Appearance
《组合锤法地基处理技术规程[附条文说明]》JGJ/T 290-2012
🗓️ 住房和城乡建设部 实施时间:2013-01-01
前言
中华人民共和国行业标准
组合锤法地基处理技术规程
Technical specification for ground treatment of combination hammer
JGJ/T 290-2012
批准部门:中华人民共和国住房和城乡建设部
施行日期:2013年1月1日
中华人民共和国住房和城乡建设部
公告
第1477号
住房城乡建设部关于发布行业标准《组合锤法地基处理技术规程》的公告
现批准《组合锤法地基处理技术规程》为行业标准,编号为JGJ/T 290-2012,自2013年1月1日起实施。
本标准由我部标准定额研究所组织中国建筑工业出版社出版发行。
中华人民共和国住房和城乡建设部
2012年9月26日
前言
根据住房和城乡建设部《关于印发〈2008工程建设标准规范制订、修订计划(第一批)〉的通知》(建标[2008] 102号)的要求,规程编制组经广泛调查研究,认真总结实践经验,参考有关国际标准和国外先进标准,并在广泛征求意见的基础上,编制本规程。
本规程的主要技术内容有:1.总则;2.术语和符号;3.基本规定;4.设计;5.施工;6.质量检验。
本规程由住房和城乡建设部负责管理,由江西中恒建设集团有限公司负责具体技术内容的解释。在执行过程中如有意见或建议,请寄送江西中恒建设集团有限公司(地址:南昌市小蓝经济技术开发区富山东大道1211号,邮政编码:330200)。
本规程主编单位:江西中恒建设集团有限公司
江西中煤建设集团有限公司
本规程参编单位:江西省建设工程安全质量监督管理局
南昌市建设工程质量监督站
江西省建筑设计研究总院
中国瑞林工程技术有限公司
南昌市建筑设计研究院有限公司
江西省华杰建筑设计有限公司
同济大学
江西省商业建筑设计院
南昌大学设计研究院
华东交通大学土木建筑学院
江西环球建筑设计院
景德镇建筑设计院
江西省土木建筑学会混凝土结构专业委员会
江西省建设工程勘察设计协会岩土专业委员会
江西基业科技有限公司
太原理工大学建筑与土木工程学院
郑州大学综合设计研究院
黑龙江省寒地建筑科学研究院
同济大学建筑设计研究院南昌分院
本规程主要起草人员:刘献刚 徐升才 钱勇 刘小檀 周庆荣 李大浪 戴征志 郑有明 姜国荣 高康伶 贾益刚 陈水生 张慧娥 熊武 熊晓明 吴敏捷 邵忠心 乐平 庄渭川 周同和 白晓红 叶观宝 王吉良
本规程主要审查人员:高大钊 钱力航 裴捷 刘小敏 顾泰昌 康景文 刘松玉 杨泽平 曾马荪 肖利平 黎曦
条文说明
中华人民共和国行业标准 组合锤法地基处理技术规程 JGJ/T290-2012 条文说明 制订说明 《组合锤法地基处理技术规程》JGJ/T290-2012,经住房和城乡建设部2012年9月26日以第1477号公告批准、发布。 本规程制订过程中,编制组开展了专题研究,调查、研究和总结了组合锤法处理地基的工程实验及工程施工经验,参考国外同类技术的标准规范,取得了重要技术参数。 为便于广大设计、施工、科研等单位有关人员在使用本规程时能正确理解和执行条文规定,《组合锤法地基处理技术规程》编制组按章、节、条顺序编制了本规程的条文说明,对条文规定的目的、依据以及执行中需注意的有关事项进行了说明。由于本条文说明不具备与规程正文同等的法律效力,仅供使用者作为理解和把握规程规定的参考。
1 总则
1 总 则
1.0.1 为在组合锤法处理地基的设计、施工及质量检验中做到安全适用、技术先进、经济合理、确保质量、保护环境、节约资源,制定本规程。
条文说明
1.0.1随着地基处理施工工艺不断的改进和施工设备的更新,我国地基处理技术得以快速发展。对于大多数不良地基,经过地基处理后,一般均能满足建筑工程的要求。本规程编制的目的是保证组合锤法处理地基技术在设计、施工及质量检验中认真贯彻执行国家的技术标准和经济政策,做到安全适用、技术先进、经济合理,确保质量、保护环境和节约资源。
1.0.2 本规程适用于建设工程中采用组合锤法处理地基的设计、施工及质量检验。
条文说明
1.0.2组合锤法处理地基技术(原名为超深挤密强夯法),在工业与民用建筑的地基处理、基坑与边坡支护工程中得到广泛应用,取得了明显的技术效果和显著的经济及社会效益。同时在交通公路、铁路、机场、港口、码头等软土地基处理工程和水利堤坝的加固及防渗工程中也得到了广泛的使用。大量的工程施工实践证明,本规程可适用于建设工程中采用组合锤法处理地基的设计、施工和质量检验。
1.0.3 组合锤法处理地基的设计、施工及质量检验,应综合分析地基土性、地下水埋藏条件、施工技术及环境等因素,并应结合地方经验,因地制宜。
条文说明
1.0.3组合锤法处理地基技术不仅采用了组合锤法地基处理技术,同时运用了砂石桩、灰土挤密桩及水泥搅拌桩等复合地基的原理。制定本条规定的依据是大量的工程实测资料,所以按本规程进行设计、施工及质量检验时,应重视地方经验,因地制宜,并应综合分析地基土的性质、地下水埋藏条件、施工技术及环境等因素,达到技术先进可靠和节约资源的目的。
1.0.4 组合锤法处理地基的设计、施工及质量检验除应符合本规程外,尚应符合国家现行有关标准的规定。
2 术语和符号
2.1 术语
2 术语和符号
2.1 术 语
2.1.1 复合地基 composite foundation
部分土体被增强或被置换,形成由地基土和竖向增强体共同承担荷载的人工地基。
2.1.2 组合锤 combination hammer
三种不同直径、高度和重量的夯锤,即柱锤、中锤与扁锤的总称。
2.1.3 组合锤法复合地基composite foundation by combination hammer
采用组合锤法对地基土进行挤密夯实或置换,形成夯实或置换墩体与墩间土共同组成的,以提高地基承载力和改善地基土工程性质的复合地基。
条文说明
