Appearance
《石油化工建(构)筑物结构荷载规范[附条文说明]》GB 51006-2014
🗓️ 住房和城乡建设部 实施时间:2015-04-01
前言
中华人民共和国国家标准
石油化工建(构)筑物结构荷载规范
Load code for design of buildings and special structures in petrochemical industry
GB 51006-2014
主编部门:中国石油化工集团公司
批准部门:中华人民共和国住房和城乡建设部
施行日期:2015年4月1日
中华人民共和国住房和城乡建设部公告
第459号
关于发布国家标准《石油化工建(构)筑物结构荷载规范》的公告
现批准《石油化工建(构)筑物结构荷载规范》为国家标准,编号为GB 51006-2014,自2015年4月1日起实施。其中,第3.0.2、3.0.3条为强制性条文,必须严格执行。
本规范由我部标准定额研究所组织中国计划出版社出版发行。
中华人民共和国住房和城乡建设部
2014年6月23日
前言
本规范是根据住房和城乡建设部《关于印发〈2010年工程建设标准规范制订、修订计划〉的通知》(建标〔2010〕43号)的要求,由中国石化工程建设有限公司会同有关单位共同编制完成的。在本规范编制过程中,编制组在广泛征求意见的基础上,认真总结工程经验,吸收国内外科研成果,经反复讨论、修改,最后经审查定稿。
本规范共分8章和3个附录,主要技术内容有:总则、术语和符号、荷载分类和荷载代表值、永久荷载、可变荷载、建筑物荷载、构筑物荷载、荷载组合等。
本规范主要规定了以下内容:
1.石油化工生产、贮藏和输送装置中,建(构)筑物承受的各种荷载的分类和取值标准;
2.石油化工构筑物风荷载的计算方法;
3.各类荷载的分项系数取值标准;
4.各工况荷载效应组合方法。
本规范中以黑体字标志的条文为强制性条文,必须严格执行。
本规范由住房和城乡建设部负责管理和对强制性条文的解释,中国石油化工集团公司负责日常管理,中国石化工程建设有限公司负责具体技术内容的解释。在执行过程中,请各单位结合工程实践,认真总结经验,并将意见和建议寄送中国石化工程建设有限公司《石油化工建(构)筑物结构荷载规范》管理组(地址:北京朝阳区安慧北里安园21号;邮政编码:100101)。
本规范主编单位、参编单位、主要起草人和主要审查人:
主编单位:中国石化工程建设有限公司
参编单位:中石化洛阳工程有限公司
大庆石化工程有限公司
连云港沃利帕森工程技术有限公司
中石化上海工程有限公司
中石化宁波工程有限公司
惠生工程(中国)有限公司
主要起草人:黄左坚 刘洪坤 王松生 王耀东 刘毅兵 任意 杨栋 何国富 赵晖 赵福运 黄钟喜 嵇转平 樊奉瑭
主要审查人:李立昌 张荣钢 邱正华 武笑平 尹天成 胡现兵 赵勇 王超 田平汉
条文说明
中华人民共和国国家标准
石油化工建(构)筑物结构荷载规范
GB 51006-2014
条文说明
制订说明
《石油化工建(构)筑物结构荷载规范》GB 51006-2014,经住房和城乡建设部2014年6月23日以第459号公告批准发布。
本规范在编制过程中,编制组在广泛征求意见的基础上,认真总结工程经验,吸收国内外科研成果,同时参考国外先进技术法规、技术标准,通过实践经验总结和研究,取得了石油化工建(构)筑物荷载的重要技术参数。
为便于广大设计、审查、科研和学校等单位有关人员在使用本规范时能正确理解的执行条文规定,《石油化工建(构)筑物荷载规范》编制组按章、节、条顺序编制了本条文说明,对条文规定的目的、依据以及执行中需注意的有关事项进行了说明,还着重对强制性条文的强制性理由做了解释。但是,本条文说明不具备与标准正文同等的法律效力,仅供使用者作为理解和把握规范规定的参考。
1 总则
1 总 则
1.0.1 为了适应石油化工建(构)筑物结'构设计的需要,符合安全适用、经济合理的要求,制定本规范。
条文说明
1.0.1 目前在石油化工建(构)筑物结构设计时,荷载计算主要依据现行国家标准《建筑结构荷载规范》GB 50009。该规范主要规定了民用、公共建筑和一般生产性工业建筑的荷载取值和效应组合,而石油化工企业常见的建(构)筑物包含甚少。该规范所涵盖的内容和条款不能满足石油化工企业中建(构)筑物的荷载分类、取值和组合的要求,在石油化工行业的应用受到很大限制。目前石油化工行业内采用的方法,是在行业各建(构)筑物设计标准中分别对荷载作出规定,但由于石油化工分属中石化、中石油、中海油等多个国有特大企业,各行业标准对荷载的规定不统一,荷载的分类、取值和组合方式较为混乱,因此有必要编制适合于石油化工企业的建(构)筑物荷载的国家标准。 石油化工企业由于原料和产品及加工过程的特殊性、复杂性和危险性,建(构)筑物的主要任务是确保它所支承的设备在各种条件下都能正常工作,并确保其他事故不影响本结构的正常使用,避免事故升级或产生次生灾害,这些都与《建筑结构荷载规范》GB 50009有所不同。因此,石油化工企业建(构)筑物的型式、设计目的、荷载分类和取值有其特殊性,目前执行的国家标准和行业标准均不能较为准确、系统地解决其特定问题,给石油化工企业建(构)筑物的设计带来较大的困难,为更好地贯彻执行技术先进、安全适用、经济合理、确保质量的设计原则,编制本标准。
1.0.2 本规范适用于石油化工建(构)筑物工程的结构设计。本规范不适用于办公、居住等公共及民用建筑物的结构设计。
条文说明
1.0.2 石油化工建筑物主要包括变配电室、主控室、机柜间、分析化验室、压缩机类厂房、生产类厂房、各类仓库或储存间、泵房(包括半地下泵房)、消防站及其他小型建筑;不包括厂区内的办公楼、倒班宿舍等。石油化工构筑物可分为构架类、落地设备基础类、池类等。构架类构筑物包括各类石油化工构架、管架、火炬及排气筒塔架、栈桥等。池类构筑物包括水池、各种地沟、各种井。石油化工企业内的非石油化工特有的建(构)筑物的荷载及组合见相关国家标准,其他行业的类似结构也可参照本规范。
1.0.3 本规范依据现行国家标准《工程结构可靠性设计统一标准》GB 50153和《建筑结构荷载规范》GB 50009规定的原则制定。
1.0.4 石油化工建(构)筑物结构设计中涉及的作用应包括直接作用(荷载)和间接作用(如地基变形、构件变形、设备和管道温度变化、地震或爆炸等引起的作用)。本规范仅对有关荷载和温度变化及爆炸引起的作用作出规定。
条文说明
1.0.4 本规范仅在组合中涉及地震引起的作用。设备温度变化及爆炸对结构的作用用等效荷载的形式考虑。
1.0.5 石油化工建(构)筑物结构设计中涉及的荷载或作用,除应符合本规范外,尚应符合国家现行有关标准的规定。
条文说明
1.0.5 本规范主要规定石油化工特有的建(构)筑物和常见建(构)筑物在石油化工行业特有的荷载及其组合,本规范对结构常见荷载及其组合未做详细规定,结构设计时应遵守相应规范。
2 术语和符号
2.1 术语
2 术语和符号
条文说明
术语和符号是根据现行国家标准《工程结构设计基本术语和通用符号》GBJ 132、《建筑结构设计术语和符号标准》GB/T 50083的规定,并结合本规范的具体情况给出的。
2.1 术 语
2.1.1 永久荷载 permanent load
在结构使用期间,其值不随时间变化,或其变化与平均值相比可以忽略不计,或其变化是单调的并能趋于限值的荷载。石油化工建(构)筑物结构中,各工况都存在的荷载。
2.1.2 可变荷载 variable load
在结构使用期间,其值随时间变化,且其变化与平均值相比不可以忽略不计的荷载。
2.1.3 偶然荷载 accidental load
在结构设计使用年限内不一定出现,而一旦出现其量值很大,且持续时间很短的荷载。
2.1.4 操作荷载 operating load/working load
在结构正常使用期间,设备及管道的介质重、设备温度作用、设备及管道振动荷载等设备正常操作工况下的可变荷载。
2.1.5 检修荷载 maintenance load
在结构正常使用期间,设备抽芯荷载、检修吊车荷载等设备停产检修工况下的可变荷载。
2.1.6 试压荷载 testing load
在结构正常使用期间,设备及管道充水试压时充水水重、液压试验时的液体重及气压试验时气压对结构的作用等设备充水试压工况下的可变荷载。
2.1.7 荷载代表值 representative value of a load
设计中用以验算极限状态所采用的荷载量值,例如标准值、组合值、频遇值和准永久值。
2.1.8 设计基准期 design reference period
为确定可变荷载代表值而选用的时间参数。
2.1.9 标准值 nominal value
荷载的基本代表值,为设计基准期内最大荷载统计分布的特征值(例如均值、众值、中值或某个分位值)。
2.1.10 组合值 combination value
对可变荷载,使组合后的荷载效应在设计基准期内的超越概率,能与该荷载单独出现时的相应概率趋于一致的荷载值;或使组合后的结构具有统一规定的可靠指标的荷载值。
2.1.11 频遇值 frequent value
对可变荷载,在设计基准期内,其超越的总时间为规定的较小比率或超越频率为规定频率的荷载值。
2.1.12 准永久值 quasi-permanent value
对可变荷载,在设计基准期内,其超越的总时间约为设计基准期一半的荷载值。
2.1.13 荷载设计值 design value of load
荷载代表值与荷载分项系数的乘积。
2.1.14 荷载效应 load effect
由荷载引起结构或结构构件的反应,例如内力、变形和裂缝等。
2.1.15 荷载组合 load combination
按极限状态设计时,为保证结构的可靠性而对同时出现的各种荷载设计值的规定。
2.1.16 基本组合 fundamental combination
承载能力极限状态计算时,永久作用和可变作用的组合。
2.1.17 偶然组合 accidental combination
承载能力极限状态计算时,永久作用、可变作用和一个偶然作用的组合。
2.1.18 标准组合 characteristic/nominal combination
正常使用极限状态计算时,采用标准值或组合值为荷载代表值的组合。
2.1.19 频遇组合 frequent combinations
正常使用极限状态计算时,对可变荷载采用频遇值或准永久值为荷载代表值的组合。
2.1.20 准永久组合 quasi-permanent combinations
