Appearance
《大体积混凝土施工标准[附条文说明]》GB 50496-2018
🗓️ 住房和城乡建设部 实施时间:2018-12-01
前言
中华人民共和国国家标准
大体积混凝土施工标准
Standard for construction of mass concrete
GB 50496-2018
主编部门:中华人民共和国住房和城乡建设部
批准部门:中华人民共和国住房和城乡建设部
施行日期:2018年12月1日
中华人民共和国住房和城乡建设部公告
2018第77号
住房城乡建设部关于发布国家标准《大体积混凝土施工标准》的公告
现批准《大体积混凝土施工标准》为国家标准,编号为GB 50496-2018,自2018年12月1日起实施。其中,第4.2.2、5.3.1条为强制性条文,必须严格执行。原国家标准《大体积混凝土施工规范》GB 50496-2009同时废止。
本标准在住房城乡建设部门户网站(www.mohurd.gov.cn)公开,并由住房城乡建设部标准定额研究所组织中国建筑工业出版社出版发行。
中华人民共和国住房和城乡建设部
2018年4月25日

前言
根据住房和城乡建设部《关于印发<2015年工程建设标准规范制订、修订计划>的通知》(建标[2014]189号)的要求,标准编制组经广泛调查研究,认真总结实践经验,参考有关国际标准和国外先进标准,并在广泛征求意见的基础上,编制了本标准。
本标准的主要技术内容是:1 总则;2 术语和符号;3 基本规定;4 原材料、配合比、制备及运输;5 施工;6 温度监测与控制。
本标准修订的主要技术内容是:1 规定了大体积混凝土施工过程中“四节一环保”的要求;2 提出了大体积混凝土施工中的安全措施和劳动保护的要求;3 对大体积混凝土的设计强度等级、所用的水泥水化热指标和配合比设计参数进行了适当调整;4 提出了大体积混凝土施工现场取样的特殊规定;5 提出了根据工程需要,可开展应力-应变测试的要求;6 提出了可通过试验直接得出混凝土绝热温升值的规定;7 对绝热温升计算公式中m值的取值方法给出了计算公式;8 删除了掺合料对混凝土抗拉强度影响系数(λ);9 重新给出了掺合料对混凝土收缩的影响系数M 10 、M 11 ;10 给出了各种保温材料的导热系数值。
本标准中以黑体字标志的条文为强制性条文,必须严格执行。
本标准由住房和城乡建设部负责管理和对强制性条文的解释,由中冶建筑研究总院有限公司负责具体技术内容的解释。执行过程中如有意见或建议,请寄送中冶建筑研究总院有限公司(地址:北京市海淀区西土城路33号,邮编:100088)。
条文说明
中华人民共和国国家标准 大体积混凝土施工标准 GB50496-2018 条文说明 编制说明 《大体积混凝土施工标准》GB50496-2018,经住房和城乡建设部2018年4月25日以2018第77号公告批准、发布。 本标准是在《大体积混凝土施工规范》GB50496-2009的基础上修订而成的,上一版的主编单位是中冶建筑研究总院有限公司,参编单位是中国京冶工程技术有限公司、中国建筑股份有限公司、中冶赛迪工程技术有限公司、上海宝冶建设有限公司、中冶天工建设有限公司、中国二十冶金建设有限公司、中冶京唐建设有限公司、中石化洛阳石化工程公司、北京东方建宇混凝土技术研究院、北京首钢建设集团有限公司、北京城建五公司、上海电力建设工程公司、中广核工程有限公司、中国核工业二四建设公司、马钢嘉华商品混凝土有限公司,主要起草人员是仲晓林、林松涛、彭宣常、孙跃生、张琨、王铁梦、牟宏远、束廉阶、路来军、王建、毛杰、徐兆桐、张晓平、陈定洪、吕军、刘小刚、张际斌、崔东清、刘耀齐、刘瑄、张兴斌、郑昆白、谷政学、陈李华、赵群、钟翔、仲朝明、陈宏哲、伍崇明、樊兴林、李高阳、陈飞飞。 本标准修订过程中,编制组进行了广泛的调查研究,总结了我国近年来在大体积混凝土工程建设中实践经验,同时参考了美国混凝土协会标准ACI207和日本建筑协会标准JASS5的相关规定,通过高性能聚羧酸减水剂及矿物掺合料(掺量50%)对混凝土力学性能的影响、不同减水剂对水泥水化热的影响、矿物掺合料对混凝土收缩和自生体积变形影响、矿物掺合料对不同强度等级混凝土力学性能影响等试验,取得了重要技术参数。 为便于广大施工、监理、设计、科研、学校等单位有关人员在使用本标准时能正确理解和执行条文规定,《大体积混凝土施工标准》编制组按章、节、条顺序编制了本标准的条文说明,对条文规定的目的、依据以及执行中需注意的有关事项进行了说明,还着重对强制性条文的强制性理由作了解释。但是,本条文说明不具备与标准正文同等的法律效力,仅供使用者作为理解和把握标准规定的参考。
1 总则
1 总 则
1.0.1 为在大体积混凝土施工中贯彻国家技术经济政策,保证工程质量,做到技术先进、工艺合理、节约资源、保护环境,制定本标准。
条文说明
1.0.1本标准所给出的大体积混凝土施工要求,是为了保证工程的施工质量和施工安全,并为大体积混凝土的材料、施工工艺、裂缝控制提供技术指导,使工程质量满足设计文件和相关标准的要求。大体积混凝土施工还应贯彻节材、节水、节能、节地和保护环境等技术经济政策。本标准主要依据科学试验成果、常用施工工艺和工程实践经验,并参照国际与国外先进标准制定而成。
1.0.2 本标准适用于混凝土结构中大体积混凝土施工。不适用于碾压混凝土和水工大体积混凝土等工程施工。
条文说明
1.0.2本标准适用于混凝土结构中大体积混凝土施工的全过程,包括配合比设计、原材料的选择、掺合料的用量、现场施工工艺、养护及温控。 本标准不适用水工和碾压大体积混凝土的主要原因是: 1水工用大体积混凝土所用水泥大多为低热水泥或大坝水泥,而本标准所指大体积混凝土大多用普通硅酸盐水泥。 2与本标准所指的大体积混凝土相比,碾压混凝土的水泥用量和坍落度都比较低,且大多数是素混凝土。
1.0.3 大体积混凝土施工除应符合本标准外,尚应符合国家现行有关标准的规定。
2 术语和符号
2.1 术语
2 术语和符号
2.1 术 语
2.1.1 大体积混凝土 mass concrete
混凝土结构物实体最小尺寸不小于1m的大体量混凝土,或预计会因混凝土中胶凝材料水化引起的温度变化和收缩而导致有害裂缝产生的混凝土。
2.1.2 胶凝材料 cementitious material
配制混凝土的硅酸盐水泥与活性矿物掺合料的总称。
2.1.3 跳仓施工法 alternative bay construction method
将超长的混凝土块体分为若干小块体间隔施工,经过短期的应力释放,再将若干小块体连成整体,依靠混凝土抗拉强度抵抗下段温度收缩应力的施工方法。
2.1.4 永久变形缝 permanent deformation seam
将建(构)筑物垂直分割开永久留置的预留缝,包括伸缩缝和沉降缝。
2.1.5 竖向施工缝 vertical construction seam
混凝土不能连续浇筑时,浇筑停顿时间有可能超过混凝土的初凝时间,在适当位置留置的垂直方向的预留缝。
2.1.6 水平施工缝 horizontal construction seam
混凝土不能连续浇筑时,浇筑停顿时间有可能超过混凝土的初凝时间,在适当位置留置的水平方向的预留缝。
2.1.7 温度应力 thermal stress
混凝土温度变形受到约束时,在混凝土内部产生的应力。
2.1.8 收缩应力 shrinkage stress
混凝土收缩变形受到约束时,在混凝土内部产生的应力。
2.1.9 温升峰值 peak value of rising temperature
混凝土浇筑体内部的最高温升值。
2.1.10 里表温差 temperature difference of core and surface
混凝土浇筑体内最高温度与外表面内50mm处的温度之差。
2.1.11 断面加权平均温度 thickness weighted mean tempera-ture
根据测试点位各温度测点代表区段长度占厚度权值,对各测点温度进行加权平均得到的值。
2.1.12 降温速率 descending speed of temperature
散热条件下,混凝土浇筑体内部温度达到温升峰值后,24h内断面加权平均温度下降值。
2.1.13 入模温度 temperature of mixture placing to mold
混凝土拌合物浇筑入模时的温度。
2.1.14 有害裂缝 harmful crack
影响结构安全或使用功能的裂缝。
2.1.15 绝热温升 adiabatic temperature rise
混凝土浇筑体处于绝热状态条件下,其内部某一时刻温升值。
2.1.16 胶浆量 binder paste content
混凝土中胶凝材料浆体量占混凝土总量之比。
2.1.17 温度场 temperature field
混凝土温度在空间和时间上的分布。
2.2 符号
2.2 符 号
2.2.1 温度及材料性能
a——混凝土热扩散率;
C——混凝土比热容;
C x ——外约束介质(地基或老混凝土)的水平变形刚度;
E 0 ——混凝土弹性模量;
E(t)——混凝土龄期为t时的弹性模量;
E i (t)——第i计算区段,龄期为t时,混凝土的弹性模量;