2.1.3组合锤法处理地基技术是采用柱锤、中锤和扁锤分别对地基土深层、中层和表层的不断夯击,破坏了原来土体中固相颗粒的组合结构,进行结构重组,迫使土体中固相颗粒紧密排列,挤出气相体,形成排水通道。同时迫使液相水压力产生由稳定——产生孔隙水压力——再稳定的变化过程。从而达到对地基土进行加固的最终目的。只有这样,这些被加固的增强体和周围的土体的抗压及抗剪强度才能得到迅速提高,才能共同承担基础传递的荷载,形成组合锤法复合地基。
2.1.4 组合锤挤密法 compaction method with combination hammer
先采用柱锤对需处理的地基土冲击达到一定的深度或达到停锤标准后,用场地原地基土进行回填夯实,然后依次采用中锤、扁锤夯实土体,最终形成上大下小的挤密增强墩体。
条文说明
2.1.4组合锤法处理地基技术根据现场岩土工程条件和设计要求,分为组合锤挤密法和组合锤置换法两种。 组合锤挤密法是分别采用柱锤、中锤和扁锤不断夯击施工场地的原土,使其分层挤密压实形成上大下小的楔形墩体,实现提高地基土强度的目的。作为回填置换料的原土可以是场地自身符合要求的土,也可以是新近回填的黏性土、粉土、残积土、砂土等。这些士体可作为回填置换料的前提条件是:①土体含水量不大;②处理后单墩抗压强度平均值和地基承载力一般在200kPa以内;③回填时地下水位不宜过高。
2.1.5 组合锤置换法 replacement method with combination hammer
先采用柱锤对需处理的地基土冲击达到一定的深度或达到停锤标准后,用建筑废骨料、工业废渣骨料、砂土、砾石、碎石或块石、C10或C15混凝土和水泥土等材料进行回填夯实,然后依次采用中锤、扁锤夯实土体,最终形成上大下小的置换增强墩体。
条文说明
2.1.5组合锤置换法是分别采用柱锤、中锤和扁锤按规定次序夯击场地原土形成夯坑,然后向夯坑回填其他硬骨料作置换料,最终由夯实置换料形成上大下小的楔形墩体,与周边被挤密后的土体共同形成强度高、压缩性低的复合土体。置换料视承载力大小或其他要求可以采用工业废骨料、建筑废骨料、砂土、碎石土及具有一定级配的大粒径块石等。只有在特殊情况下,才采用水泥土或强度等级为C10、C15等的混凝土作为置换料。 建筑废骨料是指拆除建(构)筑物所产生的碎砖瓦,破碎的砂浆和混凝土块体等废物料。但不含木块、纤维板、废纸屑和纸质板等有机物建筑垃圾。 工业废骨料是指工业窑炉冶炼或煅烧产生的废料,如废矿渣、粉煤灰等。用于组合锤法处理地基的置换料的工业废骨料应符合国家现行有关腐蚀性和放射性安全标准的要求。
2.1.6 间歇期 interval period
组合锤法地基处理施工过程中,相邻两遍夯击之间或施工完成至验收检验的中间间隔时间。
条文说明
2.1.6两遍夯击之间应有一定的时间间隔,以利于土中超静孔隙水压力的消散。间歇时间一般取决于超静孔隙水压力的消散时间。由于土中超静孔隙水压力的消散速率与土的类别,夯点间距、夯击状况等因素有关。如果有条件在试夯时埋设孔隙水压力传感器,通过试夯确定超静孔隙水压力的消散时间,以决定两遍夯击之间和施工完成至验收检验之间的间歇期。当缺少实测资料时,也可根据地基土的渗透性相关规定结合工程施工经验采用。
2.1.7 置换率 replacement ratio
单墩横截面积与该置换墩体分担的地基处理面积的比值。
2.1.8 柱锤动压当量 equivalent dynamic pressure of column-hammer
柱锤的单击夯击能除以柱锤的锤底面积所得的值。
条文说明
2.1.8锤的底面积、锤的静压力值和锤的动压当量对强夯的效果影响较大,当锤的重量确定后,是互成反比的:锤面积过小,静压力值和动压当量过大,导致夯锤对地基土的作用以冲切力为主。相反,锤底面积过大,静压力值和动压当量偏小(即单击面积夯击能偏小),单位面积上的冲击能则过小,对地基强夯的影响就不大。目前国内普通强夯锤的静压力值一般常采用20kN/m2~40kN/m2。组合锤法地基处埋中柱锤的静压力值采用60kN/m2~135kN/m2,动压当量采用600kJ/m2~1350kJ/m2。中锤的静压力值则采用25kN/m2~50kN/m2,动压当量采用250kJ/m2~500kJ/m2,与国内普通强夯锤的经验静压力值相接近。
2.1.9 柱锤单击夯击能 single rammed energy of column-hammer
柱锤重量与落距的乘积。
2.1.10 柱锤 colunm-hammer
锤质量为90t~150t,落距为10m时,锤的静压力值为60kN/m 2 ~135kN/m 2 的一种长圆柱形或倒圆锥台形的强夯锤。
2.1.11 中锤 mid-height column hammer
锤质量为90t~150t,落距为10m时,锤的静压力值为25kN/m 2 ~50kN/m 2 的一种圆柱形强夯锤。
2.1.12 扁锤 flat hammer
锤质量为90t~100t,落距为10m时,锤的静压力值为15kN/m 2 ~24kN/m 2 的一种扁圆砣形普通强夯锤。
2.2 符号
2.2 符 号
A i 、A j ——第i、j层土的附加应力系数沿该土层厚度的积分值;
A p ——墩体横截面积;
d——基础埋置深度;
E si ——第i层土的压缩模量;
E spi 、E sj ——复合地基土层、下卧土层计算模量;
E s ——复合地基沉降计算深度范围内压缩模量的当量值;
? ak ——组合锤法复合地基顶面墩间土原地基承载力特征值;
? cu ——墩体立方体试块在标准养护条件和龄期下的无侧限抗压强度平均值;
? sk ——处理后墩间土承载力特征值;
? spa ——经深度修正后的复合地基承载力特征值;
? spk ——复合地基承载力特征值;
l pi ——墩长范围内第i层土的厚度;
m——复合地基面积置换率;
n——复台地基墩土承载力比;
p 0 ——相应于作用的准永久组合时基础底面处的附加压力;
q si ——墩周第i层土的侧阻力特征值;
q p ——墩端阻力特征值;
R α ——组合锤法单墩竖向承载力特征值;
R a ——由墩体强度确定的单墩墩体承载力;
s——复合地基最终变形量;
u p ——墩平均周长;
z i 、z i-1 ——基础底面至第i层、第i-1层土底面的距离;
