Appearance
《大体积混凝土温度测控技术规范[附条文说明]》GB/T 51028-2015
🗓️ 住房和城乡建设部 实施时间:2016-08-01
前言
中华人民共和国国家标准
大体积混凝土温度测控技术规范
Technical code for temperature measurement and control of mass concrete
GB/T 51028-2015
主编部门:中华人民共和国住房和城乡建设部
批准部门:中华人民共和国住房和城乡建设部
施行日期:2016年8月1日
中华人民共和国住房和城乡建设部公告
第996号
住房城乡建设部关于发布国家标准《大体积混凝土温度测控技术规范》的公告
现批准《大体积混凝土温度测控技术规范》为国家标准,编号为GB/T 51028-2015,自2016年8月1日起实施。
本规范由我部标准定额研究所组织中国建筑工业出版社出版发行。
中华人民共和国住房和城乡建设部
2015年12月3日
前言
根据住房和城乡建设部《关于印发<2009年工程建设标准规范制订修订计划(第一批)>的通知》(建标[2009]88号)的要求,规范编制组经广泛调查研究,认真总结实践经验,参考有关国际标准和国外先进标准,并在广泛征求意见的基础上,编制了本规范。
本规范主要内容是:1 总则;2 术语和符号;3 基本规定;4 大体积混凝土试样温度时间曲线的测定;5 大体积混凝土温度的监测;6 大体积混凝土温度控制。
本规范由住房和城乡建设部负责管理,由陕西省建筑科学研究院负责具体技术内容的解释。执行过程中如有意见或建议,请寄送陕西省建筑科学研究院(地址:西安市环城西路北段272号,邮政编码:710082)。
本规范主编单位 :陕西省建筑科学研究院
广州富利建筑安装工程有限公司
本规范参编单位 :中煤科工集团西安研究院有限公司
中冶建筑研究总院有限公司
中国水电顾问集团西北勘测设计研究院
浙江海天建设集团有限公司
中交四航工程研究院有限公司
云南大学
四川省建筑科学研究院
厦门市建筑科学研究院
山东乐陵回弹仪厂
舟山市博远科技开发有限公司
郑西铁路客运专线有限责任公司
西安市建设工程质量安全监督站
广州穗监工程质量安全检测中心
中铁十七局集团
陕西天石实业有限责任公司
本规范主要起草人员 :文恒武 卢锡雷 崔庆怡 郭晓山 郝挺宇 罗卫民 贾兆武 黄石腾 罗新民 贾忠奎 李上莹 诸华丰 周庆华 吕龙 杨晓梅 石新桥 戴军 王小院 赖卫中 郭林 王明堂 王跃其 张峰 符颖操 潘荣国 石劭明 唐应初
本规范主要审查人员 :张仁瑜 黄政宇 仲晓林 霍瑞琴 时炜 崔士起 徐国孝 杨长辉 丁守宽 朱艾路 张永建
条文说明
中华人民共和国国家标准
大体积混凝土温度测控技术规范
GB/T51028-2015
条文说明
制订说明 《大体积混凝土温度测控技术规范》GB/T51028-2015,经住房和城乡建设部2015年12月3日以第996号公告批准、发布。 本规范在编制过程中,编制组进行了充分的调查研究,总结了近年来我国大体积混凝土温度监测和控制方面的实践经验和研究成果,开展了多项专题研究,与其他相关标准进行了协调。 为便于广大施工、监理、检测、设计、科研、教学等单位有关技术人员在使用本规范时能正确理解和执行条文规定,《大体积混凝土温度测控技术规范》编制组按照章、节、条顺序编写了本规范的条文说明。对条文规定的目的、依据以及执行中需要注意的有关事项进行了说明。但是,本规范的条文说明不具备与规范正文等同的法律效力,仅供使用者作为理解和把握规范规定的参考。
1 总则
1 总 则
1.0.1 为规范大体积混凝土温度的监测和控制,确保大体积混凝土工程质量,制定本规范。
条文说明
1.0.1水泥在水化过程中产生水化热,使混凝土内部温度升高。当温升达到峰值以后,温度开始下降,使混凝土产生温差应力。当温差应力超过了混凝土的极限抗拉强度时,混凝土结构就产生裂缝。裂缝一旦形成,对混凝土结构的整体性、抗渗性及耐久性都有严重的影响。因此在大体积混凝土的施工过程中,通过测量混凝土内部不同位置的温度,从而确定采用合理的保温、保湿的养护措施,减少温差是防止大体积混凝土产生温度应力裂缝的有效方法之一。当混凝土内部最高温度过高时,单一的保温养护已经不能满足要求,应该采用水冷却的强制降温措施,来达到控制混凝土最高温度和降温速率的目的。大体积混凝土施工过程对温度的监测和控制成为确保混凝土结构工程质量必不可少的手段。 现行国家标准《大体积混凝土施工规范》GB50496,总结了国内建筑科技成果,对大体积混凝土在原材料选择、配合比设计、混凝土浇筑、养护,作出了更为详细、可操作性的规定和要求,对大体积混凝土的工程质量起到了重要保证作用。 大体积混凝土的温度监测和温度控制技术,近年来有了长足的发展。在温测仪器、仪表方面,由过去常用的玻璃温度计、手持式电子测温仪、热电偶测温仪发展到新一代数字式温度监测系统。温度实时监测系统的应用,大大提高了测温效率和可靠性。高强混凝土、超厚、特殊结构的大体积混凝土结构工程的出现,使混凝土内部的温度更高。通过安装水冷却系统,使冷却水将混凝土内部的热量带出体外,真正实现了大体积混凝土内部温度可控制的降温过程。 经过大量的工程实践,并非每一个大体积混凝土工程都必须采用水冷却工艺,应对大体积混凝土的冷却过程作出区分和界定,更经济合理地利用这种冷却方式。 由于混凝土工程的施工有很强的地域性、结构形式多样性、原材料品种和性能可变性,因而在施工过程中必须依据工程对象、设计要求和原材料品种以及当时当地气候条件,按照国家现行有关标准的规定,编制和完善大体积混凝土的施工方案,以保证大体积混凝土的工程质量。