f tk (t)——混凝土龄期为t时的抗拉强度标准值;
K b ,K 1 ,K 2 ——混凝土浇筑体表面保温层传热系数修正值;
m——与水泥品种、浇筑温度等有关的系数;
Q——胶凝材料水化热总量;
Q 0 ——水泥水化热总量;
Q t ——龄期t时的累积水化热;
R s ——保温层总热阻;
t——混凝土的龄期;
T s ——混凝土浇筑体表面温度;
T b (t)——龄期为t时,混凝土浇筑体内的表层温度;
T bm (t)、T dm (t)——混凝土浇筑体中部达到最高温度时,其块体上、下表层的温度;
T max ——混凝土浇筑体内的最高温度;
T max (t)——龄期为t时,混凝土浇筑体内的最高温度;
T q ——混凝土达到最高温度时的大气平均温度;
T(t)——龄期为t时,混凝土的绝热温升;
T y (t)——龄期为t时,混凝土收缩当量温度;
T w (t)——龄期为t时,混凝土浇筑体预计的稳定温度或最终稳定温度;
△T 1 (t)——龄期为t时,混凝土浇筑块体的里表温差;
△T 2 (t)——龄期为t时,混凝土浇筑块体在降温过程中的综合降温差;
△T 1max (t)——混凝土浇筑后可能出现的最大里表温差;
△T 1i (t)——龄期为t时,在第i计算区段混凝土浇筑块体里表温差的增量;
△T 2i (t)——龄期为t时,在第i计算区段内,混凝土浇筑块体综合降温差的增量;
β μ ——固体在空气中的放热系数;
β s ——保温材料总放热系数;
λ 0 ——混凝土的导热系数;
λ i ——第i层保温材料的导热系数。
2.2.2 数量几何参数
H——混凝土浇筑体的厚度,该厚度为浇筑体实际厚度与保温层换算混凝土虚拟厚度之和;
h——混凝土的实际厚度;
h′——混凝土的虚拟厚度;
L——混凝土搅拌运输车往返距离;
N——混凝土搅拌运输车台数;
Q 1 ——每台混凝土泵的实际平均输出量;
Q max ——每台混凝土泵的最大输出量;
S——混凝土搅拌运输车平均行车速度;
T t ——每台混凝土搅拌运输车总计停歇时间;
V——每台混凝土搅拌运输车的容量;
W——每立方米混凝土的胶凝材料用量;
α 1 ——配管条件系数;
δ——混凝土表面的保温层厚度;
δ i ——第i层保温材料厚度。
2.2.3 计算参数及其他
H(t,τ)——在龄期为τ时产生的约束应力延续至t时的松弛系数;
K——防裂安全系数;
k——不同掺量掺合料水化热调整系数;
k 1 、k 2 ——粉煤灰、矿渣粉掺量对应的水化热调整系数;
M 1 、M 2 ……M 11 ——混凝土收缩变形不同条件影响修正系数;
R i (t)——龄期为t时,在第i计算区段,外约束的约束系数;
n——常数,随水泥品种、比表面积等因素不同而异;
r ——水力半径的倒数;
α——混凝土的线膨胀系数;
β——混凝土中掺合料对弹性模量的修正系数;
β 1 、β 2 ——混凝土中粉煤灰、矿渣粉掺量对应的弹性模量修正系数;
ρ——混凝土的质量密度;
ε 0 y ——在标准试验状态下混凝土最终收缩的相对变形值;
ε y (t)——龄期为t时,混凝土收缩引起的相对变形值;
σ x (t)——龄期为t时,因综合降温差,在外约束条件下产生的拉应力;
σ z (t)——龄期为t时,因混凝土浇筑块体里表温差产生自约束拉应力的累计值;
η——作业效率;
σ zmax ——最大自约束应力。
3 基本规定
3 基本规定
3.0.1 大体积混凝土施工应编制施工组织设计或施工技术方案,并应有环境保护和安全施工的技术措施。
条文说明
3.0.1大体积混凝土施工时,除应满足普通混凝土施工所要求的混凝土力学性能及可施工性能外,还应控制有害裂缝的产生。为此,施工单位应预先制定好满足上述要求的施工组织设计和施工技术方案,并应进行技术交底,切实贯彻执行。为贯彻国家技术经济政策,保证工程质量,施工组织设计和施工技术方案中应包含环境保护和安全施工的技术措施。
3.0.2 大体积混凝土施工应符合下列规定:
1 大体积混凝土的设计强度等级宜为C25~C50,并可采用混凝土60d或90d的强度作为混凝土配合比设计、混凝土强度评定及工程验收的依据;
2 大体积混凝土的结构配筋除应满足结构承载力和构造要求外,还应结合大体积混凝土的施工方法配置控制温度和收缩的构造钢筋;
3 大体积混凝土置于岩石类地基上时,宜在混凝土垫层上设置滑动层;
4 设计中应采取减少大体积混凝土外部约束的技术措施;
5 设计中应根据工程情况提出温度场和应变的相关测试要求。
条文说明
3.0.2根据大体积混凝土施工的特点,本条提出了对大体积混凝土设计强度等级、结构配筋等的具体要求。 1根据现有资料统计,本次修订提出大体积混凝土的设计强度等级在C25~C50的范围内比较适宜。从冶金、电力、核电、石化和建工等行业的资料表明,许多工程已经或可以考虑利用60d或90d混凝土强度作为评定工程交工验收与设计的依据。这是一种有科学依据、工程实践,并可节能、降耗、有效减少有害裂缝产生的技术措施。 2本款提出在大体积混凝土施工过程中,对结构的配筋除应满足结构承载力和构造要求外,还应根据大体积混凝土施工的具体方法(整体浇筑、分层浇筑或跳仓浇筑)配置承受温度应力和收缩应力的构造钢筋。 3在大体积混凝土施工中考虑岩石地基对它的约束时,宜在混凝土垫层上设置滑动层。滑动层构造可采用一毡二油或一毡一油(夏季),以达到尽量减少约束的目的。 已有的试验资料和工程经验表明设置必要的滑动层或缓冲层,可减少基层、模板和支架系统对大体积混凝土在硬化过程中的变形约束,有利于对裂缝的控制。 4该款中所指的减少大体积混凝土外部约束主要是指:模板、地基、桩基和既有混凝土等外部约束。
3.0.3 大体积混凝土施工前,应对混凝土浇筑体的温度、温度应力及收缩应力进行试算,并确定混凝土浇筑体的温升峰值,里表温差及降温速率的控制指标,制定相应的温控技术措施。
条文说明
3.0.3本条确定了大体积混凝土在施工方案阶段应做的试算分析工作,对大体积混凝土浇筑体在浇筑前应进行温度、温度应力及收缩应力的验算分析。以达到本标准第B.7.2条中要求的,1.15倍的计算主拉应力小于等效龄期的混凝土抗拉强度标准值的控制目标。其目的是为了确定温控指标(温升峰值、里表温差、降温速率、混凝土表面与大气温差)及制定温控施工的技术措施(包括混凝土原材料的选择、混凝土拌制、运输过程及混凝土养护的降温和保温措施、温度监测方法等),以防止或控制有害裂缝的发生,确保施工质量。
3.0.4 大体积混凝土施工温控指标应符合下列规定:
1 混凝土浇筑体在入模温度基础上的温升值不宜大于50℃;
2 混凝土浇筑体里表温差(不含混凝土收缩当量温度)不宜大于25℃;
3 混凝土浇筑体降温速率不宜大于2.0℃/d;
4 拆除保温覆盖时混凝土浇筑体表面与大气温差不应大于20℃。
3.0.5 大体积混凝土施工前,应做好施工准备,并应与当地气象台、站联系,掌握近期气象情况。在冬期施工时,尚应符合有关混凝土冬期施工规定。
条文说明
3.0.5本条提出了大体积混凝土施工前,需了解掌握气候变化情况,并尽量避开特殊气候的影响。如大雨、大雪等天气,若无良好的防雨雪措施,将影响混凝土的施工质量。高温天气如不采取遮阳降温措施,骨料的高温会直接影响混凝土拌合物的出机温度和入模温度。而在寒冷季节施工,会增加大体积混凝土保温保湿养护措施的费用,并给温控带来困难。所以应与当地气象台、站联系,掌握近期的气象情况,避开恶劣气候的影响十分重要。
3.0.6 大体积混凝土施工应采取节能、节材、节水、节地和环境保护措施,并应符合现行国家标准《建筑工程绿色施工规范》GB/T 50905的有关规定。
条文说明
3.0.6为贯彻国家技术经济政策,保证工程质量、节能和施工安全,特增加本条新规定。大体积混凝土施工应符合国家现行标准《建筑施工安全统一规范》GB50870和《建筑施工作业劳动防护用品配备及使用标准》JGJ184的有关规定。
4 原材料、配合比、制备及运输
4.1 一般规定
4 原材料、配合比、制备及运输
4.1 一般规定
4.1.1 大体积混凝土配合比设计除应满足强度等级、耐久性、抗渗性、体积稳定性等设计要求外,尚应满足大体积混凝土施工工艺要求,并应合理使用材料、降低混凝土绝热温升值。
条文说明
4.1.1大体积混凝土的施工工艺特性主要是指一次性浇筑的混凝土体量大,浇筑时间长。为此,其拌合物的特性应满足良好的流动性,不泌水,适宜的凝结时间以及坍落度损失小等基本要求。
4.1.2 大体积混凝土制备及运输,除应满足混凝土设计强度等级要求,还应根据预拌混凝土供应运输距离、运输设备、供应能力、材料批次、环境温度等调整预拌混凝土的有关参数。
条文说明
4.1.2调整预拌混凝土的有关参数的目的,是为了保证混凝土的工作性能。
4.2 原材料
4.2 原材料
4.2.1 水泥选择及其质量,应符合下列规定:
1 水泥应符合现行国家标准《通用硅酸盐水泥》GB 175的有关规定,当采用其他品种时,其性能指标应符合国家现行有关标准的规定;
2 应选用水化热低的通用硅酸盐水泥,3d水化热不宜大于250kJ/kg,7d水化热不宜大于280kJ/kg;当选用52.5强度等级水泥时,7d水化热宜小于300kJ/kg;
3 水泥在搅拌站的入机温度不宜高于60℃。
条文说明
