Appearance
《混凝土小型空心砌块建筑技术规程[附条文说明]》JGJ/T 14-2011
🗓️ 住房和城乡建设部 实施时间:2012-04-01
前言
中华人民共和国行业标准
混凝土小型空心砌块建筑技术规程
Technical specification for concrete small-sized hollow block masonry buildings
JGJ/T 14-2011
批准部门:中华人民共和国住房和城乡建设部
施行日期:2012年4月1日
中华人民共和国住房和城乡建设部公告 第1131号
关于发布行业标准《混凝土小型空心砌块建筑技术规程》的公告
现批准《混凝土小型空心砌块建筑技术规程》为行业标准,编号为JGJ/T 14-2011,自2012年4月1日起实施。原行业标准《混凝土小型空心砌块建筑技术规程》JGJ/T 14-2004同时废止。
本规程由我部标准定额研究所组织中国建筑工业出版社出版发行。
中华人民共和国住房和城乡建设部
2011年8月29日
前言
根据住房和城乡建设部《关于印发<2009年工程建设标准规范制订、修订计划>的通知》(建标[2009]88号)的要求,规程编制组经广泛调查研究,认真总结实践经验,参考有关国际标准和国外先进标准,并在广泛征求意见的基础上,修订本规程。
本规程主要内容:总则,术语和符号,材料和砌体的结构设计计算指标,建筑设计与建筑节能设计,小砌块砌体静力设计,配筋砌块砌体剪力墙静力设计,抗震设计,施工和工程验收等。
本规程修订的主要技术内容:
1.增加了多层、高层配筋砌块砌体建筑的设计与施工要求;
2.修订了砌块建筑的抗震措施;
3.增加了轻骨料混凝土自承重砌块墙体的设计内容;
4.调整了部分构件承载力计算参数及计算公式;
5.调整了建筑节能设计的部分计算参数及计算公式;
6.增加了复合保温砌块墙体结构设计与施工要求。
本规程由住房和城乡建设部负责管理,由四川省建筑科学研究院负责具体技术内容的解释。执行过程中如有意见或建议,请寄送四川省建筑科学研究院(成都市一环路北三段55号,邮编:610081)。
本规程主编单位:四川省建筑科学研究院
广西建工集团第五建筑工程有限责任公司
本规程参编单位:哈尔滨工业大学
浙江大学建筑设计研究院
北京市建筑设计研究院
同济大学
天津市建筑设计院
四川省建筑设计院
上海住总(集团)总公司
上海城乡建筑设计院有限公司
上海申城建筑设计有限公司
上海中房建筑设计有限公司
安徽省建筑科学研究设计院
辽宁省建设科学研究院
重庆市建筑科学研究院
成都市墙材革新建筑节能办公室
本规程主要起草人员:孙氰萍 侯立林 唐岱新 严家熺 周炳章 韦延年 程才渊 李渭渊 刘声惠 高永孚 刘永峰 林文修 吴体 章茂木 章一萍 楼永林 薛慧立 冯锦华 周海波 尹康
本规程主要审查人员:白生翔 李琇 周运灿 刘国亮 陈旭能 章关福 周九仪 于本英 陈正祥 程绍革
1 总则
1 总则
1.0.1 为保证混凝土小型空心砌块建筑的设计和施工质量,做到因地制宜、就地取材、技术先进、经济合理、安全适用、质量可靠,制定本规程。
1.0.2 本规程适用于非抗震地区和抗震设防烈度为6度至9度地区,以混凝土小型空心砌块为墙体材料的房屋建筑的设计、施工及工程质量验收。
条文说明
1.0.1、1.0.2 混凝土小型空心砌块已成为我国发展的一种主导墙体材料。《混凝土小型空心砌块建筑技术规程》JGJ/T 14-2004(以下简称JGJ/T 14-2004或原规程)自2004年颁布实行以来,对我国混凝土小型空心砌块建筑的发展,起到了巨大的推动作用。近几年来,有关科研、大专院校对混凝土小型空心砌块砌体静力和动力性能、配筋砌体力学性能和抗震性能进行了深入的科学研究,并获得了丰硕成果;设计和施工单位也积累了丰富的工程实践经验。JGJ/T 14-2004已不能满足我国混凝土小型空心砌块建筑发展的需要,为此,很有必要对JGJ/T 14-2004进行修订。这次增加的主要内容:
1 多层、高层配筋砌体砌块建筑设计和施工技术;
2 调整了不同地区建筑的抗震措施,特别是抗震设防烈度6度~8度地区的抗震、抗裂措施;
3 轻骨料混凝土自承重砌块材料强度等级和砌体计算指标;
4 调整构件承载力与建筑节能设计计算部分计算参数及计算公式;砌块砌体及建筑墙体的传热系数及热惰性指标计算方法和保温隔热措施。
1.0.3 混凝土小型空心砌块建筑的设计、施工及工程质量验收,除应符合本规程之外,尚应符合国家现行有关标准的规定。
2 术语和符号
2.1术语
2 术语和符号
2.1 术 语
2.1.1 混凝土小型空心砌块 concrete small-sized hollow block
普通混凝土小型空心砌块和轻骨料混凝土小型空心砌块的总称,简称小砌块(或砌块)。
2.1.2 普通混凝土小型空心砌块 normal concrete small-sized hollow block
以碎石或碎卵石为粗骨料制作的混凝土小型空心砌块,主规格尺寸为390mm×190mm×190mm,简称普通小砌块。
2.1.3 轻骨料混凝土小型空心砌块 lightweight aggregated concrete small-sized hollow block
以浮石、火山渣、煤渣、自然煤矸石、陶粒等粗骨料制作的混凝土小型空心砌块,主规格尺寸为390mm×190mm×190mm,简称为轻骨料小砌块。
2.1.4 单排孔小砌块 single row small-sized hollow block
沿厚度方向有单排方形孔的混凝土小型空心砌块。按骨料不同简称单排孔普通小砌块或单排孔轻骨料小砌块。
2.1.5 对孔砌筑 stacked hollow bond
小砌块砌体砌筑时上下层砌块孔洞相对。
2.1.6 错孔砌筑 staggered hollow bond
小砌块砌体砌筑时上下层砌块孔洞相互错位。
2.1.7 反砌 reverse bond
小砌块砌体砌筑时砌块底面朝上。
2.1.8 芯柱 core column
按建筑设计要求,在小砌块墙体中对孔砌筑的竖向孔洞内浇灌混凝土形成的混凝土柱,竖向孔洞内不插钢筋称素混凝土芯柱,竖向孔洞内插钢筋称钢筋混凝土芯柱。
2.1.9 构造柱 structural column
按设计要求,设置在砌块墙体中并先砌墙后浇灌混凝土柱的钢筋混凝土柱,简称构造柱。
2.1.10 控制缝 control joint
设置在墙体应力比较集中或墙的垂直灰缝相一致的部位,并允许墙身自由变形和对外力有足够抵抗能力的构造缝。
2.1.11 配筋砌体用小砌块 small concrete hollow block for re-inforced masonry
由普通混凝土制成,主要规格尺寸为390mm×190mm×190mm、孔洞率在46%~48%、壁和肋部开有槽口、适合配筋小砌块砌体施工的单排孔空心砌块。
2.1.12 配筋小砌块砌体 reinforced small concrete hollow block masonry
配筋砌体用小砌块的孔洞和凹槽中配置竖向钢筋和水平钢筋、并采用灌孔混凝土填实孔洞后的砌体。
2.1.13 保温小砌块 thermal insulation small-sized hollow block
由单一材料成型具有良好保温性能的小砌块总称。其名称应冠以材料名称及排孔数,如陶粒混凝土三排孔保温小砌块。
2.1.14 复合保温小砌块 compound thermal insulation small-sized hollow block
由两种或两种以上材料复合成型具有良好保温性能的小砌块总称。
条文说明
2.1.14 复合保温砌块为由两种或两种以上材料复合成型具有良好保温性能的小砌块总称,包括在小砌块孔洞内填充或内插不同类型轻质保温隔热材料的保温砌块。
2.1.15 夹心保温砌块砌体 sandwiched complex thermal insu-lation hollow block masonry
由两个相互独立的内叶、外叶内夹保温隔热材料,并通过连接拉筋将其相互之间复合成整体的夹心保温砌块砌体。
2.1.16 承载面 area for loading
小砌块建筑墙体的砌筑中,设计承受墙体轴向压应力的面。
2.1.17 墙体保温隔热系统 thermal insulation system on walls
由保温层、保护层和固定材料(胶粘剂、锚固构件等)构成保温隔热构造系统的总称。按复合在外墙内外表面上的位置不同,分外墙外保温隔热系统和外墙内保温隔热系统。
2.1.18 传热系数 heat transfer coefficient
在稳定传热条件下,小砌块墙体两侧空气温度差为1K(1℃),1h内通过1m 2 面积墙体传递的热量。传热系数用K表示,是传热阻R 0 的倒数。小砌块建筑墙体的传热系数应考虑结构性冷(热)桥部位影响的平均传热系数,用符号K m 表示,单位为W/(m 2 ·K)。
2.1.19 热惰性指标 index of thermal inertia
表征小砌块外墙体反抗温度波动和热流波动的无量纲指标,用符号D表示。小砌块建筑外墙体的热惰性指标应取考虑结构性热桥部位影响后的平均热惰性指标,用符号D m 表示。
2.1.20 配筋砌块砌体剪力墙结构 reinforced concrete masonry shear wall structure
由承受竖向和水平作用的配筋砌块砌体剪力墙和混凝土楼、屋盖所组成的房屋建筑结构。
2.2符号
2.2 符 号
2.2.1 材料性能
Cb——混凝土砌块灌孔混凝土的强度等级;
D b ——小砌块砌体热惰性指标;
f 1 ——小砌块抗压强度平均值;
f 2 ——砂浆抗压强度平均值;
f g ——对孔砌筑单排孔混凝土砌块灌孔砌体抗压强度设计值;
f t ——砌体轴心抗拉强度设计值;
f v ——砌体抗剪强度设计值;
f gv ——对孔砌筑单排孔混凝土砌块灌孔砌块抗剪强度设计值;
f vE ——砌体沿阶梯形截面破坏抗震抗剪强度设计值;
f y ——钢筋抗拉强度设计值;
f c ——混凝土轴心抗压强度设计值;
Mb——混凝土砌块砌筑砂浆的强度等级;
MU——小砌块强度等级;
R b ——小砌块砌体热阻。
2.2.2 作用、效应与抗力
F——集中力设计值;
F EK ——结构总水平地震作用标准值;
G eq ——地震时结构(构件)的等效总重力荷载代表值;
K——结构(构件)的刚度;
N——轴向力设计值;
N k ——轴向力标准值;
N l ——局部受压面积上轴向力设计值,梁端支承压力设计值;
N 0 ——上部轴向力设计值;
V——剪力设计值。
2.2.3 几何参数
A——构件截面毛面积;
A l ——局部受压面积;
A c ——芯柱截面总面积;
A 0 ——影响局部抗压强度的计算面积;
A b ——垫块面积;
A s ——钢筋截面面积;
a——距离,边长,梁端实际支承长度;
a 0 ——梁端有效支承长度;
B——房屋总宽度;
b——截面宽度,边长;
b f ——带壁柱端的计算截面翼缘宽度,冀墙计算宽度;
b s ——在相邻横墙、窗间墙间或壁柱间的距离范围内的门窗洞口宽度;
e——轴向力合力作用点到截面重心的距离,简称轴向力的偏心距;
H——结构或墙体总高度,构件高度;
H i ——第i层高;
H 0 ——构件的计算高度;
h——墙的厚度或矩形截面轴向力偏心方向的边长;
h c ——梁的截面高度;
h b ——小砌块的高度;
h 0 ——截面有效高度;
h T ——T形截面的折算厚度;
L——结构(单元)总长度;
S——相邻横墙、窗间墙间或壁柱间的距离;
y——截面重心到轴向力所在偏心方向截面边缘的距离。
2.2.4 计算系数
n——总数,如楼层数、质点数、钢筋根数、跨数等;
α max ——水平地震影响系数最大值;
β——墙、柱的高厚比;
γ——砌体局部抗压强度提高系数;
γ a ——砌体强度设计值调整系数;
γ f ——结构构件材料性能分项系数;
γ RE ——承载力抗震调整系数;
φ——组合值系数,轴向力影响系数;
ζ——计算系数,局压系数;
λ——构件长细比,比例系数;
μ 1 ——自承重墙允许高厚比的修正系数;
μ 2 ——有门窗洞口墙允许高厚比的修正系数;
μ c ——设构造柱墙体允许高厚比提高系数;
ρ——配筋灌孔率,比率。
3 材料和砌体的结构设计计算指标
3.1材料强度等级
3 材料和砌体的结构设计计算指标
3.1 材料强度等级
3.1.1 小砌块、砌筑砂浆和灌孔混凝土的强度等级,应按下列规定采用:
1 普通混凝土小型空心砌块强度等级可采用MU20、MU15、MU10、MU7.5和MU5;
2 轻骨料混凝土小型空心砌块强度等级可采用MU15、MU10、MU7.5、MU5和MU3.5;
3 砌筑砂浆的强度等级可采用Mb20、Mb15、Mb10、Mb7.5和Mb5;
4 灌孔混凝土强度等级可采用Cb40、Cb35、Cb30、Cb25和Cb20。
注:1 普通混凝土小型空心砌块、轻骨料混凝土小型空心砌块和砌筑砂浆的技术要求、试验方法和检验规则应符合现行国家标准;
2 确定砌筑砂浆强度等级时,试块底模应采用同类小砌块侧面做底模。
条文说明
3.1.1 《混凝土小型空心砌块试验方法》GB/T 4111确定碳化系数时,采用人工碳化系数的试验方法,目前我国砌墙用砖和砌块产品标准中规定的碳化系数不应小于0.85,按原规程取人工碳化系数时应乘1.15倍,1.15乘0.85等于0.98,接近1.0,故取消原规程注2的规定。
3.2砌体的结构设计计算指标
3.2 砌体的结构设计计算指标
条文说明
本章规定的砌块砌体的强度设计值指标和强度平均值公式的说明见《混凝土小型空心砌块建筑技术规程》JGJ/T 14-2004的条文说明。 本章砌块砌体计算指标,依据《建筑结构可靠度设计统一标准》GB 50068的要求,材料性能分项系数,按施工质量控制等级为8级时,取γf=1.6;当为A级时取γf=1.5;当为C级时,取γf=1.8。
3.2.1 龄期为28d的以毛截面计算单排孔普通混凝土小砌块和轻骨料混凝土小砌块砌体的抗压强度设计值,当施工质量控制等级为B级时,应根据块体和砂浆强度等级分别按下列规定采用。
1 单排孔普通混凝土小砌块和轻骨料混凝土小砌块对孔砌筑的抗压强度设计值,应按本规程表3.2.1-1的规定取值。
2 单排孔普通混凝土小砌块对孔砌筑时,灌孔砌体的抗压强度设计值f g ,应按下列方法确定:

1)普通混凝土小砌块砌体的灌孔混凝土强度等级不应低于Cb20,也不应低于1.5倍的块体强度等级;
注:灌孔混凝土的强度等级Cb20等同于对应的混凝土强度等级C20的强度指标。
2)灌孔普通混凝土小砌块砌体的抗压强度设计值f g ,应按下列公式计算:

式中:f g ——灌孔普通混凝土小砌块砌体的抗压强度设计值(MPa),设计取值不应大于未灌孔普通混凝土小砌块砌体抗压强度设计值的2倍;
f——未灌孔普通混凝土小砌块砌体的抗压强度设计值(MPa),应按本规程表3.2.1-1取值;
f c ——灌孔混凝土的轴心抗压强度设计值(MPa);
α——普通混凝土小砌块砌体中灌孔混凝土面积与砌体毛截面积的比值;
δ——普通混凝土小砌块的孔洞率;
ρ——混凝土砌块砌体的灌孔率,系截面灌孔混凝土面积与截面孔洞面积的比值,灌孔率应根据受力情况或施工条件确定,ρ不应小于33%。
3 双排孔、多排孔普通混凝土小砌块砌体的抗压强度设计值,应按本规程表3.2.1-1的规定取值。
4 小砌块孔洞率不大于35%的双排孔或多排孔轻骨料混凝土小砌块砌体的抗压强度设计值,应按本规程表3.2.1-2的规定取值。

条文说明
3.2.1 砌块孔洞率不大于35%的双排孔、多排孔轻骨料混凝土小砌块砌体,二排组砌的方式有多种,本条仅适用在厚度方向二排组砌的砌体采用同类砌块错缝搭砌的砌体。 本条本次修订有以下内容: 1 随着我国高层砌块建筑的发展,根据目前应用情况,表3.2.1-1增加MU20、Mb20的单排孔混凝土小砌块砌体抗压强度设计值。取值依据砌体结构设计规范,该强度设计值主要用于灌孔混凝土砌块砌体。本规程与上海全灌孔混凝土小砌块砌体试验值比较,偏于安全。 2 因水泥煤渣混凝土砌块产品变异系数较大,应用中较易出现墙体裂缝,故取消了水泥煤渣混凝土小砌块。应用在建筑的煤矸石混凝土仅能用自然煤矸石,故表3.2.1-1中加了注4。 3 增加了双排孔、多排孔普通混凝土小砌块砌体的抗压强度设计值,近年我国部分地区多层混凝土砌块建筑中为了节能和提高抗剪强度,采用了双排孔或多排孔小砌块为墙体材料,已建成几十万平方米的住宅,并对双排孔和多排孔小砌块砌体进行了砌体抗压强度和抗剪强度的验证试验,其抗压和抗剪强度均高于单排孔小砌块砌体的抗压、抗剪强度,规程对双排孔和多排孔普通小砌块砌体抗压强度和抗剪强度设计值采用单排孔普通小砌块砌体的抗压强度和抗剪强度设计值,偏于安全。
3.2.2 龄期为28d的以毛截面计算的小砌块砌体的轴心抗拉强度设计值、弯曲抗拉强度设计值和抗剪强度设计值,当施工质量控制等级为B级时,应按本规程表3.2.2的规定取值。

单排孔普通混凝土小砌块对孔砌筑时,灌孔砌体的抗剪强度设计值f gv ,应按下式计算或按本规程附录A中表A.0.1-1~表A.0.1-4取用:

式中:f g ——灌孔砌体的抗压强度设计值(MPa)。
3.2.3 下列情况的小砌块砌体的砌体强度设计值应乘以调整系数γ a ,γ a 应按下列规定取值:
1 对无筋小砌块砌体,其截面面积小于0.3m 2 时,γ a 应取其截面面积加0.7;对配筋小砌块砌体,当其中小砌块砌体截面面积小于0.2m 2 时,γ a 应取其截面面积加0.8;
2 当砌体用强度等级小于Mb5水泥砂浆砌筑时,对本规程第3.2.1条各表中的数值,γ a 应取为0.9;对于本规程表3.2.2中数值,γ a 应取为0.8;
3 当验算施工中房屋的砌体时,γ a 应取为1.1;
4 当施工质量控制等级为C级时,γ a 应取为0.89。
注:1 构件截面面积以m 2 计;
2 配筋砌体的施工质量控制等级不得采用C级。
条文说明
3.2.3 取消了有吊车房屋砌体、跨度不小于7.2m的梁下混凝 土和轻骨料混凝土砌块砌体γa为0.9的规定,原规程规定主要考虑动荷载和跨度较大时对砌体结构的影响,属于结构分析和构造内容,本次修订取消该系数。
3.2.4 施工阶段砂浆尚未硬化的新砌砌体的强度和稳定性,可按砌筑砂浆强度为零进行验算。
对冬期施工采用掺盐法施工的砌体,砌筑砂浆强度按常温施工的强度等级提高一级时,砌体强度和稳定性可不验算。
注:配筋砌体不得用掺盐砂浆施工。
3.2.5 小砌块砌体的弹性模量、线膨胀系数、收缩系数和摩擦系数可分别按表3.2.5-1~表3.2.5-3规定取值。砌体的剪变模量可按砌体弹性模量的40%采用。
1 砌体的弹性模量,可按表3.2.5-1规定取值;
单排孔且对孔砌筑的普通混凝土小砌块灌孔砌体的弹性模量,应按下列公式计算:

式中:f g ——灌孔砌体的抗压强度设计值(MPa)。
2 小砌块砌体的线膨胀系数和收缩率,可按表3.2.5-2规定取值;


3 砌体的摩擦系数,可按表3.2.5-3规定取值。

条文说明
3.2.5 根据历年和近年单排孔对孔砌筑的普通混凝土砌块灌孔砌体的弹性模量的试验数据,原规程灌孔砌块砌体弹性模量偏低,使高层砌块建筑内力计算值偏低,本次规程修订,通过验证修改了灌孔砌块砌体的弹性模量,原规程为E=1700fg,现修改为E=2000fg。
3.2.6 小砌块砌体应按小砌块实际的小砌块孔洞率并应考虑在墙体中增加的构造措施的重量计算墙体自重。灌孔砌体应按实际灌孔后的砌体重量计算墙体自重。
4 建筑设计与建筑节能设计
4.1建筑设计
4 建筑设计与建筑节能设计
4.1 建筑设计
4.1.1 小砌块建筑和配筋小砌块砌体建筑的平面及竖向设计应符合下列要求:
1 小砌块建筑平面设计宜以2M 0 为基本模数,特殊情况下可采用1M 0 ;竖向设计及墙的分段净长度应以1M 0 为模数。
2 配筋小砌块砌体建筑宜用配筋小砌块砌体专用混凝土小型空心砌块砌筑,平面设计应以2M 0 为模数。
3 应做墙体的平面及竖向排块设计。对配筋小砌块砌体建筑要保证砌块错缝和孔洞上下贯通。排块设计时,应采用主规格砌块为主,减少辅助规格砌块的数量和种类。
4 平面应简洁,不宜凹凸转折过多。竖向尽量规则,宜避免过大的外挑和内收。配筋墙体门、窗洞口宜层层上、下对齐。在用小砌块作填充墙的框架建筑中,填充墙的平面布置宜均匀对称,沿高度方向宜连续贯通。
5 设计预留的孔洞、管线槽口以及门窗、设备等固定点和固定件,应在墙体排块图上详细标注。小砌块建筑施工时应用混凝土填实各固定范围内的孔洞。
6 小砌块砌体设置控制缝时,应做好室内墙面的盖缝粉刷。
7 住宅建筑的门厅和楼梯间内,应根据功能需求合理安排好水、电、暖通管线等用的管道竖井及各种表盒位置。水表、电表、燃气表、消火栓箱等洞口,亦可在砌体墙中预埋预制钢筋混凝土表箱框。应保证表盒安装后的楼梯及通道的尺寸符合有关规范要求。
8 排水管道的主管、支管或立管、横管宜明管安装。管径较小的其他管线,可预埋于墙体内。
9 在满足节能要求下,立面设计宜利用装饰砌块突出小砌块建筑的特色。
条文说明
4.1.1 混凝土小型空心砌块是我国目前发展的主导墙材之一。与原规程相比,本次修订小砌块建筑定义中增加了配筋小砌块砌体建筑,在建筑设计中,除遵守本规程外,还应遵守国家颁布的有关建筑设计标准的规定。 1 在建筑平面设计中,不采用小于1M0的分模数,是砌块规格所决定,尽可能采用2M0可减少辅助砌块种类,方便生产和施工。再则,模数协调也是住宅产业化的前提条件。 2 配筋小砌块砌体用的专用混凝土小砌块是指小砌块的壁和肋都为30mm厚并开有槽口或留有凹槽、适合配筋小砌块砌体施工的单排孔空心小砌块。其主规格尺寸仍为390mm×190mm×190mm,空心率为46%~48%。 为保证配筋砌体的插筋和灌孔,配筋砌体建筑的平面设计应以2M0为模数,这样才可能避免出现半孔相对。在上海的配筋砌体试点建筑和黑龙江的大量的配筋砌体建筑的实践中都证实了这一点。 3 在施工前要做平面和立面的排块设计,这是混凝土小砌块建筑不同于其他砌体建筑的特殊要求,它可保证砌块建筑芯柱的位置及数量,保证设备管线的预留和敷设,保证设计规定的洞口、开槽和预埋件的位置,避免了在砌好的墙体上凿槽或开洞。 对配筋砌体建筑,排块设计能保证砌块错缝砌筑的整孔贯通,便于插筋和灌孔。 在排块设计时,应着重解决好转角墙、丁字墙和十字墙的排块。 表1和图1、图2、图3是配筋砌体用的专用小砌块块型和排块图,是上海市多次配筋砌体建筑试点的总结成果,供设计时参考。本图表选自上海市地方规程《配筋混凝土小型空心砌块砌体建筑技术规程》DG/TJ 08-2006附录A。 
4 根据现行国家标准《建筑抗震设计规范》GB 50011和《砌体结构设计规范》GB 50003的有关条文要求,对小砌块建筑的平面布置和竖向布置提出相应的要求。 原规程中曾对小砌块住宅建筑的体形系数提出过“不宜大于0.3”的要求,这是基于两方面的理由:一是小砌块的热工性能较砖制品差,减少外墙面积,对节能有利。二是体形系数小反映了建筑体形简洁,平面规整,对小砌块建筑的抗震有利。随着国家对建筑节能的要求不断提高,在国家和地方颁布的节能标准中体形系数都作为一个重要参数作出了规定,本规程应该执行,就不再另作要求了。 6 设控制缝对于防止小砌块墙体开裂是一项有“放”作用的措施。在国外早有报道和实践,在国内近年来也有采用,如上海恒隆广场。北京市试用图《普通混凝土小型空心砌块建筑墙体构造》中也有建筑设计沿外墙设控制缝的做法。 
根据国内外经验,非配筋砌体控制缝间距与在水平灰缝内设钢筋网片的间距有关,控制缝在墙体薄弱和应力集中处。如墙体高度和厚度突变处,门窗洞口的一侧或两侧设置,并与抗震缝、沉降缝、温度缝及楼地面、屋面的施工缝合并设置。控制缝与结构抗震应结合考虑。 
在非配筋的单排砌块墙或夹心墙的内叶墙上设控制缝,在室内会有缝出现。若室内装修允许设缝,则可按室内变形缝做法做盖缝处理。若内墙上不希望有缝,则应作盖缝粉刷,例如可在缝口用聚合物胶粘剂贴耐碱玻纤布或无纺布,再用防裂砂浆粉刷。 
7 小砌块住宅建筑的公共部分只有门厅、楼梯间和公共走道,特别在单元式的多层住宅中,公共走道也没有了,户门是直接开在楼梯间里。在门厅和楼梯间里要安排好住宅公共设备的管道井和各种表箱,特别是七层及以上的单元式住宅,超过六层的塔式住宅、通廊式住宅,底层设有商业网点的单元式住宅,还应在此设室内消防给水设施。门厅、楼梯间面积小,墙面少,而且是住宅交通和紧急疏散的要道。为了保证楼梯间墙的耐火极限,200厚的墙还不能因安置表箱而减薄(即表箱嵌墙设置),否则应另加防火措施。根据防火规范要求,在安置管道井和表箱后,走道的净宽,多层住宅不应小于1.1m,高层住宅不应小于1.2m。故在设计中应适当加大门厅和楼梯间的尺寸。对于人员是从楼梯间一侧进入住户的,楼梯间开间宜不小于2.6m。 8 配筋砌块砌体建筑中管径较小的其他管线,水平管道宜设在圈梁中,垂直管线宜布置在无竖向插筋孔洞中。 9 突出小砌块建筑的特色就是用砌块作清水外墙,这在国外尤其在美国是常见的,它的前提应是满足建筑节能要求。夹心墙的外叶墙和节能要求不高的工业建筑外墙是可以做砌块清水外墙的。
4.1.2 小砌块建筑和配筋小砌块砌体建筑的防水设计应符合下列要求:
1 清水外墙或装饰性砌块外墙面采用的小砌块的抗渗性能应符合有关规定。宜采用掺加适量憎水剂的砂浆砌筑墙体,且宜在清水外墙表面喷涂透明防水涂料。
2 在多雨水地区,单排孔小砌块墙体应作双面粉刷,勒脚应采用水泥砂浆粉刷。
3 室外散水坡顶面以上和室内地面以下的砌体内,应设置防潮层。
4 对伸出墙外的雨篷、开敞式阳台、室外空调机搁板、遮阳板、窗套、外楼梯根部及水平装饰线脚处,均应采用节能保温措施和防水措施。
5 处于潮湿环境的小砌块墙体,墙面应采用水泥砂浆粉刷等有效的防水措施。
6 在夹心墙的外叶墙每层圈梁上的砌块竖缝底宜设置排水孔。
7 墙体粉刷应在砌体结构验收及完工2.8d后进行。面积较大的外墙面粉刷宜设置分格缝。
条文说明
4.1.2 防水设计的措施都是做在容易漏水的部位,这样做效果明显。
1 本次修订增加了对清水外墙的防水抗渗措施。
3 原规程中对“室外散水坡顶面以上和室内地面以下的砌体内,宜设防潮层。”改为“应设防潮层”。
6 在夹心墙夹层中会产生冷凝水,故设排水孔以便随时排出。
7 这是本次修订中新增的一条,是对砌块墙体粉刷的要求。
4.1.3 小砌块墙体的耐火极限应按表4.1.3采用。

对防火要求高的小砌块建筑或其局部,可采用混凝土或松散材料灌实孔洞的方法来提高墙体的耐火极限,也可采取其他附加防火措施。
复合保温砌块中所复合的保温材料,宜采用燃烧性能为A级的保温材料。当采用不是不燃或难燃级别的保温材料时,应提出复合保温砌块砌体的耐火极限和燃烧性能。
当小砌块建筑墙体采用外保温系统时,应符合国家现行有关标准的规定。
条文说明
4.1.3 耐火极限的规定 混凝土小砌块墙体的耐火极限取值是根据近年来国内各地一些小砌块生产厂家和科研单位测试数值并参考了美国、加拿大等国的有关标准来确定的。考虑到各地小砌块生产的水平有高低,取值比实测值略有降低,以保证安全。 当190mm厚小砌块墙体双面抹水泥砂浆或混合砂浆各20mm厚时,其耐火极限可提高到2.5h以上。如果要作为防火墙,则需要在190mm厚的小砌块墙体用混凝土灌孔或在孔洞内填砂石、页岩陶粒或矿渣,其耐火极限可大于4.0h。 190mm厚配筋小砌块墙体的材性与钢筋混凝土相当,其耐火极限是按等厚的钢筋混凝土取值,配筋小砌块砌体的燃烧性能和耐火极限已达到作为防火墙的要求。 轻骨料混凝土小砌块由于轻骨料的不同其耐火极限也有差异,但总体而言比普通混凝土小砌块的耐火极限稍好,故仍按本规程表4.1.3取值。 
随着建筑节能的要求逐步提高,对外围护结构中的重要部位外墙体的保温性能的要求也愈来愈高,各种形式的复合保温砌块也应运而生。对于复合保温砌块所复合的保温材料宜采用燃烧性能为不燃(A级)或难燃(B1级)的材料来保障安全。纵观目前全国的复合保温砌块所复合的保温材料中,大多数是燃烧性能为可燃(B2级)的EPS或XPS板。如果用它们来作为多排孔保温砌块中孔洞的插板,问题还不大,但如果要作为图4中所示的复合保温砌块中的保温夹层,这种复合保温砌块的耐火极限及燃烧性能应给出。这样有利于决定其使用的场所和防火所必须采取的措施。 
4.1.4 对190mm厚小砌块墙体双面粉刷(各20mm厚)的空气声计权隔声量应按45dB采用。对190mm厚配筋小砌块墙体双面粉刷(各20mm厚)的空气声计权隔声量应按50dB采用。
对隔声要求较高的小砌块建筑,可采用下列措施提高其隔声性能:
1 孔洞内填矿渣棉、膨胀珍珠岩、膨胀蛭石等松散材料;
2 在小砌块墙体的一面或双面采用纸面石膏板或其他板材做带有空气隔层的复合墙体构造。
对有吸声要求的建筑或其局部,墙体宜采用吸声砌块砌筑。
条文说明
4.1.4 混凝土小砌块的空气声计权隔声量取值是根据近几年来国内许多科研单位和小砌块生产厂家提供的测试数据确定的,见表3。 
根据现行国家标准《民用建筑隔声设计规范》GB 50118,住宅、学校等大量性的民用建筑,其分户墙及隔墙的空气声计权隔声量要求较高,高标准为50dB,一般标准为45dB。 100mm厚混凝土小砌块的空气声隔声量与小砌块的标号(密度)有关,MU5.0的小砌块其空气声计权隔声量大于45dB,能满足一般隔声标准。若将墙内孔洞填实,其空气声计权隔声量就可达50dB以上。
4.1.5 小砌块建筑及配筋小砌块砌体建筑的屋面设计应符合下列要求:
1 采用钢筋混凝土平屋面时,应在屋面上设置保温隔热层。
2 小砌块住宅建筑宜做成有檩体系坡屋面。当采用钢筋混凝土基层坡屋面时,坡屋面宜外挑出墙面,并应在坡屋面上设置保温隔热层。
3 钢筋混凝土屋面板及上面保温隔热防水层中的砂浆找平层、刚性面层等应设置分格缝,并应与周边的女儿墙断开。
条文说明
4.1.5 满足对屋面设计的要求可防止或减轻屋顶因温度变化而引起小砌块房屋顶层墙体开裂。 对防止顶层墙面开裂的有利作法是无钢筋混凝土基层的有檩挂瓦坡屋面。坡屋面宜外挑出墙面。
4.2建筑节能设计
4.2 建筑节能设计
4.2.1 小砌块建筑的建筑节能设计应符合下列要求:
1 建筑的体形系数、窗墙面积比及其对应的窗的传热系数、遮阳系数和空气渗透性能,以及其他围护结构的传热系数、热惰性指标,均应符合设计建筑所在气候地区现行居住建筑与公共建筑节能设计标准的规定;
2 通过建筑节能设计计算确定的围护结构的构造设计,应满足建筑结构整体性、变形能力及防火性能的要求,安全、可靠,并具有可操作性;
3 墙体及楼地板的建筑节能设计,应同时考虑建筑装饰与设备节能对管线及设备埋设、安装和维修的要求。
条文说明
4.2.1 小砌块建筑的建筑节能设计除墙体的主体部位是小砌块砌体以外,与其他墙体结构体系建筑的建筑节能设计基本上是相同的,关键是在于突出小砌块砌体结构体系的特点,采取适宜的平、剖、立面布局与设计形式和构造做法。为此,必须在建筑的体形系数、窗墙面积比及窗的传热系数、遮阳系数和空气渗透性能等方面,均应符合本地区建筑节能设计标准的规定;围护结构各部分的热工性能,除应符合本地区现行民用建筑节能设计标准的规定外,其构造措施尚应满足建筑结构整体性和变形能力的要求,以保证整个建筑结构构造的完整性、安全性、经济性和可操作性;特别是墙体和楼地板的建筑热工节能设计,应同时考虑建筑装饰工程与设备节能工程的需要,对管线及设备埋设、安装和维修的要求,以保证墙体和楼板的保温隔热设计构造措施不受破坏。
4.2.2 小砌块及配筋小砌块砌体的热工性能计算参数应符合下列要求:
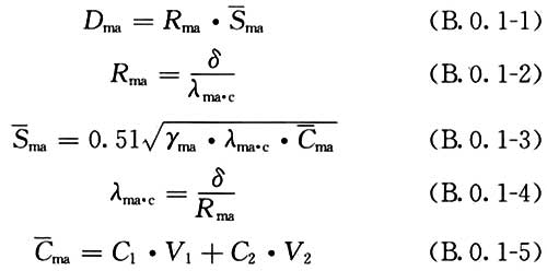
1 小砌块及配筋小砌块砌体的热工性能计算参数用砌体热阻和砌体热惰性指标表征,分别用符号R ma 和D ma 表示。砌体热阻R ma 应按现行国家标准《民用建筑热工设计规范》GB 50176规定的计算方法与《绝热 稳态传热性质的测定 标定和防护热箱法》GB/T 13475规定的检测方法计算或检测确定。砌体热惰性指标D ma 可按本规程附录B的计算方法计算确定。
2 普通小砌块及配筋小砌块砌体的热阻R ma 和热惰性指标D ma 可按表4.2.2采用。