正常使用极限状态计算时,对可变荷载采用准永久值为荷载代表值的组合。
2.1.21 动力荷载 dynamic load
动力荷载是一种随时间变化的外界作用;在其作用下,结构所产生的惯性力与静力作用相比不能略去不计。
2.1.22 动力系数 dynamic coefficient
承受动力荷载的结构或构件,当按静力设计时采用的等效系数,其值为结构或构件的最大动力效应与相应的静力效应的比值。
2.2 符号
2.2 符 号
C——结构或结构构件达到正常使用要求的规定限值;
R d ——结构构件抗力的设计值;
S Ad ——偶然荷载效应的标准值;
S d ——荷载组合的效应设计值;
S Ehk ——水平地震作用效应的标准值;
S Evk ——竖向地震作用效应的标准值;
S GE ——重力荷载代表值的效应;
S Gk —永久荷载效应的标准值;
S Qk ——可变荷载效应的标准值;
γ O ——结构重要性系数;
γ G ——永久荷载的分项系数;
γ Eh ——水平地震作用分项系数;
γ Ev ——竖向地震作用分项系数;
γ GE ——重力荷载分项系数;
γ L 一一可变荷载考虑设计使用年限的调整系数;
γ Q ——可变荷载的分项系数;
γ w ——风荷载分项系数;
ψ c ——可变荷载的组合值系数;
ψ f 一一可变荷载的频遇值系数;
ψ q ——可变荷载的准永久值系数;
ψ w ——风荷载的组合值系数。
3 荷载分类和荷载代表值
3 荷载分类和荷载代表值
3.0.1 石油化工结构上的荷载可分为下列三类:
1 永久荷载,包括结构自重、设备及管道自重、设备及管道保温隔热重、土压力、预应力等;
2 可变荷载,包括各工况设备及管道作用在结构上的操作荷载、检修荷载、试压荷载,各工况平台(楼面)活荷载,屋面活荷载、积灰荷载、吊车荷载、风荷载、雪荷载、温度作用、覆冰荷载、地面堆载等;
3 偶然荷载,包括爆炸力、各类事故荷载、撞击力、电机短路力矩等。
条文说明
3.0.1 操作荷载、检修荷载、试压荷载分别表示设备及管道正常操作、停产检修、充水试压三个工况中,与设备及管道有关的可变荷载。
3.0.2 石油化工建(构)筑物结构设计时,对下列不同荷载应采用不同的代表值:
1 对永久荷载应采用标准值作为代表值;
2 对可变荷载应根据设计要求采用标准值、组合值、频遇值或准永久值作为代表值;
3 对偶然荷载应按石油化工建(构)筑物结构使用的特点确定其代表值。 ( 自2022年1月1日起废止该条,详见新规 《工程结构通用规范》GB 55001-2021 )
条文说明
3.0.2 本条文为强制性条文,必须严格执行。结构设计中采用何种荷载代表值将直接影响到荷载的取值和大小,关系结构设计的安全,要以强制条文给以规定。 荷载标准值是指其在结构的使用期间可能出现的最大荷载对某些荷载,习惯采用其规定的平均重现期来定义标准值,即相当于以其重现期内最大荷载的分布的众值为标准值。目前,并非所有荷载都能取得充分的资料,因此,从实际出发,根据已有的工程实践经验,通过分析判断后,协议一个公称值作为代表值。这两种方式规定的代表值统称为荷载标准值。 对偶然荷载应按荷载和建(构)筑物结构使用的特点,分别采用极限值、折算值、等效静力荷载作为其代表值。
3.0.3 确定可变荷载代表值时应采用50年设计基准期。 ( 自2022年1月1日起废止该条,详见新规 《工程结构通用规范》GB 55001-2021 )
条文说明
3.0.3 本条文为强制性条文,必须严格执行。在确定可变荷载的标准值时,会涉及荷载最大值的时域问题,这个时域也就是设计基准期。为了与其他设计规范配套,本规范也采用结构设计使用年限50年作为规定荷载最大值的时域。
3.0.4 荷载的标准值,应按本规范各章的规定采用。
3.0.5 承载能力极限状态设计时或正常使用极限状态按标准组合设计时,对可变荷载应按规定的荷载组合采用荷载的标准值或组合值作为代表值。可变荷载组合值,应为可变荷载标准值乘以荷载组合值系数。
3.0.6 正常使用极限状态按频遇组合设计时,应采用可变荷载的频遇值或准永久值作为其荷载代表值;按准永久组合设计时,应采用可变荷载的准永久值作为其荷载代表值。可变荷载的频遇值,应为可变荷载标准值乘以频遇值系数;可变荷载的准永久值,应为可变荷载标准值乘以准永久值系数。
4 永久荷载
4 永久荷载
4.0.1 永久荷载应包括结构构件、围护构件、面层及装饰(包括防腐、防火面层)的自重,设备及管道的自重,设备附件重(包括附设在设备上的附属管道、附属设备重),设备及管道保温隔热和衬里重,土压力,水位不变的水压力,预应力,以及其他需要按永久荷载考虑的荷载。
4.0.2 结构自重的标准值可按结构构件的设计尺寸与材料单位体积的自重计算确定。
4.0.3 一般材料和构件的单位自重可取其平均值,对于自重变异较大的材料和构件(如现场制作的保温材料、混凝土薄壁构件等),自重的标准值应根据对结构的不利或有利状态,分别取上限值或下限值。常用材料和构件单位体积的自重可按国家标准《建筑结构荷载规范》GB 50009采用。
4.0.4 固定隔墙、固定操作平台的自重宜按永久荷载考虑。
条文说明
4.0.4 石油化工企业内的固定隔墙、固定操作平台使用过程中位置基本不修改,自重宜按永久荷载考虑。
5 可变荷载
5.1 一般规定
5 可变荷载
5.1 一般规定
5.1.1 可变荷载应根据工况分别取值。积灰荷载、吊车荷载、雪荷载、动力荷载、抽芯荷载、温度作用等可变荷载的标准值应按本章的规定采用。其他荷载的标准值应按本规范第6章和第7章的规定采用。
5.1.2 各工况的平台或楼面活荷载、风荷载应根据实际情况分别采用不同的数值。
条文说明
5.1.2 目前平台设计中设备梁、框架梁均布活荷载采用2kN/m2,次梁、平台梁均布活荷载采用4kN/m2,也是考虑检修工况与正常操作工况平台活荷载不同的一种表述。目前构架设计中对正常操作与检修工况,风荷载用不同值。
5.1.3 正常操作工况荷载计算时,应计入操作荷载。操作荷载应包括设备及管道操作(或储存)介质重、介质温度作用和设备振动荷载(包括因催化剂波动产生的振动力、空冷器风机和电机的当量荷载)等。
条文说明
5.1.3 操作荷载指设备及管道在正常工作时作用在结构上的活荷载。目前石化各规范对介质重有不同的处理,按永久荷载或按可变荷载考虑都有,不统一,本规范按可变荷载考虑,主要是考虑与国标荷载组合的方法统一。由于介质重不能参与所有组合,介质重如按永久荷载考虑,就须列举出各种组合,不能采用国标荷载规范穷举法的统一公式。
5.1.4 停产检修工况荷载计算时,应计入检修荷载。检修荷载应包括冷换设备抽芯荷载、检修吊车荷载等。
条文说明
5.1.4 停产检修工况包括设备及管道安装和停产检修,检修荷载指设备及管道在安装、检修时作用在结构上的活荷载。
5.1.5 充水试压工况荷载计算时,应计入试压荷载。试压荷载应包括设备、管道充水试压时充水水重或液压试验时的液体重及气压试压时气压对结构的作用。
条文说明
5.1.5 试压荷载指设备及管道在充水试压(液压试验、气压试险)时作用在结构活荷载。
5.1.6 屋面承受的雪荷载应按现行国家标准《建筑结构荷载规范》GB 50009的有关规定计算。构筑物平台可不考虑雪荷载的影响。
5.1.7 位置可灵活布置的隔墙、操作平台的自重应按可变荷载考虑。非固定隔墙可取每延长米墙重的1/3作为楼面活荷载的附加值计入,附加值不应小于1.0kN/m 2 。
5.1.8 吊车荷载应根据设备参数数据,按现行国家标准《建筑结构荷载规范》GB 50009的有关规定确定
5.1.9 覆冰区火炬及排气筒钢塔架等高耸结构的覆冰荷载应按现行国家标准《高耸结构设计规范》GB 50135的有关规定计算。
条文说明
5.1.9 避雷针、投光灯塔等钢结构越来越高,设计中覆冰荷载不能忽略。
5.1.10 钢梯和防护栏杆的设计荷载应按现行国家标准《固定式钢梯及平台安全要求》GB 4053的有关规定执行。结构整体计算时可不考虑该荷载。
5.1.11 地面生产堆载及地面运输荷载应按实际情况确定。
条文说明
5.1.11 本条规定与现行行业标准《石油化工企业建筑物结构设计规范》SH/T 3076相同。在设计水池、挡墙、半地下泵时应考虑该荷载;设计该区域基础、地面时也应考虑此荷载。
5.2 积灰荷载
5.2 积灰荷载
5.2.1 当周围环境和邻近建筑(包括邻近工厂)有积灰影响时,建(构)筑物应计入积灰荷载。
5.2.2 积灰荷载应按实际情况计算;当已安装除尘设施并有清灰制度保证时,建(构)筑物积灰荷载标准值可取0.5kN/m 2 。
5.3 动力荷载
5.3 动力荷载
5.3.1 建(构)筑物上的动力设备,应根据其动力荷载参数,按照专门规定计算确定结构的动力荷载。
5.3.2 常用动力设备的动力荷载可将设备的重量乘以动力系数μ值后等效为静力荷载,动力系数μ值可按本规范附录A的规定取用。
5.3.3 空冷器风机和电机的竖向当量荷载可按本规范5.4节的要求确定,催化剂波动产生的振动荷载可按本规范7.3节的要求确定。
5.3.4 搬运、装卸重物以及车辆起动和刹车时,仅楼板及梁可考虑其动力作用,动力系数可取1.1~1.3。
5.3.5 当计算支承振动管道的管架构件(基础除外)及其连接的强度时,其动力荷载应按下列规定确定:
1 所有振动管道的竖向荷载应乘以动力系数,并应以此计算管道水平推力;
2 对刚性活动管架和固定管架,动力系数宜取1.3;
3 对于固定管架,管道补偿器反弹力的动力系数宜取1.3;
4 当配管专业按事故状态提供荷载值时,荷载不应乘以动力系数;
5 对于不设限制振动设施的振动管道,应根据实际情况确定动力荷载。
条文说明
5.3.5 事故状态的各荷载都采用极限值,故不能再乘系数。对未设限制振动设施的振动管道,管架所承受的振动力将大大增加,若仍采用1.3的动力系数是不安全的,但目前尚提不出一个准确的系数,因此本规范的规定不包括不设限制振动设施的振动管道。
5.3.6 跨越管架和相邻第一个低管架、相邻高低跨管架的竖向荷载和水平推力,均应乘以1.5的增大系数。
条文说明
5.3.6 跨越管架和相邻第一个低管架、相邻高低跨管架由于水锤作用、竖管的收缩和膨胀作用,高低两个管架承受的竖向荷载比正常情况大很多,因此应乘以1.5的增大系数。这个系数只反映荷载的转移问题,不反映振动问题。如果管架支承的是振动管道,还应乘以动力系数。水平方向转弯的管架可参照本条执行,水平推力的放大系数可适当提高。
5.4 空冷器风机和电机的当量荷载
5.4 空冷器风机和电机的当量荷载
5.4.1 每台风机和电机的竖向当量荷载标准值,可按下式计算:

式中:F vk ——每台风机和电机的竖向当量荷载标准值(kN);
K a ——竖向动力系数,应取1.5;
G k ——风机和电机重力荷载标准值(kN)。
5.4.2 风机和电机水平向当量荷载标准值,可按下列方法计算:
1 当空冷器为一台时,其水平向当量荷载标准值可按下式计算:

式中:F dK ——空冷器风机和电机的水平向当量荷载标准值(kN);
K hd ——水平向动力系数,应取0.3。
2 当空冷器为二台时,其水平向当量荷载标准值可按下式计算:

式中:F dk1 、F dk2 ——各台空冷器风机和电机的水平向当量荷载标准值(kN)。
3 当空冷器多于两台时,其水平向当量荷载标准值除可按下式计算外,且不应小于按式5.4.2-2计算的最大两台水平向当量荷载标准值:

式中:F dkn ——第n台空冷器风机和电机的水平向当量荷载标准值(kN)。
5.5 冷换设备抽芯荷载
5.5 冷换设备抽芯荷载
5.5.1 检修工况下,作用于冷换设备中心标高处的抽芯荷载标准值,宜按式5.5.1计算。当有工程经验或有专用抽芯设备时,抽芯荷载可根据实际情况确定;当采用固定管板式的换热器时,可不考虑抽芯荷载。

式中:F bk ——抽芯荷载标准值;
G bk ——冷换设备管束自重的标准值。
条文说明
5.5.1 计算冷换设备抽芯荷载时,考虑到管束的锈蚀、介质为稠油等因素,一般取管束重,当内部介质为轻油、纯净水时,可根据经验适当降低,部分国外项目降低到管束重的0.3倍~0.5倍。
5.5.2 重叠式布置的冷换设备,可仅考虑对结构最不利的一台设备的抽芯荷载;同一层平台有多台冷换设备时,可只考虑最不利的一台设备的抽芯荷载。
5.6 温度作用
5.6 温度作用
5.6.1 建(构)筑物除应考虑环境温度对结构的影响外,尚应考虑介质温度对结构的影响。
5.6.2 由环境温度、太阳辐射等产生的温度作用,应按现行国家标准《建筑结构荷载规范》GB 50009和《烟囱设计规范》GB 50051的有关规定计算。
条文说明
5.6.2 由环境温度、太阳辐射等产生的温度作用在多本规范中有规定,设计时应根据工程情况按相关规范计算和构造。
5.6.3 正常操作工况荷载计算时,应考虑设备、管道等在生产过程中膨胀收缩以及结构部件因设备内介质温度变化对结构所产生的作用,应包括设备及管道膨胀力(或摩擦力)、管道补偿器弹力、斜管推力等作用在设备及管道支座(管架、弹簧吊、挡墩及裙座)上的水平和竖向荷载(管架称为水平推力)。
5.6.4 正常操作工况下,设备内介质温度变化在设备支承面上引起的摩擦力标准值,应按式5.6.4计算;设备内的介质温度小于80℃时,可不考虑介质温度变化产生的摩擦力的影响。

式中:F tk ——设备支座顶面摩擦力标准值(kN);
μ——设备支承底板与支承面之间的摩擦系数;滑动摩擦系数:支承面为混凝土时应取0.45,支承面为钢板时应取0.3,支承面为不锈钢钢板时应取0.15,支承面为聚四氟乙烯板时应取0.1;滚动摩擦系数应取0.1;
G Bk ——在正常操作状态下,作用在设备支座上的竖向荷载标准值(kN)。
5.6.5 固定管架的水平推力应包括管道补偿器弹力和活动管架的反作用力。
条文说明
5.6.5 当固定架两侧活动管架数量明显不同时,要特别注意两侧活动管架的不平衡水平推力。
5.6.6 活动管架构件支承的管道符合下列条件之一者,水平推力可忽略不计:
1 输送介质的温度不超过40℃ ;
2 管道至少10根,且最高温度(包括扫线温度)低于130℃;
3 主要热管重量与全部管道重量之比小于0.15。
注:主要热管是指计算某构件时,对该构件产生最不利水平推力的一根热管。
5.6.7 正常操作工况下,活动管架的水平推力宜取管道膨胀时产生的摩擦力,摩擦力产生的管架水平推力标准值应按下式计算:

式中:F gk 一一管架水平推力标准值;
k j ——牵制系数,应按本规范第5.6.9条和第5.6.10条的规定计算;
G k ——在正常操作状态下,构件承受的管道竖向荷载标准值。
5.6.8 当柔性管架的等效水平推力F uk 小于F gk 时,管架水平推力可取等效水平推力,管架的等效水平推力标准值应按下式计算:

式中:F uk —一管架等效水平推力标准值;
B s ——管架纵向抗侧移刚度;
△——主要热管膨胀量;
H——管架高度。
条文说明
5.6.8 计算管架等效水平推力时,混凝土管架采用短期刚度。
5.6.9 计算牵制系数k j 时,主要热管重量与全部管道重量之比a值应按下列原则计算:
1 计算梁时,应考虑该层梁上的全部管道重量,并应从中选用一根主要热管道计算a值;
2 计算柱和基础时,应考虑整个管架上的全部管道重量,并应从各层主要热管道中选用一根起控制作用的主要热管道计算a值,管架水平推力应作用在主要热管道所在的层。
注:1 计算柱和基础时,主要热管所在层与相邻层间距较大时,相邻层管道对主要热管所在层管道的牵制作用减小,此时牵制系数应加大;
2 计算柱和基础时,当顶层有较大管道且与下层管道间距较大时,可分成上下两部分,分别计算水平推力。
5.6.10 牵制系数k j 应按下列原则取值:
1 当管道根数n小于3时,牵制系数k j 应取1.0;
2 当管道根数n等于3时,牵制系数k j 取值应符合下列规定:
1)当a小于0.5时,牵制系数k j 应取0.5;
2)当a大于0.7时,牵制系数k j 应取1.0;
3)当a大于或等于0.5且小于等于0.7时应用插值。
3 当管道根数n不少于4时,牵制系数k j 取值应符合下列规定:
1)当a不大于0.6时,牵制系数k j 应按下式计算:

2)当a不小于0.8时,牵制系数k j 应取1.0;
3)当a大于0.6且小于0.8时应用插值;
4)牵制系数k j 不应小于0.2。
6 建筑物荷载
6.1 一般规定
6 建筑物荷载
6.1 一般规定
6.1.1 作用在建筑物上的永久荷载应包括建筑物结构自重及永久性配件重量,支承在结构上的设备和管道自重,支承在结构、设备或管道上的梯子、平台及悬吊物的重量,电缆及桥架的重量,结构、设备及管道的防腐、保温、防火材料重量。
6.1.2 作用在建筑物上的可变荷载应包括楼面活荷载、屋面活荷载、积灰荷载、风荷载、雪荷载、动力荷载、吊车荷载、支承在结构上的设备及管道在正常生产情况下的物料重以及充水试验时的介质荷载等;结构上的温度作用可按可变荷载考虑。作用在建筑物上的偶然荷载应包括爆炸荷载等。
6.1.3 计算石油化工建筑物结构承受的风荷载时,基本风压值、体型系数、风压高度变化系数、高度z处的风振系数应根据结构类型分别按现行国家标准《建筑结构荷载规范》GB 50009的有关规定采用。
6.1.4 需要抗爆设计的建筑物,其爆炸的冲击波参数宜由爆炸安全评估确定。
6.1.5 偶然荷载的标准值,可按现行国家标准《建筑结构荷载规范》GB 50009的规定采用。
6.2 楼面均布活荷载
6.2 楼面均布活荷载
6.2.1 正常操作、充水试压工况下,建筑物的楼面(包括建筑物内的平台)均布活荷载标准值取值应符合下列规定:
1 仓库等存储类建筑物,应按实际情况确定,但不宜小于5.0kN/m 2 ;
2 分析化验室,应按实际情况确定,但不宜小于3.0kN/m 2 ;
3 生产厂房的楼梯及休息平台,不宜小于3.5kN/m 2 ;
4 其他建筑物的楼面活荷载应按实际情况确定,但不宜小于2.0kN/m 2 。
6.2.2 停产检修工况下,建筑物内设备区域的楼面或平台均布活荷载标准值应按实际情况确定,其取值应符合下列规定:
1 主控室,可采用4.0kN/m 2 ,其中,主机柜室可采用5.0kN/m 2 ;
2 低压配电间,可采用6.0kN/m 2 ;高压配电间,可采用8.0kN/m 2 ;
3 压缩机、主风机、过滤机厂房及动力站的检修区,宜采用10.0kN/m 2 ;其他区域的宜取4.0kN/m 2 ;
4 皮带栈桥,宜采用2.5kN/m 2 ;
5 有小型设备(设备重小于200kN时)的厂房,宜取4.0kN/m 2 ;
6 有反应器、拉幅机、蒸发器、纺丝机、料仓的厂房,宜取6.0kN/m 2 ;
7 楼面上设有离心机的厂房,宜取5.0kN/m 2 ;
8 楼梯及休息平台,宜取3.5kN/m 2 ;
9 生产厂房有安装、检修要求的楼面操作区、操作平台和设备附属平台以及热交换器或类似设备的周围可能存放部件或重工具的区域,其值宜采用4.0kN/m 2 ;非检修区域宜取2.0kN/m 2 。
条文说明
6.2.2 低压配电间一般宜取6.0kN/m2~8.0kN/m
2,但实际工程中,很多低压配电柜的折算均布荷载大于8.0kN/ m 2,设计时应根据该工程选用的低压配电柜参数,核算折算均布荷载;高压配电间一般宜取8.0kN/ m 2~10.0kN/ m 2。一般考虑两排配电柜之间至少放置一排需检修或更换的配电柜,检修工况下配电柜的支承梁至少支承两排配电柜(包括恒载一排和活载一排)。压缩机、主风机、过滤机厂房及动力站的检修区宜根据最大检修部件的最不利位置,对平台梁进行计算,并与采用均布活荷载的计算结果对比,取二者中的最大值。
6.2.3 多层框架厂房各工况平台均布活荷载的折减,应符合下列规定:
1 设计板和次梁时,荷载不得折减;
2 设计平台设备梁、框架梁、柱、框架基础时,其负荷面积大于50m 2 时,荷载折减系数应按下列规定采用:
1)正常操作、充水试压工况下,建筑物楼面荷载折减系数,应按实际情况取值,但不应小于0.7;
2)停产检修工况下,楼面荷载标准值小于或等于10kN/m 2 时,折减系数应为0.7;楼面荷载标准值大于10kN/m 2 时,折减系数应为0.5,但不应小于7kN/m 2 ;
3)停产检修工况下,多层仓库等存储类建筑物楼面折减系数,应按实际情况取值,但不应小于0.85。
6.3 屋面活荷载
6.3 屋面活荷载
6.3.1 屋面活荷载的取值,除应符合本节的规定外,尚应符合现行国家标准《建筑结构荷载规范》GB 50009的有关规定。
6.3.2 屋面布置有石油化工生产用设备或管道时,屋面均布活荷载应按楼面取值。
6.3.3 钢筋混凝土自防水屋面,宜预留荷载0.3kN/m 2 。
6.3.4 设计屋架或屋面梁时,室内悬吊荷载应按实际情况采用。
条文说明
6.3.4 室内悬吊包括采暖、通风、消防管道,电缆槽盒,吊灯,工艺管道等。
7 构筑物荷载
7.1 一般规定
7 构筑物荷载
7.1 一般规定
7.1.1 作用在构筑物上的永久荷载应包括结构自重,支承在结构上的设备和管道自重,支承在结构、设备或管道上的梯子、平台及悬吊物的重量,电缆及桥架的重量,结构、设备及管道的防腐、保温、防火材料重量。
7.1.2 作用在构筑物上的可变荷载应包括平台活荷载,积灰荷载,风荷载,动力荷载,吊车荷载,支承在结构上的设备和管道在正常生产情况下的介质(物料)重、设备及管道振动荷载(包括因催化剂波动产生的振动力、空冷器风机和电机的当量荷载等)和温度作用,停产检修工况的冷换设备抽芯荷载,充水试验时的介质荷载,气压试验时的气压荷载等。
7.1.3 地沟、井、水池结构的荷载应符合国家现行标准《给水排水工程构筑物结构设计规范》GB 50069和《石油化工钢筋混凝土水池结构设计规范》SH/T 3132的有关规定。埋地的地沟、井、池类结构的顶板,应根据施工和各工况的实际情况计算施工机械设备或运输车辆荷载。
条文说明
7.1.3 地沟、井的荷载可以按水池取值。
7.1.4 烟囱的荷载应符合现行国家标准《烟囱设计规范》GB 50051的有关规定。
7.1.5 压缩机基础的荷载应符合现行行业标准《石油化工压缩机基础设计规范》SH/T 3091的有关规定。
7.1.6 偶然荷载的标准值,可按现行国家标准《建筑结构荷载规范》GB 50009的有关规定采用。
7.1.7 焦炭塔出焦焦块对溜槽的竖向撞击荷载标准值可取焦块重力荷载的3倍。
7.2 平台均布活荷载
7.2 平台均布活荷载
7.2.1 构筑物各工况平台均布活荷载的标准值的最小值,应按表7.2.1的规定采用。停产检修工况下,非检修区的平台活荷载值宜取2.0kN/m 2 。

条文说明
7.2.1 焦炭塔支座以上钢结构框架平台及类似平台中的类似平台指的是正常操作工况下不需要巡检或操作人员基本不到达的平台。停产检修工况包括安装荷载。考虑设备安装和检修的要求,离心式压缩机构架式基础平台均布活荷载宜按工艺要求取值,但不宜小于表中的10kN/m2,与压缩机厂房一致。
7.2.2 设计平台设备梁、框架梁、柱及基础时,应对本规范表7.2.1中的平台均布活荷载标准值进行折减,折减系数宜取0.5。
7.2.3 对高耸结构,如楼梯间、火炬塔架等高宽比较大的构架,设计基础、地脚螺栓时可不考虑平台活荷载。
条文说明
7.2.3 这类构筑物在使用过程中大部分时间无平台活荷载,设计基础、地脚螺栓时可不考虑。高宽比较大的构架可按结构是否考虑风振来区分。
7.2.4 检修或安装时,当局部需搁置较重的检修设备及其他工具时,平台板、平台次梁、平台主梁宜按实际受力情况设计。
7.3 催化剂振动荷载
7.3 催化剂振动荷载
7.3.1 反应器因催化剂波动产生的振动荷载,应根据实际情况考虑。催化装置、MTO装置的反应器、再生器内因催化剂波动产生的振动力,可仅在正常操作工况下考虑其对框架任意水平方向的作用,并可按静力荷载作用于催化剂重心处;振动力标准值可按下式计算:

式中:F nk 一一反应器或再生器内因催化剂波动产生的水平振动力标准值(N);
m n ——反应器或再生器内的催化剂质量(kg);
g——重力加速度,应取9.81m/s 2 。
条文说明
7.3.1 化工装置中部分反应器的振动力比规范条文第7.3.1条规定的值大,设计时应根据工艺要求确定该值。
7.3.2 计算再生斜管和待生斜管的推力时,应按正常操作和设备安装两种不同的荷载工况分别取值。塔型设备支架结构计算时,应考虑管道及附属设备的偏心作用。
7.4 风荷载
7.4 风荷载
7.4.1 构筑物基本风压值应符合下列规定:
1 正常操作、停产检修工况下,基本风压值不得小于0.35kN/m 2 ;
2 充水试压工况,基本风压值宜取0.15kN/m 2 ;
3 考虑室外吊车荷载时,基本风压值宜取0.30kN/m 2 。
条文说明
7.4.1 第1款中的基本风压最小值要求来源于《高耸结构设计规范》GB 50135-2006第4.2.1条。塔基础、两器的石油化工行业标准也有些规定,考虑到石化构筑物的特殊性,本规范对所有石化构筑物均采用此规定。充水试压工况和有正常运行的室外吊车参与的组合基本风压最小值要求主要是考虑大风天不能正常工作和检修。
7.4.2 火炬及排气筒塔架、烟囱、高度大于30m且高宽比大于1.5的构架、结构基本自振周期大于0.25s的落地立式设备应符合现行国家标准《建筑结构荷载规范》GB 50009的规定,考虑顺风向风振的影响。烟囱、落地高耸立式设备宜符合现行国家标准《建筑结构荷载规范》GB 50009和《高耸结构设计规范》GB 50135的有关规定,考虑横风向风振的影响。
注:计算结构高度时应包括设备高度。
7.4.3 结构构件及栏杆、梯子的风荷载计算应符合下列规定:
1 圆管构件时体型系数宜取0.7,其他类型构件的体型系数可取1.3;
2 钢栏杆体型系数宜取1.3,钢栏杆的挡风面积宜取0.26m 2 /m,当栏杆立柱、扶手均为圆钢管时体型系数可取1.0;
3 钢直梯体型系数宜取1.3,无保护圈钢直梯的迎风面总挡风面积宜取0.13m 2 /m,有保护圈钢直梯的迎风面总挡风面积宜取0.2m 2 /m;
4 钢斜梯体型系数宜取1.3,钢斜梯的侧向总挡风面积按水平投影长度宜取1.0m 2 /m,钢斜梯的正向挡风面积宜取斜梯轮廓宽度乘以斜梯高度的一半。
条文说明
7.4.3 钢栏杆考虑100mm高的踢脚板;计算钢直梯风荷载时要计入高出平台的扶手高度;钢斜梯的栏杆不考虑有踢脚板,斜梯轮廓宽指包括两侧梯梁翼缘宽的总宽度。 由于现行国家标准《固定式钢梯及平台安全要求》GB 4053规定的栏杆水平荷载加大,栏杆构件加大了,栏杆的挡风面积加大了。 栏杆挡风面积测算: 栏杆1:立柱采用L63×6@1000,扶手采用Φ38,中间栏杆2-30×4,踢脚板-100×3,栏杆轴线高度1220,挡风面积=[63×1220+38×1000×0.7/1.3+(2×30+100)×1000]/1000/1000=0.257; 栏杆2:立柱采用Φ48.3@1000,扶手采用Φ42.4,中间栏杆2Φ26.9,踢脚板-100×3,栏杆轴线高度1220,挡风面积=[(48.3×1220+42.4×1000+2×26.9×1000)×0.7+100×1000×1.3]/1000/1000=0.239; 栏杆3:立柱采用J50×40@1000,扶手采用Φ42.4,中间栏杆2—30×4,踢脚板-100×3,栏杆轴线高度1220,挡风面积=[50×1220+42.4×1000×0.7/1.3+(2×30+100)×1000]/1000/1000=0.244; 直梯挡风面积测算:无保护圈:立柱-60×10或L63×6,踏步Φ20@300,扶手高出平台1m弯300,挡风面积=2×63/1000=0.126; 有保护圈:立柱L63×6,踏步Φ20@300,保护圈5—40×5,保护圈加强带-50×6@600,扶手高出平台1.3m,正面挡风面积=[2×63×(1000—1000/600×50)+(700×50×1000/600+2×40×1000)×(4+1.3—2.1)/5.31/1000/1000=0.199;侧面挡风面积=2×63×(1000—1000/600×50)+(720×50×1000/600+2×40×1000)×(5.3—2.1)/5.3]/1000/1000=0.2; 斜梯挡风面积测算: 梯梁按]18a,栏杆没有踢脚板,踏步@200包角L30,正面按800mm、600mm宽测算; 斜梯侧面挡风面积=2×(180/1000+0.26—0.1)/sin45°=0.96; 800mm宽斜梯正面挡风面积=[2×68×1000+30×800×5+2×0.7/1.3×42.4×1000+2×63×1000]/(800+2×68)=0.457; 600mm宽斜梯正面挡风面积=[2×68×1000+30×600×5+2×0.7/1.3×42.4×1000+2×63×1000]/(600+2×68)=0.54; 综合以上结果,栏杆挡风面积取0.26m2/m;无保护圈直梯的迎风面挡风面积宜取0.13m2/m,有保护圈直梯的迎风面挡风面积宜取0.2m2/m;斜梯的侧向挡风面积按水平投影长度宜取1.0m2/m,斜梯的正向挡风面积取轮廓投影面积的一半。
7.4.4 管架风荷载应包括管架构件、管道、电缆槽盒或桥架、栏杆梯子承受的风荷载。管架构件、管道、电缆槽盒或桥架承受的风荷载计算应符合下列规定:
1 管架可不考虑风振的影响;
2 管架构件、栏杆梯子承受的风荷载可按构架风荷载的规定计算,单、双跨管架可不考虑前后榀的遮挡;
3 管道风荷载体型系数宜取0.7;电缆槽盒或桥架风荷载体型系数宜取1.3;
4 管道径向挡风面积宜取管架梁上考虑保温后的最大管径加上10%的梁长之和乘以管架间距;
5 单层平铺电缆槽盒横向挡风面积宜取槽盒高度加上10%的梁长之和乘以管架间距;
6 电缆桥架横向挡风面积宜取桥架总高度乘以管架间距;
7 可不考虑管道轴向风荷载、电缆槽盒或桥架纵向风荷载;
8 竖向弯管的挡风面积宜取90%的梁跨度乘以竖向弯管高度,可不考虑各组竖向弯管间的遮挡,竖向弯管风荷载体型系数,可取1.3;
9 无竖向弯管的管架区段可不考虑纵向风荷载的影响。
条文说明
7.4.4 管道挡风面积参考ASCE《Wind Loads for Petrochemical and Other Industrial Facilities》2012年版的计算方法。
7.4.5 计算设备风荷载时应考虑相邻设备的放大或遮挡影响。并列布置立式圆形设备的风荷载整体体型系数的取值应符合下列要求:
1 当风作用方向垂直于设备排列方向时,外侧设备风荷载体型系数宜按现行国家标准《建筑结构荷载规范》GB 50009上下双管(双塔)或密排多管(多塔)取值;中间设备风荷载体型系数宜取边设备体型系数的1.2倍。
2 当风作用方向平行于设备排列方向时,设备风荷载体型系数宜按现行国家标准《建筑结构荷载规范》GB 50009前后双管(双塔)或密排多管(多塔)取值。
条文说明
7.4.5 相邻设备中心连线与风作用方向垂直时,该设备风荷载比单独放置的设备风荷载要大,通常称为风荷载相邻设备的放大影响。相邻设备中心连线与风作用方向平行时,下风向设备的风荷载比单独放置的设备风荷载要小,通常称为风荷载相邻设备的遮挡影响。并列布置塔的风荷载的体型系数可按现行国家标准《建筑结构荷载规范》GB 50009中架空管道一项中的上下双管、前后双管及密排多管计算。由于焦炭塔形状及布置方式基本不变,各焦炭塔承受的风荷载可采用经简化后的系数。当风作用方向垂直于焦炭塔排列方向时,边焦炭塔可取1.2;当风作用方向平行于焦炭塔排列方向时,顺风向第一个焦炭塔可取0.60,其他焦炭塔可各取0.30;
7.4.6 风沿卧式圆形设备纵向作用时,设备风荷载体型系数宜取1.3。风沿卧式圆形设备横向作用时,设备风荷载体型系数,单台时宜取0.7,重叠布置时宜取1.2。
7.4.7 小型立式圆形设备的风荷载体型系数宜取0.7。高度与外径比值不大于7的两器类设备,其风荷载体型系数宜取0.5。塔型设备、高度与外径比值大于7的两器类设备的风荷载体型系数宜取0.6。
注:两器类设备指催化装置的反应器、再生器,重整装置的反应器等类似设备。
7.4.8 空冷器的风荷载体型系数宜取1.3。多台并列时,风沿纵向作用时的挡风面积宜取最宽一台空冷器的挡风面积。
7.4.9 计算设备挡风面积时,挡风面积应包括设备保温层厚。管径大于200mm的设备附属管道应单独计算其风荷载;直梯、管径不大于200mm的设备附属管道及阀门等设备配件的风荷载,立式、卧式设备均可按其直径增加0.45m计算。
条文说明
7.4.9 计算落地设备风荷载时,附属管道及阀门等设备配件的风荷载按本条要求,通过加大直径的方式来计算;立式设备有平台时按本规范第7.4.10条和第7.4.11条采用放大系数的方式考虑平台、梯子和附属管道及阀门等设备配件的风荷载;构架上设备的附属管道及阀门等设备配件和支座的风荷载按本条执行,构架上的其他管道按设备风荷载放大10%来考虑。
7.4.10 两器类设备构架的结构构件风荷载放大系数宜取1.2。两器类设备的风荷载放大系数,当设备内径大于或等于8.5m时宜取1.2,内径小于或等于5.0m时宜取1.3,中间直径取1.25。
注:1 管径不大于200mm的设备附属管道及阀门等设备配件的风荷载影响已包括在内。
2 当设备为变直径时,内径可取按各段高度和内径计算的加权平均值。
7.4.11 当塔型设备有平台时,塔型设备的风荷载应乘以放大系数。塔型设备风荷载放大系数可按表7.4.11采用。表7.4.11中的数据适用于平均垂直间距h s 不小于3.5m的平台,当平台平均垂直间距幻大于3.5m时,表中数值应乘以折减系数3.5/h s 。