4.2.1为在大体积混凝土施工中降低混凝土因水泥水化热引起的温升,达到降低温度应力和保温养护费用的目的,本条文根据目前国内水泥水化热的统计数据及多个大型重点工程的成功经验,将原标准中的“大体积混凝土施工时所用水泥其3d水化热不宜大于240kJ/kg,7d水化热不宜大于270kJ/kg”修订为“大体积混凝土施工时所用水泥其3d水化热不宜大于250kJ/kg,7d水化热不宜大于280kJ/kg”。当选用52.5强度等级水泥时,其7d水化热宜小于300kJ/kg。当使用了3d水化热大于250kJ/kg,7d水化热大于280kJ/kg或抗渗要求高的混凝土,在混凝土配合比设计时应根据温控施工的要求及抗渗能力要采取适当措施调整。
4.2.2 用于大体积混凝土的水泥进场时应检查水泥品种、代号、强度等级、包装或散装编号、出厂日期等,并应对水泥的强度、安定性、凝结时间、水化热进行检验,检验结果应符合现行国家标准《通用硅酸盐水泥》GB 175的相关规定。 ( 自2022年4月1日起废止该条,点击我查看新规 《混凝土结构通用规范》 GB 55008-2021)
条文说明
4.2.2本条为强制性条文。据调研在供应大体积混凝土工程用混凝土时,大多数商品混凝土搅拌站会对进站的水泥品种、代号、强度等级、包装或散装编号、出厂日期等进行检查,并对其强度、安定性、凝结时间、水化热等性能进行检验。但也有相当数量的商品混凝土搅拌站并未及时检验或检验的性能不全,将直接影响大体积混凝土工程质量,会造成严重的后果,给国家财产带来损失并威胁人身安全。因此,将本条定为强制性条文是十分必要的。
4.2.3 骨料选择,除应符合现行行业标准《普通混凝土用砂、石质量及检验方法标准》JGJ 52的有关规定外,尚应符合下列规定:
1 细骨料宜采用中砂,细度模数宜大于2.3,含泥量不应大于3%;
2 粗骨料粒径宜为5.0mm~31.5mm,并应连续级配,含泥量不应大于1%;
3 应选用非碱活性的粗骨料;
4 当采用非泵送施工时,粗骨料的粒径可适当增大。
条文说明
4.2.3本条规定了大体积混凝土所使用的骨料应采用非碱活性骨料,但如使用了无法判定是否是碱活性骨料时,应采用现行国家标准《通用硅酸盐水泥》GB175等水泥标准规定的低碱水泥,并按照表1控制混凝土的碱含量;也可采用抑制碱骨料反应的其他措施。 表1混凝土碱含量限值 
4.2.4 粉煤灰和粒化高炉矿渣粉,质量应符合现行国家标准《用于水泥和混凝土中的粉煤灰》GB/T 1596和《用于水泥、砂浆和混凝土中的粒化高炉矿渣粉》GB/T 18046的有关规定。
条文说明
4.2.4当有可靠试验数据并满足相应国家标准要求时,可采用其他矿物掺合料。
4.2.5 外加剂质量及应用技术,应符合现行国家标准《混凝土外加剂》GB 8076和《混凝土外加剂应用技术规范》GB 50119的有关规定。
4.2.6 外加剂的选择除应满足本标准第4.2.5条的规定外,尚应符合下列规定:
1 外加剂的品种、掺量应根据材料试验确定;
2 宜提供外加剂对硬化混凝土收缩等性能的影响系数;
3 耐久性要求较高或寒冷地区的大体积混凝土,宜采用引气剂或引气减水剂。
条文说明
4.2.6由于大体积混凝土施工时所采用的外加剂对于硬化混凝土的收缩会产生很大的影响,所以对于大体积混凝土施工时采用的外加剂,应将其收缩值作为一项重要指标加以控制。
4.2.7 混凝土拌合用水质量应符合现行行业标准《混凝土用水标准》JGJ 63的有关规定。
4.3 配合比设计
4.3 配合比设计
4.3.1 大体积混凝土配合比设计,除应符合现行行业标准《普通混凝土配合比设计规程》JGJ 55的有关规定外,尚应符合下列规定:
1 当采用混凝土60d或90d强度验收指标时,应将其作为混凝土配合比的设计依据;
2 混凝土拌合物的坍落度不宜大于180mm;
3 拌合水用量不宜大于170kg/m 3 ;
4 粉煤灰掺量不宜大于胶凝材料用量的50%,矿渣粉掺量不宜大于胶凝材料用量的40%;粉煤灰和矿渣粉掺量总和不宜大于胶凝材料用量的50%;
5 水胶比不宜大于0.45;
6 砂率宜为38%~45%。
条文说明
4.3.1本条文考虑到大体积混凝土项目的总施工周期一般较长的特点,在保证混凝土强度满足使用要求的前提下,规定了大体积混凝土可以采用60d或90d的后期强度作为验收指标。这样可以减少大体积混凝土中的水泥用量,提高掺合料的用量,以降低大体积混凝土的绝热温升。同时可以使浇筑后的混凝土里表温差减小,降温速度控制的难度降低,并进一步降低养护费用。 由于聚羧酸高性能等减水剂的大量应用,提高了混凝土的可泵性和强度,根据工程施工需要这次修订调整了原标准对坍落度、用水量、水胶比和砂率的规定。 胶凝材料中掺入粉煤灰的主要目的是为了降低大体积混凝土的水化热总量以及放热速度,但是随着粉煤灰掺量的增加,混凝土的抗拉强度也会降低,不过与其损失的抗拉强度相比,在一定粉煤灰掺量范围内,降低水化热总量和放热速度仍是矛盾的主要方面。
4.3.2 混凝土制备前,宜进行绝热温升、泌水率、可泵性等对大体积混凝土裂缝控制有影响的技术参数的试验,必要时配合比设计应通过试泵送验证。
条文说明
4.3.2据了解现许多大体积混凝土施工在确定配合比前都通过试验直接得到混凝土的绝热温升值,而不需要再通过测得水泥水化热再算出混凝土绝热温升值。因此,将原标准中“并应进行水化热、……”修改为“宜进行混凝土绝热温升、……”。如果不具备试验条件,也可按照本标准提供的计算方法确定。
4.3.3 在确定混凝土配合比时,应根据混凝土绝热温升、温控施工方案的要求,提出混凝土制备时的粗细骨料和拌合用水及入模温度控制的技术措施。
4.4 制备及运输
4.4 制备及运输
4.4.1 混凝土制备与运输能力应满足混凝土浇筑工艺要求,预拌混凝土质量应符合现行国家标准《预拌混凝土》GB/T 14902的有关规定,并应满足施工工艺对坍落度损失、入模坍落度、入模温度等的技术要求。
4.4.2 对同时供应同一工程分项的预拌混凝土,胶凝材料和外加剂、配合比应一致,制备工艺和质量控制水平应基本相同。
4.4.3 混凝土拌合物运输应采用混凝土搅拌运输车,运输车应根据施工现场实际情况具有防晒、防雨和保温措施。
4.4.4 搅拌运输车数量应满足混凝土浇筑工艺要求,计算方法可按本标准附录A确定。
4.4.5 搅拌运输车运送时间应符合现行国家标准《预拌混凝土》GB/T 14902的有关规定。
4.4.6 运输过程补充外加剂进行调整时,搅拌运输车应快速搅拌,搅拌时间不应小于120s。
4.4.7 运输和浇筑过程中,不应通过向拌合物中加水方式调整其性能。
4.4.8 运输过程中当坍落度损失或离析严重,经采取措施无法恢复混凝土拌合物工作性能时,不得浇筑入模。
5 施工
5.1 一般规定
5 施 工
5.1 一般规定
5.1.1 大体积混凝土施工组织设计,应包括下列主要内容:
1 大体积混凝土浇筑体温度应力和收缩应力计算结果;
2 施工阶段主要抗裂构造措施和温控指标的确定;
3 原材料优选、配合比设计、制备与运输计划;
4 主要施工设备和现场总平面布置;
5 温控监测设备和测试布置图;
6 浇筑顺序和施工进度计划;
7 保温和保湿养护方法;
8 应急预案和应急保障措施;
9 特殊部位和特殊气候条件下的施工措施。
5.1.2 大体积混凝土浇筑体温度应力和收缩应力,可按本标准附录B确定。
5.1.3 保温覆盖层的厚度,可根据温控指标的要求按本标准附录C确定。
条文说明
5.1.1~5.1.3根据大体积混凝土的特点和工程实践经验对大体积混凝土施工组织设计规定了九个方面的主要内容,有关安全管理与文明施工还应遵守国家现行有关标准的规定。 其中大体积混凝土浇筑体施工阶段温度应力和收缩应力,可参照本标准附录B的计算方法进行,有条件时,宜按有限单元法或其他方法进行更加细致地计算分析。本标准附录B中介绍的方法,是目前众多计算大体积混凝土温度场和温度应力方法中的一种,可以在施工前对施工对象在现有条件下(包括材料和工艺)的温升峰值、降温速率、里表温差等参数及开裂情况做出合理估算,参考估算结果可对拟采用材料和工艺进行调整。计算过程中需要的参数,应尽量采用实际试验结果。 关于保温覆盖层厚度的确定,本标准在附录C中给出了计算方法。它是根据热交换原理,假定混凝土的中心向混凝土表面的散热量,等于混凝土表面保温材料应补充的发热量,并把保温层厚度虚拟成混凝土的厚度进行计算。但应指出的是现场应根据实测温度进行及时调整。
5.1.4 大体积混凝土施工宜采用整体分层或推移式连续浇筑施工。
条文说明
5.1.4整体分层或推移式连续浇筑施工是目前大体积混凝土施工中普遍采用的方法,本条文规定了宜优先采用。工程实践中也有称其为“全面分层、分段分层、斜面分层”、“斜向分层、阶梯状分层”、“分层连续,大斜坡薄层推移式浇筑”等,本条文强调整体连续浇筑施工,不留施工缝,确保结构整体性强。 分层连续浇筑施工的特点,一是混凝土一次需要量相对较少,便于振捣,易保证混凝土的浇筑质量;二是可利用混凝土层面散热,对降低大体积混凝土浇筑体的温升有利;三是可确保结构的整体性。 对于实体厚度一般不超过2m、浇筑面积大、工程总量较大,且浇筑综合能力有限的混凝土工程,宜采用整体推移式连续浇筑法。
5.1.5 当大体积混凝土施工设置水平施工缝时,位置及间歇时间应根据设计规定、温度裂缝控制规定、混凝土供应能力、钢筋工程施工、预埋管件安装等因素确定。
