Appearance
《地下建筑工程逆作法技术规程[附条文说明] 》JGJ 165-2010
🗓️ 住房和城乡建设部 实施时间:2011-08-01
前言
中华人民共和国行业标准
地下建筑工程逆作法技术规程
Technical specification for top-down construction method of underground buildings
JGJ 165-2010
批准部门:中华人民共和国住房和城乡建设部
施行日期:2011年8月1日
中华人民共和国住房和城乡建设部公告
第858号
关于发布行业标准《地下建筑工程逆作法技术规程》的公告
现批准《地下建筑工程逆作法技术规程》为行业标准,编号为JGJ 165-2010,自2011年8月1日起实施。其中,第3.0.4、3.0.5、5.1.3、6.5.5、6.6.3条为强制性条文,必须严格执行。
本规程由我部标准定额研究所组织中国建筑工业出版社出版发行。
中华人民共和国住房和城乡建设部
2010年12月20日
前言
根据原建设部《关于印发〈2005年工程建设标准规范制定、修订计划(第一批)〉的通知》(建标[2005]84号)的要求,编制组经广泛调查研究,认真总结实践经验,参考有关国际标准和国外先进标准,并在广泛征求意见的基础上,制定本规程。
本规程的主要内容有:总则、术语和符号、基本规定、岩土工程勘察、设计、施工、现场监测和工程质量验收。
本规程由住房和城乡建设部负责管理和对强制性条文的解释。由黑龙江省建工集团有限责任公司负责具体技术内容的解释。执行过程中如有意见或建议,请寄送黑龙江省建工集团有限责任公司(地址:哈尔滨市香坊区三大动力路532号,邮政编码:150046)。
本规程主编单位:黑龙江省建工集团有限责任公司
哈尔滨市城乡建设委员会
本规程参编单位:福建省建筑设计研究院
陕西省建筑设计研究院
四川建筑设计院
哈尔滨长城建筑股份有限公司
中国建筑设计研究院
建设综合勘察研究设计院有限公司
哈尔滨市建设工程质量监督总站
上海第七建筑工程公司
哈尔滨市人民政府轨道交通建设办公室
本规程主要起草人员:王海云 吴向阳 王树波 曾志攀 丁延生 贺志坚 章一萍 王玉林 张淮勇 宋清海 冯军劳 时宝辉 朱和鸣 周之峰 孙鸿剑 马红蕾 李悦 姜庆滨
本规程主要审查人员:滕延京 徐学燕 李丛笑 张显来 罗进元 吴春林 刘焕存 林雪梅 张学森
1 总则
1 总则
1.0.1 为保证地下建筑工程逆作法设计与施工质量,做到安全适用、技术先进、经济合理,制定本规程。
条文说明
1.0.1 随着我国国民经济的发展,城市建设也在向高空和地下发展,交通设施也向多层次立体化发展,建筑物基础也越建越深,对基坑的开挖支护技术也提出了新的要求,逆作法就是一项随之兴起的新施工技术。地下建筑工程逆作法施工需要制订一本统一的技术规程来规范地下建筑逆作法的设计与施工,保证设计与施工安全可靠、技术先进、经济合理。
1.0.2 本规程适用于采用逆作法的新建、扩建地下建筑工程的设计与施工。
条文说明
1.0.2 本规程所依据的工程经验为一般地质条件,当为特殊地质条件时,应按当地经验采用。
1.0.3 地下建筑工程逆作法设计和施工除应符合本规程外,尚应符合国家现行有关标准的规定。
2 术语和符号
2.1 术语
2 术语和符号
2.1 术语
2.1.1 逆作面 top-down construction boundary
在采用逆作法施工时,正作、逆作施工的分界面。
2.1.2 逆作法 top-down construction method
在逆作面处先形成竖向结构,以下各层地下水平结构自上而下施工,并利用地下水平结构平衡抵消围护结构侧向土压力的施工方法。
2.1.3 围护结构 exterior-protected structure
在逆作法施工中对周边土体起支挡作用的构件体系。
2.1.4 支承体系 supporting system
逆作法设计中用于承担结构自重、施工荷载和侧向土压力的结构体系。包括竖向构件和水平构件。
2.1.5 内衬墙 inner chemise wall
逆作法设计中在地下连续墙或排桩内侧构筑的墙体,并与连续墙或排桩共同构成复合结构作为永久承重外墙的墙体。
2.2 符号
2.2 符号
2.2.1 抗力与材料性能
c ik ——三轴试验确定的第i层土固结不排水(快)剪黏聚力标准值;
γ w ——水的重度;
γ mj ——深度z j 以上土的加权平均天然重度;
γ mh ——开挖面以上土的加权平均天然重度;
ψ ik ——三轴试验确定的第i层土固结不排水(快)剪内摩擦角标准值;
ψ'——土的有效内摩擦角。
2.2.2 作用及作用效应
K api ——第i层土的主动土压力系数;
K api ——第i层土的被动土压力系数;
σ aik ——作用于深度z j 处的竖向应力标准值;
σ pjk ——作用于基坑底面以下深度z j 处的竖向应力标准值。
2.2.3 几何参数
h wa ——基坑外侧水位深度;
n c ——出土口数量;
Z j ——计算点深度。
3 基本规定
3 基本规定
3.0.1 地下建筑工程逆作法设计与施工前应对场地进行岩土工程勘察,对其周边相邻建筑物(构筑物)、地下管线等进行调查,应取得相关技术资料。
3.0.2 地下建筑工程逆作法的范围和方法,应根据工程地质条件、水文地质条件、地下建筑结构类型、周边环境、开挖深度、施工条件等因素,合理选择。
条文说明
3.0.2 逆作法施工可分为半逆作法、全逆作法和部分逆作法。逆作法设计与施工与本条所述的各种因素密切相关,这些因素决定所采取的设计与施工方案,对这些影响因素应综合考虑。
3.0.3 地下建筑工程逆作法的结构设计,应考虑施工顺序、取土方式及施工进度等因素。
3.0.4 地下建筑工程逆作法施工必须设围护结构,其主体结构的水平构件应作为围护结构的水平支撑;当围护结构为永久性承重外墙时,应选择与主体结构沉降相适应的岩土层作为排桩或地下连续墙的持力层。 (自2022年1月1日起废止该条,详见新规 《建筑与市政地基基础通用规范》 GB 55003-2021)
条文说明
3.0.4 采用逆作法的工程基坑侧壁必须有围护结构,这是本规程的强制性规定,是保证工程及周边建筑安全的必要措施。围护结构的设计应在工程设计时综合考虑,与工程施工图一并设计。
3.0.5 逆作法施工应全过程监测。 (自2022年1月1日起废止该条,详见新规 《建筑与市政地基基础通用规范》 GB 55003-2021)
条文说明
3.0.5 逆作法施工中对本条提到的监测是对基坑安全、工程结构安全及相邻建筑安全的保障措施,所提供的数据也是对逆作法设计、施工方案进行必要调整的直接依据,此项工作必须按相关规定认真落实。
4 岩土工程勘察
4 岩土工程勘察
4.0.1 地下建筑工程逆作法工程岩土工程勘察应具备下列资料:
1 建设用地建筑红线范围、拟建工程平面布置、建筑坐标;
2 拟建工程结构特征、基础类型及埋置深度;
3 相邻建筑的建成时间、基础类型和埋深、上部结构现状及道路、地下管线情况。
条文说明
4.0.1 逆作法工程的岩土工程勘察,应按照国家现行标准《岩土工程勘察规范》GB 50021的有关规定,进行工程等级划分,分阶段进行。
4.0.2 地下建筑工程逆作法工程岩土工程勘察除应符合现行国家标准《岩土工程勘察规范》GB 50021、《建筑地基基础设计规范》GB 50007、《建筑抗震设计规范》GB 50011、《建筑边坡工程技术规范》GB 50330及《土工试验方法标准》GB/T 50123的有关规定外,尚应符合下列规定:
1 岩土工程勘察应根据地下建筑逆作特殊性要求,应重点查明中间支承结构、地下连续墙及围护结构影响范围内工程地质及水文地质条件。
2 岩土工程勘察报告应结合逆作法工程的特点,除应满足一般岩土工程勘察报告内容要求外,尚应对工程逆作法的可行性、合理性进行综合评价;应预测工程逆作中可能产生的岩土工程问题,并有针对性地提出治理措施或建议。
条文说明
4.0.2 逆作法工程岩土工程勘察时,除应执行本条中所述国家标准的有关规定外,尚应符合国家现行有关标准、规范及规程的规定,满足逆作法工程设计与施工的要求。
逆作法工程经勘察后,当建筑场地岩土工程条件特别复杂时,宜由有相应的岩土工程咨询设计资质的单位完成逆作法工程地基基础方案选型、地基计算和处理、围护结构及中间支承结构设计方案、地下水降水和截水设计、地下建筑抗浮设计以及有关设计参数检测的试验设计等岩土工程问题,进行专门的逆作法工程岩土工程咨询设计。
4.0.3 地下建筑工程逆作法工程岩土工程勘察阶段工作范围和内容应符合下列规定:
1 初步勘察阶段应初步查明建筑场地环境状况及工程地质条件,应对工程逆作法实施的可行性、合理性进行分析及评估:应预测逆作工程实施中可能产生的主要岩土工程问题,并初步提出方案或建议。
2 详细勘察阶段应查明建筑场地范围内岩土层分布类型、规模、工程特性和不良性状;应对地基的均匀性、承载能力进行评价;对工程逆作的可能性、合理性进行综合分析、评估;应判断逆作工程实施中地基的稳定性,并提供逆作法工程设计、施工所需的岩土工程参数及相关建议意见。
3 水文地质勘察应查明建筑场地周围地表水的径流状况、地下建筑影响范围内地下水的类型、埋藏补给条件、水位变化特征及水质。
条文说明
4.0.3 逆作法工程岩土工程勘察主要应针对逆作法工程的特点进行调查、分析、评价,勘察方案编制时应注重采用多种勘察及测试手段查明建筑场地工程地质条件、水文地质条件及不良地质作用;宜采用综合评价方法,对场地和地基稳定性作出结论;应对建筑场地不良地质作用和特殊岩土的治理、地基基础形式、埋深、基坑开挖、围护结构及中间支承结构工程等方案的选型提出建议;结合建筑场地岩土工程条件,针对建筑本身设计特点,对地下建筑工程逆作法的可行性、合理性及适宜性作出评价;提出设计、施工所需的岩土工程资料、参数及设计施工中应注意的问题,工程必要时尚应提供建筑地基处理方案建议。 逆作法工程对建筑场地水文地质条件具有特殊性要求,应重点针对场地水文条件进行勘察,应采用调查与现场勘察相结合的方法,查明建筑场地周围地表水的汇流、排泄状况,地下建筑影响范围内地下水的类型、埋藏条件、补给条件、水力联系、地下水水位动态变化特征及水质对地下建筑腐蚀性的影响,提供水文地质参数;针对逆作法工程地基基础设计形式、围护结构模式、施工方法、施工环境等情况分析评价地下水对地基基础设计、施工和环境的影响,预估可能产生的不利因素、危害,提出预防和治理方案建议;地下水对逆作法工程的作用与影响的评价,宜按以下要求进行:
1)在最不利组合情况下,地下水对地下建筑结构的上浮作用;
2)地下水对地下建筑边坡稳定性的影响;
3)当工程采取降水或截水措施时,地下水水位变化影响范围内,对地面、周边环境及工程产生的不利影响或危害;
4)地下水可能产生流砂、流土、管涌、潜蚀等渗透性破坏时,应有针对性地进行勘察,分析评价其产生的可能性及对工程的影响。当围护结构开挖过程中有渗流作用宜通过渗流计算确定;
5)当围护结构底部存在有高水头的承压含水层时,应分析评价坑底土层的隆起或产生突涌的可能性;
6)地下建筑可能位于地下水水位以下时,应对地下水水质对混凝土结构或金属材料的腐蚀性进行评价。
4.0.4 岩土工程勘察范围与测试宜符合下列规定:
1 勘察范围宜包括建筑基础平面并外延至基坑开挖深度的(1~2)倍;当工程地质条件复杂或存在深厚的软弱土区域,勘察范围宜适当加大,勘探点也宜适当加密。
2 勘察点的深度宜根据建筑设计、场地岩土工程条件确定,勘察深度一般为基础埋置深度的(2~3)倍;当场地工程地质条件复杂或存在深厚的软弱土区域,勘察深度宜适当加大。
3 水文地质测试参数宜包含下列内容:
1)各层地下水的类型、水位、水压、水量补给和变化;
2)各含水层的渗透系数和渗透影响半径;
3)分析水位变化对逆作法施工工艺的影响及应采取的措施。
4 工程地质测试参数宜包含下列内容:
1)岩土常规物理试验指标;
2)岩土抗剪强度及变形指标;
3)特殊性岩土指标应作专项性测试。
条文说明
4.0.4 逆作法工程岩土工程勘察技术要求应按照国家现行标准《岩土工程勘察规范》GB 50021、《建筑地基基础设计规范》GB 50007、《建筑抗震设计规范》GB 50011、《建筑边坡工程技术规范》GB 50330、《土工试验方法标准》GB/T 50123、《建筑基坑支护技术规程》JGJ 120的规定执行,尚应符合国家现行有关标准、规范和规程的规定,满足工程逆作设计、施工的要求。勘探点的布设,应根据地下建筑平面形状、荷载的分布情况及建筑场地条件进行,针对工程逆作的特殊要求,应符合以下岩土工程勘察与测试基本要求: 岩土工程勘察测试手段、测试样本的采取、测试标准除应执行现行国家标准《岩土工程勘察规范》GB 50021及《土工试验方法标准》GB/T 50123的有关规定,尚应符合国家现行有关标准、规范和规程的规定;室内试验项目除测试土的常规物理试验指标外,尚应测试支护所需岩土的抗剪强度试验指标,土的抗剪强度试验方法应与支护工程设计要求一致,符合设计采用的标准,必要时宜进行残余抗剪强度试验及侧压力系数试验。特殊岩土指标(膨胀土、湿陷性土、冻土)应进行专门性试验。
5 设计
5.1 设计原则
5 设计
5.1 设计原则
5.1.1 地下建筑工程逆作法结构设计宜采用极限状态法,以分项系数的设计表达式进行设计。
5.1.2 结构设计极限状态应分为下列两类:
1 承载能力极限状态:结构构件达到最大承载能力;土体变形导致结构破坏或周边环境破坏;
2 正常使用极限状态:结构的变形影响结构的正常使用、地下结构施工或周边环境的正常使用功能。
5.1.3 地下建筑工程逆作法结构设计应根据结构破坏可能产生的后果,采用不同的安全等级及结构的重要性系数,并应符合下列规定:
1 施工期间临时结构的安全等级和重要性系数应符合表5.1.3规定。

