Appearance
《低温环境混凝土应用技术规范[附条文说明]》GB 51081-2015
🗓️ 住房和城乡建设部 实施时间:2015-09-01
前言
中华人民共和国国家标准
低温环境混凝土应用技术规范
Technical code for application of concrete under cryogenic circumstance
GB 51081-2015
主编部门:中国工程建设标准化协会化工分会
批准部门:中华人民共和国住房和城乡建设部
施行日期:2015年9月1日
中华人民共和国住房和城乡建设部公告
第727号
住房城乡建设部关于发布国家标准《低温环境混凝土应用技术规范》的公告
现批准《低温环境混凝土应用技术规范》为国家标准,编号为GB 51081-2015,自2015年9月1日起实施。其中,第4.1.2、4.1.3、7.1.2条为强制性条文,必须严格执行。
本规范由我部标准定额研究所组织中国计划出版社出版发行。
中华人民共和国住房和城乡建设部
2015年1月21日
前言
本规范是根据住房城乡建设部《关于印发<2011年工程建设标准规范制订、修订计划>的通知》(建标[2011]17号)的要求,由中国石油和化工勘察设计协会和中国寰球工程公司会同有关单位共同编制完成。
本规范在编制过程中,编制组开展了大量试验研究,经过广泛调查研究,认真总结实践经验,参考相关国内外标准、规范,并在广泛征求意见的基础上,最后经审查定稿。
本规范共分8章和1个附录,主要技术内容包括:总则、术语和符号、基本规定、设计参数、材料、配合比设计、施工、检验与验收等。
本规范中以黑体字标志的条文为强制性条文,必须严格执行。
本规范由住房城乡建设部负责管理和对强制性条文的解释,由中国工程建设标准化协会化工分会负责日常管理,由中国寰球工程公司负责具体技术内容的解释。在执行过程中,请各有关单位结合工程实际,总结经验,积累资料,将有关意见和建议反馈至中国寰球工程公司(地址:北京市朝阳区来广营高科技产业园创达二路1号,邮政编码:100012,电子邮件:zhengjianhua@hqcec.com),以便今后修订时参考。
本规范主编单位、参编单位、主要起草人和主要审查人:
主编单位 :中国石油和化工勘察设计协会
中国寰球工程公司
参编单位 :清华大学
中国核工业华兴建设有限公司
中国建筑第二工程局有限公司
上海电力建筑工程公司
主要起草人 :郑建华 时旭东 李金光 张卫兵 张志明 刘哲 姚国明 张素枝 富克 张天申 陈向阳 姜会浩 王立伟 程艳芬 李林凯 高玉祥 张巧芬 高玉芬 宋延杰 扈国强 黄洪军 李小座 许伟 董建华 吴树勤
主要审查人 :熊威 顾祥林 朱卫中 束廉阶 丁乙 管颉 邱道军 王志彤 章健 张维秀 贾桂敬 赵冬梅 汪宁扬
条文说明
中华人民共和国国家标准 低温环境混凝土应用技术规范 GB51081-2015 条文说明 制订说明 《低温环境混凝土应用技术规范》GB51081-2015,经住房城乡建设部2015年1月21日以第727号公告批准发布。 本规范制订过程中,编制组进行了充分的调查和大量的试验研究,总结了国内外低温工程建设的实践经验,同时参考了国外先进技术法规、技术标准,通过低温混凝土性能试验取得了混凝土在低温环境下的抗压强度、抗拉强度、抗剪强度、弹性模量、应力应变关系、线膨胀变形等重要技术参数。 为便于广大设计、施工、科研、学校等单位有关人员在使用本规范时能正确理解和执行条文规定,《低温环境混凝土应用技术规范》编制组按章、节、条顺序编制了本规范的条文说明,对条文规定的目的、依据以及执行中需注意的有关事项进行了说明,还着重对强制性条文的强制性理由做了解释。但是,本条文说明不具备与规范正文同等的法律效力,仅供使用者作为理解和把握规范规定的参考。
1 总则
1 总 则
1.0.1 为了规范低温环境混凝土的工程应用,保证工程质量,做到技术先进、安全可靠、经济合理,制定本规范。
条文说明
1.0.1低温环境混凝土主要用于低温工程项目,如液化天然气接收站和天然气液化工厂等清洁能源项目,因此低温环境混凝土的工程应用更应符合国家方针政策,做到绿色低碳、节能环保,可持续发展。
1.0.2 本规范适用于工业建筑混凝土结构工程中低温环境混凝土的设计、施工、质量检验和验收。
条文说明
1.0.2在工业建筑中,涉及低温环境温度的工业结构正逐渐增多,如储存液氧、液氮(工作温度为—197℃)、液化天然气LNG(工作温度为—165℃)、乙烯LEG(工作温度为—104℃)、石油液化气LPG(工作温度为—47℃)等大型预应力混凝土储罐结构,目前在建的LNG储罐单罐罐容已达20万m3,储罐直径近90m、高50m。现行的国家标准《混凝土结构设计规范》GB50010-2010仅涉及正常的环境温度,而上述低温工程项目建设,迫切需要对低温环境下混凝土的材料性能进行规范,以满足实际工业生产的需要。
1.0.3 低温环境混凝土的应用除应符合本规范的规定外,尚应符合国家现行有关标准的规定。
2 术语和符号
2.1 术语
2 术语和符号
2.1 术 语
2.1.1 低温环境 cryogenic circumstance
温度介于—40℃~—197℃时的工作环境或状态。
2.1.2 常温环境 normal circumstance
温度介于—40℃~60℃时的工作环境或状态。
条文说明
2.1.2此处的术语“常温环境”用来区别本规范的术语“低温环境”,仅适用于本规范的应用,不同于其他规范的术语定义。
2.1.3 低温环境混凝土 concrete under cryogenic circum-stance
适用于低温环境下的混凝土。
2.1.4 入模温度 temperature of mixture placing to form
混凝土拌和物浇筑入模时的温度。
2.2 符号
2.2 符 号
2.2.1 材料性能
f cu,k ——混凝土立方体抗压强度标准值(N/mm 2 );
f CT ck ——低温环境混凝土轴心抗压强度标准值(N/mm 2 );
f CT c ——低温环境混凝土轴心抗压强度设计值(N/mm 2 );
f CT tk ——低温环境混凝土轴心抗拉强度标准值(N/mm 2 );
f CT t ——低温环境混凝土轴心抗拉强度设计值(N/mm 2 );
E c ——常温环境混凝土的弹性模量(N/mm 2 );
E CT c ——低温环境混凝土的弹性模量(N/mm 2 );
G CT c ——低温环境混凝土的剪切模量(N/mm 2 );
f CT cm ——低温环境混凝土抗压强度的平均值(N/mm 2 );
f CT tm ——低温环境混凝土抗拉强度的平均值(N/mm 2 );
α CT c ——低温环境混凝土的热膨胀系数(1/℃);
λ CT c ——低温环境混凝土的导热系数[W/(m·℃)];
c CT c ——低温环境混凝土的比热容[J/(kg·℃)];
v CT c ——低温环境混凝土的泊松比;
ρ w ——混凝土含水率(%)。
2.2.2 计算系数及其他
β CT c ——低温环境混凝土低温硬化指标;
δ CT c ——低温环境混凝土强度的变异系数;
d CT c ——低温环境混凝土单轴受压损伤演化参数;
α c,a ——常温环境混凝土单轴受压应力-应变关系曲线上升段的参数值;
α c,d ——常温环境混凝土单轴受压应力-应变关系曲线下降段的参数值;
α t,d ——常温环境混凝土单轴受拉应力-应变曲线下降段的参数值;
α CT c,a ——低温环境混凝土单轴受压应力-应变关系曲线上升段的参数值;
α CT c,d ——低温环境混凝土单轴受压应力-应变关系曲线下降段的参数值;
α CT t,d ——低温环境混凝土单轴受拉应力-应变曲线下降段的参数值;
T——作用的温度值(℃)。
3 基本规定
3 基本规定
3.0.1 低温环境混凝土的设计参数除应满足本规范的规定外,尚应符合现行国家标准《混凝土结构设计规范》GB 50010的有关规定。
条文说明
3.0.1常温环境下的设计参数应按现行国家标准《混凝土结构设计规范》GB50010的要求取值,低温环境下的取值按本规范的要求取值。
3.0.2 低温环境混凝土的强度等级应为C40~C60,且按本规范的要求进行材料选用、配合比设计、制作和质量检验。
条文说明
3.0.2低温环境下混凝土强度受影响的因素比常温环境多,有些因素的影响也更显著和复杂,故有必要根据工程实际应用情况对低温环境混凝土强度受影响的范围加以限定。今后根据低温环境混凝土工程应用情况和有关这方面试验研究成果的不断积累,再将低温环境混凝土强度限定的受影响范围适当地调整。 (1)已有的混凝土低温性能试验结果表明,混凝土低温性能与其组成材料、配合比和制作情况有关,实际工程中混凝土低温环境下表现出的受力性能也与其质量检验标准有关。为此,本规范在相应章节中专门给出了低温环境混凝土的组成材料选用、配合比设计和制作,以及质量检验的相关条款。故本条将其作为低温环境混凝土强度应适用的条件。 (2)不同强度等级混凝土的强度受低温环境影响差异较大,尤其在强度等级较低(低于C30)时差异更明显。目前实际工程中使用的低温环境混凝土的强度等级多在C40~C60区间,且现有的低温环境混凝土性能试验数据也集中在这一区间内。故将低温环境混凝土强度等级限定在C40~C60区间。
3.0.3 低温环境混凝土的施工应编制专项施工技术方案。
条文说明
3.0.3完整的专项施工技术方案能够充分研究确定各个环节及相互联系的控制技术,有利于做好充分准备,保证混凝土工程的顺利实施,在施工前需要制定一个全面的施工计划,严格按照施工计划对施工过程加以管理,同时根据施工现场及施工部位的复杂程度确定技术要求,进而保证混凝土工程质量。专项施工技术方案包括混凝土生产与施工质量控制、安全施工措施,内容包括:施工进度计划、材料计划、材料选择、配比设计、混凝土施工机械设备一览表、总平面图、动力配备,混凝土生产与施工质量控制、安全施工措施以及混凝土搅拌、运输、浇筑、养护工艺工法等具体措施。
3.0.4 低温环境混凝土的入模温度宜为5℃~30℃。
条文说明
3.0.4由于低温环境混凝土主要用于大型LNG储罐、乙烯储罐等低温工业特种结构,这类结构在实际施工过程中容易产生较多的裂缝,基于减少裂缝的目的,对入模温度进行较为严格的控制。
3.0.5 在低温环境混凝土养护期内,混凝土浇筑物的温度分布梯度不应超过35℃/m,且里表温差不宜超过20℃。
条文说明
3.0.5该条是根据欧洲规范和相关的实际工程实践进行确定的。
3.0.6 低温环境混凝土结构应根据设计要求在现场进行模拟施工试验。
条文说明
3.0.6模拟施工试验能有效地检验施工方案的可行性,为实际工程的实施提供施工参数。
3.0.7 低温环境混凝土属于大体积混凝土时,尚应符合现行国家标准《大体积混凝土施工规范》GB 50496的有关规定。
条文说明
3.0.7大型LNG储罐、乙烯储罐等结构尺寸往往比较大,尤其是LNG预应力混凝土储罐的底板,一方面,底板直径很大,另一方面,由于业主要求、荷载条件、地质条件、地震烈度和使用要求等的不同,底板的厚度往往超过1m,因此本规范规定低温环境混凝土属于大体积混凝土时,应满足现行国家标准《大体积混凝土施工规范》GB50496的要求。
3.0.8 低温环境混凝土的耐久性除应满足本规范的要求外,尚应符合现行国家标准《混凝土结构耐久性设计规范》GB/T 50476的有关规定。
条文说明
3.0.8大型液化天然气接收站、乙烯接收站等项目通常储存通过大型低温船舶运输进口的液化天然气、乙烯等,气化后通过管网送往国内最终用户,因此项目往往建设在船运便利的海边。海边的盐雾、土中的氯离子、硫酸根离子等腐蚀很严重,而大型LNG储罐、乙烯储罐等对耐久性的要求很高,故本规范规定低温混凝土应符合现行国家标准《混凝土结构耐久性设计规范》GB/T50476的要求。
4 设计参数
4.1 强度指标
4 设计参数
4.1 强度指标
4.1.1 低温环境混凝土强度等级,应按其在常温环境下的立方体抗压强度标准值确定。
条文说明
4.1.1常温环境下立方体抗压强度标准值系指按标准方法制作、养护的边长为150mm的立方体试件,在28d或设计规定龄期以标准试验方法测得的具有95%保证率的抗压强度值。 低温环境混凝土除适用于—40℃~—197℃的低温环境外,其性能还必须满足常温环境下的各种要求,故低温环境混凝土强度等级按常温环境混凝土强度等级取,即由其常温环境下立方体抗压强度标准值确定。 由于低温环境混凝土一般均掺有矿粉、粉煤灰等矿物掺和料,确定常温环境下混凝土立方体抗压强度标准值的试验龄期不局限于28d,可由设计根据实际情况适当延长。
4.1.2 低温环境混凝土的轴心抗压强度标准值应按表4.1.2-1采用,低温环境混凝土的轴心抗拉强度标准值应按表4.1.2-2采用。
表4.1.2-1 低温环境混凝土轴心抗压强度标准值f CT ck (N/mm 2 )

