Appearance
《密肋复合板结构技术规程[附条文说明]》JGJ/T 275-2013
🗓️ 住房和城乡建设部 实施时间:2014-06-01
前言
中华人民共和国行业标准
密肋复合板结构技术规程
Technical specification for multi-ribbed composite panel structures
JGJ/T 275-2013
批准部门:中华人民共和国住房和城乡建设部
施行日期:2014年6月1日
中华人民共和国住房和城乡建设部公告
第230号
住房城乡建设部关于发布行业标准《密肋复合板结构技术规程》的公告
现批准《密肋复合板结构技术规程》为行业标准,编号为JGJ/T 275-2013,自2014年6月1日起实施。
本规程由我部标准定额研究所组织中国建筑工业出版社出版发行。
中华人民共和国住房和城乡建设部
2013年12月3日
前 言
根据住房和城乡建设部《关于印发<2009年工程建设标准规范制订、修订计划>的通知》(建标[2009]88号)的要求,规程编制组经广泛调查研究,认真总结实践经验,参考有关国际标准和国外先进标准,并在广泛征求意见的基础上,编制本规程。
本规程的主要技术内容是:1.总则;2.术语和符号;3.材料;4.荷载和地震作用;5.结构设计基本规定;6.密肋复合板结构基本构件;7.多层密肋复合板结构设计;8.高层密肋复合板结构设计;9.部分框支密肋复合板结构设计;10.施工与验收。
本规程由住房和城乡建设部负责管理,由北京交通大学负责具体技术内容的解释。执行过程中如有意见或建议,请寄送北京交通大学(地址:北京市海淀区上园村3号北京交通大学土木建筑工程学院,邮政编码:100044)。
本规程主编单位:北京交通大学
华北建设集团有限公司
本规程参编单位:西安建筑科技大学
住房和城乡建设部科技发展促进中心
中国建筑西北设计研究院有限公司
陕西省建筑设计研究院有限责任公司
河北理工大学建筑设计研究院
河南工业大学
沈阳建筑大学
北京太空板业股份有限公司
湖南省立信建材实业有限公司
湖北大成空间建筑科技有限公司
长沙巨星轻质建材股份有限公司
迈瑞司(北京)抗震住宅技术有限公司
哈尔滨鸿盛房屋节能体系研发中心
本规程主要起草人员: 姚谦峰 贾英杰 陆喜信 袁泉 胡德鹿 任民 陈平 赵冬 张荫 黄炜 常鹏 苏幼坡 孙静 张杰 丁永刚 尚仁杰 周铁钢 刘明 陶晞暝 林国海 王本淼 傅礼铭 胡萍 樊志 钱坤 马健骊 欧阳元生 石安仁 熊耀清 马雷 夏雷 郭猛 李鹏飞 刘海涛 赵媛媛 何玉阳
本规程主要审查人员:王亚勇 曹万林 范重 柯长华 郭彦林 蒋立红 陈祥福 牟在根 王成博 朱景仕
条文说明
中华人民共和国行业标准 密肋复合板结构技术规程 JGJ/T275-2013 条文说明 制订说明 《密肋复合板结构技术规程》JGJ/T275-2013,经住房和城乡建设部2013年12月3日以第230号公告批准、发布。 本规程制订过程中,编制组进行了广泛深入的调查研究,总结了我国密肋复合板结构设计与施工的实践经验,同时参考了国外先进技术法规、技术标准,通过试验取得了重要技术参数。 为便于广大设计、施工、科研、学校等单位有关人员在使用本规程时能正确理解和执行条文规定,《密肋复合板结构技术规程》编制组按章、节、条顺序编制了本规程的条文说明,对条文规定的目的、依据以及执行中需注意的有关事项进行了说明。但是,本条文说明不具备与标准正文同等的法律效力,仅供使用者作为理解和把握标准规定的参考。
1 总则
1 总 则
1.0.1 为在建筑工程中合理应用密肋复合板结构,做到安全适用、技术可靠、节能环保、经济合理、方便施工,制定本规程。
条文说明
1.0.1密肋复合板结构是适应我国墙体改革、楼板创新、建筑节能及住宅产业化要求的产物,具有结构自重轻、抗震性能好、保温隔热、节能效果佳等特点。
1.0.2 本规程适用于8层及8层以下且房屋高度不超过24m的多层密肋复合板结构及9层及9层以上或房屋高度超过24m的高层密肋复合板结构。非抗震设计和抗震设防烈度为6度至8度抗震设计的密肋复合板结构,其适用的房屋最大高度应符合本规程的有关规定。
本规程不适用于建造在危险地段以及发震断裂最小避让距离内的密肋复合板结构。
条文说明
1.0.2密肋复合板结构是由密肋复合墙板通过现浇的连接构件与楼板等装配整体构成的结构体系。密肋复合墙板和密肋复合楼盖可共同形成结构体系,也可作为单独构件和其他常规结构构件形成结构体系。其中,密肋复合墙板在水平荷载作用下,框格与内部低强度填充体通过约束与反约束,两者相互作用,共同受力,充分发挥各自性能。 密肋复合板结构中,密肋复合墙板不仅起围护、分隔空间和保温作用,而且可作为承力构件使用,可有效减小受力构件截面尺寸及钢筋用量;密肋复合楼盖充分利用了受弯构件的截面有效高度和截面惯性矩,降低了楼板结构重量,可适用于较大跨度的楼板。 密肋复合墙板在水平荷载作用下,裂缝首先出现在低强度材料处,由于受到加强框格的约束,其裂缝被限制在一定范围之内,在反复荷载作用下,一方向荷载产生的裂缝在反方向加载时将趋于闭合,能继续有效地承受荷载,墙板整体承载能力不会明显降低,这使得低强度材料有效参与结构的抗侧力体系成为可能,从而可提高结构侧向刚度,拓展结构的建造高度;另外,由于众多裂缝在框格内的闭合与开展,类似一耗能装置,可吸收及耗散大量地震能量,从而可有效提高结构的耗能能力,使主体结构在大震中不致有较大损坏。由于密肋复合墙体独特的构造特点使其承力体系的三部分构件:填充体、加强肋格及边缘构件(连接柱),均能充分、有效地参与工作并分阶段耗散地震能量。 试验研究及理论分析表明:多层密肋复合板结构以剪切破坏为主,高层密肋复合板结构在竖向及水平荷载作用下由弯曲和剪切双重破坏模式控制。 由于密肋复合板结构构造的特殊性,结构设计需与建筑设计及其他专业密切配合,在建筑平、立面布置时达到统一协调。在结构的抗震设计中,保证结构的整体抗震性能。
1.0.3 密肋复合板结构应同时进行节能设计,密肋复合板采用的填充材料宜结合当地材料供应、防火及防水要求、施工条件等综合确定。
条文说明
1.0.3节约能源是建设节约型社会的根本要求。我国建筑用能已超过全国能源消费总量的1/4,并将随着人民生活水平的提高逐步增加到1/3以上。居住建筑能耗数量巨大,浪费严重。因此,结合本体系中填充体的热工性能特点,在行业标准《严寒和寒冷地区居住建筑节能设计标准》JGJ26、《夏热冬冷地区居住建筑节能设计标准》JGJ134、《夏热冬暖地区居住建筑节能设计标准》JGJ75基础上,制定出密肋复合板结构保温一体化设计要求。 在热工设计方面,外墙板或屋面板应采取附加保温措施,以消除局部造成的“热桥”现象,并满足建筑节能要求;附加保温层的具体设计,宜结合当地实际情况确定。 对于墙板内填充材料,应满足相关部门对于防火等的严格要求。
1.0.4 密肋复合板结构的设计、施工及验收除应符合本规程外,尚应符合国家现行有关标准的规定。
条文说明
1.0.4本规程的制定借鉴了其他结构体系成熟的科技经验,并遵循其他相关国家及行业现行标准的相应规定。本规程未作具体规定的内容均应符合国家现行有关标准的相关规定。
2 术语和符号
2.1 术语
2 术语和符号
2.1 术 语
2.1.1 密肋复合板结构 multi-ribbed composite panel structure
由预制密肋复合墙板、楼板及现浇连接构件组合而成的结构体系。
条文说明
2.1.1密肋复合板结构根据其装配整体的构造形式(图1、图2)。施工时先将预制好的墙板吊装安放,然后绑扎现浇连接构件钢筋,并与楼板整体浇筑连接。密肋复合板结构的肋格可为钢筋混凝土肋,也可以钢骨架为肋;楼板类型可为现浇密肋复合楼盖、现浇空心楼盖或普通混凝土楼板,也可为其他形式的楼盖;现浇连接构件主要包括现浇的连接梁、连接柱或边缘构件。 
图1密肋复合板结构构造一(肋格为普通钢筋混凝土) 1—楼板;2—现浇连接梁;3—现浇边缘构件(多层时为连接柱);4—预制密肋复合墙板(钢筋混凝土肋);5—现浇中部连接柱 
图2密肋复合板结构构造二(肋格为钢骨架) 1—楼板;2—现浇连接梁;3—型钢芯柱;4—现浇边缘构件(多层时为连接柱);5—预制密肋复合墙板(钢骨架肋);6—现浇中部连接柱
2.1.2 多层密肋复合板结构 multi-story multi-ribbed composite panel structure
8层及8层以下且房屋高度不超过24m的密肋复合板结构。
2.1.3 高层密肋复合板结构 high-rise multi-ribbed composite panel structure
9层及9层以上或房屋高度超过24m的密肋复合板结构。
条文说明
2.1.2、2.1.3密肋复合板结构关于多层与高层划分的定义以《高层建筑混凝土结构技术规程》JGJ3的相关规定为基础确定,主要是从结构设计角度考虑。根据《高层建筑混凝土结构技术规程》JGJ3和《建筑抗震设计规范》GB50011中的相关规定,《高层建筑混凝土结构技术规程》JGJ3中对高层适用性的规定为“10层及10层以上或房屋高度大于28m的住宅建筑以及房屋高度大于24m的其他高层民用建筑”,其规定是从结构设计的角度出发,对于其他民用建筑是指层高比较高、建筑内部空间比较大、结构布置不规则、需要加强结构设计的公共建筑。密肋复合板结构房屋作为一种新体系及其装配整体式的构造特点,也要求对其结构整体性等给予特别关注,故本规程中规定的24m高度和《高层建筑混凝土结构技术规程》JGJ3的规定无本质矛盾。在《建筑抗震设计规范》GB50011关于混凝土结构抗震等级的规定中,也以24m的高度作为一个分界,以此区别对待不同结构对重要性、整体性及抗震措施等不同的要求。另外,当房屋层数较少、高度较低且满足一定的高宽比限值要求时,结构在水平力作用下的整体弯曲及局部弯曲相对较小,可不需经过计算,按本规程中多层结构的构造措施来保证满足受力要求。综合考虑,本规程中关于多、高层的定义和《高层建筑混凝土结构技术规程》JGJ3和《建筑抗震设计规范》GB50011的规定无实质冲突。同时,也确保了此术语定义对结构计算分析和构造要求有效的安全度约束。 密肋复合板结构当层数虽少于9层但高宽比超过相关规定时,尚应参照高层结构的相应规定进行设计。
2.1.4 密肋复合墙体 multi-ribbed composite wall
由预制密肋复合墙板与边缘构件、连接柱及连接梁组合形成的墙体。
2.1.5 预制密肋复合墙板 precast multi-ribbed composite wall panel
由钢筋或钢骨架形成肋格,填充体做内模,浇筑混凝土而成的预制墙板。
条文说明
2.1.5密肋复合墙板是以低强轻质材料制成的块体为内模,截面及配筋较小的钢筋骨架、型钢或薄壁型钢为肋格浇筑混凝土而形成的墙板构件。根据墙板肋格材料的不同,可分为钢筋混凝土密肋复合墙板和轻钢密肋复合墙板,钢筋混凝土密肋复合墙板(图3)简称为密肋复合墙板。为形成墙板的耗能机制,要求密肋复合墙板内填充体具有一定强度,不宜采用空心箱体,墙板肋格可设计成正交也可设计成斜交。 轻钢密肋复合墙板的钢材骨架间也可直接浇筑泡沫混凝土或发泡水泥形成复合式轻质承重墙板(图4)。比较典型的轻钢密肋复合墙板有太空板等。 
图3钢筋混凝土密肋复合墙板构造示意 1—肋梁;2—肋柱;3—填充体 
图4轻钢密肋复合墙板构造示意 1—小截面型钢或薄壁型钢;2—泡沫混凝土或发泡水泥;3—拉索
2.1.6 边缘构件 boundary restraints
位于高层密肋复合墙体两端和洞口两侧的现浇钢筋混凝土构件。
条文说明
2.1.6边缘构件主要用于高层密肋复合板结构中、位于密肋复合墙体端部抵抗整体弯矩和局部弯矩的现浇混凝土构件。其截面形式可为暗柱、端柱或翼墙;当墙体中间有洞口且最长边尺寸大于800mm时,洞口两侧应设置边缘构件。
2.1.7 连接柱 connecting column
位于多层密肋复合板结构墙体端部和中间、高层密肋复合板结构墙板之间的现浇钢筋混凝土构件。
条文说明
2.1.7连接柱一般与墙体同厚,当为满足墙体平面外楼面梁的刚接要求时,也可做成突出墙面的扶壁柱。
2.1.8 连接梁 connecting beam
位于预制密肋复合墙板上方,连接楼板和墙板的现浇钢筋混凝土构件。
条文说明
2.1.8连接梁主要用于加强密肋复合墙体与现浇楼板的整体连接,当其宽度当与墙体同宽时,亦称为暗梁;当为满足设计要求时,也可做成突出墙面的连接梁。
2.1.9 密肋复合楼盖 multi-ribbed composite floor system
由纵横向梁式钢筋骨架或型钢构成肋格,填充体做内模现场整浇而成的楼盖体系。
条文说明
2.1.9密肋复合楼盖(图5)可根据需要将上部或下部面层一次整浇成形,可替代传统的预制空心板、井字梁板、普通现浇楼板等,适用于较大跨度、各种荷载的建筑。对于层数较低及非抗震设计的密肋复合板结构,也可采用预制的密肋复合楼板,经现场装配或装配整体式构造形成楼盖系统。 做内模的填充体可参与整体受力,也可只作为内模使用。由轻质块体或预制成型的轻质空心箱体、配筋空心箱体等组成。当为配筋空心箱体时,可不再要求现浇上下叠合层,箱体的上面板按受力构件进行设计及构造,下面板应满足抗裂及悬挂重物的要求。 
图5密肋复合楼盖构造示意 1—肋梁;2—填充体做内模;3—填充体
2.1.10 结构与保温一体化构造 structure-thermal insulation combining detail
密肋复合板结构构件与附加保温材料整体制作形成的外墙及屋面板保温构造。
条文说明
2.1.10将附加保温材料如标准化生产的EPS模块作为密肋复合墙板或密肋复合楼盖的免拆模板,在EPS模块与保温材料间预设连接桥等拉结部件,并在模块内表面设置燕尾槽等,与构件混凝土有机咬合形成承重保温一体化的设计构造(图6)。 
图6保温复合外墙板或保温楼、屋盖构造 1—纤维抗裂抹面层(室外);2—连接桥;3—EPS保温/隔热板;4—密肋复合墙板或楼、屋盖;5—燕尾槽 EPS模块采用积木式插接组合的连接方式,通过连接桥及燕尾槽与混凝土的有机咬合,提高保温材料和结构的整体性,可延长节能建筑的耐久年限,做到保温层与结构主体同等寿命。整体制作技术可充分利用填充体的保温性能,减轻密肋复合板结构在肋格部位的局部热桥现象。经对粘贴面砖的复合墙体耐候性试验检测,其各项技术指标均满足相关的国家标准。
2.1.11 绝热模塑聚苯乙烯泡沫塑料模块 EPS modular
具有闭孔结构和难燃性能的聚苯乙烯泡沫塑料板材,简称EPS模块。
条文说明
2.1.11绝热模塑聚苯乙烯泡沫塑料模块(EPS)由可发性聚苯乙烯珠粒经加热发泡后,通过专用的设备和模具加热成型,为具有燕尾槽及组合拼装功能的聚苯乙烯泡沫塑料板材。
2.1.12 连接桥 connecting bridge
连接结构与保温材料的连接件。
2.1.13 纤维抗裂抹面层 anti-cracking surface course
保温材料表面由水泥、高分子聚合物、填充料和抗裂纤维等经水混合而成的混合砂浆面层。
条文说明
2.1.13纤维抗裂抹面层的厚度小于8mm为薄抹灰面层,厚度大于16mm为厚抹灰面层,主要起抗裂、防水、抗冲击和防火作用。抗裂纤维可采用钢纤维、聚丙乙烯纤维或耐碱玻璃纤维。
2.2 符号
2.2 符 号
2.2.1 材料性能
E c ——混凝土的弹性模量;
E q ——填充体的弹性模量;
E s ——钢筋的弹性模量;

ck 、
c ——混凝土轴心抗压强度标准值、设计值;

tk 、
t ——混凝土轴心抗拉强度标准值、设计值;

cu,k 、
qu,k ——混凝土、填充体立方体抗压强度标准值;

q 、
qt ——填充体轴心抗压强度设计值、轴心抗拉强度设计值;

yk ——钢筋抗拉强度标准值;

