Appearance
《建筑基桩检测技术规范[附条文说明]》JGJ 106-2014
🗓️ 住房和城乡建设部 实施时间:2014-10-01
前言
中华人民共和国行业标准
建筑基桩检测技术规范
Technical code for testing of building foundation piles
JGJ 106-2014
批准部门:中华人民共和国住房和城乡建设部
施行日期:2 0 1 4年1 0月 1 日
中华人民共和国住房和城乡建设部公告
第384号
住房城乡建设部关于发布行业标准《建筑基桩检测技术规范》的公告
现批准《建筑基桩检测技术规范》为行业标准,编号为JGJ 106-2014,自2014年10月1日起实施。其中,第4.3.4、9.2.3、9.2.5和9.4.5条为强制性条文,必须严格执行。原《建筑基桩检测技术规范》JGJ 106-2003同时废止。
本规范由我部标准定额研究所组织中国建筑工业出版社出版发行。
中华人民共和国住房和城乡建设部
2014年4月16日
前言
根据住房和城乡建设部《关于印发<2010年工程建设标准规范制订、修订计划>的通知》(建标[2010]43号)的要求,规范编制组经广泛调查研究,认真总结实践经验,参考有关国外先进标准,并在广泛征求意见的基础上,修订了《建筑基桩检测技术规范》JGJ 106-2003。
本规范主要技术内容是:1.总则;2.术语和符号;3.基本规定;4.单桩竖向抗压静载试验;5.单桩竖向抗拔静载试验;6.单桩水平静载试验;7.钻芯法;8.低应变法;9.高应变法;10.声波透射法。
本规范修订的主要技术内容是:1.取消了工程桩承载力验收检测应通过统计得到承载力特征值的要求;2.修改了抗拔桩验收检测实施的有关要求;3.修改了水平静载试验要求以及水平承载力特征值的判定方法;4.补充、修改了钻芯法桩身完整性判定方法;5.增加了低应变法检测时应进行辅助验证检测的要求;6.取消了高应变法对动测承载力检测值进行统计的要求;7.补充、修改了声波透射法现场测试和异常数据剔除的要求;8.增加了采用变异系数对检测剖面声速异常判断概率统计值进行限定的要求;9.修改了声波透射法多测线、多剖面的空间关联性判据;10.增加了滑动测微计测量桩身应变的方法。
本规范以黑体字标志的条文为强制性条文,必须严格执行。
本规范由住房和城乡建设部负责管理和对强制性条文的解释,由中国建筑科学研究院负责具体技术内容的解释。执行过程中如有意见或建议,请寄送中国建筑科学研究院(地址:北京市北三环东路30号,邮编:100013)。
本规范主编单位 :中国建筑科学研究院
本规范参编单位 :广东省建筑科学研究院
中冶建筑研究总院有限公司
福建省建筑科学研究院
中交上海三航科学研究院有限公司
辽宁省建设科学研究院
中国科学院武汉岩土力学研究所
机械工业勘察设计研究院
宁波三江检测有限公司
青海省建筑建材科学研究院
河南省建筑科学研究院
本规范主要起草人员 :陈 凡 徐天平 钟冬波 高文生 陈久照 滕延京 刘艳玲 关立军 施 峰 吴 锋 王敏权 张 杰 郑建国 彭立新 蒋荣夫 高永强 赵海生
本规范主要审查人员 :沈小克 张 雁 顾国荣 顾宝和 刘金砺 顾晓鲁 刘松玉 束伟农 何玉珊 刘金光 谢昭晖 林奕禧
1 总则
1 总 则
1.0.1 为了在基桩检测中贯彻执行国家的技术经济政策,做到安全适用、技术先进、数据准确、评价正确,为设计、施工及验收提供可靠依据,制定本规范。
条文说明
1.0.1 桩基础是国内应用最为广泛的一种基础形式,其工程质量涉及上部结构的安全。我国年用桩量逾千万根,施工单位数量庞大且技术水平参差不齐,面对如此之大的用桩量,确保质量一直备受建设各方的关注。我国地质条件复杂多样,桩基工程技术的地域应用和发展水平不平衡。桩基工程质量除受岩土工程条件、基础与结构设计、桩土相互作用、施工工艺以及专业水平和经验等关联因素影响外,还具有施工隐蔽性高、更容易存在质量隐患的特点,发现质量问题难,出现事故处理更难。因此,设计规范、施工验收规范将桩的承载力和桩身结构完整性的检测均列为强制性要求,可见检测方法及其评价结果的正确与否直接关系上部结构的正常使用与安全。 2003版规范较好地解决了各种基桩检测方法的技术能力定位、方法合理选择搭配、结果评价等问题,使基桩检测方法、数量选择、检测操作和结果评价在建工行业内得到了统一,对保证桩基工程质量提供了有力的支持。 2003版规范实施以来,基桩的检测方法及其分析技术也在不断进步,工程桩检测的理论与实践经验也得到了丰富与积累。近十年来随着桩基技术和建设规模的快速发展,全国各地超高层、大跨结构普遍使用超大荷载基桩,单项工程出现了几千甚至上万根基桩用量,这些对基桩质量检测工作如何做到安全且适用提出了新的要求。因此,规范基桩检测工作,总结经验,提高基桩检测工作的质量,对促进基桩检测技术的健康发展将起到积极作用。
1.0.2 本规范适用于建筑工程基桩的承载力和桩身完整性的检测与评价。
条文说明
1.0.2 本规范适用于建工行业建筑和市政桥梁工程基桩的试验与检测。具体分为施工前为设计提供依据的试验桩检测和施工后为验收提供依据的工程桩检测,重点放在后者,主要检测参数为基桩的承载力和桩身完整性。 本规范所指的基桩是混凝土灌注桩、混凝土预制桩(包括预应力管桩)和钢桩。基桩的承载力和桩身完整性检测是基桩质量检测中的两项重要内容,除此之外,质量检测的其他内容与要求已在相关的设计和施工质量验收规范中作了明确规定。本规范的适用范围是根据现行国家标准《建筑地基基础设计规范》GB 50007和《建筑地基基础工程施工质量验收规范》GB 50202的有关规定制定的,水利、交通、铁路等工程的基桩检测可参照使用。此外,对于支护桩以及复合地基增强体设计强度等级不小于C15的高粘结强度桩(水泥粉煤灰碎石桩),其桩身完整性检测的原理、方法与本规范基桩的桩身完整性检测无异,同样可参照本规范执行。
1.0.3 基桩检测应根据各种检测方法的适用范围和特点,结合地基条件、桩型及施工质量可靠性、使用要求等因素,合理选择检测方法,正确判定检测结果。
条文说明
1.0.3 本条是本规范编制的基本原则。桩基工程的安全与单桩本身的质量直接相关,而地基条件、设计条件(桩的承载性状、桩的使用功能、桩型、基础和上部结构的形式等)和施工因素(成桩工艺、施工过程的质量控制、施工质量的均匀性、施工方法的可靠性等)不仅对单桩质量而且对整个桩基的正常使用均有影响。另外,检测得到的数据和信号也包含了诸如地基条件、桩身材料、不同桩型及其成桩可靠性、桩的休止时间等设计和施工因素的作用和影响,这些也直接决定了与检测方法相应的检测结果判定是否可靠,及所选择的受检桩是否具有代表性等。如果基桩检测及其结果判定时抛开这些影响因素,就会造成不必要的浪费或隐患。同时,由于各种检测方法在可靠性或经济性方面存在不同程度的局限性,多种方法配合时又具有一定的灵活性。因此,应根据检测目的、检测方法的适用范围和特点,考虑上述各种因素合理选择检测方法,使各种检测方法尽量能互为补充或验证,实现各种方法合理搭配、优势互补,即在达到“正确评价”目的的同时,又要体现经济合理性。
1.0.4 建筑工程基桩检测除应符合本规范外,尚应符合国家现行有关标准的规定。
条文说明
1.0.4 由于基桩检测工作需在工地现场开展,因此基桩检测不仅应满足国家现行有关标准的技术性要求,显然还应符合工地安全生产、防护、环保等有关标准的规定。
2 术语和符号
2.1 术语
2 术语和符号
2.1 术 语
2.1.1 基桩 foundation pile
桩基础中的单桩。
2.1.2 桩身完整性 pile integrity
反映桩身截面尺寸相对变化、桩身材料密实性和连续性的综合定性指标。
条文说明
2.1.2 桩身完整性是一个综合定性指标,而非严格的定量指标,其类别是按缺陷对桩身结构承载力的影响程度划分的。这里有三点需要说明: 1 连续性包涵了桩长不够的情况。因动测法只能估算桩长,桩长明显偏短时,给出断桩的结论是正常的。而钻芯法则不同,可准确测定桩长。 2 作为完整性定性指标之一的桩身截面尺寸,由于定义为“相对变化”,所以先要确定一个相对衡量尺度。但检测时,桩径是否减小可能会比照以下条件之一:
1)按设计桩径;
2)根据设计桩径,并针对不同成桩工艺的桩型按施工验收规范考虑桩径的允许负偏差;
3)考虑充盈系数后的平均施工桩径。 所以,灌注桩是否缩颈必须有一个参考基准。过去,在动测法检测并采用开挖验证时,说明动测结论与开挖验证结果是否符合通常是按第一种条件。但严格地讲,应按施工验收规范,即第二个条件才是合理的,但因为动测法不能对缩颈严格定量,于是才定义为“相对变化”。 3 桩身结构承载力与混凝土强度有关,设计上根据混凝土强度等级验算桩身结构承载力是否满足设计荷载的要求。按本条的定义和表3.5.1描述,桩身完整性是与桩身结构承载力相关的非定量指标,限于检测技术水平,本规范中的完整性检测方法(除钻芯法可通过混凝土芯样抗压试验给出实体强度外)显然不能给出混凝土抗压强度的具体数值。虽然完整性检测结果无法给出混凝土强度的具体数值,但显而易见:桩身存在密实性类缺陷??将降低混凝土强度,桩身缩颈会减少桩身有效承载断面等,这些都影响桩身结构承载力,而对结构承载力的影响程度是借助对桩身完整性的感观、经验判断得到的,没有具体量化值。另外,灌注桩桩身混凝土强度作为桩基工程验收的主控项目,以28d标养或同条件试块抗压强度值为依据已是惯例。相对而言,钻芯法在工程桩验收的完整性检测中应用较少。
2.1.3 桩身缺陷 pile defects
在一定程度上使桩身完整性恶化,引起桩身结构强度和耐久性降低,出现桩身断裂、裂缝、缩颈、夹泥(杂物)、空洞、蜂窝、松散等不良现象的统称。
条文说明
2.1.3 桩身缺陷有三个指标,即位置、类型(性质)和程度。高、低应变动测时,不论缺陷的类型如何,其综合表现均为桩的阻抗变小,即完整性动力检测中分析的仅是阻抗变化,阻抗的变小可能是任何一种或多种缺陷类型及其程度大小的表现。因此,仅根据阻抗的变小不能判断缺陷的具体类型,如有必要,应结合地质资料、桩型、成桩工艺和施工记录等进行综合判断。对于扩径而表现出的阻抗变大,应在分析判定时予以说明,不应作为缺陷考虑。
2.1.4 静载试验 static load test
在桩顶部逐级施加竖向压力、竖向上拔力或水平推力,观测桩顶部随时间产生的沉降、上拔位移或水平位移,以确定相应的单桩竖向抗压承载力、单桩竖向抗拔承载力或单桩水平承载力的试验方法。
2.1.5 钻芯法 core drilling method
用钻机钻取芯样,检测桩长、桩身缺陷、桩底沉渣厚度以及桩身混凝土的强度,判定或鉴别桩端岩土性状的方法。
2.1.6 低应变法 low-strain integrity testing
采用低能量瞬态或稳态方式在桩顶激振,实测桩顶部的速度时程曲线,或在实测桩顶部的速度时程曲线同时,实测桩顶部的力时程曲线。通过波动理论的时域分析或频域分析,对桩身完整性进行判定的检测方法。
2.1.7 高应变法 high-strain dynamic testing
用重锤冲击桩顶,实测桩顶附近或桩顶部的速度和力时程曲线,通过波动理论分析,对单桩竖向抗压承载力和桩身完整性进行判定的检测方法。
条文说明
2.1.6、2.1.7 基桩动力检测方法按动荷载作用产生的桩顶位移和桩身应变大小可分为高应变法和低应变法。前者的桩顶位移量与竖向抗压静载试验接近,桩周岩土全部或大部进入塑性变形状态,桩身应变量通常在0.1‰~1.0‰范围内;后者的桩-土系统变形完全在弹性范围内,桩身应变量一般小于或远小于0.01‰。对于普通钢桩,桩身应变超过1.0‰已接近钢材屈服台阶所对应的变形;对于混凝土桩,视混凝土强度等级的不同,其出现明显塑性变形对应的应变量小于或远小于0.5‰~1.0‰。
2.1.8 声波透射法 cross-hole sonic logging
在预埋声测管之间发射并接收声波,通过实测声波在混凝土介质中传播的声时、频率和波幅衰减等声学参数的相对变化,对桩身完整性进行检测的方法。
2.1.9 桩身内力测试 internal force testing of pile shaft
通过桩身应变、位移的测试,计算荷载作用下桩侧阻力、桩端阻力或桩身弯矩的试验方法。
2.2 符号
2.2 符 号
2.2.1 抗力和材料性能
c——桩身一维纵向应力波传播速度(简称桩身波速);
E——桩身材料弹性模量;
f cor ——混凝土芯样试件抗压强度;
m——地基土水平抗力系数的比例系数;
Q u ——单桩竖向抗压极限承载力;
R a ——单桩竖向抗压承载力特征值;
R c ——凯司法单桩承载力计算值;
R x ——缺陷以上部位土阻力的估计值;
Z——桩身截面力学阻抗;
ρ——桩身材料质量密度。
2.2.2 作用与作用效应
F——锤击力;
H——单桩水平静载试验中作用于地面的水平力;
P——芯样抗压试验测得的破坏荷载;
Q——单桩竖向抗压静载试验中施加的竖向荷载、桩身产生的轴力;
s——桩顶竖向沉降、桩身竖向位移;
U——单桩竖向抗拔静载试验中施加的上拔荷载;
V——质点运动速度;
Y 0 ——水平力作用点的水平位移;
δ——桩顶上拔量;
σ s ——钢筋应力;
σ t ——桩身锤击拉应力。
2.2.3 几何参数
A——桩身截面面积;
B——矩形桩的边宽;
b 0 ——桩身计算宽度;
D——桩身直径(外径);
d——芯样试件的平均直径;
I——桩身换算截面惯性矩;
L——测点下桩长;
l'——每检测剖面相应两声测管的外壁间净距离;
x——传感器安装点至桩身缺陷或桩身某一位置的距离;
z——测线深度。
2.2.4 计算系数
J c ——凯司法阻尼系数;
α——桩的水平变形系数;
β——高应变法桩身完整性系数;
λ——样本中不同统计个数对应的系数;
ν y ——桩顶水平位移系数;
ξ——混凝土芯样试件抗压强度折算系数。
2.2.5 其他
A m ——某一检测剖面声测线波幅平均值;
A p ——声测线的波幅值;
a——信号首波峰值电压;
a 0 ——零分贝信号峰值电压;
c m ——桩身波速的平均值;
C v ——变异系数;
f——频率、声波信号主频;
n——数目、样本数量;
PSD——声时-深度曲线上相邻两点连线的斜率与声时差的乘积;
s x ——标准差;
T——信号周期;
t'——声测管及耦合水层声时修正值;
t 0 ——仪器系统延迟时间;
t 1 ——速度第一峰对应的时刻;
t c ——声时;
t i ——时间、声时测量值;
t r ——速度或锤击力上升时间;
t x ——缺陷反射峰对应的时刻;
△f——幅频曲线上桩底相邻谐振峰间的频差;
△f'——幅频曲线上缺陷相邻谐振峰间的频差;
△T——速度波第一峰与桩底反射波峰间的时间差;
△t x ——速度波第一峰与缺陷反射波峰间的时间差;
ν 0 ——声速异常判断值;
ν c ——声速异常判断临界值;
ν I ——声速低限值;
ν m ——声速平均值;
ν p ——混凝土试件的声速平均值。
3 基本规定
3.1 一般规定
3 基本规定
3.1 一般规定
3.1.1 基桩检测可分为施工前为设计提供依据的试验桩检测和施工后为验收提供依据的工程桩检测。基桩检测应根据检测目的、检测方法的适应性、桩基的设计条件、成桩工艺等,按表3.1.1合理选择检测方法。当通过两种或两种以上检测方法的相互补充、验证,能有效提高基桩检测结果判定的可靠性时,应选择两种或两种以上的检测方法。
条文说明
3.1.1 桩基工程一般按勘察、设计、施工、验收四个阶段进行,基桩试验和检测工作多数情况下分别放在设计和验收两阶段,即施工前和施工后。大多数桩基工程的试验和检测工作确是在这两个阶段展开的,但对桩数较多、施工周期较长的大型桩基工程,验收检测应尽早在施工过程中穿插进行,而且这种做法应大力提倡。 本条强调检测方法合理选择搭配,目的是提高检测结果的可靠性和检测过程的可操作性,也是第1.0.3条的原则体现。表3.1.1所列7种方法是基桩检测中最常用的检测方法。对于冲钻孔、挖孔和沉管灌注桩以及预制桩等桩型,可采用其中多种甚至全部方法进行检测;但对异型桩、组合型桩,表3.1.1中的部分方法就不能完全适用(如高、低应变动测法)。因此在具体选择检测方法时,应根据检测目的、内容和要求,结合各检测方法的适用范围和检测能力,考虑设计、地基条件、施工因素和工程重要性等情况确定,不允许超适用范围滥用。同时也要兼顾实施中的经济合理性,即在满足正确评价的前提下,做到快速经济。 工程桩承载力验收检测方法,应根据基桩实际受力状态和设计要求合理选择。以竖向承压为主的基桩通常采用竖向抗压静载试验,考虑到高应变法快速、经济和检测桩数覆盖面较大的特点,对符合一定条件及高应变法适用范围的桩基工程,也可选用高应变法作为补充检测。例如条件相同、预制桩量大的桩基工程中,一部分桩可选用静载法检测,而另一部分可用高应变法检测,前者应作为后者的验证对比资料。对不具备条件进行静载试验的端承型大直径灌注桩,可采用钻芯法检查桩端持力层情况,也可采用深层载荷板试验进行核验。对专门承受竖向抗拔荷载或水平荷载的桩基,则应选用竖向抗拔静载试验方法或水平静载试验方法。 桩身完整性检测方法有低应变法、声波透射法、高应变法和钻芯法,除中小直径灌注桩外,大直径灌注桩一般同时选用两种或多种的方法检测,使各种方法能相互补充印证,优势互补。另外,对设计等级高、地基条件复杂、施工质量变异性大的桩基,或低应变完整性判定可能有技术困难时,提倡采用直接法(静载试验、钻芯和开挖,管桩可采用孔内摄像)进行验证。
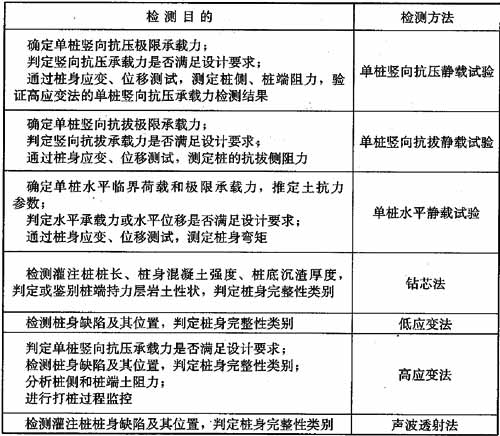
表3.1.1 检测目的及检测方法

3.1.2 当设计有要求或有下列情况之一时,施工前应进行试验桩检测并确定单桩极限承载力:
1 设计等级为甲级的桩基;
2 无相关试桩资料可参考的设计等级为乙级的桩基;
3 地基条件复杂、基桩施工质量可靠性低;
4 本地区采用的新桩型或采用新工艺成桩的桩基。
条文说明
3.1.2 施工前进行试验桩检测并确定单桩极限承载力,目的是为设计单位选定桩型和桩端持力层、掌握桩侧桩端阻力分布并确定基桩承载力提供依据,同时也为施工单位在新的地基条件下设定并调整施工工艺参数进行必要的验证。对设计等级高且缺乏地区经验的工程,为获得既经济又可靠的设计施工参数,减少盲目性,前期试桩尤为重要。本条规定的第1~3款条件,与现行国家标准《建筑地基基础设计规范》GB 50007、现行行业标准《建筑桩基技术规范》JGJ 94的原则一致。考虑到桩基础选型、成桩工艺选择与地基条件、桩型和工法的成熟性密切相关,为在推广应用新桩型或新工艺过程中不断积累经验,使其能达到预期的质量和效益目标,规定本地区采用新桩型或新工艺也应在施工前进行试桩。通常为设计提供依据的试验桩静载试验往往应加载至极限破坏状态,但受设备条件和反力提供方式的限制,试验可能做不到破坏状态,为安全起见,此时的单桩极限承载力取试验时最大加载值,但前提是应符合设计的预期要求。
3.1.3 施工完成后的工程桩应进行单桩承载力和桩身完整性检测。
条文说明
3.1.3 工程桩的承载力和桩身完整性(或桩身质量)是国家标准《建筑地基基础工程施工质量验收规范》GB 50202-2002桩基验收中的主控项目,也是现行国家标准《建筑地基基础设计规范》GB 50007和现行行业标准《建筑桩基技术规范》JGJ 94以强制性条文形式规定的必检项目。因工程桩的预期使用功能要通过单桩承载力实现,完整性检测的目的是发现某些可能影响单桩承载力的缺陷,最终仍是为减少安全隐患、可靠判定工程桩承载力服务。所以,基桩质量检测时,承载力和完整性两项内容密不可分,往往是通过低应变完整性普查,找出基桩施工质量问题并得到对整体施工质量的大致估计,而工程桩承载力是否满足设计要求则需通过有代表性的单桩承载力检验来实现。
3.1.4 桩基工程除应在工程桩施工前和施工后进行基桩检测外,尚应根据工程需要,在施工过程中进行质量的检测与监测。
条文说明
3.1.4 鉴于目前对施工过程中的检测重视不够,本条强调了施工过程中的检测,以便加强施工过程的质量控制,做到信息化施工。如:冲钻孔灌注桩施工中应提倡或明确规定采用一些成熟的技术和常规的方法进行孔径、孔斜、孔深、沉渣厚度和桩端岩性鉴别等项目的检验;对于打入式预制桩,提倡沉桩过程中的高应变监测等。 桩基施工过程中可能出现以下情况:设计变更、局部地基条件与勘察报告不符、工程桩施工工艺与施工前为设计提供依据的试验桩不同、原材料发生变化、施工单位更换等,都可能造成质量隐患。除施工前为设计提供依据的检测外,仅在施工后进行验收检测,即使发现质量问题,也只是事后补救,造成不必要的浪费。因此,基桩检测除在施工前和施工后进行外,尚应加强桩基施工过程中的检测,以便及时发现并解决问题,做到防患于未然,提高效益。 基桩检测工作不论在何时、何地开展,相关单位应时刻牢记和切实执行安全生产的有关规定。
3.2 检测工作程序
3.2 检测工作程序
3.2.1 检测工作应按图3.2.1的程序进行。

图3.2.1 检测工作程序框图
条文说明
3.2.1 框图3.2.1是检测机构应遵循的检测工作程序。实际执行检测程序中,由于不可预知的原因,如委托要求的变化、现场调查情况与委托方介绍的不符,或在现场检测尚未全部完成就已发现质量问题而需要进一步排查,都可能使原检测方案中的检测数量、受检桩桩位、检测方法发生变化。如首先用低应变法普测(或扩检),再根据低应变法检测结果,采用钻芯法、高应变法或静载试验,对有缺陷的桩重点抽测。总之,检测方案并非一成不变,可根据实际情况动态调整。
3.2.2 调查、资料收集宜包括下列内容:
1 收集被检测工程的岩土工程勘察资料、桩基设计文件、施工记录,了解施工工艺和施工中出现的异常情况;
2 委托方的具体要求;
3 检测项目现场实施的可行性。
条文说明
3.2.2 根据第1.0.3条的原则及基桩检测工作的特殊性,本条对调查阶段工作提出了具体要求。为了正确地对基桩质量进行检测和评价,提高基桩检测工作的质量,做到有的放矢,应尽可能详细了解和搜集有关技术资料,并按表1填写受检桩设计施工概况表。另外,有时委托方的介绍和提出的要求是笼统的、非技术性的,也需要通过调查来进一步明确委托方的具体要求和现场实施的可行性;有些情况下还需要检测技术人员到现场了解和搜集。 表1 受检桩设计施工概况表 
3.2.3 检测方案的内容宜包括:工程概况、地基条件、桩基设计要求、施工工艺、检测方法和数量、受检桩选取原则、检测进度以及所需的机械或人工配合。
条文说明
3.2.3 本条提出的检测方案内容为一般情况下包含的内容,某些情况下还需要包括桩头加固、处理方案以及场地开挖、道路、供电、照明等要求。有时检测方案还需要与委托方或设计方共同研究制定。
3.2.4 基桩检测用仪器设备应在检定或校准的有效期内;基桩检测前,应对仪器设备进行检查调试。
条文说明
3.2.4 检测所用仪器必须进行定期检定或校准,以保证基桩检测数据的准确可靠性和可追溯性。虽然测试仪器在有效计量检定或校准周期之内,但由于基桩检测工作的环境较差,使用期间仍可能由于使用不当或环境恶劣等造成仪器仪表受损或校准因子发生变化。因此,检测前还应加强对测试仪器、配套设备的期间核查;发现问题后应重新检定或校准。
3.2.5 基桩检测开始时间应符合下列规定:
1 当采用低应变法或声波透射法检测时,受检桩混凝土强度不应低于设计强度的70%,且不应低于15MPa;
2 当采用钻芯法检测时,受检桩的混凝土龄期应达到28d,或受检桩同条件养护试件强度应达到设计强度要求;
3 承载力检测前的休止时间,除应符合本条第2款的规定外,当无成熟的地区经验时,尚不应少于表3.2.5规定的时间。
表3.2.5 休止时间