条文说明
4.2.2 本条是对小砌块及配筋小砌块砌体的建筑热工设计计算参数提出要求。 小砌块砌体的热阻(Rma)和热惰性指标(Dma)是建筑节能热工设计计算中的基本参数。小砌块砌体是带有空洞,而不是带有空气间层的砌体,它包含混凝土肋壁、孔洞和砌筑砂浆三部分,是一个均值,必须通过一定的计算和实测予以确定。表4.2.2是综合国内各地区的测试与计算结果,列出的小砌块及配筋小砌块砌体的计算热阻(Rma)和计算热惰性指标(Dma),建筑热工设计计算时可直接采用。 如果实际工程应用中的小砌块孔型、厚度或孔洞率与表4.2.2所列不同,应按现行国家标准《绝热 稳态传热性质的测定 标定和防护热箱法》GB/T 13475的规定通过试验检测确定,或根据现行国家标准《民用建筑热工设计规范》GB 50176的计算方法计算确定砌体热阻,按本规程附录C计算小砌块砌体的热惰性指标。 在普通小砌块中内填、内插不同类型的轻质保温材料,是改善小砌块砌体热工性能的一个措施,如本规程附录D。但由于混凝土肋壁的传热较大,砌体的热阻值增加很有限。而且多为手工操作,工序多,施工速度慢,效率低。如表4所示,内插或内填轻质保温材料后的外墙主体部位的传热系数Kp=(1.33~1.50)W/(m2·K),仍较大。所以,宜从砌块基材、孔形或复合方式上进行合理设计来提高混凝土小砌块砌体的保温隔热性能。 在本规程附录D中列出了部分孔洞中内插(填)保温材料的复合保温小砌块砌体的热阻及热惰性指标,建筑热工设计计算时,可参考采用。 
4.2.3 小砌块建筑外墙的建筑热工设计应符合下列要求:
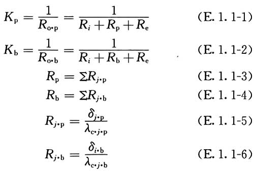
1 外墙的传热系数和热惰性指标,应考虑外墙上结构性热桥部位的影响取平均传热系数和平均热惰性指标。小砌块主体部位与结构性热桥部位的传热系数K p 、K b 及热惰性指标D p 、D b 和外墙平均传热系数K m 、平均热惰性指标D m 按本规程附录E的计算方法进行计算。
2 外墙中结构性热桥部位的传热阻R o·b ,不仅应满足外墙平均传热系数K m 的要求,而且不应小于按现行国家标准《民用建筑热工设计规范》GB 50176规定计算的设计建筑所在气候地区外墙要求的最小传热阻(R o·min )值。
3 外墙宜采用外墙外保温系统技术。采用外墙内保温系统技术时,应将计算的外墙平均传热系数乘以1.2作为外墙平均传热系数K m 的设计值。同时还应对横墙与外墙交接处的400mm宽度范围进行适宜的保温处理。
4 在夏热冬冷和夏热冬暖地区,外墙宜采用外反射、外遮阳、外通风和外绿化等外隔热措施。当采用符合现行国家标准《建筑用反射隔热涂料》GB/T 25261要求的涂料饰面时,外墙传热阻计算值中可附加一个热阻值R ad :夏热冬冷地区,R ad =0.20(m 2 ·K)/W,夏热冬暖地区,R ad =0.25(m 2 ·K)/W;若外墙平均热惰性指标D m 小于平均传热系数K m 对应的规定性指标时,可不进行隔热性能设计验算。
5 建筑热工设计计算时,保温材料的导热系数和蓄热系数应采用计算导热系数λ c 和计算蓄热系数S c 。
6 在严寒和寒冷地区,当外墙的保温层外侧有密实保护层或内侧构造层为加气混凝土及其他多孔材料时,保温设计时应根据地区气候条件及室内环境设计指标,按现行国家标准《民用建筑热工设计规范》GB 50176的规定进行内部冷凝受潮验算确定是否设置隔气层。设置隔气层应保证施工质量,并应有与室外空气相通的排湿措施。
7 外墙的填充墙采用具有优良热工性能的保温小砌块、复合保温小砌块及小砌块夹心砌体构成的墙体自保温系统时,保温小砌块、复合保温小砌块及小砌块夹心砌体的厚度应根据设计建筑所在地区现行建筑节能设计标准对外墙平均传热系数K m 的限值规定,考虑到结构性热桥部位应采用的保温系统的计算厚度确定。同时应保证墙体自保温系统部位与结构性热桥部位交接处构造合理,表面平整。
8 外墙的保温隔热措施,应与屋顶、楼地板、门窗等构件连接部位的保温隔热措施保持构造上的连续性和可靠性。
条文说明
4.2.3 本条是对小砌块建筑外墙的热工设计提出要求。 1 外墙的热工性能包含主体部位和结构性热桥部位及其构成的整墙体部位。所以,建筑节能设计标准中规定外墙的传热系数和热惰性指标应取平均传热系数和平均热惰性指标。 平均传热系数(Km)和平均热惰性指标(Dm)是由外墙中主体部位的传热系数Kp与热惰性指标Dp和结构性热桥部位的传热系数Kb和热惰性指标Db,以及它们在外墙上(不含门窗)的面积Fp和Fb加权计算求得。本条提出了便捷的计算方法。 2 由混凝土或钢筋混凝土填实的芯柱、构造柱、圈梁、门窗洞口边框,以及外墙与女儿墙、阳台、楼地板等构件连接的实体部位,都属结构性热桥部位,与主体部位比较,其传热(冷)损失都较大,也是产生表面冷凝的敏感部位,这些部位应通过建筑热工设计计算采取适宜的保温构造处理,以满足热工性能指标的要求。结构性热桥部位的传热系数和热惰性指标Kb和Db的计算方法与主体部位传热系数Kp和热惰性指标Dp的计算方法相同。 进行建筑设计时首先要尽量减少结构性热桥部位的数量和面积。 为保证结构性热桥部位的内表面在冬季正常采暖期间不致产生结露,其最小传热阻Ro·min(或最大允许的传热系数Kb·max),应根据地区的室内外气候计算参数,按照现行国家标准《民用建筑热工设计规范》GB 50176规定的计算方法计算确定。 3 大量的热工性能实测和计算结果表明,仅有双面抹灰层的小砌块墙体,不管在北方和南方,都不能满足现行建筑节能设计标准中规定的室内热舒适环境和对外墙、楼梯间内墙及分户墙的热工性能指标要求,必须采取一定的保温隔热措施提高其热工性能。也正是因为过去不重视小砌块墙体的保温隔热措施这一重要环节,形成了房屋建成后居民普遍有“热”的反映,严重地影响了小砌块墙体及小砌块建筑的进一步推广应用。 最适宜于小砌块外墙的保温隔热措施,是在其外侧直接复合外墙外保温系统,或在外侧设置空气层。若采用内保温系统,本条提出了提高其保温性能的设计要求。 外墙采用不同外墙保温系统施工完成后的检测结果与节能设计要求的节能率对比计算、研究分析表明: 外墙采用外墙外保温系统能符合节能设计要求的95%~100%; 外墙采用外墙自保温系统能符合节能设计要求的85%~90%; 外墙采用外墙内保温系统能符合节能设计要求的75%~80%。 产生以上节能率差异的原因,主要是外墙自保温与外墙内保温系统中的结构性热桥部位保温隔热性能差所引起。为补偿这一差异,在上海市的《居住建筑节能设计标准》DG/TJ 08-205-2008中,提出了如表5所示的不同主墙体的平均传热系数修正系数C2。目前,四川省内也有设计院在进行外墙的热工设计时,将采用外墙内保温系统的外墙平均传热系数计算值乘以1.2作为外墙平均传热系数Km的设计值,这实际上就是要求增加内保温系统的保温层厚度来使其热工性能达到采用外墙外保温系统的热工性能。这是科学的,也是合理的。 
本条还对采用外墙内保温系统的外墙与横墙交接处400mm宽范围内的保温处理提出了要求,即该部位的传热阻Ro不能小于设计建筑所在气候地区的外墙最小传热阻Ro·min。 从求真务实地实施建筑节能工作来讲,提出这个要求是非常必要的,可对现在墙体热工节能设计中随意地采用外墙内保温系统有所约束。 4 对夏热冬冷及夏热冬暖地区建筑的外墙隔热,本条提出宜采用外隔热措施,可有效地降低小砌块墙体的内外表面温差,减少恶劣环境的作用,保护小砌块墙体。最好是采用建筑用反射隔热涂料作外墙饰面,不仅可显著提高外墙的隔热性能,而且通过计算对比,还可使外墙有0.20(m2·K)/W以上的附加热阻值。 由于小砌块墙体有孔洞存在,孔洞中空气的蓄热系数近似为0。加之轻质保温材料的蓄热系数也很小,如表4所示,将导致小砌块外墙的建筑热工性能设计计算结果,往往是外墙的传热系数能满足居住建筑节能设计标准的规定,而热惰性指标D不能满足规定。出现这种情况时,居住建筑节能设计标准要求按照国家标准《民用建筑热工设计规范》GB 50176-93第5.1.1条进行隔热设计验算。应当指出,国家标准《民用建筑热工设计规范》GB 50176-93第5.1.1条是指房间在自然通风良好的使用条件下规定的隔热指标验算方法,不符合节能住宅的居室是在门窗关闭的使用条件。而且没有提出具体的外墙内表面最高温度允许值,也无法用第5.1.1条的计算公式和计算方法进行验算。 5 无论采用哪种保温构造技术及饰面做法,都要根据本地区的建筑节能标准要求和室内外气候计算参数,计算确定其热工性能指标要求的保温层厚度。考虑到保温材料在安装敷设中可能受损,以及环境湿作用的影响使保温材料的保温性能削弱,在建筑热工计算中,应取计算导热系数和计算蓄热系数,一般可用实际测定的导热系数和蓄热系数乘以修正系数a。修正系数a应按照现行国家标准《民用建筑热工设计规范》GB 50176,根据其使用场合及影响因素进行选择,以确保墙体在正常使用时的保温性能不致削弱。 6 在寒冷地区,建筑的外围护结构保温设计,都要进行内部冷凝受潮验算,确定是否设置隔气层。对于寒冷地区的小砌块建筑外墙,应根据现行国家标准《民用建筑热工设计规范》GB 50176的规定,在外墙的保温设计时,进行外墙内部冷凝受潮验算,确定是否设置隔气层。若需设置隔气层,应保证其施工质量,并有与室外空气相通的排湿措施。目前在夏热冬冷地区的个别城市,也有参照国外严寒地区的外墙外保温技术设置隔气层和排潮措施的工程。是否适宜,应根据计算确定,否则会造成不必要的经济损失。对于夏热冬冷地区的小砌块建筑外墙,一般可不用进行冷凝受潮验算,也不用设置隔气层。 7 本条提出对有优良热工性能的保温小砌块及复合保温小砌块在建筑外墙中应用时,可按墙体自保温系统应用在建筑的填充墙中,该部位可不再复合内、外保温系统。在夏热冬冷地区及夏热冬暖地区,这是非常可取的一种保温小砌块墙体自保温系统工程做法。 8 小砌块外墙的保温隔热措施,必须与屋面、楼地板和门窗等构件的连接部位有联系,这些连接部位也是传热敏感部位,除了做好这些部位的保温措施外,尚应保持构造上的连续性和可靠性。
4.2.4 居住建筑的分户墙或公共建筑的采暖空调房间与非采暖空调房间隔墙采用小砌块墙体时,建筑热工设计应符合下列要求:
1 分户墙或隔墙采用普通小砌块及配筋小砌块砌体时,应按现行建筑节能设计标准的规定,在其一侧或两侧采取适宜的保温技术进行热工设计计算;
2 分户墙或隔墙采用保温小砌块及复合保温小砌块砌体时,若保温小砌块及复合保温小砌块砌体部位的面积大于或等于分户墙或隔墙面积的70%,可将保温小砌块及复合保温小砌块砌体部位的传热系数K p 作为分户墙或隔墙的传热系数K计算值;若保温小砌块及复合保温小砌块砌体部位的面积小于分户墙或隔墙面积的70%,应考虑结构性热桥部位的影响按本规程附录E的计算方法计算分户墙或隔墙的平均传热系数K m 。
条文说明
4.2.4 本条对小砌块居住建筑的分户墙和公共建筑的采暖空调房间与非采暖空调房间隔墙的建筑热工设计提出应以平均传热系数Km作为热工性能评价指标,因为不是一种墙材构成,应和外墙的要求一样。
4.2.5 小砌块建筑屋面的建筑热工设计应符合下列要求:
1 屋面的传热系数及热惰性指标应符合设计建筑所在气候地区现行居住建筑与公共建筑节能设计标准的规定。保温层材料的导热系数和蓄热系数应采用计算导热系数λ c 和计算蓄热系数S c 。
2 屋面宜设计为保温隔热层置于防水层上的倒置式屋面,且宜选择憎水型的绝热材料做保温隔热层。
3 在夏热冬冷和夏热冬暖地区,屋面宜采用绿色植被屋面或有保温材料作基层的架空通风屋面。
4 屋面的天沟、女儿墙、变形缝及突出屋面的构件与屋面交接处,应按现行国家标准《民用建筑热工设计规范》GB 50176的规定,通过建筑热工设计计算在该部位的垂直或水平面上设置一定厚度的保温材料,使该部位的最小传热阻不低于设计建筑所在气候地区屋面要求的最小传热阻(R o·min )值。
条文说明
4.2.5 本条是对小砌块建筑屋面的建筑热工设计提出要求。 1 小砌块建筑屋面的建筑热工设计,与其他墙体结构体系建筑的屋面热工设计基本相同,首先应符合建筑节能设计标准的规定,并选择适宜的保温隔热构造做法,重视结构性热桥部位的构造设计和处理措施。
2 与外墙外保温技术一样,倒置式屋面比正置式屋面(即保温层在防水层之下)有很多优点,但需采用憎水型的保温材料。保温层的厚度应根据地区的气候条件、室内外气候计算参数和节能设计标准规定的热工性能指标计算确定,计算时应采用材料的计算导热系数和计算蓄热系数,即应乘以修正系数a。憎水型保温材料的修正系数a可取1.2,多孔吸湿保湿材料的修正系数a可取1.5。 3 在夏热冬冷和夏热冬暖地区,屋面采用浅色饰面,采用绿色植被屋面或有保温材料基层的架空通风屋面,都是有效而可行的屋面外隔热措施。采用绿色植被屋面或架空通风屋面时,应按照屋面防水规范的要求,保证防水层的设计和施工质量。 4 应重视结构性热桥部位的保温隔热构造设计与处理。对于小砌块建筑,由于要保证墙体顶部与屋顶之间是柔性连接,更应采取适宜的保温隔热构造措施,以避免热桥的出现。
5 小砌块砌体静力设计
5.1设计基本规定
5 小砌块砌体静力设计
5.1 设计基本规定
5.1.1 本规程采用以概率理论为基础的极限状态设计方法,以可靠指标度量结构可靠度,用分项系数的设计表达式进行计算。
5.1.2 小砌块砌体结构应按承载能力极限状态设计,并应有相应的构造措施满足正常使用极限状态的要求。
5.1.3 砌体结构和结构构件在设计使用年限内,在正常使用及正常维护条件下,必须保持满足使用要求,而不需大修或加固。设计使用年限应按现行国家标准《建筑结构可靠度设计统一标准》GB 50068规定。
5.1.4 根据建筑结构破坏可能产生的后果(危及人的生命、造成经济损失、产生社会影响等)的严重性,建筑结构按表5.1.4划分为三个安全等级。

5.1.5 小砌块砌体结构承载能力极限状态设计表达式,整体稳定性验算表达式,弹性方案、刚弹性方案、刚性方案的静力设计规定及其相应的横墙间距要求以及耐久性规定等,应按现行国家标准《砌体结构设计规范》GB 50003的规定执行。
条文说明
5.1.1~5.1.5 砌块砌体结构仍然采用以概率理论为基础的极限状态设计方法,砌块砌体受压、受剪构件可靠指标已达到4.0以上,且与国家标准《砌体结构设计规范》GB 50003保持一致。本次修订补充了《建筑结构可靠度设计统一标准》GB 50068使用年限的规定。
5.1.6 梁支承在墙上时,梁端支承压力(N l )到墙边的距离,对刚性方案房屋屋盖梁和楼盖梁均应取梁端有效支承长度(a 0 )的40%(图5.1.6)。多层房屋由上面楼层传来的荷载(N u ),可视为作用于上一楼层的墙、柱的截面重心处。
注:当板支承于墙上时,板端支承压力N l 到墙内边的距离可取板的实际支承长度a的40%。

条文说明
5.1.6 将梁端支承力的位置由原规程的两种情况简化为一种,均按0.4a0以方便设计应用。
5.1.7 带壁柱墙的计算截面翼缘宽度(b f )可按下列规定采用:
1 对多层房屋,当有门窗洞口时,可取窗间墙宽度;当无门窗洞口时,每侧翼墙宽度可取壁柱高度的1/3;
2 对单层房屋,可取壁柱宽加2/3墙高,但不应大于窗间墙宽度和相邻壁柱间的距离;
3 计算带壁柱墙体的条形基础时,应取相邻壁柱间的距离。
5.1.8 当转角墙段受竖向集中荷载时,计算截面的长度可从角点算起,每侧宜取层高的1/3。当上述墙体范围内有门窗洞口时,则计算截面取至洞边,但不宜大于层高的1/3。当上层荷载传至本层时,可按均布荷载计算,此时转角墙段可按角形截面偏心受压构件进行承载力验算。
条文说明
5.1.8 补充了转角墙体受集中荷载时计算截面的规定和可按角形截面偏心受压构件进行承载力验算。
5.2受压构件承载力计算
5.2 受压构件承载力计算
5.2.1 受压构件的承载力应符合下式要求:

式中:N——轴向力设计值(N);
φ——高厚比β和轴向力偏心距e对受压构件承载力的影响系数,应按本规程附录F附表采用;
f——砌体抗压强度设计值(MPa),应按本规程第3.2.1条采用;
A——截面毛面积(mm 2 );对带壁柱墙,其翼缘宽度可按本规程第5.1.7条采用。
注:对矩形截面构件,当轴向力偏心方向的截面边长大于另一方向的边长时,除按偏心受压计算外,还应对较小边长方向,按轴心受压进行验算。
5.2.2 确定影响系数φ时,构件高厚比β应按下列公式计算:

式中:H 0 ——受压构件的计算高度(m),按本规程表5.2.4确定;
h——矩形截面轴向力偏心方向的边长(m),当轴心受压时为截面较小边长;
h T 一一T形截面的折算厚度(m),可近似按3.5i计算;
i——截面回转半径(m)。
条文说明
5.2.2 补充了确定影响系数φ时,构件高厚比β的计算公式,公式中的1.1系数是经砌块砌体长柱试验确定的。对灌孔混凝土砌块砌体β取H0/h,是依据《砌体结构设计规范》GB 50003的规定。
5.2.3 受压构件计算高度H 0 应按下列规定采用:
1 对房屋底层,取楼板顶面到构件下端支点的距离。下端支点的位置,应取在基础顶面;当基础埋置较深且有刚性地坪时,可取室外地面下500mm处。
2 对在房屋其他层次,取楼板或其他水平支点间的距离。
3 对无壁柱的山墙,可取层高加山墙尖高度的1/2;对带壁柱的山墙可取壁柱处的山墙高度。
5.2.4 受压构件的计算高度H 0 应根据房屋类别、构件支承条件等按表5.2.4采用。

5.2.5 轴向力的偏心距e应符合下式要求:

式中:e——轴向力的偏心距(mm),按内力设计值计算;
y——截面重心到轴向力所在偏心方向截面边缘的距离(mm)。
条文说明
5.2.5 轴向力的偏心距按内力设计计算,偏心距e的限值与《砌体结构设计规范》GB 50003一致。
5.3局部受压承载力计算
5.3 局部受压承载力计算
5.3.1 砌体截面中受局部均匀压力时的承载力应符合下式要求:

式中:N l ——局部受压面积上的轴向力设计值(N);
γ——砌体局部抗压强度提高系数;
f——砌体的抗压强度设计值(MPa),当局部荷载作用面用混凝土灌实一皮时,应按未灌实砌体强度值采用;
A l ——局部受压面积(mm 2 )。
5.3.2 砌体局部抗压强度提高系数γ,应符合下列要求:
1 γ可按下式计算:

式中:A 0 ——影响砌体局部抗压强度的计算面积(m 2 )。
2 计算所得γ值,尚应符合下列要求:
1)在图5.3.2a的情况下,γ≤2.5;
2)在图5.3.2b的情况下,γ≤2.0;
3)在图5.3.2c的情况下,γ≤1.5;
4)在图5.3.2d的情况下,γ≤1.25;
5)按本规范第5.8.2条的要求灌孔的砌块砌体,在1)、2)、3)项的情况下,尚应符合γ小于等于1.5。未灌孔混凝土砌块砌体γ等于1。

条文说明
5.3.2 为避免空心砌块砌体直接承受局部荷载时可能出现的内肋压溃提前破坏,所以强调对未灌实的空心砌块砌体局部抗压强度提高系数γ为1.0。要求采取灌实一皮砌块的构造措施后才能按局部抗压强度提高系数计算。
5.3.3 影响砌体局部抗压强度的计算面积可按下列规定采用:
1 在图5.3.2a的情况下,A 0 =(a+c+h)h;
2 在图5.3.2b的情况下,A 0 =(b+2h)h;
3 在图5.3.2c的情况下,A 0 =(a+h)h+(b+h 1 一h)h 1 ;
4 在图5.3.2d的情况下,A 0 =(a+h)h。
注:a、b为矩形局部受压面积A l 的边长;h、h 1 为墙厚或柱的较小边长,墙厚;c为矩形局部受压面积的外边缘至构件边缘的较小距离,当小于h时,应取为h。
5.3.4 梁端支承处砌体的局部受压承载力应按下列公式计算:

式中:ψ——上部荷载的折减系数,当A 0 /A l 大于等于3时,应取ψ等于0;
N 0 ——局部受压面积内上部轴向力设计值(N);
N l ——梁端支承压力设计值(N);
σ 0 ——上部平均压应力设计值(N/mm 2 );
η——梁端底面压应力图形的完整系数,应取0.7,对于过梁和墙梁应取1.0;
a 0 ——梁端有效支承长度(mm),当a 0 大于a时,应取a 0 等于a;
a——梁端实际支承长度(mm);
b——梁的截面宽度(mm);
h c ——梁的截面高度(mm);
f——砌体的抗压强度设计值(MPa)。
条文说明
5.3.4 关于梁端有效支承长度a0计算,原《混凝土小型空心砌块建筑技术规程》JGJ/T 14-95列了两个计算公式,即a0=
为避免工程应用上引起争端,并且为简化计算;在上一版修订中取消前一个公式,只保留简化公式。工程实践表明,应用简化公式并未出现安全问题。本次修订仍维持只保留简化公式。
5.3.5 在梁端设有刚性垫块时砌体局部受压应符合下列要求:
1 刚性垫块下的砌体局部受压承载力应按下列公式计算:


式中:N 0 ——垫块面积A b 内上部轴向力设计值(N);
φ——垫块上N 0 与N l 合力的影响系数,应采用本规程附录F当β小于等于3时的φ值;
γ 1 ——垫块外砌体面积的有利影响系数,γ 1 应为0.8γ,但不小于1.0。γ为砌体局部抗压强度提高系数,按本规程公式(5.3.2)以A b 代替A l 计算得出;
A b ——垫块面积(mm 2 );
a b ——垫块伸入墙内的长度(mm);
b b ——垫块的宽度(mm)。
2 刚性垫块的构造应符合下列要求:
1)刚性垫块的高度不宜小于190mm,自梁边算起的垫块挑出长度不宜大于垫块高度t b ;
2)在带壁柱墙的壁柱内设刚性垫块时(图5.3.5),其计算面积应取壁柱范围内的面积,而不应计算翼缘部分,同时壁柱上垫块伸入翼墙内的长度不应小于100mm;

3)当现浇垫块与梁端整体浇筑时,垫块可在梁高范围内设置。
3 梁端设有刚性垫块时,梁端有效支承长度a 0 应按下式确定:

式中:δ 1 ——刚性垫块的影响系数,可按表5.3.5采用。
垫块上N l 作用点的位置可取0.4a 0 处。

4 梁端设现浇刚性垫块时,其局压强度亦应按本条规定计算。
5.3.6 梁下设有长度大于πh 0 的垫梁时(图5.3.6),垫梁下的砌体局部受压承载力应按下列公式计算:

式中:N 0 ——垫梁上部轴向力设计值(N);
b b ——垫梁在墙厚方向的宽度(mm);
δ 2 ——垫梁底面压应力分布系数,当荷载沿墙厚方向均匀分布时可取1.0,不均匀分布时可取0.8;
h 0 ——垫梁折算高度(mm);
E b 、I b ——分别为垫梁的混凝土弹性模量(MPa)和截面惯性矩(mm 4 );
h b ——垫梁的高度(mm);
E——砌体的弹性模量;
h——墙厚(mm)。
垫梁上梁端有效支承长度a 0 可按本规程公式(5.3.5-4)计算。

条文说明
5.3.6 进深梁支承于圈梁的情况在砌块房屋中经常遇到,因而增加了柔性垫梁下砌体局压的计算方法,根据哈尔滨工业大学的分析研究提出了考虑砌体局压应力三维分布时的实用计算方法,并与《砌体结构设计规范》GB 50003相一致。
5.4轴心受拉构件承载力计算
5.4 轴心受拉构件承载力计算
5.4.1 轴心受拉构件的承载力应按下式计算:

式中:N t ——轴心拉力设计值(N);
f t ——砌体的轴心抗拉强度设计值(MPa),应按本规程表3.2.2采用。
条文说明
5.4.1 增加了轴心受拉构件计算。
5.5受弯构件承载力计算
5.5 受弯构件承载力计算
5.5.1 受弯构件的承载力应按下式计算:

式中:M——弯矩设计值(N·mm);
f tm ——砌体弯曲抗拉强度设计值(MPa),应按本规程表3.2.2采用;
W——截面抵抗矩(mm 3 )。
条文说明
5.5.1 增加了受弯构件计算。
5.5.2 受弯构件的受剪承载力,应按下列公式计算:

式中:V——剪力设计值(N);
f v ——砌体的抗剪强度设计值(MPa),应按本规程表3.2.2采用;
b——截面宽度(mm);
z——内力臂,当截面为矩形时取z等于2h/3;
I——截面惯性矩(mm 4 );
S——截面面积矩(mm 3 );
h——截面高度(mm)。
5.6受剪构件承载力计算
5.6 受剪构件承载力计算
5.6.1 沿通缝或沿阶梯形截面破坏时受剪构件的承载力应按下列公式计算:

式中:V——截面剪力设计值(N);
A——截面面积(mm 2 )。对各类砌体均按毛截面计算;
f v ——砌体抗剪强度设计值(N),对灌孔的混凝土砌块砌体取f gv ;
α——修正系数:当γ G =1.2时,混凝土砌块砌体取0.64;当γ G =1.35时,混凝土砌块砌体取0.66;
μ——剪压复合受力影响系数;
σ 0 ——永久荷载设计值产生的水平截面平均压应力(MPa);
f——砌体的抗压强度设计值(MPa);
σ 0 /f——轴压比,且不大于0.8。
条文说明
5.6.1 根据重庆建筑大学的试验和分析,提出了考虑复合受力影响的剪摩理论公式。该式亦能适合砌块砌体构件的抗剪计算,能较好地反映在不同轴压比下的剪压相关性和相应阶段的受力工作机理,克服了原公式的局限性。
5.7墙、柱的允许高厚比
5.7 墙、柱的允许高厚比
5.7.1 墙、柱高厚比应按下式验算:

式中:H 0 ——墙、柱的计算高度(m);
h——墙厚或矩形柱与H 0 相对应的边长(m);
μ 1 ——自承重墙允许高厚比的修正系数;
μ 2 ——有门窗洞口墙允许高厚比的修正系数;
μ c ——设构造柱墙体允许高厚比提高系数;
[β]一一墙、柱的允许高厚比应按表5.7.1采用。
注:当与墙连的相邻两横墙间的距离S不大于μ 1 μ 2 [β]h时,墙的高厚比可不受本条限制。

5.7.2 带壁柱墙和带构造柱墙的高厚比验算,应符合下列规定:
1 当按本规程式(5.7.1)验算带壁柱墙的高厚比时,公式中h应改用带壁柱墙截面的折算厚度h T ;当确定截面回转半径时,墙截面的翼缘宽度,可按本规程第5.1.7条的规定采用;当确定带壁柱墙的计算高度H 0 时,S应取相邻横墙间的距离。
2 当构造柱截面宽度不小于墙厚时,可按本规程式(5.7.1)验算带构造柱墙的高厚比,此时公式中h取墙厚;当确定墙的计算高度时,S应取相邻横墙间的距离;墙的允许高厚比[β]可乘以下列的提高系数μ c :

式中:b c ——构造柱沿墙长方向的宽度(m);
l——构造柱的间距(m)。
当b c /l>0.25时,取b c /l=0.25;当b c /l<0.05时,取b c /l=0。
注:考虑构造柱有利作用的高厚比验算不适用于施工阶段。
3 当按本规程式(5.7.1)验算壁柱间墙的高厚比时,S值应取相邻壁柱间的距离。设有钢筋混凝土圈梁的带壁柱墙,b/S不小于1/30时,圈梁可视作壁柱间墙的不动铰支点(b为圈梁宽度)。如不允许增加圈梁宽度,可按等刚度原则(墙体平面外刚度相等)增加圈梁高度。
5.7.3 当自承重墙厚度等于190mm时,允许高厚比修正系数μ 1 取值应为1.2;当厚度等于90mm时,μ 1 取值应为1.5;当厚度在90mm~190mm之间时,μ 1 可按插入法取值。
注:上端为自由端墙的允许高厚比,除按上述规定提高外,尚可再提高30%。
5.7.4 对有门窗洞口的墙,允许高厚比修正系数μ 2 应按下式计算:

式中:b s ——在宽度S范围内的门窗洞口总宽度(m);
S——相邻窗间墙或壁柱之间的距离(m);
μ 2 ——允许高厚比修正系数,当μ 2 <0.7时,应取0.7。当洞口高度等于或小于墙高的1/5时,可取μ 2 等于1.0。
5.8一般构造要求
5.8 一般构造要求
5.8.1 砌块房屋所用的材料,除应满足承载力计算要求外,对地面以下或防潮层以下的砌体、潮湿房间的墙,所用材料的最低强度等级尚应符合表5.8.1的要求。

5.8.2 在墙体的下列部位,应采用C20混凝土灌实砌体的孔洞:
1 无圈梁和混凝土垫块的檩条和钢筋混凝土楼板支承面下的一皮砌块;
2 未设置圈梁和混凝土垫块的屋架、梁等构件支承处,灌实宽度不应小于600mm,高度不应小于600mm的砌块;
3 挑梁支承面下,其支承部位的内外墙交接处,纵横各灌实3个孔洞,灌实高度不小于三皮砌块。
5.8.3 跨度大于4.2m的梁和跨度大于6m的屋架,其支承面下应设置混凝土或钢筋混凝土垫块。当墙中设有圈梁时,垫块宜与圈梁浇成整体。
当大梁跨度大于4.8m,且墙厚为190mm时,其支承处宜加设壁柱,或采取其他加强措施。
跨度大于或等于7.2m的屋架或预制梁的端部,应采用锚固件与墙、柱上的垫块锚固。
5.8.4 小砌块墙与后砌隔墙交接处,应沿墙高每400mm在水平灰缝内设置不少于2 
4、横筋间距不大于200mm的焊接钢筋网片(图5.8.4)。

5.8.5 预制钢筋混凝土板在墙上或圈梁上支承长度不应小于80mm,板端伸出的钢筋应与圈梁可靠连接,并一起浇筑。当不能满足上述要求时,应按下列方法进行连接:
1 布置在内墙上的板中钢筋应伸出进行相互可靠对接,板端钢筋伸出长度不应少于70mm,并用混凝土浇筑成板带,混凝土强度不应低于C20;
2 布置在外墙上的板中钢筋应伸出进行相互可靠连接,板端钢筋伸出长度不应少于100mm,并用混凝土浇筑成板带,混凝土强度不应低于C20;
3 与现浇板对接时,预制钢筋混凝土板端钢筋应伸入现浇板中进行可靠连接后,再浇筑现浇板。
5.8.6 山墙处的壁柱或构造柱,应砌至山墙顶部,且屋面构件应与山墙可靠拉结。
5.8.7 在砌体中留槽洞及埋设管道时,应符合下列要求:
1 在截面长边小于500mm的承重墙体、独立柱内不得埋设管线;
2 墙体中应避免穿行暗线或预留、开凿沟槽;当无法避免时,应采取必要的加强措施或按削弱后的截面验算墙体的承载力。
条文说明
5.8.1~5.8.7 砌块房屋的合理构造是保证房屋结构安全使用和耐久性的重要措施,根据设计和应用经验在下列几个关键问题上给予加强:①受力较大、环境条件差(潮湿环境),材料最低强度等级给予明确规定;②对一些受力不利的部位强调用混凝土灌孔;③加强一些构件的连接构造;④墙体中预留槽洞设管道的构造措施。原规程表5.8.1中最低强度等级,很潮湿的MU7.5,改为MU10。含饱和水的MU10改为MU15。主要是考虑材料耐久性要求。
5.9砌块墙体的抗裂措施
5.9 砌块墙体的抗裂措施
条文说明
随着砌块建筑的推广应用和住房商品化进程的推进,小砌块房屋的裂缝问题显得十分突出,受到比较广泛的关注。因此,本规程根据迄今国内外的研究成果和建设经验,按照治理墙体裂缝“防、放、抗”相结合,设计、施工、材料综合防治的基本思路,较多地充实了砌块墙体的防裂措施。
5.9.1 小砌块房屋的墙体应按表5.9.1规定设置伸缩缝。在钢筋混凝土屋面上挂瓦的屋盖应按钢筋混凝土屋盖采用。墙体的伸缩缝应与结构的其他变形缝相重合,在进行立面处理时,必须保证缝隙的伸缩作用。

条文说明
5.9.1 按表5.9.1设置的墙体伸缩缝,一般不能同时防止由于钢筋混凝土屋盖的温度变形和砌体干缩变形引起的墙体局部裂缝。
5.9.2 小砌块房屋顶层墙体可根据情况采取下列措施:
1 采用装配式有檩体系钢筋混凝土屋盖和瓦材屋盖。
2 屋面应设置保温、隔热层。屋面保温(隔热)层的屋面刚性面层及砂浆找平层应设置分格缝,分格缝间距不宜大于6m,并应与女儿墙隔开,其缝宽不应小于30mm。
3 当钢筋混凝土屋面板与墙体圈梁的接触面处设置水平滑动层时,滑动层可采用两层油毡夹滑石粉或橡胶片等;对长纵墙可仅在其两端的2~3个开间内设置,对横墙可只在横墙两端1/4长度范围内设置。
4 现浇钢筋混凝土屋盖当房屋较长时,宜在屋盖设置分格缝。
5 当顶层屋面板下设置现浇钢筋混凝土圈梁并沿内外墙拉通时,圈梁高度不宜小于190mm,纵向钢筋不应少于4 
12。
6 顶层挑梁末端下墙体灰缝内设置3道焊接钢筋网片(纵向钢筋不宜少于2 
4,横筋间距不宜大于200mm),钢筋网片应自挑梁末端伸入两边墙体不小于1m(图5.9.2)。

7 顶层墙体门窗洞口过梁上砌体每皮水平灰缝内设置2 
4焊接钢筋网片,并应伸入过梁两端墙内不小于600mm。
8 女儿墙应设置钢筋混凝土芯柱或构造柱,构造柱间距不宜大于4m(或每开间设置),插筋芯柱间距不宜大于1.6m,构造柱或芯柱插筋应伸至女儿墙顶,并与现浇钢筋混凝土压顶整浇在一起。
9 加强顶层芯柱(或构造柱)与墙体的拉结,拉结钢筋网片的竖向间距不宜大于400mm,伸入墙体长度不宜小于1000mm。
10 房屋山墙可采取设置水平钢筋网片或在山墙中增设钢筋混凝土芯柱或构造柱。在山墙内设置水平钢筋网片时,其间距不宜大于400mm;在山墙内增设钢筋混凝土芯柱或构造柱时,其间距不宜大于3m。
5.9.3 防止或减轻房屋底层墙体裂缝,可根据情况采取下列措施:
1 增大基础圈梁刚度;
2 基础部分砌块墙体在砌块孔洞中用Cb20混凝土灌实;
3 底层窗台下墙体设置通长钢筋网片2 
4及横筋 
4@200,竖向间距不大于400mm;
4 底层窗台采用现浇钢筋混凝土窗台板,窗台板伸入窗间墙内不小于600mm。
5.9.4 防止房屋顶层外纵墙两端和底层第一、第二开间门窗洞处的裂缝,可采取下列措施:
1 在门窗洞口两侧不少于一个孔洞中设置不小于1 
12钢筋,钢筋应在楼层圈梁或基础内锚固,并采用不低于C20灌孔混凝土灌实;
2 在门窗洞口两边的墙体水平灰缝中,设置长度不小于900mm、竖向间距为400mm的2 
4焊接钢筋网片;
3 在顶层设置通长钢筋混凝土窗台梁时,窗台梁的高度宜为块高的模数,纵筋不少于4 
10,箍筋宜为 
6@200,混凝土强度等级宜为C20。
5.9.5 防止房屋顶层和次顶层第一开间内纵墙上裂缝,可在墙中设置钢筋混凝土芯柱,芯柱间距不大于1.2m。
条文说明
5.9.5 该条为修改条文,根据工程调查顶层和次顶层两端第一开间墙体上常易出现斜裂缝或水平裂缝,该条文明确在墙中设置钢筋混凝土芯柱的间距。
5.9.6 防止房屋顶层横墙上的裂缝,可在连接外纵墙的横墙端部设置钢筋混凝土芯柱。顶层楼梯间横墙可按1.6m间距设置钢筋混凝土芯柱。
条文说明
5.9.6 该条为修改条文,根据工程调查横墙上常易在靠近外纵墙处的横墙上发生斜裂缝,一般该裂缝在纵墙窗台角高度按约45°向上延伸至楼盖,也可在该区段中设置钢筋混凝土芯柱。 楼梯间横墙墙身较高,且较易受外界气候影响,常易发生水平缝和斜裂缝,因水平缝在全墙发生,故在全墙按1.6m间距设置钢筋混凝土芯柱。
5.9.7 砌块房屋的顶层可在窗台下或窗台角处墙体内设置竖向控制缝,缝的间距宜为8m~12m。在墙体高度或厚度突然变化处也宜设置竖向控制缝,或采取其他可靠的防裂措施。竖向控制缝的构造和嵌缝材料应能满足墙体平面外传力和防护的要求。
5.10框架填充墙的构造措施
5.10 框架填充墙的构造措施
条文说明
新增加本节主要基于以往历次大地震,尤其是此次汶川地震的震害情况表明,框架(含框剪)结构填充墙等非结构构件均遭到不同程度破坏,有的损害甚至超出了主体结构,导致不必要的经济损失,尤其高级装饰条件下的高层建筑的损失更为严重。这种现象引起人们的广泛关注,尽快制订防止或减轻该类墙体震害的有效设计方法和构造措施已成为工程界的急需。
5.10.1 填充墙墙体墙厚不应小于90mm。填充墙墙体除应满足稳定和自承重外,尚应考虑水平风荷载及地震作用。
5.10.2 填充墙宜选用轻质砌体材料。砌块强度等级不宜低于MU3.5。
条文说明
5.10.2 填充墙选用轻质砌体材料可减轻结构重量、降低造价,有利于结构抗震。但填充墙体材料强度不应过低,否则,当框架稍有变形时,填充墙体就可能开裂,在意外荷载或烈度不高的地震作用时,容易遭到损坏,甚至造成人员伤亡和财产损失。
5.10.3 根据房屋的高度、建筑体形、结构的层间变形、地震作用、墙体自身抗侧力的利用等因素,选择采用填充墙与框架柱、梁不脱开方法或填充墙与框架柱、梁脱开方法。
5.10.4 填充墙与框架柱、梁脱开的方法宜符合下列要求:
1 填充墙两端与框架柱、填充墙顶面与框架梁之间留出20mm的间隙。
2 填充墙两端与框架柱之间宜用钢筋拉结。
3 填充墙长度超过5m或墙长大于2倍层高时,中间应加设构造柱;墙体高厚比大于本规程第5.7.1条规定或墙高度超过4m时宜在墙高中部设置与柱连通的水平系梁。水平系梁的截面高度不小于60mm。填充墙高不宜大于6m。
4 填充墙与框架柱、梁的缝隙可采用聚苯乙烯泡沫塑料板条或聚氨酯发泡充填,并用硅酮胶或其他弹性密封材料封缝。
条文说明
5.10.4 震害经验表明:嵌砌在框架和梁中间的填充墙砌体,当强度和刚度较大,在地震发生时,产生的水平地震作用力,将会顶推框架梁柱,易造成柱节点处的破坏,所以过强的填充墙并不完全有利于框架结构的抗震。本条提出填充墙与框架柱、梁脱开的方式,是为在地震发生时,减小填充墙对框架梁柱的顶推作用,避免框架的损坏。但为了保证填充墙平面外的稳定性,在填充墙中应设构造柱和水平系梁,并在与主体结构连接处留20mm缝隙用聚苯泡沫材料填充。
5.10.5 填充墙与框架柱、梁不脱开的方法宜符合下列要求:
1 墙厚不大于240mm时,宜沿柱高每隔400mm配置2根直径6mm的拉结钢筋;墙厚大于240mm时,宜沿柱高每隔400mm配置3根直径6mm的拉结钢筋。钢筋伸入填充墙长度不宜小于700mm,且拉结钢筋应错开截断,相距不宜小于200mm。填充墙墙顶应与框架梁紧密结合。顶面与上部结构接触处宜用一皮混凝土砖或混凝土配砖斜砌楔紧。
2 当填充墙有洞口时,宜在窗洞口的上端或下端、门洞口的上端设置钢筋混凝土带,钢筋混凝土带应与过梁的混凝土同时浇筑,其过梁的断面及配筋由设计确定。钢筋混凝土带的混凝土强度等级不宜小于C20。当有洞口的填充墙尽端至门窗洞口边距离小于240mm时,宜采用钢筋混凝土门窗框。
3 填充墙长度超过5m或墙长大于2倍层高时,墙顶与梁宜有拉结措施,中间应加设构造柱;墙高度超过4m时宜在墙高中部设置与柱连接的水平系梁;墙高超过6m时,宜沿墙高每2m设置与柱连接的水平系梁,梁的截面高度不小于60mm。
5.11夹心复合墙的构造规定
5.11 夹心复合墙的构造规定
条文说明
为适应建筑节能要求,北方地区砌块房屋的外墙往往采用复合墙形式,即由内叶墙承重外叶墙保护,中间填以高效保温(岩棉、苯板等)材料。这种墙体也称夹心墙。哈尔滨工业大学等单位做过试验,试验表明两叶墙之间的拉结构件能在一定程度上协调内、外墙的变形,外叶墙的存在对内叶墙的稳定性以及水平荷载下脱落倒塌有一定的支撑作用。本规程只是在夹心墙的构造上提出一些具体规定。本次修订在原规程基础上作了一些补充。
5.11.1 夹心复合墙应符合下列要求:
1 混凝土小砌块的强度等级不应低于MU10;
2 夹心复合墙的夹层厚度不宜大于100mm;
3 夹心复合墙的有效厚度可取内、外叶墙(层)厚度的算数平方根( 
);
4 夹心复合墙的有效面积应取承重或主叶墙的面积;
5 夹心复合墙外叶墙的最大横向支承间距不宜大于9m。
5.11.2 夹心复合墙叶墙间的连接应符合下列要求:
1 叶墙间的拉结件或钢筋网片应进行防腐处理,当采用热镀锌时,其镀层厚度不应小于290g/m 2 ,或采用具有等效防腐性能的其他材料涂层;
2 当采用环形拉结件时,钢筋直径不应小于4mm,当为Z形拉结件时,钢筋直径不应小于6mm;拉结件应沿竖向梅花形布置,拉结件的水平和竖向最大间距分别不宜大于800mm和600mm;对有振动或有抗震设防要求时,其水平和竖向最大间距分别不宜大于800mm和400mm;
3 当采用可调拉结件时,钢筋直径不应小于4mm,拉结件的水平和竖向最大间距均不宜大于400mm。叶墙间灰缝的高差不大于3.2mm,可调拉结件中孔眼和扣钉间的公差不大于1.6mm;
4 当采用钢筋网片作拉结件时,网片横向钢筋的直径不应小于4mm;其间距不应大于400mm;网片的竖向间距不宜大于600mm;对有振动或有抗震设防要求时,不宜大于400mm;
5 拉结件在叶墙上的搁置长度,不应小于叶墙厚度的2/3,并不应小于60mm;
6 门窗洞口周边300mm范围内应附加间距不大于600mm的拉结件。
注:对安全等级为一级或使用年限大于50年的房屋,夹心墙叶墙间宜采用不锈钢拉结件。
5.11.3 夹心复合墙拉结件或网片的选择应符合下列要求:
1 非抗震设防地区的多层房屋,或风荷载较小地区的高层的夹心复合墙可采用环形或Z形拉结件;风荷载较大地区的高层建筑房屋宜采用焊接钢筋网片。
2 抗震设防地区的砌体房屋(含高层建筑房屋)夹心复合墙应采用焊接钢筋网作为拉结件,焊接网应沿夹心复合墙连续通长设置,外叶墙至少有一根纵向钢筋。钢筋网片可计入内叶墙的配筋率,其搭接与锚固长度应符合有关规范的规定。
5.12圈梁、过梁、芯柱和构造柱
5.12 圈梁、过梁、芯柱和构造柱
5.12.1 钢筋混凝土圈梁应按下列要求设置:
1 多层房屋或比较空旷的单层房屋,应在基础部位设置一道现浇圈梁;当房屋建筑在软弱地基或不均匀地基上时,圈梁刚度应适当加强。
2 比较空旷的单层房屋,当檐口高度为4m~5m时,应设置一道圈梁;当檐口高度大于5m时,宜增设。
3 多层民用砌块房屋,层数为3层~4层时,应在底层和檐口标高处各设置一道圈梁。当层数超过4层时,应在所有纵、横墙上层层设置。
4 采用现浇混凝土楼(屋)盖的多层砌块结构房屋,当层数超过5层时,除在檐口标高处设置一道圈梁外,可隔层设置圈梁,并与楼(屋)面板一起现浇。未设置圈梁的楼面板嵌入墙内的长度不应小于100mm,并沿墙长配置不少于2 
10的纵向钢筋。
5 多层工业砌块房屋,应每层设置钢筋混凝土圈梁。
条文说明
5.12.1 为加强小砌块房屋的整体刚度,保证垂直荷载能较均匀地向下传递,考虑到砌块砌体抗剪、抗拉强度较低的特点,根据各地的实践经验,本规程对圈梁设置作了较严格的规定。本次修订对多层民用砌块房屋圈梁的设置进行了修改,根据近期砌块房屋圈梁设置的调查,一般在房屋内外墙均设置圈梁,故取消了原规程表5.8.1中分内、外墙设置的要求。
5.12.2 圈梁应符合下列构造要求:
1 圈梁宜连续地设在同一水平面上,并形成封闭状;当不能在同一水平面上闭合时,应增设附加圈梁,其搭接长度不应小于两倍圈梁间的垂直距离,且不应小于1m;
2 圈梁截面高度不应小于200mm,纵向钢筋不应少于4 
10,箍筋间距不应大于300mm,混凝土强度等级不应低于C20;
3 圈梁兼作过梁时,过梁部分的钢筋应按计算用量另行增配;
4 屋盖处圈梁应现浇,楼盖处圈梁可采用预制槽形底模整浇,槽形底模应采用不低于C20细石混凝土制作;
5 挑梁与圈梁相遇时,应整体现浇;当采用预制挑梁时,应采取措施,保证挑梁、圈梁和芯柱的整体连接。
条文说明
5.12.2 本次修订将屋盖处圈梁宜现浇改为应现浇,挑梁与圈梁相遇时,宜整体现浇改为应整体现浇。
5.12.3 门窗洞口顶部应采用钢筋混凝土过梁,验算过梁下砌体局部受压承载力时,可不考虑上层荷载的影响。
5.12.4 过梁上的荷载,可按下列规定采用:
1 对于梁、板荷载,当梁、板下的墙体高度小于过梁净跨时,可按梁、板传来的荷载采用。当梁、板下墙体高度不小于过梁净跨时,可不考虑梁、板荷载。
2 对于墙体荷载,当过梁上墙体高度小于1/2过梁净跨时,应按墙体的均布自重采用。当墙体高度不小于1/2过梁净跨时,应按高度为1/2过梁净跨墙体的均布自重采用。
条文说明
5.12.4 对过梁上的荷载取值作了规定。由于过梁上墙体内拱的卸荷作用,当梁、板下的墙体高度大于过梁净跨时,梁、板荷载及墙体自重产生的过梁内力很小,过梁设计由施工阶段的荷载控制,荷载取本条规定的一定高度的墙体均匀自重作为当量荷载。
5.12.5 墙体的下列部位应设置芯柱:
1 纵横墙交接处孔洞应设置混凝土芯柱。在外墙转角、楼梯间四角的纵横墙交接处的三个孔洞,宜设置钢筋混凝土芯柱;
2 五层及五层以上的房屋,应在上述部位设置钢筋混凝土芯柱。
条文说明
5.12.5 设置混凝土及钢筋混凝土芯柱是一种构造措施,主要是为了提高小砌块房屋的整体工作性能,不必进行强度计算。本次修订将原规程5.6.7条对纵横墙交接处孔洞用混凝土灌实的规定移至本条,原规程要求灌实范围为在墙中心线每边不小于300mm范围内的孔洞,改为在墙体交接处孔洞设置混凝土芯柱。
5.12.6 芯柱应符合下列构造要求:
1 芯柱截面不宜小于120mm×120mm,宜采用不低于Cb20的灌孔混凝土灌实;
2 钢筋混凝土芯柱每孔内插竖筋不应小于1 
10,底部应伸入室内地坪下500mm或与基础圈梁锚固,顶部应与屋盖圈梁锚固;
3 芯柱应沿房屋全高贯通,并与各层圈梁整体现浇;
4 在钢筋混凝土芯柱处,沿墙高每隔400mm应设 
4钢筋网片拉结,每边伸入墙体不应小于600mm。
条文说明
5.12.6 提出了芯柱构造和施工的具体要求,以保证芯柱发挥作用。
5.12.7 采用钢筋混凝土构造柱加强的砌块房屋,应在外墙四角、楼梯间四角的纵横墙交接处设置构造柱。在纵横墙交接处,沿竖向每隔400mm设置直径4mm焊接钢筋网片,埋入长度从墙的转角处伸入墙不应小于700mm。
条文说明
5.12.7 当小砌块房屋中采用钢筋混凝土构造柱加强时,应满足构造要求。
5.12.8 砌块房屋的构造柱应符合下列要求:
1 构造柱最小截面宜为190mm×190mm,纵向钢筋宜采用4 
12,箍筋间距不宜大于250mm;
2 构造柱与砌块连接处宜砌成马牙槎,并应沿墙高每隔400mm设焊接钢筋网片(纵向钢筋不应少于2 
4,横筋间距不应大于200mm),伸入墙体不应小于600mm;
3 与圈梁连接处的构造柱的纵筋应穿过圈梁,构造柱纵筋上下应贯通。
6 配筋砌块砌体剪力墙静力设计
6.1设计基本规定
6 配筋砌块砌体剪力墙静力设计
6.1 设计基本规定
6.1.1 配筋小砌块砌体剪力墙结构的内力与位移分析可采用弹性分析方法,应根据荷载效应的基本组合或偶然组合按承载能力极限状态设计,并满足正常使用状态的要求。
条文说明
6.1.1 根据试验研究结果,配筋小砌块砌体剪力墙结构的受力性能与钢筋混凝土剪力墙结构的受力性能相似,因此在设计计算时可以采用与钢筋混凝土剪力墙相同的线弹性计算、分析方法,对结构构件的计算则应符合本规程有关条文的要求,同时对结构的位移变形也应按照本规程的要求进行验算。在计算、分析时,楼层侧移刚度取楼层等效剪切刚度。在计算分析时还应注意,即使是多层配筋小砌块砌体剪力墙结构仍应按剪力墙进行设计计算。
6.1.2 配筋小砌块砌体剪力墙平面外的轴向力偏心距e按内力设计值计算,并不应超过0.7y。
条文说明
6.1.2 配筋小砌块砌体剪力墙的配筋方式与普通钢筋混凝土剪力墙不同,由于配筋小砌块砌体剪力墙中的竖向垂直钢筋是单排配置在墙厚的中央,当出平面受弯时,竖向垂直钢筋不能充分发挥作用,因此配筋小砌块砌体剪力墙作为主要的承载力构件其出平面的抗弯能力比普通钢筋混凝土剪力墙要弱,但又要明显强于普通砖砌体墙。条文是依据目前的试验研究情况以及综合各地的工程实践经验,规定了配筋小砌块砌体房屋剪力墙平面外的轴向力偏心距e不应超过0.7y。从试验结果来看,规定偏于安全,因此今后如积累了确切、可靠的试验数据和计算分析,平面外的轴向力偏心距e的规定可适当放宽。
6.2正截面受压承载力计算
6.2 正截面受压承载力计算
6.2.1 配筋小砌块砌体剪力墙正截面承载力应按下列基本假定进行计算:
1 受力后的截面变形符合平截面假定;
2 钢筋与灌孔混凝土之间、灌孔混凝土与砌块之间无相对滑移;
3 砌体、灌孔混凝土的抗拉强度忽略不计;
4 灌孔小砌块砌体的极限压应变不大于0.003,钢筋的极限拉应变不大于0.01。
条文说明
6.2.1 根据试验研究结果,灌孔混凝土与砌块和钢筋之间的粘结状况良好,在承载力极限状态配筋小砌块砌体墙片中的竖向垂直钢筋和水平钢筋都能达到屈服,而且配筋小砌块砌体与钢筋混凝土的受力性能相似,因此配筋小砌块砌体计算的基本假定也与钢筋混凝土类似。根据试验研究结果,配筋小砌块砌体中的砌体与灌孔混凝土是分两次施工,在荷载作用下的变形状态不完全相同,因此灌孔小砌块砌体的极限压应变稍小于混凝土的极限压应变。 试验研究结果表明,配筋小砌块砌体墙片在偏心荷载作用下,当达到70%的极限荷载时,即使是竖向钢筋上的小标距应变量测结果也表明砌体截面的变形能较好的符合平截面假定,而有部分试件在90%以上的极限荷载时仍基本符合平截面假定。因此根据平截面假定的定义,配筋小砌块砌体在垂直荷载作用下的截面变形符合平截面假定。
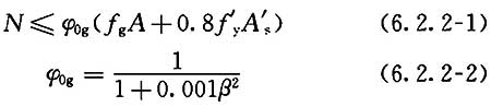
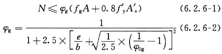
6.2.2 轴心受压配筋小砌块砌体剪力墙正截面受压承载力应按下列公式计算:

式中:N——轴向力设计值(N);
f g ——灌孔小砌块砌体的抗压强度设计值(MPa);
f′ y ——钢筋的抗压强度设计值(MPa);
A——构件的毛截面面积(mm 2 );
A′ s ——全部竖向钢筋的截面面积(mm 2 );
φ 0g ——轴心受压构件的稳定系数;
β——构件的高厚比。
注:无箍筋或水平分布钢筋时,f′ y A′ s =0。
条文说明
6.2.2 式(6.2.2-1)和式(6.2.2-2)是根据欧拉公式和灌孔砌体的应力-应变关系以及配筋小砌块砌体的试验结果推导和拟合得到的,它不同于一般砌体的稳定性计算公式,不仅考虑了灌孔砌体,而且还考虑了竖向钢筋的抗压作用。在使用公式进行计算时还应注意,配筋小砌块砌体是指配置有垂直和水平钢筋、且水平钢筋必须布置在砌块水平槽内、用专用灌孔混凝土灌孔后形成的配筋小砌块砌体,如无水平钢筋或水平钢筋放置在砂浆灰缝中,则按配筋小砌块砌体的公式来计算其抗压稳定性可能会偏于不安全。
6.2.3 配筋小砌块砌体剪力墙构件的计算高度(H 0 ),房屋底层取楼板顶面到剪力墙下端基础或地下室顶面的距离,对房屋其他楼层取该层层高。
条文说明
6.2.3 配筋小砌块砌体剪力墙房屋的结构性能与钢筋混凝土剪力墙房屋的结构性能相似,因此配筋小砌块砌体剪力墙构件的计算高度取值不应该按砌体结构,而是应该和钢筋混凝土剪力墙房屋相同。除一般情况,当有跃层或开洞形成无楼板支承的高墙的情况时,层高应取至有楼板支承的墙体之间的高度。
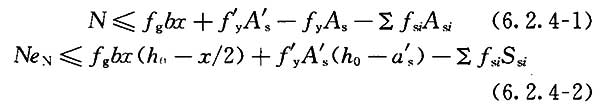
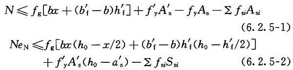
6.2.4 矩形截面偏心受压配筋小砌块砌体构件正截面承载力计算,应符合下列规定:
1 大小偏心受压界限:
当x≤ξ b h 0 时,为大偏心受压;
当x>ξ b h 0 时,为小偏心受压。
式中:ξ b ——界限相对受压区高度,对HPB300级钢筋取ξ b 等于0.56,对HRB335级钢筋取ξ b 等于0.53,对HRB400或RRB400级钢筋取ξ b 等于0.50;
x——截面受压区高度(mm);
h 0 ——截面有效高度(mm)。
2 大偏心受压时应按下列公式计算(图6.2.4):

式中:N——轴向力设计值(N);
f g ——灌孔砌体的抗压强度设计值(MPa);
f y ,f′ y ——竖向受拉、压主筋的强度设计值(MPa);
b——截面宽度(mm);
f si ——竖向分布钢筋的抗拉强度设计值(MPa);
A s ,A′ s ——竖向受拉、压主筋的截面面积(mm 2 );
A si ——单根竖向分布钢筋的截面面积(mm 2 );
S si ——第i根竖向分布钢筋对竖向受拉主筋的面积矩(mm 3 );
e N ——轴向力作用点到竖向受拉主筋合力点之间的距离(mm);
a′ s ——受压区纵向钢筋合力点至截面受压区边缘的距离,对T形、L形、工形截面,当翼缘受压时取100mm,其他情况取300mm;
a s ——受拉区纵向钢筋合力点至截面受拉区边缘的距离,对T形、L形、工形截面,当翼缘受压时取300mm,其他情况取100mm。

当受压区高度x<2a′ s 时,其正截面承载力可按下式进行计算:

式中:e′ N ——轴向力作用点至竖向受压主筋合力点之间的距离(mm)。
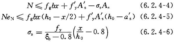
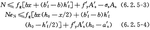
3 小偏心受压时,应按下列公式计算(图6.2.4):

式中:σ s ——钢筋A s 的应力(MPa)。
注:当受压区竖向受压主筋无箍筋或无水平钢筋约束时,可不考虑竖向受压主筋的作用,取f′ y A′ s =0。
矩形截面对称配筋小砌块砌体小偏心受压时,可近似按下列公式计算钢筋截面面积:

其中相对受压区高度ξ,可按下式计算:

注:小偏心受压计算中不考虑竖向分布钢筋的作用。
条文说明
6.2.4 根据平截面假定,配筋小砌块砌体剪力墙上的任1根钢筋的应变均可根据变形协调的相似关系计算得到,而钢筋的应力及性质可由该处钢筋应变确定;按6.2.1条的基本假定,根据截面内力平衡条件也可以计算得到配筋小砌块砌体受压区截面高度,从而确定墙体的承载能力;但计算时需解联立方程或进行试算逐步迭代,计算比较复杂。本条采用的是钢筋混凝土构件的计算模式,大偏压时近似认为在荷载作用下,修正后的受拉区和受压区范围内的分布钢筋都能够达到屈服,而小偏压时则根据受压区高度近似求解钢筋的应力状况,使复杂的计算问题简化。关于偏心距e,是参照混凝土偏心受压构件的计算方法进行计算。
6.2.5 T形、L形、工形截面偏心受压构件,当翼缘和腹板的相交处采用错缝搭接砌筑和同时设置垂直间距不大于1.2m的水平配筋带,且水平配筋带的截面高度≥60mm,钢筋不少于2 
12时,可考虑翼缘的共同工作,翼缘的计算宽度取表6.2.5中的最小值,其正截面受压承载力应按下列规定计算:
1 当受压区高度x≤h′ f 时,应按宽度为b′ f 的矩形截面计算;
2 当受压区高度x>h′ f 时,则应考虑腹板的受压作用,应按下列公式计算:
1)大偏心受压(图6.2.5)

式中:b′ f ——T形、L形、工形截面受压区的翼缘计算宽度(mm);
h′ f ——T形、L形、工形截面受压区的翼缘厚度(mm)。
2)小偏心受压



条文说明
6.2.5 由于配筋小砌块砌体之间的连接主要靠砌块的搭接砌筑、水平钢筋和砌块水平槽内的通长混凝土连接键相连,因此T形截面和L形截面的腹板和翼缘之间的连接要弱于类似的整浇钢筋混凝土墙片。根据同济大学所做的配筋小砌块砌体工字形截面和Z字形截面墙片的压弯反复荷载试验,当墙片的翼缘宽度为腹板厚度的3倍(工字形截面)和2倍(Z字形截面)时,在垂直荷载和水平反复荷载作用下,虽然翼缘部分的钢筋仍能达到屈服,但在接近破坏时,翼缘和腹板的连接处会突然产生垂直通缝,翼缘和腹板的共同工作明显减弱。因此如参照混凝土剪力墙进行设计,可能高估了配筋小砌块砌体翼缘和腹板的共同工作作用,从而使实际构件处于不安全状态。根据上述的试验结果和分析,本条对T形和倒L形截面偏心受压构件翼缘的计算宽度采用了比较严格的规定。
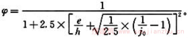
6.2.6 矩形截面出平面偏心受压配筋小砌块砌体剪力墙承载力计算,应按下列公式计算:

式中:φ g ——出平面偏心受压构件承载力影响系数;
e——出平面偏心力作用点至墙片受压端边缘的距离(mm);
A一一剪力墙受压面积(mm 2 ),A=b×h;
b——配筋小砌块砌体剪力墙厚度(mm);
h一一配筋小砌块砌体剪力墙计算长度(mm),沿墙均布偏心荷载作用时取墙的长度,楼面梁与剪力墙墙肢在墙肢平面外方向连接时,h取梁两边各200mm再加梁宽;
φ 0g ——轴心受压构件的稳定系数。
条文说明
6.2.6 同济大学在2005年进行了墙片出平面偏心受压试验研究,试验共设计了三组高度的试件,尺寸分别为590mm×190mm×800mm、590mm×190mm×1200mm、590mm×190mm×600mm(宽×厚×高)。每组高度的试件包括三种不同的出平面偏心距,分别为20mm、50mm和80mm,总共9个墙片。在极限荷载时,测得的各试件竖向钢筋的应变与偏心距和墙片高度有关,当出平面荷载偏心距为60mm~65mm时,竖向钢筋应力几乎为零。试验结果表明,同一高度的试件,极限荷载随偏心距的增大而减小。试验中9个试件都表现为脆性破坏的形式,但随着偏心距的增大,试件的破坏模式有从受压破坏向受弯破坏模式转化的趋势。试验结果还显示竖向垂直钢筋对墙片脆性破坏的改善作用有限,因为虽然偏心较大,试件墙片的竖向钢筋已经达到屈服状态,但由于钢筋是布置在墙体的中心位置,形成的抵抗力矩较小,因此墙片出平面抗弯能力有限。 根据普通砖砌体计算偏心受压影响系数的计算公式,假设矩形截面配筋小砌块砌体(β<3时)单向偏心受压影响系数φ=
其中:h为矩形截面在轴向力偏心方向的边长;m为小于12的系数。对于高而薄的墙片(β>3)承受出平面单向偏心荷载时,还应考虑附加偏心距ei,因此,出平面偏心受压配筋小砌块砌体墙片的承载力影响系数
当轴心受压时,e=0,该影响系数应该等于轴心受压稳定系数,可以解得
于是出平面偏心受压配筋小砌块砌体墙片承载力的影响系数
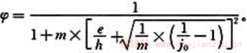
将试验数据与该公式拟和,当m=2.5时,公式计算结果与试验值吻合较好,因此可以认为出平面偏心受压配筋小砌块砌体墙片承载力的影响系数
上述公式的计算结果与试验结果比较如表6所示,计算结果与试验值吻合较好。 

哈尔滨工业大学在2005年也进行了无水平分布钢筋灌孔砌体墙片轴心受压及出平面偏心受压承载力试验,其中11个试件为出平面偏心受压,偏心距分别为20mm、30mm、40mm和60mm,哈尔滨工业大学的试验结果与公式的计算结果比较如表7所示。 
由于哈尔滨工业大学的墙片试件没有配置水平钢筋,因此试验结果稍小于本规程公式计算的结果,但试件破坏现象和规律与同济大学的试验结果类似。 由于到目前为止,仅同济大学和哈尔滨工业大学分别做过9个和11个配筋小砌块砌体墙片出平面偏心受压试验,试验数据偏少,而且墙片试件的高厚比也不够充分大,因此有关墙体的出平面偏心受压性能还有待进一步开展试验研究,但按公式6.2.6进行设计计算还是安全的。
6.3斜截面受剪承载力计算
6.3 斜截面受剪承载力计算
6.3.1 偏心受压和偏心受拉配筋小砌块砌体剪力墙,其斜截面受剪承载力应根据下列情况进行计算:
1 剪力墙的截面应满足下列要求:

式中:V——剪力墙的剪力设计值(N);
b——剪力墙截面宽度或T形、倒L形截面腹板宽度(mm);
h 0 ——剪力墙截面的有效高度(mm)。
2 剪力墙在偏心受压时的斜截面受剪承载力应按下列公式计算:

式中:f gv ——灌孔小砌块砌体抗剪强度设计值(MPa);
M、N、V——计算截面的弯矩(N·mm)、轴向力(N)和剪力设计值(N),其中V不大于0.25f g bh 0 ;
A——剪力墙的截面面积(mm 2 ),其中翼缘的有效面积,可按本规程表6.2.5确定;
A w ——T形或倒L形截面腹板的截面面积(mm 2 ),对矩形截面取A w 等于A;
λ——计算截面的剪跨比,当λ小于1.5时取1.5,当λ大于等于2.2时取2.2;
h 0 ——剪力墙截面的有效高度(mm);
A sh ——配置在同一截面内的水平分布钢筋的全部截面面积(mm 2 );
S——水平分布钢筋的竖向间距(mm);
f yh ——水平钢筋的抗拉强度设计值(MPa)。
3 剪力墙在偏心受拉时的斜截面受剪承载力应按下式计算:

条文说明
6.3.1 根据有关试验研究结果,影响配筋小砌块砌体墙片抗剪承载力的因素主要有墙片的形状、尺寸;高宽比λ;灌孔砌体的抗压强度;竖向荷载;水平钢筋和垂直钢筋的配筋率等等。①墙片抗剪承载力受其尺寸大小的影响是显而易见的,在组成墙片的材料相同的情况下,墙片的尺寸越大其承载能力也越大;②对于配筋小砌块砌体墙片,已有的试验研究表明,墙片的高宽比λ对抗剪强度有很大的影响,而且墙片的抗剪强度在高宽比λ一定范围内变动时,随着高宽比的加大而逐渐减小;③根据已有的试验研究成果,配筋小砌块砌体墙片的抗剪强度与灌孔砌体的抗压强度基本上呈正比关系,由于灌孔砌体抗剪能力占整个墙片抗剪能力的很大一部分,因此当采用强度较高的砌体和灌孔混凝土时,其抗剪承载能力也会相应有较大增加;④墙片承受水平荷载作用时,如果有适当垂直荷载共同作用,则在墙片内的主拉应力轨迹线与水平轴的夹角变大,斜向主拉应力值降低,从而可以推迟斜裂缝的出现,垂直荷载也使得斜裂缝之间的骨料咬合力增加,使斜裂缝出现后开展比较缓慢,从而提高墙片的抗剪能力。垂直荷载对墙片的抗剪能力有很大的影响,当墙片的轴压比
0.3~0.5时,垂直荷载对墙片的抗剪强度影响最大,当轴压比超过此值时,墙片的破坏形态由剪切破坏转化为斜压破坏,反而使得墙片的抗剪承载能力下降;⑤墙片开裂以后,配筋小砌块砌体墙片的抗剪能力将大大削弱,而穿过斜裂缝的水平钢筋直接参与受拉,由墙片开裂面的骨料咬合及水平钢筋共同承担剪力,因此,水平钢筋的配筋率是影响墙片抗剪能力的主要因素之一;⑥垂直钢筋的配筋率。国内外许多研究结果表明,配置于墙片中的垂直钢筋可以有效地提高其抗剪能力,垂直钢筋对墙片抗剪的贡献主要是由于销栓作用,以及墙片在配置一定数量的钢筋以后对原素墙片受力性能的改良,但一般将其有利作用计入在灌孔砌体的抗剪强度这一部分中。 根据上述对影响配筋小砌块砌体剪力墙截面受剪承载力诸因素的试验研究和分析,配筋小砌块砌体剪力墙截面受剪承载力可以按照式(6.3.1-2)和式(6.3.1-4)公式进行计算。 当配筋小砌块砌体剪力墙所承担的剪力较大,而墙片的截面积又较小时,增加墙片内的水平钢筋不仅不能有效提高墙片的抗剪能力,而且会导致剪力墙发生斜压脆性破坏,因此公式(6.3.1-1)规定与承受剪力相对应的剪力墙要有一定的截面积。
6.3.2 配筋小砌块砌体剪力墙跨高比大于2.5的连梁宜采用钢筋混凝土连梁,其截面组合的剪力设计值和斜截面承载力,应符合现行国家标准《混凝土结构设计规范》GB 50010对连梁的有关规定。
6.3.3 剪力墙采用配筋小砌块砌体连梁时应符合下列要求:
1 连梁的截面应满足下式的要求:

2 连梁的斜截面受剪承载力应按下式计算:

式中:A sh ——配置在同一截面内的箍筋各肢的全部截面面积(mm 2 );
f yv ——箍筋的抗拉强度设计值(MPa)。
条文说明
6.3.2、6.3.3 配筋小砌块砌体由于受其块型、砌筑方法和配筋方式的影响,不适宜做跨高比较大的梁构件。而连梁配筋小砌块砌体剪力墙结构中,连梁是保证房屋整体性的重要构件,为了保证连梁与剪力墙节点处在弯曲屈服前不会出现剪切破坏和具有适当的刚度和承载能力,对于跨高比大于2.5的连梁宜采用受力性能较好的钢筋混凝土连梁,以确保连梁构件的“强剪弱弯”。对于跨高比小于2.5的连梁(主要指窗下墙部分),则允许采用配筋小砌块砌体连梁。
6.4构造措施
6.4 构造措施
Ⅰ 钢筋
6.4.1 钢筋的规格应符合下列要求:
1 钢筋的直径不宜大于25mm,设置在灰缝中的箍筋不应小于6mm,在其他部位不应小于10mm;
2 配置在孔洞或空腔中的钢筋面积不应大于孔洞或空腔面积的5%。
条文说明
6.4.1 配筋小砌块砌体剪力墙孔洞内配筋面积不应过大,否则钢筋太多,直径太大,不仅影响结构延性,也不利于灌孔混凝土施工。
6.4.2 钢筋的设置应符合下列规定:
1 设置在灰缝中钢筋的直径不宜大于灰缝厚度的1/2;
2 两平行的水平钢筋间的净距不应小于50mm;两平行的水平钢筋间应设不小于 
4拉结筋,水平间距不应大于600mm。
条文说明
6.4.2 配筋小砌块砌体剪力墙,配置在灰缝中钢筋直径应控制,以避免影响钢筋的握裹力及钢筋强度的发挥。根据工程经验,水平箍筋放置于砌体灰缝中,受灰缝高度限制(一般灰缝高度为10mm),水平箍筋直径不小于6mm,且不应大于8mm比较合适;当箍筋直径较大时,将难以保证砌体结构灰缝的砌筑质量,会影响配筋小砌块砌体强度;灰缝过厚则会给现场施工和施工验收带来困难,也会影响砌体的强度。
6.4.3 灌孔混凝土中竖向钢筋的锚固应符合下列要求:
1 当计算中充分利用竖向受拉钢筋强度时,其锚固长度L a ,对HPB300级和HRB335级钢筋不应小于30d;对HRB400和RRB400级钢筋不应小于35d;在任何情况下钢筋的锚固长度不应小于300mm;
2 当计算中充分利用竖向受压钢筋强度时,其锚固长度不应小于0.7L a ;
3 受力光面钢筋,应在钢筋末端作弯钩,在轴心受压构件中,可不作弯钩;绑扎骨架中的受力变形钢筋,在钢筋的末端可不作弯钩。
6.4.4 配筋小砌块砌体墙内竖向钢筋的接头应符合下列要求:
钢筋的直径大于22mm时宜采用机械连接接头,接头的质量应符合有关标准的规定;其他直径的钢筋可采用搭接接头,并应符合下列要求:
1 钢筋的接头位置宜设置在受力较小处。
2 受拉钢筋的搭接接头长度不应小于1.1L a ,受压钢筋的搭接接头长度不应小于0.8L a ,且均不应小于300mm。
3 当相邻接头钢筋的间距不大于75mm时,其搭接长度不应小于1.2L a 。当钢筋间接头错开20d时,搭接长度可不增加。
6.4.5 设置在凹槽砌块混凝土带中的水平分布钢筋可弯入端部灌孔混凝土中,锚固长度不宜小于30d,且其水平或垂直弯折段的长度不应小于20d和200mm;钢筋的搭接长度不宜小于35d。
6.4.6 钢筋的最小保护层厚度应符合下列要求:
1 灰缝中钢筋砂浆保护层,室内正常环境不应小于15mm,在室外或潮湿环境不应小于30mm;
2 位于砌块孔槽中的钢筋保护层,在室内正常环境不宜小于20mm;在室外或潮湿环境不宜小于30mm。
注:对安全等级为一级或设计使用年限大于50年的配筋砌体结构构件,钢筋的保护层应比本条规定的厚度至少增加5mm,或采用经防腐处理的钢筋、抗渗混凝土砌块等措施。
条文说明
6.4.3~6.4.6 我国沈阳建筑大学和北京建筑工程学院作了专门锚固实验,结果表明,位于灌孔混凝土中的钢筋,不论位置是否对中,均能在远小于规定的锚固长度内达到屈服。国际标准《配筋砌体设计规范》ISO 9652-3中有砌块约束的混凝土内的钢筋锚固粘结强度比无砌块约束(不在砌块孔洞内)的数值(混凝土强度等级为C10~C25情况下),对光面钢筋高出85%~20%;对变形钢筋高出140%~64%。 实验发现对于配置在水平灰缝中的受力钢筋,其握裹条件较灌孔混凝土中的钢筋要差一些。灰缝中砂浆的最小保护层要求,是基于在正常条件下,钢筋不会锈蚀和保证需要的握裹力发挥而确定的。在灌孔混凝土中钢筋的保护层,基本同普通混凝土中的钢筋保护层要求,但它的条件要更好些,因为有一层砌块外壳的保护,国外规范规定抗渗砌块的钢筋保护层可以减少。 根据安全等级为一级或设计使用年限大于50年的房屋,对耐久性的要求更高的原则,提出了第6.4.6条的注(含第6.4.7条)。
Ⅱ 配筋小砌块砌体剪力墙、连梁
6.4.7 配筋小砌块砌体剪力墙、连梁的砌体材料强度等级应符合下列要求:
1 砌块的强度等级不应低于MU10;
2 砌筑砂浆的强度等级不应低于Mb7.5;
3 灌孔混凝土应采用坍落度大、流动性及和易性好,并与砌块结合良好的混凝土,其强度等级不应低于Cb20,也不应低于1.5倍的块体强度等级;
4 作为承重或抗侧作用的配筋小砌块砌体剪力墙的孔洞,应全部用灌孔混凝土灌实。
注:对安全等级为一级或设计使用年限大于50年的配筋小砌块砌体房屋,所用材料的最低强度等级应至少提高一级。
条文说明
6.4.7 根据配筋砌块砌体目前的应用情况及耐久性要求,对材料等级进行相应规定。灌孔混凝土是指由水泥、砂、石等主要原材料配制的大流动性细石混凝土,石子粒径控制在5mm~16mm之间,坍落度控制在230mm~250mm,大流动性是砌块孔洞内细石混凝土灌实的先决条件,才能保障混凝土与砌块结合紧密。灌孔混凝土强度与混凝土小砌块块材的强度应匹配,由此组成的灌孔砌体的性能可得到充分发挥。配筋小砌块砌体剪力墙是一个整体,必须全部灌孔,才能保证平截面假定。在配筋小砌块砌体剪力墙结构的房屋中,允许有部分墙体不灌孔,但不灌孔部分的墙体不能按配筋小砌块砌体剪力墙计算,而必须按填充墙考虑。
6.4.8 配筋小砌块砌体剪力墙厚度为190mm,连梁截面宽度不应小于190mm。
条文说明
6.4.8 这是根据承重混凝土砌块的最小厚度规格尺寸和承重墙支承长度确定的。最通常采用的配筋砌块厚度为190mm。在允许的前提下,连梁可加宽以满足抗剪要求。
6.4.9 配筋小砌块砌体剪力墙的构造配筋应符合下列要求:
1 应在墙的转角、端部和洞口的两侧配置竖向连续的钢筋,钢筋直径不宜小于12mm;
2 应在洞口的底部和顶部设置不小于2 
10的水平钢筋,其伸入墙内的长度不宜小于40d和600mm;
3 应在楼(屋)盖的所有纵横墙处设置现浇钢筋混凝土圈梁,圈梁的宽度宜等于墙厚且其高度应符合立面排块的模数,圈梁主筋不应少于4 
10且不应小于相应配筋砌体墙的水平钢筋,圈梁的混凝土强度等级不应小于相应灌孔小砌块砌体的强度,也不应低于C20;
4 剪力墙其他部位的竖向和水平钢筋的间距不应大于墙长及墙高的1/3,也不应大于800mm;
5 剪力墙沿竖向和水平方向的构造钢筋配筋率均不应小于0.07%。
条文说明
6.4.9 这是配筋砌块砌体剪力墙的最低构造钢筋要求。对由于孔洞削弱的墙体进行了加强。剪力墙的配筋比较均匀,其隐含的构造含钢率约为0.05%~0.06%。据国外规范的背景材料,该构造配筋率有两个作用:一是限制砌体干缩裂缝,二是能保证剪力墙具有一定的延性,一般在非地震设防地区的剪力墙结构应满足这种要求。
6.4.10 按短肢墙设计的配筋砌块窗间墙除应符合本规程第6.4.8条和第6.4.9条规定外,尚应符合下列要求:
1 窗间墙的截面应符合下列要求:
1)墙宽不应小于800mm;
2)墙净高与墙宽之比不宜大于5。
2 窗间墙中的竖向钢筋应符合下列要求:
1)每片窗间墙中沿全高不应少于4根钢筋;
2)窗间墙的竖向钢筋的配筋率不宜小于0.2%,也不宜大于0.8%。
3 窗间墙中的水平分布钢筋应符合下列要求:
1)水平分布钢筋应在墙端部纵筋处向下弯折90°,弯折段长度不小于15d和150mm;
2)水平分布钢筋的间距:在距梁边1倍墙宽范围内不应大于1/4墙长,其余部位不应大于1/2墙长;
3)水平分布钢筋的配筋率不宜小于0.15%。
条文说明
6.4.10 窗间墙一般为短肢墙,构造及配筋适当加强。
6.4.11 配筋小砌块砌体剪力墙应按下列情况设置边缘构件:
1 当利用剪力墙端的砌体时,应符合下列要求:
1)应在一字形墙端至少3倍墙厚范围内的孔中设置不小于 
12通长竖向钢筋;
2)应在墙体交接处设置每孔不小于 
12的通长竖向钢筋,L形宜设置3个孔,T形宜设置4个孔,十字形宜设置5个孔;
3)剪力墙端部压应力大于0.6f g 的部位,除按本款第一项的规定设置竖向钢筋外,尚应设置间距不大于200mm、直径不小于6mm的封闭箍筋,该封闭箍筋宜设置在灌孔混凝土中。
2 当在剪力墙墙端设置混凝土柱时,应符合下列要求:
1)柱的截面宽度不应小于墙厚,柱的截面高度宜为1倍~2倍的墙厚,并不应小于200mm;
2)柱混凝土的强度等级不应小于相应灌孔小砌块砌体的强度,也不应低于C20;
3)柱的竖向钢筋不宜小于4 
12,箍筋不宜小于 
6、间距不宜大于200mm;
4)墙体中的水平钢筋应在柱中锚固,并应满足钢筋的锚固要求;
5)柱的施工顺序应为先砌砌块墙体,将与混凝土柱交界面所有砌块的堵头凿除后,同时浇捣灌孔混凝土。
条文说明
6.4.11 配筋砌块砌体剪力墙的边缘构件,要求在该区设置一定数量的竖向构造钢筋和横向箍筋或等效的约束件,以提高剪力墙的整体抗弯能力和延性。本条是根据工程实践和参照我国有关规范的有关要求,及砌块剪力墙的特点给出的。 另外,在保证等强设计的原则,并在砌块砌筑、混凝土浇灌质量保证的情况下,砌块砌体剪力墙端可采用混凝土柱为边缘构件。虽然在施工程序上增加模板工序,但能集中设置较多竖向钢筋,水平钢筋的锚固也易解决,美国有类似的成功工程经验。
6.4.12 应控制配筋小砌块砌体剪力墙平面外的弯矩,当剪力墙肢的平面外方向梁的偏心距大于本规程第6.1.2条规定时,应采取下列措施之一:
1 沿梁轴线方向设置与梁相连的配筋小砌块砌体剪力墙,抵抗该墙肢平面外弯矩;
2 当不能设置时,可将梁端与墙连接作为铰接处理,并采取相应梁与墙铰接的构造措施;
3 梁高不宜大于墙截面厚度的2倍。
条文说明
6.4.12 剪力墙的特点是平面内刚度及承载力大,而平面外刚度及承载力都相对很小。当剪力墙与平面外方向的梁连接时,会造成墙肢平面外弯矩,而一般情况下并不验算墙的平面外的刚度及承载力。配筋小砌块砌体剪力墙的竖向配筋居墙截面中心处,对剪力墙平面外的受弯能力甚为不利。试验表明,配筋小砌块砌体剪力墙平面外受弯能力较差。 剪力墙平面外设置的扶壁柱宜按计算确定截面及配筋,但当扶壁柱较短,其总长不大于3倍墙厚时,往往超筋或配筋过大。为保证其一定的抗弯能力,扶壁柱全截面配筋应不低于本规程的有关规定。 当梁高大于2倍墙厚时,梁端弯矩对墙平面外的安全不利,因此应采取措施,降低梁的刚度,减少剪力墙平面外的弯矩,以利墙体安全。 本条所列措施,均可增大墙肢抵抗平面外弯矩的能力。另外,对截面高度较小的楼面梁可设计为铰接或半刚接,减小墙肢平面外弯矩。铰接端或半刚接端可通过弯矩调幅或梁变截面来实现,此时应相应加大梁跨中弯矩,且梁顶配筋不宜过小。
6.4.13 配筋小砌块砌体剪力墙中当连梁采用钢筋混凝土时,连梁混凝土的强度等级不应小于相应灌孔小砌块砌体的强度,也不应低于C20;其他构造尚应符合现行国家标准《混凝土结构设计规范》GB 50010的有关规定要求。
条文说明
6.4.13 本条规定了当采用钢筋混凝土连梁时的有关技术要求。
6.4.14 配筋小砌块砌体剪力墙中当连梁采用配筋小砌块砌体时,连梁应符合下列要求:
1 连梁的截面应符合下列要求:
1)连梁的高度不应小于两皮砌块的高度和400mm;
2)连梁应采用H型砌块或凹槽砌块组砌,孔洞应全部浇灌混凝土。
2 连梁的水平钢筋宜符合下列要求:
1)连梁上、下水平受力钢筋宜对称、通长设置,在灌孔砌体内的锚固长度不宜小于40d和600mm;
2)连梁水平受力钢筋的配筋率不宜小于0.2%,也不宜大于0.8%。
3 连梁的箍筋应符合下列要求:
1)箍筋的直径不应小于6mm;
2)箍筋的间距不宜大于1/2梁高和600mm;
3)在距支座等于梁高范围内的箍筋间距不应大于1/4梁高,距支座表面第一根箍筋的间距不应大于100mm;
4)箍筋的面积配筋率不宜小于0.15%;
5)箍筋宜为封闭式,双肢箍末端弯钩为135°;单肢箍末端的弯钩为180°,或弯90°加12倍箍筋直径的延长段。
条文说明
6.4.14 本条是参照美国规范和混凝土砌块的特点以及我国的工程实践制定的。混凝土砌块砌体剪力墙连梁由H型砌块或凹槽砌块组砌(当采用钢筋混凝土与配筋砌块组合连梁时受此限制),并应全部浇灌混凝土,以确保其整体性和受力。
6.4.15 部分框支配筋小砌块砌体剪力墙结构中框支层上一层及以下的配筋小砌块砌体墙的水平及竖向分布钢筋最小配筋率均不应小于0.10%,最大间距均不应大于600mm。
条文说明
6.4.15 部分框支配筋砌块砌体剪力墙结构底部的配筋砌块砌体墙的水平及竖向分布钢筋最小配筋率适当提高。
7 抗震设计
7.1一般规定
7 抗震设计
7.1 一般规定
7.1.1 抗震设防地区的混凝土小砌块砌体承重的多层房屋,底部一层或两层框架-抗震墙砌体房屋,配筋小砌块砌体抗震墙房屋,除应满足静力设计要求外,尚应按本章的规定进行抗震设计,同时应符合现行国家标准《建筑抗震设计规范》GB 50011的要求。
注:本章中“配筋小砌块砌体抗震墙”指全部灌芯配筋砌块砌体。
条文说明
7.1.1 抗震设防地区的小砌块砌体房屋抗震设计,首先要在满足静力设计要求的基础上进行,应对结构进行抗震承载力验算。
7.1.2 多层小砌块砌体房屋的抗震设计,应保证结构的整体性,并按规定设置钢筋混凝土圈梁、芯柱或构造柱,或采用约束砌体、配筋砌体等。
条文说明
7.1.2 小砌块砌体房屋抗震设计时应共同遵守的原则和要求,对于刚性较大的砌体结构基本都是一样的。通过设置圈梁、构造柱或芯柱约束砌体墙,使砌体墙发生裂缝后不致崩塌和散落而丧失对重力荷载的承载能力。 配筋小砌块砌体抗震墙地震作用下受力状态与钢筋混凝土墙接近,应采取措施避免混凝土压碎、构件剪切破坏、钢筋锚固部分拉脱(粘结破坏)等脆性破坏。
7.1.3 多层小砌块砌体房屋和配筋小砌块砌体抗震墙房屋宜避免采用不规则建筑结构方案。
1 多层小砌块砌体房屋的建筑布置和结构体系宜符合国家标准《建筑抗震设计规范》GB 50011-2010中7.1节的要求,并应符合下列要求:
1)应优先采用横墙承重或纵横墙共同承重的结构体系;
2)楼梯间不宜设置在房屋的尽端和转角处;
3)多层小砌块砌体房屋,不应在房屋转角处设置转角窗;
4)横墙较少、跨度较大或高度较大的房屋,宜采用现浇钢筋混凝土楼、屋盖;
5)烟道、风道等不应削弱墙体,不宜采用无竖向配筋的附墙烟囱及出屋面的烟囱;
6)不应采用无锚固的钢筋混凝土预制挑檐。
2 配筋小砌块砌体抗震墙房屋应符合国家标准《建筑抗震设计规范》GB 50011-2010中3.4节的规则性要求,并符合下列要求:
1)纵横向抗震墙宜拉通对直;每个独立墙段长度不宜大于8m,也不宜小于墙厚的5倍;墙段的高度与墙段长度之比不宜小于2。门窗洞口宜上下对齐,成列布置。
2)宜避免设置转角窗,否则应采取加强措施。
条文说明
7.1.3 小砌块砌体房屋抗震设计时,结构布置应按照优先采用横墙承重或纵横墙混合承重的结构体系,以利于房屋整体抗震要求。 多层小砌块砌体房屋,应避免设置转角窗。配筋小砌块砌体抗震墙房屋宜避免设置转角窗,否则,转角窗开间相关墙体尽端边缘构件最小纵筋直径应按规定值提高一级。 由于配筋小砌块砌体结构的受力性能类似于钢筋混凝土结构,因此参照钢筋混凝土抗震墙结构要求配筋小砌块砌体结构房屋的平面布置宜规则,不应采用严重不规则的平面布置形式,从结构体形的设计上保证房屋具有较好的抗震性能。 考虑到抗震墙结构应具有延性,细高的抗震墙(高宽比大于2)属弯曲型的延性抗震墙,可避免脆性的剪切破坏,因此要求配筋小砌块砌体墙段的长度(即墙段截面高度)不宜大于8m。当墙很长时,可通过开设洞口将长墙分成长度较小、较均匀的超静定次数较高的联肢墙,洞口连梁宜采用约束弯矩较小的弱连梁(其跨高比宜大于6),使其可近似认为分成了独立墙段。由于配筋小砌块砌体抗震墙的纵向钢筋设置在砌块孔洞内(距墙端约100mm),因此墙肢长度很短时很难充分发挥作用,因此设计时墙肢长度也不宜过短。高度小于18m的配筋小砌块砌体抗震墙多层房屋,由于相对地震作用较小,往往结构平面布置短肢抗震墙即能满足强度和刚度的要求,但是根据试验研究结果短肢抗震墙的抗震性能相对较差,因此宜在房屋外墙四角布置非一字形(一般为L形)一般抗震墙以保证房屋的整体性,提高房屋的抗震性能。
7.1.4 抗震设计时,房屋应根据不规则程度、地基基础条件和技术经济等因素的比较分析,确定是否设置防震缝。
1 多层小砌块砌体房屋有下列情况之一时宜设置防震缝,缝两侧均应设置墙体,缝宽应根据烈度和房屋高度确定,可采用70mm~100mm:
1)房屋立面高差在6m以上;
2)房屋有错层,且楼板高差大于层高的1/4;
3)各部分结构刚度、质量截然不同。
2 配筋小砌块砌体抗震墙房屋,体形复杂、平立面不规则时宜设防震缝。防震缝宽度应根据烈度和房屋高度确定,当房屋高度不超过24m时,可采用100mm;当超过24m时,6度、7度、8度和9度相应每增加6m、5m、4m和3m,宜加宽20mm。
条文说明
7.1.4 小砌块砌体房屋防震缝宽度应根据烈度和房屋高度确定。根据试验研究结果,由于配筋小砌块砌体抗震墙存在水平灰缝和垂直灰缝,其结构变形能力要优于钢筋混凝土抗震墙,因此在规定防震缝的宽度时,相应的也要大于钢筋混凝土抗震墙结构建筑。当房屋高度不超过24m时,可采用100mm;当超过24m时,在100mm宽度的基础上,随着房屋高度增大按不同烈度相应加大防震缝宽度。 汶川地震中,在大震作用下,设置防震缝的房屋在缝两侧均发生不同程度破坏,破坏部位全部集中在高度相对较小房屋顶部对应的高度范围内。为避免相撞部位墙体破坏严重而倒塌伤人甚至造成相对较高房屋局部坍塌,因此建议加强相撞部位墙体防倒塌能力。
7.1.5 抗震设计时结构材料性能指标,应符合下列要求:
1 混凝土小砌块的强度等级不应低于MU7.5,其砌筑砂浆强度等级不应低于Mb7.5。配筋小砌块砌体抗震墙,混凝土小砌块的强度等级不应低于MU10,其砌筑砂浆强度等级不应低于Mb10。
2 混凝土材料,应符合下列要求:
1)托梁,底部框架-抗震墙砌体房屋中的框架梁、柱、节点核芯区、落地混凝土墙和过渡层楼板,部分框支配筋小砌块砌体抗震墙结构中的框支梁和框支柱等转换构件、节点核芯区、落地混凝土墙和转换层楼板,其混凝土的强度等级不应低于C30;
2)构造柱、圈梁、水平现浇钢筋混凝土带及其他各类构件不应低于C20,砌块砌体芯柱和配筋小砌块砌体抗震墙的灌孔混凝土强度等级不应低于Cb20。
3 普通钢筋材料应符合抗震性能指标,宜优先采用延性、韧性和焊接性较好的钢筋,并宜符合下列规定:
1)砌体中普通钢筋宜选用HRB400级钢筋和HRB335级钢筋,也可采用HPB300级钢筋;
2)托梁、框架梁、框架柱、落地混凝土墙和框支梁、框支柱等混凝土构件,其纵向受力普通钢筋和墙分布钢筋宜选用不低于HRB400的热轧钢筋,也可采用HRB335级热轧钢筋;箍筋宜选用不低于HRB335级的热轧钢筋,也可选用HPB300级热轧钢筋。
条文说明
7.1.5 承重砌块的最低强度等级应根据房屋层数和强度大小而确定。本条规定的最低强度等级是适合多层和低层小砌块砌体房屋的要求。 在抗震设计中,根据荷载作用性质的不同,对配筋小砌块砌体的材料强度要求应比非抗震设计的要求要高一些。
Ⅰ 多层小砌块砌体结构
7.1.6 多层小砌块砌体房屋的层数和总高度应符合下列要求:
1 一般情况下,房屋的层数和总高度不应超过表7.1.6的规定。