表4.1.2-2 低温环境混凝土轴心抗拉强度标准值f CT tk (N/mm 2 )

条文说明
4.1.2试验表明,低温环境下混凝土抗压强度和抗拉强度普遍比常温环境的高,并随温度降低而提高,但其离散性和脆性也随温度降低而增大。低温环境混凝土的轴心抗压强度和轴心抗拉强度标准值根据大量的试验结果并考虑这些因素的影响经计算确定。本规范表4.1.2-1和表4.1.2-2中未给出的作用温度对应的混凝土强度标准值可按线性插值方法取值。 低温环境下混凝土抗压强度和抗拉强度的取值不仅与混凝土结构设计相关,而且还由其确定低温环境混凝土的硬化问题,从而涉及低温环境混凝土的弹性模量、应力-应变曲线以及热工参数,即低温环境混凝土结构内力计算和承载力设计都与之有关,同时在低温环境混凝土结构质量验收时,也要以此作为验收依据。低温环境混凝土的强度指标决定其质量及其相应结构的安全,放松强度指标的要求可能会导致结构破坏,引起储存的低温液化气泄漏,造成重大安全事故。严重的会导致爆炸、重大人事伤亡事故等,故将本条列为强制性条文,必须严格执行。
4.1.3 低温环境混凝土的轴心抗压强度设计值应按表4.1.3-1采用,低温环境混凝土的轴心抗拉强度设计值应按表4.1.3-2采用。
表4.1.3-1 低温环境混凝土轴心抗压强度设计值f CT c (N/mm 2 )

表4.1.3-2 低温环境混凝土的轴心抗拉强度设计值f CT t (N/mm 2 )

条文说明
4.1.3低温环境混凝土的轴心抗压强度设计值和轴心抗拉强度设计值由其标准值除低温环境混凝土材料分项系数γCTc确定。低温环境混凝土材料分项系数取为1.40。 低温环境混凝土的强度指标决定其质量及其相应结构的安全,放松强度指标的要求可能会导致结构破坏,引起储存的低温液化气泄漏,造成重大安全事故。严重的会导致爆炸、重大人事伤亡事故等,故将本条列为强制性条文,必须严格执行。
4.2 模量指标
4.2 模量指标
4.2.1 低温环境混凝土的弹性模量宜按下列公式计算:

式中:E CT c ——低温环境混凝土的弹性模量;
E c ——常温环境混凝土的弹性模量;
β CT c ——低温环境混凝土低温硬化指标;
f CT ck ——低温环境混凝土轴心抗压强度标准值;
f ck ——常温环境混凝土轴心抗压强度标准值。
条文说明
4.2.1低温环境下混凝土弹性模量普遍比常温环境的高,并随温度降低逐渐提高。本规范基于大量的试验结果给出一个低温环境混凝土的低温硬化指标,通过该指标反映低温环境混凝土弹性模量这一特性。低温环境混凝土的低温硬化指标表达式(式4.2.1-2)由试验数据经计算分析给出。表1是由式4.2.1-1计算给出的低温环境混凝土的弹性模量,可直接由该表查得不同强度等级混凝土在低温环境下不同温度作用的弹性模量;表2是由式4.2.1-2计算给出的低温环境混凝土的低温硬化指标,可直接由该表查得不同强度等级混凝土在低温环境下不同温度作用的低温硬化指标。 表1低温环境混凝土的弹性模量(×104N/mm2)
表2低温环境混凝土的低温硬化指标
4.2.2 低温环境混凝土的剪切变形模量G CT c 可按本规范公式4.2.1-1低温环境混凝土弹性模量计算值的0.4倍采用。
4.3 应力 应变关系
4.3 应力-应变关系
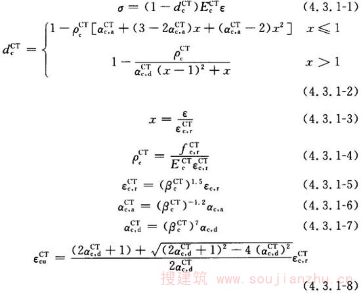
4.3.1 低温环境混凝土单轴受压的应力-应变关系曲线宜按下列公式确定:

式中:σ——应力;
ε——应变;
d CT c ——低温环境混凝土单轴受压损伤演化参数;
E CT c ——低温环境混凝土的弹性模量;
f CT c,r ——低温环境混凝土单轴抗压强度代表值,其值可根据设计分析计算的需要分别取f CT c 、f CT ck 或f CT cm ;
ε CT c,r ——与低温环境混凝土单轴抗压强度代表值相对应的压应变;
α CT c,a ——低温环境混凝土单轴受压应力-应变关系曲线上升段的参数值;
α CT c,d ——低温环境混凝土单轴受压应力-应变关系曲线下降段的参数值;
ε c,r ——与常温环境混凝土单轴抗压强度代表值相对应的压应变,应按表4.3.1取用;
α c,a ——常温环境混凝土单轴受压应力-应变关系曲线上升段的参数值,应按表4.3.1取用;
α c,d ——常温环境混凝土单轴受压应力-应变关系曲线下降段的参数值,应按表4.3.1取用;
ε CT cu ——低温环境混凝土应力-应变关系曲线下降段应力等于0.5f CT c,r 时的压应变。
表4.3.1 常温环境混凝土单轴受压应力-应变关系曲线的参数值