注:对于泥浆护壁灌注桩,宜延长休止时间。
条文说明
3.2.5 混凝土是一种与龄期相关的材料,其强度随时间的增加而增长。在最初几天内强度快速增加,随后逐渐变缓,其物理力学、声学参数变化趋势亦大体如此。桩基工程受季节气候、周边环境或工期紧的影响,往往不允许等到全部工程桩施工完并都达到28d龄期强度后再开始检测。为做到信息化施工,尽早发现桩的施工质量问题并及时处理,同时考虑到低应变法和声波透射法检测内容是桩身完整性,对混凝土强度的要求可适当放宽。但如果混凝土龄期过短或强度过低,应力波或声波在其中的传播衰减加剧,或同一场地由于桩的龄期相差大,声速的变异性增大。因此,对于低应变法或声波透射法的测试,规定桩身混凝土强度应大于设计强度的70%,并不得低于15MPa。钻芯法检测的内容之一是桩身混凝土强度,显然受检桩应达到28d龄期或同条件养护试块达到设计强度,如果不是以检测混凝土强度为目的的验证检测,也可根据实际情况适当缩短混凝土龄期。高应变法和静载试验在桩身产生的应力水平高,若桩身混凝土强度低,有可能引起桩身损伤或破坏。为分清责任,桩身混凝土应达到28d龄期或设计强度。另外,桩身混凝土强度过低,也可能出现桩身材料应力-应变关系的严重非线性,使高应变测试信号失真。 桩在施工过程中不可避免地扰动桩周土,降低土体强度,引起桩的承载力下降,以高灵敏度饱和黏性土中的摩擦桩最明显。随着休止时间的增加,土体重新固结,土体强度逐渐恢复提高,桩的承载力也逐渐增加。成桩后桩的承载力随时间而变化的现象称为桩的承载力时间(或歇后)效应,我国软土地区这种效应尤为突出。大量资料表明,时间效应可使桩的承载力比初始值增长40%~400%。其变化规律一般是初期增长速度较快,随后渐慢,待达到一定时间后趋于相对稳定,其增长的快慢和幅度除与土性和类别有关,还与桩的施工工艺有关。除非在特定的土质条件和成桩工艺下积累大量的对比数据,否则很难得到承载力的时间效应关系。另外,桩的承载力随时间减小也应引起注意,除挤土上浮、负摩擦等原因引起承载力降低外,已有桩端泥岩持力层遇水软化导致承载力下降的报道。 桩的承载力包括两层涵义,即桩身结构承载力和支撑桩结构的地基岩土承载力,桩的破坏可能是桩身结构破坏或支撑桩结构的地基岩土承载力达到了极限状态,多数情况下桩的承载力受后者制约。如果混凝土强度过低,桩可能产生桩身结构破坏而地基土承载力尚未完全发挥,桩身产生的压缩量较大,检测结果不能真正反映设计条件下桩的承载力与桩的变形情况。因此,对于承载力检测,应同时满足地基土休止时间和桩身混凝土龄期(或设计强度)双重规定,若验收检测工期紧,无法满足休止时间规定时,应在检测报告中注明。
3.2.6 验收检测的受检桩选择,宜符合下列规定:
1 施工质量有疑问的桩;
2 局部地基条件出现异常的桩;
3 承载力验收检测时部分选择完整性检测中判定的Ⅲ类桩;
4 设计方认为重要的桩;
5 施工工艺不同的桩;
6 除本条第1~3款指定的受检桩外,其余受检桩的检测数量应符合本规范第3.3.3~3.3.8条的相关规定,且宜均匀或随机选择。
条文说明
3.2.6 由于检测成本和周期问题,很难做到对桩基工程全部基桩进行检测。施工后验收检测的最终目的是查明隐患、确保安全。为了在有限的检测数量中更能充分暴露桩基存在的质量问题;宜优先检测本条第1~5款所列的桩,其次再考虑随机性。
3.2.7 验收检测时,宜先进行桩身完整性检测,后进行承载力检测。桩身完整性检测应在基坑开挖至基底标高后进行。承载力检测时,宜在检测前、后,分别对受检桩、锚桩进行桩身完整性检测。
条文说明
3.2.7 相对于静载试验而言,本规范规定的完整性检测(除钻芯法外)方法作为普查手段,具有速度快、费用较低和检测数量大的特点,容易发现桩基的整体施工质量问题,至少能为有针对性地选择静载试验提供依据。所以,完整性检测安排在静载试验之前是合理的。当基础埋深较大时,基坑开挖产生土体侧移将桩推断或机械开挖将桩碰断的现象时有发生,此时完整性检测应等到开挖至基底标高后进行。 竖向抗压静载试验中,有时会因桩身缺陷、桩身截面突变处应力集中或桩身强度不足造成桩身结构破坏,有时也因锚桩质量问题而导致试桩失败或中途停顿,故建议在试桩前后对试验桩和锚桩进行完整性检测,为分析桩身结构破坏的原因提供证据和确定锚桩能否正常使用。 对于混凝土桩的抗拔、水平或高应变试验,常因拉应力过大造成桩身开裂或破损,因此承载力检测完成后的桩身完整性检测比检测前更有价值。
3.2.8 当发现检测数据异常时,应查找原因,重新检测。
条文说明
3.2.8 测试数据异常通常是因测试人员误操作、仪器设备故障及现场准备不足造成的。用不正确的测试数据进行分析得出的结果必然不正确。对此,应及时分析原因,组织重新检测。
3.2.9 当现场操作环境不符合仪器设备使用要求时,应采取有效的防护措施。
条文说明
3.2.9 操作环境要求是按测量仪器设备对使用温湿度、电压波动、电磁干扰、振动冲击等现场环境条件的适应性规定的。
3.3 检测方法选择和检测数量
3.3 检测方法选择和检测数量
3.3.1 为设计提供依据的试验桩检测应依据设计确定的基桩受力状态,采用相应的静载试验方法确定单桩极限承载力,检测数量应满足设计要求,且在同一条件下不应少于3根;当预计工程桩总数小于50根时,检测数量不应少于2根。
条文说明
3.3.1 本条所说的“基桩受力状态”是指桩的承压、抗拔和水平三种受力状态。 “地基条件、桩长相近,桩端持力层、桩型、桩径、成桩工艺相同”即为本规范所指的“同一条件”。对于大型工程,“同一条件”可能包含若干个桩基分项(子分项)工程。同一桩基分项工程可能由两个或两个以上“同一条件”的桩组成,如直径400mm和500mm的两种规格的管桩应区别对待。 本条规定同一条件下的试桩数量不得少于一组3根,是保障合理评价试桩结果的低限要求。若实际中由于某些原因不足以为设计提供可靠依据或设计另有要求时,可根据实际情况增加试桩数量。另外,如果施工时桩参数发生了较大变动或施工工艺发生了变化,应重新试桩。 对于端承型大直径灌注桩,当受设备或现场条件限制无法做竖向抗压静载试验时,可依据现行行业标准《建筑桩基技术规范》JGJ 94相关要求,按现行国家标准《建筑地基基础设计规范》GB 50007进行深层平板载荷试验、岩基载荷试验;或在其他条件相同的情况下进行小直径桩静载试验,通过桩身内力测试,确定承载力参数,并建议考虑尺寸效应的影响。另外,采用上述替代方案时,应先通过相关质量责任主体组织的技术论证。 试验桩场地的选择应有代表性,附近应有地质钻孔。设计提出侧阻和端阻测试要求时,应在试验桩施工中安装测试桩身应变或变形的元件,以得到试桩的侧摩阻力分布及桩端阻力,为设计选择桩基持力层提供依据。试验桩的设计应符合试验目的要求,静载试验装置的设计和安装应符合试验安全的要求。
3.3.2 打入式预制桩有下列要求之一时,应采用高应变法进行试打桩的打桩过程监测。在相同施工工艺和相近地基条件下,试打桩数量不应少于3根。
1 控制打桩过程中的桩身应力;
2 确定沉桩工艺参数;
3 选择沉桩设备;
4 选择桩端持力层。
条文说明
3.3.2 本条的要求恰好是在打入式预制桩(特别是长桩、超长桩)情况下的高应变法技术优势所在。进行打桩过程监控可减少桩的破损率和选择合理的入土深度,进而提高沉桩效率。
3.3.3 混凝土桩的桩身完整性检测方法选择,应符合本规范第3.1.1条的规定;当一种方法不能全面评价基桩完整性时,应采用两种或两种以上的检测方法,检测数量应符合下列规定:
1 建筑桩基设计等级为甲级,或地基条件复杂、成桩质量可靠性较低的灌注桩工程,检测数量不应少于总桩数的30%,且不应少于20根;其他桩基工程,检测数量不应少于总桩数的20%,且不应少于10根;
2 除符合本条上款规定外,每个柱下承台检测桩数不应少于1根;
3 大直径嵌岩灌注桩或设计等级为甲级的大直径灌注桩,应在本条第1、2款规定的检测桩数范围内,按不少于总桩数10%的比例采用声波透射法或钻芯法检测;
4 当符合本规范第3.2.6条第1、2款规定的桩数较多,或为了全面了解整个工程基桩的桩身完整性情况时,宜增加检测数量。
条文说明
3.3.3 桩身完整性检测,应在保证准确全面判定的原则上,首选适用、快速、经济的检测方法。当一种方法不能全面评判基桩完整性时,应采用两种或多种检测方法组合进行检测。例如:(1)对多节预制桩,接头质量缺陷是较常见的问题。在无可靠验证对比资料和经验时,低应变法对不同形式的接头质量判定尺度较难掌握,所以对接头质量有怀疑时,宜采用低应变法与高应变法或孔内摄像相结合的方式检测。(2)中小直径灌注桩常采用低应变法,但大直径灌注桩一般设计承载力高,桩身质量是控制承载力的主要因素;随着桩径的增大和桩长超长,尺寸效应和有效检测深度对低应变法的影响加剧,而钻芯法、声透法恰好适合于大直径桩的检测(对于嵌岩桩,采用钻芯法可同时钻取桩端持力层岩芯和检测沉渣厚度)。同时,对大直径桩采用联合检测方式,多种方法并举,可以实现低应变法与钻芯法、声波透射法之间的相互补充或验证,优势互补,提高完整性检测的可靠性。 按设计等级、地质情况和成桩质量可靠性确定灌注桩的检测比例大小,20多年来的实践证明是合理的。 “每个柱下承台检测桩数不得少于1根”的规定涵盖了单桩单柱应全数检测之意。但应避免为满足本条1~3款最低抽检数量要求而贪图省事、不负责任地选择受检桩:如核心筒部位荷载大、基桩密度大,但受检桩却大量挑选在裙楼基础部位;又如9桩或9桩以上的柱下承台仅检测1根桩。 当对复合地基中类似于素混凝土桩的增强体进行检测时;检测数量应按《建筑地基处理技术规范》JGJ 79规定执行。
3.3.4 当符合下列条件之一时,应采用单桩竖向抗压静载试验进行承载力验收检测。检测数量不应少于同一条件下桩基分项工程总桩数的1%,且不应少于3根;当总桩数小于50根时,检测数量不应少于2根。
1 设计等级为甲级的桩基;
2 施工前未按本规范第3.3.1条进行单桩静载试验的工程;
3 施工前进行了单桩静载试验,但施工过程中变更了工艺参数或施工质量出现了异常;
4 地基条件复杂、桩施工质量可靠性低;
5 本地区采用的新桩型或新工艺;
6 施工过程中产生挤土上浮或偏位的群桩。
条文说明
3.3.4 桩基工程属于一个单位工程的分部(子分部)工程中的分项工程,一般以分项工程单独验收,所以本规范将承载力验收检测的工程桩数量限定在分项工程内。本条同时规定了在何种条件下工程桩应进行单桩竖向抗压静载试验及检测数量低限。 采用挤土沉桩工艺时,由于土体的侧挤和隆起,质量问题(桩被挤断、拉断、上浮等)时有发生,尤其是大面积密集群桩施工,加上施打顺序不合理或打桩速率过快等不利因素,常引发严重的质量事故。有时施工前虽做过静载试验并以此作为设计依据,但因前期施工的试桩数量毕竟有限,挤土效应并未充分显现,施工后的单桩承载力与施工前的试桩结果相差甚远,对此应给予足够的重视。 另需注意:当符合本条六款条件之一,但单桩竖向抗压承载力检测的数量或方法的选择不能按本条执行时,为避免无法实施竖向抗压承载力检测的情况出现,本规范的第3.3.6条和第3.3.7条作为本条的补充条款给予了出路。
3.3.5 除本规范第3.3.4条规定外的工程桩,单桩竖向抗压承载力可按下列方式进行验收检测:
1 当采用单桩静载试验时,检测数量宜符合本规范第3.3.4条的规定;
2 预制桩和满足高应变法适用范围的灌注桩,可采用高应变法检测单桩竖向抗压承载力,检测数量不宜少于总桩数的5%,且不得少于5根。
条文说明
3.3.5 预制桩和满足高应变法适用检测范围的灌注桩,可采用高应变法。高应变法作为一种以检测承载力为主的试验方法,尚不能完全取代静载试验。该方法的可靠性的提高,在很大程度上取决于检测人员的技术水平和经验,绝非仅通过一定量的静动对比就能解决。由于检测人员水平、设备匹配能力、桩土相互作用复杂性等原因,超出高应变法适用范围后,静动对比在机理上就不具备可比性。如果说“静动对比”是衡量高应变法是否可靠的唯一“硬”指标的话,那么对比结果就不能只是与静载承载力数值的比较,还应比较动测得到的桩的沉降和土参数取值是否合理。同时,在不受第3.3.4条规定条件限制时,尽管允许采用高应变法进行验收检测,但仍需不断积累验证资料、提高分析判断能力和现场检测技术水平。尤其针对灌注桩检测中,实测信号质量有时不易保证、分析中不确定因素多的情况,本规范第9.1.1~9.1.2条对此已作了相应规定。
3.3.6 当有本地区相近条件的对比验证资料时,高应变法可作为本规范第3.3.4条规定条件下单桩竖向抗压承载力验收检测的补充,其检测数量宜符合本规范第3.3.5条第2款的规定。
条文说明
3.3.6 为了全面了解工程桩的承载力情况,使验收检测达到既安全又经济的目的,本条提出可采用高应变法作为静载试验的“补充”,但无完全代替静载试验之意。如场地地基条件复杂、桩施工变异大,但按本规范第3.3.4条规定的静载试桩数量很少,存在抽样数量不足、代表性差的问题,此时在满足本规范第3.3.4条规定的静载试桩数量的基础上,只能是额外增加高应变检测;又如场地地基条件和施工变异不大,按1%抽检的静载试桩数量较大,根据经验能认定高应变法适用且其结果与静载试验有良好的可比性,此时可适当减少静载试桩数量,采用高应变检测作为补充。
3.3.7 对于端承型大直径灌注桩,当受设备或现场条件限制无法检测单桩竖向抗压承载力时,可选择下列方式之一,进行持力层核验:
1 采用钻芯法测定桩底沉渣厚度,并钻取桩端持力层岩土芯样检验桩端持力层,检测数量不应少于总桩数的10%,且不应少于10根;
2 采用深层平板载荷试验或岩基平板载荷试验,检测应符合国家现行标准《建筑地基基础设计规范》GB 50007和《建筑桩基技术规范》JGJ 94的有关规定,检测数量不应少于总桩数的1%,且不应少于3根。
条文说明
3.3.7 端承型大直径灌注桩(事实上对所有高承载力的桩),往往不允许任何一根桩承载力失效,否则后果不堪设想。由于试桩荷载大或场地限制,有时很难、甚至无法进行单桩竖向抗压承载力静载检测。对此,本条规定实际是对本规范第3.3.4条的补充,体现了“多种方法合理搭配,优势互补”的原则,如深层平板载荷试验、岩基载荷试验,终孔后混凝土灌注前的桩端持力层鉴别,成桩后的钻芯法沉渣厚度测定、桩端持力层钻芯鉴别(包括动力触探、标贯试验、岩芯试件抗压强度试验)。
3.3.8 对设计有抗拔或水平力要求的桩基工程,单桩承载力验收检测应采用单桩竖向抗拔或单桩水平静载试验,检测数量应符合本规范第3.3.4条的规定。
3.4 验证与扩大检测
3.4 验证与扩大检测
3.4.1 单桩竖向抗压承载力验证应采用单桩竖向抗压静载试验。
3.4.2 桩身浅部缺陷可采用开挖验证。
3.4.3 桩身或接头存在裂隙的预制桩可采用高应变法验证,管桩可采用孔内摄像的方式验证。
3.4.4 单孔钻芯检测发现桩身混凝土存在质量问题时,宜在同一基桩增加钻孔验证,并根据前、后钻芯结果对受检桩重新评价。
3.4.5 对低应变法检测中不能明确桩身完整性类别的桩或Ⅲ类桩,可根据实际情况采用静载法、钻芯法、高应变法、开挖等方法进行验证检测。
条文说明
3.4.1~3.4.5 这五条内容针对检测中出现的缺乏依据、无法或难于定论的情况,提出了验证检测原则。用准确可靠程度(或直观性)高的检测方法来弥补或复核准确可靠程度(或直观性)低的检测方法结果的不确定性,称为验证检测。
管桩孔内摄像的优点是直观、定量化,其原理及操作细节可参见中国工程建设标准化协会发布的《基桩孔内摄像检测技术规程》。
本规范第3.4.4条的做法,介于重新检测和验证检测之间,使验证检测结果与首次检测结果合并在一起,重新对受检桩进行评价。
应该指出:桩身完整性不符合要求和单桩承载力不满足设计要求是两个独立概念。完整性为Ⅰ类或Ⅱ类而承载力不满足设计要求显然存在结构安全隐患;竖向抗压承载力满足设计要求而完整性为Ⅲ类或Ⅳ类则可能存在安全和耐久性方面的隐患。如桩身出现水平整合型裂缝(灌注桩因挤土、开挖等原因也常出现)或断裂,低应变完整性为Ⅲ类或Ⅳ类,但高应变完整性可能为Ⅱ类,且竖向抗压承载力可能满足设计要求,但存在水平承载力和耐久性方面的隐患。
3.4.6 桩身混凝土实体强度可在桩顶浅部钻取芯样验证。
条文说明
3.4.6 当需要验证运送至现场某批次混凝土强度或对预留的试块强度和浇注后的混凝土强度有异议时,可按结构构件取芯的方式,验证评价桩身实体混凝土强度。注意本条提出的桩实体强度取芯验证与本规范第7章钻芯法有差别,前者只要按《混凝土结构现场检测技术标准》GB/T 50784,在满足随机抽样的代表性和数量要求的条件下,可以给出具有保证率的检验批混凝土强度推定值;后者常因检测桩数少、缺乏代表性而仅对受检单桩的混凝土强度进行评价。
3.4.7 当采用低应变法、高应变法和声波透射法检测桩身完整性发现有Ⅲ、Ⅳ类桩存在,且检测数量覆盖的范围不能为补强或设计变更方案提供可靠依据时,宜采用原检测方法,在未检桩中继续扩大检测。当原检测方法为声波透射法时,可改用钻芯法。
3.4.8 当单桩承载力或钻芯法检测结果不满足设计要求时,应分析原因并扩大检测。
验证检测或扩大检测采用的方法和检测数量应得到工程建设有关方的确认。
条文说明
3.4.7、3.4.8 通常,因初次抽样检测数量有限,当抽样检测中发现承载力不满足设计要求或完整性检测中Ⅲ、Ⅳ类桩比例较大时,应会同有关各方分析和判断桩基整体的质量情况,如果不能得出准确判断,为补强或设计变更方案提供可靠依据时,应扩大检测。扩大检测数量宜根据地基条件、桩基设计等级、桩型、施工质量变异性等因素合理确定。
3.5 检测结果评价和检测报告
3.5 检测结果评价和检测报告
3.5.1 桩身完整性检测结果评价,应给出每根受检桩的桩身完整性类别。桩身完整性分类应符合表3.5.1的规定,并按本规范第7~10章分别规定的技术内容划分。
条文说明
3.5.1 桩身结构承载力不仅与桩身完整性有关,显然亦与混凝土强度有关,对此已在本规范第2.1.2条条文说明做了解释。如需了解桩身混凝土强度对结构承载力的影响程度,可通过钻取混凝土芯样,按本规范第7章有关规定得到桩身混凝土强度检测值,然后据此验算评价。 表3.5.1规定了桩身完整性类别划分标准,有利于对完整性检测结果的判定和采用。需要特别指出:分项工程施工质量验收时的检查项目很多,桩身完整性仅是主控检查项目之一(承载力也如此),通常所有的检查项目都满足规定要求时才给出是否合格的结论,况且经设计复核或补强处理还允许通过验收。 桩基整体施工质量问题可由桩身完整性普测发现,如果不能就提供的完整性检测结果判断对桩承载力的影响程度,进而估计是否危及上部结构安全,那么在很大程度上就减少了桩身完整性检测的实际意义。桩的承载功能是通过桩身结构承载力实现的。完整性类别划分主要是根据缺陷程度,但这种划分不能机械地理解为不需考虑桩的设计条件和施工因素。综合判定能力对检测人员极为重要。 按桩身完整性定义中连续性的涵义,只要实测桩长小于施工记录桩长,桩身完整性就应判为Ⅳ类。这对桩长虽短、桩端进入了设计要求的持力层且桩的承载力基本不受影响的情况也如此。 按表3.5.1和惯例,Ⅰ、Ⅱ类桩属于所谓“合格”桩,Ⅲ、Ⅳ类桩为“不合格”桩。对Ⅲ、Ⅳ类桩,工程上一般会采取措施进行处理,如对Ⅳ类桩的处理内容包括:补强、补桩、设计变更或由原设计单位复核是否可满足结构安全和使用功能要求;而对Ⅲ桩,也可能采用与处理Ⅳ类桩相同的方式,也可能采用其他更可靠的检测方法验证后再做决定。另外,低应变反射波法出现Ⅲ类桩的判定结论后,可能还附带检测机构要求对该桩采用其他方法进一步验证的建议。
表3.5.1 桩身完整性分类表

3.5.2 工程桩承载力验收检测应给出受检桩的承载力检测值,并评价单桩承载力是否满足设计要求。
条文说明
3.5.2 承载力现场试验的实测数据通过分析或综合分析所确定或判定的值称为承载力检测值,该值也包括采用正常使用极限状态要求的某一限值(如变形、裂缝)所对应的加载量值。 本次修订,对原规范条文“……并据此给出单位工程同一条件下的单桩承载力特征值是否满足设计要求的结论”进行了修改,原因是:
1 因为某些桩基分项工程采用多种规格(承载力)的桩,如对每个规格(承载力)的桩均按“1%且不少于3根”的数量做静载检验有时很难实现,故删除了原条文中的“同一条件下”。
2 针对工程桩验收检测,已在静载试验和高应变法相关章节取消了通过统计得到承载力极限值,并以此进行整体评价的要求。因为采用统计方式进行整体评价相当于用小样本推断大母体,基桩检测所采用的百分比抽样并非概率统计学意义上的抽样方式,结果评价时的错判概率和漏判概率未知。举一浅显的例子,假设有两个桩基分项工程,同一条件下的总桩数分别为300根和3000根,验收时应分别做3根和30根静载试验,按算术平均后的极限值(除以2后为特征值)对桩基分项工程进行承载力的符合性评价;显然前者结果的可靠度要低于后者。故不再使用经统计得到的承载力值,避免与工程中常见的具有保证率的验收评价结果相混淆。
3 对于验收检测,尚无要求单桩承载力特征值(或极限值)需通过多根试桩结果的统计得到,自然可以针对一根桩或多根桩的承载力特征值(或极限值),做出是否满足设计要求的符合性结论。
4 原规范条文采用了经过“统计”的承载力值进行符合性评价,有两层含义:(1)承载力验收检验的符合性结论即便明确是针对整个分项工程做出的,理论上也不能代表该工程全部基桩的承载力都满足设计要求;(2)符合性结论即便是针对每根受检桩的承载力而非整个工程做出的,也不会被误解为“仅对来样负责”而无法验收。虽然2003版规范要求符合性结论应针对桩基分项工程整体做出,但在近十年的实施中,绝大多数检测机构出具的符合性结论是按单桩承载力做出的,即只要有一根桩的承载力不满足要求,就需采取补救措施(如增加试桩、补桩或加固等),否则不能通过分项工程验收。可见,新版规范对承载力符合性评价的要求比2003版规范要严。 最后还需说明两点:(1)承载力检测因时间短暂,其结果仅代表试桩那一时刻的承载力,不能包含日后自然或人为因素(如桩周土湿陷、膨胀、冻胀、融沉、侧移,基础上浮、地面超载等)对承载力的影响。(2)承载力评价可能出现矛盾的情况,即承载力不满足设计要求而满足有关规范要求。因为规范一般给出满足安全储备和正常使用功能的最低要求,而设计时常在此基础上留有一定余量。考虑到责权划分,可以作为问题或建议提出,但仍需设计方复核和有关各责任主体方确认。
3.5.3 检测报告应包含下列内容:
1 委托方名称,工程名称、地点,建设、勘察、设计、监理和施工单位,基础、结构形式,层数,设计要求,检测目的,检测依据,检测数量,检测日期;
2 地基条件描述;
3 受检桩的桩型、尺寸、桩号、桩位、桩顶标高和相关施工记录;
4 检测方法,检测仪器设备,检测过程叙述;
5 受检桩的检测数据,实测与计算分析曲线、表格和汇总结果;
6 与检测内容相应的检测结论。
条文说明
3.5.3 检测报告应根据所采用的检测方法和相应的检测内容出具检测结论。为使报告具有较强的可读性和内容完整,除众所周知的要求——报告用词规范、检测结论明确、必要的概况描述外,报告中还应包括检测原始记录信息或由其直接导出的信息,即检测报告应包含各受检桩的原始检测数据和曲线,并附有相关的计算分析数据和曲线。本条之所以这样详尽规定,目的就是要杜绝检测报告仅有检测结果而无任何检测数据和图表的现象发生。
4 单桩竖向抗压静载试验
4.1 一般规定
4 单桩竖向抗压静载试验
4.1 一般规定
4.1.1 本方法适用于检测单桩的竖向抗压承载力。当桩身埋设有应变、位移传感器或位移杆时,可按本规范附录A测定桩身应变或桩身截面位移,计算桩的分层侧阻力和端阻力。
条文说明
4.1.1 单桩抗压静载试验是公认的检测基桩竖向抗压承载力最直观、最可靠的传统方法。本规范主要是针对我国建筑工程中惯用的维持荷载法进行了技术规定。根据桩的使用环境、荷载条件及大量工程检测实践,在国内其他行业或国外,尚有循环荷载等变形速率及特定荷载下长时间维持等方法。
通过在桩身埋设测试元件,并与桩的静载荷试验同步进行的桩身内力测试,是充分了解桩周土层侧阻力和桩底端阻力发挥特征的主要手段,对于优化桩基设计,积累土层侧阻力和端阻力与土性指标关系的资料具有十分重要的意义。
4.1.2 为设计提供依据的试验桩,应加载至桩侧与桩端的岩土阻力达到极限状态;当桩的承载力由桩身强度控制时,可按设计要求的加载量进行加载。
条文说明
4.1.2 本条明确规定为设计提供依据的静载试验应加载至桩的承载极限状态甚至破坏,即试验应进行到能判定单桩极限承载力为止。对于以桩身强度控制承载力的端承型桩,当设计另有规定时,应从其规定。
4.1.3 工程桩验收检测时,加载量不应小于设计要求的单桩承—载力特征值的2.0倍。
条文说明
4.1.3 在对工程桩验收检测时,规定了加载量不应小于单桩承载力特征值的2.0倍,以保证足够的安全储备。
4.2 设备仪器及其安装
4.2 设备仪器及其安装
4.2.1 试验加载设备宜采用液压千斤顶。当采用两台或两台以上千斤顶加载时,应并联同步工作,且应符合下列规定:
1 采用的千斤顶型号、规格应相同;
2 千斤顶的合力中心应与受检桩的横截面形心重合。
条文说明
4.2.1 为防止加载偏心,千斤顶的合力中心应与反力装置的重心、桩横截面形心重合(桩顶扩径可能是例外),并保证合力方向与桩顶面垂直。使用单台千斤顶的要求也如此。
4.2.2 加载反力装置可根据现场条件,选择锚桩反力装置、压重平台反力装置、锚桩压重联合反力装置、地锚反力装置等,且应符合下列规定:
1 加载反力装置提供的反力不得小于最大加载值的1.2倍;
2 加载反力装置的构件应满足承载力和变形的要求;
3 应对锚桩的桩侧土阻力、钢筋、接头进行验算,并满足抗拔承载力的要求;
4 工程桩作锚桩时,锚桩数量不宜少于4根,且应对锚桩上拔量进行监测;
5 压重宜在检测前一次加足,并均匀稳固地放置于平台上,且压重施加于地基的压应力不宜大于地基承载力特征值的1.5倍;有条件时,宜利用工程桩作为堆载支点。
条文说明
4.2.2 实际应用中有多种反力装置形式,如伞形堆重装置、斜拉锚桩反力装置等,但都可以归结为本条中的四种基本反力装置形式,无论采用哪种反力装置,都需要符合本条的规定,实际应用中根据具体情况选取。对单桩极限承载力较小的摩擦桩可用土锚作反力;对岩面浅的嵌岩桩,可利用岩锚提供反力。
对于利用静力压桩机进行抗压静载试验的情况,由于压桩机支腿尺寸的限制,试验场地狭小,如果压桩机支腿(视为压重平台支墩)、试桩、基准桩三者之间的距离不满足本规范表4.2.6的规定,则不得使用压桩机作为反力装置进行静载试验。
锚桩抗拔力由锚桩桩周岩土的性质和桩身材料强度决定,抗拔力验算时应分别计算桩周岩土的抗拔承载力及桩身材料的抗拉承载力,结果取两者的小值。当工程桩作锚桩且设计对桩身有特殊要求时,应征得有关方同意。此外,当锚桩还受水平力时,尚应在试验中监测锚桩水平位移。
4.2.3 荷载测量可用放置在千斤顶上的荷重传感器直接测定。当通过并联于千斤顶油路的压力表或压力传感器测定油压并换算荷载时,应根据千斤顶率定曲线进行荷载换算。荷重传感器、压力传感器或压力表的准确度应优于或等于0.5级。试验用压力表、油泵、油管在最大加载时的压力不应超过规定工作压力的80%。
条文说明
4.2.3 用荷重传感器(直接方式)和油压表(间接方式)两种荷载测量方式的区别在于:前者采用荷重传感器测力,不需考虑千斤顶活塞摩擦对出力的影响;后者需通过率定换算千斤顶出力。同型号千斤顶在保养正常状态下,相同油压时的出力相对误差约为1%~2%,非正常时可超过5%。采用传感器测量荷重或油压,容易实现加卸荷与稳压自动化控制,且测量准确度较高。准确度等级一般是指仪器仪表测量值的最大允许误差,如采用惯用的弹簧管式精密压力表测定油压时,符合准确度等级要求的为0.4级,不得使用大于0.5级的压力表控制加载。当油路工作压力较高时,有时出现油管爆裂、接头漏油、油泵加压不足造成千斤顶出力受限,压力表在超过其3/4满量程时的示值误差增大。所以,应适当控制最大加荷时的油压,选用耐压高、工作压力大和量程大的油管、油泵和压力表。另外,也应避免将大吨位级别的千斤顶用于小荷载(相对千斤顶最大出力)的静载试验中。
4.2.4 沉降测量宜采用大量程的位移传感器或百分表,且应符合下列规定:
条文说明
4.2.4 对于大量程(50mm)百分表,计量检定规程规定:全程最大示值误差和回程误差应分别不超过40μm和8μm,相当于满量程最大允许测量误差不大于0.1%FS。基准桩应打入地面以下足够的深度,一般不小于1m。基准梁应一端固定,另一端简支,这是为减少温度变化引起的基准梁挠曲变形。在满足表4.2.6的规定条件下,基准梁不宜过长,并应采取有效遮挡措施,以减少温度变化和刮风下雨的影响,尤其在昼夜温差较大且白天有阳光照射时更应注意。当基准桩、基准梁不具备规定要求的安装条件,可采用光学仪器测试,其安装的位置应满足表4.2.6的要求。
1 测量误差不得大于0.1%FS,分度值/分辨力应优于或等于0.01mm;
2 直径或边宽大于500mm的桩,应在其两个方向对称安置4个位移测试仪表,直径或边宽小于等于500mm的桩可对称安置2个位移测试仪表;
3 基准梁应具有足够的刚度,梁的一端应固定在基准桩上,另一端应简支于基准桩上;
4 固定和支撑位移计(百分表)的夹具及基准梁不得受气温、振动及其他外界因素的影响;当基准梁暴露在阳光下时,应采取遮挡措施。
4.2.5 沉降测定平面宜设置在桩顶以下200mm的位置,测点应固定在桩身上。
条文说明
4.2.5 沉降测定平面宜在千斤顶底座承压板以下的桩身位置,即不得在承压板上或千斤顶上设置沉降观测点,避免因承压板变形导致沉降观测数据失实。
4.2.6 试桩、锚桩(压重平台支墩边)和基准桩之间的中心距离,应符合表4.2.6的规定。当试桩或锚桩为扩底桩或多支盘桩时,试桩与锚桩的中心距不应小于2倍扩大端直径。软土场地压重平台堆载重量较大时,宜增加支墩边与基准桩中心和试桩中心之间的距离,并在试验过程中观测基准桩的竖向位移。
表4.2.6 试桩、锚桩(或压重平台支墩边)和基准桩之间的中心距离