条文说明
5.1.5大体积混凝土(一般厚度大于2m)允许设置水平施工缝分层施工,并规定了水平施工缝设置的一般要求。已有的试验资料和工程经验表明,设置水平施工缝能有效地降低混凝土内部温升值,防止混凝土内外温差过大。当在施工缝的表层和中间部位设置间距较密、直径较小的抗裂钢筋网片后,可有效地避免或控制混凝土裂缝的出现或开展。 关于高层建筑转换层的大体积混凝土施工,由于转换层结构的尺寸高而大,一般转换梁常用截面高度1.6m~4.0m,转换厚板的厚度2.0m~2.8m,自重大,竖向荷载大,若采用整体浇筑有困难或可能对下部结构产生损害,可利用叠合梁原理,将高大转换层结构按叠合构件施工,不仅可以减少混凝土的水化热,还可利用分层施工形成的结构承受二次施工时的荷载。
5.1.6 超长大体积混凝土施工,结构有害裂缝控制应符合下列规定:
1 当采用跳仓法时,跳仓的最大分块单向尺寸不宜大于40m,跳仓间隔施工的时间不宜小于7d,跳仓接缝处应按施工缝的要求设置和处理;
2 当采用变形缝或后浇带时,变形缝或后浇带设置和施工应符合国家现行有关标准的规定。
条文说明
5.1.6对超长(大于现行国家标准《混凝土结构设计规范》GB50010中伸缩缝的要求)大体积混凝土施工,可留置变形缝、后浇带或跳仓方法分段施工,并规定了设置的一般要求。这样可在一定程度上减轻外部约束程度,减少每次浇筑段的蓄热量,防止水化热的积聚,减少温度应力;但应指出的是跳仓接缝处的应力一般较大,应通过计算确定配筋量和加强构造处理。
5.1.7 混凝土入模温度宜控制在5℃~30℃。
5.2 技术准备
5.2 技术准备
5.2.1 大体积混凝土施工前应进行图纸会审,并应提出施工阶段的综合抗裂措施,制定关键部位的施工作业指导书。
条文说明
5.2.1图纸会审工作是大体积混凝土施工前一项重要的技术准备工作,应结合实际工程和自身实力、管理水平,制定关键部位的质量控制措施和施工期间的综合抗裂措施。
5.2.2 大体积混凝土施工应在混凝土的模板和支架、钢筋工程、预埋管件等工作完成并验收合格的基础上进行。
条文说明
5.2.2大体积混凝土施工前应对上道工序如混凝土的模板和支架、钢筋工程、预埋管件等隐蔽工程进行检查验收,合格后再进行混凝土的浇筑。
5.2.3 施工现场设施应按施工总平面布置图的要求按时完成,场区内道路应坚实平坦。必要时,应制定场外交通临时疏导方案。
5.2.4 施工现场供水、供电应满足混凝土连续施工需要。当有断电可能时,应采取双回路供电或自备电源等措施。
条文说明
5.2.3、5.2.4施工现场总平面布置应满足大体积混凝土连续浇筑对道路、水、电、专用施工设备等的需要,并加强现场指挥和调度,尽量缩短混凝土的装运时间,控制合理的入模温度,提高设备的利用率。
5.2.5 大体积混凝土供应能力应满足混凝土连续施工需要,不宜低于单位时间所需量的1.2倍。
条文说明
5.2.5大体积混凝土的供应应满足混凝土连续施工的需要,一般情况下连续供应能力不宜低于单位时间所需量的1.2倍。采用多家供应商供料时,应制定统一的技术标准,确保质量可靠。需在施工现场添加料时,应派专人负责,并按批准的方案严格操作,严禁任意加水或添加外加剂。
5.2.6 大体积混凝土施工设备,在浇筑混凝土前应进行检修和试运转,其性能和数量应满足大体积混凝土连续浇筑需要。
5.2.7 混凝土测温监控设备的标定调试应正常,保温材料应齐备,并应派专人负责测温作业管理。
条文说明
5.2.6、5.2.7大体积混凝土施工应尽可能增加装备投入和信息化管理,提高工效,进入现场的设备包括测温监控设备,在浇筑混凝土前应进行全面的检修和调试,确保设备性能可靠,以满足大体积混凝土连续浇筑的需要,施工中宜指定专人负责维护管理。
5.2.8 大体积混凝土施工前,应进行专业培训,并应逐级进行技术交底,同时应建立岗位责任制和交接班制度。
条文说明
5.2.8大体积混凝土与普通混凝土施工在许多方面不同,更应加强组织协调管理和岗前培训工作,明确岗位职责、责任到人,落实技术交底,遵守交接班制度。
5.3 模板工程
5.3 模板工程
5.3.1 大体积混凝土模板和支架应进行承载力、刚度和整体稳固性验算,并应根据大体积混凝土采用的养护方法进行保温构造 设计。 ( 自2022年4月1日起废止该条,点击我查看新规 《混凝土结构通用规范》 GB 55008-2021)
条文说明
5.3.1本条为强制性条文。为防止大体积混凝土工程中模板和支架系统出现倒塌或倾覆现象,确保人员安全,避免重大经济损失,规定了大体积混凝土模板和支架系统在设计时需开展承载力、刚度和稳定性验算,保证其整体稳固性。一般在大体积混凝土施工中,模板主要采用钢模、木模或胶合板,支架主要采用钢支撑体系。采用钢模时对保温不利,应根据保温养护的需要再增加保温措施;采用木模或胶合板时,保温性能较好,可将其直接作为保温材料考虑。
5.3.2 模板和支架系统安装、使用和拆除过程中,必须采取安全稳定措施。
条文说明
5.3.2模板和支架系统在安装、使用和拆卸时需采取措施保障安全,这对避免重大工程事故非常重要。在安装时,模板和支架系统还未形成可靠的结构体系,应采取临时措施,保证在搭设过程中的安全;在混凝土施工时应加强现场检查,必要时应加固;在拆卸时应注意混凝土的强度和拆除的顺序,在混凝土结构有可能未形成设计要求的受力体系前,应加设临时支撑系统。
5.3.3 对后浇带或跳仓法留置的竖向施工缝,宜采用钢板网、铁丝网或快易收口网等材料支挡;后浇带竖向支架系统宜与其他部位分开。
条文说明
5.3.3本条文规定了采用后浇带或跳仓方法施工时施工缝支挡和竖向支撑体系的要求。
5.3.4 大体积混凝土拆模时间应满足混凝土的强度要求,当模板作为保温养护措施的一部分时,其拆模时间应根据温控要求确定。
5.3.5 大体积混凝土宜适当延迟拆模时间。拆模后,应采取预防寒流袭击、突然降温和剧烈干燥等措施。
条文说明
5.3.4、5.3.5规定了拆模时间的要求和应采取的措施,国内外的工程实践证明,早期因水泥水化热使混凝土内部温度较高,过早拆模会导致混凝土内外温差增大,产生很大的拉应力,极易出现裂缝。因此有条件时应延迟拆模时间,缓慢降温,充分发挥混凝土的应力松弛效应,增加对大体积混凝土的保温保湿养护时间。
5.4 混凝土浇筑
5.4 混凝土浇筑
5.4.1 大体积混凝土浇筑应符合下列规定:
1 混凝土浇筑层厚度应根据所用振捣器作用深度及混凝土的和易性确定,整体连续浇筑时宜为300mm~500mm,振捣时应避免过振和漏振。
2 整体分层连续浇筑或推移式连续浇筑,应缩短间歇时间,并应在前层混凝土初凝之前将次层混凝土浇筑完毕。层间间歇时间不应大于混凝土初凝时间。混凝土初凝时间应通过试验确定。当层间间歇时间超过混凝土初凝时间时,层面应按施工缝处理。
3 混凝土的浇灌应连续、有序,宜减少施工缝。
4 混凝土宜采用泵送方式和二次振捣工艺。
条文说明
5.4.1本条文对大体积混凝土的浇筑层厚度、间隔时间、浇筑和振捣作了一般性规定。 1关于浇筑层厚度,曾称作摊铺厚度、虚铺厚度。条文以插入式振捣棒为主,对其做了规定。浇筑层厚度一般不大于振捣棒作用部分长度的1.25倍,常用的插入式振捣棒作用有效长度大于450mm。 2条文对连续分层浇筑的间歇时间做了规定,防止因间歇时间过长产生“冷缝”。层间的间歇时间是以混凝土的初凝时间为准的。关于混凝土的初凝时间,在国际上是以贯入阻力法测定,以贯入阻力值为3.5MPa时为混凝土的初凝,所以应经试验确定,试验地点宜在施工现场,试验方法可见现行国家标准《普通混凝土拌合物性能试验方法标准》GB/T50080、《滑动模板工程技术规范》GB50113。当层面间歇时间超过混凝土初凝时间时,应按施工缝处理。 4大体积混凝土采用二次振捣工艺,即在混凝土浇筑后即将凝固前,在适当的时间和位置给予再次振捣,以排除混凝土因泌水在粗骨料、水平钢筋下部生成的水分和孔隙,增加混凝土的密实度,减少内部微裂缝,改善混凝土强度,提高抗裂性。振捣时间长短应根据混凝土的流动性大小确定。
5.4.2 当采取分层间歇浇筑混凝土时,水平施工缝的处理应符合下列规定:
1 在已硬化的混凝土表面,应清除表面的浮浆、松动的石子及软弱混凝土层;
2 在上层混凝土浇筑前,应采用清水冲洗混凝土表面的污物,并应充分润湿,但不得有积水;
3 新浇筑混凝土应振捣密实,并应与先期浇筑的混凝土紧密结合。
条文说明
5.4.2本条对分层间歇浇筑混凝土时,施工缝的处理作了一般规定。
5.4.3 大体积混凝土底板与侧墙相连接的施工缝,当有防水要求时,宜采取钢板止水带等处理措施。
条文说明
5.4.3从以往的工程实践总结,钢板止水带相对其他防水方式具有较好的止水效果。
5.4.4 在大体积混凝土浇筑过程中,应采取措施防止受力钢筋、定位筋、预埋件等移位和变形,并应及时清除混凝土表面泌水。
条文说明
5.4.4在大体积混凝土浇筑过程中,受力钢筋、定位筋、预埋件等易受到干扰,甚至移位和变形,应采取有效措施固定。大体积混凝土因为泵送混凝土的水灰比一般比较大,表面浮浆和泌水现象普遍存在,不及时清除,将会降低结构混凝土的质量,为此,在施工方案中应事先规定具体做法,以便及时清除混凝土表面积水。
5.4.5 应及时对大体积混凝土浇筑面进行多次抹压处理。