注:f c,r 为与低温环境混凝土单轴抗压强度代表值f CT c 、f CT ck 或f CT cm 相对应的常温环境混凝土单轴抗压强度代表值f c (设计值)、f ck (标准值)或f cm (平均值)。
条文说明
4.3.1根据试验结果,低温环境混凝土单轴受压应力-应变关系曲线(见图1)性态与常温环境混凝土的相似。为与现行国家标准《混凝土结构设计规范》GB50010所给的常温环境混凝土单轴受压的应力-应变关系曲线相衔接,低温环境混凝土单轴受压的应力-应变关系及其相应的参数值以常温环境的为基准,曲线分为上升段和下降段,其表达式中引入低温环境混凝土单轴受压损伤演化参数,然后根据试验结果确定相关的参数。 
图1低温环境混凝土单轴受压应力-应变关系曲线 低温环境混凝土结构中的混凝土常受到纵横向应变梯度和箍筋约束作用等因素的影响,其应力-应变关系与低温环境混凝土棱柱体轴心受压试验结果有所差别,可根据构件或结构的力学性能试验结果对常温环境混凝土的抗压强度代表值(fc,r)、峰值应变值(εc,r)以及上升段和下降段曲线的形状参数(αc,a·αc,d)作适当修正。
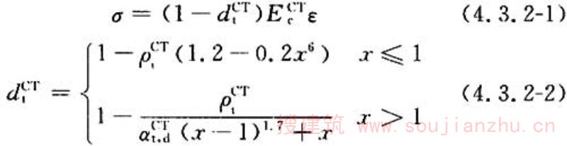
4.3.2 低温环境混凝土单轴受拉的应力-应变关系曲线宜按下列公式确定:


式中:σ——应力;
ε——应变;
d CT t ——低温环境混凝土单轴受拉损伤演化参数;
f CT t,r ——低温环境混凝土单轴抗拉强度代表值,其值可根据实际结构设计分析计算的需要分别取f CT t 、f CT tk 或f CT tm ;
ε CT t,r ——与低温环境混凝土单轴抗拉强度代表值相对应的拉应变;
α CT t,d ——低温环境混凝土单轴受拉应力-应变关系曲线下降段的参数值;
ε t,r ——与常温环境混凝土单轴抗拉强度代表值相对应的拉应变,按表4.3.2取用;
α t,d ——常温环境混凝土单轴受拉应力-应变关系曲线下降段的参数值,按表4.3.2取用。
表4.3.2 常温环境混凝土单轴受拉应力-应变关系曲线的参数值

注:f t,r 为与低温环境混凝土单轴抗拉强度代表值f CT t 、f CT tk 或f CT tm 相对应的常温环境混凝土单轴抗拉强度代表值f t (设计值)、f tk (标准值)或f tm (平均值)。
条文说明
4.3.2低温环境混凝土单轴受拉应力-应变关系曲线(见图2)性态与常温环境混凝土的相似。为与现行国家标准《混凝土结构设计规范》GB50010所给的常温环境混凝土单轴受拉的应力-应变关系曲线相衔接,低温环境混凝土单轴受拉的应力-应变关系曲线以常温环境的为基准,曲线分为上升段和下降段,其表达式中引入低温环境混凝土单轴受拉损伤演化参数,然后根据试验结果确定相关的参数。 
图2低温环境混凝土单轴受拉应力-应变关系曲线
4.3.3 低温环境混凝土应力-应变关系曲线中的强度代表值宜根据设计分析计算的需要分别取其标准值(f CT ck 或f CT tk )、设计值(f CT c 或f CT t )或平均值(f CT cm 或f CT tm )。
条文说明
4.3.3采用线弹性方法进行分析的结构,在验算承载能力极限状态和正常使用极限状态时,低温环境混凝土的强度指标应分别采用其设计值(fCTc或fCTt)和标准值(fCTck或fCTtk);在结构的非线性分析中,低温环境混凝土的强度指标宜取为实测值或平均值(fCTcm或fCTtm)。
4.3.4 低温环境混凝土抗压强度和抗拉强度的平均值可通过试验直接测定或按下列公式计算:

式中:f CT cm 、f CT ck ——低温环境混凝土抗压强度的平均值、标准值;
f CT tm 、f CT tk ——低温环境混凝土抗拉强度的平均值、标准值;
δ CT c ——低温环境混凝土强度的变异系数,宜根据试验统计确定。
条文说明
4.3.4低温环境混凝土抗压强度和抗拉强度的平均值宜实测确定。试验条件不具备时可分别按本规范4.3.4条中式4.3.4-1、式4.3.4-2计算确定。其中低温环境混凝土强度的变异系数宜根据试验统计确定或按表3采用。 表3低温环境混凝土的变异系数δCTc
4.4 热工指标
4.4 热工指标
4.4.1 低温环境混凝土的热膨胀系数、导热系数和比热容的取值宜按本规范第4.4.2条~第4.4.4条计算确定,且应满足下列条件:
1 混凝土在非特殊湿度环境中工作,其含水率应在2%~8%之间;
2 混凝土遭受非多次升降温循环作用时,在低温环境下的升降温速率不应大于20℃/min。
条文说明
4.4.1低温环境混凝土的热膨胀系数、导热系数和比热容与其组成材料性能、配合比、含水率,以及温度作用工况如升降温循环和升降温速率等密切相关,故本规范根据工程实际应用情况和目前关于低温环境混凝土的热膨胀系数、导热系数和比热容研究结果等规定了低温环境混凝土的热膨胀系数、导热系数和比热容适用条件。当超出本规范规定的适用条件时,应通过试验确定。其中,非特殊湿度环境指湿度为20%~90%的环境。
4.4.2 低温环境混凝土的热膨胀系数宜按下式计算:

式中:α CT c ——低温环境混凝土的热膨胀系数(1/℃);
ρ w ——低温环境混凝土的含水率(%);
T——作用的温度值(℃);
α c ——低温环境混凝土热膨胀系数基本值,应按表4.4.2取用。
表4.4.2 低温环境混凝土热膨胀系数基本值α c (×10 -6 1/℃)

条文说明
4.4.2根据已有的关于低温环境混凝土的热膨胀系数试验结果,低温环境混凝土的热膨胀系数表达式主要考虑作用的温度以及混凝土的含水率和强度等级的影响,其他影响因素则隐含在低温环境混凝土热膨胀系数基本值中。表4是按本规范4.4.2条中式4.4.2计算的低温环境混凝土的热膨胀系数值,由该表可直接查得不同强度等级和含水率的混凝土在不同温度作用下的热膨胀系数。相对于20℃的不同强度等级和含水率的低温环境混凝土平均热膨胀系数α
CTc(即不同强度等级和含水率的混凝土从20℃至给定温度间平均的单位温度单位长度的热膨胀变形)可由表4计算或由表5直接查得。
表4 低温环境混凝土热膨胀系数α CTc ×10 -6 /℃)

表5 相对于20℃的低温环境混凝土平均热膨胀系数 α CTc (×10 -6 /℃)

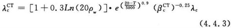
4.4.3 低温环境混凝土的导热系数宜按下式计算:

式中:λ CT c ——低温环境混凝土的导热系数[W/(m·℃)];
λ c ——低温环境混凝土导热系数基本值,应按表4.4.3取用。
表4.4.3 低温环境混凝土导热系数基本值λ c [W/(m·℃)]

条文说明
4.4.3根据已有的关于低温环境混凝土导热系数研究结果,低温环境混凝土的导热系数表达式主要考虑作用的温度以及混凝土含水率和强度等级的影响,其他影响因素则隐含在低温环境混凝土导热系数基本值中。表6是按本规范4.4.3条中式4.4.3计算的低温环境混凝土的导热系数值,由该表可直接查得不同强度等级和含水率的混凝土在不同温度作用下的导热系数。 表6低温环境混凝土导热系数λCTc[W/(m·℃)]
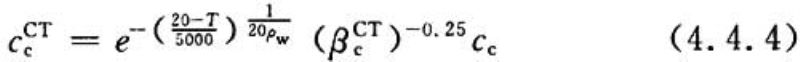
4.4.4 低温环境混凝土的比热容宜按下式计算:

式中:c CT c ——低温环境混凝土的比热容[J/(kg·℃)];
c c ——低温环境混凝土比热容基本值,应按表4.4.4取用。
表4.4.4 低温环境混凝土比热容基本值c c [J/(kg·℃)]

条文说明
4.4.4根据已有的关于低温环境混凝土比热容研究结果,低温环境混凝土的比热容表达式主要考虑作用的温度以及混凝土含水率和强度等级的影响,其他影响因素则隐含在低温环境混凝土比热容基本值中。表7是按本规范4.4.4条中式4.4.4计算的低温环境混凝土的比热容值,由该表可直接查得不同强度等级和含水率混凝土在不同温度作用下的比热容。 表7低温环境混凝土比热容cCTc[J/(kg·℃)]
4.5 泊松比
4.5 泊 松 比
4.5.1 低温环境混凝土遭受非多次升降温循环作用时,其泊松比宜按下式计算:

式中:v CT c ——低温环境混凝土的泊松比;
α v ——低温环境混凝土泊松比的应力水平(σ/f CT ck )影响系数。当σ/f CT ck ≤0.55时,α v =1;当σ/f CT ck >0.55时,宜考虑应力水平对低温环境混凝土泊松比的影响。
条文说明
4.5.1根据已有的关于低温环境混凝土泊松比研究结果,低温环境混凝土泊松比表达式主要考虑低温环境下混凝土低温硬化情况和应力水平的影响。对于应力水平影响因素,仅当应力水平较高(σ/fCTck>0.55)时才对低温环境混凝土泊松比产生影响,此时低温环境混凝土泊松比的应力水平影响系数αv可按下式计算: 
在结构的线弹性计算中,可不考虑应力水平对低温环境混凝土泊松比的影响,但在结构的非线性分析中,当应力水平较高时宜考虑它对低温环境混凝土泊松比的影响。 表8是按本规范4.5.1条中式4.5.1计算的低温环境混凝土泊松比,由该表可直接查得不同强度等级和应力水平混凝土在不同温度作用下的泊松比。 表8低温环境混凝土的泊松比vCTc
注:对C45、C55等级的混凝土,其低温环境混凝土的泊松比可按表中数值进行插值。
5 材料
5.1 细骨料
5 材 料
5.1 细 骨 料
5.1.1 低温环境混凝土细骨料宜选用河砂,不得使用海砂。
5.1.2 低温环境混凝土用砂应采用中粗砂,其质量要求除应符合国家现行标准《建设用砂》GB/T 14684和《普通混凝土用砂、石质量及检验方法标准》JGJ 52的有关规定外,尚应符合表5.1.2的规定。
表5.1.2 低温环境混凝土用砂质量要求

条文说明
5.1.2通过参考英国标准、欧洲标准、美国材料与试验协会标准和现行国家标准《建设用砂》GB/T14684、现行行业标准《普通混凝土用砂、石质量及检验方法标准》JGJ52和国内外多个低温工程项目对混凝土细骨料的质量要求,确定本规范表5.1.2中低温环境混凝土用细骨料的质量要求。
5.1.3 低温环境混凝土细骨料应按现行行业标准《普通混凝土用砂、石质量及检验方法标准》JGJ 52的规定对骨料进行碱活性检验。
5.1.4 低温环境混凝土细骨料抽检频率、检验标准及级配要求应符合现行行业标准《普通混凝土用砂、石质量及检验方法标准》JGJ 52的有关规定。
5.2 粗骨料
5.2 粗 骨 料
5.2.1 低温环境混凝土粗骨料应选用碎石。
5.2.2 低温环境混凝土用石,其质量要求除应符合国家现行标准《建设用卵石、碎石》GB/T 14685和《普通混凝土用砂、石质量及检验方法标准》JGJ 52的有关规定外,尚应符合表5.2.2的要求。
表5.2.2 低温环境混凝土用石子质量要求

条文说明
5.2.2通过参考英国标准、欧洲标准、美国材料与试验协会标准和现行国家标准《建设用卵石、碎石》GB/T14685、现行行业标准《普通混凝土用砂、石质量及检验方法标准》JGJ52和国内外多个低温工程项目对混凝土粗骨料的质量要求,确定本规范表5.2.2中低温环境混凝土用粗骨料的质量要求。
5.2.3 低温环境混凝土粗骨料应按现行行业标准《普通混凝土用砂、石质量及检验方法标准》JGJ 52的规定对骨料进行碱活性检验。
5.2.4 低温环境混凝土粗骨料抽检频率、检验标准及级配要求应符合现行行业标准《普通混凝土用砂、石质量及检验方法标准》JGJ 52的有关规定。
5.3 水泥
5.3 水 泥
5.3.1 低温环境混凝土应选用硅酸盐水泥或普通硅酸盐水泥。
5.3.2 低温环境混凝土用水泥,其质量要求除应符合现行国家标准《通用硅酸盐水泥》GB 175的有关规定外,尚应符合表5.3.2的要求。
表5.3.2 低温环境混凝土用水泥质量要求

条文说明
5.3.2参考英国标准《用于硅酸盐水泥磨碎粒状高炉炉渣规范》BS6699、《水泥的试验方法》BSEN196、美国材料与试验协会标准中对混凝土中水泥的质量要求,比对现行国家标准《通用硅酸盐水泥》GB175,确定低温环境混凝土所用水泥质量要求需满足本规范表5.3.2中相关要求。
5.3.3 低温环境混凝土用水泥应检测其水化热指标。
5.3.4 水泥进场时应对水泥品种、强度等级、包装或散装仓号、出厂日期等进行检查,并应对其强度、安定性、凝结时间等性能指标及其他设计要求的性能指标进行复检。
条文说明
5.3.4应对水泥品种、强度等级、包装或散装型号、出厂日期等进行检查;如对其强度、安定性、凝结时间、水化热等性能指标复查不全,将直接影响混凝土工程质量。
5.4 水
5.4 水
5.4.1 低温环境混凝土用水宜选用饮用水、地表水或地下水,不得使用海水或再生水。
5.4.2 低温环境混凝土拌合用水,其水质要求除应符合现行行业标准《混凝土用水标准》JGJ 63的有关规定外,尚应符合表5.4.2的要求。
表5.4.2 低温环境混凝土拌合用水水质要求

5.4.3 低温环境混凝土养护用水,其水质要求除应符合现行行业标准《混凝土用水标准》JGJ 63的有关规定外,尚应符合表5.4.3的要求。
表5.4.3 低温环境混凝土养护用水水质要求

5.5 外加剂
5.5 外 加 剂
5.5.1 低温环境混凝土外加剂应符合国家现行标准《混凝土外加剂》GB 8076、《混凝土外加剂应用技术规范》GB 50119和《聚羧酸系高性能减水剂》JG/T 223的有关规定。
5.5.2 低温环境混凝土不宜使用防冻剂,不得使用含有氯盐类的外加剂。
5.5.3 低温环境混凝土用外加剂宜采用液态外加剂。
5.5.4 低温环境混凝土所采用的减水剂宜为高性能减水剂,其减水率不应低于20%。
5.5.5 低温环境混凝土用外加剂的品种和掺量应根据工程所用胶凝材料经试验确定,功能相同的不同品牌外加剂不得在同一拌和物中使用。
条文说明
5.5.5由于外加剂与水泥之间存在适应性问题,因此在工程中应根据所用水泥种类对外加剂进行选择性试验,一旦确定外加剂品种,不能随意更改,以避免混凝土施工过程中出现问题,影响施工质量和进度。
5.5.6 低温环境混凝土用外加剂的质最主要控制项目应包括掺外加剂混凝土的性能和外加剂匀质性。
条文说明
5.5.6混凝土性能方面的主要控制项目应包括减水率、凝结时间差和抗压强度比,外加剂匀质性方面的主要控制项目应包括pH值、氯离子含量和碱含量,引气剂和引气减水剂主要控制项目还应包括含气量。
5.5.7 低温环境混凝土可掺入引气剂,其拌和物的含气量不宜大于5%。
条文说明
5.5.7低温环境混凝土既要考虑常温环境抗冻性能要求,又要考虑低温环境抗冻性能要求。含气量对低温环境混凝土的低温抗冻性能影响较大,综合考虑后取限值为5%。
5.6 掺和料
5.6 掺 和 料
5.6.1 低温环境混凝土用掺和料宜选用硅灰、粉煤灰或粒化高炉矿渣粉。
5.6.2 低温环境混凝土用掺和料应符合现行国家标准《用于水泥和混凝土中的粉煤灰》GB 1596、《用于水泥和混凝土中的粒化高炉矿渣粉》GB/T 18046和《砂浆和混凝土用硅灰》GB/T 27690的有关规定。
5.6.3 低温环境混凝土用粒化高炉矿渣粉的质量等级宜选用S105级,不得采用S75级。
5.6.4 低温环境混凝土用粉煤灰不得采用Ⅲ级粉煤灰和高钙灰。
6 配合比设计
6 配合比设计
6.0.1 低温环境混凝土的原材料应符合下列要求:
1 混凝土配合比设计应采用工程实际使用的原材料;
2 粗骨料宜选用连续级配;
3 所选用的外加剂应与胶凝材料进行适应性试验。
6.0.2 低温环境混凝土的配合比设计除应符合现行行业标准《普通混凝土配合比设计规程》JGJ 55的有关规定外,尚应符合下列要求:
1 低温环境混凝土的最大水胶比和胶凝材料总量应符合表6.0.2的要求;
表6.0.2 低温环境混凝土最大水胶比和胶凝材料用量