2 各层横墙较少的多层砌体房屋,总高度应比表7.1.6的规定降低3m,层数相应减少一层;各层横墙很少的多层砌体房屋,还应再减少一层。
注:横墙较少是指同一楼层内开间大于4.2m的房间占该层总面积的40%以上;其中,开间不大于4.2m的房间占该层总面积不到20%且开间大于4.8m的房间占该层总面积的50%以上为横墙很少。
3 6、7度时,横墙较少的丙类多层砌体房屋,当按第7.3.14条规定采取加强措施并满足抗震承载力要求时,其高度和层数应允许仍按表7.1.6的规定采用。
条文说明
7.1.6 小砌块砌体房屋地震作用时的破坏与房屋的层数和高度成正比。所以,要控制房屋的层数和高度,以避免遭到严重破坏或倒塌。根据有关科研资料和抗震设计规范的规定,混凝土小砌块多层房屋基本与其他砌体结构类同。对底部框架-抗震墙结构,均取与一般砌体房屋相同的层数和高度,考虑该结构体系不利于抗震,8度(0.20g)设防时适当降低层数和高度,8度(0.30g)和9度设防时及乙类建筑不允许采用。 对要求设置大开间的多层小砌块砌体房屋,在符合横墙较少条件的情况下,通过多方面的加强措施,可以弥补大开间带来的削弱作用,而使多层小砌块砌体房屋不降低层数和总高度。 本条按照2010年版抗震规范作下列变动: 1 补充规定了7度(0.15g)和8度(0.30g)的高度和层数限值。 2 底部框架-抗震墙砌体房屋,不允许用于乙类建筑和8度(0.3g)以上的丙类建筑。 3 表7.1.6中底部框架-抗震墙砌体房屋的最小砌体墙厚系指上部砌体房屋部分。 4 根据横墙较少砌体房屋的试设计结果,横墙较少的房屋,按规定的措施加强后,总层数和总高度不变的适用范围,扩大到丙类建筑,但规定仅6、7度时允许总层数和总高度不降低。 5 补充了横墙很少的多层砌体房屋的定义。对各层横墙很少的多层砌体房屋,其总层数应比横墙较少时再减少一层,由于层高的限制,总高度也有所降低。 坡屋面阁楼层一般仍需计入房屋总高度和层数;但重力荷载小于标准层1/3的突出屋面小建筑,不计入层数和高度的控制范围。斜屋面下的“小建筑”通常按实际有效使用面积或重力荷载代表值小于顶层30%控制
7.1.7 多层小砌块砌体承重房屋的层高,不应超过3.6m。
底部框架-抗震墙砌体房屋的底部,层高不应超过4.5m;当底层采用约束小砌块砌体抗震墙时,底层的层高不应超过4.2m。
7.1.8 多层小砌块砌体房屋总高度与总宽度的最大比值,宜符合表7.1.8的要求。

条文说明
7.1.8 若砌体房屋考虑整体弯曲进行验算,目前的方法即使在7度时,超过3层就不满足要求,与大量的地震宏观调查结果不符。实际上,多层砌体房屋一般可以不做整体弯曲验算,但为了保证房屋的稳定性,限制了其高宽比。
7.1.9 多层小砌块砌体房屋抗震横墙的间距,不应超过表7.1.9的要求:

条文说明
7.1.9 小砌块砌体房屋的主要抗震构件是各道墙体。因此,作为横向地震作用的主要承力构件就是横墙。横墙的分布决定了房屋横向的抗震能力。为此,要求限制横墙的最大间距,以保证横向地震作用的满足。 本次修订,考虑到原规定的抗震横墙最大间距在实际工程中一般并不需要这么大,同时,亦为提高多层砌体房屋的抗震能力,故将横墙间距均减小2m~3m,并补充了9度时相关规定。
7.1.10 多层小砌块砌体房屋中砌体墙段的局部尺寸限值,宜符合表7.1.10的要求:

条文说明
7.1.10 小砌块砌体房屋的局部尺寸规定,主要是为防止由于局部尺寸的不足引起连锁反应,导致房屋整体破坏倒塌。当然,小砌块的局部墙垛尺寸还要符合自身的模数;当局部尺寸不能满足规定要求,也可以采取增加构造柱或芯柱及增大配筋来弥补;当表中部位采用全灌孔配筋小砌块或钢筋混凝土墙垛时,其局部尺寸可不受表7.1.10限制,但其截面尺寸和配筋应满足稳定和承载力要求。 本次修订,补充了承重外墙尽端局部尺寸限值和9度时相关规定。 承重外墙尽端指,建筑物平面凸角处(不包括外墙总长的中部局部凸折处)的外墙端头,以及建筑物平面凹角处(不包括外墙总长的中部局部凹折处)未与内墙相连的外墙端头。
7.1.11 底部框架-抗震墙砌体房屋的结构布置和钢筋混凝土结构部分,应符合现行国家标准《建筑抗震设计规范》GB 50011的有关规定。底部混凝土框架的抗震等级,6、7、8度应分别按三、二、一级采用,混凝土墙体的抗震等级,6、7、8度应分别按三、三、二级采用。
条文说明
7.1.11 底部框架-抗震墙房屋,当上层砌体部分采用小砌块墙体时,其结构布置及有关构造要求应与其他砌体结构一致,所不同的仅是砌块砌体材料。而试验资料已经表明,小砌块代替其他砌体材料,具有更多的优点,如可以配置较多的钢筋,使底部框架的材料与小砌块材料更为接近等,有利于变形及动力特性的一致。 底部框架-抗震墙房屋的钢筋混凝土结构部分,其抗震要求原则上均应符合国家标准《建筑抗震设计规范》GB 50011-2010第6章的要求,抗震等级与钢筋混凝土结构的框支层相当。但考虑到底部框架-抗震墙房屋高度较低,底部的钢筋混凝土抗震墙应按低矮墙或开竖缝设计,构造上有所区别。
Ⅱ 配筋小砌块砌体抗震墙结构
7.1.12 配筋小砌块砌体抗震墙房屋的最大高度应符合表7.1.12-1的规定,且房屋高宽比不宜超过表7.1.12-2的规定;对横墙较少或建造于Ⅳ类场地的房屋,适用的最大高度应适当降低。


条文说明
7.1.12 国内外有关试验研究结果表明,配筋小砌块砌体抗震墙结构具有强度高、延性好的特点,其受力性能和计算方法都与钢筋混凝土抗震墙结构相似,因此理论上其房屋适用高度可参照钢筋混凝土抗震墙房屋,但应适当降低。上海、哈尔滨、大庆等地都曾成功建造过18层的配筋小砌块砌体抗震墙住宅房屋,同济大学和湖南大学都曾进行过7度~9度区配筋小砌块砌体抗震墙住宅房屋的静力弹塑性分析,计算结果表明,按表7.1.12-1规定的适用最大高度是比较合适的。试验研究表明,底部为框支抗震墙的配筋小砌块砌体抗震墙结构抗震相对不利,因此对于这类房屋的最大适用高度应给予更严格的控制,同时在9度区不应采用。 近年来的工程实践和计算分析表明,配筋小砌块砌体抗震墙结构在8层~18层范围时具有很强的竞争力,相对钢筋混凝土抗震墙结构房屋,土建造价要低5%~7%,为了鼓励和推动配筋小砖块砌体房屋的推广应用,当经过专门研究和论证,有可靠技术依据,采取必要的加强措施后,可适当突破表7.1.12-1的规定,但增加高度一般不宜大于6m、2层。 配筋小砌块砌体房屋高宽比限制在一定范围内时,有利于房屋的稳定性,一般可不做整体弯曲验算;配筋小砌块砌体抗震墙抗拉相对不利,因此限制房屋高宽比可以使抗震墙墙肢一般不会出现大偏心受拉状况。根据试验研究和计算分析,当房屋的平面布置和竖向布置比较规则时,对提高房屋的整体性和抗震能力有利。当房屋的平面布置和竖向布置不规则时,会增大房屋的地震反应,此时应适当减小房屋高宽比以保证在地震荷载作用下结构不会发生整体弯曲破坏。 计算配筋小砌块砌体抗震墙房屋的高宽比,一般情况,可按所考虑方向的最小投影宽度计算高宽比,但对突出建筑物平面很小的局部结构(如楼梯间、电梯间等),一般不应包含在计算宽度内;对于不宜采用最小投影宽度计算高宽比的情况,还应根据实际情况确定。
7.1.13 配筋小砌块砌体抗震墙房屋应根据抗震设防分类、抗震设防烈度、房屋高度和结构类型采用不同的抗震等级,并应符合相应的计算和构造措施要求。丙类建筑的抗震等级宜按表7.1.13确定。

条文说明
7.1.13 配筋小砌块砌体结构的抗震等级是考虑了结构构件的受力性能和变形性能,同时参照了钢筋混凝土房屋的抗震设计要求而确定的,主要是根据抗震设防分类、烈度、房屋高度和结构类型等因素划分配筋小砌块砌体结构的不同抗震等级,对于底部为框支抗震墙的配筋小砌块砌体抗震墙结构的抗震等级则相应提高一级。
7.1.14 采用现浇钢筋混凝土楼、屋盖时,抗震横墙的最大间距,应符合表7.1.14的要求:

条文说明
7.1.14 楼、屋盖平面内的变形,将影响楼层水平地震作用在各抗侧力构件之间的分配,为了保证配筋小砌块砌体抗震墙结构房屋的整体性,楼、屋盖宜采用现浇钢筋混凝土楼、屋盖,横墙间距也不应过大,使楼盖具备传递地震力给横墙所需的水平刚度。
7.1.15 配筋小砌块砌体抗震墙房屋的层高应符合下列要求:
1 底部加强部位的层高,一、二级不宜大于3.2m,三、四级不宜大于3.9m;
2 其他部位的层高,一、二级不宜大于3.9m,三、四级不宜大于4.8m。
注:底部加强部位指不小于房屋高度的1/6且不小于底部二层的高度范围,房屋总高度小于18m时取一层。
条文说明
7.1.15 已有的试验研究表明,抗震墙的高度对抗震墙出平面偏心受压强度和变形有直接关系,因此本条文规定配筋小砌块砌体抗震墙的层高主要是为了保证抗震墙出平面的强度、刚度和稳定性。由于小砌块的厚度是确定的为190mm,因此当房屋的层高为3.2m~4.8m时,与普通钢筋混凝土抗震墙的要求基本相当。
7.1.16 配筋小砌块砌体抗震墙的短肢墙应符合下列要求:
1 不应采用全部为短肢墙的配筋小砌块砌体抗震墙结构,应形成短肢抗震墙与一般抗震墙共同抵抗水平地震作用的抗震墙结构,9度时不宜采用短肢墙;
2 短肢墙的抗震等级应比本规程表7.1.13的规定提高一级采用;已为一级时,配筋应按9度的要求提高;
3 在给定的水平力作用下,一般抗震墙承受的地震倾覆力矩不应小于结构总倾覆力矩的50%,且短肢抗震墙截面面积与同层抗震墙总截面面积比例,抗震等级为三级及以上房屋两个主轴方向均不宜大于20%,抗震等级为四级的房屋,两个主轴方向均不宜大于50%;总高度小于等于18m的多层房屋,短肢抗震墙截面面积与同层抗震墙总截面面积比例,一、二级时两个主轴方向均不宜大于30%,三级时不宜大于50%,四级时不宜大于70%;
4 短肢墙宜设置翼墙;不应在一字形短肢墙平面外布置与之单侧相交的楼、屋面梁。
注:短肢抗震墙是指墙肢截面高度与宽度之比为5~8的抗震墙,一般抗震墙是指墙肢截面局度与厚度之比大于8的抗震墙。“L”形,“T”形,“+”形等多肢墙截面的长短肢性质应由较长一肢确定。
条文说明
7.1.16 虽然短肢抗震墙结构有利于建筑布置,能扩大使用空间,减轻结构自重,但是其抗震性能较差,因此抗震墙不能过少、墙肢不宜过短。对于高层配筋小砌块砌体抗震墙房屋不应设计多数为短肢抗震墙的建筑,而要求设置足够数量的一般抗震墙,形成以一般抗震墙为主、短肢抗震墙与一般抗震墙相结合的共同抵抗水平力的结构,保证房屋的抗震能力,因此参照有关规定,对短肢抗震墙截面面积与同一层内所有抗震墙截面面积比例作了规定;而对于高度小于18m的多层房屋,考虑到地震作用相对较小,应与高层建筑房屋有所区别,因此对短肢抗震墙截面面积与同一层内所有抗震墙截面面积的比例予以放宽,但仍应满足7.1.3条第2款的要求,即在房屋外墙四角布置L形一般抗震墙。 一字形短肢抗震墙延性及平面外稳定均十分不利,因此规定不宜布置单侧楼面梁与之平面外垂直或斜交,同时要求短肢抗震墙应尽可能设置翼缘,保证短肢抗震墙具有适当的抗震能力。
7.1.17 配筋小砌块砌体抗震墙房屋抗震计算时,应按本节规定调整地震作用效应;6度时可不作截面抗震验算(不规则建筑除外),但应按本规程的有关要求采取抗震构造措施。配筋小砌块砌体抗震墙房屋应进行多遇地震作用下的抗震变形验算,其楼层内最大的层间弹性位移角不宜超过1/800,底层不宜超过1/1200,部分框支配筋小砌块砌体抗震墙结构除底层之外的部分框支层不宜超过1/1000。
条文说明
7.1.17 由于配筋小砌块砌体抗震墙存在水平灰缝和垂直灰缝,在荷载作用下其变形性能类似于钢筋混凝土开缝抗震墙,因此在地震作用下此类结构具有良好的耗能能力,而且灌孔砌体的强度和弹性模量也要低于相对应的混凝土性能指标,其变形能力要比普通钢筋混凝土抗震墙好。根据同济大学进行的配筋小砌块砌体抗震墙受弯、受剪试验研究结果,墙片开裂时的层间位移角都在1/480以上,哈尔滨工业大学、湖南大学等有关单位的试验研究结果也都在该值之上,说明配筋小砌块砌体抗震墙的层间变形能力确实优于普通钢筋混凝土抗震墙。本条文根据试验研究结果,综合考虑了钢筋混凝土抗震墙弹性层间位移角限值,规定了配筋小砌块砌体抗震墙结构在多遇地震作用下的抗震变形验算时,其楼层内的弹性层间位移角限值为1/800,底层由于承受的剪力最大,主要是剪切变形,因此其弹性层间位移角限值要求也较高,为1/1200。
7.1.18 部分框支配筋小砌块砌体抗震墙房屋的结构布置应符合下列要求:
1 上部的配筋小砌块砌体抗震墙的中心线宜与底部的抗震墙或框架的中心线相重合。
2 房屋的底部应沿纵横两个方向设置一定数量的抗震墙,并应均匀布置。底部抗震墙可采用配筋小砌块砌体抗震墙或钢筋混凝土抗震墙,但同一层内不应混用。如采用钢筋混凝土抗震墙,混凝土强度等级不宜大于C35。
3 矩形平面的部分框支配筋小砌块砌体抗震墙房屋结构的楼层侧向刚度比和底层框架部分承担的地震倾覆力矩,应符合国家标准《建筑抗震设计规范》GB 50011-2010第6.1.9条的有关要求。
4 抗震墙应采用条形基础、筏板基础、箱基或桩基等整体性能较好的基础。
5 除应符合本规程有关条文要求之外,部分框支配筋小砌块砌体抗震墙房屋的结构布置尚应符合国家现行标准《建筑抗震设计规范》GB 50011和《高层建筑混凝土结构技术规程》JGJ 3中的有关要求。
条文说明
7.1.18 对于底部框架抗震墙结构的房屋,保持纵向受力构件的连续性是防止结构纵向刚度突变而产生薄弱层的主要措施,对结构抗震有利。在结构平面布置时,由于配筋小砌块砌体抗震墙和钢筋混凝土抗震墙在强度、刚度和变形能力方面都有一定差异,因此应避免在同一层面上混合使用。底部框架-抗震墙房屋的过渡层担负结构转换,在地震时容易遭受破坏,因此除在计算时应满足有关规定之外,在构造上也应予以加强。底部框架-抗震墙房屋的抗震墙往往要承受较大的弯矩、轴力和剪力,应选用整体性能好的基础,否则抗震墙不能充分发挥作用。 对于底下一层或多层的底部框架抗震墙结构的房屋还应按照《建筑抗震设计规范》GB 50011和《高层建筑混凝土结构技术规程》JGJ 3中的有关要求,采用适当的结构布置。
7.2地震作用和结构抗震验算
7.2 地震作用和结构抗震验算
7.2.1 计算地震作用时,建筑的重力荷载代表值应取结构和构件自重标准值和各可变荷载组合值之和。各可变荷载的组合值系数,应按表7.2.1采用。

条文说明
7.2.1 根据《建筑结构可靠度设计统一标准》GB 50068的规定,发生地震时荷载与其他重力荷载的可能组合结果称为抗震设计重力荷载代表值GE,即永久荷载标准值与有关的可变荷载组合值之和。组合值系采用《建筑抗震设计规范》GB 50011规定的数值。
7.2.2 结构抗震计算应符合现行国家标准《建筑抗震设计规范》GB 50011相关规定。配筋小砌块砌体抗震墙房屋宜采用振型分解反应谱法,多层小砌块砌体房屋可采用底部剪力法进行抗震计算。
7.2.3 多层小砌块砌体房屋采用底部剪力法计算时,各楼层可仅取一个自由度,结构的水平地震作用标准值应按下列公式确定(图7.2.3):


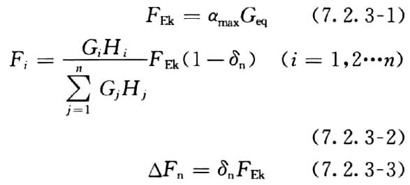
式中:F Ek ——结构总水平地震作用标准值 (N);
α max ——水平地震影响系数最大值,应按表7.2.3采用;
G eq ——结构等效总重力荷载(N),单质点应取总重力荷载代表值,多质点可取总重力荷载代表值的85%;
F i ——质点i的水平地震作用标准值(N);
G i ,G j ——分别为集中于质点i、j的重力荷载代表值(N),应按本规程第7.2.1条确定;
H i ,H j ——分别为质点i、j的计算高度(mm);
△F n ——顶部附加水平地震作用(N);
δ n ——顶部附加地震作用系数,多层小砌块砌体房屋可采用0.0。

7.2.4 采用底部剪力法时,突出屋面的屋顶间、女儿墙、烟囱等的地震作用效应,宜乘以增大系数3,此增大部分不应往下传递,但与该突出部分相连的构件应予计入。采用振型分解反应谱法时,突出屋面部分可作为一个质点。
条文说明
7.2.3、7.2.4 多层小砌块砌体房屋层数和高度已有限制,刚度沿高度分布一般也比较均匀,变形以剪切变形为主。因此,符合采用底部剪力法的条件。对局部突出于顶层的部分,按《建筑抗震设计规范》GB 50011的规定乘以3倍地震作用进行本层的强度验算。
7.2.5 一般情况下,小砌块砌体房屋应至少在建筑结构的两个主轴方向分别计算水平地震作用并进行抗震验算,各方向的水平地震作用应由该方向抗侧力构件承担。
7.2.6 质量和刚度分布明显不对称的小砌块砌体房屋,应计入双向水平地震作用下的扭转影响。
条文说明
7.2.5、7.2.6 地震作用于房屋是任意方向的,但均可按力分解为两个主轴方向,抗震验算时分别沿房屋的两个主轴方向作用。当房屋的质量和刚度有明显不均匀时,或采用了不对称结构时,应考虑地震作用导致的扭转影响,进行扭转验算。
Ⅰ 多层小砌块砌体结构
7.2.7 采用底部剪力法时,结构的楼层水平地震剪力设计值,应按下式计算:

式中:V i ——第i层水平地震剪力设计值(N);
V hi ——第i层水平地震剪力标准值(N),由本规程第7.2.3条的水平地震作用标准值计算得到。
条文说明
7.2.7 根据《建筑抗震设计规范》GB 50011结构构件的地震作用效应和其他荷载效应的基本组合的规定,直接规定了多层小砌块砌体房屋结构楼层水平地震剪力设计值的计算。
7.2.8 进行地震剪力分配和截面验算时,砌体墙段的层间等效侧向刚度应按下列原则确定:
1 刚度的计算应计及高宽比的影响。高宽比小于1时,可只计算剪切变形;高宽比不大于4且不小于1时,应同时计算弯曲和剪切变形;高宽比大于4时,等效侧向刚度可取0;
注:墙段的高宽比指层高与墙长之比,对门窗洞边的小墙段指洞净高与洞侧墙宽之比。
2 墙段宜按门窗洞口划分;对设置构造柱的小开口墙段按毛墙面计算的刚度,可根据开洞率乘以表7.2.8的墙段洞口影响系数。

条文说明
7.2.8 在各楼层的各墙段间进行地震剪力与配筋截面验算时,可根据层间墙段的不同高宽比(一般墙段和门窗洞边的小墙段),分别按剪切变形、弯曲变形或同时考虑弯剪变形区别对待进行验算。计算墙段时可按门窗洞口划分。 墙段的高宽比指层高与墙长之比,对门窗洞边的小墙段指洞净高与洞侧墙宽之比。 本次修订明确,关于开洞率的定义及适用范围,系参照原行业标准《设置钢筋混凝土构造柱多层砖房抗震技术规程》JGJ/T 13的相关内容得到的,墙段洞口影响系数表仅适用于带构造柱的小开口墙段。当本层门窗过梁及以上墙体的合计高度小于层高的20%时,洞口两侧应分为不同的墙段。
7.2.9 多层小砌块砌体房屋,可只选从属面积较大或竖向应力较小的墙段进行截面抗震承载力验算。
条文说明
7.2.9 一般情况下,抗震验算可只选择纵、横向不利墙段进行截面验算。
7.2.10 小砌块砌体沿阶梯形截面破坏的抗震抗剪强度设计值,应按下式确定:

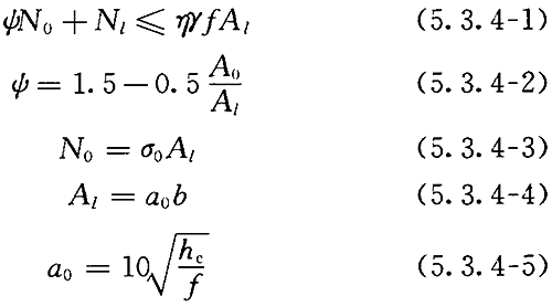
式中:f vE ——砌体沿阶梯形截面破坏的抗震抗剪强度设计值(MPa);
f v ——非抗震设计的砌体抗剪强度设计值;应按本规程表3.2.2采用;
ζ N ——砌体抗震抗剪强度的正应力影响系数,应按表7.2.10采用。

条文说明
7.2.10 地震作用下的砌体材料强度指标难以求得。小砌块砌体强度主要通过试验,采用调整抗剪强度的方法来表达。 由于小砌块砌体的抗剪强度fv
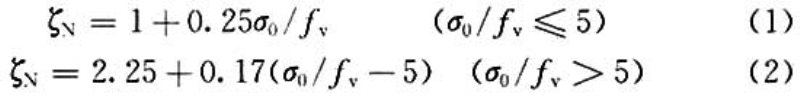
较低,σ 0 /f v 相对较大,根据试验资料,砌体强度正应力影响的系数由剪摩公式得到。对普通小砌块的公式是:

本次修订,根据砌体规范f v 取值的变化,对表内数值作了调整,使f vE 与σ的函数关系基本不变。根据有关试验资料,当σ 0 /f v ≥16时,小砌块砌体的正应力影响系数如仍按剪摩公式线性增加,则其值偏高,偏于不安全。因此当σ 0 /f v 大于16时,普通小砌块砌体的正应力影响系数都按σ 0 /f v =16时取3.92。
7.2.11 小砌块墙体的截面抗震受剪承载力,应按下式验算:

式中:V——考虑地震作用组合的墙体剪力设计值(N);
A——墙体横截面积(mm 2 );
γ RE ——承载力抗震调整系数,应按表7.2.11采用。

7.2.12 设置构造柱和芯柱的小砌块墙体的截面抗震受剪承载力,可按下式验算:

式中:f t1 ——芯柱混凝土轴心抗拉强度设计值(MPa);
f t2 ——构造柱混凝土轴心抗拉强度设计值(MPa);
A c1 ——墙中部芯柱截面总面积(mm 2 );
A c2 ——墙中部构造柱截面总面积(mm 2 );
A s1 ——芯柱钢筋截面总面积(mm 2 );
A s2 ——构造柱钢筋截面总面积(mm 2 );
f y1 ——芯柱钢筋抗拉强度设计值(MPa);
f y2 ——构造柱钢筋抗拉强度设计值(MPa);
ζ c ——芯柱、构造柱参与工作系数,可按表7.2.12采用。

条文说明
7.2.11、7.2.12 多层小砌块墙体截面的抗震抗剪承载能力,采用《建筑抗震设计规范》GB 50011的规定。相应的承载力抗震调整系数也均取一致的数值。 对设置芯柱的小砌块墙体截面抗震抗剪承载力计算,主要是依据有关的试验资料统计确定的。 当墙段中既设有芯柱,又设有构造柱时,根据北京市建筑设计研究院数十片墙体试验结果统计分析,可按式(7.2.12)直接计算。
7.2.13 底部框架-抗震墙房屋的抗震验算,应按现行国家标准《建筑抗震设计规范》GB 50011的有关规定执行。
条文说明
7.2.13 底部框架-抗震墙的抗震验算,应按《建筑抗震设计规范》GB 50011规定进行。
Ⅱ 配筋小砌块砌体抗震墙结构
7.2.14 配筋小砌块砌体抗震墙承载力计算时,底部加强部位截面的组合剪力设计值应按下列规定调整:

式中:V——抗震墙截面组合的剪力设计值(N);
V w ——抗震墙截面组合的剪力计算值(N);
η vw ——剪力增大系数,按表7.2.14取用。

条文说明
7.2.14 配筋小砌块砌体抗震墙房屋的抗震计算分析,包括内力调整和截面应力计算方法,大多参照钢筋混凝土结构的有关规定,并针对配筋小砌块砌体结构的特点做了修正。 在配筋小砌块砌体抗震墙房屋抗震设计计算中,抗震墙底部的荷载作用效应最大,因此应根据计算分析结果,对底部截面的组合剪力设计值采用按不同抗震等级确定剪力放大系数的形式进行调整,以使房屋的最不利截面得到加强。多层配筋小砌块砌体房屋(≤18m),根据其受力特点一般布置有较多短肢抗震墙,因此在本规程第7.1.16条第3款中对短肢抗震墙截面面积与同层抗震墙总截面面积的比例予以了适当调整,但考虑到短肢抗震墙抗震性能相对不利,因此对短肢抗震墙的剪力增大系数取值要求更高,而且在多层配筋小砌块砌体房屋设计中,适当提高其剪力增大系数可调整短肢抗震墙的布置,使结构更加合理。
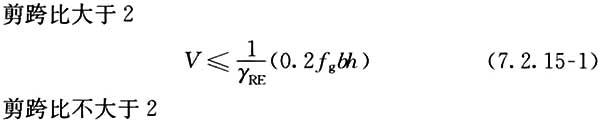
7.2.15 配筋小砌块砌体抗震墙截面组合的剪力设计值,应符合下列公式要求:


式中:f g ——灌孔小砌块砌体抗压强度设计值(MPa);
b——抗震墙截面宽度(mm);
h——抗震墙截面高度(mm);
γ RE ——承载力抗震调整系数,取0.85。
7.2.16 偏心受压配筋小砌块砌体抗震墙截面受剪承载力,应按下列公式验算:

式中:N——抗震墙组合的轴向压力设计值(N);当N>0.2f g bh时,取N=0.2f g bh;
λ——计算截面处的剪跨比,取λ=M/Vh 0 ;小于1.5时取1.5,大于2.2时取2.2;
f gv ——灌孔小砌块砌体抗剪强度设计值(MPa);f gv =0.2f 0.55 g ;
A sh ——同一截面的水平钢筋截面面积(mm 2 );
S——水平分布钢筋间距(mm);
f yh ——水平分布钢筋抗拉强度设计值(MPa);
h 0 ——抗震墙截面有效高度(mm)。
7.2.17 偏心受拉配筋小砌块砌体抗震墙,其斜截面受剪承载力应按下列公式计算:

7.2.18 抗震墙采用配筋小砌块砌体连梁时应符合下列要求:
1 连梁的截面应满足下式的要求:

2 连梁的斜截面受剪承载力应按下式计算:

式中:A sv ——配置在同一截面内的箍筋各肢的全部截面面积(mm 2 );
f yv ——箍筋的抗拉强度设计值(MPa)。
7.2.19 配筋小砌块砌体结构构件抗震设计,除应符合本章规定外,尚应符合现行国家标准《建筑抗震设计规范》GB 50011和《砌体结构设计规范》GB 50003的有关要求,混凝土构件部分应符合国家现行标准《混凝土结构设计规范》GB 50010和《高层建筑混凝土结构技术规程》JGJ 3的有关要求。
条文说明
7.2.15~7.2.19 规定配筋小砌块砌体抗震墙的截面抗剪能力限制条件,是为了规定抗震墙截面尺寸的最小值,或者说是限制了抗震墙截面的最大名义剪应力值。试验研究结果表明,抗震墙的名义剪应力过高,灌孔砌体会在早期出现斜裂缝,水平抗剪钢筋不能充分发挥作用,即使配置很多水平抗剪钢筋,也不能有效地提高抗震墙的抗剪能力。 配筋小砌块砌体抗震墙截面应力控制值,类似于混凝土抗压强度设计值,采用“灌孔小砌块砌体”的抗压强度,它不同于砌体抗压强度,也不同于混凝土抗压强度。 配筋小砌块砌体抗震墙截面受剪承载力由砌体、竖向钢筋和水平分布筋三者共同承担,为使水平分布钢筋不致过小,要求水平分布筋应承担一半以上的水平剪力。
7.3抗震构造措施
7.3 抗震构造措施
Ⅰ 多层小砌块砌体结构
7.3.1 小砌块砌体房屋同时设置构造柱和芯柱时,应按下列要求设置现浇钢筋混凝土构造柱(以下简称构造柱):
1 构造柱设置部位,应符合表7.3.1的要求。
2 外廊式和单面走廊式的多层小砌块砌体房屋,应根据房屋增加一层后的层数,按表7.3.1的要求设置构造柱,且单面走廊两侧的纵墙均应按外墙处理。
3 横墙较少的房屋,应根据房屋增加一层的层数,按表7.3.1的要求设置构造柱。当横墙较少的房屋为外廊式或单面走廊式时,应按本条2款要求设置构造柱;但6度不超过4层、7度不超过3层和8度不超过2层时,应按增加2层的层数设置。
4 各层横墙很少的房屋,应按增加两层的层数设置构造柱。
5 有错层的多层房屋,错层部位应设置墙,墙中部构造柱间距不宜大于2m,在错层部位的纵横墙交接处应设置构造柱。

条文说明
7.3.1 在小砌块砌体房屋中,国外和国内以往的做法中均采用芯柱,即在规定的部位内,设置若干个芯柱来加强小砌块墙段的抗压、抗剪以及整体性,对于抗震而言,可以增大变形能力和延性。 但是,芯柱做法存在要求设置的数量多,施工浇灌混凝土不易密实,浇灌的混凝土质量难以检查,多排孔小砌块无法做芯柱等不足,因此有待改进和完善这种构造做法。 经过试验研究,如北京市建筑设计研究院进行的数十片墙的芯柱、构造柱对比试验,以及6层芯柱体系和9层构造柱体系的1/4比例模型正弦波激振试验。结果表明,小砌块砌体房屋中采用构造柱做法比芯柱做法具有下列优点:①减少现浇混凝土量,减少芯柱的数量,在墙体连接中可用一个构造柱替代多个芯柱;②构造柱替代芯柱,可节约混凝土浇灌量和竖向钢筋;③构造柱做法容易检查浇灌混凝土的质量,比芯柱质量有保证,施工亦较方便;④根据试验结果,构造柱比芯柱体系的变形能力有较大提高,结构耗能两者相差1.6倍,延性系数从2可提高到3以上。 根据有关试验和工程实践,采用部分构造柱代替芯柱做法是结合了我国工程实践和经济条件的特点,是符合我国国情的。 本次关于构造柱设置和构造要求主要作了下列修改: 1 增加了不规则平面的外墙对应转角(凸角)处设置构造柱的要求;楼梯斜段上下端对应墙体处增加4根构造柱,与在楼梯间四角设置的构造柱合计有8根构造柱。 2 对横墙很少的多层砌体房屋,明确按增加2层的层数设置构造柱。
7.3.2 小砌块砌体房屋的构造柱,应符合下列构造要求:
1 构造柱截面不宜小于190mm×190mm,纵向钢筋不宜少于4 
12,箍筋间距不宜大于250mm,且在柱上下端应适当加密;6、7度时超过5层、8度时超过4层和9度时,构造柱纵向钢筋宜采用4 
14,箍筋间距不应大于200mm;外墙转角的构造柱应适当加大截面及配筋;
2 构造柱与小砌块墙连接处应砌成马牙槎;与构造柱相邻的砌块孔洞,6度时宜填实,7度时应填实,8、9度时应填实并插筋1 
12;
3 构造柱与圈梁连接处,构造柱的纵筋应在圈梁纵筋内侧穿过,保证构造柱纵筋上下贯通;
4 构造柱可不单独设置基础,但应伸入室外地面下500mm,或与埋深小于500mm的基础圈梁相连;
5 必须先砌筑小砌块墙体,再浇筑构造柱混凝土。
条文说明
7.3.2 小砌块砌体房屋中设置的构造柱需符合小砌块墙的特点,包括构造柱截面尺寸及与墙的拉结。
7.3.3 小砌块砌体房屋采用芯柱做法时,应按表7.3.3的要求设置钢筋混凝土芯柱,并应满足下列要求:
1 混凝土砌块砌体墙纵横墙交接处、墙段两端和较大洞口两侧宜设置不少于单孔的芯柱。
2 有错层的多层房屋,错层部位应设置墙,墙中部的钢筋混凝土芯柱间距宜适当加密,在错层部位纵横墙交接处宜设置不少于4孔的芯柱。
3 房屋层数或高度等于或接近本规程表7.1.6中限值时,纵、横墙内芯柱间距尚应符合下列要求:
1)底部1/3楼层横墙中部的芯柱间距,6度时不宜大于2m;7、8度时不宜大于1.5m;9度时不宜大于1.0m;
2)当外纵墙开间大于3.9m时,应另设加强措施。
4 对外廊式和单面走廊式的房屋、横墙较少的房屋、各层横墙很少的房屋,尚应分别按本规程第7.3.1条第2、3、4款关于增加层数的对应要求,按表7.3.3的要求设置芯柱。


条文说明
7.3.3 小砌块砌体房屋采用芯柱做法时,对芯柱的间距适当减小,可减少墙体裂缝的发生。因此,对房屋顶层和底部一、二层墙体的芯柱间距要求,更为严格,以减少相应部位的墙体开裂。 芯柱伸入室外地面下500mm,地下部分为砖砌体时,可采用类似于构造柱的方法。 本次关于芯柱的修订,与本规程第7.3.1条相同,增加了楼、电梯间的芯柱或构造柱的布置要求,并补充9度的设置要求。 小砌块砌体房屋墙体交接处、墙体与构造柱、芯柱的连接,均要设钢筋网片,保证连接的有效性。本次修订,要求拉结钢筋网片沿墙体水平通长设置;为加强下部楼层墙体的抗震性能,将下部楼层墙体的拉结钢筋网片沿墙高的间距加密,提高抗倒塌能力。
7.3.4 小砌块砌体房屋的芯柱,尚应符合下列构造要求:
1 小砌块砌体房屋芯柱截面不宜小于120mm×120mm;
2 芯柱混凝土强度等级,不应低于Cb20;
3 芯柱的竖向插筋应贯通墙身且与圈梁连接;插筋不应小于1 
12,6、7度时超过5层、8度时超过4层和9度时,插筋不应小于1 
4;
4 芯柱混凝土应贯通楼板,当采用装配式钢筋混凝土楼盖时,应采用贯通措施(图7.3.4);
5 芯柱应伸入室外地面下500mm或与埋深小于500mm的基础圈梁相连。
条文说明
7.3.4 同本规程第7.3.1条和本规程第7.3.3条,本次修订对芯柱设置和构造要求也作了相应的修改。
7.3.5 小砌块砌体房屋墙体交接处或芯柱、构造柱与墙体连接处应设置拉结钢筋网片,网片可采用直径4mm的钢筋点焊而成,沿墙高间距不大于600mm,并应沿墙体水平通长设置。6、7度时底部1/3楼层,8度时底部1/2楼层,9度时全部楼层,上述拉结钢筋网片沿墙高间距不大于400mm。

条文说明
7.3.5 小砌块墙体交接处,不论采用芯柱做法还是构造柱做法,为了加强墙体之间的连接,沿墙高设置拉结钢筋网片,以保证房屋有较好的整体性。 原规定拉结筋每边伸入墙内不小于1m,构造柱间距4m,中间只剩下2m无拉结筋。为加强下部楼层墙体的抗震性能,本次修订将下部楼层构造柱或芯柱间的拉结筋贯通。
7.3.6 小砌块砌体房屋各楼层均应设置现浇钢筋混凝土圈梁,不得采用槽形砌块代作模板,并应按表7.3.6的要求设置;纵墙承重时,抗震横墙上的圈梁间距应比表内要求适当加密。现浇或装配整体式钢筋混凝土楼、屋盖与墙体有可靠连接的房屋,应允许不另设圈梁,但楼板沿抗震墙体周边均应加强配筋并应与相应的构造柱、芯柱钢筋可靠连接。有错层的多层小砌块砌体房屋,在错层部位的错层楼板位置应设置现浇钢筋混凝土圈梁。

