的组合梁纵向抗剪最不利界面,a-a抗剪界面长度为混凝土板厚度;b-b抗剪截面长度取刚好包络焊钉外缘时对应的长度;c-c、d-d抗剪界面长度取最外侧的焊钉外边缘连线长度加上距承托两侧斜边轮廓线的垂线长度。 组合梁单位纵向抗剪界面长度上的纵向剪力设计值Vb1可以按实际受力状态计算,也可以按极限状态下的平衡关系计算。按实际受力状态计算时,采用弹性分析方法,计算较为繁琐;而按极限状态下的平衡关系计算时,采用塑性简化分析方法,计算方便,且和承载能力塑性设计方法相统一,同时公式偏于安全,故建议采用塑性简化分析方法计算组合梁单位纵向抗剪界面长度上的纵向剪力值。
12.2.11 组合梁由荷载作用引起的单位纵向抗剪界面长度上的斜截面受剪承载力应符合下列公式的规定:

式中:f t ——混凝土抗拉强度设计值;
b f ——垂直于纵向抗剪界面的长度,按图12.2.10所示的a-a、b-b、c-c及d-d连线在抗剪连接件以外的最短长度取值;
A e ——单位纵向抗剪界面长度上的横向钢筋截面面积。对于界面a-a,A e =A b +A t ;对于界面b-b,A e =2A b ;对于有板托的界面c-c,A e =2(A b +A bh );对于有板托的界面d-d,A e =2A bh ;
f yv ——横向钢筋抗拉强度设计值。
条文说明
12.2.11 国内外研究成果表明,组合梁混凝土板纵向抗剪能力主要由混凝土和横向钢筋两部分提供,横向钢筋配筋率对组合梁纵向抗剪承载力影响最为显著。普通钢筋混凝土板的抗剪承载力可按下式计算: 
结合国内外已有的试验研究成果,对混凝土抗剪贡献一项作适当调整,得到了公式(12.2.11-1)和(12.2.11-2),该公式考虑了混凝土强度等级对混凝土板抗剪贡献的影响。
12.2.12 混凝土板横向钢筋最小配筋宜符合下式规定:

条文说明
12.2.12 组合梁横向钢筋最小配筋率规定是为了保证组合梁在达到承载力极限状态之前不发生纵向剪切破坏,并考虑到荷载长期效应和混凝土收缩等不利因素的影响。
12.3 挠度计算及负弯矩区裂缝宽度计算
12.3 挠度计算及负弯矩区裂缝宽度计算
12.3.1 组合梁的挠度应分别按荷载的标准组合和准永久组合并考虑长期作用的影响进行计算。挠度计算可按结构力学公式进行,仅受正弯矩作用的组合梁,其抗弯刚度应取考虑滑移效应的折减刚度,连续组合梁应按变截面刚度梁进行计算,在距中间支座两侧各0.15倍梁跨度范围内,不计受拉区混凝土对刚度的影响,但应计入纵向钢筋的作用,其余区段仍取折减刚度。在此两种荷载组合中,组合梁应取其相应的折减刚度。
条文说明
12.3.1 组合梁的挠度计算与钢筋混凝土梁类似,需要分别计算在荷载标准组合及荷载准永久组合下的截面折减刚度并以此来计算组合梁的挠度。
12.3.2 组合梁考虑滑移效应的折减刚度B可按下式确定:

式中:E——钢的弹性模量;
I eq ——组合梁的换算截面惯性矩;对荷载的标准组合,可将截面中的混凝土翼板有效宽度除以钢与混凝土弹性模量的比值α E 换算为钢截面宽度后,计算整个截面的惯性矩;对荷载的准永久组合,则除以2α E 进行换算;对于钢梁与压型钢板混凝土组合板构成的组合梁,取其较弱截面的换算截面进行计算,且不计压型钢板的作用;
ξ——刚度折减系数,按本规范第12.3.3条规定计算;
α E ——钢与混凝土弹性模量的比值。
条文说明
12.3.2、12.3.3 国内外试验研究表明,采用焊钉、槽钢等柔性抗剪连接件的钢-混凝土组合梁,连接件在传递钢梁与混凝土翼缘交界面的剪力时,本身会发生变形,其周围的混凝土也会发生压缩变形,导致钢梁与混凝土翼缘的交界面产生滑移应变,引起附加曲率,从而引起附加挠度。可以通过对组合梁的换算截面抗弯刚度EIeq进行折减的方法来考虑滑移效应。本规范公式(12.3.2)是考虑滑移效应的组合梁折减刚度计算方法,它既适用于完全抗剪连接组合梁,也适用于部分抗剪连接组合梁和钢梁与压型钢板混凝土组合板构成的组合梁。对于后者,公式(12.3.3-3)中抗剪连接件承载力Ncv应按本规范12.2.8条予以折减。
12.3.3 刚度折减系数ξ可按下列公式计算:

式中:ξ——刚度折减系数,当ξ≤0时,取ξ=0;
A cf ——混凝土翼板截面面积;对压型钢板混凝土组合板的翼板,取其较弱截面的面积,且不考虑压型钢板的面积(mm 2 );
A——钢梁截面面积(mm 2 );
I——钢梁截面惯性矩(mm 4 );
I cf ——混凝土翼板的截面惯性矩;对压型钢板混凝土组合板的翼板,取其较弱截面的惯性矩,且不考虑压型钢板(mm 4 );
d c ——钢梁截面形心到混凝土翼板截面(对压型钢板混凝土组合板为其较弱截面)形心的距离(mm);
h——组合梁截面高度(mm);
l——组合梁的跨度(mm);
N c v ——抗剪连接件的承载力设计值,按本规范第12.2.7条的规定计算(N);
k——抗剪连接件的刚度系数,取k=N c v (N/mm);
p——抗剪连接件的纵向平均间距(mm);
n s ——抗剪连接件在一根梁上的列数;
α E ——钢与混凝土弹性模量的比值,当按荷载效应的准永久组合进行计算时,α E 应乘以2。
12.3.4 组合梁负弯矩区段混凝土在正常使用极限状态下考虑长期作用影响的最大裂缝宽度应按现行国家标准《混凝土结构设计规范》GB 50010轴心受拉构件的规定计算,其值不得大于现行国家标准《混凝土结构设计规范》GB 50010规定的限值。
条文说明
12.3.4 混凝土的抗拉强度很低,因此对于没有施加预应力的连续组合梁,负弯矩区的混凝土翼板很容易开裂,且往往贯通混凝土翼板的上下表面,但下表面裂缝宽度一般均小于上表面,计算时可不予验算。引起组合梁翼板开裂的因素很多,如材料质量、施工工艺、环境条件以及荷载作用等。混凝土翼板开裂后会降低结构的刚度,并影响其外观及耐久性,如板顶面的裂缝容易渗入水分或其他腐蚀性物质,加速钢筋的锈蚀和混凝土的碳化等。因此,应对正常使用条件下的连续组合梁的裂缝宽度进行验算,其最大裂缝宽度不得超过现行国家标准《混凝土结构设计规范》GB 50010的限值。 相关试验研究结果表明,组合梁负弯矩区混凝土翼板的受力状况与钢筋混凝土轴心受拉构件相似,因此可采用现行国家标准《混凝土结构设计规范》GB 50010的有关公式计算组合梁负弯矩区的最大裂缝宽度。在验算混凝土裂缝时,可仅按荷载的标准组合进行计算,因为在荷载标准组合下计算裂缝的公式中已考虑了荷载长期作用的影响。
12.3.5 按荷载效应的标准组合计算的开裂截面纵向受拉钢筋的应力可按下列公式计算:

式中:I cr ——由纵向普通钢筋与钢梁形成的组合截面的惯性矩;
σ sk ——纵向受拉钢筋应力;
y s ——钢筋截面重心至钢筋和钢梁形成的组合截面中和轴的距离;
M k ——钢与混凝土形成组合截面之后,考虑了弯矩调幅的标准荷载作用下支座截面负弯矩组合值;对于悬臂组合梁,M k 应根据平衡条件计算得到;
M e ——钢与混凝土形成组合截面之后,标准荷载作用下按照未开裂模型进行弹性计算得到的连续组合梁中支座负弯矩值;
α r ——正常使用极限状态连续组合梁中支座负弯矩调幅系数,其取值不宜超过15%。
条文说明
12.3.5 连续组合梁负弯矩开裂截面纵向受拉钢筋的应力水平σsk是决定裂缝宽度的重要因素之一,要计算该应力值,需要得到标准荷载作用下截面负弯矩组合值Mk,由于支座混凝土的开裂导致截面刚度下降,正常使用极限状态连续组合梁会出现内力重分布现象,可以采用调幅系数法考虑内力重分布对支座负弯矩的降低,试验证明,正常使用极限状态弯矩调幅系数上限取为15%是可行的。 需要指出的是,Mk的计算需要考虑施工步骤的影响,仅考虑形成组合截面之后施工阶段荷载及使用阶段续加荷载产生的弯矩值。对于悬臂组合梁,Mk应根据平衡条件计算。 在连续组合梁中,栓钉用于组合梁正弯矩区时,能充分保证钢梁与混凝土板的组合作用,提高结构刚度和承载力,但用于负弯矩区时,组合作用会使混凝土板受拉而易于开裂,可能会影响结构的使用性能和耐久性。针对该问题,可以采用优化混凝土板浇筑顺序、合理确定支撑拆除时机等施工措施,降低负弯矩区混凝土板的拉应力,达到理想的抗裂效果。通常,负弯矩区段的混凝土板可以在正弯矩区形成组合作用并拆除临时支撑后再进行浇筑。
12.4 构造措施
12.4 构造措施
12.4.1 组合梁截面高度不宜超过钢梁截面高度的2倍;混凝土板托高度不宜超过翼板厚度的1.5倍。
条文说明
12.4.1 组合梁的高跨比一般为h/l≥1/15~1/20,为使钢梁的抗剪强度与组合梁的抗弯强度相协调,钢梁截面高度hs宜大于组合梁截面高度h的1/2,即h≤2hs。
12.4.2 有板托的组合梁边梁混凝土翼板伸出长度不宜小于板托高度;无板托时,伸出钢梁中心线不应小于150mm、伸出钢梁翼缘边不应小于50mm(图12.4.2)。

图12.4.2 边梁构造
12.4.3 连续组合梁在中间支座负弯矩区的上部纵向钢筋及分布钢筋,应按现行国家标准《混凝土结构设计规范》GB 50010的规定设置。负弯矩区的钢梁下翼缘在没有采取防止局部失稳的特殊措施时,其宽厚比应符合塑性设计规定。
条文说明
12.4.3 用于符合本规范12.2.11条纵向抗剪规定的组合梁混凝土翼板中的横向钢筋,除了板托中的横向钢筋Abh外,其余的横向钢筋At和Ab可同时作为混凝土板的受力钢筋和构造钢筋使用(图12.2.10),并应符合现行国家标准《混凝土结构设计规范》GB 50010的有关构造规定。
12.4.4 抗剪连接件的设置应符合下列规定:
1 圆柱头焊钉连接件钉头下表面或槽钢连接件上翼缘下表面高出翼板底部钢筋顶面的距离不宜小于30mm;
2 连接件沿梁跨度方向的最大间距不应大于混凝土翼板及板托厚度的3倍,且不应大于300mm;当组合梁受压上翼缘不符合塑性设计规定的宽厚比限值,但连接件设置符合下列规定时,仍可采用塑性方法进行设计:
1)当混凝土板沿全长和组合梁接触时,连接件最大间距不大于22t f 
;当混凝土板和组合梁部分接触时,连接件最大间距不大于15t f 
;t f 为钢梁受压上翼缘厚度;
2)连接件的外侧边缘与钢梁翼缘边缘之间的距离不大于9t f 
,t f 为钢梁受压上翼缘厚度;
3 连接件的外侧边缘与钢梁翼缘边缘之间的距离不应小于20mm;
4 连接件的外侧边缘至混凝土翼板边缘间的距离不应小于100mm;
5 连接件顶面的混凝土保护层厚度不应小于15mm。
条文说明
12.4.4 本条规定了抗剪连接件的构造。
1 圆柱头焊钉钉头下表面或槽钢连接件上翼缘下表面高出混凝土底部钢筋30mm的规定,主要是为了保证连接件在混凝土翼板与钢梁之间发挥抗掀起作用,且底部钢筋能作为连接件根部附近混凝土的横向钢筋,防止混凝土由于连接件的局部受压而开裂。
2 连接件沿梁跨度方向的最大间距规定,主要是为了防止在混凝土翼板与钢梁接触面间产生过大的裂缝,影响组合梁的整体工作性能和耐久性。此外,焊钉能为钢板提供有效的面外约束,因此具有提高板件受压局部稳定性的作用,若焊钉的间距足够小,那么即使板件不符合塑性设计规定的宽厚比限值,同样能够在达到塑性极限承载力之前不发生局部屈曲,此时也可采用塑性方法进行设计而不受板件宽厚比限制,本条参考了欧洲规范4的相关条文,给出了不符合板件宽厚比限值仍可采用塑性设计方法的焊钉最大间距规定。
12.4.5 圆柱头焊钉连接件除应符合12.4.4条规定外,尚应符合下列规定:
1 钢梁上翼缘承受拉力时,焊钉杆直径不应大于钢梁上翼缘厚度的1.5倍;当钢梁上翼缘不承受拉力时,焊钉杆直径不应大于钢梁上翼缘厚度的2.5倍;
2 焊钉长度不应小于其杆径的4倍;
3 焊钉沿梁轴线方向的间距不应小于杆径的6倍;垂直于梁轴线方向的间距不应小于杆径的4倍;
4 用压型钢板作底模的组合梁,焊钉杆直径不宜大于19mm,混凝土凸肋宽度不应小于焊钉杆直径的2.5倍;焊钉高度不应小于(h e +30)mm,且不应大于(h e +75)mm,h e 为混凝土凸肋高度。
条文说明
12.4.5 为保证栓钉的抗剪承载力能充分发挥,规定了栓钉的构造措施。
12.4.6 槽钢连接件宜采用Q235钢,截面不宜大于[12.6。
12.4.7 板托的外形尺寸及构造应符合下列规定(图12.4.7):
1 板托边缘距抗剪连接件外侧的距离不得小于40mm,同时板托外形轮廓应在抗剪连接件根部算起的45°仰角线之外;
2 板托中邻近钢梁上翼缘的部分混凝土应配加强筋,板托中横向钢筋的下部水平段应该设置在距钢梁上翼缘50mm的范围之内;
3 横向钢筋的间距不应大于4h e0 且不应大于200mm,h e0 为圆柱头焊钉连接件钉头下表面或槽钢连接件上翼缘下表面高出翼板底部钢筋顶面的距离。

图 12.4.7 板托的构造规定
1-弯筋
条文说明
12.4.7 关于板托中横向加强钢筋的规定,主要是因为板托中邻近钢梁上翼缘的部分混凝土受到抗剪连接件的局部压力作用,容易产生劈裂,需要配筋加强。
12.4.8 无板托的组合梁,混凝土翼板中的横向钢筋应符合本规范第12.4.7条中第2款、第3款的规定。
12.4.9 对于承受负弯矩的箱形截面组合梁,可在钢箱梁底板上方或腹板内侧设置抗剪连接件并浇筑混凝土。
条文说明
12.4.9 组合梁承受负弯矩时,钢箱梁底板受压,在其上方浇筑的混凝土与钢箱梁底板形成组合作用,可共同承受压力,并有效提高受压钢板的稳定性。此外,在梁端负弯矩区剪力较大的区域,为提高其抗剪承载力和刚度,可在钢箱梁腹板内侧设置抗剪连接件并浇筑混凝土以充分发挥钢梁腹板和内填混凝土的组合抗剪作用。
13 组合楼板
13.1 一般规定
13 组合楼板
13.1 一般规定
13.1.1 组合楼板用压型钢板应根据腐蚀环境选择镀锌量,可选择两面镀锌量为275g/m 2 的基板。组合楼板不宜采用钢板表面无压痕的光面开口型压型钢板,且基板净厚度不应小于0.75mm。作为永久模板使用的压型钢板基板的净厚度不宜小于0.5mm。
条文说明
13.1.1 从构造上规定了组合楼板用压型钢板基板的最小厚度。
13.1.2 压型钢板浇筑混凝土面的槽口宽度,开口型压型钢板凹槽重心轴处宽度(b r )、缩口型压型钢板和闭口型压型钢板槽口最小浇筑宽度(b r )不应小于50mm。当槽内放置栓钉时,压型钢板总高(h s ,包括压痕)不宜大于80mm(图13.1.2)。