2 外加剂和矿物掺和料的品种、掺量应通过试配确定,矿物掺和料掺量宜为胶凝材料总量的25%~40%,硅灰掺量宜为胶凝材料总量的5%;
3 低温环境混凝土拌和物中水溶性氯离子不应大于水泥质量的0.06%;
4 低温环境混凝土抗渗等级不应低于P8级,自然环境下抗冻等级不应低于F200级。
条文说明
6.0.2矿物掺和料的使用,除为保证能够配置出符合要求的强度等级的低温环境混凝土,还应考虑尽量降低水化热、提高混凝土的密实性及耐久性。混合使用矿物掺和料时不宜采用多掺。
6.0.3 低温环境混凝土试配应按现行国家标准《普通混凝土拌合物性能试验方法标准》GB/T 50080的有关规定执行,并进行拌和物经时坍落度损失试验,坍落度不宜大于200mm。
条文说明
6.0.3为适应不同气温条件下施工,应根据气温和运输距离按每30min一次进行坍落度损失测试,且1h坍落度损失不宜大于30mm。本规范对混凝土坍落度的要求是借鉴国外标准(如:欧洲标准《新拌混凝土试验——坍落试验》EN12350-2)和低温工程实践对坍落度上下限的规定确定的。在满足设计和施工要求的前提下,宜采用较低的坍落度值。
6.0.4 低温环境混凝土配合比的调整与确定应符合现行行业标准《普通混凝土配合比设计规程》JGJ 55的有关规定。
6.0.5 在有腐蚀性侵蚀环境下,低温环境混凝土应根据现行国家标准《混凝土质量控制标准》GB 50164进行抗氯离子渗透性能试验和抗硫酸盐侵蚀性能试验。
条文说明
6.0.5氯离子侵入混凝土会导致对钢筋起保护作用的钝化膜破坏,钢筋开始锈蚀,钢筋锈蚀必然导致混凝土体积膨胀,从而使混凝土开裂,严重开裂则导致整个结构破坏;混凝土硫酸盐侵蚀破坏是一个复杂的物理化学过程,其实质是外界侵蚀介质中的SO-24通过孔隙进入混凝土的内部与水泥水化反应生成的Ca(OH)2和水化铝酸盐等反应生成膨胀性产物而产生膨胀内应力,当膨胀内应力超过混凝土的抗拉强度时,就会使混凝土产生裂缝,侵蚀介质沿着生成的裂缝入侵到混凝土更深处,与水泥石发生进一步反应会导致混凝土结构失去初始的能力,进而破坏整个结构。低温工程项目多处于有强腐蚀性侵蚀的海边环境,为提高混凝土结构的防腐性能和耐久性,有必要强调进行抗氯离子渗透性试验和抗硫酸盐侵蚀试验,并采取相应的措施。
7 施工
7.1 一般规定
7 施 工
7.1 一般规定
7.1.1 低温环境混凝土的施工应符合现行国家标准《混凝土结构工程施工规范》GB 50666的有关规定。
7.1.2 低温环境混凝土拌和物在运输和浇筑过程中严禁加水。
条文说明
7.1.2本条为强制性标准。在运输和施工过程中向低温环境混凝土拌和物中加水会严重影响混凝土力学性能和耐久性能,对低温环境混凝土工程质量危害极大,必须严格禁止。
7.1.3 低温环境混凝土在不利气候条件下的施工,应采取有效措施确保工程质量。
条文说明
7.1.3低温环境混凝土应尽量避免在不利气候条件下施工。因特殊情况需在如高温、严寒、大风等不利气候条件下施工时,应采取专门的措施(如在高温条件下施工时,搅拌站采用冷水机组、骨料遮阳避免阳光暴晒等;在严寒条件下施工时,养护期内混凝土覆盖保温材料等;在大风条件下施工时,钢筋网片增加抗风拉带、预埋钢筋网片定位件,模板整体连接、下平台增加稳定重量等),精心组织施工,以确保低温环境混凝土的质量及施工的安全。
7.2 施工准备
7.2 施工准备
7.2.1 施工单位应对用于低温环境混凝土的原材料供应量、检验结果的符合性进行复核,满足要求后方可开始生产。
条文说明
7.2.1低温环境混凝土原材料进场时,供方应按规定批次向需方提供质量证明文件。质量证明文件包括型式检验报告、出厂检验报告与合格证等,外加剂产品还应提供使用说明书。混凝土生产厂家需在低温环境混凝土生产前对各种原材料的供应量进行确认,以确保混凝土的连续浇筑。
7.2.2 低温环境混凝土施工前应对混凝土的模板与支架、钢筋工程和预埋管(件)等进行验收,合格后方可施工。
7.2.3 施工现场的供水、供电应满足低温环境混凝土连续施工的要求。当有断水、断电可能时,应采用循环供水、双回路供电或自备应急电源措施。
7.2.4 混凝土拌和物的供应能力应满足低温环境混凝土连续施工的要求,不宜低于单位时间所需量的1.2倍。
条文说明
7.2.4 低温环境混凝土拌和物的供应应满足低温环境混凝土连续施工的要求,一般情况下连续供应能力不宜低于单位时间所需量的1.2倍。采用多家供应商供料时,应制订统一的技术标准,确保质量可靠。
7.2.5 用于低温环境混凝土施工的设备,在混凝土浇筑前应进行全面的检修和试运转。
条文说明
7.2.5低温环境混凝土施工应尽可能增加装备投入和信息化管理,提高工效,进入现场的设备包括测温监控设备,在混凝土浇筑前应进行全面的检修和调试,确保设备性能可靠,施工中宜指定专人负责维护管理。
7.2.6 施工缝的位置应在低温环境混凝土浇筑前按设计要求和施工方案确定。
条文说明
7.2.6低温环境混凝土施工缝的位置应按照设计的规定设置,当无设计要求时,应按施工方案确定。
7.2.7 低温环境混凝土宜延迟拆模时间,拆模后应采取预防突然降温和快速干燥的措施。
条文说明
7.2.7国内外的工程实践证明,早期水泥水化热使混凝土内部温度升高。过早拆模会使混凝土的表面温度降低,形成较大的温度梯度,产生的拉应力极易形成裂缝。因此,宜延迟拆模时间,增加对混凝土的保温保湿养护时间,缓慢降温。以液化天然气(LNG)储罐工程为例,给出模板推荐拆模时间(混凝土浇筑完成开始算起)参考值见表9。 表9模板推荐拆除时间表
7.3 生产与运输
7.3 生产与运输
7.3.1 低温环境混凝土的原材料计量应按设计配合比称量,其每盘称量的允许偏差应符合表7.3.1的规定。
表7.3.1 原材料每盘称量的允许偏差

条文说明
7.3.1本条规定了低温环境混凝土原材料计量值的允许偏差。各种衡器应定期校检,以保持计量准确。
7.3.2 低温环境混凝土宜采用强制式搅拌机进行拌制,拌和时间从全部材料投完算起不应小于60s。
条文说明
7.3.2根据低温环境混凝土应用工程特点和便于对低温环境混凝土质量的控制,宜在施工现场建立使用强制式搅拌机的专用混凝土搅拌站,先向搅拌机投入骨料、胶凝材料,搅拌均匀后再将外加剂及水一并投入搅拌。拌和时间从材料全部投完算起,不应小于60s。
7.3.3 在生产过程中,应根据现场情况及时调整施工配合比,以满足设计配合比及施工的要求。
条文说明
7.3.3低温环境混凝土生产过程中应定期测定骨料的含水率。当雨天施工或其他原因致使含水率发生显著变化时,应增加测定次数,以便及时调整用水量和骨料用量,使其符合设计配合比的要求。同时,因混凝土原材料进厂存在差异,混凝土生产过程中应及时调整骨料最佳配合比例,以保证混凝土工作性能满足设计要求。
7.3.4 低温环境混凝土拌和物从装入搅拌运输车到入模的时间间隔不宜大于60min,到浇筑完成的时间间隔不宜大于90min。最高气温低于25℃时,可延长30min。
7.3.5 搅拌运输车的数量应满足低温环境混凝土浇筑的工艺要求,且在装料前应将罐内的积水排尽。
7.3.6 低温环境混凝土拌和物在搅拌运输过程中出现离析或因实际需要而使用外加剂进行调整时,搅拌运输车应进行不少于2min快速搅拌。无参考数据时外加剂的掺量和搅拌时间应经试验确定。
条文说明
7.3.6卸料之前采用快速旋转搅拌的目的是将拌和物搅拌均匀,利于泵送施工。搅拌罐车卸料困难、产生离析现象或混凝土坍落度损失过大的情况时有发生。较多情况是现场施工组织不力,不能及时浇筑混凝土而导致压车,这时可向罐车内掺加适量减水剂并搅拌均匀,以改善拌和物稠度,但应经过试验确定。
7.3.7 低温环境混凝土拌和物在运输过程中坍落度损失或离析严重,经补充外加剂或快速搅拌无法恢复低温环境混凝土拌和物的工作性能时,不得浇筑入模。
条文说明
7.3.7经补充外加剂后无法恢复低温环境混凝土拌和物的工作性能时,应予以报废处理,不得使用。
7.3.8 低温环境混凝土拌和物运送到现场后每100m 3 随机抽检不应少于1次。检验内容应包括测定坍落度、扩展度和温度;观察有无分层、离析、泌水及评定匀质性;有含气量要求的尚应测定其含气量。
条文说明
7.3.8根据低温环境混凝土工程特点,结合每个结构混凝土的浇筑方量,对检测频率的方量定为每100m3。对混凝土拌和物的工作性能指标,如坍落度、扩展度、温度和含气量等,在施工过程中应全程跟踪检测,并观察是否有分层、离析和泌水等现象。
7.4 浇筑
7.4 浇 筑
7.4.1 低温环境混凝土连续浇筑时,板类构件分层厚度不宜大于0.5m,墙柱类构件浇筑高度不宜大于1.2m,并应在下层混凝土初凝之前将上一层混凝土浇筑完毕。
7.4.2 低温环境混凝土的最大自由下落高度不宜超过2m,在不出现分层离析的情况下,最大落料高度应控制在3m以内。
条文说明
7.4.2当最大落料高度超过3m时,应采用串筒、溜管或振动溜管等辅助设备,将最大落料高度控制在3m以内,避免混凝土离析。
7.4.3 低温环境混凝土浇筑时应振捣密实,采取措施防止受力钢筋、预应力用波纹管和预埋(管)件的移位及变形,并应及时清除混凝土表面的泌水。
条文说明
7.4.3浇筑混凝土时,钢筋、模板、预应力用波纹管、预埋(管)件等移动和变形,将对结构尺寸、工程质量造成不利影响,应严格控制,尤其是防止预应力波纹管的移位和变形,若预应力波纹管移位和变形过大将会严重影响预应力工程的质量,预应力波纹管可利用钢筋制作定位器与钢筋网片形成一体;振捣后的混凝土易在结构顶部有浮浆,尤其是墙体,若浮浆过厚将会严重影响混凝土的质量,所以低温混凝土施工时,混凝土应分点放料减少浮浆的产生,且混凝土表面出现的泌水及浮浆应及时清除。
7.5 养护
7.5 养 护
7.5.1 低温环境混凝土浇筑完成后应及时覆盖和保湿养护。
条文说明
7.5.1养护条件对于混凝土强度的增长有重要影响。在施工过程中,应根据原材料、配合比、浇筑部位和季节等具体情况,制订合理的施工技术方案,采取有效的养护措施,保证混凝土强度正常增长。
7.5.2 低温环境混凝土养护的时间不得少于14d。
7.5.3 在低温环境混凝土表面无法进行常规保湿养护时,可采用喷涂表面养护剂的方法进行养护。
7.5.4 低温环境混凝土抗压强度达到1.2N/mm 2 前,不得在其上面踩踏或安装模板及支架。
条文说明
7.5.4混凝土硬化不足时,人为踩踏会给混凝土造成伤害;构件底模及其支架拆除过早,会使上面结构荷载和施工荷载对混凝土构件造成伤害的可能性增大。混凝土在自然保湿养护下强度达到1.2N/mm2的时间可按表10估计。混凝土强度的发展还受混凝土强度等级、配合比设计、构件尺寸、施工工艺等因素影响。 表10混凝土强度达到1.2N/mm2的时间估计(h) 
注:掺入矿物掺和料的混凝土可适当增加时间。
8 检验与验收
8.1 一般规定
8 检验与验收
8.1 一般规定
8.1.1 低温环境混凝土拌和物的质量检验应符合现行国家标准《混凝土质量控制标准》GB 50164的有关规定。
条文说明
8.1.1低温环境混凝土原材料应同时满足常温与低温环境下混凝土原材料要求,混凝土拌和物符合混凝土配合比及现行国家标准《混凝土质量控制标准》GB50164相应章节的规定时为质量合格,可以验收。
8.1.2 低温环境混凝土应进行常温环境下的强度等级评定和低温环境下的强度检验。
8.1.3 低温环境混凝土在常温环境下的强度等级评定应按现行国家标准《混凝土强度检验评定标准》GB/T 50107的有关规定执行。
8.1.4 低温环境混凝土应按本规范附录A的检验方法进行低温环境下的抗压强度检验和热膨胀系数检验。
条文说明
8.1.4本条规定了低温环境混凝土应进行的检测项目及检验方法。检测项目包括低温环境下混凝土的抗压强度检验、热膨胀系数检验,检验方法按本规范附录A进行。
8.1.5 常温环境下混凝土强度评定用试件规格及强度换算方法应按现行国家标准《混凝土结构工程施工质量验收规范》GB 50204的有关规定执行。试件成型方法、标准养护条件及强度试验方法应符合现行国家标准《普通混凝土拌合物性能试验方法标准》GB/T 50080的有关规定。
条文说明
8.1.5低温环境混凝土试件强度的试验方法应符合普通混凝土力学性能试验方法标准的规定。混凝土试件的尺寸应根据骨料的最大粒径确定。当采用非标准尺寸的试件时,其抗压强度应乘以相应的尺寸换算系数。
8.1.6 低温环境混凝土应按本规范附录A的检验方法进行含水率检验。
8.2 检验项目和数量
8.2 检验项目和数量
8.2.1 用于检查低温环境混凝土常温强度的试件,应在混凝土的浇筑地点随机抽取。取样与试件留置应符合下列规定:
1 每拌制100盘且不超过100m 3 的同一配合比的低温环境混凝土,取样不得少于1次;
2 每工作班拌制的同一配合比的低温环境混凝土不足100盘时,取样不得少于1次;
3 当一次连续浇筑超过1000m 3 时,同一配合比的低温环境混凝土,每200m 3 取样不得少于1次;
4 每次取样应至少留置一组标准养护试件,同条件养护试件的留置组数应根据实际需要确定;
5 结构实体检验用同条件养护试件的留置及强度检验应符合现行国家标准《混凝土结构工程施工质量验收规范》GB 50204的有关规定。
条文说明
8.2.1本条针对不同的低温环境混凝土生产量,规定了用于检查结构构件混凝土强度试件的取样数量与留置要求。 结构实体检验用同条件养护试件的留置及强度检验应符合现行国家标准《混凝土结构工程施工质量验收规范》GB50204第10.1.3条及附录D的要求。
8.2.2 低温环境混凝土配合比设计时,混凝土在低温环境下进行抗压强度检验的温度点宜按表8.2.2选用,并应包含表8.2.2中的最低温度点,且不宜少于3个,每个温度点的试件数量不应少于6个。
表8.2.2 各种低温环境混凝土低温抗压强度检验的温度点