条文说明
7.4.10、7.4.11 塔和两器的风荷载放大系数主要考虑塔身平台风荷载的影响,由于两器的重要性,取值略大于独立塔基础,由于各自针对的直径范围不同,两者不要跨项选值。
7.4.12 球罐风荷载体型系数宜取0.45。球罐及钢支架结构的风振系数β z 宜根据球罐的基本自振周期T按表7.4.12确定。

条文说明
7.4.12 球罐风荷载体型系数中已包括球罐附件增大系数。
7.4.13 构架风荷载应包括结构构件和附件风荷载、设备和管道风荷载。结构构件和附件风荷载计算应符合下列规定:
1 单榀构架挡风面积应包括该榀构架所有结构构件及附件的挡风面积,结构构件应包括组成本榀构架的柱、梁、支撑,还应包括平行于风向的各构架在该榀构架到下榀构架之间的支撑,附件应包括该根I构架范围内的栏杆、梯子,不应包括设备、管道、槽盒挡风面积。两榀构架之间,平行于风向的人字形、八字形、x形、V形等支撑,应仅计入一根支撑的挡风面积;计算构件挡风面积时应考虑构件的防火层;
2 当平台采用封闭楼板时,该层构架的结构风荷载宜乘以折减系数,折减系数宜按下式计算:

式中:A f ——迎风面第一榀支承封闭楼板的框架梁挡风面积;
A s ——此梁所在榀该楼层的挡风面积。
3 当构架按整体计算风荷载时,结构构件和附件风荷载可按本规范附录B的规定计算。
7.4.14 构架上设备和管道风荷载应符合下列规定:
1 设备风荷载宜分层逐个计算;
2 各层构架管道挡风面积宜取为风沿设备横向作用时该层设备挡风面积的10%;
3 当卧式设备均匀布置时,该层设备横向总风荷载不宜大于最大一组设备风荷载的3倍;
4 当构架按整体计算风荷载时,设备和管道风荷载可按本规范附录B的规定折减;高出顶层平台的设备和管道风荷载可不折减;风沿冷换设备纵向作用时,纵向无支撑冷换框架上的设备和管道风荷载可不折减。
7.4.15 当构架平面长宽比小于2时,应计算对角风对结构的影响。
7.4.16 构筑物结构的风荷载计算,尚应符合现行国家标准《建筑结构荷载规范》GB 50009和《高耸结构设计规范》GB 50135的有关规定。
条文说明
7.4.16 对于山区、远海海面和海岛的石油化工建(构)筑物,计算风压高度变化系数时,应考虑地形条件的修正。修正系数计算应符合现行国家标准《建筑结构荷载规范》GB 50009的规定。不少石化企业的火炬均建造在山顶或山腰上,风荷载放大很多,设计时要特别注意。
8 荷载组合
8.1 一般规定
8 荷载组合
8.1 一般规定
8.1.1 石油化工建(构)筑物结构设计时,应根据正常操作、停产检修和充水试压三种工况中可能存在的荷载,按承载能力极限状态进行荷载组合,并应取各自的最不利组合进行设计。正常操作工况、有吊车正常工作的工况、有较大荷载作用的构件,尚应根据结构或构件上可能同时出现的荷载,应按正常使用极限状态进行荷载组合,并应取最不利组合进行设计。正常操作工况尚应考虑地震作用效应或可能出现的事故状态与其他荷载效应的组合。
条文说明
8.1.1 石油化工建(构)筑物结构设计时,必须按正常操作工况设计计算,并根据设备使用情况决定是否验算停产检修或充水试压荷载工况。正常操作、停产检修是石油化工厂设备的必有的二种工作状态,是否验算充水试压工况应根据设备使用情况决定,结构应能满足设备各工作状态的要求。设备的安装并入停产检修工况。一般情况下停产检修、充水试压两工况不验算正常使用极限状态。有吊车时,要验算正常使用极限状态。有较大荷载作用的构件也应验算变形,但变形限值要求可适当放宽。
8.1.2 对于承载能力极限状态,应按荷载的基本组合或偶然组合计算荷载组合的效应设计值,并应满足下式要求:

结构构件的截面抗震验算,应满足下式要求:

式中:γ O ——结构重要性系数,应按现行国家标准《工程结构可靠性设计统一标准》GB 50153等有关规范确定;
S d ——荷载组合的效应设计值;
R d ——结构构件抗力的设计值,应按各有关石油化工建、构筑物结构设计规范的规定确定;
γ RE ——承载力抗震调整系数,应按现行国家标准《建筑抗震设计规范》GB 50011等有关规范确定。
8.1.3 对于正常使用极限状态,应根据不同的设计要求,采用荷载的标准组合、频遇组合或准永久组合,并应满足下式要求:

式中:C——结构或结构构件达到正常使用要求的规定限值,例如变形、裂缝、振幅、加速度、应力等的限值,应按各有关结构设计规范的规定采用。
8.1.4 当结构上有多台需充水试验的设备时,应按实际情况考虑充水荷载,建筑物宜按单台或多台设备充水试验分别对结构进行验算。
8.1.5 构筑物和变配电室等楼层上布置多台设备的石油化工建筑物,宜考虑停产检修工况荷载对整体结构的影响。其他结构可仅考虑检修荷载对部分楼板、次梁和相关主梁的影响。
条文说明
8.1.5 变配电室由于同一楼层布置的高低压柜数量较多,安装和检修时,柜子的摆放对楼板和主次梁的影响很大,有时甚至影响到柱和基础,因此必须整体计算。验算变配电室检修工况时,检修荷载宜根据楼层梁布置情况及柜子重要确定检修荷载大小。设备数量少、重量大的结构可按检修荷载验算楼板、次梁及上级梁,设备梁可不考虑检修荷载的影响。验算承载能力极限状态不验算基础的零应力区,对建筑物是可行的。
8.1.6 工程分期建设时,宜考虑各期工程的设备、管道情况,分别进行各工况荷载组合,应取其最不利者进行设计。
8.2 荷载组合
8.2 荷载组合
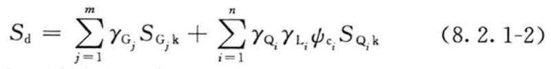
8.2.1 荷载基本组合的效应设计值S d ,应从可变荷载效应控制的效应设计值和永久荷载控制的效应设计值中取最不利的效应设计值。效应设计值应按下列规定计算:
1 由可变荷载效应控制的效应设计值,应按下式进行计算:

式中:γ Gj ——第j个永久荷载的分项系数,应按第8.2.2条采用;
S Gjk —一按第j个永久荷载标准值G jk 计算的荷载效应值;
γ Qi 一一第i个可变荷载的分项系数,其中γ Ql 为主导可变荷载Q l 的分项系数,应按本规范各章的规定采用;
γ Li ——第i个可变荷载考虑设计使用年限的调整系数,其中γ Ll 为主导可变荷载Q l 考虑设计使用年限的调整系数;
SQ i k——按第i个可变荷载标准值Q ik 计算的荷载效应值;其中S Qlk 为诸可变荷载效应中起控制作用者;
ψ Ci 一一第i个可变荷载Q i 的组合值系数,应分别按本规范各章的规定采用;
m——参与组合的永久荷载数;
n一一参与组合的可变荷载数。
2 由永久荷载控制的效应设计值,应按下式进行计算:

注:1 基本组合中的效应设计值仅适用于荷载与荷载效应为线性的情况。
2 当对S Q lk 无法明显判断时,轮次以各可变荷载效应为S Q lk ,选其中最不利的荷载效应组合。
条文说明
8.2.1 在承载能力极限状态的基本组合中,条文中公式(8.2.1-1)和公式(8.2.1-2)给出了荷载效应组合设计值的表达式,直接涉及结构安全性。在应用条文中公式(8.2.1-2)的组合式时,对可变荷载,可仅考虑与结构自重方向一致的竖向荷载,可忽略影响不大的横向荷载。
8.2.2 基本组合的荷载分项系数,应按下列规定采用:
1 永久荷载的分项系数应符合下列规定:
1)当永久荷载效应对结构不利时,对由可变荷载效应控制的组合,应取1.2,对由永久荷载效应控制的组合,应取1.35;
2)当永久荷载效应对结构有利时,不应大于1.0。
2 可变荷载的分项系数应符合下列规定:
1)对操作荷载应取1.3;当操作介质重的荷载效应对结构有利时,操作介质荷载的分项系数不应大于1.0;
2)对检修荷载应取1.3;
3)对试压荷载应取1.1;
4)对标准值大于4kN/m 2 的平台及楼(屋)面活荷载应取1.30;
5)对风荷载、雪荷载、积灰荷载、标准值不大于4kN/m 2 的平台及楼(屋)面活荷载等其他可变荷载应取1.40;
6)当正常操作工况下,可变荷载采用极限值时,分项系数应取1.0。
3 对结构的倾覆、滑移或漂浮验算,荷载的分项系数应按有关的结构设计规范的规定采用。
条文说明
8.2.2 由于操作介质重在正常操作工况下变化较小,工况下有部分恒载的特性,而且操作荷载中的水平荷载都基于操作介质,正常操作工况下必须有操作介质,这一条中就出现了活载有利时还参与组合的规定。在某些特殊状态下,上游专业提供的荷载值为极限值,此时分项系数值要降低。特殊状态指正常操作工况下的紧急放空状态、可控的设备或管道非正常工作状态(事故状态)等,不包括管道试压时盲板脱落等安全事故。
8.2.3 可变荷载考虑设计使用年限的调整系数γ L 应按下列规定采用:
1 对风荷载和雪荷载,应取重现期为设计使用年限,并应按现行国家标准《建筑结构荷载规范》GB 50009的规定确定基本风压和基本雪压;
2 操作荷载、检修荷载、试压荷载等考虑设计使用年限的调整系数γ L 宜取1.0;
3 其他荷载应按现行国家标准《建筑结构荷载规范》GB 50009的规定取值。
8.2.4 石油化工建(构)筑物考虑正常操作工况下地震作用和其他荷载的组合时,其基本组合的效应设计值S d 应按式8.2.4进行计算。地震作用应按现行国家标准《建筑抗震设计规范》GB 50011中的有关规定确定。

