Appearance
《电力设施抗震设计规范》GB 50260-2013
🗓️ 住房和城乡建设部 实施时间:2013-09-01
前言
中华人民共和国国家标准
电力设施抗震设计规范
Code for seismic design of electrical installations
GB 50260-2013
主编部门:中国电力企业联合会
批准部门:中华人民共和国住房和城乡建设部
施行日期:2013年9月1日
中华人民共和国住房和城乡建设部公告
第1632 号
住房城乡建设部关于发布国家标准《电力设施抗震设计规范》的公告
现批准《电力设施抗震设计规范》为国家标准,编号为GB 50260-2013,自2013年9月1日起实施。其中,第1.0.3、1.0.7、1.0.8、1.0.10、3.0.6、3.0.8 、3.0.9、5.0.1、5.0.3、5.0.4 、7.1.2条为强制性条文,必须严格执行。原国家标准《电力设施抗震设计规范》GB 50260-96同时废止。
本规范由我部标准定额研究所组织中国计划出版社出版发行。
中华人民共和国住房和城乡建设部 二0一三年一月二十八日
本规范是根据原建设部《关于印发〈2004年工程建设标准规范制订、修订计划〉的通知》(建标[2004]67号)的要求,由中国电力工程顾问集团西北电力设计院会同有关单位共同编制完成。
本规范在修订过程中,修订组经广泛调查研究,认真总结实践经验,经广泛征求意见和多次讨论修改,最后经审查定稿。
本规范共分8章,主要内容包括:总则,术语和符号,场地,选址与总体布置,电气设施地震作用,电气设施,火力发电厂和变电站的建(构)筑物,送电线路杆塔及微波塔。
本规范修订的主要技术内容包括:
1.增加了术语和符号章节;
修订了规范的适用范围;
按国家标准《建筑抗震设计规范》GB 50011-2010确定场地划分,修改了地震影响系数;
对动力设计方法、支架动力放大系数、荷载效应组合以及地震试验等提出了更明确的要求;
增加了电气设备的隔震与消能减震设计;
适度增加了主厂房钢筋混凝土结构布置的要求,对特别不规则布置提出了限制条件;补充了栈桥与相邻建(构)筑物间在高抗震设防要求时的连接方式等内容;明确了抗震验算杆塔的设计原则;
吸收了汶川大地震电力设施及电力设备受损情况的经验和教训,适当提高了电力设施的抗震设计标准;
增加了强制性条文。
本规范中以黑体字标志的条文为强制性条文,必须严格执行。
本规范由住房和城乡建设部负责管理和对强制性条文的解释,由中国电力企业联合会负责日常管理,由中国电力工程顾问集团西北电力设计院负责具体技术内容的解释。本规范在执行过程中,请各单位结合工程实践,认真总结经验,积累资料,将意见和建议反馈给中国电力工程顾问集团西北电力设计院(地址:西安市高新技术产业开发区团结南路22号;邮政编码:710075),以供今后修订时参考。
本规范主编单位、参编单位、主要起草人和主要审查人:
主编单位:中国电力工程顾问集团西北电力设计院
参编单位:中国地震局地球物理研究所 中国地震局工程力学研究所 郑州机械研究所 中国电力科学研究院 同济大学 中国电力工程顾问集团华北电力设计院工程有限公司 中国电力工程顾问集团华东电力设计院 重庆大学 西安西开高压电气股份有限公司
主要起草人:张晓江 刘明秋 朱小利 林娜 李小军 周正华 刘玉民 代泽兵 谢强 张玉明 卢智成 马团生 赵纪生 刘启方 潘炎根 陈正伦 李英民 何丽婷 余明星 唐先明 史东 周爽 朴昌吉
主要审查人:贾成 童建国 张蜂蜜 刘锡荟 姚德康 刘厚建 曹枚根 尤红兵 赵风新 杜继平 刘开华 陈峥 包永忠 刘晓瑞 陈其春 李国荣 周建军 夏应朴 钟西岳 周玉 张润明 张希捷 顾丕骅 闫关星 姜涛 张自平 张晓星 隋国秀
条文说明
修订说明
《电力设施抗震设计规范》GB 50260-2013,经住房和城乡建设部2013年1月28日以第1632号公告批准发布。
本规范是在《电力设施抗震设计规范》GB 50260-96的基础上修订而成,上一版的主编单位是电力工业部西北电力设计院,参编单位是国家地震局工程力学研究所、电力工业部华北电力设计院、电力工业部电力建设研究所、西安交通大学、太原工业大学、大连理工大学,主要起草人员是蒋士青、赵道揆、文良谟、郭玉学、刘曾武、尹之潜、石兆吉、张其浩、徐健学、白玉麟、朱永庆、王永滋、李勃、王延白、张圣贤、钟德山、范良干、李世温、曲乃泗、罗命达、彭世良、王祖慧、焦悦琴、张运刚、汪丽珠、高象波。
本次规范修订工作,原则上包括原有版本的全部内容。对原有条款中不能满足《中华人民共和国防震减灾法》、《地震安全性评价管理条例》及未反映当前技术进步的内容进行了修订;本次修编还与现行国家标准《建筑工程抗震设防分类标准》GB 50223-2008、《建筑抗震设计规范》GB 50011-2010及《工业企业电气设备抗震设计规范》GB 50556-2010进行了协调;同时对全国有关单位的回复意见,也在修编中予以体现。
本次修订过程中,发生了2008 年“5.12” 汶川大地震,修订组调查了汶川大地震后四川电力公司、甘肃电力公司及陕西电力公司等多个单位的500kV变电站、220kV变电站、110kV变电站及四川境内的多个大中型火力发电厂和水利发电站的电力设施的受损情况,分析了电力设施受损的原因,论证了将220kV枢纽站列入重要电力设施的必要性,吸收了汶川大地震电力设施及电力设备受损情况的经验和教训。另外,本次修订也吸收了原国家电力公司重点科研项目《大型火电厂主厂房抗震设计试验研究》的研究成果及近几年的高参数、大容量机组的设计经验。
与1996年版规范相比,本版的主要变动有:整体结构进行了调整,标准正文框架按《工程建设标准编写规定》(建标[2008]182号)设置。技术内容按板块编排;新增了术语与符号;增加了英文目录;增补了修订说明;扩大了规范的适用范围,使之可用于单机容量为1000MW 机组、750kV 变电工程及660kV 以下换流站工程。按现行国家标准《建筑抗震设计规范》GB 50011-2010确定场地划分;修改了地震影响系数,对动力设计方法、支架动力放大系数、荷载效应组合以及地震试验等提出了更明确的要求;增加电气设备的隔震与消能减震设计;适当提高了重要电力设施及一般电力设施的抗震设防标准;适度增加主厂房钢筋混凝土结构布置的要求,对特别不规则布置提出了限制条件;补充栈桥与相邻建(构)筑物间在高抗震设防要求时的连接方式等内容;明确了作抗震验算杆塔的设计原则。
本次修订后,本规范第1.0.3、1.0.7、1.0.8、1.0.10、3.0.6、3.0.8、3.0.9、5.0.1、5.0.3、5.0.4、7.1.2条为强制性条文。
为便于广大设计、施工、科研、学校等单位有关人员在使用本规范时能正确理解和执行条文规定, 《电力设施抗震设计规范》修订组按章、节、条顺序编制了本规范的条文说明,对条文规定的目的、依据以及执行中需注意的有关事项进行了说明,还着重对强制性条文的强制性理由做了解释。但是,本条文说明不具备与规范正文同等的法律效力,仅供使用者作为理解和把握规范规定的参考。
1 总则
1.0.1 为贯彻执行《中华人民共和国防震减灾法》,实行“以预防为主、防御与救助结合”的方针,使电力设施经抗震设防后,减轻电力设施的地震破坏,避免人员伤亡,减少经济损失,制定本规范。
1.0.2 本规范适用于抗震设防烈度6度至9度地区的新建、扩建、改建的下列电力设施的抗震设计:
1 单机容量为12MW~1000MW 火力发电厂的电力设施。
2 单机容量为10MW 及以上水力发电厂的有关电气设施。
3 电压等级为110kV~750kV 交流输变电工程中的电力设施。
4 电压等级为±660kV及以下直流输变电工程中的电力设施。
5 电力通信微波塔及其基础。
1.0.3 新建、改建和扩建的电力设施必须达到抗震设防要求。
1.0.4 按本规范设计的电力设施中的电气设施,当遭受到相当于本地区抗震设防烈度及以下的地震影响时,不应损坏,仍可继续使用;当遭受到高于本地区抗震设防烈度相应的罕遇地震影响时,不应严重损坏,经修理后即可恢复使用。
1.0.5 按本规范设计的电力设施的建(构)筑物,当遭受到低于本地区抗震设防烈度的多遇地震影响时,主体结构不受损坏或不需修理仍可继续使用;当遭受到相当于本地区抗震设防烈度的设防地震影响时,可能发生损坏,但经一般修理或不需修理仍可继续使用;当遭受到高于本地区抗震设防烈度相应的罕遇地震影响时,不应倒塌或发生危及生命的严重破坏。
1.0.6 电力设施应根据其抗震的重要性和特点分为重要电力设施和一般电力设施,并应符合下列规定:
1 符合下列条款之一者为重要电力设施:
单机容量为300MW及以上或规划容量为800MW 及以上的火力发电厂;
停电会造成重要设备严重破坏或危及人身安全的工矿企业的自备电厂;
设计容量为750MW 及以上的水力发电厂;
4)220kV 枢纽变电站,330kV~750kV变电站,330kV及以上换流站,500kV~750kV线路大跨越塔,±400kV及以上线路大跨越塔;
不得中断的电力系统的通信设施;
经主管部(委)批准的,在地震时必须保障正常供电的其他重要电力设施。
2 除重要电力设施以外的其他电力设施为一般电力设施。
1.0.7 电力设施中的建(构)筑物根据其重要性分为三类,并应符合下列规定: 1 重要电力设施中发电厂的主要建(构)筑物和输变电工程供电建(构)筑物为重点设防类,简称为乙类。 2 一般电力设施中的主要建(构)筑物和有连续生产运行设备的建(构)筑物以及公用建(构)筑物、重要材料库为标准设防类,简称为丙类。 3 乙、丙类以外的次要建(构)筑物为适度设防类,简称为丁类。
1.0.8 电力设施的抗震设防地震动参数或烈度必须按国家规定的权限审批、颁发的文件(图件)确定。
1.0.9 电力设施的抗震设防烈度或地震动参数应根据现行国家标准《中国地震动参数区划图》GB 18306的有关规定确定。对按有关规定做过地震安全性评价的工程场地,应按批准的抗震设防设计地震动参数或相应烈度进行抗震设防。重要电力设施中的电气设施可按抗震设防烈度提高1度设防,但抗震设防烈度为9度及以上时不再提高。
1.0.10 各抗震设防类别的建(构)筑物的抗震设防标准,均应符合现行国家标准《建筑工程抗震设防分类标准》GB 50223的有关规定。
1.0.11 当架空送电线路的重要大跨越杆塔和基础需提高1度设防时,应组织专家审查,并报主管单位核准。
1.0.12 电力设施中的电气设施和建(构)筑物的抗震设计除应符合本规范的规定外,尚应符合国家现行有关标准的规定。
条文说明
1 总则
1.0.1 本条是规范编制的目的和指导思想,规范修订贯彻了《中华人民共和国抗震减灾法》地震工作以“预防为主、防御与救助相结合”的方针。抗震设防是以现有科学技术水平和经济条件为前提,随着科学技术水平的提高,将来会有所突破。
1.0.2 本条为本规范的适用范围,将其修编与现有电力设施的规模相适应。
本规范所称电力设施应包括火力发电厂及变电站(或换流站)建(构)筑物、送电线路的构筑物和电气设施,以及水力发电厂的有关电气设施;但不包括烟囱、冷却塔、一般管道及其支架。
本规范所称电气设施应包括电气设备、电力系统的通信设备、电气装置和连接导体等;水力发电厂的有关电气设施,指安装在大坝内和大坝上的电气设施。
对水力发电厂,本规范仅适用于常规安装的电气设施,如在大坝上和大坝内安装的电气设施。水电厂的建(构)筑物的抗震设计不属本规范的适用范围。
火力发电厂的烟囱、冷却塔和一般管道及管道支架等设施的抗震设计分别列入现行国家标准《建筑抗震设计规范》GB 50011和《构筑物抗震设计规范》GB 50191的范围。
本规范的适用范围不包含1000kV及以上交流电力设施和±800kV及以上直流电力设施的抗震设计。
1.0.3 本条是根据《中华人民共和国抗震减灾法》新增的条款,确定为强制性条文。
1.0.4、1.0.5 为原规范条文第1.0.3条、第1.0.4条。这两条为规范的设防标准,考虑我国的经济条件,在既保证电力设施遭受地震作用时尽量减少设备损坏和人员伤亡,避免造成电力系统大面积、长时间的停止供电给国民经济带来重大损失,又不能因抗震设防标准过高而增加投资太多。本规范的电力设施包括电气设施和建(构)筑物两大类,分别有其自身的结构特点和功能要求。电气设施的震害经验显示,由于瓷质构件强度不足所致结构损坏和功能损失的情况较多,表示这类设施在地震作用下的延性较弱,不能完全符合现行国家标准《建筑抗震设计规范》GB 50011-2010中“三个水准设防目标”的前提假设条件。另一方面,在地震中或地震后,要求电气设施的功能不受损坏,不致大面积停电事故,这也是与“要求建(构)筑物不倒塌并危及人身安全”的水准设防目标不完全一样的地方。因此分别就电气设施与建(构)筑物提出了不同的设防要求。
1.0.6 为原规范条文第1.0.5 条。电力设施划分为重要电力设施和一般电力设施。划分的主要根据是:火力发电厂的设计规划容量、水电厂的设计装机容量、供电对象的重要性、变电工程的电压等级和在电网中的地位,以及通信设施的重要性等。并增加单机容量1000MW机组、750kV电压等级变电站和330kV及以上换流站为重要电力设施。
根据现行国家标准《建筑工程抗震设防分类标准》GB 50223-2008,220kV及以下枢纽变电站的主控通信楼、配电装置楼、就地继电器室为重要电力设施。原规范中没有将220kV枢纽变电站的电气设施列入重要电力设施,但在汶川地震中,220kV枢纽变电站高压设备瓷套管受损较为严重,故有必要在本规范中将220kV枢纽变电站的电气设施也列入重要电力设施,提高其设防标准。另外,将220kV枢纽变电站的电气设施列为重要电力设施后,造价相对增加较少,也有利于灾后迅速恢复生产。对于220kV以下枢纽变电站仍然执行现行国家标准《建筑工程抗震设防分类标准》GB 50223-2008。
工业企业电气设备抗震设计执行现行国家标准《工业企业电气设备抗震设计规范》GB 50556-2010。
1.0.7 本条结合电力设施的具体情况,并与现行国家标准《建筑工程抗震设防分类标准》GB 50223-2008第3.0.2 条的规定保持一致,确定为强制性条文。本条将电力设施中的建(构)筑物按现行国家标准《建筑工程抗震设防分类标准》GB 50223-2008的规定,根据其特点和重要性划分为三类,本次修订,将原规范中划分的一、二、三类改为与现行国家标准《建筑工程抗震设防分类标准》GB 50223-2008一致的乙、丙、丁类。其目的是方便应用,避免混淆和错误。
1.0.8 本条结合电力设施的具体情况,并与现行国家标准《建筑抗震设计规范》GB 50011-2010强制性条文第1. O. 4条的规定保持一致,确定为强制性条文。
1.0.9 本条根据现行国家标准《建筑抗震设计规范》GB 50011-2010 第1.0.5 条进行修编。
电力设施的抗震设防地震动参数或烈度,在一般情况下还是采用现行国家标准《中国地震动参数区划图》GB 18306确定的抗震设防地震动参数或相应烈度。本规范增加了“按有关规定开展地震安全性评价的场地,应按批准的设计地震动参数或相应烈度进行抗震设防”的要求。
工程场地地震安全性评价报告必须经国务院或省(直辖市、自治区)地震行政主管部门批准后才可使用,地震安全性评价结果(一般包括抗震设防烈度、地震动峰值加速度、反应谱特征周期值、地震影响系数曲线、地震加速度时程曲线) ,将作为具体建设工程的抗震设防要求。
重要电力设施中的建(构)筑物按照要求应提高一度加强其抗震措施,但重要电力设施中的电气设施可采取的抗震措施非常有限,其抗震能力的提高基本上依赖于自身强度的提高,因此应提高一度设防。
1.0.10 本条结合电力设施的具体情况,并与现行国家标准《建筑抗震设计规范》GB 50011-2010第3. 1. 1条的规定保持一致,确定为强制性条文。
1.0.11 500kV以上大跨越塔,已定为乙类建筑,提高抗震措施而不要求提高地震作用,在设防概念上有所不同:提高抗震措施,着眼于把财力、物力用在增加结构薄弱部位的抗震能力上,是经济而有效的方法,提高地震作用,则结构的各构件均全面增加材料。但对输电线路铁塔来说,涉及抗震措施的要求很少,设防烈度提高1度和不提高1度差别不大,因此为保证大跨越铁塔和基础的安全,需要增大地震作用。
500kV以下大跨越塔,虽属丙类建筑,地震作用和抗震措施均按设防烈度计算,但对某些线路在区域内非常重要,若业主要求对其提高标准,可增加1度设防。
综上所述,乙类建筑,若提高设防烈度,抗震措施所用烈度与设防烈度相同,不提高设防烈度,抗震措施所用烈度比设防烈度提高1度;丙类建筑,抗震措施所用烈度始终与设防烈度相同。
实际工程中设防烈度是否提高,应根据工程实际,由业主单位批准同意。
1.0.12 本条规定按本规范进行抗震设计时,尚应遵守和符合现行有关国家标准的规定。本规范主要是针对电力设施的特点制定的,而有些设施如烟囱、冷却塔等虽属电力设施,但其抗震设计规定均分别列入现行国家标准《建筑抗震设计规范》GB 50011和《构筑物抗震设计规范》GB 50191。特别指出的是,建(构)筑物的抗震设计应按现行国家标准《建筑抗震设计规范》GB 50011执行。
2 术语和符号
2.1 术语
2.1.1 抗震设防烈度seismic precautionary intensity
按国家规定的权限批准作为一个地区抗震设防依据的地震烈度。一般情况下,取50年内超越概率10%的地震烈度。
2.1.2 场地site
工程群体所在地,具有相似的反应谱特征。其范围相当于厂区、居民小区和自然村或不小于1.0km2的平面面积。
2.1.3 地震作用earthquake action
由地震动引起的结构动态作用,包括水平地震作用和竖向地震作用。
2.1.4 设计基本地震加速度design basic acceleration of ground motion
50年设计基准期超越概率10%的地震加速度值,为一般建设工程抗震设计地震加速度取值。
2.1.5 设计特征周期design characteristic period of ground motion
抗震设计用的地震影响系数曲线中,反映地震震级、震中距和场地类别等因素的下降段起始点对应的周期值,简称特征周期。
2.1.6 抗震措施seismic measures
除地震作用计算和抗力计算以外的抗震设计内容,包括抗震构造措施。
2.1.7 抗震构造措施details of seismic design
根据抗震概念设计原则,一般不需计算而对结构和非结构各部分必须采取的各种细部要求。
2.1.8 固有频率natural frequency
只取决于结构本身物理特性(质量、刚度和阻尼)的自由振动频率。
2.1.9 时程曲线time history curve
加速度、速度、位移等物理量与时间的关系曲线分别称为加速度、速度、位移时程曲线。
2.1.10 正弦拍波sine beat
由较低频率正弦波调制的某一频率的连续正弦波。一个正弦拍波的持续时间为调制频率的半个周期。
2.2 符号
2.2.1 作用和作用效应:
Fji——j振型i质点的水平地震作用标准值;
FEK——结构总水平地震作用标准值;
Fi——i质点的水平地震作用标准值;
Fn——顶部附加水平地震作用;
Gi 、Gj——分别为集中于质点i 、j 的重力荷载代表值;
Geq——结构(设备)等效总重力荷载代表值;
SE ——地震作用效应(弯矩、轴向力、剪力、应力和变形);
S——地震作用效应与其他荷载效应的基本组合;
Sk ——作用、荷载标准值的效应;
SEk——水平地震作用标准值的效应;
Sj ——j振型水平地震作用效应;
M——弯矩;
N——轴向力;
V——地震作用产生的剪力。
2.2.2 抗力和材料性能:
Ec——瓷套管的弹性模量;
Kce——瓷套管的抗弯刚度;
R——结构(设备)构件承载力设计值;
K——结构(设备)构件的刚度;
σtot——地震作用和其他荷载产生的总应力;
σv——设备或材料的破坏应力。
2.2.3 几何参数:
H0——电气设施体系重心高度;
h——计算断面处距底部高度;
Hi、Hj——分别为i、j质点的计算高度;
hc——瓷套管与法兰胶装高度;
Ic——截面惯性矩;
dc——瓷套管胶装部位外径;
Lc ——梁单元长度;
te——法兰与瓷套管之间的间隙距离。
2.2.4 计算系数:
ζ—结构阻尼比;
γ——衰减指数;
η1——地震影响系数曲线中直线下降段的下降斜率调整系数;
η2——阻尼调整系数;
γRE——承载力抗震调整系数;
α ——水平地震影响系数;
αmax——水平地震影响系数最大值(周期T=0的值,0.40αmax对应着刚性结构动力不放大)。
2.2.5 其他:
ao——设计基本地震加速度;
g——重力加速度;
a——地面运动时程的水平加速度;
as——地面运动时程的最大水平加速度;
T——体系(结构)自振周期;
f——体系(结构)在测试方向的基本频率;
Tg——特征周期;
Tp——正弦拍波各拍间时间间隔;
Xji——j振型i质点的X 方向相对水平位移;
Yji——j振型i质点的Y 方向相对水平位移。
3 场地
3.0.1 工程场地按照现行国家标准《建筑抗震设计规范》GB 50011可分为有利、一般、不利和危险地段。
3.0.2 工程场地的类别划分,应以土层等效剪切波速和场地覆盖层厚度为准。
3.0.3 场地土层剪切波速的测量,应符合现行国家标准《建筑抗震设计规范》GB 50011的有关规定。
3.0.4 工程场地覆盖层厚度的确定,应符合下列要求:
1 一般情况下,应按地面至剪切波速大于500m/s 且其下卧各层岩土的剪切波速均不小于500m/s 的土层顶面的距离确定。
2 当地面5m以下存在剪切波速大于上部各土层的剪切波速2.5倍的土层,且该层及其下卧各层岩土的剪切波速均不小于400m/s时,可按地面至该土层顶面的距离确定。
3 剪切波速大于500m/s的孤石、透镜体,应视同周围土层。
4 土层中的火山岩硬夹层,应视为刚体,其厚度应从覆盖土层中扣除。
3.0.5 土层的等效剪切波速,应按下列公式计算:

式中: vse——±层等效剪切波速(m/s);
d0——计算深度(m),取覆盖层厚度和20m两者的较小值;
t——剪切波在地面至计算深度之间的传播时间(s);
di——计算深度范围内第i土层的厚度(m);
vsi——计算深度范围内第i土层的剪切波速(m/s);
n——计算深度范围内土层的分层数。
3.0.6 工程场地类别,应根据土层等效剪切波速和场地覆盖层厚度按表3.0.6划分为四类,其中Ⅰ类分为Ⅰ0 、Ⅰ1 两个亚类。当有可靠的剪切波速和覆盖层厚度且其值处于表3.0.6所列场地类别的分界线附近时,应允许按插值方法确定地震作用计算所用的设计特征周期。

注:Vs为场地岩石剪切波速;Vse为场地土层等效剪切波速;d为覆盖层厚度(单位:m)。
3.0.7 场地内存在发震断裂时,应对断裂的工程影响进行评价,并应符合现行国家标准《建筑抗震设计规范》GB 50011的有关规定。
3.0.8 当需要在条状突出的山嘴、高耸孤立的山丘 、非岩石和强风化岩石的陡坡、河岸和边坡边缘等不利地段进行建设时,除保证地震作用下的稳定性外,尚应估计不利地段对设计地震动参数可能产生的影响,应按现行国家标准《建筑抗震设计规范》GB 50011规定的方法对设计地震动参数进行修正。
3.0.9 场地地质勘察应划分对电力设施有利、一般、不利和危险的地段,并应提供电力设施的场地覆盖层厚度、土层剪切波速和岩土地震稳定性(滑坡、崩塌等)评价结果,以及对液化地基提供液化判别、液化等级、液化深度等数据。
3.0.10 输电线路勘察范围和勘察项目可按有关规定执行。
条文说明
3 场地
3.0.1 本条将场地分为对电力设施抗震有利、一般、不利和危险等四种情况。总的来说,电力设施的震害是由地震动和地基失效两种原因形成,地震动可以通过电力设施抗震设计和增加适当抗震措施来解决;地基失效(如砂土液化、沉陷等)可以按现行国家标准《建筑抗震设计规范》GB 50011-2010有关规定进行液化判别及相应的加固和改造地基来解决。但是,对电力设施抗震不利地区的各种情况则应视具体情况进行分析和处理或通过专门研究来解决。如查明可能发生滑坡、崩塌、泥石流、地陷、地裂和地表断裂错位等地区或地带是危险地段,不应选作电力设施场地。
3.0.2~3.0.6 按照现行国家标准《建筑抗震设计规范》GB 50011-2010 第4. 1. 2条~第4.1.6条进行修编。
(1) 关于场地覆盖层厚度的定义,补充了当地下某一下卧土层的剪切波速大于或等于400m/s且不小于相邻的上层土的剪切波速的2.5倍时,覆盖层厚度可按地面至该下卧层顶面的距离取值的规定。需要注意的是,这一规定只适用于当下卧层硬土层顶面的埋深大于5m时的情况。
(2) 土层剪切波速的平均采用更富有物理意义的等效剪切波速的公式计算,即:

式中:d0——场地评定用的计算深度,取覆盖层厚度和20m两者中的较小值;
t——剪切波在地表与计算深度之间传播的时间。
(3) 考虑到波速为500m/s~800m/s 的场地还不是很坚硬,将原场地类别Ⅰ类场地(坚硬土或岩石场地)中的硬质岩石场地明确为I0类场地。因此,土的类型划分也相应区分。硬质岩石的波速,我国核电站抗震设计为700m,美国抗震设计规范为760m,欧洲抗震规范为800m,从偏于安全方面考虑,调整为800m/s。
(4) 考虑到软弱土的指标140m/s与国际标准相比略偏低,将其改为150m/s,场地类别的分界也改为150m/s。
(5) 为了保持与1996年版规范的延续性以及与其他有关规范的协调,作为一种补充手段,当有充分依据时,允许使用插入方法确定边界线附近(指相差15%的范围)的Tg值。图1给出了一种连续化插入方案,可将原有场地分类及修订方案进行比较。该图在场地覆盖层厚度dov和等效剪切波速vse平面上按本次修订的场地分类方法用等步长和按线性规则改变步长的方案进行连续化插入,相邻等值线的Tg值均相差0.01s。

图1 在dov-vse 平面上的Tg等值线图
(用于设计特征周期一组,图中相邻Tg等值线的差值均为O.O1s)
第3.0.6 条规定的场地分类方法主要适用于剪切波速随深度呈递增趋势的一般场地,对于有较厚软夹层的场地土层,由于其对短周期地震动具有抑制作用,可以根据分析结果适当调整场地类别和设计地震动参数。其中,第3.0.6条与现行国家标准《建筑抗震设计规范》GB 50011-2010第4. 1. 6条的规定保持一致,确定为强制性条文。
3.0.7 新增条文,采用了现行国家标准《建筑抗震设计规范》GB 50011-2010中第4.1.7条内容。
3.0.8 新增条文,与现行国家标准《建筑抗震设计规范》GB 50011-2010第4.1.8条的规定保持一致,确定为强制性条文。
3.0.9 强制性条文,与现行国家标准《建筑抗震设计规范》GB 50011-2010第4.1.9条的规定保持一致,确定为强制性条文。
4 选址与总体布置
4.0.1 发电厂、变电站应选择在对抗震有利的地段,并应避开对抗震不利地段;当无法避开时,应采取有效措施。不得在危险地段选址。
4.0.2 发电厂不宜建在抗震设防烈度为9 度的地区。当必须在9度抗震设防烈度地区建厂时,重要电力设施应建在坚硬(坚硬土或岩石)场地。
4.0.3 发电厂的铁路、公路或变电站的进站道路应避开地震时可能发生崩塌、大面积滑坡、泥石流、地裂和错位的危险地段。
4.0.4 电力设施的主要生产建(构)筑物、设备,根据其所处场地的地质和地形,应选择对抗震有利的地段进行布置,并应避开不利地段。
4.0.5 当在8m以上高挡土墙、高边坡的上、下平台布置电力设施时,应根据其重要性适当增加电力设施至挡土墙或边坡的距离。
4.0.6 发电厂的燃油库、酸碱库、液氨脱硝剂制备及存储车间宜布置在厂区边缘较低处。燃油罐、酸碱罐、液氨罐四周应设防护围堤。
4.0.7 发电厂厂区的地下管、沟,宜简化和分散布置,并不宜平行布置在道路行车道下面,但抗震设防烈度为7 度~9 度地震区不应布置在主要道路行车道内。地下管、沟主干线应在地面上设置标志。
4.0.8 发电厂厂外的管、沟、栈桥不宜布置在遭受地震时可能发生崩塌、大面积滑坡、泥石流、地裂和错位等危险地段,宜避开洞穴和欠固结填土区。
4.0.9 发电厂的主厂房、办公楼、试验楼、食堂等人员密集的建筑物,主要出入口应设置安全通道,附近应有疏散场地。
4.0.10 发电厂道路边缘至建(构)筑物的距离应满足地震时消防通道不致被散落物阻塞的要求。
4.0.11 发电厂、变电站水准基点的布置应避开对抗震不利地段。
条文说明
4 选址与总体布置
4.0.1 本条是对地震地区发电厂、变电站厂(所)址选择的基本要求。
4.0.2 对于重要电力设施是否能建在9 度地区的问题,从地震地质宏观来看,该地区虽被划分为9 度,但其中某些局部地区具有基岩的良好地基条件,其抗震设防烈度仍小于9 度,经过论证落实,这些地区仍是可以建设重要发电厂和变电站的,如云南阳宗海电厂虽处于9度地震区,正因为是基岩地基,经论证后按7 度设防。故本条规定9度区的重要电力设施应建在坚硬场地。因此,对9度地区的建厂条件需要在分析论证的基础上区别对待,不能一概而论,从而为9度区的厂、所址选择创造了条件。
4.0.3 发电厂的铁路和公路、变电站的公路要求在发生地震后仍能保持畅通,对于确保电厂的燃料供应、及时运送救援物资,为震后抢修尽快恢复生产运行具有重要意义,因此,本条要求发电厂的铁路、公路,变电站的公路展线在不增加或增加投资不多的情况下,应尽量避开地震时有可能发生崩塌、大面积滑坡、泥石流、地裂和错位的不良地质地段,选择有利地段展线,以尽量减少震害。
4.0.4 不均匀地基、软弱层、深填土等均属不良地质;条形山梁、高耸孤立的山丘、倾斜岩层上覆盖土层的陡坡、河岸边缘、采空区、暗埋的塘浜沟谷、隐伏地形、故河道、断层破碎带等均属于不利抗震的地形地貌,位于上述地段的建(构)筑物更易遭受破坏,故要求发电厂和变电站的主要生产建(构)筑物和设备在可能的条件下应尽量避免布置在这些地段,以免地震时造成较大破坏,影响及时恢复生产。
4.0.5 建(构)筑物、设备至挡土墙、边坡的距离一般按现行国家标准《建筑地基基础设计规范》GB 50007-2011 第5.4.2 条确定。但位于地震区布置在高度大于8m 的高挡土墙、高边坡上下平台的重要建(构)筑物、设备,应结合地质、地形条件,宜在此基础上适当加大距离,以增加地震时电力设施的安全度。
4.0.6 本条系针对高烈度地区所具有的较大破坏性而制定的,目的在于防止和减少地震时泄露出的有害物质对邻近所引起的次生灾害。
4.0.7 地下管、沟集中地段,地震时当其中一部分管、沟破损、断裂后将有可能危及相邻管沟的安全,或构成对临近管沟的污染,如酸、碱管断裂,酸、碱溢出将腐蚀其他管沟;生活污水排水管破坏后将污染临近管沟,因此,在布置厂区地下管沟时,应视管沟性质分类,性质相同或类似的可采用综合管沟,或按类小集中,以简化管沟布置,有利于抗震。同时,在不增加用地的前提下,管沟宜适当分散布置,避免过于集中,以减少地震时的互相影响。据唐山震害情况调查,地震时将造成某些管沟发生位移,给修复工作带来困难,为此,要求主干管、沟所通过的地面应设置标志,表明其所在位置。当管沟平行于道路布置在行车部分内,地震时无论道路还是管沟遭破坏,都将造成互相影响,增加了修复工作,使道路不能尽快恢复通车,不利于救援工作。
4.0.8 位于不良地质地段的发电厂厂外管沟(如循环水管、沟,补给水管,灰、渣管沟等) ,由地震引起的崩塌、大面积滑坡、泥石流、地裂和错位,对管沟亦将产生次生灾害使之损坏,故要求厂外主要管、沟尽量避开上述地段,如因条件限制无法避开时,应采取地基处理或其他防护措施。
4.0.9 唐山等地的震害情况表明:某些人员集中的建筑,其出入口因缺少安全通道,往往出口被临近倒塌的建(构)筑物堵塞,致使大量人员不能迅速撤离危险区,从而增加了人员伤亡;有的即使撤出,但附近又无安全疏散场地,使脱险人员又再次被临近倒塌的建筑、设施砸伤压死。据此,结合电厂具体情况,特提出主厂房、办公楼、试验室、食堂等人员密集的建筑,其主入口应设置安全通道,通道附近应有供人员疏散的场地,该场地应不受附近建(构)筑物、设施坍塌的影响,以满足人员疏散要求。
4.0.10 调查表明:厂区主要道路震后是否能保持畅通,对救援和恢复工作的及时、顺利进行极为重要。如有的道路由于被坍塌物所堵塞不能通行,使运输车辆和起吊设备不能及时发挥作用,从而延误了时机,增加了伤亡和损失。因此结合发电厂具体情况,要求主厂房、水处理、仓库等区的主要道路应环行贯通,为震后的救援与恢复工作创造条件。建(构)筑物受地震破坏的坍塌范围与其高度成正比,据统计,散落距离大致为高度的1/5~1/6( 特殊情况除外) ,道路应布置在此界限之外。
4.0.11 从唐山等地的震害情况看,在震害较重的地区,布置在地质条件较差地段的水准基点也遭破坏,给恢复工作带来困难,故要求发电厂、变电站的水准基点应避开抗震不利地段。
5 电气设施地震作用
5.0.1 电气设施的地震作用应接下列原则确定: 1 电气设施抗震验算应至少在两个水平轴方向分别计算水平地震作用,各方向的水平地震作用应由该方向抗侧力构件承担。 2 对质量和刚度不对称的结构,应计入水平地震作用下的扭转影晌。 3 抗震设防烈度为8度、9度时,大跨度设施和长悬臂结构应验算竖向地震作用。
5.0.2 电气设施可采用静力法、底部剪力法、振型分解反应谱法或时程分析法等进行抗震分析。
5.0.3 地震作用的地震影响系数应根据现行国家标准《中国地震动参数区划图》GB 18306的有关规定、场地类别、结构自振周期、阻尼比及本规范第1. 0. 9条确定,并应符合下列要求: 1 水平地震影响系数最大值应根据设计基本地震加速度应按表5.0.3-1 采用,设计基本地震加速度应根据现行国家标准《中国地震动参数区划图》GB 18306取电气设施所在地的地震动峰值加速度。 2 水平地震影响系数特征周期应根据现行国家标准《中国地震动参数区划图》GB 18306取电气设施所在地反应谱特征周期,并根据场地类别调整确定;或根据国家标准《建筑抗震设计规范》GB 50011按电气设施所在地的设计地震分组和场地类别按表5.0.3-2采用。如按罕遇地震计算时特征周期增加0.05s。 注:周期大于6.0s的结构所采用的地震影响系数应专门研究。