α p ——墩端阻力发挥系数;
α i 、 α i-1 ——基础底面计算点至第i层、第i-1层土底面范围内的平均附加应力系数;
β——墩间土承载力发挥系数;
λ——单墩承裁力发挥系数;
γ m ——基础底面以上土的加权平均重度;
ζ i —— 基础底面下第i计算土层模量系数;
ψ sp ——复合地基变形计算经验系数。
3 基本规定
3 基本规定
3.0.1 组合锤法处理地基可分为组合锤挤密法和组合锤置换法,并应符合下列规定:
1 组台锤挤密法适用于处理碎石土、砂土、粉土、湿陷性黄土、含水量低的素填土、以粗骨料为主的杂填土以及大面积山区丘陵地带填方区域的地基;
2 组合锤置换法适用于处理饱和的杂填土、淤泥或淤泥质土、软塑或流塑状态的黏性土和含水量高的粉土以及低洼填方区域的地基。
条文说明
3.0.1组合锤挤密法特别适用于大面积山坡填方区域的地基处理工程,组合锤置换法则特别适用于大面积的江河湖海塘区域的地基处理工程。 两种处理方法选用原则应根据土体性质和状态、含水量大小、地下水位高低及承载力要求等确定。一般情况下,利用场地原土作为回填料进行夯实挤密形成增强体就能满足设计要求时,可选用挤密法。若遇高饱和度的杂填土、黏性土、粉土、淤泥或淤泥质土或地下水位偏高时,夯实挤密效果不明显,且施工时易产生吸锤和土体严重隆起现象时,就不能采用挤密法,而应选用置换法。 组合锤置换法置换料的选用应根据下列原则进行: 1墩体承载力的设计:置换料能满足墩体承载力的要求; 2透水性能:以利于形成排水通道; 3就地取材:以利节约造价及环保节能。 当场地的填土厚度大于15.0m,场地的淤泥或淤泥质土厚度大于7.0m,工程复合地基承载力特征值(?ak)大于350kPa时,必须先对置换方案进行现场试验区施工和检验,以确定该方法的适宜性和经济性。 强夯施工中,在夯锤落地的瞬间,一部分动能转换为冲击波,从夯点以波的形式向外传播,引起地表振动。当振动强度达到一定数量时,会引起地表和建(构)筑物的不同程度的损伤和破坏,产生振动和噪声等影响环境的公害。根据这一情况,本规程规定城区内和周边环境条件不允许时,不宜采用组合锤法地基处理技术。同时,根据编制组多年跟踪调查研究,对振动敏感的建筑物的最小间距可定为10m。
3.0.2 在组合锤法处理地基设计前,应进行下列工作:
1 搜集详细的岩土工程勘察资料、上部结构及基础设计资料等;
2 了解当地施工条件及相似场地上同类工程的地基处理经验和使用情况;
3 根据工程的要求确定地基处理的目的和要求达到的技术指标;
4 调查邻近建筑、地下工程、道路、管线等周边环境情况。
条文说明
3.0.2本条规定了在组合锤法处理地基方案设计前应完成的工作,强调应进行现场调查研究,了解当地地基处理经验和施工条件,调查邻近建筑、地下工程、管线和环境条件等前期工作。索取和深入了解工程地质勘察资料和工程设计的资料。 对于有特殊要求的工程,应在了解当地类似场地处理经验的基础上,深入分析研究以前处理过的相类似工程的设计、施工经验及检测结果等资料,综合确定设计参数。
3.0.3 组合锤法处理地基设计前应通过现场试验或试验性施工和必要的测试确定其适用性和处理效果,并根据检测数据确定设计和施工参数。施工现场试验区的个数应根据建筑场地复杂程度、建筑规模、类型和有无类似工程经验确定,宜为2个~3个。
条文说明
3.0.3现场试验区施工的目的:一是评价选用的地基处理方法是否可行;二是确定组合锤法处理地基技术的各项施工技术参数。现场试夯施工首先按照设计要求选定试夯方案,然后选择2个~3个代表性场地进行试夯区施工。施工结束后,对现场试夯按规定进行检测,并与夯前的测试数据进行分析对比。判定组合锤法地基处理的适宜性和处理效果,确定地基处理采用的各项施工参数。一个试验区的面积不宜小于20m×20m,但对于处理面积小且单位工程面积不大的情况下,可会同设计和建设方研究,适当减小试验区的个数和一个试验区的面积。
3.0.4 试验完工后,应采用静载荷试验确定单墩承载力特征值或单墩复合地基承载力特征值,并应选用重型动力触探法、标准贯入法、钻芯法或瑞利波法等,检查置换墩着底情况及承载力与密度随深度的变化。单墩静载荷试验应符合本规程附录A的规定。
条文说明
3.0.4现场试夯区的处理效果,不能以观察来评价。所有的施工技术参数均必须以现场检测的数据为准。其中单墩复合地基和单墩承载力特征值应采用静荷载试验。有效加固深度宜采用动力触探试验和室内土工试验,取得处理前后的触探击数随深度变化的规律。本规程推荐采用重型动力触探法、标准贯入法、钻芯法和瑞利波法等试验方法,检查置换墩着底的情况及承载力与密度随深度的变化情况。这些方法能直接客观反映出墩体质量和着底的深度,单墩静载荷试验应符合本规程附录A的规定。
3.0.5 采用组合锤法处理的地基应进行变形验算。
3.0.6 对建造在经组合锤法处理的地基上、受较大水平荷载或位于斜坡上的建(构)筑物,应按现行国家标准《建筑地基基础设计规范》GB 50007的相关规定进行地基稳定性验算。
3.0.7 当单幢建筑物或结构单元的基础落在岩土性质有差异的地层上时,应采取措施以减少差异沉降。
条文说明
3.0.6、3.0.7对于山地丘陵地带,经挖填平整后的建(构)筑物,基础常常坐落在不同的地质单元上,或者坐落在原来的斜坡上,易产生建(构)筑物沉降差异以至建(构)筑物造成倾斜和失稳现象。在这种情况下,可对岩土性质存在差异的地层超挖2m,然后进行整体回填夯实,或加强上部结构整体刚度等措施以减少差异沉降,并应接现行国家标准《建筑地基基础设计规范》GB50007的相关规定进行地基稳定性验算。
3.0.8 对于现行国家标准《建筑地基基础设计规范》GB 50007规定需要进行地基变形计算的建(构)筑物,经地基处理后,应在施工及使用期间进行沉降观测,直至沉降达到稳定为止,并应按本规程附录B的规定提供组合锤法地基处理工程的沉降观测记录。
4 设计
4 设 计
4.0.1 组合锤法的有效加固深度应根据现场试夯或当地经验确定,初步设计时可按表4.0.1进行预估。
表4.0.1 组合锤法复合地基的有效加固深度