注:1 D为试桩、锚桩或地锚的设计直径或边宽,取其较大者;
2 括号内数值可用于工程桩验收检测时多排桩设计桩中心距离小于4D或压重平台支墩下2倍~3倍宽影响范围内的地基土已进行加固处理的情况。
条文说明
4.2.6 在试桩加卸载过程中,荷载将通过锚桩(地锚)、压重平台支墩传至试桩、基准桩周围地基土并使之变形。随着试桩、基准桩和锚桩(或压重平台支墩)三者间相互距离缩小,地基土变形对试桩、基准桩的附加应力和变位影响加剧。 1985年,国际土力学与基础工程协会(ISSMFE)提出了静载试验的建议方法并指出:试桩中心到锚桩(或压重平台支墩边)和到基准桩各自间的距离应分别“不小于2.5m或3D”,这和我国现行规范规定的“大于等于4D且不小于2.0m”相比更容易满足(小直径桩按3D控制,大直径桩按2.5m控制)。高重建筑物下的大直径桩试验荷载大、桩间净距小(最小中心距为3D),往往受设备能力制约,采用锚桩法检测时,三者间的距离有时很难满足“不小于4D”的要求,加长基准梁又难避免气候环境影响。考虑到现场验收试验中的困难,且压重平台支墩桩下沉或锚桩上拔对基准桩、试桩的影响小于天然地基作为压重平台支墩对它们的影响,以及支墩下2倍~3倍墩宽应力影响范围内的地基进行加固后将减少对试桩和基准桩的影响,故本规范中对部分间距的规定放宽为“不小于3D”。因此,对群桩间距小于4D但大于等于3D时的试验现场,可尽量利用受检桩周边的工程桩作为压重平台的支墩或锚桩。 关于压重平台支墩边与基准桩和试桩之间的最小间距问题,应区别两种情况对待。在场地土较硬时,堆载引起的支墩及其周边地面沉降和试验加载引起的地面回弹均很小。如1200灌注桩采用(10×10)m2平台堆载11550kN,土层自上而下为凝灰岩残积土、强风化和中风化凝灰岩,堆载和试验加载过程中,距支墩边1m、2m处观测到的地面沉降及回弹量几乎为零。但在软土场地,大吨位堆载由于支墩影响范围大而应引起足够的重视。以某一场地500管桩用(7×7)m2平台堆载4000kN为例:在距支墩边0.95m、1.95m、2.55m和3.5m设四个观测点,平台堆载至4000kN时观测点下沉量分别为13.4mm、6.7mm、3.0mm和0.1mm;试验加载至4000kN时观测点回弹量分别为2.1mm、0.8mm、0.5mm和0.4mm。但也有报导管桩堆载6000kN,支墩产生明显下沉,试验加载至6000kN时,距支墩边2.9m处的观测点回弹近8mm。这里出现两个问题:其一,当支墩边距试桩较近时,大吨位堆载地面下沉将对桩产生负摩阻力,特别对摩擦型桩将明显影响其承载力;其二,桩加载(地面卸载)时地基土回弹对基准桩产生影响。支墩对试桩、基准桩的影响程度与荷载水平及土质条件等有关。对于软土场地超过10000kN的特大吨位堆载(目前国内压重平台法堆载已超过50000kN),为减少对试桩产生附加影响,应考虑对支墩影响范围内的地基土进行加固;对大吨位堆载支墩出现明显下沉的情况,尚需进一步积累资料和研究可靠的沉降测量方法,简易的办法是在远离支墩处用水准仪或张紧的钢丝观测基准桩的竖向位移。
4.2.7 测试桩侧阻力、桩端阻力、桩身截面位移时,桩身内传感器、位移杆的埋设应符合本规范附录A的规定。
4.3 现场检测
4.3 现场检测
4.3.1 试验桩的桩型尺寸、成桩工艺和质量控制标准应与工程桩一致。
条文说明
4.3.1 本条是为使试桩具有代表性而提出的。
4.3.2 试验桩桩顶宜高出试坑底面,试坑底面宜与桩承台底标高一致。混凝土桩头加固可按本规范附录B执行。
条文说明
4.3.2 为便于沉降测量仪表安装,试桩顶部宜高出试坑地面;为使试验桩受力条件与设计条件相同,试坑地面宜与承台底标高一致。对于工程桩验收检测,当桩身荷载水平较低时,允许采用水泥砂浆将桩顶抹平的简单桩头处理方法。
4.3.3 试验加、卸载方式应符合下列规定:
1 加载应分级进行,且采用逐级等量加载;分级荷载宜为最大加载值或预估极限承载力的1/10,其中,第一级加载量可取分级荷载的2倍;
2 卸载应分级进行,每级卸载量宜取加载时分级荷载的2倍,且应逐级等量卸载;
3 加、卸载时,应使荷载传递均匀、连续、无冲击,且每级荷载在维持过程中的变化幅度不得超过分级荷载的±10%。
条文说明
4.3.3 本条是按我国的传统做法,对维持荷载法进行的原则性规定。
4.3.4 为设计提供依据的单桩竖向抗压静载试验应采用慢速维持荷载法。 (自2022年1月1日起废止该条,详见新规 《建筑与市政地基基础通用规范》 GB 55003-2021)
条文说明
4.3.4 慢速维持荷载法是我国公认且已沿用几十年的标准试验方法,是其他工程桩竖向抗压承载力验收检测方法的唯一参照标准,也是与桩基设计有关的行业或地方标准的设计参数规定值获取的最可信方法。
4.3.5 慢速维持荷载法试验应符合下列规定:
1 每级荷载施加后,应分别按第5min、15min、30min、45min、60min测读桩顶沉降量,以后每隔30min测读一次桩顶沉降量;
2 试桩沉降相对稳定标准:每一小时内的桩顶沉降量不得超过0.1mm,并连续出现两次(从分级荷载施加后的第30min开始,按1.5h连续三次每30min的沉降观测值计算);
3 当桩顶沉降速率达到相对稳定标准时,可施加下一级荷载;
4 卸载时,每级荷载应维持1h,分别按第15min、30min、60min测读桩顶沉降量后,即可卸下一级荷载;卸载至零后,应测读桩顶残余沉降量,维持时间不得少于3h,测读时间分别为第15min、30min,以后每隔30min测读一次桩顶残余沉降量。
4.3.6 工程桩验收检测宜采用慢速维持荷载法。当有成熟的地区经验时,也可采用快速维持荷载法。
快速维持荷载法的每级荷载维持时间不应少于1h,且当本级荷载作用下的桩顶沉降速率收敛时,可施加下一级荷载。
条文说明
4.3.5、4.3.6 按本规范第4.3.5条第2款,慢速维持荷载法每级荷载持载时间最少为2h。对绝大多数桩基而言,为保证上部结构正常使用,控制桩基绝对沉降是第一重要的,这是地基基础按变形控制设计的基本原则。在工程桩验收检测中,国内某些行业或地方标准允许采用快速维持荷载法。国外许多国家的维持荷载法相当于我国的快速维持荷载法,最少持载时间为1h,但规定了较为宽松的沉降相对稳定标准,与我国快速法的差别就在于此。1985年ISSMFE在推荐的试验方法中建议:“维持荷载法加载为每小时一级,稳定标准为0.1mm/20min”。当桩端嵌入基岩时,个别国家还允许缩短时间;也有些国家为测定桩的蠕变沉降速率建议采用终级荷载长时间维持法。
快速维持荷载法在国内从20世纪70年代就开始应用,我国港口工程规范从1983年、上海地基设计规范从1989年起就将这一方法列入,与慢速法一起并列为静载试验方法。快速法由于每级荷载维持时间为1h,各级荷载下的桩顶沉降相对慢速法确实要小一些。相对而言,这种差异是能接受的,因为如将“慢速法”的加荷速率与建筑物建造过程中的施工加载速率相比,显然“慢速法”加荷速率已非常快了,经验表明:慢速法试桩得到的使用荷载对应的桩顶沉降与建筑物桩基在长期荷载作用下的实际沉降相比,要小几倍到十几倍。
快速法试验得到的极限承载力一般略高于慢速法,其中黏性土中桩的承载力提高要比砂土中的桩明显。
在我国,如有些软土中的摩擦桩,按慢速法加载,在最大试验荷载(一般为2倍承载力特征值)的前几级;就已出现沉降稳定时间逐渐延长,即在2h甚至更长时间内不收敛。此时,采用快速法是不适宜的。而也有很多地方的工程桩验收试验,在每级荷载施加不久,沉降迅速稳定,缩短持载时间不会明显影响试桩结果;且因试验周期的缩短,又可减少昼夜温差等环境影响引起的沉降观测误差。在此,给出快速维持荷载法的试验步骤供参考:
1 每级荷载施加后维持1h,按第5min、15min、30min测读桩顶沉降量,以后每隔15min测读一次。
2 测读时间累计为1h时,若最后15min时间间隔的桩顶沉降增量与相邻15min时间间隔的桩顶沉降增量相比未明显收敛时,应延长维持荷载时间,直至最后15min的沉降增量小于相邻15min的沉降增量为止。
3 终止加荷条件可按本规范第4.3.7条第1、3、4、5款执行。
4 卸载时,每级荷载维持15min,按第5min、15min测读桩顶沉降量后,即可卸下一级荷载。卸载至零后,应测读桩顶残余沉降量,维持时间为1h,测读时间为第5min、15min、30min。 各地在采用快速法时,应总结积累经验,并可结合当地条件提出适宜的沉降相对稳定控制标准。
4.3.7 当出现下列情况之一时,可终止加载:
1 某级荷载作用下,桩顶沉降量大于前一级荷载作用下的沉降量的5倍,且桩顶总沉降量超过40mm;
2 某级荷载作用下,桩顶沉降量大于前一级荷载作用下的沉降量的2倍,且经24h尚未达到本规范第4.3.5条第2款相对稳定标准;
3 已达到设计要求的最大加载值且桩顶沉降达到相对稳定标准;
4 工程桩作锚桩时,锚桩上拔量已达到允许值;5 荷载-沉降曲线呈缓变型时,可加载至桩顶总沉降量60mm~80mm;当桩端阻力尚未充分发挥时,可加载至桩顶累计沉降量超过80mm。
条文说明
4.3.7 当桩身存在水平整合型缝隙、桩端有沉渣或吊脚时,在较低竖向荷载时常出现本级荷载沉降超过上一级荷载对应沉降5倍的陡降,当缝隙闭合或桩端与硬持力层接触后,随着持载时间或荷载增加,变形梯度逐渐变缓,以此分析陡降原因。当摩擦桩桩端产生刺入破坏或桩身强度不足桩被压断时,也会出现陡降,但与前相反,随着沉降增加,荷载不能维持甚至大幅降低。所以,出现陡降后终止加载并不代表终止试验,尚应在桩顶下沉量超过40mm后,记录沉降满足稳定标准时的桩顶最大沉降所对应的荷载,以大致判断造成陡降的原因。 非嵌岩的长(超长)桩和大直径(扩底)桩的Q-s曲线一般呈缓变型,在桩顶沉降达到40mm时、桩端阻力一般不能充分发挥。前者由于长细比大、桩身较柔,弹性压缩量大,桩顶沉降较大时,桩端位移还很小;后者虽桩端位移较大,但尚不足以使端阻力充分发挥。因此,放宽桩顶总沉降量控制标准是合理的。
4.3.8 检测数据宜按本规范表C.0.1的格式进行记录。
4.3.9 测试桩身应变和桩身截面位移时,数据的测读时间宜符合本规范第4.3.5条的规定。
4.4 检测数据分析与判定
4.4 检测数据分析与判定
4.4.1 检测数据的处理应符合下列规定:
1 确定单桩竖向抗压承载力时,应绘制竖向荷载-沉降(Q-s)曲线、沉降-时间对数(s-1gt)曲线;也可绘制其他辅助分析曲线;
2 当进行桩身应变和桩身截面位移测定时,应按本规范附录A的规定,整理测试数据,绘制桩身轴力分布图,计算不同土层的桩侧阻力和桩端阻力。
条文说明
4.4.1 除Q-s、s-1gt曲线外,还可绘制s-1gQ曲线及其他分析曲线,如为了直观反映整个试验过程情况,可给出连续的荷载-时间(Q-t)曲线和沉降-时间(s-t)曲线,并为方便比较绘制于一图中。同一工程的一批试桩曲线应按相同的沉降纵坐标比例绘制,满刻度沉降值不宜小于40mm,当桩顶累计沉降量大于40mm时,可按总沉降量以10mm的整模数倍增加满刻度值,使结果直观、便于比较。
4.4.2 单桩竖向抗压极限承载力应按下列方法分析确定:
1 根据沉降随荷载变化的特征确定:对于陡降型Q-s曲线,应取其发生明显陡降的起始点对应的荷载值;
2 根据沉降随时间变化的特征确定:应取s-1gt曲线尾部出现明显向下弯曲的前一级荷载值;
3 符合本规范第4.3.7条第2款情况时,宜取前一级荷载值;
4 对于缓变型Q-s曲线,宜根据桩顶总沉降量,取s等于40mm对应的荷载值;对D(D为桩端直径)大于等于800mm的桩,可取s等于0.05D对应的荷载值;当桩长大于40m时,宜考虑桩身弹性压缩;
5 不满足本条第1~4款情况时,桩的竖向抗压极限承载力宜取最大加载值。
条文说明
4.4.2 太沙基和ISSMFE指出:当沉降量达到桩径的10%时,才可能出现极限荷载;黏性土中端阻充分发挥所需的桩端位移为桩径的4%~5%,而砂土中可能高到15%。故第4款对缓变型Q-s曲线,按s等于0.05D确定大直径桩的极限承载力大体上是保守的;且因D大于等于800mm时定义为大直径桩,当D等于800mm时,0.05D等于40mm,正好与中、小直径桩的取值标准衔接。应该注意,世界各国按桩顶总沉降确定极限承载力的规定差别较大,这和各国安全系数的取值大小、特别是上部结构对桩基沉降的要求有关。因此当按本规范建议的桩顶沉降量确定极限承载力时,尚应考虑上部结构对桩基沉降的具体要求。 关于桩身弹性压缩量:当进行桩身应变或位移测试时是已知的;缺乏测试数据时,可假设桩身轴力沿桩长倒梯形分布进行估算,或忽略端承力按倒三角形保守估算,计算公式为。
4.4.3 为设计提供依据的单桩竖向抗压极限承载力的统计取值,应符合下列规定:
1 对参加算术平均的试验桩检测结果,当极差不超过平均值的30%时,可取其算术平均值为单桩竖向抗压极限承载力;当极差超过平均值的30%时,应分析原因,结合桩型、施工工艺、地基条件、基础形式等工程具体情况综合确定极限承载力;不能明确极差过大的原因时,宜增加试桩数量;
2 试验桩数量小于3根或桩基承台下的桩数不大于3根时,应取低值。
条文说明
4.4.3 本条只适用于为设计提供依据时的竖向抗压极限承载力试验结果的统计,统计取值方法按《建筑地基基础设计规范》GB?50007的规定执行。前期静载试验的桩数一般很少,而影响单桩承载力的因素复杂多变。为数有限的试验桩中常出现个别桩承载力过低或过高,若恰好不是偶然原因造成,简单算术平均容易造成浪费或不安全。因此规定极差超过平均值的30%时,首先应分析、查明原因,结合工程实际综合确定。例如一组5根试桩的极限承载力值依次为800kN、900kN、1000kN、1100kN、1200kN,平均值为1000kN,单桩承载力最低值和最高值的极差为400kN,超过平均值的30%,则不宜简单地将最低值800kN去掉用后面4个值取平均,或将最低和最高值都去掉取中间3个值的平均值,应查明是否出现桩的质量问题或场地条件变异情况。当低值承载力的出现并非偶然原因造成时,例如施工方法本身质量可靠性较低,但能够在之后的工程桩施工中加以控制和改进,出于安全考虑,按本例可依次去掉高值后取平均,直至满足极差不超过30%的条件,此时可取平均值900kN为极限承载力;又如桩数为3根或3根以下承台,或以后工程桩施工为密集挤土群桩,出于安全考虑,极限承载力可取低值800kN。
4.4.4 单桩竖向抗压承载力特征值应按单桩竖向抗压极限承载力的50%取值。
条文说明
4.4.4 《建筑地基基础设计规范》GB 50007规定的单桩竖向抗压承载力特征值是按单桩竖向抗压极限承载力除以安全系数2得到的,综合反映了桩侧、桩端极限阻力控制承载力特征值的低限要求。 本条中的“单桩竖向抗压极限承载力”来自两种情况:对于验收检测,即为按第4.4.2条得到的单根桩极限承载力值;而对于为设计提供依据的检测,还需按第4.4.3条进行统计取值。
4.4.5 检测报告除应包括本规范第3.5.3条规定的内容外,尚应包括下列内容:
条文说明
4.4.5 本条规定了检测报告中应包含的一些内容,有利于委托方、设计及检测部门对报告的审查和分析。
1 受检桩桩位对应的地质柱状图;
2 受检桩和锚桩的尺寸、材料强度、配筋情况以及锚桩的数量;
3 加载反力种类,堆载法应指明堆载重量,锚桩法应有反力梁布置平面图;
4 加、卸载方法;
5 本规范第4.4.1条要求绘制的曲线;
6 承载力判定依据;
7 当进行分层侧阻力和端阻力测试时,应包括传感器类型、安装位置,轴力计算方法,各级荷载作用下的桩身轴力曲线,各土层的桩侧极限侧阻力和桩端阻力。
5 单桩竖向抗拔静载试验
5.1 一般规定
5 单桩竖向抗拔静载试验
5.1 一般规定
5.1.1 本方法适用于检测单桩的竖向抗拔承载力。当桩身埋设有应变、位移传感器或桩端埋设有位移测量杆时,可按本规范附录A测定桩身应变或桩端上拔量,计算桩的分层抗拔侧阻力。
条文说明
5.1.1 单桩竖向抗拔静载试验是检测单桩竖向抗拔承载力最直观、可靠的方法。与本规范的抗压静载试验相似,国内外抗拔桩试验多采用维持荷载法。本规范规定采用慢速维持荷载法。
5.1.2 为设计提供依据的试验桩,应加载至桩侧岩土阻力达到极限状态或桩身材料达到设计强度;工程桩验收检测时,施加的上拔荷载不得小于单桩竖向抗拔承载力特征值的2.0倍或使桩顶产生的上拔量达到设计要求的限值。
当抗拔承载力受抗裂条件控制时,可按设计要求确定最大加载值。
条文说明
5.1.2 当为设计提供依据时,应加载到能判别单桩抗拔极限承载力为止,或加载到桩身材料设计强度限值,这里所说的限值对钢筋混凝土桩而言,实则为钢筋的强度设计值。考虑到可能出现承载力变异和钢筋受力不均等情况,最好适当增加试桩的配筋量。工程桩验收检测时,要求加载量不低于单桩竖向抗拔承载力特征值2倍旨在保证桩侧岩土阻力具有足够的安全储备。 桩侧岩土阻力的抗力分项系数比桩身混凝土要大、比钢材要大很多,因此时常出现设计对抗拔桩有裂缝控制要求时,抗裂验算给出的荷载可能小于或远小于单桩竖向抗拔承载力特征值的2倍,因此试验时的最大上拔荷载只能按设计要求确定。设计对桩上拔量有要求时也如此。
5.1.3 检测时的抗拔桩受力状态,应与设计规定的受力状态一致。
条文说明
5.1.3 与桩顶受竖向压力作用所发挥的桩侧(正)摩阻力相比,当桩顶受拔使桩身受拉时,由于桩周土中的垂直向主应力减小、桩身泊松效应等,将造成桩侧抗拔(负)摩阻力弱化。对于混凝土抗拔桩,当抗拔承载力相对较高且对抗裂有限制要求时,采用常规模式——桩顶拉拔受力状态(桩身受拉)的抗拔桩恐难设计。这一难题可通过无粘结预应力并在桩端用挤压锚锚固的方式予以解决,此时桩身完全处于受压状态且桩侧负摩阻力能得到提升。这种受力状态的抗拔桩承载力特征值检测,也可等价地采用在桩底上顶桩的方式(加载装置放在桩底)来实现,但若桩的设计受力状态为桩顶拉拔(桩身受拉)方式,仍采用桩底上顶的方式显然不正确,已有实例表明:同条件下的抗拔桩,桩底上顶时的承载力远高于桩顶拉拔时的承载力。
5.1.4 预估的最大试验荷载不得大于钢筋的设计强度。
条文说明
5.1.4 对于钢筋混凝土桩,最大试验荷载不得超过钢筋的强度设计值,以避免因钢筋拔断提前中止试验或出现安全事故。除此之外,建议检测单位尽量了解设计条件,如抗裂或裂缝宽度验算、作用和抗力的考虑(如抗浮桩设计时的设防水位、桩的浮重度、抗拔阻力取值等),这些因素将对抗拔桩的配筋和承载力取值产生影响。
5.2 设备仪器及其安装
5.2 设备仪器及其安装
5.2.1 试验加载设备宜采用液压千斤顶,加载方式应符合本规范第4.2.1条的规定。
条文说明
5.2.1 本条的要求基本同本规范第4.2.1条。因拔桩试验时千斤顶安放在反力架上面,当采用二台以上千斤顶加载时,应采取一定的安全措施,防止千斤顶倾倒或其他意外事故发生。
5.2.2 试验反力系统宜采用反力桩提供支座反力,反力桩可采用工程桩;也可根据现场情况,采用地基提供支座反力。反力架的承载力应具有1.2倍的安全系数,并应符合下列规定:
1 采用反力桩提供支座反力时,桩顶面应平整并具有足够的强度;
2 采用地基提供反力时,施加于地基的压应力不宜超过地基承载力特征值的1.5倍;反力梁的支点重心应与支座中心重合。
条文说明
5.2.2 当采用地基作反力时,两边支座处的地基强度应相近,且两边支座与地面的接触面积宜相同,避免加载过程中两边沉降不均造成试桩偏心受拉。
5.2.3 荷载测量及其仪器的技术要求应符合本规范第4.2.3条的规定。
5.2.4 上拔量测量及其仪器的技术要求应符合本规范第4.2.4条的规定。
5.2.5 上拔量测量点宜设置在桩顶以下不小于1倍桩径的桩身上,不得设置在受拉钢筋上;对于大直径灌注桩,可设置在钢筋笼内侧的桩顶面混凝土上。
条文说明
5.2.5 本条规定出于以下两种考虑:(1)桩顶上拔量测量平面必须在桩身位置,严禁在混凝土桩的受拉钢筋上设置位移观测点,避免因钢筋变形导致上拔量观测数据失实;(2)为防止混凝土桩保护层开裂对上拔量测试的影响,上拔量观测点应避开混凝土明显破裂区域设置。
5.2.6 试桩、支座和基准桩之间的中心距离,应符合表4.2.6的规定。
条文说明
5.2.6 本条虽等同采用本规范第4.2.6条,但应注意:在采用天然地基提供支座反力时,拔桩时的加载相当于给支座处地面加载,支座附近的地面会出现不同程度的沉降。荷载越大,地基下沉越大。为防止支座处地基沉降对基准桩产生影响,一是应使基准桩与支座、试桩各自之间的间距满足表4.2.6的规定,二是基准桩需打入试坑地面以下一定深度(一般不小于1m)。
5.2.7 测试桩侧抗拔侧阻力分布和桩端上拔位移时,桩身内传感器、桩端位移杆的埋设应符合本规范附录A的规定。
5.3 现场检测
5.3 现场检测
5.3.1 对混凝土灌注桩、有接头的预制桩,宜在拔桩试验前采用低应变法检测受检桩的桩身完整性。为设计提供依据的抗拔灌注桩,施工时应进行成孔质量检测,桩身中、下部位出现明显扩径的桩,不宜作为抗拔试验桩;对有接头的预制桩,应复核接头强度。
条文说明
5.3.1 本条包含以下四个方面内容:
1 在拔桩试验前,对混凝土灌注桩及有接头的预制桩采用低应变法检查桩身质量,目的是防止因试验桩自身质量问题而影响抗拔试验成果。
2 对抗拔试验的钻孔灌注桩在浇注混凝土前进行成孔检测,目的是查明桩身有无明显扩径现象或出现扩大头,因这类桩的抗拔承载力缺乏代表性,特别是扩大头桩及桩身中下部有明显扩径的桩,其抗拔极限承载力远远高于长度和桩径相同的非扩径桩,且相同荷载下的上拔量也有明显差别。
3 对有接头的预制桩应进行接头抗拉强度验算。对电焊接头的管桩除验算其主筋强度外,还要考虑主筋墩头的折减系数以及管节端板偏心受拉时的强度及稳定性。墩头折减系数可按有关规范取0.92,而端板强度的验算则比较复杂,可按经验取一个较为安全的系数。
4 对于管桩抗拔试验,存在预应力钢棒连接的问题,可通过在桩管中放置一定长度的钢筋笼并浇筑混凝土来解决。
5.3.2 单桩竖向抗拔静载试验应采用慢速维持荷载法。设计有要求时,可采用多循环加、卸载方法或恒载法。慢速维持荷载法的加、卸载分级以及桩顶上拔量的测读方式,应分别符合本规范第4.3.3条和第4.3.5条的规定。
条文说明
5.3.2 本条规定拔桩试验应采用慢速维持荷载法,其荷载分级、试验方法及稳定标准均同本规范第4.3.5~4.3.6条有关规定。考虑到拔桩过程中对桩身混凝土开裂情况观测较为困难,本次规范修订将“仔细观察桩身混凝土开裂情况”的要求取消。
5.3.3 当出现下列情况之一时,可终止加载:
1 在某级荷载作用下,桩顶上拔量大于前一级上拔荷载作用下的上拔量5倍;
2 按桩顶上拔量控制,累计桩顶上拔量超过100mm;
3 按钢筋抗拉强度控制,钢筋应力达到钢筋强度设计值,或某根钢筋拉断;
4 对于工程桩验收检测,达到设计或抗裂要求的最大上拔量或上拔荷载值。
条文说明
5.3.3 本条规定出现所列四种情况之一时,可终止加载。但若在较小荷载下出现某级荷载的桩顶上拔量大于前一级荷载下的5倍时,应综合分析原因,有条件加载时可继续加载,因混凝土桩当桩身出现多条环向裂缝后,桩顶位移可能会出现小的突变,而此时并非达到桩侧土的极限抗拔力。 对工程桩的验收检测,当设计对桩顶最大上拔量或裂缝控制有明确的荷载要求时,应按设计要求执行。
5.3.4 检测数据可按本规范表C.0.1的格式进行记录。
5.3.5 测试桩身应变和桩端上拔位移时,数据的测读时间宜符合本规范第4.3.5条的规定。
5.4 检测数据分析与判定
5.4 检测数据分析与判定
5.4.1 数据处理应绘制上拔荷载-桩顶上拔量(U-δ)关系曲线和桩顶上拔量-时间对数(δ-1gt)关系曲线。
条文说明
5.4.1 拔桩试验与压桩试验一样,一般应绘制U-δ曲线和δ-1gt曲线,但当上述二种曲线难以判别时,也可以辅以δ-1gU曲线或1gU-1gδ曲线,以确定拐点位置。
5.4.2 单桩竖向抗拔极限承载力应按下列方法确定:
1 根据上拔量随荷载变化的特征确定:对陡变型U-δ曲线,应取陡升起始点对应的荷载值;
2 根据上拔量随时间变化的特征确定:应取δ-1gt曲线斜率明显变陡或曲线尾部明显弯曲的前一级荷载值;
3 当在某级荷载下抗拔钢筋断裂时,应取前一级荷载值。
条文说明
5.4.2 本条前两款确定的抗拔极限承载力是土的极限抗拔阻力与桩(包括桩向上运动所带动的土体)的自重标准值两部分之和。第3款所指的“断裂”是因钢筋强度不够情况下的断裂。如果因抗拔钢筋受力不均匀,部分钢筋因受力太大而断裂,应视该桩试验无效并进行补充试验。不能将钢筋断裂前一级荷载作为极限荷载。
5.4.3 为设计提供依据的单桩竖向抗拔极限承载力,可按本规范第4.4.3条的统计方法确定。
5.4.4 当验收检测的受检桩在最大上拔荷载作用下,未出现本规范第5.4.2条第1~3款情况时,单桩竖向抗拔极限承载力应按下列情况对应的荷载值取值:
1 设计要求最大上拔量控制值对应的荷载;
2 施加的最大荷载;
3 钢筋应力达到设计强度值时对应的荷载。
条文说明
5.4.4 工程桩验收检测时,混凝土桩抗拔承载力可能受抗裂或钢筋强度制约,而土的抗拔阻力尚未充分发挥,只能取最大试验荷载或上拔量控制值所对应的荷载作为极限荷载,不能轻易外推。当然,在上拔量或抗裂要求不明确时,试验控制的最大加载值就是钢筋强度的设计值。
5.4.5 单桩竖向抗拔承载力特征值应按单桩竖向抗拔极限承载力的50%取值。当工程桩不允许带裂缝工作时,应取桩身开裂的前一级荷载作为单桩竖向抗拔承载力特征值,并与按极限荷载50%取值确定的承载力特征值相比,取低值。
5.4.6 检测报告除应包括本规范第3.5.3条规定的内容外,尚应包括下列内容:
1 临近受检桩桩位的代表性地质柱状图;
2 受检桩尺寸(灌注桩宜标明孔径曲线)及配筋情况;
3 加、卸载方法;
4 本规范第5.4.1条要求绘制的曲线;
5 承载力判定依据;
6 当进行抗拔侧阻力测试时,应包括传感器类型、安装位置、轴力计算方法、各级荷载作用下的桩身轴力曲线,各土层的抗拔极限侧阻力。
6 单桩水平静载试验
6.1 一般规定
6 单桩水平静载试验
6.1 一般规定
6.1.1 本方法适用于在桩顶自由的试验条件下,检测单桩的水平承载力,推定地基土水平抗力系数的比例系数。当桩身埋设有应变测量传感器时,可按本规范附录A测定桩身横截面的弯曲应变,计算桩身弯矩以及确定钢筋混凝土桩受拉区混凝土开裂时对应的水平荷载。
条文说明
6.1.1 桩的水平承载力静载试验除了桩顶自由的单桩试验外,还有带承台桩的水平静载试验(考虑承台的底面阻力和侧面抗力,以便充分反映桩基在水平力作用下的实际工作状况)、桩顶不能自由转动的不同约束条件及桩顶施加垂直荷载等试验方法,也有循环荷载的加载方法。这一切都可根据设计的特殊要求给予满足,并参考本方法进行。
桩的抗弯能力取决于桩和土的力学性能;桩的自由长度、抗弯刚度、桩宽、桩顶约束等因素。试验条件应尽可能和实际工作条件接近,将各种影响降低到最小的程度,使试验成果能尽量反映工程桩的实际情况。通常情况下,试验条件很难做到和工程桩的情况完全一致,此时应通过试验桩测得桩周土的地基反力特性,即地基土的水平抗力系数。它反映了桩在不同深度处桩侧土抗力和水平位移之间的关系,可视为土的固有特性。根据实际工程桩的情况(如不同桩顶约束、不同自由长度),用它确定土抗力大小,进而计算单桩的水平承载力和弯矩。因此,通过试验求得地基土的水平抗力系数具有更实际、更普遍的意义。
6.1.2 为设计提供依据的试验桩,宜加载至桩顶出现较大水平位移或桩身结构破坏;对工程桩抽样检测,可按设计要求的水平位移允许值控制加载。
6.2 设备仪器及其安装
6.2 设备仪器及其安装
6.2.1 水平推力加载设备宜采用卧式千斤顶,其加载能力不得小于最大试验加载量的1.2倍。
6.2.2 水平推力的反力可由相邻桩提供;当专门设置反力结构时,其承载能力和刚度应大于试验桩的1.2倍。
6.2.3 荷载测量及其仪器的技术要求应符合本规范第4.2.3条的规定;水平力作用点宜与实际工程的桩基承台底面标高一致;千斤顶和试验桩接触处应安置球形铰支座,千斤顶作用力应水平通过桩身轴线;当千斤顶与试桩接触面的混凝土不密实或不平整时,应对其进行补强或补平处理。
条文说明
6.2.3 若水平力作用点位置高于基桩承台底标高,试验时在相对承台底面处产生附加弯矩,影响测试结果,也不利于将试验成果根据实际桩顶的约束予以修正。球形铰支座的作用是在试验过程中,保持作用力的方向始终水平和通过桩轴线,不随桩的倾斜或扭转而改变。
6.2.4 桩的水平位移测量及其仪器的技术要求应符合本规范第4.2.4条的有关规定。在水平力作用平面的受检桩两侧应对称安装两个位移计;当测量桩顶转角时,尚应在水平力作用平面以上50cm的受检桩两侧对称安装两个位移计。
6.2.5 位移测量的基准点设置不应受试验和其他因素的影响,基准点应设置在与作用力方向垂直且与位移方向相反的试桩侧面,基准点与试桩净距不应小于1倍桩径。
6.2.6 测量桩身应变时,各测试断面的测量传感器应沿受力方向对称布置在远离中性轴的受拉和受压主筋上;埋设传感器的纵剖面与受力方向之间的夹角不得大于10°。地面下10倍桩径或桩宽的深度范围内,桩身的主要受力部分应加密测试断面,断面间距不宜超过1倍桩径;超过10倍桩径或桩宽的深度,测试断面间距可以加大。桩身内传感器的埋设应符合本规范附录A的规定。
条文说明
6.2.6 为保证各测试断面的应力最大值及相应弯矩的测量精度,试桩设置时应严格控制测点的纵剖面与力作用方向之间的偏差。对承受水平荷载的桩而言,桩的破坏是由于桩身弯矩引起的结构破坏。因此对中长桩而言,浅层土的性质起了重要作用,在这段范围内的弯矩变化也最大。为找出最大弯矩及其位置,应加密测试断面。
6.3 现场检测
6.3 现场检测
6.3.1 加载方法宜根据工程桩实际受力特性,选用单向多循环加载法或按本规范第4章规定的慢速维持荷载法。当对试桩桩身横截面弯曲应变进行测量时,宜采用维持荷载法。
条文说明
6.3.1 单向多循环加载法,主要是为了模拟实际结构的受力形式。由于结构物承受的实际荷载异常复杂,所以当需考虑长期水平荷载作用影响时,宜采用本规范第4章规定的慢速维持荷载法;由于单向多循环荷载的施加会给内力测试带来不稳定因素,为保证测试质量,建议采用本规范第4章规定的慢速或快速维持荷载法;此外水平试验桩通常以结构破坏为主,为缩短试验时间,也可参照港口工程桩基水平承载力试验方法,采用更短时间的快速维持荷载法。
6.3.2 试验加、卸载方式和水平位移测量,应符合下列规定:
1 单向多循环加载法的分级荷载,不应大于预估水平极限承载力或最大试验荷载的1/10;每级荷载施加后,恒载4min后,可测读水平位移,然后卸载至零,停2min测读残余水平位移,至此完成一个加卸载循环;如此循环5次,完成一级荷载的位移观测;试验不得中间停顿;
2 慢速维持荷载法的加、卸载分级以及水平位移的测读方式,应分别符合本规范第4.3.3条和第4.3.5条的规定。
6.3.3 当出现下列情况之一时,可终止加载:
1 桩身折断;
2 水平位移超过30mm~40mm;软土中的桩或大直径桩时可取高值;
3 水平位移达到设计要求的水平位移允许值。
条文说明
6.3.3 对抗弯性能较差的长桩或中长桩而言,承受水平荷载桩的破坏特征是弯曲破坏,即桩身发生折断,此时试验自然终止。在工程桩水平承载力验收检测中,终止加荷条件可按设计要求或标准规范规定的水平位移允许值控制。考虑软土的侧向约束能力较差以及大直径桩的抗弯刚度大等特点,终止加载的变形限可取上限值。
6.3.4 检测数据可按本规范附录C表C.0.2的格式进行记录。
6.3.5 测试桩身横截面弯曲应变时,数据的测读宜与水平位移测量同步。
6.4 检测数据分析与判定
6.4 检测数据分析与判定
6.4.1 检测数据的处理应符合下列规定:
1 采用单向多循环加载法时,应分别绘制水平力-时间-作用点位移(H-t-Y 0 )关系曲线和水平力-位移梯度(H-△Y 0 /△H)关系曲线;
2 采用慢速维持荷载法时,应分别绘制水平力-力作用点位移(H-Y 0 )关系曲线、水平力-位移梯度(H-△Y 0 /△H)关系曲线、力作用点位移-时间对数(Y 0 -1gt)关系曲线和水平力-力作用点位移双对数(1gH-1gY 0 )关系曲线;
3 绘制水平力、水平力作用点水平位移-地基土水平抗力系数的比例系数的关系曲线(H-m、Y 0 -m)。
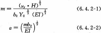
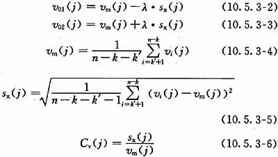
6.4.2 当桩顶自由且水平力作用位置位于地面处时;m值应按下列公式确定:

式中:m——地基土水平抗力系数的比例系数(kN/m 4 );
α——桩的水平变形系数(m -1 );
ν y ——桩顶水平位移系数,由式(6.4.2-2)试算α,当αh≥4.0时(h为桩的入土深度),ν y =2.441;
H——作用于地面的水平力(kN);
Y 0 ——水平力作用点的水平位移(m);
EI——桩身抗弯刚度(kN·m 2 );其中E为桩身材料弹性模量,I为桩身换算截面惯性矩;
b 0 ——桩身计算宽度(m);对于圆形桩:当桩径D≤1m时,b 0 =0.9(1.5D+0.5);当桩径D>1m时,
b 0 =0.9(D+1);对于矩形桩,当边宽B≤1m时,b 0 =1.5B+0.5,当边宽B>1m时,b 0 =B+1。
条文说明
6.4.2 本条中的地基土水平抗力系数随深度增长的比例系数m值的计算公式仅适用于水平力作用点至试坑地面的桩自由长度为零时的情况。按桩、土相对刚度不同,水平荷载作用下的桩-土体系有两种工作状态和破坏机理,一种是“刚性短桩”,因转动或平移而破坏,相当于αh<2.5时的情况;另一种是工程中常见的“弹性长桩”,桩身产生挠曲变形,桩下段嵌固于土中不能转动,即本条中αh≥4.0的情况。在2.5≤αh<4.0范围内,称为“有限长度的中长桩”。《建筑桩基技术规范》JGJ 94对中长桩的νy变化给出了具体数值(见表2)。因此,在按式(6.4.2-1)计算m值时,应先试算αh值,以确定αh是否大于或等于4.0,若在2.5~4.0范围以内,应调整νy值重新计算m值(有些行业标准不考虑)。当αh<2.5时,式(6.4.2-1)不适用。 表2 桩顶水平位移系数νy
注:当αh>4.0时取αh=4.0。 试验得到的地基土水平抗力系数的比例系数m不是一个常量,而是随地面水平位移及荷载而变化的曲线。
6.4.3 对进行桩身横截面弯曲应变测定的试验,应绘制下列曲线,且应列表给出相应的数据:
1 各级水平力作用下的桩身弯矩分布图;
2 水平力-最大弯矩截面钢筋拉应力(H-σ s )曲线。
6.4.4 单桩的水平临界荷载可按下列方法综合确定:
1 取单向多循环加载法时的H-t-Y 0 曲线或慢速维持荷载法时的H-Y 0 曲线出现拐点的前一级水平荷载值;
2 取H-△Y 0 /△H曲线或1gH-1gY 0 曲线上第一拐点对应的水平荷载值;
3 取H-σ s 曲线第一拐点对应的水平荷载值。
条文说明
6.4.4 对于混凝土长桩或中长桩,随着水平荷载的增加,桩侧土体的塑性区自上而下逐渐开展扩大,最大弯矩断面下移,最后形成桩身结构的破坏。所测水平临界荷载Hcr为桩身产生开裂前所对应的水平荷载。因为只有混凝土桩才会产生开裂,故只有混凝土桩才有临界荷载。
6.4.5 单桩水平极限承载力可按下列方法确定:
1 取单向多循环加载法时的H-t-Y 0 曲线产生明显陡降的前一级,或慢速维持荷载法时的H-Y 0 曲线发生明显陡降的起始点对应的水平荷载值;
2 取慢速维持荷载法时的Y 0 -1gt曲线尾部出现明显弯曲的前一级水平荷载值;
3 取H-△Y 0 /△H曲线或1gH-1gY 0 曲线上第二拐点对应的水平荷载值;
4 取桩身折断或受拉钢筋屈服时的前一级水平荷载值。
条文说明
6.4.5 单桩水平极限承载力是对应于桩身折断或桩身钢筋应力达到屈服时的前一级水平荷载。
6.4.6 为设计提供依据的水平极限承载力和水平临界荷载,可按本规范第4.4.3条的统计方法确定。
6.4.7 单桩水平承载力特征值的确定应符合下列规定:
1 当桩身不允许开裂或灌注桩的桩身配筋率小于0.65%时,可取水平临界荷载的0.75倍作为单桩水平承载力特征值。
2 对钢筋混凝土预制桩、钢桩和桩身配筋率不小于0.65%的灌注桩,可取设计桩顶标高处水平位移所对应荷载的0.75倍作为单桩水平承载力特征值;水平位移可按下列规定取值:
1)对水平位移敏感的建筑物取6mm;
2)对水平位移不敏感的建筑物取10mm。
3 取设计要求的水平允许位移对应的荷载作为单桩水平承载力特征值,且应满足桩身抗裂要求。
条文说明
6.4.7 单桩水平承载力特征值除与桩的材料强度、截面刚度、入土深度、土质条件、桩顶水平位移允许值有关外,还与桩顶边界条件(嵌固情况和桩顶竖向荷载大小)有关。由于建筑工程基桩的桩顶嵌入承台深度通常较浅,桩与承台连接的实际约束条件介于固接与铰接之间,这种连接相对于桩顶完全自由时可减少桩顶位移,相对于桩顶完全固接时可降低桩顶约束弯矩并重新分配桩身弯矩。如果桩顶完全固接,水平承载力按位移控制时,是桩顶自由时的2.60倍;对较低配筋率的灌注桩按桩身强度(开裂)控制时,由于桩顶弯矩的增加,水平临界承载力是桩顶自由时的0.83倍。如果考虑桩顶竖向荷载作用,混凝土桩的水平承载力将会产生变化,桩顶荷载是压力,其水平承载力增加,反之减小。 桩顶自由的单桩水平试验得到的承载力和弯矩仅代表试桩条件的情况,要得到符合实际工程桩嵌固条件的受力特性,需将试桩结果转化,而求得地基土水平抗力系数是实现这一转化的关键。考虑到水平荷载-位移关系的非线性且m值随荷载或位移增加而减小,有必要给出H-m和Y0-m曲线并按以下考虑确定m值:
1 可按设计给出的实际荷载或桩顶位移确定m值;
2 设计未作具体规定的,可取水平承载力特征值对应的m值。
与竖向抗压、抗拔桩不同,混凝土桩(除高配筋率桩外)在水平荷载作用下的破坏模式一般为弯曲破坏,极限承载力由桩身强度控制。在单桩水平承载力特征值Ha的确定上,不采用水平极限承载力除以某一固定安全系数的做法,而是把桩身强度、开裂或允许位移等条件作为控制因素。也正是因为水平承载桩的承载能力极限状态主要受桩身强度(抗弯刚度)制约,通过水平静载试验给出的极限承载力和极限弯矩对强度控制设计非常必要。
抗裂要求不仅涉及桩身抗弯刚度,也涉及桩的耐久性。虽然本条第3款可按设计要求的水平允许位移确定水平承载力,但根据现行国家标准《混凝土结构设计规范》GB 50010,只有裂缝控制等级为三级的构件,才允许出现裂缝,且桩所处的环境类别至少是二级以上(含二级),裂缝宽度限值为0.2mm。因此,当裂缝控制等级为一、二级时,水平承载力特征值就不应超过水平临界荷载。
6.4.8 检测报告除应包括本规范第3.5.3条规定的内容外,尚应包括下列内容:
1 受检桩桩位对应的地质柱状图;
2 受检桩的截面尺寸及配筋情况;
3 加、卸载方法;
4 本规范第6.4.1条要求绘制的曲线;
5 承载力判定依据;
6 当进行钢筋应力测试并由此计算桩身弯矩时,应包括传感器类型、安装位置、内力计算方法以及本规范第6.4.2条要求的计算结果。
7 钻芯法
7.1 一般规定
7 钻 芯 法
7.1 一般规定
7.1.1 本方法适用于检测混凝土灌注桩的桩长、桩身混凝土强度、桩底沉渣厚度和桩身完整性。当采用本方法判定或鉴别桩端持力层岩土性状时,钻探深度应满足设计要求。
条文说明
7.1.1 钻芯法是检测钻(冲)孔、人工挖孔等现浇混凝土灌注桩的成桩质量的一种有效手段,不受场地条件的限制,特别适用于大直径混凝土灌注桩的成桩质量检测。钻芯法检测的主要目的有四个:
1 检测桩身混凝土质量情况,如桩身混凝土胶结状况、有无气孔、松散或断桩等,桩身混凝土强度是否符合设计要求;
2 桩底沉渣厚度是否符合设计或规范的要求;
3 桩端持力层的岩土性状(强度)和厚度是否符合设计或规范要求;
4 施工记录桩长是否真实。 受检桩长径比较大时,成孔的垂直度和钻芯孔的垂直度很难控制,钻芯孔容易偏离桩身,故要求受检桩桩径不宜小于800mm、长径比不宜大于30。 桩端持力层岩土性状的准确判断直接关系到受检桩的使用安全。《建筑地基基础设计规范》GB 50007规定:嵌岩灌注桩要求按端承桩设计,桩端以下3倍桩径范围内无软弱夹层、断裂破碎带和洞隙分布,在桩底应力扩散范围内无岩体临空面。虽然施工前已进行岩土工程勘察,但有时钻孔数量有限,对较复杂的地基条件,很难全面弄清岩石、土层的分布情况。因此,应对桩端持力层进行足够深度的钻探。
7.1.2 每根受检桩的钻芯孔数和钻孔位置,应符合下列规定:
1 桩径小于1.2m的桩的钻孔数量可为1个~2个孔,桩径为1.2m~1.6m的桩的钻孔数量宜为2个孔,桩径大于1.6m的桩的钻孔数量宜为3个孔;
2 当钻芯孔为1个时,宜在距桩中心10cm~15cm的位置开孔;当钻芯孔为2个或2个以上时,开孔位置宜在距桩中心0.15D~0.25D范围内均匀对称布置;
3 对桩端持力层的钻探,每根受检桩不应少于1个孔。
条文说明
7.1.2 当钻芯孔为一个时,规定宜在距桩中心10cm~15cm的位置开孔,一是考虑导管附近的混凝土质量相对较差、不具有代表性,二是方便验证时的钻孔位置布置。 为准确确定桩的中心点,桩头宜开挖裸露;来不及开挖或不便开挖的桩,应采用全站仪或经纬仪确定桩位中心。
7.1.3 当选择钻芯法对桩身质量、桩底沉渣、桩端持力层进行验证检测时,受检桩的钻芯孔数可为1孔。
条文说明
7.1.3 当采用钻芯法对桩长、桩身混凝土强度、桩身局部缺陷、桩底沉渣、桩端持力层进行验证检测时,应根据具体验证的目的进行检测,不需要按本规范第7.6节进行单桩全面评价。如验证桩身混凝土强度,可将桩作为单根构件,在桩顶浅部对多桩(或单桩多孔)钻取混凝土芯样,且当抽检桩的代表性和数量符合混凝土结构检测标准的相关要求时,可推定基桩的检测批次混凝土强度。如验证桩身局部缺陷,钻进深度可控制为缺陷以下1m~2m处,对芯样混凝土质量进行评价,并应进行芯样试件抗压强度试验。
7.2 设备
7.2 设 备
7.2.1 钻取芯样宜采用液压操纵的高速钻机,并配置适宜的水泵、孔口管、扩孔器、卡簧、扶正稳定器和可捞取松软渣样的钻具。
条文说明
7.2.1 钻机宜采用岩芯钻探的液压高速钻机,并配有相应的钻塔和牢固的底座,机械技术性能良好,不得使用立轴旷动过大的钻机。钻杆应顺直,直径宜为50mm。 钻机设备参数应满足:额定最高转速不低于790r/min;转速调节范围不少于4档;额定配用压力不低于1.5MPa。 水泵的排水量宜为50L/min~160L/min,泵压宜为1.0MPa~2.0MPa。 孔口管、扶正稳定器(又称导向器)及可捞取松软渣样的钻具应根据需要选用。桩较长时,应使用扶正稳定器确保钻芯孔的垂直度。桩顶面与钻机塔座距离大于2m时,宜安装孔口管,孔口管应垂直且牢固。
7.2.2 基桩桩身混凝土钻芯检测,应采用单动双管钻具钻取芯样,严禁使用单动单管钻具。
条文说明
7.2.2 钻取芯样的真实程度与所用钻具有很大关系,进而直接影响桩身完整性的类别判定。为提高钻取桩身混凝土芯样的完整性,钻芯检测用钻具应为单动双管钻具,明确禁止使用单动单管钻具。
7.2.3 钻头应根据混凝土设计强度等级选用合适粒度、浓度、胎体硬度的金刚石钻头,且外径不宜小于100mm。
条文说明
7.2.3 为了获得比较真实的芯样,要求钻芯法检测应采用金刚石钻头,钻头胎体不得有肉眼可见的裂纹、缺边、少角喇叭形磨损。此外,还需注意金刚石钻头、扩孔器与卡簧的配合和使用的细节:金刚石钻头与岩芯管之间必须安有扩孔器,用以修正孔壁;扩孔器外径应比钻头外径大0.3mm~0.5mm,卡簧内径应比钻头内径小0.3mm左右;金刚石钻头和扩孔器应按外径先大后小的排列顺序使用,同时考虑钻头内径小的先用,内径大的后用。 芯样试件直径不宜小于骨料最大粒径的3倍,在任何情况下不得小于骨料最大粒径的2倍,否则试件强度的离散性较大。目前,钻头外径有76mm、91mm、101mm、110mm、130mm几种规格,从经济合理的角度综合考虑,应选用外径为101mm和110mm的钻头;当受检桩采用商品混凝土、骨料最大粒径小于30mm时,可选用外径为91mm的钻头;如果不检测混凝土强度,可选用外径为76mm的钻头。
7.2.4 锯切芯样的锯切机应具有冷却系统和夹紧固定装置。芯样试件端面的补平器和磨平机,应满足芯样制作的要求。
条文说明
7.2.4 芯样制作分两部分,一部分是锯切芯样,另一部分是对芯样端部进行处理。锯切芯样时应尽可能保证芯样不缺角、两端面平行,可采用单面锯或双面锯。当芯样端部不满足要求时,可采取补平或磨平方式进行处理。具体要求见本规范附录E。
7.3 现场检测
7.3 现场检测
7.3.1 钻机设备安装必须周正、稳固、底座水平。钻机在钻芯过程中不得发生倾斜、移位,钻芯孔垂直度偏差不得大于0.5%。
条文说明
7.3.1 钻芯设备应精心安装,钻机立轴中心、天轮中心(天车前沿切点)与孔口中心必须在同一铅垂线上。设备安装后,应进行试运转,在确认正常后方能开钻。钻进初始阶段应对钻机立轴进行校正,及时纠正立轴偏差,确保钻芯过程不发生倾斜、移位。 当出现钻芯孔与桩体偏离时,应立即停机记录,分析原因。当有争议时,可进行钻孔测斜,以判断是受检桩倾斜超过规范要求还是钻芯孔倾斜超过规定要求。
7.3.2 每回次钻孔进尺宜控制在1.5m内;钻至桩底时,宜采取减压、慢速钻进、干钻等适宜的方法和工艺,钻取沉渣并测定沉渣厚度;对桩底强风化岩层或土层,可采用标准贯入试验、动力触探等方法对桩端持力层的岩土性状进行鉴别。
条文说明
7.3.2 因为钻进过程中钻孔内循环水流不会中断,因此可根据回水含砂量及颜色,发现钻进中的异常情况,调整钻进速度,判断是否钻至桩端持力层。钻至桩底时,为检测桩底沉渣或虚土厚度,应采用减压、慢速钻进。若遇钻具突降,应立即停钻,及时测量机上余尺,准确记录孔深及有关情况。 当持力层为中、微风化岩石时,可将桩底0.5m左右的混凝土芯样、0.5m左右的持力层以及沉渣纳入同一回次。当持力层为强风化岩层或土层时,可采用合金钢钻头干钻的方法和工艺钻取沉渣并测定沉渣厚度。 对中、微风化岩的桩端持力层,可直接钻取岩芯鉴别;对强风化岩层或土层,可采用动力触探、标准贯入试验等方法鉴别试验宜在距桩底1m内进行。
7.3.3 钻取的芯样应按回次顺序放进芯样箱中;钻机操作人员应按本规范表D.0.1-1的格式记录钻进情况和钻进异常情况,对芯样质量进行初步描述;检测人员应按本规范表D.0.1-2的格式对芯样混凝土,桩底沉渣以及桩端持力层详细编录。
条文说明
7.3.3 芯样取出后,钻机操作人员应由上而下按回次顺序放进芯样箱中,芯样侧表面上应清晰标明回次数、块号、本回次总块数(宜写成带分数的形式,如表示第2回次共有5块芯样,本块芯样为第3块)。及时记录孔号、回次数、起至深度、块数、总块数、芯样质量的初步描述及钻进异常情况。 有条件时,可采用孔内摄像辅助判断混凝土质量。 检测人员对桩身混凝土芯样的描述包括桩身混凝土钻进深度,芯样连续性、完整性、胶结情况、表面光滑情况、断口吻合程度、混凝土芯样是否为柱状、骨料大小分布情况,气孔、蜂窝麻面、沟槽、破碎、夹泥、松散的情况,以及取样编号和取样位置。 检测人员对持力层的描述包括持力层钻进深度,岩土名称、芯样颜色、结构构造、裂隙发育程度、坚硬及风化程度,以及取样编号和取样位置,或动力触探、标准贯入试验位置和结果。分层岩层应分别描述。
7.3.4 钻芯结束后,应对芯样和钻探标示牌的全貌进行拍照。
条文说明
7.3.4 芯样和钻探标示牌的内容包括:工程名称、桩号、钻芯孔号、芯样试件采取位置、桩长、孔深、检测单位名称等,可将一部分内容在芯样上标识,另一部分标识在指示牌上。对全貌拍完彩色照片后;再截取芯样试件。取样完毕剩余的芯样宜移交委托单位妥善保存。
7.3.5 当单桩质量评价满足设计要求时,应从钻芯孔孔底往上用水泥浆回灌封闭;当单桩质量评价不满足设计要求时,应封存钻芯孔,留待处理。
7.4 芯样试件截取与加工
7.4 芯样试件截取与加工
7.4.1 截取混凝土抗压芯样试件应符合下列规定:
1 当桩长小于10m时,每孔应截取2组芯样;当桩长为10m~30m时,每孔应截取3组芯样,当桩长大于30m时,每孔应截取芯样不少于4组;
2 上部芯样位置距桩顶设计标高不宜大于1倍桩径或超过2m,下部芯样位置距桩底不宜大于1倍桩径或超过2m,中间芯样宜等间距截取;
3 缺陷位置能取样时,应截取1组芯样进行混凝土抗压试验;
4 同一基桩的钻芯孔数大于1个,且某一孔在某深度存在缺陷时,应在其他孔的该深度处,截取1组芯样进行混凝土抗压强度试验。
条文说明
7.4.1 以概率论为基础、用可靠性指标度量桩基的可靠度是比较科学的评价基桩强度的方法,即在钻芯法受检桩的芯样中截取一批芯样试件进行抗压强度试验,采用统计的方法判断混凝土强度是否满足设计要求。但在应用上存在以下一些困难:一是由于基桩施工的特殊性,评价单根受检桩的混凝土强度比评价整个桩基工程的混凝土强度更合理。二是混凝土桩应作为受力构件考虑,薄弱部位的强度(结构承载能力)能否满足使用要求,直接关系到结构安全。综合多种因素考虑,规定按上、中、下截取芯样试件。 一般来说,蜂窝麻面、沟槽等缺陷部位的强度较正常胶结的混凝土芯样强度低,无论是严把质量关,尽可能查明质量隐患,还是便于设计人员进行结构承载力验算,都有必要对缺陷部位的芯样进行取样试验。因此,缺陷位置能取样试验时,应截取一组芯样进行混凝土抗压试验。 如果同一基桩的钻芯孔数大于一个,其中一孔在某深度存在蜂窝麻面、沟槽、空洞等缺陷,芯样试件强度可能不满足设计要求,按本规范第7.6.1条的多孔强度计算原则,在其他孔的相同深度部位取样进行抗压试验是非常必要的,在保证结构承载能力的前提下,减少加固处理费用。
7.4.2 当桩端持力层为中、微风化岩层且岩芯可制作成试件时,应在接近桩底部位1m内截取岩石芯样;遇分层岩性时,宜在各分层岩面取样。岩石芯样的加工和测量应符合本规范附录E的规定。
条文说明
7.4.2 由于单个岩石芯样截取的长度至少是其直径的2倍,通常在桩底以下1m范围内很难截取3个完整芯样,因此本次修订取消了原规范截取岩石芯样试件数量为“一组3个”的要求。
为便于设计人员对端承力的验算,提供分层岩性的各层强度值是必要的。为保证岩石天然状态,拟截取的岩石芯样应及时密封包装后浸泡在水中,避免暴晒雨淋,特别是软岩。
7.4.3 每组混凝土芯样应制作3个抗压试件。混凝土芯样试件的加工和测量应符合本规范附录E的规定。
条文说明
7.4.3 对于基桩混凝土芯样来说,芯样试件可选择的余地较大,因此,为了避免试件强度的离散性较大,在选取芯样试件时,应观察芯样侧表面的表观混凝土粗骨料粒径,确保芯样试件平均直径不小于2倍表观混凝土粗骨料最大粒径。 为了避免再对芯样试件高径比进行修正,规定有效芯样试件的高度不得小于0.95d且不得大于1.05d时(d为芯样试件平均直径)。 附录E规定平均直径测量精确至0.5mm;沿试件高度任一直径与平均直径相差达2mm以上时不得用作抗压强度试验。这里作以下几点说明:
1 一方面要求直径测量误差小于1mm,另一方面允许不同高度处的直径相差大于1mm,增大了芯样试件强度的不确定度。考虑到钻芯过程对芯样直径的影响是强度低的地方直径偏小,而抗压试验时直径偏小的地方容易破坏,因此,在测量芯样平均直径时宜选择表观直径偏小的芯样部位。
2 允许沿试件高度任一直径与平均直径相差达2mm,极端情况下,芯样试件的最大直径与最小直径相差可达4mm,此时固然满足规范规定,但是,当芯样侧表面有明显波浪状时,应检查钻机的性能,钻头、扩孔器、卡簧是否合理配置,机座是否安装稳固,钻机立轴是否摆动过大,提高钻机操作人员的技术水平。
3 在诸多因素中,芯样试件端面的平整度是一个重要的因素,容易被检测人员忽视,应引起足够的重视。
7.5 芯样试件抗压强度试验
7.5 芯样试件抗压强度试验
7.5.1 混凝土芯样试件的抗压强度试验应按现行国家标准《普通混凝土力学性能试验方法标准》GB/T 50081执行。
条文说明
7.5.1 芯样试件抗压破坏时的最大压力值可能与混凝土标准试件明显不同,芯样试件抗压强度试验时应合理选择压力机的量程和加荷速率,保证试验精度。 根据桩的工作环境状态,试件宜在20±5℃的清水中浸泡一段时间后进行抗压强度试验。但考虑到钻芯过程中诸因素影响均使芯样试件强度降低,同时也为方便起见,允许芯样试件加工完毕后,立即进行抗压强度试验。
7.5.2 在混凝土芯样试件抗压强度试验中,当发现试件内混凝土粗骨料最大粒径大于0.5倍芯样试件平均直径,且强度值异常时,该试件的强度值不得参与统计平均。
条文说明
7.5.2 当出现截取芯样未能制作成试件;芯样试件平均直径小于2倍试件内混凝土粗骨料最大粒径时,应重新截取芯样试件进行抗压强度试验。条件不具备时,可将另外两个强度的平均值作为该组混凝土芯样试件抗压强度值。在报告中应对有关情况予以说明。
7.5.3 混凝土芯样试件抗压强度应按下式计算:

式中:f cor ——混凝土芯样试件抗压强度(MPa),精确至0.1MPa;
P——芯样试件抗压试验测得的破坏荷载(N);
d——芯样试件的平均直径(mm)。
7.5.4 混凝土芯样试件抗压强度可根据本地区的强度折算系数进行修正。
条文说明
7.5.3、7.5.4 混凝土芯样试件的强度值不等于在施工现场取样、成型、同条件养护试块的抗压强度,也不等于标准养护28天的试块抗压强度。 芯样试件抗压强度与同条件试块或标养试块抗压强度之间存在差别,其原因主要是成型工艺和养护条件的不同,为了综合考虑上述差别以及混凝土徐变、持续持荷等方面的影响,《混凝土结构设计规范》GB 50010在设计强度取值时采用了0.88的折减系数。 大部分实测数据表明桩身混凝土芯样抗压强度低于控制混凝土材料质量的立方体试件抗压强度,但降低幅度存在较大的波动范围,也有一些实测数据表明桩身混凝土芯样抗压强度并不低于控制混凝土材料质量的立方体试件抗压强度。广东有137组数据表明在桩身混凝土中的钻芯强度与立方体强度的比值的统计平均值为0.749。为考察小芯样取芯的离散性(如尺寸效应、机械扰动等),广东、福建、河南等地6家单位在标准立方体试块中钻取芯样进行抗压强度试验(强度等级C15~C50,芯样直径68mm~100mm,共184组),目的是排除龄期、振捣和养护条件的差异。结果表明:芯样试件强度与立方体强度的比值分别为0.689、0.848、0.895、0.915、1.106、1.106,平均为0.943,其中有两单位得出了68;80芯样强度与100芯样强度相比均接近于1.0的结论。当排除龄期和养护条件(温度、湿度)差异时,尽管普遍认同芯样强度低于立方体强度,尤其是在桩身混凝土中钻芯更是如此,但上述结果表明,尚不能采用一个统一的折算系数来反映芯样强度与立方体强度的差异。作为行业标准,为了安全起见,本规范不推荐采用某一个统一的折算系数,对芯样强度进行修正。 考虑到我国幅员辽阔,在桩身混凝土材料及配比、成孔成桩工艺、施工水平等方面,各地存在较多差异,本规范第7.5.4条允许有条件的省、市、地区,通过详尽的对比试验并报当地主管部门审批,在地方标准或相关的规范性文件中提供有地区代表性的芯样强度折算系数。
7.5.5 桩底岩芯单轴抗压强度试验以及岩石单轴抗压强度标准值的确定,宜按现行国家标准《建筑地基基础设计规范》GB 50007执行。
条文说明
7.5.5 与工程地质钻探相比,桩端持力层钻芯的主要目的是判断或鉴别桩端持力层岩土性状,因单桩钻芯所能截取的完整岩芯数量有限,当岩石芯样单轴抗压强度试验仅仅是配合判断桩端持力层岩性时,检测报告中可不给出岩石单轴抗压强度标准值,只给出单个芯样单轴抗压强度检测值。 按岩土工程勘察的做法和现行国家标准《建筑地基基础设计规范》GB 50007的相关规定,需要在岩石的地质年代、名称、风化程度、矿物成分、结构、构造相同条件下至少钻取6个以上完整岩石芯样,才有可能确定岩石单轴抗压强度标准值。显然这项工作要通过多桩、多孔钻芯来完成。 岩土工程勘察提供的岩石单轴抗压强度值一般是在岩石饱和状态下得到的,因为水下成孔、灌注施工会不同程度造成岩石强度下降,故采用饱和强度是安全的做法。基桩钻芯法钻取岩芯相当于成桩后的验收检验,正常情况下应尽量使岩芯保持钻芯时的“天然”含水状态。只有明确要求提供岩石饱和单轴抗压强度标准值时,岩石芯样试件应在清水中浸泡不少于12h后进行试验。
7.6 检测数据分析与判定
7.6 检测数据分析与判定
7.6.1 每根受检桩混凝土芯样试件抗压强度的确定应符合下列规定:
1 取一组3块试件强度值的平均值,作为该组混凝土芯样试件抗压强度检测值;
2 同一受检桩同一深度部位有两组或两组以上混凝土芯样试件抗压强度检测值时,取其平均值作为该桩该深度处混凝土芯样试件抗压强度检测值;
3 取同一受检桩不同深度位置的混凝土芯样试件抗压强度检测值中的最小值,作为该桩混凝土芯样试件抗压强度检测值。
条文说明
7.6.1 混凝土芯样试件抗压强度的离散性比混凝土标准试件要大,通过对几千组数据进行验算,证实取平均值作为检测值的方法可行。 同一根桩有两个或两个以上钻芯孔时,应综合考虑各孔芯样强度来评定桩身承载力。取同一深度部位各孔芯样试件抗压强度(每孔取一组混凝土芯样试件抗压强度检测值参与平均)的平均值作为该深度的混凝土芯样试件抗压强度检测值,是一种简便实用方法。 虽然桩身轴力上大下小,但从设计角度考虑,桩身承载力受最薄弱部位的混凝土强度控制。因此,规定受检桩中不同深度位置的混凝土芯样试件抗压强度检测值中的最小值为该桩混凝土芯样试件抗压强度检测值。
7.6.2 桩端持力层性状应根据持力层芯样特征,并结合岩石芯样单轴抗压强度检测值、动力触探或标准贯入试验结果,进行综合判定或鉴别。
条文说明
7.6.2 检测人员可能不熟悉岩土性状的描述和判定,建议有工程地质专业人员参与。
7.6.3 桩身完整性类别应结合钻芯孔数、现场混凝土芯样特征、芯样试件抗压强度试验结果,按本规范表3.5.1和表7.6.3所列特征进行综合判定。
当混凝土出现分层现象时,宜截取分层部位的芯样进行抗压强度试验。当混凝土抗压强度满足设计要求时,可判为Ⅱ类;当混凝土抗压强度不满足设计要求或不能制作成芯样试件时,应判为Ⅳ类。
多于三个钻芯孔的基桩桩身完整性可类比表7.6.3的三孔特征进行判定。
表7.6.3 桩身完整性判定