1.0.2 本规范适用于工业与民用建筑大体积混凝土及其他有特殊要求的混凝土温度的监测和控制。本规范不适用于碾压混凝土、水工混凝土温度的监测和控制。
条文说明
1.0.2 本规范主要用于工业和民用建筑大体积混凝土内部温度的监测和控制。水工大体积混凝土所用水泥大多为低热水泥和大坝水泥,体量大,需要长期进行温度一应力监测;碾压混凝土的水泥用量低,混凝土体量大;而一般工业与民用建筑使用普通硅酸盐水泥,混凝土体量相对较小,施工周期短,温度监测和控制方法与水工大坝混凝土均不相同。因此本规范应用范围不包括碾压混凝土和水工大体积混凝土。
1.0.3 大体积混凝土温度的监测和控制,除应符合本规范的规定外,尚应符合国家现行有关标准的规定。
条文说明
1.0.3本规范是一个大体积混凝土施工过程中其内部温度监测和控制的方法标准,是大体积混凝土施工的重要组成部分。因此有关大体积混凝土设计、施工、材料及检验的标准和规范都是本规范的基础,在实施中应予以遵守。
2 术语和符号
2.1 术语
2 术语和符号
2.1 术 语
2.1.1 大体积混凝土 mass concrete
混凝土结构物实体最小尺寸不小于1m的大体量混凝土,或预计会因混凝土中胶凝材料水化引起的温度变化和收缩而导致有害裂缝产生的混凝土。
2.1.2 混凝土最高温度 the highest temperature of the con-crete
混凝土实体在测温区域内的最高温度。
2.1.3 混凝土表层温度 the temperature of concrete surface layer
距混凝土外表面50mm处的温度。
2.1.4 混凝土表里温差 the temperature difference between surface and center of concrete
混凝土最高温度与表层温度之差。
2.1.5 混凝土入模温度 the temperature of concrete mixer
混凝土拌合物浇筑入模时的温度。
2.1.6 温度峰值 peak temperature
混凝土内部某一测点温升达到最高的温度值。
2.1.7 降温速率 cooling rate
散热条件下,混凝土内部温度达到温度峰值后,每昼夜温度降低的数值。
2.1.8 测位 test seat
混凝土浇筑体布置一组温度传感器的区域。
2.1.9 测点 test point
在混凝土浇筑体某测位布置一个温度传感器的位置。
2.1.10 保湿养护 moisturizing curing
使混凝土表面保持湿润的养护过程。
2.1.11 保温养护 insulation curing
通过加盖保温材料达到减少混凝土表里温差的养护过程。
2.1.12 混凝土试样温度时间曲线 temperature-time curve of sample for mass concrete
与大体积混凝土施工时的配合比、原材料相同的混凝土拌合物试样中心温度随时间变化的曲线。
2.1.13 数据采集时间间隔 time interval of data acquisition
连续测量混凝土内部温度的时间间隔。
2.1.14 水冷却系统 water cooling system
通过在混凝土内部布置冷却水管,用于降低混凝土内部温度的控制系统。
2.1.15 冷却水管回路系统 loops system of the cooling water pipe
含有一个冷却水进口和出口的冷却水管回路称为一个水冷却单元,多个水冷却单元即构成冷却水管多回路系统,可分为单层多回路水冷却系统和多层多回路水冷却系统。
2.1.16 进水稳压装置 water pressure regulator
保持各回路进水端压力、流量稳定的装置。
2.2 符号
2.2 符 号
2.2.1 材料性能
C w ——水的比热;
C co ——混凝土的比热;
ρ——混凝土的密度。
2.2.2 计算参数
d——冷却水管内径;
K——不同掺量掺合料水化热调整系数;
k 1 ——粉煤灰掺量对应的水化热调整系数;
k 2 ——矿渣粉掺量对应的水化热调整系数;
k c ——总热量中被水冷却带走的热量百分数的经验系数;
m——与水泥品种,浇筑温度等有关的系数;
m w ——冷却水总量;
V co ——混凝土总体积;
Q——胶凝材料水化热总量;
Q 0 ——水泥水化热总量;
Q co ——1m 3 混凝土的发热量;
Q cool ——冷却水带走的热量;
Q t ——t龄期时的混凝土中的水泥水化热累积值;
T cw ——冷却水温度;
T max ——混凝土内的最高温度;
T——混凝土的龄期;
t c ——预计混凝土冷却天数;
T in ——冷却水进口温度;
T out ——冷却水出口温度;
W——每立方米混凝土的胶凝材料用量;
v w ——冷却水流速;
δ——水冷却管间距。
3 基本规定
3 基本规定