条文说明
7.3.6 小砌块多层房屋楼层要设置现浇钢筋混凝土圈梁,不允许采用槽形砌块代替现浇圈梁。 根据震害调查结果,现浇钢筋混凝土楼盖不需要设置圈梁。现浇或装配整体式钢筋混凝土楼、屋盖与墙体有可靠连接的房屋,允许不另设圈梁,但为加强砌体房屋的整体性,楼板沿抗震墙体周边均应加强配筋并应与相应的构造柱钢筋可靠连接。 有错层的多层小砌块砌体房屋,即使采用现浇或装配整体式钢筋混凝土楼、屋盖,在错层部位的错层楼板位置均应设置现浇钢筋混凝土圈梁。
7.3.7 圈梁除应符合现行国家标准《建筑抗震设计规范》GB 50011要求外,尚应符合下列构造要求:
1 现浇混凝土圈梁的截面宽度宜取墙宽且不应小于190mm,配筋宜符合表7.3.7的要求,箍筋直径不应小于 
6;基础圈梁的截面宽度宜取墙宽,截面高度不应小于200mm,纵筋不应少于4 
14。

2 圈梁应闭合,遇有洞口圈梁应上下搭接。圈梁宜与预制板设在同一标高处或紧靠板底。
3 圈梁在本规程第7.3.6条圈梁设置要求的间距内无横墙时,应利用梁或板缝中配筋替代圈梁。
条文说明
7.3.7 本次修订补充了9度时圈梁配筋要求。
7.3.8 多层小砌块砌体房屋的层数,6度时超过5层、7度时超过4层、8度时超过3层和9度时,在底层和顶层的窗台标高处,沿纵横墙应设置通长的水平现浇钢筋混凝土带;其截面高度不小于60mm,纵筋不少于2 
10,并应有分布拉结钢筋;其混凝土强度等级不应低于C20。
水平现浇混凝土带亦可采用槽形砌块替代模板,其纵筋和拉结钢筋不变。
条文说明
7.3.8 小砌块多层房屋,在房屋层数相对较高时,为了防止小砌块砌体房屋在顶层和底层墙体发生开裂现象,因此,要求在顶层和底层窗台标高处,沿纵、横墙设置通长的现浇钢筋混凝土带,截面高度不小于60mm,纵筋不小于2
10,混凝土强度等级不低于C20。此时也可利用砌块开槽的做法现浇混凝土。
7.3.9 楼梯间应符合下列要求:
1 楼梯间墙体中部的芯柱间距,6度时不宜大于2m;7、8度时不宜大于1.5m;9度时不宜大于1.0m;房屋层数或高度等于或接近本规程表7.1.6中限值时,底部1/3楼层芯柱间距宜适当减少。突出屋顶的楼梯间和电梯间,构造柱、芯柱应伸到顶部,并与顶部圈梁连接。
2 楼梯间墙体,应沿墙高每隔400mm水平通长设置 
4点焊拉结钢筋网片。
3 楼梯间及门厅内墙阳角处的大梁支承长度不应小于500mm,并应与圈梁连接。
4 装配式楼梯段应与平台板的梁可靠连接,8、9度时不应采用装配式楼梯段;不应采用墙中悬挑式踏步或踏步竖肋插入墙体的楼梯,不应采用无筋砖砌栏板。
条文说明
7.3.9 楼梯间墙体是抗震的薄弱环节,为了保证其安全,提出了对楼梯间墙体的特殊要求。如减小芯柱间距等,加强楼梯段的连接,加大楼梯间梁的支承长度等措施。 历次地震震害表明,楼梯间由于比较空旷,常常破坏严重,必须采取一系列有效措施。本次修订增加8、9度时不应采用装配式楼梯段的要求。 突出屋顶的楼、电梯间,地震中受到较大的地震作用,因此在构造措施上也需要特别加强。
7.3.10 小砌块砌体房屋的楼、屋盖应符合下列要求:
1 装配式钢筋混凝土楼板或屋面板,当板的跨度大于4.8m并与外墙平行时,靠外墙的预制板侧边应与墙或圈梁拉结。
2 房屋端部大房间的楼盖,6度时房屋的屋盖和7度~9度时房屋的楼、屋盖,当圈梁设在板底时,钢筋混凝土预制板应相互拉结,并应与梁、墙或圈梁拉结。
3 楼、屋盖的钢筋混凝土梁和屋架应与墙、柱(包括构造柱)或圈梁可靠连接。在梁支座处墙内不少于3个孔洞应设置芯柱。当8、9度房屋采用大跨梁或井字梁时,宜在梁支座处墙内设置构造柱;在梁端支座处构造柱和墙体的承载力,尚应考虑梁端弯矩对墙体和构造柱的影响。
4 坡屋顶房屋的屋架应与顶层圈梁可靠连接,檩条或屋面板应与墙及屋架可靠连接,房屋出入口处的檐口瓦应与屋面构件锚固;采用硬山搁檩时,顶层内纵墙顶,8度和9度时,应增砌支撑山墙的踏步式墙垛,7度时,宜增砌支撑山墙的踏步式墙垛,并设构造柱。
条文说明
7.3.10 本次修订,提高了6度~8度时预制板相互拉结的要求。 坡屋顶房屋逐年增加,做法亦不尽相同。对于檩条或屋面板应与墙或屋架有可靠的连接,以保证坡屋顶的整体性能。对于房屋出入口的檐口瓦,为防止地震时首先脱落,应与屋面构件有可靠锚固。 对于硬山搁檩的坡屋顶房屋,为了保证各道山墙的侧面稳定和抗震安全,要求在山墙两侧增砌踏步式的扶墙垛。
7.3.11 预制阳台,6、7度时应与圈梁和楼板的现浇板带可靠连接;8、9度时不应采用预制阳台。
条文说明
7.3.11 预制的悬挑构件,特别是较大跨度时,需要加强与圈梁和楼板等现浇构件的可靠连接,以增强稳定性。本次修订,对预制阳台的限制有所加严。
7.3.12 小砌块砌体女儿墙高度超过0.5m时,应在墙中增设锚固于顶层圈梁构造柱或芯柱做法,构造柱间距不大于3m,芯柱间距不大于1.6m;女儿墙顶应设置压顶圈梁,其截面高度不应小于60mm,纵向钢筋不应少于2 
10。
条文说明
7.3.12 小砌块砌体女儿墙高度超过0.5m时,应在女儿墙中增设构造柱或芯柱做法;构造柱间距不大于3m,芯柱间距不大于1m。并在女儿墙顶设压顶圈梁,与构造柱或芯柱相连,保证女儿墙地震时的安全。
7.3.13 同一结构单元的基础或桩承台,宜采用同一类型的基础,底面宜埋置在同一标高上,否则应增设基础圈梁并应按1:2的台阶逐步放坡。
条文说明
7.3.13 同一结构单元的基础宜采用同一类型的基础形式,底标高亦宜一致。否则必须按1:2的台阶放坡。
7.3.14 丙类的多层小砌块砌体房屋,当横墙较少且总高度和层数接近或达到本规程表7.1.6规定限值,应采取下列加强措施:
1 房屋的最大开间尺寸不宜大于6.6m;
2 同一结构单元内横墙错位数量不宜超过横墙总数的1/3,且连续错位不宜多于两道;错位的墙体交接处均应增设构造柱或芯柱,且楼、屋面板应采用现浇钢筋混凝土板;
3 横墙和内纵墙上洞口的宽度不宜大于1.5m,外纵墙上洞口的宽度不宜大于2.1m或开间尺寸的一半,且内外墙上洞口位置不应影响内外纵墙与横墙的整体连接;
4 所有纵横墙均应在楼、屋盖标高处设置加强的现浇钢筋混凝土圈梁:圈梁的截面高度不宜小于150mm,上下纵筋各不应少于3 
10,箍筋不小于 
6,间距不大于300mm;
5 所有纵横墙交接处及横墙的中部,均应增设构造柱或2个芯柱,在纵、横墙内的柱距不宜大于3.0m;芯柱每孔插筋的直径不应小于18mm;构造柱截面尺寸不宜小于240mm×240mm(墙厚190mm时为240mm×190mm),配筋宜符合表7.3.14的要求;

6 同一结构单元的楼、屋面板应设置在同一标高处;
7 房屋底层和顶层的窗台标高处,宜设置沿纵横墙通长的水平现浇钢筋混凝土带;其截面高度不小于60mm,宽度不小于190mm,纵向钢筋不少于3 
10,横向分布筋的直径不小于 
6且其间距不大于200mm;
8 所有门窗洞口两侧,均应设置一个芯柱,钢筋不应少于1 
12。
条文说明
7.3.14 本次修订将本条适用范围由横墙较少的多层小砌块住宅扩大到横墙较少的丙类多层小砌块砌体房屋。 对于横墙较少的丙类多层小砌块砌体房屋,由于开间加大,横墙减少,各道墙体的承载面积加大,要求墙体抗侧能力相应提高,为此,除限定最大开间为6.6m以外,还要相应增大圈梁和构造柱的截面和配筋;限定一个单元内横墙错位数量不宜大于总墙数的1/3,连续错位墙不宜多于两道等措施,以保持横墙较少的小砌块砌体房屋可以不降低层数和高度。
7.3.15 底部框架-抗震墙房屋过渡层小砌块砌体块材的强度等级不应低于MU10,砌筑砂浆强度等级不应低于Mb10。
7.3.16 过渡层墙体的构造,应符合下列要求:
1 上部抗震墙的中心线宜与底部的框架梁、抗震墙的中心线相重合;构造柱或芯柱宜与框架柱或墙贯通。
2 过渡层应在底部框架柱、混凝土墙或约束砌体墙所对应处设置构造柱或芯柱;墙体内的构造柱间距不宜大于层高;芯柱除应按本规程表7.3.3设置外,最大间距不宜大于1m。
3 过渡层构造柱的纵向钢筋,6、7度时不宜少于4 
16,8度时不宜少于4 
18。过渡层芯柱的纵向钢筋,6、7度时不宜少于每孔1 
16,8度时不宜少于每孔1 
18。一般情况下,纵向钢筋应锚入下部的框架柱或混凝土墙内;当纵向钢筋锚固在托墙梁或次梁内时,梁的相应位置应加强。
4 过渡层的小砌块墙在窗台标高处,应设置沿纵横墙通长的水平现浇钢筋混凝土带或系梁块;现浇钢筋混凝土带的截面高度不应小于60mm,宽度不应小于墙厚,纵向钢筋不应少于2 
10,横向分布筋的直径不小于6mm且其间距不大于200mm。此外,小砌块砌体墙芯柱之间沿墙高应每隔400mm设置 
4通长水平点焊钢筋网片。
5 过渡层的砌体墙,凡宽度不小于1.2m的门洞和2.1m的窗洞,洞口两侧宜增设截面不小于120mm×190mm的构造柱或单孔芯柱。
6 当过渡层的砌体抗震墙与底部框架梁、墙体不对齐时,应在底部框架内设置托墙转换梁,并且过渡层小砌块墙应采取比本条4款更高的加强措施。
条文说明
7.3.16 过渡层指与底部框架-抗震墙相邻的上一小砌块砌体楼层。对过渡层应采取加强措施,以保证上下层的抗侧移刚度的变化不宜过大。 由于过渡层在地震时破坏较重,因此,本次修订将关于过渡层的要求集中在一条内叙述并予以特别加强。 1 增加了过渡层小砌块砌体墙芯柱设置及插筋的要求。 2 加强了过渡层构造柱或芯柱的设置间距要求。 3 过渡层构造柱纵向钢筋配置的最小要求,增加了6度时的加强要求,8度时考虑到构造柱纵筋根数与其截面的匹配性,统一取为4根。 4 增加了过渡层墙体在窗台标高处设置通长水平现浇钢筋混凝土带的要求;加强了墙体与构造柱或芯柱拉结措施。 5 过渡层墙体开洞较大时,要求在洞口两侧增设构造柱或单孔芯柱。 6 对于底部次梁转换的情况,过渡层墙体应另外采取加强措施。
7.3.17 底部框架-抗震墙房屋的楼盖应符合下列要求:
1 过渡层的底板应采用现浇钢筋混凝土板,板厚不应小于120mm;并应少开洞、开小洞,当洞口尺寸大于800mm时,洞口周边应设置边梁;
2 其他楼层,采用装配式钢筋混凝土楼板时均应设置现浇圈梁;采用现浇钢筋混凝土楼板时应允许不另设圈梁,但楼板沿抗震墙体周边均应加强配筋并应与相应的构造柱可靠连接。
7.3.18 底部框架-抗震墙房屋的钢筋混凝土托墙梁,其截面和构造应符合下列要求:
1 梁的截面宽度不应小于300mm,梁的截面高度不应小于跨度的1/10。
2 梁上、下部纵向钢筋最小配筋率,一、二级时不应小于0.4%,三、四级时不应小于0.3%。
3 箍筋的直径不应小于10mm,间距不应大于200mm;梁端在1.5倍梁高且不小于1/5梁净跨范围内,以及上部墙体的洞口处和洞口两侧各500mm且不小于梁高的范围内,箍筋间距不应大于100mm。对托墙梁支承在框架梁的一端,梁端箍筋可不设置箍筋加密区;支承托墙次梁的框架梁,全跨箍筋间距不应大于100mm,且在托墙次梁两侧设置附加横向钢筋。
4 沿梁高应设腰筋,数量不应少于2 
14,间距不应大于200mm。
5 梁的纵向受力钢筋和腰筋应按受拉钢筋的要求锚固在柱内,且支座上部的纵向钢筋在柱内的锚固长度应符合钢筋混凝土框支梁的有关要求。
7.3.19 底部框架-抗震墙房屋的底部采用配筋小砌块砌体抗震墙时,抗震墙水平向或竖向钢筋在边框梁、柱中的锚固长度,应按现行国家标准《混凝土结构设计规范》GB 50010的规定确定。
7.3.20 底部框架-抗震墙砌体房屋的底部采用钢筋混凝土墙时,其截面和构造应符合下列要求:
1 抗震墙周边应设置梁(或暗梁)和边框柱(或框架柱)组成的边框;边框梁的截面宽度不宜小于墙板厚度的1.5倍,截面高度不宜小于墙板厚度的2.5倍;边框柱的截面高度不宜小于墙板厚度的2倍;
2 抗震墙的厚度不宜小于160mm,且不应小于墙板净高的1/20;抗震墙宜设竖缝或洞口形成若干墙段,各墙段的高宽比不宜小于2;
3 抗震墙的竖向和横向分布钢筋配筋率均不应小于0.30%,并应采用双排布置;双排分布钢筋间拉筋的间距不应大于600mm,直径不应小于6mm;
4 墙体的边缘构件可按国家标准《建筑抗震设计规范》GB 50011-2010第6.4节关于一般部位的规定设置。
7.3.21 对6度设防且层数不超过4层的底层框架-抗震墙房屋,可采用嵌砌于框架之间的小砌块抗震墙,但应计入小砌块墙对框架的附加轴力和附加剪力,并应符合下列构造要求:
1 墙厚不应小于190mm,砌筑砂浆强度等级不应低于Mb10,应先砌墙后浇框架;
2 沿框架柱每隔400mm配置 
4点焊拉结钢筋网片,并沿小砌块墙水平通长设置;在墙体半高处尚应设置与框架柱相连的钢筋混凝土水平系梁,系梁截面不应小于190mm×190mm,纵筋不应小于4 
12,箍筋直径不应小于 
6,间距不应大于200mm;
3 墙体在门、窗洞口两侧应设置芯柱;墙长大于4m时,应在墙内增设芯柱,芯柱应符合本规程第7.3.4条的有关规定;其余位置,宜采用钢筋混凝土构造柱替代芯柱,钢筋混凝土构造柱应符合本规程第7.3.2条的有关规定。
7.3.22 底部框架-抗震墙房屋的框架柱应符合下列要求:
1 柱的截面不应小于400mm×400mm,圆柱直径不应小于450mm;
2 柱的轴压比,6度时不宜大于0.85,7度时不宜大于0.75,8度时不宜大于0.65;
3 柱的纵向钢筋最小总配筋率,当钢筋的强度标准值低于400MPa时,中柱在6、7度时不应小于0.9%,8度时不应小于1.1%;边柱、角柱和混凝土抗震墙端柱在6、7度时不应小于1.0%,8度时不应小于1.2%;
4 柱的箍筋直径,6、7度时不应小于8mm,8度时不应小于10mm,并应全高加密箍筋,间距不应大于100mm;
5 柱的最上端和最下端组合的弯矩设计值应乘以增大系数,一、二、三级的增大系数应分别按1.5、1.25和1.15采用。
条文说明
7.3.17~7.3.22 底部框架-抗震墙小砌块砌体房屋,对于楼板、屋盖、托墙梁、框架柱、抗震墙以及其他有关抗震构造措施,可以参照现行国家标准《建筑抗震设计规范》GB 50011。 本次修订规定底框房屋的框架柱不同于一般框架-抗震墙结构中的框架柱的要求,大体上接近框支柱的有关要求。柱的轴压比、纵向钢筋和箍筋要求,参照国家标准《建筑抗震设计规范》GB 50011-2010第6章对框架结构柱的要求,同时箍筋全高加密。
7.3.23 底部框架-抗震墙房屋的其他抗震构造措施,应符合现行国家标准《建筑抗震设计规范》GB 50011的有关要求。
Ⅱ 配筋小砌块砌体抗震墙结构
7.3.24 配筋小砌块砌体抗震墙的水平和竖向分布钢筋应符合表7.3.24-1和表7.3.24-2的要求。


条文说明
7.3.24 根据有关的试验研究结果、配筋小砌块砌体的特点和试点工程的经验,并参照了国内外相应的规范等资料,规定了配筋小砌块砌体抗震墙中配筋的最低构造要求。同时,配筋小砌块砌体抗震墙是由带槽口的混凝土小型空心砌块通过砌筑、布筋、灌孔而成,是一种类似预制装配整体式的结构,一般小砌块的空心率不大于48%。因此,相比全现浇混凝土抗震墙,配筋小砌块砌体抗震墙的工地现场混凝土湿作业量将减少将近一半,相应的材料水化热与收缩量也大幅降低,且由于配筋小砌块砌体建筑的总高度在本规程中已有严格限制,所以其最小构造配筋率比现浇混凝土抗震墙有一定程度的减小。
7.3.25 配筋小砌块砌体抗震墙在重力荷载代表值作用下的轴压比,应符合下列要求:
1 一级(9度)不宜大于0.4,一级(7、8度)不宜大于0.5,二、三级不宜大于0.6。
2 短肢墙体全高范围,一级不宜大于0.5,二、三级不宜大于0.6;对于无翼缘的一字形短肢墙,其轴压比限值应相应降低0.1。
3 各向墙肢截面均为3b<h<5b的小墙肢,一级不宜大于0.4,二、三级不宜大于0.5,其全截面竖向钢筋的配筋率在底部加强部位不宜小于1.2%,一般部位不宜小于1.0%。对于无翼缘的一字形独立小墙肢,其轴压比限值应相应降低0.1。
4 多层房屋(总高度小于等于18m)的短肢墙及各向墙肢截面均为3b<h<5b的小墙肢的全部竖向钢筋的配筋率,底部加强部位不宜小于1%,其他部位不宜小于0.8%。
条文说明
7.3.25 配筋小砌块砌体抗震墙在重力荷载代表值作用下的轴压比控制是为了保证配筋小砌块砌体在水平荷载作用下的延性和强度的发挥,同时也是为了防止墙片截面过小、配筋率过高,保证抗震墙结构延性。对多层、高层及一般墙、短肢墙、一字形短肢墙的轴压比限值做了区别对待,由于短肢墙和无翼缘的一字形短肢墙的抗震性能较差,因此对其轴压比限值应该做更为严格的规定。
7.3.26 配筋小砌块砌体抗震墙墙肢端部应设置边缘构件(图7.3.26)。构造边缘构件的配筋范围:无翼墙端部为3孔配筋,“L”形转角节点为3孔配筋,“T”形转角节点为4孔配筋,其最小配筋应符合表7.3.26的要求,边缘构件范围内应设置水平箍筋。底部加强部位的轴压比,一级大于0.2和二、三级大于0.3时,应设置约束边缘构件,约束边缘构件的范围应沿受力方向比构造边缘构件增加1孔,水平箍筋应相应加强,也可采用钢筋混凝土边框柱。



条文说明
7.3.26 在配筋小砌块砌体抗震墙结构中,边缘构件无论是在提高墙体强度和变形能力方面的作用都非常明显,因此参照混凝土抗震墙结构边缘构件设置的要求,结合配筋小砌块砌体抗震墙的特点,规定了边缘构件的配筋要求。 在配筋小砌块砌体抗震墙端部设置水平箍筋是为了提高对砌体的约束作用及墙端部混凝土的极限压应变,提高墙体的延性。根据工程经验,水平箍筋放置于砌体灰缝中,受灰缝高度限制(一般灰缝高度为10mm),水平箍筋直径不小于6mm,且不应大于8mm比较合适;当箍筋直径较大时,将难以保证砌体结构灰缝的砌筑质量,会影响配筋小砌块砌体强度;灰缝过厚则会给现场施工和施工验收带来困难,也会影响砌体的强度。抗震等级为一级,水平箍筋最小直径为
8,二级~四级为
6,为了适当弥补钢筋直径减小造成的损失,本条文注明抗震等级为一、二、三级时,应采用HRB335或RRB335级钢筋。亦可采用其他等效的约束件如等截面面积,厚度不大于5mm的一次冲压钢圈,对边缘构件,将具有更强约束作用。 本条文参照混凝土抗震墙,增加了一、二、三级抗震墙的底部加强部位设置约束边缘构件的要求。当房屋高度接近本规程的限值时,也可以采用钢筋混凝土边框柱作为约束边缘构件来加强对墙体的约束,边框柱截面沿墙体方向的长度可取400mm。在设计时还应注意,过于强大的边框柱可能会造成墙体与边框柱的受力和变形不协调,使边框柱和配筋小砌块墙体的连接处开裂,影响整片墙体的抗震性能。
7.3.27 宜避免设置转角窗,否则,转角窗开间相关墙体尽端边缘构件最小纵筋直径应比本规程表7.3.26的规定值提高一级,且转角窗开间的楼、屋面应采用现浇钢筋混凝土楼、屋面板。
条文说明
7.3.27 转角窗的设置将削弱结构的抗扭能力,配筋小砌块砌体抗震墙较难采取措施(如:墙加厚,梁加高),故建议避免转角窗的设置。但配筋小砌块砌体抗震墙结构受力特性类似于钢筋混凝土抗震墙结构,若需设置转角窗,则应适当增加边缘构件配筋,并且将楼、屋面板做成现浇板以增强整体性。
7.3.28 配筋小砌块砌体抗震墙内钢筋的锚固和搭接,应符合下列要求:
1 配筋小砌块砌体抗震墙内竖向和水平分布钢筋的搭接长度不应小于48倍钢筋直径,竖向钢筋的锚固长度不应小于42倍钢筋直径;
2 配筋小砌块砌体抗震墙的水平分布钢筋,沿墙长应连续设置,两端的锚固应符合下列规定:
1)一、二级的抗震墙,水平分布钢筋可绕主筋弯180°弯钩,弯钩端部直段长度不宜小于12d;水平分布钢筋亦可弯入端部灌孔混凝土中,锚固长度不应小于30d,且不应小于250mm;
2)三、四级的抗震墙,水平分布钢筋可弯入端部灌孔混凝土中,锚固长度不应小于25d,且不应小于200mm。
条文说明
7.3.28 配筋小砌块砌体抗震墙竖向受力钢筋的焊接接头到现在仍是个难题。主要是由施工程序造成的,要先砌墙或柱,后插钢筋,并在底部清扫孔中焊接,由于狭小的空间,只能局部点焊,满足不了受力要求,因此目前大部采用搭接。根据配筋小砌块砌体抗震墙的施工特点,墙内的钢筋放置无法绑扎搭接,因此墙内钢筋的搭接长度应比普通混凝土构件的搭接长度要长些,对于直径大于22mm的竖向钢筋,则宜采用工具式机械接头。 根据国内外有关试验研究成果,小砌块砌体抗震墙的水平钢筋,当采用围绕墙端竖向钢筋180°加12d延长段锚固时,施工难度较大,而一般作法可将该水平钢筋在末端弯钩锚于灌孔混凝土中,弯入长度不小于200mm,在试验中发现这样的弯折锚固长度已能保证该水平钢筋能达到屈服。因此,本条文考虑不同的抗震等级和施工因素,给出该锚固长度规定。
7.3.29 配筋小砌块砌体抗震墙连梁的构造,当采用混凝土连梁时,应符合本规程第6.4.13条的规定和《混凝土结构设计规范》GB 50010中有关地震区连梁的构造要求;当采用配筋小砌块砌体连梁时,除符合第6.4.14条的规定以外,尚应符合下列要求:
1 连梁上下水平钢筋锚入墙体内的长度,一、二级不应小于1.15倍锚固长度,三级不应小于1.05倍锚固长度,四级不应小于锚固长度,且不应小于600mm。
2 连梁的箍筋应沿梁长布置,并应符合表7.3.29的要求:

3 顶层连梁在伸入墙体的纵向钢筋长度范围内应设置间距不大于200mm的构造封闭箍筋,其规格和直径与该连梁的箍筋相同。
4 墙体水平钢筋应作为连梁腰筋在连梁拉通连续配置。当连梁截面高度大于700mm时,自梁顶面下200mm至梁底面上200mm范围内应设置腰筋,其间距不应大于200mm;每皮腰筋数量,一级不小于2 
12,二级~四级不小于2 
10;对跨高比不大于2.5的连梁,梁两侧腰筋的面积配筋率不应小于0.3%;腰筋伸入墙体内的长度不应小于30d,且不应小于300mm。
5 连梁不宜开洞,当必须开洞时应满足下列要求:
1)在跨中梁高1/3处预埋外径不应大于200mm的钢套管;
2)洞口上下的有效高度不应小于1/3梁高,且不应小于200mm;
3)洞口处应配补强钢筋并在洞周边浇筑灌孔混凝土,被洞口削弱的截面应进行受剪承载力验算。
6 对于跨高比不小于5的连梁宜按框架梁设计,计算时其刚度不应按连梁方法折减;短肢墙的剪力增大系数应满足本规程表7.2.14的规定。
条文说明
7.3.29 本条是根据国内外试验研究成果和经验以及配筋小砌块砌体连梁的特点而制定的,并将配筋混凝土小型空心砌块连梁的箍筋要求用表列出,使设计使用更加方便、明了。
7.3.30 配筋小砌块砌体抗震墙的圈梁构造,应符合下列要求:
1 在基础及各楼层标高处,每道配筋小砌块砌体抗震墙均应设置现浇钢筋混凝土圈梁,圈梁的宽度不应小于墙厚,其截面高度不宜小于200mm;
2 圈梁混凝土抗压强度不应小于相应灌孔混凝土的强度,且不应小于C20;
3 圈梁纵向钢筋不应小于相应配筋砌体墙的水平钢筋,且不应小于4 
12;基础圈梁纵筋不应小于4 
12;圈梁及基础圈梁箍筋直径不应小于 
8,间距不应大于200mm;当圈梁高度大于300mm时,应沿梁截面高度方向设置腰筋,其间距不应大于200mm,直径不应小于10mm;
4 圈梁底部嵌入墙顶小砌块孔洞内,深度不宜小于30mm;圈梁顶部应是毛面。
条文说明
7.3.30 在配筋小砌块砌体抗震墙和楼盖的结合处设置钢筋混凝土圈梁,可进一步增加结构的整体性,同时该圈梁也可作为建筑竖向尺寸调整的手段。钢筋混凝土圈梁作为配筋小砌块砌体抗震墙的一部分,其强度应和灌孔小砌块砌体强度基本一致,相互匹配,其纵筋配筋量不应小于配筋小砌块砌体抗震墙水平筋数量,其间距不应大于配筋小砌块砌体抗震墙水平筋间距,并宜适当加密。
7.3.31 配筋小砌块砌体抗震墙房屋的基础(或钢筋混凝土框支梁)与抗震墙结合处的受力钢筋,当房屋高度超过50m或一级抗震等级时宜采用机械连接,其他情况可采用搭接。当采用搭接时,一、二级抗震等级时搭接长度不宜小于50d,三、四级抗震等级时不宜小于40d(d为受力钢筋直径)。
条文说明
7.3.31 根据配筋小砌块砌体墙的施工特点,竖向受力钢筋的连接方式采用焊接接头不合适,因此目前大部采用搭接。墙内的钢筋放置无法绑扎搭接,且在同一截面搭接,因此墙内钢筋的搭接长度应比普通混凝土构件的搭接长度要长些。条件许可时,竖向钢筋连接,宜优先采用机械连接接头。
7.3.32 部分框支配筋小砌块砌体抗震墙结构中底部加强区配筋小砌块砌体墙的水平及竖向分布钢筋最小配筋率,不应小于0.13%,多层不应小于0.10%,最大间距不应大于400mm。
7.3.33 部分框支配筋小砌块砌体抗震墙结构中混凝土部分的设计尚应符合现行国家标准《混凝土结构设计规范》GB 50010、《建筑抗震设计规范》GB 50011的相关要求。
7.3.34 总层数8层及以上或高度超过24m的部分框支配筋小砌块砌体抗震墙结构房屋,其混凝土部分的设计尚应符合现行行业标准《高层建筑混凝土结构技术规程》JGJ 3的相关要求。
条文说明
7.3.32~7.3.34 框支层以下的框架及抗震墙采用钢筋混凝土,其设计可参照《混凝土结构设计规范》GB 50010、《建筑抗震设计规范》GB 50011、《高层建筑混凝土结构技术规程》JGJ 3相关规定。
8 施工
8.1材料要求
8 施工
8.1 材料要求
8.1.1 小砌块在厂内的自然养护龄期或蒸汽养护后的停放时间应确保28d。轻骨料小砌块的厂内自然养护龄期宜延长至45d。
条文说明
8.1.1 干燥收缩是小砌块的特征,而影响收缩的因素又较多。在正常生产工艺条件下,小砌块收缩值达到0.37mm/m,经28d养护后收缩值可完成60%。因此,延长养护时间,能减少因小砌块收缩而引起的墙体裂缝。工程实践发现,用于填充墙的轻骨料小砌块产生裂缝的现象较为普遍,故养护时间必须超过28d。有的地方认为,陶粒混凝土小砌块自然养护期应不少于60d。总之,各地可根据具体情况对养护时间作适当的调整,但应满足28d厂内养护期的规定。
8.1.2 同一单位工程使用的小砌块应为同一厂家生产的产品,并需有产品合格证书和进场复验报告。
条文说明
8.1.2 小砌块产品合格证书应具有型号、规格、产品等级、强度等级、密度等级、相对含水率、生产日期等内容。主规格小砌块即标准块(390mm×190mm×190mm)应进行尺寸偏差和外观质量的检验以及强度等级的复验;辅助规格小砌块仅做尺寸偏差和外观质量的检验,但应有保证强度等级的产品合格证书。同一单位工程不宜使用不同厂家生产的小砌块,这是为避免墙体收缩裂缝对产品提出的要求。
8.1.3 小砌块孔洞内及块体内部复合的聚苯板或其他绝热保温材料的性能、密度、厚度、位置、数量应在厂内按小砌块墙体节能设计的要求进行插填或充填,不得歪斜或自行脱落,并列为复验检查项目。
条文说明
8.1.3 随着节能建筑工作的深入开展,不少地方在单排孔与多排孔孔洞内插填聚苯板或其他绝热保温材料,有的满插满填,有的插填一排孔或两排孔,以期改善墙体的热工性能;有些地方在小砌块块体内复合聚苯板保温层,并使小砌块之间的聚苯板上下左右可平缝对接,彻底阻断了冷热桥效应。聚苯板的外侧有混凝土保护层,内侧为小砌块主体,使保温材料的使用年限与主体建筑一致;有的地方利用夹心墙的空腔将聚苯板或其他绝热保温材料夹在内、外叶小砌块墙体之间,同时在小砌块孔洞内还插填了聚苯板,以满足节能65%的要求。对此种种,本规程施工部分都作了相应的规定。
8.1.4 小砌块产品宜包装出厂,并可采用托板装运。雨、雪天运输小砌块应有防雨雪措施。
条文说明
8.1.4 产品包装可减少小砌块搬运、堆放过程中的损耗,并为现场创建文明工地提供方便和条件。
8.1.5 水泥进场后应检查产品合格证、出厂检验报告,并在使用前分批对其强度、安定性进行复验。抽检时,应以同一生产厂家、同一编号、同一品种、同一强度等级且持续进场的水泥为一批,其中袋装水泥一批的检验量不应超过200t,散装水泥则应以500t为一批,每批抽样不得少于一次。安定性不合格的水泥严禁使用。不同品种的水泥,不得混合使用。
条文说明
8.1.5 水泥质量应符合国家标准,并要求复验合格方可使用,这是保证工程质量的重要措施。不同水泥混合使用,会产生强度降低或材性变化,所以强调不同品种、不同强度等级的水泥不能混堆储存与使用。
8.1.6 砌筑砂浆宜采用过筛的洁净中砂,应符合现行国家标准《建筑用砂》GB/T 14684的规定;构造柱、芯柱及灌孔混凝土用砂应符合现行行业标准《普通混凝土用砂、石质量及检验方法标准》JGJ 52的规定。采用人工砂、山砂及特细砂时应符合相应的技术标准。
条文说明
8.1.6 砌筑砂浆与混凝土用砂一般以中砂为宜。对使用人工砂、山砂与特细砂的地区应按相应的技术规范并结合当地施工经验采用。
8.1.7 芯柱与灌孔混凝土中的粗骨料粒径宜为5mm~15mm,构造柱混凝土中的粗骨料粒径宜为10mm~30mm,并均应符合现行行业标准《普通混凝土用砂、石质量及检验方法标准》JGJ 52的有关规定。
条文说明
8.1.7 由于小砌块孔洞较小,为防止粗骨料被卡住,粒径以5mm~15mm为宜。构造柱混凝土用的粗骨料可按一般混凝土构件要求。
8.1.8 拌制水泥混合砂浆用的石灰膏、粉煤灰等无机掺合料应符合下列要求:
1 配制石灰膏的生石灰、磨细生石灰粉的品质指标应符合现行行业标准《建筑生石灰》JC/T 479与《建筑生石灰粉》JC/T 480的有关规定。
2 石灰膏用生石灰熟化时,应采用孔格不大于3mm×3mm的网过滤。熟化时间不得少于7d,磨细生石灰粉的熟化时间不得小于2d。石灰膏用量,应按稠度120mm±5mm计量。石灰膏不同稠度的换算系数,可按表8.1.8确定。沉淀池中的石灰膏应防止干燥、冻结和污染。严禁使用脱水硬化的石灰膏。

3 消石灰粉不得直接用于砌筑砂浆中。
4 粉煤灰的性能指标应符合现行行业标准《混凝土小型空心砌块和混凝土砖砌筑砂浆》JC 860和《抹灰砂浆技术规程》JGJ/T 220的有关规定。
5 采用其他掺合料时,应经试验并符合砌筑砂浆规定的各项性能指标方可使用。
条文说明
8.1.8 生石灰熟化成石灰膏时,应用筛网过滤,并使其充分熟化。沉淀池中储存的石灰膏,应防止干燥、冻结和污染。脱水硬化的石灰膏已失去化学活性,对砌筑砂浆保水性与和易性会有影响,故不得使用。
8.1.9 掺入砌筑砂浆中的有机塑化剂或早强、缓凝、防冻等外加剂,应经检验和试配,符合要求后,方可计量使用。有机塑化剂产品,应具有法定检测机构出具的砌体强度型式检验报告。
条文说明
8.1.9 鉴于市场上外加剂与有机塑化剂品牌较多,为保证砌筑砂浆质量,对外加剂应进行检验与试配,合格后方可应用于工程;对有机塑化剂应作砌体强度的型式检验,并按其结果确定砌体强度。
8.1.10 砌筑砂浆和混凝土的拌合用水应符合现行行业标准《混凝土用水标准》JGJ 63的规定。
条文说明
8.1.10 现城市中一般使用自来水拌制砌筑砂浆和混凝土。若用河水或其他水源,应符合混凝土用水标准。
8.1.11 钢筋进场应有产品合格证书,并按规定取样复验,合格后方可使用。
条文说明
8.1.11 芯柱钢筋、构造柱钢筋、拉结钢筋、钢筋网片及配筋小砌块砌体中的各类钢筋,其材质要求应符合现行相关国家标准,并按国家标准《混凝土结构工程施工质量验收规范》GB 50204的规定抽取试样做力学性能试验,合格后方可使用。
8.2砌筑砂浆
8.2 砌筑砂浆
8.2.1 小砌块砌体的砌筑砂浆配合比及其技术要求应符合现行行业标准《砌筑砂浆配合比设计规程》JGJ/T 98和《混凝土小型空心砌块和混凝土砖砌筑砂浆》JC 860的规定,并应按重量比计量配制。
条文说明
8.2.1 砌筑砂浆配料时,不严格称量是造成砌筑砂浆达不到设计强度等级或超出规定强度等级过多的原因,离散性相当大,既浪费了材料又影响了质量。因此,本条文规定砌筑砂浆配合比应根据计算和试配确定,并按重量比控制。
8.2.2 砌筑砂浆应具有良好的保水性,其保水率不得小于88%。砌筑普通小砌块砌体的砂浆稠度宜为50mm~70mm;轻骨料小砌块的砌筑砂浆稠度宜为60mm~90mm。
条文说明
8.2.2 砌筑砂浆的操作性能对小砌块砌体质量影响较大,它不仅影响砌体的抗压强度,而且对砌体抗剪和抗拉强度影响较为明显。砂浆良好的保水性、稠度及粘结力对防止墙体渗漏、开裂与消除干缩裂缝有一定的成效。
8.2.3 小砌块基础砌体应采用水泥砂浆砌筑;地下室内部及室内地坪以上的小砌块墙体应采用水泥混合砂浆砌筑。施工中用水泥砂浆代替水泥混合砂浆,应按现行国家标准《砌体结构设计规范》GB 50003的规定执行。
条文说明
8.2.3 用水泥砂浆砌筑小砌块基础砌体是地下防潮要求,并应将小砌块孔洞全部用C20混凝土填实。对于地下室室内的填充墙等墙体可用水泥混合砂浆砌筑。水泥混合砂浆的保水性较好,易于砌筑,有利砌体质量,在无防潮要求的情况下应首先使用。
8.2.4 墙体采用具有保温功能的砌筑砂浆时,其砂浆强度等级应符合设计要求。
条文说明
8.2.4 当聚苯板或其他绝热保温材料仅插填在小砌块孔洞内而并不伸出或超出小砌块块体之外时,为防止灰缝产生热桥现象,提高墙体热工性能,故要求这类小砌块,应使用符合设计强度等级并具有保温功能的砌筑砂浆进行砌筑。
8.2.5 砌筑砂浆应采用机械搅拌,拌合时间自投料完算起,不得少于2min。当掺有外加剂时,不得少于3min;当掺有机塑化剂时,应为3min~5min。
条文说明
8.2.5 施工单位一般都采用机械拌制砂浆,但有些地区仍存在用手工拌制的情况。显然,手工不易拌合均匀,影响砂浆质量。因此,条文强调采用机械拌制。
8.2.6 砌筑砂浆应随拌随用,并应在3h内使用完毕;当施工期间最高气温超过30℃时,应在2h内使用完毕。砂浆出现泌水现象时,应在砌筑前再次拌合。
条文说明
8.2.6 砌筑砂浆应在条文规定的时间内使用完毕,否则会较大地降低砌体强度。施工时,砂浆放置时间过长会产生泌水现象,致使砂浆和易性变差,操作困难,灰缝不易饱满,影响砂浆与小砌块的粘结力。因此,砌筑前应再次拌合。
8.2.7 预拌砂浆的性能、运输、储存、使用及检验等应符合现行国家行业标准《预拌砂浆》JG/T 230的规定。
条文说明
8.2.7 预拌砂浆的推广应用有利于小砌块墙体砌筑质量的提高,也为现场实现文明施工创造了条件。
8.2.8 砌筑砂浆试块取样应取自搅拌机或运输湿的预拌砂浆车辆的出料口。同盘或同车砂浆应制作一组试块。
条文说明
8.2.8 为统一现场拌制砌筑砂浆的试块取样方法,使其具有代表性和可比性,条文规定了以出料口为取样点。
8.2.9 砌筑砂浆强度等级的评定应以标准养护、龄期为28d的试块抗压试验结果为准,并应按现行行业标准《建筑砂浆基本性能试验方法标准》JGJ/T 70的规定执行。
8.2.10 同一验收批的砌筑砂浆试块抗压强度平均值应大于或等于设计强度等级所对应的立方体抗压强度值的1.1倍;其中抗压强度最小一组的平均值应大于或等于设计强度等级所对应的立方体抗压强度值的85%。砌筑砂浆的验收批指同类型、同强度等级的砂浆试块不应少于3组,每组3块;当同一验收批只有1组或2组试块时,每组试块抗压强度的平均值应大于或等于设计强度等级所对应的立方体抗压强度值的1.1倍;建筑结构的安全等级为一级或设计使用年限为50年及以上的房屋,同一验收批砂浆试块的数量不得少于3组。
注:制作试块的砂浆稠度应与工程使用一致。
8.2.11 每一检验批且不超过一个楼层或250m 3 小砌块砌体所用的砌筑砂浆,每台搅拌机应至少抽检一次。当配合比变更时,应制作相应试块。
注:用小砌块砌筑的基础砌体可按一个楼层计。
条文说明
8.2.9~8.2.11 现场拌制的砌筑砂浆立方体抗压强度试件的制作、养护和强度计算要求应按《建筑砂浆基本性能试验方法标准》JGJ/T 70的规定执行。不同搅拌机拌制的砂浆质量状况不完全相同,所以应分别取样检查砂浆强度。不同强度等级的砂浆及材料、配合比的改变也都应取样检查,使试块的试验数据更能反映工程实际情况,具有代表性。
8.2.12 当施工中或验收时出现下列情况时,宜采用非破损或微破损检验方法对砌筑砂浆和砌体强度进行原位检测,判定砌筑砂浆的强度:
1 砌筑砂浆试块缺乏代表性或试块数量不足;
2 对砌筑砂浆试块的试验结果有怀疑或争议;
3 砌筑砂浆试块的试验结果不能满足设计要求时,需另行确认砌筑砂浆或砌体的实际强度;
4 对工程质量事故有疑义。
条文说明
8.2.12 为保证小砌块砌体质量,对条文中所规定的四种情况应进行砌体原位检测。
8.3施工准备
8.3 施工准备
8.3.1 墙体施工前必须按房屋设计图编绘小砌块平、立面排块图。排块时应根据小砌块规格、灰缝厚度和宽度、门窗洞口尺寸、过梁与圈梁或连系梁的高度、芯柱或构造柱位置、预留洞大小、管线、开关、插座敷设部位等进行对孔、错缝搭砌排列,并以主规格小砌块为主,辅以配套的辅助块。
条文说明
8.3.1 编制小砌块排块图是施工作业准备的一项首要工作,也是保证小砌块墙体工程质量的重要技术措施,尤其是初次接触小砌块施工更应编制排块图。在编制时,土建施工人员应与管线安装人员共同商定,使排块图真正起到指导施工的作用。以主规格小砌块为主进行排块可提高砌筑工效,并可减少砌筑砂浆量。
8.3.2 各种型号、规格的小砌块备料量应依据设计图和排块图进行计算,并按施工进度计划分期、分批进入现场。
条文说明
8.3.2 为保证小砌块按施工进度计划的需用量配套供货,应按实际排块图进行计算。小砌块分期分批配套进场,既可满足施工进度的要求,又便于现场开展文明施工,这对场地窄小的工地是有利的。
8.3.3 堆放小砌块的场地应预先夯实平整,并应有防潮和防雨、雪等排水设施。不同规格型号、强度等级的小砌块应分别覆盖堆放;堆置高度不宜超过1.6m,且不得着地堆放;堆垛上应有标志,垛间宜留适当宽度的通道。装卸时,不得翻斗卸车和随意抛掷。
条文说明
8.3.3 为防止小砌块砌筑前受潮湿,堆放场地要有排水和防雨、雪的设施。小砌块属薄壁空心制品,堆放不当或搬运中翻斗倾卸与抛掷,极易造成小砌块缺棱掉角而不能使用,故应推广小砌块包装化,以利施工现场文明管理,同时又可减少小砌块损耗。
8.3.4 砌入墙体内的各种建筑构配件、埋设件、钢筋网片与拉结筋等应事先预制及加工;各种金属类拉结件、支架等预埋铁件应做防锈处理,并按不同型号、规格分别存放。
条文说明
8.3.4 由于小砌块墙体构造的特殊性,如与门窗连接的预制块,局部墙体的填实块,暗敷水平管线的凹形块,以及砌入墙体的钢筋网片和拉结筋等都要求在施工准备阶段先行加工并分类、分规格存放,以备砌筑时使用。
8.3.5 备料时,不得使用有竖向裂缝、断裂、受潮、龄期不足的小砌块及插填聚苯板或其他绝热保温材料的厚度、位置、数量不符合墙体节能设计要求的小砌块进行砌筑。
条文说明
8.3.5 干燥收缩是小砌块的重要特征,也是造成砌体裂缝的主要起因。在自然条件下,混凝土干燥收缩一般需要180d后才趋于稳定,养护28d的混凝土仅完成最终收缩值的60%,其余收缩将在28d后完成,故在生产厂的室内或棚内的停置时间应越长越好。这样对减少小砌块上墙后的收缩裂缝有好处。考虑到工厂堆放场地有限,故条文规定了不得使用在厂内的停置时间即龄期不足28d的小砌块进行砌筑。
8.3.6 小砌块表面的污物和用于芯柱及所有灌孔部位的小砌块,其底部孔洞周围的混凝土毛边应在砌筑前清理干净。
条文说明
8.3.6 清理小砌块表面的污物是为了使小砌块与砌筑砂浆或抹灰层之间粘结得更好。小砌块在制造中形成孔洞周围的水泥砂浆毛边使孔洞缩小,用于芯柱将引起柱断面颈缩,影响芯柱质量。因此,要求在砌筑前清除。同时,也便于芯柱混凝土浇灌。
8.3.7 砌筑小砌块基础或底层墙体前,应采用经检定的钢尺校核房屋放线尺寸,允许偏差值应符合表8.3.7的规定。