图13.1.2 组合楼板截面凹槽宽度示意图
1-压型钢板重心轴
条文说明
13.1.2 保证一定的凹槽宽度,使混凝土骨料容易浇入压型钢板槽口内,从而保证混凝土密实。由于目前还未见到总高度hs大于80mm的压型钢板用于组合楼板,对其性能没有试验数据。如开发出hs>80mm的压型钢板时,应有足够的试验数据证明其形成组合楼板后的性能符合本规范各项规定。
13.1.3 组合楼板总厚度h不应小于90mm,压型钢板肋顶部以上混凝土厚度h c 不应小于50mm。
条文说明
13.1.3 从构造上规定了组合楼板的最小厚度以及肋顶以上混凝土最小厚度限值,限值的规定是保证混凝土与压型钢板共同工作,数值与国际上相关标准一致。组合楼板刚度计算的有效截面,包括压型钢板肋以上的混凝土、压型钢板槽内的混凝土以及压型钢板组成的有效截面。其厚度应在考虑承载力极限状态和正常使用极限状态以及耐火性能等前提下,按经济合理的原则确定。
13.1.4 组合楼板中的压型钢板肋顶以上混凝土厚度h c 为50mm~100mm时,组合楼板可沿强边(顺肋)方向按单向板计算。
13.1.5 组合楼板中的压型钢板肋顶以上混凝土厚度h c 大于100mm时,组合楼板的计算应符合下列规定:
1 当λ e <0.5时,按强边方向单向板进行计算;
2 当λ e >2.0时,按弱边方向单向板进行计算;
3 当0.5≤λ e ≤2.0时,按正交异性双向板进行计算;
4 有效边长比λ e 应按下列公式计算:

式中:λ e ——有效边长比;
I x ——组合楼板强边计算宽度的截面惯性矩;
I y ——组合楼板弱边方向计算宽度的截面惯性矩,只考虑压型钢板肋顶以上混凝土的厚度;
l x 、l y ——组合楼板强边、弱边方向的跨度。
条文说明
13.1.4、13.1.5 规定了组合楼板按单向板或双向板计算的判断原则。
13.2 承载力计算
13.2 承载力计算
13.2.1 组合楼板截面在正弯矩作用下,其正截面受弯承载力应符合下列规定(图13.2.1):

图13.2.1 组合楼板的受弯计算简图
1-压型钢板重心轴;2-钢材合力点

3 相对界限受压区高度应按下列公式计算:

3)当截面受拉区配置钢筋时,相对界限受压区高度计算式(13.2.1-5)或(13.2.1-6)中的f a 应分别用钢筋强度设计值f y 和压型钢板强度设计值f a 代入计算取其较小值。
式中:M——计算宽度内组合楼板的弯矩设计值;
h c ——压型钢板肋以上混凝土厚度;
b——组合楼板计算宽度,一般情况计算宽度可为1m;
x——混凝土受压区高度;
h 0 ——组合楼板截面有效高度,取压型钢板及钢筋拉力合力点至混凝土受压边的距离;
A a ——计算宽度内压型钢板截面面积;
A s ——计算宽度内板受拉钢筋截面面积;
f a ——压型钢板抗拉强度设计值;
f y ——钢筋抗拉强度设计值;
f c ——混凝土抗压强度设计值;
ε cu ——受压区混凝土极限压应变,其值取0.0033;
ξ b ——相对界限受压区高度;
β 1 ——受压区混凝土应力图形影响系数,按本规范第5.1.1条取值。
条文说明
13.2.1 组合楼板受弯计算时认为压型钢板全部屈服,并以压型钢板截面重心为合力点。当配有受拉钢筋时,则受拉合力点为钢筋和压型钢板截面的重心。图13.2.1是以开口型压型钢板组合楼板给出的,缩口型、闭口型压型钢板组合楼板亦同样。 当x>hc时,表明压型钢板肋以上混凝土受压面积不够,还需部分压型钢板内的混凝土连同该部分压型钢板受压,这种情况出现在压型钢板截面面积很大时,这时精确计算受弯承载力非常繁琐,当遇到这种情况时,由于目前压型钢板种类、型号很多,可采用重新选择压型钢板解决。
13.2.2 组合楼板截面在负弯矩作用下,可不考虑压型钢板受压,将组合楼板截面简化成等效T形截面,其正截面承载力应符合下列公式的规定(图13.2.2):

图13.2.2 简化的T形截面

式中:M——计算宽度内组合楼板的负弯矩设计值;
h′ 0 ——负弯矩区截面有效高度;
b min ——计算宽度内组合楼板换算腹板宽度;
b——组合楼板计算宽度;
c s ——压型钢板板肋中心线间距;
b b ——压型钢板单个波槽的最小宽度。
条文说明
13.2.2 将单位宽度的组合楼板简化为倒T形截面计算。压型钢板肋槽多为梯形截面,简化公式(13.2.2-3)偏于安全地取了梯形截面小边尺寸。
13.2.3 组合楼板斜截面受剪承载力应符合下式规定:

式中:V——组合楼板最大剪力设计值;
f t ——混凝土抗拉强度设计值。
条文说明
13.2.3 将组合楼板简化为T形截面,组合楼板斜截面承载能力主要由腹板承担,实际上这是组合楼板最小截面的规定。
13.2.4 组合楼板中压型钢板与混凝土间的纵向剪切粘结承载力应符合下式规定:

式中:V——组合楼板最大剪力设计值;
f t ——混凝土抗拉强度设计值;
a——剪跨,均布荷载作用时取a=l n /4;
l n ——板净跨度,连续板可取反弯点之间的距离;
A a ——计算宽度内组合楼板截面压型钢板面积;
m、k——剪切粘结系数,按本规范附录A取值。
条文说明
13.2.4 将以往我国称之为纵向抗剪一词改为国际上通用的剪切粘结承载力,同时采用了国际上通用的剪切粘结计算公式,并将国际通用公式中的
换成了我国混凝土抗拉强度特征值表示方法ft。
13.2.5 在局部集中荷载作用下,组合楼板应对作用力较大处进行单独验算,其有效工作宽度应按下列公式计算(图13.2.5):

图13.2.5 局部荷载分布有效宽度
1-承受局部集中荷载钢筋;2-局部承压附加钢筋

式中:l——组合楼板跨度;
l p ——荷载作用中点至楼板支座的较近距离;
b e ——局部荷载在组合楼板中的有效工作宽度;
b w ——局部荷载在压型钢板中的工作宽度;
b p ——局部荷载宽度;
h c ——压型钢板肋以上混凝土厚度;
h f ——地面饰面层厚度。
条文说明
13.2.5 当压型钢板组合楼板上有较大的集中荷载或沿顺肋方向有较大的集中线荷载时,局部范围内组合楼板受力较大,因此应对该部分承载力进行单独验算。
13.2.6 在局部集中荷载作用下的受冲切承载力应符合现行国家标准《混凝土结构设计规范》GB 50010的有关规定,混凝土板的有效高度可取组合楼板肋以上混凝土厚度。
条文说明
13.2.6 组合楼板受冲切验算,按板厚为hc的普通钢筋混凝土板计算,不考虑压型钢板槽内混凝土和压型钢板的作用,计算简单且偏于安全。
13.3 正常使用极限状态验算
13.3 正常使用极限状态验算
13.3.1 组合楼板负弯矩区最大裂缝宽度应按下列公式计算:

式中:w max ——最大裂缝宽度;
ψ——裂缝间纵向受拉钢筋应变不均匀系数:当ψ<0.2时,取ψ=0.2;当ψ>1时,取ψ=1;对直接承受重复荷载的构件,取ψ=1;
σ sq ——按荷载效应的准永久组合计算的组合楼板负弯矩区纵向受拉钢筋的等效应力;
E s ——钢筋弹性模量;
c s ——最外层纵向受拉钢筋外边缘至受拉区底边的距离,当c s <20mm时,取c s =20mm;
ρ te ——按有效受拉混凝土截面面积计算的纵向受拉钢筋配筋率;在最大裂缝宽度计算中,当ρ te <0.01时,取ρ te =0.01;
A te ——有效受拉混凝土截面面积;
A s ——受拉区纵向钢筋截面面积;
d eq ——受拉区纵向钢筋的等效直径;
d i ——受拉区第i种纵向钢筋的公称直径;
n i ——受拉区第i种纵向钢筋的根数;
v i ——受拉区第i种纵向钢筋的相对粘结特性系数,光面钢筋v i =0.7,带肋钢筋v i =1.0;
A s ——受拉区纵向钢筋截面面积;
h′ 0 ——组合楼板负弯矩区板的有效高度;
M q ——按荷载效应的准永久组合计算的弯矩值。
条文说明
13.3.1 组合楼板负弯矩区最大裂缝宽度验算应按现行国家标准《混凝土结构设计规范》GB 50010进行,并应符合其相关规定。本条规定的裂缝宽度计算公式是由现行国家标准《混凝土结构设计规范》GB 50010中受弯构件裂缝宽度计算公式演变而来。
13.3.2 使用阶段组合楼板挠度应按结构力学的方法计算,组合楼板在准永久荷载作用下的截面抗弯刚度可按下列公式计算(图13.3.2):