注:当上一缺陷的底部位置标高与下一缺陷的顶部位置标高的高差小于30cm时,可认定两缺陷处于同一深度部位。
条文说明
7.6.3 与2003版规范相比,在本次修订中,对同一受检桩钻取两孔或三孔芯样的桩身完整性判定做了较大调整:一是强调同一深度部位的不同钻孔的芯样质量的关联性,二是强调局部芯样强度检测值对桩身完整性判定的影响。虽然桩身完整性和混凝土芯样试件抗压强度是两个不同的概念,本规范第2.1.2条和第3.5.1条的条文说明已做了说明。但是为了充分利用钻芯法的有效检测信息、更客观地评价成桩质量,本规范强调完整性判断应根据混凝土芯样表观特征和缺陷分布情况并结合局部芯样强度检测值进行综合判定,关注缺陷部位能否取样制作成芯样试件以及缺陷部位的芯样试件强度的高低。当混凝土芯样的外观完整性介于Ⅱ类和Ⅲ类之间时,利用出现缺陷部位的“混凝土芯样试件抗压强度检测值是否满足设计要求”这一辅助手段,加以区分。 为便于理解,以三孔桩身完整性Ⅱ类特征之3款为例,做两点说明:(1)“且在另两孔同一深度部位的局部混凝土芯样的外观判定完整性类别为Ⅰ类或Ⅱ类”的表述强调了将同一深度部位的局部混凝土芯样质量单列出来进行评价,确定某深度局部范围内的混凝土质量有没有达到完整性Ⅰ类或Ⅱ类判定条件,这里的“Ⅰ类或Ⅱ类”涵盖了芯样完好、芯样有蜂窝等轻微缺陷等情况。(2)对“否则应判为Ⅲ类或Ⅳ类”的理解,例如符合三孔桩身完整性Ⅳ类特征之4款条件,完整性应判为Ⅳ类;而既非Ⅱ类又非Ⅳ类者,应判为Ⅲ类。 桩长检测精度应考虑桩底锅底形的影响。按连续性涵义,实测桩长小于施工记录桩长应判为Ⅳ类。 当存在水平裂缝时,可结合水平荷载设计要求和水平裂缝深度进行综合判断:当桩受水平荷载较大且水平裂缝位于桩上部时应判为Ⅳ类桩;当设计对水平承载力无要求且水平裂缝位于桩下部时可判为Ⅱ类桩;其他情况可判为Ⅲ类。
7.6.4 成桩质量评价应按单根受检桩进行。当出现下列情况之一时,应判定该受检桩不满足设计要求:
1 混凝土芯样试件抗压强度检测值小于混凝土设计强度等级;
2 桩长、桩底沉渣厚度不满足设计要求;
3 桩底持力层岩土性状(强度)或厚度不满足设计要求。当桩基设计资料未作具体规定时,应按国家现行标准判定成桩质量。
条文说明
7.6.4 本规范第8~10章检测方法都能判定桩身完整性类别,限于目前测试技术水平,尚不能将桩身混凝土强度是否满足设计要求与桩身完整性类别直接联系起来,虽然钻芯法能检测桩身混凝土强度,但并非是本规范第3.5.1条的要求。此外,钻芯法的桩身完整性Ⅰ类判据中,也未考虑混凝土强度问题,因此,如没有对芯样抗压强度检测的要求,有可能出现完整性为Ⅰ类但混凝土强度却不满足设计要求。 判定受检桩是否满足设计要求除考虑桩长和芯样试件抗压强度检测值外,当设计有要求时,应判断桩底的沉渣厚度、持力层岩土性状(强度)或厚度是否满足设计要求,否则,应判断是否满足相关规范的要求。另外,钻芯法与本规范第8~10章的检测方法不同,属于直接法,桩身完整性类别是通过芯样及其外表特征观察得到的。根据表7.6.3关于Ⅳ类桩判据的描述,Ⅳ类桩肯定存在局部的且影响桩身结构承载力的低质混凝土,即桩身混凝土强度不满足设计要求。因此,对于完整性评价为Ⅳ类的桩,可以明确该桩不满足设计要求。
7.6.5 检测报告除应包括本规范第3.5.3条规定的内容外,尚应包括下列内容:
1 钻芯设备情况;
2 检测桩数、钻孔数量、开孔位置,架空高度、混凝土芯进尺、持力层进尺、总进尺,混凝土试件组数、岩石试件个数、圆锥动力触探或标准贯入试验结果;
3 按本规范表D.0.1-3格式编制的每孔柱状图;
4 芯样单轴抗压强度试验结果;
5 芯样彩色照片;
6 异常情况说明。
8 低应变法
8.1 一般规定
8 低应变法
8.1 一般规定
8.1.1 本方法适用于检测混凝土桩的桩身完整性,判定桩身缺陷的程度及位置。桩的有效检测桩长范围应通过现场试验确定。
条文说明
8.1.1 目前国内外普遍采用瞬态冲击方式,通过实测桩顶加速度或速度响应时域曲线,籍一维波动理论分析来判定基桩的桩身完整性,这种方法称之为反射波法(或瞬态时域分析法)。目前国内几乎所有检测机构采用这种方法,所用动测仪器一般都具有傅立叶变换功能,可通过速度幅频曲线辅助分析判定桩身完整性,即所谓瞬态频域分析法;也有些动测仪器还具备实测锤击力并对其进行傅立叶变换的功能,进而得到导纳曲线,这称之为瞬态机械阻抗法。当然,采用稳态激振方式直接测得导纳曲线,则称之为稳态机械阻抗法。无论瞬态激振的时域分析还是瞬态或稳态激振的频域分析,只是习惯上从波动理论或振动理论两个不同角度去分析,数学上忽略截断和泄漏误差时,时域信号和频域信号可通过傅立叶变换建立对应关系。所以,当桩的边界和初始条件相同时,时域和频域分析结果应殊途同归。综上所述,考虑到目前国内外使用方法的普遍程度和可操作性,本规范将上述方法合并编写并统称为低应变(动测)法。 一维线弹性杆件模型是低应变法的理论基础。有别于静力学意义下按长细比大小来划分杆件,考虑波传播时满足一维杆平截面假设成立的前提是:瞬态激励脉冲有效高频分量的波长与杆的横向尺寸之比不宜小于10。另外,基于平截面假设成立的要求,设计桩身横截面宜基本规则。对于薄壁钢管桩、大直径现浇薄壁混凝土管桩和类似于H型钢桩的异型桩,若激励响应在桩顶面接收时,本方法不适用。钢桩桩身质量检验以焊缝检查和焊缝探伤为主。 本方法对桩身缺陷程度不做定量判定,尽管利用实测曲线拟合法分析能给出定量的结果,但由于桩的尺寸效应、测试系统的幅频与相频响应、高频波的弥散、滤波等造成的实测波形畸变,以及桩侧土阻尼、土阻力和桩身阻尼的耦合影响,曲线拟合法还不能达到精确定量的程度。 对于桩身不同类型的缺陷,低应变测试信号中主要反映桩身阻抗减小,缺陷性质往往较难区分。例如,混凝土灌注桩出现的缩颈与局部松散、夹泥、空洞等,只凭测试信号就很难区分。因此,对缺陷类型进行判定,应结合地质、施工情况综合分析,或采取开挖、钻芯、声波透射等其他方法验证。 由于受桩周土约束、激振能量、桩身材料阻尼和桩身截面阻抗变化等因素的影响,应力波从桩顶传至桩底再从桩底反射回桩顶的传播为一能量和幅值逐渐衰减过程。若桩过长(或长径比较大)或桩身截面阻抗多变或变幅较大,往往应力波尚未反射回桩顶甚至尚未传到桩底,其能量已完全衰减或提前反射,致使仪器测不到桩底反射信号,而无法评定整根桩的完整性。在我国,若排除其他条件差异而只考虑各地区地基条件差异时,桩的有效检测长度主要受桩土刚度比大小的制约。因各地提出的有效检测范围变化很大,如长径比30~50、桩长30m~50m不等,故本条未规定有效检测长度的控制范围;具体工程的有效检测桩长,应通过现场试验,依据能否识别桩底反射信号,确定该方法是否适用。 对于最大有效检测深度小于实际桩长的长桩、超长桩检测,尽管测不到桩底反射信号,但若有效检测长度范围内存在缺陷,则实测信号中必有缺陷反射信号。因此,低应变方法仍可用于查明有效检测长度范围内是否存在缺陷。
8.1.2 对桩身截面多变且变化幅度较大的灌注桩,应采用其他方法辅助验证低应变法检测的有效性。
条文说明
8.1.2 本条要求对桩身截面多变且变化幅度较大的灌注桩的检测有效性进行辅助验证,主要考虑以下几点:
1 阻抗变化会引起应力波多次反射,且阻抗变化截面离桩顶越近,反射越强,当多个阻抗变化截面的一次或多次反射相互叠加时,造成波形难于识别;
2 阻抗变化对应力波向下传播有衰减,截面变化幅度越大引起的衰减越严重;
3 大直径灌注桩的横向尺寸效应,桩径越大,短波长窄脉冲激励造成响应波形的失真就越严重,难以采用;
4 桩身阻抗变化范围的纵向尺度与激励脉冲波长相比越小,阻抗变化的反射就越弱,即所谓偏离一维杆波动理论的“纵向尺寸效应”越显著。 因此,承接这类灌注桩检测前,应在积累本地区经验的基础上,了解工艺和施工情况(例如充盈系数、护壁尺寸、何种土层采用何种施工工艺更容易出现塌孔等),使所选用的验证方法切实可行,降低误判几率。 另外,应用机械啮合接头等施工工艺的预制桩,接缝明显,也会造成检测结果判断不准确。
8.2 仪器设备
8.2 仪器设备
8.2.1 检测仪器的主要技术性能指标应符合现行行业标准《基桩动测仪》JG/T 3055的有关规定。
条文说明
8.2.1 低应变动力检测采用的测量响应传感器主要是压电式加速度传感器(国内多数厂家生产的仪器尚能兼容磁电式速度传感器测试),根据其结构特点和动态性能,当压电式传感器的可用上限频率在其安装谐振频率的1/5以下时,可保证较高的冲击测量精度,且在此范围内,相位误差几乎可以忽略。所以应尽量选用安装谐振频率较高的加速度传感器。 对于桩顶瞬态响应测量,习惯上是将加速度计的实测信号积分成速度曲线,并据此进行判读。实践表明:除采用小锤硬碰硬敲击外,速度信号中的有效高频成分一般在2000Hz以内。但这并不等于说,加速度计的频响线性段达到2000Hz就足够了。这是因为,加速度原始波形比积分后的速度波形要包含更多和更尖的毛刺,高频尖峰毛刺的宽窄和多寡决定了它们在频谱上占据的频带宽窄和能量大小。事实上,对加速度信号的积分相当于低通滤波,这种滤波作用对尖峰毛刺特别明显。当加速度计的频响线性段较窄时,就会造成信号失真。所以,在±10%幅频误差内,加速度计幅频线性段的高限不宜小于5000Hz,同时也应避免在桩顶敲击处表面凹凸不平时用硬质材料锤(或不加锤垫)直接敲击。 高阻尼磁电式速度传感器固有频率在10Hz~20Hz之间时,幅频线性范围(误差±10%时)约在20Hz~1000Hz内,若要拓宽使用频带,理论上可通过提高阻尼比来实现。但从传感器的结构设计、制作以及可用性看却又难于做到。因此,若要提高高频测量上限,必须提高固有频率,势必造成低频段幅频特性恶化,反之亦然。同时,速度传感器在接近固有频率时使用,还存在因相位越迁引起的相频非线性问题。此外由于速度传感器的体积和质量均较大,其二阶安装谐振频率受安装条件影响很大,安装不良时会大幅下降并产生自身振荡,虽然可通过低通滤波将自振信号滤除,但在安装谐振频率附近的有用信息也将随之滤除。综上所述,高频窄脉冲冲击响应测量不宜使用速度传感器。
8.2.2 瞬态激振设备应包括能激发宽脉冲和窄脉冲的力锤和锤垫;力锤可装有力传感器;稳态激振设备应为电磁式稳态激振器,其激振力可调,扫频范围为10Hz~2000Hz。
条文说明
8.2.2 瞬态激振操作应通过现场试验选择不同材质的锤头或锤垫,以获得低频宽脉冲或高频窄脉冲。除大直径桩外,冲击脉冲中的有效高频分量可选择不超过2000Hz(钟形力脉冲宽度为1ms,对应的高频截止分量约为2000Hz)。目前激振设备普遍使用的是力锤、力棒,其锤头或锤垫多选用工程塑料、高强尼龙、铝、铜、铁、橡皮垫等,锤的质量为几百克至几十千克不等。 稳态激振设备可包括扫频信号发生器、功率放大器及电磁式激振器。由扫频信号发生器输出等幅值、频率可调的正弦信号,通过功率放大器放大至电磁激振器输出同频率正弦激振力作用于桩顶。
8.3 现场检测
8.3 现场检测
8.3.1 受检桩应符合下列规定:
1 桩身强度应符合本规范第3.2.5条第1款的规定;
2 桩头的材质、强度应与桩身相同,桩头的截面尺寸不宜与桩身有明显差异;
3 桩顶面应平整、密实,并与桩轴线垂直。
条文说明
8.3.1 桩顶条件和桩头处理好坏直接影响测试信号的质量。因此,要求受检桩桩顶的混凝土质量、截面尺寸应与桩身设计条件基本等同。灌注桩应凿去桩顶浮浆或松散、破损部分,露出坚硬的混凝土表面;桩顶表面应平整干净且无积水;妨碍正常测试的桩顶外露主筋应割掉。对于预应力管桩,当法兰盘与桩身混凝土之间结合紧密时,可不进行处理,否则,应采用电锯将桩头锯平。 当桩头与承台或垫层相连时,相当于桩头处存在很大的截面阻抗变化,对测试信号会产生影响。因此,测试时桩头应与混凝土承台断开;当桩头侧面与垫层相连时,除非对测试信号没有影响,否则应断开。
8.3.2 测试参数设定,应符合下列规定:
1 时域信号记录的时间段长度应在2L/c时刻后延续不少5ms;幅频信号分析的频率范围上限不应小于2000Hz;
2 设定桩长应为桩顶测点至桩底的施工桩长,设定桩身截面积应为施工截面积;
3 桩身波速可根据本地区同类型桩的测试值初步设定;
4 采样时间间隔或采样频率应根据桩长、桩身波速和频域分辨率合理选择;时域信号采样点数不宜少于1024点;
5 传感器的设定值应按计量检定或校准结果设定。
条文说明
8.3.2 从时域波形中找到桩底反射位置,仅仅是确定了桩底反射的时间,根据△T=2L/c,只有已知桩长L才能计算波速c,或已知波速c计算桩长L。因此,桩长参数应以实际记录的施工桩长为依据,按测点至桩底的距离设定。测试前桩身波速可根据本地区同类桩型的测试值初步设定,实际分析时应按桩长计算的波速重新设定或按本规范第8.4.1条确定的波速平均值cm设定。 对于时域信号,采样频率越高,则采集的数字信号越接近模拟信号,越有利于缺陷位置的准确判断。一般应在保证测得完整信号(1024个采样点,且时段不少于2L/c+5ms)的前提下,选用较高的采样频率或较小的采样时间间隔。但是,若要兼顾频域分辨率,则应按采样定理适当降低采样频率或增加采样点数。 稳态激振是按一定频率间隔逐个频率激振,并持续一段时间。频率间隔的选择决定于速度幅频曲线和导纳曲线的频率分辨率,它影响桩身缺陷位置的判定精度;间隔越小,精度越高,但检测时间很长,降低工作效率。一般频率间隔设置为3Hz、5Hz、10Hz。每一频率下激振持续时间,理论上越长越好,这样有利于消除信号中的随机噪声。实际测试过程中,为提高工作效率,只要保证获得稳定的激振力和响应信号即可。
8.3.3 测量传感器安装和激振操作,应符合下列规定:
1 安装传感器部位的混凝土应平整;传感器安装应与桩顶面垂直;用耦合剂粘结时,应具有足够的粘结强度;
2 激振点与测量传感器安装位置应避开钢筋笼的主筋影响;
3 激振方向应沿桩轴线方向;
4 瞬态激振应通过现场敲击试验,选择合适重量的激振力锤和软硬适宜的锤垫;宜用宽脉冲获取桩底或桩身下部缺陷反射信号,宜用窄脉冲获取桩身上部缺陷反射信号;
5 稳态激振应在每一个设定频率下获得稳定响应信号,并应根据桩径、桩长及桩周土约束情况调整激振力大小。
条文说明
8.3.3 本条是为保证响应信号质量而提出的基本要求:
1 传感器安装底面与桩顶面之间不得留有缝隙,安装部位混凝土凹凸不平时应磨平,传感器用耦合剂粘结时,粘结层应尽可能薄。
2 激振点与传感器安装点应远离钢筋笼的主筋,其目的是减少外露主筋对测试产生干扰信号。若外露主筋过长而影响正常测试时,应将其割短。
3 激振方向应沿桩轴线方向的要求是为了有效减少敲击时的水平分量。
4 瞬态激振通过改变锤的重量及锤头材料,可改变冲击入射波的脉冲宽度及频率成分。锤头质量较大或硬度较小时,冲击入射波脉冲较宽,低频成分为主;当冲击力大小相同时,其能量较大,应力波衰减较慢,适合于获得长桩桩底信号或下部缺陷的识别。锤头较轻或硬度较大时,冲击入射波脉冲较窄,含高频成分较多;冲击力大小相同时,虽其能量较小并加剧大直径桩的尺寸效应影响,但较适宜于桩身浅部缺陷的识别及定位。
5 稳态激振在每个设定的频率下激振时,为避免频率变换过程产生失真信号,应具有足够的稳定激振时间,以获得稳定的激振力和响应信号,并根据桩径、桩长及桩周土约束情况调整激振力。稳态激振器的安装方式及好坏对测试结果起着很大的作用。为保证激振系统本身在测试频率范围内不至于出现谐振,激振器的安装宜采用柔,陲悬挂装置,同时在测试过程中应避免激振器出现横向振动。
8.3.4 信号采集和筛选,应符合下列规定:
1 根据桩径大小,桩心对称布置2个~4个安装传感器的检测点:实心桩的激振点应选择在桩中心,检测点宜在距桩中心2/3半径处;空心桩的激振点和检测点宜为桩壁厚的1/2处,激振点和检测点与桩中心连线形成的夹角宜为90°;
2 当桩径较大或桩上部横截面尺寸不规则时,除应按上款在规定的激振点和检测点位置采集信号外,尚应根据实测信号特征,改变激振点和检测点的位置采集信号;
3 不同检测点及多次实测时域信号一致性较差时,应分析原因,增加检测点数量;
4 信号不应失真和产生零漂,信号幅值不应大于测量系统的量程;
5 每个检测点记录的有效信号数不宜少于3个;
6 应根据实测信号反映的桩身完整性情况,确定采取变换激振点位置和增加检测点数量的方式再次测试,或结束测试。
条文说明
8.3.4 本条主要是对激振点和检测点位置进行了规定,以保证从现场获取的信息尽量完备:
1 本条第1款有两层含义: 第一是减小尺寸效应影响。相对桩顶横截面尺寸而言,激振点处为集中力作用,在桩顶部位可能出现与桩的横向振型相对应的高频干扰。当锤击脉冲变窄或桩径增加时,这种由三维尺寸效应引起的干扰加剧。传感器安装点与激振点距离和位置不同,所受干扰的程度各异。理论研究表明:实心桩安装点在距桩中心约2/3半径R时,所受干扰相对较小;空心桩安装点与激振点平面夹角等于或略大于90°时也有类似效果,该处相当于横向耦合低阶振型的驻点。传感器安装点、激振(锤击)点布置见图1。另应注意:加大安装与激振两点距离或平面夹角将增大锤击点与安装点响应信号时间差,造成波速或缺陷定位误差。 第二是使同一场地同一类型桩的检测信号具有可比性。因不同的激振点和检测点所测信号的差异主要随桩径或桩上部截面尺寸不规则程度变大而变强,因此尽量找出同一场地相近条件下各桩信号的规律性,对复杂波形的判断有利。

图1 传感器安装点、激振(锤击)点布置示意图
1-传感器安装点;2-激振锤击点 当预制桩桩顶高于地面很多,或灌注桩桩顶部分桩身截面很不规则,或桩顶与承台等其他结构相连而不具备传感器安装条件时,可将两支测量响应传感器对称安装在桩顶以下的桩侧表面,且宜远离桩顶。
2 本条第2款所述“适当改变激振点和检测点的位置”是指位置选择可不受第1款的限制。
3 桩径增大时,桩截面各部位的运动不均匀性也会增加,桩浅部的阻抗变化往往表现出明显的方向性,故应增加检测点数量,使检测结果能全面反映桩身结构完整性情况。
4 对现场检测人员的要求绝不能仅满足于熟练操作仪器,因为只有通过检测人员对所获波形在现场的合理、快速判断,才有可能决定下一步激振点、检测点以及敲击方式(锤重、锤垫等)的选择。
5 应合理选择测试系统量程范围,特别是传感器的量程范围,避免信号波峰削波。
6 每个检测点有效信号数不宜少于3个,通过叠加平均可提高信噪比。
8.4 检测数据分析与判定
8.4 检测数据分析与判定
8.4.1 桩身波速平均值的确定,应符合下列规定:
1 当桩长已知、桩底反射信号明确时,应在地基条件、桩型、成桩工艺相同的基桩中,选取不少于5根Ⅰ类桩的桩身波速值,按下列公式计算其平均值:

式中:c m ——桩身波速的平均值(m/s);
c i ——第i根受检桩的桩身波速值(m/s),且|c i -c m |/c m 不宜大于5%;
L——测点下桩长(m);
△T——速度波第一峰与桩底反射波峰间的时间差(ms);
△f——幅频曲线上桩底相邻谐振峰间的频差(Hz);
n——参加波速平均值计算的基桩数量(n≥5)。
2 无法满足本条第1款要求时,波速平均值可根据本地区相同桩型及成桩工艺的其他桩基工程的实测值,结合桩身混凝土的骨料品种和强度等级综合确定。
条文说明
8.4.1 为分析不同时段或频段信号所反映的桩身阻抗信息、核验桩底信号并确定桩身缺陷位置,需要确定桩身波速及其平均值cm。波速除与桩身混凝土强度有关外,还与混凝土的骨料品种、粒径级配、密度、水灰比、成桩工艺(导管灌注、振捣、离心)等因素有关。波速与桩身混凝土强度整体趋势上呈正相关关系,即强度高波速高,但二者并不为一一对应关系。在影响混凝土波速的诸多因素中,强度对波速的影响并非首位。中国建筑科学研究院的试验资料表明:采用普硅水泥,粗骨料相同,不同试配强度及龄期强度相差1倍时,声速变化仅为10%左右;根据辽宁省建设科学研究院的试验结果:采用矿渣水泥,28d强度为3d强度的4倍~5倍,一维波速增加20%~30%;分别采用碎石和卵石并按相同强度等级试配,发现以碎石为粗骨料的混凝土一维波速比卵石高约13%。天津市政研究院也得到类似辽宁院的规律,但有一定离散性,即同一组(粗骨料相同)混凝土试配强度不同的杆件或试块,同龄期强度低约10%~15%,但波速或声速略有提高。也有资料报导正好相反,例如福建省建筑科学研究院的试验资料表明:采用普硅水泥,按相同强度等级试配,骨料为卵石的混凝土声速略高于骨料为碎石的混凝土声速。因此,不能依据波速去评定混凝土强度等级,反之亦然。 虽然波速与混凝土强度二者并不呈一一对应关系,但考虑到二者整体趋势上呈正相关关系,且强度等级是现场最易得到的参考数据,故对于超长桩或无法明确找出桩底反射信号的桩,可根据本地区经验并结合混凝土强度等级,综合确定波速平均值,或利用成桩工艺、桩型相同且桩长相对较短并能够找出桩底反射信号的桩确定的波速,作为波速平均值。此外,当某根桩露出地面且有一定的高度时,可沿桩长方向间隔一可测量的距离段安置两个测振传感器,通过测量两个传感器的响应时差,计算该桩段的波速值,以该值代表整根桩的波速值。
8.4.2 桩身缺陷位置应按下列公式计算:

式中:x——桩身缺陷至传感器安装点的距离(m);
△t x ——速度波第一峰与缺陷反射波峰间的时间差(ms);
c——受检桩的桩身波速(m/s),无法确定时可用桩身波速的平均值替代;
△f'——幅频信号曲线上缺陷相邻谐振峰间的频差(Hz)。
条文说明
8.4.2 本方法确定桩身缺陷的位置是有误差的,原因是:缺陷位置处△tx和△f'存在读数误差;采样点数不变时,提高采样频率降低了频域分辨率;波速确定的方式及用抽样所得平均值cm替代某具体桩身段波速带来的误差。其中,波速带来的缺陷位置误差△x=x·△c/c(△c/c为波速相对误差)影响最大,如波速相对误差为5%,缺陷位置为10m时,则误差有0.5m;缺陷位置为20m时,则误差有1.0m。 对瞬态激振还存在另一种误差,即锤击后应力波主要以纵波形式直接沿桩身向下传播,同时在桩顶又主要以表面波和剪切波的形式沿径向传播。因锤击点与传感器安装点有一定的距离,接收点测到的入射峰总比锤击点处滞后,考虑到表面波或剪切波的传播速度比纵波低得多,特别对大直径桩或直径较大的管桩,这种从锤击点起由近及远的时间线性滞后将明显增加。而波从缺陷或桩底以一维平面应力波反射回桩顶时,引起的桩顶面径向各点的质点运动却在同一时刻都是相同的,即不存在由近及远的时间滞后问题。严格地讲,按入射峰-桩底反射峰确定的波速将比实际的高,若按“正确”的桩身波速确定缺陷位置将比实际的浅;另外桩身截面阻抗在纵向较长一段范围内变化较大时,将引起波的绕行距离增加,使“真实的一维杆波速”降低。基于以上两种原因,按照目前的锤击方式测桩,不可能精确地测到桩的“一维杆纵波波速”。
8.4.3 桩身完整性类别应结合缺陷出现的深度、测试信号衰减特性以及设计桩型、成桩工艺、地基条件、施工情况,按本规范表3.5.1和表8.4.3所列时域信号特征或幅频信号特征进行综合分析判定。
表8.4.3 桩身完整性判定

注:对同一场地、地基条件相近、桩型和成桩工艺相同的基桩,因桩端部分桩身阻抗与持力层阻抗相匹配导致实测信号无桩底反射波时,可按本场地同条件下有桩底反射波的其他桩实测信号判定桩身完整性类别。
条文说明
8.4.3 表8.4.3列出了根据实测时域或幅频信号特征、所划分的桩身完整性类别。完整桩典型的时域信号和速度幅频信号见图2和图3,缺陷桩典型的时域信号和速度幅频信号见图4和图5。 完整桩分析判定,据时域信号或频域曲线特征判定相对来说较简单直观,而分析缺陷桩信号则复杂些,有的信号的确是因施工质量缺陷产生的,但也有是因设计构造或成桩工艺本身局限导致的,例如预制打入桩的接缝,灌注桩的逐渐扩径再缩回原桩径的变截面,地层硬夹层影响等。因此,在分析测试信号时,应仔细分清哪些是缺陷波或缺陷谐振峰,哪些是因桩身构造、成桩工艺、土层影响造成的类似缺陷信号特征。另外,根据测试信号幅值大小判定缺陷程度,除受缺陷程度影响外,还受桩周土阻力(阻尼)大小及缺陷所处深度的影响。相同程度的缺陷因桩周土岩性不同或缺陷埋深不同,在测试信号中其幅值大小各异。因此,如何正确判定缺陷程度,特别是缺陷十分明显时,如何区分是Ⅲ类桩还是Ⅳ类桩,应仔细对照桩型、地基条件、施工情况结合当地经验综合分析判断;不仅如此,还应结合基础和上部结构形式对桩的承载安全性要求,考虑桩身承载力不足引发桩身结构破坏的可能性,进行缺陷类别划分,不宜单凭测试信号定论。 桩身缺陷的程度及位置,除直接从时域信号或幅频曲线上判定外,还可借助其他计算方式及相关测试量作为辅助的分析手段:

图2 完整桩典型时域信号特征

图3 完整桩典型速度幅频信号特征

图4 缺陷桩典型时域信号特征

图5 缺陷桩典型速度幅频信号特征
1 时域信号曲线拟合法:将桩划分为若干单元,以实测或模拟的力信号作为已知条件,设定并调整桩身阻抗及土参数,通过一维波动方程数值计算,计算出速度时域波形并与实测的波形进行反复比较,直到两者吻合程度达到满意为止,从而得出桩身阻抗的变化位置及变化量大小。该计算方法类似于高应变的曲线拟合法。
2 根据速度幅频曲线或导纳曲线中基频位置,利用实测导纳值与计算导纳值相对高低、实测动刚度的相对高低进行判断。此外,还可对速度幅频信号曲线进行二次谱分析。 图6为完整桩的速度导纳曲线。计算导纳值Nc、实测导纳值Nm和动刚度Kd分别按下列公式计算:

图6 均匀完整桩的速度导纳曲线图

式中:ρ——桩材质量密度(kg/m3);
cm——桩身波速平均值(m/s);
A——设计桩身截面积(m2);
Pmax——导纳曲线上谐振波峰的最大值(m/s·N-1);
Qmin——导纳曲线上谐振波谷的最小值(m/s·N-1);
fm——导纳曲线上起始近似直线段上任一频率值(Hz);
——与fm对应的导纳幅值(m/s·N-1)。 理论上,实测导纳值Nm、计算导纳值Nc和动刚度Kd就桩身质量好坏而言存在一定的相对关系:完整桩,Nm约等于Nc,Kd值正常;缺陷桩,Nm大于Nc,Kd值低,且随缺陷程度的增加其差值增大;扩径桩,Nm小于Nc、Kd值高。 值得说明,由于稳态激振过程在某窄小频带上激振,其能量集中、信噪比高、抗干扰能力强等特点,所测的导纳曲线、导纳值及动刚度比采用瞬态激振方式重复性好、可信度较高。 表8.4.3没有列出桩身无缺陷或有轻微缺陷但无桩底反射这种信号特征的类别划分。事实上,测不到桩底信号这种情况受多种因素和条件影响,例如:
——软土地区的超长桩,长径比很大;
——桩周土约束很大,应力波衰减很快;
——桩身阻抗与持力层阻抗匹配良好;
——桩身截面阻抗显著突变或沿桩长渐变;
——预制桩接头缝隙影响。 其实,当桩侧和桩端阻力很强时,高应变法同样也测不出桩底反射。所以,上述原因造成无桩底反射也属正常。此时的桩身完整性判定,只能结合经验、参照本场地和本地区的同类型桩综合分析或采用其他方法进一步检测。 对承载有利的扩径灌注桩,不应判定为缺陷桩。
8.4.4 采用时域信号分析判定受检桩的完整性类别时,应结合成桩工艺和地基条件区分下列情况:
1 混凝土灌注桩桩身截面渐变后恢复至原桩径并在该阻抗突变处的反射,或扩径突变处的一次和二次反射;
2 桩侧局部强土阻力引起的混凝工预制桩负向反射及其二次反射;
3 采用部分挤土方式沉桩的大直径开口预应力管桩,桩孔内土芯闭塞部位的负向反射及其二次反射;
4 纵向尺寸效应使混凝土桩桩身阻抗突变处的反射波幅值降低。
当信号无畸变且不能根据信号直接分析桩身完整性时,可采用实测曲线拟合法辅助判定桩身完整性或借助实测导纳值、动刚度的相对高低辅助判定桩身完整性。
条文说明
8.4.4 当灌注桩桩截面形态呈现如图7情况时,桩身截面(阻抗)渐变或突变,在阻抗突变处的一次或二次反射常表现为类似明显扩径、严重缺陷或断桩的相反情形,从而造成误判。桩侧局部强土阻力和大直径开口预应力管桩桩孔内土塞部位反射也有类似情况,即一次反射似扩径,二次反射似缺陷。纵向尺寸效应与一维杆平截面假设相违,即桩身阻抗突变段的反射幅值随突变段纵向范围的缩小而减弱。例如支盘桩的支盘直径很大,但随着支盘厚度的减小,扩径反射将愈来愈不明显;若此情形换为缩颈,其危险性不言而喻。以上情况可结合施工、地层情况综合分析加以区分;无法区分时,应结合其他检测方法综合判定。 当桩身存在不止一个阻抗变化截面(见图7c)时,由于各阻抗变化截面的一次和多次反射波相互叠加,除距桩顶第一阻抗变化截面的一次反射能辨认外,其后的反射信号可能变得十分复杂,难于分析判断。此时,在信号没有受尺寸效应、测试系统频响等影响产生畸变的前提下,可按下列建议尝试采用实测曲线拟合法进行辅助分析:
1 宜采用实测力波形作为边界条件输入;