8.3.8 砌筑底层墙体前必须对基础工程按有关规定进行检查和验收。当芯柱竖向钢筋的基础插筋作为房屋避雷设施组成部分时,应用检定合格的专用电工仪表进行检测,符合要求后方可进行墙体施工。
条文说明
8.3.7、8.3.8 基础工程质量将影响上部砌体工程及整个建筑工程的质量。因此,应坚持上道基础工序未经验收,下道砌筑工序不得施工的原则。
8.3.9 配筋小砌块砌体剪力墙施工前,应按设计要求在施工现场建造与工程实体完全相同的具有代表性的模拟墙。剖解后的模拟墙质量应符合设计要求,方可正式施工。
条文说明
8.3.9 建造与工程实体完全相同的模拟墙能使管理和操作人员做到心中有数,有利施工参数的验证与调整,为工程施工作好铺垫,是一项切实保证工程质量的重要举措。
8.3.10 编制施工组织设计时,应根据设计按表8.3.10要求确定小砌块砌体施工质量控制等级。

条文说明
8.3.10 为了逐步和国际上同类标准接轨,参照国际标准的有关内容,结合我国工程建设的特点、管理方式、施工技术水平、质量等级评定标准等,提出了小砌块砌体施工质量控制等级。小砌块砌体施工质量控制等级的确定应由建设、设计、工程监理等单位共同商定。
8.4墙体施工基本要求
8.4 墙体施工基本要求
8.4.1 墙体砌筑应从房屋外墙转角定位处开始。砌筑皮数、灰缝厚度、标高应与皮数杆标志相一致。皮数杆应竖立在墙体的转角和交界处,间距宜小于15m。
条文说明
8.4.1 皮数杆是保证小砌块砌体砌筑质量的重要措施。它能使墙面平整,砌体水平灰缝平直并厚度一致,故施工中应坚持使用。
8.4.2 砌筑厚度大于240mm的小砌块墙体时,宜在墙体内外侧同时挂两根水平准线。
条文说明
8.4.2 夹心墙与插填聚苯板或其他绝热保温材料的自保温小砌块其墙体厚度一般都较厚,为保证墙体两侧面平整和垂直,应挂双线砌筑。
8.4.3 正常施工条件下,小砌块墙体(柱)每日砌筑高度宜控制在1.4m或一步脚手架高度内。
条文说明
8.4.3 规定小砌块墙体日砌筑高度有利于已砌筑墙体尽快形成强度使其稳定安全,有利于墙体收缩裂缝的减少。因此,适当控制每天的砌筑速度是必要的。
8.4.4 小砌块在砌筑前与砌筑中均不应浇水,尤其是插填聚苯板或其他绝热保温材料的小砌块。当施工期间气候异常炎热干燥时,对无聚苯板或其他绝热保温材料的小砌块及轻骨料小砌块可在砌筑前稍喷水湿润,但表面明显潮湿的小砌块不得上墙。
条文说明
8.4.4 浇过水的小砌块与表面明显潮湿的小砌块会产生湿胀和日后干缩现象,上墙后易使墙体产生裂缝,所以不应使用。考虑到气候特别炎热干燥时,砂浆铺摊后会失水过快,影响砌筑砂浆与小砌块间的粘结,因此,砌筑时可稍喷水湿润。
8.4.5 砌筑单排孔小砌块、多排孔封底小砌块、插填聚苯板或其他绝热保温材料的小砌块时,均应底面朝上反砌于墙上。
条文说明
8.4.5 小砌块底面的铺灰面较大,便于砂浆铺摊,对保证水平灰缝的饱满度以及小砌块受力有利。
8.4.6 小砌块墙内不得混砌黏土砖或其他墙体材料。镶砌时,应采用实心小砌块(90mm×190mm×53mm)或与小砌块材料强度同等级的预制混凝土块。
条文说明
8.4.6 小砌块是混凝土制成的薄壁空心墙体材料,其块体强度与黏土砖或其他墙体材料并不等强,而且两者间的线膨胀值也不一致。混砌极易引起砌体裂缝,影响砌体强度。所以,即使混砌也应采用与小砌块材料强度同等级的预制混凝土块。
8.4.7 小砌块砌筑形式应每皮顺砌。当墙、柱(独立柱、壁柱)内设置芯柱时,小砌块必须对孔、错缝、搭砌,上下两皮小砌块搭砌长度应为195mm;当墙体设构造柱或使用多排孔小砌块及插填聚苯板或其他绝热保温材料的小砌块砌筑墙体时,应错缝搭砌,搭砌长度不应小于90mm。否则,应在此部位的水平灰缝中设 
4点焊钢筋网片。网片两端与该位置的竖缝距离不得小于400mm。墙体竖向通缝不得超过2皮小砌块,柱(独立柱、壁柱)宜为3皮。
条文说明
8.4.7 单排孔小砌块孔肋对齐、错缝搭砌,主要是保证墙体传递竖向荷载的直接性,避免产生竖向裂缝,影响砌体强度。同时,也可使墙体转角等交接部位的芯柱孔洞上下贯通。鉴于设计原因,有时不易做到完全对孔,因此,规定最小搭砌长度不得小于90mm,即主规格小砌块块长的1/4。否则,应在此水平灰缝中加设4钢筋网片,以保证小砌块壁肋均匀受力。 多排孔小砌块及插填聚苯板或其他绝热保温材料的小砌块主要用于无芯柱或设构造柱的墙,无对孔砌筑要求,但上下皮小砌块仍应搭砌,并不得小于90mm。
8.4.8 190mm厚的非承重小砌块墙体可与承重墙同时砌筑。小于190mm厚的非承重小砌块墙宜后砌,且应按设计要求从承重墙预留出不少于600mm长的2 
6@400拉结筋或 
@400T(L)形点焊钢筋网片;当需同时砌筑时,小于190mm厚的非承重墙不得与设有芯柱的承重墙相互搭砌,但可与无芯柱的承重墙搭砌。两种砌筑方式均应在两墙交接处的水平灰缝中埋置2 
6@400拉结筋或 
4@400T(L)形点焊钢筋网片。
条文说明
8.4.8 条文作此规定,是为了保证承重墙中的芯柱贯通。
8.4.9 混合结构中的各楼层内隔墙砌至离上层楼板的梁、板底尚有100mm间距时暂停砌筑,且顶皮应采用封底小砌块反砌或用Cb20混凝土填实孔洞的小砌块正砌砌筑。当暂停时间超过7d时,可用实心小砌块斜砌楔紧,且小砌块灰缝及与梁、板间的空隙应用砂浆填实;房屋顶层内隔墙的墙顶应离该处屋面板板底15mm,缝内宜用弹性腻子或1:3石灰砂浆嵌塞。
条文说明
8.4.9 为防止混合结构中的内隔墙顶与梁、板底间产生裂缝,应等待一段时间再补砌斜砌实心小砌块,使隔墙有一个凝固稳定的过程。实心小砌块应斜砌在无孔洞或孔洞被填满填实的小砌块上,以确保墙体稳定;房屋顶层内隔墙墙顶预留间隙,是为了避免因温度作用使屋面板变形,从而拉动隔墙引起墙体开裂,故顶层内隔墙不得与屋面板底接触。
8.4.10 小砌块采用内、外两排组砌时,应按下列要求进行施工:
1 当内、外两排小砌块之间插有聚苯板等绝热保温材料时,应采取隔皮(分层)交替对孔或错孔的砌筑方式,且上下相邻两皮小砌块在墙体厚度方向应搭砌,其搭砌长度不得小于90mm。否则,应在内、外两排小砌块的每皮水平灰缝中沿墙长铺设 
4点焊钢筋网片。
2 小砌块内、外两排组砌宜采用一顺一丁方式进行砌筑,但上下相邻两皮小砌块的竖缝不得同缝。
3 当内、外两排小砌块从墙底到墙顶均采取顺砌方式时,则应在内、外排小砌块的每皮水平灰缝中沿墙长铺设 
4点焊钢筋网片。
4 小砌块内、外两排之间的缝宽应为10mm,并与水平、垂直(竖)灰缝一致饱满。
条文说明
8.4.10 内、外两排小砌块组砌的墙体在承重或保温节能方面具有特定的优势。在严寒和寒冷地区,可根据当地气候、施工等条件予以采用,但必须保证内、外排小砌块墙体的整体稳定。
8.4.11 砌筑小砌块的砂浆应随铺随砌。水平灰缝应满铺下皮小砌块的全部壁肋或单排、多排孔小砌块的封底面;竖向灰缝宜将小砌块一个端面朝上满铺砂浆,上墙应挤紧,并加浆插捣密实。灰缝应横平竖直。
条文说明
8.4.11 小砌块不应浇水砌筑,为防止砂浆中水分被小砌块吸收,以随铺随砌为宜。垂直灰缝饱满度对防止墙体裂缝和渗水至关重要,故提出提高垂直灰缝饱满度的具体措施。
8.4.12 砌筑时,墙(柱)面应用原浆做勾缝处理。缺灰处应补浆压实,并宜做成凹缝,凹进墙面2mm。
条文说明
8.4.12 随砌随勾缝可使墙体灰缝密实不渗水。凹缝有利于抹灰层与墙体基层粘结。
8.4.13 砌入墙(柱)内的钢筋网片、拉结筋和拉结件的防腐要求应符合设计规定。砌筑时,应将其放置在水平灰缝的砂浆层中,不得有露筋现象。钢筋网片应采用点焊工艺制作,且纵横筋相交处不得重叠点焊,应控制在同一平面内。2根 
4纵筋应分置于小砌块内、外壁厚的中间位置, 
4横筋间距应为200mm。
条文说明
8.4.13 砌入小砌块墙体的
4点焊钢筋网片,若纵横向钢筋重叠为8mm厚,则有露筋的可能。因此,要求钢筋点焊应在同一平面内。
8.4.14 现浇圈梁、挑梁、楼板等构件时,支承墙的顶皮小砌块应正砌,其孔洞应预先用C20混凝土填实至140mm高度,尚余50mm高的洞孔应与现浇构件同时浇灌密实。
条文说明
8.4.14 为防止现浇构件时混凝土漏浆,应将支承梁、板的顶皮小砌块孔洞预先填实140mm高,余下部分与现浇构件一起浇筑,形成整体。
8.4.15 圈梁等现浇构件的侧模板高度除应满足梁的高度外,尚应向下延伸紧贴墙体的两侧。延伸部分不宜少于2皮~3皮小砌块高度。
条文说明
8.4.15 为防止现浇圈梁底与小砌块墙体间出现水平裂缝,向下延伸圈梁两侧模板,将力传至下部墙体可克服这种通病。
8.4.16 固定现浇圈梁、挑梁等构件侧模的水平拉杆、扁铁或螺栓所需的穿墙孔洞宜在砌体灰缝中预留,或采用设有穿墙孔洞的异型小砌块,不得在小砌块上打凿安装洞。内墙可利用侧砌的小砌块孔洞进行支模,模板拆除后应用实心小砌块或C20混凝土填实孔洞。
条文说明
8.4.16 考虑支模需要,同时防止在已砌好的墙体上打洞,特提出本条措施。当外墙利用侧砌的小砌块孔洞支模时,应防止该部位存在渗水隐患。
8.4.17 预制梁、板直接安放在墙上时,应将墙的顶皮小砌块正砌,并用C20混凝土填实孔洞,或用填实的封底小砌块反砌,也可丁砌三皮实心小砌块(90mm×190mm×53mm)。
条文说明
8.4.17 预制梁、板支承处的小砌块填实或用实心小砌块砌筑可增加梁、板底接触面,对支承与局部受压有利。
8.4.18 安装预制梁、板时,支座面应先找平后坐浆,不得两者合一,不得干铺,并按设计要求与墙体支座处的现浇圈梁进行可靠的锚固。预制楼板安装也可采用硬架支模法施工。
条文说明
8.4.18 为使预制梁、板安装平整,不因支座不平发生断裂,故强调了找平后再坐浆的操作步骤。
8.4.19 钢筋混凝土窗台梁、板的两端伸入墙内部位应预留孔洞。洞口的大小、位置应与此部位的上下皮小砌块孔洞完全一致,窗洞两侧的芯柱孔洞应竖向贯通。
条文说明
8.4.19 目的使门窗洞口两侧的芯柱贯通。
8.4.20 墙体施工段的分段位置宜设在伸缩缝、沉降缝、防震缝、构造柱或门窗洞口处。相邻施工段的砌筑高度差不得超过一个楼层高度,也不应大于4m。
条文说明
8.4.20 为组织流水施工,房屋变形缝和门窗洞口是划分施工工作段的最佳位置。构造柱将墙体分隔成几个独立部分,因此,也是施工工作段的划分位置。同时,出于墙体稳定性考虑,规定相邻施工工作段高差不得超过一个楼层高度,也不应大于4m。
8.4.21 墙体的伸缩缝、沉降缝和防震缝内不得夹有砂浆、碎砌块和其他杂物。
条文说明
8.4.21 缝内有了砂浆、碎块等杂物就限制了房屋建筑的变形,使变形缝起不到应有的作用。
8.4.22 基础或每一楼层砌筑完成后,应校核墙体的轴线位置和标高。对允许范围内的轴线偏差,应在基础顶面或本层楼面上校正。标高偏差宜逐皮调整上部墙体的水平灰缝厚度。
条文说明
8.4.22 这是保证整幢房屋建筑和每一层墙体质量的一项有效的施工技术措施。
8.4.23 在砌体中设置临时性施工洞口时,洞口净宽度不应超过1m。洞边离交接处的墙面距离不得小于600mm,并应在洞口两侧每隔2皮小砌块高度设置长度为600mm的 
4点焊钢筋网片及经计算的钢筋混凝土门过梁。
条文说明
8.4.23 主要防止施工中随意留设施工洞口,以确保人身安全。
8.4.24 尚未施工楼板或屋面以及未灌孔的墙和柱,其抗风允许自由高度不得超过表8.4.24的规定。当允许自由高度超过时,应加设临时支撑或及时浇注灌孔混凝土、现浇圈梁或连梁。