条文说明
5.4.5大体积混凝土由于混凝土坍落度较大,在混凝土初凝前或混凝土预沉后在表面采用二次抹压处理工艺,并及时用塑料薄膜覆盖,可有效避免混凝土表面水分过快散失出现干缩裂缝,控制混凝土表面非结构性细小裂缝的出现和开展,必要时,可在混凝土终凝前1h~2h进行多次抹压处理,在混凝土表层配置抗裂钢筋网片。
5.5 混凝土养护
5.5 混凝土养护
5.5.1 大体积混凝土应采取保温保湿养护。在每次混凝土浇筑完毕后,除应按普通混凝土进行常规养护外,保温养护应符合下列规定:
1 应专人负责保温养护工作,并应进行测试记录;
2 保湿养护持续时间不宜少于14d,应经常检查塑料薄膜或养护剂涂层的完整情况,并应保持混凝土表面湿润;
3 保温覆盖层拆除应分层逐步进行,当混凝土表面温度与环境最大温差小于20℃时,可全部拆除。
条文说明
5.5.1本条规定了应采用在大体积混凝土养护中已广泛使用且效果明显的保温保湿养护方法。根据以往的施工经验,在大体积混凝土养护过程中采用强制或不均匀的冷却降温措施不仅成本相对较高,管理不善易使大体积混凝土产生贯穿性裂缝,这类方法在房屋建筑工程中较少采用。 保温养护是大体积混凝土施工的关键环节。保温养护的主要目的是通过减少混凝土表面的热扩散,从而降低大体积混凝土浇筑体的里外温差值,降低混凝土浇筑体的自约束应力,其次是降低大体积混凝土浇筑体的降温速率,延长散热时间,充分发挥混凝土强度的潜力和材料的松弛特性,利用混凝土的抗拉强度,以提高混凝土承受外约束应力时的抗裂能力,达到防止或控制温度裂缝的目的。同时,在养护过程中保持良好温度和防风条件,使混凝土在适宜的温度和湿度环境下养护,故本条文对保温养护措施所应满足的条件作了规定。即施工人员应根据事先确定的温控指标的要求,来确定大体积混凝土浇筑后的养护措施。
5.5.2 混凝土浇筑完毕后,在初凝前宜立即进行覆盖或喷雾养护工作。
条文说明
5.5.2实践证明,喷雾养护是一种行之有效的保湿措施,尤其在厚墙、转换层等大体积混凝土初凝前养护效果明显。
5.5.3 混凝土保温材料可采用塑料薄膜、土工布、麻袋、阻燃保温被等,必要时,可搭设挡风保温棚或遮阳降温棚。在保温养护中,应现场监测混凝土浇筑体的里表温差和降温速率,当实测结果不满足温控指标要求时,应及时调整保温养护措施。
条文说明
5.5.3在大体积混凝土施工时,应因地制宜地采用保温性能好而又便宜的材料用在保温养护中,条文中列举了施工中常见而且又比较便宜的材料;现场实测是大体积混凝土施工中的一个重要环节,根据事先确定的温控指标和当时监测数据指导养护工作,确保混凝土不出现过大的温度应力,从而控制有害裂缝的产生。
5.5.4 高层建筑转换层的大体积混凝土施工,应加强养护,侧模和底模的保温构造应在支模设计时综合确定。
条文说明
5.5.4对于高层建筑转换层的大体积混凝土施工,由于在高空中组织施工条件相对地面或地下较差,应加强进行保温构造设计和养护工作。必要时,封闭加热施工,以满足温控指标的要求,确保工程质量。
5.5.5 大体积混凝土拆模后,地下结构应及时回填土;地上结构不宜长期暴露在自然环境中。
条文说明
5.5.5从以往的施工经验看,大体积混凝土结构若长时间暴露在自然环境中,易因干燥收缩产生微裂缝,影响混凝土的外观质量,故对此作了相应的规定。
5.6 特殊气候条件下的施工
5.6 特殊气候条件下的施工
5.6.1 大体积混凝土施工遇高温、冬期、大风或雨雪天气时,必须采用混凝土浇筑质量保证措施。
5.6.2 当高温天气浇筑混凝土时,宜采用遮盖、洒水、拌冰屑等降低混凝土原材料温度的措施。混凝土浇筑后,应及时保湿保温养护;条件许可时,混凝土浇筑应避开高温时段。
5.6.3 当冬期浇筑混凝土时,宜采用热水拌合、加热骨料等提高混凝土原材料温度的措施。混凝土浇筑后,应及时进行保温保湿养护。
5.6.4 当大风天气浇筑混凝土时,在作业面应采取挡风措施,并应增加混凝土表面的抹压次数,应及时覆盖塑料薄膜和保温材料。
5.6.5 雨雪天不宜露天浇筑混凝土,需施工时,应采取混凝土质量保证措施。浇筑过程中突遇大雨或大雪天气时,应及时在结构合理部位留置施工缝,并应中止混凝土浇筑;对已浇筑还未硬化的混凝土应立即覆盖,严禁雨水直接冲刷新浇筑的混凝土。
条文说明
5.6.1~5.6.5为了控制混凝土不出现有害裂缝,保证混凝土浇筑质量,规定了在高温、冬期、大风、雨雪等特殊气候条件下进行大体积混凝土施工时应遵守的技术措施。
5.7 现场取样
5.7 现场取样
5.7.1 当一次连续浇筑不大于1000m 3 同配合比的大体积混凝土时,混凝土强度试件现场取样不应少于10组。
条文说明
5.7.1原标准没有对大体积混凝土试件的留置作规定,实际操作中,一般依照《混凝土结构工程施工质量验收规范》GB50204执行,针对性和操作性不强。近年来大体积混凝土浇筑体量越来越大,工程实际中出现超过10000m3的大体积混凝土已常见。所以标准中,针对大体积混凝土施工的特点,明确了试件的留置规定。此规定的执行条件是该大体积混凝土所用主要原材料和配合比一致,并且是连续拌制(供应、浇筑)的。
5.7.2 当一次连续浇筑1000m 3 ~5000m 3 同配合比的大体积混凝土时,超出1000m 3 的混凝土,每增加500m 3 取样不应少于一组,增加不足500m 3 时取样一组。
5.7.3 当一次连续浇筑大于5000m 3 同配合比的大体积混凝土时,超出5000m 3 的混凝土,每增加1000m 3 取样不应少于一组,增加不足1000m 3 时取样一组。
6 温度监测与控制
6 温度监测与控制
6.0.1 大体积混凝土浇筑体里表温差、降温速率及环境温度的测试,在混凝土浇筑后,每昼夜不应少于4次;入模温度测量,每台班不应少于2次。
条文说明
6.0.1大体积混凝土施工需在监测数据指导下进行,及时调整技术措施,监测系统宜具有实时在线和自动记录功能。考虑到部分地区实现该系统功能有一定困难,亦可采取手动方式测量,但考虑到测试数据代表性,测试应为等时间间隔,数据采集频度应满足本条规定。
6.0.2 大体积混凝土浇筑体内监测点布置,应反映混凝土浇筑体内最高温升、里表温差、降温速率及环境温度,可采用下列布置方式:
1 测试区可选混凝土浇筑体平面对称轴线的半条轴线,测试区内监测点应按平面分层布置;
2 测试区内,监测点的位置与数量可根据混凝土浇筑体内温度场的分布情况及温控的规定确定;
3 在每条测试轴线上,监测点位不宜少于4处,应根据结构的平面尺寸布置;
4 沿混凝土浇筑体厚度方向,应至少布置表层、底层和中心温度测点,测点间距不宜大于500mm;
5 保温养护效果及环境温度监测点数量应根据具体需要确定;
6 混凝土浇筑体表层温度,宜为混凝土浇筑体表面以内50mm处的温度;
7 混凝土浇筑体底层温度,宜为混凝土浇筑体底面以上50mm处的温度。
条文说明
6.0.2多数大体积混凝土工程具有对称轴线,如实际工程不对称,可根据经验及理论计算结果选择有代表性的温度测试位置。 小于2.5m厚的结构布置3层测点,2.5m~5.0m布置5层测点,5m以上根据需要增加测点。
6.0.3 应变测试宜根据工程需要进行。
6.0.4 测试元件的选择应符合下列规定:
1 25℃环境下,测温误差不应大于0.3℃;
2 温度测试范围应为—30℃~120℃;
3 应变测试元件测试分辨率不应大于5με;
4 应变测试范围应满足—1000με~1000με要求;
5 测试元件绝缘电阻应大于500MΩ。
6.0.5 温度测试元件的安装及保护,应符合下列规定:
1 测试元件安装前,应在水下1m处经过浸泡24h不损坏;
2 测试元件固定应牢固,并应与结构钢筋及固定架金属体隔离;
3 测试元件引出线宜集中布置,沿走线方向予以标识并加以保护;
4 测试元件周围应采取保护措施,下料和振捣时不得直接冲击和触及温度测试元件及其引出线。
6.0.6 测试过程中宜描绘各点温度变化曲线和断面温度分布曲线。
条文说明
6.0.6温度监测是信息化施工的体现,是从温度方面判断混凝土质量的一种直观方法。监测单位应每天提供温度监测日报,若监测过程中出现温控指标不正常变化,也应及时反馈给委托单位,以便发现问题采取相应措施。
6.0.7 发现监测结果异常时应及时报警,并应采取相应的措施。
条文说明
6.0.7监测工作开展前,可设置小于标准要求温控指标的各项预警值和控制值,若监测过程中,数据超过预警值,则应持续关注该数据并现场调查分析原因;若数据超过控制值,则应立即采取相应调整措施。
6.0.8 温控措施可根据下列原则或方法,结合监测数据实时调控:
1 控制混凝土出机温度,调控入模温度在合适区间;
2 升温阶段可适当散热,降低温升峰值,当升温速率减缓时,应及时增加保温措施,避免表面温度快速下降;
3 在降温阶段,根据温度监测结果调整保温层厚度,但应避免表面温度快速下降;
4 在采用保温棚措施的工程中,当降温速率过慢时,可通过局部掀开保温棚调整环境温度。
条文说明
6.0.8降温速率低于1℃/d时,可适当减少保温层厚度或局部掀开保温棚散热。
附录A混凝土泵输出量和搅拌运输车数量的计算
附录A 混凝土泵输出量和搅拌运输车数量的计算
A.0.1 混凝土泵的实际平均输出量,可根据混凝土泵的最大输出量、配管情况和作业效率确定,应按下式计算:

式中:Q 1 ——每台混凝土泵的实际平均输出量(m 3 /h);
Q max ——每台混凝土泵的最大输出量(m 3 /h);
α 1 ——配管条件系数,可取0.8~0.9;
η——作业效率,根据混凝土搅拌运输车向混凝土泵供料的间断时间、拆装混凝土输出管和布料停歇等情况,可取0.5~0.7。
A.0.2 当混凝土泵连续作业时,每台混凝土泵配备的混凝土搅拌运输车台数,可按下式计算:

式中:N——混凝土搅拌运输车台数(台);
Q 1 ——每台混凝土泵的实际平均输出量(m 3 /h);
V——每台混凝土搅拌运输车的容量(m 3 );
S——混凝土搅拌运输车平均行车速度(km/h);
L——混凝土搅拌运输车往返距离(km);
T t ——每台混凝土搅拌运输车总计停歇时间(h)。
附录B大体积混凝土浇筑体施工阶段温度应力与收缩应力的计算
B.1混凝土绝热温升
附录B 大体积混凝土浇筑体施工阶段温度应力与收缩应力的计算
B.1 混凝土绝热温升
B.1.1 水泥水化热可按下式计算:

式中:Q 3 ——在龄期3d时的累积水化热(kJ/kg);
Q 7 ——在龄期7d时的累积水化热(kJ/kg);
Q 0 ——水泥水化热总量(kJ/kg)。
B.1.2 胶凝材料水化热总量应在水泥、掺合料、外加剂用量确定后,根据实际配合比通过试验得出。当无试验数据时,可按下式计算:

式中:Q——胶凝材料水化热总量(kJ/kg);
k——不同掺量掺合料水化热调整系数。
B.1.3 当采用粉煤灰与矿渣粉双掺时,不同掺量掺合料水化热调整系数可按下式计算:

式中:k 1 ——粉煤灰掺量对应的水化热调整系数,取值见表B.1.3;
k 2 ——矿渣粉掺量对应的水化热调整系数,取值见表B.1.3。
表B.1.3 不同掺量掺合料水化热调整系数

注:表中掺量为掺合料占总胶凝材料用量的百分比。
B.1.4 混凝土绝热温升值可按现行行业标准《水工混凝土试验规程》DL/T 5150中的相关规定通过试验得出。当无试验数据时,混凝土绝热温升值可按下式计算:

式中:T(t)——混凝土龄期为t时的绝热温升(℃);
W——每立方米混凝土的胶凝材料用量(kg/m 3 );
C——混凝土的比热容,可取0.92~1.00[kJ/(kg·℃)];
ρ——混凝土的质量密度,可取2400~2500(kg/m 3 );
t——混凝土龄期(d);
m——与水泥品种、用量和入模温度等有关的单方胶凝材料对应系数。
B.1.5 单方胶凝材料对应的系数m值可按下列公式计算:

式中:m 0 ——等效硅酸盐水泥对应的系数;
W——等效硅酸盐水泥用量(kg);
A、B——与混凝土施工入模温度相关的系数,按表B.1.5-1取内插值;当入模温度低于10℃或高于30℃时,按10℃或30℃选取;
W C ——单方其他硅酸盐水泥用量(kg);
λ——修正系数。
表B.1.5-1 不同入模温度对m的影响值

当使用不同品种水泥时,可按表B.1.5-2的系数换算成等效硅酸盐水泥的用量。
表B.1.5-2 不同硅酸盐水泥的修正系数

B.2混凝土收缩值的当量温度
B.2 混凝土收缩值的当量温度
B.2.1 混凝土收缩值宜按现行国家标准《普通混凝土长期性能和耐久性能试验方法标准》GB/T 50082中的相关要求,通过试验得出。当无试验数据时,混凝土收缩的相对变形值可按下式计算:

式中:ε y (t)——龄期为t时,混凝土收缩引起的相对变形值;
ε 0 y ——在标准试验状态下混凝土最终收缩的相对变形值,取4.0×10 -4 ;
M 1 、M 2 、…M 11 ——混凝土收缩变形不同条件影响修正系数,可按表B.2.1采用。
B.2.2 混凝土收缩相对变形值的当量温度可按下式计算:

式中:T y (t)——龄期为t时,混凝土收缩值当量温度;
α——混凝土的线膨胀系数,取1.0×10 -5 。
表B.2.1 混凝土收缩值不同条件影响修正系数

B.3混凝土的弹性模量
B.3 混凝土的弹性模量
B.3.1 混凝土的弹性模量可按下式计算:

式中:E(t)——混凝土龄期为t时,混凝土的弹性模量(N/mm 2 );
E 0 ——混凝土的弹性模量,可取标准养护条件下28d的弹性模量,按表B.3.1取用;
φ——系数,取0.09;
β——掺合料修正系数。
表B.3.1 混凝土在标准养护条件下龄期为28d时的弹性模量

B.3.2 掺合料修正系数可按下式计算:

式中:β 1 ——粉煤灰掺量对应系数,可按表B.3.2取值;
β 2 ——矿渣粉掺量对应系数,可按表B.3.2取值。
表B.3.2 不同掺量掺合料修正系数

B.4温升估算
B.4 温升估算
B.4.1 浇筑体内部温度场和应力场计算可采用有限单元法或一维差分法。
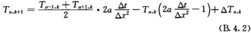
B.4.2 采用一维差分法,可将混凝土沿厚度分许多有限段△x(m),时间分许多有限段△t(h)。相邻三层的编号为n—1、n、n+1,在第k时间里,三层的温度T n-1,k 、T n,k 及T n+1,k ,经过△t时间后,中间层的温度T n,k+1 ,可按差分式求得下式:

式中:a——混凝土热扩散率,取0.0035m 2 /h;
△T n,k ——第n层内部热源在k时段释放热量所产生的温升。a(△t/△x 2 )的取值不宜大于0.5。
B.4.3 混凝土内部热源在t 1 和t 2 时刻之间释放热量所产生的温升,可按下式计算。在混凝土与相应位置接触面上释放热量所产生的温升可取△T/2。

B.5温差计算
B.5 温差计算
B.5.1 混凝土浇筑体的里表温差可按下式计算:

式中:△T 1 (t)——龄期为t时,混凝土浇筑体的里表温差(℃);
T m (t)——龄期为t时,混凝土浇筑体内的最高温度,可通过温度场计算或实测求得(℃);
T b (t)——龄期为t时,混凝土浇筑体内的表层温度,可通过温度场计算或实测求得(℃)。
B.5.2 混凝土浇筑体的综合降温差可按下式计算:

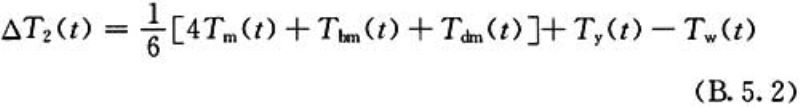
式中:△T 2 (t)——龄期为t时,混凝土浇筑体在降温过程中的综合降温(℃);
T m (t)——龄期为t时,混凝土浇筑体内的最高温度,可通过温度场计算或实测求得(℃);
T bm (t)、T dm (t)——龄期为t时,其块体上、下表层的温度(℃);
T y (t)——龄期为t时,混凝土收缩当量温度(℃);
T w (t)——混凝土浇筑体预计的稳定温度或最终稳定温度,可取计算龄期t时的日平均温度或当地年平均温度(℃)。
B.6温度应力计算
B.6 温度应力计算
B.6.1 自约束拉应力的计算可按下式计算:

式中:σ z (t)——龄期为t时,因混凝土浇筑体里表温差产生自约束拉应力的累计值(MPa);
△T 1i (t)——龄期为t时,在第i计算区段混凝土浇筑体里表温差的增量(℃)。
E i (t)——第i计算区段,龄期为t时,混凝土的弹性模量(MPa);
α——混凝土的线膨胀系数;
H i (t,τ)——龄期为τ时,在第i计算区段产生的约束应力,延续至t时的松弛系数,可按表B.6.1取值。
表B.6.1 混凝土的松弛系数


注:τ为龄期,H(t,τ)为在龄期为τ时产生的约束应力,延续至t时的松弛系数。
B.6.2 混凝土浇筑体里表温差的增量可按下式计算:

式中:j——为第i计算区段步长(d)。
B.6.3 在施工准备阶段,最大自约束应力可按下式计算:

式中:σ zmax ——最大自约束应力(MPa);
△T 1max ——混凝土浇筑后可能出现的最大里表温差(℃);
E(t)——与最大里表温差△T 1max 相对应龄期t时,混凝土的弹性模量(MPa);
H(t,τ)——在龄期为τ时产生的约束应力,延续至t时(d)的松弛系数。
B.6.4 外约束拉应力可按下式计算:

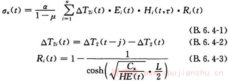
式中:σ x (t)——龄期为t时,因综合降温差,在外约束条件下产生的拉应力(MPa);
△T 2i (t)——龄期为t时,在第i计算区段内,混凝土浇筑体综合降温差的增量(℃)。
μ——混凝土的泊松比,取0.15;
R i (t)——龄期为t时,在第i计算区段,外约束的约束系数。
L——混凝土浇筑体的长度(mm);
H——混凝土浇筑体的厚度,该厚度为块体实际厚度与保温层换算混凝土虚拟厚度之和(mm);
C x ——外约束介质的水平变形刚度(N/mm 3 ),可按表B.6.4取值。
表B.6.4 不同外约束介质的水平变形刚度取值(10 -2 N/mm 3 )

B.7控制温度裂缝的条件
B.7 控制温度裂缝的条件
B.7.1 混凝土抗拉强度可按下式计算:

式中:f tk (t)——混凝土龄期为t时的抗拉强度标准值(MPa);
f tk ——混凝土抗拉强度标准值(MPa),可按表B.7.1取值;
γ——系数,应根据所用混凝土试验确定,当无试验数据时,可取0.3。
表B.7.1 混凝土抗拉强度标准值(MPa)

B.7.2 混凝土防裂性能可按下式进行判断:

式中:K——防裂安全系数,取1.15。
附录C大体积混凝土浇筑体表面保温层厚度的计算
附录C 大体积混凝土浇筑体表面保温层厚度的计算
C.0.1 混凝土浇筑体表面保温层厚度可按下式计算:

式中:δ——混凝土表面的保温层厚度(m);
λ 0 ——混凝土的导热系数[W/(m·K)],可按表C.0.1-1取值;
λ i ——保温材料的导热系数[W/(m·K)],可按表C.0.1-1取值;
T s ——混凝土浇筑体表面温度(℃);
T q ——混凝土达到最高温度时(浇筑后3d~5d)的大气平均温度(℃);
T max ——混凝土浇筑体内的最高温度(℃);
h——混凝土结构的实际厚度(m);
T s —T q ——可取15℃~20℃;
T max —T b ——可取20℃~25℃;
K b ——传热系数修正值,取1.3~2.3,见表C.0.1-2。
表C.0.1-1 保温材料的导热系数λ i [W/(m·K)]


表C.0.1-2 传热系数修正值

注:1 K b1 值为风速不大于4m/s时;
2 K b2 值为风速大于4m/s时。
C.0.2 多种保温材料组成的保温层总热阻,可按下式计算:

式中:R s ——保温层总热阻(m 2 ·K/W);
δ i ——第i层保温材料厚度(m);
λ i ——第i层保温材料的导热系数[W/(m·K)];
β μ ——固体在空气中的传热系数[W/(m 2 ·K)],可按表C.0.2取值。
表C.0.2 固体在空气中的传热系数


C.0.3 混凝土表面向保温介质传热的总传热系数(不考虑保温层的热容量),可按下式计算:

式中:β s ——总传热系数[W/(m 2 ·K)];
R s ——保温层总热阻(m 2 ·K/W)。
C.0.4 保温层相当于混凝土的虚拟厚度,可按下式计算:

式中:h′——混凝土的虚拟厚度(m);
β s ——总传热系数[W/(m 2 ·K)]。
本标准用词说明
本标准用词说明
1 为便于在执行本标准条文时区别对待,对要求严格程度不同的用词说明如下:
1)表示很严格,非这样做不可的:
正面词采用“必须”,反面词采用“严禁”;
2)表示严格,在正常情况下均应这样做的:
正面词采用“应”,反面词采用“不应”或“不得”;
3)表示允许稍有选择,在条件许可时首先应这样做的:
正面词采用“宜”,反面词采用“不宜”;
4)表示有选择,在一定条件下可以这样做的,采用“可”。
2 本标准中指明应按其他相关标准执行的写法为“应符合……的规定”或“应按……执行”。
引用标准名录
引用标准名录
1 《普通混凝土长期性能和耐久性能试验方法标准》GB/T 50082
2 《混凝土外加剂应用技术规范》GB 50119
3 《建筑工程绿色施工规范》GB/T 50905
4 《通用硅酸盐水泥》GB 175
5 《用于水泥和混凝土中的粉煤灰》GB/T 1596
6 《混凝土外加剂》GB 8076
7 《预拌混凝土》GB/T 14902
8 《用于水泥、砂浆和混凝土中的粒化高炉矿渣粉》GB/T 18046
9 《水工混凝土试验规程》DL/T 5150
10 《普通混凝土用砂、石质量及检验方法标准》JGJ 52
11 《普通混凝土配合比设计规程》JGJ 55
12 《混凝土用水标准》JGJ 63
自2022年4月1日起废止的条文