注:表中有效加固深度应从初始起夯面算起。
条文说明
4.0.1经过长期强夯理论的研究和各种强夯工程施工实践得出:地基土的有效加固深度和影响深度是两个不同的概念。前者是反映处理效果的主要参数和选择地基处理方案的重要依据,后者是研究夯击能够影响到的深度。有效加固深度越大,对处理后地基的强度和稳定性越有利。 为了确定地基土的有效加固深度,国内外学者进行了大量试验研究和工程实践。强夯法发明人梅那的估算公式得出的有效加固深度往往会得出偏大的结果。这是因为除锤重和落距外,地基土的性质、厚度、埋藏顺序、地下水位和锤底压力等都与有效加固深度有着直接的关联。因此迄今为止还不能得到有效加固深度准确的计算公式。考虑到设计人员选择使用组合锤法处理地基技术的需要,本规程未采用修正后的梅那公式计算的方法,而是采用了长期以来组合锤法地基施工经验和工程检测数据分析统计得到的有效加固深度经验值,供初步设计时选择。 柱锤是通过减小锤底接地面积、增加锤体密度和锤高并保证锤重不变,按照施工工艺要求,采用不同的浇铸材料进行设计制作,使该锤静接地压力值和动压力当量与采用大其3倍~4倍能量的普通夯锤相当,即通过较小的夯击能,达到中等甚至高能级的夯击效果。通过大量的试验和工程实践可以得出如下结论:在一定的条件下,动压当量越大,则有效加固深度越深。 江西省景德镇某小区填土厚度0.8m~22.0m,在组合锤法复合地基处理后,经过静载荷试验和重型动探检测,其复合地基承载力特征值大于180kPa,有效加固深度最深达16.1m;江西新建县某小区场地为松散~稍密的素填黏性土、千枚岩块和少量的粉质黏土组成,在采用组合锤法地基处理后,对1#、2#、3#现场试验区进行了标准贯入试验,静载试验和重型动探检测,检测结果表明:组合锤法有效加固深度最大达12.0m,等于最大的填土厚度。
4.0.2 组合锤法的墩位布置宜根据基底平面形状和宽度,采用等边三角形、等腰三角形或正方形布置。墩宜布置在柱下和墙下。
条文说明
4.0.2对满堂基础,夯实置换墩点宜根据基底平面形状布置成等边三角形、等腰三角形或正方形等,布置间距按照本规程第4.0.3条规定执行,对独立柱基,可在基底下面作均匀相应的布置,对条形基础,可按条基线性布置。
4.0.3 墩间距设计应根据上部荷载大小、基底平面形状和宽度、复合地基承载力要求、土体挤密条件及墩体材料等,并考虑柱锤施工挤土效应的影响,通过计算确定,初步设计时,可取柱锤直径的(1.5~3.0)倍。
条文说明
4.0.3组合锤法处理地基设计一般是按照上部荷载和基底平面形状等来确定墩数及墩间距,当单墩间距较大时,就必须加强上部结构和基础的刚度,以避免发生不均匀沉降或基础的局部开裂。
4.0.4 增强墩体为散体材料的组合锤法处理范围应大于建筑物基础范围,每边超出基础外缘的宽度宜为基底下设计处理深度的1/2~2/3,并不宜小于3.0m。
条文说明
4.0.4由于基础压力的扩散作用,散体材料组合锤法地基处理范围应大于建筑物基础范围,具体放大范围应根据建筑物结构类型和重要性等因素确定。对于一般建筑物,每边超出基础外缘的宽度宜为基底下设计处理深度的1/2~2/3,并不宜小于3m。
4.0.5 墩体材料可采用砂土、黏性土或残积土。对上部荷载较大或对不均匀沉降要求较高、土体含水量较大时,宜按就近取材原则选用砂土、角砾、圆砾、碎石、块石、工业废渣骨料、建筑废骨料等粗颗粒材料;当要求单墩承载力特征值大于1000kN时,宜采用灰土、水泥土或混凝土。所选用的工业废渣应符合国家现行有关腐蚀性和放射性安全标准的要求。
条文说明
4.0.5组合锤法地基在上部荷载不是特别大或没有其他要求时,一般按照就地取材、保护环境的原则,采用符合要求的原土为墩体材料。即现场回填的砂土、黏性土或风化残积类土等。当上部荷载要求较大或出现其他因素时,墩体材料宜采用级配良好的块石、碎石、工业废渣骨料、建筑废渣骨料等坚硬颗粒材料。当要求单墩承载力大于1000kN时,则宜选用灰土、水泥土或混凝土材料作墩体材料。
4.0.6 当墩体采用灰土、水泥土或混凝土时,其配合比应通过试验确定。墩顶应铺设厚度大于300mm压实垫层。垫层材料宜采用级配较好的粗砂、砾砂或碎石,其最大粒径不宜大于35mm。
4.0.7 置换墩的长度应根据地基土性质、动压当量和单墩或复合地基承载力确定。对于埋深较浅且厚度较薄的软土层,置换墩应穿透该土层。
条文说明
4.0.7对埋置深度较浅且厚度较薄的软土层,置换墩体应穿透该软土层,达到下部相对较硬的土层上,否则在墩底较大的应力作用下,墩体会发生较大的下沉。因此,为了有效减小沉降,复合地基中增强体设置一般都穿透薄弱的土层,落在相对较好的土层上。 对于埋置深度较浅且深厚饱和的粉土、粉砂等软土层时,虽然置换墩体不能穿透该软土层,但经强力夯击,置换墩底部软土体在施工过程中密实度变大,并经软弱下卧层验算,若承载力满足要求则可不必穿透该软土层。
4.0.8 组合锤法单墩承载力应通过现场载荷试验确定,对有粘结强度的增强体,初步设计时可采用下列方法估算:
1 墩周土和墩端土对墩的支承作用形成的竖向承载力特征值应按下式计算:
(4.0.8-1)
式中:R α ——组合锤法单墩竖向承载力特征值(kN);
u p ——墩平均周长(m);
q si ——墩周第i层土的侧阻力特征值(kPa),应按地区经验确定;
l pi ——墩长范围内第i层土的厚度(m),墩总长可按工程经验估算;
α p ——墩端阻力发挥系数,应按地区经验取0.2~1.0;
q p ——墩端阻力特征值(kPa),可按现行国家标准《建筑地基基础设计规范》GB 50007的有关规定确定;
A p ——墩体横截面积(m 2 ),墩体计算直径可取组合锤的平均直径。
2 由墩体强度确定的单墩墩体承载力应符合下式规定:
λR a ≤0.25
cu A p (4.0.8-2)
式中:R a ——由墩体强度确定的单墩墩体承载力(kN);
cu ——墩体立方体试块在标准养护条件和龄期下的无侧限抗压强度平均值(kPa);
λ——单墩承载力发挥系数,宜按试验或地区经验取0.8~1.0。
条文说明
4.0.8组合锤法单墩承载力设计时,其单墩承载力应通过现场载荷试验确定,所有的估算或其他方法得出的组合锤法单墩承载力均必须与现场载荷试验确定的结果相符合。否则,必须以现场载荷试验结果来最终确定该工程的组合锤法单墩承载力。 本规程采用两个组合锤法单墩承载力的估算公式。并明确规定该公式是初步设计时的估算公式,只用于有粘结强度的增强体,不能用于散体材料增强体。 公式(4.0.8-1)中αp墩端阻力发挥系数可根据地区经验或相关资料分析统计取0.2~1.0,该系数主要与墩端土的工程性质相关,墩端土为淤泥,淤泥质土的软弱土层时,取低值,墩端土为坚硬岩土层时取高值,中间性质的土层按经验取插值。 公式(4.0.8-2)中?cu墩体抗压强度平均值系墩体立方体试块在标准养护条件和规定的龄期下的抗压强度的平均值。其中混凝土试块为150mm×150mm×150mm,水泥土试块为70.7mm×70.7mm×70.7mm。龄期为混凝土28d,水泥土90d,依据工程试验资料的分析统计和工程经验,获得抗压强度平均值如下:对水泥土置换墩取值不低于400kPa,对混凝上置换墩取值不低于600kPa,灰土置换墩取值不低于300kPa。
4.0.9 当需要对复合地基承载力进行深度修正时,灰土、水泥土或混凝土墩体的强度应符合下式规定:
(4.0.9)
式中:γ m ——基础底面以上土的加权平均重度(kN/m 3 ),地下水位以下取浮重度;
d——基础埋置深度(m);
spa ——经深度修正后的复合地基承载力特征值(kPa)。
条文说明
4.0.9需要对复合地基承载力进行基础埋深的深度修正时,应按公式(4.0.9)时灰土、水泥土或混凝土墩体强度进行验算。
4.0.10 组合锤法复合地基承载力特征值应通过复合地基载荷试验或组合锤法单墩载荷试验和墩间土地基载荷试验并结合工程实践经验综合确定。初步设计时,可按下列方法估算:
1 墩体采用散体材料时复合地基承载力特征值宜按下式计算:
sk (4.0.10-1)
式中:
spk ——复合地基承载力特征值(kPa);
m——复合地基面积置换率,计算时墩截面积按可采用组合锤平均截面积;
n——复合地基墩土承载力比,宜按试验或地区经验取2.0~4.0;
sk ——处理后墩间土承载力特征值(kPa),应由试验确定;无试验资料时可根据经验确定或取天然地基承载力特征值。
2 墩体采用有粘结强度的材料时复合地基承载力特征值宜按下式计算:
(4.0.10-2)
式中:β——墩间土承载力发挥系数,宜根据墩间土的工程性质、墩体类型等因素及地区经验取0.6~1.0。
条文说明
4.0.10组合锤法复合地基承载力特征值,应通过复合地基载荷试验确定,同时考虑到复合地基承载力载荷试验工作量大、成本高、工期长等因素,本规程同时规定,应通过组合锤法单墩载荷试验和墩间土地基载荷试验并结合工程实践经验综合确定。本条特别强调:所有的估算或其他方法得出的组合锤法复合地基承载力特征值,均必须符合现场复合地基载荷试验或单墩载荷试验和墩间土地基载荷试验确定的结果。否则,应以现场复合地基载荷试验或组合锤单墩载荷试验和墩间土地基载荷试验确定的结果作为该工程组合锤法复合地基承载力特征值。强调现场试验对复合地基设计的重要性。 本规程规定,初步设计时,可按墩体采用散体材料时和墩体采用有粘结强度的材料时的两种估算方法。 其中公式(4.0.10-1)中n为复合地基墩土应力比(承载力),本规程规定,宜按试验或地区经验取2.0~4.0。墩土承载力比,主要由墩体承载力和墩间土承载力决定的,视墩体材料、墩体类型、破坏时单墩承载力发挥度及墩间土工程性质而定。墩体为碎石、砾石,破坏时单墩承载力发挥度高,复合地基置换率高的取大值,相反取小值。 公式(4.0.10-2)中β为墩间土承载力发挥系数,宜按墩间土的工程性质、墩体类型和墩间土地基破坏时的承载力发挥度及结合地区经验取0.6~1.0。墩间土工程性质好,墩体材料为混凝土刚体墩时,承载力发挥度高,取大值,相反取小值。中间状态可在0.6~1.0按经验取插值。
4.0.11 组合锤法复合地基受力范围内存在软弱下卧层时,应验算下卧层的地基承载力。验算方法宜采用应力扩散角法,应力扩散角宜取处理前地基土内摩擦角的1/2~2/3。
条文说明
4.0.11在验算下卧层地基承载力时,验算方法宜采用应力扩散角法。由于处理后的地基土的内摩擦角不易确定。因此,本规程根据经验规定应力扩散角可取处理前内摩擦角的1/2~2/3。
4.0.12 组合锤法复合地基的变形计算深度应大于加固土层的厚度(图4.0.12),并应符合现行国家标准《建筑地基基础设计规范》GB 50007有关计算深度的规定。最终变形量的计算应按下式进行:
(4.0.12)
式中:s——复合地基变形量(mm);
ψ sp ——复合地基变形计算经验系数,宜根据地区变形观测资料经验确定,无地区经验时可根据变形计算深度范围内压缩模量的当量值( E s )按表4.0.12取值。压缩模量的当量值( E s )可按本规程第4.0.13条确定;
p 0 ——相应于作用的准永久组合时基础底面处的附加压力(kPa);
ζ i ——基础底面下第i计算土层模量系数,加固土层可按本规程第4.0.14条确定,加固土层以下取1.0;
E si ——第i层土的压缩模量(MPa),应取处理前土的自重压力至土的自重压力与附加压力之和的压力段计算;
z i 、z i-1 ——基础底面至第i层土、第i-1层土底面的距离(m);
α i 、 α i-1 ——基础底面计算点至第i层土、第i-1层土底面范围内平均附加应力系数,可按本规程附录C采用。