条文说明
8.4.24 本规定引自《砌体结构工程施工质量验收规范》GB 50203,并结合小砌块组砌的截面尺寸对墙(柱)厚度进行了调整。
8.4.25 砌筑小砌块墙体应采用双排外脚手架、里脚手架或工具式脚手架,不得在砌筑的墙体上设脚手孔洞。
条文说明
8.4.25 小砌块属薄壁空心材料,墙上留设脚手孔洞会造成墙体局部受压;事后镶砌,将使该部位砂浆较难饱满密实。多年施工实践证实,小砌块墙体施工可完全做到不设脚手孔洞。因此,条文作了严格规定。
8.4.26 在楼面、屋面上堆放小砌块或其他物料时,不得超过楼板的允许荷载值。当施工楼层进料处的施工荷载较大时,应在楼板下增设临时支撑。
条文说明
8.4.26 施工中,应防止因局部堆载或冲击荷载超过楼面、屋面的允许承载力而发生楼板开裂甚至突然坍塌的重大安全事故,为此,作出本规定。
8.5保温墙体施工
8.5 保温墙体施工
8.5.1 小砌块孔洞中需填散粒状的绝热保温或隔声材料时,应砌一皮填满一皮,不得捣实。充填材料的性能指标应符合设计要求,且洁净、干燥。
条文说明
8.5.1 砌一皮填一皮隔热、隔声材料可避免漏放的情况。
8.5.2 孔洞内插填聚苯板或其他绝热保温材料的复合保温小砌块的砌筑要求、铺灰方法、搭砌长度等应符合本规程第8.4节相关条文的规定。砌筑时,应采用强度等级符合设计要求并具有保温功能的砌筑砂浆。
条文说明
8.5.2 保温砌筑砂浆的强度等级与导热系数等指标应符合设计要求方可用于墙体砌筑。砌筑时,应防止聚苯板等绝热保温材料粘有砂浆。
8.5.3 砌筑带内复合绝热保温层(板)的夹心复合保温小砌块墙体时,上下左右的小砌块内复合绝热保温层(板)应相互平直对接,不得留有缝隙。当内复合绝热保温层(板)具有阻断、隔绝墙体任何部位的热桥功能时,可不予对接,并按常用砌筑砂浆错位砌筑;当内复合绝热保温层(板)的长度和高度均未超出小砌块块体时,应用符合设计强度等级的保温砌筑砂浆砌筑。
条文说明
8.5.3 砌筑中应使上下左右的保温夹芯层相互衔接成一体,避免热桥现象,以提高墙体保温效果。
8.5.4 90mm厚外叶墙与190mm厚内叶墙组成的小砌块夹心墙施工应符合下列要求:
1 内、外叶墙小砌块的排块宜一一对应。
2 砌筑时,内、外叶墙均应挂水平准线,并按皮数杆上的标志先砌内叶墙后砌外叶墙,依次交替往上砌筑。
3 空腔两侧内、外叶墙的水平灰缝与竖缝应随砌随勾平缝,墙面应平整,不得挂有砂浆,并及时清除掉入空腔内的砂浆等杂物。
4 聚苯板或其他保温板材应在内、外叶墙每砌筑2或3皮时插入空腔内。板间的上下左右拼缝应正交、平直对接,不得歪斜、重叠,不得相互分离、留有缝隙。当空腔内同时设保温层和空气间层时,应将聚苯板或其他保温板材用胶粘剂粘贴在内叶墙墙面上,并按设计要求的位置、间距留设排水道和出水孔。保温板周边的胶粘剂应形成连续的封闭圈,板的中间部分可采用点粘法涂抹。涂胶粘剂的面积不得少于保温板面积的40%;当采用浇注型硬质聚氨酯泡沫塑料、发泡脲醛树脂或现浇泡沫混凝土等保温材料时,应符合本规程第8.13.23和8.13.24条的规定。
5 钢筋网片的纵、横筋均应采用 
4钢筋,长度宜为房屋开间或相邻轴线间的距离,并需编号。纵、横筋组成的网片形状应与该开间或轴线内的小砌块排块图完全一致。内叶墙应设纵筋2根,分置于小砌块两个壁厚的中间;外叶墙仅在小砌块外侧壁厚1/2处设纵筋;内、外叶墙的竖向灰缝1/2宽度处设长横筋,间距应为400mm;短横筋仅设在内叶墙小砌块中肋的中间位置,离长横筋间距应为200mm。网片的纵、横筋均不宜位于小砌块孔洞处,并应按本规程第8.4.13条的要求进行焊接与埋置,竖向间距宜为400mm~600mm。
6 拉结件采用 
4热镀锌钢筋制成箍筋形状的拉结环时,其环箍的外围长度应比夹心墙厚度少30mm,外围宽度宜为40mm;当采用 
6热镀锌钢筋制成Z形拉结件时,其长度同拉结环,Z形的弯钩长度不应小于100mm。拉结件在同皮水平灰缝中的间距不得大于800mm,竖向间距宜为400mm~600mm,且相邻上、下皮拉结件的水平投影间距应为400mm,呈梅花状布置。
7 砌筑室内地面以下的夹心墙时,小砌块孔洞应用C20混凝土填实,空腔内填实高度宜为400mm~600mm。
8 在夹心墙上安装预制挑梁或支设现浇圈梁的模板前,应在梁底处的外叶墙顶面铺2层~3层油毡或聚苯板,不得将外叶墙作为挑梁与圈梁的支承点。
9 窗洞口两侧的夹心墙空腔处,应用2mm厚的钢板网全封闭。
10 砌筑时,门洞两侧内、外叶墙端部的孔洞处应埋置 
6@400拉结环或 
6@200拉结筋。墙端空腔中的保温材料不得外露,应用1:2水泥砂浆或C20混凝土封闭;当采用现浇钢筋混凝土边框加强内、外叶墙时,边框的纵向钢筋应伸入现浇门过梁内, 
6@200的水平箍筋两端应分别锚入内、外叶墙端部的小砌块孔洞中。
11 门洞两侧内叶墙端部的小砌块孔洞,应按插筋芯柱的要求进行施工;外叶墙端部的小砌块长孔可用Cb20混凝土填实。
条文说明
8.5.4 拉结件的防腐与埋设关系到内、外叶墙的稳定与安全,施工中应予注意。
8.5.5 190mm厚度外叶墙与90mm厚度内叶墙组成的小砌块夹心墙施工应符合下列要求:
1 在多层砌体混合结构房屋中,190mm厚度外叶墙在L形与T形节点处,可设置芯柱或构造柱。
2 在墙体设置芯柱的L形节点处,外墙与山墙应错缝搭砌并每隔2皮小砌块埋置转角的 
4点焊钢筋网片或2 
6拉结钢筋;在T形节点处,内墙不得与外墙搭砌,但仍应按2皮小砌块垂直间距设 
4点焊钢筋网片或2 
6拉结钢筋。芯柱数量、位置应按设计要求设置,且在T形部位内墙不得少于3孔芯柱。
3 在墙体设置构造柱的L形节点处,外墙、山墙与构造柱间应按2皮小砌块垂直间距埋设 
4点焊钢筋网片或2 
6拉结钢筋并留马牙槎口;在T形节点处,外墙与构造柱仍按前述要求设拉结筋,留马牙槎,但内墙仅将2 
6@400拉结钢筋锚入构造柱,不留槎口。构造柱在L形节点处的截面边长应与外墙、山墙厚度一致;在T形节点处,构造柱的外侧表面应平齐外墙面,其截面边长应与内墙厚度等宽,另一方向的截面边长宜为外墙厚度190mm减20mm。
4 当墙体T形节点设芯柱时,邻近外墙的内墙第一块小砌块的端面从墙底到墙顶应用预先满贴聚苯板的小砌块砌筑。聚苯板厚度宜为10mm;当T形节点设构造柱时,聚苯板厚度宜为20mm。
5 保温墙夹心层(空腔)与90mm厚度的内叶墙可日后施工。保温板粘贴可在外叶墙较干燥时进行。
6 内、外叶墙间可不设拉结钢筋网片或任何形式的拉结件,但内叶墙两端与内墙应每隔2皮小砌块设置 
4点焊钢筋网片或2 
6拉结钢筋。当内叶墙高度超过4m时,宜在1/2墙高处设置与内墙连接且沿墙全长贯通的钢筋混凝土水平系梁。
7 墙体T形交接处的楼、屋面现浇圈梁中的纵向钢筋须连通,但混凝土在结合处的聚苯板位置留缝断开。缝宽宜为10mm~20mm,缝内宜充填聚氨酯填缝剂。
8 在不改变室内净宽度和净长度尺寸的前提下,外墙的定位轴线应设在190mm厚度的外叶墙上。
条文说明
8.5.5 在多层砌体混合结构的房屋中,将190mm厚度墙作外叶墙、90mm厚度墙为内叶墙所组成的夹心墙有以下特点:
1 在外叶墙较干燥时进行保温夹心层施工能保持聚苯板外表干燥,使保温效果不受影响。
2 内、外叶墙可不同时砌筑,既方便了施工,又节省了钢筋网片或拉结件。
3 内、外叶墙间的空腔内可不设排水通道。
4 有利室内装修及管线安装。在90mm厚度内叶墙上打洞凿槽,无碍主体结构墙。
8.6芯柱施工
8.6 芯柱施工
8.6.1 每根芯柱的柱脚部位应采用带清扫口的U型、E型或C型等异型小砌块砌筑。
条文说明
8.6.1 凡有芯柱之处应设清扫口,一是用于清扫孔道内杂物,二是便于上下芯柱钢筋绑扎固定。施工时,芯柱清扫口可用U型砌块砌筑,但仅用一种单孔U型块竖砌将在此部位发生两皮同缝的状况。为避免此现象,应与双孔E型块同用为宜。C型小砌块用于墙体90°转角部位,可使转角芯柱底部相互贯通。
8.6.2 砌筑中应及时清除芯柱孔洞内壁及孔道内掉落的砂浆等杂物。
条文说明
8.6.2 芯柱孔洞内有杂物将影响混凝土质量。内壁的砂浆将使芯柱断面缩小。因此,在砌筑时应随砌随刮从灰缝中挤出的砂浆。
8.6.3 芯柱的纵向钢筋应采用带肋钢筋,并从每层墙(柱)顶向下穿入小砌块孔洞,通过清扫口与从圈梁(基础圈梁、楼层圈梁)或连系梁伸出的竖向插筋绑扎搭接。搭接长度应符合设计要求。
条文说明
8.6.3 因芯柱孔洞较小,使用带肋钢筋可省却两端弯钩占去的空间,有利于芯柱的混凝土浇灌。
8.6.4 用模板封闭清扫口时,应有防止混凝土漏浆的措施。
条文说明
8.6.4 由于灌注芯柱混凝土的流动度较大,为保证混凝土密实,要求有严密封闭清扫口的措施,防止漏浆。
8.6.5 灌筑芯柱的混凝土前,应先浇50mm厚与灌孔混凝土成分相同不含粗骨料的水泥砂浆。
条文说明
8.6.5 先浇50mm厚与芯柱的混凝土成分相同的水泥砂浆,可防止芯柱底部的混凝土显露粗骨料。
8.6.6 芯柱的混凝土应待墙体砌筑砂浆强度等级达到1MPa及以上时,方可浇灌。
条文说明
8.6.6 当砌筑砂浆未达到规定强度即浇灌、振捣芯柱的混凝土会造成墙体位移。因此,施工时应予注意。
8.6.7 芯柱的混凝土坍落度不应小于90mm;当采用泵送时,坍落度不宜小于160mm。
条文说明
8.6.7 芯柱的混凝土坍落度应比一般混凝土大,有利于浇灌,稍许振捣即可密实。但非泵送的预拌混凝土坍落度过大会给施工操作带来一定的困难。
8.6.8 芯柱的混凝土应按连续浇灌、分层捣实的原则进行操作,直浇至离该芯柱最上一皮小砌块顶面50mm止,不得留施工缝。振捣时,宜选用微型行星式高频振动棒。
条文说明
8.6.8 为使芯柱的混凝土有较好的整体性,应实行连续浇灌,直浇至离该芯柱最上一皮小砌块顶面50mm止,使每层圈梁的底与所有芯柱交接处均形成凹凸形暗键,以增强房屋的抗震能力。
8.6.9 芯柱沿房屋高度方向应贯通。当采用预制钢筋混凝土楼板时,其芯柱位置处的每层楼面应预留缺口或设置现浇钢筋混凝土板带。
条文说明
8.6.9 为了充分发挥芯柱在房屋抗震中的作用,芯柱沿房屋高度方向应在每层楼面处全截面贯通。
8.6.10 芯柱的混凝土试件制作、养护和抗压强度取值应符合现行国家标准《混凝土结构工程施工质量验收规范》GB 50204的规定。混凝土配合比变更时,应相应制作试块。施工现场实测检验宜采用锤击法敲击芯柱外表面。必要时,可采用钻芯法或超声法检测。
条文说明
8.6.10 目前,锤击法听其声音是最简单的方法。若有异疑可随机抽查,凿开芯柱外壁观察。超声法属无损伤检验,方法科学可靠,但费用稍大,不宜作为常规检测手段,仅对芯柱质量有争议时使用。
8.7构造柱施工
8.7 构造柱施工
8.7.1 设置钢筋混凝土构造柱的小砌块墙体,应按绑扎钢筋、砌筑墙体、支设模板、浇灌混凝土的施工顺序进行。
条文说明
8.7.1 先砌墙后浇柱的施工顺序有利构造柱与墙体的结合,施工中应切实遵守。
8.7.2 墙体与构造柱连接处应砌成马牙槎,从每层柱脚开始,先退后进。槎口尺寸为长100mm、高200mm。墙、柱间的水平灰缝内应按设计要求埋置 
4点焊钢筋网片。
条文说明
8.7.2 为避免构造柱因混凝土收缩而导致柱、墙脱开状况,小砌块墙体与构造柱之间应设马牙槎。由于小砌块块体较大,马牙槎槎口尺寸也相应较大,一般为100mm×200mm,否则小砌块不易排列。
8.7.3 构造柱两侧模板应紧贴墙面,不得漏浆。柱模底部应预留100mm×200mm清扫口。
条文说明
8.7.3 构造柱两侧模板与墙体表面的间隙是混凝土浇捣时漏浆的通道,易造成构造柱混凝土施工质量问题。施工中,可在两侧模板与墙体接触处边缘,沿模板高度粘贴泡沫塑料条,以达到模板紧贴墙体的要求,堵塞混凝土浆水流出。
8.7.4 构造柱纵向钢筋的混凝土保护层厚度宜为20mm,且不应小于15mm。混凝土坍落度宜为50mm~70mm。
条文说明
8.7.4 坍落度可根据施工时气温、泵送高度作适当调整。
8.7.5 构造柱混凝土浇灌前,应清除砂浆等杂物并浇水湿润模板,然后先注入与混凝土成分相同不含粗骨料的水泥砂浆50mm厚,再分层浇灌、振捣混凝土,直至完成。凹形槎口的腋部应振捣密实。
条文说明
8.7.5 由于小砌块马牙槎较大,凹形槎口的腋部混凝土不易密实,故浇灌、振捣构造柱混凝土时要引起注意。
8.8填充墙体施工
8.8 填充墙体施工
8.8.1 小砌块填充墙的砌筑除应按本规程第8.4节的规定执行外,尚应符合本节要求。
条文说明
8.8.1 本节用于框架填充墙施工也包括混凝土剪力墙内的填充墙。为避免内容重复,施工时应遵守本规程中的有关条文。
8.8.2 小砌块堆放要求除符合本规程第8.3.3条的规定外,应充分利用在建框架结构的空间,将小砌块按每层的使用量分散堆放至各层楼面的墙体砌筑位置处。
条文说明
8.8.2 将小砌块堆置在各楼层内,既可充分利用空间又使小砌块与框架结构处于同一温湿环境中,这对日后填充墙与框架柱、梁间尽可能缩小两者因干缩湿涨与温度及风吹等影响而产生的变形较为有利。
8.8.3 轻骨料小砌块用于未设混凝土反梁或坎台(导墙)的厨房、卫生间及其他需防潮、防湿房间的墙体时,其底部第一皮应用C20混凝土填实孔洞的普通小砌块或实心小砌块(90mm×190mm×53mm)三皮砌筑。
条文说明
8.8.3 从防潮与耐久性考虑,作此规定。
8.8.4 填充墙与框架或剪力墙间的界面缝连接应按下列要求施工:
1 沿框架柱或剪力墙全高每隔400mm埋设或用植筋法预留2 
6拉结钢筋,其伸入填充墙内水平灰缝中的长度应按抗震设计要求沿墙全长贯通。
2 填充内墙砌筑时,除应每隔2皮小砌块在水平灰缝中埋置长度不得小于1000mm或至门窗洞口边并与框架柱(剪力墙)拉结的2 
6钢筋外,尚宜在水平灰缝中按垂直间距400mm沿墙全长铺设直径为 
4点焊钢筋网片。网片与拉结筋可不设在同皮水平灰缝内,宜相距一皮小砌块的高度。网片应按本规程第8.4.13条的要求进行制作与埋设,不得翘曲。铺设时,应将网片的纵、横向钢筋分置于小砌块的壁、肋上。网片间搭接长度不宜小于90mm并焊接。
3 除芯柱部位外,填充墙的底皮和顶皮小砌块宜用C20混凝土或LC20轻骨料混凝土预先填实后正砌砌筑。
4 界面缝采用柔性连接时,填充墙与框架柱或剪力墙相接处应预留10mm~15mm宽的缝隙;填充墙顶与上层楼面的梁底或板底间也应预留10mm~20mm宽的缝隙。缝内中间处宜在填充墙砌完后28d用聚乙烯(PE)棒材嵌塞,其直径宜比缝宽大2mm~5mm。缝的两侧应充填聚氨酯泡沫填缝剂(PU发泡剂)或其他柔性嵌缝材料。缝口应在PU发泡剂外再用弹性腻子封闭;缝内也可嵌填宽度为墙厚减60mm,厚度比缝宽大1mm~2mm的膨胀聚苯板,应挤紧,不得松动。聚苯板的外侧应喷25mm厚PU发泡剂,并用弹性腻子封至缝口。
5 界面缝采用刚性连接时,填充墙与框架柱或剪力墙相接处的灰缝必须饱满、密实,并应二次补浆勾缝,凹进墙面宜5mm;填充墙砌至接近上层楼面的梁、板底时,应留空隙100mm高。空隙宜在填充墙砌完后28d用实心小砌块(90mm×190mm×53mm)斜砌挤紧,灰缝等空隙处的砂浆应饱满、密实。
6 填充墙与框架柱或剪力墙之间不埋设拉结钢筋,并相离10mm~15mm;墙的两端与墙中或1/3墙长处以及门窗洞口两侧各设2孔~3孔配筋芯柱或构造柱,其纵筋的上下两端应采用预留钢筋、预埋铁件、化学植筋或膨胀螺栓等连接方式与主体结构固定;墙体内应按本条第2款的要求,在砌筑时每隔2皮小砌块沿墙长铺设 
4点焊钢筋网片;墙顶除芯柱或构造柱部位外,宜留10mm~20mm宽的缝隙,并按本条第4款的要求进行界面缝施工。填充外墙尚应在窗台与窗顶位置沿墙长设置现浇钢筋混凝土连系带,并与各芯柱或构造柱拉结。连系带宜用U型小砌块砌筑,内置的纵向水平钢筋应符合设计要求且不得小于2 
12。
8.8.5 小砌块填充墙与框架柱、梁或剪力墙相接处的界面缝的正反两面,均应平整地紧贴墙、柱、梁的表面钉设钢丝直径为0.5mm~0.9mm、菱形网孔边长20mm的热镀锌钢丝网。网宽应为缝两侧各200mm,且不得使用翘曲、扭曲等不平整的钢丝网。固定钢丝网的射钉、水泥钉、骑马钉(U形钉)等紧固件应为金属制品并配带垫圈或压板压紧。同时,在此部位的抹灰层面层且靠近面层的表面处,宜增设一层与钢丝网外形尺寸相同由聚酯纤维制成的无纺布或薄型涤棉平布。
条文说明
8.8.4、8.8.5 为防止界面裂缝的产生,应按条文要求采取柔性接缝的构造较为妥当,并在缝外与抹灰层中分设钢丝网及可以防裂的织造物。
8.8.6 小砌块填充墙内设置构造柱时,应按本规程第8.7节的规定进行施工。
条文说明
8.8.6 当填充墙较长较高时,为保证墙体自身稳定并防止墙体产生裂缝,应在墙内设置构造柱或芯柱。
8.8.7 填充墙中的芯柱施工除底部设清扫口外,尚应在1/2柱高与柱顶处设置。芯柱纵向钢筋的下料长度应为1/2柱高加搭接长度,数量应为两根,并应同时放入中部的清扫口。一根纵筋应通过底部清扫口与本层楼面的竖向插筋或其他方式固定;另一根纵筋应在砌到墙顶时通过中部清扫口向上提升,在顶部清扫口与上层梁、板底的预留筋或其他方式连接。底部清扫口应在清除孔道内砂浆等杂物后先行封模;中部清扫口应在芯柱下半部的混凝土浇灌、振捣完成后封闭,并继续浇灌直至顶部清扫口下缘。顶部清扫口内应用C20干硬性混凝土或粗砂拌制的1:2水泥砂浆填实。
条文说明
8.8.7 对填充墙内设置芯柱的施工方法作了规定。
8.8.8 小砌块填充外墙当采用带有锚栓的外保温系统时,其小砌块的强度等级不得低于MU5.0级且外壁厚度不得少于30mm。
条文说明
8.8.8 为保证锚栓锚入墙体内牢固可靠,特作此规定。
8.8.9 内嵌式填充外墙当采用复合保温小砌块砌筑时,宜将整个墙体外挑,其挑出宽度不得大于50mm,且应沿墙底全长用经防腐处理的金属托条支承。托条宜采用一肢宽度为40mm~50mm、厚度不小于5mm的不等边角钢或高强铝合金件,且与主体结构的梁、柱或墙固定。
条文说明
8.8.9 将复合保温小砌块墙体外挑是为了解决主体结构框架柱与梁存在热桥问题而采取的技术措施,但外挑宽度不得大于50mm,以防墙体重心外移而倾倒。
8.8.10 填充外墙采用夹心复合保温小砌块砌筑时,宜采取外贴式外包框架外柱;当采用内嵌式砌筑时,应按本规程第8.8.9条的要求将整个墙体外挑。
条文说明
8.8.10 夹心复合保温小砌块填充外墙采取外贴式可从根本上解决热桥问题。当采取内嵌式时,应将墙体外挑,凸出框架柱50mm。框架柱外侧粘贴保温板后与外墙面应在同一垂直面内,并外抹内置耐碱网格布的抗裂砂浆。
8.8.11 填充外墙采用夹心墙时,190mm厚度的外叶墙不宜外挑并外包框架柱。框架柱外侧应按设计要求粘贴保温板或其他保温材料。保温夹心层(空腔)与90mm厚度的内叶墙可日后施工。内叶墙与框架柱连接应按本规程第8.8.4条第1款要求施工;当采用内嵌式砌筑时,应将190mm厚度的外叶墙外挑,并按本规程第8.8.9条要求施工。保温夹心层(空腔)与90mm厚度的内叶墙可日后施工;当90mm厚度墙作外叶墙、190mm厚度墙为内叶墙时,应采取不外挑的外贴式外包框架外柱或按内嵌式填充外墙进行砌筑,其施工要求应符合本规程第8.5.4条的规定。严禁内嵌式填充外墙将90mm厚度外叶墙外挑。
条文说明
8.8.11 夹心墙可解决墙体保温问题,外贴式能阻断结构存在的热桥问题。为使墙体稳定,防止倾倒,严禁外叶墙外挑。
8.8.12 框架结构中的楼梯间、通道、走廊、门厅、出入口等人流通过的交通区域,该范围内的填充墙两侧墙面应分层抹1:2水泥砂浆钢丝网面层,总厚度宜为20mm。钢丝网的规格、尺寸应符合本规程第8.8.5条的要求。
条文说明
8.8.12 墙面抹水泥砂浆钢丝网,既可加强墙的整体性,又能防止其突然倾倒。在突发事件时,有利于人流安全疏散、撤离。
8.9单层房屋非承重围护墙体施工
8.9 单层房屋非承重围护墙体施工
8.9.1 小砌块用于生产性用房(厂房、车间、仓库等)与非生产性用房(食堂、练习房、多功能厅等)的单层房屋的非承重围护墙时,其砌筑要求应符合本规程第8.4节的有关规定。
条文说明
8.9.1 小砌块可广泛用于单层房屋的围护墙。当前,在我国推进城镇化的道路上,在新农村建设与城乡经济的发展中,小砌块将大有用武之地。对此,本节的条文是在既有小砌块单层房屋施工经验的基础上进行了归纳与总结。
8.9.2 围护墙与房屋主体结构钢筋混凝土柱连接的拉结筋应为2 
6钢筋,竖向间距400mm,埋入墙内水平灰缝中的长度不得小于700mm;围护墙与钢柱间的连接构造、焊缝形式、焊缝长度和厚度应符合设计要求。
条文说明
8.9.2 拉结筋与现浇圈梁是围护墙连接房屋主体结构的两种主要方式,它关系到墙体的稳定与房屋的安全,应按条文规定进行设置。
8.9.3 门窗洞口两侧的单排孔小砌块孔洞,应用C20普通混凝土或LC20轻骨料混凝土灌孔填实;双排孔或多排孔小砌块的孔洞宜填实后砌筑。
条文说明
8.9.3 单层房屋中的生产用房与公共建筑,一般门窗都较大,故洞口两侧的小砌块孔洞应用混凝土填实加强。
8.9.4 围护墙的窗台处,应设现浇或预制的钢筋混凝土窗台梁、板。当无窗台梁或窗台板时,应将窗台长度范围内的顶面一皮小砌块孔洞用C20混凝土填实;对插填聚苯板或其他绝热保温材料的小砌块应用2mm厚的钢板网封闭顶面,外抹1:2水泥砂浆。
条文说明
8.9.4 无窗台板或梁时,水极易渗入墙内,故应封闭。
8.9.5 设有钢筋混凝土抗风柱的单层房屋的山墙,应在柱顶与屋架以及屋架间的支撑均已连接固定后,方可砌筑。
条文说明
8.9.5 抗风柱柱顶固定前犹如一根竖立的悬臂杆件,发生位移的可能性很大,并影响到与其相连接的山墙也跟随移位。同时,山墙承受的正、负风压又传给悬臂的抗风柱,两者间互相影响,导致山墙不稳定而倒塌,故从安全计,应遵守条文规定的施工程序。
8.9.6 围护墙的壁柱与山墙的抗风柱应采用强度等级不得低于MU7.5级单排孔小砌块砌筑。相邻的上下皮小砌块应对孔搭砌,竖向通缝不得超过3皮,并应将壁柱与抗风柱范围内的所有孔洞用Cb20混凝土全高灌实。当柱的孔洞内设有纵向钢筋时,应按本规程第8.10节的要求进行施工。
条文说明
8.9.6 壁柱、抗风柱均是稳定墙体的重要受力部件。孔洞内全高灌实混凝土可加强整体性。
8.9.7 清水围护墙应采用符合抗渗性指标要求的小砌块砌筑,除灰缝砌筑饱满、勾缝密实外,墙面应至少刷两遍中、高档弹性防水涂料。
条文说明
8.9.7 当生产性用房的外墙不作外抹灰时,为防止墙体渗水,应采用抗渗小砌块砌筑较妥。
8.9.8 围护墙上现浇圈梁、连梁、过梁等构件的施工,应符合本规程第8.4.13~8.4.15条的规定。
条文说明
8.9.8 见本规程第8.4.13条~8.4.15条条文说明。
8.9.9 小砌块山墙顶部的斜坡或卧梁应用C20混凝土现浇,内埋铁件与屋面构件或纵向连系杆连接。
条文说明
8.9.9 山墙虽是围护墙实际上它是承受风压的受力部件,加之山墙处一般开设较大的门洞,对墙体整体有一定的削弱。为传递风荷载及加强整体稳定性,在山墙顶现浇钢筋混凝土斜坡并埋设与屋盖连接的铁件,对房屋安全是有利的。
8.10配筋小砌块砌体施工
8.10 配筋小砌块砌体施工
Ⅰ 小砌块砌筑
8.10.1 配筋小砌块砌体应采用带功能缝的小砌块砌筑,并应符合本规程第8.4节和本节的要求。
条文说明
8.10.1 带功能缝(槽口)的小砌块是专用于配筋小砌块砌体的墙体材料。开设槽口的目的,一是为配置砌体内的通长水平钢筋;二是保证灌孔混凝土沿墙长水平流动;三是使小砌块竖缝的中间空腔部位也可灌实混凝土,从而使小砌块、砌筑砂浆、水平钢筋、竖向钢筋通过灌孔混凝土连接成整体。
8.10.2 灌孔混凝土墙、柱的每层第一皮应用带清扫口的小砌块砌筑。
条文说明
8.10.2 设清扫口的目的,一是用于清扫孔道内杂物,二是便于上下竖向钢筋绑扎固定。因配筋小砌块砌体所有小砌块孔洞均需灌实混凝土,故每层砌体的第一皮小砌块应用带清扫口的小砌块砌筑。
8.10.3 设置墙体水平钢筋的小砌块槽口应在砌筑时按需随砌随敲,且槽口应向下反砌。
条文说明
8.10.3 鉴于小砌块底面(反面)的铺灰面较顶面(正面)大,有利砂浆铺摊,易保证水平灰缝饱满度,故应反砌。
8.10.4 小砌块水平灰缝砂浆宜铺一块砌一块;竖缝砂浆仅铺于小砌块端面两边缘部位,中间凹槽面不得铺灰,应为空腔。
条文说明
8.10.4 为防止砌筑砂浆中水分过早过快地被小砌块吸收,使操作困难,故宜铺一块砌一块,随铺随砌。配筋小砌块砌体的竖缝中间部位应为空腔,不得留有砌筑砂浆,待日后灌孔混凝土填实。
8.10.5 砌筑时,应随砌随清理孔道内壁和竖缝空腔内被挤出的砂浆,并用原浆勾缝。
条文说明
8.10.5 为防止砌筑时挤出的砌筑砂浆占了小砌块孔洞的空间,使灌孔混凝土与每块小砌块孔洞内壁能够紧密结合,保证竖向孔洞内壁尺寸一致,故应及时清除挤出的砂浆。
8.10.6 高层小砌块配筋砌体当采用夹心墙时,应按本规程第8.5.4条的规定进行施工。
条文说明
8.10.6 高层配筋砌体因受力需要一般都在墙体的端部及转角部位配以纵筋,故夹心墙中的190mm厚度墙应为内叶墙,并加强内、外叶墙间的拉结,以保证90mm厚度外叶墙的稳定与安全。
Ⅱ 钢筋施工
8.10.7 配筋小砌块墙体内的水平钢筋应置于反砌小砌块的槽口内,并应对称位于墙体中心线两侧,水平中距宜为80mm,用定位拉筋固定;水平筋的竖向间距应符合设计要求。环箍钢筋、S形拉筋应埋置在水平灰缝砂浆层中,不得露筋。
8.10.8 墙、柱的纵向钢筋应按本规程第8.6.3条的要求进行穿孔安装。
8.10.9 配筋小砌块墙体内的上下楼层的纵向钢筋(竖筋),宜对称位于小砌块孔洞中心线两侧并相互搭接;竖筋在每层墙体顶部处应用定位钢筋焊接固定;竖筋表面离小砌块孔洞内壁的水平净距不宜小于20mm。
8.10.10 环箍钢筋的两端应焊接闭合,且在同一平面。
8.10.11 独立柱与壁柱的每个小砌块孔洞中宜放置1根纵向钢筋,不应超过2根。当孔内设置2根时,两根钢筋的搭接接头不得在同一位置,应上下错开一个搭接长度的距离。
8.10.12 独立柱、壁柱的箍筋与拉筋应埋设在水平灰缝或灌孔混凝土中。箍筋与拉筋置于灌孔混凝土内时,应将其通过小砌块壁、肋的部位开出槽口。槽的宽度宜比箍筋或拉筋的直径大2mm,高度宜为50mm;箍筋与拉筋置于水平灰缝时,其直径不得大于10mm。
条文说明
8.10.7~8.10.12 竖向钢筋、水平钢筋、环箍状钢筋、S形拉筋,其规格、数量、位置、间距、搭接长度与部位等均应符合设计要求和条文的规定。施工中,应随时进行检查,尤其是水平钢筋、环箍状钢筋和S形拉筋,力求避免事后返工事故。
Ⅲ 灌孔混凝土施工
8.10.13 灌孔混凝土浇灌前,应按工程设计图对墙、柱内的钢筋品种、规格、数量、位置、间距、接头要求及预埋件的规格、数量、位置等进行隐蔽工程验收。
条文说明
8.10.13 配筋小砌块砌体内的钢筋应按隐蔽工程要求进行检查验收,并作书面记录和必要的影像资料。合格后,方可浇筑灌孔混凝土。
8.10.14 墙肢较短的配筋小砌块砌体与独立柱,在浇灌混凝土前应有防止砌体侧向移位的措施。
条文说明
8.10.14 从短墙肢与独立柱的稳定、安全考虑,防止混凝土灌孔时受振动、捣固等影响造成砌体位移,故应适当加强墙、柱支撑或砌体间的拉结。
8.10.15 灌孔混凝土应采用粗骨料粒径5mm~16mm的预拌混凝土。浇灌时,混凝土不得有离析现象。坍落度宜为230mm~250mm。
条文说明
8.10.15 混凝土坍落度是确保灌孔混凝土在小砌块砌体内处处密实的一项重要施工技术指标。工程实践表明,在符合混凝土强度等级的前提下,其坍落度为230mm~250mm较适宜。
8.10.16 灌孔混凝土浇灌应按本规程第8.6.4~第8.6.6条及第8.6.8条要求执行,并符合下列规定:
1 采用混凝土泵浇灌时,混凝土应经浇灌平台再入模(墙、柱),不得直接灌入墙、柱内。
2 振捣时,应逐孔按顺序捣实。振动棒在小砌块各个孔洞内的插入深度宜一致,不得遗漏或重复振捣。
3 浇灌时,应防止混凝土流入非承重墙的小砌块孔洞内。
条文说明
8.10.16 条文对灌孔混凝土施工顺序及技术要求作了规定:
1 为防止混凝土泵在送料、布料时将脉动式冲击直接传至墙体,故要求混凝土应经浇灌平台后再入模(墙、柱)较妥,并可减少混凝土流失。
2 按条文要求操作,既可防漏振,又能均衡振捣混凝土。
3 浇捣时,可在承重墙与非承重墙交接处采取临时隔断阻挡措施。
8.11管线与设备安装
8.11 管线与设备安装
8.11.1 水、电等管线应按小砌块排块图的要求进行敷设安装,并应与土建施工进度密切配合。
8.11.2 设计规定或施工所需的孔洞、沟槽与预埋件等,应在砌筑时预留或预埋,不得在已砌筑的墙体上打洞和凿槽。设计更改或施工遗漏的少量孔洞、沟槽宜用石材切割机开设。
条文说明
8.11.1、8.11.2 编制小砌块排块图时,应将土建施工与水电等安装通盘考虑,做到预留、预埋。施工时,负责水电安装的施工员应时时跟随现场,密切配合土建施工进度,做好管线暗敷和空调机、脱排油烟机等洞口留设工作,仅个别考虑不周的部位方可用电动机具开凿,以确保墙体工程质量。
8.11.3 水、电、煤气管道的进户水平向总管应埋于室外地面下;竖向总管应敷设于管道井内或楼梯间等阴角部位。
8.11.4 照明、电信、有线电视等线路可采用内穿12号钢丝的白色增强塑料管。水平管线宜敷设在圈梁(连梁)模板内侧或现浇混凝土楼板(屋面板)中,也可埋于专供安装水平管的带凹槽的异型小砌块内,凹槽深50mm,宽为130mm;竖向管线应随墙体砌筑埋设在小砌块孔洞内或在墙内水平钢筋与小砌块孔洞内壁之间。管线出口处应采用U型小砌块(190mm×190mm×190mm)竖砌或用石材切割机开出槽口,内埋安装开关、插座的接线盒等配件,四周应用水泥砂浆填实且凹进墙面2mm。
8.11.5 冷、热给水管应明装。当非配筋墙体需暗设时,水平管可敷设在带凹槽的异型小砌块内;立管宜安装在E型或 
型小砌块的开口孔洞中。给水管道经试水验收合格,应按本规程第8.11.6条的要求进行封闭。
8.11.6 安装在小砌块凹槽内与开口孔洞中的管道应用管卡与墙体固定,不得有松动、反弹现象。浇水湿润后用1:2水泥砂浆或C20干硬性细石混凝土填实凹槽,封闭面宜低凹于墙面2mm。外设10mm×10mm直径为0.5mm~0.9mm的钢丝网。网宽应跨过槽、洞口,每边与墙搭接的宽度不得小于100mm。
8.11.7 污水管、粪便管等排水管不论立管还是水平管均宜明管安装。
条文说明
8.11.3~8.11.7 条文对各类管线敷设作了原则性规定。无论多层或高层小砌块砌体建筑均宜设管道井或集中设置在某个隐蔽部位,便于检修管理。
8.11.8 挂壁式的卫生设备安装宜用膨胀螺栓与墙体固定。
条文说明
8.11.8 各类设备安装可采用金属或塑料锚栓固定。
8.11.9 电表箱、电话箱、水表箱、煤气表箱、有线电视铁盒及信报箱等应按设计要求在砌筑墙体时留设或明装。当安装表箱的洞口宽度大于400mm时,洞顶应设外形尺寸符合小砌块模数的钢筋混凝土过梁。
条文说明
8.11.9 各类表箱的安装位置应按设计要求预留。
8.11.10 脱排油烟机和空调机的排气管与排水管应按集中排放的要求,预留出墙洞口的位置。在外墙面同一部位的上下洞口位置应垂直对齐,洞口直径的允许偏差为15mm,上下洞口位置偏移不得大于20mm。
条文说明
8.11.10 预留上下楼层同一部位的脱排油烟机废气口和空调机出墙管的洞口中心应在同一垂线上,洞口位置和大小也应上下一致。
8.12门窗框安装
8.12 门窗框安装
8.12.1 木门窗框两侧与非配筋墙体连接处的上、中、下部位,宜砌入单排孔小砌块(190mm×190mm×190mm)。孔洞内应预埋满涂沥青的楔形木块,其端头小的端面应与小砌块洞口齐平,四周用C20混凝土填实,或砌入3皮一顺一丁的实心小砌块(90mm×190mm×53mm)。木门窗框应用铁钉与木块连接或用射钉、膨胀螺栓与实心小砌块固定。
条文说明
8.12.1 木门与小砌块墙体连接方式采用混凝土包木砖,再用钉子相连。这种传统连接的可靠度已为工程实践所证实,也可直接将木框固定在实心小砌块上。塑料门窗和铝合金门窗可用射钉或膨胀螺栓连接固定。
8.12.2 配筋小砌块墙体及非配筋墙体的门窗洞口两侧的小砌块用C20普通混凝土或LC20轻骨料混凝土填实时,门窗框与墙体间的连接件可采用射钉或膨胀螺栓固定,其施工方法同实心混凝土墙体(剪力墙)的门窗安装。
条文说明
8.12.2 门窗与实心混凝土墙体连接安装可按本规程第8.12.1条提供的方法施工。木门框安装应先在墙上钻洞,然后塞入四周涂满胶粘剂的木榫(木桩),再用钉子连接。
8.12.3 工 业建筑、公共建筑及单层房屋中的大型、重型及组合式的门窗安装,应按设计要求在洞边和洞顶现浇钢筋混凝土门窗框与过梁。夹心墙上的门窗洞现浇钢筋混凝土框时,应按本规程第8.5.4条要求与内、外叶墙连接。
条文说明
8.12.3 小砌块墙体自重较轻,不适宜直接承受大型或重型门窗的重量及其风载。同时,为减少门窗开闭对墙体撞击的影响,门窗洞周边应现浇钢筋混凝土框及设置相应的连接铁件。
8.12.4 外墙门窗框与墙体间空隙的室外一侧应采用外墙弹性腻子封闭,室内侧及内墙门窗框与墙的间隙处均应用聚氨酯泡沫填缝剂(PU)充填。
条文说明
8.12.4 采用聚氨酯泡沫填缝剂填充门窗框与墙体间的缝隙其施工方便,质量也较传统水泥砂浆嵌塞为好。条件不具备的地区,在保证门窗安装质量的前提下,仍可采用传统的嵌塞方法。
8.12.5 外墙为外保温系统时,门窗框与墙体之间预留的缝隙宽度应考虑保温层的厚度。整个保温系统遮盖门窗框的宽度不应大于20mm。
条文说明
8.12.5 预留门窗洞时,必须考虑外保温层厚度,否则洞口周边的保温层施工将影响到门窗的开启、采光及外表。
8.13墙体节能工程施工
8.13 墙体节能工程施工
8.13.1 小砌块外墙保温系统各组成部分的构造、材料性能、技术要求及保温系统的整体性能与试验方法应符合国家现行标准《外墙外保温工程技术规程》JGJ 144、《建筑节能工程施工质量验收规范》GB 50411、《膨胀聚苯板薄抹灰外墙外保温系统》JG 149、《胶粉聚苯颗粒外墙外保温系统》JG 158、《喷涂硬质聚氨酯泡沫塑料》GB/T 20219、《硬泡聚氨酯保温防水工程技术规范》GB 50404、《建筑保温砂浆》GB/T 20473等标准的规定。
条文说明
8.13.1 本节墙体节能工程主要针对膨胀聚苯板薄抹灰等外保温系统所存在的工程质量问题而提出的具体措施与要求,以规范施工操作,保证工程质量。小砌块建筑应根据小砌块自身特点,积极发展推广小砌块墙体自保温与夹心墙保温技术,使保温材料使用年限与房屋建筑寿命尽可能一致,以充分发挥小砌块在这方面具有其他墙体材料无可比拟的优势。
8.13.2 外墙饰面层面砖的胶粘剂、勾缝剂的性能应分别符合现行行业标准《陶瓷墙地砖胶粘剂》JC/T 547与《陶瓷墙地砖填缝剂》JC/T 1004的要求。
8.13.3 外墙饰面层涂料的性能应符合现行国家标准《合成树脂乳液外墙涂料》GB/T 9755的要求。
条文说明
8.13.2、8.13.3 关于外保温饰面层使用的面砖胶粘剂、勾缝剂及涂料的选用有很多说法,不便于施工单位操作。为保证工程质量,材料的性能指标仍应以国内现行标准为准并结合工程具体情况作些变动。
8.13.4 施工现场应对下列材料的性能进行见证取样送检复验:
1 保温材料的导热系数、密度、抗压强度或压缩强度。
2 粘贴保温板的胶粘剂、面砖胶粘剂的粘结强度。严寒和寒冷地区尚应进行冻融试验,其试验结果应符合当地最低气温环境的使用要求。
3 耐碱涂塑玻璃纤维网格布、热镀锌电焊钢丝网的力学性能、抗腐蚀性能。
4 锚栓的抗拉承载力。
条文说明
8.13.4 根据建设部2005年141号令第12条规定,见证取样试验应由建设单位委托,送至具备见证资质的检测机构进行试验。同一厂家的同一种类产品(不考虑规格)应至少抽样复验3次。不同厂家、不同种类(品种)的材料均应分别抽样复验。
8.13.5 施工现场应对下列项目进行拉拔试验:
1 膨胀聚苯板、聚氨酯硬泡保温板、岩棉板等保温板材与基层的粘结强度;
2 后置入的锚栓锚固力;
3 饰面砖与防护层或基层的粘结强度。
条文说明
8.13.5 条文列出的拉拔试验项目关系到工程质量与安全,尤其是面砖的粘贴质量及使用年限较长后容易变形脱落等问题,更应引起关注和重视。
8.13.6 组成小砌块外墙保温系统的各构造层的施工工序,均应列为隐蔽工程验收项目,每道工序验收合格方可进入下一施工顺序。
条文说明
8.13.6 隐蔽工程除书面签证验收等施工记录外,应有影像摄影资料,尤其是节点构造、交错搭接、转角包边等细部处理部位应有清晰的照片或录像,能再现各个组成部分的施工过程。
8.13.7 小砌块外墙保温系统施工前,墙体基层或找平层应平整、干净,不得有杂物、油污,其表面平整度的允许偏差应为4mm,立面垂直度允许偏差应为5mm。
条文说明
8.13.7 墙体基层或找平层的平整、干净是确保外保温系统工程质量的基础,应引起高度重视。
8.13.8 保温层表面的平整度、垂直度及阴阳角方正的偏差均不超过4mm时,方可进行抗裂砂浆或抹面胶浆防护层施工。
8.13.9 抗裂砂浆或抹面胶浆防护层表面的平整度、垂直度及阴阳角方正的偏差均不超过3mm时,方可进行饰面层施工。
条文说明
8.13.8、8.13.9 为保证外保温系统工程质量,条文规定了基层、保温层、防护层每一层的允许偏差值,层层把关,偏差不累积,使每一层的厚度在墙面各个部位基本一致,既保证工程质量又提高节能效果。
8.13.10 膨胀聚苯板、聚氨酯硬泡保温板、岩棉板等保温板材的粘贴应符合下列规定:
1 保温板粘贴宜采用满粘法。
2 膨胀聚苯板出厂前应在自然条件下陈化42d或在60℃蒸气中陈化5d。陈化时间不足的膨胀聚苯板不得上墙粘贴。
3 墙体找平层表面应按排板图的要求弹线标明每一行保温板的粘贴位置。粘贴顺序应自下而上沿水平方向横向铺贴,上下相邻两行板缝应错缝搭接;墙体阴阳角部位应槎口咬合;门窗洞口处应用整板粘贴,板间接缝离洞口四角不得小于200mm。现场裁切保温板的切口边缘应平直。
4 膨胀聚苯板不得用于高度100m及以上的居住建筑和高度50m及以上的公共建筑外墙外保温工程。
条文说明
8.13.10 满粘法粘贴保温板材有利板材与墙体基层的粘结,尤其适合饰面层为面砖的保温系统,各地可根据工程实际情况斟酌。 膨胀聚苯板在自然环境中自身的收缩变形长达90d,而按条文规定的时间进行陈化,则自身收缩变形可完成98%左右。倘若陈化时间不够就上墙,聚苯板将会继续收缩,往往在板缝处产生集中应力,导致防护层抹面胶浆产生裂缝。此外,低密度聚苯板易变形,抗冲击性能差,也是造成保温系统产生裂缝的原因。 聚氨酯硬泡板是工厂化生产的泡沫板材,分单板和复合板两种。单板指纯聚氨酯硬质泡沫板;复合板是在单板的外面再复饰面层等材料,形成保温装饰一体化的新型板材。单板的施工方法同膨胀聚苯板薄抹灰外墙外保温系统,而聚氨酯保温装饰复合板的施工方法有:粘贴法、粘贴加锚固件固定法、干挂法等。
8.13.11 外墙外保温系统锚栓施工应符合下列规定:
1 锚栓应采用拧入打结式。螺钉应用不锈钢或镀锌的沉头自攻钢钉,锌的涂层厚度不得小于5μm;膨胀套管外径应为7mm~10mm,用尼龙6或尼龙66制成,不得使用回收的再生材料,且应带大于 
50塑料圆盘压住保温板或带U形金属压盘固定钢丝网。单个锚栓抗拉承载力标准值不得小于0.8kN。
2 锚栓安装应在保温板粘贴24h后进行。锚栓孔应采用旋转方式钻孔并清孔。孔深应大于锚栓长度至少20mm,锚入墙体小砌块内的有效深度不得少于25mm。当房屋高度为20m及以下时,锚栓数量不宜少于6个/m 2 ;房屋高度超过20m时宜为8个/m 2 ,且墙体阳角两侧各2.4m宽的部位宜每平方米增加2个。板的四角、中心部位及板长边的中间点位置均应设置锚栓。
条文说明
8.13.11 安装锚栓位置的保温板背面胶粘剂应饱满密实。为避免外力冲击对墙内小砌块造成破坏,应采用回转钻孔方法。尼龙锚栓应在小砌块孔洞内自行打结锚固。锚栓不应生锈,并有较小的材料导热系数,其抗拔力应大于设计拉拔力。
8.13.12 膨胀聚苯板薄抹灰的抹面胶浆防护层厚度不应小于3mm,也不宜大于6mm,并分底、面两层。底层抹面胶浆可直接抹在膨胀聚苯板面上,厚度宜为2mm~3mm。耐碱涂塑玻璃纤维网格布(以下简称耐碱网布或网布)应及时进行铺贴。门窗洞口四角和墙体阴阳角等处的加强型耐碱网布应先平整压入底层胶浆中,连续铺贴的大面积普通型网布应压盖局部、分散的加强型网布,不得褶皱、空鼓、翘边。耐碱网布间竖、横向搭接宽度均不宜少于100mm;墙体阳角处网布的转角包边宽度应为200mm,阴角处的转角搭接宽度不得少于150mm。面层抹面胶浆应在底层胶浆稍干涂抹,厚度宜为1mm~3mm,并应全遮盖耐碱网布。
条文说明
8.13.12 抹面胶浆是置于聚苯板外的一种柔性抗裂砂浆,对整个保温系统起着十分重要的作用。当抹面胶浆中的聚合物量掺少了,将导致胶浆柔性不够,引起开裂;未掺或少掺保水剂,则胶浆中的水分将会部分被聚苯板吸收,使胶浆操作性变差,甚至会使胶凝材料不能充分水化,导致胶浆与聚苯板间的界面强度降低,使胶浆开裂、脱落。因此,在胶浆中应掺入纤维材料。当胶浆发生收缩时,收缩应力将被分散到具有高强度低弹性模量的纤维上,起到耗能、缓冲的作用,从而提高了胶浆的柔韧性,抑制微裂纹的产生和发展。
8.13.13 胶粉聚苯颗粒保温浆料(以下简称保温浆料或浆料)施工前,应在墙体基层表面涂刷或滚刷界面砂浆,厚度宜为2mm。界面砂浆中的水泥与中细砂应先均匀混合成干混料,使用时拌入界面剂。
条文说明
8.13.13 界面砂浆可增强胶粉聚苯颗粒浆料与墙体找平层之间的粘结力,防止浆料层空鼓与脱落。界面砂浆中的砂与水泥应先混合成均匀的干混料,界面剂在使用时拌入,这样可使水泥均匀分散,不易形成粉团,所拌的料浆也较均匀。
8.13.14 保温浆料施工应符合下列要求:
1 保温浆料应为袋装干混预拌料。施工现场取样的保温浆料干密度应为180kg/m 3 ~250kg/m 3 。施工中应制作同条件养护试件,并见证取样送检。
2 保温浆料层的厚度、平整度与垂直度的控制应按外墙抹灰工艺的要求进行。施工时,应分遍抹浆料,每遍厚度不宜超过20mm,且间隔时间应大于24h。第一遍浆料应抹压实,面层浆料应平整,厚度宜为10mm。浆料与基层及各构造层之间的粘结必须牢固,不应脱层、空鼓和开裂。保温浆料应随拌随用,并在4h内用完,回收落地的保温浆料应及时拌合使用。
3 在严寒和寒冷地区,不得将浆料类外墙外保温系统作为单一的外保温材料使用,但可与高效保温材料复合应用。
条文说明
8.13.14 胶粉聚苯颗粒保温浆料是一种干拌保温砂浆,其胶凝材料胶粉的主要成分是质量比较小的硅灰、熟石灰、粉煤灰,因而密度比较小,与水反应后的主要生成物是水化硅酸钙等硅酸盐化合物。骨料采用轻质保温的废聚苯颗粒,使浆料密度大大减小,导热系数也随之降低;聚苯颗粒粒度过大,易使浆料产生分层,和易性差;粒度过小,聚苯颗粒间的空隙率和总表面积增加,致使浆料密度也随之增大,影响浆料的导热系数与热工性能。 施工现场应对保温浆料做湿密度测定。检测时,将容积为1升量筒的浆料进行称量,其重量不得大于0.4kg。否则浆料的干密度与导热系数均不符合要求,应重新配制。这种方法较简单,便于工地作初步控制,但最终结果应按标准的试验方法为准。
8.13.15 抗裂砂浆应由42.5级普通硅酸盐水泥、中砂、抗裂剂按1:3:1重量比组成。预拌干混抗裂砂浆应按照该产品的使用要求加水拌合,并宜在2h内用完。稠度宜为80mm~130mm。
条文说明
8.13.15 干混料抗裂砂浆应按使用要求在施工现场加水拌合。当采用抗裂剂时,鉴于抗裂剂的黏度大,对细颗粒砂容易包裹,所以应先将抗裂剂与砂拌匀。水泥加入后,即与抗裂剂进行正常水化反应,搅拌成水泥抗裂砂浆。否则颠倒了拌料的顺序,易形成水泥块,影响抗裂砂浆的质量,且拌合时不得加水。
8.13.16 抗裂砂浆防护层采用耐碱网布增强时,其底层厚度宜为2mm~3mm。耐碱网布应按本规程第8.13.12条的要求进行铺贴,但房屋首层(底层)外墙面应粘贴双层耐碱网布,第一层加强型耐碱网布可采用平缝对接,第二层普通型耐碱网布应搭接。铺贴顺序应先抹抗裂砂浆并及时压入第一层耐碱网布,再抹抗裂砂浆压入第二层耐碱网布,上下两层耐碱网布搭接位置应错开。首层墙体阳角部位在第一层耐碱网布铺贴后应及时安装35mm×35mm×0.5mm的金属护角并压实;抹第二遍抗裂砂浆压第二层耐碱网布时,应包裹整个护角。面层抗裂砂浆应在底层抗裂砂浆稍干涂抹,厚度宜为1mm~3mm,并应全覆盖所有的耐碱网布。
条文说明
8.13.16 由于抗裂砂浆(抹面胶浆)水化后生成氢氧化钙,使胶浆呈现强碱性。因此,必须用耐碱网布。在抗裂砂浆(抹面胶浆)中压入耐碱网布,可起到增强并分散收缩应力和温度应力的作用。耐碱涂塑玻璃纤维网格布是以含二氧化锆的玻璃纤维网格布为基布,面层涂覆合成胶乳类物质,能有效抵抗水泥中的碱性物质的侵蚀。试验表明,当玻璃纤维中二氧化锆含量大于14.5%时,网布的耐碱强度保留率可大于90%。复验时,应由专门机构按规定的要求在饱和Ca(OH)2溶液、饱和水泥溶液及5%NaOH溶液中分别浸泡28d进行测定。
8.13.17 饰面层为面砖时,抗裂砂浆防护层中的增强网应采用热镀锌电焊钢丝网(以下简称钢丝网)代替耐碱网布,并应用锚栓固定。
8.13.18 抗裂砂浆防护层采用钢丝网增强时,其底层厚度宜为3mm~5mm;面层砂浆应在钢丝网铺设完成并检查合格后涂抹,厚度宜为5mm~7mm,且应全覆盖钢丝网。砂浆层总厚度宜为(10±2)mm。
8.13.19 外墙外保温系统中钢丝网施工应符合下列要求:
1 钢丝网丝径宜为0.9mm,网孔尺寸为12.5mm×12.5mm,并用克丝钳剪成长度不超过3m,宽度宜为楼层高度的网片并整平。墙体阴阳角和门窗洞口部位的钢丝网应用专用成型机将其预先折成方正直角。
2 钢丝网应按从上到下、自左至右的顺序铺设,并将呈弧形弯曲面的钢丝网内侧面朝向抗裂砂浆底层,不得有凸鼓、褶皱和翘曲等现象。钢丝网应用带金属U形压盘的尼龙锚栓固定。锚栓安装与钢丝网铺设应前后配合同步进行。锚栓锚入墙体小砌块内的深度不得小于25mm,间距宜为400mm,呈梅花状布置。局部铺设不平整之处,宜用12号镀锌钢丝制作的U形卡压平固定。钢丝网的竖、横向搭接宽度应大于50mm,并用22号镀锌钢丝绑扎连接。钢丝网在墙体阳角部位应转角包边,宽度不得少于200mm,在阴角处的弯折宽度应为150mm。门窗洞侧面、女儿墙、变形缝等处的钢丝网应用带金属U形压盘的尼龙锚栓或带钢垫片的水泥钉与墙体固定。
条文说明
8.13.17~8.13.19 抗裂防护层由水泥抗裂砂浆与热镀锌电焊钢丝网(耐碱网布)复合组成。砂浆中的钢丝网(耐碱网布)能使应力均匀向四周分散,起到抗裂和抗冲击的作用。水泥抗裂砂浆中的聚合物乳液(抗裂剂)增添了砂浆的柔性,改变了水泥砂浆易开裂的特性。加入纤维材料更增强了砂浆的柔韧性和抗裂性。 热镀锌电焊钢丝网做抗裂防护层的骨架既保护了保温层,又增强了防护层自身。施工中应使钢丝网位于抗裂砂浆层的中间,以获得最大的拉拔强度。试验表明:抗裂砂浆厚度小于5mm时,对保温层保护作用不大,拉拔破坏面集中在保温层上;当厚度超过5mm乃至大于8mm时,拉拔破坏面发生在抗裂防护层中,保温层得到了有效的保护。为此,条文规定抗裂砂浆层总厚度为(10±2)mm,过薄起不到应有的保护增强作用,过厚则将增加工程造价。
8.13.20 小砌块外墙采用岩棉板外墙外保温系统施工应符合下列要求:
1 岩棉板的性能应符合现行国家标准《建筑用岩棉、矿渣棉绝热制品》GB/T 19686和《绝热用岩棉、矿渣棉及其制品》GB/T 11835的规定。
2 岩棉板外墙外保温系统应采用耐碱网布和钢丝网“双网”增强网结构。
3 岩棉板表面应涂刷界面砂浆后方可进行下一道工序。
4 当饰面层为涂料时,钢丝网应直接铺设在岩棉保温板板面,抗裂砂浆防护层应覆盖耐碱网布;当饰面层为面砖时,耐碱网布应压入底层抗裂砂浆并紧贴岩面板板面,钢丝网应铺设在网布外侧,并用锚栓固定。面层抗裂砂浆应全覆盖钢丝网。
5 采用面砖饰面时,岩棉板的抗拉强度应大于0.015MPa;耐碱网布的经、纬向耐碱断裂强力应大于1250N/50mm。
条文说明
8.13.20 鉴于岩棉板质软,易分层,抗拉强度低等特点,在岩棉板外墙外保温系统中采用了耐碱网布与钢丝网“双网”配置的构造。 在岩棉板上喷涂界面砂浆,可提高岩棉板表面的强度和防水性能,并能提高胶粉聚苯颗粒浆料或抗裂砂浆与岩棉板间的粘结力。 胶粉聚苯颗粒浆料不但有保温功能并有良好的粘结性与抗裂性,优于保温砂浆只有单一的保温功能,故用其作找平层材料。 鉴于岩棉板垂直于板面方向的抗拉强度较低的缘故,且饰面层又为重质面砖,因此条文规定岩棉板的抗拉强度应大于0.015MPa,并采取了将钢丝网置于耐碱网布的外侧,选用耐碱断裂强力大于1250N/50mm的网布;锚栓的一端应紧紧扣压住抗裂砂浆防护层中的钢丝网,另一端应锚入墙体基层内,以及控制面砖的尺寸和重量等一系列措施。
8.13.21 小砌块外墙采用泡沫玻璃保温系统的施工应符合下列要求:
1 泡沫玻璃的性能应符合现行行业标准《泡沫玻璃绝热制品》JC/T 641的规定。
2 泡沫玻璃可用于内、外保温系统,其各部分的构造层均应为:墙体基层、粘贴层、泡沫玻璃保温层、防护层和饰面层组成。
3 当粘结层使用胶粘剂粘贴泡沫玻璃时,应符合本规程第8.13.10条的规定,可不设锚栓固定。
4 抗裂砂浆防护层应按本规程第8.13.15条和第8.13.16条的规定施工。耐碱网布应视工程情况按需设置。
5 外墙室外饰面层应使用乳液型弹性外墙涂料;外墙室内饰面层可用涂料、墙纸或粘贴纸面石膏板。
条文说明
8.13.21 泡沫玻璃为多孔无机非金属材料,具有防火、防水、防磁波、防静电、不燃烧、不易老化、不霉变、无毒、无害、无放射性、耐腐蚀、绝缘、尺寸稳定等特点,是一种环保型多功能建筑保温材料,但目前成本较高,可用于医院、学校一类公益性建筑及作防火隔离带。
8.13.22 小砌块外墙采用喷涂聚氨酯硬泡外墙外保温系统施工应符合下列要求:
1 喷涂聚氨酯硬泡保温层前,墙体基层应先抹聚氨酯底漆或抹面胶浆。
2 喷涂施工时的环境温度宜为10℃~40℃,风速不应大于5m/s三级风。当施工环境温度低于10℃时,应有保证喷涂质量的措施。
3 喷枪口距作业面的距离不宜超过1.5m,且应遮挡、保护门窗、阳台等不需喷涂的部位和部件。
4 聚氨酯硬泡的喷涂厚度标志应均匀布设整个墙面。每次喷涂厚度宜为10mm,不得流淌。上一层喷涂的聚氨酯硬泡表面不粘手时,方可喷涂下一层。
5 喷涂后的聚氨酯硬泡保温层应充分熟化后方可进行下道工序施工。
6 不平整的聚氨酯硬泡保温层表面应抹界面砂浆层与保温浆料或保温砂浆找平层。
7 抗裂砂浆覆盖增强网的施工要求应符合本规程第8.13.16条和第8.13.18条的规定。
条文说明
8.13.22 聚氨酯喷涂前应用聚氨酯底漆对基层墙体进行界面处理,使基层墙体上的水分、杂质不会对聚氨酯喷涂产生不利影响,保证聚氨酯与基层墙体间的粘结。 喷涂时应注意: 1 施工时的环境温度宜高,冬、雨期不得进行喷涂作业。当环境温度低于18℃以下时,部分反应热就会散发到环境中,推迟泡沫熟化期。温度越低,泡沫的成型收缩率越高,并增加了材料的用量。 2 基层墙体应清洁、平整,而且墙体温度不能太低,否则材料混合反应后所产生的热量会被墙体基层吸收,从而减少了发泡量。墙体基层未经找平也会造成材料的浪费。 3 聚氨酯材料在高压作用下以雾状液滴形式从喷枪喷出,质量很轻,易被风吹散飞逸。在喷房屋阳角、装饰线等部位时,材料浪费极其严重,不少材料未能喷涂到墙体上。 4 喷涂前应对会波及的部位、物件等进行全封闭遮挡,以免对环境造成污染。同时,操作人员应做好劳动防护。 5 严禁电焊等明火作业,应有安全可靠的防火设施。 6 应在喷涂4h后涂刷界面砂浆,可起到有效的防火作用。
8.13.23 小砌块夹心墙中的保温层为现场浇注聚氨酯硬泡、发泡脲醛树脂或泡沫混凝土保温材料时,应符合下列要求:
1 浇注聚氨酯硬泡、发泡脲醛树脂或泡沫混凝土保温材料前,每层内、外叶墙的砌筑、勾缝等工序应完成,且夹心墙空腔部位的门窗等洞口周边应严密封闭,不得渗漏。
2 浇注时,小砌块墙体的砌筑砂浆强度等级不得低于1MPa。
3 浇注应采取循环、连续、间隔的浇注方式进行作业,一次浇注高度宜为350mm~500mm。
4 浇注后,在墙顶圈梁等楼、屋面构件尚未施工前,应予遮盖保护。
5 泡沫混凝土的导热系数、干密度、抗压强度等性能指标应符合墙体节能设计的要求。
6 泡沫混凝土宜采用预拌混凝土,或在现场制备,就地浇注,两种拌制方式,均应见证取样送检复验。
条文说明
8.13.23 在夹心墙中浇注聚氨酯硬泡、发泡脲醛树脂或泡沫混凝土等材料作保温层是一种较好的施工方法,适用于我国南北广大省、区。这两种材料有利于内、外叶墙的连接,有利于小砌块建筑的抗震设防。
8.13.24 单排孔小砌块墙体灌注聚氨酯硬泡、发泡脲醛树脂或泡沫混凝土时,应符合下列要求:
1 灌注的保温材料其导热系数、密度、强度等性能指标应符合墙体节能设计的规定。
2 墙体交接处应设构造柱,且不留马牙槎口,应采用平直缝及拉结筋连接。在墙体T形结合处,内墙紧邻构造柱的第一块小砌块从墙底到墙顶均应用复合保温小砌块或紧贴构造柱的端面粘有厚度10mm~20mm聚苯板的小砌块砌筑。
3 每层外墙的第一皮小砌块应设清扫口。当孔洞内的杂物清理完成并在灌注绝热保温材料前应予封闭。
4 过梁、圈梁应为节能型现浇钢筋混凝土构件。
5 保温材料的灌注应按房屋楼层分层进行,且所灌注的墙体其砌筑及墙内管线埋设等作业已经完成。
6 灌注时,小砌块砌体的砌筑砂浆强度等级应达到1MPa及以上。
条文说明
8.13.24 往小砌块墙体单排孔洞中灌注绝热保温材料是一种较好的保温施工方法。若同时用保温砂浆做内保温或外保温,则冷、热桥问题能基本得以解决,可用于夏热冬冷和夏热冬暖地区。
8.13.25 小砌块墙体采用保温砂浆保温时,应符合下列要求:
1 保温砂浆施工前,应对小砌块墙体基层(找平层)进行界面处理。
2 保温砂浆分层厚度不应大于20mm。保温砂浆层的厚度宜为10mm~30mm,且应分遍施工,每遍的砂浆厚度不宜大于10mm。后一遍保温砂浆应在前一遍保温砂浆初凝且表面有一定强度后方可施工。抹时可适度用力,但不宜过大,不得在同一部位反复抹压。
3 保温砂浆的外保温抹灰顺序应由上向下,内保温可由顶层开始。墙体阳角、门窗洞口、踢脚线等易被碰撞的部位应用水泥砂浆做护角或踢脚线。
4 保温砂浆层的表面应用聚合物抗裂砂浆层罩面,厚度宜为3mm~5mm。抗裂砂浆层内应压贴耐碱网布。
5 饰面层材料应采用涂料。
6 施工中应制作同条件养护试件,检测其导热系数、干密度和抗压强度,并应见证取样送检。
条文说明
8.13.25 目前国家标准《建筑保温砂浆》GB/T 20473-2006是专指以膨胀珍珠岩或膨胀蛭石、胶凝材料为主要成分的保温砂浆,而国内不少单位已研制了相当数量的不同品种不同成分的保温砂浆,有的已用于工程上,这一切有待实践验证并逐渐完善、规范。鉴于此,条文仅对保温砂浆的施工操作提出了要求。物理力学性能参照上述标准。总之,保温砂浆应有保温效果,使用后能达到预期的节能目标,与保温系统其他材料具有相容性,并有抗裂性较好的防护面层。
8.13.26 外墙外保温防火隔离带设置应符合国家现行有关标准的规定。
8.13.27 外保温施工时,对聚苯板、聚氨酯等非A级保温材料的保管、使用应有防火应急预案,并实行全过程、全方位的防火监控与设防。
条文说明
8.13.27 鉴于外保温施工中时有火灾发生的情况,故对易引燃的保温材料应妥善存放保管与使用。严禁明火及电焊作业靠近施工点。事前必须有应急预案和相应的安全措施与消防设施,杜绝一切事故苗头与隐患。
8.13.28 饰面层应采用乳液型弹性外墙涂料。施工时,防护层应干燥,并应按“一底二面”分遍涂刷,对要求较高的工程可增加涂层的遍数。后一遍涂料的涂刷应待前一遍涂料表面干燥后方可进行。避免在大风、强日照的天气条件下施工。
条文说明
8.13.28 涂料长期经受风吹日晒,应选用耐老化、耐水的涂料,否则涂料层会开裂、起泡,故条文规定应使用水性弹性涂料,并与外保温系统相容。
8.13.29 饰面层面砖施工应符合下列要求:
1 面砖自重不应大于30kg/m 2 ,厚度宜为8mm~10mm,砖面尺寸长度×宽度应小于或等于300mm×300mm或200mm×400mm,单块面积不应大于0.09m 2 ,吸水率应在3%以下,且砖背面应有燕尾槽。
2 面砖粘贴应在表面拉毛的抗裂砂浆层完成且稍湿养护7d后进行。粘结层厚度宜为3mm~5mm,应采用满粘法自上而下粘贴,必须粘贴牢固,不得出现空鼓。面砖间的缝宽不应小于5mm,不得密缝粘贴。
3 面砖勾缝剂应为高憎水型,并具有柔性。勾缝施工离面砖完工时间应至少相隔2d。勾缝应按先平缝后竖缝的顺序进行,且应连续、平直、光滑、无裂纹、无空鼓。缝深不宜大于2mm,可采用平缝。
条文说明
8.13.29 按《外墙外保温工程技术规程》JGJ 144的要求,膨胀聚苯板的压缩性能与抗拉强度均不应低于0.1MPa,即垂直于板面方向的聚苯板每平方米能够承受10t重的力;粘贴聚苯板的胶粘剂拉伸粘结强度按JG 149的规定不得低于0.1MPa,且粘贴面积本规定要求满粘法,但考虑到施工等各种不利因素以60%粘贴面积计,则板与墙体基层间的粘结力应为0.06MPa,即可以承受60kN/m2的拉力,相当于承受6t/m2左右的重量;单个锚栓的抗拉承载力标准值按JG 149的规定不小于0.30kN,本规定要求每平方米为6个,则锚栓的抗拉承载力标准值为1.80kN/m2即0.18t/m2。所以将板的强度、胶粘剂的粘结力、锚栓的锚固力三者相加,采用粘贴加锚固的方式,外保温系统粘贴面砖的安全度是有保证的,技术上也是可行的。从计算数据可看出,锚栓仅起辅助作用,可防止负风压及板的局部脱落。真正发挥主力的是聚苯板自身的强度和胶粘剂强度及其粘结面积。因此,施工中应把握住这两项材料的质量检验关。
8.13.30 房屋楼层数的1/4~1/5的顶部楼层,其室内抹灰及装饰装修宜在屋面保温层乃至整个屋面工程完工后进行。
条文说明
8.13.30 适当延缓房屋顶部楼层内装饰施工时间,可较有效控制墙面裂缝。根据工程实践,规程提出了“房屋顶部楼层”即房屋楼层数的1/4~1/5概念,以引起施工等有关单位予以重视。
8.13.31 房屋外墙抹灰及外保温工程应待屋面工程全部完工后进行。
条文说明
8.13.31 待房屋外墙稍稳定并且顶上几层砌筑砂浆终凝完成后再做外抹灰,有利于外抹灰与墙体基层间粘结,墙面不致产生不规则裂缝或龟裂。
8.13.32 墙面抹灰前及设有钢丝网的部位,应先用有机胶拌制的水泥浆或界面剂等材料满涂后,方可进行抹灰施工。
条文说明
8.13.32 涂刷有机胶或界面剂有利于抹灰材料与钢丝网及墙体基层间粘结。
8.13.33 抹灰前墙面不宜洒水。天气炎热干燥时可在操作前1h~2h适度喷水。
条文说明
8.13.33 小砌块墙面抹灰前一般不需要洒水。当使用有机胶或界面剂时更不应洒水。
8.13.34 墙面抹灰应分层进行,总厚度宜为15mm~20mm。
条文说明
8.13.34 分层抹灰有利于防止抹灰层空壳和裂纹等质量弊病。外墙抹灰分三道工序可提高抹灰质量。施工实践证实,外墙面使用带弹性的中高档涂料有利于外墙面防渗。当使用瓷砖、面砖饰面材料时,应选用专用粘贴和嵌缝材料。若粘贴不周、施工马虎会引起外墙渗水,应引起注意。
8.14雨期、冬期施工
8.14 雨期、冬期施工
8.14.1 雨量为小雨及以上时,应停止砌筑,并对已砌筑的砌体与堆放在室外的小砌块进行遮盖。继续砌筑时,应先复核砌体垂直度。
条文说明
8.14.1 小砌块被雨水淋湿将会产生湿胀,日后上墙因干缩缘故易使墙体开裂,所以对堆放在室外的小砌块应有防雨覆盖设施。当雨量为小雨及以上时,若继续往上砌筑,常因已砌好砌体的灰缝砂浆尚未凝固而使墙体发生偏斜。
8.14.2 室外日平均气温连续5d稳定低于5℃或气温骤然下降以及冬期施工期限以外的日最低气温低于0℃时,均应采取冬期施工措施。
条文说明
8.14.2 条文是我国对冬期施工期限界定的规定,和其他国家基本一致,并体现了我国气候特点。详见《建筑工程冬期施工规程》JGJ/T 104。
8.14.3 冬期施工,砌筑砂浆的稠度应视实际情况适当减小。日砌筑高度不宜超过1.2m。
条文说明
8.14.3 砌筑砂浆稠度应视气温和天气情况变化而定。冬期不利小砌块砌筑。因此,日砌筑高度也应适当减小。
8.14.4 小砌块砌体冬期施工应按国家现行标准《砌体结构工程施工质量验收规范》GB 50203和《建筑工程冬期施工规程》JGJ/T 104的规定执行。
8.14.5 冬期小砌块砌体施工所用的材料,应符合下列要求:
1 不得使用表面结冰的小砌块;
2 砌筑砂浆宜用普通硅酸盐水泥拌制;
3 石灰膏应防止受冻;遭冻结的石灰膏应融化后使用;
4 砌筑砂浆、构造柱混凝土和灌孔混凝土所用的砂与粗骨料不得含有冰块和直径大于10mm的冻结块;
5 拌合砌筑砂浆时,水的温度不得超过80℃,砂的温度不得超过40℃,砂浆稠度宜较常温减小;
6 干粉砂浆应按需适量拌制,随拌随用;
7 现场拌制、储存与运送砂浆应有冬期施工措施。
条文说明
8.14.5 表面结冰的小砌块会降低与砌筑砂浆间的粘结强度并有滑移现象,故冬期施工中不得使用。 普通硅酸盐水泥早期强度增长较快,有利于砂浆在冻结前即具有一定强度,应优先选用。 为使砌筑砂浆和混凝土的强度在冬期施工中能有效增长,故对石灰膏、砂、石等原材料也分别提出要求。 干粉砂浆宜在室内或有遮蔽的操作棚内拌制,随拌随用。 砂浆的现场运输与储存应结合施工现场的实际情况,采取相应的御寒防冻措施。
8.14.6 冬期施工应及时用保温材料对新砌砌体进行覆盖,砌筑面不得留有砂浆。继续砌筑前,应清扫砌筑面。
条文说明
8.14.6 本条文规定是为了保证砌体冬期砌筑的质量。
8.14.7 冬期施工时,砌筑砂浆的强度等级应视气温的高低比常温施工至少提高1级。
条文说明
8.14.7 冬期施工期间适当提高砌筑砂浆强度等级有利于砌体质量。
8.14.8 冬期施工时,砌筑砂浆试块的留置除应按常温规定外,尚应增留不少于1组与砌体同条件养护的试块,测试检验28d强度。
条文说明
8.14.8 留置与砌体同条件养护的砂浆试块,可真实反映砌筑砂浆的实际强度值。
8.14.9 砌筑砂浆使用时的温度不应低于5℃。
条文说明
8.14.9 气温低于5℃不利于砂浆强度增长,故冬期砂浆强度等级宜比常温施工提高一级。
8.14.10 记录冬期砌筑的施工日记除应按常规要求外,尚应记载室外空气温度、砌筑时砂浆温度、外加剂掺量以及其他有关数据。
条文说明
8.14.10 记录条文规定内容的数据和情况,便于日后施工质量检查。
8.14.11 构造柱混凝土与灌孔混凝土的冬期施工应按现行行业标准《建筑工程冬期施工规程》JGJ/T 104的规定执行。
条文说明
8.14.11 现行行业标准《建筑工程冬期施工规程》JGJ/T 104中对混凝土冬期施工要求已有详细规定,故不予重复,遵照执行。
8.14.12 基土无冻胀性时,基础可在冻结的地基上砌筑;基土有冻胀性时,应在未冻的地基上砌筑。在基槽、基坑回填土前应采取防止地基遭受冻结的措施。
条文说明
8.14.12 为保证在冻胀性地基施工的质量,作出此规定。
8.14.13 小砌块砌体不得采用冻结法施工。配筋小砌块砌体与埋有未经防腐处理的钢筋及钢筋网片的砌体,不得使用掺氯盐的砌筑砂浆。
条文说明
8.14.13
因小砌块砌体的水平灰缝中有效铺灰面较小,若采用冻结法施工,在解冻期间施工中易产生墙体稳定问题,故不予取之。掺有氯盐的砂浆对未经防腐处理的钢筋、网片易造成腐蚀,故也不应采用。
8.14.14 采用掺外加剂法时,其掺量应由试验确定,并应符合现行国家标准《混凝土外加剂应用技术规范》GB 50119的规定。
条文说明
8.14.14 现市场上防冻剂产品较多,为保证砂浆质量,使其在负温下强度能缓慢增长,应注意产品的适用条件,并符合《混凝土外加剂应用技术规范》GB 50119中有关规定,实际掺量由试验确定。
8.14.15 采用暖棚法施工时,小砌块和砂浆在砌筑时的温度不应低于5℃,同时离所砌的结构底面500mm处的棚内温度也不应低于5℃。
条文说明
8.14.15 暖棚法施工可使砌体中砂浆强度始终在大于5℃的气温状态下得到增长而不遭冻结的一项施工技术措施。
8.14.16 暖棚内的小砌块砌体养护时间,应根据暖棚内的温度按表8.14.16确定。

