Appearance
《混凝土结构现场检测技术标准[附条文说明]》GB/T 50784-2013
🗓️ 住房和城乡建设部 实施时间:2013-09-01
前言
中华人民共和国国家标准
混凝土结构现场检测技术标准
Technical standard for in-situ inspection of concrete structure
GB/T 50784-2013
批准部门:中华人民共和国住房和城乡建设部
施行日期:2013 年 9 月 1 日
中华人民共和国住房和城乡建设部
公 告
第1634号
住房城乡建设部关于发布国家标准《混凝土结构现场检测技术标准》的公告
现批准《混凝土结构现场检测技术标准》为国家标准,编号为GB/T 50784-2013,自2013年9月1日起实施。
本标准由我部标准定额研究所组织中国建筑工业出版社出版发行。
中华人民共和国住房和城乡建设部
2013年2月7日
前言
本标准是根据原建设部《关于印发<二〇〇四年工程建设国家标准制定、修订计划>的通知》 (建标[2004] 67号)的要求,由中国建筑科学研究院和中国新兴建设开发总公司会同有关单位共同编制完成。
本标准在编制过程中,编制组经广泛调查研究,认真总结实践经验,参考有关国际标准和国外先进标准,并在广泛征求意见的基础上,经反复讨论、修改,最后经审查定稿。
本标准共分12章7个附录,主要技术内容包括:总则、术语和符号、基本规定、混凝土力学性能检测、混凝土长期性能和耐久性能检测、有害物质含量及其作用效应检验、混凝土构件缺陷检测、构件尺寸偏差与变形检测、混凝土中的钢筋检测、混凝土构件损伤检测、环境作用下剩余使用年限推定、结构构件性能检验等。
本标准由住房和城乡建设部负责管理,由中国建筑科学研究院负责具体技术内容的解释。本标准在执行过程中,请各单位认真总结经验,注意积累资料,如发现需要修改或补充之处,请将意见或建议寄至中国建筑科学研究院(地址:北京市北三环东路30号,邮编:100013,E-mail:standards@cabr.com.cn)。
本标准主编单位:中国建筑科学研究院 中国新兴建设开发总公司
本标准参编单位:北京市政工程研究院 北京市建设监理协会 北京智博联科技有限公司 全军工程与环境质量监督总站 重庆市建筑科学研究院 广东省建筑科学研究院 江苏省建筑科学研究院 辽宁省建设科学研究院 山东省建筑科学研究院 山西省建筑科学研究院
本标准主要起草人员:邸小坛 彭立新 汪道金 由世岐 崔士起 成 勃 徐天平 濮存亭 王自强 彭尚银 张元勃 盛国赛 魏利国 王宇新 翟传明 管钧 李栋 汤东婴 王景贤 黄选明 徐骋
本标准主要审查人员:陈肇元 高小旺 张国堂 冯力强 张 鑫 吴晓广 胡孔国 刘新生 吴月华 杨健康 吕岩 袁庆华
条文说明
中华人民共和国国家标准
混凝土结构现场检测技术标准
GB/T50784-2013
条文说明
制订说明
《混凝土结构现场检测技术标准》GB/T50784-2013,经住房和城乡建设部2013年2月7日以第1634号公告批准、发布。
本标准制订过程中,编制组进行了广泛、深入的调查研究,总结了我国混凝土结构现场检测的实践经验,同时参考了国外先进技术法规、技术标准,通过试验比对,取得了适合混凝土结构现场检测的重要技术参数。
为便于广大检测、鉴定、设计、施工、科研、学校等单位有关人员在使用本标准时能正确理解和执行条文规定,《混凝土结构现场检测技术标准》编制组按章、节、条顺序编制了本标准的条文说明,对条文规定的目的、依据以及执行中需注意的有关事项进行了说明。但是,本条文说明不具备与标准正文同等的法律效力,仅供使用者作为理解和把握标准规定的参考。
1 总则
1 总 则
1.0.1 为规范混凝土结构现场检测工作程序,合理选择检测方法,正确评价混凝土结构性能,保证检测工作质量,制定本标准。
条文说明
1.0.1本条提出了编制本标准的宗旨。
1.0.2 本标准适用于房屋建筑、市政工程和一般构筑物中混凝土结构的现场检测,不适用于轻骨料混凝土结构的现场检测。
条文说明
1.0.2本条规定了本标准的适用范围,适用范围与《混凝土结构设计规范》GB50010一致。
1.0.3 混凝土结构现场检测除应符合本标准外,尚应符合国家现行有关标准的规定。
条文说明
1.0.3混凝土结构现场检测综合性强、涉及面广,与设计、施工、鉴定、评估密切相关。本标准未涉及的内容,应执行国家现行的有关标准、规范的规定。特种混凝土结构尚应执行相关行业标准的规定。
2 术语和符号
2.1 术语
2 术语和符号
2.1 术 语
条文说明
本章所给出的术语为本标准的专用术语,除了与有关标准协调外,多数仅从本标准的角度赋予其涵义,但涵义不一定是术语的定义。同时还分别给出了相应的推荐性英文术语,该英文术语不一定是国际上的标准术语,仅供参考。
2.1.1 混凝土结构现场检测 in-situ inspection of concrete structure
对混凝土结构实体实施的原位检查、检验和测试以及对从结构实体中取得的样品进行的检验和测试分析。
条文说明
2.1.1现场检测包括两个方面的内容,一是通过对混凝土结构实体实施原位检查、检验、和测试直接获得检测数据;二是在试验室通过对结构实体中取得的样品进行检验、测试获得检测数据。
2.1.2 工程质量检测 inspection of structural quality
为评定混凝土结构工程质量与设计要求或与施工质量验收规范规定的符合性所实施的检测。
条文说明
2.1.2工程质量检测有严格的抽样方法、检测方法、评价指标和判定规则,检测应给出明确的符合性结论。为区别于质量验收时的合格评定,本标准中工程质量检测结果只提供符合性结论。
2.1.3 结构性能检测 inspection of structural performance
为评估混凝土结构安全性、适用性、耐久性或抗灾害能力所实施的检测。
条文说明
2.1.3结构性能检测的目的是为结构性能评定提供数据。
2.1.4 荷载检验 load test
通过施加作用力以检验构件的承载力、刚度、抗裂性或裂缝宽度等参数为目的的检测。
条文说明
2.1.4现场静载检验主要针对受弯构件,可检验构件的承载力、刚度、抗裂性或裂缝宽度等指标,本标准未包括基桩的抗压、抗拔试验。
2.1.5 复检 recheck
为验证检测数据的有效性,对已受检的对象所实施的现场检测。
条文说明
2.1.5本术语专指验证检测数据有效性的复检,检测方法的有效性应通过其他方式确认。对于破坏性试验应对留存的或重新取得的同类样品按照同一种试验方法进行检测。
2.1.6 补充检测 additional test
为补充已获得的数据所实施的现场检测。
条文说明
2.1.6检测前受检参数的实际情况是未知的,在数据分析和处理中可能出现需要补充数据的情况,如受检参数的变异性大导致推定区间长度不能满足检测精度要求、异常数据处理后导致样本数量不能满足标准要求等。 补充检测得到的数据可与原检测数据合并处理。
2.1.7 重新检测 renewal test
不计入已有的检测数据和结果,以新的检测数据和结果为准的现场检测。
条文说明
2.1.7由于检测中的失误导致检测数据失效或其他原因导致检测结果不被接受时,需要重新检测。重新检测一般由另一家检测单位实施,无异议时,也可由原检测单位实施。重新检测得到的数据不应与原检测数据合并处理。
2.1.8 直接测试方法 method of direct measurement
直接获得待判定参数数值的检测方法。
2.1.9 间接测试方法 method of indirect measurement
利用间接的参数并经换算关系获得待判定参数数值的检测方法。
条文说明
2.1.9不能直接测量的性能参数,通过一定的换算关系利用间接的物理量得到的该性能参数值;或者非标准状态下直接测量的性能参数,通过一定的换算关系得到的该性能参数相当于标准状态下的值。
2.1.10 检验批 inspection lot
由检测项目相同、质量要求和生产工艺等基本相同、环境条件或损伤程度相近的一定数量构件或区域构成的检测对象。
条文说明
2.1.10现场检测常遇到的是批量检测,即通过样本数据确定或评估检验批总体质量状况和性能指标。实现批量检测的前提之一是正确划分检验批,同一检验批中受检参数的实际值应是相近的。不能正确划分检验批将导致推定结果没有代表性或推定结果明显偏低。
2.1.11 个体 individual
可以单独取得一个检验或检测数据的区域或构件。
条文说明
2.1.11可以单独取得一个检验或检测数据的区域或构件。现场检测时个体一般指测点或测区,当可用一个数值表示构件受检参数检测值时,个体可以为构件。如以构件上各测点混凝土保护层厚度的平均值作为该构件混凝土保护层厚度检测值时,可以把该构件作为一个个体。
2.1.12 换算值 conversion value
在按认可的试验方法建立间接参数与判定参数之间或者非标准状态与标准状态待测参数之间的换算关系基础上获得的待测参数值。
条文说明
2.1.12间接测试方法的原理是在间接物理量与待测参数之间的换算关系基础上获得待测参数值。如回弹法检测混凝土强度是根据测区回弹值通过换算曲线得到测区混凝土抗压强度换算值。
2.1.13 推定值 reference value
对样本中每个个体的检测值进行统计分析并应用一定的规则得到的代表检验批总体性能的统计值。
条文说明
2.1.13一般而言,推定值是与置信水平相关的,因此,推定值是一个区间。由于样本数量的限制和习惯做法,为与相关标准协调,本标准中也存在以样本均值或样本最小值作为总体推定值的规定。
2.1.14 随机抽样 random sampling
使检验批中每个个体具有相同被抽检概率的抽样方法。
条文说明
2.1.14通过样本数据确定或评估检验批总体质量状况和性能指标时,应采用随机抽样。
2.1.15 约定抽样 agreed sampling
由委托方指定且不满足随机抽样原则的样本抽取方法。
条文说明
2.1.15由于条件限制或出于特定的检测目的,由委托方确定或由委托方与检测方协商确定的样本抽取方法。约定抽样检测时,应注明抽样方法的形成过程并提供每个受检个体的检测数据,不宜根据样本数据推定总体性能参数值。有时,约定抽样隐含着对总体进行评价,如选择损伤最严重的构件进行静载检验。
2.1.16 计数抽样 method of attributes
以样本中个体不合格数或不合格点的数量对检验批总体的符合性作出判定的抽样方法。
条文说明
2.1.16分层抽样是随机抽样的一种类型,可以更好地保证样本的代表性。分层抽样先抽取一级样本(构件),再抽取次级样本(测区),此时总的样本量为次级样本量之和。
2.1.17 计量抽样 method of variables
以样本中各个体数据的统计量对检验批总体的符合性作出判定或对检验批总体参数进行推定的抽样方法。
条文说明
2.1.17计数抽样方法不要求待测参数服从正态分布,且概念明确、易于理解,但不能提供待测参数的具体指标,如均值、变异系数。
2.1.18 分层计量抽样 stratified sampling
首先在检验批中抽取区域或构件,然后在抽取的区域或构件上按规定的要求布置测区的抽样方法。
条文说明
2.1.18本标准中的计量抽样方法严格意义上属于统计估值,即以检验批样本数据的统计量对检验批总体性能指标进行推定,要求待测参数服从正态分布。
2.1.19 分位数 quantile
与随机变量分布函数的某一概率相对应的值,常用的分位数有0.5分位数和0.05分位数。
条文说明
2.1.19对于正态分布,0.5分位数对应的数值在概念上与均值相同,0.05分位数对应的数值在概念上与具有95%保证率的特征值相同。
2.1.20 特征值 characteristic value
总体中具有95%保证率的值。
2.2 符号
2.2 符 号
条文说明
本节的符号符合现行国家标准《建筑结构设计术语和符号标准》GB/T50083的有关规定。
f cu,e ——混凝土抗压强度推定值;

——检验批或构件第i个测区混凝土抗压强度换算值;

——检验批或构件第i个测区修正后混凝土抗压强度换算值;

——检验批测区混凝土抗压强度换算值的平均值;

——检验批测区混凝土抗压强度换算值的标准差;

——第i个芯样试件混凝土抗压强度换算值;

——样本中芯样试件混凝土抗压强度换算值的平均值;

——检验批第j个构件上第i个测区混凝土抗压强度换算值;

——检验批第j个构件测区混凝土抗压强度换算值的平均值;

——检验批混凝土抗压强度推定区间上限与下限差值;
m Δf ——检验批混凝土抗压强度推定区间上限与下限均值;
f t,cor,i ——第i个芯样试件劈裂抗拉强度;
f t,e ——混凝土抗拉强度推定值;
N——检验批容量;
n——样本容量;
n j ——检验批第j个构件上布置的测区数;
s——样本标准差;
m——样本均值;
μ u ——均值推定区间的上限值;
μ l ——均值推定区间的下限值;
k 0.5 ——0.5分位数推定区间限值系数;
k 0.05,l ——0.05分位数推定区间下限值系数;
k 0.05,u ——0.05分位数推定区间上限值系数;
Δ tot ——总体修正量;
Δ loc ——对应样本修正量;
η loc ——对应样本修正系数;
η ——对应修正系数。
3 基本规定
3.1 检测范围和分类
3 基本规定
3.1 检测范围和分类
3.1.1 混凝土结构现场检测应分为工程质量检测和结构性能检测。
条文说明
3.1.1本条对混凝土结构现场检测进行了分类。 工程质量检测是对工程质量的状况与设计要求的指标或规范限定的指标比较并判定其符合性的工作,这项工作注重的是有关当事方的合法权益,在抽样方法、检测方法、评价指标和判定规则上不允许偏离,检测应给出明确的符合性结论。 结构性能检测是确定结构性能参数的实际状况,一般应给出受检参数的推定值或代表值,为结构性能评定提供数据与信息,便于评定机构采取适当处理措施。 工程质量检测和结构性能检测之间存在相互转化的过程,工程质量检测为不符合的工程,往往需要进一步做结构性能检测,以便采取适当的加固处理措施或进行让步验收;即使工程质量检测为符合的工程,当改变用途时,为利用实际结构的某些性能参数,也需要进一步做结构性能检测。同样,结构性能检测的数据,必要时也可作为工程质量评定的依据。
3.1.2 当遇到下列情况之一时,应进行工程质量的检测:
1 涉及结构工程质量的试块、试件以及有关材料检验数量不足;
2 对结构实体质量的抽测结果达不到设计要求或施工验收规范要求;
3 对结构实体质量有争议;
4 发生工程质量事故,需要分析事故原因;
5 相关标准规定进行的工程质量第三方检测;
6 相关行政主管部门要求进行的工程质量第三方检测。
条文说明
3.1.2本条规定了进行混凝土结构工程质量检测的几种情况,在这些情况下一般要求检测必须给出明确的符合性结论。
3.1.3 当遇到下列情况之一时,宜进行结构性能检测:
1 混凝土结构改变用途、改造、加层或扩建;
2 混凝土结构达到设计使用年限要继续使用;
3 混凝土结构使用环境改变或受到环境侵蚀;
4 混凝土结构受偶然事件或其他灾害的影响;
5 相关法规、标准规定的结构使用期间的鉴定。
条文说明
3.1.3本条规定了进行混凝土结构性能检测的几种情况,在这些情况下仅进行工程质量检测有时不能提供足够、必要的数据和信息。
3.2 检测工作的基本程序与要求
3.2 检测工作的基本程序与要求
3.2.1 混凝土结构现场检测工作宜按图3.2.1的程序进行。
条文说明
3.2.1本条规定了混凝土结构现场检测工作的基本程序。 检测工作自身的质量应有一套程序来保证,对于一般混凝土结构现场检测工作,程序框图中描述的从接受委托到检测报告的各个阶段都是必不可少的。 对于特殊情况的检测,则应根据检测的目的确定其检测程序和相应的内容。
3.2.2 混凝土结构现场检测工作可接受单方委托,存在质量争议时宜由当事各方共同委托。
条文说明
3.2.2存在质量争议的工程质量检测宜由当事各方共同委托,一方面可以保证检测工作的公正、公平性,保护当事各方利益,另—方面有利于检测结论的接受和采信,避免重复检测及由此产生的费用和时间损失。司法鉴定涉及的检测工作应满足相应程序要求。
3.2.3 初步调查应以确认委托方的检测要求和制定有针对性的检测方案为目的。初步调查可采取踏勘现场、搜集和分析资料及询问有关人员等方法。

图3.2.1 混凝土结构现场检测工作程序框图
条文说明
3.2.3了解结构的状况和收集有关资料,不仅有利于较好地制定检测方案,而且有助于确定检测的内容和重点。现场调查主要是了解被检测结构的现状缺陷或使用期间的加固维修及用途和荷载等变更情况,同时应与委托方商定检测的目的、范围、内容和重点。 有关的资料主要是指结构的设计图、设计变更、施工记录和验收资料、加固图和维修记录等。当缺乏有关资料时,应向有关人员进行调查。当结构受到灾害或邻近工程施工的影响时,尚应确认结构受到损伤前的情况。
3.2.4 检测方案应征询委托方意见。
条文说明
3.2.4检测方案常常作为检测合同的附件,征询委托方意见,是为了进一步明确检测目的、范围、项目以及采用的检测方法,避免可能产生的纠纷。检测方案经过检测机构内部的审定,是为了保证检测工作的准确性和有效性。
3.2.5 混凝土结构现场检测方案宜包括下列主要内容:
1 工程或结构概况,包括结构类型、设计、施工及监理单位,建造年代或检测时工程的进度情况等;
2 委托方的检测目的或检测要求;
3 检测的依据,包括检测所依据的标准及有关的技术资料等;
4 检测范围、检测项目和选用的检测方法;
5 检测的方式、检验批的划分、抽样方法和检测数量;
6 检测人员和仪器设备情况;
7 检测工作进度计划;
8 需要委托方配合的工作;
9 检测中的安全与环保措施。
条文说明
3.2.5本条规定了检测方案的主要内容。混凝土结构现场检测中的安全问题包括检测人员、检测仪器设备、受检结构及相邻构件的安全问题。
3.2.6 现场检测所用仪器、设备的适用范围和检测精度应满足检测项目的要求。检测时,所用仪器、设备应在检定或校准周期内,并应处于正常状态。
条文说明
3.2.6本条对现场检测所用仪器、设备提出要求。在检定或校准周期内的仪器设备并不都处于正常状态,实施检测时,应进行必要的校验。
3.2.7 现场检测工作应由本机构不少于两名检测人员承担,所有进入现场的检测人员应经过培训。
条文说明
3.2.7本条对从事混凝土结构现场检测工作的人员提出要求。
3.2.8 现场检测的测区和测点应有明晰标注和编号,必要时标注和编号宜保留一定时间。
条文说明
3.2.8现场检测的测区和测点应有明晰标注和编号,不仅方便检测机构内部的检查,也有利于相关方对检测工作的监督,同时,便于对异常数据进行追踪和复检。保留时间可根据工程具体情况确定。
3.2.9 现场检测获取的数据或信息应符合下列要求:
1 人工记录时,宜用专用表格,并应做到数据准确、字迹清晰、信息完整,不应追记、涂改,当有笔误时,应进行杠改并签字确认;
2 仪器自动记录的数据应妥善保存,必要时宜打印输出后经现场检测人员校对确认;
3 图像信息应标明获取信息的时间和位置。
条文说明
3.2.9本条对现场检测获取的数据或信息提出要求。 仪器自动记录时,将自动记录的数据转换成专用记录格式打印输出,是为了便于对原始记录长期保存;图像信息应标明获取信息的位置和时间是为了保证原始记录的可追溯性。
3.2.10 现场取得的试样应及时标识并妥善保存。
条文说明
3.2.10现场取得的试样应与结构实体上取样位置形成对应关系,才能根据试样的检测分析结果评价结构实体对应区域的性能。混淆现场取得的试样可能造成错误的判断;丢失现场取得的试样甚至引起异议导致全部检测无效。
3.2.11 当发现检测数据数量不足或检测数据出现异常情况时,应进行补充检测或复检,补充检测或复检应有必要的说明。
条文说明
3.2.11为了避免人为随意舍弃数据,同时考虑到复检或补充检测要重新进入现场,容易造成误解,因此进行复测或补充检测时应有必要的说明。
3.2.12 混凝土结构现场检测工作结束后,应及时提出针对由于检测造成结构或构件局部损伤的修补建议。
条文说明
3.2.12混凝土结构现场检测工作不应对受检结构或构件造成安全隐患,因此混凝土结构现场检测工作结束后,应及时提出针对因检测造成的结构或构件局部损伤的修补建议。
3.3 检测项目和检测方法
3.3 检测项目和检测方法
3.3.1 混凝土结构现场检测应依据委托方提出的检测目的合理确定检测项目。
条文说明
3.3.1检测机构不应进行与委托方检测目的无关的检测或过度检测。
3.3.2 混凝土结构现场检测可在下列项目中选取必要的项目进行检测:
1 混凝土力学性能检测;
2 混凝土长期性能和耐久性能检测;
3 混凝土有害物质含量及其效应检测;
4 混凝土构件尺寸偏差与变形检测;
5 混凝土构件缺陷检测;
6 混凝土中钢筋的检测;
7 混凝土构件损伤的识别与检测;
8 结构或构件剩余使用年限检测;
9 荷载检验;
10 其他特种参数的专项检测。
条文说明
3.3.2本条提出了混凝土结构现场检测的检测项目,这些检测项目是根据相关设计规范、验收规范和鉴定标准确定的。
3.3.3 混凝土结构现场检测,应根据检测类别、检测目的、检测项目、结构实际状况和现场具体条件选择适用的检测方法。
条文说明
3.3.3当同一个检测参数存在多种检测方法时,应尽量选择直观、明了、无损、经济的检测方法。
3.3.4 工程质量检测时,应选用直接法或间接法与直接法相结合的综合检测方法。
条文说明
3.3.4本条强调优先使用直接法,直接法的系统不确定性(偏差)小,概念明确,争议相对较小。当不具备采用直接法对较多构件进行检测的条件时,允许使用间接法与直接法相结合的综合检测方法。
3.3.5 当将试验室对标准试件的试验技术用于现场取样检测时,应符合下列规定:
1 取样试件的尺寸应符合相应试验方法标准对试件的要求;
2 取样试件的数量不应少于标准试验方法要求的试件数量;
3 取样试件检验步骤应与试验方法标准的规定一致。
条文说明
3.3.5把成熟的试验方法用于现场的取样检测是行业内的共识,条件是取样试件与标准试件基本一致。
3.3.6 当采用检测单位自行开发或引进的检测方法时,应符合下列规定:
1 该方法应通过技术鉴定;
2 该方法应已与成熟的方法进行比对试验;
3 检测单位应有相应的检测细则,并应提供测试误差或测试结果的不确定度;
4 在检测方案中应予以说明并经委托方同意。
条文说明
3.3.6为了促进检测技术的发展,鼓励检测单位开发或引进检测仪器及检测方法。本条对采用检测单位自行开发或引进的检测仪器及检测方法时应遵守的规定提出要求。
3.4 检测方式与抽样方法
3.4 检测方式与抽样方法
3.4.1 混凝土结构现场检测可采取全数检测或抽样检测两种检测方式。抽样检测时,宜随机抽取样本。当不具备随机抽样条件时,可按约定方法抽取样本。
条文说明
3.4.1现场检测一般有全数检测和抽样检测两种方式。
3.4.2 遇到下列情况时宜采用全数检测方式:
1 外观缺陷或表面损伤的检查;
2 受检范围较小或构件数量较少;
3 检验指标或参数变异性大或构件状况差异较大;
4 灾害发生后对结构受损情况的外观检查;
5 需减少结构的处理费用或处理范围;
6 委托方要求进行全数检测。
条文说明
3.4.2本条提出了采用全数检测方式的适用情况。所谓全数检测并不意味对整个工程的全部构件(区域)进行检测,全数对应于检验批内的全部构件(区域),当检验批缩小至单个构件时,全数对应于该构件可布置的测区。 对按计数抽样方法判定为不合格的检验批进行全数检测,不仅可以更准确地确定该检验批的结构性能状况,而且可以缩小处理范围、减少相应的结构处理费用。
3.4.3 批量检测可根据检测项目的实际情况采取计数抽样方法、计量抽样方法或分层计量抽样方法进行检测;当产品质量标准或施工质量验收规范的规定适用于现场检测时,也可按相应的规定进行抽样。
条文说明
3.4.3抽样检验的目的是通过样本质量特征来推定总体质量状况,抽样方法分成计数抽样方法、计量抽样方法两种情况。计数抽样方法有明确的抽检量和验收概率的计算方法,对检测量的总体分布类型无特殊要求,但检测结果不能充分反映检测量的质量状况信息。计量抽样方法要求检测量的总体分布服从正态分布,抽检量和验收概率依赖于检验批总体的变异性,但检测结果能更多地反映检测量的质量状况信息。混凝土结构现场检测中会涉及一些个体如何划分的问题,例如,混凝土强度检测的个体为测区时,检验批的总量就是一个不确定量或者称为无限大量,给抽样检测带来困难。根据目前检测单位的习惯,本标准采取分层抽样方法,先随机抽取构件,在每个受检构件上均匀布置测区,这种方法也是抽样规则允许的。 有些产品质量标准对抽样有专门的规定,如钢筋、预制构件等应按规定的抽样方法进行抽样。
3.4.4 计数抽样时检验批最小样本容量宜按表3.4.4的规定确定,分层计量抽样时检验批中受检构件的最少数量可按表3.4.4的规定确定。
表3.4.4 检验批最小样本容量

