Appearance
《建筑抗震设计标准》GB/T50011-2010(2024年版)
🗓️ 住房和城乡建设部 实施时间:2010-12-01
1 总 则
住房城乡建设部关于发布国家标准《建筑
抗震设计规范》局部修订的公告
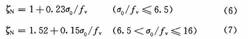
现批准国家标准《建筑抗震设计规范》(GB50011-2010)局部修订的条文,自2024年8月1日起实施。标准名称修改为《建筑抗震设计标准》,标准编号修改为GB/T50011-2010。
局部修订的条文在住房城乡建设部门户网站(www.mohurd.gov.cn)公开,并刊登在近期出版的《工程建设标准化》刊物上。
住房城乡建设部
2024年4月24日
《建筑抗震设计规范》GB50011-2010(2016年版)
局部修订条文
(2024年版)
说明:1.下划线标记的文字为新增内容,删除线标记的文字为删除的原内容,无标记的文字为原内容。
2.本次修订的条文应与《建筑抗震设计规范》GB50011-2010(2016年版)中其他条文一并实施。
局部修订说明
本次局部修订系根据住房和城乡建设部标准定额司《关于同意开展(建筑工程抗震设防分类标准》等2项国家标准局部修订工作的函》(2021-36)的要求,由中国建筑科学研究院有限公司会同有关单位对《建筑抗震设计规范》GB 50011-2010(2016年版)进行局部修订而成。
本次局部修订的主要内容是:(1)根据《建设工程抗震管理条例》和《建筑与市政工程抗震通用规范》GB 55002-2021的要求,对个别条文进行协调性修订;(2)根据《建筑抗震设计规范》GB 50011-2010(2016年版)实施以来各方反馈的意见和建议,对部分条款进行文字性调整。
本次局部修订共涉及9个条文,分别为3.1.3条、3.9.2条、3.10.1条、3.10.2条、3.10.3条、3.10.4条、3.10.5条、5.4.1条、12.1.6条。
本次局部修订起草单位:中国建筑科学研究院有限公司
中国机械工业集团公司
中国电子工程设计院
中国建筑西南设计研究院有限公司
中国建筑标准设计研究院有限公司
北京市建筑设计研究院有限公司
中国地震局地球物理研究所
同济大学
清华大学
广州大学
北京建筑大学
本次局部修订主要起草人员:黄世敏 罗开海 王亚勇 周福霖 徐建 娄宇 冯远 郁银泉 薛慧立 曾德民 潘鹏 蒋欢军 李小军 乔雨蒙
本次局部修订主要审查人员:杜修力 王立军 丁永君 杨琦 黄锐 朱兆晴 许秋华 王昌兴 薛尚铃
1总则
1.0.1 为贯彻执行国家有关建筑工程、防震减灾的法律法规并实行以预防为主的方针,使建筑经抗震设防后,减轻建筑的地震破坏,避免人员伤亡,减少经济损失,制定本规范。
按本规范进行抗震设计的建筑,其基本的抗震设防目标是:当遭受低于本地区抗震设防烈度的多遇地震影响时,主体结构不受损坏或不需修理可继续使用;当遭受相当于本地区抗震设防烈度的设防地震影响时,可能发生损坏,但经一般性修理仍可继续使用;当遭受高于本地区抗震设防烈度的罕遇地震影响时,不致倒塌或发生危及生命的严重破坏。使用功能或其他方面有专门要求的建筑,当采用抗震性能化设计时,具有更具体或更高的抗震设防目标。
条文说明
1.0.1 国家有关建筑的防震减灾法律法规,主要指《中华人民共和国建筑法》、《中华人民共和国防震减灾法》及相关的条例等。
本规范对于建筑抗震设防的基本思想和原则继续同《建筑抗震设计规范》GBJ 11-89(以下简称89规范)、《建筑抗震设计规范》GB 50011-2001(以下简称2001规范)保持一致,仍以“三个水准”为抗震设防目标。
抗震设防是以现有的科学水平和经济条件为前提。规范的科学依据只能是现有的经验和资料。目前对地震规律性的认识还很不足,随着科学水平的提高,规范的规定会有相应的突破;而且规范的编制要根据国家的经济条件的发展,适当地考虑抗震设防水平,制定相应的设防标准。
本次修订,继续保持89规范提出的并在2001规范延续的抗震设防三个水准目标,即“小震不坏、中震可修、大震不倒”的某种具体化。根据我国华北、西北和西南地区对建筑工程有影响的地震发生概率的统计分析,50年内超越概率约为63%的地震烈度为对应于统计“众值”的烈度,比基本烈度约低一度半,本规范取为第一水准烈度,称为“多遇地震”;50年超越概率约10%的地震烈度,即1990中国地震区划图规定的“地震基本烈度”或中国地震动参数区划图规定的峰值加速度所对应的烈度,规范取为第二水准烈度,称为“设防地震”;50年超越概率2%~3%的地震烈度,规范取为第三水准烈度,称为“罕遇地震”,当基本烈度6度时为7度强,7度时为8度强,8度时为9度弱,9度时为9度强。
与三个地震烈度水准相应的抗震设防目标是:一般情况下(不是所有情况下),遭遇第一水准烈度——众值烈度(多遇地震)影响时,建筑处于正常使用状态,从结构抗震分析角度,可以视为弹性体系,采用弹性反应谱进行弹性分析;遭遇第二水准烈度——基本烈度(设防地震)影响时,结构进入非弹性工作阶段,但非弹性变形或结构体系的损坏控制在可修复的范围[与89规范、2001规范相同,其承载力的可靠性与《工业与民用建筑抗震设计规范》TJ 11-78(以下简称78规范)相当并略有提高]遭遇第三水准烈度——最大预估烈度(罕遇地震)影响时,结构有较大的非弹性变形,但应控制在规定的范围内,以免倒塌。
还需说明的是:
1 抗震设防烈度为6度时,建筑按本规范采取相应的抗震措施之后,抗震能力比不设防时有实质性的提高,但其抗震能力仍是较低的。
2 不同抗震设防类别的建筑按本规范规定采取抗震措施之后,相应的抗震设防目标在程度上有所提高或降低。例如,丁类建筑在设防地震下的损坏程度可能会重些,且其倒塌不危及人们的生命安全,在罕遇地震下的表现会比一般的情况要差;甲类建筑在设防地震下的损坏是轻微甚至是基本完好的,在罕遇地震下的表现将会比一般的情况好些。
3 本次修订继续采用二阶段设计实现上述三个水准的设防目标:第一阶段设计是承载力验算,取第一水准的地震动参数计算结构的弹性地震作用标准值和相应的地震作用效应,继续采用《建筑结构可靠度设计统一标准》GB 50068规定的分项系数设计表达式进行结构构件的截面承载力抗震验算,这样,其可靠度水平同78规范相当,并由于非抗震构件设计可靠性水准的提高而有所提高,既满足了在第一水准下具有必要的承载力可靠度,又满足第二水准的损坏可修的目标。对大多数的结构,可只进行第一阶段设计,而通过概念设计和抗震构造措施来满足第三水准的设计要求。
第二阶段设计是弹塑性变形验算,对地震时易倒塌的结构、有明显薄弱层的不规则结构以及有专门要求的建筑,除进行第一阶段设计外,还要进行结构薄弱部位的弹塑性层间变形验算并采取相应的抗震构造措施,实现第三水准的设防要求。
4 在89规范和2001规范所提出的以结构安全性为主的“小震不坏、中震可修、大震不倒”三水准目标,就是一种抗震性能目标——小震、中震、大震有明确的概率指标;房屋建筑不坏、可修、不倒的破坏程度,在《建筑地震破坏等级划分标准》(建设部90建抗字377号)中提出了定性的划分。本次修订,对某些有专门要求的建筑结构,在本规范第3.10节和附录M增加了关于中震、大震的进一步定量的抗震性能化设计原则和设计指标。
1.0.2 抗震设防烈度为6度及以上地区的建筑,必须进行抗震设计。 ( 自2022年1月1日起废止该条,详见新规 《建筑与市政工程抗震通用规范》GB 55002-2021)
条文说明
1.0.2 本条是强制性条文,要求处于抗震设防地区的所有新建建筑工程均必须进行抗震设计。以下,凡用粗体表示的条文,均为建筑工程房屋建筑部分的强制性条文。
1.0.3 本规范适用于抗震设防烈度为6、7、8和9度地区建筑工程的抗震设计以及隔震、消能减震设计。建筑的抗震性能化设计,可采用本规范规定的基本方法。
抗震设防烈度大于9度地区的建筑及行业有特殊要求的工业建筑,其抗震设计应按有关专门规定执行。
注:本规范“6度、7度、8度、9度”即“抗震设防烈度为6度、7度、8度、9度”的简称。
条文说明
1.0.3 本规范的适用范围,继续保持89规范、2001规范的规定,适用于6~9度一般的建筑工程。多年来,很多位于区划图6度的地区发生了较大的地震,6度地震区的建筑要适当考虑一些抗震要求,以减轻地震灾害。
工业建筑中,一些因生产工艺要求而造成的特殊问题的抗震设计,与一般的建筑工程不同,需由有关的专业标准予以规定。
因缺乏可靠的近场地震的资料和数据,抗震设防烈度大于9度地区的建筑抗震设计,仍没有条件列入规范。因此,在没有新的专门规定前,可仍按1989年建设部印发(89)建抗字第426号《地震基本烈度X度区建筑抗震设防暂行规定》的通知执行。
2001规范比89规范增加了隔震、消能减震的设计规定,本次修订,还增加了抗震性能化设计的原则性规定。
1.0.4 抗震设防烈度必须按国家规定的权限审批、颁发的文件(图件)确定。 ( 自2022年1月1日起废止该条,详见新规 《建筑与市政工程抗震通用规范》GB 55002-2021)
条文说明
1.0.4 为适应强制性条文的要求,采用最严的规范用语“必须”。
作为抗震设防依据的文件和图件,如地震烈度区划图和地震动参数区划图,其审批权限,由国家有关主管部门依法规定。
1.0.5 一般情况下,建筑的抗震设防烈度应采用根据中国地震动参数区划图确定的地震基本烈度(本规范设计基本地震加速度值所对应的烈度值)。
条文说明
1.0.5 在89规范和2001规范中,均规定了抗震设防依据的“双轨制”,即一般情况采用抗震设防烈度(作为一个地区抗震设防依据的地震烈度),在一定条件下,可采用经国家有关主管部门规定的权限批准发布的供设计采用的抗震设防区划的地震动参数(如地面运动加速度峰值、反应谱值、地震影响系数曲线和地震加速度时程曲线)。
2010年修订时
本次修订 ,按2009年发布的《中华人民共和国防震减灾法》对“地震小区划”的规定,删去2001规范对城市设防区划的相关规定,保留“一般情况”这几个字。
新一代的地震区划图正在编制中,本次修订的有关条文和附录将依据新的区划图进行相应的协调性修改。
1.0.6 建筑的抗震设计,除应符合本规范要求外,尚应符合国家现行有关标准的规定。
2 术语和符号
2.1 术 语
2.1.1 抗震设防烈度 seismic precautionary intensity
按国家规定的权限批准作为一个地区抗震设防依据的地震烈度。一般情况,取50年内超越概率10%的地震烈度。
2.1.2 抗震设防标准 seismic precautionary criterion
衡量抗震设防要求高低的尺度,由抗震设防烈度或设计地震动参数及建筑抗震设防类别确定。
2.1.3 地震动参数区划图 seismic ground motion parameter zonation map
以地震动参数(以加速度表示地震作用强弱程度)为指标,将全国划分为不同抗震设防要求区域的图件。
2.1.4 地震作用 earthquake action
由地震动引起的结构动态作用,包括水平地震作用和竖向地震作用。
2.1.5 设计地震动参数 design parameters of ground motion
抗震设计用的地震加速度(速度、位移)时程曲线、加速度反应谱和峰值加速度。
2.1.6 设计基本地震加速度 design basic acceleration of ground motion
50年设计基准期超越概率10%的地震加速度的设计取值。
2.1.7 设计特征周期 design characteristic period of ground motion
抗震设计用的地震影响系数曲线中,反映地震震级、震中距和场地类别等因素的下降段起始点对应的周期值,简称特征周期。
2.1.8 场地 site
工程群体所在地,具有相似的反应谱特征。其范围相当于厂区、居民小区和自然村或不小于1.0km2的平面面积。
2.1.9 建筑抗震概念设计 seismic concept design of buildings
根据地震灾害和工程经验等所形成的基本设计原则和设计思想,进行建筑和结构总体布置并确定细部构造的过程。
2.1.10 抗震措施 seismic measures
除地震作用计算和抗力计算以外的抗震设计内容,包括抗震构造措施。
2.1.11 抗震构造措施 details of seismic design
根据抗震概念设计原则,一般不需计算而对结构和非结构各部分必须采取的各种细部要求。
条文说明
抗震设防烈度是一个地区的设防依据,不能随意提高或降低。
抗震设防标准,是一种衡量对建筑抗震能力要求高低的综合尺度,既取决于建设地点预期地震影响强弱的不同,又取决于建筑抗震设防分类的不同。本规范规定的设防标准是最低的要求,具体工程的设防标准可按业主要求提高。
结构上地震作用的涵义,强调了其动态作用的性质,不仅包括多个方向地震加速度的作用,还包括地震动的速度和动位移的作用。
2001规范明确了抗震措施和抗震构造措施的区别。抗震构造措施只是抗震措施的一个组成部分。在本规范的目录中,可以看到一般规定、计算要点、抗震构造措施、设计要求等。其中的一般规定及计算要点中的地震作用效应(内力和变形)调整的规定均属于抗震措施,而设计要求中的规定,可能包含有抗震措施和抗震构造措施,需按术语的定义加以区分。
本次修订,按《中华人民共和国防震减灾法》的规定,补充了“地震动参数区划图”这个术语。明确在国家法律中,“地震动参数”是“以加速度表示地震作用强弱程度”,“区划图”是将国土“划分为不同抗震设防要求区域的图件”。
2.2 主要符号
2.2.1 作用和作用效应