5.0.4 对已编制地震小区划的城市或开展工程场地地震安全性评价的场地,应按批准的设计地震动参数采用相应的地震影响系数。
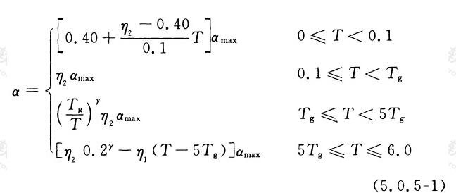
5.0.5 地震作用的地震影响系数曲线的形状参数应符合下列要求:
1 对于Ⅱ类场地,地震作用的地震影响系数曲线(图5. 0. 5)的形状参数计算应符合下列规定:
直线上升段,周期小于0.1s的区段;
水平段,自0.1s至特征周期的区段;
曲线下降段,自特征周期至5倍特征周期的区段;
直线下降段,自5倍特征周期至6s区段;
地震影响系数曲线按下式表达:


式中:α——地震影响系数;
αmax——地震影响系数最大值;
Tg——特征周期;
T——结构自振周期;
ζ——结构阻尼比;
γ——衰减指数;
η1——直线下降段的下降斜率调整系数,当计算值η1<0 时,η1应取为0;
η2——阻尼调整系数,当计算值η2<0.55 时,η2应取为0.55。

图5.0.5 地震影响系数曲线
2 对于其他类场地,计算地震作用的地震影响系数曲线形状参数按下式确定:
αs = η3α (5.0.5-5)
式中:αs的——不同类场地的地震影响系数;
α——按式(5.0.5-1)计算的地震影响系数值;
η3——地震影响系数最大值场地调整系数,应符合表5.0.5的规定。

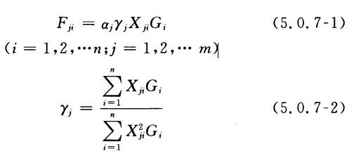
5.0.6 当采用底部剪力法进行结构水平地震作用计算(图5.0.6)时,结构的总水平地震作用标准值及各质点的水平地震作用标准值,应按下列公式计算:

图5.0.6 结构水平地震作用计算简图
1 结构总水平地震作用标准值应按下式计算:
FEK =α1Geq (5.0.6-1)
式中:FEK ——结构总水平地震作用标准值;
α1——对应于结构基本自振周期的水平地震影响系数,应按本规范第5.0.5条采用;
Geq——结构等效总重力荷载,单质点应取总重力荷载代表值,多质点可取总重力荷载代表值的85% 。
2 各质点的水平地震作用标准值应按下式计算:

式中:Fi——i质点的水平地震作用标准值;
Gi、Gj——分别为集中于质点i 、j 的重力荷载代表值;
Hi、Hj——分别为i、j质点的计算高度;
δn——顶部附加地震作用系数,可符合表5.0.6 的规定。

注:T1为结构的基本自振周期。
3 顶部附加水平地震作用应按下式计算:

式中:△Fn——顶部附加水平地震作用,应符合表5.0.6的要求。
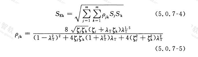
5.0.7 当采用振型分解反应谱法时,所取振型数应能保证参与质量至少达到总质量的90%或以上。地震作用和作用效应应符合下列规定:
1 结构j振型i质点的水平地震作用标准值,应按下列公式确定:

式中:Fji ——j振型i质点的水平地震作用标准值;
αj ——相应于j 振型自振周期的水平地震影响系数,应按本规范第5.0.5条采用;
γj ——j 振型的参与系数;
Xji——j振型i质点的水平相对位移;
Gi——i质点的重力荷载代表值,应包括全部恒荷载、固定设备重力荷载和附加在质点上的其他重力荷载。
2 当相邻振型周期比小于0.9时,各振型的水平地震作用效应(弯矩、剪力、轴向力和变形),应按下式进行计算:

式中:SEk——水平地震作用效应;
Sj——j振型水平地震作用效应。
3 当相邻振型周期比大于0.9时,各振型的水平地震作用效应(弯矩、剪力、轴向力和变形),应按下列公式进行计算:

式中:SEk——水平地震作用效应:
Sj 、Sk——分别为j,k振型地震作用效应;
ζj、ζk——分别为j、k振型的阻尼比;
ρjk——j 振型与k振型的藕联系数;
λT——k振型与j振型的自振周期比。
条文说明
5 电气设施地震作用
5.0.1 本条结合电力设施的具体情况,与现行国家标准《建筑抗震设计规范》GB 50011-2010第5. 1. 1条的规定保持一致,确定为强制性条文。抗震设计时,结构(对设备进行力学分析时也视为结构)所承受的“地震荷载”实际上是由于地震地面运动引起的动态作用,按照现行国家标准《建筑结构设计术语和符号标准》GB/T 50083的规定,属间接作用,不能称为“荷载”,改称“地震作用”。有关地震作用考虑的原则为:
(1) 考虑到地震可能来自任意方向,而一般电力设施的结构单元具有两个水平主轴方向,并沿主轴方向考虑抗地震作用,并由该方向抗侧力构件承担。
(2) 质量和刚度分布明显不均匀的结构在水平地震作用下将产生扭转振动,增大地震效应,故应考虑扭转效应。
(3) 有关长悬臂和大跨度结构的竖向地震作用的计算同现行国家标准《建筑抗震设计规范》GB 50011-2010。
5.0.2 电气设施的结构类型繁多,应针对不同的设施采用不同的抗震分析方法,对此,本规范各章中分别作了规定,明确了不同抗震分析方法的适用范围。
5.0.3~5.0.5 按照现行国家标准《中国地震动参数区划图》GB 18306进行修编。其中第5.0.3条、第5.0.4条结合电力设施的具体情况,与现行国家标准《建筑抗震设计规范》GB 50011-2010第5.1.4条的规定保持一致,确定为强制性条文。
5.0.6、5.0.7条文沿用了现行国家标准《建筑抗震设计规范》GB 50011-2010中的底部剪力法和振型分解反应谱法。在底部剪力法中,它是根据31条不同场地上的地震记录,计算了400多座不同周期的结构。计算结果表明,在结构高度的60%以上,剪力随结构周期的增长而变大。这种变化关系可近似地用线性变化表示。本条底部剪力法中,在沿高度分配荷载时,在顶层附加一地震作用是根据上述结果给出的。按修改后的方法计算出的剪力与按精确方法计算的结果一致。
考虑到计算手段的发展和计算准确度要求的提高,多数电气设施不适宜用底部剪力法求地震作用,振型分解反应谱法适用范围较广,作为本规范计算地震作用的主要方法列入了本节。为提高分析精度,一般建议适当增加组合的振型个数,至少保证参振质量达总质量的90%以上。且为了考虑相邻振型之间的互相影响,当其周期比大于0.9时,计算地震作用效应不应采用平方和开方SRSS组合方法,而应采用完全方根组合CQC方法,如本规范式5.0.7-4和式5.0.7-5所示。
6 电气设施
6.1 一般规定
6.1.1 电气设施抗震设计的原则。
1 重要电力设施中的电气设施由于在电力系统中重要性较高,造价也高,且其体系重心高,质量大,故规定设防烈度为7度及以上时,应进行抗震设计。
2 根据我国的震害情况,220kV及以下等级的电气设施在遭受到地震烈度为8度及以上的地震作用时,有震害实例,故规定应进行抗震设计。从汶川地震后的统计数据来看,220kV双断口SF6断路器及110kV少油断路器倾倒或瓷柱断裂比较严重,220kV 单断口SF6断路器折断相对较低,如安县两台252kV 双断口SF6断路器六相全部断裂,安县辕门坝126kV 变电站中的双断口少油断路器三相断裂,同一变电站中的两台单断口252kV断路器却只有一相倾倒,毁坏率远低于双断口断路器, 220kV 及以下隔离开关除了因震中地震烈度超过设备设防烈度地区外,周边地区的隔离开关损坏比较少。因此,对于220kV 及以下变电站,8度地区可采用中型布置,断路器选用单断口SF6型,硬母线采用悬吊式安装。
3 安装在屋内二层及以上和屋外高架平台上的电气设施,由于建(构)筑物对地面运动加速度值有放大作用,故规定在设防烈度为7度及以上时应进行抗震设计。
6.1.2 电气设备、通信设备应根据设防烈度选择,其抗震能力应满足抗震要求。
由于有些已定型的电气设备其抗震性能较差,若为提高抗震能力而改变产品结构或改用高强度瓷套,困难较多或提高造价较多时,采取装设隔震或减震阻尼装置提高其抗震能力是经济、简单而有效的措施。
其他抗震措施如降低设备的安装高度、采用低式安装方式,屋内设备尽量安装在底层等,可减少建(构)筑物的动力反应放大作用。
条文说明
6.1 一般规定
6.1.1 电气设施抗震设计的原则。
1 重要电力设施中的电气设施由于在电力系统中重要性较高,造价也高,且其体系重心高,质量大,故规定设防烈度为7度及以上时,应进行抗震设计。
2 根据我国的震害情况,220kV及以下等级的电气设施在遭受到地震烈度为8度及以上的地震作用时,有震害实例,故规定应进行抗震设计。从汶川地震后的统计数据来看,220kV双断口SF6断路器及110kV少油断路器倾倒或瓷柱断裂比较严重,220kV 单断口SF6断路器折断相对较低,如安县两台252kV 双断口SF6断路器六相全部断裂,安县辕门坝126kV 变电站中的双断口少油断路器三相断裂,同一变电站中的两台单断口252kV断路器却只有一相倾倒,毁坏率远低于双断口断路器, 220kV 及以下隔离开关除了因震中地震烈度超过设备设防烈度地区外,周边地区的隔离开关损坏比较少。因此,对于220kV 及以下变电站,8度地区可采用中型布置,断路器选用单断口SF6型,硬母线采用悬吊式安装。
3 安装在屋内二层及以上和屋外高架平台上的电气设施,由于建(构)筑物对地面运动加速度值有放大作用,故规定在设防烈度为7度及以上时应进行抗震设计。
6.1.2 电气设备、通信设备应根据设防烈度选择,其抗震能力应满足抗震要求。
由于有些已定型的电气设备其抗震性能较差,若为提高抗震能力而改变产品结构或改用高强度瓷套,困难较多或提高造价较多时,采取装设隔震或减震阻尼装置提高其抗震能力是经济、简单而有效的措施。
其他抗震措施如降低设备的安装高度、采用低式安装方式,屋内设备尽量安装在底层等,可减少建(构)筑物的动力反应放大作用。
6.2 设计方法
6.2.1 电气设施的抗震设计宜采用下列方法:
1 对于基频高于33Hz 的刚性电气设施,可采用静力法。
2 对于以剪切变形为主或近似于单质点体系的电气设施,可采用底部剪力法。
3 除以上款外的电气设施,宜采用振型分解反应谱法。
4 对于特别不规则或有特殊要求的电气设施,可采用时程分析法进行补充抗震设计。
6.2.2 当采用静力设计法进行抗震设计时,地震作用产生的弯矩或剪力可分别按下列公式计算:
1 地震作用产生的弯矩可按下式计算:

式中:M——地震作用产生的弯矩(kN·m);
ao——设计地震加速度值;
Geq——结构等效总重力荷载代表值(kN);
H0——电气设施体系重心高度(m);
h——计算断面处距底部高度(m);
g——重力加速度。
2 地震作用产生的剪力可按下式计算:

式中:V——地震作用产生的剪力(kN) 。
6.2.3 当采用底部剪力法进行抗震设计或采用振型分解反应谱法进行抗震设计时,应符合本规范第5 章的有关规定。
6.2.4 当采用动力时程分析法进行抗震设计时,可采用实际强震记录或人工合成地震动时程作为地震动输入时程。输入地震动时程不应少于三条,其中至少应有一条人工合成地震动时程。时程的总持续时间不应少于30s,其中强震动部分不应小于6s。计算结果宜取时程法计算结果的包络值和振型分解反应谱法计算结果的较大值。
6.2.5 当需进行竖向地震作用的时程分析时,地面运动最大竖向加速度av可取最大水平加速度as的65%。
6.2.6 当电气设备有支承结构时,应充分考虑支承结构的动力放大作用;若仅作电气设施本体的抗震设计时,地震输入加速度应乘以支承结构动力反应放大系数,并应符合下列规定:
1 当支架设计参数确定时,应将支架与电气设施作为一个整体进行抗震设计。
2 当支架设计参数缺乏时,对于预期安装在室外、室内底层、地下洞内、地下变电站底层地面上或低矮支架上的电气设施,其支架的动力反应放大系数的取值不宜小于1.2,且支架设计应保证其动力反应放大系数不大于所取值。
3 安装在室内二、三层楼板上的电气设备和电气装置,建筑物的动力反应放大系数应取2.0。对于更高楼层上的电气设备和电气装置,应专门研究。
4 安装在变压器、电抗器的本体上的部件,动力反应放大系数应取2.0。
6.2.7 电气设施抗震设计地震作用计算应包括体系的总重力(含端子板、金具及导线的重量)、内部压力、端子拉力及0.25 倍设计风载等产生的荷载,可不计算地震作用与短路电动力的组合。
条文说明
6.2 设计方法
6.2.1~6.2.3 电气设施的结构形式不同,其动力特性不同,动力反应也就不同。根据震害调查及破坏几率研究,对不同电气设施规定了不同设计方法。其中,静力法、底部剪力法和振型分解反应谱法是基本方法,时程分析法作为补充方法,对于特别不规则或有特殊要求的电气设备才被要求采用。所谓“补充”,主要指对结构的底部剪力、最大位移等进行比较,当时程分析法大于振型分解反应谱法时,相关部位的构造或设计应做相应的调整。
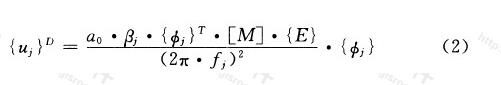
当采用振型分解反应谱法进行抗震分析时,除可按照第5 章有关要求进行计算外,也可采用如下的计算方法:
(1)求出结构的固有频率及振型。
(2) 求出振型的个数,应满足X、Y、Z三个方向的地震载荷参与质量大于90%的要求。每阶振型{φj}应关于质量[M]归一:{φj}T[M]{φj}=1。
(3) 对每阶振型{φj} ,根据对应的固有频率fj和阻尼,从地震影响系数曲线(条文图5. O. 5)求出其地震动力放大系数βj=αj/设计基本地震加速度a0。
(4) 求出第j阶振型D方向地震反应位移{uj}D:

式中:a0——设计基本地震加速度(ms-2 );
{φj}T——第j阶振型的转置;
[M]——结构有限元质量矩阵(kg);
{E}——单位地震矢量。地震方向对应的线位移自由度对应行上的值为1,其余行上的值为0。
(5) 将所有振型D方向地震反应位移用平方和的平方根叠加:

式中: i——结构位移矢量的第i个分量。
(6) 将水平(X或Y) 与竖直Z 方向地震反应位移用平方和的平方根组合:

式中:D——指X和Z或Y和Z。
(7) 应力计算。
用第j阶振型在D 方向的地震反应位移{uj}D,求出对应的应为
,其中N为某个结点, K为某个应力分量。用平方和的平方根叠加所有振型的应力:

最后,将水平(X 或Y) 与竖直Z 方向的地震应力用平方和的平方根组合总应力
:

式中:D——指X和Z或Y和Z。
(8) (X,Z)和(Y,Z)两种情况分别与其他载荷(如内压、风载、导线拉力等)产生的应力按绝对值求和组合应力,找出最大应力设计校核。
6.2.4 正确选择输入的地震加速度时程曲线,要满足地震动三要素的要求,即频谱特性、有效峰值和持续时间均要符合规定。
6.2.5 本条规定的"需进行竖向地震作用的时程分析"的电气设施,主要指220kV及以上电压等级的横向安装的穿墙套管和水平悬臂对地震竖向分力反应较大的设备。
6.2.6 由于建筑物或构筑物对地面运动加速度值都有一定程度的放大作用,因此仅对电气设备和电气装置本体进行抗震设计时,必须乘以支承结构动力响应放大系数。但也不得不指出,根据中国电力科学研究院、国网北京经济技术研究院、同济大学、西北电力设计院和郑州机械研究所等单位的相关研究结果均显示,支架的动力放大系数比较复杂,与场地土类别、设备重量和刚度、支架材料与形式等都密切相关,且变化幅度较大。因此:
1 原则上,有支架且支架设计参数已确定时,应将支架与设备作为一个整体进行抗震设计。
2 当支架设计参数未知,而又需要对电气设备和电气装置本体进行单独抗震设计或校核时,通过在振动台上对电气设备有无支架的对比试验和计算分析结果,建议根据支架刚度与高度选择支架动力放大系数,原则上支架刚度越小、高度越大,支架动力放大系数越大,反之亦然。因此,原则上对有支架的电气装置本体单独进行校核时,所输入的地震加速度应根据实际情况至少乘以1.2的放大系数,且支架的设计应保证其动力放大系数不超过此取值要求。
3 日本通过实测和动力响应分析的结果,取建筑物二、三层的动力放大系数在2倍以下。
为研究建筑物的抗震性能,西北电力设计院与同济大学联合进行了发电厂及变电站主控制楼和110kV屋内配电装置楼的模型房屋在振动台上的模拟地震试验,试验结果表明:建筑物各层楼动力放大系数为楼层越高,β越大,并随输入加速度增加而减小。当输入加速度值为0.5g及以下时,二、三层楼动力反应放大系数为1.5~2.5。
根据国内、外研究结果,为简化电气设备的抗震计算,建议取建筑物二、三层的动力放大系数为2.0。
4 变压器、高压电抗器的出线套管抗震设计应考虑变压器和高压电抗器基础及本体的动力响应放大系数。
日本根据实验研究结果,提出变压器基础及本体的动力响应放大系数为2.0。
燕山石油化工公司的“变压器抗震鉴定标准编写组”在振动台上进行了4台6kV~10kV、1000kV·A及以下电力变压器的模拟地震试验,测得变压器本体上部加速度值时振动台输入加速度值的1.2倍~2.0倍,其中动力反应较大的一台变压器振动试验各部位的动力反应加速度实测值如表1 所示。

表1 中的动力放大系数以振动台输入加速度值为基础。从表1可以看出,变压器本体的动力放大系数为2.0及以上。
综合上述国内外研究成果,建议取变压器和高压电抗器基础及本体的动力放大系数为2.0。
6.2.7 电气设施抗震设计地震作用计算应包括体系总重力及所承受荷载的组合,同时因地震作用与短路电动力在同一瞬间同时发生的几率很低,故可不考虑同时作用的组合。
6.3 抗震计算
6.3.1 电气设施按静力法进行抗震计算时,应包括下列内容:
1 地震作用计算。
2 电气设备、电气装置的根部和其他危险断面处,由地震作用效应与按规定组合的其他荷载效应所共同产生的弯矩、应力的计算。
3 抗震强度验算。
6.3.2 电气设施按振型分解反应谱法或时程分析法进行抗震计算时,应包括下列内容:
1 体系自振频率和振型计算。
2 地震作用计算。
3 在地震作用下,各质点的位移、加速度和各断面的弯矩、应力等动力反应值计算。
4 电气设备、电气装置的根部和其他危险断面处,由地震作用效应及与按规定组合的其他荷载效应所共同产生的弯矩、应力的计算。
5 抗震强度验算。
6.3.3 电气设施抗震设计应根据体系的特点、计算精度的要求及不同的计算方法,可采用质量-弹簧体系力学模型或有限元力学模型。
6.3.4 质量-弹簧体系力学模型应按下列原则建立:
1 单柱式、多柱式和带拉线结构的体系可采用悬臂多质点体系或质量—弹簧体系。
2 装设减震阻尼装置的体系,应计入减震阻尼装置的剪切刚度、弯曲刚度和阻尼比。
3 高压管型母线、大电流封闭母线等长跨结构的电气装置,可简化为多质点弹簧体系。
4 变压器类的套管可简化为悬臂多质点体系。
5 计算时应计入设备法兰连接的弯曲刚度。
6.3.5 直接建立质量-弹簧体系力学模型时,主要力学参数应按下列原则确定:
1 把连续分布的质量简化为若干个集中质量,并应合理地确定质点数量。
2 刚度应包括悬臂或弹簧体系的刚度和连接部分的集中刚度,并应符合下列规定:
悬臂或弹簧体系的刚度可根据构建的弹性模量和外形尺寸计算求得。
当法兰与瓷套管胶装时,弯曲刚度Kc可按下式计算:

式中:Kc——弯曲刚度(N·m/rad);
dc——瓷套管胶装部位外径(m);
hc——瓷套管与法兰胶装高度(m);
te——法兰与瓷套管之间的间隙距离(m)。
- 当法兰与瓷套管用弹簧卡式连接时,其弯曲刚度可按下式计算:

式中:hc'——弹簧卡式连接中心至法兰底部的高度(m)。
4)减震阻尼装置的弯曲刚度可按制造厂规定的性能要求确定。
6.3.6 按有限单元分析建立力学模型时,应合理确定有限单元类型和数目,并应符合下列规定:
1 有限单元的力学参数可由电气设备体系和电气装置的结构直接确定。
2 当电气设备法兰与瓷套管连接的弯曲刚度用一个等效梁单元代替时,该梁单元的截面惯性矩Ic可按下式计算:

式中:Ic——截面惯性矩(m4);
Lc——梁单元长度(m),取单根瓷套管长度的1/20 左右;
Ec——瓷套管的弹性模量(Pa)。
6.3.7 在对电气设施进行地震作用计算时,应采用结构的实际阻尼比。对于电瓷类设备,若实际阻尼比未知,建议取值最大不超过2%,并应符合本规范第5章的有关规定。
6.3.8 电气设施的结构抗震强度验算,应保证设备和装置的根部或其他危险断面处产生的应力值小于设备或材料的容许应力值。
当采用破坏应力或破坏弯矩进行验算时,瓷套管和瓷绝缘子的应力及弯矩应分别满足下列公式的要求:
1 地震作用和其他荷载作用产生的瓷套管和瓷绝缘子总应力应按下式计算:

式中:σtot——地震作用和其他荷载产生的总应力(Pa);
σv——设备或材料的破坏应力值(Pa) 。
2 地震作用和其他荷载产生的在瓷套管和瓷绝缘子总弯矩应按下式计算:

式中: Mtot——地震作用和其他荷载产生的总弯矩(N·m);
Mv——设备或材料的破坏弯矩(N·m)。
条文说明
6.3 抗震计算
6.3.1 静力设计法实质只是用静力地震系数来求得地震作用及其他荷载所产生的总弯矩和总应力,然后再进行抗震强度验算。
6.3.2 本条规定了按振型分解反应谱法或时程分析法进行抗震计算的内容。用这两种方法可较精确的计算本条所规定的内容,但最终目的是要验算电气设施能否满足抗震要求。
6.3.3 力学模型的建立对进行电气设施抗震计算起着重要作用。力学模型必须由其结构特点、计算精度的要求及所采用的计算方法来确定。
6.3.4 本条规定了建立质量-弹簧体系力学模型的原则。有一点应特别注意,即应计入设备法兰连接的弯曲刚度,否则对计算结果影响很大。
电气设施的质量弹簧体系的力学模型示例如表2所示。


6.3.5 规定了建立质量弹簧体系力学模型主要力学参数的确定原则。
1 质点数量的确定应合理,质点数量越多计算结果越精确,但质点数量太多将增加计算的工作量并带来分析问题困难。
2 本规范中式(6.3.5-1)给出了法兰与瓷套管胶装连接时弯曲刚度计算公式,此公式系日本的经验公式,国内有关单位如中国电力科学研究院、同济大学、中国水利水电科学研究院、国网北京经济技术研究院进行的抗震计算分析和试验研究与日本经验公式基本一致;本规范中式(6.3.5-2)为法兰和瓷套管用弹簧卡式连接时弯曲刚度的计算公式,系我国进行试验研究和计算分析所得的经验公式。
6.3.6 本条规定了按有限单元建立力学模型的原则。电气设备法兰与瓷套管连接的弯曲刚度确定方法仍可按规范中式(6.3.5- 1)和式(6.3.5-2)计算。必须指出的是,法兰与瓷套管连接的弯曲刚度对设备整体刚度的影响较大,也影响到模态分析结果的准确性,进而会影响地震效应分析结果的准确性。原则上来说,随着有限元技术的发展,在建模过程中可详细模拟连接法兰的受力状态来达到尽量逼近其真实刚度的效果,不过由于受力状态与法兰、螺栓、胶装材料、套管等材料的力学性能有关,还与摩擦、接触、变形协调等力学行为有关,有限元建模过程比较复杂,因此除非能够试验验证建模方法的合理性,还是推荐选用规范中式(6.3.5-1)和式(6.3.5-2) 进行计算。
6.3.7 阻尼比对电气设施的抗震性能有非常明显的影响,但由于阻尼机理的复杂性和不确定,各设施的阻尼比差异较大,即便同一个设施,在不同输入激励下,其阻尼比也可能不同。因此一般应采用实际阻尼比作为计算输入条件。电瓷类设备的阻尼比离散性也较大,不过据一些试验结果来看,多介于1%~5%. 更集中于2%~3%,因此为保守起见,在缺乏实际阻尼试验参数时,也参照其他相关规范如IEEE 693和IEC系列规范,建议取值最大不超过2%。
6.3.8 关于抗震验算的原则。
按瓷件的容许应力较合理,当抗震计算或抗震试验所得最大应力值只要小于容许应力即认为满足抗震要求。瓷件的容许应力根据统计规律,按下式计算:

式中:[σ]——容许应力(MPa);
——各试品破坏应力平均值(MPa);
σ——标准偏差。
按式(7)求得的容许应力较合理,但目前制造厂按此式确定瓷件的容许应力有一定困难。而有的只提供瓷件的破坏弯矩和破坏应力。
电瓷产品破坏应力的离散性较大,电瓷材料又属脆性材料,没有塑性变形阶段,当应力超过一定值时立即断裂,故必须具有一定的安全系数。现行行业标准《高压配电装置设计技术规程》DL/T 5352、《导体和电器选择设计技术规定》DL/T 5222都规定了套管、支柱绝缘子的安全系数:荷载长期作用时为2.5,荷载短时作用时为1.67。本规定参照上述条文,提出地震作用和其他荷载产生的总应力
。1.67为安全系数。
6.4 抗震试验
6.4.1 对新型设备或改型较大的设备,应采取地震模拟振动台试验验证其抗震能力;对由于尺寸、重量或复杂性等原因而不具备整体试验条件的设备,或已经通过试验而又改型不大的设备,可以采用部分试验或试验与分析相结合的方法进行验证。
6.4.2 试件应按照运行条件进行安装,任何仅用于试验的固定或连接设施不应影响试件的动力性能。
6.4.3 电气设施抗震强度验证试验应分别在两个主轴方向上检验危险断面处的应力值。但对于对称结构的电气设备和电气装置,可只对一个方向进行验证试验。
6.4.4 对横向布置的穿墙套管等大跨度、长悬臂电气设施,宜采用水平和竖向双向同时输入波形进行验证试验。
6.4.5 电气设施抗震强度验证试验的输入波形和加速度值应按下列原则确定:
1 对于原型电气设备带支架体系和原型电气装置体系的验证试验,振动台输入波形可采用满足本规范5.0.5 条规定的地震影响系数曲线的实际强震记录或人工合成地震波;输入的加速度值应按设计采用的烈度及本规范表5.0.3-1 采用。当仅进行电气设备本体或电气设备和电气装置的部件验证试验时,其幅值应乘以本规范第6.2.6条所规定的动力反应放大系数。
2 当仅进行电气设备本体或电气设备和电气装置的部件验证试验时,振动台输入波形也可采用5个正弦共振调幅5 波组成的正弦拍波(图6.4.5) 。
各拍的加速度时程可按下列规定确定:

图6.4.5 正弦拍波
条文说明
6.4 抗震试验
6.4.1 随着有限元理论水平及计算机仿真水平的不断提高,我们可以越来越多地依赖计算机仿真对电气设施的抗震能力进行验证,尽管如此,对于电气设备特别是高压电器和电瓷产品,由于其材料参数的离散性与非线性、阻尼比的不确定性、连接方式的复杂性、安装工艺的差异性等原因,对于新型产品还是应首先通过地震台试验进行验证,另一方面也是对仿真模型的准确性的验证,该仿真模型可用于针对改型不大的设备的抗震能力验证。
随着我国大型振动台的发展,除大型变压器、电抗器本体及长跨结构的电气装置外,一般均可进行原型设备带支架的试验。
对于变压器、电抗器套管可采用仅对套管进行试验,再乘以变压器、电抗器本体的动力响应放大系数。
对于长跨结构如管型母线等可采用模型试验。日本曾对500kV支持式铝管母线进行了1/4模型试验。
6.4.2 试件的动力性能与抗震试验结果直接相关,因此试验时应保证其动力性能与实际运行条件一致。
6.4.3 电气设备和电气装置抗震强度验证以两个主轴方向上设备根部和其他危险断面处产生的最大应力值能否满足要求为主要内容。
有些电气设备的X轴、Y轴方向的结构是不对称的,两个轴向的动力特性和动力响应也不一样,实际地震波的运动方向也不是固定的,故应分别进行X轴、Y轴抗震试验。
6.4.4 实际地震波包含有水平和竖向两个方面的加速度同时作用。日本东京电力株式会社曾对275kV空气断路器进行过水平、竖向双向振动试验。由于断路器水平和竖向的自振频率不同,故输入的正弦波的波数不同,其试验主要参数及结果如表3所示。