图4.0.12 基础沉降计算的分层示意
1-地面标高;2-基底标高;3-平均附加应力系数 α 曲线;
4-第i-1层;5-第i层
表4.0.12 复合地基变形计算经验系数ψ sp

4.0.13 复合地基变形计算深度范围内压缩模量的当量值( E s ),应按下式计算:
(4.0.13)
式中: A i ,A j ——复合土层第i层、下卧土层第j层的附加应力系数沿土层厚度的积分值;
E spi 、E sj ——复合土层第i层、下卧土层第j层的压缩模量,其中复合土层压缩模量计算应符合本规程第4.0.14条的规定。
4.0.14 组合锤法复合土层各分层压缩模量可按下列公式计算:
E spi =ζ i E si (4.0.14-1)
ζ i =
ak (4.0.14-2)
式中:
ak ——组合锤法复合地基顶面墩间土原地基承载力特征值( kPa)。
4.0.15 经组合锤法处理后的地基,墙下条形基础应采用钢筋混凝土扩展基础,柱下独立基础应采用钢筋混凝土柱下扩展基础或柱下条形基础。墙下条形扩展基础、柱下扩展基础和柱下条形基础的配筋、构造要求及抗弯、抗剪、抗冲切验算方法,应按现行国家标准《建筑地基基础设计规范》GB 50007的规定执行。
5 施工
5 施 工
5.0.1 施工场地土的承载力应满足设备行走和施工操作要求,当其承载力特征值小于60kPa或不符合设备行走和施工操作要求时,可在表层铺填0.5m~2.0m厚的松散性材料,使地表形成硬层。
条文说明
5.0.1组合锤法复合地基施工时,一般采用的吊机为10t~15t,夯锤为9t~15t,对于地表土软弱的施工场地,当地表土承载力特征值小于60kPa时,宜在表层铺填一定厚度的松散的干硬性材料,使地表形成硬层,以保证设备行走和施工。当吊机和夯锤重量超过上述情况时,地表土承载力特征值应相应提高,并以满足设备行走和施工为准。
5.0.2 当场地为黏性土、填土、淤泥质软土,且强度较低,地下水位较高时,宜采用人工降低地下水位或铺填一定厚度的砖渣等松散性材料,使施夯面高于地下水位2m以上。遇有坑内或场地积水时,应及时排除。
条文说明
5.0.2当地表水和地下水位较高时,宜采用人工降水的办法,使地下水位低于施夯面。其主要是避免在夯击过程中出现夯坑积水、翻砂现象,以致夯击的地基土无法形成排水通道,阻碍土体的排水固结进程,从而影响夯击的效果。
5.0.3 组合锤挤密法施工应按下列工序进行:
1 第一道工序采用柱锤挤密,第一次施打夯坑深度不宜大于5.0m,第二次施打夯坑深度不宜大于3.0m;
2 第二道工序采用中锤挤密,夯坑深度不宜大于1.5m;
3 第三道工序采用扁锤挤密夯实,夯坑深度不宜大于0.5m;
4 最后进行全场地满夯,第一次采用夯击能1000kN·m~2000kN·m连续夯击二击;第二次采用夯击能500kN·m~900kN·m夯击一击,夯印搭接大于1/3扁锤底面直径。
条文说明
5.0.3本条文是对组合锤挤密法施工工序作出的原则性规定。具体的施工参数应按现场试验性施工确定的参数执行。
5.0.4 组合锤挤密法施工夯击次数应根据地基土的性质确定,并应符合 下列规定:
1 第一道工序柱锤点夯(1~2)次;
2 第二道工序中锤夯击(1~2)次;
3 第三道工序扁锤低能量满夯2次;
4 每次的夯击数及停夯标准,均应满足试验区试验确定的施工参数要求。
条文说明
5.0.4组合锤挤密法的夯击次数应根据地基土的性质确定。并根据组合锤法地基处理的施工工艺特点,按照深层挤密、中层挤密与浅层密实的工序,选用不同的夯击次数,对于粗颗粒土夯击次数取小值,细颗粒土夯击次数取大值。
5.0.5 组合锤置换法施工时应按下列工序进行:
1 第一道工序采用柱锤点夯(1~2)次,形成夯坑后,采用试夯确定的置换料回填;
2 第二道工序采用中锤夯击(1~2)次,形成夯坑后,采用试夯确定的置换料回填;
3 第三道工序采用扁锤低能量满夯2次;
4 每次的夯击数、夯坑深度和停锤标准均应满足试验区试验确定的施工参数要求。
条文说明
5.0.5本条文是对组合锤置换法的施工工序作出的原则性规定。具体的施工参数应按现场试验性施工确定的参数执行。
5.0.6 组合锤法施工的停锤标准应同时符合下列规定:
1 夯坑周围地面不应有大于100mm的隆起;不因夯坑过深而发生提锤困难;
2 应根据土质情况及承裁力要求调整停锤标准,当最后两击的平均夯沉量分别为柱锤(200±40) mm、中锤、扁锤(100±20)mm时可停锤;
3 累计夯沉量宜为设计墩长的(1.5~2.0)倍。
5.0.7 两遍夯击之间应有间歇期,间歇期应根据土中超静孔隙水压力消散时间的实测资料确定。当缺少实测资料时,可根据地基土的渗透性确定,对于渗透系数小于10 -5 cm/s的黏性土地基,间歇期不应少于7d。
条文说明
5.0.7两遍夯击之间的间歇期取决于土中超静孔隙水压力的消散时间。本规程按现行行业标准《建筑地基处理技术规范》JGJ79的规定执行。有条件时,应在试夯前、夯击过程中进行孔隙水压力测试,得出超静孔隙水压力的消散时间,以确定两遍夯击的最佳时间间隔。当回填土选用渗透性好的中粗砂、砾砂地基时,由于超静孔隙水消散快,所以只需间歇1d~2d就可夯击或连续夯击,对于渗透性差的黏性土地基,其间歇期一般不应少于7d,否则对处理效果将产生较大影响。 夯击过程中及夯击后,进行孔隙水压力测试可以达到下列目的: 1研究夯击的影响深度和范围; 2确定务击能,每一夯点的击数以及务击点的间距; 3测量孔隙水压力的消散速度,以便确定两遍夯击的间隔时间。 一般情况下,对于现场拟处理地基的回填土或置换料为粉质黏土或中粗砂时,在施工过程中,出于工期等因素的考虑,间歇期一般为1d~7d,此举对于处理中粗砂、砾砂地基影响不大,但对于粉质黏性土地基,则会有较大的影响。
5.0.8 施工过程中应有质检员负责下列工作:
1 应收集夯前各层地基土的原位检测和土工试验等数据,并检查夯锤质量、锤底面积和落距,确保夯击能和动压当量符合设计要求;
2 每一道工序、每一次夯击前,应复核夯点位置,夯完后检查夯坑位置,发现偏差或漏夯应及时纠正;
3 应按设计要求和试夯数据,检查每个夯点的夯击次数和夯坑深度,测量最后两击的夯沉量,并做好检查测量的记录,对组合锤置换尚应检查置换深度;
4 收锤时应检查最后两击平均夯沉量是否满足要求;
5 按本规程附录D的规定记录施工全过程的各项参数及工况。
条文说明
5.0.8在施工中安排专人作施工记录,这是由组合锤法地基施工工艺的特殊性决定的。施工工艺的各项参数是根据现场试夯施工过程中实测获取的,其施工步骤也是根据试夯效果确认后由设计规定的。所以,施工前不但要明确规定组合锤法地基施工专人监测工作的内容,同时明确规定派专人对施工全过程做好各项参数和施工情况的详细记录。因为当施工工序进入下一工序时就无法监测记录到已完成的前一工序的相关参数和施工情况,施工结束后不能事后补做检查监测施工步骤及参数的记录,因此本规程要求在施工过程中应派人专职负责对各项参数和施工步骤进行详细完整的检查和记录。