3.0.1 大体积混凝土施工前,应根据施工时的气候条件、混凝土的几何尺寸和混凝土的原材料、配合比,按现行国家标准《大体积混凝土施工规范》GB 50496有关规定进行混凝土的热工计算,估算混凝土中心最高温度;并应测定和绘制混凝土试样的温度时间曲线。
条文说明
3.0.1大体积混凝土施工前应按照现行国家标准《大体积混凝土施工规范》GB50496的要求进行施工前的准备工作。同时大体积混凝土施工前还应该根据混凝土的原材料、配合比进行热工计算,测定混凝土试样的温度随时间变化曲线。热工计算的目的是计算出混凝土中心预计达到的最高温度;测定混凝土的温度时间变化曲线,可以预计混凝土的最高温度出现的时间及降温的速率,同时结合施工时的气候条件及混凝土的几何尺寸,为混凝土的养护提供必要的技术参数,为混凝土的是否需要进行强制降温提供依据。
3.0.2 应根据混凝土的热工计算结果和试样温度时间曲线,确定大体积混凝土的温度控制方法。
条文说明
3.0.2根据大体积混凝土的热工计算结果和测定的混凝土试样温度时间曲线,结合其他条件,确定大体积混凝土的温度控制方法和保温养护措施,以保证大体积混凝土的施工质量。
3.0.3 大体积混凝土浇筑前,应根据混凝土的热工计算结果和温度控制要求,编制测温方案。测温方案应包括:测位、测点布置、主要仪器设备、养护方案、异常情况下的应急措施等;当采取水冷却工艺进行混凝土内部温度控制时,尚应编制专项方案。
条文说明
3.0.3大体积混凝土在浇筑前还应该编制测温养护方案。测温方案包括工程概况、监测依据、监测目的、监测项目、测位及测点布置、监测方法、监测人员及主要仪器设备、采样频率、监测报警值、温升预估、养护措施、异常情况下的应急措施、信息反馈制度等内容。需要采取水冷却工艺控制混凝土内部温度时,还应编制专项水冷却系统的设计、安装和养护方案。
3.0.4 大体积混凝土浇筑后,应根据实测的试样混凝土温度曲线和实时温度监测结果,调整和改进保温、保湿养护措施。
条文说明
3.0.4混凝土的养护包括保温养护和保湿养护。保温养护的目的是防止混凝土表面散热太快而引起混凝土表里温差过大。保湿养护是为混凝土的水化提供足够的水分。因此混凝土的保温养护是随着混凝土内部温度的变化而不断调整的,而保湿养护是在混凝土终凝结束后不间断进行的。
3.0.5 大体积混凝土温度监测与控制工作结束后,应编制大体积混凝土温度监测报告,监测报告内容可按本规范附录A编写。
条文说明
3.0.5大体积混凝土测温控温结束以后,应尽快编写温度监测和控制报告。
4 大体积混凝土试样温度时间曲线的测定
4.1 仪器要求
4 大体积混凝土试样温度时间曲线的测定
4.1 仪器要求
4.1.1 测试混凝土试样温度时间曲线的试样容器,直径宜为300mm,高径比为1:1,各个方向保温层热阻不应小于8.0m 2 ·K/W。
条文说明
4.1.1采用绝热温升测定仪测定混凝土的绝热温升值,可以得到混凝土绝热条件下的最高温度,但这种绝热条件和混凝土的实际温升有较大的差异,另外无法得到混凝土的降温速率。这是因为大体积混凝土浇筑后,一方面混凝土中的胶凝材料水化开始放热,热量在混凝土中聚集,使混凝土的温度开始上升,另一方面混凝土的表面同时在散热。由于气候条件和混凝土的表面状态不同,混凝土的散热差异很大。采用混凝土试样温度时间测定仪测定混凝土试样温度随时间变化曲线,这种有限保温条件下的测定方法,能够较好地反映混凝土的温度随时间变化的规律。测试混凝土试样温度时间曲线的容器,宜采用均质、不吸湿的保温材料,其各个方向热阻不小于8m2·K/W。现行国家标准《建筑外门窗保温性能分级及检测方法》GB/T8484规定,试验精度为0.3℃时,试验时热箱和冷箱的保温层的热阻为3.5m2·K/W;试验精度为0.1℃时,试件框的热阻为7.0m2·K/W。现行国家标准《冷库设计规范》GB50072规定:在室内外温差为(30~60)℃、面积热流量为8.0W/m2时,保温层的热阻为(3.75~7.5)m2·K/W。本标准把试验箱保温层的热阻定为不小于8.0m2·K/W,相当于采用厚度为(200~250)mm的发泡聚氨酯保温层的热阻,材料易得,制作方便。试样容器为直径300mm、高300mm,容积不宜小于0.025m3。试样筒的容积太小,混凝土试样的量就少,测试结果和混凝土的实际温度变化差距较大,但试样量太多又会使重量太大,试验操作很不方便。编制组曾做过直径分别为150mm、200mm、250mm和300mm高径比为1:1的试样进行试验,实验结果表明试样直径为300mm,高径比为1:1的试样其结果较为理想。
4.1.2 温度传感器在0℃~120℃范围内的精度应为0.5℃。
条文说明
4.1.2本条规定测试混凝土试样温度时间曲线的仪器中温度传感器的精度和量程要求。一般混凝土试样的最高温度不会超过90℃,精度±0.5℃已能够满足试样要求。
4.1.3 测试仪器应具有温度、时间参数的显示、储存、处理功能,并能绘制混凝土试样的温度时间变化曲线,数据采集时间间隔不应大于10min。
条文说明
4.1.3本条规定测试混凝土温度时间曲线的仪器的功能要求,测温仪器读取温度数据以10min的间隔就可以满足大体积混凝土温度变化记录的要求。一般混凝土试样在制作完毕水泥开始放热,通常在(48~72)h后开始降温。其升温和降温的速率相对较慢,温度变化的试件间隔取10min已满足要求。