图13.3.2 组合楼板截面刚度计算简图
1-中和轴;2-压型钢板重心轴
式中:B s ——短期荷载作用下的截面抗弯刚度;
I s eq ——准永久荷载作用下的平均换算截面惯性矩;
I s u ——准永久荷载作用下未开裂换算截面惯性矩;
I s c ——准永久荷载作用下开裂换算截面惯性矩;
b——组合楼板计算宽度;
c s ——压型钢板板肋中心线间距;
b r ——开口板为槽口的平均宽度,锁口板、闭口板为槽口的最小宽度;
h c ——压型钢板肋顶上混凝土厚度;
h s ——压型钢板的高度;
h 0 ——组合板截面有效高度;
y cc ——截面中和轴距混凝土顶边距离,当y cc >h c ,取y cc =h c ;
y cs ——截面中和轴距压型钢板截面重心轴距离;
α E ——钢对混凝土的弹性模量比;
E a ——钢的弹性模量;
E c ——混凝土的弹性模量;
A a ——计算宽度内组合楼板中压型钢板的截面面积;
I a ——计算宽度内组合楼板中压型钢板的截面惯性矩;
ρ a ——计算宽度内组合楼板截面压型钢板含钢率。
13.3.3 组合楼板长期荷载作用下截面抗弯刚度可按下列公式计算:

式中:B——长期荷载作用下的截面抗弯刚度;
I l eq ——长期荷载作用下的平均换算截面惯性矩;
I l u 、I l c ——长期荷载作用下未开裂换算截面惯性矩及开裂换算截面惯性矩,按本规范公式(13.3.2-3)、(13.3.2-6)计算,计算中α E 改用2α E 。
条文说明
13.3.2、13.3.3 目前我国组合楼板刚度计算,在不同的计算手册中给出了不同的计算方法,本规范给出的计算方法是ASCE-3标准中给出的方法,即将压型钢板换算成混凝土的单质未开裂换算截面及开裂换算截面。经对建筑物中在用组合楼板的测试表明,本方法与实测值符合较好。
13.3.4 组合楼盖应进行舒适度验算,舒适度验算可采用动力时程分析方法,也可采用本规范附录B的方法;对高层建筑也可按现行行业标准《高层建筑混凝土结构技术规程》JGJ 3的方法验算。
条文说明
13.3.4 对组合楼盖峰值加速度和自振频率的验算,是保证组合楼盖使用阶段的舒适度的验算。试验和理论分析表明楼盖舒适度不仅仅取决于楼板的自振频率,还与组合楼盖的峰值加速度有关。
13.4 构造措施
13.4 构造措施
13.4.1 组合楼板正截面承载力不足时,可在板底沿顺肋方向配置纵向抗拉钢筋,钢筋保护层净厚度不应小于15mm,板底纵向钢筋与上部纵向钢筋间应设置拉筋。
条文说明
13.4.1 考虑到压型钢板具有防腐性能,保护层厚度可以适当减少,但其净厚度不应小于15mm,以保证钢筋与混凝土的粘结。
13.4.2 组合楼板在有较大集中(线)荷载作用部位应设置横向钢筋,其截面面积不应小于压型钢板肋以上混凝土截面面积的0.2%,延伸宽度不应小于集中(线)荷载分布的有效宽度。钢筋间距不宜大于150mm,直径不宜小于6mm。
条文说明
13.4.2 配置横向钢筋可起到分散板面荷载,扩大集中荷载或线荷载的分布范围,改善组合楼板的工作性能。
13.4.3 组合楼板支座处构造钢筋及板面温度钢筋配置应符合现行国家标准《混凝土结构设计规范》GB 50010的有关规定。
13.4.4 组合楼板支承于钢梁上时,其支承长度对边梁不应小于75mm(图13.4.4a);对中间梁,当压型钢板不连续时不应小于50mm(图13.4.4b);当压型钢板连续时不应小于75mm(图13.4.4c)。

图13.4.4 组合楼板支承于钢梁上
13.4.5 组合楼板支承于混凝土梁上时,应在混凝土梁上设置预埋件,预埋件设计应符合现行国家标准《混凝土结构设计规范》GB 50010的规定,不得采用膨胀螺栓固定预埋件。组合楼板在混凝土梁上的支承长度,对边梁不应小于100mm(图13.4.5a);对中间梁,当压型钢板不连续时不应小于75mm(图13.4.5b);当压型钢板连续时不应小于100mm(图13.4.5c)。

图13.4.5 组合楼板支承于混凝土梁上
1-预埋件
13.4.6 组合楼板支承于砌体墙上时,应在砌体墙上设混凝土圈梁,并在圈梁上设置预埋件,组合楼板应支承于预埋件上,并应符合本规范第13.4.5条的规定。
条文说明
13.4.4~13.4.6 规范对组合楼板在梁上的支承长度提出了最低规定。当组合楼板支承在混凝土构件上时,可在混凝土构件上设置预埋件,固定方式则同钢梁;组合楼板支承于砌体墙上时,可采用在砌体墙上设混凝土圈梁,将组合楼板支承在砌体墙上转换为支承在混凝土圈梁上。由于膨胀螺栓不能承受振动荷载,因此本规范特别强调预埋件不得用膨胀螺栓固定。
13.4.7 组合楼板支承于剪力墙侧面时,宜支承在剪力墙侧面设置的预埋件上,剪力墙内宜预留钢筋并与组合楼板负弯矩钢筋连接,埋件设置以及预留钢筋的锚固长度应符合现行国家标准《混凝土结构设计规范》GB 50010的规定(图13.4.7)。

图13.4.7 组合楼板与剪力墙连接构造
1-预埋件;2-角钢或槽钢;3-剪力墙内预留钢筋;4-栓钉
条文说明
13.4.7 组合楼板支承于剪力墙侧面时,宜利用预埋件传递剪力,本条规定了节点构造做法。
13.4.8 组合楼板栓钉的设置应符合本规范第12.4.4条和第12.4.5条的规定。
13.5 施工阶段验算及规定
13.5 施工阶段验算及规定
13.5.1 在施工阶段,压型钢板作为模板计算时,应考虑下列荷载:
1 永久荷载:压型钢板、钢筋和混凝土自重。
2 可变荷载:施工荷载与附加荷载。施工荷载应包括施工人员和施工机具等,并考虑施工过程中可能产生的冲击和振动。当有过量的冲击、混凝土堆放以及管线等应考虑附加荷载。可变荷载应以工地实际荷载为依据。
3 当没有可变荷载实测数据或施工荷载实测值小于1.0kN/m 2 时,施工荷载取值不应小于1.0kN/m 2 。
条文说明
13.5.1 施工荷载系指施工人员和施工机具等,并考虑施工过程中可能产生的冲击和振动。若有过量的冲击、混凝土堆放以及管线等,应考虑附加荷载。由于施工习惯和方法的不同,施工阶段的可变荷载也不完全相同,因此测量施工时的施工荷载是十分重要的。楼承板施工阶段的承载力和挠度,应按实际施工荷载计算。
13.5.2 计算压型钢板施工阶段承载力时,湿混凝土荷载分项系数应取1.4。
条文说明
13.5.2 混凝土在浇筑过程中,处于非均匀的流动状态,可能造成单块楼承板受力较大,为保证安全,提高了混凝土在湿状态下的荷载分项系数。
13.5.3 压型钢板在施工阶段承载力应符合现行国家标准《冷弯薄壁型钢结构技术规范》GB 50018的规定,结构重要性系数γ 0 可取0.9。
13.5.4 压型钢板施工阶段应按荷载的标准组合计算挠度,并应按现行国家标准《冷弯薄壁型钢结构技术规范》GB 50018计算得到的有效截面惯性矩I ae 计算,挠度不应大于板支撑跨度l的1/180,且不应大于20mm。
条文说明
13.5.3、13.5.4 施工阶段验算应包括承载力验算和变形验算。承载力验算时重要性系数可取0.9,挠度验算时应按荷载标准组合计算,且挠度应满足施工阶段的限值要求。
13.5.5 压型钢板端部支座处宜采用栓钉与钢梁或预埋件固定,栓钉应设置在支座的压型钢板凹槽处,每槽不应少于1个,并应穿透压型钢板与钢梁焊牢,栓钉中心到压型钢板自由边距离不应小于2倍栓钉直径。栓钉直径可根据楼板跨度按表13.5.5采用。当固定栓钉作为组合楼板与钢梁之间的抗剪栓钉使用时,尚应符合本规范第12章的相关规定。
表13.5.5 固定压型钢板的栓钉直径