日本东京电力株式会社试验结果表明,水平、竖向同时振动与仅水平振动的动力反应有放大的,也有减少的。日本东京电力株式会社试验结论认为:对于ABM 型275kV 空气断路器及与其结构相同的电气设备,当考虑水平和竖向双向地震力同作用时,其动力反应值比仅进行水平单向地震作用时增大10%为宜。
大多数电气设备对竖向地震作用不太敏感,且耐受垂直力的抗压抗拉强度大,不一定都要进行水平和竖向双向试验。对于少数电气设备和电气装置如穿墙套管、长跨母线装置等,对竖向地震反应较敏感,宜进行水平和竖向双向试验。
6.4.5 IEC、日本、法国等除采用反应谱法外,也同时规定可采用动力时程分析法。世界各国电气设备电气抗震试验所采用的波形不同,目前所采用的主要波形有单频波和多频波两类。
所谓单频波就是试验波形中仅有一个振动频率。电气设备抗震试验用的单频波的主要波形有:
(1) 连续正弦波;
(2) 正弦共振n波(n=2,3,4…);
(3) 正弦共振调幅波;
(4) 正弦共振拍波(即多个正弦共振调幅波串)。
多频波就是波形中含有多个甚至成百上千不同频率的振动波形。电气设备抗震试验用的多频波的主要波形有:
(1)随机波;
(2) 时程反应谱波;
(3) 实际地震波。
对于原型电气设备带支架体系和原型电气装置体系即比较接近实际运行状态,振动台以输入人工合成地震波比较合理。而仅对设备本体进行抗震试验里,振动台输入应考虑支架的动力放大作用。
另一方面,一般支架对地震波有滤波作用,传到设备底部时已近似为接近设备频率的正弦波,故也可采用正弦波作为地震输入。日本以正弦共振3波作为考核波,IEC等采用5个正弦共振调幅5波组成的调幅波串进行动力时程分析。本规范参照IEC标准,推荐规范图6.4.5所示波形,各时程加速度值亦采用IEC标准经计算分析,正弦共振调幅5波与正弦共振3波的反应基本一致,以Y10W5-444型避雷器带支架体系的避雷器根部应力计算结果为例,正弦共振3波0.3g为正弦共振调幅5波0.3g的1.04倍。日本《电气设备抗震设计指南》中以正弦共振2波与实际地震等效,共振3波为2 波的1.3倍。而通过计算分析和试验研究,并参考IEC 文件和日本的标准,提出由式(6.4.5-1)及式(6.4.5-2)确定的地面运动最大水平加速度值作为用正弦共振调幅5波进行抗震计算的标准值。
本规范对原2s的拍间间隔做出修改,根据体系的基频和阻尼比确定拍间间隔,避免各拍的叠加效应。
6.4.6 为提高电气设备和电气装置抗震验证试验的准确性和便于对试验数据进行分析,特提出测点布置和数据采集的要求。
6.4.7 抗震强度验证试验的评价方法与抗震强度验算原则一致。
6.5 电气设施布置
6.5.1 电气设施布置应根据抗震设防烈度、场地条件和其他环境条件,并结合电气总布置及运行、检修条件,通过技术经济分析确定。
6.5.2 当抗震设防烈度为8度及以上时,电气设施布置宜符合下列要求:
1 电压为110kV及以上的配电装置形式,不宜采用高型、半高型和双层屋内配电装置。
2 电压为110kV及以上的管型母线配电装置的管型母线,宜采用悬挂式结构。
3 电压为110kV及以上的高压设备,当满足本规范第6.4.1条抗震强度验证试验要求时,可按照产品形态要求进行布置。
6.5.3 当抗震设防烈度为8度及以上时,110kV及以上电压等级的电容补偿装置的电容器平台宜采用悬挂式结构。
6.5.4 当抗震设防烈度为8度及以上时,干式空心电抗器不宜采用三相垂直布置。
条文说明
6.5 电气设施布置
6.5.1 本条提出了地震区电气设施布置总的要求。
6.5.2 以往认为地震烈度为8 度及以下,配电装置损坏较少。但在汶川地震中,震后实测最高烈度高达11度,其影响范围内多个地区的地震烈度在6度以上,在地震烈度达到8度及以上变电站中,电气设备损坏情况较严重,部分变电站的双端口断路器由于上部重量较大,在地震中瓷柱受到地震冲击而断裂(安县220kV变电站内所有LW6型断路器均断裂损坏),有些隔离开关的瓷柱也发生断裂,电流互感器底座与套管连接处出现漏油,少量避雷器因头部均压环较大发生瓷柱折断,部分变电站的变压器本体因体积大、重心高受到震动冲击后瓷套破裂、渗漏,有4座220kV变电站及3座110kV 变电站的主变压器受到冲击后本体固定螺栓剪断,发生位移,这些设备损坏后导致四川省电力公司内110kV 以上变电站停运80座,线路停运168条,甘肃省电力公司内110kV 以上变电站停运4 座,停运线路7 条,陕西省电力公司内110kV以上变电站停运6座,停运线路6条,造成了巨大的经济损失。对于110kV 的变电站,选择中型布置就可以提高相应的抗震能力,其相应的代价远小于地震所带来的损失,因此适当的提高110kV 变电站的抗震设计标准是完全必要的。
1 在汶川及唐山地震的震害中,有许多电气设备因房屋倒塌而被砸坏,甚至有些屋内配电装置室倒塌而砸毁了室内所有的电气设备(安县变电站高压配电室完全倒塌,室内设备全部毁坏),而屋外配电装置的电气设备的震害则比屋内配电装置轻得多。特别是屋外的变电构架损坏较轻,甚至无损坏,即使损坏部分修复也比较方便,而屋内配电装置修复困难,周期长,影响震后恢复供电的速度。屋外配电装置的中型布置方案比高型、半高型布置方案的抗震性能好,唐山地震的震害已说明这一点。例如陡河发电厂的220kV屋外半高型配电装置中,安装在标高为13.4m处的ZS-220/400型棒式支柱绝缘子共6 只,唐山地震时折断5只,而安装在2.5m高支架上的9只同型号棒式支柱绝缘子则均未损坏。另外,高型、半高型配电装置由于设备上、下两层布置,当上层设备损坏后掉下来往往会打坏下层设备,带来次生灾害。如陡河发电厂的220kV 半高型配电装置中上层一组隔离开关瓷柱折断后,掉下来打坏了下层安装的抗震性能较好的SF6落地罐式断路器的瓷套管就是一例。再者,由于高型、半高型布置的部分设备间连线或引下线较长,地震时导线的摇摆力比较大,故容易拉坏设备。
2 支持式管型母线配电装置,由于棒式支柱绝缘子抗震性能较差,是一个薄弱环节,管型母线在地震力的作用下将使支柱绝缘子的内应力增加,同时由于管型母线在地震力时容易发生共振,故地震时支柱母线的棒式支柱绝缘子易折断并使母线损坏。如吕家坨变电站一相铝管母线在唐山地震中就是由于棒式支柱绝缘子折断而造成落地损坏的;而在汶川地震中,有多个变电站的110kV硬母线支柱绝缘子在地震作用下从上部或根部被剪断,采用悬吊式的母线基本完好。在现行行业标准《高压配电装置设计技术规程》DL/T 5352中,也要求110kV及以上配电装置当地震烈度为8度及以上时,母线采用悬吊式,因此本次将其修改为8度及以上。
3 对于可满足带支架进行试验的产品,其形态已经可以满足抗震的要求,在安装时可按照产品的说明进行安装。
6.5.3 110kV及以上电容补偿装置的电容器平台和设备平台,本身自重较大,再加上电容器和设备的重量,总重量很大,若采用支持式,支柱绝缘子强度很难满足抗震强度要求,以采用悬挂式为宜。
6.5.4 干式空心电抗器三相垂直布置时,其质量大、重心高,在8度及以上地震作用时,支柱绝缘子将可能损坏,造成电抗器倾倒摔坏,故作此规定。
6.6 电力通信
6.6.1 重要电力设施的电力通信,必须设有两个及以上相互独立的通信通道,并应组成环形或有迂回回路的通信网络。两个相互独立的通道宜采用不同的通信方式。
6.6.2 一般电力设施的大、中型发电厂和重要变电站的电力通信,应有两个或两个以上相互独立的通信通道,并宜组成环形或有迂回回路的通信网络。
6.6.3 电力通信设备应具有可靠的电源,并应符合下列要求:
1 重要电力设施的电力通信电源,应由能自动切换的、可靠的双回路交流电源供电,并应设置独立可靠的直流备用电源。
2 一般电力设施的大型发电厂和重要变电站的电力通信电源,应设置工作电源和直流备用电源。
条文说明
6.6 电力通信
6.6.1 对本规范第1.0.5 条规定的重要电力设施的电力通信的通道组织和通信方式作出了规定。
6.6.2 对本规范第1.0.6 条规定的一般电力设施的大、中型发电厂和重要变电站的电力通信的通道组织和通信方式作出了规定。这里所指大、中型发电厂是指单机容量为100MW或规划容量为400MW 以上的发电厂。
6.6.3 通信电源必须可靠,并根据其重要性分别作出规定。
6.7 电气设施安装设计的抗震要求
6.7.1 抗震设防烈度为7 度及以上的电气设施的安装设计应符合本节要求。
6.7.2 设备引线和设备间连线宜采用软导线,其长度应留有余量。当采用硬母线时,应有软导线或伸缩接头过渡。
6.7.3 电气设备、通信设备和电气装置的安装应牢固可靠。设备和装置的安装螺栓或焊接强度应满足抗震要求。
6.7.4 变压器类安装设计应符合下列要求:
1 变压器类宜取消滚轮及其轨道,并应固定在基础上。
2 变压器类本体上的油枕、潜油泵、冷却器及其连接管道等附件以及集中布置的冷却器与本体间连接管道,应符合抗震要求。
3 变压器类的基础台面宜适当加宽。
6.7.5 旋转电机安装设计应符合下列要求:
1 安装螺栓和预埋铁件的强度,应符合抗震要求。
2 在调相机、空气压缩机和柴油发电机附近应设置补偿装置。
6.7.6 断路器、隔离开关、GIS等设备的操作电源或气源的安装设计应符合抗震需求。
6.7.7 蓄电池、电力电容器的安装设计应符合下列要求:
1 蓄电池安装应装设抗震架。
2 蓄电池在组架间的连线宜采用软导线或电缆连接,端电池宜采用电缆作为引出线。
3 电容器应牢固地固定在支架上,电容器引线宜采用软导线。当采用硬母线时,应装设伸缩接头装置。
6.7.8 开关柜(屏)、控制保护屏、通信设备等,应采用螺栓或焊接的固定方式。当设防烈度为8度或9度时,可将几个柜(屏)在重心位置以上连成整体。
条文说明
6.7 电气设施安装设计的抗震要求
6.7.1 本条为本节的适用范围。
安装设计采取必要的抗震措施,是提高电气设备、通信设备和电气装置抗震能力的重要环节,所有电气设施在7度及以上时,都必须认真执行本节规定。
6.7.2 设备引线和设备间连线,宜采用软导线,以防止地震时拉坏设备。
汶川及唐山地震时,因变压器位移和母线损坏等,拉坏变压器套管或设备端子的实例很多。故要求采用硬母线时应有软导线或伸缩接头过渡。
6.7.3 过去35kV多油断路器均为压板式固定方式,唐山地震时,有15台DW2-35型断路器因压板震松,断路器掉下基础台倾倒,造成喷油、漏油等现象。
唐山发电厂在唐山地震前已对主变压器采取了固定措施,用70mm×4mm的扁钢将变压器与轨道焊接起来,但焊接强度不够,焊口被拉开,变压器普遍位移,并造成套管拉坏漏油等。位于8度地震区的天津军粮城电厂3 号主变压器因固定螺栓强度不够,地震时螺栓被剪断,变压器位移300mm ,造成变压器110kV的A相套管损坏。
6.7.4 电力变压器和并联电抗器是电气设备中的重要设备,不仅体积大、价格高、制造困难,且是输变电工程中必不可少的设备。从震害调查看出,电力变压器的位移、损坏是比较普遍和严重的,必须采取抗震措施,防止位移、倾倒和损坏。
1 以往的大型电力变压器和并联电抗器从考虑检修搬运的方便而设有滚轮,安装时多数将滚轮直接浮放在钢轨上。由于滚轮和钢轨的接触面小,摩擦力也很小,故容易脱轨倾倒。因此,在地震烈度高于7度的地区,宜取消变压器、并联电抗器和消弧线圈的滚轨和安装用的钢轨,将变压器等设备直接安装在基础台上,并采取固定措施。
2 本款主要要求设计人员在编制技术条件书中应有抗震要求。集中布置的冷却器与本体连接管道间在靠近变压器类本体附近,应设电力变压器和并联电抗器的基础台,且应适当加宽,防止变压器等设备万一发生位移,不致掉下基础台倾倒摔坏。基础加宽300mm是根据海城地震和唐山地震的震害教训提出的。海城地震中,有23台主变压器发生位移,一般位移为100mm~200mm,最大位移410mm。
唐山地震时,凡是有滚轮直接放在钢轨上的35kV~220kV、4500kV·A及以上的主变压器,在地震度为7 度及以上的地震区,均有不同程度的位移,一般位移200mm~400mm,位移最大者达720mm。汶川地震中,多台变压器本体发生位移及掉台,其中500kV茂县2号主变起火,220kV袁家坝站、天明站、大康站、永兴站、安县站及新市站主变发生不同程度的位移。220kV 德阳新市站主变固定螺栓全部震断,但由于采用了定位夹固定,变压器仍非常牢靠的固定在轨道上,避免了掉台。220kV安县1号主变本体从基础震落到油坑内,高压套管折弯,本体底盘局部变形,该站为20 世纪70 年代设计,本体与基座无可靠连接,无地脚螺栓,没有定位及固定措施。
6.7.5 调相机、电动机、空压机等旋转电机本体刚度大、强度高,震害中本体因地震直接引起损坏的可能性小,但往往因次生灾害造成损坏。故主要应注意螺栓强度、平衡等问题,并应防止油、汽管道损坏使事故扩大。在调相机等设备附近应装设补偿装置。
6.7.6 为了电气设备能够在地震中正确操作,设备的操作电源或气源应安全可靠,保证可靠分、合闸,防止带来次生灾害。
6.7.7 唐山和海城地震时,蓄电池发生位移、倾倒、摔坏的现象非常普遍,而且由于蓄电池损坏,失去直流电源带来严重的次生灾害,造成的损失也是巨大的。但是,只要重视并采取一定的抗震措施就可以避免或减少蓄电池的震害。
1 蓄电池的震害与蓄电池的类型和安装方式有很大的关系。地震时所损坏的蓄电池几乎全部是玻璃缸式蓄电池。这是因为在没有采取防震措施的情况下,把蓄电池直接放在支墩或木支架上,且多数在支墩(或支架)与蓄电池底部间装有玻璃垫。由于蓄电池的玻璃缸底部及玻璃垫均很光滑,摩擦力小,且接触面也很小,故在地震力作用下极易发生位移、倾斜和倾倒。相反,防酸隔爆式蓄电池是塑料外壳,安装时一般不加玻璃垫,直接放在支墩(或支架)上,其接触面积较大,摩擦系数也较玻璃缸式蓄电池大,地震时位移较小。在海城地震和唐山地震中,几组防酸隔爆式蓄电池虽有位移现象,但均未中断直流供电。
唐山地震时,凡震前有抗震措施的蓄电池均未发生损坏现象,装设抗震架比较方便,投资增加也不多,故规定7度及以上时均应设抗震架。
2 为防止蓄电池地震时受力拉坏,采用软导线连接和电缆连接方案。
3 移相电容器的震害也是很普遍的,个别变电站的损坏十分严重。电容器的损坏与安装方式有直接关系,海城地震中移相电容器的损坏都是因电容器未固定。
唐山地区移相电容器有两种安装方式,一种是直接放在平台上,未加固定;另一种是将电容器固定在支架上。
唐山地震时,固定在支架上的电容器基本完好无损,而直接放在平台上的电容器则发生位移、倾倒及掉下平台摔坏等震害。例如古冶变电站约有20余只电容器被震落到地上摔坏,有10余只倾斜;唐山东南郊变电站的电容器因地震造成位移、倾倒,其中一相的16只电容器全部倾倒。
6.7.8 柜、屏等设备牢固地固定在基础上以后,地震时一般不会发生倾倒事故。当设防烈度为8度及以上时,为提高柜、屏的整体性,在重心位置以上连成整体,更有利于抗震。
6.8 电气设备的隔震与消能减震设计
6.8.1 应根据电气设备的结构特点、使用要求、自振周期以及场地类别等,选择相适应的隔震与消能减震措施。
6.8.2 隔震与减震措施分别为装设隔震器和减震器。常用的隔震器或减震器包括橡胶阻尼器、阻尼垫和剪弯型、拉压型、剪切型等铅合金减震器以及其他减震装置。
6.8.3 当采用隔震或消能措施时,不应影响电气设备的正常使用功能。
6.8.4 隔震器和消能减震器应满足强度和位移要求。
6.8.5 隔震器或消能减震器宜设置在支架或电气设备与基础、建筑物及构筑物的连接处。
6.8.6 减震设计应根据电气设备结构特点、自振频率、安装地点场地土类别,选择相适应的减震器,并应符合下列要求:
1 安装减震器的基础或支架的平面应平整,每个减震器受力应均衡。
2 根据减震器的水平刚度及转动刚度验算电气设备体系的稳定性。
6.8.7 冬季环境温度低于-15℃及以下地区,应选用具有耐低温性能的隔震或减震器。
6.8.8 在对装设减震器的体系进行抗震分析时,应计入其剪切刚度、弯曲刚度和阻尼比,其弯曲刚度可按制造厂规定的性能要求确定。
条文说明
6.8 电气设备的隔震与消能减震设计
为更有效的减轻地震灾害,提高电气设施的抗震能力,本规范新增电气设施的隔震与减震设计。隔震与减震是使电气设备减轻地震灾害的有效技术,在土木与机械工程领域被广泛应用,在各国的电气设施领域也逐渐引起重视。
隔震体系通过延长结构的自振周期从而减少结构的水平地震作用。国内外大量试验和工程经验表明,隔震一般可使结构的水平地震加速度反应降低60%左右,从而消除或有效减轻结构和非结构的地震破坏,提高建筑物及其内部设施和人员的地震安全性,增加了震后建筑物继续使用的功能。
减震体系通过增加结构阻尼达到增加地震耗能、降低结构反应,从而更好地保护设备的目的。
不同的电气设备具有不同的结构特点,而同样的电气设备处于不同的场地类别条件下具有不同的使用要求,都需要选择相适应的隔震与消能措施。
7 火力发电厂和变电站的建(构)筑物
7.1 一般规定
7.1.1 发电厂和变电站(或换流站)的建(构)筑物抗震设防类别应按表7.1.1确定,各设防类别建(构)筑物的抗震设防标准,均应符合现行国家标准《建筑工程抗震设防分类标准》GB 50223中3.0.3的要求。

注:规模较小的乙类建筑,当采用抗震性能较好的结构体系时,允许按丙类建筑设防。
7.1.2 电力设施中的建(构)筑物应根据设防分类、烈度、结构类型和结构高度采用不同的抗震等级,并应符合相应的计算和构造措施要求。电力设施中丙类建筑的抗震等级应按表7.1.2确定。

注: 1 表中高度指室外地面至檐口的高度(不包括局部突出屋面部分)。 2 高度接近或等于高度分界时,应允许结合建(构)筑物的不规则程度及场地、地基条件确定抗震等级。 3 大跨度框架指跨度不小于18m的框架。 4 表中运煤廊道是指廊道支柱采用钢筋混凝土结构或钢结构。 5 当运煤廊道跨度大于24m时,抗震等级应再提高-级。 6 设置少量抗震墙的钢筋混凝土框架-抗震墙结构,在规定的水平力作用下,底层框架部分所承担的地震倾覆力矩大于结构总地震倾覆力矩的50%时,其框架部分的抗震等级应按表中框架对应的抗震等级确定,适用的最大高度应允许比框架适当增加。
7.1.3 电力设施中的建(构)筑物地震作用和结构抗震验算,应符合现行国家标准《建筑抗震设计规范》GB 50011的有关规定。
7.1.4 当抗震设防烈度为6度时,除本规范有具体规定外,对乙、丙、丁类建筑(不包括国家规定抗震设防烈度6 度区要提高1度设防的电力设施)可不进行地震作用计算,但应满足相应的抗震构造措施要求。
7.1.5 结构体系应有明确和合理的地震作用传递途径,应避免因部分结构或构件破坏而导致整个结构丧失抗震能力或对重力荷载的承载能力,应具备必要的抗震承载力、良好的变形能力和消耗地震能量的能力,对可能出现的薄弱部位,应采取措施提高抗震能力。
7.1.6 厂房结构设计应与工艺设计相协调,平面布置宜对称、规则,并应具有良好的整体性,竖向宜规则,结构侧向刚度宜均匀变化,同时应合理布局结构抗侧力体系和结构构件,以满足抗震概念设计的要求。
7.1.7 主厂房结构材料的选择应综合考虑电厂的重要性、抗震设防类别、抗震设防烈度、场地条件、地基、厂房布置等因素,高烈度区宜优先选用抗震性能较好的钢结构。
7.1.8 对常规三列式布置的主厂房结构,当抗震设防烈度6度和7度、Ⅰ~Ⅱ类场地时,主厂房宜采用钢筋混凝土框架结构;当抗震设防烈度7度、Ⅲ~Ⅳ类场地和抗震设防烈度8度、Ⅰ类场地时,主厂房宜采用钢筋混凝土框架-抗震墙结构,也可采用钢结构;抗震设防烈度8 度Ⅱ~Ⅳ类场地时,主厂房宜采用钢结构,结构体系宜选择框架-支撑结构;单机容量1000MW及以上时,主厂房宜采用钢结构,当采用钢筋混凝土结构时应进行专门论证。
7.1.9 抗震设防烈度8度、9度地区的厂房可采用消能减震设计。
条文说明
7.1 一般规定
7.1.1 本条为新增内容,依据现行国家标准《建筑工程抗震设防分类标准》GB 50223-2008明确了发电厂和变电站中的建(构)筑物抗震设防分类,同时说明了规模较小的乙类建筑允许按丙类建筑设防。这里较小的乙类建筑,一般指单层而且高度不超过12m的规则现浇钢筋混凝土框架结构或钢结构,如单层转运站、继电器室、屋内配电装置室、站用电室等。
7.1.2 本条结合电力设施的具体情况,与现行国家标准《建筑抗震设计规范》GB 50011--2010 第6. 1. 2条的规定保持一致,确定为强制性条文。本次修订按照现行国家标准《建筑抗震设计规范》GB 50011-2010的规定,新增了钢结构的抗震等级。表中对钢筋混凝土框架结构等级划分高度界限与现行国家标准《建筑抗震设计规范》GB 50011-2010保持一致,将原标准的25m和35m统一为24m;框架-抗震墙高度界限由原标准的50m 、60m统一为60m; 增加了大跨度的钢筋混凝土框架结构,其主要原因是随着发电厂机组容量和变电站电压等级的提高,设备体积和重量加大了很多,工艺布置对厂房跨度要求越来越大,这种结构的抗震措施应相应提高。增加了运煤廊道按不同高度划分抗震等级的规定, 6度且高度在30m及以下的结构较原标准适当放宽, 7度、8度30m以上的结构适当提高,同时提出廊道跨度大于24m 抗震等级适当提高的规定。
本次修订依据现行国家标准《建筑抗震设计规范》GB 50011-2010增加了设置少量抗震墙的钢筋混凝土框架-抗震墙结构抗震等级划分的规定,这种结构在电力设施的建(构)筑物中普遍存在。
7.1.7 本条为新增条文。由于主厂房结构受工艺布置限制,荷载分布极不均匀,结构平面布置和竖向布置都会出现一定的不规则性。而钢结构具有结构延性好、抗震性能优和材料可再生利用的优势,故本标准提出抗震设防区,特别是高烈度区宜优先选用抗震性能较好的钢结构。
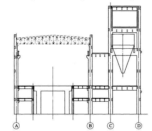
7.1.8 本条为新增条文,“常规三列式布置的主厂房结构”是指由汽机房、除氧间和煤仓间组成的框排架结构,如图2 所示。该布置方式在火力发电厂中普遍被采用。