2.2.2 材料性能和抗力




条文说明
抗震设防烈度是一个地区的设防依据,不能随意提高或降低。
抗震设防标准,是一种衡量对建筑抗震能力要求高低的综合尺度,既取决于建设地点预期地震影响强弱的不同,又取决于建筑抗震设防分类的不同。本规范规定的设防标准是最低的要求,具体工程的设防标准可按业主要求提高。
结构上地震作用的涵义,强调了其动态作用的性质,不仅包括多个方向地震加速度的作用,还包括地震动的速度和动位移的作用。
2001规范明确了抗震措施和抗震构造措施的区别。抗震构造措施只是抗震措施的一个组成部分。在本规范的目录中,可以看到一般规定、计算要点、抗震构造措施、设计要求等。其中的一般规定及计算要点中的地震作用效应(内力和变形)调整的规定均属于抗震措施,而设计要求中的规定,可能包含有抗震措施和抗震构造措施,需按术语的定义加以区分。
本次修订,按《中华人民共和国防震减灾法》的规定,补充了“地震动参数区划图”这个术语。明确在国家法律中,“地震动参数”是“以加速度表示地震作用强弱程度”,“区划图”是将国土“划分为不同抗震设防要求区域的图件”。
3 基本规定
3.1 建筑抗震设防分类和设防标准
3.1.1 抗震设防的所有建筑应按现行国家标准《建筑工程抗震设防分类标准》GB 50223确定其抗震设防类别及其抗震设防标准。 ( 自2022年1月1日起废止该条,详见新规 《建筑与市政工程抗震通用规范》GB 55002-2021)
条文说明
3.1.1 根据我国的实际情况——经济实力有了较大的提高,但仍属于发展中国家的水平,提出适当的抗震设防标准,既能合理使用建设投资,又能达到抗震安全的要求。
89规范、2001规范关于建筑抗震设防分类和设防标准的规定,已被国家标准《建筑工程抗震设防分类标准》GB 50223所替代。按照国家标准编写的规定,本次修订的条文直接引用而不重复该国家标准的规定。
按照《建筑工程抗震设防分类标准》GB 50223-2008,各个设防分类建筑的名称有所变更,但明确甲类、乙类、丙类、丁类是分别作为特殊设防类、重点设防类、标准设防类、适度设防类的简称。因此,在本规范以及建筑结构设计文件中,继续采用简称。
《建筑工程抗震设防分类标准》GB 50223-2008进一步突出了设防类别划分是侧重于使用功能和灾害后果的区分,并更强调体现对人员安全的保障。
自1989年《建筑抗震设计规范》GBJ 11-89发布以来,按技术标准设计的所有房屋建筑,均应达到“多遇地震不坏、设防地震可修和罕遇地震不倒”的设防目标。这里,多遇地震、设防地震和罕遇地震,一般按地震基本烈度区划或地震动参数区划对当地的规定采用,分别为50年超越概率63%、10%和2%~3%的地震,或重现期分别为50年、475年和1600年~2400年的地震。
针对我国地震区划图所规定的烈度有很大不确定性的事实,在建设行政主管部门领导下,89规范明确规定了“小震不坏、中震可修、大震不倒”的抗震设防目标。这个目标可保障“房屋建筑在遭遇设防地震影响时不致有灾难性后果,在遭遇罕遇地震影响时不致倒塌”。2008年汶川地震表明,严格按照现行抗震规范进行设计、施工和使用的房屋建筑,达到了规范规定的设防目标,在遭遇到高于地震区划图一度的地震作用下,没有出现倒塌破坏——实现了生命安全的目标。因此,《建筑工程抗震设防分类标准》GB 50223-2008继续规定,绝大部分建筑均可划为标准设防类(简称丙类),将使用上需要提高防震减灾能力的房屋建筑控制在很小的范围。
在需要提高设防标准的建筑中,乙类需按提高一度的要求加强其抗震措施——增加关键部位的投资即可达到提高安全性的目标;甲类在提高一度的要求加强其抗震措施的基础上,“地震作用应按高于本地区设防烈度计算,其值应按批准的地震安全性评价结果确定”。地震安全性评价通常包括给定年限内不同超越概率的地震动参数,应由具备资质的单位按相关标准执行并对其评价报告的质量负责。这意味着,地震作用计算提高的幅度应经专门研究,并需要按规定的权限审批。条件许可时,专门研究还可包括基于建筑地震破坏损失和投资关系的优化原则确定的方法。
《建筑结构可靠度设计统一标准》GB 50068,提出了设计使用年限的原则规定。显然,抗震设防的甲、乙、丙、丁分类,也可体现设计使用年限的不同。
还需说明,《建筑工程抗震设防分类标准》GB 50223规定乙类提高抗震措施而不要求提高地震作用,同一些国家的规范只提高地震作用(10%~30%)而不提高抗震措施,在设防概念上有所不同:提高抗震措施,着眼于把财力、物力用在增加结构薄弱部位的抗震能力上,是经济而有效的方法,适合于我国经济有较大发展而人均经济水平仍属于发展中国家的情况;只提高地震作用,则结构的各构件均全面增加材料,投资增加的效果不如前者。
3.1.2 抗震设防烈度为6度时,除本规范有具体规定外,对乙、丙、丁类的建筑可不进行地震作用计算。
条文说明
3.1.2 鉴于6度设防的房屋建筑,其地震作用往往不属于结构设计的控制作用,为减少设计计算的工作量,本规范明确,6度设防时,除有明确规定的情况,其抗震设计可仅进行抗震措施的设计而不进行地震作用计算。
3.1.3对按规定需编制抗震设防专篇的建筑,应在初步设计阶段编制抗震设防专篇,并在设计文件中明确。
条文说明
3.1.3本条为新增条文。按《建设工程抗震管理条例》第十二条要求,对位于高烈度设防地区、地震重点监视防御区的重大建设工程、地震时可能发生严重次生灾害的建设工程、地震时使用功能不能中断或者需要尽快恢复的建设工程,应按规定编制抗震设防专篇,并将其作为设计文件的有机组成部分。
自邢台地震以来,我国抗震防灾工作取得了长足的进步,按照规范正规设计、正规施工、正常使用的各类建筑工程,达到了 预期的设防目标,在遭遇不超过预期罕遇地震影响时未发生倒塌破坏,有效地保护了人民生命财产安全。但是近年来随着建筑高度越来越高,建筑形体及平面布置日趋复杂,对抗震安全特别不 利;同时,根据第五代地震动参数区划图,全国基本烈度均为6度及以上。所有这些因素都使建筑抗震设计面临新的挑战,亟需对涉及建筑抗震性能的相关措施、实施方案的系统性、合理性、有效性进行专项分析论证,以最大程度保证建筑抗震安全。推进和实施建设工程抗震设防专篇制度可以在建设初期对重大建设工程、地震时可能发生严重次生灾害的工程、地震时使用功能不能中断或者需要尽快恢复的工程等,进行有效的抗震性能评估,为工程抗震设计的安全性、合理性、可行性提供有效的技术支撑;同时抗震设防专篇制度适用于建设工程的全过程,对建设方、设计方、施工方、监理方都起到制度性的约束作用,对建设工程抗 震安全起到积极的保障作用。
通常,按照《抗震条例》的规定,特定区域的三类建设工程,应在初步设计阶段编制抗震设防专篇。对于实践中某些没有安排初步设计阶段的建设工程,可根据实际情况,在施工图设计之前的报建审批方案或可行性研究等阶段完成抗震设防专篇编制工作。
一般情况下,建设工程的抗震设防专篇应包括工程基本情况、设防依据和标准、场地与地基基础的地震影响评价、建筑方案和构配件的设防对策与措施、结构抗震设计概要、附属机电工程的设防对策与措施、施工与安装的特殊要求、使用与维护的专门要求等基本内容。
3.2 地震影响
3.2.1 建筑所在地区遭受的地震影响,应采用相应于抗震设防烈度的设计基本地震加速度和特征周期表征。
3.2.2 抗震设防烈度和设计基本地震加速度取值的对应关系,应符合表3.2.2的规定。设计基本地震加速度为0.15g和0.30g地区内的建筑,除本规范另有规定外,应分别按抗震设防烈度7度和8度的要求进行抗震设计。

3.2.3 地震影响的特征周期应根据建筑所在地的设计地震分组和场地类别确定。本规范的设计地震共分为三组,其特征周期应按本规范第5章的有关规定采用。
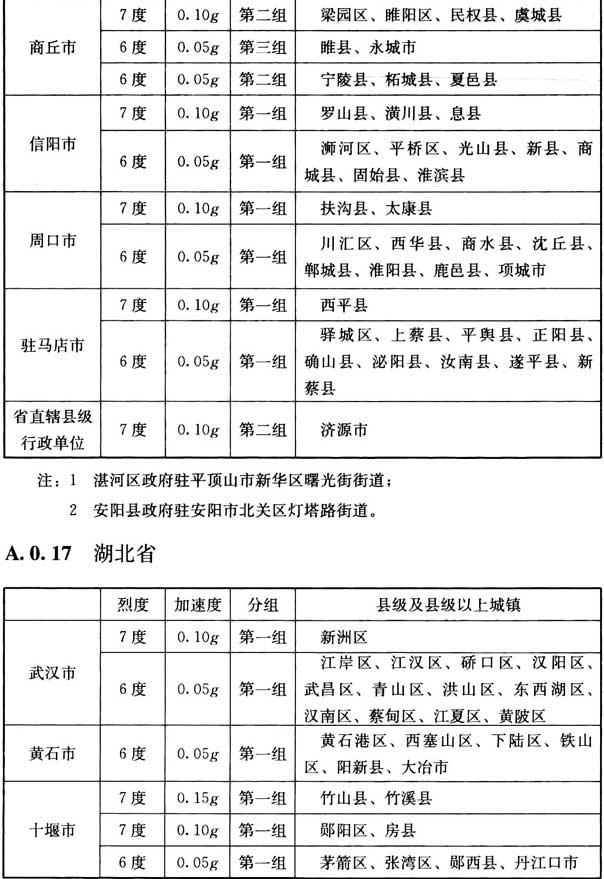
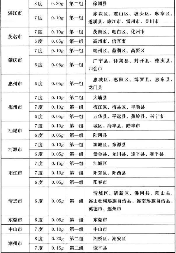
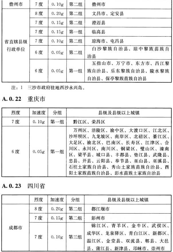
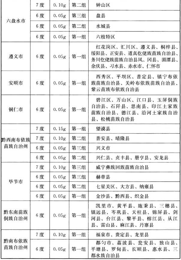
3.2.4 我国主要城镇(县级及县级以上城镇)中心地区的抗震设防烈度、设计基本地震加速度值和所属的设计地震分组,可按本规范附录A采用。
条文说明
多年来地震经验表明,在宏观烈度相似的情况下,处在大震级、远震中距下的柔性建筑,其震害要比中、小震级近震中距的情况重得多;理论分析也发现,震中距不同时反应谱频谱特性并不相同。抗震设计时,对同样场地条件、同样烈度的地震,按震源机制、震级大小和震中距远近区别对待是必要的,建筑所受到的地震影响,需要采用设计地震动的强度及设计反应谱的特征周期来表征。
作为一种简化,89规范主要籍助于当时的地震烈度区划,引入了设计近震和设计远震,后者可能遭遇近、远两种地震影响,设防烈度为9度时只考虑近震的地震影响;在水平地震作用计算时,设计近、远震用两组地震影响系数α曲线表达,按远震的曲线设计就已包含两种地震用不利情况。
2001规范明确引入了“设计基本地震加速度”和“设计特征周期”,与当时的中国地震动参数区划(中国地震动峰值加速度区划图A1和中国地震动反应谱特征周期区划图B1)相匹配。
“设计基本地震加速度”是根据建设部1992年7月3日颁发的建标[1992]419号《关于统一抗震设计规范地面运动加速度设计取值的通知》而做出的。通知中有如下规定:
术语名称:设计基本地震加速度值。
定义:50年设计基准期超越概率10%的地震加速度的设计取值。
取值:7度0.10g,8度0.20g,9度0.40g。
本规范表3.2.2所列的设计基本地震加速度与抗震设防烈度的对应关系即来源于上述文件。其取值与《中国地震动参数区划图》GB 18306-2015附录A所规定的“地震动峰值加速度”相当:即在0.10g和0.20g之间有一个0.15g的区域,0.20g和0.40g之间有一个0.30g的区域,在这二个区域内建筑的抗震设计要求,除另有具体规定外,分别同7度和8度,在本规范表3.2.2中用括号内数值表示。本规范表3.2.2中还引入了与6度相当的设计基本地震加速度值0.05g。
“设计特征周期”即设计所用的地震影响系数的特征周期(Tg),简称特征周期。89规范规定,其取值根据设计近、远震和场地类别来确定,我国绝大多数地区只考虑设计近震,需要考虑设计远震的地区很少(约占县级城镇的5%)。2001规范将89规范的设计近震、远震改称设计地震分组,可更好体现震级和震中距的影响,建筑工程的设计地震分为三组。根据规范编制保持其规定延续性的要求和房屋建筑抗震设防决策,2001规范的设计地震的分组在《中国地震动参数区划图》GB 18306-2001附录B的基础上略作调整。2010年修订对各地的设计地震分组作了较大的调整,使之与《中国地震动参数区划图》GB 18306-2001一致。此次局部修订继续保持这一原则,按照《中国地震动参数区划图》GB 18306-2015附录B的规定确定设计地震分组。
为便于设计单位使用,本规范在附录A给出了县级及县级以上城镇(按民政部编2015行政区划简册,包括地级市的市辖区)的中心地区(如城关地区)的抗震设防烈度、设计基本地震加速度和所属的设计地震分组。
3.3 场地和地基
3.3.1 选择建筑场地时,应根据工程需要和地震活动情况、工程地质和地震地质的有关资料,对抗震有利、一般、不利和危险地段做出综合评价。对不利地段,应提出避开要求;当无法避开时应采取有效的措施。对危险地段,严禁建造甲、乙类的建筑,不应建造丙类的建筑。 ( 自2022年1月1日起废止该条,详见新规 《建筑与市政工程抗震通用规范》GB 55002-2021)
条文说明
3.3.1 在抗震设计中,场地指具有相似的反应谱特征的房屋群体所在地,不仅仅是房屋基础下的地基土,其范围相当于厂区、居民点和自然村,在平坦地区面积一般不小于1km×1km。 地震造成建筑的破坏,除地震动直接引起结构破坏外,还有场地条件的原因,诸如:地震引起的地表错动与地裂,地基土的不均匀沉陷、滑坡和粉、砂土液化等。因此,选择有利于抗震的建筑场地,是减轻场地引起的地震灾害的第一道工序,抗震设防区的建筑工程宜选择有利的地段,应避开不利的地段并不在危险的地段建设。针对汶川地震的教训,2008年局部修订强调:严禁在危险地段建造甲、乙类建筑。还需要注意,按全文强制的《住宅设计规范》GB 50096,严禁在危险地段建造住宅,必须严格执行。
场地地段的划分,是在选择建筑场地的勘察阶段进行的,要根据地震活动情况和工程地质资料进行综合评价。本规范第4.1.1条给出划分建筑场地有利、一般、不利和危险地段的依据。
3.3.2 建筑场地为Ⅰ类时,对甲、乙类的建筑应允许仍按本地区抗震设防烈度的要求采取抗震构造措施;对丙类的建筑应允许按本地区抗震设防烈度降低一度的要求采取抗震构造措施,但抗震设防烈度为6度时仍应按本地区抗震设防烈度的要求采取抗震构造措施。 ( 自2022年1月1日起废止该条,详见新规 《建筑与市政工程抗震通用规范》GB 55002-2021)
3.3.3 建筑场地为Ⅲ、Ⅳ类时,对设计基本地震加速度为0.15g和0.30g的地区,除本规范另有规定外,宜分别按抗震设防烈度8度(0.20g)和9度(0.40g)时各抗震设防类别建筑的要求采取抗震构造措施。
条文说明
3.3.2、3.3.3 抗震构造措施不同于抗震措施,二者的区别见本规范第2.1.10条和第2.1.11条。历次大地震的经验表明,同样或相近的建筑,建造于Ⅰ类场地时震害较轻,建造于Ⅲ、Ⅳ类场地震害较重。 本规范对Ⅰ类场地,仅降低抗震构造措施,不降低抗震措施中的其他要求,如按概念设计要求的内力调整措施。对于丁类建筑,其抗震措施已降低,不再重复降低。
对Ⅲ、Ⅳ类场地,除各章有具体规定外,仅提高抗震构造措施,不提高抗震措施中的其他要求,如按概念设计要求的内力调整措施。
3.3.4 地基和基础设计应符合下列要求:
1 同一结构单元的基础不宜设置在性质截然不同的地基上。
2 同一结构单元不宜部分采用天然地基部分采用桩基;当采用不同基础类型或基础埋深显著不同时,应根据地震时两部分地基基础的沉降差异,在基础、上部结构的相关部位采取相应措施。
3 地基为软弱黏性土、液化土、新近填土或严重不均匀土时,应根据地震时地基不均匀沉降和其他不利影响,采取相应的措施。
条文说明
3.3.4 对同一结构单元不宜部分采用天然地基部分采用桩基的要求,一般情况执行没有困难。在高层建筑中,当主楼和裙房不分缝的情况下难以满足时,需仔细分析不同地基在地震下变形的差异及上部结构各部分地震反应差异的影响,采取相应措施。
本次修订,对不同地基基础类型的要求,提出了较为明确的对策。
3.3.5 山区建筑的场地和地基基础应符合下列要求:
1 山区建筑场地勘察应有边坡稳定性评价和防治方案建议;应根据地质、地形条件和使用要求,因地制宜设置符合抗震设防要求的边坡工程。
2 边坡设计应符合现行国家标准《建筑边坡工程技术规范》GB 50330的要求;其稳定性验算时,有关的摩擦角应按设防烈度的高低相应修正。
3 边坡附近的建筑基础应进行抗震稳定性设计。建筑基础与土质、强风化岩质边坡的边缘应留有足够的距离,其值应根据设防烈度的高低确定,并采取措施避免地震时地基基础破坏。
条文说明
3.3.5 本条系在2008年局部修订时增加的,针对山区房屋选址和地基基础设计,提出明确的抗震要求。需注意:
1 有关山区建筑距边坡边缘的距离,参照《建筑地基基础设计规范》GB 50007-2002第5.4.1、第5.4.2条计算时,其边坡坡角需按地震烈度的高低修正——减去地震角,滑动力矩需计入水平地震和竖向地震产生的效应。
2 挡土结构抗震设计稳定验算时有关摩擦角的修正,指地震主动土压力按库伦理论计算时:土的重度除以地震角的余弦,填土的内摩擦角减去地震角,土对墙背的摩擦角增加地震角。
地震角的范围取1.5°~10°,取决于地下水位以上和以下,以及设防烈度的高低。可参见《建筑抗震鉴定标准》GB 50023-2009第4.2.9条。
3.4 建筑形体及其构件布置的规则性
3.4.1 建筑设计应根据抗震概念设计的要求明确建筑形体的规则性。不规则的建筑应按规定采取加强措施;特别不规则的建筑应进行专门研究和论证,采取特别的加强措施;严重不规则的建筑不应采用。
注:形体指建筑平面形状和立面、竖向剖面的变化。 ( 自2022年1月1日起废止该条,详见新规 《建筑与市政工程抗震通用规范》GB 55002-2021)
条文说明
3.4. 1 合理的建筑形体和布置(configuration)在抗震设计中是头等重要的。提倡平、立面简单对称。因为震害表明,简单、对称的建筑在地震时较不容易破坏。而且道理也很清楚,简单、对称的结构容易估计其地震时的反应,容易采取抗震构造措施和进行细部处理。“规则”包含了对建筑的平、立面外形尺寸,抗侧力构件布置、质量分布,直至承载力分布等诸多因素的综合要求。“规则”的具体界限,随着结构类型的不同而异,需要建筑师和结构工程师互相配合,才能设计出抗震性能良好的建筑。
本条主要对建筑师设计的建筑方案的规则性提出了强制性要求。在2008年局部修订时,为提高建筑设计和结构设计的协调性,明确规定:首先,建筑形体和布置应依据抗震概念设计原则划分为规则与不规则两大类;对于具有不规则的建筑,针对其不规程的具体情况,明确提出不同的要求;强调应避免采用严重不规则的设计方案。
概念设计的定义见本规范第2.1.9条。规则性是其中的一个重要概念。
规则的建筑方案体现在体型(平面和立面的形状)简单,抗侧力体系的刚度和承载力上下变化连续、均匀,平面布置基本对称。即在平立面、竖向剖面或抗侧力体系上,没有明显的、实质的不连续(突变)。
规则与不规则的区分,本规范在第3.4.3条规定了一些定量的参考界限,但实际上引起建筑不规则的因素还有很多,特别是复杂的建筑体型,很难一一用若干简化的定量指标来划分不规则程度并规定限制范围,但是,有经验的、有抗震知识素养的建筑设计人员,应该对所设计的建筑的抗震性能有所估计,要区分不规则、特别不规则和严重不规则等不规则程度,避免采用抗震性能差的严重不规则的设计方案。
三种不规则程度的主要划分方法如下:
不规则,指的是超过表3.4.3—1和表3.4.3—2中一项及以上的不规则指标;
特别不规则,指具有较明显的抗震薄弱部位,可能引起不良后果者,其参考界限可参见《超限高层建筑工程抗震设防专项审查技术要点》,通常有三类:其一,同时具有本规范表3.4.3所列六个主要不规则类型的三个或三个以上;其二,具有表1所列的一项不规则;其三,具有本规范表3.4.3所列两个方面的基本不规则且其中有一项接近表1的不规则指标。
对于特别不规则的建筑方案,只要不属于严重不规则,结构设计应采取比本规范第3.4.4条等的要求更加有效的措施。
严重不规则,指的是形体复杂,多项不规则指标超过本规范3.4.4条上限值或某一项大大超过规定值,具有现有技术和经济条件不能克服的严重的抗震薄弱环节,可能导致地震破坏的严重后果者。
3.4.2 建筑设计应重视其平面、立面和竖向剖面的规则性对抗震性能及经济合理性的影响,宜择优选用规则的形体,其抗侧力构件的平面布置宜规则对称、侧向刚度沿竖向宜均匀变化、竖向抗侧力构件的截面尺寸和材料强度宜自下而上逐渐减小、避免侧向刚度和承载力突变。
不规则建筑的抗震设计应符合本规范第3.4.4条的有关规定。
条文说明
3.4.2 本条要求建筑设计需特别重视其平、立、剖面及构件布置不规则对抗震性能的影响。
3.4.3 建筑形体及其构件布置的平面、竖向不规则性,应按下列要求划分:
1 混凝土房屋、钢结构房屋和钢-混凝土混合结构房屋存在表3.4.3-1所列举的某项平面不规则类型或表3.4.3-2所列举的某项竖向不规则类型以及类似的不规则类型,应属于不规则的建筑。