条文说明
13.5.5 压型钢板与其下部支承结构之间的固定工程中有很多方法,如焊接固定、射钉法、钢筋插入法、拧“麻花”法等,这些方法目前大部分都已淘汰,因此本条推荐采用栓钉固定这一常用的方法,并对栓钉构造作了规定。若按组合梁设计,尚应符合本规范第12章的规定。当采用其他方法固定压型钢板时,应参考相应的规范,确保固定可靠。
13.5.6 压型钢板侧向在钢梁上的搭接长度不应小于25mm,在预埋件上的搭接长度不应小于50mm。组合楼板压型钢板侧向与钢梁或预埋件之间应采取有效固定措施。当采用点焊焊接固定时,点焊间距不宜大于400mm。当采用栓钉固定时,栓钉间距不宜大于400mm;栓钉直径应符合本规范第13.5.5条的规定。
条文说明
13.5.6 对压型钢板侧向与梁或预埋件之间的搭接长度提出了最低规定,并对具体固定措施的构造作了规定。
14 连接构造
14.1 型钢混凝土柱的连接构造
14 连接构造
14.1 型钢混凝土柱的连接构造
14.1.1 在各种结构体系中,当结构下部楼层采用型钢混凝土柱,上部楼层采用钢筋混凝土柱时,在此两种结构类型间应设置结构过渡层,过渡层应符合下列规定(图14.1.1):

图14.1.1 型钢混凝土柱与钢筋混凝土柱的过渡层连接构造
1-型钢混凝土柱;2-钢筋混凝土柱;3-柱箍筋全高加密;4-过渡层
1 设计中确定某层柱由型钢混凝土柱改为钢筋混凝土柱时,下部型钢混凝土柱中的型钢应向上延伸一层或二层作为过渡层,过渡层柱的型钢截面可适当减小,纵向钢筋和箍筋配置应按钢筋混凝土柱计算,不考虑型钢作用;箍筋应沿柱全高加密;
2 结构过渡层内的型钢翼缘应设置栓钉,栓钉的直径不应小于19mm,栓钉的水平及竖向间距不宜大于200mm,栓钉至型钢钢板边缘距离不宜小于50mm。
条文说明
14.1.1 结构竖向布置中,如下部楼层采用型钢混凝土结构,而上部楼层采用钢筋混凝土结构,则应考虑避免这两种结构的刚度和承载力的突变,以避免形成薄弱层。日本1995年阪神地震中曾发生过此类震害。因此,设计中应设置过渡层,且提出了计算及构造规定。
14.1.2 在各种结构体系中,当结构下部楼层采用型钢混凝土柱,上部楼层采用钢柱时,在此两种结构类型间应设置结构过渡层,过渡层应符合下列规定(图14.1.2):

图14.1.2 型钢混凝土柱与钢柱的过渡层连接构造
1-型钢混凝土柱;2-钢柱;3-过渡层;4-过渡层型钢向下延伸高度
1 当某层柱由型钢混凝土柱改为钢柱时,下部型钢混凝土柱应向上延伸一层作为过渡层。过渡层中型钢应按上部钢柱截面配置,且向下一层延伸至梁下部不小于2倍柱型钢截面高度处;过渡层柱的箍筋应按下部型钢混凝土柱箍筋加密区的规定配置并沿柱全高加密。
2 过渡层柱的截面刚度应为下部型钢混凝土柱截面刚度(EI) SRC 与上部钢柱截面刚度(EI) S 的过渡值,宜取0.6[(EI) SRC +(EI) S ];其截面配筋应符合型钢混凝土柱承载力计算和构造规定;过渡层柱中型钢应按本规范第14.1.1条规定设置栓钉。
3 当下部型钢混凝土柱中的型钢为十字形型钢,上部钢柱为箱形截面时,十字形型钢腹板宜深入箱形钢柱内,其伸入长度不宜小于十字形型钢截面高度的1.5倍。
条文说明
14.1.2 在国内的高层钢结构工程中,结构上部采用钢结构柱,下部采用型钢混凝土柱,此两种结构类型的突变,必须设置过渡层,并提出了计算及构造规定。
14.1.3 型钢混凝土柱中的型钢柱需改变截面时,宜保持型钢截面高度不变,仅改变翼缘的宽度、厚度或腹板厚度。当改变柱截面高度时,截面高度宜逐步过渡,且在变截面的上、下端应设置加劲肋;当变截面段位于梁柱连接节点处时,变截面位置宜设置在两端距梁翼缘不小于150mm位置处(图14.1.3)。

图14.1.3 型钢柱变截面构造
条文说明
14.1.3 型钢混凝土柱中,当型钢某层改变截面时,宜考虑型钢截面承载力和刚度的逐步过渡,且需考虑便于施工操作。
14.1.4 型钢混凝土柱中的型钢柱拼接连接节点,翼缘宜采用全熔透的坡口对接焊缝;腹板可采用高强螺栓连接或全熔透坡口对接焊缝,腹板较厚时宜采用焊缝连接。柱拼接位置宜设置安装耳板,应根据柱安装单元的自重确定耳板的厚度、长度、固定螺栓数目及焊缝高度。耳板厚度不宜小于10mm,安装螺栓不宜少于6个M20,耳板与翼缘间宜采用双面角焊缝,焊脚高度不宜小于8mm(图14.1.4)。

图14.1.4 十字形截面型钢柱拼接节点的构造
1-耳板;2-连接板;3-安装螺栓;4-高强螺栓
14.2 矩形钢管混凝土柱的连接构造
14.2 矩形钢管混凝土柱的连接构造
14.2.1 矩形钢管混凝土柱的钢管对接应考虑构造和运输要求,可按多个楼层下料分段制作,分段接头宜设在楼面上1.0m~1.3m处。
条文说明
14.2.1 矩形钢管混凝土柱钢管的分段应综合考虑构件加工、运输、吊装以及施工等要求,并选择合理的接头位置。
14.2.2 不同壁厚的矩形钢管柱段的对接拼接宜采用下列方式:
1 矩形钢管的工厂拼接
1)对内壁平齐的对接拼接,当钢管壁厚相差不大于4mm时,可直接拼接(图14.2.2-1a);当钢管壁厚相差大于4mm时,较厚钢管的管壁应加工成斜坡后连接,斜坡坡度不应大于1:2.5(图14.2.2-1b)。
2)对外壁平齐的对接拼接,当较薄钢管的公称壁厚不大于5mm时,钢管壁厚相差应小于1.5mm;当较薄钢管的公称壁厚大于5mm时,壁厚相差不应大于1mm加公称壁厚的0.1倍,且不大于8mm;当两钢管的壁厚相差较大而不符合以上规定时,应采用有厚度差的内衬板(图14.2.2-1c)或将较厚钢管内壁加工成斜坡(图14.2.2-1d),斜坡坡度不应大于1:2.5。
3)采用较厚钢管的管壁加工成斜坡连接时,下柱顶端管壁厚度宜与上柱底端管壁厚度相等或相差不大于4mm,内衬板的厚度不宜小于6mm。
2 矩形钢管的现场拼接
钢管在现场拼接时,下节柱的上端应设置开孔隔板或环形隔板,顶面与柱口平齐或略低。接口应采用坡口全熔透焊接,管内应设衬管或衬板(图14.2.2-2)。

图14.2.2-1 不同壁厚钢管的工厂拼接
1-内壁;2-外壁;3-内衬板

图14.2.2-2 钢管的现场拼接
1-衬管或衬板;2-开孔隔板或环形隔板
条文说明
14.2.2 为了确保不同壁厚的矩形钢管柱段的拼接质量,在工厂拼接时可根据壁厚差采用不同的构造措施,现场拼接时应设置内衬管或衬板,并确保焊接质量。
14.2.3 矩形钢管混凝土柱的柱段截面宽度或高度明显不同时,宜采用下列方式拼接:
1 当上节柱外壁与下节柱外壁之间的差距s不大于25mm时,可采用顶板拼接方式(图14.2.3-1a),顶板厚度应符合下式规定:

式中:t——顶板厚度,当t<20mm时取t=20mm;
t 1 、t 2 ——下节柱、上节柱的壁厚,且t 1 ≥t 2 。
2 当上节柱外壁与下节柱外壁间的差距s大于25mm,但不大于50mm时,可采用上节柱外壁加劲拼接方式。加劲段高度不宜小于100mm,顶板厚度t宜比下柱壁厚t 1 增加2mm(图14.2.3-1b)。

图14.2.3-1 钢管柱的顶板拼接方式
3 当上节柱外壁与下节柱外壁间的差距s大于50mm时,钢管宜采用台锥形拼接方式,台锥坡度不应大于1:2.5(图14.2.3-2a、b)。在下节柱顶面和台锥形拼接钢管顶面应设开孔隔板。当台锥形拼接钢管位于梁柱接头部位时,梁翼缘与台锥应采用坡口全熔透焊接,并在梁翼缘高度处设置开孔隔板,梁腹板与台锥可采用高强螺栓连接,拼接钢管两端宜突出梁翼缘外侧不小于150mm(图14.2.3-2c);也可在拼接钢管两端设置开孔外伸隔板,梁翼缘与隔板应采用坡口全熔透焊接,梁腹板与台锥可采用双面角焊缝连接(图14.2.3-2d)。