式中:γ GE ——重力荷载分项系数,一般情况应取1.2,当重力荷载效应对结构承载力有利时,不应大于1.0;
S GE ——重力荷载代表值的效应;
S Ehk ——水平地震作用标准值的效应;
γ Eh 一一水平地震作用分项系数,应根据组合情况按现行国家标准《建筑抗震设计规范》GB 50011中的有关规定取值;
S Evk ——竖向地震作用标准值的效应;
γ Ev ——竖向地震作用分项系数,应根据组合情况按现行国家标准《建筑抗震设计规范》GB 50011中的有关规定取值;
ψ w ——地震作用时的风荷载组合值系数,高耸结构、风荷载起控制作用的建(构)筑物应取0.2,一般结构宜取0;
γ w ——风荷载分项系数;
S wk ——风荷载标准值的效应;
ψ t ——地震作用时的介质温度作用组合值系数,重要的构筑物应取0.6,—般结构宜取0;
γ t ——介质温度作用分项系数,应取1.4;
S tk ——介质温度作用标准值的效应;
ψ m 一一地震作用时,动设备的动力作用组合值系数,对大型离心式压缩机、大型电机、大型鼓风机应取0.7, 一般动设备宜取0;
γ m ——设备动力作用分项系数,应取1.4;
S mk ——设备动力作用标准值的效应。
条文说明
8.2.4 重要的构筑物指抗震设防类别为乙类的构筑物等。
8.2.5 计算正常操作工况地震作用时,结构的重力荷载代表值应取永久荷载和可变荷载中的重力荷载组合值之和;各可变荷载组合值系数,应按表8.2.5采用。

条文说明
8.2.5 各可变荷载中的重力荷载应折减后再乘组合值系数。
8.2.6 荷载偶然组合的效应设计值应按现行国家标准《建筑结构荷载规范》GB 50009的规定确定。
8.2.7 荷载标准组合的效应设计值Sd应按下式计算:

注:组合中的效应设计值仅适用于荷载与荷载效应为线性的情况。
8.2.8 荷载频遇组合的效应设计值S d 应按下式计算:

式中:ψ fl 一一第1个可变荷载Q l 的频遇值系数,应分别按本规范各章的规定采用;
ψ qi 一一第i个可变荷载Q i 的准永久值系数,应分别按本规范各章的规定采用。
注:组合中的效应设计值仅适用于荷载与荷载效应为线性的情况。
8.2.9 荷载准永久组合的效应设计值S d 应按下式计算:

注:组合中的效应设计值仅适用于荷载与荷载效应为线性的情况。
8.2.10 各工况活荷载的组合值系数、频遇值系数、准永久值系数的取值,不应小于表8.2.10的规定。表中未列出的各类活荷载的组合值系数、频遇值系数、准永久值系数的取值应符合现行国家标准《建筑结构荷载规范》GB 50009的有关规定。计算地震作用时,各重力荷载组合值系数应符合本规范第8.2.5条的规定。

条文说明
8.2.10 各工况与设备工作有关的活荷载值相差较大,但在指定工况内基本不变,因此组合值系数取1.0。设备通常会分为正常液位(通常为容积的50%~80%)、高液位(通常为容积的70%~80%)、低液位。操作介质荷载按正常液位考虑。
8.2.11 主控室、机柜间等建筑物进行抗爆设计时,偶然组合可不考虑风荷载、雪荷载、屋面活荷载及地震作用。
8.2.12 不上人屋面均布活荷载可不与雪荷载和风荷载同时组合。
8.2.13 积灰荷载应与雪荷载和不上人屋面均布活荷载两者中的较大者同时考虑。
8.2.14 排架厂房设计时,在荷载准永久组合中可不考虑吊车荷载;但在吊车梁按正常使用极限状态设计时,宜采用吊车荷载的准永久值,吊车荷载的准永久值应符合现行国家标准《建筑结构荷载规范》GB 50009的规定。
8.2.15 石油化工构筑物平台均布活荷载可不考虑其不利布置。
条文说明
8.2.15 石油化工构筑物中平台均布活荷载占竖向荷载的比例较小,且平台多为简支梁,平台均布活荷载的不利布置可不考虑。
8.2.16 当构架支承多台设备时,应根据实际操作中设备可能出现的各种操作介质状态分别组合,取最不利效应组合进行设计。计算焦炭塔框架最不利效应组合时,各塔介质状态宜按本规范附录C的规定采用。
附录A常用动力设备的动力系数
附录A 常用动力设备的动力系数
A.0.1 常用动力设备的动力系数μ值可按表A.0.1取用。




条文说明
A.0.1 本条源于现行行业标准《石油化工企业建筑物结构设计规范》SH/T 3076和《化工、石化建(构)筑物结构设计规定》HG/T 20674。动力设备宜采用动力分析方法,空压机等设备目前多用动力分析方法设计。
A.0.2 对于静止设备上附有小型动设备传动装置时,可仅将小型动设备或传动装置的重量乘以动力系数。
A.0.3 对于下列设备,当采取适当的隔振措施后,可不考虑动力荷载(钢平台除外):
1 电动机功率不大于100kw的一般设备;
2 电动机功率不大于75kW的破碎机、振动筛等类型设备;
3 型号小于10号的送风机。
附录B构架风荷载的整体计算
附录B 构架风荷载的整体计算
B.0.1 构架风荷载整体计算应符合下列规定:
1 构架挡风面积A s 应取迎风面第一根构架的挡风面积和各榀构架挡风面积平均值的较大值;
2 与风平行方向构架的跨度S宜取迎风向第一跨跨度和构架平均跨度的较小值,与风垂直方向构架的轮廓宽度B(图B.0.1)可取各层轮廓宽度的平均值或多数层的轮廓宽度;

3 构架的风荷载整体体型系数μ sw 可根据S/B的不同比值宜分别按表B.0.1-1~表B.0.1-5采用。





条文说明
B.0.1 构架风荷载参考ASCE《Wind Loads for Peterochemical and Other Industrial Facilities》2012年版的计算方法,体型系数根据现行国家标准《建筑结构荷载规范》GB 50009进行了修改。 根据ASCE《Wind Loads for Petrochemical and Other Industrial Facilities》2012年版图5.1,CDg转化成下表。 
转成体型系数Cf表为: 
ASCE7-10图29.5-2,挡风系数ε<0.1时,Cf=2.0;挡风系数0.1≤ε<0.3时,Cf=1.8;挡风系数0.3≤ε≤0.7时,Cf=1.6。又ASCE《Wind Loads for Petrochemical and Other Industrial Facilities》2012年版5.1.3条在规定管架体型系数时,一层平台以下Cf=2.0,一层平台以上Cf=1.6。考虑到现行国家标准《建筑结构荷载规范》GB 50009表8.3.1第33项和第35项中,S/B为1.0、挡风系数为0.1时不考虑遮挡,上表通过外插值(ASCE允许)补充S/B=1.0和φ=0.5的数据,再按Cf=1.6对μs=1.3进行转换,并对数据进行平滑处理得到表B.0.1。 下面是两个构架常规计算方法和附录B整体计算法两种计算方法的风荷载的计算与比较: 构-1中两种计算方法交叉计算并比较,SS-4中两种方法分别计算然后比较。计算挡风面积时,构-1中某标高的计算范围为本层到上、下层各一半区域,SS-4中某标高的计算范围为本层到下层的区域。 (1)某渣油加氢装置构-1,横向二跨,纵向五跨,三层见图1~图5。挡风面积计算中未计入防火层厚度。 



风沿X向即构架纵向作用时: 结构构件和附件挡风面积计算见表3~表8: 