条文说明
8.2.2由于低温环境混凝土抗压强度与作用的低温值密切相关,低温环境混凝土配合比设计时宜检验其混凝土可能遭遇的各种低温作用工况下的抗压强度。考虑其检验的工作量,可选若干个低温点进行检验,但其数量不宜少于3个。本规范表8.2.2中给出的低温环境混凝土抗压强度检验的温度点是为确保检验结果能基本反映所检验的混凝土在低温环境下的抗压强度性能。除本规范表8.2.2中所给出的低温环境混凝土抗压强度检验的温度点外的其他温度点可根据其低温环境工作性能和设计要求确定。例如LNG低温储罐,其低温环境温度为—165℃,温度点选用除—40℃、—120℃和—190℃外,其他可再选0℃、—80℃、—160℃等温度点。每个温度点的试件数量按低温环境混凝土抗压强度的检验要求不得少于6个,且各温度点的所有试件均应在相同条件下制作。由于低温环境混凝土各低温性能检验要求的试件数量不同,以及为避免与常温环境混凝土性能检验采用的“组”表示试件数量和制作等要求相混淆,这里检验的试件数量采用“个”表示。
8.2.3 低温环境混凝土配合比设计时,混凝土在低温环境下进行热膨胀系数检验的温度点宜按本规范表8.2.2选用,并应包含本规范表8.2.2中的最低温度点,且不宜少于3个,每个温度点的试件数量不应少于12个。
条文说明
8.2.3由于低温环境混凝土热膨胀性能与作用的低温值密切相关,低温环境混凝土配合比设计时宜检验其混凝土可能遭遇的各种低温作用工况下的热膨胀系数。考虑其检验的工作量,可选若干个低温点进行检验,但其数量不宜少于3个。本规范表8.2.2中给出的低温环境混凝土检验的温度点是为确保检验结果能基本反映所检验的混凝土低温热膨胀性能。除本规范表8.2.2中所给出的低温环境混凝土检验的温度点外的其他温度点可根据其低温环境工作性能和设计要求确定。每个温度点的试件数量按低温环境混凝土热膨胀系数的检验要求不得少于12个,且各温度点的所有试件均应在相同条件下制作。
8.2.4 低温环境混凝土施工时,混凝土试件应在浇筑地点随机取样;同一配合比的低温环境混凝土,应取不少于12个试件进行本规范表8.2.2中所给的最低温度点的抗压强度检验。
条文说明
8.2.4低温环境混凝土施工时,为检验其混凝土的低温性能是否满足要求,应对其低温抗压强度进行检验,其试件应在同一配合比的低温环境混凝土施工现场随机取样。同一配合比的试件数量按低温环境混凝土抗压强度和含水率的检验要求不得少于12个。不同配合比的低温环境混凝土施工时均应进行低温抗压强度检验。
8.3 验收标准
8.3 验收标准
8.3.1 低温环境混凝土在常温环境下的立方体抗压强度应符合现行国家标准《混凝土强度检验评定标准》GB/T 50107的有关规定,在低温环境下的立方体抗压强度应同时满足下列公式要求:

式中:f CT cu ——按本规范附录A的检验方法给出的低温环境混凝土抗压强度(N/mm 2 ),精确到0.1(N/mm 2 );
f CT cu,min ——按本规范附录A的检验方法给出的有效试件中最小的低温环境混凝土抗压强度(N/mm 2 ),精确到0.1(N/mm 2 );
f CT ck ——低温环境混凝土轴心抗压强度标准值,应按本规范表4.1.2-1取值;
ξ 1 ,ξ 2 ——合格评定系数,ξ 1 =1.1,ξ 2 =0.95;
ξ d ——低温环境混凝土的立方体抗压强度与轴心抗压强度比值,ξ d =1.25;
ξ w ——含水率对低温环境混凝土轴心抗压强度的影响系数;
ρ w ——按本规范附录A的检验方法给出的低温环境混凝土含水率(%)。
条文说明
8.3.1由于低温环境混凝土试验的样本数少,采用非统计方法对低温环境混凝土强度进行检验评定。参照现行国家标准《混凝土强度检验评定标准》GB/T50107选取低温环境混凝土强度检验评定的合格评定系数,根据已有的低温环境混凝土试验结果的统计分析给出低温环境混凝土的立方体抗压强度与轴心抗压强度的比值和含水率对低温环境混凝土轴心抗压强度的影响系数。
8.3.2 低温环境混凝应对其常温环境下的抗冻融性能进行检验,其常温环境下的抗冻融性能应符合现行行业标准《混凝土耐久性检验评定标准》JGJ/T 193的有关规定。
条文说明
8.3.2低温环境混凝土应对其常温环境下的抗冻融性能进行检验,其常温环境下的抗冻融性能应符合现行行业标准《混凝土耐久性检验评定标准》JGJ/T193的相关规定,以满足低温环境混凝土在常温环境下的抗冻融性能要求。
附录A低温环境混凝土检验方法
A.1一般规定
附录A 低温环境混凝土检验方法
A.1 一般规定
A.1.1 低温环境混凝土的检验应符合本章检验方法的规定。
条文说明
A.1.1本规范依据低温环境混凝土的特性给出了相应的检验方法,并与相关的标准、规范进行了合理的衔接。
A.1.2 本章检验方法适用于强度等级C40~C60区间的低温环境混凝土的性能检验,包括低温环境下混凝土的抗压强度检验、热膨胀系数检验和常温环境下的含水率检验。
条文说明
A.1.2根据实际工程对低温环境混凝土的性能要求,本条规定了低温环境混凝土检验方法的适用范围和内容。
A.1.3 低温环境混凝土试件放进低温设备前,所有试件不得有缺棱、掉角等损伤,且试件各边长的公差不得超过1mm。用于抗压强度检验的试件的承压面平面度公差不得超过试件承压面边长的0.0005,相邻面间的垂直度公差不得超过0.5°。
条文说明
A.1.3考虑到低温环境混凝土的性能离散性较大,本条规定了用于低温环境混凝土检验的混凝土试件外观和试件各边长的公差要求,对抗压强度检验试件还规定了承压面平面度公差和相邻面间的垂直度公差,以减少低温环境混凝土检验结果的误差。
A.2抗压强度检验
A.2 抗压强度检验
A.2.1 本节检验方法适用于检验按本规范要求制作的混凝土试件在低温环境下的抗压强度。
条文说明
A.2.1本条规定了低温环境混凝土抗压强度检验方法的适用范围。
A.2.2 检验低温环境混凝土抗压强度的试件应符合现行国家标准《普通混凝土力学性能试验方法标准》GB/T 50081的有关规定。试件应为边长100mm的立方体,每次检验应在相同条件下制作6个试件。
条文说明
A.2.2本条规定了按低温环境混凝土抗压强度检验方法检验的试件应符合的要求。在低温环境下,混凝土试块的尺寸效应不明显,并考虑低温环境下混凝土抗压强度的大幅提高,过大尺寸的试件需大吨位的压力试验机,且这种情况下会使试验结果的离散性加大,故低温环境混凝土抗压强度试验不应取大尺寸试件。在不影响获取低温环境混凝土受压性能的前提下,这里取用于低温环境混凝土抗压强度检验的试件为边长100mm的立方体;由于影响低温环境混凝土的因素比常温环境更多,且有些因素影响更加明显和复杂,会加大试件试验结果的离散性,故规定了每次检验的试件的制作条件,以及比常温环境要求更多的试件数量。
A.2.3 检验采用的设备应符合下列规定:
1 低温设备应有同时容纳小少于6个试件的有效空间,应能满足常温至—197℃区间各种温度的施加,应具有自动控温和给出各种降温速率的功能,恒温期间的温度波动范围应在±0.5℃内;
2 压力试验机除符合现行国家标准《液压式压力试验机》GB/T 3722和《试验机通用技术要求》GB/T 2611的有关规定外,其测量精度小得低于1%,试件破坏荷载应大于压力试验机全量程的20%且小于压力试验机全量程的80%,压力试验机应满足低温设备安装位置和与之配合的使用条件。
条文说明
A.2.3本条规定了低温环境混凝土抗压强度检验设备的有关要求。 1根据低温环境混凝土对低温作用的要求,对低温环境混凝土抗压强度检验的低温设备施加低温有效空间以及温度作用范围和控制能力作了规定。这里的施加低温有效空间指试件在该空间内任一位置能获得相同的温度作用工况。由于低温环境混凝土抗压强度对低温作用工况非常敏感,故这里特别规定了低温设备的技术要求。 2对压力试验机的要求,在现行国家标准《普通混凝土力学性能试验方法标准》GB/T50081中有详细的技术规定,除此之外,还应满足低温设备安装位置和与之配合的使用条件,以便降低甚至避免因试验装置选用不当和不便的试验操作带来的试验结果误差。
A.2.4 低温环境混凝土抗压强度检验应按下列方法进行:
1 试件标准养护龄期达到设计龄期时取出,用湿布擦去表面水分后静置于室内自然环境中。静置14d后进行试件外观检查和尺寸量测,然后常温保湿密闭或放入低温设备内进行低温作用。
2 低温设备按1℃/min速率降温,达到预定温度值T 0 后保持温度不变。每个试件的低温作用时间不应少于48h,但不宜超过52h。恒温期间的温度波动范围应在±0.5℃内。
3 当试件低温作用期间因故中断或不符合低温作用要求时,该试件应从检验试件中剔除。若试件被剔除数达2个,则应重新制作试件进行检验。
4 试件经低温作用后应按现行国家标准《普通混凝土力学性能试验方法标准》GB/T 50081的有关规定进行抗压强度试验。
5 低温环境混凝土抗压强度应按下列公式计算:

式中:f CT cu ——温度为T 0 时低温环境混凝土的抗压强度;
k——符合低温作用要求的试件数;
n——低温环境混凝土抗压强度检验的有效试件数。若单个符合低温作用要求试件的抗压强度和f CT cu,m 的差与f CT cu,m 之比在15%内,则为有效试件;若本次检验有m个符合低温作用要求试件的抗压强度和f CT cu,m 的差与f CT cu,m 之比超出15%,则必须重新制作试件进行检验。这里,当k=6时,m=3;当k≤5时,m=2;
f CT cu0,i ——有效试件中第i个试件温度为T 0 时的抗压强度;
f CT cu,i ——符合低温作用要求的试件中第i个试件温度为T 0 时的抗压强度。
条文说明
A.2.4本条规定了低温环境混凝土抗压强度检验应遵循的程序、技术要求以及应急处理方法和注意事项。 1由于低温环境混凝土抗压强度与试件的含水率密切相关,为减少试验结果的离散性,对试件标准养护达到设计龄期取出至试验前这一期间应做的事项进行了规定。室内自然环境中静置14d,目的是消除试件表面附近水分过多带来的影响。这里室内自然环境指温度在(20±5)℃、湿度在40%~60%的环境。 2低温环境混凝土抗压强度与施加的温度工况密切相关,为减少试验结果的离散性,对低温设备降温速率、达到预定温度后的恒温时间和恒温期间的温度波动幅度进行了规定。 3对不符合低温作用要求的情形给出了具体的处理方法。 4为避免低温作用的试件因未立即进行抗压强度试验导致其低温作用工况发生变化,进而引起试验结果的离散,规定了试件低温作用后必须立即进行抗压强度试验,并给出了其抗压强度试验应遵循的标准。 5针对低温环境混凝土受压性能特点,规定了低温环境混凝土抗压强度检验的有效试件确定方法,并给出低温环境混凝土抗压强度的计算公式。
A.3热膨胀系数检验
A.3 热膨胀系数检验
A.3.1 本节检验方法适用于检验按本规范要求制作的混凝土试件在低温环境下的热膨胀系数。
条文说明
A.3.1本条规定了低温环境混凝土热膨胀系数检验方法的适用范围。
A.3.2 检验低温环境混凝土热膨胀系数的试件应符合现行国家标准《普通混凝土力学性能试验方法标准》GB/T 50081的有关规定。试件应为边长100mm×100mm×300mm的棱柱体,每次检验应在相同条件下制作12个试件。
条文说明
A.3.2本条规定了按低温环境混凝土热膨胀系数检验方法检验的试件应符合的要求。由于影响低温环境混凝土热膨胀变形的因素比常温环境更多,且有些因素影响更加明显和复杂,既要确保达到给定温度热膨胀变形量测时试件的温度分布均匀,又使热膨胀变形量测的标距尽量大,故在不影响低温环境混凝土热膨胀变形性能的前提下选择截面尺寸相对较小的棱柱体作为其检验试件,并规定了每次检验的试件制作条件和较多的试件数量,以减少试验结果的误差。
A.3.3 检验采用的设备应符合下列规定:
1 低温设备应有同时容纳不少于6个试件的有效空间,应满足常温至—197℃区间各种温度的施加,应具有自动控温和给出各种降温速率的功能,恒温期间的温度波动范围应在±0.5℃内;
2 微变形量测装置应满足各种低温下的量测要求,且测量精度不得低于0.001mm。
条文说明
A.3.3本条规定了低温环境混凝土热膨胀系数检验设备的有关要求。 1根据低温环境混凝土热膨胀系数检验对温度作用的要求,对低温环境混凝土热膨胀系数检验的低温设备施加低温有效空间以及温度作用范围和控制能力作了规定,特别是恒温期间的温度波动值要求更严,目的是减少由此带来的试验结果误差。这里的施加低温有效空间指试件在该空间内任一位置能获得相同的温度作用工况。由于低温环境混凝土热膨胀变形本身的离散性较大,低温作用工况准确性对其影响很大,故这里特别地规定了低温设备的技术要求。 2目前关于微变形测量仪类型较多,但能满足测量精度和各种低温下的量测要求的不多,且有些需专门添加一些辅助装置才能完成低温环境下微变形的量测。故这里仅对微变形仪器低温下工作性能和量测精度进行了规定。
A.3.4 低温环境混凝土热膨胀系数检验应按下列方法进行:
1 试件标准养护应达到设计龄期时取出,并应用湿布擦去表面水分后静置于室内自然环境中。应静置14d后进行试件外观检查和尺寸量测,并应将试件分成2组,每组6个试件。
2 应标识热膨胀系数检验棱柱体试件两端面的3个量测点位置(图A.3.4),并应在这3个量测位置量测棱柱体试件长度。
3 检验低温T 0 时的低温环境混凝土热膨胀系数,第1组试件作用的温度值应为T 1 =T 0 —10℃,第2组试件作用的温度值应为T 2 =T 0 +10℃。
4 量测第1组6个试件3个量测位置处的棱柱体试件长度后,应将试件全部放于低温设备内,按不高于1℃/min速率降至T 1 ,然后保持温度不变,且恒温期间的温度波动范围应在±0.5℃内。低温作用48h后再量测试件3个量测位置处的棱柱体试件长度。