条文说明
8.14.16 表中数值是最少养护期限,如果施工要求强度能较快增长,可以提高棚内温度或适当延长养护时间。
8.14.17 雨期、冬期不得进行外墙外保温工程与涂料、面砖饰面施工。
条文说明
8.14.17 因保温材料和涂料材性的原因,决定了冬、雨期不可进行保温和饰面施工。
9 工程验收
9.1一般规定
9 工程验收
9.1 一般规定
9.1.1 小砌块砌体工程验收应按检验批验收、分项工程验收、子分部工程验收的程序依次进行。
9.1.2 检验批的数量及范围可按楼层及施工段数确定,不应超过250m 3 小砌块砌体,且应为同质材料及同强度等级的砌体;小砌块基础砌体,可按一个楼层数计;小砌块填充墙砌体的量很少时,可将几个楼层的同质材料及同强度等级的填充墙砌体合为一个检验批。
条文说明
9.1.1、9.1.2 小砌块砌体工程可由一个或若干个检验批组成。检验批可根据不同材质、不同强度等级的小砌块砌体的施工量,按房屋楼层、施工段、变形缝位置等进行划分。
9.1.3 检验批验收时,其主控项目应全部符合本章的规定;一般项目应有80%及以上的抽检处符合本章的规定;允许偏差项目的最大超差值,不得大于允许偏差值的1.5倍。
条文说明
9.1.3 主控项目是对工程质量起决定作用的检验项目,应全部符合本规定,一般项目是对工程质量尤其是涉及安全性方面的施工质量不起决定作用的检验项目,可允许有20%以内的抽查处超出验收条文合格标准的规定。
9.1.4 检验批的工程质量不符合要求时,应按现行国家标准《建筑工程施工质量验收统一标准》GB 50300的规定执行。
条文说明
9.1.4 国家标准《建筑工程施工质量验收统一标准》GB 50300-2001第5.0.6条明确了质量不符合要求的4种处理办法。
9.1.5 子分部工程验收时,应对小砌块砌体工程的观感质量作出总体评价。
条文说明
9.1.5 鉴于砌体工程的质量与人为因素相关,其外观质量即墙面平整度、垂直度、灰缝平直度等优劣在某种程度上可判定砌体内在质量的好坏,故评价观感质量是必要的验收程序。
9.1.6 对有裂缝的小砌块砌体应分别按下列情况进行验收:
1 有可能影响结构安全性的砌体裂缝,应由有资质的检测单位检测鉴定。凡返修或加固处理的部分,应符合使用要求并进行再次验收。
2 不影响结构安全性的砌体裂缝,应予以验收。有碍使用功能和观感效果的裂缝,应进行遮蔽处理。
条文说明
9.1.6 砌体的裂缝问题常困扰着各有关方,并影响到工程验收。条文以工程安全性为准则,对有裂缝的砌体提出了不同的验收要求。
9.1.7 通过返修或加固处理仍不能满足安全使用要求的子分部工程,严禁验收。
条文说明
9.1.7 条文引自国家标准《建筑工程施工质量验收统一标准》GB 50300-2001。
9.1.8 小砌块砌体工程验收时,应提供下列文件和资料:
1 小砌块(含复合保温砌块、夹心复合保温砌块)、水泥、钢材等原材料的合格证书、产品性能检测报告和复验报告;
2 砌筑砂浆(含保温砌筑砂浆)和混凝土的配合比报告;
3 砌筑砂浆(含保温砌筑砂浆)和混凝土试件抗压强度试验报告;
4 施工记录;
5 配筋小砌块墙体实体检测记录;
6 钢筋施工隐蔽工程验收记录;
7 夹心墙保温层施工隐蔽工程验收记录;
8 填充墙界面缝施工记录;
9 各检验批的主控项目、一般项目质量验收记录;
10 分项工程质量验收记录;
11 子分部工程质量验收记录;
12 施工质量控制资料;
13 重大技术问题处理记录;
14 修改及变更设计的文件和资料;
15 其他必要提供的资料。
条文说明
9.1.8 条文所列的文件和资料,反映了小砌块砌体施工的全过程,是第一手原始资料,也是正确评价工程质量的可靠依据。
9.1.9 配筋小砌块砌体剪力墙应进行结构实体检验,其灌孔混凝土的强度应以在混凝土浇筑入模处取样制备并与结构实体同条件养护的试件强度为依据,并应采用非破损(超声波检测)或局部破损(钻孔取芯)的方法进行检测验证。同条件养护的试件留置数量与强度判定应按现行国家标准《混凝土强度检验评定标准》GB/T 50107和《混凝土结构工程施工质量验收规范》GB 50204的规定执行。
条文说明
9.1.9 本条文应与《混凝土结构工程施工质量验收规范》GB 50204中的相关条文同时执行。
9.1.10 填充墙砌体与钢筋混凝土柱(墙、梁)间的界面缝施工应列为隐蔽工程验收。
条文说明
9.1.10 填充墙与框架柱、梁及剪力墙的界面处常因处理不当产生裂缝,因此该部位施工应列为隐蔽工程。
9.1.11 小砌块墙体保温工程验收应按现行国家标准《建筑节能工程施工质量验收规范》GB 50411的规定执行。
条文说明
9.1.11 有关墙体保温系统中的主体结构基层、保温材料、饰面层等验收均应按现行国家标准《建筑节能工程施工质量验收规范》GB 50411执行。
9.2小砌块砌体工程
9.2 小砌块砌体工程
Ⅰ 主控项目
9.2.1 小砌块的强度等级必须符合设计要求,其中复合保温砌块与夹心复合保温砌块中的绝热保温材料的材性、数量、位置、厚度等尚应符合小砌块墙体节能设计要求。
检查数量:
1 产地(厂家)相同的原材料以同一生产时间、配合比例、生产工艺、成型设备所生产的同强度等级的每1万块标准小砌块(或用于配筋砌体的带功能缝的标准小砌块)至少应抽检一组;用于房屋的基础和底层的小砌块抽检数量不应少于2组。
2 在材料、配比、工艺、设备、参数、规格及型号都相同的条件下,不带功能缝的5块小砌块抗压强度平均值应等于或大于带功能缝的5块小砌块抗压强度平均值的1.1倍。同时,单块带缝与不带缝小砌块的最小抗压强度值均不得小于各自平均值的80%。
检验方法:检查小砌块的产品合格证书和试验、复验报告。
9.2.2 砌筑砂浆的强度等级必须符合设计要求,其中保温砌筑砂浆的导热系数、密度等性能指标尚应符合小砌块墙体节能设计要求。
检查数量:现场拌制的砌筑砂浆与干混砂浆的抽检应符合本规程第8.2.11条的规定;预拌砂浆以每次进入施工现场的数量为一检验批。
检验方法:检查砌筑砂浆试块的试验报告。预拌砂浆尚应检查砂浆合格证书、配合比报告和施工记录。
条文说明
9.2.1、9.2.2 小砌块和砌筑砂浆的强度等级直接关系到小砌块砌体的工程质量,因此,必须符合设计要求。鉴于现行国家标准规定小砌块的强度等级由标准块(390mm×190mm×190mm)的抗压强度值决定,故带功能缝的同尺寸小砌块强度等级与标准块强度等级两者间应通过一定数量的试件测试并按数理统计方法建立相关关系,以满足砌块生产、现场施工验收等要求。这种关系可以用数据、方程、图表等方式表示。
9.2.3 小砌块砌体的水平灰缝砂浆饱满度应按扣除小砌块孔洞后的净面积计算,不得小于90%;竖向灰缝饱满度不应小于90%,且不得有透光缝与假缝存在。配筋小砌块砌体的竖缝饱满度不计凹槽部位的面积。
检查数量:每检验批不得少于5处。
检验方法:用专用百格网检测小砌块与砂浆粘结痕迹。每处检测3块小砌块,取其平均值。
条文说明
9.2.3 小砌块因有孔洞原因,水平缝铺灰面积较少,仅铺于壁肋部位,故对水平灰缝饱满度提出了较高要求;竖缝饱满度与砌体抗剪强度有关,并可提高砌体抗渗性,故饱满度不得小于90%。
9.2.4 除应设置构造柱的部位外,墙体转角和纵横墙交接处应同时砌筑。临时间断处应砌成斜槎。斜槎水平投影长度不应小于其高度的2/3。
检查数量:每检验批抽检不应少于5处。
检验方法:观察检查。
条文说明
9.2.4 为加强墙体整体性及提高房屋抗震性能,在墙体转角处和交接处应同时砌筑。对不能同时砌筑而又必须留置的临时间断处应按条文规定砌成斜槎。
Ⅱ 一般项目
9.2.5 墙体的水平灰缝厚度和竖向灰缝宽度宜为10mm,不得大于12mm,也不应小于8mm。
检查数量:每检验批抽检不得少于5处。
检验方法:用尺量5皮小砌块的高度和2m长度的墙体进行折算。
条文说明
9.2.5 工程实践表明,小砌块砌体水平灰缝的厚度和垂直灰缝的宽度宜为10mm,这是小砌块外形尺寸设计时的基本要求。大于12mm的水平灰缝不但降低砌体强度,而且也不便于铺灰操作;而小于8mm,则易造成空缝、瞎缝及露筋,故应按本条文要求砌筑。
9.2.6 小砌块砌体的轴线、垂直度与一般尺寸的允许偏差值以及检验要求应符合表9.2.6的规定。


条文说明
9.2.6 小砌块砌体的轴线位置偏移和垂直度偏差将影响墙体受力性能和房屋结构安全。而砌体的其他一般尺寸允许偏差,虽无碍砌体的受力性能和房屋结构的安全,但对外观质量及日后使用有一定影响,故应逐项检查。
9.3配筋小砌块砌体工程
9.3 配筋小砌块砌体工程
Ⅰ 主控项目
9.3.1 配筋小砌块砌体中的小砌块与砌筑砂浆的检验应符合本规程第9.2.1条和第9.2.2条的规定。
条文说明
9.3.1 见本规程第9.2.1条和第9.2.2条的条文说明。
9.3.2 钢筋的品种、级别、规格、数量和设置部位应符合设计要求。
检查数量:按设计图全数检查。
检验方法:检查钢筋的合格证书、钢筋性能试验报告、隐蔽工程记录。
条文说明
9.3.2 小砌块砌体内的钢筋配置应按图施工,变更设计应有相关文件,不得擅自修改。
9.3.3 芯柱的混凝土、构造柱的混凝土及配筋小砌块砌体的灌孔混凝土的强度等级应符合设计要求。
检查数量:
1 每一检验批砌体中的芯柱、构造柱至少各应制作一组标准养护试块,验收批砌体试块不得少于3组。
2 配筋小砌块砌体的灌孔混凝土以灌注一个楼层或一个施工段墙体的同配合比的浇灌量为一检验批,其取样不得少于一次,并应至少留置一组标准养护试块;同一检验批的同配合比浇灌量超过100m 3 时,其取样次数和标准养护试件留置组数应相应增加。同条件养护试件的留置组数应按工程实际需要确定,但不应少于6组。
检验方法:检查混凝土试块试验报告和施工记录。
条文说明
9.3.3 混凝土的强度等级符合设计要求是保证小砌块砌体受力性能的基础,直接影响砌体的结构性能,故应合格。
9.3.4 构造柱与小砌块砌体连接处的马牙槎砌筑应符合本规程第8.7.2条的规定。槎口处的拉结钢筋直径、位置与垂直间距应正确,施工中不得随意弯折,且垂直位移不应超过一皮小砌块的高度。每一构造柱的拉结钢筋垂直移位和槎口尺寸偏差不应超过2处。
检查数量:每检验批抽检不得少于5处。
检验方法:观察与测量检查。
条文说明
9.3.4 构造柱是房屋抗震设防的重要结构件。为保证构造柱与墙体可靠连接,特设马牙槎与拉结钢筋,使其共同工作。
9.3.5 芯柱的混凝土应按本规程第8.6.9条的规定在预制楼板处全截面贯通,不得被楼盖截断。
检查数量:每检验批抽检不应少于5处。
检验方法:观察检查。
条文说明
9.3.5 见本规程第8.6.9条条文说明。
9.3.6 配筋小砌块砌体的竖向和水平向受力钢筋锚固长度与搭接长度应符合设计要求。
检查数量:每检验批抽检不应少于5处。
检验方法:尺量检查。
条文说明
9.3.6 小砌块砌体内的竖向和水平向受力钢筋均应按绑扎搭接形式进行施工安装。竖向钢筋搭接位置应在基础顶面及每层楼面标高处。
Ⅱ 一般项目
9.3.7 构造柱位置及垂直度的允许偏差应符合表9.3.7的规定。

检查数量:每检验批抽检不得少于5处。
条文说明
9.3.7 构造柱从基础面到房屋顶层或女儿墙必须垂直,对准柱中心线。柱模板安装应控制垂直度,偏差值不得大于6mm。
9.3.8 墙体水平灰缝内的直钢筋、钢筋网片、环箍状钢筋、S形拉筋均应被砂浆层包裹,不得外露。
检查数量:每检验批抽检不得少于5处。
检验方法:观察检查。
条文说明
9.3.8 为使灰缝内钢筋不因外露而锈蚀,要求水平灰缝厚度应大于钢筋直径4mm,使钢筋位于缝厚的中间,避免钢筋与上下皮小砌块直接接触,不致影响砌筑砂浆与小砌块间的粘结。
9.3.9 配筋小砌块砌体中的受力钢筋保护层厚度与凹槽中水平钢筋间距的允许偏差值均应为±10mm。
检查数量:每检验批抽检不应少于5处。
检验方法:检查保护层厚度应在浇筑灌孔混凝土前进行观察并用尺量;检查水平钢筋间距可用钢尺连续量三档,取最大值。
条文说明
9.3.9 引自现行国家标准《砌体结构工程施工质量验收规范》GB 50203的相关规定。
9.4填充墙小砌块砌体工程
9.4 填充墙小砌块砌体工程
Ⅰ 主控项目
9.4.1 小砌块和砌筑砂浆的强度等级应符合设计要求,其中复合保温砌块与夹心复合保温砌块中的绝热保温材料及保温砌筑砂浆的导热系数、密度等性能指标尚应符合小砌块填充墙体节能设计要求。
检查数量:按本规程第9.2.1条的规定执行。
检验方法:检查小砌块的产品合格证书、产品性能检测报告、强度试验(复验)报告和砌筑砂浆试块试验报告,并应按本规程第9.2.1条的规定进行抽检与检验。
条文说明
9.4.1 小砌块(含复合保温砌块、夹心复合保温砌块)和砌筑砂浆(含保温砌筑砂浆)的强度等级符合设计要求是保证砌体强度、稳定性及耐久性的基础,故应合格。
9.4.2 小砌块填充墙砌体与房屋主体结构间的连接构造应符合设计要求。
检查数量:每检验批抽检不应少于5处。
检验方法:观察检查,并应有全施工过程的影像资料。
条文说明
9.4.2 填充墙与主体结构间的构造连接关系到房屋抗震与墙体裂缝,关系到房屋的安全和使用,因此应列为主控项目。
9.4.3 当小砌块填充墙与框架柱(剪力墙、框架梁)之间的拉结筋,采用化学植筋方式连接时,应进行实体检测。拉结钢筋非破坏的拉拔试验其轴向受拉的承载力不应小于6.0kN,且钢筋无滑移,基材不得有裂缝;在2min持荷时间内,载荷值降低不得大于5%。化学植筋的锚固力检验抽样判定应符合本规程附录G的规定。
检查数量:按表9.4.3确定。

检验方法:原位试验检查。
条文说明
9.4.3 为检验化学植筋的施工质量,使其起到拉结筋应有的作用,应按国家现行标准《建筑结构检测技术标准》GB/T 50344和《混凝土结构后锚固技术规程》JGJ 145的要求,对其进行非破坏的原位拉拔试验,以确保房屋安全。
Ⅱ 一般项目
9.4.4 同一柱、墙体,应使用同厂家、同品种、同材质、同强度等级的小砌块砌筑,不得混砌。
检查数量:每检验批抽检不应少于5处。
检验方法:外观检查。
条文说明
9.4.4 为防止或减少墙体日后产生干缩裂缝而采取的预控性措施。
9.4.5 填充墙小砌块砌体的砂浆饱满度及检验方法应符合表9.4.5的规定。
检查数量:每检验批抽检不应少于5处。

条文说明
9.4.5 填充墙砌体的砂浆饱满度虽能直接影响砌体的质量,但一般不危及结构的重大安全,故列为一般项目检查验收。
9.4.6 预留的或植筋的拉结钢筋均应置于填充墙砌体水平灰缝中,不得露筋。拉结钢筋的直径、数量、竖向间距及墙内的埋设长度应符合设计要求。竖向位置的偏差不得超过一皮小砌块高度。
检查数量:每检验批抽检不应少于5处。
检验方法:观察和尺量检查。
条文说明
9.4.6 设置拉结筋是为了使填充墙与框架柱等承重结构有可靠的连接。
9.4.7 填充墙上下相邻皮小砌块应错缝搭砌。
检查数量:每检验批抽检不应少于5处。
检查方法:观察和尺量检查。
条文说明
9.4.7 为使砌体稳定并形成整体,因此砌筑上、下皮小砌块时应错缝搭砌。
9.4.8 填充墙小砌块砌体的灰缝厚度和宽度宜为10mm,不得小于8mm,也不应大于12mm。
检查数量:每检验批抽检不应少于5处。
检查方法:用尺量5皮小砌块的高度和2m长度的墙体进行折算。
条文说明
9.4.8 灰缝横平竖直,厚薄均匀,不但砌体表面美观,还有利于砌体均匀受力。试验表明,灰缝过厚或过薄对砌体强度都有一定影响。长期工程实践积累表明,规定灰缝厚度(宽度)8mm~12mm,并以10mm为标准灰缝厚度(宽度)是适宜的。
9.4.9 填充墙小砌块砌体一般尺寸的允许偏差和检验方法应符合表9.4.9的规定。
检查数量:每检验批抽检不应少于5处。

条文说明
9.4.9 因填充墙属非受力构件,故将轴线位移和垂直度允许偏差列为一般项目检查验收。
附录A单排孔普通混凝土砌块灌孔砌体抗压强度设计值
附录A 单排孔普通混凝土砌块灌孔砌体抗压强度设计值
A.0.1 单排孔普通混凝土砌块灌孔砌体抗压强度设计值应符合表A.0.1-1~表A.0.1-4的规定。




A.0.2 应用本附录查表得到单排孔普通混凝土砌块灌孔砌体抗压强度设计值时应满足如下条件:
1 本附录表中的小砌块孔洞率δ=0.49,系390mm×190mm×190mm规格,壁、肋厚均为30mm,内圆角为r=30mm的小砌块的体积孔洞率。

2 本附录各表中选用的灌孔率ρ分别为:
A.0.1-1 ρ=0.33
A.0.1-2 ρ=0.50
A.0.1-3 ρ=0.66
A.0.1-4 ρ=1.00
3 附录A表依据本规程3.2.1-2条规定计算
A.0.1-1 f g =f+0.6×0.49×0.33f c
A.0.1-2 f g =f+0.6×0.49×0.50f c
A.0.1-3 f g =f+0.6×0.49×0.66f c
A.0.1-4 f g =f+0.6×0.49×1.00f c
注:本附录表中的适用范围是常用的应用范围,不在该范围内的,应根据本规程第3.2.1-2条规定计算灌孔砌体强度设计值。
附录B小砌块砌体的热惰性指标计算方法
附录B 小砌块砌体的热惰性指标计算方法
B.0.1 小砌块砌体的热惰性指标可按下列公式计算:

式中:D ma ——砌体热惰性指标;
R ma ——砌体热阻[(m 2 ·K)/W];
S ma ——砌体平均蓄热系数[W/(m 2 ·K)],亦称砌体计算蓄热系数S c ;
γ ma ——砌体干密度(kg/m 2 );
λ ma·c ——砌体计算导热系数[W/(m·K)];
δ——砌体厚度(m);
C ma ——砌体平均比热容[W·h/(kg·K)];
C 1 、C 2 ——分别为砌体中小砌块及砌筑砂浆的比热容[W·h/(kg·K)];
V 1 、V 2 ——分别为单位砌体体积中,小砌块及砌筑砂浆所占的体积比值。
B.0.2 小砌块砌体的热惰性指标计算应满足下列要求:
1 小砌块砌体的干密度γ ma ,可由构成砌体的小砌块或配筋小砌块的表观密度、砌筑砂浆的密度及它们在单位体积中所占的体积比值加权计算求出;
2 砌体计算导热系数λ ma·c 可由检测的砌体热阻R ma 及厚度δ按公式(B.0.1-4)求出;
3 孔洞中内填保温材料的复合保温小砌块的比热容C 1 可用混凝土的比热容和孔洞中空气(或内填保温材料)的比热容和它们在小砌块体积中所占的体积比值与小砌块的体积按加权平均计算方法求出;
4 空气的比热容为0.2W·h/(kg·K);
5 配筋小砌块砌体的比热容可取钢筋混凝土的比热容C 1 =0.27W·h/(kg·K);
6 各类混凝土及保温材料的比热容可在现行国家标准《民用建筑热工设计规范》GB 50176中查取,计算时应将查取的比热容值乘以0.28换算系数,使其单位变为W·h/(kg·K)。
附录C小砌块夹心砌体热阻计算方法
附录C 小砌块夹心砌体热阻计算方法
C.0.1 小砌块夹心砌体的热阻可按下式计算:

式中:R s·ma ——小砌块夹心砌体热阻[(m 2 ·K)/W];
R ma·i ——内叶小砌块砌体热阻[(m 2 ·K)/W];
R ma·e ——外叶小砌块砌体热阻[(m 2 ·K)/W];
R s ——夹心层热阻[(m 2 ·K)/W]。
C.0.2 小砌块夹心砌体的热阻计算应满足下列要求:
1 内叶、外叶小砌块砌体的热阻R ma·i 、R ma·e 可按照本规程表4.2.2和附录D选取,亦可根据本规程4.2.2第1款的要求,按现行国家标准《绝热 稳态传热性质的测定 标定和防护热箱法》GB/T 13475的规定检测确定。
2 夹心层是封闭空气间层时,

式中:R a ——空气间层热阻[(m 2 ·K)/W],按现行国家标准《民用建筑热工设计规范》GB 50176查取;
0.8——考虑连接筋影响的修正系数。
3 夹心层是保温材料填充时,

式中:δ s ——夹心层厚度(m);
λ c ——保温材料的计算导热系数[W/(m 2 ·K)];
λ——保温材料的导热系数[W/(m 2 ·K)];
a——修正系数,按现行国家标准《民用建筑热工设计规范》GB 50176查取。
附录D孔洞中内插、内填保温材料的复合保温小砌块砌体的热阻和热惰性指标
附录D 孔洞中内插、内填保温材料的复合保温小砌块砌体的热阻和热惰性指标

附录E墙体传热系数及热惰性指标计算方法
E.1墙体传热系数计算方法
附录E 墙体传热系数及热惰性指标计算方法
E.1 墙体传热系数计算方法
E.1.1 墙体传热系数可按下列公式计算:

式中:K p 、K b ——分别为墙体主体部位和结构性热桥部位的传热系数[W/(m 2 ·K)];
R o·p 、R o·b ——分别为墙体主体部位和结构性热桥部位的传热阻[(m 2 ·K)/W];
R p 、R b ——分别为墙体主体部位和结构性热桥部位的构造系统热阻[(m 2 ·K)/W],为各构造层热阻之和;
R j·p 、R j·b ——分别为墙体主体部位和结构性热桥部位的各构造层热阻[(m 2 ·K)/W],小砌块砌体层应取砌体热阻R ma ;
δ j·p 、δ j·b ——分别为墙体主体部位和结构性热桥部位的各构造层厚度(m);
λ c·j·p 、λ c·j·b ——分别为墙体主体部位和结构性热桥部位的各构造层材料的计算导热系数[W/(m 2 ·K)];
R i ——墙体内表面换热阻[(m 2 ·K)/W],一般取R i =0.11(m 2 ·K)/W;
R e ——墙体外表面换热阻[(m 2 ·K)/W],对于外墙外表面,一般取R e =0.04(m 2 ·K)/W。
E.1.2 墙体传热系数计算应满足下列要求:
1 小砌块砌体是一个构造层次,计算导热系数λ c 为砌体的当量导热系数λ e ,可按本规程附录B中的计算公式(B.0.1-4)计算求出。若砌体热阻已知,可直接用砌体热阻R ma 代入计算。
2 结构性热桥部位主要是指以钢筋混凝土为主的结构构件部位,钢筋混凝土构件的计算厚度按结构体系选择:
1)砖混和框架结构体系建筑以混凝土小砌块砌体的厚度为计算厚度δ;
2)框剪和剪力墙结构体系建筑以剪支或剪力墙的厚度为计算厚度δ。
3 计算内墙的传热系数时,内墙两侧面的表面换热阻R i 均取0.11(m 2 ·K)/W。
E.2墙体热惰性指标计算方法
E.2 墙体热惰性指标计算方法
E.2.1 墙体热惰性指标可按下列公式计算:

式中:D p 、D b ——分别为墙体主体部位和结构性热桥部位的热惰性指标,为主体部位和结构性热桥部位各构造层热惰性指标D j·p 、D j·b 之和;
R j·p 、R j·b ——分别为墙体主体部位和结构性热桥部位各构造层的热阻[(m 2 ·K)/W];
S c·j·p 、S c·j·b ——分别为墙体主体部位和结构性热桥部位各构造层材料的计算蓄热系数[W/(m 2 ·K)]。
E.2.2 墙体热惰性指标计算应满足下列要求:
1 小砌块砌体是一个构造层次,计算蓄热系数S c 为砌体平均蓄热系数 S ma ,可按本规程附录B的计算公式计算求出;
2 结构性热桥部位的钢筋混凝土构件计算厚度同该层的热阻计算厚度δ。
E.3外墙平均传热系数及平均热惰性指标计算方法
E.3 外墙平均传热系数及平均热惰性指标计算方法
E.3.1 外墙平均传热系数及平均热惰性指标可按下列公式计算:

式中:K m 、D m ——分别为外墙的平均传热系数[W/(m 2 ·K)]和平均热惰性指标;
K p 、K b ——分别为外墙主体部位和结构性热桥部位的传热系数[W/(m 2 ·K)],按本规程E.1的计算方法进行计算;
D p 、D b ——分别为外墙主体部位和结构性热桥部位的热惰性指标,按本规程E.2的计算方法进行计算;
A、B——分别为外墙主体部位和结构性热桥部位的面积F p 、F b 在建筑外墙中(不含外门、外窗)所占的面积比值,可计算统计得出,亦可根据设计建筑的结构体系按表E.3.1选取。

E.3.2 混凝土小砌块用作居住建筑的分户墙或公共建筑的采暖空调与非采暖空调房间的隔墙时,分户墙或隔墙的传热系数亦应取平均传热系数K m ,计算方法与外墙平均传热系数相同,只是分户墙或隔墙两侧表面的换热阻R i 均取0.11(m 2 ·K)/W。
附录F影响系数φ
附录F 影响系数φ
F.0.1 高厚比β和轴向力偏心距e对受压构件承载力的影响系数φ,应按表F.0.1-1~表F.0.1-3采用:




附录G填充墙砌体植筋锚固力检验抽样判定
附录G 填充墙砌体植筋锚固力检验抽样判定
G.0.1 填充墙砌体植筋锚固力检验抽样判定应按表G.0.1-1和表G.0.1-2判定。


本规程用词说明
本规程用词说明
1 为了便于在执行本规程条文时区别对待,对要求严格程度不同的用词说明如下:
1)表示很严格,非这样做不可的:
正面词采用“必须”,反面词采用“严禁”;
2)表示严格,在正常情况下均应这样做的:
正面词采用“应”,反面词采用“不应”或“不得”;
3)表示允许稍有选择,在条件许可时首先这样做的:
正面词采用“宜”,反面词采用“不宜”;
4)表示有选择,在一定条件下可以这样做的,采用“可”。
2 条文中指明应按其他有关标准执行的写法为:“应符合……的规定”或“应按……执行”。
引用标准名录
引用标准名录
1 《砌体结构设计规范》GB 50003
2 《混凝土结构设计规范》GB 50010
3 《建筑抗震设计规范》GB 50011
4 《建筑结构可靠度设计统一标准》GB 50068
5 《混凝土强度检验评定标准》GB/T 50107
6 《混凝土外加剂应用技术规范》GB 50119
7 《民用建筑热工设计规范》GB 50176
8 《砌体结构工程施工质量验收规范》GB 50203
9 《混凝土结构工程施工质量验收规范》GB 50204
10 《建筑工程抗震设防分类标准》GB 50223
11 《建筑工程施工质量验收统一标准》GB 50300
12 《硬泡聚氨酯保温防水工程技术规范》GB 50404
13 《建筑节能工程施工质量验收规范》GB 50411
14 《合成树脂乳液外墙涂料》GB/T 9755
15 《绝热用岩棉、矿渣棉及其制品》GB/T 11835
16 《绝热 稳态传热性质的测定 标定和防护热箱法》GB/T 13475
17 《建筑用砂》GB/T 14684
18 《建筑用岩棉、矿渣棉绝热制品》GB/T 19686
19 《喷涂硬质聚氨酯泡沫塑料》GB/T 20219
20 《建筑保温砂浆》GB/T 20473
21 《建筑用反射隔热涂料》GB/T 25261
22 《高层建筑混凝土结构技术规程》JGJ 3
23 《普通混凝土用砂、石质量及检验方法标准》JGJ 52
24 《混凝土用水标准》JGJ 63
25 《建筑砂浆基本性能试验方法标准》JGJ/T 70
26 《砌筑砂浆配合比设计规程》JGJ/T 98
27 《建筑工程冬期施工规程》JGJ/T 104
28 《外墙外保温工程技术规程》JGJ 144
29 《膨胀聚苯板薄抹灰外墙外保温系统》JG 149
30 《胶粉聚苯颗粒外墙外保温系统》JG 158
31 《抹灰砂浆技术规程》JGJ/T 220
32 《预拌砂浆》JG/T 230
33 《建筑生石灰》JC/T 479
34 《建筑生石灰粉》JC/T 480
35 《陶瓷墙地砖胶粘剂》JC/T 547
36 《泡沫玻璃绝热制品》JC/T 641
37 《混凝土小型空心砌块和混凝土砖砌筑砂浆》JC 860
38 《陶瓷墙地砖填缝剂》JC/T 1004