4.2 测试方法
4.2 测试方法
4.2.1 大体积混凝土试样温度时间曲线的测定,应采用与施工现场相同的原材料和配合比,拌制的混凝土试样量不宜小于0.025m 3 。
条文说明
4.2.1测定大体积混凝土试样的温度随时间的变化曲线所用的原材料和混凝土配合比必须与施工现场所用的原材料完全一样,否则就失去了实验的目的和意义。混凝土试样的拌制应采用混凝土实验室的搅拌机搅拌,搅拌的试样数量应满足试件的实际混凝土用量,不宜小于0.025m3。
4.2.2 混凝土试样搅拌均匀后1h内装入试样容器,开启温度时间测定仪,自动记录温度时间参数,连续记录时间不宜少于5d。
条文说明
4.2.2混凝土试样温度时间曲线测定时,应将温度传感器埋入混凝土试样中,盖上盖子,采用发泡聚氨酯密封好,以减少混凝土试样的热量散失。混凝土装入试样桶后即开始记录温度时间参数。一般大体积混凝土施工完毕第2d~3d达到中心温度的最高值,随后温度开始下降,到第5d时,混凝土的中心温度已降到了较低的温度区间,所以温度测定仪的记录时间不应少于5d。
4.2.3 测试完毕,应绘制混凝土试样温度时间曲线,并应确定混凝土试样的最高温度。
条文说明
4.2.3试样测试完毕,自动进行数据处理。可以列成表格,得到混凝土试样的最高温度和最高温度出现的时间,并绘制出混凝土试样的温度随时间变化曲线,可以直观的得到混凝土试件的降温速率,以供大体积混凝土施工前编制温度监测、控制、养护方案时参考。
5 大体积混凝土温度的监测
5.1 仪器要求
5 大体积混凝土温度的监测
5.1 仪器要求
5.1.1 大体积混凝土温度监测仪器应由温度传感器、数据采集系统、数据传输系统组成;系统应具有温度、时间参数的显示、储存、处理功能,可实时绘制测点温度变化曲线,温度测点数量不宜少于50个。
条文说明
5.1.1按照每个测位布置(3~5)个测点计算,50个温度测量通道大约可有(10~17)个测位,可满足一般大体积混凝土测温的需要。其他规定是对测温仪器的基本要求,目前国内的仪器供应商大都可以满足以上要求。
5.1.2 温度监测仪器可采用有线或无线信号传输。采用无线传输时,其传输距离应能满足现场测试的要求,无线发射的频率和功率不应影响其他通信和导航等设施的正常使用;采用有线传输时,传输导线的布置不得影响施工现场其他设施的正常运行,同时应保护好传输导线免遭损坏。
条文说明
5.1.2目前大体积混凝土温度监测仪器,有采用温度信号有线传输和无线传输两种方式。有线传输构造简单,但现场传输导线太多,易造成对其他设施的影响,另外传输导线易被损坏,导致温度信号无法传输,现场一定要做好保护和防范。温度信号无线传输易受现场距离和其他电器设备的干扰,使用时应多加考虑。另外,无线发射的频率和功率不应对其他通信和导航等设施造成不良影响。
5.1.3 温度监测仪器应定期进行校准,其允许误差不应大于0.5℃。
条文说明
5.1.3温度监测仪器应定期进行校准,其最大允许误差不大于0.5℃。最大允许误差定为0.5℃,与现行国家标准《大体积混凝土施工规范》GB50496规定的0.3℃有一定的差别。本规范主要从以下几个方面考虑:其一是0.5℃的误差可以满足测温的要求,其二是温度误差由0.5℃提高到0.3℃时,仪器的成本将大幅度增加。因此本规范定为0.5℃,既降低了仪器成本,同时又可以满足大体积混凝土测温的要求。
5.1.4 温度传感器应符合下列规定:
1 温度传感器量程应为:-30℃~125℃;
2 传输线路应具有抗雷击、防短路功能;
3 温度传感器安装前,应连同传输导线一同在水下1m处浸泡24h不损坏;
4 温度传感器安装时应具有保护措施。
5.1.5 数据自动采集系统应符合下列规定:
1 稳定性、抗干扰能力应满足施工现场监测要求;
2 应满足连续测试20d以上的数据采集、存储的要求;
3 从信号采集到结果输出全过程均应自动实现,并应具有当出现降温速率过快、表里温差过大时报警的功能;
4 监测过程可实时显示不同测点温度及温度时间曲线,同时可用表格形式显示监测数据,并可输出各时间段的温度时间曲线。
条文说明
5.1.4、5.1.5大体积混凝土温度监测仪器由温度传感器和温度数据采集处理系统两部分组成,本条对温度传感器和数据采集处理系统分别作了规定,便于使用。手持式温度计简单方便,价格低廉,是早期大体积混凝土测温的主要仪器。采用这种仪器测温,工作人员每隔一到两个小时就要到各个测温点进行测温,把所有的测点巡检一遍,就要耗费很多时间。而夜晚测试很不方便,不利于观察。测温人员的劳动强度大,尤其是在寒冷的冬季。随着测温仪器技术的不断发展,这种简单的测温仪器已经不能满足大体积混凝土测温的要求了。近几年,国内很多企业分别研制出能满足大体积混凝土测温的温度自动监测仪器,使用非常方便,可以实现不同测点温度的自动监测、记录和后续处理,已经具备了全面取代手持式温度计测温的条件,所以不宜采用手持式的测温仪器,尤其是玻璃温度计。
5.2 测位和测点布置
5.2 测位和测点布置
5.2.1 测位测点的布置应能全面准确地反映大体积混凝土温度的变化情况,可按下列方式布置:
1 按照施工进度每昼夜浇筑作业面布置(1~2)个测位;在混凝土的边缘、角部、中部及积水坑、电梯井边等部位可布置测位;混凝土浇筑体厚度均匀时,测位间距为10m~15m,变截面部位可增加测位数量;在墙体的立面上,测位水平间距为5m~10m,垂直间距为3m~5m。
2 根据混凝土厚度,每个测位布置(3~5)个测点,分别位于混凝土的表层、中心、底层及中上、中下部位。
3 当进行水冷却时,测位布置在相邻两冷却水管的中间位置,并在冷却水管进出口处分别布置温度测点。
4 混凝土表层温度测点宜布置在距混凝土表面50mm处;底层的温度测点宜布置在混凝土浇筑体底面以上50mm~100mm处。
条文说明
5.2.1大体积混凝土测温时,测位的选择应能准确反映出混凝土主要点的温度变化规律。应先选择测位(即测温点布置的位置),然后再在每一个测位上分别布置测点;在测位的表层、中心和底层应分别布置测点;水冷却管进出口部位均应该布置温度测点,以便测定冷却水进出口部位的混凝土温度变化情况。在混凝土内部测位尽可能布置在两水冷却管的中间部位。
5.2.2 温度传感器直接埋入混凝土内时,传感器和传输导线应有防护措施,防止施工过程中损坏传感器和导线。
5.2.3 采用把温度传感器放入直径为20mm~30mm金属保护管内时,金属管的底端应预先封堵,宜露出混凝土表面300mm,并应将金属管予以固定。温度传感器安放完毕,金属管上端口应作密封保护处理。
条文说明
5.2.2、5.2.3温度传感器可以直接埋入混凝土中,也可以放入金属管内。规范编制组曾进行过不同种类的实验:一是把温度传感器直接埋入混凝土中;二是把温度传感器放入一端密封的金属管内,把出口处做防水密封处理。两种放入方法进行比对,其结果相差不大,为了节约资源,故建议把温度传感器放入金属管内,避免混凝土浇筑时对温度传感器造成损坏,这样温度传感器就可以反复使用。但有些工程不允许在混凝土中留有空隙,也可以将温度传感器直接埋入混凝土中。另外,规范编制组还进行过试验,把温度传感器放入管内同时给管内注入水,这样管内的水会出现上层温度高底层温度低的现象,而无法反映混凝土内部温度的分布情况。塑料管材因其导热性能差,不宜使用。 温度传感器放入金属管内时,混凝土浇筑前,每一测位可预埋直径为20mm~30mm的金属管用于安装温度传感器。金属管应高出混凝土表面300mm,并应固定牢靠。金属管埋设前应预先封堵底端,防止水及其他有害物质进入金属管内。温度传感器安放后,金属管上端应作密封和保温处理。
5.3 温度记录及测温曲线
5.3 温度记录及测温曲线
5.3.1 大体积混凝土施工过程中应监测混凝土拌合物温度、内部温度、环境温度、冷却水温度,同时监控混凝土表里温差和降温速率。
条文说明
5.3.1混凝土施工过程中应监测混凝土拌合物入模温度、表层温度、中心温度、底层温度、环境温度、冷却水进出口温度等参数。通过监测这些温度参数,可以调整养护措施和水冷却的参数。
5.3.2 混凝土入模温度、表里温差、降温速率及环境温度的测量记录频次应符合下列规定:
1 混凝土入模温度的测量频次每台班不应少于2次;
2 混凝土浇筑后,每间隔15min~60min,测量记录温度1次。
条文说明
5.3.2每个台班测量混凝土拌合物入模温度不应少于2次。混凝土浇筑后,内部温度变化不管是升温阶段还是降温阶段变化都相对较慢,每小时的最大温升不会超过2℃,间隔15min~60min测量记录一次温度已能满足要求。
5.3.3 温度监测过程中,当出现降温速率、表里温差超过下列规定值时应自动报警,并及时调整和优化温控措施:
1 降温速率大于2.0℃/d或每4h降温大于1.0℃;
2 表里温差控制值应符合表5.3.3规定。
表5.3.3 混凝土表里温差控制值

条文说明
5.3.3降温速率是依据现行国家标准《大体积混凝土施工规范》GB50496的规定,表里温差是依据多年的测温经验而给出的。有时,如果按照24h的温度变化,可能会在某一时间段内混凝土的降温速率过大,因此还规定了4h之内的降温速率不应大于1.0℃。
5.3.4 混凝土的降温速率和表里温差满足本规范第5.3.3条下限值,且混凝土最高温度与环境最低温度之差连续3d小于25℃时,可停止温度监测。
条文说明
5.3.4当混凝土的内部最高温度与环境温度之差连续3d小于25℃时,且降温速率小于2℃/d,表里温差小于本规范表5.3.3控制值,即可停止测温作业。
5.3.5 温度监测结束后,应绘制各测点的温度变化曲线,编制温度监测报告。
条文说明
5.3.5温度监测结束后应,应绘制各测点的温度变化曲线,找出最高温度点,计算最大温差,与有关技术要求进行比较。同时观察、测量和描绘现场混凝土表面状态,对出现的超过设计要求的裂缝进行处理。最后编写测温报告,与施工资料归档。
6 大体积混凝土温度控制
6.1 一般规定
6 大体积混凝土温度控制
6.1 一般规定
6.1.1 大体积混凝土温度控制应符合现行国家标准《大体积混凝土施工规范》GB 50496有关规定。
条文说明
6.1.1大体积混凝土温度的控制涉及混凝土的原材料、配合比等方面,本规范主要是混凝土施工过程中的温度监测和控制。因此,施工中还应符合现行国家标准《大体积混凝土施工规范》GB50496有关规定。
6.1.2 当出现下列情况之一时,宜采用水冷却方式控制大体积混凝土温度:
1 经计算或实测混凝土试样的中心温度大于80℃;