5.0.9 组合锤法地基处理施工结束后,应进行质量检测,并验收合格后方可进行下一道工序。
条文说明
5.0.9根据国家工程验收的规定,工程的上道工序验收不合格,不能进入下一道工序的施工。本规程规定组合锤法地基处理施工结束后,应按规定程序对该子分部工程进行施工验收,合格后才能进行基础工程的施工。这样做可以对保证组合锤法处理地基的施工质量起到促进和保证作用。
5.0.10 施工完成后,墩顶标高不应低于基础垫层底标高200mm。基坑(槽)开挖宜采取局部开挖的方式,开挖至垫层的设计底面标高后,应及时清除松散土体并施工垫层。
条文说明
5.0.10基底埋置深度应在墩顶以下0.2m~0.5m处,这是因为采用组合锤法进行地基处理时,表层0.2m~0.5m地基土受到横向波的振动作用,夯锤起锤时表土会松动,同时墩体夯实过程中地表土会有一定的隆起。故在进行基础设计时,必须将基底埋置于0.3m以下,以确保工程的安全。
5.0.11 经组合锤法处理后的地基,在基础施工完成后,应按现行国家标准《建筑地基基础工程施工质量验收规范》 GB 50202的相关规定及时分层回填夯实。
6 质量检验
6 质量检验
6.0.1 经组合锤法处理后的地基竣工验收时,承载力检验应采用单墩载荷试验或单墩复合地基载荷试验。当采用重型动力触探、标准贯入、钻芯和瑞利波等方法检查置换墩着底情况及承载力与密度随深度的变化状况时,应符合本规程附录E的规定。
条文说明
6.0.1施工质量检测包括施工前现场试夯载荷试验、施工过程中的质量检测和工程竣工验收的质量检验。施工过程中的质量检测指施工全过程中对施工相关参数的检测和施工步骤的检查记录,主要目的是检查施工过程中不符合参数要求的质量问题,进而提出补夯或其他整改措施,保证达到组合锤法地基的处理效果。竣工验收的质量检验,是指施工结束后,在达到检测的间隔期后,对组合锤法地基按规定进行载荷试验和其他试验。其中本规程特别强调:经组合锤法处理后的地基竣工时,应采用单墩载荷试验或单墩复合地基载荷试验。 由于地基土的复杂性和不定性,往往会出现土性和施工工艺的偏离现象,这种偏离会导致施工过程相关参数的偏离,造成承载力等参数选不到设计的要求。本规程规定:对这种情况,施工方应认真进行现场分析研究,提出补夯整改措施。并按整改方案进行补夯,以达到各项参数的设计要求。对处理后工程还应进行补检和验收,合格后才能进入下遭工序施工。
6.0.2 质量检测应在施工结束间隔一定时间后进行;对粉土和黏性土地基间歇期不宜少于28d,对碎石土和砂土地基间歇期宜为14d。
条文说明
6.0.2组合锤法地基处理技术是在强夯和强夯置换的基础上发展而来的,它与强夯地基一样,经处理后,地基强度是随着时间增长而逐步提高的。为了客观真实地评价处理后地基土的承载力,竣工验收的质量检验应在施工结束间隔一定时间后方可进行。土的间歇期长短是根据土的性质而定的,本规程按工程实践经验,对粉土、黏性土间歇期不宜少于28d,对于碎石土、砂土间歇期宜为14d。
6.0.3 竣工验收时,承载力检验的数量,应根据场地复杂程度和建筑物的重要性确定,每个建筑的载荷试验点数不应少于墩点数的1%,且不应少于3点;当墩点数在100点以内时,不应少于2点;当墩点数在50点以内时,不应少于1点。置换墩着底情况及承载力与密度随深度变化情况的检测总数量不应少于墩点数的1%。
条文说明
6.0.3组合锤法地基质量检验的数量,主要是根据场地复杂程度和建筑物的重要性确定的。本规程的规定基本上和现行行业标准《建筑地基处理技术规范》JGJ79相关规定保持一致。 组合锤法地基承载力检验数量,是以每个单位建筑物工程的地基(即采用同一种施工方法,同期施工的单位建筑地基)为单位,按照总墩点数的1%且不少于3点进行抽检,当墩点数在100点以内时,不应少于2点,当墩点数在50点以内时,不应少于1点。这是充分考虑了单体建筑物荷载越大时,布置的墩点数量越多,墩点检测的频率相应也就越大的原则。
6.0.4 质量检验宜按“先墩身质量检验,后静载荷试验”的顺序进行。发现测试数据不满足设计要求时,应及时补夯或采取其他有效措施处理。对采取补夯或其他措施处理后的工程,应进行补充检验和重新组织验收。
6.0.5 组合锤法复合地基处理工程竣工验收时,应提交下列资料:
1 试夯成果报告及现场夯点平面布置图;
2 施工组织设计;
3 施工记录和施工监测记录;
4 载荷试验和动力触探等检测报告;
5 其他施工资料。
条文说明
6.0.5本规程明确了组合锤法复合地基处理工程竣工必备资料的要求,施工单位应提供本规程规定的五个方面的资料。
附录A组合锤法处理地基单墩载荷试验要点
附录A 组合锤法处理地基单墩载荷试验要点
A.0.1 本试验要点适用于组合锤法处理地基的单墩载荷试验。
A.0.2 试验前应防止试验场地地基土含水量发生变化或地基土受到扰动。
A.0.3 承压板底面标高应与墩顶设计标高相一致。承压板底面下宜铺设粗砂或中砂找平垫层。试验标高处的试坑宽度和长度不应小于承压板尺寸的3倍。
A.0.4 试验的承压板可采用圆形或方形,应具有足够的刚度。尺寸按组合锤锤底面积的平均值确定。墩的中心(或形心)应与承压板中心重合,并与加荷的千斤顶(两台及两台以上)合力中心重合。
A.0.5 最大加载量不应小于设计要求压力值的2.2倍;加载等级可分为8级~12级;正式加载前应进行预压,预压值宜为分级荷载的2倍,预压持续1h后卸载开始试验。
A.0.6 试验应采用维持荷载法。每级荷载加截后,按间隔10min、10min、10min、15min、15min测读一次沉降量,以后每隔30min测读一次沉降量。当连续2h内每小时的沉降量小于0.1mm时,即可加下一级荷载。
A.0.7 当出现下列现象之一时可终止加载:
1 沉降急剧增大,土被挤出或承压板周围出现明显的隆起;
2 承压板的累计沉降量已大于其宽度或直径的6%;
3 当达不到极限荷载,而最大加载压力已大于设计要求压力值的2.2倍;
4 沉降急剧增大,荷载~沉降曲线出现陡降段;
5 在某一级荷载作用下,24h内沉降速率未达到稳定。
A.0.8 卸载级数可为加载级数的一半,等量进行,每卸一级,间隔0.5h,读记回弹量,待卸完全部荷载后间隔3h读记总回弹量。
A.0.9 当荷载~沉降曲线上极限荷载能确定,而其值不小于对应比例界限的2倍时,单墩承载力特征值可取比例界限;当其值小于对应比例界限的2倍时,单墩承载力特征值可取极限荷载的一半。
A.0.10 当统计的试验数据满足其值差不大于平均值的30%时,可取其平均值为单墩承载力特征值。
附录B组合锤法处理地基工程沉降观测记录表
附录B 组合锤法处理地基工程沉降观测记录表
表B 组合锤法处理地基工程沉降观测记录表
工程名称:____ 标准点高程__________