y 、
′ y ——钢筋抗拉强度设计值、抗压强度设计值;
G c ——混凝土的剪变模量;
G q ——填充体的剪变模量。
2.2.2 作用、作用效应及承载力设计值
K——结构(构件)的刚度;
M——弯矩设计值;
N——轴向力设计值;
S d ——荷载效应或荷载效应与地震作用效应组合的设计值;
V——剪力设计值;
△u——楼层层间位移。
2.2.3 几何参数
A——墙体水平截面面积;
A w ——墙板水平截面面积;
A s ——普通钢筋截面面积;
A q ——填充体的水平投影截面面积;
b——截面宽度或墙体厚度;
h——层高,截面高度;
h 0 ——截面有效高度;
s——箍筋间距。
2.2.4 计算系数及其他
α——水平地震影响系数;
α max ——水平地震影响系数最大值;
γ RE ——构件承载力抗震调整系数;
ζ——密肋复合墙板与连接柱共同工作系数;
η c ——肋梁、肋柱对填充体的约束系数;
μ——截面剪应力分布不均匀系数;
μ N ——构件轴压比;
φ——受压构件的稳定系数。
3 材料
3.1 混凝土
3 材 料
3.1 混 凝 土
3.1.1 密肋复合板结构中,密肋复合墙板和密肋复合楼盖的肋格可使用普通混凝土,填充体或空腔构件可使用轻骨料混凝土、加气混凝土砌块、发泡水泥或轻质混凝土等制作;轻钢密肋复合板可使用轻钢骨架、钢筋骨架与发泡水泥或轻质混凝土制作。
3.1.2 密肋复合墙板普通混凝土的强度等级不应低于C20,且不宜高于C40。高层密肋复合板结构的边缘构件和连接柱混凝土的强度等级应高于墙板混凝土等级至少一个等级。钢筋混凝土密肋复合楼盖混凝土强度等级不宜低于C25,预应力混凝土密肋复合楼盖混凝土的强度等级不应低于C30,当采用钢绞线、钢丝、预应力螺纹钢筋作预应力筋时,混凝土强度等级不宜低于C40。
3.1.3 混凝土的物理力学性能指标应符合现行国家标准《混凝土结构设计规范》GB 50010的相关规定。
3.2 钢材
3.2 钢 材
3.2.1 密肋复合板结构中,钢筋的采用应符合下列规定:
1 密肋复合墙板肋梁、肋柱中的钢筋可采用HRB335、HRBF335、HRB400、HRBF400钢筋制作;
2 吊环应采用HPB300钢筋制作,严禁采用冷加工钢筋;
3 现浇预应力混凝土密肋复合楼盖的预应力筋宜选用高强低松弛钢绞线,也可选用钢丝束、纤维预应力筋等性能可靠的预应力材料。
3.2.2 钢筋的物理力学性能指标应符合国家现行标准《混凝土结构设计规范》GB 50010和《钢筋焊接网混凝土结构技术规程》JGJ 114的相关规定。
3.2.3 型钢或薄壁型钢宜采用Q235钢、Q345钢和Q390钢,其质量应分别符合现行国家标准《碳素结构钢》GB/T 700和《低合金高强度结构钢》GB/T 1591的规定。当采用其他牌号的钢材时,应符合相应的规定和要求。
钢材的强度设计值和物理性能指标应按现行国家标准《钢结构设计规范》GB 50017和《冷弯薄壁型钢结构技术规范》GB 50018的有关规定采用。
3.2.4 钢材的焊接材料应符合下列规定:
1 手工焊接采用的焊条应符合现行国家标准《非合金钢及细晶粒钢焊条》GB/T 5117或《热强钢焊条》GB/T 5118的规定,选择的焊条型号应与主体金属力学性能相适应;
2 自动焊接或半自动焊接采用的焊丝和相应的焊剂应与主体金属力学性能相适应,并应符合国家现行有关标准的规定;
3 焊缝的强度设计值应按现行国家标准《钢结构设计规范》GB 50017和《冷弯薄壁型钢结构技术规范》GB 50018的有关规定采用。
3.3 其他材料
3.3 其他材料
3.3.1 填充体的物理性能指标可按现行行业标准《轻骨料混凝土结构技术规程》JGJ 12和《蒸压加气混凝土建筑应用技术规程》JGJ/T 17采用。发泡制品和轻质混凝土等无机材料应满足承载力、耐久性及适用性的要求。
条文说明
3.3.1填充体应满足结构安全功能要求的强度指标及适用性和耐久性的要求,其氯化物和碱的含量及放射性核素的限量应符合国家现行有关标准的规定,同时应符合在正常使用环境下不产生有损人身健康及环境的有害成分,火灾时防火等级要求的时间内不得产生析出构件的烟雾及有毒气体。对于低于一类环境类别的使用环境,应采取措施避免环境对填充体强度及耐久性的影响。 密肋复合楼盖采用的空心箱体构件当仅作为内部模板使用时,其制作中若使用玻璃丝棉,可不对玻璃丝棉提出耐碱性要求,但应对空气中暴露时间做出限制。 密肋复合楼盖采用聚苯乙烯泡沫制品或聚氨酯泡沫制品作为内模时,应综合考虑减少填充体自重与保证施工强度的要求。当对其表面加强处理后,密度可适当减小,但不应小于8kg/m3。作为内模的有机材料,其燃烧性能要求应结合保护层厚度综合确定,并不应低于E级。 对于无机发泡制品,由于不同于普通建材制品,应用时需要对其表观密度、抗压强度、导热系数、水蒸气透过系数、闭孔率、吸水率(体积分数)、耐火极限、空气声隔声量、垂直于板面方向的抗拉强度等多种物理力学性能作出规定。 密肋复合墙板中采用的填充体应达到一定的设计强度,当采用加气混凝土砌块时,强度级别不低于A3.5级。当采用低于相应强度等级的块体时,应有可靠的试验结果。轻钢密肋复合板中使用的泡沫混凝土或发泡水泥也宜达到和钢构骨架共同作用的强度水平。
3.3.2 预制墙板下铺设砂浆的强度等级不应低于Mb10;密肋复合墙板填充体间灌缝应根据填充体材料选择适宜的专用砂浆。
3.3.3 结构保温一体化设计的保温材料和制品,应符合国家有关建筑节能保温材料相关标准的规定。
当采用EPS模块外保温系统时,其各项指标要求应符合本规程附录A的有关规定。
条文说明
3.3.3对于有机保温材料制品,应对其表观密度、压缩强度、导热系数、尺寸稳定性、水蒸气透过系数、闭孔率、吸水率(体积分数)、熔结性、燃烧性、垂直于板面方向的抗拉强度等多种物理力学性能作出规定。 为达到EPS作为一体化外部模板的刚度及强度,以及对防火性能的更高要求,附录A的规定对EPS模块提出了较高要求。
4 荷载和地震作用
4.1 荷载
4 荷载和地震作用
4.1 荷 载
4.1.1 在计算密肋复合板自重时,轻质或多孔材料应采用在当地自然状态下的重度,可取干重度的(1.2~1.4)倍。
条文说明
4.1.1在计算墙板中轻质材料填充体的重量时,若厂家所给容重为干重度,应采用实际自然状态下的重度。如加气混凝土砌块中“B06级”指在绝对干燥状态下,重度不大于6kN/m3。示范工程施工过程中不同种规格的加气混凝土砌块现场称重结果表明:在自然状态下,加气混凝土砌块的重度有时可达到8kN/m3。因此,在实际工程设计中,应按施工现场或实验室测得的自然重度计算墙板和楼板荷载。
4.1.2 密肋复合板结构的楼(屋)面活荷载应按现行国家标准《建筑结构荷载规范》GB 50009的有关规定采用。
4.1.3 当施工中采用对结构受力有影响的设备时,应验算施工荷载对结构的影响。
条文说明
4.1.3密肋复合板结构为装配整体式结构。施工中可采用外脚手架或附墙式移动脚手架。当采用后一种形式时,应根据实际情况验算施工荷载对结构产生的影响。
4.1.4 密肋复合板结构的风荷载应按现行国家标准《建筑结构荷载规范》GB 50009的有关规定采用。对于高层密肋复合板结构,风荷载的计算尚应符合现行行业标准《高层建筑混凝土结构技术规程》JGJ 3的相关规定。
4.2 地震作用
4.2 地震作用
4.2.1 密肋复合板结构抗震设防烈度的确定及地震作用计算应符合现行国家标准《建筑抗震设计规范》GB 50011的相关规定。
4.2.2 以剪切变形为主且质量和刚度沿高度分布比较均匀的多层密肋复合板结构,可采用现行国家标准《建筑抗震设计规范》GB 50011中规定的底部剪力法计算水平地震作用,水平地震作用系数的取值宜取水平地震影响系数最大值。
条文说明
4.2.2《建筑抗震设计规范》GB50011规定:高度不超过40m、以剪切变形为主且质量和刚度沿高度分布比较均匀的结构,以及近似于单质点体系的结构,可采用底部剪力法进行简化计算。对于不适合采用底部剪力法计算的结构可采用振型分解反应谱法进行分析。 对于多层密肋复合板结构房屋,其侧向刚度略小于同等墙体布置的砌体结构,因此其水平地震作用影响系数取α=αmax应属安全。
4.2.3 密肋复合板结构进行弹性动力分析时的阻尼比可取0.05。
条文说明
4.2.3密肋复合板结构在墙体内填充体开裂后,块体内部裂缝界面摩擦过程会形成较高的阻尼,本结构体系在弹性动力分析时的阻尼比仍取0.05。
5 结构设计基本规定
5.1 一般规定
5 结构设计基本规定
5.1 一般规定
5.1.1 密肋复合板结构可单独采用,也可与钢筋混凝土框架、剪力墙等其他结构体系共同工作形成混合结构体系。
条文说明
5.1.1密肋复合板结构中的密肋复合墙体可通过与普通混凝土柱、墙、筒等抗侧力构件结合形成满足结构设计需要的混合结构体系。 当和其他体系形成混合结构体系时,应视其所占侧向刚度的比例,对其抗震计算时承担的层间最小剪力值作出规定。
5.1.2 抗震设计的密肋复合板结构应按现行国家标准《建筑工程抗震设防分类标准》GB 50223确定其抗震设防类别及其抗震设防标准。
5.1.3 密肋复合板结构不应采用严重不规则的结构方案,并应符合下列规定:
1 应具有必要的承载能力、刚度和变形能力;
2 应避免因部分结构或构件的破坏而导致整个结构丧失承受重力荷载、风荷载和地震作用的能力;
3 对可能出现的薄弱部位,应采取有效的加强措施。
条文说明
5.1.3密肋复合板结构对规则性的判定可参照《建筑抗震设计规范》GB50011和《高层建筑混凝土结构技术规程》JGJ3的相关规定执行。在所有的情况下均应对结构的整体进行分析。结构中的重要部位、形状突变部位以及内力和变形有异常变化的部分(例如较大孔洞周围、节点及其附近、支座和集中荷载附近等),必要时应另作更详细的局部分析。对结构的两种极限状态进行分析时,应采取相应的作用效应组合。结构在不同的工作阶段,例如预制构件的制作、运输和安装阶段,结构的施工期、检修期和使用期等,以及出现偶然事故的情况下,都可能出现不利的受力状况,应分别进行结构分析,并确定其可能最不利的作用效应组合。
5.1.4 密肋复合板结构体系宜符合下列规定:
1 结构的竖向和水平布置宜使结构具有合理的刚度和承载力分布,避免因局部突变和扭转效应而形成薄弱部位;
2 结构的抗侧力体系应根据其多道抗震防线的特点进行设置。
条文说明
5.1.4试验研究成果表明,密肋复合板结构房屋的抗侧力体系具有多道抗震防线。首先,整个密肋复合板结构由若干个密肋复合墙体组成并通过楼板和连梁连接起来协同工作,各单个密肋复合墙体可独自形成抗侧力系统;其次,结构体系具有较多数量的内部与外部赘余度,可建立一系列分布的塑性屈服区,使结构能吸收和耗散大量的地震能量。如地震作用下各墙体之间连梁的塑性铰屈服、墙体内各层次分灾元件的渐次破坏,均能分级释放地震能量。尤其密肋复合墙体的破坏,在“墙板填充体开裂→墙板肋梁屈服→墙板肋柱屈服→墙体边缘构件屈服”的过程中,表现出良好的耗能能力,在达到极限破坏荷载后,以大位移循环时,填充体剥落,墙体仍未出现倒塌现象,也表现了良好的抗倒塌能力。
5.1.5 结构构件及节点接缝的承载力应按下列公式计算:
持久、短暂设计状况:γ 0 S d ≤R d (5.1.5-1)
地震设计状况: S d ≤R d /γ RE (5.1.5-2)
式中:γ 0 ——结构重要性系数:在持久设计状况和短暂设计状况下,对安全等级为一级的结构构件不应小于1.1,对安全等级为二级的结构构件不应小于1.0,对安全等级为三级的结构构件不应小于0.9;
S d ——作用效应的组合设计值,按现行国家标准《建筑结构荷载规范》GB 50009和《建筑抗震设计规范》GB 50011的规定进行计算;
R d ——构件的承载力设计值,按持久、短暂设计状况和地震设计状况两种情况分别进行计算;
γ RE ——构件承载力抗震调整系数,密肋复合墙体应按表5.1.5采用,其他构件按现行国家标准《建筑抗震设计规范》GB 50011的规定采用。
表5.1.5 承载力抗震调整系数

条文说明
5.1.5密肋复合墙体的材料组成复杂,不同于普通的混凝土剪力墙和普通的砌体墙,但其受剪破坏模式表现出优于后两者的延性特征。在确定密肋复合墙体的偏压、受剪及偏拉承载力抗震调整系数时,取与普通混凝土抗震墙相同的承载力抗震调整系数。通过调整地震作用下承载力计算公式内的其他计算系数,使其达到和普通混凝土构件的偏压、受剪及偏拉承载力相当的可靠度水平。
5.1.6 密肋复合板结构的建筑设计中,密肋复合墙板或密肋复合楼板、连接构造及配件应标准化、系列化,并应采用少规格、多组合的原则,满足构件工厂化生产、装配整体式施工的要求。
条文说明
5.1.6单项工程墙板型号的多少,对墙板模具配置、钢筋制作、填充体拼装、运输及分类堆放等方面均有影响,并影响到墙板的生产成本及主体结构的施工工期,因此,设计时要尽可能减少墙板型号。住宅建筑中,影响墙板型号的主要因素是户型的标准化、平面的规则性及建筑模数。要求建筑师对结构的特点有一定了解。墙板宽度一般最小为500mm,最大宽度可至4500mm,以满足适宜吊装的要求;墙板高度为层高减去楼面连接梁的高度;墙板下部坐浆或通过预埋件焊接等其他方式落在楼板上,上部通过肋柱纵筋锚入连接梁内与楼板整浇在一起;肋梁水平纵筋通过锚固与现浇的边缘构件或连接柱形成整体。 密肋复合楼盖填充体的规格尺寸、类型在设计阶段也应尽量减少,以方便生产、运输、施工和产品质量检验。
5.1.7 当密肋复合板结构用于非室内正常环境时,应确定环境对结构构件的影响。
条文说明
5.1.7密肋复合墙板、密肋复合楼盖在较差环境类别如卫生间等环境中使用时,应采取建筑或结构措施,防止构件中的填充体在湿度大的环境中耐久性降低。
5.1.8 密肋复合板结构对于地基基础设计的要求,应符合现行国家标准《建筑地基基础设计规范》GB 50007中关于钢筋混凝土框架-抗震墙结构地基基础设计的相关规定。
5.2 结构布置与楼盖结构
5.2 结构布置与楼盖结构
5.2.1 密肋复合板结构设计应符合抗震概念设计的要求,体型复杂、平立面不规则的建筑的防震缝,应根据不规则程度、地基基础条件和技术经济等因素的比较分析确定。当设置防震缝时,应符合下列规定:
1 密肋复合板结构防震缝宽度可按现行国家标准《建筑抗震设计规范》GB 50011中对框架-抗震墙结构的要求进行设置,防震缝宽度不宜小于100mm;
2 当防震缝两侧结构体系或房屋高度不同时,防震缝宽度应按不利的结构类型或较低房屋高度确定;
3 防震缝宜在地面以上沿房屋全高设置;地下室、基础可不设防震缝,但在与上部防震缝对应处应加强构造和连接。
5.2.2 密肋复合板结构的伸缩缝间距,可根据结构的具体情况,按现行国家标准《混凝土结构设计规范》GB 50010中关于框架结构和剪力墙结构的相关规定,采取适当的插值取用。当采取可靠措施时,可适当放宽伸缩缝间距。
5.2.3 当相邻结构的基础存在较大沉降差时,宜设置沉降缝。
5.2.4 抗震设计时,伸缩缝、沉降缝的宽度均应符合本规程第5.2.1条防震缝最小宽度的要求。
条文说明
5.2.1~5.2.4密肋复合板结构的侧向刚度介于框架结构和剪力墙结构之间,与框架-剪力墙结构相当;当用于多层建筑时,比砖砌体结构的侧向刚度稍弱。因此,本规程防震缝最小宽度的规定参考了《高层建筑混凝土结构技术规程》JGJ3关于框架-抗震墙结构的有关要求。对于部分框支密肋复合板结构或楼板开大洞时应另行考虑。 另外,温度应力对本体系的影响小于对普通现浇混凝土结构的影响,当考虑了密肋复合板结构装配整体式的特点以及房屋保温措施和气候等条件,在有可靠经验时,可以放宽伸缩缝间距;对于采用预制配筋空心箱体构件与现浇密肋梁组成的密肋复合楼盖,由于无上下现浇面层,可以进一步放宽伸缩缝间距。但以下情况应考虑减小伸缩缝间距: 1当屋面无保温或隔热措施、混凝土的收缩较大或室内结构因施工外露时间较长时; 2位于气候干燥地区、夏季炎热且暴雨频繁地区的结构。
5.2.5 房屋的顶层、开洞过大的楼层应采用现浇的普通混凝土楼盖结构或现浇的密肋复合楼盖结构。
5.2.6 当建筑物地下室顶板采用密肋复合楼盖并作为上部结构的嵌固部位时,除应满足现行国家标准《建筑抗震设计规范》GB 50011相关规定外,密肋复合楼盖的折算厚度尚不应小于180mm。
条文说明
5.2.6当采用密肋复合楼盖作为上部结构嵌固部位时,复合楼盖上部应叠合现浇钢筋混凝土面层,厚度不应小于100mm;复合楼盖的折算厚度应满足《建筑抗震设计规范》GB50011对相应部位普通混凝土楼盖最小厚度的要求。密肋复合楼盖的折算厚度宜按体积等效的方法采用下式计算: 
式中:Vq——密肋复合楼盖计算单元内填充体的体积;当填充体内有混凝土材料参与结构受力时,应扣除相应部分混凝土的体积(mm3); V——计算单元总体积,计算单元为一个肋格范围内所包围形成的局部单元(mm3); h——密肋复合楼盖几何厚度(mm); heq——密肋复合楼盖折算厚度。当存在各肋格单元折算厚度不同时,取最小值(mm)。 当地下室顶板采用密肋复合楼盖但不作为上部结构的嵌固部位时,可不满足上述要求。
5.3 计算要点
5.3 计算要点
5.3.1 对满足本规程高宽比限值要求的多层密肋复合板结构,地震设计状况下的内力计算及分析可采用层间剪切变形的串联质点系模型。
5.3.2 高层密肋复合板结构内力及位移计算时可对结构进行力学简化处理,其抗侧力模型可采用本规程附录B中的等效匀质壳模型或简化的刚架-斜压杆计算模型。
条文说明
5.3.1、5.3.2密肋复合板结构由于其构造上的独特性,按其实际模型进行内力分析会造成计算成本的提高。根据体系的受力特点,密肋复合板结构属于墙受力体系,即以密肋复合墙体承担竖向及水平荷载,和剪力墙结构的受力特征较为类似。 根据密肋复合板结构的试验研究和理论分析,对于多层密肋复合板结构,当控制其高宽比在一定范围内时,结构变形基本属于剪切型,整体弯矩作用较小,可采用仅考虑层间剪切变形的串联质点系模型;当房屋高度较高或高宽比较大时,整体弯曲将起控制作用,此时弹性阶段的分析即多遇地震设计应采用能反映其真实刚度的等效匀质壳模型,中震下考虑填充体开裂后可采用简化的刚架-斜压杆模型。
5.3.3 高层密肋复合板结构应进行多遇地震作用下的抗震变形验算。高层密肋复合板结构乙类建筑及部分框支密肋复合板结构,当位于基本烈度8度Ⅲ、Ⅳ类场地时,宜进行罕遇地震下的弹塑性变形验算。
5.3.4 罕遇地震作用下薄弱层(部位)弹塑性变形计算,可采用静力弹塑性分析方法或弹塑性时程分析法,应按密肋复合墙板中填充体全部退出工作进行计算。
条文说明
5.3.3、5.3.4高层密肋复合板结构在罕遇地震作用下,应考虑肋格内的填充体退出工作。多层密肋复合板结构承载力富余度较大,可不验算其薄弱层变形。
5.3.5 高层密肋复合板结构在多遇地震作用下的内力与位移可按弹性方法计算,连梁刚度可折减,折减系数不应小于0.5。
5.3.6 高层密肋复合板结构的整体稳定性验算应符合现行行业标准《高层建筑混凝土结构技术规程》JGJ 3中框架-抗震墙结构的相关规定。
5.3.7 高层密肋复合板结构计算中,当地下室顶板作为上部结构嵌固部位时,地上一层的侧向刚度,不宜大于相关范围地下一层侧向刚度的0.5倍;地下室周边宜设置与其顶板相连的抗震墙。
5.3.8 当部分框支密肋复合板结构分析计算时,应采用空间分析计算模型。对层数不超过8层且高度不超过24m的部分框支多层密肋复合板结构,可按底部框架-抗震墙砌体房屋的计算方法进行内力计算;对层数超过8层或高度超过24m的部分框支高层密肋复合板结构,可按部分框支剪力墙结构的计算方法进行内力计算。
条文说明
5.3.8部分框支密肋复合板结构由于竖向结构布置的不规则性及各榀抗侧力体系侧向刚度的显著差异,使得平面受力模型分析的结果与实际状态有很大不同,因此,部分框支密肋复合板结构应采用三维的空间分析模型,有抗震要求时考虑双向地震作用及结构的扭转效应。
5.3.9 预制板件在生产、施工过程中应按实际工况的荷载、计算简图、材料实际强度进行施工阶段验算。
条文说明
5.3.9预制板件在脱模、翻转、吊装、运输时,动力系数可取1.5,临时固定时可取1.2。也可根据具体情况进行适当增减。
6 密肋复合板结构基本构件
6.1 密肋复合墙体设计
6 密肋复合板结构基本构件
6.1 密肋复合墙体设计
6.1.1 密肋复合墙体应进行平面内正截面偏心受压或偏心受拉、斜截面受剪、平面外正截面轴心受压承载力计算。在集中荷载作用下,荷载作用位置处无连接柱时尚应进行局部受压承载力计算。
多层密肋复合板结构的复合墙体,当满足本规程关于多层结构规定的构造要求时,可不进行偏心受压、偏心受拉承载力验算。
条文说明
6.1.1密肋复合板结构,当满足本规程第七章关于多层密肋复合板结构的适用层数、总高度限值及高宽比限值要求时,结构在水平力作用下的整体弯曲及局部弯曲相对较小。按多层结构要求设置的连接柱满足本规程的构造规定时,可满足偏心力作用下的承载力要求,不再进行墙体正截面的偏心受压、偏心受拉承载力验算。
6.1.2 密肋复合墙体的轴心受压承载力应符合下列公式规定:

式中:N——墙体轴向压力设计值(N);
α qN ——填充体对墙体受压承载力的影响系数,当α qN >1.4时,取α qN =1.4;

cu,k 、
qu,k ——混凝土、填充块材立方体抗压强度标准值(N/mm 2 );
A q ——墙体内填充体水平投影面积之和(mm 2 );

c ——墙体内肋柱、连接柱及边缘构件混凝土轴心抗压强度设计值(N/mm 2 ),强度等级不同时可按水平投影面积取加权值;
′ y ——钢筋抗压强度设计值(N/mm 2 );
A c ——墙体内各混凝土肋柱、连接柱及边缘构件横截面面积之和(mm 2 );
A′ KS ——竖向贯通钢筋(连接柱和边缘构件内)面积之和(mm 2 );
φ——墙体稳定系数;
β——墙体的高厚比。
条文说明
6.1.2密肋复合墙体轴心受压承载力的计算,综合考虑墙体中混凝土、填充体、竖向钢筋的贡献。根据试验和理论分析结果,计入竖向应力因材料弹性模量不同而分布不均的影响,并考虑一定的安全裕度,提出轴心受压承载力计算的表达式。 由试验及数值分析结果,竖向荷载作用下墙体破坏时填充体与肋格及边缘构件仍为一个整体,因此,竖向承载力计算应将填充体与混凝土肋柱及边缘构件作为一个整体,在此基础上考虑以下因素: 1考虑荷载的初始偏心及墙体材料的缺陷原因产生的稳定系数φ,其影响因素包括墙体的高厚比、肋柱间距、肋梁间距等,但当肋柱、肋梁布置满足墙体布置构造要求后,可只考虑高厚比的影响。 2墙体中肋柱受力虽然存在不均匀现象,但墙体破坏时,各肋柱钢筋均能达到屈服,因此,可不考虑各肋柱的强度利用系数。 3填充体在墙体竖向承载力中具有一定贡献,主要是约束肋柱的侧向变形,但墙体破坏时,填充体并未达到其极限抗压强度。另外,考虑到填充体在大震中会脱落,为保证墙体在大震时具有足够的竖向承载力,同时使墙体设计具有一定的安全储备,计算墙体受压承载力时,可部分考虑填充体的抗压贡献,表现为填充体对墙体竖向承载力的提高系数。 填充体采用蒸压加气混凝土砌块时,其立方体抗压强度标准值
qu,k可参照《蒸压加气混凝土建筑应用技术规程》JGJ/T17的规定采用,常用物理力学指标见表1: 表1填充体的物理力学指标
当填充体采用珍珠岩混凝土砌块、陶粒混凝土砌块或其他轻质填充体时,其强度、重度、导热系数及抗冻性等宜与蒸压加气混凝土砌块相当,具体指标应通过试验测定后采用。 4稳定系数φ的计算:取墙体高厚比为楼层墙体高度与其厚度之比,按第6.1.2条所给公式计算的承载力结果与不考虑填充体及周边墙体拉结作用的空框格墙体有限元计算结果接近。考虑到墙体内填充体的增强作用及实际墙体计算两侧边有墙体拉结,按本条规定计算的墙体竖向承载力结果具有与常规混凝土受压构件相当的可靠度水平。 填充体对密肋复合墙体轴心抗压和斜截面抗剪的增强作用显著,由于轻质材料立方体抗压强度测定更为便捷可靠,因此对墙体的轴心抗压和斜截面抗剪的影响系数按其立方体强度表示。
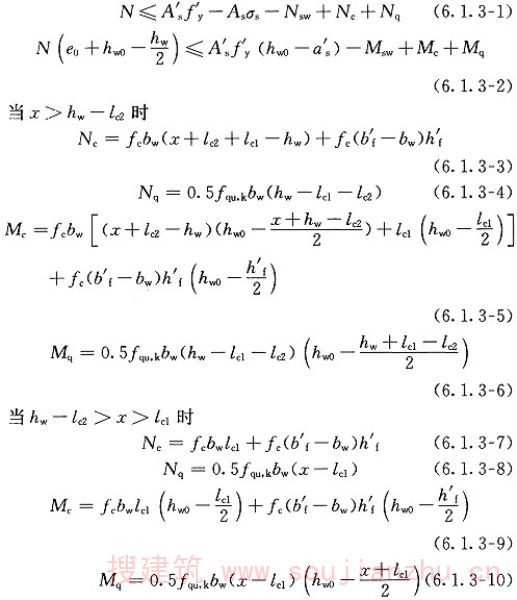
6.1.3 矩形、T形、I形截面偏心受压密肋复合墙体的正截面受压承载力应符合下列规定:
1 持久、短暂设计状况:


式中:a′ s ——墙体受压区端部钢筋合力点到受压区边缘的距离(mm);
χ——墙体按等效壳体模型进行内力分析得到的截面受压区高度(mm);
h w0 ——墙体截面有效高度,h w0 =h w -a′ s (mm);
b w 、h w ——墙体截面宽度和高度(mm);
b′ f 、h′ f ——T形或I形截面受压区翼缘宽度和高度(mm);
l c1 ——墙体压应力较大一侧现浇边缘构件的长度(mm);
l c2 ——墙体受拉一侧或压应力较小一侧现浇边缘构件的长度(mm);
e 0 ——偏心距(mm),e 0 =M/N;

y 、
′ y ——墙体端部受拉、受压钢筋强度设计值(N/mm 2 );

yw ——墙体内预制密肋复合墙板的肋柱纵筋强度设计值(N/mm 2 );

c ——墙体内肋柱、连接柱及边缘构件混凝土轴心抗压强度设计值(N/mm 2 ),强度等级不同时可按水平投影面积取加权值;
A sw ——墙体受拉侧(h w0 -1.5χ)范围内竖向贯通的肋柱和连接柱纵筋截面面积(mm 2 );
ξ b ——相对界限受压区高度;
β 1 ——随混凝土强度提高而逐渐降低的系数;当混凝土强度等级不超过C50时取0.8;当混凝土强度等级为C80时取0.74;当混凝土强度等级在C50和C80之间时,可按线性内插取值;
ε cu ——混凝土极限压应变,应按现行国家标准《混凝土结构设计规范》GB 50010的有关规定采用。
2 地震设计状况:

条文说明
6.1.3密肋复合墙体的偏心受力正截面验算用于高层密肋复合板结构,根据试验和数值分析结果,墙体在偏压荷载作用下的截面变形符合平截面假定,在承载力计算时不考虑受拉区混凝土和填充体的受拉承载力。和普通剪力墙构件相比,考虑了填充体的受压承载力Nq和受弯承载力Mq,Nq和Mq的计算包含了预制密肋复合墙板内混凝土肋柱的作用,因此不再对计算公式中的填充体承载力进行折减;对于墙体内肋柱钢筋的作用,当上下贯通时予以考虑。 《高层建筑混凝土结构技术规程》JGJ3对于I形截面偏心受压构件的计算公式中,受压区高度未考虑进入压应力较小一侧的翼缘内,本规程对于密肋复合墙体的偏心受压构件计算式(6.1.3-3)~式(6.1.3-6),也未考虑受压区高度进入压应力较小一侧的边缘构件翼缘内。当计算中受压区高度进入受拉一侧的翼缘内时,应对式(6.1.3-3)~式(6.1.3-6)进行调整后计算。
6.1.4 矩形截面偏心受拉密肋复合墙体的正截面受拉承载力应符合下列规定:

式中:A′ s ——密肋复合墙体内距离竖向拉力较远一侧边缘构件纵筋截面面积之和(mm 2 );
A sw ——密肋复合墙体内竖向贯通的肋柱和连接柱纵筋截面面积之和(mm 2 )。
6.1.5 密肋复合墙体的剪力设计值应符合下列规定:
1 持久、短暂设计状况:
V≤0.25α q 
c A c (6.1.5-1)
2 地震设计状况:

式中:V——密肋复合墙体剪力设计值(N);

c ——墙体内肋柱、连接柱及边缘构件混凝土轴心抗压强度设计值(N/mm 2 ),强度等级不同时可按水平投影取加权值;
A c ——墙体内各混凝土肋柱、连接柱及边缘构件(不包括翼缘部分)横截面面积之和(mm 2 );
α q ——填充体对墙体受剪承载力的影响系数,当α q >2时,取α q =2。
条文说明
6.1.5本条给出的限制条件,目的是规定密肋复合墙体截面尺寸的最小值,或者说限制了密肋复合墙体截面的最大名义剪应力值。密肋复合墙体的名义剪应力值过高,会在早期出现斜裂缝,抗剪钢筋不能充分发挥作用,即使配置很多抗剪钢筋,也会过早发生剪切破坏。考虑后期填充体剥落等影响,对其提高程度作出限制。
6.1.6 偏心受压或偏心受拉密肋复合墙体斜截面受剪承载力应符合下列规定:
1 持久、短暂设计状况:

当为偏心受拉且上式右端计算值小于
y A s 时,应取等于
y A s 。
2 地震设计状况:

当为偏心受拉且上式右端方括号内计算值小于0.8
y A s 时,应取等于0.8
y A s 。
λ=M/(Vh) (6.1.6-3)
式中:λ——计算截面处墙体的广义剪跨比,其中M、V应取同一组合的、未经内力调整的墙肢截面弯矩、剪力设计值,并取墙肢上、下端截面计算的剪跨比的较大值;λ<1.5时,取λ=1.5,λ>2.5时,取λ=2.5;1.5<λ<2.5时,取计算值;多层结构可取层高与墙体长度之比;
h——墙体截面高度(mm);

t ——预制密肋复合墙板混凝土的轴心抗拉强度设计值(N/mm 2 );
A c ——墙体内各混凝土肋柱、连接柱及边缘构件(不包括翼缘部分)横截面面积之和(mm 2 );

y ——剪切截面内肋梁纵筋的抗拉设计强度(N/mm 2 ),取值不应大于300N/mm 2 ;
A s ——剪切截面内肋梁纵筋的截面面积之和(mm 2 ),剪切截面可取45°斜线;
N——墙体的轴向力设计值(N);当N为压力且N>0.2
c A c 时,取N=0.2
c A c ;当为拉力时以负值代入计算。
条文说明
6.1.6密肋复合墙体斜截面受剪承载力的计算公式在形式上与普通剪力墙结构的斜截面受剪承载力保持一致,并反映填充体的斜撑作用对墙体受剪承载力的显著提高。
6.1.7 抗震等级为一级的高层密肋复合板结构应进行墙板水平接缝处的受剪承载力验算,并应符合下列规定:
1 持久、短暂设计状况:
当轴向力N为压力时
V≤V c +V s +V N (6.1.7-1)
V c =0.18ζA ck 
t (6.1.7-2)
V s =0.56A s 
y (6.1.7-3)
V N =0.4N (6.1.7-4)
当轴向力N为拉力时
V≤V c +V sN (6.1.7-5)
V sN =0.56(A s 
y -N) (6.1.7-6)
2 地震设计状况:
当轴向力N为压力时
V≤(V c +V s +V N )/γ RE (6.1.7-7)
V N =0.3N (6.1.7-8)
当轴向力N为拉力时
V≤(V c +V sN )/γ RE (6.1.7-9)
式中:V——水平接缝处的剪力设计值(N);
V c ——连接柱和边缘构件混凝土节点的受剪承载力设计值(N);
V s ——穿过水平接缝的竖向钢筋销栓承载力设计值(N),应符合V s ≥V/3;
V N ——轴向压力所产生的剪切摩擦承载力设计值(N);
V sN ——竖向钢筋与轴向拉力所产生的剪切摩擦承载力设计值(N),应符合V sN ≥V c 要求;
A ck ——墙体水平接缝处现浇连接柱及边缘构件节点的受剪截面面积(mm 2 );

t ——连接柱和边缘构件混凝土的抗拉强度设计值(N/mm 2 );
ζ——连接柱共同工作系数,应按表6.1.7采用;
A s ——穿过墙体水平接缝处的竖向钢筋总面积(不包括两侧翼墙)(mm 2 );

y ——竖向钢筋抗拉强度设计值(N/mm 2 );
N——相应于剪力设计值V的不利组合轴向力设计值(N)。
表6.1.7 连接柱共同工作系数ζ值

6.1.8 密肋复合墙板的设计应符合下列规定:
1 墙板高度应根据结构层高确定;墙板宽度应根据房屋开间、进深确定,但不宜大于4.5m;单块墙板重量宜控制在30kN以内;
2 不宜采用立面为L形的墙板;
3 墙板厚度应由计算荷载、楼板形式及热工性能要求等因素确定;当采用现浇楼板时,承重墙板的厚度不宜小于160mm;当采用预制楼板时,承重墙板的厚度不宜小于200mm;
4 密肋复合墙板的框格划分应根据构造及受力计算确定;墙板内肋柱间距不宜大于900mm;肋梁间距不宜大于800mm;
5 密肋复合墙板肋梁、肋柱截面尺寸应根据构造及受力计算确定;中间肋梁肋柱截面高度不宜小于80mm,边肋梁、边肋柱不宜小于100mm,门洞、窗洞顶部肋梁高度不宜小于150mm;
6 肋梁、肋柱钢筋外伸长度应符合受拉锚固要求,并应与边缘构件、连接柱或连接梁可靠连接;
7 墙板钢筋的混凝土保护层厚度,应符合现行国家标准《混凝土结构设计规范》GB 50010中关于墙与壳的保护层厚度规定,当采用工厂化制作时,可适当减小保护层厚度;
8 墙板布置时应按房屋平面尺寸和施工安装的要求,除每侧预留25mm的墙板标志缝外,对十字、丁字连接柱节点,尚应留有施工操作空间;
9 当墙板内填充体采用拼砌时,拼缝宜沿墙板竖向布置,并应采用水泥砂浆填实,各肋格间严禁有水平通缝出现;
10 带洞墙板洞口不宜过大,洞口宽度宜小于墙板总宽度的50%,且不宜大于2.0m;洞口两侧实墙板宜等宽、对称(图6.1.8)。