图14.2.3-2 钢管柱的台锥形拼接方式
条文说明
14.2.3 为了确保不同截面宽度或高度的矩形钢管柱段的拼接质量,在拼接时应根据截面尺寸差采取不同的处理措施。
14.3 圆形钢管混凝土柱的连接构造
14.3 圆形钢管混凝土柱的连接构造
14.3.1 等直径钢管对接时宜设置环形隔板和内衬钢管段,内衬钢管段也可兼作为抗剪连接件,并应符合下列规定:
1 上下钢管之间应采用全熔透坡口焊缝,焊缝位置宜高出楼面1000mm~1300mm,直焊缝钢管对接处应错开钢管焊缝;
2 内衬钢管仅作为衬管使用时(图14.3.1a),衬管管壁厚度宜为4mm~6mm,衬管高度不宜小于50mm,其外径宜比钢管内径小2mm;环形隔板宽度不宜小于80mm;
3 内衬钢管兼作为抗剪连接件时(图14.3.1b),衬管管壁厚度不宜小于16mm,衬管高度不宜小于100mm,其外径宜比钢管内径小2mm。内衬钢管焊缝与对接焊缝间距不宜小于50mm。

图14.3.1 等直径钢管对接构造
1-楼面;2-环形隔板;3-内衬钢管
条文说明
14.3.1 受加工能力、吊装能力、运输能力等的影响,圆形钢管的长度都是有限制的,需要在施工现场对接。等直径钢管对接时,为了确保连接质量,可采用本条规定的连接方法和构造。
14.3.2 不同直径钢管对接时,宜采用一段变径钢管连接(图14.3.2)。变径钢管的上下两端均宜设置环形隔板,变径钢管的壁厚不应小于所连接的钢管壁厚,变径段的斜度不宜大于1:6,变径段宜设置在楼盖结构高度范围内。

图14.3.2 不同直径钢管接长构造示意图
1-环形隔板
条文说明
14.3.2 对不等直径钢管的拼接方式作出了规定。不同直径的钢管对接时,不能直接对接,宜设置变直径钢管过渡。因过渡段钢管转折处存在较大的横向作用,因此过渡段的坡度不宜过大,且在转折处宜设置环形隔板抵抗横向作用。
14.4 梁与梁连接构造
14.4 梁与梁连接构造
14.4.1 当框架柱一侧为型钢混凝土梁,另一侧为钢筋混凝土梁时,型钢混凝土梁中的型钢,宜延伸至钢筋混凝土梁1/4跨度处,且在伸长段型钢上、下翼缘设置栓钉。栓钉直径不宜小于19mm,间距不宜大于200mm,且在梁端至伸长段外2倍梁高范围内,箍筋应加密(图14.4.1)。

图14.4.1 框架柱一侧为型钢混凝土梁,另一侧为钢筋混凝土梁的连接
1-型钢混凝土梁;2-钢筋混凝土梁
条文说明
14.4.1 梁与梁的连接,当两侧均是型钢混凝土梁时,则梁内型钢的连接,应符合钢结构规定;当一侧为型钢混凝土梁,另一侧为钢筋混凝土梁时,为保证型钢的锚固和传递,应有相应的措施。
14.4.2 钢筋混凝土次梁与型钢混凝土主梁连接,次梁纵向钢筋应穿过或绕过型钢混凝土梁的型钢。
14.4.3 钢次梁与型钢混凝土主梁连接,其主梁和次梁的型钢可采用刚接或铰接,主梁的腰筋应穿过钢次梁。
条文说明
14.4.2、14.4.3 为保证钢筋混凝土次梁和型钢混凝土主梁连接整体,规定次梁中的钢筋的锚固和传递,应符合相应的构造措施。当钢次梁与型钢混凝土主梁连接,主梁的腰筋应穿过次梁。
14.5 梁与墙连接构造
14.5 梁与墙连接构造
14.5.1 型钢混凝土梁或钢梁与钢筋混凝土墙的连接,可采用铰接或刚接,并应符合下列规定:
1 铰接连接可在钢筋混凝土墙中设置预埋件,型钢梁腹板与预埋件之间通过连接板采用高强螺栓连接(图14.5.1a、b);预埋件应能传递剪力及弯矩作用,其计算和构造应符合现行国家标准《混凝土结构设计规范》GB 50010的规定。
2 刚性连接可采用在钢筋混凝土墙中设置型钢柱,型钢梁与墙中型钢柱或外伸钢梁刚性连接(图14.5.1c、d)。对于型钢混凝土梁,其纵向钢筋应伸入墙中,且锚固长度应符合现行国家标准《混凝土结构设计规范》GB 50010的规定。

图14.5.1 梁与墙的连接构造
条文说明
14.5.1 型钢混凝土梁垂直于现浇钢筋混凝土剪力墙的连接,应保证其内力传递。梁深入墙内的节点可以形成铰接和刚接,都应符合相应的构造规定。
14.6 斜撑与梁、柱连接构造
14.6 斜撑与梁、柱连接构造
14.6.1 斜撑宜采用H型钢、钢管等钢斜撑,也可采用型钢混凝土斜撑或钢管混凝土斜撑,其截面形式宜与梁柱节点以及框架梁截面形式相适应。
14.6.2 斜撑与钢梁或型钢混凝土梁内型钢以及型钢混凝土柱内型钢的连接应采用刚性连接,并应符合下列规定(图14.6.2):
1 斜撑与梁、柱间应采用全熔透焊缝连接,在对应于斜撑翼缘处应分别在梁内型钢和柱内型钢设置加劲肋,加劲肋应与斜撑翼缘等厚,且厚度不宜小于12mm。
2 型钢混凝土柱内纵筋应贯通,纵筋布置宜减少与型钢相碰,相碰的纵筋可采用机械连接套筒连接或与连接板焊接;型钢混凝土柱箍筋可通过腹板穿孔通过或采用带状连接板焊接。连接板以及焊缝的计算、构造应符合国家现行标准《钢结构设计规范》GB 50017和《高层民用建筑钢结构技术规程》JGJ 99的规定。

图14.6.2 斜撑与梁、柱连接构造
1-水平加劲肋;2-纵筋机械连接器;3-竖向加劲肋
条文说明
14.6.1、14.6.2 为减少节点区施工复杂性,斜撑宜采用钢斜撑,规范对支撑与梁及柱型钢的焊接及加劲肋提出了焊接和板厚规定。
14.7 抗剪连接件构造
14.7 抗剪连接件构造
14.7.1 各种结构体系中的型钢混凝土柱,宜在下列部位设置抗剪栓钉:
1 埋入式柱脚型钢翼缘埋入部分及其上一层柱全高;
2 非埋入式柱脚上部第一层的型钢翼缘和腹板部位;
3 结构类型转换所设置的过渡层及其相邻层全高范围的翼缘部位;
4 结构体系中设置的腰桁架层和伸臂桁架加强层及其相邻楼层柱全高范围的翼缘部位;
5 梁柱节点区上、下各2倍型钢截面高度范围的型钢柱翼缘部位;
6 受力复杂的节点、承受较大外加竖向荷载或附加弯矩的节点区,在节点上、下各1/3柱高范围的型钢柱翼缘部位;
7 框支层及其上、下层的型钢柱全高范围的翼缘部位;
8 各类体系中底层和顶层型钢柱全高范围的翼缘部位。
14.7.2 各种结构体系中的矩形钢管混凝土柱和圆形钢管混凝土柱,应在埋入式柱脚钢管埋入部分的外壁设置抗剪栓钉。
14.7.3 型钢、钢板、带钢斜撑混凝土剪力墙边缘构件中的型钢翼缘应设置栓钉,钢板混凝土剪力墙的钢板两侧应设置栓钉,带钢斜撑混凝土剪力墙的钢斜撑翼缘应设置栓钉。
条文说明
14.7.1~14.7.3 为保证型钢和混凝土之间剪力传递,以形成钢与混凝土共同工作的整体性能,在各种结构体系中对型钢混凝土框架柱所处的主要部位应设置抗剪栓钉,对于复杂结构中主要受力部位还应作加强处理。
14.8 钢筋与钢构件连接构造
14.8 钢筋与钢构件连接构造
14.8.1 钢筋与钢构件相碰,宜采用在钢构件上开洞穿孔、并筋绕开等方法处理,也可采用可焊接机械连接套筒或连接板与钢构件连接,可焊接机械连接套筒的抗拉强度不应小于连接钢筋抗拉强度标准值的1.1倍,套筒与钢构件应采用等强焊接并在工厂完成。可焊接机械连接套筒接头应采用现行行业标准《钢筋机械连接技术规程》JGJ 107中规定的一级接头,同一区段内焊接于钢构件上的钢筋面积率不应超过30%。其连接部位应验算钢构件的局部承载力,钢筋的拉力或压力应取钢筋实际拉断力或标准强度的1.1倍。
条文说明
14.8.1 在截面配筋设计时,应尽量减少钢筋与钢构件相碰,当无法避免时,可采用开洞穿孔、可焊接机械连接套筒连接或焊连接板的方法。采用套筒连接时,应确保其连接强度大于钢筋强度标准值。
14.8.2 焊接于钢构件翼缘的可焊接机械连接套筒,应在钢构件内对应套筒位置设置加劲肋,加劲肋宜正对可焊接机械连接套筒,并应按现行国家标准《钢结构设计规范》GB 50017的规定验算加劲肋、腹板及焊缝的承载力(图14.8.2)。