图7 混凝土灌注桩截面(阻抗)变化示意图
2 桩顶横截面尺寸应按现场实际测量结果确定;
3 通过同条件下、截面基本均匀的相邻桩曲线拟合,确定引起应力波衰减的桩土参数取值。
8.4.5 当按本规范第8.3.3条第4款的规定操作不能识别桩身浅部阻抗变化趋势时,应在测量桩顶速度响应的同时测量锤击力,根据实测力和速度信号起始峰的比例差异大小判断桩身浅部阻抗变化程度。
条文说明
8.4.5 本条是这次修订增加的内容。由于受横向尺寸效应的制约,激励脉冲的波长有时很难明显小于浅部阻抗变化的深度,造成无法对桩身浅部特别是极浅部的阻抗变化进行定性和定位,甚至是误判,如浅部局部扩径,波形可能主要表现出扩径恢复后的“似缩颈”反射。因此要求根据力和速度信号起始峰的比例差异情况判断桩身浅部阻抗变化程度。建议采用这种方法时,按本规范第8.3.4条在同条件下进行多根桩对比,在解决阻抗变化定性的基础上,判定阻抗变化程度,不过,在阻抗变化位置很浅时可能仍无法准确定位。
8.4.6 对于嵌岩桩,桩底时域反射信号为单一反射波且与锤击脉冲信号同向时,应采取钻芯法、静载试验或高应变法核验桩端嵌岩情况。
条文说明
8.4.6 对嵌岩桩,桩底沉渣和桩端下存在的软弱夹层、溶洞等是直接关系到该桩能否安全使用的关键因素。虽然本方法不能确定桩底情况,但理论上可以将嵌岩桩桩端视为杆件的固定端,并根据桩底反射波的方向及其幅值判断桩端端承效果,也可通过导纳值、动刚度的相对高低提供辅助分析。采用本方法判定桩端嵌固效果差时,应采用钻芯、静载或高应变等检测方法核验桩端嵌岩情况,确保基桩使用安全。
8.4.7 预制桩在2L/c前出现异常反射,且不能判断该反射是正常接桩反射时,可按本规范第3.4.3条进行验证检测。实测信号复杂,无规律,且无法对其进行合理解释时,桩身完整性判定宜结合其他检测方法进行。
8.4.8 低应变检测报告应给出桩身完整性检测的实测信号曲线。
条文说明
8.4.8 人员水平低、测量系统动态范围窄、激振设备选择或操作不当、人为信号再处理影响信号真实性等,都会直接影响结论判断的正确性,只有根据原始信号曲线才能鉴别。
8.4.9 检测报告除应包括本规范第3.5.3条规定的内容外,尚应包括下列内容:
1 桩身波速取值;
2 桩身完整性描述、缺陷的位置及桩身完整性类别;
3 时域信号时段所对应的桩身长度标尺、指数或线性放大的范围及倍数;或幅频信号曲线分析的频率范围、桩底或桩身缺陷对应的相邻谐振峰间的频差。
9 高应变法
9.1 一般规定
9 高应变法
9.1 一般规定
9.1.1 本方法适用于检测基桩的竖向抗压承载力和桩身完整性;监测预制桩打入时的桩身应力和锤击能量传递比,为选择沉桩工艺参数及桩长提供依据。对于大直径扩底桩和预估Q-s曲线具有缓变型特征的大直径灌注桩,不宜采用本方法进行竖向抗压承载力检测。
条文说明
9.1.1 高应变法的主要功能是判定单桩竖向抗压承载力是否满足设计要求。这里所说的承载力是指在桩身强度满足桩身结构承载力的前提下,得到的桩周岩土对桩的抗力(静阻力)。所以要得到极限承载力,应使桩侧和桩端岩土阻力充分发挥,否则不能得到承载力的极限值,只能得到承载力检测值。 与低应变法检测的快捷、廉价相比,高应变法检测桩身完整性虽然是附带性的。但由于其激励能量和检测有效深度大的优点,特别在判定桩身水平整合型缝隙、预制桩接头等缺陷时,能够在查明这些“缺陷”是否影响竖向抗压承载力的基础上,合理判定缺陷程度。当然,带有普查性的完整性检测,采用低应变法更为恰当。 高应变检测技术是从打入式预制桩发展起来的,试打桩和打桩监控属于其特有的功能,是静载试验无法做到的。 除嵌入基岩的大直径桩和摩擦型大直径桩外,大直径灌注桩、扩底桩(墩)由于桩端尺寸效应明显,通常其静载Q-s曲线表现为缓变型,端阻力发挥所需的位移很大。另外,增加桩径使桩身截面阻抗(或桩的惯性)按直径的平方增加,而桩侧阻力按直径的一次方增加,桩-锤匹配能力下降。而多数情况下高应变检测所用锤的重量有限,很难在桩顶产生较长持续时间的荷载作用,达不到使土阻力充分发挥所需的位移量。另一原因如本规范第9.1.2条条文说明所述。
9.1.2 进行灌注桩的竖向抗压承载力检测时,应具有现场实测经验和本地区相近条件下的可靠对比验证资料。
条文说明
9.1.2 灌注桩的截面尺寸和材质的非均匀性、施工的隐蔽性(于作业成孔桩除外)及由此引起的承载力变异性普遍高于打入式预制桩,而灌注桩检测采集的波形质量低于预制桩,波形分析中的不确定性和复杂性又明显高于预制桩。与静载试验结果对比,灌注桩高应变检测判定的承载力误差也如此。因此,积累灌注桩现场测试、分析经验和相近条件下的可靠对比验证资料,对确保检测质量尤其重要。
9.2 仪器设备
9.2 仪器设备
9.2.1 检测仪器的主要技术性能指标不应低于现行行业标准《基桩动测仪》JG/T 3055规定的2级标准。
条文说明
9.2.1 本条对仪器的主要技术性能指标要求是按建筑工业行业标准《基桩动测仪》JG/T 3055提出的,比较适中,大部分型号的国产和进口仪器能满足。因动测仪器的使用环境较差,故仪器的环境性能指标和可靠性也很重要。本条对安装于距桩顶附近桩身侧表面的响应测量传感器——加速度计的量程未做具体规定,原因是对不同类型的桩,各种因素影响使最大冲击加速度变化很大。建议根据实测经验来合理选择,宜使选择的量程大于预估最大冲击加速度值的一倍以上。如对钢桩,宜选择20000m/s2~30000m/s2量程的加速度计。
9.2.2 锤击设备可采用筒式柴油锤、液压锤、蒸汽锤等具有导向装置的打桩机械,但不得采用导杆式柴油锤、振动锤。
条文说明
9.2.2 导杆式柴油锤荷载上升时间过于缓慢,容易造成速度响应信号失真。 本条没有对锤重的选择做出规定,因为利用打桩机械测试不一定是休止后的承载力检测,软土场地对长或超长桩的初打监控,出现锤重不符合本规范第9.2.5~9.2.6条规定的情况属于正常。另外建工行业多采用筒式柴油锤,它与自由落锤相比冲击动能较大,轻锤也可能完成沉桩工作。
9.2.3 高应变检测专用锤击设备应具有稳固的导向装置。重锤应形状对称,高径(宽)比不得小于1。 (自2022年1月1日起废止该条,详见新规 《建筑与市政地基基础通用规范》 GB 55003-2021)
条文说明
9.2.3 本条之所以定为强制性条文,是因为锤击设备的导向和锤体形状直接关系到信号质量与现场试验的安全。 无导向锤的脱钩装置多基于杠杆式原理制成,操作人员需在离锤很近的范围内操作,缺乏安全保障,且脱钩时会不同程度地引起锤的摇摆,更容易造成锤击严重偏心而产生垃圾信号。另外,如果采用汽车吊直接将锤吊起并脱钩,因锤的重量突然释放造成吊车吊臂的强烈反弹,对吊臂造成损害。因此稳固的导向装置的另一个作用是:在落锤脱钩前需将锤的重量通过导向装置传递给锤击装置的底盘,使吊车吊臂不再受力。扁平状锤如分片组装式锤的单片或混凝土浇筑的强夯锤,下落时不易导向且平稳性差,容易造成严重锤击偏心,影响测试质量。因此规定锤体的高径(宽)比不得小于1。
9.2.4 当采取落锤上安装加速度传感器的方式实测锤击力时,重锤的高径(宽)比应为1.0~1.5。
条文说明
9.2.4 自由落锤安装加速度计测量桩顶锤击力的依据是牛顿第二和第三定律。其成立条件是同一时刻锤体内各质点的运动和受力无差异,也就是说,虽然锤为弹性体,只要锤体内部不存在波传播的不均匀性,就可视锤为一刚体或具有一定质量的质点。波动理论分析结果表明:当沿正弦波传播方向的介质尺寸小于正弦波波长的1/10时,可认为在该尺寸范围内无波传播效应,即同一时刻锤的受力和运动状态均匀。除钢桩外,较重的自由落锤在桩身产生的力信号中的有效频率分量(占能量的90%以上)在200Hz以内,超过300Hz后可忽略不计。按不利条件估计,对力信号有贡献的高频分量波长一般也不小于20m。所以,在大多数采用自由落锤的场合,牛顿第二定律能较严格地成立。规定锤体高径;(宽)比不大于1.5正是为了避免波传播效应造成的锤内部运动状态不均匀。这种方式与在桩头附近的桩侧表面安装应变式传感器的测力方式相比,优缺点是:
1 避免了桩头损伤和安装部位混凝土质量差导致的测力失败以及应变式传感器的经常损坏。
2 避免了因混凝土非线性造成的力信号失真(混凝土受压时,理论上讲是对实测力值放大,是不安全的)。
3 直接测定锤击力,即使混凝土的波速、弹性模量改变,也无需修正;当混凝土应力-应变关系的非线性严重时,不存在通过应变环测试换算冲击力造成的力值放大。
4 测量响应的加速度计只能安装在距桩顶较近的桩侧表面,尤其不能安装在桩头变阻抗截面以下的桩身上。
5 桩顶只能放置薄层桩垫,不能放置尺寸和质量较大的桩帽(替打)。
6 锤高一般以2.0m~2.5m为限,则最大使用的锤重可能受到限制,除非采用重锤或厚软锤垫减少锤上的波传播效应。
7 锤在非受力状态时有负向(向下)的加速度,可能被误认为是冲击力变化:如撞击前锤体自由下落时的—g(g为重力加速度)加速度;撞击后锤体可能与桩顶脱离接触(反弹)并回落而产生负向加速度,锤愈轻、桩的承载力或桩身阻抗愈大,反弹表现就愈显著。
8 重锤撞击桩顶瞬时难免与导架产生碰撞或摩擦,导致锤体上产生高频纵、横干扰波,锤的纵、横尺寸越小,干扰波频率就越高,也就越容易被滤除。
9.2.5 采用高应变法进行承载力检测时,锤的重量与单桩竖向抗压承载力特征值的比值不得小于0.02。 (自2022年1月1日起废止该条,详见新规 《建筑与市政地基基础通用规范》 GB 55003-2021)
条文说明
9.2.5 我国每年高应变法检测桩的总量粗估在15万根桩以上,已超过了单桩静载验收检测的总桩数,但该法在国内发展不均衡,主要在沿海地区应用。本条强制性条文的规定连同第9.2.6条规定之涵义,在2003年版规范中曾合并于一条强条来表述。为提高强条的可操作性,本次修订保留了锤重低限值的强制性要求。锤的重量大小直接关系到桩侧、桩端岩土阻力发挥的高低,只有充分包含土阻力发挥信息的信号才能视为有效信号,也才能作为高应变承载力分析与评价的依据。锤重不变时,随着桩横截面尺寸、桩的质量或单桩承载力的增加;锤与桩的匹配能力下降,试验中直观表象是锤的强烈反弹,锤落距提高引起的桩顶动位移或贯入度增加不明显,而桩身锤击应力的增加比传递给桩的有效能量的增加效果更为显著,因此轻锤高落距锤击是错误的做法。个别检测机构,为了降低运输(搬运)、吊(安)装成本和试验难度,一味采用轻锤进行试验,由于土阻力(承载力)发挥信息严重不足,遂随意放大调整实测信号,导致承载力虚高;有时,轻锤高击还引起桩身破损。 本条是保证信号有效性规定的最低锤重要求,也是体现高应变法“重锤低击”原则的最低要求。国际上,应尽量加大动测用锤重的观点得到了普遍推崇,如美国材料与试验协会ASTM在2000年颁布的《桩的高应变动力检测标准试验方法》D4945中提出:锤重选择以能充分调动桩侧、桩端岩土阻力为原则,并无具体低限值的要求;而在2008年修订时,针对灌注桩增加了“落锤锤重至少为极限承载力期望值的1%~2%”的要求,相当于本规范所用锤重与单桩竖向抗压承载力特征值的比值为2%~4%。 另需注意:本规范第9.2.3条关于锤的导向和形状要求是从避免出现表观垃圾信号的角度提出,不能证明信号的有效性,即承载力发挥信息是否充分。
9.2.6 当作为承载力检测的灌注桩桩径大于600mm或混凝土桩桩长大于30m时,尚应对桩径或桩长增加引起的桩-锤匹配能力下降进行补偿,在符合本规范第9.2.5条规定的前提下进一步提高检测用锤的重量。
条文说明
9.2.6 本条未规定锤重增加范围的上限值,一是体现“重锤低击”原则,二是考虑以下情况:
1 桩较长或桩径较大时,一般使侧阻、端阻充分发挥所需位移大;
2 桩是否容易被“打动”取决于桩身“广义阻抗”的大小。广义阻抗与桩身截面波阻抗和桩周土岩土阻力均有关。随着桩直径增加,波阻抗的增加通常快于土阻力,而桩身阻抗的增加实际上就是桩的惯性质量增加,仍按承载力特征值的2%选取锤重,将使锤对桩的匹配能力下降。 因此,不仅从土阻力,也要从桩身惯性质量两方面考虑提高锤重是更科学的做法。当桩径或桩长明显超过本条低限值时,例如,1200mm直径灌注桩,桩长20m,设计要求的承载力特征值较低,仅为2000kN,即使将锤重与承载力特征值的比值提高到3%,即采用60kN的重锤仍感锤重偏轻。
9.2.7 桩的贯入度可采用精密水准仪等仪器测定。
条文说明
9.2.7 测量贯入度的方法较多,可视现场具体条件选择:
1 如采用类似单桩静载试验架设基准梁的方式测量,准确度较高,但现场工作量大,特别是重锤对桩冲击使桩周土产生振动,使受检桩附近架设的基准梁受影响,导致桩的贯入度测量结果可靠度下降;
2 预制桩锤击沉桩时利用锤击设备导架的某一标记作基准,根据一阵锤(如10锤)的总下沉量确定平均贯入度,简便但准确度不高;
3 采用加速度信号二次积分得到的最终位移作为贯入度,操作最为简便,但加速度计零漂大和低频响应差(时间常数小)时将产生明显的积分漂移,且零漂小的加速度计价格很高;另外因信号采集时段短,信号采集结束时若桩的运动尚未停止(以柴油锤打桩时为甚)则不能采用;
4 用精密水准仪时受环境振动影响小,观测准确度相对较高。
9.3 现场检测
9.3 现场检测
9.3.1 检测前的准备工作,应符合下列规定:
1 对于不满足本规范表3.2.5规定的休止时间的预制桩,应根据本地区经验,合理安排复打时间,确定承载力的时间效应;
2 桩顶面应平整,桩顶高度应满足锤击装置的要求,桩锤重心应与桩顶对中,锤击装置架立应垂直;
3 对不能承受锤击的桩头应进行加固处理,混凝土桩的桩头处理应符合本规范附录B的规定;
4 传感器的安装应符合本规范附录F的规定;
5 桩头顶部应设置桩垫,桩垫可采用10mm~30mm厚的木板或胶合板等材料。
条文说明
9.3.1 承载力时间效应因地而异,以沿海软土地区最显著。成桩后,若桩周岩土无隆起、侧挤、沉陷、软化等影响,承载力随时间增长。工期紧休止时间不够时,除非承载力检测值已满足设计要求,否则应休止到满足表3.2.5规定的时间为止。 锤击装置垂直、锤击平稳对中、桩头加固和加设桩垫,是为了减小锤击偏心和避免击碎桩头;在距桩顶规定的距离下的合适部位对称安装传感器,是为了减小锤击在桩顶产生的应力集中和对偏心进行补偿。所有这些措施都是为保证测试信号质量提出的。
9.3.2 参数设定和计算,应符合下列规定:
1 采样时间间隔宜为50μs~200μs,信号采样点数不宜少于1024点;
2 传感器的设定值应按计量检定或校准结果设定;
3 自由落锤安装加速度传感器测力时,力的设定值由加速度传感器设定值与重锤质量的乘积确定;
4 测点处的桩截面尺寸应按实际测量确定;
5 测点以下桩长和截面积可采用设计文件或施工记录提供的数据作为设定值;
6 桩身材料质量密度应按表9.3.2取值;
表9.3.2 桩身材料质量密度(t/m 3 )

7 桩身波速可结合本地经验或按同场地同类型已检桩的平均波速初步设定,现场检测完成后应按本规范第9.4.3条进行调整;
8 桩身材料弹性模量应按下式计算:

式中:E——桩身材料弹性模量(kPa);
c——桩身应力波传播速度(m/s);
ρ——桩身材料质量密度(t/m 3 )。
条文说明
9.3.2 采样时间间隔为100μs,对常见的工业与民用建筑的桩是合适的。但对于超长桩,例如桩长超过60m,采样时间间隔可放宽为200μs,当然也可增加采样点数。 应变式传感器直接测到的是其安装面上的应变,并按下式换算成锤击力:

式中:F——锤击力;
A——测点处桩截面积;
E——桩材弹性模量;
ε——实测应变值。 显然,锤击力的正确换算依赖于测点处设定的桩参数是否符合实际。另一需注意的问题是:计算测点以下原桩身的阻抗变化、包括计算的桩身运动及受力大小,都是以测点处桩头单元为相对“基准”的。 测点下桩长是指桩头传感器安装点至桩底的距离,一般不包括桩尖部分。 对于普通钢桩,桩身波速可直接设定为5120m/s。对于混凝土桩,桩身波速取决于混凝土的骨料品种、粒径级配、成桩工艺(导管灌注、振捣、离心)及龄期,其值变化范围大多为3000m/s~4500m/s。混凝土预制桩可在沉桩前实测无缺陷桩的桩身平均波速作为设定值;混凝土灌注桩应结合本地区混凝土波速的经验值或同场地已知值初步设定,但在计算分析前,应根据实测信号进行校正。
9.3.3 现场检测应符合下列规定:
1 交流供电的测试系统应接地良好,检测时测试系统应处于正常状态;
2 采用自由落锤为锤击设备时,应符合重锤低击原则,最大锤击落距不宜大于2.5m;
3 试验目的为确定预制桩打桩过程中的桩身应力、沉桩设备匹配能力和选择桩长时,应按本规范附录G执行;
4 现场信号采集时,应检查采集信号的质量,并根据桩顶最大动位移、贯入度、桩身最大拉应力、桩身最大压应力、缺陷程度及其发展情况等,综合确定每根受检桩记录的有效锤击信号数量;
5 发现测试波形紊乱,应分析原因;桩身有明显缺陷或缺陷程度加剧,应停止检测。
条文说明
9.3.3 对本条各款依次说明如下:
1 传感器外壳与仪器外壳共地,测试现场潮湿,传感器对地未绝缘,交流供电时常出现50Hz干扰,解决办法是良好接地或改用直流供电。
2 根据波动理论分析:若视锤为一刚体,则桩顶的最大锤击应力只与锤冲击桩顶时的初速度有关,落距越高,锤击应力和偏心越大,越容易击碎桩头(桩端进入基岩时因桩端压应力放大造成桩尖破损)。此外,强锤击压应力是使桩身出现较强反射拉应力的先决条件,即使桩头不会被击碎,但当打桩阻力较低(例如挤土上浮桩、深厚软土中的摩擦桩)、且入射压力脉冲较窄(即锤较轻)或桩较长时,桩身有可能被拉裂。轻锤高击并不能有效提高桩锤传递给桩头不会被击碎,但当打桩阻力较低(例如挤土上浮桩、深厚软土中的摩擦桩)、且入射压力脉冲较窄(即锤较轻)或桩较长时,桩身有可能被拉裂。轻锤高击并不能有效提高桩锤传递给桩的能量和增大桩顶位移,因为力脉冲作用持续时间显著与锤重有关;锤击脉冲越窄,波传播的不均匀性,即桩身受力和运动的不均匀性(惯性效应)越明显,实测波形中土的动阻力影响加剧,而与位移相关的静土阻力呈明显的分段发挥态势,使承载力的测试分析误差增加。事实上,若将锤重增加到单桩承载力特征值的10%~20%以上,则可得到与静动法(STATNAMIC法)相似的长持续力脉冲作用。此时,由于桩身中的波传播效应大大减弱,桩侧、桩端岩土阻力的发挥更接近静载作用时桩的荷载传递性状。因此,“重锤低击”是保障高应变法检测承载力准确性的基本原则,这与低应变法充分利用波传播效应(窄脉冲)准确探测缺陷位置有着概念上的区别。
3 打桩过程监测是指预制桩施打开始后进行的打桩全部过程测试,也可根据重点关注的预计穿越土层或预计达到的持力层段测试。
4 高应变试验成功的关键是信号质量以及信号中的信息是否充分。所以应根据每锤信号质量以及动位移、贯入度和大致的土阻力发挥情况,初步判别采集到的信号是否满足检测目的的要求。同时,也要检查混凝土桩锤击拉、压应力和缺陷程度大小,以决定是否进一步锤击,以免桩头或桩身受损。自由落锤锤击时,锤的落距应由低到高;打入式预制桩则按每次采集一阵(10击)的波形进行判别。
5 检测工作现场情况复杂,经常产生各种不利影响。为确保采集到可靠的数据,检测人员应能正确判断波形质量、识别干扰,熟练诊断测量系统的各类故障。
9.3.4 承载力检测时应实测桩的贯入度,单击贯入度宜为2mm~6mm。
条文说明
9.3.4 贯入度的大小与桩尖刺入或桩端压密塑性变形量相对应,是反映桩侧、桩端土阻力是否充分发挥的一个重要信息。贯入度小,即通常所说的“打不动”,使检测得到的承载力低于极限值。本条是从保证承载力分析计算结果的可靠性出发,给出的贯入度合适范围,不能片面理解成在检测中应减小锤重使单击贯入度不超过6mm。贯入度大且桩身无缺陷的波形特征是2L/c处桩底反射强烈,其后的土阻力反射或桩的回弹不明显。贯入度过大造成的桩周土扰动大,高应变承载力分析所用的土的力学模型,对真实的桩-土相互作用的模拟接近程度变差。据国内发现的一些实例和国外的统计资料:贯入度较大时,采用常规的理想弹-塑性土阻力模型进行实测曲线拟合分析,不少情况下预示的承载力明显低于静载试验结果,统计结果离散性很大!而贯入度较小、甚至桩几乎未被打动时,静动对比的误差相对较小,且统计结果的离散性也不大。若采用考虑桩端土附加质量的能量耗散机制模型修正,与贯入度小时的承载力提高幅度相比,会出现难以预料的承载力成倍提高。原因是:桩底反射强意味着桩端的运动加速度和速度强烈,附加土质量产生的惯性力和动阻力恰好分别与加速度和速度成正比。可以想见,对于长细比较大、侧阻力较强的摩擦型桩,上述效应就不会明显。此外,6mm贯入度只是一个统计参考值,本章第9.4.7条第4款已针对此情况作了具体规定。
9.4 检测数据分析与判定
9.4 检测数据分析与判定
9.4.1 检测承载力时选取锤击信号,宜取锤击能量较大的击次。
条文说明
9.4.1 从一阵锤击信号中选取分析用信号时,除要考虑有足够的锤击能量使桩周岩土阻力充分发挥外,还应注意下列问题:
1 连续打桩时桩周土的扰动及残余应力;
2 锤击使缺陷进一步发展或拉应力使桩身混凝土产生裂隙;
3 在桩易打或难打以及长桩情况下,速度基线修正带来的误差;
4 对桩垫过厚和柴油锤冷锤信号,因加速度测量系统的低频特性造成速度信号出现偏离基线的趋势项。
9.4.2 出现下列情况之一时,高应变锤击信号不得作为承载力分析计算的依据:
1 传感器安装处混凝土开裂或出现严重塑性变形使力曲线最终未归零;
2 严重锤击偏心,两侧力信号幅值相差超过1倍;
3 四通道测试数据不全。
条文说明
9.4.2 高质量的信号是得出可靠分析计算结果的基础。除柴油锤施打的长桩信号外,力的时程曲线应最终归零。对于混凝土桩,高应变测试信号质量不但受传感器安装好坏、锤击偏心程度和传感器安装面处混凝土是否开裂的影响,也受混凝土的不均匀性和非线性的影响。这些影响对采用应变式传感器测试、经换算得到的力信号尤其敏感。混凝土的非线性一般表现为:随应变的增加,割线模量减小,并出现塑性变形,使根据应变换算到的力值偏大且力曲线尾部不归零。本规范所指的锤击偏心相当于两侧力信号之一与力平均值之差的绝对值超过平均值的33%。通常锤击偏心很难避免,因此严禁用单侧力信号代替平均力信号。
9.4.3 桩底反射明显时,桩身波速可根据速度波第一峰起升沿的起点到速度反射峰起升或下降沿的起点之间的时差与已知桩长值确定(图9.4.3);桩底反射信号不明显时,可根据桩长、混凝土波速的合理取值范围以及邻近桩的桩身波速值综合确定。

图9.4.3 桩身波速的确定
条文说明
9.4.3 桩身平均波速也可根据下行波起升沿的起点和上行波下降沿的起点之间的时差与已知桩长值确定。对桩底反射峰变宽或有水平裂缝的桩,不应根据峰与峰间的时差来确定平均波速。桩较短且锤击力波上升缓慢时,可采用低应变法确定平均波速。
9.4.4 桩身材料弹性模量和锤击力信号的调整应符合下列规定:
1 当测点处原设定波速随调整后的桩身波速改变时,相应的桩身材料弹性模量应按本规范式(9.3.2)重新计算;
2 对于采用应变传感器测量应变并由应变换算冲击力的方式,当原始力信号按速度单位存储时,桩身材料弹性模量调整后尚应对原始实测力值校正;
3 对于采用自由落锤安装加速度传感器实测锤击力的方式,当桩身材料弹性模量或桩身波速改变时,不得对原始实测力值进行调整,但应扣除响应传感器安装点以上的桩头惯性力影响。
条文说明
9.4.4 通常,当平均波速按实测波形改变后,测点处的原设定波速也按比例线性改变,弹性模量则应按平方的比例关系改变。当采用应变式传感器测力时,多数仪器并非直接保存实测应变值,如有些是以速度(V=c·ε)的单位存储。若弹性模量随波速改变后,仪器不能自动修正以速度为单位存储的力值,则应对原始实测力值校正。注意:本条所说的“力值校正”与本规范第9.4.5条所禁止的“比例失调时”的随意调整是截然不同的两种行为。 对于锤上安装加速度计的测力方式,由于力值F是按牛顿第二定律F=mrar(式中mr和ar分别为锤体的质量和锤体的加速度)直接测量得到的,因此不存在对实测力值进行校正的问题。F仅代表作用在桩顶的力,而分析计算则需要在桩顶下安装测量响应加速度计横截面上的作用力,所以需要考虑测量响应加速度计以上的桩头质量产生的惯性力,对实测桩顶力值修正。
9.4.5 高应变实测的力和速度信号第一峰起始段不成比例时,不得对实测力或速度信号进行调整。 (自2022年1月1日起废止该条,详见新规 《建筑与市政地基基础通用规范》 GB 55003-2021)
条文说明
9.4.5 通常情况下,如正常施打的预制桩,力和速度信号在第一峰处应基本成比例,即第一峰处的F值与V·Z值基本相等(见图9.4.3)。但在以下几种不成比例(比例失调)的情况下属于正常:
1 桩浅部阻抗变化和土阻力影响;
2 采用应变式传感器测力时,测点处混凝土的非线性造成力值明显偏高;
3 锤击力波上升缓慢或桩很短时,土阻力波或桩底反射波的影响。
信号随意比例调整均是对实测信号的歪曲,并产生虚假的结果。如通过放大实测力或速度进行比例调整的后果是计算承载力不安全。因此,为保证信号真实性,禁止将实测力或速度信号重新标定。这一点必须引起重视,因为有些仪器具有比例自动调整功能。
9.4.6 承载力分析计算前,应结合地基条件、设计参数,对下列实测波形特征进行定性检查:
1 实测曲线特征反映出的桩承载性状;
2 桩身缺陷程度和位置,连续锤击时缺陷的扩大或逐步闭合情况。
条文说明
9.4.6 高应变分析计算结果的可靠性高低取决于动测仪器、分析软件和人员素质三个要素。其中起决定作用的是具有坚实理论基础和丰富实践经验的高素质检测人员。高应变法之所以有生命力,表现在高应变信号不同于随机信号的可解释性——即使不采用复杂的数学计算和提炼,只要检测波形质量有保证,就能定性地反映桩的承载性状及其他相关的动力学问题。因此对波形的正确定性解释的重要性超过了软件建模分析计算本身,对人员的要求首先是解读波形,其次才是熟练使用相关软件。增强波形正确判读能力的关键是提高人员的素质,仅靠技术规范以及仪器和软件功能的增强是无法做到的。因此,承载力分析计算前,应有高素质的检测人员对信号进行定性检查和判断。
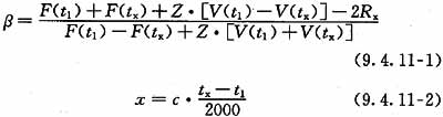
9.4.7 出现下列情况之一时,应采用静载试验方法进一步验证:
1 桩身存在缺陷,无法判定桩的竖向承载力;
2 桩身缺陷对水平承载力有影响;
3 触变效应的影响,预制桩在多次锤击下承载力下降;
4 单击贯入度大,桩底同向反射强烈且反射峰较宽,侧阻力波、端阻力波反射弱,波形表现出的桩竖向承载性状明显与勘察报告中的地基条件不符合;
5 嵌岩桩桩底同向反射强烈,且在时间2L/c后无明显端阻力反射;也可采用钻芯法核验。
条文说明
9.4.7 当出现本条所述五款情况时,因高应变法难于分析判定承载力和预示桩身结构破坏的可能性,建议进行验证检测。本条第4、5款反映的代表性波形见图8,波形反映出的桩承载性状与设计条件不符(基本无侧阻、端阻反射,桩顶最大动位移11.7mm,贯入度6mm~8mm)。原因解释参见本规范第9.3.4条的条文说明。由图9可见,静载验证试验尚未压至破坏,但高应变测试的锤重符合要求,贯入度表明承载力已“充分”发挥。当采用波形拟合法分析承载力时,由于承载力比按勘察报告估算的低很多,除采用直接法验证外,不能主观臆断或采用能使拟合的承载力大幅提高的桩-土模型及其参数。

图8 灌注桩高应变实测波形 注:Φ800mm钻孔灌注桩,桩端持力层为全风化花岗片麻岩,测点下桩长16m。采用60kN重锤,先做高应变检测;后做静载验证检测。

图9 静载和动载模拟的Q-s曲线
1-静载曲线;2-动测曲线
9.4.8 采用凯司法判定中、小直径桩的承载力,应符合下列规定:
1 桩身材质、截面应基本均匀。
2 阻尼系数J c 宜根据同条件下静载试验结果校核,或应在已取得相近条件下可靠对比资料后,采用实测曲线拟合法确定J c 值,拟合计算的桩数不应少于检测总桩数的30%,且不应少于3根。
3 在同一场地、地基条件相近和桩型及其截面积相同情况下,J c 值的极差不宜大于平均值的30%。
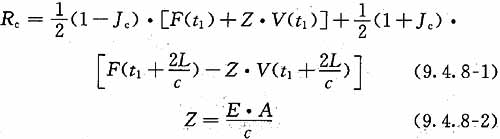
4 单桩承载力应按下列凯司法公式计算:

式中:R c ——凯司法单桩承载力计算值(kN);
J c ——凯司法阻尼系数;
t 1 ——速度第一峰对应的时刻;
F(t 1 )——t 1 时刻的锤击力(kN);
V(t 1 )——t 1 时刻的质点运动速度(m/s);
Z——桩身截面力学阻抗(kN·s/m);
A——桩身截面面积(m 2 );
L——测点下桩长(m)。
5 对于t 1 +2L/c时刻桩侧和桩端土阻力均已充分发挥的摩擦型桩,单桩竖向抗压承载力检测值可采用式(9.4.8-1)的计算值。
6 对于土阻力滞后于t 1 +2L/c时刻明显发挥或先于t 1 +2L/c时刻发挥并产生桩中上部强烈反弹这两种情况,宜分别采用下列方法对式(9.4.8-1)的计算值进行提高修正,得到单桩竖向抗压承载力检测值:
1)将t 1 延时,确定R c 的最大值;
2)计入卸载回弹的土阻力,对R c 值进行修正。
条文说明
9.4.8 凯司法与实测曲线拟合法在计算承载力上的本质区别是:前者在计算极限承载力时,单击贯入度与最大位移是参考值,计算过程与它们无关。另外,凯司法承载力计算公式是基于以下三个假定推导出的:
1 桩身阻抗基本恒定;
2 动阻力只与桩底质点运动速度成正比,即全部动阻力集中于桩端;
3 土阻力在时刻t2=t1+2L/c已充分发挥。 显然,它较适用于摩擦型的中、小直径预制桩和截面较均匀的灌注桩。 公式中的唯一未知数——凯司法无量纲阻尼系数Jc定义为仅与桩端土性有关,一般遵循随土中细粒含量增加阻尼系数增大的规律。Jc的取值是否合理在很大程度上决定了计算承载力的准确性。所以,缺乏同条件下的静动对比校核或大量相近条件下的对比资料时,将使其使用范围受到限制。当贯入度达不到规定值或不满足上述三个假定时,Jc值实际上变成了一个无明确意义的综合调整系数。特别值得一提的是灌注桩,也会在同一工程、相同桩型及持力层时,可能出现Jc取值变异过大的情况。为防止凯司法的不合理应用,规定应采用静动对比或实测曲线拟合法校核Jc值。 由于式(9.4.8-1)给出的Rc值与位移无关,仅包含t2=t1+2L/c时刻之前所发挥的土阻力信息,通常除桩长较短的摩擦型桩外,土阻力在2L/c时刻不会充分发挥,尤以端承型桩显著。所以,需要采用将t1延时求出承载力最大值的最大阻力法(RMX法),对与位移相关的土阻力滞后2L/c发挥的情况进行提高修正。 桩身在2L/c之前产生较强的向上回弹,使桩身从顶部逐渐向下产生土阻力卸载(此时桩的中下部土阻力属于加载)。这对于桩较长、侧阻力较大而荷载作用持续时间相对较短的桩较为明显。因此,需要采用将桩中上部卸载的土阻力进行补偿提高修正的卸载法(RSU法)。 RMX法和RSU法判定承载力,体现了高应变法波形分析的基本概念——应充分考虑与位移相关的土阻力发挥状况和波传播效应,这也是实测曲线拟合法的精髓所在。另外,凯司法还有几种子方法可在积累了成熟经验后采用,它们是:
1 在桩尖质点运动速度为零时,动阻力也为零,此时有两种与Jc无关的计算承载力“自动”法,即RAU法和RA2法。前者适用于桩侧阻力很小的情况,后者适用于桩侧阻力适中的场合。
2 通过延时求出承载力最小值的最小阻力法(RMN法)。
9.4.9 采用实测曲线拟合法判定桩承载力,应符合下列规定:
1 所采用的力学模型应明确、合理,桩和土的力学模型应能分别反映桩和土的实际力学性状,模型参数的取值范围应能限定;
2 拟合分析选用的参数应在岩土工程的合理范围内;
3 曲线拟合时间段长度在t 1 +2L/c时刻后延续时间不应小于20ms;对于柴油锤打桩信号,在t 1 +2L/c时刻后延续时间不应小于30ms;
4 各单元所选用的土的最大弹性位移s q 值不应超过相应桩单元的最大计算位移值;
5 拟合完成时,土阻力响应区段的计算曲线与实测曲线应吻合,其他区段的曲线应基本吻合;
6 贯入度的计算值应与实测值接近。
条文说明
9.4.9 实测曲线拟合法是通过波动问题数值计算,反演确定桩和土的力学模型及其参数值。其过程为:假定各桩单元的桩和土力学模型及其模型参数,利用实测的速度(或力、上行波、下行波)曲线作为输入边界条件,数值求解波动方程,反算桩顶的力(或速度、下行波、上行波)曲线。若计算的曲线与实测曲线不吻合,说明假设的模型及参数不合理,有针对性地调整模型及参数再行计算,直至计算曲线与实测曲线(以及贯入度的计算值与实测值)的吻合程度良好且不易进一步改善为止。虽然从原理上讲,这种方法是客观唯一的,但由于桩、土以及它们之间的相互作用等力学行为的复杂性,实际运用时还不能对各种桩型、成桩工艺、地基条件,都能达到十分准确地求解桩的动力学和承载力问题的效果。所以,本条针对该法应用中的关键技术问题,作了具体阐述和规定:
1 关于桩与土模型:(1)目前已有成熟使用经验的土的静阻力模型为理想弹-塑性或考虑土体硬化或软化的双线性模型;模型中有两个重要参数——土的极限静阻力Ru和土的最大弹性位移sq,可以通过静载试验(包括桩身内力测试)来验证。在加载阶段,土体变形小于或等于sq时,土体在弹性范围工作;变形超过sq后,进入塑性变形阶段(理想弹-塑性时,静阻力达到Ru后不再随位移增加而变化)。对于卸载阶段,同样要规定卸载路径的斜率和弹性位移限。(2)土的动阻力模型一般习惯采用与桩身运动速度成正比的线性粘滞阻尼,带有一定的经验性,且不易直接验证。(3)桩的力学模型一般为一维杆模型,单元划分应采用等时单元(实际为特征线法求解的单元划分模式),即应力波通过每个桩单元的时间相等,由于没有高阶项的影响,计算精度高。(4)桩单元除考虑A、E、c等参数外,也可考虑桩身阻尼和裂隙。另外,也可考虑桩底的缝隙、开口桩或异形桩的土塞、残余应力影响和其他阻尼形式。(5)所用模型的物理力学概念应明确,参数取值应能限定;避免采用可使承载力计算结果产生较大变异的桩-土模型及其参数。
2 拟合时应根据波形特征,结合施工和地基条件合理确定桩土参数取值。因为拟合所用的桩土参数的数量和类型繁多,参数各自和相互间耦合的影响非常复杂,而拟合结果并非唯一解,需通过综合比较判断进行参数选取或调整。正确选取或调整的要点是参数取值应在岩土工程的合理范围内。
3 本款考虑两点原因:一是自由落锤产生的力脉冲持续时间通常不超过20ms(除非采用很重的落锤),但柴油锤信号在主峰过后的尾部仍能产生较长的低幅值延续;二是与位移相关的总静阻力一般会不同程度地滞后于2L/c发挥,当端承型桩的端阻力发挥所需位移很大时,土阻力发挥将产生严重滞后,因此规定2L/c后延时足够的时间,使曲线拟合能包含土阻力响应区段的全部土阻力信息。
4 为防止土阻力未充分发挥时的承载力外推,设定的sq值不应超过对应单元的最大计算位移值。若桩、土间相对位移不足以使桩周岩土阻力充分发挥,则给出的承载力结果只能验证岩土阻力发挥的最低程度。
5 土阻力响应区是指波形上呈现的静土阻力信息较为突出的时间段。所以本条特别强调此区段的拟合质量,避免只重波形头尾,忽视中间土阻力响应区段拟合质量的错误做法,并通过合理的加权方式计算总的拟合质量系数,突出土阻力响应区段拟合质量的影响。
6 贯入度的计算值与实测值是否接近,是判断拟合选用参数、特别是sq值是否合理的辅助指标。
9.4.10 单桩竖向抗压承载力特征值R a 应按本方法得到的单桩竖向抗压承载力检测值的50%取值。
条文说明
9.4.10 高应变法动测承载力检测值(见第3.5.2条的条文说明)多数情况下不会与静载试验桩的明显破坏特征或产生较大的桩顶沉降相对应,总趋势是沉降量偏小。为了与静载的极限承载力相区别,称为本方法得到的承载力检测值或动测承载力。需要指出:本次修订取消了验收检测中对单桩承载力进行统计平均的规定。单桩静载试验常因加荷量或设备能力限制,试桩达不到极限承载力,不论是否取平均,只要一组试桩有一根桩的极限承载力达不到特征值的2倍,结论就是不满足设计要求。动测承载力则不同,可能出现部分桩的承载力远高于承载力特征值的2倍,即使个别桩的承载力不满足设计要求,但“高”和“低”取平均后仍可能满足设计要求。所以,本章修订取消了通过算术平均进行承载力统计取值的规定,以规避高估承载力的风险。
9.4.11 桩身完整性可采用下列方法进行判定:
1 采用实测曲线拟合法判定时,拟合所选用的桩、土参数应符合本规范第9.4.9条第1~2款的规定;根据桩的成桩工艺,拟合时可采用桩身阻抗拟合或桩身裂隙以及混凝土预制桩的接桩缝隙拟合;
2 等截面桩且缺陷深度x以上部位的土阻力R x 未出现卸载回弹时,桩身完整性系数β和桩身缺陷位置x应分别按下列公式计算,桩身完整性可按表9.4.11并结合经验判定。

式中:t x ——缺陷反射峰对应的时刻(ms);
x——桩身缺陷至传感器安装点的距离(m);
R x ——缺陷以上部位土阻力的估计值,等于缺陷反射波起始点的力与速度乘以桩身截面力学阻抗之差值(图9.4.11);
β——桩身完整性系数,其值等于缺陷x处桩身截面阻抗与x以上桩身截面阻抗的比值。
条文说明
9.4.11 高应变法检测桩身完整性具有锤击能量大,可对缺陷程度定量计算,连续锤击可观察缺陷的扩大和逐步闭合情况等优点。但和低应变法一样,检测的仍是桩身阻抗变化,一般不宜判定缺陷性质。在桩身情况复杂或存在多处阻抗变化时,可优先考虑用实测曲线拟合法判定桩身完整性。 式(9.4.11-1)适用于截面基本均匀桩的桩顶下第一个缺陷的程度定量计算。当有轻微缺陷,并确认为水平裂缝(如预制桩的接头缝隙)时,裂缝宽度δw可按下式计算:

当满足本条第2款“等截面桩”和“土阻力未卸载回弹”的条件时,β值计算公式为解析解,即β值测试属于直接法,在结果的可信度上,与属于半直接法的高应变法检测判定承载力是不同的。“土阻力未卸载回弹”限制条件是指:当土阻力Rx先于t1+2x/c时刻发挥并产生桩中上部明显反弹时,x以上桩段侧阻提前卸载造成Rx被低估,β计算值被放大,不安全,因此公式(9.4.11-1)不适用。此种情况多在长桩存在深部缺陷时出现。
表9.4.11 桩身完整性判定

图9.4.11 桩身完整性系数计算
9.4.12 出现下列情况之一时,桩身完整性宜按地基条件和施工工艺,结合实测曲线拟合法或其他检测方法综合判定:
1 桩身有扩径;
2 混凝土灌注桩桩身截面渐变或多变;
3 力和速度曲线在第一峰附近不成比例,桩身浅部有缺陷;
4 锤击力波上升缓慢;
5 本规范第9.4.11条第2款的情况:缺陷深度x以上部位的土阻力R x 出现卸载回弹。
条文说明
9.4.12 对于本条第1~2款情况,宜采用实测曲线拟合法分析桩身扩径、桩身截面渐变或多变的情况,但应注意合理选择土参数。 高应变法锤击的荷载上升时间通常在1ms~3ms范围,因此对桩身浅部缺陷的定位存在盲区,不能定量给出缺陷的具体部位,也无法根据式(9.4.11-1)来判定缺陷程度,只能根据力和速度曲线不成比例的情况来估计浅部缺陷程度;当锤击力波上升缓慢时,可能出现力和速度曲线不成比例的似浅部阻抗变化情况,但不能排除土阻力的耦合影响。对浅部缺陷桩,宜用低应变法检测并进行缺陷定位。
9.4.13 桩身最大锤击拉、压应力和桩锤实际传递给桩的能量,应分别按本规范附录G的公式进行计算。
条文说明
9.4.13 桩身锤击拉应力是混凝土预制桩施打抗裂控制的重要指标。在深厚软土地区,打桩初始阶段侧阻和端阻虽小,但桩很长,桩锤能正常爆发起跳(高幅值锤击压应力是产生强拉应力的必要条件),桩底反射回来的上行拉力波的头部(拉应力幅值最大)与下行传播的锤击压力波尾部叠加,在桩身某一部位产生净的拉应力。当拉应力强度超过混凝土抗拉强度时,引起桩身拉裂。开裂部位一般发生在桩的中上部,且桩愈长或锤击力持续时间愈短,最大拉应力部位就愈往下移。当桩进入硬土层后,随着打桩阻力的增加拉应力逐步减小,桩身压应力逐步增加,如果桩在易打情况下已出现拉应力水平裂缝,渐强的压应力在已有裂缝处产生应力集中,使裂缝处混凝土逐渐破碎并最终导致桩身断裂。 入射压力波遇桩身截面阻抗增大时,会引起小阻抗桩身压应力放大,桩身可能出现下列破坏形态:表面纵向裂缝、保护层脱落、主筋压曲外凸、混凝土压碎崩裂。例如:打桩过程中桩端碰上硬层(基岩、孤石、漂石等)表现出的突然贯入度骤减或拒锤,继续施打会造成桩身压应力过大而破坏。此时,最大压应力出现在接近桩端的部位。
9.4.14 高应变检测报告应给出实测的力与速度信号曲线。
条文说明
9.4.14 本条解释同本规范第8.4.8条。
9.4.15 检测报告除应包括本规范第3.5.3条规定的内容外,尚应包括下列内容:
1 计算中实际采用的桩身波速值和J c 值;
2 实测曲线拟合法所选用的各单元桩和土的模型参数、拟合曲线、土阻力沿桩身分布图;
3 实测贯入度;
4 试打桩和打桩监控所采用的桩锤型号、桩垫类型,以及监测得到的锤击数、桩侧和桩端静阻力、桩身锤击拉应力和压应力、桩身完整性以及能量传递比随入土深度的变化。
10 声波透射法
10.1 一般规定
10 声波透射法
10.1 一般规定
10.1.1 本方法适用于混凝土灌注桩的桩身完整性检测,判定桩身缺陷的位置、范围和程度。对于桩径小于0.6m的桩,不宜采用本方法进行桩身完整性检测。
条文说明
10.1.1 声波透射法是利用声波的透射原理对桩身混凝土介质状况进行检测,适用于桩在灌注成型时已经预埋了两根或两根以上声测管的情况。当桩径小于0.6m时,声测管的声耦合误差使声时测试的相对误差增大,因此桩径小于0.6m时应慎用本方法;基桩经钻芯法检测后(有两个以及两个以上的钻孔)需进一步了解钻芯孔之间的混凝土质量时也可采用本方法检测。 由于桩内跨孔测试的测试误差高于上部结构混凝土的检测,且桩身混凝土纵向各部位硬化环境不同,粗细骨料分布不均匀,因此该方法不宜用于推定桩身混凝土强度。
10.1.2 当出现下列情况之一时,不得采用本方法对整桩的桩身完整性进行评定:
1 声测管未沿桩身通长配置;
2 声测管堵塞导致检测数据不全;
3 声测管埋设数量不符合本规范第10.3.2条的规定。
10.2 仪器设备
10.2 仪器设备
10.2.1 声波发射与接收换能器应符合下列规定:
1 圆柱状径向换能器沿径向振动应无指向性;
2 外径应小于声测管内径,有效工作段长度不得大于150mm;
3 谐振频率应为30kHz~60kHz;
4 水密性应满足1MPa水压不渗水。
条文说明
10.2.1 声波换能器有效工作面长度指起到换能作用的部分的实际轴向尺寸,该长度过大将夸大缺陷实际尺寸并影响测试结果。 换能器的谐振频率越高,对缺陷的分辨率越高,但高频声波在介质中衰减快,有效测距变小。选配换能器时,在保证有一定的接收灵敏度的前提下,原则上尽可能选择较高频率的换能器。提高换能器谐振频率,可使其外径减少到30mm以下,有利于换能器在声测管中升降顺畅或减小声测管直径。但因声波发射频率的提高,将使声波穿透能力下降。所以,本规范规定用30kHz~60kHz谐振频率范围的换能器,在混凝土中产生的声波波长约8cm~15cm,能探测的缺陷尺度约在分米量级。当测距较大接收信号较弱时,宜选用带前置放大器的接收换能器,也可采用低频换能器,提高接收信号的幅度,但后者要以牺牲分辨力为代价。 桩中的声波检测一般以水作为耦合剂,换能器在1MPa水压下不渗水也就是在100m水深能正常工作,这可以满足一般的工程桩检测要求。对于超长桩,宜考虑更高的水密性指标。 声波换能器宜配置扶正器,防止换能器在声测管内摆动影响测试声参数的稳定性。
10.2.2 声波检测仪应具有下列功能:
1 实时显示和记录接收信号时程曲线以及频率测量或频谱分析;
2 最小采样时间间隔应小于等于0.5μs,系统频带宽度应为1kHz~200kHz,声波幅值测量相对误差应小于5%,系统最大动态范围不得小于100dB;
3 声波发射脉冲应为阶跃或矩形脉冲,电压幅值应为200V~1000V;
4 首波实时显示;
5 自动记录声波发射与接收换能器位置。
条文说明
10.2.2 由于混凝土灌注桩的声波透射法检测没有涉及桩身混凝土强度的推定,因此系统的最小采样时间间隔放宽至0.5μs。首波自动判读可采用阈值法,亦可采用其他方法,对于判定为异常的波形,应人工校核数据。
10.3 声测管埋设
10.3 声测管埋设
10.3.1 声测管埋设应符合下列规定:
1 声测管内径应大于换能器外径;
2 声测管应有足够的径向刚度,声测管材料的温度系数应与混凝土接近;
3 声测管应下端封闭、上端加盖、管内无异物;声测管连接处应光顺过渡,管口应高出混凝土顶面100mm以上;
4 浇灌混凝土前应将声测管有效固定。
条文说明
10.3.1 声测管内径与换能器外径相差过大时,声耦合误差明显增加;相差过小时,影响换能器在管中的移动,因此两者差值取10mm为宜。声测管管壁太薄或材质较软时,混凝土灌注后的径向压力可能会使声测管产生过大的径向变形,影响换能器正常升降,甚至导致试验无法进行,因此要求声测管有一定的径向刚度,如采用钢管、镀锌管等管材,不宜采用PVC管。由于钢材的温度系数与混凝土相近,可避免混凝土凝固后与声测管脱开产生空隙。声测管的平行度是影响测试数据可靠性的关键,因此,应保证成桩后各声测管之间基本平行。
10.3.2 声测管应沿钢筋笼内侧呈对称形状布置(图10.3.2),并依次编号。声测管埋设数量应符合下列规定:

图10.3.2 声测管布置示意图
注:检测剖面编组(检测剖面序号为j)分别为:2根管时,AB剖面(j=1);3根管时,AB剖面(j=1),BC剖面(j=2),CA剖面(j=3);4根管时,AB剖面(j=1),BC削面(j=2),CD剖面(j=3),DA剖面(j=4),AC剖面(j=5),BD剖面(j=6)。
1 桩径小于或等于800mm时,不得少于2根声测管;
2 桩径大于800mm且小于或等于1600mm时,不得少于3根声测管;
3 桩径大于1600mm时,不得少于4根声测管;
4 桩径大于2500mm时,宜增加预埋声测管数量。
条文说明
10.3.2 检测剖面、声测线和检测横截面的编组和编号见图10。 本次修订将桩中预埋三根声测管的桩径范围上限由2000mm降至1600mm,使声波的检测范围更能有效覆盖大部分桩身横截面。因多数工程桩的桩径仍在此范围,这首先既保证了检测准确性,又适当兼顾了经济性,即三根声测管构成三个检测剖面时,使声测管利用率最高。声测管按规定的顺序编号,便于复检、验证试验,以及对桩身缺陷的加固、补强等工程处理。

图10 检测剖面、声测线、检测横截面编组和编号示意图
10.4 现场检测
10.4 现场检测
10.4.1 现场检测开始的时间除应符合本规范第3.2.5条第1款的规定外,尚应进行下列准备工作:
1 采用率定法确定仪器系统延迟时间;
2 计算声测管及耦合水层声时修正值;
3 在桩顶测量各声测管外壁间净距离;
4 将各声测管内注满清水,检查声测管畅通情况;换能器应能在声测管全程范围内正常升降。
条文说明
10.4.1 本条说明如下:
1 原则上,桩身混凝土满28d龄期后进行声波透射法检测是合理的。但是,为了加快工程建设进度、缩短工期,当采用声波透射法检测桩身缺陷和判定其完整性类别时,可适当将检测时间提前,以便能在施工过程中尽早发现问题,及时补救,赢得宝贵时间。这种适当提前检测时间的做法基于以下两个原因:一是声波透射法是一种非破损检测方法,不会因检测导致桩身混凝土强度降低或破坏;二是在声波透射法检测桩身完整性时,没有涉及混凝土强度问题,对各种声参数的判别采用的是相对比较法,混凝土的早期强度和满龄期后的强度有一定的相关性,而混凝土内因各种原因导致的内部缺陷一般不会因时间的增长而明显改善。因此,按本规范第3.2.5条第1款的规定,原则上只要混凝土硬化并达到一定强度即可进行检测。
2 率定法测定仪器系统延迟时间的方法是将发射、接收换能器平行悬于清水中,逐次改变点源距离并测量相应声时,记录不少于4个点的声时数据并作线性回归的时距曲线:

式中:b——直线斜率(μs/mm);
l——换能器表面净距离(mm);
t——声时(μs)
t0——仪器系统延迟时间(μs)。
3 声测管及耦合水层声时修正值按下式计算:
式中:d1——声测管外径(mm);
d2——声测管内径(mm);
d'——换能器外径(mm);
νt——声测管材料声速(km/s);
νw——水的声速(km/s);
t'——声测管及耦合水层声时修正值(μs)。
10.4.2 现场平测和斜测应符合下列规定:
1 发射与接收声波换能器应通过深度标志分别置于两根声测管中;
2 平测时,声波发射与接收声波换能器应始终保持相同深度(图10.4.2a);斜测时,声波发射与接收换能器应始终保持固定高差(图10.4.2b),且两个换能器中点连线的水平夹角不应大于30°;

图10.4.2 平测、斜测示意图
3 声波发射与接收换能器应从桩底向上同步提升,声测线间距不应大于100mm;提升过程中,应校核换能器的深度和校正换能器的高差,并确保测试波形的稳定性,提升速度不宜大于0.5m/s;
4 应实时显示、记录每条声测线的信号时程曲线,并读取首波声时、幅值;当需要采用信号主频值作为异常声测线辅助判据时,尚应读取信号的主频值;保存检测数据的同时,应保存波列图信息;
5 同一检测剖面的声测线间距、声波发射电压和仪器设置参数应保持不变。
条文说明
10.4.2 对本条说明如下:
1 由于每一个声测管中的测点可能对应多个检测剖面,而声测线则是组成某一检测剖面的两声测管中测点之间的连线,它的声学特征与其声场辐射区域的混凝土质量之间具有较显著的相关性,故本次修订采用“声测线”代替了原规范采用的“测点”。径向换能器在径向无指向性,但在垂直面上有指向性,且换能器的接收响应随着发、收换能器中心连线与水平面夹角θ的增大而非线性递减。为达到斜测目的,测试系统应有足够的灵敏度,且夹角θ不应大于30°。
2 声测线间距将影响桩身缺陷纵向尺寸的检测精度,间距越小,检测精度越高,但需花费更多的时间。一般混凝土灌注桩的缺陷在空间有一定的分布范围,规定声测线间距不大于100mm,可满足工程检测精度的要求。当采用自动提升装置时,声测线间距还可进一步减小。 非匀速下降的换能器在由静止(或缓降)变为向下运动(或快降)时,由于存在不同程度的失重现象,使电缆线出现不同程度松弛,导致换能器位置不准确。因此应从桩底开始同步提升换能器进行检测才能保证记录的换能器位置的准确性。 自动记录声波发射与接收换能器位置时,提升过程中电缆线带动编码器卡线轮转动,编码器计数卡线轮转动值换算得到换能器位置。电缆线与编码器卡线轮之间滑动、卡线轮直径误差等因素均会导致编码器位置计数与实际传感器位置有一定误差,因此每隔一定间距应进行一次高差校核。此外,自动记录声波发射与接收换能器位置时,如果同步提升声波发射与接收换能器的提升速度过快,会导致换能器在声测管中剧烈摆动,甚至与声测管管壁发生碰撞,对接受的声波波形产生不可预测的影响。因此换能器的同步提升速度不宜过快,应保证测试波形的稳定性。
3 在现场对可疑声测线应结合声时(声速)、波幅、主频、实测波形等指标进行综合判定。
4 桩内预埋n根声测管可以有
个检测剖面,预埋2根声测管有1个检测剖面,预埋3根声测管有3个检测剖面,预埋4根声测管有6个检测剖面,预埋5根声测管有10个检测剖面。
5 不仅要求同一检测剖面,最好是一根桩各检测剖面,检测时都能满足各检测剖面声波发射电压和仪器设置参数不变的条件,使各检测剖面的声学参数具有可比性,利于综合判定。但应注意:4管6剖面时,若采用四个换能器同步提升并自动记录则属例外,此时对角线剖面的测距比边线剖面的测距大1.41倍,而长测距会增大声波衰减。
10.4.3 在桩身质量可疑的声测线附近,应采用增加声测线或采用扇形扫测(图10.4.3)、交叉斜测、CT影像技术等方式,进行复测和加密测试,确定缺陷的位置和空间分布范围,排除因声测管耦合不良等非桩身缺陷因素导致的异常声测线。采用扇形扫测时,两个换能器中点连线的水平夹角不应大于40°。
条文说明
10.4.3 经平测或斜测普查后,找出各检测剖面的可疑声测线,再经加密平测(减小测线间距)、交叉斜测等方式既可检验平测普查的结论是否正确,又可以依据加密测试结果判定桩身缺陷的边界,进而推断桩身缺陷的范围和空间分布特征。

图10.4.3 扇形扫测示意图
10.5 检测数据分析与判定
10.5 检测数据分析与判定
10.5.1 当因声测管倾斜导致声速数据有规律地偏高或偏低变化时,应先对管距进行合理修正,然后对数据进行统计分析。当实测数据明显偏离正常值而又无法进行合理修正时,检测数据不得作为评价桩身完整性的依据。
条文说明
10.5.1 当声测管平行时,构成某一检测剖面的两声测管外壁在桩顶面的净距离l等于该检测剖面所有声测线测距,当声测管弯曲时,各声测线测距将偏离l值,导致声速值偏离混凝土声速正常取值。一般情况下声测管倾斜造成的各测线测距变化沿深度方向有一定规律,表现为各条声测线的声速值有规律地偏离混凝土正常取值,此时可采用高阶曲线拟合等方法对各条测线测距作合理修正,然后重新计算各测线的声速。 如果不对斜管进行合理的修正,将严重影响声速的临界值合理取值,因此本条规定声测管倾斜时应作测距修正。但是,对于各声测线声速值的偏离沿深度方向无变化规律的,不得随意修正。因堵管导致数据不全,只能对有效检测范围内的桩身进行评价,不能整桩评价。
10.5.2 平测时各声测线的声时、声速、波幅及主频,应根据现场检测数据分别按下列公式计算,并绘制声速-深度曲线和波幅-深度曲线,也可绘制辅助的主频-深度曲线以及能量-深度曲线。


式中:i——声测线编号,应对每个检测剖面自下而上(或自上而下)连续编号;
j——检测剖面编号,按本规范第10.3.2条编组;
t ci (j)——第j检测剖面第i声测线声时(μs);
t i (j)——第j检测剖面第i声测线声时测量值(μs);
t 0 ——仪器系统延迟时间(μs);
t'——声测管及耦合水层声时修正值(μs);
l' i (j)——第j检测剖面第i声测线的两声测管的外壁间净距离(mm),当两声测管平行时,可取为两声测管管口的外壁间净距离;斜测时,l' i (j)为声波发射和接收换能器各自中点对应的声测管外壁处之间的净距离,可由桩顶面两声测管的外壁间净距离和发射接收声波换能器的高差计算得到;
ν i (j)——第j检测剖面第i声测线声速(km/s);
A pi (j)——第j检测剖面第i声测线的首波幅值(dB);
a i (j)——第j检测剖面第i声测线信号首波幅值(V);
a 0 ——零分贝信号幅值(V);
f i (j)——第j检测剖面第i声测线信号主频值(kHz),可经信号频谱分析得到;
T i (j)——第j检测剖面第i声测线信号周期(μs)。
条文说明
10.5.2 在声测中,不同声测线的波幅差异很大,采用声压级(分贝)来表示波幅更方便。式(10.5.2-4)用于模拟式声波仪通过信号周期来推算主频率;数字式声波仪具有频谱分析功能,可通过频谱分析获得信号主频。
10.5.3 当采用平测或斜测时,第j检测剖面的声速异常判断概率统计值应按下列方法确定:
1 将第j检测剖面各声测线的声速值ν i (j)由大到小依次按下式排序:

式中:ν i (j)——第j检测剖面第i声测线声速,i=1,2,……,n;
n——第j检测剖面的声测线总数;
k——拟去掉的低声速值的数据个数,k=0,1,2,……;
k'——拟去掉的高声速值的数据个数,k=0,1,2,……。
2 对逐一去掉ν i (j)中k个最小数值和k'个最大数值后的其余数据,按下列公式进行统计计算:

式中:ν 01 (j)——第j剖面的声速异常小值判断值;
ν 02 (j)——第j剖面的声速异常大值判断值;
ν m (j)——(n-k-k')个数据的平均值;
s x (j)——(n-k-k')个数据的标准差;
C v (j)——(n-k-k')个数据的变异系数;
λ——由表10.5.3查得的与(n-k-k')相对应的系数。
表10.5.3 统计数据个数(n-k-k')与对应的λ值


3 按k=0、k'=0、k=1、k'=1、k=2、k'=2……的顺序,将参加统计的数列最小数据ν n-k (j)与异常小值判断值ν 01 (j)进行比较,当ν n-k (j),小于等于ν 01 (j)时剔除最小数据;将最大数据ν k'+1 (j)与异常大值判断值ν 02 (j)进行比较,当ν k'+1 (j)大于等于ν 02 (j)时剔除最大数据;每次剔除一个数据,对剩余数据构成的数列,重复式(10.5.3-2)~(10.5.3-5)的计算步骤,直到下列两式成立:

4 第j检测剖面的声速异常判断概率统计值、应按下式计算:

式中:ν 0 (j)——第j检测剖面的声速异常判断概率统计值。
条文说明
10.5.3 对本条解释如下:
1 同批次混凝土试件在正常情况下强度值的波动是服从正态分布规律的,这已被大量的实测数据证实。由于混凝土构件的声速与其强度存在较显著的相关性,所以其声速值的波动也近似地服从正态分布规律。灌注桩作为一种混凝土构件,可认为在正常情况下其各条声测线的声速测试值也近似服从正态分布规律。这是用概率法计算混凝士灌注桩各剖面声速异常判断概率统计值的前提。
2 如果某一剖面有n条声测线,相当于进行了n个试件的声速试验,在正常情况下,这n条声测线的声速值的波动可认为服从正态分布规律。但是,由于桩身混凝土在成型过程中,环境条件或人为过失的影响或测试系统的误差等都将会导致n个测试值中的某些值偏离正态分布规律,在计算某一剖面声速异常判断概率统计值时,应剔除偏离正态分布的声测线,通过对剩余的服从正态分布规律的声测线数据进行统计计算就可以得到该剖面桩身混凝土在正常波动水平下可能出现的最低声速,这个声速值就是判断该剖面各声测线声速是否异常的概率统计值。
3 本规范在计算剖面声速异常判断概率统计值时采用了“双边剔除法”。一方面,桩身混凝土硬化条件复杂、混凝土粗细骨料不均匀、桩身缺陷、声测管耦合状况的变化、测距的变异性(将桩顶面的测距设定为整个检测剖面的测距)、首波判读的误差等因素可能导致某些声测线的声速值向小值方向偏离正态分布。另一方面,混凝土离析造成的局部粗骨料集中、声测管耦合状况的变化、测距的变异、首波判读的误差以及部分声测线可能存在声波沿环向钢筋的绕射等因素也可能导致某些声测线声速测值向大值方向偏离正态分布,这也属于非正常情况,在声速异常判断概率统计值的计算时也应剔除,否则两边的数据不对称,加剧剩余数据偏离正态分布,影响正态分布特征参数ν m和s x的推定。 双剔法是按照下列顺序逐一剔除:(1)异常小,(2)异常大,(3)异常小,……,每次统计计算后只剔一个,每次异常值的误判次数均为1,没有改变原规范的概率控制条件。 在实际计算时,先将某一剖面n条声测线的声速测试值从大到小排列为一数列,计算这n个测试值在正常情况下(符合正态分布规律下)可能出现的最小值ν01(j)=νm(j)—λ·sx(j)和最大值ν02(j)=νm(j)+λ·sx(j),依次将声速数列中大于ν02(j)或小于ν01(j)的数据逐一剔除(这些被剔除的数据偏离了正态分布规律),再对剩余数据构成的数列重新计算,直至式(10.5.3-7)和式(10.5.3-8)同时满足,此时认为剩余数据全部服从正态分布规律。ν01(j)就是判断声速异常的概率法统计值。 由于统计计算的样本数是10个以上,因此对于短桩,可通过减小声测线间距获得足够的声测线数。 桩身混凝土均匀性可采用变异系数Cv=sx(j)/νm(j)评价。 为比较“单边剔除法”和“双边剔除法”两种计算方法的差异,将21根工程桩共72个检测剖面的实测数据分别用两种方法计算得到各检测剖面的声速异常判断概率统计值,如图11所示。1号~15号桩(对应剖面为1~48)桩身混凝土均匀、质量较稳定,两种计算方法得到的声速异常判断概率统计值差异不大(双剔法略高);16号~21号桩(对应剖面为49~72)桩身存在较多缺陷,混凝土质量不稳定,两种计算方法得到的声速异常判断概率统计值差异较大,单剔法得到的异常判断概率统计值甚至会出现明显不合理的低值,而双剔法得到的声速异常判断概率统计值则比较合理。