图6.1.8 窗洞尺寸限值
1—窗洞
条文说明
6.1.8墙板重量的控制出于施工吊装的要求;墙板框格的划分,除满足受力要求外,尚应符合填充体模数,多使用成品填充体,减少现场切割,并考虑施工搬运的方便;肋梁、肋柱的最小宽度则是考虑混凝土浇筑施工的质量保证及吊装过程中墙板边框的整体性。 填充体拼接时,提倡竖缝连接是为通过块体的竖向完整性进行有效传力,同时避免水平通缝,也可避免水平剪力作用下拼砌缝对受剪承载力的削弱。 根据试验结果,墙板临近整体失效的承载后期,裂缝开展充分,混凝土和填充体部分内部的胶结力抗剪部分下降较多,墙板由形成的刚架-斜压杆体系起主要的抗侧力功能。而肋梁和肋柱纵筋的可靠锚固是刚架体系得以稳定传力的关键,其节点构造措施等须严格按相关规范的要求进行。
6.1.9 轻钢密肋复合墙体,当轻钢密肋采取措施能保证与混凝土的良好粘结时,其承载力验算可按钢筋混凝土密肋复合墙体相关内容执行。
6.2 密肋复合楼盖设计
6.2 密肋复合楼盖设计
6.2.1 密肋复合楼盖的整体布置应能合理传递荷载,设计应有明确的计算简图,计算分析模型应能反映结构的实际受力状态;柱支承楼板结构可根据建筑设计和结构计算的要求设置柱帽或托板。
6.2.2 密肋复合楼盖宜采用空间模型有限元方法或等代框架杆系结构有限元方法进行在竖向荷载和水平荷载作用下的内力及位移计算。
结构分析宜采用弹性分析方法,在有可靠依据时可采用塑性内力重分布的分析方法,并应进行正常使用极限状态的验算。
密肋复合楼盖在荷载作用下各区格板的梁挠度和裂缝宽度的计算及相关设计要求应符合现行国家标准《混凝土结构设计规范》GB 50010中的相关规定。
条文说明
6.2.1、6.2.2对于以墙或梁为边界的边支承楼板结构,可按竖向刚性支承或柔性支承考虑。楼盖的边、角区格板的周边支承情况应根据支承构件的实际弯曲、扭转刚度确定; 对于柱支承楼板结构,在竖向均布荷载作用下柱支承楼盖按弹性分析得到的楼盖内力,可考虑在每个方向上的内力重分布设计。 有下列情况之一时不得进行弯矩调幅:要求肋梁不出现裂缝的密肋复合楼盖;处于侵蚀环境的密肋复合楼盖结构;直接承受动力荷载的密肋复合楼盖结构。
6.2.3 密肋复合楼盖的承载力计算应符合下列规定:
1 密肋复合楼盖中,肋格各项承载力设计均应符合现行国家标准《混凝土结构设计规范》GB 50010的相关计算规定;
2 边梁的设计应符合下列规定:
1)当为柱支承楼盖时,密肋复合楼盖的外周边宜布置框架梁,且框架梁高度应大于密肋复合楼盖厚度,框架梁截面尺寸和配筋要求应满足现行国家标准《混凝土结构设计规范》GB 50010的相关规定;
2)边梁的截面抗弯刚度可按“[形”或“倒L形”截面计算,边梁宽度不宜超过柱截面高度。
3 抗震设计时宜沿柱轴线设置主肋梁或框架梁;
4 楼盖节点区域的设计应符合下列规定:
1)楼盖与框架柱连接的节点及周围相关区域,应根据刚度和承载力要求选择合适的方案;在楼盖与框架柱相交的节点区域及周围内力较大处,宜采用现浇实心楼盖及托板式柱帽;
2)楼盖节点受冲切承载力计算、受冲切截面的控制条件及构造要求应符合现行国家标准《混凝土结构设计规范》GB 50010的相关规定;
3)当节点附近设置托板式柱帽时,应进行楼盖厚度变化处的受冲切承载力验算,选择最不利冲切破坏截面进行冲切承载力验算;
4)节点核心区受剪承载力的计算及相关设计要求应符合现行国家标准《建筑抗震设计规范》GB 50011中的相关规定。
6.2.4 密肋复合楼盖的设计应符合下列构造要求:
1 密肋复合楼盖的跨高比宜符合下列规定:
1)边支承楼盖的跨高比:对于单向楼盖不宜大于25,对于双向楼盖按短边不宜大于35;
2)柱支承楼盖的跨高比:跨度按长边计,有柱帽或托板时不宜大于35,无柱帽时不宜大于30。
2 楼板周边可伸出边柱外侧,从楼板边缘至边柱中心的伸出长度不宜超过内跨跨度的0.4倍。
3 肋梁的宽度不应小于60mm,肋梁截面高度与宽度之比不宜大于5,肋梁的截面高度不应小于150mm,并应满足设备管线的穿行要求。
4 当密肋复合楼盖中填充体上下均有现浇叠合层形成I形肋梁受力截面时,上部叠合层的厚度不应小于50mm,下部叠合层的厚度不应小于40mm,其钢筋间距不宜大于200mm,且不应大于250mm。
当密肋复合楼盖中填充体仅上部有现浇叠合层形成T形肋梁受力截面时,上部叠合层的最小厚度应为50mm,其钢筋间距不应大于250mm;填充体底部现浇有较薄的构造面层时,面层内应配置抗裂钢丝网片,钢丝网片应锚入两侧现浇肋梁内。
当密肋复合楼盖中填充体为配筋空心箱体且上下均无现浇叠合层时,空心箱体的上面板设计应满足区格的传力要求,下面板设计应满足抗裂及局部吊重要求。
5 密肋复合楼盖中,区格板钢筋的混凝土保护层厚度应按现行国家标准《混凝土结构设计规范》GB 50010中对于板构件的规定取值,密肋梁按梁的规定取值。
条文说明
6.2.4密肋复合楼盖中,填充体的材料种类较多,填充构造的类型也比较丰富;本条仅给出了几类常见构造的相关要求,当采用其他构造时,需满足结构受力和正常使用的要求。 应该注意,当填充体上部有现浇面板时,面板钢筋不应直接布置在填充体上表面,应保证板类构件的保护层厚度,以免钢筋直接放在填充体上,钢筋与现浇混凝土面板间无足够的握裹力而造成楼板开裂。 当填充体底部与模板间也有现浇混凝土时,宜在块体中心预设竖向孔道,以利底部空气排出、混凝土浇筑密实。 对于有防水要求的密肋复合楼盖,填充体上部均应设置现浇钢筋混凝土叠合层,叠合层的厚度不应小于100mm。
6.3 结构与保温一体化设计
6.3 结构与保温一体化设计
6.3.1 密肋复合外墙板、密肋复合楼盖因密肋所形成的热桥部位宜采取加强的保温措施,可采用局部或整体外保温处理措施。
6.3.2 当密肋复合板结构采用EPS模块按现行国家标准《民用建筑热工设计规范》GB 50176进行保温一体化设计时,导热系数的修正系数可取1.0。
条文说明
6.3.2EPS模块导热系数修正系数取1.0,小于国家标准1.2或1.5的规定,主要是由于模块四周边有插接企口或搭接裁口,模块与模块之间插接或搭接组合严密,形成了密闭的保温构造;同时模块采用全自动生产线进行模具化生产,其产品质量稳定、几何尺寸准确。克服了传统EPS生产中因模具截面尺寸过大,熔结性不均匀,造成产品质量和技术指标不稳定及电阻丝切割EPS板几何尺寸误差大,粘贴组合缝不严等缺点。
6.3.3 当采用结构与保温一体化构造的密肋复合板结构,在预制密肋复合墙板或现场浇筑密肋复合楼盖时,应采用EPS模块为底模或侧模进行整体制作;其他现浇部分的外保温也应进行整体制作。
条文说明
6.3.3密肋复合板结构中,其他外围的结构构件如阳台、雨篷等,外保温系统也应进行整体制作。
6.3.4 当EPS模块外侧采用3mm~5mm厚的薄抹灰面层时,应按现行国家标准《建筑设计防火规范》GB 50016的要求设置防火隔离带;当采用厚度不小于15mm的厚抹灰面层时,可取消防火隔离带。
条文说明
6.3.4火焰对建筑外保温系统的攻击主要来源于三种方式:一是外保温系统外侧火源对系统的辐射;二是保温层被引燃后因基层墙体与保温层之间的空腔产生的空气对流助长了火势的蔓延,三是室内火焰从门窗口溢出引燃外保温层的火焰传导。阻断这三种火焰的作用方式,即可有效防止可燃保温材料被引燃。根据理论分析和模拟实验,从以下三个方面采用构造防火措施,可满足外保温系统的构造防火要求:①增加抹面层的厚度;②取消保温层与结构之间的空腔粘贴;③增设外墙门窗口的保温防火节点构造。
6.3.5 当密肋复合楼盖填充体为空心箱体时,可在肋梁高度中部设置空心箱体间贯通管道;肋梁梁腰开设孔洞后应满足结构受力和构造要求。
条文说明
6.3.5密肋复合楼盖填充体当为空心箱体时,可在肋梁高度中部设置贯通空心箱体的管道,形成热(冷)风的输送管道,形成其他节能设计的介质循环途径。
6.3.6 结构与保温一体化的设计应符合下列规定:
1 密肋复合墙板所有的EPS模块组合时,均应企口插接或错缝搭接,对无法实现企口插接的热桥部位施工,设计时应在该部位预留10mm~15mm缝隙,并应采用发泡聚氨酯封堵;
2 应采用耐碱玻纤网格布作为抹灰面层的抗裂增强材料;
3 当密肋复合墙板的外表面采用厚抹灰面层时,应将金属热镀锌电焊网用自攻钉固定在连接桥外露的端头上。
6.3.7 有保温要求的密肋复合墙板或密肋复合楼盖,不宜在板件上开凿洞口和设置脚手眼。
6.3.8 密肋复合板结构与保温一体化建筑节点构造宜符合本规程附录C的有关规定。
7 多层密肋复合板结构设计
7.1 一般规定
7 多层密肋复合板结构设计
7.1 一般规定
7.1.1 多层密肋复合板结构的内力分析,可按弹性方法,按密肋复合墙板与连接柱等加强构件共同工作进行计算。
条文说明
7.1.1对于多层密肋复合板结构,结合试验及理论分析结果,依据本章推荐的刚度表达式,确定各抗侧力构件的刚度,地震设计状况时,采用底部剪力法确定结构地震反应并进行内力分析。
7.1.2 抗震设计时,对多层密肋复合板结构房屋可只选从属面积较大或竖向应力较小的墙段进行截面抗震承载力验算。
条文说明
7.1.2本条规定与《建筑抗震设计规范》GB50011中多层砌体房屋的计算要点对应。
7.1.3 当进行地震剪力分配和截面验算时,密肋复合墙体的层间等效侧向刚度应按下列原则确定:
1 刚度应根据高宽比的影响进行计算。当高宽比小于1时,可只计算剪切变形;高宽比不大于4且不小于1时,应同时计算弯曲和剪切变形;当高宽比大于4时,可不计算剪切变形;
2 墙段宜按门窗洞口划分;当墙段中部开有小洞口时,可在整体墙段侧向刚度计算值的基础上根据开洞大小及位置对其进行折减。
条文说明
7.1.3墙段的高宽比指层高与墙长之比,对门窗洞边的小墙段指洞净高与洞侧墙宽之比。为简化计算,当墙段内洞口在竖向及水平向基本位于墙段中部且洞口立面面积不超过墙段总立面面积的30%时,可先按不开洞的整体墙段进行侧向刚度计算,再考虑0.8~1.0的折减系数。
7.1.4 多层密肋复合板结构中无洞口密肋复合墙体的弹性侧向刚度K可按下列公式计算:

式中:h——层高(mm);
I eq ——墙体等效截面惯性矩(mm 4 );
A eq ——墙体等效截面面积(mm 2 );
b eq ——墙体等效截面宽度(mm);
h w ——墙体截面高度(mm);
μ N ——轴压比,当μ N <0.3,取μ N =0.3,当μ N >0.6,取μ N =0.6;
N——墙体承受的轴向压力代表值(N);持久及短暂设计状况时,为永久荷载与可变荷载的标准组合,地震设计状况时,为墙体所承受的重力荷载代表值;
A c ——墙体各混凝土肋柱、连接柱及边缘构件(不包括翼缘部分)横截面面积之和(mm 2 );
A q ——墙体填充体同一高度处水平投影面积之和(mm 2 );
μ——截面剪应力分布不均匀系数,截面为矩形时,取μ=1.2;
η c ——肋梁、肋柱对填充体的约束系数。可取η c =1.05。
条文说明
7.1.4式(7.1.4-1)分母中的第一项为弯曲变形所反映的侧向刚度,分母中第二项为剪切变形所反映的侧向刚度。可根据墙段的高宽比结合本规程第7.1.3条的规定对公式进行简化。
7.1.5 开洞密肋复合墙体(图7.1.5)弹性侧向刚度可按下式计算:

图7.1.5 开洞密肋复合墙体刚度计算示意图
注:K Ⅰ 、K Ⅱ 、K Ⅲ 为按式(7.1.4-1)计算的墙体分块的侧向刚度。计算时式中符号h由层高改为窗洞高或窗台高。
7.1.6 多层密肋复合板结构,当设防烈度为8度时,应采用现浇钢筋混凝土楼、屋盖结构;当设防烈度为7度时,宜采用现浇钢筋混凝土楼、屋盖结构;当设防烈度为6度及非抗震设计时,可采用装配式钢筋混凝土楼、屋盖结构。
条文说明
7.1.6密肋复合楼盖当纵横向肋格采用现浇时可视为现浇楼、屋盖。
7.1.7 多层密肋复合板结构,当设防烈度为6度和7度时,密肋复合墙体可按四级抗震等级要求;当设防烈度为8度时,可按三级抗震等级要求。8度区超过5层时可取底部一层为底部加强部位,当底部加强部位墙体轴压比超过0.4时,应按本规程第8章相关要求设置约束边缘构件。
条文说明
7.1.7多层密肋复合板结构对于抗震等级的划分可用于强剪弱弯设计中剪力效应的放大及其他内力效应的调整,对于配筋率等按本章的构造要求执行。 当墙体设置约束边缘构件时,仅在底部一层设置,不再往上一层延伸,当不需设置约束边缘构件时,墙体两端连接柱的设计构造满足本章的相关规定即可。
7.2 房屋适用范围
7.2 房屋适用范围
7.2.1 多层密肋复合板结构房屋的适用层数与总高度限值应符合表7.2.1的要求。
表7.2.1 多层密肋复合板结构房屋的适用层数与总高度限值

注:房屋的总高度指室外地面到主要屋面板板顶或檐口的高度,半地下室从地下室室内地面算起,全地下室和嵌固条件好的半地下室应允许从室外地面算起;对带阁楼的坡屋面应算到山尖墙的1/2高度处。
7.2.2 当多层密肋复合板结构房屋室内外高差大于0.6m时,房屋总高度可比表7.2.1中的数据适当增加,但不应多于1.0m;乙类建筑的多层密肋复合板结构房屋仍按本地区设防烈度查表,其层数应比表7.2.1的规定减少一层且总高度应降低3.0m;横墙较少的多层密肋复合板结构房屋,总高度应比表7.2.1的规定降低3.0m,层数相应减少一层;各层横墙很少的多层密肋复合板结构房屋,还应再减少一层。
7.2.3 多层密肋复合板结构房屋的适用层高度与高宽比限值,宜符合表7.2.3的要求。
表7.2.3 多层密肋复合板结构房屋的适用层高与高宽比限值

注:1 单面走廊房屋的总宽度不包括走廊宽度;
2 当主体结构下部有大底盘时,高宽比自大底盘以上算起。
条文说明
7.2.1~7.2.3密肋复合板结构房屋自重轻、整体性能优、抗震性能好已为试验所证实,同时用其局部或整体代替框架结构或剪力墙结构也有技术可行性。从密肋复合墙体与大比例整体房屋模型的试验结果来看,其承载力比带构造柱的多孔砖砌体结构提高了(1.6~1.8)倍,具有较好的整体性和承载能力。考虑到新结构体系宜遵循谨慎安全的原则,同时全国范围内9度区相对较少,本规程暂未考虑该体系在9度区采用的相关规定。 横墙较少房屋和横墙很少房屋的定义参照《建筑抗震设计规范》GB50011中关于多层砌体房屋的相关规定。 根据试验分析,多层密肋复合板结构既不同于砌体结构,也不同于框架结构或剪力墙结构,其受力性能介于框架与剪力墙之间。因此,本条给出的层高限值和高宽比限值比砌体结构略有放宽。当多层结构采用整体分析确定整体弯曲和局部弯曲的影响,并参照高层结构设置边缘构件时,可以不受表7.2.1、表7.2.3中规定的限制。
7.3 结构布置
7.3 结构布置
7.3.1 密肋复合板结构房屋的一个独立单元内,宜使结构平面形状简单、规则,刚度和承载力分布均匀。
7.3.2 多层密肋复合板结构的质量和刚度沿高度宜均匀、无突变和错层。纵横墙的布置可按现行国家标准《建筑抗震设计规范》GB 50011中关于多层砌体房屋建筑布置的规定执行。大房间不宜在端头布置。
条文说明
7.3.2由于密肋复合板结构体系采用的是装配整体式结构,其结构的承载力和结构整体性较砌体房屋有较多增强,但仍应尽量使其体型简单对称、防止刚度中心和质量中心相距太大。如果确因地理条件体型不易布置时,可通过调节墙板的刚度来满足。 房屋各层横向和纵向墙体宜均匀对齐,可以使得房屋获得最大的整体抗弯能力;而且,墙体沿平面对齐、贯通,能减少墙板、楼板等受力构件的中间传力环节,使震害部位减少,震害程度减轻。同时,由于地震作用传力路线简单,中间不间断,构件受力明确,使其在采用简化的地震作用分析时能较好地符合实际的地震反应。
7.3.3 当楼板平面比较狭长、有较大的凹凸和开洞而使楼板有较大削弱时,应在设计中计入楼板削弱产生的不利影响。
外伸长度较大的建筑,当中央部分楼梯、电梯间使楼板有较大削弱时,应加强楼板以及连接部位墙体的构造措施,必要时还可在外伸段凹槽处设置连接梁或连接板。
当楼板开大洞削弱后,宜采取下列构造措施予以加强:
1 加厚洞口附近楼板,提高楼板的配筋率;采用双层双向配筋;
2 洞口边缘设置边梁、连接梁,并加强边梁、连接梁的腰筋;
3 在洞口角部集中配置斜向钢筋。
条文说明
7.3.3多层密肋复合板结构,在抗震计算时一般采用底部剪力法,其假定楼盖平面内刚度无穷大,当实际布置与此假定不符时会引起较大的误差;同时,平面布置的不规则也会因扭转等引起结构的破坏加重。据此,对楼盖的结构布置作出规定。
7.3.4 房屋抗震横墙的间距,不应超过表7.3.4的要求。
表7.3.4 房屋抗震横墙的间距(m)