2 当支承结构作为永久结构时,其结构安全等级和重要性系数不得小于地下结构安全等级和重要性系数。
3 支承结构安全等级和重要性系数应按施工与使用两个阶段选用较高的结构安全等级和重要性系数。
4 当地下逆作结构的部分构件只作为临时结构构件的一部分时,应按临时结构的安全等级及结构的重要性系数取用。当形成最终永久结构的构件时,应按永久结构的安全等级及结构的重要性系数取用。 ( 自2022年1月1日起废止该条,详见新规 《工程结构通用规范》GB 55001-2021 )
条文说明
5.1.3 基坑侧壁的安全等级应根据结构破坏可能产生的后果来确定,例如:危及人的生命、造成经济损失大小、产生社会影响的严重性等,以及对临近建筑物、构筑物、地下市政设施、地铁等影响的大小。
逆作法的支承结构在施工阶段与使用阶段的构件有可能不同时,比如施工阶段采用梁柱支撑体系,水平支撑只有梁,再浇叠合梁、板,作为使用阶段的结构,逆作施工阶段竖向支撑只有钢管或芯柱,使用阶段是钢管混凝土结构或叠合柱,这时可按叠合构件进行设计,构件叠合前后安全等级和重要性系数可分阶段取值。构件在施工阶段与使用阶段相同时,应按施工与使用两个阶段选用较高的结构安全等级和重要性系数来进行设计。
5.1.4 地下建筑工程逆作法结构设计时的荷载组合应符合下列规定:
1 当计算围护结构的倾覆及抗滑移时,应按承载力极限状态下荷载效应的基本组合进行组合,其分项系数应为1.0。
2 当计算围护结构、水平和竖向结构承载力时,上部结构传来的荷载效应、相应的地基反力及这部分结构所直接承受的施工荷载效应应按承载力极限状态下荷载效应的基本组合进行组合,并应采用相应的分项系数。
3 基本组合的荷载分项系数应符合下列规定:
1)永久荷载的分项系数当其效应对结构不利时,对由可变荷载效应控制的组合,应取1.2;对由永久荷载效应控制的组合,应取1.35;土压力、水压力、基坑外堆载侧压力可取1.2;当其效应对结构有利时,应取1.0;对结构的倾覆、漂浮或滑移验算,应取0.9。
2)可变荷载的分项系数应取1.4;施工荷载、基坑施工运输车辆的荷载引起的侧压力可取1.4;对于某些特殊情况,可按建筑结构相关标准的规定确定。
4 当需要验算围护结构的裂缝宽度和变形时,应按正常使用极限状态下荷载效应的标准组合进行组合。
5 当计算临时的围护结构竖向沉降时,传至基础底面的荷载效应应按正常使用极限状态下荷载效应的标准组合进行组合。当围护结构作为永久结构使用时,在使用阶段传至基础底面的荷载效应应按正常使用极限状态下荷载效应的准永久组合进行组合,不应计入风荷载和地震作用。
6 当计算支撑结构的竖向沉降时,施工阶段传至基础底面的荷载效应应按正常使用极限状态下荷载效应的标准组合进行组合;使用阶段传至基础底面的荷载效应应按正常使用极限状态下荷载效应的准永久组合进行组合,施工和使用阶段不应计入风荷载和地震作用。
7 承载力极限状态下荷载效应组合,应符合现行国家标准《建筑结构荷载规范》GB 50009的有关规定。
条文说明
5.1.4 地下结构逆作法施工结束后,考虑围护与支撑结构的形式及其变化和上部结构继续施工和正常使用时的受力特点,对其结构进行承载力计算和稳定性验算。比如部分围护墙是上部结构的剪力墙、内支撑柱在未完全形成复合柱时承受上部的荷载等情况。
逆作法结构设计正常使用极限状态的变形验算包括基坑外围护结构应分阶段对施工期间和今后作为主体结构的地下室外墙或外墙的一部分,按不同的安全等级要求和受力特点对其进行抗裂(裂缝宽度)计算。
逆作法设计应考虑支护结构的水平变形、地下水的变化对周边环境的水平与竖向变形的影响,还应该考虑内支撑结构及外围护结构今后作为主体结构使用对水平和竖向变形的要求。对基坑安全等级一级以及对周边环境变形有限定的二级建筑基坑侧壁,应预先确定对支护结构水平变形的限值。
基坑周边环境的安全往往与基坑围护结构的水平变形和基坑外侧土体的竖向变化有关,基坑外建筑物构筑物及市政设施本身的结构、构造、尺寸、高度、基础形式不同,抵抗土层变形能力也不同,对周边环境的安全要通过限制基坑变形来保证。
5.1.5 地下建筑工程逆作法结构设计的荷载应符合下列规定:
1 水平荷载:应包括逆作法施工阶段外围护结构所传递的水压力、主动土压力或静止土压力、坑外地面荷载的侧压力。作为永久结构的构件在使用阶段,应包括外墙结构所传递的水压力、静止土压力、坑外地面荷载的侧压力。
2 竖向荷载:应包括逆作法施工各阶段逆作法结构构件自重及施工荷载,应包括取土、运土时可能作用于逆作法结构上的荷载。作为永久结构在使用阶段的竖向荷载,应包括结构自重、活荷载、风荷载和地震作用引起的竖向力,作用于底板的水浮力。
条文说明
5.1.5 逆作法应确定结构各部分的施工顺序、步骤及施工进度,以确定结构设计的各个工况和对应的结构形式、荷载;施工进度要特别规定防止机械挖土出现超挖,土压力超过围护支撑结构抗力等危及结构安全的情况。另外,运土的重量也是结构设计必须考虑的荷载。
支撑体系竖向荷载应包括逆作法施工阶段时构件自重及施工荷载,水平荷载则是逆作法施工阶段外围护结构所传递的水压力、主动土压力或静止土压力、坑外地面荷载的侧压力以及作为永久结构使用阶段的所有荷载(包括结构自重、静止土压力、建筑使用荷载以及风荷载和地震作用)。
根据逆作法施工方案、采用的机械设备、取土及运输车辆,并考虑地下室顶板和基坑四周的施工荷载和堆载进行设计荷载组合,尚应考虑在施工荷载超载时,结构容许采用临时支撑保证基坑安全与稳定。
5.1.6 地下建筑工程逆作法结构设计应进行下列计算和验算:
1 承载能力极限状态的计算和验算:
1)围护结构的稳定性计算,包括整体滑动、抗滑移、抗倾覆稳定性;
2)降水设计计算,抗浮、抗隆起验算;
3)围护结构在施工和使用阶段受弯、受剪、受压承载力计算;
4)主体结构兼作围护结构、支撑结构时,结构承载力计算和稳定性验算。
2 正常使用极限状态的计算和验算:
1)围护结构的变形验算;
2)主体结构兼作围护结构的沉降验算;
3)竖向支撑结构的沉降计算。
3 支撑体系和围护结构的内力和变形宜采用空间作用的整体分析方法。当施工与使用阶段构件的使用条件变化时,应按最不利情况验算。
5.2 围护结构设计
5.2 围护结构设计
条文说明
逆作法的围护结构施工设计应满足工艺及环境保护要求,并根据基坑周边环境、开挖深度、工程地质与水文地质、施工作业设备、上部结构的情况、逆作法施工条件、挖土顺序、取土条件和施工季节等选用逆作法及其围护结构,逆作法的围护结构一般有密排桩、地下连续墙和土钉墙几种形式,其中密排桩根据桩的功能可分为桩墙合一和桩作为临时围护结构两种形式,地下连续墙分为带衬墙和不带衬墙两种,带衬墙地下连续墙又可分为内衬墙与地下连续墙共同作用和内衬墙作为内围护仅起防水作用两种。
5.2.1 围护结构可根据受力条件分段按平面问题进行计算,并应符合下列规定:
1 逆作法中地下室楼板可作为围护结构的水平支撑,楼板可视为围护结构不动铰支点;
2 当围护结构兼作地下室外墙时,围护结构与楼板处的支点可视为不动铰支点,墙外侧的土压力宜取静止土压力。
静止土压力系数K 0 宜由试验确定,当无试验条件时也可按下式估算:

式中:ψ'——土的有效内摩擦角(°)。
条文说明
5.2.1 计算围护结构的内力及变形时,选用分段平面模型并应根据逆作法施工的不同阶段的不同工况来计算,各工况内支撑支点力计算值应用于水平结构通常是地下室楼板及底板的分析与设计。
分段平面模型宜按行业标准《建筑基坑支护技术规程》JGJ 120-99附录B的弹性支点法计算,支点刚度系数kT及地基土水平抗力系数的比例系数m应按地区经验取值,当缺乏地区经验时可按行业标准《建筑基坑支护技术规程》JGJ 120-99附录C确定。
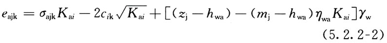
5.2.2 围护结构在施工期间水平荷载标准值е aik 应按当地可靠经验确定,无经验时可按下列规定计算(图5.2.2):

1 对于碎石土和砂土可按下列公式计算:
1)当计算点位于地下水位以上时:

2)当计算点位于地下水位以下时:

式中:K ai ——第i层的主动土压力系数,可按本规程第5.2.4条规定计算;
σ ajk ——作用于深度z j 处的竖向应力标准值,可按本规程第5.2.3条规定计算;
C ik ——三轴试验(当有可靠经验时可采用直接剪切试验)确定的第i层土固结不排水(快)剪黏聚力标准值(kN/m 2 );
z j ——计算点深度(m);
m j ——计算参数(m);z j <h时,取z j ,z j ≥h时,取h;
h wa ——基坑外侧水位深度;
η wa ——计算系数,当h wa ≤h时,取1,当h wa >h时,取零;
γ w ——水的重度(kN/m 3 )。
2 对于粉土及黏性土可按下式计算:

3 当按以上规定计算的基坑分段开挖面以上的水平荷载标准值小于零时,应取零。
4 当墙外侧土压力取静止土压力时,静止土压力可同样按式(5.2.2-1)、式(5.2.2-2)、式(5.2.2-3)计算,公式中的主动土压力系数K ai 改用静止土压力系数K 0i ,按式(5.2.1)进行计算。
条文说明
5.2.2 式(5.2.2-3)是水土合算的表达式,式(5.2.2-1)与式(5.2.2-2)是水土分算的表达式。这里的水土分算公式只适用于静水压力的情况,有渗流水压力不适用此公式。
5.2.3 基坑外侧竖向应力标准值σ ajk 可按下列规定计算:

1 计算点深度z j 处的自重竖向应力σ rk 可按下列公式计算:
1)计算点位于基坑开挖面以上时:

式中:γ mj ——深度z j 以上土的加权平均天然重度(kN/m 3 )。
2)计算点位于基坑开挖面以下时:

式中:γ mh ——开挖面以上土的加权平均天然重度(kN/m 3 )。
2 当围护结构外侧地面满布附加荷载q 0 时(图5.2.3-1),基坑外任意深度附加竖向应力标准值σ 0k 可按下式确定:

3 当距围护结构b 1 处外侧,地表作用有宽度为b 0 的条形附加荷载q 1 时(图5.2.3-2),基坑外侧深度CD范围内的附加竖向应力标准值σ 1k 可按下式确定:

4 上述基坑外侧附加荷载作用于地表以下一定深度时,将计算点深度相应下移,其竖向应力也可按上述规定确定。

条文说明
5.2.3 基坑外荷载实际还会存在有三角形分布及相邻基础的集中荷载所引起的附加竖向土压力,规程未给出计算公式,可参考地方基坑支护规程的计算表达式。
基坑外侧地面有放坡时,其围护墙的土压力计算,规程也未给出计算公式。
5.2.4 第i层土的主动土压力系数K ai 应按下式计算:

式中:ψ ik ——三轴试验(当有可靠经验时可采用直接剪切试验)确定的第i层土固结不排水(快)剪内摩擦角标准值(°)。
5.2.5 基坑内侧水平抗力标准值e pjk (图5.2.5)宜按下列规定计算:
1 对于砂土和碎石土,基坑内侧水平抗力标准值宜按下式计算:


式中:σ pik ——作用于基坑底面以下深度z j 处的竖向应力标准值,按本规程第5.2.6条规定计算;
K pi ——第i层土的被动土压力系数,按本规程第5.2.7条规定计算。
2 对于粉土及黏性土,基坑内侧的水平抗力标准值宜按下式计算:

5.2.6 作用于基坑底面以下深度z j 处的竖向应力标准值σ pik 可按下式计算:

式中:γ mj ——深度z j 以上土的加权平均天然重度(kN/m 3 )。
5.2.7 第i层土的被动土压力系数K pi 应按下式计算:

5.2.8 逆作法围护结构应采用排桩或地下连续墙作为围护结构,桩墙围护结构的设计应符合下列规定:
1 当排桩作为围护结构时,应按施工开挖过程与支撑情况分工况计算。当地下连续墙作为围护结构时,应按开挖及楼板浇筑的顺序分工况进行计算。
2 当地下连续墙兼作主体结构的侧墙或排桩与内衬墙组成复合外墙时,其施工阶段及使用阶段的计算应符合下列规定:
1)当地下连续墙作为逆作法施工期间围护结构并在使用阶段作为地下室的外墙,且不带内衬墙时,其施工与使用阶段应作为独立构件计算;
2)地下连续墙在施工阶段作为独立构件计算;当在使用阶段有内衬墙时,内衬墙与地下连续墙之间应结合紧密,形成一个整体,计算时可按叠合构件计算;
3)排桩与内衬墙复合外墙,施工阶段其排桩宜作为围护结构进行计算,使用阶段桩墙应作为两个构件共同受力,桩墙应按各自独立刚度分配所承受的力,分别验算;
3 地下室顶、中、底板处衬墙与桩之间应设置腰梁;
4 有人防要求的地下室,围护结构及内衬墙组成的复合地下室外墙应按人防设计要求满足抗核爆强度与早期防辐射的要求。
条文说明
5.2.8 地下连续墙兼作主体结构的侧墙时可不设或仅设较薄的内衬墙;而排桩一般有较厚的内衬墙,它们各自在逆作法施工的各个阶段及使用阶段的计算可按如下要求分析:
地下连续墙作为逆作法施工期间的围护结构,并在使用阶段作为地下室的外墙,在内侧后浇内衬墙有三种情况:第一种情况,内衬墙作为内围护仅起防水作用,地下连续墙在施工与使用阶段均应作为独立构件进行验算。第二种情况,内衬墙与地下连续墙之间结合紧密,有效传递剪力,两墙共同作用,形成一个整墙,逆作法施工阶段,地下连续墙单独进行计算,使用阶段内衬墙与地下连续墙作为一个整体构件截面计算刚度、验算截面,计算时可按 叠合构件计算。第三种情况,在地下连续墙内侧浇筑较厚的内衬墙,没有经过清理、凿毛和预留插筋等措施,无法有效传递剪力,两墙不能形成共同作用的整墙,逆作法施工阶段,地下连续墙单独进行计算,使用阶段内衬墙与地下连续墙作为两个构件同时承担侧向水平力,截面计算按各自的抗弯刚度分配内力、验算截面,计算时内力分配后按两个独立的构件计算。
地下连续墙作为逆作法施工期间围护结构并在使用阶段作为地下室的外墙,不带内衬墙时,其施工与使用阶段均是地下连续墙作为独立构件的验算。
排桩与内衬墙合一时,施工阶段密排桩作为围护结构进行计算,使用阶段围护结构截面应按桩墙合一进行计算,主体结构地下室的中板和底板可插入桩体或与桩可靠连接。桩墙之间结合紧密,有效传递剪力,桩墙作为一个构件计算刚度、验算截面。后浇的内衬墙与密排桩之间没有经过特别处理无法有效传递剪力,桩墙作为联合构件按各自独立刚度分配所承受的力,在使用阶段分别验算截面。
密排桩仅作为临时围护结构时,浇筑内衬墙作为地下室的外围护墙,在地下室的中板和底板处衬墙与桩之间必须浇筑刚性板带,板厚不小于衬墙内的楼板厚,在底板处可以取200mm厚。保证侧向水平力的有效传递。桩与墙作为各自独立的构件,在使用阶段分别验算截面。
5.2.9 当进行构件的承载力及稳定性计算时,围护结构体系的内力及支点力的设计值应按其施工阶段和使用阶段中的各个工况中可能出现的最不利内力组合值进行计算。
5.2.10 在地下建筑工程逆作法围护结构的施工阶段,作为临时结构的各构件承载力计算,应符合国家现行有关标准的规定。
5.2.11 地下建筑工程逆作法围护结构,在使用阶段兼作永久结构的各构件承载力计算,应符合国家现行有关标准的规定。
条文说明
5.2.11 地下连续墙或排桩的竖向承载力计算可采用桩基规范法和基床系数法。
5.2.12 地下连续墙在使用阶段作为地下室的外墙,当不带内衬墙时,应按地下室防水等级要求做好地下连续墙防水;当有内衬墙时,应按防水要求做好内衬墙防水及墙间的疏水排水设计;当排桩与内衬墙作为地下室的外墙时,应按地下室防水等级做好内衬墙防水。
5.3 竖向结构设计
5.3 竖向结构设计
5.3.1 当设计地下结构竖向构件时,在施工与使用的不同阶段应采用与其受力状态相符的计算模型及相应的荷载值进行内力分析和截面验算。当存在叠合构件时,尚应考虑二次叠合施工方法对构件承载力和构件变形的影响。
5.3.2 地下结构的竖向结构构件,宜选用钢管混凝土柱、型钢混凝土组合柱或钢筋混凝土柱。
条文说明
5.3.1、5.3.2 采用逆作法技术施工的竖向结构是指支撑楼盖的柱、墙。由于不同的施工过程中柱的截面特性不同进而影响到结构构件的受力。因此,在设计竖向结构时必须考虑其影响。内力分析可用不同施工阶段的荷载增加值和截面特性按线性叠加的方法进行内力分析,设计应注意逆作施工期间的部分受拉钢筋或钢柱受拉部分由于先期压应力的存在可能达不到设计强度。
地下室柱子的混凝土当在截面方向采用二次成型的方法施工时,由于混凝土芯柱与外叠合部分按照不同施工速度有着不同的应力比,当芯柱的应力与外叠合部分的应力比过高时, 由于芯柱部分的混凝土提前进入塑性阶段,对外叠合层部分产生水平环向拉应力,从而导致整体承载力的降低。另外,当进行多层地下室的逆作法施工时,由于受施工进度的影响,后叠合部分截面的混凝土尚未形成刚度或刚度形成较慢,将导致芯柱的应力进一步集中及柱子的竖向压缩变形加大。因此,在逆作法施工设计中,应尽量避免采用钢筋混凝土截面二次成型的做法,当不能避免时,对于此部分混凝土构件的设计可参考现行国家标准《混凝土结构加固设计规范》GB 50367中的有关规定。
5.3.3 采用逆作法施工的地下结构的竖向构件,在施工阶段应按偏压构件计算,柱的长细比不应大于25,柱顶端承受的水平力应按水平支撑轴向力的2%计算,并应根据其安装就位的垂直度允许偏差考虑竖向荷载偏心影响。
条文说明
5.3.3 由于逆作法施工阶段的柱子往往在土里施工,位置偏差和垂直度偏差较难控制,设计对此应充分考虑。同时,应注意柱的计算长度应考虑土对柱的约束较弱这一因素。
5.3.4 当地下结构钢筋混凝土柱采用二次叠合成型设计时应符合下列规定:
1 抗震设防区,钢筋混凝土柱子考虑叠合成型效应后,应按芯柱部分轴压比确定柱截面尺寸及最小配箍特征值。
2 非抗震设防区,柱的平均轴压比不应超过0.8,叠合成型效应后芯柱部分的轴压比不应超过1.0。
3 箍筋的最小直径、加密区箍筋最大间距、最小配箍率、叠合面的粗糙度等应符合国家现行标准《建筑抗震设计规范》GB 50011、《混凝土结构设计规范》GB 50010、《型钢混凝土组合结构技术规程》JGJ 138的规定,且箍筋的最小直径不应小于8mm。
条文说明
5.3.4 由于地下一层墙、柱的构造要求与地上一层相同,因此位于抗震设防高烈度区及高风荷载值地区的结构,应尽量避免竖向构件采用钢筋混凝上叠合构件。当由于条件限制必须采用时,要防止芯柱截面过小,并通过提高配箍特征值提高构件的延性,当轴压比过大时,应限制钢筋混凝土柱叠合构件的使用。
5.3.5 地下结构钢筋混凝土柱或型钢混凝土柱箍筋当处在水平施工缝位置上下各一个柱长边尺寸且不小于500mm的范围内,应符合下列规定:
1 当轴压比小于0.8时,箍筋最小直径不应小于8mm;当柱轴压比大于0.8时,箍筋的最小直径不应小于10mm;当柱的轴压比大于0.9时,箍筋的最小直径不应小于12mm。
2 位于抗震设防区的柱箍筋最小直径应符合国家现行标准《建筑抗震设计规范》GB 50011、《型钢混凝土组合结构技术规程》JGJ 138的规定,且按照规定增大2mm。
3 箍筋间距不应大于100mm,肢距不应大于150mm。
条文说明
5.3.5 一般的逆作法施工过程,当下部柱的混凝土后于其上部结构浇筑时,在新旧混凝土的交界面下部后浇混凝土存在着沉缩及泌水现象,这将导致钢筋或钢构件的压应力增加,加强此处的配箍有助于改善构件的延性,提高传递力的可靠度。
为可靠处理施工缝,除混凝土使用外加剂外,必要时还可增加局部竖向钢筋的配筋量。
5.3.6 逆作法设计的钢筋混凝土剪力墙,在施工阶段其竖向临时支承体系应进行相关验算。
条文说明
5.3.6 本条主要是控制剪力墙下的支柱数量,减少剪力墙局部的水平拉应力,设计应保证在正常使用状态下剪力墙不开裂并宜适当增加墙体的水平及竖向配筋,墙体的水平和竖向最小配筋率宜不小于0.25%。
5.4 水平结构设计
5.4 水平结构设计
5.4.1 逆作法地下水平结构的设计,一般利用地下的楼盖结构作为水平内支撑;应采取与施工及使用状态相符的计算模型进行内力分析和截面验算,水平结构应与围护结构可靠连接,满足施工阶段和正常使用阶段的各种功能要求。
条文说明
5.4.1 逆作法施工的水平结构是指与围护结构相连的地下室楼板。由于水平构件传递地下室侧边的土压力,因此要求其具有足够的强度、刚度,并应满足建筑各阶段的功能要求。
5.4.2 地下结构楼板宜采用梁板式或格梁式,当有可靠措施时也可采用整体装配式。
5.4.3 逆作法设计时楼盖应符合下列规定:
1 现浇钢筋混凝土结构楼板厚度不应小于120mm;
2 楼板不宜有大面积的错台,当结构设计不能避免时应采取适当的措施保证水平力的传递。
条文说明
5.4.2、5.4.3 由于地下室的剪力墙(或挡土墙)布置较多,其布置位置也与上部结构不尽相同。当地下室顶板作为上部结构的嵌固端时,通过楼板传递及分配的水平力远远大于一般楼层的楼板,同时,现浇钢筋混凝土梁板式楼盖具有较大的刚度,可有效地对柱、墙提供约束。因此,地下室顶板一般不应采用整体装配式,嵌固端的下一层通过楼板传递和分配的水平力较地下室顶板有所减少,但也是比较大的,一般也不宜选择整体装配式楼盖。
当地下室楼盖有较大的错台时,应采取有效的构造措施保证楼盖传递水平力。
5.4.4 设有结构缝的结构梁板,应设置传递水平力的构件。
条文说明
5.4.4 全逆作法或半逆作法施工时,由于建筑物两侧的土压力主要靠楼板传递,结构缝的设置影响楼板传递水平力,当必须设置时应设置水平传力构件,如间隔设置临时允许破坏的混凝土薄板等。
5.4.5 当地下结构楼板采用整体装配式时,应符合下列规定:
1 楼板每层宜设置钢筋混凝土整浇层,厚度不应小于60mm,混凝土强度等级不应低于C25,并应双向配置直径不应小于8mm、间距不应大于200mm的钢筋网,钢筋应锚固在梁、柱及墙内。
2 楼板的预制板缝宽度不应小于40mm,板缝内应配置钢筋且贯通整个结构单元,预制板缝的混凝土强度等级应高于预制板的混凝土强度等级,且不应低于C25。
3 预制板的选择及建筑构造做法应满足有关标准对建筑防火、耐久性等其他要求。
条文说明
5.4.5 本规范中要求整体装配式地下结构楼板符合《高层建筑混凝土结构技术规程》JGJ 3中的有关规定,且控制条件有所加严。当采用整体装配式楼板做法时,一般情况下可作为围护结构的水平不动支撑,设计应注意只有当整浇层达到设计强度起到水平不动支撑的作用后方可进行下道工序。设计时应同时注意板的选型及板底粉刷层的设置应满足耐火极限和耐久性的要求,并应注意具有人民防空要求的地下室板底不得做水泥砂浆粉刷层的要求。位于地震区和高风荷载值地区的建筑不宜采用整体装配式楼板。
5.4.6 采用半逆作法施工时,设计应采用考虑梁轴向变形的计算模型进行相关的内力分析。当有叠合构件时应按叠合构件的计算原则进行相关计算。
条文说明
5.4.6 半逆作法水平楼盖留有大洞口,削弱了楼盖梁板水平支撑的完整性,楼盖水平结构要承受围护结构传来的水平力,还要承受竖向的自重及施工荷载,处于双向受力状态,对结构分析要求更高,计算可采用三维有限元建模,在水平和竖直双向荷载作用下进行整体分析计算。
叠合构件设计应按现行国家标准《混凝土结构设计规范》GB 50010的要求设计,施工应注意叠合面的处理。
5.4.7 剪力墙在楼板处应设置通长的暗梁,暗梁的截面及配筋应能满足施工阶段构件变形及强度要求,并与洞口处的连梁钢筋贯通且不应小于连梁的配筋面积。
条文说明
5.4.7 钢筋混凝土剪力墙在施工阶段根据施工工艺的不同,受力性质表现为受弯构件,施工局部可能存在较高的拉应力,钢筋通长设置可避免由于钢筋接头太多及受拉钢筋搭接段混凝土的局部拉应力过高。
5.5 地基基础设计
5.5 地基基础设计
5.5.1 地下建筑逆作法宜选用柱下一柱一桩基础。
条文说明
5.5.1 一般情况下,由于桩基础的承载力高,沉降变形小,边柱、边墙的基础容易施工,同时易于控制整个建筑物的沉降和相邻柱间或柱与墙间沉降差率,而作为采用逆作法施工时建筑物基础形式的首选方案。
一柱一桩基础传力直接,通过基础传递到筏板上的力较小,基础与底板的连接构造容易处理。因此,有条件时宜优先选用一柱一桩基础。
5.5.2 当确定桩承载力时,桩的有效摩擦段应扣除土体的开挖段,并宜考虑土层回弹对桩摩阻力的影响。
条文说明
5.5.2 当建筑物的基础埋置较深时,在施工过程中基础下地基土的回弹变形较大,对较短的端承桩可能造成桩的上浮。另外,桩侧土的回弹由于受到桩的约束,在桩身产生附加正摩阻力,加大了桩侧土的剪切变形,相当于降低了土层有效的极限摩阻力。目前,对这方面的试验研究较少,缺少可靠的资料,从以往正作施工来看,由于一般空桩段较短,后开挖土体对桩的极限承载力影响不大。
柱下桩在开挖前应进行高位静载荷试桩,桩的有效摩擦段应扣除基坑开挖部分。
5.5.3 在施工、使用阶段,地基承载力计算应符合现行国家标准《建筑地基基础设计规范》GB 50007的规定。
条文说明
5.5.3 本条为现行国家标准《建筑地基基础设计规范》GB 50007的基本要求。
5.5.4 当结构基础采用一次成型时,可按正常施工状态进行地基基础设计。当采用两次成型时,柱与基础的交接面的构造应满足传递柱轴力和柱底弯矩的要求。
条文说明
5.5.4 当基础一次成型时,逆作期间的柱下桩与正常使用状态下的桩实际是一个桩。此时,后作的基础底板实际承担的力较小(水浮力及基础沉降产生的反力),柱、桩与底板交接面比较容易处理。当基础采用两次成型时,通过柱、桩与基础交接面传递的力较大,构造处理对钢筋混凝土柱可采用凿毛、设置预埋拉结筋、地下室加大柱截面等方法;对钢管混凝土及型钢混凝土柱可采用外包混凝土(钢管或型钢段设置栓钉应满足有关规范的要求)、焊接传力环板等方法处理,当传力环或传力环板的面积较大时,应在适当的位置设置肋板、通气孔和浇筑孔。箍筋间距应适当加密。
5.5.5 当结构地基采用天然地基时,施工阶段采用的柱下支承桩在 使用阶段可不考虑其作用。
条文说明
5.5.5 当上部结构的荷载较小且地基的持力层及下卧层较好,地基的压缩变形小时,结构地基基础也采用天然地基筏形或箱形基础,此时应处理好边柱基础和边墙或围护结构间的关系,在计算地基承载力特征值深度修正部分时,根据逆作进度,其起算高度自开挖的最低面算起(底板刚度、强度形成以前)或施工期间的室外地面算起(底板刚度、强度形成以后)。一般情况下,当建筑物基础为筏基或箱基而逆作期间采用一柱一桩时,在柱与基础交接面满足传力要求的情况下,忽略柱下桩基础的作用按正常施工状态下进行基础设计偏于安全,但设计应注意控制建筑物的沉降差满足现行国家标准《建筑地基基础设计规范》GB 50007的要求及桩、柱与后作基础交接面的构造。当确有依据时,可考虑桩已承担的荷载以减少基础的基面和配筋。
5.5.6 当结构基础采用多桩基础,并在计算各桩顶反力、筏板或承台内力时,不宜考虑逆作施工期间柱下桩的支承作用。当有可靠依据考虑柱下桩的支承作用时,柱下桩宜选择与其他各桩相同的桩长。
5.5.7 承台的抗剪、抗弯计算、桩对承台的冲切及桩身强度的设计应符合现行国家标准《建筑地基基础设计规范》GB 50007的有关规定。
条文说明
5.5.6、5.5.7 一般柱下独立承台满足施工要求的布桩形式为一字形三桩台、五桩台、七桩台,逆作期间柱下桩与承台形心重合以减少偏心影响,有时受条件限制采用桩箱或桩筏基础。当柱的荷载较大时,柱下桩的桩顶内力在考虑叠合效应后往往很难满足现行国家标准《建筑地基基础设计规范》GB 50007的要求,在计算桩顶内力设计桩长、承台时偏于安全可不考虑柱下桩的作用,当有可靠依据时可考虑柱下桩的有利影响。
5.5.8 当基础底标高不在同一标高时,应加强基础底板的水平刚度。
5.6 节点设计及构造
5.6 节点设计及构造
5.6.1 节点设计应符合下列规定:
1 围护结构与地下结构的水平构件连接接头可采用刚性接头、铰接接头和不完全刚性接头等形式。
2 当有防水要求时,节点的设计应满足防水要求。
1)外围护结构和地下连续墙墙身的防水以及施工段接缝防水设计;密排桩桩间的防水设计。
2)外围护结构与基础底板接缝处的防水。
3)竖向结构在底板位置的防水。
4)水平结构在外围护结构上连接节点的防水。
3 当地下连续墙仅作为围护结构时,槽段接头可采用柔性接头;当地下连续墙作为主体结构的一部分时,槽段接头应采用刚性接头。
4 当采用钢管、型钢或钢管混凝土支承柱时,支承柱与地下结构的水平构件连接接头除应符合本节规定外,尚应符合国家现行标准《钢结构设计规范》GB 50017和《型钢混凝土组合结构技术规程》JGJ 138的相关规定。
条文说明
5.6.1 地下连续墙仅作为基坑围护结构时,柔性接头已可以满足挡土墙及抗渗要求。但当地下连续墙作为主体结构的一部分时,除满足挡土要求外,还应满足主体结构墙体设计的要求,此时应采用刚性接头。
地下连续墙的柔性接头主要有圆形锁口管接头、波形管接头、预制接头和橡胶止水带接头。地下连续墙的刚性接头主要有穿孔钢板接头和钢筋搭接接头。
5.6.2 节点构造应符合下列规定:
1 地下结构的水平构件与地下连续墙的接头应符合下列规定:
1)当板与地下连续墙的连接采用刚性接头时,可采用在连续墙中预埋钢筋或采用钢筋机械连接的方式。当板与地下连续墙的连接采用铰接接头时,可采用在连续墙中预埋钢筋或预埋剪力键的连接方式,或通过边梁与地下连续墙连接,楼板钢筋锚入边梁,边梁与地下连续墙内的预埋钢筋连接,边梁伸入墙内的长度不宜小于70mm。
2)当梁与地下连续墙的连接采用刚性接头时,可采用在连续墙中预埋钢筋或采用钢筋机械连接的方式。当梁与地下连续墙的连接采用铰接接头时,可采用在连续墙中预埋钢筋或预埋剪力键的连接方式。
3)当底板与地下连续墙的连接采用刚性接头时,可采用钢筋机械连接,宜沿连续墙的周边将地下室的底板加强,在连接处应设置剪力键,在底板与地下连续墙连接处应设置止水条。
2 地下结构的内墙与地下连续墙相交时的接头,可采用在连续墙中预埋钢筋或后植筋的连接方式。
3 当采用排桩作为围护结构时,排桩顶部应设置冠梁,冠梁的宽度不应小于排桩直径,冠梁的高度不宜于400mm,冠梁的混凝土强度等级不应低于C20。
4 排桩与地下结构的水平构件连接接头,可采用在桩内预埋钢筋、钢锚板或后植筋连接的方式。
5 地下结构的梁与柱的接头宜符合下列规定:
1)当支承柱为型钢时,宜采用钻孔钢筋连接法和传力钢板连接法。
2)当支承柱为钢管和钢管混凝土柱时,宜采用竖向传力钢板法或环板法。传力钢板或环板的厚度不宜小于20mm。
3)当支承柱采用灌注桩时,宜采用在地下室各梁标高处预埋钢板环套的方法,钢板环套的厚度不宜小于20mm。
6 地下室的中间支承柱、桩和底板的连接接头可采用图5.6.2-1和图5.6.2-2的形式。