2 砌体房屋、单层工业厂房、单层空旷房屋、大跨屋盖建筑和地下建筑的平面和竖向不规则性的划分,应符合本规范有关章节的规定。
3 当存在多项不规则或某项不规则超过规定的参考指标较多时,应属于特别不规则的建筑。
3.4.4 建筑形体及其构件布置不规则时,应按下列要求进行地震作用计算和内力调整,并应对薄弱部位采取有效的抗震构造措施:
1 平面不规则而竖向规则的建筑,应采用空间结构计算模型,并应符合下列要求:
1)扭转不规则时,应计入扭转影响,且在具有偶然偏心的规定水平力作用下,楼层两端抗侧力构件弹性水平位移或层间位移的最大值与平均值的比值不宜大于1.5,当最大层间位移远小于规范限值时,可适当放宽;
2)凹凸不规则或楼板局部不连续时,应采用符合楼板平面内实际刚度变化的计算模型;高烈度或不规则程度较大时,宜计入楼板局部变形的影响;
3)平面不对称且凹凸不规则或局部不连续,可根据实际情况分块计算扭转位移比,对扭转较大的部位应采用局部的内力增大系数。
2 平面规则而竖向不规则的建筑,应采用空间结构计算模型,刚度小的楼层的地震剪力应乘以不小于1.15的增大系数,其薄弱层应按本规范有关规定进行弹塑性变形分析,并应符合下列要求:
1)竖向抗侧力构件不连续时,该构件传递给水平转换构件的地震内力应根据烈度高低和水平转换构件的类型、受力情况、几何尺寸等,乘以1.25~2.0的增大系数;
2)侧向刚度不规则时,相邻层的侧向刚度比应依据其结构类型符合本规范相关章节的规定;
3)楼层承载力突变时,薄弱层抗侧力结构的受剪承载力不应小于相邻上一楼层的65%。
3 平面不规则且竖向不规则的建筑,应根据不规则类型的数量和程度,有针对性地采取不低于本条1、2款要求的各项抗震措施。特别不规则的建筑,应经专门研究,采取更有效的加强措施或对薄弱部位采用相应的抗震性能化设计方法。
条文说明
3.4.3、3.4.4 2001规范考虑了当时89规范和91钢筋混凝土高层建筑规程的相应规定,并参考了美国UBC(1997)、日本BSL(1987年版)和欧洲规范8。上述五本规范对不规则结构的条文规定有以下三种方式:
1 规定了规则结构的准则,不规定不规则结构的相应设计规定,如89规范和91钢筋混凝土高层建筑规程。
2 对结构的不规则性作出限制,如日本BSL。
3 对规则与不规则结构作出了定量的划分,并规定了相应的设计计算要求,如美国UBC及欧洲规范8。
本规范基本上采用了第3种方式,但对容易避免或危害性较小的不规则问题未作规定。
对于结构扭转不规则,按刚性楼盖计算,当最大层间位移与其平均值的比值为1.2时,相当于一端为1.0,另一端为1.5;当比值1.5时,相当于一端为1.0,另一端为3。美国FEMA的NEHRP规定,限1.4。
对于较大错层,如超过梁高的错层,需按楼板开洞对待;当错层面积大于该层总面积30%时,则属于楼板局部不连续。楼板典型宽度按楼板外形的基本宽度计算。
上层缩进尺寸超过相邻下层对应尺寸的1/4,属于用尺寸衡量的刚度不规则的范畴。侧向刚度可取地震作用下的层剪力与层间位移之比值计算,刚度突变上限(如框支层)在有关章节规定。
除了本规范表3.4.3所列的不规则,UBC的规定中,对平面不规则尚有抗侧力构件上下错位、与主轴斜交或不对称布置,对竖向不规则尚有相邻楼层质量比大于150%或竖向抗侧力构件在平面内收进的尺寸大于构件的长度(如棋盘式布置)等。
图1~图6为典型示例,以便理解本规范表3.4.3-1和表3.4.3-2中所列的不规则类型。


本规范第3.4.3条第1款的规定,主要针对钢筋混凝土和钢结构的多层和高层建筑所作的不规则性的限制,对砌体结构多层房屋和单层工业厂房的不规则性应符合本规范有关章节的专门规定。
2010年本次修订的变化如下:
1 明确规定本规范表3.4.3所列的不规则类型是主要的而不是全部不规则,所列的指标是概念设计的参考性数值而不是严格的数值,使用时需要综合判断。明确规定按不规则类型的数量和程度,采取不同的抗震措施。不规则的程度和设计的上限控制,可根据设防烈度的高低适当调整。对于特别不规则的建筑结构要求专门研究和论证。
2 对于扭转不规则计算,需注意以下几点:
1)按国外的有关规定,楼盖周边两端位移不超过平均位移2倍的情况称为刚性楼盖,超过2倍则属于柔性楼盖。因此,这种“刚性楼盖”,并不是刚度无限大。计算扭转位移比时,楼盖刚度可按实际情况确定而不限于刚度无限大假定。
2)扭转位移比计算时,楼层的位移不采用各振型位移的CQC组合计算,按国外的规定明确改为取“给定水平力”计算,可避免有时CQC计算的最大位移出现在楼盖边缘的中部而不在角部,而且对无限刚楼盖、分块无限刚楼盖和弹性楼盖均可采用相同的计算方法处理;该水平力一般采用振型组合后的楼层地震剪力换算的水平作用力,并考虑偶然偏心;结构楼层位移和层间位移控制值验算时,仍采用CQC的效应组合。
3)偶然偏心大小的取值,除采用该方向最大尺寸的5%外,也可考虑具体的平面形状和抗侧力构件的布置调整。
4)扭转不规则的判断,还可依据楼层质量中心和刚度中心的距离用偏心率的大小作为参考方法。
3 对于侧向刚度的不规则,建议根据结构特点采用合适的方法,包括楼层标高处产生单位位移所需要的水平力、结构层间位移角的变化等进行综合分析。
4 为避免水平转换构件在大震下失效,不连续的竖向构件传递到转换构件的小震地震内力应加大,借鉴美国IBC规定取2.5倍(分项系数为1.0),对增大系数作了调整。
本次局部修订,主要进行文字性修改,以进一步明确扭转位移比的含义。
3.4.5 体型复杂、平立面不规则的建筑,应根据不规则程度、地基基础条件和技术经济等因素的比较分析,确定是否设置防震缝,并分别符合下列要求:
1 当不设置防震缝时,应采用符合实际的计算模型,分析判明其应力集中、变形集中或地震扭转效应等导致的易损部位,采取相应的加强措施。
2 当在适当部位设置防震缝时,宜形成多个较规则的抗侧力结构单元。防震缝应根据抗震设防烈度、结构材料种类、结构类型、结构单元的高度和高差以及可能的地震扭转效应的情况,留有足够的宽度,其两侧的上部结构应完全分开。
3 当设置伸缩缝和沉降缝时,其宽度应符合防震缝的要求。
条文说明
3.4.5 体型复杂的建筑并不一概提倡设置防震缝。由于是否设置防震缝各有利弊,历来有不同的观点,总体倾向是:
1 可设缝、可不设缝时,不设缝。设置防震缝可使结构抗震分析模型较为简单,容易估计其地震作用和采取抗震措施,但需考虑扭转地震效应,并按本规范各章的规定确定缝宽,使防震缝两侧在预期的地震(如中震)下不发生碰撞或减轻碰撞引起的局部损坏。
2 当不设置防震缝时,结构分析模型复杂,连接处局部应力集中需要加强,而且需仔细估计地震扭转效应等可能导致的不利影响。
3.5 结构体系
3.5.1 结构体系应根据建筑的抗震设防类别、抗震设防烈度、建筑高度、场地条件、地基、结构材料和施工等因素,经技术、经济和使用条件综合比较确定。
条文说明
3.5.1 抗震结构体系要通过综合分析,采用合理而经济的结构类型。结构的地震反应同场地的频谱特性有密切关系,场地的地面运动特性又同地震震源机制、震级大小、震中的远近有关;建筑的重要性、装修的水准对结构的侧向变形大小有所限制,从而对结构选型提出要求;结构的选型又受结构材料和施工条件的制约以及经济条件的许可等。这是一个综合的技术经济问题,应周密加以考虑。
3.5.2 结构体系应符合下列各项要求:
1 应具有明确的计算简图和合理的地震作用传递途径。
2 应避免因部分结构或构件破坏而导致整个结构丧失抗震能力或对重力荷载的承载能力。
3 应具备必要的抗震承载力,良好的变形能力和消耗地震能量的能力。
4 对可能出现的薄弱部位,应采取措施提高其抗震能力。 ( 自2022年1月1日起废止该条,详见新规 《建筑与市政工程抗震通用规范》GB 55002-2021)
3.5.3 结构体系尚宜符合下列各项要求:
1 宜有多道抗震防线。
2 宜具有合理的刚度和承载力分布,避免因局部削弱或突变形成薄弱部位,产生过大的应力集中或塑性变形集中。
3 结构在两个主轴方向的动力特性宜相近。
条文说明
3.5.2、3.5.3 抗震结构体系要求受力明确、传力途径合理且传力路线不间断,使结构的抗震分析更符合结构在地震时的实际表现,对提高结构的抗震性能十分有利,是结构选型与布置结构抗侧力体系时首先考虑的因素之一。2001规范将结构体系的要求分为强制性和非强制性两类。第3.5.2条是属于强制性要求的内容。 多道防线对于结构在强震下的安全是很重要的。所谓多道防线的概念,通常指的是:
第一,整个抗震结构体系由若干个延性较好的分体系组成,并由延性较好的结构构件连接起来协同工作。如框架-抗震墙体系是由延性框架和抗震墙二个系统组成;双肢或多肢抗震墙体系由若干个单肢墙分系统组成;框架-支撑框架体系由延性框架和支撑框架二个系统组成;框架-筒体体系由延性框架和筒体二个系统组成。
第二,抗震结构体系具有最大可能数量的内部、外部赘余度,有意识地建立起一系列分布的塑性屈服区,以使结构能吸收和耗散大量的地震能量,一旦破坏也易于修复。设计计算时,需考虑部分构件出现塑性变形后的内力重分布,使各个分体系所承担的地震作用的总和大于不考虑塑性内力重分布时的数值。
本次修订,按征求意见的结果,多道防线仍作为非强制性要求保留在第3.5.3条,但能够设置多道防线的结构类型,在相关章节中予以明确规定。
抗震薄弱层(部位)的概念,也是抗震设计中的重要概念,包括:
1 结构在强烈地震下不存在强度安全储备,构件的实际承载力分析(而不是承载力设计值的分析)是判断薄弱层(部位)的基础;
2 要使楼层(部位)的实际承载力和设计计算的弹性受力之比在总体上保持一个相对均匀的变化,一旦楼层(或部位)的这个比例有突变时,会由于塑性内力重分布导致塑性变形的集中;
3 要防止在局部上加强而忽视整个结构各部位刚度、强度的协调;
4 在抗震设计中有意识、有目的地控制薄弱层(部位),使之有足够的变形能力又不使薄弱层发生转移,这是提高结构总体抗震性能的有效手段。
考虑到有些建筑结构,横向抗侧力构件(如墙体)很多而纵向很少,在强烈地震中往往由于纵向的破坏导致整体倒塌,2001规范增加了结构两个主轴方向的动力特性(周期和振型)相近的抗震概念。
3.5.4 结构构件应符合下列要求:
1 砌体结构应按规定设置钢筋混凝土圈梁和构造柱、芯柱,或采用约束砌体、配筋砌体等。
2 混凝土结构构件应控制截面尺寸和受力钢筋、箍筋的设置,防止剪切破坏先于弯曲破坏、混凝土的压溃先于钢筋的屈服、钢筋的锚固粘结破坏先于钢筋破坏。
3 预应力混凝土的构件,应配有足够的非预应力钢筋。
4 钢结构构件的尺寸应合理控制,避免局部失稳或整个构件失稳。
5 多、高层的混凝土楼、屋盖宜优先采用现浇混凝土板。当采用预制装配式混凝土楼、屋盖时,应从楼盖体系和构造上采取措施确保各预制板之间连接的整体性。
条文说明
3.5.4 本条对各种不同材料的结构构件提出了改善其变形能力的原则和途径:
1 无筋砌体本身是脆性材料,只能利用约束条件(圈梁、构造柱、组合柱等来分割、包围)使砌体发生裂缝后不致崩塌和散落,地震时不致丧失对重力荷载的承载能力。
2 钢筋混凝土构件抗震性能与砌体相比是比较好的,但若处理不当,也会造成不可修复的脆性破坏。这种破坏包括:混凝土压碎、构件剪切破坏、钢筋锚固部分拉脱(粘结破坏),应力求避免;混凝土结构构件的尺寸控制,包括轴压比、截面长宽比,墙体高厚比、宽厚比等,当墙厚偏薄时,也有自身稳定问题。
3 提出了对预应力混凝土结构构件的要求。
4 钢结构杆件的压屈破坏(杆件失去稳定)或局部失稳也是一种脆性破坏,应予以防止。
5 针对预制混凝土板在强烈地震中容易脱落导致人员伤亡的震害,2008年局部修订增加了推荐采用现浇楼、屋盖,特别强调装配式楼、屋盖需加强整体性的基本要求。
3.5.5 结构各构件之间的连接,应符合下列要求:
1 构件节点的破坏,不应先于其连接的构件。
2 预埋件的锚固破坏,不应先于连接件。
3 装配式结构构件的连接,应能保证结构的整体性。
4 预应力混凝土构件的预应力钢筋,宜在节点核心区以外锚固。
条文说明
3.5.5 本条指出了主体结构构件之间的连接应遵守的原则:通过连接的承载力来发挥各构件的承载力、变形能力,从而获得整个结构良好的抗震能力。
本条还提出了对预应力混凝土及钢结构构件的连接要求。
3.5.6 装配式单层厂房的各种抗震支撑系统,应保证地震时厂房的整体性和稳定性。
条文说明
3.5.6 本条支撑系统指屋盖支撑。支撑系统的不完善,往往导致屋盖系统失稳倒塌,使厂房发生灾难性的震害,因此在支撑系统布置上应特别注意保证屋盖系统的整体稳定性。
3.6 结构分析
3.6.1 除本规范特别规定者外,建筑结构应进行多遇地震作用下的内力和变形分析,此时,可假定结构与构件处于弹性工作状态,内力和变形分析可采用线性静力方法或线性动力方法。
条文说明
3.6.1 由于地震动的不确定性、地震的破坏作用、结构地震破坏机理的复杂性,以及结构计算模型的各种假定与实际情况的差异,迄今为止,依据所规定的地震作用进行结构抗震验算,不论计算理论和工具如何发展,计算怎样严格,计算的结果总还是一种比较粗略的估计,过分地追求数值上的精确是不必要的;然而,从工程的震害看,这样的抗震验算是有成效的,不可轻视。因此,本规范自1974年第一版以来,对抗震计算着重于把方法放在比较合理的基础上,不拘泥于细节,不追求过高的计算精度,力求简单易行,以线性的计算分析方法为基本方法,并反复强调按概念设计进行各种调整。本节列出一些原则性规定,继续保持和体现上述精神。
多遇地震作用下的内力和变形分析是本规范对结构地震反应、截面承载力验算和变形验算最基本的要求。按本规范第1.0.1条的规定,建筑物当遭受低于本地区抗震设防烈度的多遇地震影响时,主体结构不受损坏或不需修理可继续使用,与此相应,结构在多遇地震作用下的反应分析的方法,截面抗震验算(按照现行国家标准《建筑结构可靠度设计统一标准》GB 50068的基本要求),以及层间弹性位移的验算,都是以线弹性理论为基础,因此,本条规定,当建筑结构进行多遇地震作用下的内力和变形分析时,可假定结构与构件处于弹性工作状态。
3.6.2 不规则且具有明显薄弱部位可能导致重大地震破坏的建筑结构,应按本规范有关规定进行罕遇地震作用下的弹塑性变形分析。此时,可根据结构特点采用静力弹塑性分析或弹塑性时程分析方法。
当本规范有具体规定时,尚可采用简化方法计算结构的弹塑性变形。
条文说明
3.6.2 按本规范第1.0.1条的规定:当建筑物遭受高于本地区抗震设防烈度的罕遇地震影响时,不致倒塌或发生危及生命的严重破坏,这也是本规范的基本要求。特别是建筑物的体型和抗侧力系统复杂时,将在结构的薄弱部位发生应力集中和弹塑性变形集中,严重时会导致重大的破坏甚至有倒塌的危险。因此本规范提出了检验结构抗震薄弱部位采用弹塑性(即非线性)分析方法的要求。
考虑到非线性分析的难度较大,规范只限于对不规则并具有明显薄部位可能导致重大地震破坏,特别是有严重的变形集中可能导致地震倒塌的结构,应按本规范第5章具体规定进行罕遇地震作用下的弹塑性变形分析。
本规范推荐了两种非线性分析方法:静力的非线性分析(推覆分析)和动力的非线性分析(弹塑性时程分析)。
静力的非线性分析是:沿结构高度施加按一定形式分布的模拟地震作用的等效侧力,并从小到大逐步增加侧力的强度,使结构由弹性工作状态逐步进入弹塑性工作状态,最终达到并超过规定的弹塑性位移。这是目前较为实用的简化的弹塑性分析技术,比动力非线性分析节省计算工作量,但需要注意,静力非线性分析有一定的局限性和适用性,其计算结果需要工程经验判断。
动力非线性分析,即弹塑性时程分析,是较为严格的分析方法,需要较好的计算机软件和很好的工程经验判断才能得到有用的结果,是难度较大的一种方法。规范还允许采用简化的弹塑性分析技术,如本规范第5章规定的钢筋混凝土框架等的弹塑性分析简化方法。
3.6.3 当结构在地震作用下的重力附加弯矩大于初始弯矩的10%时,应计入重力二阶效应的影响。
注:重力附加弯矩指任一楼层以上全部重力荷载与该楼层地震平均层间位移的乘积;初始弯矩指该楼层地震剪力与楼层层高的乘积。
条文说明
3.6.3 本条规定,框架结构和框架-抗震墙(支撑)结构在重力附加弯矩Ma与初始弯矩M0之比符合下式条件下,应考虑几何非线性,即重力二阶效应的影响。