图2 常规三列式布置的主厂房结构
本条文中关于钢筋混凝土结构厂房的结构选型是根据震害资料、工程经验和主厂房钢筋混凝土结构试验研究确定的。
四川汶川地震的震害调查表明,江油电厂2×330MW+2×300MW 燃煤机组分两期建设,主厂房钢筋混凝凝土结构均采用三列式布置,抗震设防烈度一期、二期分别为6度、7度,汶川地震江油遭遇8 度地震作用,7度设防的主厂房结构(除汽机房的网架屋盖外)基本完好, 6度设防的厂房有轻度破坏。
工程设计经验表明, 7度Ⅲ类场地及以上采用钢筋混凝凝土结构时,当抗震墙(或抗震支撑)的设置因工艺布置的限制无法改变偏向一侧的布置方式时,结构很难满足抗震设计要求,故本标准提出“7度Ⅲ~Ⅳ类场地可采用钢结构”。
2003 年电力行业重点科技攻关项目《火力发电厂主厂房结构抗震设计技术》,针对常规布置主厂房拟动力抗震试验分析研究的结果表明:
(1)单机容量为600MW 三列式布置的钢筋混凝土主厂房结构(图2),在7度抗震设防Ⅱ类场地研究条件下,厂房的横向结构模型在最大输入加速度0.05g时基本处于弹性阶段;在最大输入加速度0.3g,模型结构虽未达到承载力极限,但其整体位移角明显增大、裂缝加剧和出现塑性铰,结构已基本达到屈服状态,结构虽能满足“大震不倒”的设防要求,但整体富裕度不大,结构可满足7度抗震设防的目标。
(2) 横向框排架结构相对于纵向框架-剪力墙结构而言刚度偏小,应增大横向的刚度。结构存在错层、薄弱层、强梁弱柱等问题,对结构抗震不利。
(3) 设防烈度8度及Ⅰ类场地以上时,不应采用常规布置的钢筋混凝土结构。
关于1000MW 级的主厂房,其结构总高度、层高以及设备管道荷载等较600MW机组增加较多,选择钢结构有其优越性。目前, 6度、7度区采用钢筋混凝土结构有在建工程,但缺乏工程经验和实践检验,因此标准提出进行专门论证后确定。
7.2 钢筋混凝土主厂房结构布置和构造要求
7.2.1 主厂房的结构布置,应与工艺专业统一规划,平面和竖向布置宜规则、均匀、对称,应符合下列要求:
1 设备宜采用低位布置,减轻工艺荷载,隔墙和围护结构宜采用轻质材料,降低结构自重,降低建(构)筑物的高度和重心。
2 框架的平面布置,应控制局部凹凸变化,对常规布置的主厂房结构,不宜采用集中控制楼插入主厂房框架的平面布置,不应采用局部单排架布置;当需要采用时宜按实际需要增设防震缝。
3 不宜采用较长的悬臂构件,不应在悬臂结构、锅炉与主厂房之间可滑动的平台上布置重型设备。
4 不宜采用错层和侧向刚度突变的结构。
5 结构体系宜有多道设防,合理布置抗侧力构件,使结构两个主轴方向的动力特性宜接近。
7.2.2 主厂房结构的防震缝,应按现行国家标准《建筑抗震设计规范》GB 50011的有关规定进行确定,并应符合下列要求:
1 主厂房主体结构与汽机基座之间应设防震缝。
2 主厂房主体结构与锅炉炉架、加热器平台、运煤栈桥和结构类型不同的毗连建(构)筑物宜设防震缝。
3 列入同一计算简图的建(构)筑物可不设防震缝,但应保证结构的整体工作性。
4 防震缝不宜加大距离作其他用途。
5 钢结构建(构)筑物、软弱地基上主厂房的防震缝宽度宜适当加大。
7.2.3 当不同体系之间的连接走道不能采用防震缝分开时,应采用一端简支一端滑动。
7.2.4 主厂房外侧柱列的抗震措施,可根据结构布置、设防烈度、场地条件、荷载大小等因素,选择框架结构或框架-抗震支撑体系。当外侧柱列设置支撑时,宜采用交叉形式的钢支撑,当有吊车或抗震设防烈度8度、9度时,宜在厂房单元两端增设上柱支撑。
7.2.5 抗震墙或抗震支撑宜集中布置在每一柱列伸缩缝区段的中部,使结构的刚度中心接近质量中心,并宜在框架柱列上对称布置。
7.2.6 抗震墙或抗震支撑应沿全高设置,沿高度方向不宜出现刚度突变。
7.2.7 框架结构的围护墙和隔墙应优先采用轻质墙或与柱柔性连接的墙板,当抗震设防烈度8 度、9 度时墙体应有满足层间变位的变形能力,外墙板的连接件应具有足够的延性和适当的转动能力。
7.2.8 屋盖结构应为自重轻、重心低、整体性强的结构,屋架和柱顶、屋面板与屋架、支撑和主体结构(屋架)之间的连接应牢固。各连接处均应使屋盖系统抗震能力得到充分利用,并不应采用无端屋架或屋面梁的山墙承重方案。
7.2.9 汽机房屋面应采用有檩轻型屋盖体系,屋盖承重结构可采用钢屋架,当汽机房跨度不大于30m时,可采用实腹钢梁,屋面宜采用压型钢板和其他轻型材料。
7.2.10 屋盖的抗震构造应符合下列规定:
1 当屋架(或钢梁)与柱顶的连接,抗震设防烈度8 度及以下时宜采用螺栓,抗震设防烈度9度时宜采用钢板铰。当屋架(或钢梁)与支座采用螺栓连接时,安装完毕后应将螺杆与螺帽焊牢,屋架(或钢梁)端部支承垫板的厚度不宜小于16mm。
2 有檩屋盖的檩条应与屋架(钢梁)焊牢,应有足够的支承长度。当采用双脊檩时,应在跨度1/3处相互拉结。轻型屋盖的压型钢板应与檩条可靠拉结。
7.2.11 当主厂房采用框排架结构时,汽机房屋盖支撑系统的设置和承重结构与主体结构的连接除了应满足现行国家标准《建筑抗震设计规范》GB 50011 的有关规定外,还应采取加强措施。
7.2.12 山墙抗风柱的柱顶,应与端屋架的上弦(或屋面梁的上翼缘)有可靠连接,连接部位应位于上弦横向支撑与屋架(屋面梁)的连接节点处,位置不符合时应在支撑中增设次腹杆,将山墙顶部的水平地震作用传至节点部位。
条文说明
7.2 钢筋混凝土主厂房结构布置和构造要求
7.2.1 对于钢筋混凝土主厂房结构,抗震的概念设计与现行国家标准《建筑抗震设计规范》GB 50011是相适应的,该规范是编制条文的主要参考文献。主厂房的结构布置与工艺布置关系密切,因此从方案确定时就应尽量做到使结构有利于抗震和提高结构自身的抗震能力。实际工程中,经常出现为满足工艺布置的要求,造成结构布置很不合理的情况。因此本次修订明确了不应采用的几种结构布置方案,如不应采用局部单排架布置,不应在悬臂结构以及锅炉与主厂房之间可滑动的平台上布置重型设备等。
7.2.2 、7.2.3 凡相邻结构动力特性不同,而又可能分开成为各自独立的单元,都应用防震缝分开。动力特性不同,未分开的建筑其震害现象十分普遍,其事例如下:
(1)某电厂的炉架或电梯间与主厂房框架相连接的钢步道和管道吊家架横梁,普遍在支座处剪断或压弯。
(2) 唐山某电厂除氧煤仓间1~4 轴框架倒塌,使搁在C列柱上的一跨栈桥落下。
(3) 天津某发电厂运煤转运站至主厂房之间的栈桥结构由于纵向刚度较弱,防震缝宽度太小,震后栈桥撞入转运站120mm,将转运站部分墙体撞裂。
还应指出,当主结构与设备相连时,震害更为突出,如陡河电站的启动锅炉房,该建(构)筑物的钢筋混凝土柱与锅炉走道平台相连,震后建(构)筑物严重倾斜,柱几乎被拉断。
防震缝的设置是出于两者动力特性不同时才设置的,因此,相邻建(构)筑物间应能各自双向自由变位。根据宏观震害调查,当设防烈度为7度及以下时,对某些结构,如炉前平台、运煤栈桥等,在自身有一定抗震能力条件下,要求沿结构或构件的纵向能滑动,其横向为简支,连接处能承担地震作用,也能满足抗震要求。8度、9度时应设置抗震缝。
唐山地震后,大量震害调查表明,防震缝的作用是显著的。防震缝的宽度可按现行国家标准《建筑抗震设计规范》GB 50011选用。
根据实际地震房屋可能产生的变位来看,例如,某电站的主厂房(9度)框架高37m,按现行国家标准《建筑抗震设计规范》GB 50011规定的数值进行计算,防震缝宽度为29cm。地震后,对该框架按实测位移角计算,其变位为29.6cm,可见所规定的防震缝宽度数值还是比较能反应火力发电厂的实际情况。
对于软土地基上的建(构)筑物,由于地基的不均匀沉降(华东电力设计院根据现场调查,有的工程,其地基变位呈“U”形分布) ,减少了原留缝的宽度,因此,在软土地基上宜将防震缝的宽度适当加大。
由于钢结构的变形能力比混凝土结构强,本次修订增加了钢结构防震缝的宽度宜适当加大的规定。
7.2.4、7.2.5 外侧柱列的抗震措施应尽可能发挥纵向框架的抗震作用,这要根据围护结构的形式、屋面荷载和抗震设防烈度等因素确定。纵向抗震体系采用框架结构,还是框架-抗震支撑协同工作体系应由计算确定。由于主厂房内都有吊车又是在电厂中最重要的建(构)筑物,宜优先选用后者。
本次修订删除了“当采用框架-抗震支撑体系时,若抗震支撑所承受的地震倾覆力矩大于结构总倾覆力矩的50%,其框架部分的轴压可增加到0.9”。此条对于主厂房结构采用钢筋混凝土框架一抗震支撑的结构,要使抗震支撑所承受的地震倾覆力矩大于结构总倾覆力矩的50%,支撑的埋件锚筋很多,梁柱节点钢筋太多,混凝土施工困难,因此这种情况很难实现,本次规范修订将此条删除。
外侧柱列若设置一档抗震支撑就可满足抗震要求时,则应布置在中部。
主厂房框架的扭转问题,主要应从布置上来解决,电厂框架的纵向刚度应具有一定的均匀性,在框架纵向单侧设置抗震墙,会造成“质心”与“刚心”的差距较大,将会显著增加结构的扭转,根据几个工程主厂房的扭转计算,当抗震墙布置不合理时,会造成一些构件地震作用成数倍的增加,建议采用框架抗震墙的主厂房结构应采用空间分析,合理布置抗震墙,减少扭转作用。
7.2.6 抗震墙和抗震支撑至少应有一档沿全高设置,主要考虑到高振型对顶层的框架会产生不利影响,也可避免出现刚度突变。当结构出现刚度突变会导致应力集中,使结构局部产生破坏。
7.2.8 从历次地震的震害情况来看,轻屋盖比重屋盖抗震性能好,无天窗的屋盖系统比有天窗的抗震性能好;利用山墙承重的厂房对抗震不利,如陡河电厂的热处理室屋面板直接搁在山墙上,地震时山墙倒塌将屋面板一起拉下来;此外,屋架与柱顶,屋面板与屋架,支撑与天窗架,屋架与支撑的连接等是否牢固,直接影响屋盖的震害程度。汶川地震有一些单层厂房也出现了这些问题。因此加强屋盖结构的整体性设计是屋盖设计的重点。
7.2.9 根据现行国家标准《建筑抗震设计规范》GB 50011并结合火力发电厂的特点,对屋盖系统选型作出一些规定,由于目前工程中普遍采用平面采光天窗,取消了原有突出屋面的侧面采光的天窗,更没有采用钢筋混凝土天窗架的工程,因此本次修订取消了突出屋面天窗的条文,并提出当屋面采用轻型材料时,屋面梁可采用实腹钢梁,但采用实腹钢梁应有跨度的限制,一般不宜大于30m。
7.2.10 本条依据现行国家标准《建筑抗震设计规范》GB 50011进行修订。
7.2.11 火力发电厂主厂房屋面结构,受到结构形式的影响,其受力较复杂,通过震害分析充分暴露了这种结构的薄弱环节,它的震害比其他部位重,如某电站框架只有①~④轴线倒塌,而屋盖则是全部塌落。唐山电站位于10度区,主厂房框架损坏轻微,屋盖系统除①~⑦轴线外(该部分作了特别加强) ,其余31个轴线范围内的屋盖全部塌落,又如唐山422水泥厂钾肥车间,其结构形式与陡河电站主厂房框排架结构相类似,排架部分的跨度仅9m,也发生屋盖全部塌落,四川汶川地震,江油电厂二期汽机房的网架屋盖塌落,这些现象不能不认为框排架系统的屋盖是抗震设计的关键部位之一。从设计角度看,它应比一般单层多跨的工业厂房有所加强,另外,还考虑到外侧柱与框架的纵向刚度不同,易对屋盖产生扭转,加强联结和屋面支撑系统的受力。因此,主厂房屋盖设计除按现行国家标准《建筑抗震设计规范》GB 50011执行外,对屋盖支撑系统和屋盖与主体结构的连接设计应采取更高的加强措施。具体措施可见相关的行业标准。
7.2.12 本条为新增条文,抗风柱的柱顶与屋架上弦的连接节点,要具有传递水平地震力的承载力,但连接点必须在上弦横向支撑与屋架的连接点,否则将使屋架上弦或屋面梁附加了节间平面外的弯矩,而在电厂主厂房的设计中,山墙抗风柱间距受汽机大平台柱网的限制,抗风柱与屋架(或屋面梁)和水平支撑的节点很难交在一点,因此对这些不符合要求的情况,根据现行国家标准《建筑抗震设计规范》GB 50011的规定,提出了在屋架横向支撑中增加次腹杆的要求,使抗风柱顶的水平力传递至上弦的横向支撑的节点。
7.3 钢结构主厂房结构布置和构造措施
7.3.1 主厂房钢结构可采用框架结构、框架-支撑结构。当采用框架-支撑结构时应符合下列要求:
1 柱间支撑宜布置在荷载较大的柱间,且宜在同一柱间上下贯通,不贯通时应错开开间后连续布置,并宜适当增加相近楼层、屋面的水平支撑,确保支撑承担的水平地震作用能传递至基础。
2 柱间支撑杆件应采用整根材料,当超过材料最大长度规格时,可采用对接焊缝等强拼接,且不应小于支撑杆件塑性承载力的1.2倍。
3 纵向柱间支撑宜设置于柱列中部附近。
4 屋面的横向水平支撑和顶层的柱间支撑,宜设置在厂房单元端部的同一柱间内;当厂房单元较长,应每隔3 个~5 个柱间设置一道。
5 楼层水平支撑的布置应与柱间支撑位置相协调。
6 钢结构宜采用中心支撑,有条件时也可采用偏心支撑等耗能支撑。中心支撑宜采用交叉支撑,也可采用人字支撑或单斜杆支撑,不宜采用K形支撑;支撑的轴线应交汇于梁柱构件轴线的交点,确有困难时偏离中心不应超过支撑杆件的宽度,并应计入由此产生的附加弯矩。
7 厂房水平支撑可设在次梁底部,但支撑杆端部应与楼层轴线上主梁的腹板和下翼缘同时相连。
8 楼层轴线上的主梁可作为水平支撑系统的弦杆,斜杆与弦杆夹角宜在30°~60°。
9 当楼板上开大孔时,应在开孔周围的柱网区格设水平支撑。
7.3.2 钢结构的抗震构造措施宜符合下列要求:
1 梁与柱的连接宜采用柱贯通型。
2 当柱在两个互相垂直的方向都与梁刚接时,宜采用箱型截面。当仅在一个方向刚接时,宜采用工字型截面,并应将柱腹板置于刚接框架平面内。
3 当柱与梁刚接时,柱在梁翼缘对应位置设置横向加劲肋,且加劲肋厚度不应小于梁的翼缘厚度。
4 梁腹板宜采用摩擦型高强度螺栓通过连接板与柱连接,腹板角部宜设置扇形切角,其端部与梁翼缘的全熔透焊缝应隔开。
5 当框架梁采用悬臂梁段与柱刚接时,悬臂梁段与柱应预先采用全焊接连接,梁的现场拼接可采用翼缘焊接腹板螺栓连接或全部螺栓连接。
6 当梁与柱刚性连接时,柱在翼缘上下各500mm 的节点范围内,工字形柱翼缘与腹板或箱形柱壁板间的连接焊缝,应采用全熔透焊缝。
7 框架柱接头宜位于框架梁上方1.3m附近,当采用焊接连接时,上下柱的对接接头应采用全熔透焊缝;在柱拼接接头上下各100mm范围内,工字形截面柱翼缘与腹板间的焊缝,应采用全熔透焊缝。
条文说明
7.3 钢结构主厂房结构布置和构造措施
本节条文为新增条文,主要依据现行国家标准《建筑抗震设计规范》GB 50011的要求制定。
钢结构厂房的支撑布置是设计的重要环节,已建钢结构主厂房一般都采用框架-支撑结构,支撑的布置与工艺专业必须密切配合。在条件许可时,宜优先采用交叉支撑,支撑布置在荷载较大的柱间,有利于荷载直接传递;上下贯通有利于结构刚度沿高度变化均匀;靠中间布置,减少结构的温度作用。
纯框架结构延性好,但抗侧力刚度较差;中心支撑框架通过支撑提高框架的刚度,但支撑受压会屈曲,支撑屈曲将导致原结构的承载力降低;偏心支撑框架可通过偏心梁段剪切屈服限制支撑的受压屈曲,从而保证结构具有稳定的承载能力和良好的耗能性能,而结构抗侧力刚度介于纯框架和中心支撑框架之间。楼层水平支撑设计的作用主要是传递水平地震作用和风荷载,控制柱的计算长度和保证结构构件安装时的稳定。
7.4 集中控制楼、配电装置楼
7.4.1 集中控制楼、配电装置楼可根据设防烈度、场地类别选用可靠的抗震结构形式。一般宜采用现浇钢筋混凝土框架结构,楼(屋)盖应采用现浇钢筋混凝土结构。对于框架结构的抗震等级应按本规范表7.1. 2确定。
7.4.2 结构中的构造柱、圈梁和填充墙的抗震要求应满足现行国家标准《建筑抗震设计规范》GB 50011的有关规定。
7.4.3 当抗震设防烈度8度、9度时,对于控制室顶部大开间结构的屋面宜采用钢结构和轻型屋面。
7.4.4 集中控制楼、配电装置楼与相邻建(构)筑物之间宜设抗震缝。
条文说明
7.4 集中控制楼、配电装置楼
7.4.1 集中控制楼、配电装置楼在电厂和变电站中都是很重要的建筑,其特点层高不等、顶层为大开间,因此跨度较大,高度一般不会超过30m ,鉴于该建筑在电厂和变电站的重要程度,提出一般情况下宜采用现浇钢筋混凝土框架结构。框架的抗震等级只与抗震设防烈度有关。
7.4.2 本次修订取消了原规范中采用砖混结构的要求。对于采用砖混结构的集中控制楼、配电装置楼可按照现行国家标准《建筑抗震设计规范》GB 50011的要求执行。
7.4.3 本次修订的新增条文,由于控制室的开间要求较大,本次修订提出对于跨度大于18m或为8度、9度时,控制室顶部大开间结构的屋面宜采用钢结构承重的轻型屋面。
7.4.4 本次修订取消了抗震缝的具体数值,缝宽的确定依据现行国家标准《建筑抗震设计规范》GB 50011的要求确定。
7.5 运煤廊道
7.5.1 地上廊道结构应按现行国家标准《建筑抗震设计规范》GB 50011的有关规定,进行地震作用和作用效应计算。
7.5.2 地上廊道跨度不大于24m的廊身结构,可不进行竖向地震作用的抗震验算;但抗震设防烈度8度、9度时,地上廊道跨度大于24m的廊身结构,应进行竖向地震作用的抗震验算。
7.5.3 当抗震设防烈度8度、9度时,地上廊道楼面应采用现浇钢筋混凝土楼板,屋面和围护结构宜采用轻型结构,不应采用砌体结构围护。
7.5.4 当廊道跨度大于18m时,跨间承重结构宜采用钢梁或钢桁架。当采用钢桁架结构时,应在桁架跨度两端支座处设置门型框架。
7.5.5 地上廊道与相邻建筑物之间,抗震设防烈度7度时宜设置防震缝,抗震设防烈度8度和9度时应设置防震缝。
7.5.6 当抗震设防烈度6度、7度和8度,场地为Ⅰ~Ⅱ类场地时,廊道跨间承重结构可采用搁置在相邻建(构)筑物上的滑动或滚动支座,但应采取防止脱落的措施。
条文说明
7.5 运煤廊道
7.5.1 地上廊道的地震作用计算与建筑物相近,因此其地震作用可按现行国家标准《建筑抗震设计规范》GB 50011进行水平地震作用及其作用效应计算。
7.5.3、7.5.4 唐山地震中,某电站的地上运煤廊道凡是砖墙承重、预制钢筋混凝土楼板(或屋面板)的砖混结构震害最为严重,如2号皮带运煤廊道地上部分用24 砖墙,震后两侧砖纵墙均倾斜,墙和屋面板压在皮带上,而在采用桁架承重和轻质材料围护结构的高运煤廊道震后比较完好。四川汶川地震,震中附近的电厂地上运煤廊道均采用钢桁架承重和金属墙板围护,震后基本完好。由此说明地震区的地上运煤廊道采用轻质材料和高强度材料有利于抗震。
本次修订提出,当为8度和9度时,地上廊道宜采用轻型围护结构,不应采用砖墙维护。当跨度大于18m时,地上廊道的跨间承重结构应采用钢桁架。当为6度和7度、跨度较小时可采用钢筋混凝土框架结构。
7.5.5 运煤廊道是两个建筑物之间的连接通道,属窄长型构筑物,其特点是廊道纵向刚度很大,横向刚度较小,而支架刚度亦较小,和相邻建筑物相比,无论刚度和质量都存在较大的差异,同时,廊道作为传力构件,地震作用将会互相传递,导致较薄弱的建筑物产生较大的破坏。若廊道偏心支承于建(构)筑物上,还将产生偏心扭转效应,加剧其他建筑物的破坏。基于以上原因,提出运煤廊道与相邻建筑物之间,7度时,宜设防震缝脱开;8度及9度时应设防震缝脱开。
7.5.6 某些特殊情况下,由于工艺的要求以及结构处理上的困难,廊道和建(构)筑物不可能分开自成体系,其后果如第7.5.5条说明所述。为了减少地震中由于刚度、质量的差异所产生的不利影响,宜采用传递水平力小的连接构造,如球形支座(有防滑落措施)、悬吊支座、摇摆柱等。
7.6 变电站建(构)筑物
7.6.1 变电站或换流站建(构)筑物抗震设防类别及抗震设防标准、钢筋混凝土房屋的抗震等级应分别符合本规范表7.1.1和表7.1.2 的规定。
7.6.2 变电站或换流站建筑物的地震作用和结构抗震验算,应符合现行国家标准《建筑抗震设计规范》GB 50011 的有关规定。
7.6.3 变电站主控通信楼、配电装置楼(室)以及换流站控制楼、阀厅、户内直流场等建筑物,宜择优选用规则的形体,其抗侧力构件的平面布置宜规则对称、侧向刚度沿竖向宜均匀变化、竖向抗侧力构件的截面尺寸和材料强度宜自下而上逐渐减小、避免侧向刚度和承载力的突变。
7.6.4 变电站多层配电装置楼不应采用单跨框架结构。
7.6.5 换流站阀厅及户内直流场单极均为单层工业厂房,宜采用钢排架结构、钢筋混凝土排架结构等质量和刚度分布对称的结构形式。其抗震构造措施应符合下列规定:
1 当采用钢排架结构时,厂房框架柱的长细比、厂房框架柱及梁的板件宽厚比、厂房的屋盖支撑及柱间支撑布置、柱脚构造等,均应符合现行国家标准《建筑抗震设计规范》GB 50011的有关规定。
当屋盖横梁与柱顶铰接时,宜采用螺栓连接。
2 采用钢筋混凝土排架结构时,抗震设防烈度8 度时屋架(屋面梁)与柱顶的连接宜采用螺栓,抗震设防烈度9 度时宜采用钢板铰,亦可采用螺栓;屋架(屋面梁)端部支撑垫板的厚度不宜小于16mm。
3 当内直流场设有桥式起重机时,起重机梁系统的构件与厂房框架柱的连接应能可靠地传递纵向水平地震作用。
7.6.6 构架柱梁应优先采用抗震性能较好的钢结构。构架柱宜采用A字形钢管柱、角钢或钢管格构式柱,220kV及以下电压等级的构架柱也可采用A字形钢筋混凝土环形杆和钢管混凝土柱等结构形式;构架梁宜采用单钢管梁、三角形或矩形断面的格构式钢梁等结构形式。
7.6.7 设备支架宜与构架的结构形式相协调,宜采用钢管支架、角钢或钢管格构式支架、钢筋混凝土环形杆支架和钢管混凝土支架等结构形式。
7.6.8 构架应分段按多质点体系进行地震作用计算。构架地震作用效应计算简图与静力效应计算简图应取得一致,并应分别验算顺导线方向和垂直导线方向的水平地震作用,且应由各自方向的抗侧力构件承担。
7.6.9 设备支架应与其上电气设备联合按多质点进行地震作用计算。当计算结构基本自振周期时,柱重力荷载可按柱自重标准值的1/4作用于柱顶取值;当计算水平地震作用时,柱重力荷载可按柱自重标准值的2/3作用于柱顶取值。
7.6.10 构架、设备支架的地震作用和荷载效应组合应符合下列要求:
1 当计算地震作用时,构架、设备支架的重力荷载代表值应取结构自重标准值、导线自重标准值、设备自重标准值(包括绝缘子串、金具、阻波器及其他电气设备自重标准值)和正常运行工况各可变荷载组合值之和,应按下式计算:

式中:SGE——重力荷载代表值;
SGK——结构自重标准值、设备自重标准值及导线自重标准值;导线自重标准值可取安装气象条件下非紧线相导线张力标准值的垂直分量;
ΨCi——可变荷载SQik的组合值系数,一般取0.5;
SQik——分别对应表7.6.10正常运行工况时四种气象条件下各可变荷载标准值,对应本条第2款进行地震作用效应组合。

2 正常运行工况四种气象条件下,构架、设备支架地震作用效应和其他荷载效应的基本组合,应按下式计算:

式中:S——结构构件内力组合的设计值,包括组合的弯矩、轴向力和剪力设计值等;
γG——重力荷载分项系数,一般情况应采用1.2; 当重力荷载效应对构件承载能力有利时,不应大于1.0;
SGE——重力荷载代表值的效应,可按本条第1 款采用;
γEh、 γEV——水平、竖向地震作用分项系数,按现行国家标准《建筑抗震设计规范》GB 50011 采用;
γQ——正常运行工况导线荷载水平分量分项系数,应采用1.3;
γw——风荷载分项系数,应采用1.4;
SEhk——水平地震作用标准值的效应,尚应乘以相应的增大系数或调整系数;
SEVK——竖向地震作用标准值的效应,尚应乘以相应的增大系数或调整系数;
Swk——作用于构架、设备支架的风荷载标准值的效应(即结构风压):顺导线方向风作用时,结构风压作用在构架架平面内;除大风气象条件下取基本风压对应的风速计算结构风压外,其他气象条件应采用10m/s时的风速计算结构风压;
SQK——正常运行工况导线荷载水平分量标准值的效应;
ΨQ——正常运行工况导线荷载水平分量组合值系数,应采用1.0;
Ψw——风荷载组合值系数,对于风荷载起控制作用的构支架应采用0.2。
7.6.11 下列构支架、站区独立避雷针可不进行截面抗震验算,而需满足抗震构造要求:
1 抗震设防烈度6 度,在任何类场地的构支架及其地基基础。
2 抗震设防烈度小于或等于8度, Ⅰ、Ⅱ类场地的构支架及其地基基础。
3 抗震设防烈度小于9度的站区独立避雷针。
7.6.12 变压器(高抗)、换流变(平抗)等大型落地设备,应加强设备本体与基础之间的连接,以防止这些质量较大的大型设备在地震时发生滑移、脱轨、转动或倾斜等震害。
条文说明
7.6 变电站建(构)筑物
7.6.1 新增条文。
变电站或换流站建(构)筑物抗震设防类别应符合现行国家标准《建筑工程抗震设防分类标准》GB 50223-2008的要求,抗震设防类别及抗震设防标准按规范表7.1.1执行;变电站或换流站钢筋混凝土房屋抗震等级应符合现行国家标准《建筑抗震设计规范》GB 50011的要求,并按规范表7. 1. 2执行。
7.6.2 新增条文。
与一般建筑物相比,变电站或换流站建筑物的地震作用和结构抗震验算没有特殊性,应符合现行国家标准《建筑抗震设计规范》GB 50011 的相关要求。
7.6.3 新增条文。
合理的建筑形体及其构件布置的规则性在抗震设计中是至关重要的。本条要求变电站或换流站建筑设计需特别重视其平、立、剖面及构件布置不规则对抗震性能的影响,提倡平、立面简单对称。因为震害表明,简单、对称的建筑在地震时较不容易破坏,简单、对称的结构容易估计其地震时的反应,也容易采取抗震构造措施和进行细部处理。
7.6.4 新增条文。
现行国家标准《建筑抗震设计规范》GB 50011相关条文对多层和高层钢筋混凝土房屋规定:“甲、乙类建筑以及高度大于24m的丙类建筑,不应采用单跨框架结构”。变电站配电装置楼(室)为重点设防类(简称乙类)建筑,工艺要求多为单跨布置,对于继电器室、站用电室等高度不高、跨度不大的单层单跨结构应不受此规定限制,但相对于110kV、220kV多层配电装置楼则不应采用单跨框架结构,但可以采用框架-抗震墙结构,框-墙结构中的框架,可以是单跨。
7.6.5 新增条文。
就单极而言,换流站阀厅及户内直流场均为单层工业厂房。
户内直流场一般与同极阀厅毗邻脱开布置,与防火(墙)无关,工艺要求也不高,其结构形式的选择受到的制约条件较少,应根据工程所在地气象条件优先采用建筑平面刚度均匀、抗震性能好和施工便捷、投资节省的钢排架结构或钢筋混凝土排架结构。
对于阀厅而言,其工艺要求相对比较复杂,对密闭性、空气洁净度、微正压运行、通风和空气调节、防电磁干扰、防火、防排烟、地面清洁度等都有严格的使用要求。阀厅结构形式的选择不仅要满足工艺功能使用要求,还必须综合考虑抗震要求、气象条件、施工和维护方便等因素。总结国内已建各电压等级换流站阀厅的设计和施工经验,实际工程中也应优先采用建筑平面刚度均匀、抗震性能好和施工便捷、投资节省的钢排架结构、钢筋混凝土排架结构、钢-混凝土排架混合结构等三种结构形式。需要指出的是,此三种排架结构中的纵向平面框架一般都需要设置柱间支撑。
1 阀厅采用钢排架结构时,阀厅与纵(横)向防火墙脱开布置,阀厅与纵(横)向防火墙为两个独立的结构单元,纵向防火墙兼作阀厅的外围护墙。钢排架结构虽有利于抗震,但整片钢筋混凝土防火墙严重制约工期的缺陷并没有克服。为此,建议纵向防火墙采用短肢剪力墙+框架填充墙,横向防火墙采用框架填充墙。
2 阀厅采用钢筋混凝土排架结构或钢-混凝土排架混合结构时,阀厅和纵(横)向防火墙为一个结构单元。此时,纵(横)向防火墙均为钢筋混凝土框架填充墙,同时也兼做阀厅的外围护墙。
3 阀厅采用钢排架-抗震墙混合结构(即原先ABB 或SIEMENS设计模式)时,阀厅和抗震墙为一个结构单元,抗震墙兼作阀厅承重结构、换流变防火墙和阀厅的外围护墙。此种结构形式建筑平面刚度很不均匀,不利于抗震,混凝土抗震墙(防火墙)严重制约工期,在寒冷和严寒地区此缺点表现得尤为突出。国内已建和在建的换流站阀厅及防火墙结构类型见表4。