附录C附加应力系数α、平均附加应力系数α
附录C 附加应力系数α、平均附加应力系数 α
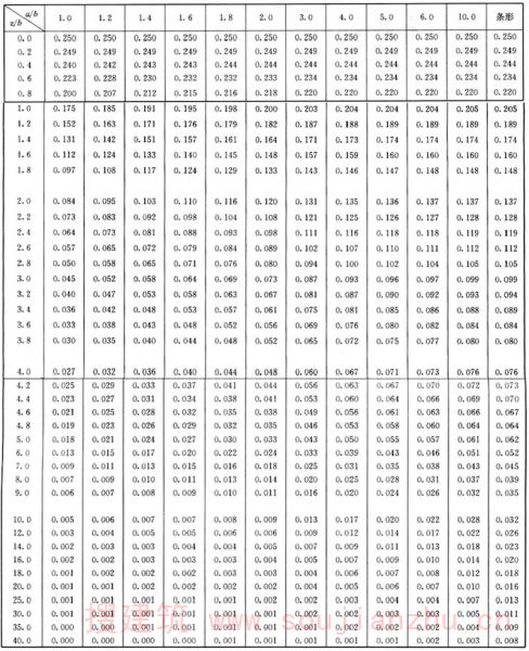
C.0.1 矩形面积上均布荷载下角点的附加应力系数α、平均附加应力系数 α 应按表C.0.1-1、表C.0.1-2确定。