7.3.5 多层密肋复合板结构房屋的现浇连接梁设置应符合下列规定:
1 钢筋混凝土楼、屋盖房屋现浇钢筋混凝土连接梁的设置应符合表7.3.5的规定,纵墙承重时,抗震横墙上的连接梁间距应比表内要求适当加密;
2 连接梁应闭合,遇有洞口连接梁应上下搭接;当采用预制楼板时,连接梁应与预制板设在同一标高处或紧靠板底;
3 连接梁在表7.3.5要求的间距内无横墙时应利用梁中配筋替代连接梁;
4 非地震及6、7度区的密肋复合板结构房屋,当采用现浇钢筋混凝土楼、屋盖且与墙体有可靠连接时,可不另设圈梁,但楼板沿墙体周边均应加强配筋并应于相应的连接柱钢筋可靠连接;
5 连接梁的截面高度不应小于120mm,配筋应符合表7.3.5的规定。
表7.3.5 多层密肋复合板房屋现浇钢筋混凝土连接梁设置要求

条文说明
7.3.5“连接梁”类似于砌体结构中的圈梁,它可以加强纵横墙体的连接、增强楼盖的整体性,增加墙体的稳定性;可以有效约束墙体裂缝的发展,还可以有效地抵抗由于地震或其他原因所引起的地基不均匀沉降对房屋的破坏作用。其截面高度一般取120mm~250mm。
7.3.6 多层密肋复合板结构房屋连接柱布置应符合下列规定:
1 连接柱的设置部位应符合表7.3.6的规定;
2 外廊式和单面走廊式的多层密肋复合板房屋,应根据房屋增加一层的层数,按表7.3.6的要求设置连接柱,且单面走廊两侧的纵墙均应按外墙处理;
3 横墙较少的房屋,应根据房屋增加一层的层数,按表7.3.6的要求设置连接柱;当横墙较少的房屋为外廊式或单面走廊式时,应按本条第2款要求设置连接柱,且在隔开间横墙与外墙交接处、山墙与内纵墙交接处均设置构造柱;
4 各层横墙很少的房屋,应按增加二层的层数设置连接柱;
5 连接柱间距可取(1.0~1.5)倍层高,且不宜超过4.5m;
6 连接柱截面宽度同墙板厚度,截面高度及截面形式可根据墙板布置与构造确定,且截面高度不应小于200mm。
表7.3.6 多层密肋复合板房屋连接柱设置要求

注:较大洞口,内墙指宽度不小于2.1m的洞口;外墙在内外墙交接处已设置连接柱时应允许适当放宽,但洞侧墙体应加强。
7.3.7 多层密肋复合板房屋的连接柱应符合下列构造规定:
1 连接柱截面最小配筋应符合表7.3.7的要求;
表7.3.7 连接柱截面最小配筋

2 连接柱在楼层处上下端应适当加密;
3 连接柱与连接梁结合处,连接柱纵筋应在连接梁纵筋间穿过并上下贯通;
4 连接柱可不单独设置基础,但应伸入室外地面下500mm,或与埋深不大于500mm的基础圈梁相连。
条文说明
7.3.6、7.3.7“连接柱”在墙段内布置较多,间距一般约为(1.0~1.5)倍层高。根据实际工程分析及数值计算,中等开间的多层密肋复合板结构房屋,底层柱的轴压比均较小,从而使小截面柱得以应用。多层密肋复合板结构中这些主要起构造连接及约束复合墙板的“端部连接柱”和“中部连接柱”,不必按传统框架柱的条件来要求,但应满足间距、最小尺寸和最小配筋的规定。 第7.3.6条第1款的规定是针对区别于横墙较少、横墙很少、单面走廊式及外廊式房屋的一般房屋。
7.4 多层结构密肋复合墙板连接构造
7.4 多层结构密肋复合墙板连接构造
7.4.1 多层密肋复合墙板肋梁、肋柱钢筋应根据受力计算确定。墙板肋梁、肋柱中纵筋不宜少于4根,钢筋直径不宜小于6mm;箍筋直径不宜小于4mm,间距不宜大于200mm;墙板纵筋配筋率不应小于0.1%。
条文说明
7.4.1密肋复合墙板的纵筋配筋率是指肋梁或肋柱全部纵筋面积与墙板水平投影面积的比值。
7.4.2 多层密肋复合板之间的水平连接当采用现浇连接柱进行连接时,肋梁纵筋应在连接柱内有可靠锚固(图7.4.2)。

图7.4.2 墙板间的水平连接
1—墙体连接柱;2—肋梁纵筋封闭环或可靠锚固;3—密肋复合墙板
7.4.3 多层密肋复合板结构,密肋复合墙板上部应将肋柱纵筋外伸与连接梁或现浇楼板可靠连接(图7.4.3-1);基础与上部墙板之间应设置基础梁,边缘构件及连接柱的钢筋伸入基础梁(图7.4.3-2),锚固长度应符合国家现行有关标准的规定。

图7.4.3-1 墙板间的竖向连接
1—密肋复合墙板;2—端部连接柱;3—中间连接柱;4—连接梁

图7.4.3-2 基础与上部墙板之间的连接
1—密肋复合墙板;2—端部连接柱;3—中间连接柱;4—连接梁;5—基础梁
条文说明
7.4.2、7.4.3密肋复合板结构墙板之间水平连接和竖向连接若采用其他连接方式时,应保证结构传力和整体性要求。
8 高层密肋复合板结构设计
8.1 房屋适用高度和高宽比
8 高层密肋复合板结构设计
8.1 房屋适用高度和高宽比
8.1.1 高层密肋复合板结构房屋的最大适用高度应符合表8.1.1的规定。
表8.1.1 高层密肋复合板结构的最大适用高度(m)

8.1.2 高层密肋复合板结构当与较多现浇剪力墙或筒体组合,经计算分析满足各项指标时,最大适用高度可适当提高。平面和竖向不规则的结构或Ⅳ类场地上的结构,最大适用高度应适当降低。
条文说明
8.1.1、8.1.2由于现行《建筑抗震设计规范》GB50011及《高层建筑混凝土结构技术规程》JGJ3中均未对装配整体式混凝土结构的设计进行规定,根据十二层模型房屋的拟动力试验研究、十五层模型房屋的整体弯曲试验及理论分析,考虑高层密肋复合板结构现浇部分的边缘构件、连接柱的刚度及承载力水平,密肋复合板结构在侧向刚度和承载力水平上与框架-抗震墙结构相当。由于密肋复合墙板中填充体的强度较低,为满足墙体在竖向力以及整体弯矩下的轴压比要求,本结构体系在高层建筑中的适用高度受到一定限制。结构的最大适用高度可按表8.1.1规定,对于8度(0.3g)地区,当采取可靠措施时也可采用高层密肋复合板结构体系。密肋复合楼盖的应用不受表8.1.1条中的高度限制。
8.1.3 高层密肋复合板结构房屋的最大高宽比,宜符合表8.1.3的要求。
表8.1.3 高层密肋复合板结构适用的最大高宽比

条文说明
8.1.3建筑高宽比对结构地震反应的影响来说,要比建筑的绝对尺寸更为重要。建筑的高宽比愈大,水平地震作用下引起的倾覆力矩愈大。由于巨大的倾覆力矩在柱和基础中产生的拉压力对结构设计带来一定困难,而且装配式墙体应避免出现整体截面受拉的现象,为有效防止在地震作用下建筑的倾覆,保证有足够的地震稳定性,并能对结构刚度、承载能力和经济合理性等有合理的控制,房屋的高宽比应控制在合适的范围内。我国现行标准《高层建筑混凝土结构技术规程》JGJ3对于抗震房屋的高宽比限值,经实践检验各方面都予以接受,也较经济合理。高层密肋复合板结构房屋参照与之刚度、承载力、稳定性相当的结构类型,其高宽比不宜超过表8.1.3的数值。
8.2 抗震等级
8.2 抗震等级
8.2.1 高层密肋复合板结构中密肋复合墙体的抗震设计应根据设防类别、烈度和房屋高度采用不同的抗震等级,并应符合相应的计算和构造要求。丙类建筑的抗震等级应按表8.2.1确定。
表8.2.1 密肋复合墙体抗震等级

条文说明
8.2.1我国现行标准《建筑抗震设计规范》GB50011对建筑物抗震等级的划分,除了技术要求的因素外,还有经济因素的考虑。随着设计方法的改进和经济水平的提高,抗震等级也将作相应的调整。密肋复合板结构由于其独特的结构构造及连接方式使其有别于其他传统结构。主要表现在以下几个方面: 1密肋复合墙体与传统剪力墙有较大不同,剪力墙为竖向连续悬臂构件,可独自承受较大的竖向及水平荷载,刚度较大,为弯曲变形;而密肋复合墙体刚度适中,变形为弯剪型,承载力较剪力墙低,但延性较剪力墙有很大的提高。 2“约束边缘构件”及“连接柱”在墙段内布置较多,柱间距一般约为(1.0~1.5)倍层高。在高层密肋复合板结构中,约束边缘构件除了受压受剪外,还要承担较大的整体弯矩作用。 3“连接梁”类似于剪力墙结构中的暗梁,它可以加强纵横墙体的连接、增强楼盖的整体性、增加墙体的稳定性,可以有效约束墙体裂缝的发展,还可以有效地抵抗由于地震或其他原因所引起的地基不均匀沉降对房屋的破坏作用,其截面高度一般取150mm~250mm。 当密肋复合墙体与其他普通混凝土抗侧力构件组合形成混合结构体系时,普通构件抗震等级的确定可以参照框架-剪力墙、框架-核心筒结构中相应的构件进行,密肋复合墙体的抗震等级可以参照其中的剪力墙构件进行确定。
8.2.2 建筑场地为Ⅰ类时,除6度外可按表内降低一度所对应的抗震等级采取抗震构造措施,但相应的计算要求不应降低;接近或等于高度分界时,应结合房屋不规则程度及场地、地基条件确定抗震等级。
8.2.3 当密肋复合板结构为底部大空间时,房屋抗震等级应按本规程第9.2.2条采用。
8.3 结构布置
8.3 结构布置
8.3.1 在高层密肋复合板建筑的一个独立结构单元内,其结构平面及竖向布置应符合现行行业标准《高层建筑混凝土结构技术规程》JGJ 3中关于高层建筑结构布置的相关要求。
条文说明
8.3.1作为装配整体式结构,密肋复合板结构对结构的规则性要求应更为严格,考虑到对其适用总高度已做出更严格的规定,所以本条中关于平面布置及竖向布置的具体要求参照《高层建筑混凝土结构技术规程》JGJ3执行。
8.3.2 结构平面布置应减少扭转的影响,高层密肋复合板结构应符合现行行业标准《高层建筑混凝土结构技术规程》JGJ 3中关于高层建筑结构扭转控制的相关规定。
8.3.3 高层密肋复合板结构中,密肋复合墙体在平面及立面上的布置要求及门窗洞口的布置应符合现行行业标准《高层建筑混凝土结构技术规程》JGJ 3中对于剪力墙结构布置的相关规定。
条文说明
8.3.3高层密肋复合板结构的空间工作状态中,其密肋复合墙体构件仍属于二维面内受力体系,其承力机理及结构布置可参照剪力墙结构中对于剪力墙布置的要求。与剪力墙结构的布置类似,由于墙体布置一般较多,不再对其最大墙体间距作出规定。
8.3.4 抗震设计时,密肋复合墙体底部加强部位的范围,应符合下列规定:
1 底部加强部位的高度,应从地下室顶板算起;
2 抗震设计时,密肋复合墙体底部加强部位的高度可取底部两层或墙体总高度的1/10,二者应取较大值;
3 当结构计算嵌固端位于地下一层底板或以下时,底部加强部位宜延伸到计算嵌固端。
条文说明
8.3.4抗震设计时,普通剪力墙结构要求在墙体底部一定高度范围内形成有足够延性的塑性铰,以利于结构整体的能量耗散。为此规定底部加强部位,提高其抵抗剪切破坏的能力。密肋复合墙体的破坏模式和能量耗散模式,对于多层结构主要为弥散剪切裂缝耗散,对于高层结构,则要求以墙体弯曲塑性铰能量耗散为主,填充体内剪切弥散裂缝的能量耗散为辅,因此也对其底部加强部位作出规定。
8.3.5 较长的密肋复合墙体宜开设洞口,将其分成长度较为均匀的若干墙段,每个独立墙段的总高度与其截面高度之比不宜小于3。
8.3.6 当密肋复合墙体与其平面外方向的楼面梁连接时,应控制密肋复合墙体平面外的弯矩,避免与平面外相交的楼面梁采用刚接。并应至少采取下列措施中的一项措施,减小梁端部弯矩对墙体的不利影响:
1 沿梁轴线方向设置与梁相连的密肋复合墙体,抵抗该墙体平面外弯矩,墙体厚度不宜小于梁的宽度;
2 当不能设置与梁轴线方向相连的密肋复合墙体时,宜在墙与梁相交处设置扶壁柱;扶壁柱宽度不应小于梁宽,并应按计算确定截面及配筋;
3 当不能设置扶壁柱时,应在墙与梁相交处设置连接柱,连接柱宽度不应小于2倍墙厚,不宜大于4倍墙厚,并应按计算确定配筋;
4 平面外楼面梁与扶壁柱、连接柱的钢筋锚固应满足框架梁与框架柱的节点构造要求;当钢筋在支座未充分利用其强度时,可根据其应力水平对锚固长度作出调整;
5 梁与墙端部按铰接或近似铰接设计时,应保证端部截面有充分的转动能力。
条文说明
8.3.6密肋复合墙体的平面外刚度及承载力相比其平面内刚度及承载力降低很多。当密肋复合墙体与平面外方向的梁连接时,会造成墙肢平面外弯矩,由于墙体较薄,楼面梁端部按刚接节点设计时会造成扶壁柱或连接柱配筋较多,同时对邻近墙体也有平面外弯矩的不利影响,因此应尽量设计成铰接。同时在构造上对最大钢筋直径、钢筋锚固时的直锚段长度等参照框架梁柱节点的要求进行设置。
8.3.7 密肋复合墙体开洞形成的跨高比小于5的连梁,应按剪力墙结构中的连梁进行设计;当跨高比不小于5时,宜按框架梁进行设计。
条文说明
8.3.7密肋复合板结构中的连梁采用钢筋混凝土材料制作,构造同剪力墙结构中的连梁。当连梁跨高比小于5时,竖向荷载下的弯矩所占比例较小,水平荷载作用下产生的弯矩使它对剪切变形十分敏感,容易出现剪切裂缝。当连梁跨高比不小于5时,竖向荷载作用下的弯矩所占比例较大,宜按框架梁设计。
8.3.8 高层密肋复合板结构应采用现浇楼盖结构。
条文说明
8.3.8密肋复合板结构为预制拼装结构,现浇楼盖能够较好地加强结构的整体性能,因此规定采用现浇楼盖。当楼盖采用肋梁现浇的密肋复合楼盖时,也视作现浇楼盖结构。
8.4 水平位移限值
8.4 水平位移限值
8.4.1 按弹性方法计算的楼层层间最大位移与层高之比Δu/h的限值宜符合表8.4.1的规定。
表8.4.1 楼层层间最大位移与层高之比的限值

条文说明
8.4.1高层密肋复合板结构应进行多遇地震作用下的抗震变形验算,其楼层内最大层间弹性位移角不宜超过本规程表8.4.1的限值。 在确定密肋复合板结构的弹性层间位移角限值时,主要参照密肋复合墙板的试验数据及以密肋复合墙体为主要抗侧力构件的结构体系弹性阶段的变形及开裂状态,模拟底层带边框抗震墙的有限元分析结果表明带边框密肋复合墙体的开裂位移角为1/4000~1/2500。试验及计算结果均表明密肋复合板结构中的密肋复合墙体在较小的位移角时即可能开裂。而密肋复合墙板内主要由剪切变形引起的填充体开裂位移角一般为1/1500~1/1000。考虑到:(1)对结构刚度的过高要求可能难以实现最经济的设计;(2)过大的刚度需求可能对结构的性能造成一定的负面影响,如结构加速度反应随刚度增加而增大,可能影响到建筑内部对加速度较为敏感的设备或物品的正常使用功能;(3)结构的最大层间位移一般发生于建筑下部剪力较大楼层,这些楼层的密肋复合墙体承受的轴向力一般都比较大,其开裂位移角一般也较大;(4)对于地震作用下惯性力施加的快速性而引起的混凝土等脆性材料抗拉强度的显著提高未予考虑;(5)密肋复合墙体与普通混凝土墙体在同一结构中共同作为抗侧力体系时弹性位移角限值的兼容性。因此,虽然控制作为主要抗侧力构件的密肋复合墙板开裂是确定位移角限值的主要依据,但同时还应考虑其他建筑功能需求、经济性、规范的可执行性等综合因素。综上所述,允许密肋复合墙体在小震下有适度开裂,取接近于试验结果的上限值(1/800),作为以密肋复合墙体为主要抗侧力构件的结构体系的层间位移角限值是合理的。
8.4.2 高层密肋复合板结构在罕遇地震作用下宜进行薄弱层弹塑性变形验算,结构薄弱层(部位)层间弹塑性位移应符合下式规定:
Δu p ≤[θ p ]h (8.4.2)
式中:△u p ——层间弹塑性位移(mm);
[θ p ]——层间弹塑性位移角限值,可按表8.4.2采用。
h——层高(mm)。
表8.4.2 层间弹塑性位移角限值