按整体计算法计算X向风荷载: 从以上六个表看出:X向总挡风面积474.809m2。两个边跨由于有梯子和栏杆,明显比其他跨大,两跨相差很小,这个例子中①轴线106.723m2最大。N=6,S=7m,B=15.5m,S/B=0.45,挡风系数φ=106.723/23/15.5=0.3。 查表得μsw=4.133。遮挡折减系数=4.133×106.723/1.3/474.809=0.715,表示构架考虑遮挡的风荷载是不考虑遮挡的71.5%。 现行行业标准《石油化工钢结构冷换框架设计规范》SH/T 3077-2012附录A中,挡风面积折减仅考虑跨数影响未考虑挡风系数的影响,梁柱挡风面积折减
。 标高9.00m、18.00m、23.00m三层平台均为花纹钢板应考虑折减: 标高9.00m:ηf=1—0.2(Af/As)=1—0.2(6.045/23.686)=0.949 标高18.00m:ηf=1—0.2(Af/As)=1—0.2(6.045/23.255)=0.948 标高23.00m:ηf=1—0.2(Af/As)=1—0.2(6.75/18.016)=0.925 估算同场地同设备情况1跨~4跨的结构构件和附件挡风面积的折减: 1跨:N=2,S/B=0.45,φ=0.3,查表得μsw=2.012。①⑥轴总挡风面积208.721m2。遮挡折减系数=2.012×106.723/1.3/208.721=0.791。 2跨:N=3,S/B=0.45,φ=0.3,查表得μsw=2.546。①②⑥轴总挡风面积275.571m2。遮挡折减系数=2.546×106.723/1.3/275.571=0.758。 3跨:N=4,S/B=0.45,φ=0.3,查表得μsw=3.072。①②⑤⑥轴总挡风面积346.418m2。遮挡折减系数=3.072×106.723/1.3/346.418=0.728。 4跨:N=5,S/B=0.45,φ=0.3,查表得μsw=3.595。①②③⑤⑥轴总挡风面积409.776m2。遮挡折减系数=3.595×106.723/1.3/409.776=0.72。 风沿Y向即构架横向作用时: 结构构件和附件挡风面积计算见表9~表11: 

按整体计算法计算Y向风荷载:
从以上三个表看出:Y向总挡风面积570.764m2。两个边跨由于有梯子和栏杆,明显比其他跨大,大小基本相同,这个例子中C轴线219.05m2最大。N=3,S=6m,B=39.4m,S/B=0.15,挡风系数φ=219.05/23/39.4=0.24。
查表得μsw=2.717。遮挡折减系数=2.717×219.05/1.3/570.764=0.802,表示构架考虑遮挡的风荷载是不考虑遮挡的80.2%。
标高9.00m、18.00m、23.00m三层平台均为花纹钢板应考虑折减:
标高9.00m:ηf=1—0.2(Af/As)=1—0.2(15.366/59.035)=0.948
标高18.00m:ηf=1—0.2(Af/As)=1—0.2(15.366/55.865)=0.945
标高23.00m:ηf=1—0.2(Af/As)=1—0.2(15.366/37.16)=0.917
设备和管道风荷载:


按整体计算法计算时,设备和管道风荷载折减系数:
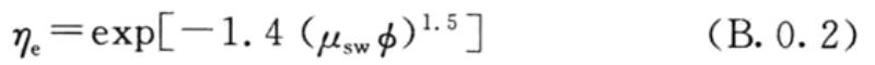
X向:ηe=exp[-1.4(μswφ)1.5]=exp[-1.4(4.133×0.3)1.5]=0.1447。顶层不折减。
Y向:没有支撑遮挡,也没有设备间相互遮挡,不折减。

空冷考虑遮挡,每层横向总挡风面积不大于最大设备3倍。
标高9.00m最大设备挡风面积三倍=57.78×3=173.34m2
标高18.00m最大设备挡风面积三倍=3×12.33=36.99m2

为方便计算,地面粗糙度取B类,基本风压取ωO=1kN/m2,不考虑风振。
按整体计算法考虑折减与常规方便未考虑折减的挡风面积与体型系数乘积比较:



ASCE《Wind Loads for Petrochemical and Other Industrial Facilities》2012年版附录5B中提供了构架的相对于轮廓面积的极限体型系数:
L/B<1.5时,
L/B≥1.5时,
本例中X向L=39.4m,B=15.5m,Cf=2.595,最大实墙比=1.62
Y向L=15.5m,B=39.4m,Cf=1.439,最大实墙比=0.9
比较两种计算方法的风荷载:
由于主风向不在正方向,按B.0.3条当计算对角风时,取一个主方向构架风荷载与另一个主方向结构构件和附件风荷载的50%共同作用。统计见表18~表19:


2)某焦化装置SS-4,横向一跨,纵向三跨,共三层见图6~图10。挡风面积计算中未计入防火层厚度。





先按常规方法计算:
各轴线结构构件和附件挡风面积计算见表20~表25:






设备和管道挡风面积见表26~表28:


空冷考虑遮挡,每层横向总挡风面积不大于最大设备3倍。

计算两个方向挡风面积和风荷载:
为方便计算,地面粗糙度取B类,基本风压取ωO=1kN/m2 ,不考虑风振。表29~表34中,水平力以“kN”计,弯矩以“kN·m”计。


按附录B的方法计算(.各挡风面积同上):
风沿X向即构架纵向作用时:
采用①轴线做挡风面,As=75.67m2;
N=4,S=6m,B=10.7m,S/B=0.56,挡风系数φ=75.67/22.5/10.7=0.314
查表得μsw=3.13。
标高7.30m,12.00m,22.50m三层平台均为花纹钢板挡风面积应考虑折减,即支承花纹钢板的梁面积打八折:
标高7.30m:ηf=1—0.2(Af/As)=1—0.2(6.42/15.5)=0.917
标高15.00m:ηf=1—0.2(Af/As)=1—0.2(6.42/14.07)=0.909
标高22.50m:ηf=1—0.2(Af/As)=1—0.2(4.88/14.55)=0.933
设备和管道风荷载折减系数:
ηe=exp[-1.4(μswφ)1.5]=exp[-1.4(3.13×0.314)1.5]=0.2556。顶层无构架遮挡、空冷器间的遮挡已考虑折减,不再折减。

设备和管道风荷载折减系数:
该方向设备间无相互遮挡,构架对设备基础无遮挡,不考虑折减。
计算两个方向挡风面积和风荷载:
同常规计算方法,地面粗糙度为B类,基本风压为ωO=1kN/m2,不考虑风振。


比较SS-4两种计算方法的风荷载:
由于主风向不在正方向,按B.0.3条当计算对角风时,取一个主方向构架风荷载与另一个主方向结构构件和附件风荷载的50%共同作用。统计见表31和表32:


(3)比较两个构架两种计算方法的风荷载计算值。
先比较两种计算方法各方向各单项风荷载计算值:

再比较两种计算方法组合时各主向总风荷载:

从上面两个表可以看出:
(1)随着榀数增加,整体计算法计算的结构构件和附件的承受的风荷载与常规方法计算值之比逐渐减小,表示遮挡相应加大,比值从单跨的86.8%减小到五跨的69%。
(2)设备和管道挡风面积的折减很大,除顶层和横向风不考虑遮挡外,整体计算法计算的设备和管道挡风面积与各设备挡风面积总和之比很小,上述两构架五跨时为0.1447、三跨时为0.2556,比值也随跨数减少而增加,但比值较小。上述两构架X向的设备和管道总风荷,折减后与未折减的比值也小于55%。
(3)按整体计算法计算时,上述两构架Y向风荷载是常规方法Y向的80%~95%,同时作用的X向风荷载是常规方法X向的20%~30%,整体计算法计算的Y向风荷载对结构的影响与常规方法基本相同。
(4)按整体计算法计算时,上述两构架X向风荷载是常规方法X向的60%~70%,同时作用的Y向风荷载是常规方法Y向的30%左右,整体计算法计算的X向风荷载对结构的影响略小于常规方法。
(5)风沿X向作用时,结构和设备的遮挡现象明显,采用本规范附录B的方法计算风荷载时能够适当考虑遮挡对结构的影响,相比常规方法更符合实际情况。
(6)整体计算法计算简便。整体计算法每个方向只需计算一榀构架的挡风面积,而常规计算方法需计算构架的每一榀,整体计算法降低工作量50%以上,像构-1,2跨×5跨,整体计算法是常规方法工作量的2/7。
B.0.2 构架风荷载整体计算时,设备和管道风荷载宜折减,折减系数η e 可按下式计算:

B.0.3 按本附录方法整体计算风荷载时,宜取一个主方向构架风荷载与另一个主方向结构构件和附件风荷载的50%共同作用。
条文说明
B.0.3 风沿构架正方向作用时,结构构件和设备的遮挡影响本附录计算方法均已考虑,风载有较大折减,结构效应最大的风荷载作用方向已不在正方向,为方便计算,提供本条简化组合方法。
附录C焦炭塔框架最不利效应组合
附录C 焦炭塔框架最不利效应组合
C.0.1 焦炭塔框架结构设计时,焦炭塔宜按水焦、满焦和空三种状态相互组合,并应按最不利的效应组合进行承载能力极限状态设计。计算焦炭塔框架最不利效应组合时,各塔介质状态宜按表C.0.1-1~表C.0.1-4采用。




本规范用词说明
本规范用词说明
1 为便于在执行本规范条文时区别对待,对要求严格程度不同的用词说明如下:
1)表示很严格,非这样做不可的:
正面词采用“必须”,反面词采用“严禁”;
2)表示严格,在正常情况下均应这样做的:
正面词采用“应”,反面词采用“不应”或“不得”;
3)表示允许稍有选择,在条件许可时首先应这样做的:
正面词采用“宜”,反面词采用“不宜”;
4)表示有选择,在一定条件下可以这样做的,采用“可”。
2 条文中指明应按其他有关标准执行的写法为:“应符合……的规定”或“应按……执行”。
引用标准名录
引用标准名录
《建筑结构荷载规范》GB 50009
《建筑抗震设计规范》GB 50011
《烟囱设计规范》GB 50051
《给水排水工程构筑物结构设计规范》GB 50069
《高耸结构设计规范》GB 50135
《工程结构可靠性设计统一标准》GB 50153
《固定式钢梯及平台安全要求》GB 4053
《石油化工压缩机基础设计规范》SH/T 3091
《石油化工钢筋混凝土水池结构设计规范》SH/T 3132
自2022年1月1日起废止的条文