注:输送容量仅供参考;阀厅结构形式各设计院表述不尽统一。
本条还针对阀厅及户内直流场等单层工业厂房提出了主要的抗震构造措施,与现行国家标准《建筑抗震设计规范》GB 50011 中的相关规定保持一致。
7.6.6 原标准第6.5.1条的修改条文。
根据我国国情和实际工程实践中对构架柱梁结构形式的实际应用,结合抗震要求,本条罗列了常用的构架柱、构架梁结构形式,他们都具备较好的抗震能力。具体工程可以根据不同的电压等级、结构受力、抗震性能、工程造价、材料来源(或地区习惯)、加工运输条件以及美观等方面综合考虑后选用。
同时,在满足抗震要求的前提下,本标准也鼓励设计人员在经过充分的计算论证、技术经济比较和真型试验后对构架的结构形式及材料选用进行技术创新。
7.6.7 新增条文。
设备支架宜与站内构架的结构型式尽量保持协调一致,是从整个变电站的美观角度考虑的。同时,本条所列设备支架结构形式也都具备相当的抗震能力。
国家电网公司科技部科研课题《输变电工程抗震设计研究报告》的分析计算和在振动台上的真型试验结果表明,支柱型、细长类高压电气设备,支架顶部动力放大系数较大,在地震作用下容易发生共振。因此,设备支架宜尽量采用钢结构,以提高地震阻尼作用。有条件时,可采用减震器或阻尼器,改变设备体系的频率和阻尼比,从而降低设备的地震动反应。
7.6.8 原标准第6.5.2条的修改条文。
不管是人字柱构架、还是格构式构架,梁柱各杆件的地震作用分段按多质点体系计算更为精确。构架一般只考虑两个主轴方向的水平地震作用,可不考虑竖向地震作用。
构架应优先采用空间杆系分析与设计软件进行空间分析计算。
传统的平面分析方法,由于无法精确反映构件的真实受力状态,造成某些构件受力不足安全度过于富裕,而另一些构件则接近于满应力甚至超应力工作状态,结构安全性较差;当采用空间分析程序计算时,由于可以对所有的构件依照设定的应力控制指标进行满应力设计,所有的构件的安全度都是接近的,构架的整体可靠度指标也就等同于任一构件的可靠度指标。在结构可靠度方面,由于结构本身不存在余度特别大或设计应力比较紧张的构件,从整体上讲,构架的安全度反而提高了。
7.6.9 原标准第6.5.3条的修改条文。
传统上将设备支架简化为单质点体系计算与实际情况相差较远,不够合理和安全。支架上安装有电气设备时,应将支架与其上电气设备及其连接作为一个整体按多质点进行地震动力分析。
7.6.10 原标准第6.5.4条的修改条文。
根据现行国家标准《建筑抗震设计规范》GB 50011补充了重力荷载代表值表达式、地震作用效应与风荷载效应的基本组合表达式,方便设计人员直接引用。地震作用只需与正常运行工况时四种气象条件下的荷载效应进行组合,安装、检修工况时可不考虑同时发生地震。
重力荷载代表值是垂直向下的力,规范中式(7.6.10-1)的SGk除应计及结构自重标准值、构支架上设备(如阻波器、悬垂串等设备)自重标准值外,还应计及悬挂在构支架上的导线自重标准值,将安装气象条件下非紧线相导线荷载标准值的垂直分量作为导线自重标准值是比较适宜的。重力荷载代表值中考虑了电气提供的导线荷载标准值的垂直分量扣除导线自重标准值后的可变荷载标准值参与组合,参照现行国家标准《建筑抗震设计规范》GB 50011的规定,该可变荷载标准值组合值系数一般取Ψci=0.5。
与现行国家标准《建筑抗震设计规范》GB 50011中建筑物地震作用效应和其他荷载效应的基本组合表达式不同,对于有导线荷载作用的构支架,规范中式(7.6.10-2)多出的ΨQγQSQK 一项考虑了正常运行工况电气提供的导线荷载水平分量标准值的效应,它与作用在结构上的风荷载标准值的效应Swk同属水平荷载类型、荷载也都作用在结构节点上,同属一种作用方式。应分别按顺导线方向和垂直导线方向的风引起的导线荷载标准值的水平分量效应与对应的结构风压效应进行组合,因为两个方向的风不可能同时存在。
现行国家标准《建筑抗震设计规范》GB 50011规定风荷载起控制作用的高层建筑,风荷载组合值系数Ψw应采用0.2,构支架也属于风荷载起控制作用的构筑物。
构支架地震作用效应和风荷载效应的基本组合,工程经验表明可不考虑竖向地震作用,仅考虑水平地震作用。
7.6.11 新增条文。
实际工程中,通过对不同场地、不同抗震设防烈度下的构支架在地震作用效应和其他荷载效应组合计算表明,地震作用工况下构支架杆件的应力大多小于其他荷载效应组合工况(如大风、覆冰有风)下产生的应力,地震作用组合大多不起控制作用,即在发生地震灾害时的构支架所承受的荷载工况并非最不利状态,尤其对于钢结构构支架,具有强度高、重量轻、延性和韧性好等特点,在2008年“5·12”四川汶川地震中几乎没有损失。但对于钢筋混凝土构支架,除次生灾害的破坏外,也存在少量的直接地震力破坏情况。应该说钢筋混凝土构架本身的结构形式在地震力的作用下不易破坏。少量破坏的原因,一是水泥杆暴露在空气中,长期风吹日晒,导致混凝土风化、碳化;二是水泥杆开裂、碳化使钢筋失去表面钝化膜的保护,部分钢筋锈蚀、膨胀,导致混凝土保护层剥落,两者均直接导致构件截面承载力降低,存在结构缺陷,从而使结构薄弱处在地震力产生破坏。
本条引用现行国家标准《高耸结构设计规范》GB 50135有关条文,并针对变电站实际情况给出的具体规定,便于设计人员直接引用。所谓“高耸结构”是指相对高而细的结构,如变电站构支架、独立避雷针等。
7.6.12 新增条文。
从2008年“5·12”四川汶川地震灾害调查看,变压器基础震后未见破坏,但变压器存在移位、转动、倾斜甚至脱轨等破坏现象。变压器脱轨损坏了附属构件后产生漏油,喷油甚至烧毁,其余设备基础均未见明显破坏情况。
可见落地变压器、高抗等大型设备由于未采取固定措施或虽采取了固定措施,但方式不当或强度不足,地震时将固定螺栓剪断、拉脱或将焊缝拉开使固定措施失效,导致变压器滑移甚至掉台,因此应加强大型落地电力设备与基础之间的连接。
除设备厂家有专门的安装要求外,根据国家电网公司科技部《输变电工程抗震设计研究报告》在7度~9 度抗震设防烈度下对750kV单相变压器与基础连接焊缝的地震作用计算结果,建议焊脚尺寸hf取12mm。按照现行国家标准《钢结构设计规范》GB 50017有关角焊缝的要求,角焊缝表面应做成直线型或凹型,焊脚尺寸的比例取1: 1.5。
同时,本标准也鼓励设计人员对大型电力设备采取行之有效的其他隔震和消能减震措施。
8 送电线路杆塔及微波塔
8.1 一般规定
8.1.1 线路路径和塔位选择宜避开危险地段,如地震时易出现滑坡、崩塌、地陷、地裂、泥石流、地基液化等及发震断裂带上可能发生地表位错的地段,当无法避让时,应采取必要措施。
8.1.2 混凝土跨越塔不宜用于地震烈度为8 度及以上地区或者地基因地震易液化,且液化深度较深的场地。
8.1.3 当线路通过地质灾害易发区时,宜采用单回路架设。
8.1.4 大跨越工程应进行地震安全性评估。
8.1.5 输电线路杆塔和基础抗震设防烈度应采用当地的基本地震烈度;对于乙类建筑,地震作用应符合本地区抗震设防烈度的要求,当抗震设防烈度为6度~8度时,抗震措施应符合本地区抗震设防烈度提高1度的要求;当为9度时,应符合比9度抗震设防更高的要求;地基基础的抗震措施,应符合国家现行有关标准的规定。
8.1.6 位于7度及以上地区的混凝土高塔、8度及以上地区的钢结构大跨越塔和微波高塔、9度及以上地区的各类杆塔和微波塔均应进行抗震验算。
8.1.7 7 度及以上地区的大跨越塔、微波高塔及特殊重要的杆塔基础、8度及以上地区的220kV及以上耐张型杆塔的基础,当场地为饱和砂士或饱和粉土(不含黄土)时,均应考虑地基液化的可能性,必要时要采取稳定地基或基础的抗液化措施。
8.1.8 对大跨越杆塔和长悬臂横担杆塔尚应进行竖向地震作用验算;当为8 度时,可取该结构、构件重力荷载代表值的10% ;当为9度时,可取20%。设计基本地震加速度为0.3g时,可取该结构、构件重力荷载代表值的15% 。
条文说明
8.1 一般规定
8.1.1 新增条文。
依据现行国家标准《建筑抗震设计规范》GB 50011 第4.4.1 条要求,建设场地应划分为有利、不利和危险地段。为减少工程风险、降低投资,限制送电线路通过危险地段。当送电线路无法避免危险地段时,应采取必要措施,保证杆塔和基础安全。
8.1.2 新增条文。
对输电线路杆塔多次地震后灾害调查显示,地基液化和地基不均匀沉降是线路杆塔破坏的主要原因之一,如1975年我国海城地震,跨河段铁塔发生了地基液化和地基不均匀沉降导致的塔身倾斜和基础毁坏;1976年唐山地震,部分混凝土电杆由于地基液化和不均匀沉降导致的拉线松弛、电杆倾斜损坏;1995年日本兵库地震,20余座铁塔发生基础不均匀沉陷、塔身倾斜和倒塌。混凝土结构抗震性能较差,对地基沉陷敏感,结构分析表明,设防烈度8度及以上地区,钢筋混凝土结构的杆塔,地震荷载组合会控制构件设计,因此,这一地区不适宜采用混凝土跨越塔。
8.1.3 新增条文。
为限制灾害影响范围,减少灾害损失,通过不良地质区段的线路宜采用单回路架设。
8.1.4 新增条文。
大跨越工程一般位于通航江河、湖泊或海峡等,发生故障时严重影响航运或修复特别困难,因此对大跨越工程需作地震安全性评价。
8.1.5 新增条文。
根据现行国家标准《建筑抗震设计规范》GB 50011强制性条文第1.0.4条及非强制性条文第1.0.5条进行修编。线路杆塔设计抗震设防烈度采用现行国家标准《中国地震动参数区划图》GB 18306的地震基本烈度,根据本规范关于设防烈度和抗震设防区划地震动参数的审批权限,由国家规范有关主管部门规定。
根据现行国家标准《建筑工程抗震设防分类标准》GB 50223第3.0.2条、第3.0.3条要求,重点设防类建筑应按高于本地区抗震设防烈度1度的要求加强其抗震措施;但抗震设防烈度为9度时应按比9度更高的要求采取抗震措施;已按规范第1.0.11条提高设防烈度的乙类建筑不再提高。
8.1.6 新增条文。
结合以往研究结论和工程经验,依据本次专题研究成果,新增本条文。
混凝土高塔是指混凝土塔身总高度超过100m的塔,工程设计经验表明,位于7度区的这类高塔,个别断面是由地震荷载控制的。
研究计算表明,基本地震烈度8 度及以下一般铁塔,杆塔内力和选材均由非地震组合控制;大跨越铁塔由于杆塔高度高、自振周期长,虽然杆塔大部分杆件由非地震内力控制,但横隔面、地线支架等部位的杆件可能由地震组合作用控制,因此,要求对8度及以上地区大跨越塔、微波高塔作抗震验算。
9度区主要位于四川、云南、西藏、新疆等西部地区,随着经济发展和西部大开发,可能在这些地区建造输电线路,9度区各类杆塔均需作抗震验算。由于9度区地震破坏大,设计经验少,建议工程项目尽可能避开。
8.1.7 地基液化对地基承载能力影响很大,因此地基和基础设计应考虑适当的抗液化或消除液化措施,条文中未包括电压等级的重要线路,可参照执行。
8.1.8 原规范第7.0.8条修改条文。根据现行国家标准《建筑抗震设计规范》GB 50011第4.1.1条规定,大跨越塔和长悬臂横担杆塔应进行竖向地震作用验算。
8.2 计算要点
8.2.1 计算杆塔动力特性时,可不计入导线和避雷线的重量。
8.2.2 计算地震作用时,重力荷载代表值应按无冰、年平均温度的运行情况取值。
8.2.3 杆塔地震作用一般采用振型分解反应谱计算,当需要精确计算时,宜采用时程分析法。杆塔结构采用振型分解反应谱法计算地震作用时,可只取前2 个~3个振型,当基本自振周期大于1.5s时,应适当增加振型个数。
8.2.4 杆塔结构的地震作用效应与其他荷载效应的基本组合应按下式计算:

式中:γG——重力荷载分项系数,对结构受力有利时取1.0 ,不利时取1.2 ,验算结构抗倾覆或抗滑移时取0.9;
γEh,γEV——水平、竖向地震作用分项系数,应按表8. 2. 4 的规定采用;
γQ——活荷载分项系数,取γQ= 1.4;
γw——风荷载分项系数,取γQ= 1.4;
ΨQ——风荷载组合值系数,可取0.2;
Ψw——活荷载组合值系数,可取0.35;
SGE——重力荷载代表值的效应;
SEhk——水平地震作用标准值的效应;
SEVK——竖向地震作用标准值的效应;
SQK——活荷载的代表值效应;
Swk——风荷载标准值效应。

8.2.5 结构构件的截面抗震验算,应采用下列设计表达式:

式中:R——结构构件承载力设计值;
γRE——承载力抗震调整系数,应按表8.2.5确定;

条文说明
8.2 计算要点
8.2.1 导线、地线通过悬垂绝缘子串和金具与杆塔连接。绝缘子串相当于一个单摆系统,其周期比杆塔周期长得多。在挂有导线、地线的铁塔模型试验中也证实了铁塔的动力影响要比不挂线的铁塔小,故可不考虑导线、地线的动力影响。
8.2.2 杆塔的地震作用验算荷载只考虑正常运行情况,不考虑事故和安装情况,恒荷载不考虑覆冰情况。导、地线的拉力只是在验算特种塔时考虑,此时导线、地线的应力采用年平均温度下的应力。
8.2.3 新增条文。
振型个数的多少关系到结构计算精度和计算工作量,自振周期小于1.5s,振型个数取前2个~3个振型,计算精度已满足工程要求,自振周期大于1.5s,由于高阶振型的影响,可适当增加振型个数,一般取振型参与质量达到总质量90%所需的振型数。
8.2.4 原规范第7.0.6条修改。本条根据现行国家标准《建筑结构可靠度设计统一标准》GB 50068、《构筑物抗震设计规范》GB 50191和《110kV~750kV架空输电线路设计规范》GB 50545的有关规定和线路杆塔结构的特点制订。
根据现行国家标准《建筑结构可靠度设计统一标准》GB 50068确定荷载分项系数的原则和目前抗震设计水准的可靠指标,考虑了与地震烈度对应的地面运动、加速度的峰值和动力放大系数的不确定性,研究分析了对应于不同烈度的地震作用的均值和方差,并利用了现行国家标准《建筑结构可靠度设计统一标准》GB 50068中给出的各种荷载的统计参数。按Torkstra的荷载组合规则,确定了本规范所建议的荷载分项系数,这些系数是用一次二矩方法求出的最优组合。承载力抗震调整系数γRE参考现行国家标准《建筑抗震设计规范》GB 50011,并依据送电线路杆塔的特点确定。
8.2.5 原规范第7.0.7条。承载力抗震调整系数γRE参考现行国家标准《建筑抗震设计规范》GB 50011,并根据送电线路杆塔的特点而定出其值。
8.3 构造要求
8.3.1 基本地震烈度为9 度及以上地区,铁塔与基础宜采用地脚螺栓连接方式,便于出现地基不均匀沉降后的基础处理。
8.3.2 结构的阻尼比,自立式铁塔宜取0.03,钢筋混凝土杆塔和拉线杆塔宜取0.05。
条文说明
8.3 构造要求
8.3.1 新增条文。
铁塔和基础连接,常见的有插入角钢和地脚螺栓两种方式。考虑到9度区铁塔与基础连接产生破坏或基础产生不均匀沉降的可能性,为方便基础处理,建议采用地脚螺栓连接方式。
8.3.2 为原规范第7.0.9条文。自立式铁塔结构的阻尼比,根据铁塔模型试验其值在O.02~0.03,现行国家标准《建筑抗震设计规范》GB 50011对钢结构取0.02,钢筋混凝土结构取0.05,现行国家标准《高耸结构设计规范》GB 50135对钢结构取0.02,现行国家标准《构筑物抗震设计规范》GB 50191也对钢结构阻尼比取0.02,本次修订沿用原条文取0.03。对钢筋混凝土杆塔的阻尼比参考《日本建筑结构抗震条例》所规定的值,国内钢筋混凝土烟囱结构阻尼比也取0.05,故本规范规定宜取0.05 。
本规范用词说明
1 为便于在执行本规范条文时区别对待,对要求严格程度不同的用词说明如下:
1)表示很严格,非这样做不可的:
正面词采用“必须”,反面词采用“严禁”;
- 表示严格,在正常情况下均应这样做的:
正面词采用“应”,反面词采用“不应”或“不得”;
- 表示允许稍有选择,在条件许可时首先应这样做的:
正面词采用“宜”,反面词采用“不宜”;
- 表示有选择,在一定条件下可以这样做的,采用“可”。
2 条文中指明应按其他有关标准、规范执行时的写法为:“应符合……的规定”或“应按……执行”。
引用标准名录
《建筑抗震设计规范》GB 50011
《建筑工程抗震设防分类标准》GB 50223
《中国地震动参数区划图》GB 18306