条文说明
8.4.2由高层密肋复合板结构的拟动力试验和振动台试验结果,其变形和刚度等特性介于框架结构和剪力墙结构之间,其总体的变形特征与框架-剪力墙结构的变形特征接近。虽然装配整体式复合墙体具有较大的剪跨比,但由于墙板周边的边缘构件承担了绝大部分的整体弯矩而墙板主要是承担剪力,因而墙板一般仍发生剪切破坏,而两端的边缘构件则由于钢筋屈服或混凝土压酥剥落造成钢筋失稳,形成弯曲破坏。 与多层密肋复合板结构不同,高层密肋复合板结构理想的耗能模式按边缘构件-填充体-肋梁肋柱的顺序进行,其内力重分布的阶段较长。根据墙板试验结果,边缘构件的屈服耗能仍起主要的耗能作用,当填充体破坏至大量剥落形成密肋的格式框架后,其变形能力则进一步加强。因而,密肋复合板结构的设计原则仍是控制墙板破坏后于边缘构件破坏,一方面充分耗散地震能量,另一方面则保证墙体的竖向承重作用,有效避免结构的整体倒塌。 密肋复合板结构体系在基于位移的设计理念中在小位移水平要求下,按接近于剪力墙结构类抗侧力体系考虑;而在避免倒塌的大位移水平要求下,则又转为按框架屈服机制考虑,较符合结构的实际情况。 1/3比例模型的拟动力试验中,墙板极限承载力大于边缘构件的极限承载力,结构屈服表现为边缘构件的屈服破坏,其最终试验的最大极限层间位移角约为1/100(第二层);而根据带边缘构件的墙板试验,最大极限层间位移角约为1/32~1/110,密肋复合板结构的弹塑性位移角限值按1/100取值,有一定的安全裕度。
8.5 截面设计与构造
8.5 截面设计与构造
8.5.1 高层密肋复合板结构中密肋复合墙板和连接柱的构造应满足本规程第6章与第7章的相关规定。边缘构件应按本章规定进行承载力设计,并应满足构造要求。
8.5.2 密肋复合墙体的截面尺寸应符合下列规定:
1 按一、二级抗震等级设计的密肋复合墙体底部加强部位的厚度不应小于200mm,且不应小于层高或密肋复合墙体无支长度的1/16,其他部位不应小于160mm,且不应小于层高或密肋复合墙体无支长度的1/20,当为无端柱或翼墙的一字形墙时,其底部加强部位截面厚度尚不应小于层高的1/12;其他部位尚不应小于层高的1/15,且不应小于180mm;
2 按三、四级抗震等级设计的密肋复合墙体底部加强部位的厚度不应小于160mm,且不应小于层高或密肋复合墙体无支长度的1/20,其他部位不应小于160mm,且不应小于层高或密肋复合墙体无支长度的1/25;
3 当墙厚不能满足本条第1、2款的要求时,应验算墙体的稳定性。
条文说明
8.5.2本条第1、2款规定密肋复合墙体最小厚度的目的是保证密肋复合墙体出平面的刚度和稳定性能。当墙体平面外有与其相交的密肋复合墙体时,可视为密肋复合墙体的支承,有利于保证密肋复合墙体出平面的刚度和稳定性能,因而可在层高及无支长度二者中取较小值计算墙体的最小厚度。无支长度是指沿密肋复合墙体长度方向没有平面外横向支承墙的长度。
一般密肋复合墙体井筒内分隔空间的墙数量多而长度不大,两端嵌固好,为了减轻结构自重,第3款规定验算墙体的稳定后,其墙厚可减小。
8.5.3 密肋复合墙体在不同抗震等级设计时的内力调整应按现行行业标准《高层建筑混凝土结构技术规程》JGJ 3中有关剪力墙构件的规定执行。
条文说明
8.5.3密肋复合墙体确定抗震等级后可以参照相同抗震等级的剪力墙构件进行内力调整、支承平面外楼面梁的扶壁柱设置等规定。
8.5.4 按一、二、三级抗震等级进行设计的密肋复合墙体,轴压比不宜超过表8.5.4的限值;对于Ⅳ类场地上较高的高层建筑,其轴压比限值应适当减小。
表8.5.4 密肋复合墙体轴压比限值

注:N——重力荷载代表值作用下墙体轴向压力设计值(N);
α qN ——填充体对墙板受压承载力的影响系数;

c ——混凝土轴心抗压强度设计值(N/mm 2 );
A c ——墙体内各混凝土肋柱、连接柱及边缘构件横截面面积之和(mm 2 )。
条文说明
8.5.4密肋复合墙体随着建筑高度的增加,其轴压应力也随之加大。课题组进行了大量的密肋复合墙体轴压比试验,当偏心受压密肋复合墙体轴力较大时,受压区高度增大,与钢筋混凝土柱相同,其延性下降。根据试验结果及《高层建筑混凝土结构技术规程》JGJ3规定,本规程对高层密肋复合墙体的轴压比限值进行规定。
8.5.5 高层密肋复合板结构中墙板框格的划分应根据构造及受力计算确定。
条文说明
8.5.5根据密肋复合墙体抗震性能试验,墙板框格高度控制在500mm~800mm之间能够较好地发挥填充体的斜撑作用,有利于墙板肋格与填充体的共同工作。
8.5.6 高层密肋复合板结构中墙板肋梁、肋柱钢筋应根据受力计算确定。墙板肋梁、肋柱纵筋不应小于4根,且直径不应小于8mm;箍筋直径不应小于5mm,且间距不应大于200mm。
条文说明
8.5.6依据密肋复合墙体抗震性能试验总结。
8.5.7 抗震设计时,密肋复合墙体肋梁、肋柱纵向钢筋在边缘构件及连接梁内的锚固除满足下列规定外,尚应钩住边缘构件、连接柱或连接梁的远侧纵向钢筋:
1 一、二级抗震等级
l aE =1.15l a (8.5.7-1)
2 三级抗震等级
l aE =1.05l a (8.5.7-2)
3 四级抗震等级
l aE =1.0l a (8.5.7-3)
式中:l a ——受拉钢筋的锚固长度(mm)。
条文说明
8.5.7为保证在反复荷载作用下钢筋与其周围混凝土之间具有必要的粘结锚固性能,在静力要求的纵向受拉钢筋锚固长度la的基础上,对一、二、三级抗震等级的构件,尚应乘以不同的锚固长度增大系数。
8.5.8 密肋复合墙板肋梁、肋柱纵向钢筋的搭接接头长度,非抗震设计时不应小于1.2l a ,抗震设计时不应小于1.2l aE 。一、二级密肋复合墙体的底部加强部位,墙板肋梁、肋柱纵筋的接头位置应错开,同一截面连接的钢筋数量不宜超过总数量的50%,错开间距不宜小于500mm;其他情况下的肋梁、肋柱纵筋可在同一截面连接。密肋复合墙体边缘构件内纵向钢筋连接宜与普通框架结构的框架柱要求相同。
条文说明
8.5.8对允许采用非焊接的搭接接头的边缘构件纵向钢筋,考虑抗震要求的搭接长度,取纵向受拉钢筋的抗震锚固长度laE,按搭接接头的百分率,乘以纵向受拉钢筋搭接长度修正系数。钢筋连接接头的位置宜避开梁端、柱端箍筋加密区。当工程中无法避开时,应采用与母材等强度并具有足够伸长率的高质量机械连接接头或焊接接头,且钢筋接头面积百分率不宜超过50%。
8.5.9 密肋复合墙体上应设置连接梁,连接梁截面高度可取墙厚的(1~2)倍,并不应小于200mm,连接梁的配筋可按构造配置且应符合密肋复合墙体相应抗震等级的最小配筋率要求。
条文说明
8.5.9为了保证密肋复合墙体的共同工作性能及其整体性,依据密肋复合板结构抗震性能试验总结,连接梁与复合墙体的抗震等级宜取一致,并符合一般框架梁相应抗震等级时的最小配筋率要求。
8.5.10 一、二、三级抗震设计的密肋复合墙体底部加强部位及其上一层的墙肢端部,当墙体抗震等级为一级且轴压比大于0.2、二、三级且轴压比大于0.3时,应按本规程第8.5.11条的要求设置约束边缘构件;一、二、三级抗震设计密肋复合墙体的其他部位以及四级抗震设计和非抗震设计的密肋复合墙墙肢端部均应按本规程第8.5.12条的要求设置构造边缘构件。约束边缘构件和构造边缘构件均应为现浇的钢筋混凝土边缘构件。
条文说明
8.5.10 当一、二、三级抗震等级底部加强部位轴压比达到规定数值时,需要设置约束边缘构件,其长度及箍筋配置量都需要进行计算,并从加强部位顶部向上延伸一层。当一、二、三级抗震等级底部加强部位轴压比较小时以及四级抗震等级的密肋复合墙体按构造要求设置密肋复合墙体构造边缘构件。
8.5.11 密肋复合墙体两端约束边缘构件(图8.5.11)的设计应符合下列规定:
1 约束边缘构件沿墙肢方向的长度l c 、箍筋配箍特征值λ v 及竖向钢筋最小量应满足表8.5.11的要求,且按一、二、三级抗震设计时箍筋直径均不应小于8mm、箍筋间距分别不应大于100mm(一、二级)和150mm(三级)。箍筋的配筋范围为图8.5.11中的阴影区域,其体积配箍率ρ v 应按下式计算:

式中:λ v ——约束边缘构件的配箍特征值;

c ——混凝土轴心抗压强度设计值(N/mm 2 );

yv ——箍筋或拉筋的抗拉强度设计值(N/mm 2 )。
2 约束边缘构件纵向钢筋的配筋范围为图8.5.11中现浇边缘构件截面面积。

图8.5.11 密肋复合墙体的约束边缘构件
1—约束边缘构件;2—密肋复合墙板
表8.5.11 约束边缘构件沿墙肢方向的长度l c 、配箍特征值λ v 及竖向钢筋最小量


注:1 μ N 为墙肢轴压比,h w 为密肋复合墙体长度;
2 l c 为约束边缘构件沿墙肢方向的长度,不应小于表中数值、b w 和400mm三者的较大值,有翼墙或端柱时尚不应小于翼墙厚度或端柱沿墙肢方向截面高度加300mm;
3 翼墙长度小于其厚度3倍或端柱截面边长小于墙厚的2倍时,视为无翼墙或无端柱。
条文说明
8.5.11对密肋复合墙体设置的约束边缘构件提出了要求,主要措施是限制边缘构件的最小长度lc及其体积配箍率ρv,体积配箍率ρv由配箍特征值λv计算,ρv的计算范围及边缘构件中的纵向钢筋配置范围即图8.5.11中的阴影部分。 当墙肢轴压比达到或接近本规程表8.5.4的限值时,约束边缘构件的配箍特征值λv按本规程表8.5.11采用;当墙肢轴压比较小时,约束边缘构件的配箍特征值λv可适当降低。对于十字形密肋复合墙体,可按两片墙分别在端部设置约束边缘构件,交叉部位只需按构造要求配置暗柱。 和普通剪力墙结构中的约束边缘构件不同,密肋复合墙体的约束边缘构件除承担整体弯矩作用外,还受到各层密肋复合墙板局部剪切变形引起的弯矩影响,尤其在大震后期填充体逐步退出工作后局部弯矩有增大趋势,因此,边缘构件局部弯矩也应加以考虑。密肋复合墙体边缘构件的纵筋布置不再按阴影区与非阴影区划分,并对约束边缘构件最小长度作出调整,使其介于普通混凝土剪力墙约束边缘构件阴影区长度和lc之间。
8.5.12 一、二、三级抗震设计的密肋复合墙体底部加强部位及其上一层的墙肢端部,当墙体抗震等级为一级且轴压比不大于0.2、二、三级且轴压比不大于0.3及四级抗震等级时,密肋复合墙体两端可设置构造边缘构件(图8.5.12)。构造边缘构件的最小配筋应符合表8.5.12的规定。

图8.5.12 密肋复合墙体的构造边缘构件
1—构造边缘构件;2—密肋复合墙板
当密肋复合墙体端部为端柱时,端柱中纵向钢筋及箍筋应按框架柱的构造要求配置。
表8.5.12 密肋复合墙体构造边缘构件的最小配筋要求

注:1 A c 为边缘构件的截面面积;
2 符号 
表示钢筋直径;
3 其他部位的拉筋,水平间距不应大于纵筋间距的2倍;对转角墙的暗柱,表中拉筋宜采用箍筋。
8.5.13 高层密肋复合板结构连梁等其他构件的构造要求应按现行行业标准《高层建筑混凝土结构技术规程》JGJ 3的有关规定执行。
8.6 高层结构密肋复合墙板连接构造
8.6 高层结构密肋复合墙板连接构造
8.6.1 高层密肋复合墙板间的水平连接应与多层密肋复合墙板间的水平连接方式相同(图7.4.2)。
8.6.2 高层结构密肋复合墙板应加强在底部加强区的竖向连接,当墙板肋柱纵筋未上下贯通搭接时,可在墙板与楼板间设置预埋件焊接连接(图8.6.2)。

图8.6.2 墙板间的竖向连接
1—密肋复合墙板;2—边缘构件;3—连接柱;4—连接梁;5—墙板内预埋件;6—连接梁内预埋件;7—板底坐浆
9 部分框支密肋复合板结构设计
9.1 房屋适用高度和高宽比
9 部分框支密肋复合板结构设计
9.1 房屋适用高度和高宽比
9.1.1 部分框支密肋复合板结构应用于丙类建筑时房屋,其最大适用层数和最大适用高度应符合表9.1.1的规定,且层高不宜大于4.2m。
表9.1.1 部分框支密肋复合板结构的最大适用层数及最大适用高度

注:部分框支密肋复合板结构是指地面以上一层或两层布置框架和剪力墙、上部为密肋复合墙体的密肋复合板结构。
条文说明
9.1.1部分框支密肋复合板结构是指上部密肋复合墙体不全部落地、在底层或底部两层采用框架与剪力墙作为抗侧力体系的结构形式。 试验研究表明,框支密肋复合板结构的抗震性能优于框支砌体结构,对于底部框架具有相同截面尺寸及配筋的两种墙梁,前者具有更好的破坏形态、更大的承载力及变形耗能能力。因此框支密肋复合板结构可突破现行《建筑抗震设计规范》GB50011对于底部框架-抗震墙砌体结构房屋的层数和高度限制。 研究表明,框支密肋复合板结构的承载力虽不如框支剪力墙结构高,但是由于其上部密肋复合墙体的结构构造,不同组成部分先后发挥主要承力作用,可由墙体退化为小框架,试验结果表明过渡层的层间位移角可达到1/25,具有很好的变形能力。 层数不超过8层且高度不超过24m的部分框支多层密肋复合板结构,当为7度及以下设防烈度设计或非抗震设计时,底部框支层的剪力墙可采用密肋复合墙体。
9.1.2 部分框支密肋复合板结构的最大高宽比应符合表9.1.2的规定。
表9.1.2 部分框支密肋复合板结构的最大高宽比

9.2 抗震等级
9.2 抗震等级
9.2.1 部分框支密肋复合板结构应符合本地区抗震设防烈度的要求。当建筑场地为Ⅰ类时,除6度外,应允许按本地区抗震设防烈度降低一度的要求采取抗震构造措施。
9.2.2 部分框支密肋复合板结构的抗震设计应根据设防烈度和房屋高度,采用表9.2.2规定的结构抗震等级,并应符合相应的计算和构造要求。
表9.2.2 部分框支密肋复合板结构抗震等级