条文说明
5.6.2 逆作法的施工使得地下连续墙与梁板的连接、地下连续墙与底板的连接、中间支承柱与梁的连接设计和施工复杂化,这些连接节点是结构的关键部位,由于各地施工条件和施工技术的发展不同,很难给出一个统一的节点大样。
当采用HPB235钢筋或钢筋直径较小时,地下结构的水平构件与地下连续墙的连接一般可采用在地下连续墙内预埋钢筋的连接方式,当采用HRB335、HRB400或钢筋直径较大时,常常采用在连续墙内预埋钢筋连接器的方式。
为加强地下连续墙与地下结构的底板连接处的整体性,保证与设计假定的刚性节点一 致,常采用钢筋机械连接的方式,底板的钢筋通过钢筋连接器与预埋在连续墙内的钢筋连接,并在底板与地下连续墙相交处,适当的增加底板的厚度。
当地下连续墙作为主体结构的一部分时,地下结构的内墙与地下连续墙相交时的连接,如采用HPB235钢筋且直径小于16mm时,一般可选预埋钢筋法。
型钢柱内型钢的截面形式和配筋,应便于梁纵向钢筋的贯穿,不宜穿过型钢翼缘,也不宜与柱的型钢直接焊接。当必须在翼缘预留贯穿孔洞时,应按柱的最不利组合的内力进行截面验算。
6 施工
6.1 一般规定
6 施工
6.1 一般规定
6.1.1 在地下建筑工程逆作法施工前,应编制详细的施工组织设计和安全措施。
6.1.2 施工组织设计应满足逆作法设计要求。
6.1.3 在地下建筑工程逆作法施工前应向施工班组进行施工方案、安全措施交底。
6.2 地下水控制
6.2 地下水控制
6.2.1 地下水控制的设计和施工应满足逆作法设计和施工要求,应根据场地及周边工程地质条件、水文地质条件和环境条件并结合施工方案综合分析、确定。
6.2.2 当因降水而危及工程及周边环境安全时,宜采用截水或回灌方法。
6.2.3 降水、截水、回灌措施应符合现行行业标准《建筑基坑支护技术规程》JGJ 120相关规定。
6.3 围护结构施工
6.3 围护结构施工
6.3.1 地下连续墙单元槽段长度应根据槽壁稳定性及钢筋笼起吊能力划分,宜控制在4m~8m。
6.3.2 地下连续墙施工前宜进行成槽试验,确定施工工艺流程和槽段长度、泥浆比重、混凝土配合比、导管内初存混凝土量、导管内混凝土控制高度等各项技术参数。
6.3.3 排桩可采用人工、机械等多种工艺成孔,宜采取间隔法施工。
6.3.4 排桩的钢筋笼在绑扎、吊装和安放时,应保证钢筋笼的安放方向与设计方向一致。
6.3.5 在冠梁施工前,应将地下连续墙或排桩上部的混凝土浮浆凿除。
6.4 竖向结构施工
6.4 竖向结构施工
6.4.1 竖向结构构件施工允许偏差应符合表6.4.1规定:

条文说明
6.4.1 逆作法施工中间支承柱按施工工艺可分为混凝土桩施工工艺、钢管混凝土施工工艺和型钢柱施工工艺。当采用混凝土桩施工工艺时,施工偏差应符合现行国家标准《建筑地基基础工程施工质量验收规范》GB 50202的规定;当采用钢管混凝土施工工艺和型钢柱施工工艺时,施工偏差应符合现行国家标准《钢结构工程施工质量验收规范》GB 50205的规定。钢筋混凝土墙当采用地下连续墙施工工艺时,施工偏差应符合《地下连续墙施工工艺标准》J 115的规定;当采用下返墙施工工艺时,施工偏差应符合现行国家标准《建筑地基基础工程施工质量验收规范》GB 50202的规定。
6.4.2 竖向结构支承柱,当采用桩基础工艺施工时,应符合下列规定:
1 钢筋混凝土柱逆作施工,可采用人工或机械等成孔工艺,按现行行业标准《建筑桩基技术规范》JGJ 94的相关要求成桩,土方开挖后应按设计要求形成结构柱。
2 型钢柱或钢管混凝土柱应与下部混凝土桩组合成中间支承柱,柱与孔壁之间的空隙应用砂密实充填。
3 支承柱与水平结构连接的节点应按设计进行施工,预埋件、后植筋或其他连接构件应保证定位精度。
条文说明
6.4.2 型钢柱或钢管混凝土柱与桩孔之间用砂土密实填充是为了保证砂土对其的水平约束。
6.4.3 竖向结构混凝土墙施工应符合下列规定:
1 当施工每一层水平结构时,相应的上、下层混凝土墙应预留竖向钢筋,预留长度应符合现行国家标准《混凝土结构工程施工质量验收规范》GB 50204规定。
2 混凝土墙宜下返800mm~1200mm,有防水要求的边跨混凝土墙应上返300mm~500mm。
3 正作混凝土墙体与下返墙体混凝土连接宜按图6.4.3施工:

条文说明
6.4.3 混凝土墙下返800mm~1200mm是为了保证下层混凝土墙与其连接时必要的操作空间;有防水要求的混凝土墙上返300mm~500mm是为了保证防水节点薄弱部位施工的质量;正作混凝土墙体与下返混凝土墙体的连接处混凝土施工宜采用直接法、填充法、注浆法三种连接方式,并应进行上、下墙体混凝土连接面的凿毛处理,保证连接处混凝土的施工质量。
6.5 土方开挖及运输
6.5 土方开挖及运输
6.5.1 土方开挖前应详细了解地质情况,并根据土层特点与设计要求编制土方开挖的施工方案。
条文说明
6.5.1 在土方施工前必须详细察看地质勘察报告,了解地质情况,并应掌握地下各种管线的埋设情况及设计要求,编制出切实可行的施工方案,用以指导施工。
6.5.2 逆作法出土口的数量应根据土方开挖量、挖土工期和出土机械的台班产量按下式计算确定:

式中:C——每天作业台班数;
K——其他材料、机械设备的通过出土口运输的备用系数,取1.2~1.4;
n c ——出土口数量;
T——挖土工期(d);
V——土方开挖量(m 3 );
W——出土机械台班产量(m 3 /台班)。
条文说明
6.5.2 逆作法出土口的数量,主要取决于土方开挖量、挖土工期和出土机械的台班产量。其计算公式nc=KV/TCW中C为每天作业台班数,可根据每个工作日投入机械设备的数量或一台机械每天工作几个台班来选取;K为其他材料、机械设备的通过出土口运输的备用系数,取1.2~1.4;当材料及机械设备等通过出土口运输的数量较多时K取1.4;当材料及机械设备等通过出土口运输的数量较少时K取1.2。
6.5.3 材料、设备垂直运输竖井的数量应根据工程量计算确定,且不宜少于2个。
条文说明
6.5.3 材料、设备垂直运输竖井的数量应根据工程量计算确定,可以利用出土口的竖井来进行运输,一般不少于2个。
6.5.4 土方开挖宜采用小型挖土机与人工挖土相结合,地下连续墙与中间支承柱周边的土方应采用人工挖土;土方运输宜采用传送带或小型提升设备。
条文说明
6.5.4 采用小型挖掘机与人工挖土相结合时应按方案确定的挖土范围施工,以免挖掘机破坏围护结构。
6.5.5 土方开挖时应根据柱网轴线和实际情况设置足够通风口及地下通风、换气、照明和用电设备。 (自2022年1月1日起废止该条,详见新规 《建筑与市政地基基础通用规范》 GB 55003-2021)
条文说明
6.5.5 逆作法施工在土方开挖时应根据工程规模设置足够的地下通风换气和用电设备,换气和用电设备应运转良好,施工现场应随时检查通风换气和用电设备,并做好记录。
6.5.6 梁、板下土方应在混凝土的强度达到设计要求后开挖,挖出的土应及时运走,禁止堆放在楼板上及基坑周边。
6.5.7 土方开挖时地下水应降至开挖面0.5m以下。
条文说明
6.5.7 土方开挖遇到有地下水时,地下水应降至开挖基底标高0.5m以下。
6.6 水平结构施工
6.6 水平结构施工
6.6.1 水平结构施工前应按设计图纸确定出土口、各种施工预留口和降水井口的具体位置、尺寸。
条文说明
6.6.1 水平结构上的预留口关系到整个逆作设计、施工的安全,预留口的留设根据施工需要,应征得设计单位同意,并采取必要的加强措施。
6.6.2 水平结构施工时应优先利用土胎模,当土质不能满足要求时,应采用其他支模方式浇筑梁板水平结构,并应复核围护结构在此工况下的稳定性和安全性。
条文说明
6.6.2 这是两种不同水平结构支模形式,可根据实际施工需要选用,当选用其他支模方式浇筑梁板水平结构时,必须与设计单位进行协商,确定挖土深度及对基坑侧壁围护体系的影响。
6.6.3 当水平结构作为周边围护结构的水平支承时,其后浇带处应按设计要求设置传力构件。 (自2022年1月1日起废止该条,详见新规 《建筑与市政地基基础通用规范》 GB 55003-2021)
条文说明
6.6.3 当水平结构作为周边围护结构的水平支承时,其后浇带处应按设计要求设置传力构件,保证水平结构的整体强度和刚度。
6.7 梁、板、底板与竖向结构的连接施工
6.7 梁、板、底板与竖向结构的连接施工
6.7.1 当型钢或钢管中间支承柱与梁之间的连接采用钻孔法时,每穿过一根钢筋应立即将孔的双面满焊封严,然后再钻下一个孔、穿筋。
条文说明
6.7.1 中间支承柱为H形钢(或钢管)与梁连接节点采用钻孔法时,所钻的孔不宜过大,能满足钢筋穿过即可,确保H形钢(或钢管)的截面承载力不受影响。
6.7.2 当型钢或钢管中间支承柱与梁之间的连接采用钢板传力法时,钢板与型钢宜采用竖向焊接,焊缝应满足设计要求,梁的钢筋与传力钢板之间的焊接件应进行抗拉强度试验。
6.7.3 传力钢板的位置应经测量放线确定,钢板的位置应准确,焊接钢板前应将型钢(或钢管)表面清理干净,不得有锈蚀。
条文说明
6.7.2、6.7.3 中间支承柱为H形钢(或钢管)与梁的连接节点,宜采用钢板传力法,钢板与型钢焊接的施工质量应满足现行国家标准《钢结构工程施工质量验收规范》GB 50205的规定。
6.7.4 叠合柱的钢筋接头不得采用绑扎。
6.7.5 当地下连续墙与梁节点的连接采用预埋钢筋法、预埋钢板法时,位置应准确,连接应可靠。采用后植筋法时应符合现行行业标准《混凝土结构后锚固技术规程》JGJ 145的有关规定。
6.7.6 当地下连续墙与地下室底板连接处设止水条、中间支承柱与底板连接时,柱的四周应设置止水环。
条文说明
6.7.6 当有防水要求时,底板与地下连续墙及中间支承柱接触面应采取止水措施,并根据实际情况选用止水方式及材料。
7 现场监测
7 现场监测
7.0.1 地下建筑工程逆作法施工应对施工过程中岩土体性状、周边环境、相邻建(构)筑物、地下水状态及地下管线设施的变化进行现场监测。
条文说明
7.0.1 现场监测将监测结果及时反馈有关各方,以及时指导设计与施工;现场监测应根据委托方的要求、工程的性质、施工场地条件和周边环境受影响程度有针对性地进行。
7.0.2 地下建筑工程逆作法施工现场监测应进行现场踏勘,熟悉工程设计、施工情况,调查了解当地地下建筑工程施工经验、周围的建(构)筑物、重要地下设施及道路的布置情况和现状,编制监测方案。
条文说明
7.0.2 现场监测实施方案,主要包括监测的目的、内容、质量、标准、精度、频度及监测方法、监测的项目、监测点的布置、监测控制报警值、监测结果处理要求和监测结果信息反馈制度等。
现场监测应采用仪器观测、目测、测试、调查及仪器观测和目测调查相结合的方法进行。
7.0.3 现场应监测下列主要对象:
1 基坑(槽)底部、侧壁及周边岩土体;
2 工程结构主体、中间支承结构及围护结构;
3 地下水;
4 周边建(构)筑物;
5 周边地下管线及设施;
6 周边相邻的城市道路;
7 自然环境状况。
7.0.4 现场应监测下列主要内容:
1 围护结构及中间支承结构的变形;
2 围护结构内外岩土体变形;
3 围护结构周边邻近地下管线的变形和渗漏;
4 围护结构周边邻近建(构)筑物的变形;
5 围护结构、中间支承结构开挖影响范围内的地下水水位及孔隙水压力的变化;
6 围护结构、中间支承结构、基坑底部岩土体卸荷回弹变形及建筑沉降观测;
7 施工现场环境条件(主要针对与人体有害气体的类型、含量、浓度及临近地表水体渗漏)。
7.0.5 现场监测的项目、监测点的布置应根据监测对象合理布设,并应满足监测控制要求,现场监测项目可按表7.0.5执行。