2 混凝土的厚度大于2500mm、强度等级大于C50,且混凝土入模温度大于30℃;
3 当其他需要控制混凝土的中心温度时。
条文说明
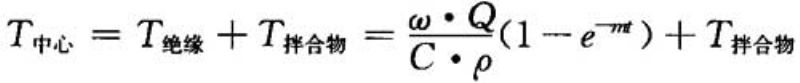
6.1.2对大体积混凝土采用水冷却的条件界定,主要是取决于混凝土中心最高温度。通过大量的大体积混凝土温度控制的工程实践可以看出,并非所有大体积混凝土都要采用水冷却工艺来控制其降温过程。由于水冷却工艺成本相对比较高,钢管埋入混凝土后是不能取出重复利用;当混凝土最高温度不高,厚度不大时,一旦采用了水冷却工艺,会使混凝土内部热量散失过快,导致混凝土结构降温过快,不利于均匀缓慢消除混凝土内部应力,水冷却系统启动几天就停止使用,造成施工成本上升。为此提出了大体积混凝土需要进行水冷却的条件。其理由是: 1根据有关单位的研究,当大体积混凝土内掺入膨胀剂,在凝结硬化过程中产生的硫铝酸钙(钙矾石)在80℃以上脱水分解。当脱水后的组分再次遇到水时,就会重新发生水化反应,生成有膨胀性的钙矾石,称之为延迟钙矾石反应。对已形成的混凝土结构有破坏作用。为此,大体积混凝土的中心温度不能高于80℃。 2当大体积混凝土内部温度超过80℃时,要使其下降到与环境温度相差不大时,需花费时间长,在这一阶段,若由天气变化,混凝土内外温差过大,出现温差应力裂缝的几率大大增加。 3从大体积混凝土最高温度计算公式可以看出: 
混凝土最高温度的影响因素有:水泥水化热(Q),胶凝材料用量(w),混凝土结构类型(m),养护时间(t)及拌合物温度。这些因素又是相互叠加,又是相互抵消,但最终还是反映到T中心温度上来。如在夏季,拌合物温度高时,水泥用量和水化热不高时,T中心温度也可达到80℃以上;相反在冬季,尽管混凝土中水泥用量较高,水化热也较高,结构厚度较大,但拌合物温度低,混凝土温度也不一定会超过80℃,这就需要具体情况具体分析,才能决定是否采用水冷却工艺。有些混凝土结构工程对混凝土热变形有特殊严格要求,故可不受中心温度限制,决定是否采用水冷却工艺。 4根据几年的测温经验,混凝土的浇筑厚度大于2500mm、混凝土强度等级C50以上、混凝土拌合物入模温度大于30℃时,这时一般混凝土的水化热大,散热条件差,使其中心的温度较高,应进行强制的水冷却降温。 5对于有些有严格温度控制要求和混凝土中心最高温度要求的大体积混凝土,也应该进行强制水冷却。
6.1.3 采用预埋冷却水管进行冷却时,应进行水冷却系统参数设计。
条文说明
6.1.3大体积混凝土采用预埋冷却水管的强制降温方法;应根据混凝土的施工条件和端面构造,预先进行水冷却管的计算和设计,布置水冷却管的埋设方案及水冷却系统进出水温度的温控方案。
6.2 保温保湿养护
6.2 保温保湿养护
6.2.1 大体积混凝土浇筑前应根据本规范第4.2.3条的测定结果,按现行国家标准《大体积混凝土施工规范》GB 50496计算保温层厚度,制定养护方案。
条文说明
6.2.1大体积混凝土浇筑前应根据本规范第4.2.3条的测定结果,依据现行国家标准《大体积混凝土施工规范》GB50496计算保温层厚度。结合混凝土的几何尺寸,准备足够的保温、保湿材料,成立专人负责的养护作业班组,实施养护方案。养护分为保湿养护和保温养护,针对筏板、承台基础类和转换层、屋盖等,应根据采取自然降温和强制温控而采取不同的养护措施,从人员组织、材料保障、养护措施实施和应对异常情况等方面编制专项养护方案。 保温养护的目的是降低混凝土表面和中心温度的梯度,保湿养护的目的是为混凝土中水泥的水化提供充分的水分。保湿养护主要采用各类不透水薄膜等,保温养护采用保温毡、毯、板等。 混凝土筏板、承台和转换层等不同的构件其升温和降温速率是不同的,应根据各自的特点,采用保温保湿材料,对混凝土表面进行覆盖、悬挂、粘贴、捆扎养护。
6.2.2 混凝土抹面作业结束后,应及时进行保湿养护。
条文说明
6.2.2保湿养护应从混凝土抹面结束,即可开始。
6.2.3 根据混凝土内部温度变化的实时监测结果进行保温养护。
6.2.4 施工作业环境温度低于5℃时,应进行混 凝土的保温、保湿养护;当环境温度高于5℃时,根据混凝土内部温升情况,可推迟保温养护。
条文说明
6.2.3、6.2.4施工温度过低混凝土表面散热较大,因此,当环境温度低于5℃时,应在保湿的同时进行保温覆盖,必要时可搭建保温棚。气温较高时,应推迟保温覆盖,使混凝土表面有一个较好的散热面。电梯井、集水坑的混凝土较厚,内部的发热量和散热量都大,必要时上口可以采用彩条布等覆盖,并做好安全标识。根据环境温度的变换,及时调整降温速率。 保温养护作业,根据结构体内部升降温度情况增减保温层。混凝土浇筑的早期水化反应很快,水化热较大。遇到强降雨时,应增加防雨水设施。混凝土在整个养护过程中,应根据内部温度的变化情况和环境温度,及时调整保温层的厚度。
6.2.5 大体积混凝土保湿养护时间不应少于14d。
条文说明
6.2.5大体积混凝土一般掺合料掺量较大,需要较长的水化时间,才能充分水化,因此,其养护时间不应少于14d。
6.2.6 特殊情况下混凝土的养护,应制定相应技术措施。
条文说明