注:H为建筑物高度(m)。
9.3 构件设计与构造
9.3 构件设计与构造
9.3.1 层数不超过8层且高度不超过24m的部分框支多层密肋复合板结构,框支柱、框支墙梁及节点构造的设计应符合现行国家标准《砌体结构设计规范》GB 50003、《建筑抗震设计规范》GB 50011及《混凝土结构设计规范》GB 50010中关于底部框架-抗震墙砌体房屋的有关规定。其中托梁弯矩系数α M 、剪力系数β V 应予增大;增大系数当抗震等级为一级时,取为1.10,当抗震等级为二级时,取为1.05,当抗震等级为三级时,取为1.0。
非框支层应按本规程多层密肋复合板结构的相关要求设计。
条文说明
9.3.1试验研究及有限元分析表明,与底部框架-抗震墙砌体结构类似,部分框支密肋复合板结构亦具有明显的荷载边移效应(拱作用),且主要发生在过渡层墙体,墙板所承受的竖向荷载,由上而下逐步传给边缘构件和连接柱,这种荷载边移效应是靠填充体的斜向受压实现的。托梁跨中截面偏心受拉,支座截面偏心受压;为了便于实际工程设计应用,这里采用与现行国家标准《砌体结构设计规范》GB50003一致的计算方法,分析表明,这种做法较底部框架-抗震墙砌体结构的设计具有更高的可靠度。
9.3.2 层数超过8层或高度超过24m的部分框支高层密肋复合板结构,框支墙梁应由框支梁与上部过渡层的钢筋混凝土墙组成,框支柱、框支墙梁及节点构造的设计应符合国家现行标准《混凝土结构设计规范》GB 50010、《高层建筑混凝土结构技术规程》JGJ 3及《建筑抗震设计规范》GB 50011中关于部分框支抗震墙结构的相关规定。
非框支层应按本规程高层密肋复合板结构的相关要求设计。
9.3.3 部分框支高层密肋复合板结构房屋的框支层应沿纵向和横向设置一定数量的混凝土抗震墙,且应均匀对称布置。其间距应符合《建筑抗震设计规范》GB 50011中关于框支剪力墙结构框支层墙体的间距要求。框支层框架部分承担的地震倾覆力矩,不应大于地震总倾覆力矩的50%。
9.3.4 部分框支多层密肋复合板结构房屋的纵横两个方向,非框支层与下部框支层侧向刚度的比值,应满足不同总高、不同框支层数对于刚度比的相关要求。
条文说明
9.3.4与底部框架-抗震墙砌体结构、部分框支剪力墙结构等带转换层的结构类似,部分框支密肋复合板结构亦应控制转换层上下的刚度比。 对于层数不超过8层且总高不超过24m的部分框支多层密肋复合板结构,可参照底部框架-抗震墙砌体结构关于转换层上下刚度比的规定。由于密肋复合板结构较砌体结构有更好的耗能与变形性能,所以允许转换层上下刚度比小于1。 对于层数超过8层或总高超过24m的部分框支高层密肋复合板结构,可参照部分框支剪力墙结构关于转换层上下刚度比的规定。
9.3.5 部分框支密肋复合板结构房屋上层承重墙应沿纵横两个方向按底部框架和抗震墙的轴线布置,宜上下对齐,分布均匀,使各层刚度中心接近质量中心。
9.3.6 部分框支多层密肋复合板结构房屋的抗震计算,当采用底部剪力法时,框支层的纵向和横向地震剪力设计值均应乘以增大系数,其值可根据过渡层与框支层侧向刚度比值的大小在1.2~1.5范围内选用。框支层的纵向和横向地震剪力设计值应全部由该方向的抗震墙承担,并应按各抗震墙侧向刚度比例分配。
9.3.7 部分框支多层密肋复合板结构中框支层框架柱承担的地震剪力设计值,可按各抗侧力构件有效刚度比例分配确定;有效侧向刚度的取值,框架不折减,混凝土抗震墙可乘以折减系数0.3。框架柱应计入地震倾覆力矩引起的附加轴力,此时框支墙梁可视为刚体。底部各构件承受的地震倾覆力矩,可按框支层抗震墙和框架的侧向刚度比例分配确定。
9.3.8 部分框支多层密肋复合板结构计算底部框架地震剪力产生的柱端弯矩时可取柱的反弯点距柱底为0.55倍层高。
9.3.9 框支墙梁上部计算高度范围内墙体的截面抗震承载力,取相应落地墙体的抗震承载力乘以降低系数0.9。
9.3.10 过渡层或转换层楼面处连接梁及楼板均应加强设计。墙体中现浇连接柱或边缘构件混凝土强度等级不应低于C30,墙板框格混凝土强度等级不应低于C25。
10 施工与验收
10.1 一般规定
10 施工与验收
10.1 一般规定
10.1.1 密肋复合板结构工程的施工,应编制施工组织设计,包括编制详尽的密肋复合板结构工程的施工技术方案。施工技术方案应包括密肋复合墙体工程、密肋复合楼盖工程各相关分项工程的施工方案、施工工艺流程、质量、安全及控制措施。
10.1.2 密肋复合板结构工程的施工与验收可划分为板类预制构件的质量验收、密肋复合墙体施工及验收、轻钢密肋复合墙体施工及验收、密肋复合楼盖的施工及验收、结构保温一体化施工及验收及其他常规结构分项工程的施工及验收。可根据设计要求确定各类分项工程验收项目的内容。
10.1.3 制作密肋复合墙板的水泥、砂、石、钢筋等原材料的质量检验以及混凝土的配制应符合现行国家标准《混凝土结构工程施工质量验收规范》GB 50204的规定;砂浆的配制应符合现行行业标准《砌筑砂浆配合比设计规程》JGJ/T 98和《混凝土小型空心砌块和混凝土砖砌筑砂浆》JC 860的规定。
10.1.4 当采用轻骨料混凝土、粉煤灰混凝土或发泡混凝土制作密肋复合板时,材料应经过试验检验,并应符合有关技术标准及设计要求。
10.1.5 密肋复合墙板和密肋复合楼盖中的内模填充体,其安装的允许偏差和检验方法可按现行国家标准《混凝土结构工程施工质量验收规范》GB 50204中现浇结构模板安装的相关规定执行,当不参与混凝土结构子分部工程的验收时,应提供填充体质量检验报告及出厂合格证等质量保证材料;参与密肋复合板共同受力的空心箱体、配筋空心箱体构件等安装的允许偏差和检验方法可按现行国家标准《混凝土结构工程施工质量验收规范》GB 50204中混凝土预制构件模板安装的相关规定执行。
10.1.6 制作预制构件所用的隔离剂、隔离塑料薄膜,应选用隔离效果良好、不粘结底胎、不易破损、不影响构件外观质量及易于后期装修抹灰层附着的材料。
10.1.7 砂浆、混凝土中使用早强剂、减水剂、防冻剂等外加剂时,应按有关规定进行取样检验,并应按规定进行试配。
10.1.8 当板件采用工厂预制时,厂区到施工现场的道路,应满足板件产品的运输条件和要求。
10.1.9 施工现场的平面布置,应符合下列规定:
1 在吊车的工作范围内不得有障碍物,并应有堆放构件的场地;
2 场内运输宜设置循环道路;
3 道路、场地应平整坚实,并应有可靠的排水措施。
10.1.10 墙板安装应不影响施工安全及吊装过程中的临时固定。可按先中间后两边、先内墙后外墙、纵横墙交替安装、逐间封闭的原则进行安装。
10.1.11 墙板安装工程应与水电、通信等安装工程密切配合,组织立体交叉施工。
10.1.12 密肋复合板结构的安装施工及质量控制与检验除应符合本规程有关规定外,尚应符合国家现行标准《混凝土结构工程施工质量验收规范》GB 50204和《高层建筑混凝土结构技术规程》JGJ 3的有关规定。
10.1.13 地基与基础施工的检验与监测应按国家现行有关标准执行。
10.1.14 密肋复合板结构的施工应满足安全、防火等要求。
10.2 板类预制构件工程
10.2 板类预制构件工程
10.2.1 构件生产应制定施工工艺设计和操作流程,包括模板的加工与安装、钢筋加工绑扎、型钢加工与焊接、砌块铺放、零部件预埋、混凝土拌制浇筑、预留插筋剔凿及墙板吊运靠放等。
条文说明
10.2.1施工过程中,零部件预埋时的固定和卡定方法及其固定件的配置应确保钢筋及埋入配件在构件中的正确位置,且不致因混凝土浇灌、振捣、脱模而发生位置改变。
10.2.2 新制作或检修的模板应进行逐块检查,并应符合下列规定:
1 模板表面应无油污及其他污染物;
2 侧模板支撑、连接、拉固应牢靠,无松动;
3 模板外形尺寸应符合设计要求,无明显布置错误;
4 模板拆除后应无严重变形、翘曲、损伤现象;
5 模板的拼缝不应漏浆,板面应平整光洁,无孔洞和粘结灰浆;
6 模板拆除时不应损伤模板和墙板棱角,拆除后应及时清理模板粘结灰浆。
检查数量:全数检查。
检验方法:观察、用手推拉、钢尺量测。
10.2.3 板类预制构件模板安装的允许偏差应满足现行国家标准《混凝土结构工程施工质量验收规范》GB 50204中关于预制构件模板安装的相关要求,并应符合本规程表10.2.3的规定。
检查数量:对于连续周转使用的同类型钢制模板,应按每季度或每生产线生产1000块板材,按模板件数抽查10%,且不少于3件;对于连续周转使用的同类型木制模板,应按每生产线生产50块板材,按模板件数抽查10%,且不少于3件;当洞口边模采用木制模板连续周转使用时,应按同类型模板每生产线生产25块板材,按模板件数抽查10%,且不少于3件。
表10.2.3 板类预制构件模板安装的允许偏差及检验方法


注:L为量测方向的构件尺寸(mm)。
条文说明
10.2.3模板尺寸的允许偏差点率检验方法如下: 1模板尺寸的允许偏差合格点率按下式计算: 
式中:α——合格点率; nw——不符合要求的检查点数; nt——总检查点数。 2当每件模板的尺寸偏差出现下列情况之一时,应进行返修: 1)出现超过允许负偏差值的检查点; 2)出现超过允许正偏差值1.2倍的检查点; 3)出现3个或3个以上超过允许正偏差值的检查点。
10.2.4 构件制作台座面或模板面应清理干净,当使用隔离剂时,涂刷应均匀,不得漏刷或积存;模板及其支架应定期维护,钢模板及钢支架不得锈蚀。
检查数量:全数检查。
检验方法:观察。
10.2.5 板类预制构件的钢筋形状和尺寸应符合设计要求,并应符合下列规定:
1 钢筋加工尺寸和精度应保证钢筋入模不产生扭曲变形和模板变形,箍筋尺寸不应使钢筋保护层厚度发生变化或改变肋梁、肋柱截面尺寸;
2 转角处纵筋和箍筋之间绑扎应采用兜扣式绑扎,严禁采用顺扣绑扎方式;
3 预留洞口、预埋插筋、预设埋件等应符合设计要求,不应随意变更;
4 钢筋绑扎安装允许偏差和检验方法应符合表10.2.5规定。
检查数量:全数检查。
表10.2.5 板类预制构件钢筋绑扎安装允许偏差和检验方法

10.2.6 当板类预制构件采用型钢边框和内部骨架时,其结构制作和安装质量控制应符合现行国家标准《钢结构工程施工质量验收规范》GB 50205与《冷弯薄壁型钢结构技术规范》GB 50018的相关规定。
10.2.7 板类预制构件内填充体的安装施工应符合下列规定:
1 板类预制构件内填充体的规格、数量及拼接方式应满足设计要求,严禁随意拼接、摆放;
2 填充体的装运及入模安放不得损坏砌块或造成钢筋骨架移位与变形;
3 当需对填充体进行切割时,应使用专用切割机械;
4 混凝土浇筑前,当气温在摄氏零度以上时,应对填充体充分湿润,严禁入模后干砖情况下浇筑混凝土;
5 当板类预制构件填充体按设计允许拼装时,各块体间严禁有水平通缝,拼缝间隙不应大于2mm。
检查数量:全数检查。
检验方法:观察、钢尺及塞尺量测。
10.2.8 板类构件的预制养护可采用自然养护和蒸汽养护的方式。养护应有完整的技术方案和养护措施,并应按现行国家标准《混凝土结构工程施工质量验收规范》GB 50204的规定留置试件。
条文说明
10.2.8当现场场地条件许可时,板类预制构件也可在现场制作后自然养护。
10.2.9 在构件混凝土浇筑完毕后,应随时进行编号并记录制作日期。经检验合格的构件,应标志合格后方可出厂吊装。保温一体化设计的构件应对保温层的铺放建立隐检制度;对保温材料的铺放情况,必须逐块做自检记录。自检记录应包括保温材料的密度、厚度、含水率及块体的实际铺放间距以及与预埋件、钢筋相碰的处理措施等。
检查数量:全数检查。
检验方法:观察,检查施工记录。
10.2.10 构件制作偏差应符合现行国家标准《混凝土结构工程施工质量验收规范》GB 50204中关于预制构件尺寸偏差的规定。
检查数量:随机抽查,同一检验批抽查构件数不少于总量的10%,且不少于3件。
检验方法:钢尺量测。
10.2.11 构件制作外观质量缺陷应按表10.2.11的规定确定。
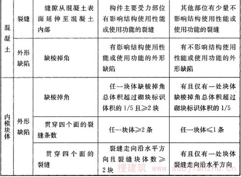
表10.2.11 构件制作外观质量缺陷


检查数量:随机抽查,同一检验批抽检构件数量不少于总量的30%。
检验方法:观察检查、钢尺量测。
10.2.12 构件在任一生产工序中,当检查发现有结构性一般缺陷或非结构性构件损伤缺陷时,应立即进行修补。凡涉及结构性能的损伤,应经设计、施工、监理和制作单位协商处理。
检验方法:检查施工记录和相关的质量处理记录。
10.2.13 构件脱模起吊,当设计无特殊规定时,起吊混凝土强度不应低于设计强度的70%。起吊时,吊钩应垂直于构件起吊中心部位。
10.2.14 构件运输应符合下列规定:
1 构件经检查合格后,方可运输;
2 构件运输宜选用低平板车,车上应设有专用架,且应有可靠的稳固措施;当板件有饰面层时,饰面层应朝外;
3 当采用装箱方式运输时,箱内四周应采用木材、混凝土块作为支撑物,构件接触部位应采用柔性垫片填实,支撑牢固不应有松动;
4 预制墙板可采用竖直立放式运输或叠层平放式运输,运输数量应根据运输车辆载重和道路条件确定;当叠层平放运输时,带洞口墙板不应超过4层(块),无洞口墙板不应超过6层(块),叠放墙板应采用方木或柔性垫板支垫,上下层支垫位置应对应;
5 预制楼板可采用平放运输,并应正确选择支垫位置,预制楼板装运应制定可靠的技术方案。
10.2.15 墙板堆靠、插放应符合下列规定:
1 墙板可采用插放或靠放,支架应有足够的刚度,并应支垫稳固。当采用插放架时,宜将相邻插放架连成整体;当采用靠放架时,应对称靠放,外饰面朝外,倾斜度宜为5°~15°,对墙板的门窗口角部等易损部位应采取保护措施;
2 支架靠放时两侧宜对称靠放,单边堆放数量不应超过15块,并应保持其稳定,防止倾覆;
3 现场存放时,应按吊装顺序和型号分区配套堆放,堆垛应布置在吊装工作范围内;
4 叠层靠放的墙板,吊环应向上,标识、标志应在外;
5 各堆垛、靠垛之间宜设宽度为0.8m~1.2m的操作通道;
6 墙板在吊装现场不应采用水平叠放形式。
10.2.16 预制楼板可采用水平叠放方式,层与层之间应垫平、垫实,各层支垫应上下对应,最下面一层支垫物应通长放置,叠放层数不应超过6层。
10.2.17 构件堆放场地必须坚实稳固,排水良好,构件不得发生扭曲和变形。
10.2.18 密肋复合墙板制作的质量验收可按本规程附录D.0.1~附录D.0.3记录。
10.3 预制填充体构件生产及检验
10.3 预制填充体构件生产及检验
10.3.1 预制填充体构件的外观质量应符合表10.3.1的规定。
表10.3.1 预制填充体构件外观质量

检验方法:外观质量检测时,在自然光和40W日光灯条件下,以视距0.5m左右对试样进行目测检查,目测有无贯通裂纹。用精度1.0mm的直尺和0.5mm的塞尺检测构件外表面裂纹,并记录检查结果。
10.3.2 预制填充体构件的外观尺寸允许偏差应符合表10.3.2的规定。
表10.3.2 预制填充体构件外观尺寸允许偏差

检验方法:长度、宽度及高度检测时,用钢卷尺检测,取每边长三处测量值的算术平均值为检测结果。计算值精确至1mm。
10.3.3 楼盖用预制空心箱体构件的物理力学性能应符合表10.3.3的规定。
表10.3.3 楼盖用预制空心箱体构件物理力学性能

注:1 表中局部承压荷载值为10000mm 2 受压面积上的荷载值,当设计有具体要求时,应按设计荷载进行检验;
2 表中箱体的表观密度均为最小壁厚时的理论计算值,其容许公差为-10%~+5%;
条文说明
10.3.3楼盖用空心箱体构件的物理力学性能检测可采用如下方法: 1质量的测试 用量程不少于500kg,精度为0.1kg的台秤称量构件质量。取三件试样产品质量的平均值作为该批产品的质量。 2表观密度的计算 该批产品的质量与该批产品体积的比值,即为该批产品的表观密度。算式如下: gfil=M/V(3) 式中:gfil——预制空心箱体的表观密度(kg/m3); M——产品质量(kg); V——空心箱体的体积(m3)。 3局部承压荷载的测试 取试样放入水中浸泡48h后,水平放置在水平板面上。将面积为10000mm2的压板放置试件上表面任意位置,分五级加载至规定承压荷载,静置5min~10min后卸载,检查构件有无裂缝和破损等现象。 4抗振动冲击的测定 将试件安放在地面上,将
30插入式振动器紧贴试样受测面振动1min。检查构件侧壁是否出现贯通裂纹,振动区有无破损。
10.3.4 预制填充体的检验应符合下列规定:
1 以正常生产条件下生产的同工艺、同材质、同规格的产品,连续进场5000件应为一检验批,不足5000件时应按一批计,随机抽取10件试样,按本规程第10.3.1条和第10.3.2条的要求进行外观质量与尺寸允许偏差的抽样检验。当有20%以上不合格,则加倍抽取试样;对不合格项目进行复检,仍不合格,应逐件进行检验。
2 在外观质量符合标准的试样中分别选取3件进行质量及表观密度检测、局部承压荷载检测和抗振动冲击检测。当某检验项目不符合要求时,应加倍抽样对不合格项目复检,当复检试样的检验结果均符合要求时,该检验批的该项物理力学性能可判定为合格;当复检试样的检验结果仍不符合要求时,该检验批产品的该项物理力学性能判定为不合格。
10.3.5 预制填充体的生产有下列情况之一时,应进行型式检验,型式检验应为本规程第10.3.1、10.3.2、10.3.3条要求的全部项目:
1 新产品或产品转厂生产的试制定型鉴定;
2 产品的材料、配方、工艺有较大改变,可能影响产品性能时;
3 正常连续正常生产超过一年未进行型式检验时;
4 产品停产半年以上,恢复生产时;
5 出厂检验结果与上次型式检验结果有较大差异时;
6 国家质量监督机构提出型式检验要求时。
10.4 装配整体式密肋复合墙体施工与验收
10.4 装配整体式密肋复合墙体施工与验收
10.4.1 密肋复合墙板安装前的准备工作应符合下列规定:
1 应检查墙板型号、数量及质量状况,并应将所有预埋件及连接筋等梳整扶直,清除浮浆;
2 应按设计要求检查墙板安装位置处基础梁顶面或连接梁顶面的预埋件,其位置偏移量不得大于20mm;
3 应清除墙板安装位置的杂物和垃圾,并应用水洒湿坐浆面后再铺设砂浆。
检查数量:全数检查。
检验方法:观察,钢尺检查,检查技术方案。
10.4.2 施工测量应符合现行国家标准《工程测量规范》GB 50026的有关规定,并应根据建筑物的平面、体形、层数、高度、场地状况和施工要求,编制施工测量方案。
10.4.3 评定边缘构件及连接柱混凝土强度质量的试块,应在现场按相同条件制作,标准养护,每一工作班留置试块不应少于2组;应按现行国家标准《混凝土结构工程施工质量验收规范》GB 50204对混凝土强度评定,其中一组试块可作为控制吊装上层结构构件之用,冬期施工尚应增设2组试块,与边缘构件或连接柱相同条件养护,一组用以检验混凝土受冻前的强度,另一组用以检验转入常温养护28d的强度。
检查数量:全数检查。
检验方法:检查施工记录,检查混凝土试块的试验报告。
10.4.4 密肋复合墙板的安装应按下列工序进行:放线、抄平、做灰饼、准备花篮螺丝、挂钩起吊、铺灰、构件就位、临时固定、脱钩、构件校正、构件固定、胡子筋梳整。墙体的施工流程可按本规程附录E.0.1执行。
检查数量:全数检查。
检验方法:检查施工记录。
10.4.5 吊装前和吊装过程中,其他辅助专业和工种等均应按要求进行配合施工。
检查数量:全数检查。
检验方法:观察检查,检查施工记录、隐蔽工程验收记录。
条文说明
10.4.5吊装过程中,其他辅助专业和工种,如预埋管线、放线、抄平、铺灰、找平、放置钢筋、钢筋绑扎、电焊、支模、现浇混凝土等工序均应按照要求进行配合施工。
10.4.6 密肋复合墙板的安装应符合下列规定:
1 墙板安装的允许偏差值,应符合表10.4.6的规定。
表10.4.6 墙板安装的允许偏差值