图11 21根桩72个检测剖面双剔法与单剔法的异常判断概率统计值比较
1-单边剔除法;2-双边剔除法 再分别将两种计算方法对同一根桩的各个剖面声速异常判断概率统计值的标准差进行统计分析,结果如图12所示。由该图可以看到,双剔法计算得到的每根桩各个检测剖面声速异常判断概率统计值的标准差普遍小于单剔法。在工程上,同一根桩的混凝土设计强度,配合比、地基条件、施工工艺相同,不同检测剖面(自下而上)不存在明显差异,各剖面声速异常判断概率统计值应该是相近的,其标准差趋于变小才合理。所以双剔法比单剔法更符合工程实际情况。 再分别将两种计算方法对同一根桩的各个剖面声速异常判断概率统计值的标准差进行统计分析,结果如图12所示。由该图可以看到,双剔法计算得到的每根桩各个检测剖面声速异常判断概率统计值的标准差普遍小于单剔法。在工程上,同一根桩的混凝土设计强度,配合比、地基条件、施工工艺相同,不同检测剖面(自下而上)不存在明显差异,各剖面声速异常判断概率统计值应该是相近的,其标准差趋于变小才合理。所以双剔法比单剔法更符合工程实际情况。
4 当桩身混凝土质量稳定,声速测试值离散小时,由于标准差sx(j)较小,可能导致异常判断概率统计值ν01(j)过高从而误判;另一方面当桩身混凝土质量不稳定,声速测试值离散大时,由于sx(j)过大,可能会导致异常判断概率统计值ν01(j)过小从而导致漏判。为尽量减小出现上述两种情况的几率,对变异系数Cv(j)作了限定。
通过大量工程桩检测剖面统计分析,发现将Cv(j)限定在[0.015,0.045]区间内,声速异常判断概率统计值的取值落在合理范围内的几率较大。

图12 21根桩双剔法与单剔法的标准差比较
1-单边剔除法;2-双边剔除法
10.5.4 受检桩的声速异常判断临界值,应按下列方法确定:
1 应根据本地区经验,结合预留同条件混凝土试件或钻芯法获取的芯样试件的抗压强度与声速对比试验,分别确定桩身混凝土声速低限值ν L 和混凝土试件的声速平均值ν D 。
2 当ν 0 (j)大于ν L 且小于ν D 时

式中:ν c (j)——第j检测剖面的声速异常判断临界值;
ν 0 (j)——第j检测剖面的声速异常判断概率统计值。
3 当ν 0 (j)小于等于ν L 或ν 0 (j)大于等于ν p 时,应分析原因;第j检测剖面的声速异常判断临界值可按下列情况的声速异常判断临界值综合确定:
1)同一根桩的其他检测剖面的声速异常判断临界值;
2)与受检桩属同一工程、相同桩型且混凝土质量较稳定的其他桩的声速异常判断临界值。
4 对只有单个检测剖面的桩,其声速异常判断临界值等于检测剖面声速异常判断临界值;对具有三个及三个以上检测剖面的桩,应取各个检测剖面声速异常判断临界值的算术平均值,作为该桩各声测线的声速异常判断临界值。
条文说明
10.5.4 对本条各款依次解释如下:
1 νL和νP的合理确定是大量既往检测经验的体现。当桩身混凝土未达到龄期而提前检测时,应对νL和νP的取值作适当调整。
2 概率法从本质上说是一种相对比较法,它考察的只是各条声测线声速与相应检测剖面内所有声测线声速平均值的偏离程度。当声测管倾斜或桩身存在多个缺陷时,同一检测剖面内各条声测线声速值离散很大,这些声速值实际上已严重偏离了正态分布规律,基于正态分布规律的概率法判据已失效,此时,不能将概率法临界值ν0(j)作为该检测剖面各声测线声速异常判断临界值νc,式(10.5.4)就是对概率法判据值作合理的限定。
3 同一桩型是指施工工艺相同、混凝土的设计强度和配合比相同的桩。
4 声速的测试值受非缺陷因素影响小,测试值较稳定,不同剖面间的声速测试值具有可比性。取各检测剖面声速异常判断临界值的平均值作为该桩各剖面内所有声测线声速异常判断临界值,可减小各剖面间因为用概率法计算的临界值差别过大造成的桩身完整性判别上的不合理性。另一方面,对同一根桩,桩身混凝土设计强度和配合比以及施工工艺都是一样的,应该采用一个临界值标准来判定各剖面所有声测线对应的混凝土质量。当某一剖面声速临界值明显偏离合理取值范围时,应分析原因,计算时应剔除。
10.5.5 声速ν i (j)异常应按下式判定:

10.5.6 波幅异常判断的临界值,应按下列公式计算:


波幅A pi (j)异常应按下式判定:

式中:A m (j)——第j检测剖面各声测线的波幅平均值(dB);
A pi (j)——第j检测剖面第i声测线的波幅值(dB);
A c (j)——第j检测剖面波幅异常判断的临界值(dB);
n——第j检测剖面的声测线总数。
条文说明
10.5.6 波幅临界值判据为Api(j)<Am(j)—6,即选择当信号首波幅值衰减量为对应检测剖面所有信号首波幅值衰减量平均值的一半时的波幅分贝数为临界值,在具体应用中应注意下面几点: 波幅判据没有采用如声速判据那样的各检测剖面取平均值的办法,而是采用单剖面判据,这是因为不同剖面间测距及声耦合状况差别较大,使波幅不具有可比性。此外,波幅的衰减受桩身混凝土不均匀性、声波传播路径和点源距离的影响,故应考虑声测管间距较大时波幅分散性而采取适当的调整。 因波幅的分贝数受仪器、传感器灵敏度及发射能量的影响,故应在考虑这些影响的基础上再采用波幅临界值判据。当波幅差异性较大时,应与声速变化及主频变化情况相结合进行综合分析。
10.5.7 当采用信号主频值作为辅助异常声测线判据时,主频-深度曲线上主频值明显降低的声测线可判定为异常。
条文说明
10.5.7 声波接收信号的主频漂移程度反映了声波在桩身混凝土中传播时的衰减程度,而这种衰减程度又能体现混凝土质量的优劣。接收信号的主频受诸如测试系统的状态、声耦合状况、测距等许多非缺陷因素的影响,测试值没有声速稳定,对缺陷的敏感性不及波幅。在实用时,作为声速、波幅等主要声参数判据之外的一个辅助判据。 在使用主频判据时,应保持声波换能器具有单峰的幅频特性和良好的耦合一致性,接收信号不应超量程,否则削波带来的高频谐波会影响分析结果。若采用FFT方法计算主频值,还应保证足够的频域分辨率。
10.5.8 当采用接收信号的能量作为辅助异常声测线判据时,能量-深度曲线上接收信号能量明显降低可判定为异常。
条文说明
10.5.8 接收信号的能量与接收信号的幅值存在正相关性,可以将约定的某一足够长时间段内的声波时域曲线的绝对值对时间积分后得到的结果(或约定的某一足够长时段内的声波时域曲线的平均幅值)作为能量指标。接收信号的能量反映了声波在混凝土介质中各个声传播路径上能量总体衰减情况,是测区混凝土质量的综合反映,也是波形畸变程度的量化指标。使用能量判据时,接收信号不应超量程(削波)。
10.5.9 采用斜率法作为辅助异常声测线判据时,声时-深度曲线上相邻两点的斜率与声时差的乘积PSD值应按下式计算。当PSD值在某深度处突变时,宜结合波幅变化情况进行异常声测线判定。

式中:PSD——声时-深度曲线上相邻两点连线的斜率与声时差的乘积(μs 2 /m);
t ci (j)——第j检测剖面第i声测线的声时(μs);
t ci-1 (j)——第j检测剖面第i-1声测线的声时(μs);
z i ——第i声测线深度(m);
z i-1 ——第i-1声测线深度(m)。
条文说明
10.5.9 在桩身缺陷的边缘,声时将发生突变,桩身存在缺陷的声测线对应声时-深度曲线上的突变点。经声时差加权后的PSD判据图更能突出桩身存在缺陷的声测线,并在一定程度上减小了声测管的平行度差或混凝土不均匀等非缺陷因素对数据分析判断的影响。实际应用时可先假定缺陷的性质(如夹层、空洞、蜂窝等)和尺寸,计算临界状态的PSD值,作为PSD临界值判据,但需对缺陷区的声速作假定。
10.5.10 桩身缺陷的空间分布范围,可根据以下情况判定:
1 桩身同一深度上各检测剖面桩身缺陷的分布;
2 复测和加密测试的结果。
条文说明
10.5.10 声波透射法与其他的桩身完整性检测方法相比,具有信息量更丰富、全面、细致的特点:可以依据对桩身缺陷处加密测试(斜测、交叉斜测、扇形扫测以及CT影像技术)来确定缺陷几何尺寸;可以将不同检测剖面在同一深度的桩身缺陷状况进行横向关联,来判定桩身缺陷的横向分布。
10.5.11 桩身完整性类别应结合桩身缺陷处声测线的声学特征、缺陷的空间分布范围,按本规范表3.5.1和表10.5.11所列特征进行综合判定。
表10.5.11 桩身完整性判定

注:1 完整性类别由Ⅳ类往Ⅰ类依次判定。
2 对于只有一个检测剖面的受检桩,桩身完整性判定应按该检测剖面代表桩全部横截面的情况对待。
条文说明
10.5.11 表10.5.11中声波透射法桩身完整性类别分类特征是根据以下几个因素来划分的:(1)缺陷空间几何尺寸的相对大小;(2)声学参数异常的相对程度;(3)接收波形畸变的相对程度;(4)声速与低限值比较。这几个因素中除声速可与低限值作定量对比外,如Ⅰ、Ⅱ类桩混凝土声速不低于低限值,Ⅲ、Ⅳ类桩局部混凝土声速低于低限值,其他参数均是以相对大小或异常程度来作定性的比较。 预埋有多个声测管的声波透射法测试过程中,多个检测剖面中也常出现某一检测剖面个别声测线声学参数明显异常情况,即空间范围内局部较小区域出现明显缺陷。这种情况,可依据缺陷在深度方向出现的位置和影响程度,以及基桩荷载分布情况和使用特点,将类别划分的等级提高一级,即多个检测剖面中某一检测剖面只有个别声测线声学参数明显异常、波形明显畸变,该特征归类到Ⅱ类桩;而声学参数严重异常、接收波形严重畸变或接收不到信号,则归类到Ⅲ类桩。

图13 接收波形畸变程度示意 这里需要说明:对于只预埋2根声测管的基桩,仅有一个检测剖面,只能认定该检测剖面代表基桩全部横截面,无论是连续多根声测线还是个别声测线声学参数异常均表示为全断面的异常,相当于表中的“大于或等于检测剖面数量的一半”。 根据规范规定采用的换能器频率对应的波长以及100mm最大声测线间距,使异常声测线至少连续出现2次所对应的缺陷尺度一般不会低于10cm量级。 声波接收波形畸变程度示例见图13。
10.5.12 检测报告除应包括本规范第3.5.3条规定的内容外,尚应包括下列内容:
1 声测管布置图及声测剖面编号;
2 受检桩每个检测剖面声速-深度曲线、波幅-深度曲线,并将相应判据临界值所对应的标志线绘制于同一个坐标系;
3 当采用主频值、PSD值或接收信号能量进行辅助分析判定时,应绘制相应的主频-深度曲线、PSD曲线或能量-深度曲线;
4 各检测剖面实测波列图;
5 对加密测试、扇形扫测的有关情况说明;
6 当对管距进行修正时,应注明进行管距修正的范围及方法。
条文说明
10.5.12 实测波形的后续部分可反映声波在接、收换能器之间的混凝土介质中各种声传播路径上总能量衰减状况,其影响区域大于首波,因此检测剖面的实测波形波列图有助于测试人员对桩身缺陷程度及位置直观地判定。
附录A桩身内力测试
附录A 桩身内力测试
A.0.1 桩身内力测试适用于桩身横截面尺寸基本恒定或已知的桩。
条文说明
A.0.1 通过内力测试可解决如下问题:对竖向抗压静载试验桩,可得到桩侧各土层的分层抗压侧阻力和桩端支承力;对竖向抗拔静荷载试验桩,可得到桩侧土的分层抗拔侧阻力;对水平静荷载试验桩,可求得桩身弯矩分布,最大弯矩位置等;对需进行负摩阻力测试的试验桩,可得到桩侧各土层的负摩阻力及中性点位置;对打入式预制混凝土桩和钢桩,可得到打桩过程中桩身各部位的锤击拉、压应力。 灌注桩桩身轴力换算准确与否与桩身横截面尺寸有关,某一成孔工艺对不同地层条件的适应性不同,因此对成孔质量无把握或预计桩身将出现较大变径时,应进行灌注前的成孔质量检测。
A.0.2 桩身内力测试宜根据测试目的、试验桩型及施工工艺选用电阻应变式传感器、振弦式传感器、滑动测微计或光纤式应变传感器。
条文说明
A.0.2 测试方案选择是否合适,一定程度上取决于检测技术人员对试验要求、施工工艺及其细节的了解,以及对振弦、光纤和电阻应变式传感器的测量原理及其各自的技术、环境性能的掌握。对于灌注桩,传感器的埋设难度随埋设数量的增加而增大,为确保传感器埋设后有较高的成活率,重点需要协调成桩过程中与传感器及其电缆固定方式相关的防护问题;为了确保测试结果可靠,检测前应针对传感器的防水、温度补偿、长电缆及受力状态引起的灵敏度变化等实际情况,对传感器逐个进行检查和自校。当需要检测桩身某断面或桩端位移时,可在需检测断面设置位移杆,也可通过滑动测微计直接测量。
A.0.3 传感器测量断面应设置在两种不同性质土层的界面处,且距桩顶和桩底的距离不宜小于1倍桩径。在地面处或地面以上应设置一个测量断面作为传感器标定断面。传感器标定断面处应对称设置4个传感器,其他测量断面处可对称埋设2个~4个传感器,当桩径较大或试验要求较高时取高值。
A.0.4 采用滑动测微计时,可在桩身内通长埋设1根或1根以上的测管,测管内宜每隔1m设测标或测量断面一个。
条文说明
A.0.4 滑动测微计测管的体积较大,测管的埋设数量一般根据桩径的大小以及桩顶以上的操作空间决定:对灌注桩宜对称埋设不少于2根;对预制桩,当埋设1根测管时,宜将测管埋设在桩中心轴上。对水平静荷载试验桩,宜沿受力方向在桩两侧对称埋设2根测管,测管可不通长埋设,但应大于水平力影响深度。
A.0.5 应变传感器安装,可根据不同桩型选择下列方式:
1 钢桩可将电阻应变计直接粘贴在桩身上,振弦式和光纤式传感器可采用焊接或螺栓连接固定在桩身上;
2 混凝土桩可采用焊接或绑焊工艺将传感器固定在钢筋笼上;对采用蒸汽养护或高压蒸养的混凝土预制桩,应选用耐高温的电阻应变计、粘贴剂和导线。
条文说明
A.0.5 应变式传感器可按全桥或半桥方式制作,宜优先采用全桥方式。传感器的测量片和补偿片应选用同一规格同一批号的产品,按轴向、横向准确地粘贴在钢筋同一断面上。测点的连接应采用屏蔽电缆,导线的对地绝缘电阻值应在500MΩ以上;使用前应将整卷电缆除两端外全部浸入水中1h,测量芯线与水的绝缘;电缆屏蔽线应与钢筋绝缘;测量和补偿所用连接电缆的长度和线径应相同。 应变式传感器可视以下情况采用不同制作方法:
1 对钢桩可采用以下两种方法之一:
1)将应变计用特殊的粘贴剂直接贴在钢桩的桩身,应变计宜采用标距3mm~6mm的350Ω胶基箔式应变计,不得使用纸基应变计。粘贴前应将贴片区表面除锈磨平,用有机溶剂去污清洗,待干燥后粘贴应变计。粘贴好的应变计应采取可靠的防水防潮密封防护措施。
2)将应变式传感器直接固定在测量位置。
2 对混凝土预制桩和灌注桩,应变传感器的制作和埋设可视具体情况采用以下两种方法之一:
1)在600mm~1000mm长的钢筋上,轴向、横向粘贴四个(二个)应变计组成全桥(半桥),经防水绝缘处理后,到材料试验机上进行应力-应变关系标定。标定时的最大拉力宜控制在钢筋抗拉强度设计值的60%以内,经三次重复标定,应力-应变曲线的线性、滞后和重复性满足要求后,方可采用。传感器应在浇筑混凝土前按指定位置焊接或绑扎(泥浆护壁灌注桩应焊接)在主筋上,并满足规范对钢筋锚固长度的要求。固定后带应变计的钢筋不得弯曲变形或有附加应力产生。
2)直接将电阻应变计粘贴在桩身指定断面的主筋上,其制作方法及要求同本条第1款钢桩上粘贴应变计的方法及要求。
A.0.6 电阻应变式传感器及其连接电缆,应有可靠的防潮绝缘防护措施;正式测试前,传感器及电缆的系统绝缘电阻不得低于200MΩ。
A.0.7 应变测量所用的仪器,宜具有多点自动测量功能,仪器的分辨力应优于或等于1με。
A.0.8 弦式钢筋计应按主筋直径大小选择,并采用与之匹配的频率仪进行测量。频率仪的分辨力应优于或等于1Hz,仪器的可测频率范围应大于桩在最大加载时的频率的1.2倍。使用前,应对钢筋计逐个标定,得出压力(拉力)与频率之间的关系。
A.0.9 带有接长杆的弦式钢筋计宜焊接在主筋上,不宜采用螺纹连接。
A.0.10 滑动测微计测管的埋设应确保测标同桩身位移协调一致,并保持测标清洁。测管安装可根据下列情况采用不同的方法:
1 对钢管桩,可通过安装在测管上的测标与钢管桩的焊接,将测管固定在桩壁内侧;
2 对非高温养护预制桩,可将测管预埋在预制桩中;管桩可在沉桩后将测管放入中心孔中,用含膨润土的水泥浆充填测管与桩壁间的空隙;
3 对灌注桩,可在浇筑混凝土前将测管绑扎在主筋上,并应采取防止钢筋笼扭曲的措施。
条文说明
A.0.10 滑动测微计探头直接测试的是相邻测标间的应变,应确保测标能与桩体位移协调一致才能测试得到桩体的应变;同时桩身内力测试对应变测试的精度要求极高,必须保持测标在埋设直至测试结束过程中的清洁,防止杂质污染。对灌注桩,若钢筋笼过长、主筋过细,会导致钢筋笼及绑扎在其上的测管严重扭曲从而影响测试,宜采取措施防范。
A.0.11 滑动测微计测试前后,应进行仪器标定,获得仪器零点和标定系数。
A.0.12 当桩身应变与桩身位移需要同时测量时,桩身位移测试应与桩身应变测试同步。
A.0.13 测试数据整理应符合下列规定:
1 采用电阻应变式传感器测量,但未采用六线制长线补偿时,应按下列公式对实测应变值进行导线电阻修正:

式中:ε——修正后的应变值;
ε'——修正前的应变值;
r——导线电阻(Ω);
R——应变计电阻(Ω)。
2 采用弦式钢筋计测量时,应根据率定系数将钢筋计的实测频率换算成力值,再将力值换算成与钢筋计断面处混凝土应变相等的钢筋应变量。
3 采用滑动测微计测量时,应按下列公式计算应变值:

式中:e——仪器读数修正值;
e'——仪器读数;
z 0 ——仪器零点;
K——率定系数;
ε——应变值;
e 0 ——初始测试仪器读数修正值。
4 数据处理时,应删除异常测点数据,求出同一断面有效测点的应变平均值,并应按下式计算该断面处的桩身轴力:

式中:Q i ——桩身第i断面处轴力(kN);
——第i断面处应变平均值,长期监测时应消除桩身徐变影响;
E i ——第i断面处桩身材料弹性模量(kPa);当混凝土桩桩身测量断面与标定断面两者的材质、配筋一致时,应按标定断面处的应力与应变的比值确定;
A i ——第i断面处桩身截面面积(m 2 )。
5 每级试验荷载下,应将桩身不同断面处的轴力值制成表格,并绘制轴力分布图。桩侧土的分层侧阻力和桩端阻力应分别按下列公式计算:

式中:q si ——桩第i断面与i+1断面间侧阻力(kPa);
q p ——桩的端阻力(kPa);
i——桩检测断面顺序号,i=1,2,……,n,并自桩顶以下从小到大排列;
u——桩身周长(m);
l i ——第i断面与第i+1断面之间的桩长(m);
Q n ——桩端的轴力(kN);
A 0 ——桩端面积(m 2 )。
6 桩身第i断面处的钢筋应力应按下式计算:

式中:σ si ——桩身第i断面处的钢筋应力(kPa);
E s ——钢筋弹性模量(kPa);
ε si --桩身第i断面处的钢筋应变。
条文说明
A.0.13 电阻应变测量通常采用四线制,导线长度超过5m~10m就需对导线电阻引起的桥压下降进行修正。采用六线制长线补偿是指通过增加2根导线作为补偿取样端,从而形成闭合回路,消除长导线电阻及温度变化带来的误差。 由于混凝土属于非线性材料,当应变或应力水平增加时,其模量会发生不同程度递减,Ei并非常数,实则为割线模量。因此需要将测量断面实测应变值对照标定断面的应力-应变曲线进行内插取值。 进行长期监测时,桩体在内力长期作用下除发生弹性应变外,也会发生徐变,若得到的应变中包含较大的徐变量,应将徐变量予以扣除。
A.0.14 指定桩身断面的沉降以及两个指定桩身断面之间的沉降差,可采用位移杆测量。位移杆应具有一定的刚度,宜采用内外管形式:外管固定在桩身,内管下端固定在需测试断面,顶端高出外管100mm~200mm,并能与测试断面同步位移。
A.0.15 测量位移杆位移的检测仪器应符合本规范第4.2.4条的规定。数据的测读应与桩顶位移测量同步。
条文说明
A.0.14、A.0.15 两相邻位移杆(沉降杆)的沉降差代表该段桩身的平均应变,通常位移杆的埋设数量有限,仅依靠位移杆测试桩身应变,很难准确测出桩身轴力分布(导致无法详细了解桩侧阻力的分布)。但有时为了了解端承力的发挥程度,可仅在桩端埋设位移杆,通过测得的桩端沉降估计端承力的发挥状况,此外结合桩顶沉降还可确定桩身(弹性)压缩量。当位移杆底端固定断面处桩身埋设有应变传感器时,可得到该断面处桩身轴力Qi和竖向位移si。
附录B混凝土桩桩头处理
附录B 混凝土桩桩头处理
B.0.1 混凝土桩应凿掉桩顶部的破碎层以及软弱或不密实的混凝土。
B.0.2 桩头顶面应平整,桩头中轴线与桩身上部的中轴线应重合。
B.0.3 桩头主筋应全部直通至桩顶混凝土保护层之下,各主筋应在同一高度上。
B.0.4 距桩顶1倍桩径范围内,宜用厚度为3mm~5mm的钢板围裹或距桩顶1.5倍桩径范围内设置箍筋,间距不宜大于100mm。桩顶应设置钢筋网片1层~2层,间距60mm~100mm。
B.0.5 桩头混凝土强度等级宜比桩身混凝土提高1级~2级,且不得低于C30。
B.0.6 高应变法检测的桩头测点处截面尺寸应与原桩身截面尺寸相同。
B.0.7 桩顶应用水平尺找平。
附录C静载试验记录表
附录C 静载试验记录表
C.0.1 单桩竖向抗压静载试验的现场检测数据宜按表C.0.1的格式记录。
表C.0.1 单桩竖向抗压静载试验记录表

C.0.2 单桩水平静载试验的现场检测数据宜按表C.0.2的格式记录。
表C.0.2 单桩水平静载试验记录表

附录D钻芯法检测记录表
附录D 钻芯法检测记录表
D.0.1 钻芯法检测的现场操作记录和芯样编录应分别按表D.0.1-1和表D.0.1-2的格式记录;检测芯样综合柱状图应按表D.0.1-3的格式记录和描述。
表D.0.1-1 钻芯法检测现场操作记录表

表D.0.1-2 钻芯法检测芯样编录表

表D.0.1-3 钻芯法检测芯样综合柱状图

附录E芯样试件加工和测量
附录E 芯样试件加工和测量
E.0.1 芯样加工时应将芯样固定,锯切平面垂直于芯样轴线。锯切过程中应淋水冷却金刚石圆锯片。
E.0.2 锯切后的芯样试件不满足平整度及垂直度要求时,应选用下列方法进行端面加工:
1 在磨平机上磨平;
2 用水泥砂浆、水泥净浆、硫磺胶泥或硫磺等材料在专用补平装置上补平;水泥砂浆或水泥净浆的补平厚度不宜大于5mm,硫磺胶泥或硫磺的补平厚度不宜大于1.5mm。
E.0.3 补平层应与芯样结合牢固,受压时补平层与芯样的结合面不得提前破坏。
E.0.4 试验前,应对芯样试件的几何尺寸做下列测量:
1 平均直径:在相互垂直的两个位置上,用游标卡尺测量芯样表观直径偏小的部位的直径,取其两次测量的算术平均值,精确至0.5mm;
2 芯样高度:用钢卷尺或钢板尺进行测量,精确至1mm;
3 垂直度:用游标量角器测量两个端面与母线的夹角,精确至0.1°;
4 平整度:用钢板尺或角尺紧靠在芯样端面上,一面转动钢板尺,一面用塞尺测量与芯样端面之间的缝隙。
E.0.5 芯样试件出现下列情况时,不得用作抗压或单轴抗压强度试验:
1 试件有裂缝或有其他较大缺陷时;
2 混凝土芯样试件内含有钢筋时;
3 混凝土芯样试件高度小于0.95d或大于1.05d时(d为芯样试件平均直径);
4 岩石芯样试件高度小于2.0d或大于2.5d时;
5 沿试件高度任一直径与平均直径相差达2mm以上时;
6 试件端面的不平整度在100mm长度内超过0.1mm时;
7 试件端面与轴线的不垂直度超过2°时;
8 表观混凝土粗骨料最大粒径大于芯样试件平均直径0.5倍时。
附录F高应变法传感器安装
附录F 高应变法传感器安装
F.0.1 高应变法检测时的冲击响应可采用对称安装在桩顶下桩侧表面的加速度传感器测量;冲击力可按下列方式测量:
1 采用对称安装在桩顶下桩侧表面的应变传感器测量测点处的应变,并将应变换算成冲击力;
2 在自由落锤锤体顶面下对称安装加速度传感器直接测量冲击力。
F.0.2 在桩顶下桩侧表面安装应变传感器和加速度传感器(图F.0.1a~图F.0.1c)时,应符合下列规定:
1 应变传感器和加速度传感器,宜分别对称安装在距桩顶不小于2D或2B的桩侧表面处;对于大直径桩,传感器与桩顶之间的距离可适当减小,但不得小于D;传感器安装面处的材质和截面尺寸应与原桩身相同,传感器不得安装在截面突变处附近;
2 应变传感器与加速度传感器的中心应位于同一水平线上;同侧的应变传感器和加速度传感器间的水平距离不宜大于80mm;
3 各传感器的安装面材质应均匀、密实、平整;当传感器的安装面不平整时,可采用磨光机将其磨平;
4 安装传感器的螺栓钻孔应与桩侧表面垂直;安装完毕后的传感器应紧贴桩身表面,传感器的敏感轴应与桩中心轴平行;锤击时传感器不得产生滑动;
5 安装应变式传感器时,应对其初始应变值进行监视;安装后的传感器初始应变值不应过大,锤击时传感器的可测轴向变形余量的绝对值应符合下列规定:
1)混凝土桩不得小于1000με;
2)钢桩不得小于1500με。
F.0.3 自由落锤锤体上安装加速度传感器(图F.0.1d)时,除应符合本规范第F.0.2条的有关规定外,尚应保证安装在桩侧表面的加速度传感器距桩顶的距离,不小于下列数值中的较大者:
1 0.4H r ;
2 D或B。
F.0.4 当连续锤击监测时,应将传感器连接电缆有效固定。

图F.0.1 传感器安装示意图
注:图中尺寸单位为mm。
1-加速度传感器;2-应变传感器;B-矩形桩的边宽;D-桩身外径;H r -落锤锤体高度
附录G试打桩与打桩监控
附录G 试打桩与打桩监控
G.1 试 打 桩
G.1.1 为选择工程桩的桩型、桩长和桩端持力层进行试打桩时,应符合下列规定:
1 试打桩位置的地基条件应具有代表性;
2 试打桩过程中,应按桩端进入的土层逐一进行测试;当持力层较厚时,应在同一土层中进行多次测试。
G.1.2 桩端持力层应根据试打桩的打桩阻力与贯入度的关系,结合场地岩土工程勘察报告综合判定。
G.1.3 采用试打桩预估桩的承载力应符合下列规定:
1 应通过试打桩复打试验确定桩的承载力恢复系数;
2 复打至初打的休止时间应符合本规范表3.2.5的规定;
3 试打桩数量不应少于3根。
G.2 桩身锤击应力监测
G.2.1 桩身锤击应力监测应符合下列规定:
1 被监测桩的桩型、材质应与工程桩相同;施打机械的锤型、落距和垫层材料及状况应与工程桩施工时相同;
2 监测应包括桩身锤击拉应力和锤击压应力两部分。
G.2.2 桩身锤击应力最大值监测宜符合下列规定:
1 桩身锤击拉应力宜在预计桩端进入软土层或桩端穿过硬土层进入软夹层时测试;
2 桩身锤击压应力宜在桩端进入硬土层或桩侧土阻力较大时测试。
G.2.3 传感器安装点以下深度的桩身锤击拉应力应按下式计算:

式中:σ t ——深度x处的桩身锤击拉应力(kPa);
x——传感器安装点至计算点的深度(m);
A——桩身截面面积(m 2 )。
G.2.4 最大桩身锤击拉应力出现的深度,应与式(G.2.3)确定的最大桩身锤击拉应力相对应。
G.2.5 最大桩身锤击压应力可按下式计算:

式中:σ p ——最大桩身锤击压应力(kPa);
F max ——实测的最大锤击力(kN)。
当打桩过程中突然出现贯入度骤减甚至拒锤时,应考虑与桩端接触的硬层对桩身锤击压应力的放大作用。
G.2.6 桩身最大锤击应力控制值应符合现行行业标准《建筑桩基技术规范》JGJ 94的有关规定。
G.3 锤击能量监测
G.3.1 桩锤实际传递给桩的能量应按下式计算:

式中:E n ——桩锤实际传递给桩的能量(kJ);
t e ——采样结束的时刻(s)。
G.3.2 桩锤最大动能宜通过测定锤芯最大运动速度确定。
G.3.3 桩锤传递比应按桩锤实际传递给桩的能量与桩锤额定能量的比值确定;桩锤效率应按实测的桩锤最大动能与桩锤额定能量的比值确定。
本规范用词说明
本规范用词说明
1 为便于在执行本规范条文时区别对待,对要求严格程度不同的用词说明如下:
1)表示很严格,非这样做不可的用词:
正面词采用“必须”,反面词采用“严禁”;
2)表示严格,在正常情况均应这样做的用词:
正面词采用“应”,反面词采用“不应”或“不得”;
3)表示允许稍有选择,在条件许可时首先应这样做的用词:
正面词采用“宜”,反面词采用“不宜”;
4)表示有选择,在一定条件下可以这样做的用词,采用“可”。
2 条文中指明按其他有关标准执行的写法为:“应符合……的规定”或“应按……执行”。
引用标准名录
引用标准名录
1 《建筑地基基础设计规范》GB 50007
2 《普通混凝土力学性能试验方法标准》GB/T 50081
3 《建筑桩基技术规范》JGJ 94
4 《基桩动测仪》JG/T 3055