图14.8.2 对应钢筋连接套筒位置的加劲肋设置
1-加劲肋;2-可焊接机械连接套筒
条文说明
14.8.2 为确保钢筋内力的可靠传递,在可焊接机械连接套筒对应位置应设置加劲肋,并验算其承载力。
14.8.3 可焊接机械连接套筒与钢构件的焊接应采用熔透焊缝与角焊缝的组合焊缝(图14.8.3),组合焊缝的焊缝高度应按计算确定,角焊缝高度不小于坡口深度加1mm。当在钢构件上焊接多个可焊接机械连接套筒时,其净距不应小于30mm,且不应小于连接器外直径。

图14.8.3 可焊接机械连接套筒焊接示意
条文说明
14.8.3 为确保套筒与钢构件的焊接质量,对其焊缝形式和构造作了规定。为方便焊接施工同时便于混凝土浇筑,规定了可焊接机械连接套筒之间的最小净距。
附录A常用压型钢板组合楼板的剪切粘结系数及标准试验方法
A.1常用压型钢板m、k系数
附录A 常用压型钢板组合楼板的剪切粘结系数及标准试验方法
A.1 常用压型钢板m、k系数
A.1.1 采用本规范计算剪切粘结承载力时,应按本附录给出的标准方法进行试验和数据分析确定m、k系数,无试验条件时,可采用表A.1.1给出的m、k系数。
表A.1.1 m、k系数



注:表中组合楼板端部剪力件为最小设置规定;端部未设剪力件的相关数据可用于设置剪力件的实际工程。
A.2标准试验方法
A.2 标准试验方法
A.2.1 试件所用压型钢板应符合本规范规定,钢筋、混凝土应符合现行国家标准《混凝土结构设计规范》GB 50010的规定。
条文说明
A.2.1 试件材料应符合现行国家标准的相关规定。
A.2.2 试件尺寸应符合下列规定:
1 长度:试件的长度应取实际工程,且应符合本规范第A.2.3条中有关剪跨的规定;
2 宽度:所有构件的宽度应至少等于一块压型钢板的宽度,且不应小于600mm;
3 板厚:板厚应按实际工程选择,且应符合本规范的构造规定。
条文说明
A.2.2 试件尺寸对剪切粘结承载力都有一定的影响,将试件尺寸限定在一个范围内,使构件制作标准化。
A.2.3 试件数量应符合下列规定:
1 组合楼板试件总量不应少于6个,其中必须保证有两组试验数据分别落在A和B两个区域(表A.2.3),每组不应少于2个试件。
2 应在A、B两个区域之间增加一组不少于2个试件或分别在A、B两个区域内各增加一个校验数据。
3 A区组合楼板试件的厚度应大于90mm,剪跨a应大于900mm;B区组合楼板试件可取最大板厚,剪跨a应不小于450mm,且应小于试件截面宽度。试件设计应保证试件破坏形式为剪切粘结破坏。
表A.2.3 厚度及剪跨限值

注:M u 为试件以材料实测强度代入本规范式(5.3.1-1)计算所得的受弯极限承载力,计算公式改为等号。
条文说明
A.2.3 试验数据应具有一定的代表性,本规范规定试件总量不应少于6个,其中最大、最小剪跨区内的数据对剪切粘结承载力影响较大,因此须保证有两组试验数据分别落在A和B两个区域。为了对试验数据进行校核,保证数据可靠性,本规范规定需增加两个试验数据,这组数据可以在A、B两个区域各增加一个,也可在A、B两个区域之间增加一组。 当P×a/2>0.9Mu时,理论上可能会出现弯曲破坏,试验应保证是剪切粘结破坏。
A.2.4 试件剪力件的设计应与实际工程一致。
条文说明
A.2.4 规范没有采用
(栓钉贡献)形式的公式,采用了美国ASCE-3规范的形式,将剪力件对剪切粘结承载能力的贡献隐含在m、k系数中,因此规定试件剪力件的设计应与实际工程一致。
A.3试验步骤
A.3 试验步骤
A.3.1 试验加载应符合下列规定:
1 试验可采用集中加载方案,剪跨a取板跨l n 的1/4(图A.3.1);也可采用均布荷载加载,此时剪跨a应取支座到主要破坏裂缝的距离。
2 施加荷载应按所估计破坏荷载的1/10逐级加载,除在每级荷载读仪表记录有暂停外,应对构件连续加载,并无冲击作用。加载速率不应超过混凝土受压纤维极限的应变率(约为1MPa/min)。

图A.3.1 集中加载试验
条文说明
A.3.1 一般楼板多承受均布荷载作用,但试验采用均布荷载是比较困难的。剪跨a取板跨ln的1/4是近似模拟均布荷载的情况。施加荷载的规定是将加载对试验结果的影响降到可以接受的程度。
A.3.2 荷载测试仪器精度不应低于±1%。跨中变形及钢板与混凝土间的端部滑移在每级荷载作用下测量精度应为0.01mm。
条文说明
A.3.2 对测量仪器精度的规定,将仪器对试验结果的影响降到可以接受的程度。
A.3.3 试验应对试验材料、试验过程进行详细记录。
条文说明
A.3.3 保存试验必要的数据记录,可以对试验结果进行追溯。
A.4试验结果分析
A.4 试验结果分析
A.4.1 剪切极限承载力应按下式计算:

式中:P——试验加载值;
g k ——试件单位长度自重;
l n ——试验时试件支座之间的净距离;
γ——试件制作时与支撑条件有关的支撑系数,应按本规范表A.4.1取用。
表A.4.1 支撑系数γ

条文说明
A.4.1 极限荷载应考虑试件制作过程对承载能力的影响。
A.4.2 剪切粘结m、k系数应按下列规定得出:
1 建立坐标系,竖向坐标为 
,横向坐标为 
(图A.4.2)。其中,V u 为剪切极限承载力;b、h 0 为组合楼板试件的截面宽度和有效高度;ρ a 为试件中压型钢板含钢率;f t,m 为混凝土轴心抗拉强度平均值,可由混凝土立方体抗压强度计算,f t,m =0.395f 0.55 cu,m ,f cu,m 为混凝土立方体抗压强度平均值。由试验数据得出的坐标点确定剪切粘结曲线,应采用线性回归分析的方法得到该线的截距k 1 和斜率m 1 。

图A.4.2 剪切粘结实验拟合曲线
2 回归分析得到的m 1 、k 1 值应分别降低15%得到剪切粘结系数m、k值,该值可用于本规范第5.4.1条的剪切粘结承载力计算。如果数据分析中有多于8个试验数据,则可分别降低10%。
条文说明
A.4.2 剪切粘结m1、k1系数由回归分析得到,由于这种试验试件数量偏少,因此规范规定试验回归得到的剪切粘结系数用于本规范设计时,应降低15%,当试件数量多于8个时,可降低10%。 m、k系数从物理意义上讲,m大致可以理解为机械咬合效应的度量,k可以理解为摩擦效应的度量。当压型钢板板型对跨度敏感时,k可能会出现负值,这是正常的。
A.4.3 当某个试验数据的坐标值 
偏离该组平均值大于±15%时,至少应再进行同类型的两个附加试验并应采用两个最低值确定剪切粘结系数。
条文说明
A.4.3 当试验数据值偏离该组平均值超出±15%时,说明数据离散性较大,为了保证数据的准确性,本规范规定至少应再进行同类型的2个附加试验,为保证安全应用两个最低值确定剪切粘结系数。
A.5试验结果应用
A.5 试验结果应用
A.5.1 试验分析得到的剪切粘结m、k系数,应用前应得到设计人员的确认。
条文说明
A.5.1 设计人员确认试验符合所设计的工程,设计人员有权判定试验数据是否符合所设计的工程的需要。
A.5.2 已有试验结果的应用应符合下列规定:
1 对以往的试验数据,若是按本试验方法得到的数据,且符合本规范第A.2.3条关于试验数据的规定,其m、k系数可用于该工程。
2 已有的试验数据未按本规范表A.2.3的规定落入A区和B区,可做补充试验,试验数据至少应有一个落入A区和一个落入B区,同以往数据一起分析m、k系数。
A.5.3 试验中无剪力件试件的试验结果所得到的m、k系数可用于有剪力件的组合楼板设计;当设计中采用有剪力件试件的试验结果所得到的m、k系数时,剪力件的形式应与试验试件相同且数量不得少于试件所采用的剪力件数量。
条文说明
A.5.3 无剪力件的试验结果所得到的m、k系数,如果用于有剪力件的工程是偏于保守的,因此可用在有剪力件的组合楼板设计;有剪力件的试验结果所得到的m、k系数,由于剪力件的影响包含在m、k系数中,因此规定组合楼板设计中采用的剪力件应与试验采用的剪力件完全相同。
附录B组合楼盖舒适度验算
附录B 组合楼盖舒适度验算
B.0.1 组合楼盖舒适度应验算振动板格的峰值加速度,板格划分可取由柱或剪力墙在平面内围成的区域(图B.0.1),峰值加速度不应超过表B.0.1-1的规定。