7.0.6 现场监测位移及变形监测的工作基点数量不宜少于2点,安全等级为一级的不应少于3点,工作基点应设置于建筑影响范围以外,便于施测并安全保护。
7.0.7 位移及变形监测工作初始值的观测,应在地下建筑逆作工程施工基坑开挖之前进行,观测次数不宜少于2次,安全等级为一级的不应少于3次;现场监制工作预警值、报警值应根据监测对象的相关标准及结构设计要求确定;监测项目的观测频度、间隔宜结合项目进程情况适当确定,当观测结果出现异常时,应调整观测频度加密观测次数,必要时应连续监测。
条文说明
7.0.7 现场监控工作预警值、报警值应根据监测对象的相关标准、规范及结构设计要求确定,监测时可参照国家现行标准《建筑地基基础设计规范》GB 50007、《建筑变形测量规范》JGJ 8的相关条款及有关标准制定。
7.0.8 逆作法工程施工现场监测工作应符合国家现行标准《工程测量规范》GB 50026、《岩土工程勘察规范》GB 50021、《建筑地基基础设计规范》GB 50007、《建筑边坡工程技术规范》GB 50330、《建筑变形测量规范》JGJ 8、《城市地下管线探测技术规程》CJJ 61及《建筑基坑支护技术规程》JGJ 120等有关标准的规定,并应满足逆作法工程设计、施工及监测控制安全、精度的要求。
条文说明
7.0.8 监测工作应根据工程项目进程情况,结合设计要求分阶段提交监测成果中间资料,工程结束时应提交完整的监测成果报告。
8 工程质量验收
8 工程质量验收
8.0.1 质量验收应提交下列文件和记录:
1 岩土工程勘察报告、图纸会审记录、设计变更文件;
2 经审定的施工组织设计、施工方案;
3 桩位测量放线图及工程桩位线复核签证单;
4 桩身完整性检测报告及单桩承载力检测报告;
5 原材料出厂合格证和进场复试报告;
6 混凝土强度试验报告;
7 钢筋接头试验报告;
8 预应力筋用锚具、连接器的合格证和进场复试报告;
9 混凝土工程施工记录;
10 隐蔽工程验收记录;
11 分项工程验收记录;
12 预应力筋安装、张拉及灌浆记录;
13 工程重大质量问题的处理方案和验收记录;
14 其他必要的文件和记录。
条文说明
8.0.1 质量控制资料反映了检验批从原材料到最终验收的各施工工序的操作依据、检查情况以及保证质量所必需的管理制度。根据现行国家标准《建筑工程施工质量验收统一标准》GB 50300的规定,列出了质量验收应提交的主要文件和记录,反映了从基本的检验批开始,贯彻于整个施工过程的质量控制结果,落实了过程控制的基本原则,是确保工程质量的重要证据。
8.0.2 竖向构件垂直度验收应提交下列记录:
1 有效断面设计交底记录;
2 垂直度验收记录。
条文说明
8.0.2 因竖向构件在施工时按桩的施工工艺施工,其垂直度只能按桩基验收标准来验收。当土方开挖后,其桩又完全成为框架结构的竖向受力构件。而桩的垂直度允许偏差值远大于框架结构竖向构件垂直度的允许偏差值。为了使框架结构竖向构件符合混凝土验收规范的要求,要求设计者在结构设计时考虑桩的有效设计断面,即根据其安装就位的垂直度允许偏差值考虑竖向荷载偏心影响。基于逆作法施工的特殊性,将有效断面设计交底记录作为竖向构件验收资料。同时要求施工单位提供竖向构件垂直度验收记录。
8.0.3 工程观感质量验收应符合现行国家标准《混凝土结构工程施工质量验收规范》GB 50204有关规定,现浇结构外观质量缺陷判定不应有严重缺陷。
条文说明
8.0.3 工程观感质量应按现行国家标准《混凝土结构工程施工质量验收规范》GB 50204现浇结构外观质量缺陷条件进行判定。对已出现的严重缺陷,应由施工单位根据缺陷的具体情况提出技术处理方案,经监理(建设)单位认可后进行处理,并重新组织验收。
8.0.4 质量验收应符合国家现行标准《混凝土结构工程施工质量验收规范》GB 50204、《建筑地基基础工程施工质量验收规范》GB 50202、《钢结构工程施工质量验收规范》GB 50205和《型钢混凝土组合结构技术规程》JGJ 138等的有关规定。
条文说明
8.0.4 本规程是涉及多种结构形式的组合体,所以在工程验收时既要满足本规程的规定,还要满足相应规范、规程、标准的规定。只有严格执行相应规范、规程、标准的规定,才能保证结构整体安全,验收才能得以通过。
本规程用词说明
本规程用词说明
1 为便于在执行本规程条文时区别对待,对要求严格程度不同的用词说明如下:
1)表示很严格,非这样做不可的:
正面词采用“必须”,反面词采用“严禁”;
2)表示严格,在正常情况下均应这样做的:
正面词采用“应”,反面词采用“不应”或“不得”;
3)表示允许稍有选择,在条件许可时首先应这样做的:
正面词采用“宜”,反面词采用“不宜”;
4)表示有选择,在一定条件下可以这样做的,采用“可”。
2 条文中指明应按其他有关标准执行的写法为:“应符合……的规定”或“应按……执行”。
引用标准名录
引用标准名录
1 《建筑地基基础设计规范》GB 50007
2 《建筑结构荷载规范》GB 50009
3 《混凝土结构设计规范》GB 50010
4 《建筑抗震设计规范》GB 50011
5 《钢结构设计规范》GB 50017
6 《岩土工程勘察规范》GB 50021
7 《工程测量规范》GB 50026
8 《土工试验方法标准》GB/T 50123
9 《建筑地基基础工程施工质量验收规范》GB 50202
10 《混凝土结构工程施工质量验收规范》GB 50204
11 《钢结构工程施工质量验收规范》GB 50205
12 《建筑边坡工程技术规范》GB 50330
13 《建筑变形测量规范》JGJ 8
14 《建筑桩基技术规范》JGJ 94
15 《建筑基坑支护技术规程》JGJ 120
16 《型钢混凝土组合结构技术规程》JGJ 138
17 《混凝土结构后锚固技术规程》JGJ 145
18 《城市地下管线探测技术规程》CJJ 61
自2022年1月1日起废止的条文