上式规定是考虑重力二阶效应影响的下限,其上限则受弹性层间位移角限值控制。对混凝土结构,弹性位移角限值较小,上述稳定系数一般均在0.1以下,可不考虑弹性阶段重力二阶效应影响。
当在弹性分析时,作为简化方法,二阶效应的内力增大系数可取1/(1—θ)。
当在弹塑性分析时,宜采用考虑所有受轴向力的结构和构件的几何刚度的计算机程序进行重力二阶效应分析,亦可采用其他简化分析方法。
混凝土柱考虑多遇地震作用产生的重力二阶效应的内力时,不应与混凝土规范承载力计算时考虑的重力二阶效应重复。
砌体结构和混凝土墙结构,通常不需要考虑重力二阶效应。
3.6.4 结构抗震分析时,应按照楼、屋盖的平面形状和平面内变形情况确定为刚性、分块刚性、半刚性、局部弹性和柔性等的横隔板,再按抗侧力系统的布置确定抗侧力构件间的共同工作并进行各构件间的地震内力分析。
条文说明
3.6.4 刚性、半刚性、柔性横隔板分别指在平面内不考虑变形、考虑变形、不考虑刚度的楼、屋盖。
3.6.5 质量和侧向刚度分布接近对称且楼、屋盖可视为刚性横隔板的结构,以及本规范有关章节有具体规定的结构,可采用平面结构模型进行抗震分析。其他情况,应采用空间结构模型进行抗震分析。
3.6.6 利用计算机进行结构抗震分析,应符合下列要求:
1 计算模型的建立、必要的简化计算与处理,应符合结构的实际工作状况,计算中应考虑楼梯构件的影响。
2 计算软件的技术条件应符合本规范及有关标准的规定,并应阐明其特殊处理的内容和依据。
3 复杂结构在多遇地震作用下的内力和变形分析时,应采用不少于两个合适的不同力学模型,并对其计算结果进行分析比较。
4 所有计算机计算结果,应经分析判断确认其合理、有效后方可用于工程设计。
条文说明
3.6.6 本条规定主要依据《建筑工程设计文件编制深度规定》,要求使用计算机进行结构抗震分析时,应对软件的功能有切实的了解,计算模型的选取必须符合结构的实际工作情况,计算软件的技术条件应符合本规范及有关标准的规定,设计时对所有计算结果应进行判别,确认其合理有效后方可在设计中应用。
2008年局部修订,注意到地震中楼梯的梯板具有斜撑的受力状态,增加了楼梯构件的计算要求:针对具体结构的不同,“考虑”的结果,楼梯构件的可能影响很大或不大,然后区别对待,楼梯构件自身应计算抗震,但并不要求一律参与整体结构的计算。
复杂结构指计算的力学模型十分复杂、难以找到完全符合实际工作状态的理想模型,只能依据各个软件自身的特点在力学模型上分别作某些程度不同的简化后才能运用该软件进行计算的结构。例如,多塔类结构,其计算模型可以是底部一个塔通过水平刚臂分成上部若干个不落地分塔的分叉结构,也可以用多个落地塔通过底部的低塔连成整个结构,还可以将底部按高塔分区分别归入相应的高塔中再按多个高塔进行联合计算,等等。因此本规范对这类复杂结构要求用多个相对恰当、合适的力学模型而不是截然不同不合理的模型进行比较计算。复杂结构应是计算模型复杂的结构,不同的力学模型还应属于不同的计算机程序。
3.7 非结构构件
条文说明
非结构构件包括建筑非结构构件和建筑附属机电设备的支架等。建筑非结构构件在地震中的破坏允许大于结构构件,其抗震设防目标要低于本规范第1.0.1条的规定。非结构构件的地震破坏会影响安全和使用功能,需引起重视,应进行抗震设计。
建筑非结构构件一般指下列三类:①附属结构构件,如:女儿墙、高低跨封墙、雨篷等;②装饰物,如:贴面、顶棚、悬吊重物等;③围护墙和隔墙。处理好非结构构件和主体结构的关系,可防止附加灾害,减少损失。在第3.7.3条所列的非结构构件主要指在人流出入口、通道及重要设备附近的附属结构构件,其破坏往往伤人或砸坏设备,因此要求加强与主体结构的可靠锚固,在其他位置可以放宽要求。2008年局部修订时,明确增加作为疏散通道的楼梯间墙体的抗震安全性要求,提高对生命的保护。
砌体填充墙与框架或单层厂房柱的连接,影响整个结构的动力性能和抗震能力。两者之间的连接处理不同时,影响也不同。建议两者之间采用柔性连接或彼此脱开,可只考虑填充墙的重量而不计其刚度和强度的影响。砌体填充墙的不合理设置,例如:框架或厂房,柱间的填充墙不到顶,或房屋外墙在混凝土柱间局部高度砌墙,使这些柱子处于短柱状态,许多震害表明,这些短柱破坏很多,应予注意。
2008年局部修订时,第3.7.4条新增为强制性条文。强调围护墙、隔墙等非结构构件是否合理设置对主体结构的影响,以加强围护墙、隔墙等建筑非结构构件的抗震安全性,提高对生命的保护。
第3.7.6条提出了对幕墙、附属机械、电气设备系统支座和连接等需符合地震时对使用功能的要求。这里的使用要求,一般指设防地震。
3.7.1 非结构构件,包括建筑非结构构件和建筑附属机电设备,自身及其与结构主体的连接,应进行抗震设计。 ( 自2022年1月1日起废止该条,详见新规 《建筑与市政工程抗震通用规范》GB 55002-2021)
3.7.2 非结构构件的抗震设计,应由相关专业人员分别负责进行。
3.7.3 附着于楼、屋面结构上的非结构构件,以及楼梯间的非承重墙体,应与主体结构有可靠的连接或锚固,避免地震时倒塌伤人或砸坏重要设备。
3.7.4 框架结构的围护墙和隔墙,应估计其设置对结构抗震的不利影响,避免不合理设置而导致主体结构的破坏。 ( 自2022年1月1日起废止该条,详见新规 《建筑与市政工程抗震通用规范》GB 55002-2021)
3.7.5 幕墙、装饰贴面与主体结构应有可靠连接,避免地震时脱落伤人。
3.7.6 安装在建筑上的附属机械、电气设备系统的支座和连接,应符合地震时使用功能的要求,且不应导致相关部件的损坏。
3.8 隔震与消能减震设计
3.8.1 隔震与消能减震设计,可用于对抗震安全性和使用功能有较高要求或专门要求的建筑。
条文说明
3.8.1 建筑结构采用隔震与消能减震设计是一种有效地减轻地震灾害的技术。
本次修订,取消了2001规范“主要用于高烈度设防”的规定。强调了这种技术在提高结构抗震性能上具有优势,可适用于对使用功能有较高或专门要求的建筑,即用于投资方愿意通过适当增加投资来提高抗震安全要求的建筑。
3.8.2 采用隔震或消能减震设计的建筑,当遭遇到本地区的多遇地震影响、设防地震影响和罕遇地震影响时,可按高于本规范第1.0.1条的基本设防目标进行设计。
条文说明
3.8.2 本条对建筑结构隔震设计和消能减震设计的设防目标提出了原则要求。采用隔震和消能减震设计方案,具有可能满足提高抗震性能要求的优势,故推荐其按较高的设防目标进行设计。
按本规范12章规定进行隔震设计,还不能做到在设防烈度下上部结构不受损坏或主体结构处于弹性工作阶段的要求,但与非隔震或非消能减震建筑相比,设防目标会有所提高,大体上是:当遭受多遇地震影响时,将基本不受损坏和影响使用功能;当遭受设防地震影响时,不需修理仍可继续使用;当遭受罕遇地震影响时,将不发生危及生命安全和丧失使用价值的破坏。
3.9 结构材料与施工
3.9.1 抗震结构对材料和施工质量的特别要求,应在设计文件上注明。 ( 自2022年1月1日起废止该条,详见新规 《建筑与市政工程抗震通用规范》GB 55002-2021)
条文说明
3.9.1 抗震结构在材料选用、施工程序特别是材料代用上有其特殊的要求,主要是指减少材料的脆性和贯彻原设计意图。
3.9.2 结构材料性能指标,应符合下列最低要求:
1 砌体结构材料应符合下列规定:
1)普通砖和多孔砖的强度等级不应低于MU10,其砌筑砂浆强度等级不应低于M5;
2)混凝土小型空心砌块的强度等级不应低于MU7.5,其砌筑砂浆强度等级不应低于Mb7.5。
2 混凝土结构材料应符合下列规定:
1)混凝土的强度等级,框支梁、框支柱及抗震等级为一 、二 级的框架梁、柱、节点核芯区,不应低于C30;构造柱、芯柱、圈梁及其他各类构件不应低于 C20 C25 ;
2)抗震等级为一、二、三级的框架和斜撑构件(含梯段),其纵向受力钢筋采用普通钢筋时,钢筋的抗拉强度实测值与屈服强度实测值的比值不应小于1.25;钢筋的屈服强度实测值与屈服强度标准值的比值不应大于1.3,且钢筋在最大拉力下的总伸长率实测值不应小于9%。
3 钢结构的钢材应符合下列规定:
1)钢材的屈服强度实测值与抗拉强度实测值的比值不应大于0.85;
2)钢材应有明显的屈服台阶,且伸长率不应小于20%;
3)钢材应有良好的焊接性和合格的冲击韧性。
3.9.3 结构材料性能指标,尚宜符合下列要求:
1 普通钢筋宜优先采用延性、韧性和焊接性较好的钢筋;普通钢筋的强度等级,纵向受力钢筋宜选用符合抗震性能指标的不低于HRB400级的热轧钢筋,也可采用符合抗震性能指标的HRB335级热轧钢筋;箍筋宜选用符合抗震性能指标的不低于HRB335级的热轧钢筋,也可选用HPB300级热轧钢筋。
注:钢筋的检验方法应符合现行国家标准《混凝土结构工程施工质量验收规范》GB 50204的规定。
2 混凝土结构的混凝土强度等级,抗震墙不宜超过C60,其他构件,9度时不宜超过C60,8度时不宜超过C70。
3 钢结构的钢材宜采用Q235等级B、C、D的碳素结构钢及Q345等级B、C、D、E的低合金高强度结构钢;当有可靠依据时,尚可采用其他钢种和钢号。
条文说明
3.9.2、3.9.3 本规范
标准 对结构材料的要求分为 强制性和非强制性 两种。
1 2010年修订时 本次修订 ,将烧结黏土砖改为各种砖,适用范围更宽些。
2 对钢筋混凝土结构中的混凝土强度等级有所限制,这是因为高强度混凝土具有脆性性质,且随强度等级提高而增加,在抗震设计中应考虑此因素,根据现有的试验研究和工程经验,现阶段混凝土墙体的强度等级不宜超过C60;其他构件,9度时不宜超过C60,8度时不宜超过C70。当耐久性有要求时,混凝土的最低强度等级,应遵守有关的规定。 此次局部修订,根据《建筑与市政工程抗震通用规范》GB 55002-2021、《混凝土结构通用规范》GB 55008-2021的相关规定,补充了抗震等级二级的框架梁、柱、节点核心区混凝土强度等级要求,提高了砌体结构中构造柱、芯柱、圈梁及其他各类构件的混凝土强度等级下限值。
3 2010年修订时 本次修订 ,对一、二、三级抗震等级的框架,规定其普通纵向受力钢筋的抗拉强度实测值与屈服强度实测值的比值不应小于1.25,这是为了保证当构件某个部位出现塑性铰以后,塑性铰处有足够的转动能力与耗能能力;同时还规定了屈服强度实测值与标准值的比值,否则本 规范 标准 为实现强柱弱梁、强剪弱弯所规定的内力调整将难以奏效。在2008年局部修订的基础上,要求框架梁、框架柱、框支梁、框支柱、板柱-抗震墙的柱,以及伸臂桁架的斜撑、楼梯的梯段等,纵向钢筋均应有足够的延性及钢筋伸长率的要求,是控制钢筋延性的重要性能指标。其取值依据产品标准《钢筋混凝土用钢 第2部分:热轧带肋钢筋》GB1499.2-2007规定的钢筋抗震性能指标提出,凡钢筋产品标准中带E编号的钢筋,均属于符合抗震性能指标。本条的规定,是正规建筑用钢生产厂家的一般热轧钢筋均能达到的性能指标。从发展趋势考虑,不再推荐箍筋采用HPB235级钢筋;当然,现有生产的HPB235级钢筋仍可继续作为箍筋使用。
4 钢结构中所用的钢材,应保证抗拉强度、屈服强度、冲击韧性合格及硫、磷和碳含量的限制值。对高层钢结构,按黑色冶金工业标准《高层建筑结构用钢板》YB 4104-2000的规定选用。抗拉强度是实际上决定结构安全储备的关键,伸长率反映钢材能承受残余变形量的程度及塑性变形能力,钢材的屈服强度不宜过高,同时要求有明显的屈服台阶,伸长率应大于20%,以保证构件具有足够的塑性变形能力,冲击韧性是抗震结构的要求。当采用国外钢材时,亦应符合我国国家标准的要求。结构钢材的性能指标,按钢材产品标准《建筑结构用钢板》GB/T 19879-2005规定的性能指标,将分子、分母对换,改为屈服强度与抗拉强度的比值。
5 国家产品标准《碳素结构钢》GB/T 700中,Q235钢分为A、B、C、D四个等级,其中A级钢不要求任何冲击试验值,并只在用户要求时才进行冷弯试验,且不保证焊接要求的含碳量,故不建议采用。国家产品标准《低合金高强度结构钢》GB/T 1591中,Q345钢分为A、B、C、D、E五个等级,其中A级钢不保证冲击韧性要求和延性性能的基本要求,故亦不建议采用。
3.9.4 在施工中,当需要以强度等级较高的钢筋替代原设计中的纵向受力钢筋时,应按照钢筋受拉承载力设计值相等的原则换算,并应满足最小配筋率要求。 ( 自2022年1月1日起废止该条,详见新规 《建筑与市政工程抗震通用规范》GB 55002-2021)
条文说明
3.9.4 混凝土结构施工中,往往因缺乏设计规定的钢筋型号(规格)而采用另外型号(规格)的钢筋代替,此时应注意替代后的纵向钢筋的总承载力设计值不应高于原设计的纵向钢筋总承载力设计值,以免造成薄弱部位的转移,以及构件在有影响的部位发生混凝土的脆性破坏(混凝土压碎、剪切破坏等)。
除按照上述等承载力原则换算外,还应满足最小配筋率和钢筋间距等构造要求,并应注意由于钢筋的强度和直径改变会影响正常使用阶段的挠度和裂缝宽度。
本条在2008年局部修订时提升为强制性条文,以加强对施工质量的监督和控制,实现预期的抗震设防目标。
3.9.5 采用焊接连接的钢结构,当接头的焊接拘束度较大、钢板厚度不小于40mm且承受沿板厚方向的拉力时,钢板厚度方向截面收缩率不应小于国家标准《厚度方向性能钢板》GB/T 5313关于Z15级规定的容许值。
条文说明
3.9.5 厚度较大的钢板在轧制过程中存在各向异性,由于在焊缝附近常形成约束,焊接时容易引起层状撕裂。国家产品标准《厚度方向性能钢板》GB/T 5313将厚度方向的断面收缩率分为Z15、Z25、Z35三个等级,并规定了试件取材方法和试件尺寸等要求。本条规定钢结构采用的钢材,当钢材板厚大于或等于40mm时,至少应符合Z15级规定的受拉试件截面收缩率。
3.9.6 钢筋混凝土构造柱和底部框架-抗震墙房屋中的砌体抗震墙,其施工应先砌墙后浇构造柱和框架梁柱。 ( 自2022年1月1日起废止该条,详见新规 《建筑与市政工程抗震通用规范》GB 55002-2021)
条文说明
3.9.6 为确保砌体抗震墙与构造柱、底层框架柱的连接,以提高抗侧力砌体墙的变形能力,要求施工时先砌墙后浇筑。 本条在2008年局部修订提升为强制性条文。以加强对施工质量的监督和控制,实现预期的抗震设防目标。
3.9.7 混凝土墙体、框架柱的水平施工缝,应采取措施加强混凝土的结合性能。对于抗震等级一级的墙体和转换层楼板与落地混凝土墙体的交接处,宜验算水平施工缝截面的受剪承载力。
条文说明
3.9.7 本条是新增的,将2001规范第6.2.14条对施工的要求移此。抗震墙的水平施工缝处,由于混凝土结合不良,可能形成抗震薄弱部位。故规定一级抗震墙要进行水平施工缝处的受剪承载力验算。验算依据试验资料,考虑穿过施工缝处的钢筋处于复合受力状态,其强度采用0.6的折减系数,并考虑轴向压力的摩擦作用和轴向拉力的不利影响,计算公式如下: 
3.10 建筑抗震性能化设计
3.10.1 当 建筑 结构采用 抗震性能化设计 时 ,应根据其抗震设防类别、设防烈度、场地条件、结构类型和不规则性,建筑 使用功能 和附属设施 的 功能 的 要求、投资 大小 规模 、震后 的 损失 、社会影响 和修复难易程度等,对选定的抗震性能目标 提出 进行 技术和经济可行性 综合 分析 和 与 论证。
条文说明
3.10.1 考虑当前技术和经济条件,慎重发展性能化目标设计方法,本条明确规定需要进行可行性论证。
性能化设计仍然是以现有的抗震科学水平和经济条件为前提的,一般需要综合考虑使用功能、设防烈度、结构的不规则程度和类型、结构发挥延性变形的能力、建筑和附属设施的功能要求
、造价、震后的各种损失及修复难度等等因素。不同的抗震设防类别,其性能设计要求也有所不同。
鉴于目前强烈地震下结构非线性分析方法的计算模型及参数的选用尚存在不少经验因素,缺少从强震记录、设计施工资料到实际震害的验证,对结构性能的判断难以十分准确,因此在性能目标选用中宜偏于安全一些。
对 确有 需要在 处于 发震断裂避让区域建造房屋, 以及在设防地震下需满足正常使用要求的建筑, 抗震性能化设计是可供选择的设计手段之一。
3.10.2 建筑 结构的 抗震性能化设计,应根据实际 工程 需要和可 能 行性 , 选定 具有 明确 针对性 :可分别选定针对整个结构、结构的局部部位或关键部位、结构的关键部件、重要构件、次要构件以及建筑构件和机电设备支座的性能目标。 的性能目标。建筑的性能目标,宜采用不同地震动水准下的建筑性能状态要求进行表征,包括对应于不同地震水准的结构和非结构的性能要求。
条文说明
3.10.2 建筑的抗震性能化设计,立足于承载力和变形能力的综合考虑,具有很强的灵活性和明确的
针对性 和灵活性 。针对具体工程的需要和可 行性 能 ,可以对整个结构,也可以对某些部位或关键构件,灵活运用各种措施达到预期的性能目标——着重提高抗震安全性或满足使用功能的专门要求。
例如,可以根据楼梯间作为“抗震安全岛”的要求,提出确保大震下能具有安全避难通道的具体目标和性能要求;可以针对特别不规则、复杂建筑结构的具体情况,对抗侧力结构的水平构件和竖向构件提出相应的性能目标,提高其整体或关键部位的抗震安全性;也可针对水平转换构件,为确保大震下自身及相关构件的安全而提出大震下的性能目标;地震时需要连续工作的机电设施,其相关部位的层间位移需满足规定层间位移限值的专门要求;其他情况,可对震后的残余变形提出满足设施检修后运行的位移要求,也可提出大震后可修复运行的位移要求。建筑构件采用与结构构件柔性连接,只要可靠拉结并留有足够的间隙,如玻璃幕墙与钢框之间预留变形缝隙,震害经验表明,幕墙在结构总体安全时可以满足大震后继续使用的要求。
3.10.3 建筑 结构的 抗震性能化设计应符合下列要求:
1 抗震性能化设计的建筑应按下列要求 选定地震动水准 。 ;
1) 对设计 使用 工作 年限50年的 结构 建筑 ,可选用本 规范 标准 的多遇地震、设防地震和罕遇地震的地震作用,其中,设防地震的加速度应按本 规范 标准 表3.2.2的设计基本地震加速度采用,设防地震的地震影响系数最大值,6度、7度(0.10g)、7度(0.15g)、8度(0.20g)、8度(0.30g)、9度 可 时 分别 采用 取 0.12、0.23、0.34、0.45、0.68和0.90 。 ;
2) 对设计 使用 工作 年限超过50年的 结构 建筑 ,宜 考虑 按 实际需要和可能,经专门研究后对地震作用作适当调整 。 ;
3) 对处于发震断裂两侧10km以内的 结构 建筑 ,地震动参数应计入近场影响,5km 及 以内宜乘以增大系数1.5,5km以外宜乘以不小于1.25的增大系数。
2 选定 建筑抗震 性能目标 的确定 ,即对应于不同地震动水准的预期损坏状态或使用功能, 应符合下列要求:
1)抗震性能化设计的建筑,其性能目标 应不低于本 规范 标准 第1.0.1条对基本设防目标的规定 ;
2)预期地震动水准下需保持正常使用的建筑,其设计应综合考虑结构及其构件、建筑非结构构件、建筑附属机电设备以及专门仪器设备对其使用功能的影响。其结构竖向抗侧力构件和非结构部分的设计要求,可分别按不低于本标准附录M.1中有关性能2的规定和附 录M.2中有关性能2的规定采用;也可根据相关规定确定建筑性能目标以及相应的控制要求。
3 选定 建筑抗震 性能设计 的具体技术 指标 应符合下列要求:
1) 设计应选定分别提高 结构或 其 关键部位 的 抗震承载 能 力、 抗震 变形能力 或同时提高抗震承载力和变形能力 的具体指标 应根据选定的性能目标确定,并 尚 应计及 不同水准 地震作用取值的不确定性 而留有余地。设计 设置适当的冗余;
2)结构构件的抗震承载能力指标 宜 确定在 根据 不同地震动水准 下 、 结构不同部位 、 的水平和竖向 不同 构件 类型的抗震 承载力的 要求 确定, (含 包括 不发生脆性剪切破坏、形成塑性铰、达到屈服值或保持弹性等 ) ;
3)结构构件的抗震变形能力指标 宜 选择在 根据 不同地震动水准下结构不同部位的预期 弹性或弹塑性 变形状态 确定; ,以及相应的构件延性构造的高、中或低要求。
4)结构构件的延性要求应根据其预期的变形状态确定, 当构件的承载 能 力 与实际需求相比 明显提高时, 相应的 延性构造可适当降低。
条文说明
3.10.3 我国的89规范提出了“小震不坏、中震可修和大震不倒”,明确要求大震下不发生危及生命的严重破坏即达到“生命安全”,就是属于一般情况的性能设计目标。2010年
本次 修订所提出的性能化设计,要比本 规范 标准 的一般情况较为明确,尽可能达到可操作性。
1 鉴于地震具有很大的不确定性,性能化设计需要估计各种水准的地震影响,包括考虑近场地震的影响。规范的地震水准是按50年设计基准期确定的。结构设计 工作 使用 年限是国务院《建设工程质量管理条例》规定的在设计时考虑施工完成后正常使用、正常维护情况下不需要大修仍可完成预定功能的保修年限,国内外的一般建筑结构取50年。结构抗震设计的基准期是抗震规范确定地震作用取值时选用的统计时间参数,也取为50年,即地震发生的超越概率是按50年统计的,多遇地震的理论重现期50年,设防地震是475年,罕遇地震随烈度高度而有所区别,7度约1600年,9度约2400年。其地震加速度值,设防地震取本 规范 标准 表3.2.2的“设计基本地震加速度值”,多遇地震、罕遇地震取本 规范 标准 表5.1.2—2的“加速度时程最大值”。其水平地震影响系数最大值,多遇地震、罕遇地震按本 规范 标准 表5.1.4—1取值,设防地震按本条规定取值,7度(0.15g)和8度(0.30g)分别在7、8度和8、9度之间内插取值。
对于设计 工作 使用 年限不同于50年的结构,其地震作用需要作适当调整,取值经专门研究提出并按规定的权限批准后确定。当缺乏当地的相关资料时,可参考《建筑工程抗震性态设计通则(试用)》CECS 160:2004的附录A,其调整系数的范围大体是:设计 工作 使用 年限70年,取1.15~1.2;100年取1.3~1.4。
2 建筑结构遭遇各种水准的地震影响时,其可能的损坏状态和继续使用的可能,与89规范配套的《建筑地震破坏等级划分标准》(建设部90建抗字377号)已经明确划分了各类房屋(砖房、混凝土框架、底层框架砖房、单层工业厂房、单层空旷房屋等)的地震破坏分级和地震直接经济损失估计方法,总体上可分为下列五级,与此后国外标准的相关描述不完全相同:


参照上述等级划分,地震下可供选定的高于一般情况的 结构 预期性能目标可大致归纳如下:

3 实现上述性能目标,需要落实到具体设计指标,即各个地震水准下构件的承载力、变形和细部构造的指标。仅提高承载力时,安全性有相应提高,但使用上的变形要求不一定满足;仅提高变形能力,则结构在小震、中震下的损坏情况大致没有改变,但抗御大震倒塌的能力提高。因此,性能设计目标往往侧重于通过提高承载力推迟结构进入塑性工作阶段并减少塑性变形,必要时还需同时提高刚度以满足使用功能的变形要求,而变形能力的要求可根据结构及其构件在中震、大震下进入弹塑性的程度加以调整。
完好,即所有构件保持弹性状态:各种承载力设计值(拉、压、弯、剪、压弯、拉弯、稳定等)满足规范对抗震承载力的要求S<R/γRE,层间变形(以弯曲变形为主的结构宜扣除整体弯曲变形)满足规范多遇地震下的位移角限值[△ue]。这是各种预期性能目标在多遇地震下的基本要求——多遇地震下必须满足规范规定的承载力和弹性变形的要求。
基本完好,即构件基本保持弹性状态:各种承载力设计值基本满足规范对抗震承载力的要求S≤R/γRE(其中的效应S不含抗震等级的调整系数),层间变形可能略微超过弹性变形限值。
轻微损坏,即结构构件可能出现轻微的塑性变形,但不达到屈服状态,按材料标准值计算的承载力大于作用标准组合的效应。
中等破坏,结构构件出现明显的塑性变形,但控制在一般加固即恢复使用的范围。
接近严重破坏,结构关键的竖向构件出现明显的塑性变形,部分水平构件可能失效需要更换,经过大修加固后可恢复使用。
对性能1,结构构件在预期大震下仍基本处于弹性状态,则其细部构造仅需要满足最基本的构造要求,工程实例表明,采用隔震、减震技术或低烈度设防且风力很大时有可能实现;条件许可时,也可对某些关键构件提出这个性能目标。
对性能2,结构构件在中震下完好,在预期大震下可能屈服,其细部构造需满足低延性的要求。例如,某6度设防的核心筒-外框结构,其风力是小震的2.4倍,风载层间位移是小震的2.5倍。结构所有构件的承载力和层间位移均可满足中震(不计入风载效应组合)的设计要求;考虑水平构件在大震下损坏使刚度降低和阻尼加大,按等效线性化方法估算,竖向构件的最小极限承载力仍可满足大震下的验算要求。于是,结构总体上可达到性能2的要求。
对性能3,在中震下已有轻微塑性变形,大震下有明显的塑性变形,因而,其细部构造需要满足中等延性的构造要求。
对性能4,在中震下的损坏已大于性能3,结构总体的抗震承载力仅略高于一般情况,因而,其细部构造仍需满足高延性的要求。
此次局部修订,补充了预期地震(设防地震)下需保持正常使用的建筑的抗震性能化设计要求。借鉴我国超限高层建筑工程抗震性能化设计的实践与经验,综合考虑管理部门、研究机构、高等院校以及勘察设计等单位的意见和建议,对这类建筑中的竖向抗侧力构件,提出应按不低于性能2的相关规定进行设计的要求。至于抗侧力体系中水平构件的抗震性能要求,应与竖向抗侧力构件匹配、协调,一般不宜低于性能3的规定,同时,尚需满足“强柱弱梁、强竖弱平”等抗震概念设计的原则要求。
3.10.4 建筑 结构的 抗震性能化设计的 计算 结构分析 应符合下列要求:
1 分析模型应正确、合理地反映地震作用的传递途径和 楼盖 和结构 在不同地震动水准下 是否整体或分块处于弹性 的 工作状态。
2 结构分析方法应根据预期性能目标下结构的工作状态确定。当结构处于 弹性 分析 状态时 可采用线性方法, 弹塑性分析可根据性能目标所预期的结构弹塑性状态,分别 当结构处于弹塑性状态时,可根据结构进入塑性的程度和部位 采用 增加阻尼的 等效线性 化 方法 、 以及 静力 非线性方法 或动力非线性 分析 方法。
3 结构非线性分析应符合下列要求:
1) 结构非线性分析模型相对于 弹性 线性 分析模型可 有所 适当 简化, 但 二者在多遇地震下的线性分析结果应基本一致;
2)结构分析时 应计入重力二阶效应 、 的影响,并 合理确定 结构构件的 弹塑性参数, 其中,构件的承载能力 应依据 构件的 实际截面 、 和实际 配筋等 计算承载力 信息确定;
3) 可通过 结构非线性计算结果宜 与 理想 弹性假定计算结果 的 进行 对比分析, 着重发现 以识别 构件 的 可能破坏 的 部位及 其 弹塑性变形程度。
条文说明
3.10.4 本条规定了性能化设计时计算的注意事项。一般情况,应考虑构件在强烈地震下进入弹塑性工作阶段和重力二阶效应。鉴于目前的弹塑性参数、分析软件对构件裂缝的闭合状态和残余变形、结构自身阻尼系数、施工图中构件实际截面、配筋与计算书取值的差异等等的处理,还需要进一步研究和改进,当预期的弹塑性变形不大时,可用等效阻尼等模型简化估算。为了判断弹塑性计算结果的可靠程度,可借助于理想弹性假定的计算结果,从下列几方面进行综合分析:
1 结构弹塑性模型一般要比多遇地震下反应谱计算时的分析模型有所简化,但在弹性阶段的主要计算结果应与多遇地震分析模型的计算结果基本相同,两种模型的嵌固端、主要振动周期、振型和总地震作用应一致。弹塑性阶段,结构构件和整个结构实际具有的抵抗地震作用的承载力是客观存在的,在计算模型合理时,不因计算方法、输入地震波形的不同而改变。若计算得到的承载力明显异常,则计算方法或参数存在问题,需仔细复核、排除。
2 整个结构客观存在的、实际具有的最大受剪承载力(底部总剪力)应控制在合理的、经济上可接受的范围,不需要接近更不可能超过按同样阻尼比的理想弹性假定计算的大震剪力,如果弹塑性计算的结果超过,则该计算的承载力数据需认真检查、复核,判断其合理性。
3 进入弹塑性变形阶段的薄弱部位会出现一定程度的塑性变形集中,该楼层的层间位移(以弯曲变形为主的结构宜扣除整体弯曲变形)应大于按同样阻尼比的理想弹性假定计算的该部位大震的层间位移;如果明显小于此值,则该位移数据需认真检查、复核,判断其合理性。
4 薄弱部位可借助于上下相邻楼层或主要竖向构件的屈服强度系数(其计算方法参见本规范第5.5.2条的说明)的比较予以复核,不同的方法、不同的波形,尽管彼此计算的承载力、位移、进入塑性变形的程度差别较大,但发现的薄弱部位一般相同。 5 影响弹塑性位移计算结果的因素很多,现阶段,其计算值的离散性,与承载力计算的离散性相比较大。注意到常规设计中,考虑到小震弹性时程分析的波形数量较少,而且计算的位移多数明显小于反应谱法的计算结果,需要以反应谱法为基础进行对比分析;大震弹塑性时程分析时,由于阻尼的处理方法不够完善,波形数量也较少(建议尽可能增加数量,如不少于7条;数量较少时宜取包络),不宜直接把计算的弹塑性位移值视为结构实际弹塑性位移,同样需要借助小震的反应谱法计算结果进行分析。建议按下列方法确定其层间位移参考数值:用同一软件、同一波形进行弹性和弹塑性计算,得到同一波形、同一部位弹塑性位移(层间位移)与小震弹性位移(层间位移)的比值,然后将此比值取平均或包络值,再乘以反应谱法计算的该部位小震位移(层间位移),从而得到大震下该部位的弹塑性位移(层间位移)的参考值。
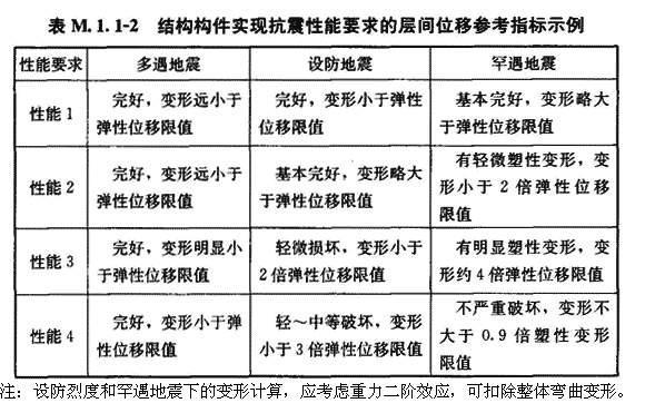
3.10.5 结构及其构件抗震性能化设计的参考目标和 计算 设计 方法,可按本 规范 标准 附录M第M.1节的规定采用。
建筑构件和建筑附属设备抗震性能化设计的参考目标和设计方法,可按本标准附录M第M.2节的规定采用。
条文说明
3.10.5 本条属于原则规定,其
具体化 的设计要求 ,如结构、 结构 构件 、建筑构配件、建筑附属机电设备等 在 中震 预期地震 下的性能化设计要求 等,列于 详见 附录M 中第M.1节 。
3.11 建筑物地震反应观测系统
3.11.1 抗震设防烈度为7、8、9度时,高度分别超过160m、120m、80m的大型公共建筑,应按规定设置建筑结构的地震反应观测系统,建筑设计应留有观测仪器和线路的位置。
条文说明
3.11.1 2001规范提出了在建筑物内设置建筑物地震反应观测系统的要求。建筑物地震反应观测是发展地震工程和工程抗震科学的必要手段,我国过去限于基建资金,发展不快,这次在规范中予以规定,以促进其发展。
4 场地、地基和基础
4.1 场 地
4.1.1 选择建筑场地时,应按表4.1.1划分对建筑抗震有利、一般、不利和危险的地段。
条文说明
4.1.1 有利、不利和危险地段的划分,基本沿用历次规范的规定。本条中地形、地貌和岩土特性的影响是综合在一起加以评价的,这是因为由不同岩土构成的同样地形条件的地震影响是不同的。2001规范只列出了有利、不利和危险地段的划分,本次修订,明确其他地段划为可进行建设的一般场地。考虑到高含水量的可塑黄土在地震作用下会产生震陷,历次地震的震害也比较重,当地表存在结构性裂缝时对建筑物抗震也是不利的,因此将其列入不利地段。
关于局部地形条件的影响,从国内几次大地震的宏观调查资料来看,岩质地形与非岩质地形有所不同。1970年云南通海地震和2008年汶川大地震的宏观调查表明,非岩质地形对烈度的影响比岩质地形的影响更为明显。如通海和东川的许多岩石地基上很陡的山坡,震害也未见有明显的加重。因此对于岩石地基的陡坡、陡坎等,本规范未列为不利的地段。但对于岩石地基的高度达数十米的条状突出的山脊和高耸孤立的山丘,由于鞭鞘效应明显,振动有所加大,烈度仍有增高的趋势。因此本规范均将其列为不利的地形条件。
应该指出:有些资料中曾提出过有利和不利于抗震的地貌部位。本规范在编制过程中曾对抗震不利的地貌部位实例进行了分析,认为:地貌是研究不同地表形态形成的原因,其中包括组成不同地形的物质(即岩性)。也就是说地貌部位的影响意味着地表形态和岩性二者共同作用的结果,将场地土的影响包括进去了。但通过一些震害实例说明:当处于平坦的冲积平原和古河道不同地貌部位时,地表形态是基本相同的,造成古河道上房屋震害加重的原因主要因地基土质条件很差所致。因此本规范将地貌条件分别在地形条件与场地土中加以考虑,不再提出地貌部位这个概念。