6.2.6特殊条件下混凝土的养护,应制定相应技术措施。电梯井、集水坑可作为散热通道,封闭或打开坑上覆盖物调节混凝土结构体内部散热速率。 对高、厚墙结构,应控制墙中心和侧面表层温差,应严格控制墙中心混凝土的降温速率,不应大于2℃/d。冬、春季大风天气宜在迎风面墙外搭挡风设施。 对于混凝土内部最高预计温度和环境温度之差大于20℃,或作业环境温度低于5℃时,非密封腔体结构体底模和侧模安装时均应布置保温材料。 基础梁承台、筏板及墙板当裸露混凝土与外界环境最低气温之差小于20℃时,可拆除侧模,拆模后不用覆盖保温材料,有保湿要求的应继续保湿养护。 混凝土浇捣作业完成后5d内,遇强降水前,保温层上应增加一层不透水覆盖物。
6.3 水冷却系统温度控制
6.3 水冷却系统温度控制
6.3.1 冷却水管宜采用管径20mm~50mm的金属管或塑料管,管径可按本规范附录B的规定计算。
条文说明
6.3.1用于大体积混凝土冷却的水管可以采用钢管或塑料管。钢管散热条件好,以前常被采用。但是,钢管重量大,成本高,安装时比较麻烦,接头多,容易漏水。塑料管单根长度长,无接头,铺设方便,价格低廉,已被广泛采用。管材的直径一般为15mm~50mm,如果管径太大,则安装不便;如果管径太小,则水流速度太快,后期水泥浆不易填充。冷却水管的直径也可按本规范附录B进行计算。
6.3.2 冷却水管直径及水平方向管间距应符合表6.3.2的规定。
表6.3.2 冷却水管直径及水平方向管间距

条文说明
6.3.2表6.3.2给出了冷却水管直径与水管间距,可供安装时选用。
6.3.3 水冷却系统宜按下列规定:
1 当混凝土厚度不大于3.0m时,宜采用单层多回路水冷却系统。每个回路单元水管长度为150m~200m;冷却单元宽度为5m~10m。冷却水管宜按本规范附录C布置在混凝土的中间部位。
2 当混凝土厚度大于3.0m时,可沿厚度方向布置两层或多层冷却水管系统,各层冷却水回路的层间距宜为1.5m。
3 布置多回路冷却系统时,宜在进水口处安装冷却水稳压装置。
4 冷却水管距混凝土边缘距离为1.5m~2.0m。
条文说明
6.3.3混凝土中的冷却水管冷却半径约为(0.5~1.0)m,小于3m厚混凝土采用单层布置可以满足大体积混凝土水冷却要求,厚度大于3m的混凝土宜多层布置冷却水管。冷却水管过长时,供水压力加大,热交换时间过长,进出口水温差较大,不易控制。水管中水的流速0.8m/s~1.0m/s,热交换过程为100s~150s。对于多回路的冷却水管应在进水端增加冷却水的稳压装置,以保证各个多回路单元中水压的相对稳定。
6.3.4 冷却水管道应按设计图布置,并应固定牢靠;冷却水管使用前应进行水压试验,管道不得漏水、阻水。混凝土浇筑前,应在冷却水管中预先注满冷却水。
条文说明
6.3.4冷却水管应按照设计要求进行选材布置,并应固定牢靠。布置完毕应采用加压试水。检查漏水点,发现问题及时修复,不得使冷却水管渗漏水。混凝土浇筑前应预先在冷却水管中充满水,使冷却水管中的水在混凝土升温的同时被加热,以保证开启冷却水管时,其冷却水的温度和混凝土的温差不会过大。如果不预先加水,会导致冷却水管周围的混凝土出现放射状的裂纹,影响混凝土的质量。
6.3.5 混凝土初凝后,应及时启动水冷却系统。
6.3.6 应通过调节进水流量及水温,控制进水温度与混凝土最高温度之差,温差宜为15℃~25℃;出水温度与进水温度之差宜为3℃~6℃;降温速率不宜大于2℃/d,且不宜大于1℃/4h。在水冷却过程中,应加强混凝土的保温保湿养护。
条文说明
6.3.5、6.3.6混凝土初凝后,开始启动水冷却系统,同时控制进水温度和出水温度。 进水温度控制要求:一般情况下,混凝土最高温度可以达到70℃~80℃。若采用未加热的自来水(20℃左右)或者井水直接通入水冷却系统,则使管壁附近的混凝土与中心混凝土的温差较大,就可能会出现以水管为圆心的外圆混凝土出现放射形的温差应力裂缝。所以必须控制进水温度。进水温度与混凝土中心最高温度之差小于25℃,就可以防止混凝土内部温差应力裂缝的产生。如果施工现场不能满足这一条件,可对冷却水进行加热。因此严格的做法是用热水去冷却更热的混凝土,不能把水冷却理解为用冷水去冷却热的混凝土。 出水温度控制要求:出水温度是指进入水冷却系统的水在混凝土中流动,通过热交换使水温度逐渐升温,流出冷却水管时的水温。当接近混凝土温度时,水温不再上升。为防止水温与混凝土内部温差过大,可通过改变冷却水流量,调节冷却水带出的热量,以此控制混凝土的降温速率。在100m~200m的管道中,水的流速约为1m/s,即冷却水从进入到流出的时间约为100s~200s。水温升高3℃~6℃比较合适。混凝土在水冷却过程中,表面应保持湿润,加强养护,保温材料覆盖应满足混凝土表里温差小于25℃。
6.3.7 当混凝土最高温度与表层温度之差不大于15℃时可暂停水冷却作业;当混凝土最高温度与表层温度之差大于25℃时,应重新启动水冷却系统。
条文说明
6.3.7当混凝土最高温度与环境温度之差小于15℃时,可暂时关闭冷却水系统。有时因为季节不同,混凝土的温度会有较频繁的变化,这是就需要反复多次进行开启和关闭水冷却系统,直至满足要求。
6.3.8 水冷却降温结束后,应及时用水泥浆对冷却水管进行压浆封堵。
条文说明
6.3.8水冷却结束后,应采用水泥浆封堵灌满,压浆材料水灰比不大于0.6。待水泥浆凝固后,拆除水冷却系统所有的外用管道和设施。