注:1 检测类别A适用于施工质量的检测,检测类别B适用于结构质量或性能的检测,检测类别C适用于结构质量或性能的严格检测或复检;
2 无特别说明时,样本单位为构件。
条文说明
3.4.4根据国家现行标准《验收抽样检验导则》GB/T13393和实际工作经验,总体分布服从正态分布时,计量抽样检查方案比计数抽样检查方案所需的样本小。考虑到混凝土结构现场检测时采用计量抽样检查方案的检测项目都是关键项目(如混凝土强度),将计量抽样检查方案和计数抽样检查方案所需最小样本统一进行规定。
3.4.5 计数抽样检验批的符合性判定应符合下列规定:
1 检测的对象为主控项目时按表3.4.5-1的规定确定;
2 检测的对象为一般项目时按表3.4.5-2的规定确定。
表3.4.5-1 主控项目的判定

表3.4.5-2 一般项目的判定

条文说明
3.4.5依据国家现行标准《计数抽样检验程序第1部分:按接收质量限(AQL)检索的逐批检验抽样计划》GB/T2828.1给出了混凝土结构检测的计数抽样的样本容量和正常一次抽样的判定方法。一般项目的允许不合格率为10%,主控项目的允许不合格率为5%。主控项目和一般项目应按《混凝土结构工程施工质量验收规范》GB50204确定。当其他检测项目按计数方法进行评定时,可按上述方法实施。
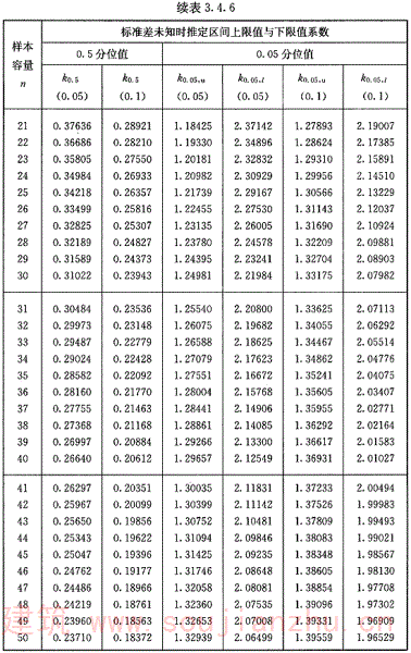
3.4.6 对符合正态分布的性能参数可对该参数总体特征值或总体均值进行推定,推定时应提供被推定值的推定区间,标准差未知时计量抽样和分层计量抽样的推定区间限值系数可按表3.4.6的规定确定。
表3.4.6 标准差未知时计量抽样和分层计量抽样的推定区间限值系数



条文说明
3.4.6国家现行标准《建筑结构可靠度设计统一标准》GB50068对材料性能和几何参数提出如下要求:材料强度的标准值可按其概率分布的0.05分位值确定。材料弹性模量、泊松比等物理性能的标准值可按其概率分布的0.5分位值确定。结构构件的几何参数的标准值可采用设计规定的公称值,或根据几何参数概率分布的某个分位值确定。 当总体均值和标准差未知时,根据样本数据确定分位数时,需要用到非中心参数为δ的t分布。 国家现行标准《正态分布分位数与变异系数的置信限》GB/T10094提供了根据样本容量及给定置信水平,确定分位数xp置信区间的方法,该标准提供的最大样本容量为120个。考虑采用回弹法等无损检测方法现场检测混凝土强度时,样本容量往往大于120个,将最大样本容量增加到500个。 本条依据国家现行标准《正态分布完全样本可靠度置信下限》GB/T4885并补充了部分数据,给出了样本容量与推定区间限值系数的对应关系表。
3.4.7 推定区间的置信度宜为0.90,并使错判概率和漏判概率均为0.05。特殊情况下,推定区间的置信度可 为0.85,使漏判概率为0.10,错判概率仍为0.05。推定区间可按下列公式计算:
1 检验批标准差未知时,总体均值的推定区间应按下列公式计算:
μ u =m+k 0.5 s (3.4.7-1)
μ l =m-k 0.5 s (3.4.7-2)
式中:μ u ——均值推定区间的上限值;
μ l ——均值推定区间的下限值;
m——样本均值;
s——样本标准差。
2 检验批标准差为未知时,计量抽样检验批具有95%保证率特征值的推定区间上限值和下限值可按下列公式计算:
x 0.05,u =m-k 0.05,u s (3.4.7-3)
x 0.05,l =m-k 0.05,l s (3.4.7-4)
式中:x 0.05,u ——特征值推定区间的上限值;
x 0.05,l ——特征值推定区间的下限值。
条文说明
3.4.7根据抽样检测的理论,随机抽样不能得到被推定参数的准确数值,只能得到被推定参数的估计值,因此推定结果应该是一个区间。 由于只定义了合格质量水平,未定义极限质量水平,本条中的错判概率和漏判概率不能完全等同于生产方风险和用户方风险。
3.4.8 对计量抽样检测结果推定区间上限值与下限值之差值宜进行控制。
条文说明
3.4.8本条对计量抽样检验批检测结果的推定区间进行了限制,在置信度相同的前提下,推定区间越小,推定结果的不确定性越小。样本的标准差s和样本容量n决定了推定区间的大小,因此减小样本的标准差s或增加样本的容量n是减小检测结果不确定性的措施。对于无损检测方法来说,增加样本容量相对容易实现,对于局部破损的取样检测方法和原位检测方法来说,增加样本容量相对难于实现。对于后者来说,减小测试误差更为重要。
3.5 检测报告
3.5 检测报告
3.5.1 检测报告应结论明确、用词规范、文字简练,对于容易混淆的术语和概念应以文字解释或图例、图像说明。
条文说明
3.5.1检测报告是工程质量评定和结构性能评估的依据。 当报告中出现容易混淆的术语和概念时,应以文字解释或图例、图像说明。
3.5.2 检测报告应包括下列内容:
1 委托方名称;
2 建筑工程概况,包括工程名称、地址、结构类型、规模、施工日期及现状等;
3 设计单位、施工单位及监理单位名称;
4 检测原因、检测目的及以往相关检测情况概述;
5 检测项目、检测方法及依据的标准;
6 检验方式、抽样方法、检测数量与检测的位置;
7 检测项目的主要分类检测数据和汇总结果、检测结果、检测结论;
8 检测日期,报告完成日期;
9 主检、审核和批准人员的签名;
10 检测机构的有效印章。
条文说明
3.5.2本条提出检测报告应包括的内容,保证信息的完整性。
3.5.3 检测机构应就委托方对报告提出的异议作出解释或说明。
条文说明
3.5.3检测机构对检测数据和检测结论的真实有效性负责,对检测机构提出的检测结论委托方未必完全接受。当委托方对报告提出的异议时,应进行内部审查。当审查表明检测结论正确时应予以解释或说明,当审查表明检测结论错误时应予以纠正。
4 混凝土力学性能检测
4.1 一般规定
4 混凝土力学性能检测
4.1 一般规定
4.1.1 混凝土力学性能检测可分为混凝土抗压强度、劈裂抗拉强度、抗折强度和静力受压弹性模量等检测项目。
条文说明
4.1.1混凝土结构设计是以混凝土抗压强度(混凝土强度等级)为依据,其他的力学性能指标如劈裂抗拉强度、抗折强度、静力受压弹性模量等是根据混凝土抗压强度按照一定的换算关系得到的,就具体工程而言,有时需要这些参数的实测值。
4.1.2 混凝土力学性能检测的测区或取样位置应布置在无缺陷、无损伤且具有代表性的部位;当发现构件存在缺陷、损伤或性能劣化现象时,应在检测报告中予以描述。
条文说明
4.1.2混凝土强度非破损检测方法的测强曲线都是基于表面无损伤和无缺陷的试件建立的,当用于表面有缺陷和损伤部位测试时,测试结果会有系统不确定性或偏差。 构件存在缺陷、损伤或性能劣化现象,应按照缺陷和损伤项目进行检测。
4.1.3 当委托方有特定要求时,可对存在缺陷、损伤或性能劣化现象的部位进行混凝土力学性能的专项检测。
条文说明
4.1.3近年来,确定缺陷或损伤等部位混凝土力学性能要求逐渐增多,特别是确定性能劣化与损伤部位混凝土的力学性能是结构性能评定作出处理决策的重要依据,增加性能劣化部位混凝土力学性能的测试很有必要。
4.2 混凝土抗压强度检测
4.2 混凝土抗压强度检测
4.2.1 混凝土抗压强度的现场检测应提供结构混凝土在检测龄期相当于边长为150mm立方体试件抗压强度特征值的推定值。
条文说明
4.2.1混凝土结构设计参数是依据混凝土强度等级取值的,结构中混凝土不具备标准养护的条件,检测时的龄期又不能正好是28d,现场抽样检测应提供检测龄期结构混凝土相当于150mm立方体试件抗压强度具有95%的特征值的推定值。
4.2.2 混凝土抗压强度可采用回弹法、超声-回弹综合法、后装拔出法、后锚固法等间接法进行现场检测。当具备钻芯法检测条件时,宜采用钻芯法对间接法检测结果进行修正或验证。
条文说明
4.2.2钻芯法检测结果直观、明确、可信度高、争议小,但对结构有局部损伤。
4.2.3 混凝土抗压强度现场检测的操作和单个构件混凝土抗压强度特征值的推定应按本标准附录A执行。
条文说明
4.2.3回弹法、超声-回弹综合法、后装拔出法、后锚固法和钻芯法检测混凝土抗压强度已有成熟的应用经验,本标准附录A对回弹法、超声-回弹综合法、后装拔出法和钻芯法检测混凝土抗压强度提出了一些基本要求。
4.2.4 当采取钻芯法对间接法检测结果进行修正时,芯样样本宜按本标准附录B的规定进行异常值判别和处理。
条文说明
4.2.4本条提出的钻芯法修正是减小系统不确定性的有效措施。 间接法检测结果的不确定性(偏差)有三个因素,检测操作的不确定性,检测方法的不确定性(系统偏差)和样本不完备性造成的不确定性。 修正指的是根据芯样抗压强度和对应部位无损测试数据的关系对所有测试数据进行必要的调整,验证指的是根据芯样抗压强度对无损测试数据的准确性进行评估。 鉴于芯样样本数据直接影响检测结果的准确性,应对芯样样本中的异常数据进行识别和处理。本标准附录B规定了异常值判别和处理方法。
4.2.5 采用钻芯法对间接法检测结果进行修正应按本标准附录C执行。
条文说明
4.2.5混凝土抗压强度检测时,钻芯法检测和间接法检测是两个独立的随机事件,采用两个独立随机事件的个体进行比较,缺乏必要的理论依据且离散性大。 采用钻芯法对无损检测结果进行修正本质上属于均值修正,即保证无损法检测结果和钻芯法检测结果在均值意义上一致,因此,应优先采用总体修正法进行修正。 为了与已有的相关检测技术标准协调,本标准附录C规定了几种修正方法。
4.2.6 批量检测混凝土抗压强度时,宜采取分层计量抽样方法。检验批受检构件数量可按下列方法确定:
1 按相应的检测技术规程的规定确定;
2 按委托方的要求确定;
3 按本标准表3.4.4的规定确定。
条文说明
4.2.6批量检测混凝土抗压强度时,首先需要划分检验批和确定检验批容量。考虑混凝土结构的实际情况并适应检测中的习惯做法,采取分层抽样方法,先抽取构件,再布置测区。 在检测方法有效的前提下,检测结果的准确性仅与标准差和样本容量有关。尽管如此,为了避免过大划分检验批,导致抽样比例过小的情况,增加了最小样本容量要求。 现场检测大多数都是委托检测,委托方提出更高要求时,可根据委托方要求的数量抽取构件。
4.2.7 检验批测区总数或芯样总数应满足推定区间限值要求,确定检验批测区数量时宜考虑受检混凝土抗压强度的变异性。当不能确定混凝土抗压强度变异性时,可取混凝土抗压强度变异系数为0.15来确定检验批测区数量。
条文说明
4.2.7计量抽样检测结果的准确性可以通过控制推定区间的大小来保证,推定区间的大小仅与样本标准差和样本容量相关,为了保证检测结果的准确性,应根据样本标准差的变化调整样本容量。 根据经验,超声-回弹综合法和回弹法检测结果的变异系数在0.05~0.08之间,拔出法和钻芯法变异系数明显增大,在0.08~0.15之间。变异系数的估计需要靠检测机构的工程经验,一般情况下取0.15时,可以满足本标准第4.2.10条对推定区间的限制。
4.2.8 当不需要提供每个受检构件混凝土强度推定值且总测区数满足推定区间限值要求时,每个构件布置的测区数量可适当减少,但不宜少于3个。
条文说明
4.2.8当无需推定检验批中单个构件混凝土抗压强度特征值时应把测区尽量布置在较多的构件上,使检测结果更具有代表性,此时每个构件上的测区数量可不受相关检测技术标准的限制。当需要推定检验批中单个构件混凝土抗压强度时,每个构件上的测区数量应满足附录A和相关检测技术标准的要求。
4.2.9 混凝土抗压强度的批量检测应符合下列规定:
1 将混凝土抗压强度和质量状况相近的同类构件划分为一个检验批。
2 按本标准第4.2.6条确定受检构件数量。
3 在检验批中随机选取受检构件,按预先确定的测区数或芯样总数在每个构件上均匀布置测区或取样点,按选定的方法进行测试,得到每个测区或每个芯样的混凝土换算强度。
条文说明
4.2.9正确划分检验批是保证根据样本数据进行总体推定的基础。 将混凝土设计强度等级相同,原材料、配合比、成型工艺、养护条件基本一致且龄期和质量状况相近的同类构件划分为一个检验批。 由于混凝土强度增长具有早期快、后期慢的特点,当检验批中混凝土龄期相差不超过检测时最短龄期的10%时,可视为龄期相近。 不易判别混凝土质量状况时(如不同损伤状况),应尽量缩小检验批范围。
4.2.10 批量检测混凝土抗压强度时,样本换算强度平均值和样本换算强度标准差应按下列公式计算:

4.2.11 批量检测混凝土抗压强度时,检验批混凝土抗压强度推定区间上限值、下限值、上限与下限差值及其均值应按下列公式计算:

式中:f cu,u ——推定区间上限值,精确至0.1MPa;
f cu,l ——推定区间下限值,精确至0.1MPa;
Δf cu,e ——推定区间上限与下限的差值,精确至0.1MPa;
m Δf ——推定区间上限与下限的均值,精确至0.1MPa。
4.2.12 检验批混凝土抗压强度的推定应符合下列规定:
1 当推定区间上限与下限差值不大于5.0MPa和0.1m Δf 两者之间的较大值时,检验批混凝土抗压强度推定值可根据实际情况在推定区间内取值。
2 当推定区间上限与下限差值大于5.0MPa和0.1m Δf 两者之间的较大值时,宜采取下列措施之一进行处理,直至满足本条第1款的规定:
增加样本容量,进行补充检测;
细分检验批,进行补充检测或重新检测。
3 当推定区间上限与下限差值大于5.0MPa和0.1m Δf 两者之间的较大值且不具备本条第2款条件时,不宜进行批量推定。
4 工程质量检测时,当检验批混凝土抗压强度推定值不小于设计要求的混凝土抗压强度等级时,可判定检验批混凝土抗压强度符合设计要求。
5 结构性能检测时,可采用检验批混凝土抗压强度推定值作为结构复核的依据。
条文说明
4.2.12本条提出混凝土抗压强度推定原则。 对于符合设计要求的检验批中的个别强度明显偏低的构件,宜建议进行专项处理。
4.3 混凝土劈裂抗拉强度检测
4.3 混凝土劈裂抗拉强度检测
4.3.1 混凝土劈裂抗拉强度应采用取样法进行检测,检测结果可作为结构性能评定的依据。
条文说明
4.3.1现行国家标准《混凝土结构设计规范》GB50010提供的混凝土抗拉强度设计值是从混凝土立方体抗压强度换算得到的,而不同品种混凝土的抗拉强度与抗压强度的换算关系有较大的差异。 采用轴心受拉(正拉)检测混凝土的抗拉强度,受偏心和应力分布的影响较大,采用劈裂试验可以更加稳定的检测结果。
4.3.2 混凝土劈裂抗拉强度的试件和测试应符合下列规定:
1 混凝土芯样直径为100mm或150mm且宜大于骨料最大粒径3倍,芯样长度宜大于直径的2倍;
2 将芯样切割、磨平,制成高径比为2.0±0.1的芯样试件;
3 在芯样试件上标出两条承压线,两条承压线彼此相对并应位于同一轴向平面,两线的末端在芯样试件的端面相连;
4 按现行国家标准《普通混凝土力学性能试验方法标准》GB/T 50081的相关规定进行劈裂试验,确定试件的破坏荷载;
5 单个试件的劈裂抗拉强度应按下式计算:

式中:f t,cor,i ——试件劈裂抗拉强度,精确至0.1MPa;
F i ——试件破坏荷载(N);
A i ——试件劈裂面积(mm 2 );
l——试件高度(mm);
d——劈裂面试件直径(mm)。
条文说明
4.3.2取样检测混凝土抗拉强度的试验方法与现行国家标准《普通混凝土力学性能试验方法标准》GB/T50081规定的圆柱体试件劈裂抗拉强度试验方法基本相同,主要差异在于龄期与养护方法。当芯样长度l无法满足2d的要求时,可采用长度为1d的试件。此时,应在检测报告中特别注明。
4.3.3 单个构件混凝土劈裂抗拉强度应按下列规定进行检测和推定:
1 从构件上钻取芯样,芯样位置应均匀分布;
2 应将取得的芯样加工成3个试件;
3 应按本标准第4.3.2条的规定检测每个芯样试件的劈裂抗拉强度;
4 该构件混凝土劈裂抗拉强度的推定值可按芯样试件劈裂抗拉强度的最小值确定。
条文说明
4.3.3虽然用最小值作为特征值的推定值错判概率一般大于5%,且随着取样数量的增加,最小值出现的概率增大。但考虑检测结果的可靠性和实际可操作性,取测试数据的最小值作为推定值是检测评定中经常使用的方法。
4.3.4 批量检测混凝土劈裂抗拉强度应符合下列规定:
1 应将混凝土强度等级和质量状况相近的同类构件划分为一个检验批;
2 受检构件数量应按本标准表3.4.4确定;
3 每个受检构件上的取样数量不宜超过2个,总取样数量不应少于10个;
4 应按本标准第4.3.2条的规定检测每个芯样试件的劈裂抗拉强度。
条文说明
4.3.4本条规定了批量检测混凝土劈裂抗拉强度时的最小抽样数量。
4.3.5 批量检测混凝土劈裂抗拉强度时,样本劈裂抗拉强度平均值和样本劈裂抗拉强度标准差应按下列公式计算:

4.3.6 批量检测混凝土劈裂抗拉强度时,检验批混凝土劈裂抗拉强度推定区间上限与下限差值及其均值应按下列公式计算:

式中:Δf t,e ——推定区间上限与下限的差值,精确至0.1MPa;
m Δf ——推定区间上限与下限的均值,精确至0.1MPa。
4.3.7 检验批混凝土劈裂抗拉强度可按下列规定进行推定:
1 当推定区间上限与下限差值不大于0.1m Δf 时,检验批混凝土劈裂抗拉强度推定值应按下式进行计算:

式中:f t,e ——检验批混凝土劈裂抗拉强度推定值。
2 当推定区间上限与下限差值大于0.1m Δf 时,该检验批混凝土劈裂抗拉强度推定值可按下式计算:
f t,e =f t,min (4.3.7-2)
式中:f t,min ——试件劈裂抗拉强度最小值。
条文说明
4.3.7本条规定了批量检测混凝土劈裂抗拉强度时推定原则。 1当推定区间满足要求时,采用推定区间上限值作为强度推定值; 2当推定区间不满足要求且出现较低值时,采用最小值作为强度推定值。
4.4 混凝土抗折强度检测
4.4 混凝土抗折强度检测
4.4.1 混凝土抗折强度宜采用取样法检测。当无法取得抗折强度试件时,可按本标准第4.3节检测混凝土劈裂抗拉强度,再按进行验证的劈裂抗拉强度与抗折强度关系曲线得到抗折强度换算值。
条文说明
4.4.1公路工程中需要测定混凝土抗折强度。 劈裂抗拉强度与抗折强度关系曲线可按相关行业标准确定。 劈裂抗拉强度与抗折强度关系曲线可采用切割试件进行验证,当无切割试件时,可采用相同配合比混凝土分别成型6块标准抗折试件和6块圆柱体劈裂试件,同条件养护28d,当抗折强度均值与劈裂试块的换算抗折强度均值的比值在0.9~1.1之间时,可直接采用换算抗折强度。当抗折强度均值与劈裂试块的换算抗折强度均值的比值不在0.9~1.1之间时,应按修正量法进行修正。
4.4.2 混凝土抗折强度的取样和试件的测试应符合下列规定:
1 从混凝土实体中切割混凝土试样,选择无缺陷的试样加工成截面为100mm×100mm、长度为400mm的试件,试件中不应含有纵向钢筋。
2 应按现行国家标准《普通混凝土力学性能试验方法标准》GB/T 50081的有关规定进行抗折试验,检测试件抗折破坏荷载。
3 当试件的下边缘断裂位置处于两个集中荷载作用线之间时,试件的抗折强度应按下式计算:

式中:F i ——试件破坏荷载(N);
f f,i ——试件抗折强度,精确至0.1MPa;
l——支座间跨度(mm);
b——试件截面宽度(mm);
h——试件截面高度(mm)。
条文说明
4.4.2本条对混凝土抗折强度的试件及其强度测试作出规定,有效抗折数据是指下边缘断裂位置处于两个集中荷载作用线之间试件的抗折强度测试值。
4.4.3 单个构件混凝土抗折强度应按下列规定进行检测和推定:
1 应在构件上切割试样,加工成3个试件;
2 应按本标准第4.4.2条的规定检测每个试件的抗折强度;
3 该构件混凝土抗折强度的推定值可按试件抗折强度最小值确定。
4.4.4 检验批混凝土抗折强度可按本标准第4.3.4条和第4.3.5条的有关规定进行检测和推定。
条文说明
4.4.4一般情况下不易采用取样法批量检测混凝土抗折强度,可通过劈裂抗拉强度与抗折强度关系曲线得到抗折强度的换算值。
4.5 混凝土静力受压弹性模量检测
4.5 混凝土静力受压弹性模量检测
4.5.1 混凝土静力受压弹性模量应采用取样法检测。
条文说明
4.5.1对损伤结构进行性能评估时,需要了解结构混凝土静力受压弹性模量实际情况。静力受压弹性模量宜根据损伤检测结果针对不同的混凝土类别采用取样法进行检测。
4.5.2 检测混凝土静力受压弹性模量应符合下列规定:
1 应将混凝土强度等级相同、质量状况相近的构件划为一个检验批;
2 在结构实体中随机钻取芯样,芯样直径为100mm且宜大于骨料最大粒径3倍,芯样的高度与直径之比大于2;
3 应对芯样进行处理,形成高度满足2d±0.05d,端面的平面度公差不应大于0.1mm且端面与侧面垂直度为90°±1°的试件;
4 当混凝土轴心抗压强度已知时,应采用6个试件,用于测试混凝土静力受压弹性模量;当混凝土轴心抗压强度未知时,尚应在对应部位增加6个试件,用于确定混凝土轴心抗压强度;
5 应按现行国家标准《普通混凝土力学性能试验方法标准》GB/T 50081的相关规定检测每个试件的静力受压弹性模量和轴心抗压强度。
条文说明
4.5.2现行国家标准《普通混凝土力学性能试验方法标准》GB/T50081中规定的试件数量为6个,其中3个做抗压强度检验,3个做静力受压弹性模量试验,有数据舍弃的规定。 与标准试块相比,芯样混凝土强度和弹性模量的变异性大,因此,相应增加了试件数量。
4.5.3 当混凝土轴心抗压强度未知时,控制荷载的轴心抗压强度值应按下式计算:

式中:f p ——控制荷载的轴心抗压强度值,精确至0.1MPa;
f c,i ——试件轴心抗压强度值,精确至0.1MPa。
条文说明
4.5.3本条规定了控制荷载的轴心抗压强度值的确定方法。 如果已有混凝土立方体抗压强度检测值,也可通过换算关系确定轴心抗压强度值。
4.5.4 结构混凝土在检测龄期静力受压弹性模量推定值的确定应符合下列规定:
1 当试件的轴心抗压强度值与用以确定检验控制荷载的轴心抗压强度值相差超过后者的20%时,剔除该试件的静力受压弹性模量;
2 计算余下全部试件静力受压弹性模量的平均值;
3 以此平均值作为结构混凝土在检测龄期静力受压弹性模量的推定值。
条文说明
4.5.4现行国家标准《工程结构可靠性设计统一标准》GB50153规定:材料弹性模量、泊松比等物理性能的标准值可按其概率分布的0.5分位值确定。 按此方法得到静力受压弹性模量值Ecor,m与依据fcu,e计算的弹性模量和依据fcu,k计算的弹性模量之间必然存在差异,但是Ecor,m更接近结构混凝土实际的情况。
4.6 缺陷与性能劣化区混凝土力学性能参数检测
4.6 缺陷与性能劣化区混凝土力学性能参数检测
条文说明
本节提出缺陷与性能劣化区混凝土力学性能参数的测试方法,主要目的是为了定量评价缺陷与性能劣化对混凝土结构性能的影响,为混凝土结构性能鉴定提供数据。
4.6.1 缺陷与性能劣化区混凝土力学性能参数应采用取样法进行测试。
4.6.2 缺陷与劣化区混凝土力学性能参数的检测可提供单一测区的测试值,也可提供若干测区测试值的平均值。
4.6.3 当需要确定缺陷与性能劣化区混凝土力学性能参数下降量时,可采取在正常区域取样比对的方法。
5 混凝土长期性能和耐久性能检测
5.1 一般规定
5 混凝土长期性能和耐久性能检测
5.1 一般规定
5.1.1 结构混凝土抗渗性能、抗冻性能、抗氯离子渗透性能和抗硫酸盐侵蚀性能等长期耐久性能应采用取样法进行检测。
条文说明
5.1.1 现行国家标准《普通混凝土长期性能和耐久性能试验方法标准》GB/T 50082是针对混凝土材料性能的检测,要求使用标准状态下的试件。现场检测是对结构实体中混凝土性能进行检测,本质上属于结构性能检测。现场检测所用试件不具备标准养护条件,有些试件的尺寸与试验方法标准规定的尺寸不完全一致,检测时混凝土龄期一般也不是28d,取样只能测定结构混凝土在检测龄期时的实际性能参数。 由于相关设计规范和质量验收标准尚未对结构混凝土性能的合格指标有相应的规定,按照本章得到的检测结果不宜用于工程质量检测,只用于结构性能评估时参考。
5.1.2 取样检测结构混凝土长期性能和耐久性能时,芯样最小直径应符合表5.1.2的规定:
表5.1.2 芯样最小直径(mm)

条文说明
5.1.2试件尺寸与骨料最大粒径的关系对试验结果影响较大。
5.1.3 取样位置应在受检区域内随机选取,取样点应布置在无缺陷的部位。当受检区域存在明显劣化迹象时,取样深度应考虑劣化层的厚度。
条文说明
5.1.3取样检测结构混凝土长期性能和耐久性能,不宜进行批量检测。现场查勘时,应根据混凝土的质量状况进行归并分类,根据约定抽样原则在不同质量类别的混凝土布置受检区域,检测结果的代表性应预先确认。
5.1.4 当委托方有要求时,可对特定部位的混凝土长期性能和耐久性能进行专项检测。
5.2 取样法检测混凝土抗渗性能
5.2 取样法检测混凝土抗渗性能
5.2.1 取样法检测混凝土抗渗性能的操作与试件处理宜符合下列规定:
1 每个受检区域取样不宜少于1组,每组宜由不少于6个直径为150mm的芯样构成;
2 芯样的钻取方向宜与构件承受水压的方向一致;
3 宜将内部无明显缺陷的芯样加工成符合现行国家标准《普通混凝土长期性能和耐久性能试验方法标准》GB/T 50082有关规定的抗渗试件,每组抗渗试件为6个。
条文说明
5.2.1按现行国家标准《普通混凝土长期性能和耐久性能试验方法标准》GB/T50082的有关规定对抗渗试件侧面进行处理,使得芯样试件的尺寸基本符合该标准的要求,该标准规定的标准试件为截锥体,锥体上面直径175mm,下面直径185mm,高度150mm。
5.2.2 逐级加压法检测混凝土抗渗性能应符合下列规定:
1 应将同组的6个抗渗试件置于抗渗仪上进行封闭;
2 应按现行国家标准《普通混凝土长期性能和耐久性能试验方法标准》GB/T 50082的逐级加压法对同组试件进行抗渗性能的检测;
3 当6个试件中的3个试件表面出现渗水或检测的水压高于规定数值或设计指标,在8h内出现表面渗水的试样少于3个时可停止试验,并应记录此时的水压力H(精确至0.1MPa)。
5.2.3 混凝土在检测龄期实际抗渗等级的推定值可按下列规定确定:
1 当停止试验时,6个试件中有2个试件表面出现渗水,该组混凝土抗渗等级的推定值可按下式计算:
P e =10H (5.2.3-1)
2 当停止试验时,6个试件中有3个试件表面出现渗水,该组混凝土抗渗等级的推定值可按下式计算:
P e =10H-1 (5.2.3-2)
3 当停止试验时,6个试件中少于2个试件表面出现渗水,该组混凝土抗渗等级的推定值可按下式计算:
P e >10H (5.2.3-3)
式中:P e ——结构混凝土在检测龄期实际抗渗等级的推定值;
H——停止试验时的水压力(MPa)。
5.2.4 渗水高度法检测混凝土抗渗性能应符合下列规定:
1 应将同组的6个抗渗试件分别压入试模并进行可靠密封;
2 应按现行国家标准《普通混凝土长期性能和耐久性能试验方法标准》GB/T 50082的渗水高度法对同组试件进行抗渗性能的检测;
3 稳压过程中应随时注意观察试件端面的渗水情况;
4 当某一个试件端面出现渗水时,应停止该试件试验并记录时间,此时该试件的渗水高度应为试件高度;
5 当端面未出现渗水时,24h后应停止试验,取出试件;将试件沿纵断面对中劈裂为两半,用防水笔描出渗水轮廓线;并应在芯样劈裂面中线两侧各60mm的范围内,用钢尺沿渗水轮廓线等间距量测10点渗水高度,读数精确至1mm;
6 单个试件渗水高度和相对渗透系数应按下式计算:

式中:h j ——第i个试件第j个测点处的渗水高度(mm);

——第i个试件平均渗水高度(mm);当某一个试件端面出现渗水时,该试件的平均渗水高度为试件高度。
7 一组试件渗水高度应按下式计算:

条文说明
5.2.2~5.2.4与现行国家标准《普通混凝土长期性能和耐久性能试验方法标准》GB/T50082的有关规定基本一致。
5.2.5 当委托方有要求时,可按上述方法对缺陷、疏松处混凝土的实际抗渗性能进行测试,每组抗渗试件可少于6个,但不应少于3个,并应提供每个试件的检测结果。
5.3 取样慢冻法检测混凝土抗冻性能
5.3 取样慢冻法检测混凝土抗冻性能
5.3.1 取样慢冻法检测混凝土抗冻性能时,取样和试样的处理应符合下列规定:
1 在受检区域随机布置取样点,每个受检区域取样不应少于1组,每组应由不少于6个直径不小于100mm且长度不小于直径的芯样组成;
2 将无明显缺陷的芯样加工成高径比为1.0的抗冻试件,每组应由6个抗冻试件组成;
3 将6个试件同时放在20℃±2℃水中,浸泡4d后取出3个试件开始慢冻试验,余下3个试件用于强度比对,继续在水中养护。
条文说明
5.3.1 本条对取样慢冻法检测结构混凝土抗冻性能时的取样操作与试件处理提出规定。现行国家标准《普通混凝土长期性能和耐久性能试验方法标准》GB/T 50082的规定标准试件为立方体,最小棱长为100mm,现场检测取得立方体试件比较困难,鉴于圆柱体试件的比表面积最大,采用圆柱体试件的受冻情况可能更加严重。
5.3.2 慢冻试验应符合下列规定:
1 应将浸泡好的试样用湿布擦除表面水分,编号并分别称取其质量;
2 应按现行国家标准《普通混凝土长期性能和耐久性能试验方法标准》GB/T 50082慢冻法的有关规定进行冻融循环试验;
3 在每次循环时应注意观察试样的表面损伤情况,当发现损伤时应称量试样的质量;
4 当3个试件的质量损失率的算术平均值为5%±0.2%或冻融循环超过预期的次数时应停止试验,并应记录停止试验时的循环次数;
5 试件平均质量损失率应按下式计算:

式中:Δω ——N次冻融循环后的平均质量损失率,精确至0.1%;
W ni ——N次冻融循环后第i个芯样的质量(g);
W 0i ——冻融循环试验前第i个芯样的质量(g)。
条文说明
5.3.2现行国家标准《普通混凝土长期性能和耐久性能试验方法标准》GB/T50082要求的试件组数较多,主要用于分阶段比对抗压强度,以便判断强度损失率达到25%时冻融循环次数。结构混凝土抗冻性检测不可能取得这样多的芯样,同时芯样混凝土抗压强度自身的离散性大。建议仅取两组,一组冻融,另一组比对,判定停止冻融循环试验主要靠冻融试件的质量损失率。计算质量损失率时应按现行国家标准《普通混凝土长期性能和耐久性能试验方法标准》GB/T50082的有关规定进行数值处理。
5.3.3 抗压强度损失率应按下列规定检测:
1 应将3个冻融试件与3个比对试件晾干,同时进行端面修整,并应使6个试件承压面的平整度、端面平行度及端面垂直度符合现行国家标准《普通混凝土力学性能试验方法标准》GB/T 50081的有关规定;
2 检测试件的抗压强度,应分别计算3个冻融试件与3个比对试件的平均抗压强度;
3 冻融循环试件的抗压强度损失率应按下式计算:

式中:λ f ——N f 次冻融循环后的混凝土抗压强度损失率,精确至0.1%;
f cor,d,m0 ——3个比对试件的平均抗压强度,精确至0.1MPa;
f cor,d,m ——N f 次冻融循环后3个冻融试件的平均抗压强度,精确至0.1MPa。
条文说明
5.3.3本条对取样慢冻法检测结构混凝土抗冻性能时抗压强度损失率的测定进行规定。考虑芯样混凝土抗压强度自身的离散性大,计算中不进行数据的舍弃。
5.3.4 取样慢冻法混凝土抗冻性能可按下列规定进行评价:
1 当λ f 不大于0.25时,可以停止冻融循环时的冻融循环次数N d 作为结构混凝土在检测龄期实际抗冻性能的检测值N d,e ;
2 当λ f 大于0.25时,N d,e 可按下式计算:
N d,e =0.25N d /λ f (5.3.4)
条文说明
5.3.4本条提出取样慢冻法检测结构混凝土抗冻性能测定结果的评价原则。
5.4 取样快冻法检测混凝土的抗冻性能
5.4 取样快冻法检测混凝土的抗冻性能
5.4.1 取样快冻法检测混凝土抗冻性能时,取样和试样的处理应符合下列规定:
1 在受检区域随机布置取样点,每个受检区域应钻取芯样数量不应少于3个,芯样直径不宜小于100mm,芯样高径比不应小于4;
2 将无明显缺陷的芯样加工成高径比为4.0的抗冻试件,每组应由3个抗冻试件组成;
3 成型同样形状尺寸,中心埋有热电偶的测温试件,其所用混凝土的抗冻性能应高于抗冻试件;
4 应将3个抗冻试件浸泡4d后开始进行快冻试验。
条文说明
5.4.1本条对取样快冻法检测结构混凝土抗冻性能时的取样操作与试件处理提出规定。《普通混凝土长期性能和耐久性能试验方法标准》GB/T50082规定标准试件为棱柱体,试件数量3个,试件长度为400mm,主要是为了准确测得基振频率。
5.4.2 快冻试验应符合下列规定:
1 将浸泡好的试件用湿布擦除表面水分,编号并分别称取其质量和检测动弹性模量;
2 按现行国家标准《普通混凝土长期性能和耐久性能试验方法标准》GB/T 50082快冻法的有关规定进行冻融循环试验和中间的动弹性模量和质量损失率的检测;
3 当出现下列3种情况之一时停止试验:
冻融循环次数超过预期次数;
试件相对动弹性模量小于60%;
试件质量损失率达到5%。
5.4.3 试件相对动弹性模量应按下式计算:

式中:P——经N次冻融循环后一组试件的相对动弹性模量(%),精确至0.1;
f ni ——N次冻融循环后第i个芯样试件横向基频(Hz);
f 0i ——冻融循环试验前测得的第i个试件横向基频初始值(Hz)。
5.4.4 试件质量损失率应按下式计算:

式中:Δω ——N次冻融循环后一组试件的平均质量损失率(%),精确至0.1;
W ni ——N次冻融循环后第i个试件质量(g);
W 0i ——冻融循环试验前测得的第i个试件质量(g)。
5.4.5 混凝土在检测龄期实际抗冻性能的检测值可采取下列方法表示:
1 用符号F e 后加停止冻融循环时对应的冻融循环次数表示;
2 用抗冻耐久性系数表示,抗冻耐久性系数推定值可按下式计算:
DF e =P×N d /300 (5.4.5)
式中:DF e ——混凝土抗冻耐久性系数推定值;
N d ——停止试验时冻融循环的次数。
条文说明
5.4.2~5.4.5本条提出的试验方法与现行国家标准《普通混凝土长期性能和耐久性能试验方法标准》GB/T50082的有关规定基本一致。
5.5 氯离子渗透性能检测
5.5 氯离子渗透性能检测
条文说明
本节提出的试验方法与《普通混凝土长期性能和耐久性能试验方法标准》GB/T50082的有关规定基本一致。
5.5.1 结构混凝土抗氯离子渗透性能可采用快速氯离子迁移系数法和电通量法检测。
5.5.2 采用快速检测氯离子迁移系数法时,取样与测试应符合下列规定:
1 在受检区域随机布置取样点,每个受检区域取样不应少于1组;每组应由不少于3个直径100mm且长度不小于120mm的芯样组成;
2 将无明显缺陷的芯样从中间切成两半,加工成2个高度为50mm±2mm的试件,分别标记为内部试件和外部试件;将3个外部试件作为一组,对应的3个外部试件作为另一组;
3 按现行国家标准《普通混凝土长期性能和耐久性能试验方法标准》GB/T 50082的有关规定分别对两组试件进行试验,试验面为中间切割面;
4 按规定进行数据取舍后,分别确定两组氯离子迁移系数测定值;
5 当两组氯离子迁移系数测定值相差不超过15%时,应以两组平均值作为结构混凝土在检测龄期氯离子迁移系数推定值;
6 当两组氯离子迁移系数测定值相差超过15%时,应以分别给出两组氯离子迁移系数测定值,作为结构混凝土内部和外部在检测龄期氯离子迁移系数推定值。
5.5.3 采用电通量法时,取样与测试应符合下列规定:
1 在受检区域随机布置取样点,每个受检区域取样不应少于1组;每组应由不少于3个直径100mm且长度不小于120mm的芯样组成;
2 应将无明显缺陷且无钢筋、无钢纤维的芯样从中间切成两半,加工成2个高度为50mm±2mm的试件,分别标记为内部试件和外部试件;将3个外部试件作为一组,对应的3个外部试件作为另一组;
3 应按现行国家标准《普通混凝土长期性能和耐久性能试验方法标准》GB/T 50082的有关规定分别对两组试件进行试验,试验面应为中间切割面;
4 按规定进行数据取舍后,应分别确定两组电通量测定值;
5 当两组电通量测定值相差不超过15%时,应以两组平均值作为结构混凝土在检测龄期电通量推定值;
6 当两组氯离子迁移系数测定值相差超过15%时,应以分别给出两组电通量测定值,作为结构混凝土内部和外部在检测龄期电通量推定值。
5.6 抗硫酸盐侵蚀性能检测
5.6 抗硫酸盐侵蚀性能检测
5.6.1 取样检测抗硫酸盐侵蚀性能时,取样与测试应符合下列规定:
1 在受检区域随机布置取样点,每个受检区域取样不应少于1组;每组应由不少于6个直径不小于100mm且长度不小于直径的芯样组成;
2 应将无明显缺陷的芯样加工成6个高度为100mm±2mm的试件,取3个做抗硫酸盐侵蚀试验,另外3个作为抗压强度对比试件;
3 应按现行国家标准《普通混凝土长期性能和耐久性能试验方法标准》GB/T 50082有关规定进行硫酸盐溶液干湿交替的试验;
4 当试件出现明显损伤或干湿交替次数超过预期的次数时,应停止试验,进行抗压强度检测,并应计算混凝土强度耐腐蚀系数。
条文说明
5.6.1本条对取样检测结构混凝土抗硫酸盐侵蚀性能的取样操作与试件处理提出规定。
5.6.2 抗压强度及强度耐蚀系数应按下列规定检测:
1 将3个硫酸盐侵蚀试件与3个比对试件晾干,同时进行端面修整,使6个试件承压面的平整度、端面平行度及端面垂直度应符合国家现行标准《普通混凝土力学性能试验方法标准》GB/T 50081的有关规定;
2 测试试件的抗压强度,应分别计算3个硫酸盐侵蚀试件和3个比对试件的抗压强度平均值;
3 强度耐蚀系数应按下式计算:

式中:K f ——强度耐蚀系数,精确至0.1%;
f cor,s,m0 ——3个对比试件的抗压强度平均值,精确至0.1Mpa;
f cor,s,m ——3个硫酸盐侵蚀试件抗压强度平均值,精确至0.1MPa。
条文说明
5.6.2本条提出的试验方法与《普通混凝土长期性能和耐久性能试验方法标准》GB/T50082的有关规定基本一致。
5.6.3 混凝土抗硫酸盐等级可按下列规定进行推定:
1 当强度耐蚀系数在75%±5%范围内时,混凝土抗硫酸盐等级可用停止试验时的干湿循环次数表示;
2 当强度耐蚀系数超过75%±5%范围时,混凝土抗硫酸盐等级可按下式计算:
N SR =N S ×K f /0.75 (5.6.3)
式中:N SR ——推定的混凝土抗硫酸盐等级;
N S ——停止试验时的干湿循环次数。
条文说明
5.6.3本条提出取样法检测结构混凝土抗硫酸盐侵蚀性能测定结果的评价原则。结构混凝土抗硫酸盐侵蚀性能检测值应根据混凝土强度耐腐蚀系数进行修正。
6 有害物质含量及其作用效应检验
6.1 一般规定
6 有害物质含量及其作用效应检验
6.1 一般规定
6.1.1 结构混凝土中的有害物质含量宜通过化学分析方法测定,有害物质或其反应产物的分布情况也可通过岩相分析方法测定。
条文说明
6.1.1对混凝土造成不利影响的有害物质很多,如硫酸盐、氯盐、游离氧化钙、低品质骨料等,其中有些可采用化学分析方法测定其含量,有些也可通过岩相分析方法确认其是否存在。鉴于有害物质的品种很多,进行化学分析前,应根据既有信息判断可能存在的有害物质并选择合理的分析方法。本章仅对常见的氯离子和碱含量提出分析方法,其他有害物质可按现行国家标准《水泥化学分析方法》GB/T176等进行化学分析。
6.1.2 测定有害物质含量时,应将有害物质区分为混入和渗入两种类型。
条文说明
6.1.2混凝土的有害物质有“混入”和“渗入”两种进入方式。“混入”大多与原材料品质和施工管理有关,“渗入”与使用环境有关。一般而言,“混入”的有害物质在同一批混凝土中的分布是均匀的,而“渗入”的有害物质在同一批混凝土中的分布是不均匀的和有梯度的。
6.1.3 受检区域应在现场查勘的基础上确定或由委托方指定。
6.1.4 对受检区域混凝土中的有害物质含量进行总体评价时,取样位置应在该区域混凝土中随机确定;每个区域混凝土钻取芯样不应少于3个,芯样直径不应小于最大骨料粒径的两倍,且不应小于100mm,芯样长度宜贯穿整个构件,或不应小于100mm。
条文说明
6.1.4为了保证检测结果的客观公正性,对某一区域混凝土的有害物质含量进行评价时,取样位置应在该区域混凝土中随机确定,取样应有一定的数量。
6.1.5 当需要确定受检区域不同深度混凝土中有害物质含量时,可将钻取的芯样从外到里分层切割,同一受检区域中的所有芯样分层切割规则应保持一致。
条文说明
6.1.5针对“渗入”的有害物质,分层检测有害物质含量,可以得到有害物质的分布梯度和渗入规律,便于进行混凝土耐久性评估。
6.1.6 对已确认存在的有害物质宜通过取样试验检验其对混凝土的作用效应,当确认存在的有害物质含量超过相关标准要求时,应通过取样试验确定其对混凝土的可能影响。
条文说明
6.1.6有害物质的存在并不必然对混凝土产生不利影响,有害物质的作用效应一般需通过一定的条件才能体现,通过取样试验检验已确认存在的有害物质对混凝土的作用效应,为进一步的处理提供参考。
6.1.7 通过取样试验检验有害物质对混凝土的作用效应时,宜在不怀疑存在有害物质的部位钻取芯样进行比对。
条文说明
6.1.7导致混凝土性能劣化、出现损伤的原因很多,有时混凝土性能劣化并不是有害物质造成的,而是由其他原因引起的。通过取样试验检验对混凝土的作用效应时,在不怀疑存在有害物质的部位钻取芯样进行比对,有利于更准确判定混凝土性能劣化的原因,以便更有效地进行处理。
6.1.8 对某一特定部位进行评价时,宜在出现明显质量缺陷或损伤的位置取样,其检测结果不宜用于评价该部位以外的混凝土。
条文说明
6.1.8检测结果不能以偏概全。
6.2 氯离子含量检测
6.2 氯离子含量检测
6.2.1 混凝土中氯离子含量的检测结果宜用混凝土中氯离子与硅酸盐水泥用量之比表示,当不能确定混凝土中硅酸盐水泥用量时,可用混凝土中氯离子与胶凝材料用量之比表示。
条文说明
6.2.1现行国家标准《混凝土结构设计规范》GB50010的限值为氯离子与胶凝材料的比值,有些国家的限值为是氯离子与混凝土质量的比值或氯离子与硅酸盐水泥的比值。硬化混凝土中,硅酸盐水泥的水化物具有结合或平衡氯离子的能力,掺和料对于提高硅酸盐水泥水化物结合或平衡氯离子的作用不明显,混凝土中的骨料不能结合氯离子。用氯离子与硅酸盐水泥用量之比值作为限值可能较好。
6.2.2 混凝土氯离子含量测定所用试样的制备应符合下列规定:
1 将混凝土试件破碎,剔除石子;
2 将试样缩分至100g,研磨至全部通过0.08mm的筛;
3 用磁铁吸出试样中的金属铁屑;
4 将试样置于105℃~110℃烘箱中烘干2h,取出后放入干燥器中冷却至室温备用。
条文说明
6.2.2本条对结构混凝土中氯离子含量测定所用样品的制备进行规定。 混凝土中氯离子含量一般较少,采用砂浆制取试样,既可提高分析结果的稳定性和准确性,也可排除骨料中相应成分的干扰。
6.2.3 试样中氯离子含量的化学分析应符合现行国家标准《建筑结构检测技术标准》GB/T 50344的有关规定。
条文说明
6.2.3本条提出水溶性氯离子含量的化学分析方法。 混凝土中氯离子可以分为水溶性氯离子和酸溶性氯离子(总氯含量),造成钢筋锈蚀的主要是水溶性氯离子。 当需要测定混凝土中总氯离子含量时,可参照相关试验方法标准进行检测。
6.2.4 混凝土中氯离子与硅酸盐水泥用量的百分数应按下式计算:
P Cl,p =P Cl,m /P p,m ×100% (6.2.4)
式中:P Cl,p ——混凝土中氯离子与硅酸盐水泥用量的质量百分数;
P Cl,m ——按本标准第6.2.3条测定的试样中氯离子的质量百分数;
P p,m ——试样中硅酸盐水泥的质量百分数。
条文说明
6.2.4本条提出了混凝土中氯离子与硅酸盐水泥用量的百分比的确定方法。 砂浆试样中硅酸盐水泥用量可按混凝土配合比换算。一些国际标准提供了混凝土中硅酸盐水泥用量的测定方法,对这些方法进行验证后,可用于混凝土中硅酸盐水泥用量的直接测定。
6.2.5 当不能确定试样中硅酸盐水泥的质量百分数时,混凝土中氯离子与胶凝材料的质量百分数可按下式计算:
P Cl,t =P Cl,m /λ c (6.2.5)
式中:P Cl,t ——氯离子与胶凝材料的质量百分数;
λ c ——根据混凝土配合比确定的混凝土中胶凝材料与砂浆的质量比。
条文说明
6.2.5本条提出混凝土中氯离子与胶凝材料用量的百分比的计算方法。计算时宜确认原始配合比的有效性。
6.3 混凝土中碱含量检测
6.3 混凝土中碱含量检测
6.3.1 混凝土中碱含量应以单位体积混凝土中碱含量表示。
条文说明
6.3.1本条提出了混凝土中碱含量检测结果的表示方法,目的是与相关标准的限值要求保持一致。
6.3.2 混凝土碱含量测定所用试样的制备应符合本标准第6.2.2条的规定。
条文说明
6.3.2本条对结构混凝土中碱含量测定所用样品的制备进行规定。
6.3.3 混凝土总碱含量的检测应按符合下列规定:
1 混凝土总碱含量的检测操作应符合现行国家标准《水泥化学分析方法》GB/T 176的有关规定;
2 样品中氧化钾质量分数、氧化钠质量分数和氧化钠当量质量分数应按下列公式计算:

3 样品中氧化钠当量质量分数的检测值应以3次测试结果的平均值表示;
4 单位体积混凝土中总碱含量应按下式计算:

条文说明
6.3.3本条对结构混凝土中总碱含量的测定进行规定。
6.3.4 混凝土可溶性碱含量的检测应按符合下列规定:
1 准确称取25.0g(精确至0.01g)样品放入500mL锥形瓶中,加入300mL蒸馏水,用振荡器振荡3h或80℃水浴锅中用磁力搅拌器搅拌2h,然后在弱真空条件下用布氏漏斗过滤。将滤液转移到一个500mL的容量瓶中,加水至刻度。
2 混凝土可溶性碱含量的检测操作应符合现行国家标准《水泥化学分析方法》GB/T 176的有关规定。
3 样品中氧化钾质量分数、氧化钠质量分数和氧化钠当量质量分数应按下列公式计算:

4 样品中氧化钠当量质量分数的检测值应以3次测试结果的平均值表示。
5 单位体积中混凝土中可溶性碱含量应按下式计算:

式中:m a,s ——单位体积混凝土中的可溶性碱含量(kg)。
条文说明
6.3.4本条对结构混凝土中水溶性碱含量的测定进行规定。
6.4 取样检验碱骨料反应的危害性
6.4 取样检验碱骨料反应的危害性
6.4.1 当混凝土碱含量检测值超过相应规范要求时,应采取检验骨料碱活性或检验试件膨胀率的方法检验是否存在碱骨料反应引起的潜在危害。
条文说明
6.4.1碱骨料反应是碱活性骨料与碱之间的反应,碱骨料反应的发生还与环境条件有关。混凝土中碱含量超过相应规范要求时,并不必然存在碱骨料反应所引起的潜在危害。为了避免不必要的处理,可进一步检测骨料的碱活性或测试试件的碱骨料反应。
6.4.2 混凝土中骨料碱活性可按下列步骤进行检验:
1 将钻取的芯样破碎后,挑出石子;
2 将3个芯样的石子充分混合后破碎,用筛筛取0.15mm~0.63mm的部分作试验用料;
3 按现行行业标准《普通混凝土用砂、石质量及检验方法标准》JGJ 52的有关规定检验骨料的膨胀率;
4 当骨料膨胀值小于0.1%时,可判定受检混凝土中骨料的膨胀率符合检验标准的要求;
5 当骨料膨胀值不小于0.1%时,可取样检验试件膨胀率。
条文说明
6.4.2本条规定了骨料碱活性快速试验方法。当受检混凝土中骨料为非碱活性时,碱含量没有限制。
6.4.3 试件膨胀率检验法的取样及试样的加工应符合下列规定:
1 从受检区域随机钻取直径不小于75mm的芯样,芯样的长度不应小于275mm,芯样数量不应少于3个;
2 将无明显缺陷的芯样加工成长度为275mm±3mm的试样,并应在端面安装直径为5mm~7mm,长度为25mm的不锈钢测头。
6.4.4 试件膨胀率应按下列规定检验:
1 应按现行国家标准《普通混凝土长期性能和耐久性能试验方法标准》GB/T 50082的有关规定进行检验。
2 单个试件的膨胀率可按下式计算:
ε t =(L t —L 0 )/(L 0 —2Δ)×100 (6.4.4)
式中:ε t ——试件在t天的膨胀率,精确至0.001%;
L t ——试件在t天的长度(mm);
L 0 ——试件的基准长度(mm);
Δ——测头长度(mm)。
3 可以3个试件膨胀率的算术平均值作为该测试期的膨胀率检测值。
4 每次检测时应观察试件开裂、变形、渗出物和反应生成物及变化情况。
6.4.5 当检验周期超过52周且膨胀率小于0.04%时,可停止检验并判定受检混凝土未见碱骨料反应的潜在危害。
6.4.6 当出现下列情况之一且检验周期不超过52周时,可停止检验并判定受检混凝土存在碱骨料反应所引起的潜在危害。
1 混凝土试件膨胀率超过0.04%;
2 混凝土试件开裂或反应生成物大量增加。
条文说明
6.4.3~6.4.6除试件龄期和尺寸以外,其他与现行国家标准《普通混凝土长期性能和耐久性能试验方法标准》GB/T50082的有关规定基本一致。
6.5 取样检验游离氧化钙的危害性
6.5 取样检验游离氧化钙的危害性
6.5.1 当安定性存在疑问的水泥用于混凝土结构后或混凝土外观质量检查发现可能存在游离氧化钙不良影响时,可采取取样检验的方法检验是否存在游离氧化钙引起的潜在危害。
条文说明
6.5.1本条规定了取样检验混凝土中游离氧化钙影响的条件。 由于水泥安定性检验结果与水泥熟化程度有关,存在安定性问题的水泥在一定的条件下才能引起混凝土体积不稳定。
6.5.2 检验所用试件的制备应符合下列规定:
1 按约定抽样方法在怀疑区域钻取混凝土芯样,芯样的直径为70mm~100mm,同一部位同时钻取两个芯样,同一受检区域应取得上述混凝土芯样三组;
2 在每个芯样上截取一个无外观缺陷、厚度为10mm的薄片试件,同时将芯样加工成高径比为1.0的抗压试件,抗压试件不应存在钢筋或明显的外观缺陷。
条文说明
6.5.2本条规定了检验混凝土中游离氧化钙影响的试件制作方法。
6.5.3 试件的检测应符合下列规定:
1 将所有薄片和取自同一部位的2个抗压试件中的1个放入沸煮箱的试架上进行沸煮,调整好沸煮箱内的水位,使能保证在整个沸煮过程中都超过试件,不需中途添补试验用水,同时又能保证30min±5min内升至沸腾。将试样放在沸煮箱的试架上,在30min±5min内加热至沸,恒沸6h,关闭沸煮箱自然降至室温;
2 对沸煮过的试件进行外观检查;
3 将沸煮过的抗压试件晾置3d,并与对应的未沸煮的抗压试件同时进行抗压强度测试;
4 每组试件抗压强度变化率和所有试件抗压强度变化率的平均值应按下列公式计算:


6.5.4 当出现下列情况之一时,可判定游离氧化钙对混凝土质量有潜在危害:
1 有两个或两个以上沸煮试件(包括薄片试件和芯样试件)出现开裂、疏松或崩溃等现象;
2 试件抗压强度变化率的平均值大于30%;
3 仅有一个薄片试件出现开裂、疏松或崩溃等现象,并有一组试件抗压强度变化率大于30%。
条文说明
6.5.3~6.5.4规定了混凝土中游离氧化钙影响的取样检验方法。
7 混凝土构件缺陷检测
7.1 一般规定
7 混凝土构件缺陷检测
7.1 一般规定
7.1.1 混凝土构件缺陷检测宜分为外观缺陷检测和内部缺陷检测。
条文说明
7.1.1本条规定了混凝土构件缺陷检测的内容。
7.1.2 混凝土构件外观缺陷应按现行国家标准《混凝土结构工程施工质量验收规范》GB 50204的有关规定进行分类并判定其严重程度。
条文说明
7.1.2现行国家标准《混凝土结构工程施工质量验收规范》GB50204确定的外观缺陷包括露筋、蜂窝、孔洞、夹渣、疏松、裂缝、连接部位缺陷、缺棱掉角、棱角不直、翘曲不平、飞边、凸肋等外形缺陷和表面麻面、掉皮、起砂等外表缺陷。
7.2 外观缺陷检测
7.2 外观缺陷检测
7.2.1 现场检测时,宜对受检范围内构件外观缺陷进行全数检查;当不具备全数检查条件时,应注明未检查的构件或区域。
条文说明
7.2.1混凝土结构的质量问题常常通过外观缺陷表现出来,外观缺陷检查是进一步检测的基础,现场检测时,应对受检范围内构件外观缺陷进行全数检查,特别是对存在修补痕迹的部位应重点检查。当不具备全数检查条件时,为了避免以偏概全,对未检查的构件或区域应进行说明。
7.2.2 混凝土构件外观缺陷的相关参数可根据缺陷的情况按下列方法检测:
1 露筋长度可用钢尺或卷尺量测;
2 孔洞直径可用钢尺量测,孔洞深度可用游标卡尺量测;
3 蜂窝和疏松的位置和范围可用钢尺或卷尺量测,委托方有要求时,可通过剔凿、成孔等方法量测蜂窝深度;
4 麻面、掉皮、起砂的位置和范围可用钢尺或卷尺测量;
5 表面裂缝的最大宽度可用裂缝专用测量仪器量测,表面裂缝长度可用钢尺或卷尺量测。
条文说明
7.2.2本条提出了混凝土构件外观缺陷的相关参数的测定方法。
7.2.3 混凝土构件外观缺陷应按缺陷类别进行分类汇总,汇总结果可用列表或图示的方式表述并宜反映外观缺陷在受检范围内的分布特征。
条文说明
7.2.3本条对混凝土构件外观缺陷检测结果的表述方式提出要求,用列表或图示的方式表述便于检测报告的理解和使用,从而有利于正确评价外观缺陷对结构性能、使用功能或耐久性的影响。
7.3 内部缺陷检测
7.3 内部缺陷检测
7.3.1 对怀疑存在内部缺陷的构件或区域宜进行全数检测,当不具备全数检测条件时,可根据约定抽样原则选择下列构件或部位进行检测:
1 重要的构件或部位;
2 外观缺陷严重的构件或部位。
条文说明
7.3.1混凝土构件内部缺陷一般都是独立的事件,不具备批量检测的条件,宜对怀疑存在缺陷的构件或区域进行全数检测。当怀疑存在缺陷的构件数量较多、区域范围较大时或受检测条件限制不能进行全数检测时,可根据约定抽样原则进行检测。
7.3.2 混凝土构件内部缺陷宜采用超声法进行双面对测,当仅有一个可测面时,可采用冲击回波法和电磁波反射法进行检测,对于判别困难的区域应进行钻芯验证或剔凿验证。
条文说明
7.3.2超声对测法检测混凝土构件内部缺陷是目前公认的成熟的检测方法,已有大量成功应用经验,当仅有一个可测面时,采用超声法检测存在困难,此时可采用冲击回波法和电磁波反射法(雷达仪)进行检测。非破损方法检测混凝土构件内部缺陷,基本上都是通过波(超声波、应力波和电磁波)的传播特性、透射、反射规律来间接得到内部缺陷的相关信息,受检混凝土性能、含水量及缺陷特性等因素影响检测的准确性,因此,对于判别困难的区域宜通过钻取混凝土芯样或剔凿进行验证。
7.3.3 超声法检测混凝土构件内部缺陷时声学参数的测量应符合下列规定:
1 应根据检测要求和现场操作条件,确定缺陷测试部位(简称测位);
2 测位混凝土表面应清洁、平整,必要时可用砂轮磨平或用高强度快凝砂浆抹平;抹平砂浆应与待测混凝土良好粘结;
3 在满足首波幅度测读精度的条件下,应选择较高频率的换能器;
4 换能器应通过耦合剂与混凝土测试表面保持紧密结合,耦合层内不应夹杂泥沙或空气;
5 检测时应避免超声传播路径与内部钢筋轴线平行,当无法避免时,应使测线与该钢筋的最小距离不小于超声测距的1/6;
6 应根据测距大小和混凝土外观质量,设置仪器发射电压、采样频率等参数,检测同一测位时,仪器参数宜保持不变;
7 应读取并记录声时、波幅和主频值,必要时存取波形;
8 检测中出现可疑数据时应及时查找原因,必要时应进行复测校核或加密测点补测。
条文说明
7.3.3超声在介质中传播会出现衰减现象,衰减不仅与测距有关,也与频率有关;超声传播路径中的缺陷会导致声波产生反射、散射、绕射等现象,从而改变接收波的声时、波幅、主频,引起波形变化。本条对声学参数的测量提出要求,目的是为了排除干扰,保证检测的精确度。
7.3.4 超声法检测混凝土构件内部不密实区可按本标准附录D的有关规定进行。
7.3.5 超声法检测混凝土构件裂缝深度可按本标准附录E的有关规定进行。
7.3.6 混凝土构件内部缺陷检测应提供有关测位的选择方式、位置、外观质量描述以及缺陷的性质和分布特征等信息。
8 构件尺寸偏差与变形检测
8.1 一般规定
8 构件尺寸偏差与变形检测
8.1 一般规定
8.1.1 构件尺寸偏差与变形检测可分为截面尺寸及偏差、倾斜、挠度、裂缝和地基沉降等检测项目。
条文说明
8.1.1本条提出了构件尺寸偏差与变形的主要检测项目,这些检测项目源于相关验收规范和鉴定标准的要求。
8.1.2 检测构件尺寸偏差与变形时,应采取措施消除构件表面抹灰层、装修层等造成的影响。
条文说明
8.1.2构件表面的抹灰层、装修层会对检测结果的准确性造成不利影响。
8.1.3 工程质量检测时,检验批的划分、抽样方法及判别规则应符合现行国家标准《混凝土结构工程施工质量验收规范》 GB 50204的有关规定。
8.1.4 地基沉降的检测应符合现行行业标准《建筑变形测量规范》JGJ 8的有关规定。
8.2 构件截面尺寸及其偏差检测
8.2 构件截面尺寸及其偏差检测
8.2.1 单个构件截面尺寸及其偏差的检测应符合下列规定:
1 对于等截面构件和截面尺寸均匀变化的变截面构件,应分别在构件的中部和两端量取截面尺寸;对于其他变截面构件,应选取构件端部、截面突变的位置量取截面尺寸;
2 应将每个测点的尺寸实测值与设计图纸规定的尺寸进行比较,计算每个测点的尺寸偏差值;
3 应将构件尺寸实测值作为该构件截面尺寸的代表值。
条文说明
8.2.1本条对单个构件截面尺寸及其偏差的检测提出要求,本条的符合性指与设计要求的符合性,在检测报告中宜表述为“符合设计要求”或“不符合设计要求”。
8.2.2 批量构件截面尺寸及其偏差的检测应符合下列规定:
1 将同一楼层、结构缝或施工段中设计截面尺寸相同的同类型构件划为同一检验批;
2 在检验批中随机选取构件,按本标准第3.4.4条的有关规定确定受检构件数量;
3 按本标准第8.2.1条对每个受检构件进行检测。
条文说明
8.2.2本条与《混凝土结构工程施工质量验收规范》GB50204的相关要求有一定的差别,原因是本标准适用于第三方检测,着重于结构性能参数的确认。
8.2.3 结构性能检测时,检验批构件截面尺寸的推定应符合下列规定:
1 应按本标准第3.4.5条进行符合性判定;
2 当检验批判定为符合且受检构件的尺寸偏差最大值不大于偏差允许值1.5倍时,可设计的截面尺寸作为该批构件截面尺寸的推定值;
3 当检验批判定为不符合或检验批判定为符合但受检构件的尺寸偏差最大值大于偏差允许值1.5倍时,宜全数检测或重新划分检验批进行检测;
4 当不具备全数检测或重新划分检验批检测条件时,宜以最不利检测值作为该批构件尺寸的推定值。
条文说明
8.2.3本条规定了构件截面尺寸推定值的确定方法。 构件尺寸按其概率分布的0.5分位值确定,采用计量抽样方法检测时应满足本标准的相关规定。
8.3 构件倾斜检测
8.3 构件倾斜检测
8.3.1 构件倾斜检测时宜对受检范围内存在倾斜变形的构件进行全数检测,当不具备全数检测条件时,可根据约定抽样原则选择下列构件进行检测:
1 重要的构件;
2 轴压比较大的构件;
3 偏心受压构件;
4 倾斜较大的构件。
条文说明
8.3.1本条对检测构件倾斜时的抽样方法作出规定。 构件倾斜一般不具备批量检测条件。检测时,应使重要的构件和最不利状况得到充分的检验。
8.3.2 构件倾斜检测应符合下列规定:
1 构件倾斜可采用经纬仪、激光准直仪或吊锤的方法检测,当构件高度小于10m时,可使用经纬仪或吊锤测量;当构件高度大于或等于10m时,应使用经纬仪或激光准直仪测量;
2 检测时应消除施工偏差或截面尺寸变化造成的影响;
3 检测时宜分别检测构件在所有相交轴线方向的倾斜,并提供各个方向的倾斜值。
条文说明
8.3.2本条规定了构件倾斜的检测方法。
8.3.3 倾斜检测应提供构件上端对于下端的偏离尺寸及其与构件高度的比值。
8.4 构件挠度检测
8.4 构件挠度检测
8.4.1 构件挠度检测时宜对受检范围内存在挠度变形的构件进行全数检测,当不具备全数检测条件时,可根据约定抽样原则选择下列构件进行检测:
1 重要的构件;
2 跨度较大的构件;
3 外观质量差或损伤严重的构件;
4 变形较大的构件。
条文说明
8.4.1本条对检测构件挠度的抽样方法作出规定。 构件挠度一般不具备批量检测条件。检测时,应使重要的构件和最不利状况得到充分的检验。
8.4.2 构件挠度检测应符合下列规定:
1 构件挠度可采用水准仪或拉线的方法进行检测;
2 检测时宜消除施工偏差或截面尺寸变化造成的影响;
3 检测时应提供跨中最大挠度值和受检构件的计算跨度值。当需要得到受检构件挠度曲线时,应沿跨度方向等间距布置不少于5个测点。
条文说明
8.4.2本条规定了构件挠度的检测方法。
8.4.3 当需要确定受检构件荷载—挠度变化曲线时,宜采用百分表、挠度计、位移传感器等设备直接测量挠度值。
8.5 构件裂缝检测
8.5 构件裂缝检测
8.5.1 裂缝检测时宜对受检范围内存在裂缝的构件进行全数检测,当不具备全数检测条件时,可根据约定抽样原则选择下列构件进行检测:
1 重要的构件;
2 裂缝较多或裂缝宽度较大的构件;
3 存在变形的构件。
条文说明
8.5.1本条对检测构件裂缝的抽样方法作出规定。 构件裂缝一般不具备批量检测条件。检测时,应使重要的构件和最不利状况得到充分的检验。
8.5.2 裂缝检测时宜区分受力裂缝和非受力裂缝。
条文说明
8.5.2本条规定了构件裂缝的检测分类。
8.5.3 裂缝检测宜符合下列规定:
1 对构件上存在的裂缝宜进行全数检查,并记录每条裂缝的长度、走向和位置;当构件存在的裂缝较多时,可用示意图表示裂缝的分布特征;
2 对于构件上较宽的裂缝,宜检测裂缝宽度;
3 必要时可选择较宽的裂缝,检测裂缝深度;
4 对于处于变化中或快速发展中的裂缝宜进行监测。
条文说明
8.5.3本条规定了构件挠度的检测方法。
9 混凝土中的钢筋检测
9.1 一般规定
9 混凝土中的钢筋检测
9.1 一般规定
9.1.1 混凝土中的钢筋检测可分为钢筋数量和间距、混凝土保护层厚度、钢筋直径、钢筋力学性能及钢筋锈蚀状况等检测项目。
条文说明
9.1.1本条提出了混凝土中钢筋的主要检测项目,这些检测项目源于相关验收规范和鉴定标准的要求。
9.1.2 混凝土中的钢筋宜采用原位实测法检测;采用间接法检测时,宜通过原位实测法或取样实测法进行验证并可根据验证结果进行适当的修正。
条文说明
9.1.2原位实测法指剔除混凝土保护层后在原位对钢筋进行的直接检测方法。间接检测方法具有方便、快捷、对结构无损伤等特点,但其准确性依赖于特定的条件。实际结构千变万化,施工质量参差不齐,为保证检测结果的可靠性,宜进行验证并可根据验证结果进行适当的修正。
9.2 钢筋数量和间距检测
9.2 钢筋数量和间距检测
9.2.1 混凝土中钢筋数量和间距可采用钢筋探测仪或雷达仪进行检测,仪器性能和操作要求应符合现行行业标准《混凝土中钢筋检测技术规程》JGJ/T 152的有关规定。
条文说明
9.2.1采用钢筋探测仪和雷达仪检测钢筋数量和间距,其精度可以满足要求。由于电磁屏蔽作用,当多层配筋时,钢筋探测仪和雷达仪难以测定内层钢筋;当钢筋间距较小时,还可能会出现漏检的情况。
9.2.2 当遇到下列情况之一时,应采取剔凿验证的措施:
1 相邻钢筋过密,钢筋间最小净距小于钢筋保护层厚度;
2 混凝土(包括饰面层)含有或存在可能造成误判的金属组分或金属件;
3 钢筋数量或间距的测试结果与设计要求有较大偏差;
4 缺少相关验收资料。
条文说明
9.2.2本条规定了应进行剔凿验证的情况。
9.2.3 检测梁、柱类构件主筋数量和间距时应符合下列规定:
1 测试部位应避开其他金属材料和较强的铁磁性材料,表面应清洁、平整;
2 应将构件测试面一侧所有主筋逐一检出,并在构件表面标注出每个检出钢筋的相应位置;
3 应测量和记录每个检出钢筋的相对位置。
条文说明
9.2.3本条规定了梁、柱类构件主筋数量和间距的检测方法。
9.2.4 检测墙、板类构件钢筋数量和间距时应符合下列规定:
1 在构件上随机选择测试部位,测试部位应避开其他金属材料和较强的铁磁性材料,表面应清洁、平整;
2 在每个测试部位连续检出7根钢筋,少于7根钢筋时应全部检出,并宜在构件表面标注出每个检出钢筋的相应位置;
3 应测量和记录每个检出钢筋的相对位置;
4 可根据第一根钢筋和最后一根钢筋的位置,确定这两个钢筋的距离,计算出钢筋的平均间距;
5 必要时应计算钢筋的数量。
条文说明
9.2.4本条规定了墙、板类构件钢筋数量和间距的检测方法。
9.2.5 梁、柱类构件的箍筋可按本标准第9.2.4条检测,当存在箍筋加密区时,宜将加密区内箍筋全部测出。
条文说明
9.2.5本条规定了梁、柱类构件箍筋数量和间距的检测方法。
9.2.6 单个构件的符合性判定应符合下列规定:
1 梁、柱类构件主筋实测根数少于设计根数时,该构件配筋应判定为不符合设计要求;
2 梁、柱类构件主筋的平均间距与设计要求的偏差大于相关标准规定的允许偏差时,该构件配筋应判定为不符合设计要求;
3 墙、板类构件钢筋的平均间距与设计要求的偏差大于相关标准规定的允许偏差时,该构件配筋应判定为不符合设计要求;
4 梁、柱类构件的箍筋可按墙、板类构件钢筋进行判定。
条文说明
9.2.6本条提出了单个构件钢筋数量和间距符合性判定规则。 现行国家标准《混凝土结构工程施工质量验收规范》GB50204规定的检测方法和判定规则针对的是未浇筑混凝土时的钢筋安装质量,本标准提出的检测方法和判定规则针对的是已浇筑混凝土后的钢筋位置实际状况。由于混凝土浇筑过程中的扰动,以现行国家标准《混凝土结构工程施工质量验收规范》GB50204规定的检测方法和判定规则来检测和评定实际结构混凝土中的钢筋是偏严的,本标准提出均值验收是符合实际情况的。
9.2.7 批量检测钢筋数量和间距时应符合下列规定:
1 将设计文件中钢筋配置要求相同的构件作为一个检验批;
2 按本标准表3.4.4的规定确定抽检构件的数量;
3 随机选取受检构件;
4 按本标准第9.2.3条或第9.2.4条的方法对单个构件进行检测;
5 按本标准第9.2.6条对受检构件逐一进行符合性判定。
条文说明
9.2.7本条提出了构件钢筋数量和间距批量检测时的检测方法。
9.2.8 对检验批符合性判定应符合下列规定:
1 根据检验批中受检构件的数量和其中不符合构件的数量应按本标准表3.4.5—1进行检验批符合性判定;
2 对于梁、柱类构件,检验批中一个构件的主筋实测根数少于设计根数,该批应直接判为不符合设计要求;
3 对于墙、板类构件,当出现受检构件的钢筋间距偏差大于偏差允许值1.5倍时,该批应直接判为不符合设计要求;
4 对于判定为符合设计要求的检验批,可建议采用设计的钢筋数量和间距进行结构性能评定;对于判定为不符合设计要求的检验批,宜细分检验批后重新检测或进行全数检测。当不能进行重新检测或全数检测时,可建议采用最不利检测值进行结构性能评定。
条文说明
9.2.8本条提出了工程质量检测时检验批符合性判定规则和相应的措施。 钢筋的间距按计数检验法进行检验,根据检验批中受检构件的数量和其中不合格构件的数量进行检验批合格判定。 对于梁、柱类构件,钢筋间距符合不能保证钢筋数量符合,从保证结构安全考虑,检验批中一个构件的主筋实测根数少于设计根数,该批直接判为不符合。 对于判定为不符合的批宜进行全数检测。如果不具备全数检测条件,可细分检验批后重新检测,以缩小处理的范围。
9.3 混凝土保护层厚度检测
9.3 混凝土保护层厚度检测
9.3.1 混凝土保护层厚度宜采用钢筋探测仪进行检测并应通过剔凿原位检测法进行验证。
条文说明
9.3.1由于混凝土介电常数受含水率影响大,混凝土保护层厚度不宜采用基于电磁波反射法的雷达仪进行检测。基于电磁感应法的钢筋探测仪也不能确保相应的精度要求,需要采用剔凿原位法对这些方法的检测结果进行验证。
9.3.2 剔凿原位检测混凝土保护层厚度应符合下列规定:
1 采用钢筋探测仪确定钢筋的位置;
2 在钢筋位置上垂直于混凝土表面成孔;
3 以钢筋表面至构件混凝土表面的垂直距离作为该测点的保护层厚度测试值。
条文说明
9.3.2本条提出了混凝土保护层厚度的剔凿原位检测方法。
9.3.3 采用剔凿原位检测法进行验证时,应符合下列规定:
1 应采用钢筋探测仪检测混凝土保护层厚度;
2 在已测定保护层厚度的钢筋上进行剔凿验证,验证点数不应少于本标准表3.4.4中B类且不应少于3点;构件上能直接量测混凝土保护层厚度的点可计为验证点;
3 应将剔凿原位检测结果与对应位置钢筋探测仪检测结果进行比较,当两者的差异不超过±2mm时,判定两个测试结果无明显差异;
4 当检验批有明显差异校准点数在本标准表3.4.5-2控制的范围之内时,可直接采用钢筋探测仪检测结果;
5 当检验批有明显差异校准点数超过本标准表3.4.5-2控制的范围时,应对钢筋探测仪量测的保护层厚度进行修正;当不能修正时应采取剔凿原位检测的措施。
条文说明
9.3.3本条提出了采用钢筋探测仪检测混凝土保护层厚度时的验证方法。
9.3.4 工程质量检测时,混凝土保护层厚度的抽检数量及合格判定规则,宜按现行国家标准《混凝土结构工程施工质量验收规范》GB 50204的有关规定执行。
条文说明
9.3.4工程质量检测时,《混凝土结构工程施工质量验收规范》GB50204已有规定。
9.3.5 结构性能检测时,检验批混凝土保护层厚度检测应符合下列规定:
1 应将设计要求的混凝土保护层厚度相同的同类构件作为一个检验批,按本标准表3.4.4中A类确定受检构件的数量;
2 随机抽取构件,对于梁、柱类应对全部纵向受力钢筋混凝土保护层厚度进行检测;对于墙、板类应抽取不少于6根钢筋(少于6根钢筋时应全检),进行混凝土保护层厚度检测;
3 将各受检钢筋混凝土保护层厚度检测值按本标准第3.4.7条计算均值推定区间;
4 当均值推定区间上限值与下限值的差值不大于其均值的10%时,该批钢筋混凝土保护层厚度检测值可按推定区间上限值或下限值确定;
5 当均值推定区间上限值与下限值的差值大于其均值的10%时,宜补充检测或重新划分检验批进行检测。当不具备补充检测或重新检测条件时,应以最不利检测值作为该检验批混凝土保护层厚度检测值。
条文说明
9.3.5结构性能检测时,混凝土保护层厚度用于计算构件有效截面高度和评估耐久年限,检测时宜与构件截面尺寸、碳化深度同时检测。
9.4 混凝土中钢筋直径检测
9.4 混凝土中钢筋直径检测
9.4.1 混凝土中钢筋直径宜采用原位实测法检测;当需要取得钢筋截面积精确值时,应采取取样称量法进行检测或采取取样称量法对原位实测法进行验证。当验证表明检测精度满足要求时,可采用钢筋探测仪检测钢筋公称直径。
条文说明
9.4.1钢筋直径是关系到混凝土结构安全的重要参数,目前尚无准确检测混凝土中钢筋直径的间接测试方法。考虑到常用的钢筋公称直径最小的级差也有2mm,实践证明采用钢筋探测仪区分不同公称直径的钢筋具有可行性,尽管如此,此方法仍应慎用。 既有混凝土结构中钢筋可能出现不均匀锈蚀,甚至出现非标准尺寸钢筋,原位实测法的检测结果也会出现偏差,此时应采用取样称量法进行检测或进行验证。
9.4.2 原位实测法检测混凝土中钢筋直径应符合下列规定:
1 采用钢筋探测仪确定待检钢筋位置,剔除混凝土保护层,露出钢筋;
2 用游标卡尺测量钢筋直径,测量精确到0.1mm;
3 同一部位应重复测量3次,将3次测量结果的平均值作为该测点钢筋直径检测值。
条文说明
9.4.2混凝土保护层剔除的长度和深度应满足准确测量的要求。测量的项目和方法应满足相关钢筋产品标准如现行国家标准《钢筋混凝土用钢第2部分:热轧带肋钢筋》GB1499.2的有关规定。对于带肋钢筋应同时测量内径和外径,以便计算肋高。
9.4.3 取样称量法检测钢筋直径应符合下列规定:
1 确定待检测的钢筋位置,沿钢筋走向凿开混凝土保护层,截除长度不小于300mm的钢筋试件;
2 清理钢筋表面的混凝土,用12%盐酸溶液进行酸洗,经清水漂净后,用石灰水中和,再以清水冲洗干净;擦干后在干燥器中至少存放4h,用天平称重;
3 钢筋实际直径按下式计算:

式中:d——钢筋实际直径,精确至0.01mm;
ω——钢筋试件重量,精确至0.01g;
l——钢筋试件长度,精确至0.1mm。
条文说明
9.4.3应尽可能截取外露的钢筋。公式(9.4.3)是根据钢材密度7.85g/cm3计算钢筋直径,严格意义上来说是不同截面形式钢筋的当量直径。
9.4.4 采用钢筋探测仪检测钢筋公称直径应符合现行行业标准《混凝土中钢筋检测技术规程》JGJ/T 152的有关规定。
条文说明
9.4.4现行行业标准《混凝土中钢筋检测技术规程》JGJ/T152已有具体的规定。
9.4.5 检验批钢筋直径检测应符合下列规定:
1 检验批应按钢筋进场批次划分;当不能确定钢筋进场批次时,宜将同一楼层或同一施工段中相同规格的钢筋作为一个检验批;
2 应随机抽取5个构件,每个构件抽检1根;
3 应采用原位实测法进行检测;
4 应将各受检钢筋直径检测值与相应钢筋产品标准进行比较,确定该受检钢筋直径是否符合要求;
5 当检验批受检钢筋直径均符合要求时,应判定该检验批钢筋直径符合要求;当检验批存在1根或1根以上受检钢筋直径不符合要求时,应判定该检验批钢筋直径不符合要求;
6 对于判定为符合要求的检验批,可建议采用设计的钢筋直径参数进行结构性能评定;对于判定为不符合要求的检验批,宜补充检测或重新划分检验批进行检测。当不具备补充检测或重新检测条件时,应以最小检测值作为该批钢筋直径检测值。
条文说明
9.4.5本条规定了检验批符合性判定规则。 结构性能检测时,对于带肋钢筋宜以内径为检测参数,将内径检测值乘以1.03的系数作为钢筋直径的检测值。当钢筋锈蚀严重时,应采取取样称量法进行验证。
9.5 构件中钢筋锈蚀状况检测
9.5 构件中钢筋锈蚀状况检测
9.5.1 混凝土中钢筋锈蚀状况应在对使用环境和结构现状进行调查并分类的基础上,按约定抽样原则进行检测。
条文说明
9.5.1钢筋锈蚀状况不具备批量检测的条件,宜在对使用环境和结构现状进行调查并分类的基础上,选取使用环境恶劣、外观损伤严重的区域或关键构件进行检测。
9.5.2 混凝土中钢筋锈蚀状况宜采用原位检测、取样检测等直接法进行检测,当采用混凝土电阻率、混凝土中钢筋电位、锈蚀电流、裂缝宽度等参数间接推定混凝土中钢筋锈蚀状况时,应采用直接检测法进行验证。
条文说明
9.5.2间接方法受混凝土状态(如含水率等)的影响较大,存在较大的不确定性。
9.5.3 原位检测可采用游标卡尺直接量测钢筋的剩余直径、蚀坑深度、长度及锈蚀物的厚度,推算钢筋的截面损失率。取样检测可通过截取钢筋,按本标准第9.4.3条检测剩余直径并计算钢筋的截面损失率。
9.5.4 钢筋的截面损失率应按下式进行计算,当钢筋的截面损失率大于5%,应按本标准第9.6节进行锈蚀钢筋的力学性能检测。
l s,a =(d/d s ) 2 × 100% (9.5.4)
式中:d——钢筋直径实测值,精确至0.1mm;
d s ——钢筋公称直径;
l s,a ——钢筋的截面损失率,精确至0.1%。
9.5.5 混凝土中钢筋电位的检测应符合现行行业标准《混凝土中钢筋检测技术规程》JGJ/T 152的有关规定。
9.5.6 混凝土的电阻率宜采用四电极混凝土电阻率检测仪进行检测;混凝土中钢筋锈蚀电流宜采用基于线形极化原理的检测仪器进行检测。检测时,应按相关仪器说明进行操作。
条文说明
9.5.6测试结果的判定可参考下列建议: 1钢筋锈蚀电流与钢筋锈蚀速率及构件损伤年限判别见表1。 表1钢筋锈蚀电流与钢筋锈蚀速率及构件损伤年限判别 
2混凝土电阻率与钢筋锈蚀状况判别见表2。 表2混凝土电阻率与钢筋锈蚀状态判别 
9.5.7 采用综合分析判定方法检测裂缝宽度、钢筋保护层厚度、混凝土强度、混凝土碳化深度、混凝土中有害物质含量等参数时应符合本标准的相关规定。
条文说明
9.5.7有关研究提出了钢筋锈蚀深度与裂缝宽度、混凝土保护层厚度的关系。
9.6 钢筋力学性能检测
9.6 钢筋力学性能检测
9.6.1 混凝土中钢筋的力学性能应采用取样法进行检测,截取钢筋试件应符合下列规定:
1 截取钢筋时应采取必要措施,确保受检构件和结构的安全;
2 钢筋截取位置宜选在在应力较小的部位;
3 钢筋试件的长度应满足钢筋力学性能试验方法的要求。
条文说明
9.6.1虽然有研究资料表明,可采用硬度或化学成分分析得到钢材的极限抗拉强度换算值,并通过屈强比得到钢材的屈服强度值,但在钢筋上的应用尚存在较大的不确定性;为了保证检测结果的准确性,混凝土中的钢筋力学性能宜采用取样检测。 本条提出了钢筋试件的截取原则,工程事故原因分析时,可不受本条限制。
9.6.2 需要进行批量检测时,检验批应根据进场批次进行划分;当无法确定进场批次或无法确定进场批次与结构中位置的对应关系时,检验批宜以同一楼层或同一施工段中的同类构件划分。
条文说明
9.6.2当无法确定进场批次或无法确定进场批次与结构上位置的对应关系时,检验批应以同一楼层或同一施工段中的同类构件划分,缩小检验批范围,可减少处理费用。
9.6.3 工程质量检测时,钢筋抽检数量和合格判定规则应按相关产品标准的要求执行。对于判定为符合要求的检验批,可采用设计规范规定的钢筋力学性能参数进行结构性能评定;对于判定为不符合要求的检验批,应提供每个受检钢筋力的检测数据。必要时,建议进行结构性能检测。
条文说明
9.6.3工程质量检测时,检验批的划分应有明确的依据,在此前提下,钢筋抽检数量和合格判定规则按相关产品标准的要求执行。
9.6.4 结构性能检测时,检验批钢筋力学性能检测应符合下列规定:
1 将配置有同一规格钢筋的构件作为一个检验批,并应按本标准表3.4.4确定受检构件的数量;
2 随机抽取构件,每个构件截取1根钢筋,截取钢筋总数不应少于6根;当检测结果仅用于验证时,可随机截取2根钢筋进行力学性能检验;
3 应将各受检钢筋力学性能检测值按本标准第3.4.7条计算特征值推定区间;
4 当特征值推定区间上限值与下限值的差值不大于其均值的10%时,该批钢筋力学性能检测值可按推定区间下限值确定;当特征值推定区间上限值与下限值的差值大于其均值的10%时,宜补充检测或重新划分检验批进行检测。当不具备补充检测或重新检测条件时,应以最小检测值作为该批钢筋力学性能检测值。
条文说明
9.6.4结构性能检测无须作出符合性判定,但要提供钢筋力学性能的特征值供评定单位参考。在结构中不可能找到力学性能最差的钢筋,但在检验批划分正确的情况下,由于钢筋力学性能的变异性不大(变异系数0.06),通过抽样检测可以得到一定置信水平下的推定值。当特征值推定区间上限值与下限值的差值大于其均值的10%时,又不具备补充检测或重新检测条件时,应以最小检测值作为该批钢筋直径检测值。
9.6.5 受损钢筋的力学性能宜在损伤状况调查基础上分类进行检测,同一损伤类别中的钢筋应根据约定抽样原则选取,并宜取力学参数的最低检测值作为该类别受损钢筋力学性能的检测值。
条文说明
9.6.5损伤钢筋无法形成严格意义上的检验批,现场取样也不易抽到损伤最严重的钢筋,现行结构设计规范使用钢筋材料强度具有不小于95%的特征值作为标准值,为保证结构安全,使用最小值。
10 混凝土构件损伤检测
10.1 一般规定
10 混凝土构件损伤检测
10.1 一般规定
10.1.1 混凝土构件的损伤可分为火灾损伤、环境作用损伤和偶然作用损伤等。
条文说明
10.1.1本条根据损伤原因对混凝土构件的损伤进行分类,这种分类不具备完整性。本章规定了针对常见损伤的检测。
10.1.2 混凝土构件的损伤检测应在损伤原因识别的基础上,根据损伤程度选择检测项目和相应的检测方法。
条文说明
10.1.2进行损伤程度的识别,便于分类处理。
10.1.3 对损伤结构进行全面检测前,应检查可能出现的结构坍塌、构件或配件脱落等安全隐患,并应对检测现场可能存在的有毒、有害物质等进行调查。
条文说明
10.1.3损伤结构不同于一般的结构,存在较多的安全隐患,检测现场存在的有毒有害物质对检测人员可能造成潜在的危害。
10.1.4 对于碰撞等偶然作用造成的局部损伤,可记录损伤的位置与损伤的程度。
条文说明
10.1.4储运仓库中的柱、交通设施中的桥墩宜受车辆的碰撞,由此造成的局部损伤,可记录损伤的位置与损伤的程度。
10.1.5 混凝土构件的受损伤影响层厚度可按本标准附录F、附录G的有关规定进行检测。
10.2 火灾损伤检测
10.2 火灾损伤检测
10.2.1 混凝土结构的火灾损伤检测,应通过全面的外观检查将损伤识别为下列五种状态:
1 未受火灾影响;
2 表面或表层性能劣化;
3 构件损伤;
4 构件破坏;
5 局部坍塌。
条文说明
10.2.1本条提出了火灾损伤的5种状况,大面积坍塌的混凝土结构一般已没必要性进行构件损伤检测。
10.2.2 未受火灾影响状态的识别特征应为装饰层完好或仅出现被熏黑现象。对该状态的区域可选取少量构件进行混凝土强度、构件尺寸和构件钢筋配置情况的抽查。
条文说明
10.2.2对未受火灾影响状态的区域进行少量构件的抽查,可以为评估火灾对混凝土性能影响程度提供基准数据。同时,在对火灾后混凝土结构安全性能评估时,评定机构也需要了解结构工程施工质量的情况。
10.2.3 表面或表层性能劣化状态的识别特征应为装饰层脱落、构件混凝土被熏黑或混凝土表面颜色改变。
条文说明
10.2.3本条提出了表面或表层材料性能劣化状态的识别特征。
10.2.4 对表面或表层性能劣化状态的区域,除应按本标准第10.2.2条进行检测外,宜进行下列专项的检测:
1 受影响层厚度;
2 可能存在的空鼓区域;
3 受影响层的混凝土力学性能。
条文说明
10.2.4本条规定了表面或表层性能劣化状态的检测项目。
10.2.5 对构件损伤状态的识别特征应为混凝土出现龟裂、剥落、钢筋外露等,但构件不应有超过有关规范限值的位移与变形。
条文说明
10.2.5本条提出了构件损伤状态的识别特征。
10.2.6 对构件损伤状态的区域除进行适量的常规检测外,宜进行下列项目的专项检测:
1 逐个记录损伤的位置或面积;
2 逐个检测损伤的程度,检测裂缝的宽度或深度,检测混凝土损伤层的厚度;
3 检测损伤层混凝土力学性能;
4 取样检测钢筋力学性能;
5 梁板类构件可能存在的挠度和墙柱类构件可能存在的倾斜。
条文说明
10.2.6本条规定了构件损伤状态的检测项目。
10.2.7 构件破坏状态的识别特征应为梁板类构件产生明显不可恢复性变形、严重开裂,墙柱类构件产生明显的倾斜和梁柱节点出现位移或破坏。
条文说明
10.2.7本条提出了构件破坏状态的识别特征。
10.2.8 对构件破坏状态的区域应对构件逐个予以说明并取得现场的影像资料,检测构件的位移或变形。
条文说明
10.2.8本条规定了构件破坏状态的检测项目和检测方法。
10.2.9 对于已坍塌部分,可进行范围的描述并取得现场情况的影像资料。
条文说明
10.2.9对于已坍塌部分,已没必要性再进行构件损伤检测。当需要分析坍塌原因时,应根据实际需要选择检测项目,此时宜优先采用直接法进行检测。
10.2.10 对于难以现场检测的性能参数时,评估火场温度对其的影响,可采取模拟试验的方法。
条文说明
10.2.10对于难以现场检测的性能参数,如火灾对已封锚的预应力钢筋的影响等,当需要评估火场温度对其影响时,可采取模拟试验的方法。
10.3 环境作用损伤检测
10.3 环境作用损伤检测
条文说明
本节针对混凝土构件环境作用损伤的检测提出规定,通过外观检查将其识别成4种状态的目的是为了有针对性地进行检测。
10.3.1 遇到下列情况之一时,可对环境作用造成的构件损伤进行检测:
1 硬化混凝土遭受冻融影响;
2 新拌混凝土遭受冻害影响;
3 硫酸盐侵蚀的环境;
4 高温、高湿环境;
5 造成钢筋锈蚀的一般环境和氯盐侵蚀环境;
6 化学物质影响环境;
7 生物侵蚀环境;
8 气蚀和磨损条件。
10.3.2 环境作用损伤的检测,应通过外观检查将其识别成下列四种状态:
1 未见材料性能劣化;
2 存在材料性能劣化;
3 出现构件损伤;
4 构件结构性能受到严重影响。
10.3.3 现场检查时宜以下列现象或状况作为未见构件材料性能劣化状态的识别依据:
1 建筑装饰层完好无损;
2 构件抹灰层完好无损;
3 构件混凝土暴露但不存在遭受环境作用的条件。
10.3.4 现场检查时宜以下列现象或状况作为存在材料性能劣化状态的识别依据:
1 构件混凝土暴露在室外环境中且使用年数较长;
2 构件混凝土暴露在室外环境中且有附着的生物;
3 构件浸泡在水中;
4 出现渗水的构件;
5 直接与土壤接触的部分;
6 直接暴露在水流或高速气流的部分;
7 直接暴露在侵蚀性气体或液体中的构件;
8 受到摩擦影响的表面;
9 冬期施工且未采取蓄热养护措施构件的表层。
10.3.5 对存在材料性能劣化状态区域的检测应包括下列项目:
1 外观状态检查;
2 性能受影响层厚度检测;
3 影响层混凝土力学性能检测。
10.3.6 当需要推定碳化等造成的材料性能劣化区域剩余使用年限时,可按本标准第11章进行检验。
10.3.7 现场检查时宜以下列现象或状况作为出现损伤构件状态的识别依据,出现损伤的构件应评定为达耐久性极限状态的构件。
1 构件出现裂缝,包括顺筋裂缝、贯通断面裂缝和表面裂纹和龟裂;
2 混凝土保护层脱落;
3 构件混凝土出现起砂现象;
4 构件混凝土水泥石脱落;
5 裸露的钢筋出现锈蚀现象。
10.3.8 出现损伤构件的检测项目宜包括损伤的面积、深度和位置,必要时应提出进行构件承载力评定的建议。
10.3.9 现场检查时宜以下列现象或状况作为构件结构性能受到严重影响状态的识别依据;对于受到严重影响的构件应建议进行构件承载力评定。
1 混凝土大面积剥落;
2 钢筋明显锈蚀;
3 构件出现明显的不可恢复性变形。
10.3.10 对于受到严重影响的构件宜进行下列项目的检测:
1 钢筋锈蚀量及锈蚀钢筋的力学性能;
2 混凝土损伤深度、面积与位置;
3 构件变形的检测。
11 环境作用下剩余使用年限推定
11.1 一般规定
11 环境作用下剩余使用年限推定
11.1 一般规定
11.1.1 环境作用下剩余使用年限推定宜提供自检测时刻起至出现构件损伤标志时的剩余使用年限的估计值。
条文说明
11.1.1环境作用下剩余使用年限与结构所处的环境情况和构件的防护措施密切相关,剩余使用年限内结构所处的环境情况和构件的防护措施均应没有明显改变。
11.1.2 环境作用下剩余使用年限推定可分为碳化剩余使用年限和冻融损伤剩余使用年限等项目。
条文说明
11.1.2环境作用下混凝土结构性能退化或损伤机理有多种,包括大气环境和氯盐环境下钢筋锈蚀、严寒环境中混凝土冻融损伤、碱骨料反应、硫酸盐等化学侵蚀以及物理磨损等。基于认识水平、技术成熟度、工程实际需要和应用可行性考虑,本标准提出碳化剩余使用年限和冻融损伤剩余使用年限的推定方法。
11.1.3 环境作用下剩余使用年限推定宜对结构中混凝土品种相同、所处的环境情况和防护措施基本相近的构件进行归并、分类,从每个类别中选择典型构件或区域进行检测。
条文说明
11.1.3环境作用下剩余使用年限推定时有关参数的取值可以采用下列方式: 1对结构中的构件进行归并、分类,从每个类别中选择典型构件或最不利构件进行检测,获得参数值; 2对结构中的构件进行归并、分类,从每个类别中随机选取构件进行检测,获得参数的平均值; 3对结构中的构件进行归并、分类,从每个类别中随机选取构件进行检测,获得参数的随机分布模型。 环境作用下剩余使用年限推定一般不具有批量检测的可能性,本标准从实用的角度出发,采用约定抽样方法进行,获得典型或最不利参数值。
11.2 碳化剩余使用年限推定
11.2 碳化剩余使用年限推定
11.2.1 碳化剩余使用年限推定可用于推定自检测时刻起至钢筋开始锈蚀的剩余年限或检测时刻起至钢筋具备锈蚀条件的剩余年限。
条文说明
11.2.1混凝土中钢筋锈蚀不仅与碳化有关,还如环境中的相对湿度、氧气的输送机制、混凝土保护层厚度等条件有关。根据环境条件,碳化剩余使用年限可分为钢筋开始锈蚀的剩余年限和钢筋具备锈蚀条件的剩余年限。碳化剩余使用年限不能等同于结构剩余使用寿命。
11.2.2 碳化剩余使用年限可采用已有碳化模型、校准碳化模型或实测碳化模型的方法进行推定。
条文说明
11.2.2国内外相关研究中描叙混凝土碳化发展规律的一般公式形式为D=kc√t,其中碳化系数kc是与混凝土组成和混凝土所处环境有关的参数。《混凝土结构耐久性评定标准》CECS220提出了碳化系数估算公式,可作为已有碳化模型。当已有碳化模型的精度不能满足要求时,可采用校准已有碳化模型和利用实测数据回归模型的方法。
11.2.3 利用已有碳化模型和校准碳化模型的方法时,均应检测构件混凝土实际碳化深度并确定构件混凝土实际碳化时间。
条文说明
11.2.3混凝土实际碳化深度D0可按本标准附录F或附录G中规定的方法检测;混凝土实际碳化时间t0为自混凝土浇筑时刻起至检测时刻止历经的年限。
11.2.4 已有碳化模型的验证应符合下列规定:
1 应将混凝土实际碳化时间、混凝土参数及环境实际参数带入选定的碳化模型,计算碳化深度。
2 实测碳化深度与计算碳化深度之差的绝对值应按下式计算:

式中:Δ D ——实测碳化深度与计算碳化深度之差的绝对值,精确至0.1mm;
D 0 ——实测碳化深度,精确至0.1mm;
D cal ——实测碳化深度,精确至0.1mm。
3 当满足Δ D 不大于2mm或Δ D 不大于0.1D 0 时,可利用该模型推定碳化剩余使用年限;当两个条件均不能满足时,应采取校准碳化模型的方法。
条文说明
11.2.4根据碳化模型计算的碳化深度不可能与实测碳化深度完全一致,本条规定了利用已有碳化模型推断碳化剩余使用年限的应用条件。
11.2.5 利用已有碳化模型推定碳化剩余使用年限可按下列步骤进行:
1 将钢筋的实际保护层厚度带入选定的碳化模型,计算碳化达到钢筋表面所需的时间。
2 碳化达到钢筋表面的剩余时间按下式计算:
t e =t c -t 0 (11.2.5)
式中:t e ——碳化达到钢筋表面的剩余时间(年);
t c ——碳化达到钢筋表面的时间(年);
t 0 ——已经碳化的时间(年)。
3 对于干湿交替环境或室外环境,以t e 作为钢筋开始锈蚀的剩余年限;对于干燥环境,以t e 作为钢筋具备锈蚀条件的剩余年限。
条文说明
11.2.5本条规定了利用已有碳化模型推断碳化剩余使用年限te的工作步骤。
11.2.6 选定碳化模型校准应符合下列规定:
1 将碳化模型的所有参数实测值或经验值代入选定碳化模型计算碳化深度;
2 将计算碳化深度与实测碳化深度进行比较,确定应调整的参数、参数的系数或参数在碳化模型的函数关系;
3 采用调整后的模型计算D cal ,直至满足本标准第11.2.4条第3款的要求。
条文说明
11.2.6本条规定了对选定碳化模型的校准方法。
11.2.7 利用校准碳化模型的碳化剩余年限应使用校正后的碳化模型按本标准第11.2.5条的有关规定进行推定。
条文说明
11.2.7本条规定了利用校准已有碳化模型的方法推断碳化剩余年限的工作步骤。
11.2.8 实测碳化模型的确定应符合下列规定:
1 实测不应少于20个碳化深度数据;
2 应计算碳化深度均值推定区间;
3 当均值推定区间上限值与下限值的差值不大于其均值的10%时,应以均值作为该批混凝土碳化深度的代表值;
4 碳化系数可按下式计算:

式中:k c ——碳化系数;
D m ——该批混凝土碳化深度的代表值;
t 0 ——已经碳化的时间(年)。
5 实测碳化模型可用下式表示:

条文说明
11.2.8本条规定了实测模型的确定方法。D=kc√t是公认的碳化发展规律,实测的碳化深度是个随机变量,严格意义上来说,碳化系数kc也是一个随机变量,存在一个可靠度的问题。考虑与其他标准协调和便于应用,本标准采用均值,即具有50%保证率。
11.2.9 利用实测碳化模型碳化剩余年限的推定应符合本标准第11.2.5条的有关规定。
条文说明
11.2.9本条规定了利用实测推断碳化剩余年限的工作步骤。
11.3 冻融损伤剩余使用年限推定
11.3 冻融损伤剩余使用年限推定
11.3.1 冻融损伤剩余使用年限可用于推定自检测时刻起至混凝土出现表面损伤的剩余年限。
条文说明
11.3.1现行国家标准《混凝土结构设计规范》GB50010、《混凝土结构耐久性设计规范》GB/T50476、《普通混凝土长期性能和耐久性能试验方法标准》GB/T50082规定的混凝土抗冻融性能力与实际的环境作用没有直接关联关系。
11.3.2 冻融损伤剩余使用年限可采用取样比对冻融试验的方法推定。
条文说明
11.3.2取样比对检验方法关键要解决标准冻融循环试验与实际环境冻融作用之间联系问题。
11.3.3 取样比对冻融试验方法应从结构中取得遭受冻融影响和未遭受冻融影响试样,进行冻融试验,通过比较推定冻融损伤剩余年限。
条文说明
11.3.3取样比对冻融检验方法的基本原理。
11.3.4 取样及试样的加工应符合下列规定:
1 在受到相同冻融影响的构件上钻取混凝土芯样,芯样数量不应少于6个,芯样直径不应小于100mm,长度不应小于200mm,所有芯样均应带有受冻影响层;
2 将同组的6个芯样编号,并将每个芯样锯切成两个试件,试件的高度不应小于100mm,其中带有受影响表面的芯样应作为测试试件,未受冻融影响的芯样应作为比对试件;
3 应对同组的6个测试试件和6个比对试件同时进行冻融试验。
条文说明
11.3.4将每个芯样锯切成两个试件时,应保证比对试件未受冻融影响。
11.3.5 冻融试验和相关参数的确定可按下列步骤进行:
1 混凝土经历冻融环境的实际年数用t 0 表示;
2 将12个试件浸泡4h~5h,晾至表干,检测试件表面的里氏硬度值,测试试件检测面为遭受冻融影响的表面,测试结果用LH c,i 表示;比对试件的检测面为与测试试件最接近的表面,测试结果用LH bo,i 表示;
3 称量所有试件的质量并分别予以记录;
4 按现行国家标准《普通混凝土长期性能和耐久性能试验方法标准》GB/T 50082的有关规定对12个试件进行冻融循环试验;
5 对于测试试件,每次冻融循环观察试样的损伤情况,并称取试件的质量。当试样的质量损失率达到5%或冻融循环超过300次时可停止试验,记录试件经受的冻融循环次数N D,i ;
6 对于比对试件,每次冻融循环后将试件取出,晾至表干,检测受冻融检验面的里氏硬度LH b,i ,当LH b,i 小于LH c,i 时,继续试验至比对试件满足LH b,i =LH c,i 然后停止试验,记录该试件经历的冻融循环次数N d,i0 。
条文说明
11.3.5冻融损伤最终表现为混凝土强度降低,由于混凝土强度与硬度存在一定的关系,可用硬度变化来反映强度变化。选用里氏硬度值的目的是避免测定硬度时对试件的损伤。
11.3.6 取样比对冻融检验方法的检验结果可按下列方法计算:
1 试件年当量冻融循环次数可按下式计算:
N cal,i =N d,i0 /t 0 (11.3.6-1)
式中:N cal,i ——试件年当量冻融循环次数计算值;
N d,i0 ——比对试件表面硬度降至与测试试件表面硬度值相当时所经历的标准冻融循环次数;
t 0 ——已经冻融的时间(年)。
2 测试试件出现表面损伤时的换算年数可按下式计算:
t cal,i =N D,i /N cal,i (11.3.6-2)
式中:t cal,i ——测试试件出现表面损伤时的换算年数;
N D,i ——测试试样停止试验时所经历的冻融循环次数。
条文说明
11.3.6通过年当量冻融循环次数把标准冻融试验条件与实际的环境作用联系起来。混凝土冻融损伤是一个累计效应,实际环境下的冻融作用与标准冻融循环制度相差很多,年当量冻融循环次数是平均效应。
11.3.7 结构混凝土冻融损伤剩余年限t e 可按下列方法推定:
1 当6个测试试件均为超过规定的冻融循环次数而停止冻融试验时,可取换算年数中的最小值作为t e ;
2 当6个测试试件部分为超过规定的冻融循环次数而停止冻融试验时,可将这部分数据舍弃,取剩余换算年数中的最大值作为t e ;
3 当6个测试试件均为质量损失达到限值而停止试验时,可计算换算年数的算术平均值t cal,m 和换算年数的最小值t cal,min ,以t cal,min ~t cal,m 作为t e 的推定区间。
条文说明
11.3.7推断冻融损伤剩余使用年限时以质量损失率达到5%作为结构混凝土冻融损伤的极限状态。
12 结构构件性能检验
12.1 一般规定
12 结构构件性能检验
12.1 一般规定
12.1.1 结构构件性能检验可分为静载检验和动力测试。
条文说明
12.1.1荷载作用下结构的实际工作状况(挠度、应变)和结构自身的模态特征(自振频率、振型等)可根据结构参数通过计算确定。由于计算都是在一定的计算模型和本构关系基础上进行的,实际结构往往与计算模型不完全相符,损伤等对结构计算参数的影响也难以定量表述,当对计算确定的结构性能有异议或难以通过计算确定结构性能时,可通过荷载试验进行检验。 一般考虑进行荷载试验的情况有: 1采用新结构体系、新材料、新工艺建造的混凝土结构,需验证或评估结构的设计和施工质量的可靠程度; 2外观质量较差的结构,需鉴定外观缺陷对其结构性能的实际影响程度; 3既有混凝土结构出现损伤后,需鉴定损伤对其结构性能的实际影响程度; 4缺少设计图纸、施工资料或结构体系复杂、受力不明确,难以通过计算确定结构性能; 5现行设计规范和施工验收规范要求的验证检测。
12.1.2 结构构件性能检验时,应根据现场调查、检测和计算分析的结果,预测检验过程中结构的性能,并应考虑相邻的结构构件、组件或整个结构之间的影响。
条文说明
12.1.2动力测试可检验结构的模态特征(自振频率、振型及阻尼比)和动力反应特性。
12.1.3 现场批量生产的预制构件结构性能检验应符合现行国家标准《混凝土结构工程施工质量验收规范》GB 50204的有关规定。
条文说明
12.1.3结构构件性能检验在结构实体上进行的,由于受检结构和构件性能的不确定性,结构构件性能检验存在一定的风险,结构构件性能检验不仅可能造成受检构件的破坏,而且也可能造成相邻构件甚至整个结构的坍塌。因此,要求由具备实际经验的结构工程师负责制定试验方案和指导现场试验。
12.2 静载检验
12.2 静载检验
12.2.1 静载检验可分为结构构件的适用性检验、安全性检验和承载力检验。
条文说明
12.2.1现行国家标准《混凝土结构设计规范》GB50010要求的正常使用极限状态指标只包括受弯构件的挠度限值和构件的裂缝及裂缝宽度限值,不能涵盖构件适用性的所有方面。满足上述限值的构件,也会出现其他适用性的问题,如装修层开裂、防水层破坏等。当这类检验进行施工质量的评定时,可能会出现正常使用极限状态指标评定为合格的构件又存在明显的适用性问题。 现行国家标准《混凝土结构试验方法标准》GB/T50152和《混凝土结构工程施工质量验收规范》GB50204针对不同的极限状态标志确定的承载力试验荷载,本质上属于极限状态承载能力和安全裕度的检验。结构实体中构件静载试验,针对的是具体的构件,考虑到结构安全,一般不进行承载能力极限状态的检验,而实际工作中又需要通过荷载试验验证受检构件承载能力能否满足要求。
12.2.2 静载检验构件应按约定抽样原则从结构实体中选取,选取时应综合考虑下列因素:
1 该构件计算受力最不利;
2 该构件施工质量较差、缺陷较多或病害及损伤较严重;
3 便于搭设脚手架,设置测点或实施加载。
条文说明
12.2.2结构性能静载试验一般不能实现批量检测,只对单个构件进行检测,有时单个构件的试验结果又作为该类构件进行处理的依据,因此,试验构件的选取宜在结构现状检查的基础上,按照约定抽样原则选取并应使最不利构件得到检验。
12.2.3 静载检验所用仪器仪表的精度要求、安装调试以及数据的测读和记录应符合现行国家标准《混凝土结构试验方法标准》GB/T 50152的有关规定。
条文说明
12.2.3现行国家标准《混凝土结构试验方法标准》GB/T50152有具体要求。
12.2.4 静载检验所用荷载和加载图式应符合计算简图,当采用等效荷载时,应对等效荷载产生的差别作适当修正。
条文说明
12.2.4荷载试验应尽量采用与标准荷载相同的荷载,但由于客观条件的限制,试验荷载与标准荷载会有所不同,此时,应根据效应等效的原则计算试验荷载。本条仅提出原则性要求,试验荷载的具体计算,应按各专业相关标准、规范的要求进行。
12.2.5 确定检验荷载应符合下列规定:
1 结构构件适用性检验荷载应根据结构构件正常使用极限状态荷载短期效应组合的设计值和加载图式经换算确定。荷载短期效应组合的设计值应按现行国家标准《建筑结构荷载规范》GB 50009的有关规定计算确定,或由设计文件提供。
2 结构构件安全性检验荷载应根据结构构件承载能力极限状态荷载效应组合的设计值和加载图式经换算确定。荷载效应组合的设计值应按现行国家标准《建筑结构荷载规范》GB 50009的有关规定计算确定,或由设计文件提供。
3 结构构件承载力检验荷载应根据结构构件承载能力极限状态荷载效应组合的设计值、加载图式和承载力检验标志经换算确定。
4 当设计有专门要求时,宜采用设计要求的检验荷载值。
条文说明
12.2.5由于各专业(公路、铁道等)工程结构可靠度设计统一标准和设计规范在极限状态承载能力和荷载组合的特点,本条仅提出原则性要求,试验荷载的具体计算,应按各专业相关标准、规范的要求进行。 就建筑结构而言: 1构件适用性检验荷载的效应不应小于可变作用标准值的效应与永久作用标准值的效应之和,即: Qs=Gk+Qk 式中:Qs——构件适用性短期结构构件性能检验值; Gk——永久荷载标准值; Qk——可变荷载标准值。 2构件安全性检验荷载的效应不应小于可变作用设计值的效应与永久作用设计值的效应之和,即: Qd=γGGk+γQQk 式中:Qd——构件安全性结构构件性能检验值; γG——永久荷载分项系数,一般取1.2; γQ——可变荷载分项系数,一般取1.4。 3构件极限状态承载能力检验荷载的效应不应小于可变和永久作用设计值的效应之和与承载力检验系数允许值之乘积,即: 
12.2.6 静载检验应选择下列基本观测项目进行观测:
1 构件的最大挠度;
2 支座处的位移;
3 控制截面应变;
4 裂缝的出现与扩展情况。
条文说明
12.2.6在进行静载检验时,观测项目主要包括三个方面:整体变形观测(挠度、扭转、支座沉降、转动等)、局部变形观测(应变)和现象观测(裂缝出现及裂缝宽度变化情况、混凝土压溃等)。 一般根据计算分析结果,选择变形较大或受力最不利截面作为控制截面,对于受弯构件一般选择跨中。
12.2.7 进行结构构件适用性检验时,尚应根据委托方的要求选择下列参数进行观测:
1 装饰装修层的应变;
2 管线位移和变形;
3 设备的相对位移及运行情况。
条文说明
12.2.7构件适用性的范围很广,由于混凝土构件变形可能造成附属设施破损和附属设备运行不正常,因此,尚应根据委托方的具体要求选择观测项目。
12.2.8 检验荷载应分级施加,每级荷载、累积荷载及其作用下观测数据的数值应通过计算分析确定。
条文说明
12.2.8在进行静载检验时,试验荷载应分级施加,一般情况下分为(4~5)级。分级施加试验荷载的目的为了保证受检结构安全,更好地控制试验的进行。具体的分级要求按现行国家标准《混凝土结构试验方法标准》GB/T50152的有关规定执行。
12.2.9 静载检验时,可选择下列指标作为停止加载工作的标志:
1 控制测点变形达到或超过规范允许值;
2 控制测点应变达到或超过计算理论值;
3 出现裂缝或裂缝宽度超过规范允许值;
4 出现检验标志;
5 检验荷载超过计算值。
条文说明
12.2.9本条规定了静载检验停止加载工作的标志。上述判定指标只有第1款、第2款为有关规范提出的限制,其他各款的限值应根据实际情况确定,此外本条仅提出部分可能出现问题。 构件承载力的检验可不受本条限制。
12.2.10 每级荷载施加后应稳定测读相应的测试数据并及时与计算值进行比较,观察构件、支承的表面情况,必要时应观察相邻构件、附属设备与设施等的状态变化;当出现本标准第12.2.9条的现象时可停止加载。
条文说明
12.2.10对试验数据的实时处理便于试验人员及时了解和判断结构的工作状态,避免出现安全事故。
12.2.11 全部荷载加完后或停止加载工作后应进行下列工作:
1 应分级卸载,测读数据,观察并记录构件表面情况;
2 卸除全部荷载并达到变形恢复持续时间后,应再次测读数据,观察并记录表面情况。
条文说明
12.2.11荷载作用下持续时间和变形恢复持续时间按现行国家标准《混凝土结构试验方法标准》GB/T50152的有关规定执行。相对残余变形(残余变形与弹性变形的比值)的大小反映结构是否处于弹性状态,由于混凝土材料并不是完全弹性材料,对于构件承载力检验,荷载作用下持续时间和变形恢复持续时间不应少于24h,在此条件下可根据最大变形值、相对残余变形和变形值与相应的理论计算值的关系综合判断构件承载能力。一般情况下,相对残余变形小于20%作为判断构件承载能力的关键指标。
12.2.12 当按现行国家标准《混凝土结构设计规范》GB 50010规定的挠度允许值进行检验时,挠度数据整理应符合下列规定:
1 消除支座沉降影响后实测的跨中最大挠度应按下式计算:

2 考虑自重等修正后的跨中最大挠度可按下式计算:

3 考虑自重等修正后的跨中最大挠度可按下式计算:

4 构件长期挠度可按下式计算:


5 确定受弯构件的弹性挠度曲线,可采用有限差分法,此时测点数目不应少于5个。
条文说明
12.2.12构件的挠度控制指标是考虑长期变形的,因此应对短期荷载作用下的变形进行换算。本条的换算方法与现行国家标准《混凝土结构设计规范》GB50010和《混凝土结构试验方法标准》GB/T50152的有关规定一致。
12.2.13 静载检验检测报告除应满足本标准第3.5.3条要求外,还应提供下列内容:
1 检验过程描述;
2 测点布置、荷载简图;
3 主要测点相对残余变形;
4 主要测点实测变形与荷载的关系曲线;
5 主要测点实测变形与相应的理论计算值的对照表及关系曲线。
条文说明
12.2.13本条对荷载试验应提供的信息提出要求,便于检测报告使用者对荷载试验过程和结果有更详细的了解。
12.2.14 静载检验结果可按下列规定进行评定:
1 在构件适用性检验荷载作用下,经修正后的实测挠度值和裂缝宽度不应大于现行国家标准《混凝土结构设计规范》GB 50010等相关设计规范要求的限值、附属设备、设施未出现影响正常使用的状态,此时,受检构件适用性可评定为满足要求。
2 在构件安全性检验荷载作用下,当受检构件无明显破坏迹象,实测挠度值满足下列条件之一时,可评定受检构件安全性满足要求。
实测挠度值小于相应的理论计算值;
实测挠度与荷载基本保持线性关系;
构件残余挠度不大于最大挠度的20%。
条文说明
12.2.14关于安全的结论,仅对受检结构构件有效。
12.2.15 结构构件承载力的荷载检验应按下列规定进行:
1 宜将受检构件从结构中移出,在场地附近按现行国家标准《混凝土结构工程施工质量验收规范》GB 50204的有关规定进行检验。
2 确有把握时,构件承载力的检验可在原位进行,完成检验目标后应迅速卸载。
3 构件极限状态承载能力荷载检验停止加载或合格性判定指标,应按现行国家标准《混凝土结构试验方法标准》GB/T 50152中相应承载力极限状态的标志确定。
条文说明
12.2.15结构构件承载力原位检验存在较大的风险。
12.3 动力测试
12.3 动力测试
12.3.1 动力测试可适用于结构动力特性测试和结构动力反应的检测。
条文说明
12.3.1结构动力特性测试包括自振频率、振型和阻尼系数,这些参数是结构自身的模态参数,结构损伤可以通过这些模态参数进行识别,构件加固前、后状况也可通过模态参数的变化进行评估。结构动力反应不仅与结构自身状况有关,也与外加动力荷载有关。
12.3.2 结构动力特性测试宜选用脉动试验法,在满足测试要求的前提下也可选用初位移等其他激振方法。
条文说明
12.3.2混凝土结构的脉动是一种很微小的振动,脉动源来自地壳内部微小的振动、车辆交通和设备运行引起的微小振动以及风引起的振动。利用结构的脉动响应来确定其动力特性,称为脉动试验。脉动试验不需要任何激振设备,对结构不会造成损伤且不影响结构的使用,是一种有效简便的方法。在桥梁检测中,也可利用跳车试验进行激振。
12.3.3 混凝土结构动力反应宜选用可稳定再现的动荷载作为检验荷载。当需确定基桩施工、设备运行等非标准动荷载作用下的动力反应时,应对该动荷载的再现性进行约定。
条文说明
12.3.3混凝土结构动力反应随动荷载的变化而变化,因此,宜选用可稳定再现的动荷载作为试验荷载。实际检测中常常涉及基桩施工、设备运行等非标准动荷载作用下的结构动力反应,为了避免纠纷,应对该动荷载的再现性进行约定。
12.3.4 动力测试的测试系统,可采用电磁式测试系统、压电式测试系统、电阻应变式测试系统或光电式测试系统。在选择测试系统时,应注意选择测振仪器的技术指标,使传感器、放大器、记录装置组成的测试系统的灵敏度、动态范围、幅频特性和幅值范围等技术指标满足被测结构动力特性范围的要求。
条文说明
12.3.4由于被测结构动力特性的变化和动力荷载的变化,不宜对测试系统作出统一的规定。
12.3.5 动力测试前,应对测试系统的灵敏度、幅频特性、相频特性线性度等进行标定,标定宜采用系统标定。
条文说明
12.3.5分部标定中间环节多,操作麻烦,且精度不高。
12.3.6 结构动力特性测试时,测点布置应结合混凝土结构形式综合确定,并宜避开振型的节点。
条文说明
12.3.6结构动力特性测试时,测点布置应结合混凝土结构形式和计算分析的结果综合确定,振型节点处信号弱,尽可能避开。
12.3.7 检测结构振型时,可选用下列方法:
1 在所要检测混凝土结构振型的峰、谷点上布设测振传感器,用放大特性相同的多路放大器和记录特性相同的多路记录仪,同时测记各测点的振动响应信号。
2 将结构分成若干段,选择某一分界点作为参考点,在参考点和各分界点分别布设测振传感器(拾振器),用放大特性相同的多路放大器和记录特性相同的多路记录仪,同时测记各测点的振动响应信号。
条文说明
12.3.7当传感器的数量不足时,可进行分段测试。
12.3.8 结构动力特性测试的数据处理,应符合下列规定:
1 时域数据处理:对记录的测试数据应进行零点漂移、记录波形和记录长度的检验;被测试结构的自振周期,可在记录曲线上比较规则的波形段内取有限个周期的平均值;被测试结构的阻尼比,可按自由衰减曲线求取,在采用稳态正弦波激振时,可根据实测的共振曲线采用半功率点法求取;被测试结构各测点的幅值,应采用记录信号幅值除以测试系统的增益,并应按此求得振型。
2 频域数据处理:对频域中的数据应采用滤波、零均值化方法进行处理;被测试结构的自振频率,可采用自谱分析或傅里叶谱分析方法求取;被测试结构的阻尼比,宜采用自相关函数分析、曲线拟合法或半功率点法确定;被测试结构的振型,宜采用自谱分析、互谱分析或传递函数分析方法确定;对于复杂结构的测试数据,宜采用谱分析、相关分析或传递函数分析等方法进行分析。
条文说明
12.3.8现代测振仪器已实现数字化和集成化,可以对数据进行快速、实时分析。
附录A混凝土抗压强度现场检测方法
A.1一般规定
附录A 混凝土抗压强度现场检测方法
A.1 一般规定
A.1.1 本方法适用于结构或构件混凝土抗压强度的检测。
A.1.2 混凝土抗压强度可采用回弹法、超声-回弹综合法、后装拔出法、后锚固法等间接法进行检测,也可采用直接检测抗压强度的钻芯法进行检测。
A.1.3 检测混凝土抗压强度所用仪器应通过技术鉴定,并应具有产品合格证书和检定证书。
A.1.4 除了有特殊的检测目的之外,混凝土抗压强度检测方法的选择应符合下列规定:
1 采用回弹法时,被检测混凝土的表层质量应具有代表性,且混凝土的抗压强度和龄期不应超过相应技术标准限定的范围;
2 采用超声回弹综合法时,被检测混凝土的内外质量应无明显差异,并宜具有超声对测面;
3 采用后装拔出法和后锚固法时,被检测混凝土的表层质量应具有代表性;
4 当被检测混凝土的表层质量不具有代表性时,应采用钻芯法;
5 回弹法、超声回弹综合法或后装拔出法的检测结果,宜进行钻芯修正或利用同条件养护立方体试块的抗压强度进行修正。
A.1.5 采用钻芯法对回弹法、超声回弹综合法、后装拔出法或后锚固法进行修正时,应符合本标准附录C的规定。
A.2回弹法检测混凝土抗压强度
A.2 回弹法检测混凝土抗压强度
A.2.1 回弹法所采用的回弹仪应符合现行行业标准《混凝土回弹仪》JJG 817的有关规定,并应符合下列标准状态的要求:
1 水平弹击时,在弹击锤脱钩的瞬间,回弹仪弹击锤的冲击能量应为2.207J;
2 弹击锤与弹击杆碰撞的瞬间,弹击弹簧应处于自由状态;
3 在洛氏硬度HRC为60±2的钢砧上,回弹仪的率定值为80±2。
A.2.2 回弹法测区应符合下列规定:
1 当需要进行单个构件推定时,每个构件布置的测区数不宜少于10个;当不需要进行单个构件推定时,每个构件布置的测区数可适当减少,但不应少于3个;
2 测区离构件端部或施工缝边缘的距离不宜小于0.2m;
3 测区应选在使回弹仪处于水平方向检测混凝土浇筑侧面。当不能满足这一要求时,可使回弹仪处于非水平方向检测混凝土浇筑侧面、表面或底面;
4 测区宜选在构件的两个对称可测面上,也可选在一个可测面上,且应均匀分布。在构件的重要部位和薄弱部位应布置测区;
5 测区面积不宜大于0.04m 2 ;
6 检测面应为混凝土面,并应清洁、平整,不应有疏松、浮浆及蜂窝、麻面;
7 测区应有清晰的编号。
A.2.3 测区回弹值测量应符合下列规定:
1 检测时,回弹仪的轴线应始终垂直于检测面,缓慢施压,准确读数,快速复位。
2 测点应在测区范围内均匀分布,相邻两测点的净距不宜小于20mm;测点距外露钢筋、预埋件的距离不宜小于30mm。弹击时应避开气孔和外露石子,同一测点只应弹击一次,读数估读至1。每一个测区应记取16个回弹值。
3 同一测区16个回弹值中的3个最大值和3个最小值应直接剔除,计算余下的10个回弹值的平均值。
4 应根据现行行业标准《回弹法检测混凝土抗压强度技术规程》JGJ/T 23的有关规定对回弹平均值进行修正,以修正后的平均值作为该测区回弹值的代表值。
A.2.4 碳化深度值测量应符合下列规定:
1 回弹值测量完毕后,应在有代表性的位置测量碳化深度值;测量数不应少于构件测区数的30%,取其平均值作为该构件所有测区的碳化深度值;
2 碳化深度值测量可按本标准附录F中方法进行。
A.2.5 测区混凝土抗压强度换算值应根据现行行业标准《回弹法检测混凝土抗压强度技术规程》JGJ/T 23的有关规定进行计算。
A.2.6 单个构件混凝土抗压强度推定应符合下列规定:
1 当构件测区数量不少于10个时,该构件混凝土抗压强度推定值可按下式计算:

2 当构件测区数量少于10个时,该构件混凝土抗压强度推定值应按下式计算:

A.3超声回弹综合法检测混凝土抗压强度
A.3 超声回弹综合法检测混凝土抗压强度
A.3.1 超声回弹综合法所采用的回弹仪应符合本标准第A.2.1条的要求。
A.3.2 超声回弹综合法所采用的超声仪应符合现行行业标准《混凝土超声波检测仪》JG/T 5004的有关规定;换能器的工作频率宜在50kHz~100kHz范围内,其实测主频与标称主频相差不应超过±10%。
A.3.3 超声回弹综合法测区除应符合本标准第A.2.2条的要求外,尚应符合下列规定:
1 测区应选在构件的两个对称可测面上,并宜避开钢筋密集区;
2 同一个构件上的超声测距宜基本一致;
3 超声测线距与其平行的钢筋距离不宜小于30mm。
A.3.4 测区回弹值测量应符合本标准第A.2.3条的要求。
A.3.5 测区声速测量应符合下列规定:
1 超声测点应布置在回弹测试的对应测区内,每一个测区布置3个测点;
2 超声测试时,换能器应通过耦合剂与混凝土测试面良好耦合;
3 声时测量应精确至0.1μs,测距测量应精确至1mm,声速计算精确至0.01km/s;
4 以同一测区3个测点声速的平均值作为该测区声速的代表值。
A.3.6 测区混凝土抗压强度换算值计算应符合下列规定:
1 当不进行芯样修正时,测区混凝土抗压强度宜采用专用测强曲线或地区测强曲线换算;
2 当进行芯样修正时,测区混凝土抗压强度可按下列公式进行计算:
当粗骨料为卵石时:

当粗骨料为碎石时:

A.3.7 单个构件混凝土抗压强度推定应符合本标准第A.2.6条的要求。
A.4后装拔出法检测混凝土抗压强度
A.4 后装拔出法检测混凝土抗压强度
A.4.1 后装拔出法所采用的拔出仪应满足下列要求:
1 额定拔出力应大于测试范围内的最大拔出力;
2 工作行程对于圆环式拔出试验装置不应小于4mm;对于三点式拔出试验装置不应小于6mm;
3 测力装置应具有峰值保持功能;
4 允许示值偏差应为±2%。
A.4.2 后装拔出法测区除应符合本标准第A.2.2条的要求外,尚应符合下列规定:
1 每个构件布置3个测区;当需要进行单个构件推定且出现最大拔出力或最小拔出力与中间值之差大于中间值的15%时,应在最小拔出力测区附近加测2个测区;
2 测区宜布置在混凝土浇筑侧面;当不能满足时,可布置在混凝土浇筑表面或底面;
3 在构件的重要部位和薄弱部位应布置测区;
4 测区离构件端部或施工缝边缘的距离不宜小于4倍锚固深度;相邻测区距离不宜小于10倍锚固深度。
A.4.3 拔出试验应符合下列规定:
1 在钻孔过程中,钻头应始终与混凝土表面保持垂直,垂直度偏差不应大于3°。钻孔直径应不应小于仪器规定值0.1mm,且不应大于1.0mm,钻孔深度应比锚固深度深20mm~30mm,锚固深度允许偏差应为±0.8mm。
2 在混凝土孔壁磨环形槽时,磨槽机的定位圆盘应始终紧靠混凝土表面回转,磨出的环形槽应规整;环形槽深度应为3.6mm~4.5mm。
3 应将胀簧插入成型孔内,通过胀杆使胀簧锚固台阶完全嵌入环形槽内。
4 拔出仪应与锚固拉杆对中连接,并与混凝土检测面垂直。
5 连续均匀施加拔出力,速度应控制在0.5 kN/s~1.0kN/s。
6 应继续施加拔出力至混凝土开裂破坏、测力显示器读数不再增加为止,记录极限拔出力,精确至0.1kN。
A.4.4 测区混凝土抗压强度换算值计算应符合下列规定:
1 当不进行芯样修正时,测区混凝土抗压强度宜采用专用测强曲线或地区测强曲线换算;
2 当进行芯样修正时,测区混凝土抗压强度可按下式进行计算:

A.4.5 单个构件混凝土抗压强度推定应符合下列规定:
1 当最大拔出力和最小拔出力与中间值之差均小于中间值的15%时,应以测区换算强度最小值作为该构件混凝土抗压强度推定值;
2 当最大拔出力或最小拔出力与中间值之差大于中间值的15%时,应计算换算强度最小值和其附近加测的2个测区换算强度的平均值,以该平均值与前一次的中间值的较小值作为该构件混凝土抗压强度推定值。
附录B芯样混凝土抗压强度异常数据判别和处理
B.1一般规定
附录B 芯样混凝土抗压强度异常数据判别和处理
B.1 一般规定
B.1.1 本方法适用于芯样混凝土抗压强度异常数据的判别和处理。
B.1.2 在采用钻芯法修正或验证其他无损检测方法时,宜对芯样混凝土抗压强度异常值进行判别或处理。
B.1.3 本方法可在双侧情形判断样本中的异常值,即异常值是在两端都可能出现的极端值。
B.1.4 本方法规定在样本中检出异常值的个数的上限不应超过2个,当超过了2个时,对此样本的代表性,应作慎重的研究和处理。
B.2异常值检验
B.2 异常值检验
B.2.1 统计量应按下式计算:

式中:t——统计量;
x k ——样本中芯样强度最大值或最小值;
m x ——余下的n - 1个芯样强度平均值;
s x ——余下的n - 1个芯样强度标准差;
n——芯样样本数量。
B.2.2 当计算统计量t大于临界值t α 时,可认为x k 系粗大误差构成的异常值。
B.2.3 临界值t α 可按表B.2.3取值。
表B.2.3 临界值t α

B.3异常值处理
B.3 异常值处理
B.3.1 对检出的异常值,应寻找产生异常值的原因,作为处理异常值的依据。
B.3.2 剔出异常值应符合下列规定:
1 高端异常值可直接剔除;
2 在有充分理由说明其异常原因时,可剔除低端异常值;
3 当无充分理由说明其异常原因时,在低端异常值芯样邻近位置重新取样复测,根据复测结果,判断是否剔除。
B.3.3 芯样剔除应由主检签字认可,并应记录剔除的理由和必要的说明。
附录C混凝土换算抗压强度钻芯修正方法
附录C 混凝土换算抗压强度钻芯修正方法
C.0.1 本方法适用于混凝土换算抗压强度的钻芯修正。
C.0.2 钻芯修正可采用总体修正量、对应样本修正量、对应样本修正系数或一一对应修正系数等修正方法,并宜优先采用总体修正量方法。
C.0.3 钻芯修正时,芯样试件的数量和取芯位置应符合下列要求:
1 芯样数量可按下式预估:
n cor,r =400δ 2 (C.0.3)
式中:n cor,r ——芯样数量;
δ——混凝土抗压强度变异系数。
对于直径100mm的芯样,芯样数量尚不应少于6个;对于小直径芯样,芯样数量尚不应少于9个。
2 芯样应从间接法受检构件中随机抽取,取芯位置应符合本标准第A.5.3条的规定。
3 当采用的间接法为无损检测方法时,取芯位置应与间接法相应的测区重合。
4 当采用的间接法对结构有损伤时,取芯位置应布置在间接法相应的测区附近。
C.0.4 当采用总体修正量法时,芯样抗压强度应按本标准第3.4.7条的规定确定推定区间,推定区间上限与下限差值不应大于其均值的10%。总体修正量和相应的修正可按下列公式计算:


C.0.5 当采用对应样本修正量法时,修正量和相应的修正可按下列公式计算:

C.0.6 当采用对应样本修正系数方法时,修正系数和相应的修正可按下列公式计算:

C.0.7 当采用一一对应修正系数方法时,修正系数和相应的修正可按下列公式计算:

C.0.8 对单个构件或检验批混凝土抗压强度进行推定时,应以修正后测区混凝土换算强度进行计算。
附录D混凝土内部不密实区超声检测方法
附录D 混凝土内部不密实区超声检测方法
D.0.1 超声法检测混凝土内部缺陷时被测部位应满足下列要求:
1 被测部位应具有可进行检测的测试面,并保证测线能穿过被检测区域;
2 测试范围应大于有怀疑的区域,使测试范围内具有同条件的正常混凝土;
3 总测点数不应少于30个,且其中同条件的正常混凝土的对比用测点数不应少于总测点数的60%,且不少于20个。
D.0.2 检测结合面质量时应根据结合面位置确定测试部位,被测部位应具有使声波垂直或斜穿过结合面的测试条件。
D.0.3 超声法检测混凝土内部缺陷时测点布置应符合下列规定:
1 当构件具有两对相互平行的测试面时,宜采用对测法,应在测试部位两对相互平行的测试面上分别画出等间距的网格,网格间距可为100mm~300mm,大型构件可适当放宽,编号确定对应的测点位置(图D.0.3-1)。
2 当构件具有一对相互平行的测试面时,宜采用对测和斜测相结合的方法,应在测试部位相互平行的测试面上分别画出等间距的网格,网格间距可为100mm~300mm,大型构件可适当放宽,在对测的基础上进行交叉斜测(图D.0.3-2)。
3 当构件只具有一个测试面时,宜采用钻孔和表面测试相结合的方法,应在测试面中心钻孔,孔中放置径向振动式换能器作为发射点,以钻孔为中心不同半径的圆周上布置平面换能器的接收测点,同一圆周上测点间距一般为100mm~300mm,不同圆周的半径相差100mm~300mm,大型构件可适当放宽,同一圆周上的测点作为同一个构件数据进行分析(图D.0.3-3)。



4 当测距较大时,可采用钻孔或预埋声测管法,应用两个径向振动式换能器分别置于平行的测孔或声测管中进行测试,可采用双孔平测、双孔斜测、扇形扫测的检测方式(图D.0.3-4)。

5 当测距较大时,也可采用钻孔与构件表面对侧相结合的方法,钻孔中径向振动式换能器发射,构件表面的平面换能器接收。可采用对测、斜测、扇形扫描的检测方式(图D.0.3-5)。

6 当构件测试面不平行而是具有一对相互垂直或有一定夹角的测试面时,应在一对测试面上分别画上等间距的网格,网格间距一般为100mm~300mm,测线应尽可能与测试面垂直且尽可能均匀分布地穿过被测部位(图D.0.3-6)。
7 混凝土结合面质量检测时换能器连线应垂直或斜穿过结合面测量每个测点的声时、波幅、主频和测距,对发生畸变的波形应存储或记录(图D.0.3-7)。
8 对同一测试区域在测试时应保证测试系统以及工作参数的一致性,并尽可能保证测距和测线倾斜角度的一致性。


D.0.4 声学参数异常点的判定应符合下列规定:
1 将测区内各测点的声速、波幅由大到小顺序排列,并按下式计算异常情况的判断值,当被测构件声速异常偏大时,可根据实际情况直接剔除。

2 当测区内某测点声学参数被判为异常时,可按下列公式进一步判别其相邻测点是否异常:

3 当被测构件上有怀疑的区域范围较大,在同一构件中不能满足本标准第D.0.1条的要求时,可选择同条件的正常构件进行检测,按正常构件声学参数的均值和标准差以及被测构件的测点数,计算异常数据的判断值,以此判断值对被测构件声学参数进行判断,确定声学参数异常点。
4 当被测构件缺陷的匀质性较好或缺陷区域的厚度较薄(结合面),导致计算出的异常数据判断值与经验值相比明显偏低时,可采用声学参数的经验判断值进行判断,确定声学参数异常点。
5 当被测构件测点数不满足本标准第D.0.1条的要求、无法进行统计法判断时,或当测线的测距或倾斜角度不一致、幅度值不具有可比性时,可将有怀疑测点的声参数与同条件的正常混凝土区域测点的声参数进行比较,当有怀疑测点的声参数明显低于正常混凝土测点声参数,该点可判为声学参数异常点。
D.0.5 混凝土内部缺陷的位置和范围应结合声参数异常点的分布及波形状况进行综合判定。
附录E混凝土裂缝深度超声单面平测方法
附录E 混凝土裂缝深度超声单面平测方法
E.0.1 当结构的裂缝部位只有一个可测面,裂缝的估计深度不大于500mm且比被测构件厚度至少小100mm以上时,可采用单面平测法检测混凝土裂缝深度。
E.0.2 单面平测法检测混凝土裂缝深度时,受检裂缝两侧均应具有清洁、平整且无裂缝的检测面,检测面宽度均不宜小于估计的缝深;被测裂缝中不应有积水或泥浆等。
E.0.3 单面平测法检测裂缝深度应按下列步骤进行:
1 应将T和R换能器置于裂缝附近同一侧,以两个换能器内边缘间距
等于100mm、150mm、200mm......分别读取4个以上的声时值(t i ),求出声时与测距之间的回归直线方程:
l=a+bt (E.0.3-1)
式中:l——测距(mm);
t——与测距l对应的声时值(μs);
a——回归直线方程的常数项(mm);
b——回归系数即平测法声速v(km/s)。
2 各测点超声实际传播的距离l i 应按下式计算

3 应将T、R换能器分别置于以裂缝为对称的两侧(图E.0.3),对应不同的
。

E.0.4 对应于不同测距的裂缝深度及裂缝深度的极差和裂缝深度的平均值应按下列公式计算:


E.0.5 各测点的裂缝计算深度的极差应满足下列规定:
1 当m h,c ≤30mm时,绝对极差不应大于10mm;
2 当30mm<m h,c <300mm时,相对极差不应大于30%;
3 当m h,c ≥300mm时,绝对极差不应大于90mm。
E.0.6 受检裂缝深度应按下列规定确定:
1 当各测点的裂缝计算深度的极差满足本标准第E.0.5条要求时,应取裂缝深度计算值的平均值作为受检裂缝的深度。
2 当各测点的裂缝计算深度的极差不满足第E.0.5条要求时,应将各测点的测距
>3m h,c 的数据直接剔除后,重新计算极差。
3 当重新计算仍不能满足本标准第E.0.5条要求时,应补充检测或重新检测。
附录F混凝土性能受影响层厚度原位检测方法
F.1一般规定
附录F 混凝土性能受影响层厚度原位检测方法
F.1 一般规定
F.1.1 本方法适用于遭受冻伤、火灾或化学腐蚀后混凝土性能受影响层厚度的原位检测。
F.1.2 混凝土性能受影响层厚度应根据受影响层混凝土物理性质或化学性质的可能变化选择碳化深度测试方法或超声法进行检测。
F.1.3 原位检测宜进行取样验证,混凝土性能受影响层厚度的取样检测可按本标准附录G进行。
F.2碳化深度测试方法
F.2 碳化深度测试方法
F.2.1 单个测区碳化深度的测试可按下列步骤操作:
1 在混凝土表面布置测孔,根据预估的碳化深度选择测孔直径;
2 清扫孔内碎屑和粉末;
3 向孔内喷洒浓度为1%的酚酞试液,喷洒量以表面均匀湿润但不流淌;
4 当已碳化和未碳化界限清楚时,测量已碳化和未碳化交界面至混凝土表面的垂直距离即为碳化深度,测量不应少于3次,取其平均值,精确至0.5mm。

F.2.2 当碳化深度用于损伤程度评定时,测区和测孔的布置应符合下列规定:
1 根据表面损伤状况进行分类,将表面损伤状况相近的构件作为一个损伤类别;
2 对每个损伤类别按约定抽样方法选择受检构件或受检区域;
3 每个损伤类别布置不应少于6个测区,测区宜布置在有代表性的部位;
4 每个测区应布置3个测孔,取3个测孔碳化深度的平均值作为该测区碳化深度的代表值;
5 提供每个测区的碳化深度检测值;
6 以每个类别中最大的碳化深度作为该类别混凝土性能受影响层的厚度。
F.3表面损伤层厚度超声检测方法
F.3 表面损伤层厚度超声检测方法
F.3.1 超声检测表面损伤层厚度时,测区的布置应符合下列规定:
1 根据表面损伤状况进行分类,将表面损伤状况相近的构件作为一个损伤类别;
2 对每个损伤类别按约定抽样方法选择受检构件或受检区域;
3 每个损伤类别布置不应少于3个测区,测区宜布置在有代表性的部位;
4 测区表面应平整并处于干燥状态,且无接缝和饰面层;
5 以每个类别中最大的损伤深度作为该类别混凝土性能受影响层的厚度。
F.3.2 单个测区表面损伤层厚度的检测应符合下列规定:
1 表面损伤层厚度检测宜选用频率较低的厚度振动式换能器;
2 测试时,T换能器应耦合好,并保持不动;将R换能器依次耦合在间距为30mm的l、2、3、......测点位置上,读取相应的声时值t 1 、t 2 、t 3 、......,并测量每次T、R换能器内边缘之间的距离l 1 、l 2 、l 3 、......(图F.3.2-1);

3 每个测区布置的测点数不应少于6个,损伤层较厚或不均匀时,应适当增加测点数;
4 用各测点的声时值t i 和对应的距离l i 绘制“时-距”图(图F.3.2-2)。分别用图中转折点前、后数据求出损伤和未损伤混凝土的“l-t”回归直线方程:

图F.3.2-2 超声检测损伤层“时-距”图
损伤混凝土:
l f =a 1 +b 1 t f (F.3.2-1)
未损伤混凝土:
l a =a 2 +b 2 t a (F.3.2-2)
5 测区损伤层厚度应按下列公式计算:

附录G混凝土性能受影响层厚度取样检测方法
附录G 混凝土性能受影响层厚度取样检测方法
G.0.1 本方法适用于混凝土性能受影响层厚度的取样检测。
G.0.2 混凝土性能受影响层厚度可根据造成影响因素的特点,通过湿润深度、里氏硬度和碳化深度的测试结果进行判定。
G.0.3 湿润深度法测试应符合下列规定:
1 将混凝土芯样进行冲洗后,放入干净水中浸泡2h;
2 将芯样从水中取出,表面朝上直立放置在通风阴凉处;
3 定时观察芯样侧面湿润程度的情况变化,当芯样侧面出现明显的湿润分界线时,测量两个相互垂直直径对应的4个测点湿润分界线至芯样上表面的垂直距离,读数精确至0.1mm;
4 取4个测点测值的平均值作为该芯样湿润深度的代表值;
5 湿润深度的代表值可作为该芯样所在部位混凝土性能受影响层厚度的判定值。
G.0.4 里氏硬度法测试应符合下列规定:
1 将混凝土芯样冲洗后、擦干并晾置面干。
2 沿两个相互垂直直径对应的4个测点在芯样侧面画出4条平行于芯样轴线的测试线。
3 沿每条测试线分别从芯样上表面开始以5mm的间距,连续测试里氏硬度;当连续3个测试数据相差不超过5时,停止测试。
4 将测点离上表面的距离与对应的里氏硬度值进行数据分析,得到里氏硬度值突变时的测点位置参数。
5 4个测线位置参数测值的算术平均值可作为该芯样所在部位混凝土性能受影响层厚度的判定值。
G.0.5 碳化深度法测试应符合下列规定:
1 将混凝土芯样冲洗后晾干;
2 将芯样对中劈开,在两个新劈开面的中间部位喷洒浓度为1%的酚酞试液,喷洒量以表面均匀湿润但不流淌;
3 测量每个劈开面的中间及两侧各1/4半径对应部位的碳化深度读数精确至0.1mm;
4 取两个新劈开面共6个测点的碳化深度平均值作为该芯样碳化深度的代表值;
5 碳化深度的代表值可作为该芯样所在部位混凝土性能受影响层厚度的判定值。
本标准用词说明
本标准用词说明
1 为了便于在执行本标准条文时区别对待,对要求严格程度不同的用词说明如下:
表示很严格,非这样做不可的:正面词采用“必须”;反面词采用“严禁”;表示严格,在正常情况下均应这样做的:正面词采用“应”;反面词采用“不应”或“不应”;表示允许稍有选择,在条件许可时首先这样做的:正面词采用“宜”;反面词采用“不宜”;表示有选择,在一定条件下可以这样做的,采用“可”。
2 标准中指明应按其他有关标准执行的写法为:“应符合......的规定”或“应按......执行”。
引用标准名录
引用标准名录
1 《建筑结构荷载规范》GB 50009
2 《混凝土结构设计规范》GB 50010
3 《普通混凝土力学性能试验方法标准》GB/T 5008l
4 《普通混凝土长期性能和耐久性能试验方法标准》GB/T 50082
5 《混凝土结构试验方法标准》GB/T 50152
6 《混凝土结构工程施工质量验收规范》GB 50204
7 《建筑结构检测技术标准》GB/T 50344
8 《水泥化学分析方法》GB/T 176
9 《建筑变形测量规范》JGJ 8
10 《回弹法检测混凝土抗压强度技术规程》JGJ/T 23
11 《普通混凝土用砂、石质量及检验方法标准》JGJ 52
12 《混凝土中钢筋检测技术规程》JGJ/T 152
13 《混凝土回弹仪》JJG 817
14 《混凝土超声波检测仪》JG/T 5004