4.1.2 建筑场地的类别划分,应以土层等效剪切波速和场地覆盖层厚度为准。
4.1.3 土层剪切波速的测量,应符合下列要求:
1 在场地初步勘察阶段,对大面积的同一地质单元,测试土层剪切波速的钻孔数量不宜少于3个。
2 在场地详细勘察阶段,对单幢建筑,测试土层剪切波速的钻孔数量不宜少于2个,测试数据变化较大时,可适量增加;对小区中处于同一地质单元内的密集建筑群,测试土层剪切波速的钻孔数量可适量减少,但每幢高层建筑和大跨空间结构的钻孔数量均不得少于1个。
3 对丁类建筑及丙类建筑中层数不超过10层、高度不超过24m的多层建筑,当无实测剪切波速时,可根据岩土名称和性状,按表4.1.3划分土的类型,再利用当地经验在表4.1.3的剪切波速范围内估算各土层的剪切波速。

4.1.4 建筑场地覆盖层厚度的确定,应符合下列要求:
1 一般情况下,应按地面至剪切波速大于500m/s且其下卧各层岩土的剪切波速均不小于500m/s的土层顶面的距离确定。
2 当地面5m以下存在剪切波速大于其上部各土层剪切波速2.5倍的土层,且该层及其下卧各层岩土的剪切波速均不小于400m/s时,可按地面至该土层顶面的距离确定。
3 剪切波速大于500m/s的孤石、透镜体,应视同周围土层。
4 土层中的火山岩硬夹层,应视为刚体,其厚度应从覆盖土层中扣除。
4.1.5 土层的等效剪切波速,应按下列公式计算:

4.1.6 建筑的场地类别,应根据土层等效剪切波速和场地覆盖层厚度按表4.1.6划分为四类,其中Ⅰ类分为Ⅰ0、Ⅰ1两个亚类。当有可靠的剪切波速和覆盖层厚度且其值处于表4.1.6所列场地类别的分界线附近时,应允许按插值方法确定地震作用计算所用的特征周期。 ( 自2022年1月1日起废止该条,详见新规 《建筑与市政工程抗震通用规范》GB 55002-2021) 
条文说明
4.1.2~4.1.6 89规范中的场地分类,是在尽量保持抗震规范延续性的基础上,进一步考虑了覆盖层厚度的影响,从而形成了以平均剪切波速和覆盖层厚度作为评定指标的双参数分类方法。
为了在保障安全的条件下尽可能减少设防投资,在保持技术上合理的前提下适当扩大了Ⅱ类场地的范围。另外,由于我国规范中Ⅰ、Ⅱ类场的Tg值与国外抗震规范相比是偏小的,因此有意识地将Ⅰ类场地的范围划得比较小。
在场地划分时,需要注意以下几点:
1 关于场地覆盖层厚度的定义。要求其下部所有土层的波速均大于500m/s,在89规范的说明中已有所阐述。执行中常出现一见到大于500m/s的土层就确定覆盖厚度而忽略对以下各土层的要求,这种错误应予以避免。2001规范补充了当地面下某一下卧土层的剪切波速大于或等于400m/s且不小于相邻的上层土的剪切波速的2.5倍时,覆盖层厚度可按地面至该下卧层顶面的距离取值的规定。需要注意的是,只有当波速不小于400m/s且该土层以上的各土层的波速(不包括孤石和硬透镜体)都满足不大于该土层波速的40%时才可按该土层确定覆盖层厚度;而且这一规定只适用于当下卧层硬土层顶面的埋深大于5m时的情况。 2 关于土层剪切波速的测试。2001规范的波速平均采用更富有物理意义的等效剪切波速的公式计算,即: vse=do/t
式中,do为场地评定用的计算深度,取覆盖层厚度和20m两者中的较小值,t为剪切波在地表与计算深度之间传播的时间。本次修订,初勘阶段的波速测试孔数量改为不宜小于3个。多层与高层建筑的分界,参照《民用建筑设计通则》改为24m。
3 关于不同场地的分界。
为了保持与89规范的延续性并与其他有关规范的协调,2001规范对89规范的规定作了调整,Ⅱ类、Ⅲ类场地的范围稍有扩大,并避免了89规范Ⅱ类至Ⅳ类的跳跃。作为一种补充手段,当有充分依据时,允许使用插入方法确定边界线附近(指相差±15%的范围)的Tg值。图7给出了一种连续化插入方案。 该图在场地覆盖层厚度dov和等效剪切波速vse平面上用等步长和按线性规则改变步长的方案进行连续化插入,相邻等值线的Tg值均相差0.01s。 
本次修订,考虑到fak<200的黏性土和粉土的实测波速可能大于250m/s,将2001规范的中硬土与中软土地基承载力的分界改为fak>150。考虑到软弱土的指标140m/s与国际标准相比略偏低,将其改为150m/s。场地类别的分界也改为150m/s。
考虑到波速为(500~800)m/s的场地还不是很坚硬,将原场地类别Ⅰ类场地(坚硬土或岩石场地)中的硬质岩石场地明确为Ⅰ0类场地。因此,土的类型划分也相应区分。硬质岩石的波速,我国核电站抗震设计为700m,美国抗震设计规范为760m,欧洲抗震规范为800m,从偏于安全方面考虑,调整为800m/s。
4 高层建筑的场地类别问题是工程界关心的问题。按理论及实测,一般土层中的地震加速度随距地面深度而渐减。我国亦有对高层建筑修正场地类别(由高层建筑基底起算)或折减地震力建议。因高层建筑埋深常达10m以上,与浅基础相比,有利之处是:基底地震输入小了;但深基础的地震动输入机制很复杂,涉及地基土和结构相互作用,目前尚无公认的理论分析模型更未能总结出实用规律,因此暂不列入规范。深基础的高层建筑的场地类别仍按浅基础考虑。
5 本条中规定的场地分类方法主要适用于剪切波速随深度呈递增趋势的一般场地,对于有较厚软夹层的场地,由于其对短周期地震动具有抑制作用,可以根据分析结果适当调整场地类别和设计地震动参数。
6 新黄土是指Q3以来的黄土。
4.1.7 场地内存在发震断裂时,应对断裂的工程影响进行评价,并应符合下列要求:
1 对符合下列规定之一的情况,可忽略发震断裂错动对地面建筑的影响:
1)抗震设防烈度小于8度;
2)非全新世活动断裂;
3)抗震设防烈度为8度和9度时,隐伏断裂的土层覆盖厚度分别大于60m和90m。
2 对不符合本条1款规定的情况,应避开主断裂带。其避让距离不宜小于表4.1.7对发震断裂最小避让距离的规定。在避让距离的范围内确有需要建造分散的、低于三层的丙、丁类建筑时,应按提高一度采取抗震措施,并提高基础和上部结构的整体性,且不得跨越断层线。

条文说明
4.1.7 断裂对工程影响的评价问题,长期以来,不同学科之间存在着不同看法,经过近些年来的不断研究与交流,认为需要考虑断裂影响,这主要是指地震时老断裂重新错动直通地表,在地面产生位错,对建在位错带上的建筑,其破坏是不易用工程措施加以避免的。因此规范中划为危险地段应予避开。至于地震强度,一般在确定抗震设防烈度时已给予考虑。 在活动断裂时间下限方面已取得了一致意见:即对—般的建筑工程只考虑1.0万年(全新世)以来活动过的断裂,在此地质时期以前的活动断裂可不予考虑。对于核电、水电等工程则应考虑10万年以来(晚更新世)活动过的断裂,晚更新世以前活动过的断裂亦可不予考虑。
另外一个较为一致的看法是,在地震烈度小于8度的地区,可不考虑断裂对工程的错动影响,因为多次国内外地震中的破坏现象均说明,在小于8度的地震区,地面一般不产生断裂错动。
目前尚有看法分歧的是关于隐伏断裂的评价问题,在基岩以上覆盖土层多厚,是什么土层,地面建筑就可以不考虑下部断裂的错动影响。根据我国近年来的地震宏观地表位错考察,学者们看法不够一致。有人认为30m厚土层就可以不考虑,有些学者认为是50m,还有人提出用基岩位错量大小来衡量,如土层厚度是基岩位错量的(25~30)倍以上就可不考虑等等。唐山地震震中区的地裂缝,经有关单位详细工作证明,不是沿地下岩石错动直通地表的构造断裂形成的,而是由于地面振动,表面应力形成的表层地裂。这种裂缝仅分布在地面以下3m左右,下部土层并未断开(挖探井证实),在采煤巷道中也未发现错动,对有一定深度基础的建筑物影响不大。
为了对问题更深入的研究,由北京市勘察设计研究院在建设部抗震办公室申请立项,开展了发震断裂上覆土层厚度对工程影响的专项研究。此项研究主要采用大型离心机模拟实验,可将缩小的模型通过提高加速度的办法达到与原型应力状况相同的状态;为了模拟断裂错动,专门加工了模拟断裂突然错动的装置,可实现垂直与水平二种错动,其位错量大小是根据国内外历次地震不同震级条件下位错量统计分析结果确定的;上覆土层则按不同岩性、不同厚度分为数种情况。实验时的位错量为1.0m~4.0m,基本上包括了8度、9度情况下的位错量;当离心机提高加速度达到与原型应力条件相同时,下部基岩突然错动,观察上部土层破裂高度,以便确定安全厚度。根据实验结果,考虑一定的安全储备和模拟实验与地震时震动特性的差异,安全系数取为3,据此提出了8度、9度地区上覆土层安全厚度的界限值。应当说这是初步的,可能有些因素尚未考虑。但毕竟是第一次以模拟实验为基础的定量提法,跟以往的分析和宏观经验是相近的,有一定的可信度。2001规范根据搜集到的国内外地震断裂破裂宽度的资料提出了避让距离,这是宏观的分析结果,随着地震资料的不断积累将会得到补充与完善。
近年来,北京市地震局在上述离心机试验基础上进行了基底断裂错动在覆盖土层中向上传播过程的更精细的离心机模拟,认为以前试验的结论偏于保守,可放宽对破裂带的避让要求。本次修订,考虑到原条文中“前第四纪基岩隐伏断裂”的含义不够明确,容易引起误解;这里的“断裂”只能是“全新世活动断裂”或其活动性不明的其他断裂。因此删除了原条文中“前第四纪基岩”这几个字。还需要说明的是,这里所说的避让距离是断层面在地面上的投影或到断层破裂线的距离,不是指到断裂带的距离。
综合考虑历次大地震的断裂震害,离心机试验结果和我国地震区、特别是山区民居建造的实际情况,本次修订适度减少了避让距离,并规定当确实需要在避让范围内建造房屋时,仅限于建造分散的、不超过三层的丙、丁类建筑,同时应按提高一度采取抗震措施,并提高基础和上部结构的整体性,且不得跨越断层。
严格禁止在避让范围内建造甲、乙类建筑。对于山区中可能发生滑坡的地带,属于特别危险的地段,严禁建造民居。
4.1.8 当需要在条状突出的山嘴、高耸孤立的山丘、非岩石和强风化岩石的陡坡、河岸和边坡边缘等不利地段建造丙类及丙类以上建筑时,除保证其在地震作用下的稳定性外,尚应估计不利地段对设计地震动参数可能产生的放大作用,其水平地震影响系数最大值应乘以增大系数。其值应根据不利地段的具体情况确定,在1.1~1.6范围内采用。 ( 自2022年1月1日起废止该条,详见新规 《建筑与市政工程抗震通用规范》GB 55002-2021)
条文说明
4.1.8 本条考虑局部突出地形对地震动参数的放大作用,主要依据宏观震害调查的结果和对不同地形条件和岩土构成的形体所进行的二维地震反应分析结果。所谓局部突出地形主要是指山包、山梁和悬崖、陡坎等,情况比较复杂,对各种可能出现的情况的地震动参数的放大作用都作出具体的规定是很困难的。从宏观震害经验和地震反应分析结果所反映的总趋势,大致可以归纳为以下几点:①高突地形距离基准面的高度愈大,高处的反应愈强烈;②离陡坎和边坡顶部边缘的距离愈大,反应相对减小;③从岩土构成方面看,在同样地形条件下,土质结构的反应比岩质结构大;④高突地形顶面愈开阔,远离边缘的中心部位的反应是明显减小的;⑤边坡愈陡,其顶部的放大效应相应加大。基于以上变化趋势,以突出地形的高差H,坡降角度的正切H/L以及场址距突出地形边缘的相对距离L1/H为参数,归纳出各种地形的地震力放大作用如下: 
条文中规定的最大增大幅度0.6是根据分析结果和综合判断给出的。本条的规定对各种地形,包括山包、山梁、悬崖、陡坡都可以应用。
本条在2008年局部修订时提升为强制性条文。
4.1.9 场地岩土工程勘察,应根据实际需要划分的对建筑有利、一般、不利和危险的地段,提供建筑的场地类别和岩土地震稳定性(含滑坡、崩塌、液化和震陷特性)评价,对需要采用时程分析法补充计算的建筑,尚应根据设计要求提供土层剖面、场地覆盖层厚度和有关的动力参数。 ( 自2022年1月1日起废止该条,详见新规 《建筑与市政工程抗震通用规范》GB 55002-2021)
条文说明
4.1.9 本条属于强制性条文。
勘察内容应根据实际的土层情况确定:有些地段,既不属于有利地段也不属于不利地段,而属于一般地段;不存在饱和砂土和饱和粉土时,不判别液化,若判别结果为不考虑液化,也不属于不利地段;无法避开的不利地段,要在详细查明地质、地貌、地形条件的基础上,提供岩土稳定性评价报告和相应的抗震措施。
场地地段的划分,是在选择建筑场地的勘察阶段进行的,要根据地震活动情况和工程地质资料进行综合评价。对软弱土、液化土等不利地段,要按规范的相关规定提出相应的措施。
场地类别划分,不要误为“场地土类别”划分,要依据场地覆盖层厚度和场地土层软硬程度这两个因素。其中,土层软硬程度不再采用89规范的“场地土类型”这个提法,一律采用“土层的等效剪切波速”值予以反映。
4.2 天然地基和基础
4.2.1 下列建筑可不进行天然地基及基础的抗震承载力验算:
1 本规范规定可不进行上部结构抗震验算的建筑。
2 地基主要受力层范围内不存在软弱黏性土层的下列建筑:
1)一般的单层厂房和单层空旷房屋;
2)砌体房屋;
3)不超过8层且高度在24m以下的一般民用框架和框架-抗震墙房屋;
4)基础荷载与3)项相当的多层框架厂房和多层混凝土抗震墙房屋。
注:软弱黏性土层指7度、8度和9度时,地基承载力特征值分别小于80、100和120kPa的土层。
条文说明
4.2.1 我国多次强烈地震的震害经验表明,在遭受破坏的建筑中,因地基失效导致的破坏较上部结构惯性力的破坏为少,这些地基主要由饱和松砂、软弱黏性土和成因岩性状态严重不均匀的土层组成。大量的一般的天然地基都具有较好的抗震性能。因此89规范规定了天然地基可以不验算的范围。
本次修订的内容如下:
1 将可不进行天然地基和基础抗震验算的框架房屋的层数和高度作了更明确的规定。考虑到砌体结构也应该满足2001规范条文第二款中的前提条件,故也将其列入本条文的第二款中。
2 限制使用黏土砖以来,有些地区改为建造多层的混凝土抗震墙房屋,当其基础荷载与一般民用框架相当时,由于其地基基础情况与砌体结构类同,故也可不进行抗震承载力验算。条文中主要受力层包括地基中的所有压缩层。
4.2.2 天然地基基础抗震验算时,应采用地震作用效应标准组合,且地基抗震承载力应取地基承载力特征值乘以地基抗震承载力调整系数计算。 ( 自2022年1月1日起废止该条,详见新规 《建筑与市政工程抗震通用规范》GB 55002-2021)
4.2.3 地基抗震承载力应按下式计算:

条文说明
4.2.2、4.2.3 在天然地基抗震验算中,对地基土承载力特征值调整系数的规定,主要参考国内外资料和相关规范的规定,考虑了地基土在有限次循环动力作用下强度一般较静强度提高和在地震作用下结构可靠度容许有一定程度降低这两个因素。
在2001规范中,增加了对黄土地基的承载力调整系数的规定,此规定主要根据国内动、静强度对比试验结果。静强度是在预湿与固结不排水条件下进行的。破坏标准是:对软化型土取峰值强度,对硬化型土取应变为15%的对应强度,由此求得黄土静抗剪强度指标Cs、φs值。 动强度试验参数是:均压固结取双幅应变5%,偏压固结取总应变为10%;等效循环数按7、7.5及8级地震分别对应12、20及30次循环。取等价循环数所对应的动应力σd,绘制强度包线,得到动抗剪强度指标Cd及φd。
动静强度比为: 
4.2.4 验算天然地基地震作用下的竖向承载力时,按地震作用效应标准组合的基础底面平均压力和边缘最大压力应符合下列各式要求:

高宽比大于4的高层建筑,在地震作用下基础底面不宜出现脱离区(零应力区);其他建筑,基础底面与地基土之间脱离区(零应力区)面积不应超过基础底面面积的15%。
条文说明
4.2.4 地基基础的抗震验算,一般采用所谓“拟静力法”,此法假定地震作用如同静力,然后在这种条件下验算地基和基础的承载力和稳定性。所列的公式主要是参考相关规范的规定提出的,压力的计算应采用地震作用效应标准组合,即各作用分项系数均取1.0的组合。
4.3 液化土和软土地基
4.3.1 饱和砂土和饱和粉土(不含黄土)的液化判别和地基处理,6度时,一般情况下可不进行判别和处理,但对液化沉陷敏感的乙类建筑可按7度的要求进行判别和处理,7~9度时,乙类建筑可按本地区抗震设防烈度的要求进行判别和处理。
条文说明
4.3.1 本条规定主要依据液化场地的震害调查结果。许多资料表明在6度区液化对房屋结构所造成的震害是比较轻的,因此本条规定除对液化沉陷敏感的乙类建筑外,6度区的一般建筑可不考虑液化影响。当然,6度的甲类建筑的液化问题也需要专门研究。 关于黄土的液化可能性及其危害在我国的历史地震中虽不乏报导,但缺乏较详细的评价资料,在20世纪50年代以来的多次地震中,黄土液化现象很少见到,对黄土的液化判别尚缺乏经验,但值得重视。近年来的国内外震害与研究还表明,砾石在一定条件下也会液化,但是由于黄土与砾石液化研究资料还不够充分,暂不列入规范,有待进一步研究。
4.3.2 地面下存在饱和砂土和饱和粉土时,除6度外,应进行液化判别;存在液化土层的地基,应根据建筑的抗震设防类别、地基的液化等级,结合具体情况采取相应的措施。
注:本条饱和土液化判别要求不含黄土、粉质黏土。 ( 自2022年1月1日起废止该条,详见新规 《建筑与市政工程抗震通用规范》GB 55002-2021)
条文说明
4.3.2 本条是有关液化判别和处理的强制性条文。
本条较全面地规定了减少地基液化危害的对策:首先,液化判别的范围为,除6度设防外存在饱和砂土和饱和粉土的土层;其次,一旦属于液化土,应确定地基的液化等级;最后,根据液化等级和建筑抗震设防分类,选择合适的处理措施,包括地基处理和对上部结构采取加强整体性的相应措施等。
4.3.3 饱和的砂土或粉土(不含黄土),当符合下列条件之一时,可初步判别为不液化或可不考虑液化影响:
1 地质年代为第四纪晚更新世(Q3)及其以前时,7、8度时可判为不液化。
2 粉土的黏粒(粒径小于0.005mm的颗粒)含量百分率,7度、8度和9度分别不小于10、13和16时,可判为不液化土。
注:用于液化判别的黏粒含量系采用六偏磷酸钠作分散剂测定,采用其他方法时应按有关规定换算。
3 浅埋天然地基的建筑,当上覆非液化土层厚度和地下水位深度符合下列条件之一时,可不考虑液化影响:

条文说明
4.3.3 89规范初判的提法是根据20世纪50年代以来历次地震对液化与非液化场地的实际考察、测试分析结果得出来的。从地貌单元来讲这些地震现场主要为河流冲洪积形成的地层,没有包括黄土分布区及其他沉积类型。如唐山地震震中区(路北区)为滦河二级阶地,地层年代为晚更新世(Q3)地层,对地震烈度10度区考察,钻探测试表明,地下水位为3m~4m,表层为3m左右的黏性土,其下即为饱和砂层,在10度情况下没有发生液化,而在一级阶地及高河漫滩等地分布的地质年代较新的地层,地震烈度虽然只有7度和8度却也发生了大面积液化,其他震区的河流冲积地层在地质年代较老的地层中也未发现液化实例。国外学者T. L. Youd和Perkins的研究结果表明:饱和松散的水力冲填土差不多总会液化,而且全新世的无黏性土沉积层对液化也是很敏感的,更新世沉积层发生液化的情况很罕见,前更新世沉积层发生液化则更是罕见。这些结论是根据1975年以前世界范围的地震液化资料给出的,并已被1978年日本的两次大地震以及1977年罗马尼亚地震液化现象所证实。
89规范颁发后,在执行中不断有些单位和学者提出液化初步判别中第1款在有些地区不适合。从举出的实例来看,多为高烈度区(10度以上)黄土高原的黄土状土,很多是古地震从描述等方面判定为液化的,没有现代地震液化与否的实际数据。有些例子是用现行公式判别的结果。
根据诸多现代地震液化资料分析认为,89规范中有关地质年代的判断条文除高烈度区中的黄土液化外都能适用。为慎重起见,2001规范将此款的适用范围改为局限于7、8度区。
4.3.4 当饱和砂土、粉土的初步判别认为需进一步进行液化判别时,应采用标准贯入试验判别法判别地面下20m范围内土的液化;但对本规范第4.2.1条规定可不进行天然地基及基础的抗震承载力验算的各类建筑,可只判别地面下15m范围内土的液化。当饱和土标准贯入锤击数(未经杆长修正)小于或等于液化判别标准贯入锤击数临界值时,应判为液化土。当有成熟经验时,尚可采用其他判别方法。
在地面下20m深度范围内,液化判别标准贯入锤击数临界值可按下式计算:

条文说明
4.3.4 89规范关于地基液化判别方法,在地震区工程项目地基勘察中已广泛应用。2001规范的砂土液化判别公式,在地面下15m范围内与89规范完全相同,是对78版液化判别公式加以改进得到的:保持了15m内随深度直线变化的简化,但减少了随深度变化的斜率(由0.125改为0.10),增加了随水位变化的斜率(由0.05改为0.10),使液化判别的成功率比78规范有所增加。
随着高层及超高层建筑的不断发展,基础埋深越来越大。高大的建筑采用桩基和深基础,要求判别液化的深度也相应加大,判别深度为15m,已不能满足这些工程的需要。由于15m以下深层液化资料较少,从实际液化与非液化资料中进行统计分析尚不具备条件。在20世纪50年代以来的历次地震中,尤其是唐山地震,液化资料均在15m以内,图4.3.4中15m下的曲线是根据统计得到的经验公式外推得到的结果。国外虽有零星深层液化资料,但也不太确切。根据唐山地震资料及美国H.B. Seed教授资料进行分析的结果,其液化临界值沿深度变化均为非线性变化。为了解决15m以下液化判别,2001规范对唐山地震砂土液化研究资料、美国H. B. Seed教授研究资料和我国铁路工程抗震设计规范中的远震液化判别方法与89建筑规范判别方法的液化临界值(Ncr)沿深度的变化情况,以8度区为例做了对比,见图8。 
从图8可以明显看出:在设计地震一组(或89规范的近震情况,N0=10),深度为12m以上时,各种方法的临界锤击数较接近,相差不大;深度15m~20m范围内,铁路抗震规范方法比H.B.Seed资料要大1.2击~1.5击,89规范由于是线性延伸,比铁路抗震规范方法要大1.8击~8.4击,是偏于保守的。经过比较分析,2001规范考虑到判别方法的延续性及广大工程技术人员熟悉程度,仍采用线性判别方法。15m~20m深度范围内取15m深度处的Ncr值进行判别,这样处理与非线性判别方法也较为接近。铁路抗震规范N0值,如8度取10,则Ncr值在15m~20m范围内比2001规范小1.4击~1.8击。经过全面分析对比后,认为这样调整方案既简便又与其他方法接近。
本次修订的变化如下:
1 液化判别深度。一般要求将液化判别深度加深到20m,对于本规范第4.2.1条规定可不进行天然地基及基础的抗震承载力验算的各类建筑,可只判别地面下15m范围内土的液化。
2 液化判别公式。自1994年美国Northridge地震和1995年日本Kobe地震以来,北美和日本都对其使用的地震液化简化判别方法进行了改进与完善,1996、1997年美国举行了专题研讨会,2000年左右,日本的几本规范皆对液化判别方法进行了修订。考虑到影响土壤液化的因素很多,而且它们具有显著的不确定性,采用概率方法进行液化判别是一种合理的选择。自1988年以来,特别是20世纪末和21世纪初,国内外在砂土液化判别概率方法的研究都有了长足的进展。我国学者在H.B.Seed的简化液化判别方法的框架下,根据人工神经网络模型与我国大量的液化和未液化现场观测数据,可得到极限状态时的液化强度比函数,建立安全裕量方程,利用结构系统的可靠度理论可得到液化概率与安全系数的映射函数,并可给出任一震级不同概率水平、不同地面加速度以及不同地下水位和埋深的液化临界锤击数。式(4.3.4)是基于以上研究结果并考虑规范延续性修改而成的。选用对数曲线的形式来表示液化临界锤击数随深度的变化,比2001规范折线形式更为合理。
考虑一般结构可接受的液化风险水平以及国际惯例,选用震级M=7.5,液化概率PL=0.32,水位为2m,埋深为3m处的液化临界锤击数作为液化判别标准贯入锤击数基准值,见正文表4.3.4。不同地震分组乘以调整系数。研究表明,理想的调整系数β与震级大小有关,可近似用式β=0.25M-0.89表示。鉴于本规范规定按设计地震分组进行抗震设计,而各地震分组之间又没有明确的震级关系,因此本条依据2001规范两个地震组的液化判别标准以及β值所对应的震级大小的代表性,规定了三个地震组的β数值。
以8度第一组地下水位2m为例,本次修订后的液化临界值随深度变化也在图8中给出。可以看到,其临界锤击数与2001规范相差不大。
4.3.5 对存在液化砂土层、粉土层的地基,应探明各液化土层的深度和厚度,按下式计算每个钻孔的液化指数,并按表4.3.5综合划分地基的液化等级:

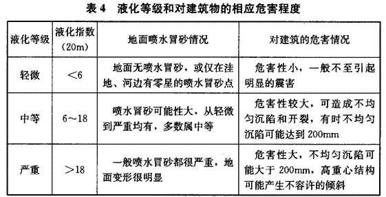
条文说明
4.3.5 本条提供了一个简化的预估液化危害的方法,可对场地的喷水冒砂程度、一般浅基础建筑的可能损坏,作粗略的预估,以便为采取工程措施提供依据。
1 液化指数表达式的特点是:为使液化指数为无量纲参数,权函数W具有量纲m-1;权函数沿深度分布为梯形,其图形面积判别深度20m时为125。
2 液化等级的名称为轻微、中等、严重三级;各级的液化指数、地面喷水冒砂情况以及对建筑危害程度的描述见表4,系根据我国百余个液化震害资料得出的。 
2001规范中,层位影响权函数值Wi的确定考虑了判别深度为15m和20m两种情况。本次修订明确采用20m判别深度。因此,只保留原条文中的判别深度为20m情况的Wi确定方案和液化等级与液化指数的对应关系。对本规范第4.2.1条规定可不进行天然地基及基础的抗震承载力验算的各类建筑,计算液化指数时15m地面下的土层均视为不液化。
4.3.6 当液化砂土层、粉土层较平坦且均匀时,宜按表4.3.6选用地基抗液化措施;尚可计入上部结构重力荷载对液化危害的影响,根据液化震陷量的估计适当调整抗液化措施。
不宜将未经处理的的液化土层作为天然地基持力层。