附录A测温报告格式
附录A 测温报告格式
A.0.1 测温报告应包括下列内容:
1 项目简介;
2 测温设备;
3 测试结果;
4 附件等。
A.0.2 项目简介应包括下列内容:
1 工程概况;
2 混凝土强度等级、配合比、混凝土总量、浇筑厚度;
3 施工气候条件,混凝土浇筑时间,温度监测实施的时间范围等。
A.0.3 测温仪器设备应包括下列内容:
1 测温仪器系统组成、功能、结果表达方式;
2 测温仪器及传感器测量范围、精度;
3 温度传感器布置方式。
A.0.4 测温结果应包括下列内容:
1 测温期间混凝土内部最高温度、最大温差、平均日降温值;
2 降温措施及效果;
3 编制单位、时间。
A.0.5 附件应包括下列内容:
1 测位、测点布置示意图;
2 温控系统示意图、测温曲线图。
附录B水冷却系统设计参数估算
附录B 水冷却系统设计参数估算
B.0.1 单位体积混凝土发热量可按下式计算:

式中:Q co ——混凝土的总发热量,kJ/m 3 ;
Q 0 ——水泥的水化热,kJ/kg;
W——混凝土的胶凝材料用量,kg/m 3 ;
k——不同掺量掺合料水化热调整系数,可按现行国家标准《大体积混凝土施工规范》GB 50496规定取值。
B.0.2 混凝土绝热温升可按下式计算:

式中:T(t)——混凝土龄期为t时的绝热温升,℃;
W——每立方米混凝土的胶凝材料用量,kg/m 3 ;
C co ——混凝土的比热,一般为0.92~1.0kJ/(kg·℃);
ρ——混凝土密度,kg/m 3 ;
m——与水泥品种、浇筑温度等有关的系数,一般取0.3~0.5:
t——混凝土龄期,d;
Q co ——胶凝材料水化热,kJ/kg。
B.0.3 混凝土t时段冷却放热量可按下式计算:

式中:Q t ——水冷却期间混凝土散热量,kJ;
C co ——混凝土的比热,一般为(0.92~1.0)kJ/(kg·℃);
ρ——混凝土密度,kg/m 3 ;
V co ——混凝土体积,m 3 ;
△T——t时段混凝土温差,℃。
B.0.4 水冷却带走热量可按下式计算:

式中:k c ——总热量中被水冷却带走的热量系数,取0.3~0.4;
Q t ——t龄期的混凝土累计总发热量,kJ;
Q cool ——冷却水带走的总热量,kJ。
B.0.5 冷却水总量可按下式计算:

式中:Q cool ——冷却水带走的总热量,kJ;
C w ——水的比热,取4.18kJ/(kg·℃);
m w ——冷却水总质量,kg;
T out ——冷却水出口温度,℃;
T in ——冷却水进口温度,℃。
B.0.6 单回路冷却水管管径可按下式计算:

式中:d——冷却水管内径,mm;
m w ——冷却水总质量,kg;
v w ——冷却水的流速,取(0.8~1.0)m/s;
t c ——预计混凝土冷却时间,s;
ρ w ——水的密度,取1000kg/m 3 。
B.0.7 应根据冷却水流量,确定水泵额定流量,水泵扬程宜为(20~25)m,选择水泵型号。
B.0.8 应根据大体积混凝土结构形式,选择水冷却回路的分布。
附录C水冷却系统组成
附录C 水冷却系统组成
C.0.1 水冷却管水平布置时,水管距混凝土边缘距离宜为1500mm~2000mm,管间距按本规范第6.3.2条选用;单层多回路水冷却管宜布置在浇筑混凝土的同一水平面,各回路之间应并联与主管道相连,每回路宽度宜为5000mm~10000mm(图C.0.1)。

图C.0.1 冷却水管平面布置图
C.0.2 水冷却管竖向单层布置时,冷却管宜布置在混凝土的中间部位;竖向多层布置时,层间距宜为1500mm(图C.0.2-1、图C.0.2-2)。

图C.0.2-1 冷却水管单层布置

图C.0.2-2 双层布置图
C.0.3 水冷却循环系统组由下列部分组成(图C.0.3):
1 水箱:容量(5~10)m 3 ;
2 循环水泵:可采用管道泵、潜水泵、离心泵等;
3 稳压装置:宜采用
300mm钢管,长L=(2~5.0)m;
4 温度计:量程(0~100)℃;
5 压力表:量程(0~0.5)MPa;
6 回水管:管径
20mm;
7 冷却水管:按本规范第6.3.1条选用;
8 进水管:外来水源调节管,水箱温度过高时,可放入冷水,调节进水温度;
9 溢流管:调节稳压装置压力;
10 温度计:量程(0~100)℃。

图C.0.3 水冷却系统图
1-水箱;2-水泵;3-稳压装置;4-温度计;5-压力表;6-回水管;7-冷却水管;8-进水管;9-溢流管;10-温度计
本规范用词说明
本规范用词说明
1 为了便于在执行本规范条文时区别对待,对要求严格程度不同的用词说明如下:
1)表示很严格,非这样做不可的用词:
正面词采用“必须”;反面词采用“严禁”;
2)表示严格,在正常情况下均应这样做的用词:
正面词采用“应”;反面词采用“不应”或“不得”;
3)表示允许稍有选择,在条件许可时首先这样做的用词:
正面词采用“宜”;反面词采用“不宜”;
4)表示有选择,在一定条件下可以这样做的,采用“可”。
2 条文中指明应按其他有关标准执行时的写法为:“应按……执行”或“应符合……规定”。
引用标准名录
引用标准名录
《大体积混凝土施工规范》GB 50496