表C.0.1-1 矩形面积上均布荷载作用下角点附加应力系数α

注:a——矩形均布荷载长度(m);b——矩形均布荷载宽度(m);z——计算点离基础底面或桩端平面垂直距离(m)。
表C.0.1-2 矩形面积上均布荷载作用下角点平均附加应力系数 α

C.0.2 矩形面积上三角形分布荷载下角点的附加应力系数α、平均附加应力系数 α 应按表C.0.2确定。

表C.0.2 矩形面积上三角形分布荷载作用下角点的附加应力系数α平均附加应力系数 α

续表C.0.2

续表C.0.2

续表C.0.2

续表C.0.2

C.0.3 圆形面积上均匀布荷载下中点的附加应力系数α、平均附加应力系数 α 应按表C.0.3确定。
表C.0.3 圆形面积上均布荷载作用下中点的附加应力系数α与平均附加应力系数 α

C.0.4 圆形面积上三角形分布荷载下边点的附加应力系数α、平均附加应力系数 α 应按表C.0.4确定。

r——圆形面积的半径
表C.0.4 圆形面积上三角形分布荷载作用下边点的附加应力系数α与平均附加应力系数 α

附录D组合锤挤密和组合锤置换施工记录
附录D 组合锤挤密和组合锤置换施工记录
表D 组合锤挤密和组合锤置换施工记录
起重机型号:____ 夯锤重量(t):____夯击日期: 年 月 日
技术负责人:____工(队)长:____最后两击平均下沉量控制为____mm
夯锤尺寸(m):____ 落距(m):____ 记录人:____

注:表中夯沉量按mm计。
附录E组合锤法处理地基工程的墩体质量检验方法
附录E 组合锤法处理地基工程的墩体质量检验方法
表E 组合锤法处理地基工程的墩体质量检验方法

本规程用词说明
本规程用词说明
1 为便于在执行本规程条文时区别对待,对要求严格程度不同的用词说明如下:
表示很严格,非这样做不可的用词:
正面词采用“必须”,反面词采用“严禁”;
表示严格,在正常情况下均应这样做的用词:
正面词采用“应”,反面词采用“不应”或“不得”;
表示允许稍有选择,在条件许可时首先应这样做的用词:
正面词采用“宜”,反面词采用“不宜”;
表示有选择,在一定条件下可以这样做的,采用“可”。
2 条文中指明应按其他有关标准执行的写法为“应符合……的规定”或“应按……执行”。
引用标准名录
引用标准名录
1 《建筑地基基础设计规范》GB 50007
2 《建筑地基基础工程施工质量验收规范》GB 50202