2 墙板安装前就位处必须找平,并应保证墙板坐浆密实均匀;当局部铺垫厚度大于30mm时,宜采用细石混凝土找平。
3 吊装墙板时,起吊就位应垂直平稳,吊具绳与水平面夹角不宜小于45°。
检查数量:全数检查。
检验方法:检查施工记录、观察检查。
条文说明
10.4.6安装墙板时各种相关偏差可按下列原则进行调整: 1墙板安装时的控制边线以结构轴线为准向外引设弹墨线,板面垂直度和轴向位移的偏差应以中线为主进行调整;墙板宽度方向偏差以两端控制端线为主进行调整;墙板洞口位置偏差以洞口边线为主调整; 2外墙板不方正时应以竖缝为主进行调整; 3外墙板接缝不平时应以满足外墙面平整为主进行调整,内墙板不平时应以满足主要房间和楼梯间墙面平整为主进行调整,两边均为主要房间时其偏差宜均匀调整; 4内墙板翘曲时宜均匀调整。 用于临时固定墙板的斜拉钢丝绳和卡具必须安全可靠,满足受力要求。墙板固定在两端部用卡具固定和钢丝绳斜拉固定,每块墙板固定不应少于两个卡具(外墙)和四个对称受拉点(内墙),斜拉的钢丝揽风绳与墙板垂直面夹角不宜小于45°。
10.4.7 墙体边缘构件及连接柱混凝土的浇筑应符合下列规定:
1 应采用流动性大、低收缩的混凝土;粗骨料粒径应适于浇灌和振捣,浇灌及振捣沿竖向高度分(2~3)次进行。
2 支模宜使用工具式模板,振捣宜选用直径30mm以下微型振动棒。
3 应逐层浇筑边缘构件和连接柱混凝土,每层混凝土应浇筑至该层楼面梁底处,剩余部分应与本层梁板浇灌成整体。
检查数量:全数检查。
检验方法:检查施工方案,检查施工记录,观察检查。
条文说明
10.4.7装配整体式密肋复合墙体结构施工包含有常规结构施工和非常规结构施工,对于常规结构施工质量验收参照执行现行国家标准《混凝土结构工程施工质量验收规范》GB50204的规定,对于非常规结构施工质量验收参照执行本规程相关规定。
10.4.8 竖向构件混凝土的养护,应在常温下混凝土浇筑完毕后的12h以内浇水养护,或选用涂膜保水剂,对局部混凝土封闭保水。
检查数量:全数检查。
检验方法:检查施工方案,检查施工记录,观察检查。
10.4.9 每层墙板安装后,应进行隐蔽工程的验收并做好验收记录。
检查数量:全数检查。
检验方法:检查施工记录。
10.4.10 冬期施工现浇混凝土部分应编制相应的冬期施工方案。
10.4.11 密肋复合墙板安装的质量验收可按本规程附录D.0.4记录。
10.5 轻钢密肋复合墙体施工与验收
10.5 轻钢密肋复合墙体施工与验收
10.5.1 轻钢密肋复合墙体的施工可按装配整体式密肋复合墙体的施工要求,其施工流程可按本规程附录E.0.2进行。
10.5.2 墙板安装前,应对安装构件进行外观质量和外形尺寸的检查。当构件存在表10.2.11规定的严重缺陷或尺寸偏差时,不应投入使用;不应使用养护期不足的墙板。
10.5.3 墙板安装前,应清理安装工作面上的浮浆、混凝土块等杂物并清扫干净。根据设计要求,画出排板图,在地面弹好墙板安装位置线。
10.5.4 墙板可采用后拧吊装环方式进行吊装。吊装环拧入所装板角部预埋螺母时应拧入到位,深度应大于20mm。
10.5.5 墙板质量较小时,墙板临时固定可采用侧支撑架。
10.5.6 墙板高度调整可通过设置在墙板角部的调平螺栓进行垂直高度的调整。
10.5.7 墙板底面与基础顶面预埋钢板应采用焊接连接,墙板两侧的焊缝长度均不应小于50mm。
10.5.8 当内外墙墙板三块连接时,宜先安装中间墙板,再按顺序安装两侧外墙板。
10.5.9 墙板安装就位后,应采用连接螺栓进行预紧固,经测量、调整后将螺栓完全紧固,调整时应使板间缝隙上下均匀一致。
10.5.10 墙板安装时应采用铅坠对其两个方向的垂直度进行测量,并应采用水平尺对墙板顶面水平度进行测量。
10.5.11 安装完一个封闭的单元后,应进行安装单元的平行度和对角线误差的测量。
10.5.12 墙板安装完毕后,应对墙板的顶面标高进行测量,需要处应加焊垫片。
10.5.13 墙板的连接节点构造、构件位置、连接方式等应符合设计要求。
10.6 现浇密肋复合楼盖分项工程施工与验收
10.6 现浇密肋复合楼盖分项工程施工与验收
10.6.1 现浇混凝土密肋复合楼盖所用钢筋、填充体、预应力筋、水泥、砂、石、外加剂、矿物掺合料、水等原材料的进场检验,应按现行国家标准《混凝土结构工程施工质量验收规范》GB 50204及其他相关标准中的有关规定执行。
10.6.2 现浇混凝土密肋复合楼盖结构作为混凝土结构子分部工程的组成部分,其各分项工程应按现行国家标准《混凝土结构工程施工质量验收规范》GB 50204的规定进行验收。
10.6.3 跨度大于4m的现浇密肋复合楼盖应按设计要求起拱,当设计无具体要求时,起拱高度应按单向板或双向板跨度的2/1000~6/1000设置。
10.6.4 密肋复合楼盖在普通钢筋安放、预应力筋铺设、填充体安装和管线、电线盒等预留设施安装前均应画线定位。施工流程可按本规程附录E.0.3执行。
10.6.5 在浇筑混凝土时必须采取防止内置填充体上浮、密肋楼板整体上浮和钢筋移位的有效措施。
10.6.6 密肋复合楼盖现场实体检验,其抽样数量可按下列规定执行:以每(5000~10000)只为一个检验批,不足5000只时划为一个检验批;每个检验批至少随机抽查3只进行现场检验。
条文说明
10.6.6本条规定了现场检验数量,施工单位应承担现场实体检验任务。为方便施工,施工单位可依据企业标准自行进行检验或抽样送有资质的检测部门委托检验。
10.7 结构与保温一体化施工与验收
10.7 结构与保温一体化施工与验收
10.7.1 密肋复合板结构中保温一体化外保温材料的外墙板制作,当保温材料作为墙板底模时,应按预制构件模板安装分项工程的要求进行施工。
10.7.2 装配整体式密肋复合板结构,现浇连接柱或边缘构件以保温材料(板)作为外模的一体化施工,应按现浇构件模板安装分项工程的要求进行施工。
10.7.3 密肋复合板结构建筑围护结构施工完成后,应对围护结构的外墙保温构造进行现场实体检验。现场实体检验应符合下列规定:
1 密肋复合板结构外墙节能构造的现场实体检验方法可采用外墙节能构造钻芯检验方法;
2 密肋复合板结构外墙节能构造的现场实体检验,其抽样数量可按下列规定执行:
1)以每500m 2 ~1000m 2 为一个检验批,不足500m 2 时划为一个检验批;每个检验批至少抽查5处,每处不得小于5m 2 ;当一个单位工程外墙有2种以上节能保温做法时,应增加抽查数量;
2)每个单位工程的外窗抽查数量不应少于3樘;
3 密肋复合板结构外墙节能构造的现场实体检验应在监理工程师或建设单位项目专业技术负责人见证下,由施工项目技术负责人组织实施;
4 当现场条件具备时,可直接由建设单位委托具备检测资质的检测机构对围护结构的传热系数进行检测;
5 当外墙节能构造不符合设计要求和相关标准规定时,应委托有资质的检测机构扩大一倍数量抽样,对不符合要求的项目或参数再次检验,仍不符合要求时应给出“不符合设计要求”的结论;
6 不符合设计要求的围护结构节能构造应查找原因,对因此造成的对建筑节能的影响程度进行计算或评估,采取技术措施予以弥补或消除后重新进行检测,合格后方可通过验收。
条文说明
10.7.3对已完工的工程进行实体检验,是验证工程质量的有效手段之一。通常只有对涉及安全或重要功能的部位采取这种方法验证。 应依据外墙节能构造现场实体检验目的和方法的规定,在检验报告中给出墙体保温材料的种类、保温层厚度及其构造做法等是否符合设计和施工方案要求等检验内容和结论。 对于现场实体检验最少抽样数量的规定,实际工程中可根据实际情况在最少数量上进行增加。 对于承担围护结构现场实体检验任务的实施主体,考虑到围护结构的现场实体检验是采用钻芯法验证其节能保温做法,不需要使用试验仪器,操作简单,为方便施工,规定现场实体检验除了可以委托有资质的检测单位来承担外,也可由施工单位自行实施。 当现场实体检验出现不符合要求的情况时,显示节能工程质量可能存在问题。此时为了得出更为真实可靠的结论,应委托有资质的检测单位再次检验,同时为了增加抽样的代表性,规定应扩大一倍数量再次抽样。再次检验只需要对不符合要求的项目或参数检验,不必对已经符合要求的参数再次检验。如果再次检验仍然不符合要求,则应给出“不符合设计要求”的结论。考虑到建筑工程的特点,对于不符合要求的项目难以立即拆除返工,通常的做法是首先查找原因,对所造成的影响程度进行计算或评估,然后采取某些可行的技术措施予以弥补、修理或消除,这些措施有时还需要征得节能设计单位的同意。注意消除隐患后必须重新进行检测,合格后方可通过验收。
10.7.4 密肋复合板结构建筑单位工程竣工验收应和建筑节能分部工程验收同步进行。节能分部工程质量验收应符合现行国家标准《建筑节能工程施工质量验收规范》GB 50411具体规定。
10.8 其他专业配合及安全事项
10.8 其他专业配合及安全事项
10.8.1 固定各种建筑装修和设备时,应采用可靠的连接方式,并宜固定在现浇混凝土梁、柱上。
10.8.2 各专业在设计阶段应相互配合,尺寸较小的各种管线、孔洞等宜事先在墙板肋格、现浇连接柱、边缘构件或现浇楼板中预埋或预留。较大直径的管线、孔洞宜设置专门的管道井。
条文说明
10.8.2为避免其他专业后凿孔洞等破坏墙板本身以及结构的整体性,需要在墙板制作及现浇连接构件的混凝土内预设管线。
10.8.3 局部增设在墙板填充体部位上的插座、开关盒等走线可从现浇柱的线管中通过在墙板保护层及面层上刻线槽敷设到位。
10.8.4 消火栓箱、配电箱、各种分户箱应在预制墙板时准确预留。
10.8.5 在设备安装阶段,当未预留洞口而需在墙板上填充体位置开设孔洞时,应经设计人员同意后方可进行。
10.8.6 施工用的外脚手架,应设专人定期检查,发现隐患应立即整改。
10.8.7 墙板节能一体化构件的堆放场地,应远离明火作业和电焊作业的区域,并应设临时遮挡,不应将其暴露在室外。
10.8.8 严禁蹬踏装饰和保温材料制作的外墙装饰线和立面造型。
附录AEPS模块保温材料性能要求
附录A EPS模块保温材料性能要求
A.0.1 EPS模块的技术性能应符合表A.0.1的规定。
表A.0.1 EPS模块技术性能

注:燃烧分级按国家标准《建筑材料及制品燃烧性能分级》GB 8624-2012选用。
A.0.2 连接桥的技术性能应符合表A.0.2的规定。
表A.0.2 连接桥技术性能

附录B密肋复合墙体等效为匀质壳及等效斜压杆模型的计算方法
附录B 密肋复合墙体等效为匀质壳及等效斜压杆模型的计算方法
B.0.1 密肋复合墙体(图B.0.1-1)在小震下的弹性分析时,可采用等效匀质壳模型。可将中间预制的密肋复合墙板进行匀质等效(图B.0.1-2)。

图B.0.1-1 密肋复合墙体平面示意
1—混凝土边缘构件;2—密肋复合墙板;3—密肋复合墙板肋柱;4—密肋复合墙板填充体

图B.0.1-2 密肋复合墙体等效匀质壳示意
1—混凝土边缘构件;2—等效混凝土墙板
等效原则应符合下式要求。
E c b eq h=E c A c +E q A q (B.0.1)
式中:E c ——混凝土弹性模量(N/mm 2 );
E q ——肋格内填充体的弹性模量(N/mm 2 );
A c ——预制墙板各混凝土肋柱横截面面积之和(mm 2 );
A q ——墙板填充体的水平投影面积总和(mm 2 );
h——预制墙板截面高度(mm);
b eq ——等效墙板厚度(mm)。
条文说明
B.0.1对高层密肋复合板结构分析计算时进行力学模型上的简化处理,既能反映结构的受力性能,又可借助成熟的工程计算分析软件。 简化处理方法的原则在于等效计算模型应能准确或基本准确反映结构和构件的抗弯、抗剪及轴向刚度,以等效模型进行静力或动力反应分析时均应获得和真实结构相当并满足工程应用精度的内力(轴力、弯矩及剪力)分析结果,为进一步的构件承载力设计或验算提供可靠的数据。 高层密肋复合板结构中,墙体的简化计算方法可采用等效的匀质板模型或刚架-斜压杆模型。密肋复合墙体由两端现浇边缘构件、中部预制密肋复合墙板及中部连接柱组成,由于两端边缘构件相对于墙板框格分布有明显的集中现象,不适用于材料力学中的等效条件,将边缘构件一并等效时会有很大误差,因此,仅将中间预制的密肋复合墙板进行匀质等效。 匀质板模型采用材料力学中复合材料的等效计算方法,以框格与填充体布置较均匀的预制密肋复合墙板为等效对象,以填充体或混凝土框格作为基材,以另一种材料作为加强材,将其等效为相当刚度的匀质混凝土墙板。将不同的EA等效成为单一混凝土弹性模量、相同墙板长度、相当轴向刚度EA的匀质墙板。将此墙板再和两端的真实混凝土边缘构件结合成变厚度的混凝土墙体模型,可基本反映原密肋复合墙体的各种刚度水平。
B.0.2 中震下的密肋复合墙体计算,可采用等效斜压杆模型。根据试验结果和理论分析,将填充体对角长度的1/3作为等效斜压杆的宽度,并根据不同的材料弹性模量;再将墙板等效成刚架-斜压杆体系进行计算分析(图B.0.2)。

图B.0.2 密肋复合墙体等效斜压杆模型
1—混凝土肋梁肋柱;2—填充体;3—等效混凝土斜撑
附录C密肋复合板结构与保温一体化构造
附录C 密肋复合板结构与保温一体化构造
C.0.1 密肋复合墙体整体保温构造(图C.0.1)应能避免热桥的形成,且应保证在施工和使用过程中保温材料免受破坏。

图C.0.1 密肋复合墙体保温构造
1—预制墙板肋梁(柱);2—EPS模块;3—耐碱玻纤网格布;4—纤维抗裂面层;5—填充体;6—水泥砂浆面层
C.0.2 密肋复合墙体在现浇连接柱或边缘构件处设置EPS模块时搭接节点宜设置企口构造(图C.0.2)。

图C.0.2 密肋复合墙体在现浇连接柱或边缘构件处EPS模块的搭接
1—发泡水泥(填充体);2—预制墙板边肋柱;3—现浇连接柱(边缘构件);4—异形EPS模块
C.0.3 密肋复合墙体在现浇连接梁处的EPS模块搭接节点(图C.0.3)宜设置上下裁口。

图C.0.3 密肋复合墙体在连接梁处EPS模块的搭接
1—发泡水泥(填充体);2—预制密肋复合墙板的肋梁;3—现浇连接梁;4—异形EPS模块;5—上下裁口
C.0.4 外墙门窗口保温防火建筑节点构造(图C.0.4)应符合上下楼层门窗洞口间防火的相关要求。

图C.0.4 外墙门窗口保温防火建筑节点构造
1—密肋复合墙体;2—发泡保温材料封堵;3—门窗框;4—门窗附框;5—窗台板;6—抹面层;7—EPS模块;
8—抗裂砂浆厚抹面层;9—无空腔粘贴层;10—无机材料保温层;11—滴水线;12—密封膏嵌缝
附录D密肋复合板结构施工及验收表
附录D 密肋复合板结构施工及验收表
D.0.1 密肋复合墙板模板检验批质量验收可按表D.0.1记录。
表D.0.1 密肋复合墙板模板检验批质量验收记录

注:L为量测方向的构件尺寸(mm)。
D.0.2 密肋复合墙板钢筋检验批质量验收可按表D.0.2记录。
表D.0.2 密肋复合墙板钢筋检验批质量验收记录表

D.0.3 密肋复合墙板检验批质量验收可按表D.0.3记录。
表D.0.3 密肋复合墙板检验批质量验收记录表

注:L为量测方向的构件尺寸(mm)。
D.0.4 密肋复合墙板安装检验批质量验收可按表D.0.4记录。
表D.0.4 密肋复合墙板安装检验批质量验收记录表

附录E密肋复合板结构施工工艺
附录E 密肋复合板结构施工工艺
E.0.1 装配整体式密肋复合墙体施工流程可按图E.0.1所示要求进行。

图E.0.1 装配整体式密肋复合墙体施工流程示意图
E.0.2 装配式轻钢密肋复合墙体施工流程可按图E.0.2所示顺序进行。

图E.0.2 装配式轻钢密肋复合墙体施工流程示意图
E.0.3 现浇密肋复合楼盖的施工流程可按图E.0.3所示顺序进行,绑扎肋梁钢筋与填充体安放定位的顺序可视具体情况调整。

图E.0.3 现浇密肋复合楼盖的施工流程示意图
本规程用词说明
本规程用词说明
1 为便于在执行本规程条文时区别对待,对于要求严格程度不同的用词说明如下:
1)表示很严格,非这样做不可的:
正面词采用“必须”,反面词采用“严禁”;
2)表示严格,在正常情况下均应这样做的:
正面词采用“应”,反面词采用“不应”或“不得”;
3)表示允许稍有选择,在条件许可时首先应这样做的:
正面词采用“宜”,反面词采用“不宜”;
4)表示有选择,在一定条件下可以这样做的,采用“可”。
2 条文中指明应按其他标准执行的写法为:“应符合……规定”或“应按……执行”。
引用标准名录
引用标准名录
1 《砌体结构设计规范》GB 50003
2 《建筑地基基础设计规范》GB 50007
3 《建筑结构荷载规范》GB 50009
4 《混凝土结构设计规范》GB 50010
5 《建筑抗震设计规范》GB 50011
6 《建筑设计防火规范》GB 50016
7 《钢结构设计规范》GB 50017
8 《冷弯薄壁型钢结构技术规范》GB 50018
9 《工程测量规范》GB 50026
10 《民用建筑热工设计规范》GB 50176
11 《混凝土结构工程施工质量验收规范》GB 50204
12 《钢结构工程施工质量验收规范》GB 50205
13 《建筑工程抗震设防分类标准》GB 50223
14 《建筑节能工程施工质量验收规范》GB 50411
15 《碳素结构钢》GB/T 700
16 《低合金高强度结构钢》GB/T 1591
17 《非合金钢及细晶粒钢焊条》GB/T 5117
18 《热强钢焊条》GB/T 5118
19 《建筑材料及制品燃烧性能分级》GB 8624-2012
20 《高层建筑混凝土结构技术规程》JGJ 3
21 《轻骨料混凝土结构技术规程》JGJ 12
22 《蒸压加气混凝土建筑应用技术规程》JGJ/T 17
23 《砌筑砂浆配合比设计规程》JGJ/T 98
24 《钢筋焊接网混凝土结构技术规程》JGJ 114
25 《混凝土小型空心砌块和混凝土砖砌筑砂浆》JC 860