式中:a p ——组合楼盖加速度峰值;
f n ——组合楼盖自振频率,可按本规范第B.0.2条计算或采用动力有限元计算;
G E ——计算板格的有效荷载,按本规范第B.0.3条计算;
P 0 ——人行走产生的激振作用力,一般可取0.3kN;
g——重力加速度;
ξ——楼盖阻尼比,可按表B.0.1-2取值。
表B.0.1-1 振动峰值加速度限值

注:当f n <3Hz或f n >9Hz时或其他房间应做专门研究。
表B.0.1-2 楼盖阻尼比ξ


图B.0.1 组合楼盖板格
1-主梁;2-次梁;3-计算主梁挠度边区格;4-计算主梁挠度内区格;5-计算次梁挠度边区格;6-计算次梁挠度内区格
B.0.2 对于简支梁或等跨连续梁形成的组合楼盖,其自振频率可按下列规定计算,计算值不宜小于3Hz且不宜大于9Hz:


式中:△ j ——组合楼盖板格中次梁板带的挠度,限于简支次梁或等跨连续次梁,此时均按有效均布荷载作用下的简支梁计算,在板格内各梁板带挠度不同时取挠度较大值(mm);
△ g ——组合楼盖板格中主梁板带的挠度,限于简支主梁或等跨连续主梁,此时均按有效均布荷载作用下的简支梁计算,在板格内各梁板带挠度不同时取挠度较大值(mm);
l g ——主梁跨度;
b Ej ——次梁板带有效宽度,按本规范第B.0.3条计算;
g Eg ——主梁板带上的有效均布荷载;
g Ej ——次梁板带上的有效均布荷载;
g gk ——主梁板带自重;
g jk ——次梁板带自重;
q e ——楼板上有效可变荷载,住宅:0.25kN/m 2 ,其他:0.5kN/m 2 。
B.0.3 组合楼盖计算板格有效荷载可按下列公式计算:

式中:G Eg ——主梁上的有效荷载;
G Ej ——次梁上的有效荷载;
α——系数,当为连续梁时,取1.5,简支梁取1.0;
l j ——次梁跨度;
l g ——主梁跨度;
b Ej ——次梁板带有效宽度,当所计算的板格有相邻板格时,b Ej 不超过计算板格与相邻板格宽度一半之和(图B.0.1);
b Eg ——主梁板带有效宽度,当所计算的板格有相邻板格时,b Eg 不超过计算板格与相邻板格宽度一半之和(图B.0.1);
C j ——楼板受弯连续性影响系数,计算板格为内板格取2.0,边板格取1.0;
D s ——垂直于次梁方向组合楼板单位惯性矩;
h 0 ——组合楼板有效高度;
α E ——钢与混凝土弹性模量比值;
D j ——梁板带单位宽度截面惯性矩,等于次梁板带上的次梁按组合梁计算的惯性矩平均到次梁板带上;
G g ——主梁支撑影响系数,支撑次梁时,取1.8;支撑框架梁时,取1.6;
D g ——主梁板带单位宽度截面惯性矩,等于计算板格内主梁惯性矩(按组合梁考虑)平均到计算板格内。
条文说明
B.0.1~B.0.3 楼盖的舒适度即楼盖振动控制目前国际上均采用了ISO263的相关控制规定,验算峰值加速度(亦即正常使用状态下允许加速度极限值)即式(B.0.1)。规范所采用的方法主要参考了美国AISC Steel Design Guide Series 11:《Floor Vibrations Due to Human Activity》。 楼盖振动是主次梁双方向振动,计算板格内两个方向参与振动的有效荷载并不一定相同,有效荷载按主梁、次梁的挠度取加权平均值。 板带是参与到一个板格内楼盖振动的由梁板构成的一个区域,但板带并不仅是在计算板格内,在计算板格外也有部分参与到该板格的振动,参与振动的板带宽度称之为板带有效宽度bEj、bEg。板带有效宽度取决于楼盖两个方向的单位截面惯性矩。次梁板带有效宽度bEj,取决于组合楼板单位截面惯性矩(一般情况下是顺肋方向单位惯性矩)Ds和次梁板带单位截面惯性矩Dj,即式(B.0.3-4),次梁板带单位截面惯性矩Dj是将次梁板带上的次梁按组合梁计算的惯性矩平均到次梁板带上,当次梁截面和间距相等时,则等于次梁惯性矩(可按组合梁考虑)除以次梁间距;主梁板带有效宽度b
Eg ,取决于次梁板带单位截面D j 和主梁板带单位截面惯性矩D g ,即式(B.0.3-5),主梁板带单位截面惯性矩D g 是将计算板格内的主梁惯性矩(按组合梁考虑)平均到板格内,当主梁为中间梁时等于I g /l j ,当主梁为边梁时等于2I g /l j 。
本规范用词说明
本规范用词说明
1 为便于在执行本规范条文时区别对待,对要求严格程度不同的用词说明如下:
1)表示很严格,非这样做不可的:
正面词采用“必须”,反面词采用“严禁”;
2)表示严格,在正常情况均应这样做的:
正面词采用“应”,反面词采用“不应”或“不得”;
3)表示允许稍有选择,在条件许可时首先应这样做的:
正面词采用“宜”,反面词采用“不宜”;
4)表示有选择,在一定条件下可这样做的,采用“可”。
2 条文中指明应按其他有关标准执行的写法为:“应符合……规定”或“应按……执行”。
引用标准名录
引用标准名录
1 《建筑结构荷载规范》GB 50009
2 《混凝土结构设计规范》GB 50010
3 《建筑抗震设计规范》GB 50011
4 《钢结构设计规范》GB 50017
5 《冷弯薄壁型钢结构技术规范》GB 50018
6 《钢结构工程施工质量验收规范》GB 50205
7 《钢结构焊接规范》GB 50661
8 《碳素结构钢》GB/T 700
9 《气焊、焊条电弧焊、气体保护焊和高能束焊的推荐坡口》GB/T 985.1
10 《埋弧焊的推荐坡口》GB/T 985.2
11 《钢结构用高强度大六角头螺栓》GB/T 1228
12 《钢结构用高强度大六角头螺母》GB/T 1229
13 《钢结构用高强度垫圈》GB/T 1230
14 《钢结构用高强度大六角头螺栓、大六角螺母、垫圈技术条件》GB/T 1231
15 《低合金高强度结构钢》GB/T 1591
16 《连续热镀锌薄钢板及钢带》GB/T 2518
17 《钢结构用扭剪型高强度螺栓连接副》GB/T 3632
18 《非合金钢及细晶粒钢焊条》GB/T 5117
19 《热强钢焊条》GB/T 5118
20 《埋弧焊用碳钢焊丝和焊剂》GB/T 5293
21 《厚度方向性能钢板》GB/T 5313
22 《六角头螺栓-C级》GB/T 5780
23 《六角头螺栓》GB/T 5782
24 《气体保护电弧焊用碳钢、低合金钢焊丝》GB/T 8110
25 《电弧螺柱焊用圆柱头焊钉》GB/T 10433
26 《埋弧焊用低合金钢焊丝和焊剂》GB/T 12470
27 《建筑用压型钢板》GB/T 12755
28 《建筑结构用钢板》GB/T 19879
29 《高层建筑混凝土结构技术规程》JGJ 3
30 《高层民用建筑钢结构技术规程》JGJ 99
31 《钢筋机械连接技术规程》JGJ 107
32 《钢筋机械连接用套筒》JG/T 163
自2022年1月1日起废止的条文