图A.3.4 热膨胀系数检验棱柱体试件端面3个测点位置示意图
5 量测第2组6个试件3个量测位置处的棱柱体试件长度后,应将试件全部放于低温设备内,按与第1组试件相同的降温速率降至T 2 ,然后保持温度不变,且恒温期间的温度波动范围应在±0.5℃内。低温作用48h后再量测试件3个量测位置处的棱柱体试件长度。
6 低温T 0 时的低温环境混凝土热膨胀系数应按下列公式计算:


式中:α CT c ——低温T 0 时的低温环境混凝土热膨胀系数(1/℃)。
m——低温环境混凝土热膨胀系数检验第1组试件有效数。若单个试件的α 1i 和α 1,m 的差与α 1,m 之比在15%内,则为有效试件;若本组检验有3个试件的α 1i 和α 1,m 的差与α 1,m 之比超过15%,则必须重新制作试件进行检验。
n——低温环境混凝土热膨胀系数检验第2组试件有效数。若单个试件的α 2i 和α 2,m 的差与α 2,m 之比在15%内为有效试件;若本组检验有3个试件的α 2i 和α 2,m 的差与α 2,m 之比超过15%,则必须重新制作试件进行检验。
α 1i ——第1组试件中第i个试件低温T 1 下棱柱体试件长度的相对变形,应按式A.3.4-4计算。
α 1i ——第1组试件中第i个有效试件低温T 1 下棱柱体试件长度的相对变形,应按式A.3.4-4计算。
L k 1i ——第1组试件中第i个试件低温T 1 下第k个量测位置处棱柱体试件长度(mm)。
α 2i ——第2组试件中第i个试件低温T 2 下棱柱体试件长度的相对变形,应按式A.3.4-5计算。
α 2i ——第2组试件中第i个有效试件低温T 2 下棱柱体试件长度的相对变形,应按式A.3.4-5计算。
L k 2i ——第2组试件中第i个试件低温T 2 下第k个量测位置处棱柱体试件长度(mm)。
L k ——试件低温作用前第k个量测位置处棱柱体试件长度(mm)。
条文说明
A.3.4本条规定了低温环境混凝土热膨胀系数检验应遵循的程序、技术要求以及应急处理方法和注意事项。 1由于低温环境混凝土热膨胀变形与试件的含水率以及外观状态和尺寸密切相关,为减少试验结果的离散性以及能合理地分析和处理试验数据,对试件标准养护达到设计龄期取出后至试验前期间应做的事项进行了规定,并给出了试件分组和每组的试件数要求。室内自然环境中静置14d,目的是消除试件表面附近水分过多带来的影响。这里室内自然环境指温度在(20±5)℃、湿度在40%~60%的环境。 2规定了每个试件热膨胀变形量测点位置和数量。一般试件热膨胀变形量测结果的离散性较大,为减少这种现象采用多点量测取平均值的方法。由于试件沿混凝土浇注方向具有不均匀性,应采用如图A.3.4的测点位置,避免由此带来的试验结果的误差。 3规定了按检验要求给定的低温值确定两组试件作用的温度值。两组试件的温差取20℃。理论上两组试件的温差值越小越好,但过小温差值反而会导致两组试验结果给出的热膨胀系数误差更大。综合已有的大量试验结果情况,取两组试件作用的温差值为20℃。 4规定了第1组试件的低温作用量测要求。 5规定了第2组试件的低温作用量测要求。 6针对低温环境混凝土热膨胀变形特性,规定了热膨胀系数检验的有效试件确定方法,并给出低温环境混凝土热膨胀系数的计算公式。
A.4含水率检验
A.4 含水率检验
A.4.1 本节检验方法适用于检验按本规范要求制作的低温环境混凝土试件在常温环境下的含水率。
条文说明
A.4.1本条规定了低温环境混凝土含水率检验方法的适用范围。
A.4.2 检验低温环境混凝土含水率的试件应符合现行国家标准《普通混凝土力学性能试验方法标准》GB/T 50081的有关规定。试件应为边长100mm的立方体,每次检验应在相同条件下制作6个试件。
条文说明
A.4.2本条规定了按低温环境混凝土含水率检验方法检验的试件应符合的要求。为避免试件含水率出现较大差异,要求每次检验试件应在相同条件下制作。
A.4.3 检验采用的设备应符合下列规定:
1 烘箱应有同时容纳不少于6个各自带有搪瓷盘试件的有效空间,且满足常温至200℃区间各种温度的施加,应具有自动控温和给出各种升温速率的功能,恒温期间的温度波动范围应在±1℃内。
2 称重设备的最大称重不应小于5kg,感量不应大于1g。
条文说明
A.4.3本条规定了低温环境混凝土含水率检验设备的有关要求。 1根据低温环境混凝土含水率检验对温度作用的要求,对低温环境混凝土含水率检验的烘箱设备施加高温的有效空间以及温度作用范围和控制能力作了规定。 2对称重设备型号没有作具体的要求,只根据低温环境混凝土含水率检验要求对其量程和感量进行了规定。
A.4.4 低温环境混凝土含水率检验应按下列方法进行:
1 试件标准养护应达到设计龄期时取出,并应用湿布擦去表面水分后静置于室内自然环境中。应静置14d后进行试件外观检查。
2 应将6个搪瓷盘编号、称重,精确至1g。
3 每个搪瓷盘内应仅放置1个试件,然后称重每个带搪瓷盘试件,精确至1g。
4 应将6个带搪瓷盘试件同时放于烘箱中进行烘烤,且确保烘烤过程中可能出现试件表面脱落的混凝土碎渣均落入其放置的搪瓷盘中。烘烤温度应按1℃/min速率升至150℃后保持温度不变,恒温期间的温度波动范围应在±1℃内。恒温14d后取出立即称重,精确至1g。
5 低温环境混凝土含水率应按下列公式计算:


式中:ρ w ——低温环境混凝土含水率(%);
ρ wi ——第i个试件的混凝土含水率(%);
ρ w,m ——用于混凝土含水率检验的6个试件的混凝土含水率平均值(%);
n——低温环境混凝土含水率检验试件有效数;
G 1i ——烘干前第i个试件含搪瓷盘的质量;
G 2i ——烘干后第i个试件含搪瓷盘的质量;
G 3i ——用于放置第i个试件的搪瓷盘质量。
若单个试件含水率ρ wi 和ρ w,m 的差与ρ w,m 之比在15%内,则为有效试件;若本次检验有2个试件的ρ wi 和ρ w,m 的差与ρ w,m 之比超出15%,则应重新制作试件进行检验。
条文说明
A.4.4本条规定了低温环境混凝土含水率检验应遵循的程序、技术要求以及注意事项。 1为减少试验结果的离散性,对试件标准养护龄期达28d取出后至试验前期间应做的事项进行了规定。室内自然环境中静置14d,目的是消除试件表面附近水分过多带来的影响。这里室内自然环境指温度在(20±5)℃、湿度在40%~60%的环境。 2由于用于放置试件的搪瓷盘重量直接影响试验给出的含水率,故需对每个搪瓷盘编号、称重,并有精度要求。 3规定了每个搪瓷盘内放置试件数量和每个带搪瓷盘试件称重精度要求。 4给出了烘烤温度作用工况,以及确保烘烤过程中可能出现试件表面脱落的混凝土碎渣均落入其放置的搪瓷盘中和冷却至常温取出称重的精度要求。 5规定了低温环境混凝土含水率检验的有效试件确定方法,并给出低温环境混凝土含水率的计算公式。
本规范用词说明
本规范用词说明
1 为便于在执行本规范条文时区别对待,对要求严格程度不同的用词说明如下:
1)表示很严格,非这样做不可的:
正面词采用“必须”,反面词采用“严禁”;
2)表示严格,在正常情况下均应这样做的:
正面词采用“应”,反面词采用“不应”或“不得”;
3)表示允许稍有选择,在条件许可时首先应这样做的:
正面词采用“宜”,反面词采用“不宜”;
4)表示有选择,在一定条件下可以这样做的,采用“可”。
2 条文中指明应按其他有关标准执行的写法为:“应符合……的规定”或“应按……执行”。
引用标准名录
引用标准名录
《混凝土结构设计规范》GB 50010
《普通混凝土拌合物性能试验方法标准》GB/T 50080
《普通混凝土力学性能试验方法标准》GB/T 50081
《混凝土强度检验评定标准》GB/T 50107
《混凝土外加剂应用技术规范》GB 50119
《混凝土质量控制标准》GB 50164
《混凝土结构工程施工质量验收规范》GB 50204
《大体积混凝土施工规范》GB 50496
《混凝土结构耐久性设计规范》GB/T 50476
《混凝土结构工程施工规范》GB 50666
《通用硅酸盐水泥》GB 175
《用于水泥和混凝土中的粉煤灰》GB 1596
《试验机通用技术要求》GB/T 2611
《液压式压力试验机》GB/T 3722
《混凝土外加剂》GB 8076
《建设用砂》GB/T 14684
《建设用卵石、碎石》GB/T 14685
《用于水泥和混凝土中的粒化高炉矿渣粉》GB/T 18046
《砂浆和混凝土用硅灰》GB/T 27690
《普通混凝土用砂、石质量及检验方法标准》JGJ 52
《普通混凝土配合比设计规程》JGJ 55
《混凝土用水标准》JGJ 63
《混凝土耐久性检验评定标准》JGJ/T 193
《聚羧酸系高性能减水剂》JG/T 223