条文说明
4.3.6 抗液化措施是对液化地基的综合治理,89规范已说明要注意以下几点: 1 倾斜场地的土层液化往往带来大面积土体滑动,造成严重后果,而水平场地土层液化的后果一般只造成建筑的不均匀下沉和倾斜,本条的规定不适用于坡度大于10°的倾斜场地和液化土层严重不均的情况;
2 液化等级属于轻微者,除甲、乙类建筑由于其重要性需确保安全外,一般不作特殊处理,因为这类场地可能不发生喷水冒砂,即使发生也不致造成建筑的严重震害;
3 对于液化等级属于中等的场地,尽量多考虑采用较易实施的基础与上部结构处理的构造措施,不一定要加固处理液化土层;
4 在液化层深厚的情况下,消除部分液化沉陷的措施,即处理深度不一定达到液化下界而残留部分未经处理的液化层。
本次修订继续保持2001规范针对89规范的修改内容:
1 89规范中不允许液化地基作持力层的规定有些偏严,改为不宜将未加处理的液化土层作为天然地基的持力层。因为:理论分析与振动台试验均已证明液化的主要危害来自基础外侧,液化持力层范围内位于基础直下方的部位其实最难液化,由于最先液化区域对基础直下方未液化部分的影响,使之失去侧边土压力支持。在外侧易液化区的影响得到控制的情况下,轻微液化的土层是可以作为基础的持力层的,例如:
例1,1975年海城地震中营口宾馆筏基以液化土层为持力层,震后无震害,基础下液化层厚度为4.2m,为筏基宽度的1/3左右,液化土层的标贯锤击数N=2~5,烈度为7度。在此情况下基础外侧液化对地基中间部分的影响很小。
例2,1995年日本阪神地震中有数座建筑位于液化严重的六甲人工岛上,地基未加处理而未遭液化危害的工程实录(见松尾雅夫等人论文,载“基础工”96年11期,P54):
①仓库二栋,平面均为36m×24m,设计中采用了补偿式基础,即使仓库满载时的基底压力也只是与移去的土自重相当。地基为欠固结的可液化砂砾,震后有震陷,但建筑物无损,据认为无震害的原因是:液化后的减震效果使输入基底的地震作用削弱;补偿式筏式基础防止了表层土喷砂冒水;良好的基础刚度可使不均匀沉降减小;采用了吊车轨道调平,地脚螺栓加长等构造措施以减少不均匀沉降的影响。
②平面为116.8m×54.5m的仓库建在六甲人工岛厚15m的可液化土上,设计时预期建成后欠固结的黏土下卧层尚可能产生1.1m~1.4m的沉降。为防止不均匀沉降及液化,设计中采用了三方面的措施:补偿式基础+基础下2m深度内以水泥土加固液化层+防止不均匀沉降的构造措施。地震使该房屋产生震陷,但情况良好。
例3,震害调查与有限元分析显示,当基础宽度与液化层厚之比大于3时,则液化震陷不超过液化层厚的1%,不致引起结构严重破坏。
因此,将轻微和中等液化的土层作为持力层不是绝对不允许,但应经过严密的论证。
2 液化的危害主要来自震陷,特别是不均匀震陷。震陷量主要决定于土层的液化程度和上部结构的荷载。由于液化指数不能反映上部结构的荷载影响,因此有趋势直接采用震陷量来评价液化的危害程度。例如,对4层以下的民用建筑,当精细计算的平均震陷值SE<5cm时,可不采取抗液化措施,当SE=5cm~15cm时,可优先考虑采取结构和基础的构造措施,当SE>15cm时需要进行地基处理,基本消除液化震陷;在同样震陷量下,乙类建筑应该采取较丙类建筑更高的抗液化措施。
依据实测震陷、振动台试验以及有限元法对一系列典型液化地基计算得出的震陷变化规律,发现震陷量取决于液化土的密度(或承载力)、基底压力、基底宽度、液化层底面和顶面的位置和地震震级等因素,曾提出估计砂土与粉土液化平均震陷量的经验方法如下: 
采用以上经验方法计算得到的震陷值,与日本的实测震陷基本符合;但与国内资料的符合程度较差,主要的原因可能是:国内资料中实测震陷值常常是相对值,如相对于车间某个柱子或相对于室外地面的震陷;地质剖面则往往是附近的,而不是针对所考察的基础的;有的震陷值(如天津上古林的场地)含有震前沉降及软土震陷;不明确沉降值是最大沉降或平均沉降。
鉴于震陷量的评价方法目前还不够成熟,因此本条只是给出了必要时可以根据液化震陷量的评价结果适当调整抗液化措施的原则规定。
4.3.7 全部消除地基液化沉陷的措施,应符合下列要求:
1 采用桩基时,桩端伸入液化深度以下稳定土层中的长度(不包括桩尖部分),应按计算确定,且对碎石土,砾、粗、中砂,坚硬黏性土和密实粉土尚不应小于0.8m,对其他非岩石土尚不宜小于1.5m。
2 采用深基础时,基础底面应埋入液化深度以下的稳定土层中,其深度不应小于0.5m。
3 采用加密法(如振冲、振动加密、挤密碎石桩、强夯等)加固时,应处理至液化深度下界;振冲或挤密碎石桩加固后,桩间土的标准贯入锤击数不宜小于本规范第4.3.4条规定的液化判别标准贯入锤击数临界值。
4 用非液化土替换全部液化土层,或增加上覆非液化土层的厚度。
5 采用加密法或换土法处理时,在基础边缘以外的处理宽度,应超过基础底面下处理深度的1/2且不小于基础宽度的1/5。
4.3.8 部分消除地基液化沉陷的措施,应符合下列要求:
1 处理深度应使处理后的地基液化指数减少,其值不宜大于5;大面积筏基、箱基的中心区域,处理后的液化指数可比上述规定降低1;对独立基础和条形基础,尚不应小于基础底面下液化土特征深度和基础宽度的较大值。
注:中心区域指位于基础外边界以内沿长宽方向距外边界大于相应方向1/4长度的区域。
2 采用振冲或挤密碎石桩加固后,桩间土的标准贯入锤击数不宜小于按本规范第4.3.4条规定的液化判别标准贯入锤击数临界值。
3 基础边缘以外的处理宽度,应符合本规范第4.3.7条5款的要求。
4 采取减小液化震陷的其他方法,如增厚上覆非液化土层的厚度和改善周边的排水条件等。
4.3.9 减轻液化影响的基础和上部结构处理,可综合采用下列各项措施:
1 选择合适的基础埋置深度。
2 调整基础底面积,减少基础偏心。
3 加强基础的整体性和刚度,如采用箱基、筏基或钢筋混凝土交叉条形基础,加设基础圈梁等。
4 减轻荷载,增强上部结构的整体刚度和均匀对称性,合理设置沉降缝,避免采用对不均匀沉降敏感的结构形式等。
5 管道穿过建筑处应预留足够尺寸或采用柔性接头等。
条文说明
4.3.7~4.3.9 在这几条中规定了消除液化震陷和减轻液化影响的具体措施,这些措施都是在震害调查和分析判断的基础上提出来的。
采用振冲加固或挤密碎石桩加固后构成了复合地基。此时,如桩间土的实测标贯值仍低于本规范4.3.4条规定的临界值,不能简单判为液化。许多文献或工程实践均已指出振冲桩或挤密碎石桩有挤密、排水和增大桩身刚度等多重作用,而实测的桩间土标贯值不能反映排水的作用。因此,89规范要求加固后的桩间土的标贯值应大于临界标贯值是偏保守的。
新的研究成果与工程实践中,已提出了一些考虑桩身强度与排水效应的方法,以及根据桩的面积置换率和桩土应力比适当降低复合地基桩间土液化判别的临界标贯值的经验方法,2001规范将“桩间土的实测标贯值不应小于临界标贯锤击数”的要求,改为“不宜”。本次修订继续保持。
注意到历次地震的震害经验表明,筏基、箱基等整体性好的基础对抗液化十分有利。例如1975年海城地震中,营口市营口饭店直接坐落在4.2m厚的液化土层上,震后仅沉降缝(筏基与裙房间)有错位;1976年唐山地震中,天津医院12.8m宽的筏基下有2.3m的液化粉土,液化层距基底3.5m,未做抗液化处理,震后室外有喷水冒砂,但房屋基本不受影响。1995年日本神户地震中也有许多类似的实例。实验和理论分析结果也表明,液化往往最先发生在房屋基础下外侧的地方,基础中部以下是最不容易液化的。因此对大面积箱形基础中部区域的抗液化措施可以适当放宽要求。
4.3.10 在故河道以及临近河岸、海岸和边坡等有液化侧向扩展或流滑可能的地段内不宜修建永久性建筑,否则应进行抗滑动验算、采取防土体滑动措施或结构抗裂措施。
条文说明
4.3.10 本条规定了有可能发生侧扩或流动时滑动土体的最危险范围并要求采取土体抗滑和结构抗裂措施。 1 液化侧扩地段的宽度来自1975年海城地震、1976年唐山地震及1995年日本阪神地震对液化侧扩区的大量调查。根据对阪神地震的调查,在距水线50m范围内,水平位移及竖向位移均很大;在50m~150m范围内,水平地面位移仍较显著;大于150m以后水平位移趋于减小,基本不构成震害。上述调查结果与我国海城、唐山地震后的调查结果基本一致:海河故道、滦运河、新滦河、陡河岸波滑坍范围约距水线100m~150m,辽河、黄河等则可达500m。
2 侧向流动土体对结构的侧向推力,根据阪神地震后对受害结构的反算结果得到的:1)非液化上覆土层施加于结构的侧压相当于被动土压力,破坏土楔的运动方向是土楔向上滑而楔后土体向下,与被动土压发生时的运动方向一致;2)液化层中的侧压相当于竖向总压的1/3;3)桩基承受侧压的面积相当于垂直于流动方向桩排的宽度。
3 减小地裂对结构影响的措施包括:1)将建筑的主轴沿平行河流放置;2)使建筑的长高比小于3;3)采用筏基或箱基,基础板内应根据需要加配抗拉裂钢筋,筏基内的抗弯钢筋可兼作抗拉裂钢筋,抗拉裂钢筋可由中部向基础边缘逐段减少。当土体产生引张裂缝并流向河心或海岸线时,基础底面的极限摩阻力形成对基础的撕拉力,理论上,其最大值等于建筑物重力荷载之半乘以土与基础间的摩擦系数,实际上常因基础底面与土有部分脱离接触而减少。
4.3.11 地基中软弱黏性土层的震陷判别,可采用下列方法。饱和粉质黏土震陷的危害性和抗震陷措施应根据沉降和横向变形大小等因素综合研究确定,8度(0.30g)和9度时,当塑性指数小于15且符合下式规定的饱和粉质黏土可判为震陷性软土。

4.3.12 地基主要受力层范围内存在软弱黏性土层和高含水量的可塑性黄土时,应结合具体情况综合考虑,采用桩基、地基加固处理或本规范第4.3.9条的各项措施,也可根据软土震陷量的估计,采取相应措施。
条文说明
4.3.11、4.3.12 从1976年唐山地震、1999年我国台湾和土耳其地震中的破坏实例分析,软土震陷确是造成震害的重要原因,实有明确判别标准和抗御措施之必要。
我国《构筑物抗震设计规范》GB 50191的1993年版根据唐山地震经验,规定7度区不考虑软土震陷;8度区fak大于100kPa,9度区fak大于120kPa的土亦可不考虑。但上述规定有以下不足: (1)缺少系统的震陷试验研究资料。 (2)震陷实录局限于津塘8、9度地区,7度区是未知的空白;不少7度区的软土比津塘地区(唐山地震时为8、9度区)要差,津塘地区的多层建筑在8、9度地震时产生了15cm~30cm的震陷,比它们差的土在7度时是否会产生大于5cm的震陷?初步认为对7度区fk<70kPa的软土还是应该考虑震陷的可能性并宜采用室内动三轴试验和H.B.Seed简化方法加以判定。 (3)对8、9度规定的fak值偏于保守。根据天津实际震陷资料并考虑地震的偶发性及所需的设防费用,暂时规定软土震陷量小于5cm者可不采取措施,则8度区fak>90kPa及9度区fak>100kPa的软土均可不考虑震陷的影响。 对少黏性土的液化判别,我国学者最早给出了判别方法。1980年汪闻韶院士提出根据液限、塑限判别少黏性土的地震液化,此方法在国内已获得普遍认可,在国际上也有一定影响。我国水利和电力部门的地质勘察规范已将此写入条文。虽然近几年国外学者[Bray et al.(2004)、Seed et al.(2003)、Martin et al.(2000)等]对此判别方法进行了改进,但基本思路和框架没变。本次修订,借鉴和考虑了国内外学者对该判别法的修改意见,及《水利水电工程地质勘察规范》GB 50478和《水工建筑物抗震设计规范》DL 5073的有关规定,增加了软弱粉质土震陷的判别法。
对自重湿陷性黄土或黄土状土,研究表明具有震陷性。若孔隙比大于0.8,当含水量在缩限(指固体与半固体的界限)与25%之间时,应该根据需要评估其震陷量。对含水量在25%以上的黄土或黄土状土的震陷量可按一般软土评估。关于软土及黄土的可能震陷目前已有了一些研究成果可以参考。例如,当建筑基础底面以下非软土层厚度符合表5中的要求时,可不采取消除软土地基的震陷影响措施。 
4.4 桩 基
4.4.1 承受竖向荷载为主的低承台桩基,当地面下无液化土层,且桩承台周围无淤泥、淤泥质土和地基承载力特征值不大于100kPa的填土时,下列建筑可不进行桩基抗震承载力验算:
1 6度~8度时的下列建筑:
1)一般的单层厂房和单层空旷房屋;
2)不超过8层且高度在24m以下的一般民用框架房屋和框架-抗震墙房屋;
3)基础荷载与2)项相当的多层框架厂房和多层混凝土抗震墙房屋。
2 本规范第4.2.1条之1款规定且采用桩基的建筑及砌体房屋。
条文说明
4.4.1 根据桩基抗震性能一般比同类结构的天然地基要好的宏观经验,继续保留89规范关于桩基不验算范围的规定。 本次修订,进一步明确了本条的适用范围。限制使用黏土砖以来,有些地区改为建造多层的混凝土抗震墙房屋和框架-抗震墙房屋,当其基础荷载与一般民用框架相当时,也可不进行桩基的抗震承载力验算。
4.4.2 非液化土中低承台桩基的抗震验算,应符合下列规定:
1 单桩的竖向和水平向抗震承载力特征值,可均比非抗震设计时提高25%。
2 当承台周围的回填土夯实至干密度不小于现行国家标准《建筑地基基础设计规范》GB 50007对填土的要求时,可由承台正面填土与桩共同承担水平地震作用;但不应计入承台底面与地基土间的摩擦力。
条文说明
4.4.2 桩基抗震验算方法已与《构筑物抗震设计规范》GB 50191和《建筑桩基技术规范》JGJ 94等协调。
关于地下室外墙侧的被动土压与桩共同承担地震水平力问题,大致有以下做法:假定由桩承担全部地震水平力;假定由地下室外的土承担全部水平力;由桩、土分担水平力(或由经验公式求出分担比,或用m法求土抗力或由有限元法计算)。目前看来,桩完全不承担地震水平力的假定偏于不安全,因为从日本的资料来看,桩基的震害是相当多的,因此这种做法不宜采用;由桩承受全部地震力的假定又过于保守。日本1984年发布的“建筑基础抗震设计规程”提出下列估算桩所承担的地震剪力的公式:

上述公式主要根据是对地上(3~10)层、地下(1~4)层、平面14m×14m的塔楼所作的一系列试算结果。在这些计算中假定抗地震水平的因素有桩、前方的被动土抗力,侧面土的摩擦力三部分。土性质为标贯值N=10~20,q(单轴压强)为0.5kg/cm2~1.0kg/cm2(黏土)。土的摩擦抗力与水平位移成以下弹塑性关系:位移≤1cm时抗力呈线性变化,当位移>1cm时抗力保持不变。被动土抗力最大值取朗肯被动土压,达到最大值之前土抗力与水平位移呈线性关系。由于背景材料只包括高度45m以下的建筑,对45m以上的建筑没有相应的计算资料。但从计算结果的发展趋势推断,对更高的建筑其值估计不超过0.9,因而桩负担的地震力宜在(0.3~0.9)V0之间取值。 关于不计桩基承台底面与土的摩阻力为抗地震水平力的组成部分问题:主要是因为这部分摩阻力不可靠:软弱黏性土有震陷问题,一般黏性土也可能因桩身摩擦力产生的桩间土在附加应力下的压缩使土与承台脱空;欠固结土有固结下沉问题;非液化的砂砾则有震密问题等。实践中不乏有静载下桩台与土脱空的报导,地震情况下震后桩台与土脱空的报导也屡见不鲜。此外,计算摩阻力亦很困难,因为解答此问题须明确桩基在竖向荷载作用下的桩、土荷载分担比。出于上述考虑,为安全计,本条规定不应考虑承台与土的摩擦阻抗。
对于疏桩基础,如果桩的设计承载力按桩极限荷载取用则可以考虑承台与土间的摩阻力。因为此时承台与土不会脱空,且桩、土的竖向荷载分担比也比较明确。
4.4.3 存在液化土层的低承台桩基抗震验算,应符合下列规定:
1 承台埋深较浅时,不宜计入承台周围土的抗力或刚性地坪对水平地震作用的分担作用。
2 当桩承台底面上、下分别有厚度不小于1.5m、1.0m的非液化土层或非软弱土层时,可按下列二种情况进行桩的抗震验算,并按不利情况设计:
1)桩承受全部地震作用,桩承载力按本规范第4.4.2条取用,液化土的桩周摩阻力及桩水平抗力均应乘以表4.4.3的折减系数。

2)地震作用按水平地震影响系数最大值的10%采用,桩承载力仍按本规范第4.4.2条1款取用,但应扣除液化土层的全部摩阻力及桩承台下2m深度范围内非液化土的桩周摩阻力。
3 打入式预制桩及其他挤土桩,当平均桩距为2.5~4倍桩径且桩数不少于5×5时,可计入打桩对土的加密作用及桩身对液化土变形限制的有利影响。当打桩后桩间土的标准贯入锤击数值达到不液化的要求时,单桩承载力可不折减,但对桩尖持力层作强度校核时,桩群外侧的应力扩散角应取为零。打桩后桩间土的标准贯入锤击数宜由试验确定,也可按下式计算:

条文说明
4.4.3 本条中规定的液化土中桩的抗震验算原则和方法主要考虑了以下情况:
1 不计承台旁的土抗力或地坪的分担作用是出于安全考虑,拟将此作为安全储备,主要是目前对液化土中桩的地震作用与土中液化进程的关系尚未弄清。 2 根据地震反应分析与振动台试验,地面加速度最大时刻出现在液化土的孔压比为小于1(常为0.5~0.6)时,此时土尚未充分液化,只是刚度比未液化时下降很多,因之对液化土的刚度作折减。折减系数的取值与构筑物抗震设计规范基本一致。
3 液化土中孔隙水压力的消散往往需要较长的时间。地震时土中孔压不会排泄消散,往往于震后才出现喷砂冒水,这一过程通常持续几小时甚至一二天,其间常有沿桩与基础四周排水现象,这说明此时桩身摩阻力已大减,从而出现竖向承载力不足和缓慢的沉降,因此应按静力荷载组合校核桩身的强度与承载力。
式(4.4.3)主要根据由工程实践中总结出来的打桩前后土性变化规律,并已在许多工程实例中得到验证。
4.4.4 处于液化土中的桩基承台周围,宜用密实干土填筑夯实,若用砂土或粉土则应使土层的标准贯入锤击数不小于本规范第4.3.4条规定的液化判别标准贯入锤击数临界值。
4.4.5 液化土和震陷软土中桩的配筋范围,应自桩顶至液化深度以下符合全部消除液化沉陷所要求的深度,其纵向钢筋应与桩顶部相同,箍筋应加粗和加密。 ( 自2022年1月1日起废止该条,详见新规 《建筑与市政工程抗震通用规范》GB 55002-2021)
条文说明
4.4.5 本条在保证桩基安全方面是相当关键的。桩基理论分析已经证明,地震作用下的桩基在软、硬土层交界面处最易受到剪、弯损害。日本1995年阪神地震后对许多桩基的实际考查也证实了这一点,但在采用m法的桩身内力计算方法中却无法反映,目前除考虑桩土相互作用的地震反应分析可以较好地反映桩身受力情况外,还没有简便实用的计算方法保证桩在地震作用下的安全,因此必须采取有效的构造措施。本条的要点在于保证软土或液化土层附近桩身的抗弯和抗剪能力。
4.4.6 在有液化侧向扩展的地段,桩基除应满足本节中的其他规定外,尚应考虑土流动时的侧向作用力,且承受侧向推力的面积应按边桩外缘间的宽度计算。
5 地震作用和结构抗震验算
5.1 一般规定
5.1.1 各类建筑结构的地震作用,应符合下列规定:
1 一般情况下,应至少在建筑结构的两个主轴方向分别计算水平地震作用,各方向的水平地震作用应由该方向抗侧力构件承担。
2 有斜交抗侧力构件的结构,当相交角度大于15°时,应分别计算各抗侧力构件方向的水平地震作用。
3 质量和刚度分布明显不对称的结构,应计入双向水平地震作用下的扭转影响;其他情况,应允许采用调整地震作用效应的方法计入扭转影响。
4 8、9度时的大跨度和长悬臂结构及9度时的高层建筑,应计算竖向地震作用。
注:8、9度时采用隔震设计的建筑结构,应按有关规定计算竖向地震作用。 ( 自2022年1月1日起废止该条,详见新规 《建筑与市政工程抗震通用规范》GB 55002-2021)
条文说明
5.1.1 抗震设计时,结构所承受的“地震力”实际上是由于地震地面运动引起的动态作用,包括地震加速度、速度和动位移的作用,按照国家标准《建筑结构设计术语和符号标准》GB/T 50083的规定,属于间接作用,不可称为“荷载”,应称“地震作用”。
结构应考虑的地震作用方向有以下规定:
1 某一方向水平地震作用主要由该方向抗侧力构件承担,如该构件带有翼缘、翼墙等,尚应包括翼缘、翼墙的抗侧力作用。
2 考虑到地震可能来自任意方向,为此要求有斜交抗侧力构件的结构,应考虑对各构件的最不利方向的水平地震作用,一般即与该构件平行的方向。明确交角大于15°时,应考虑斜向地震作用。
3 不对称不均匀的结构是“不规则结构”的一种,同一建筑单元同一平面内质量、刚度分布不对称,或虽在本层平面内对称,但沿高度分布不对称的结构。需考虑扭转影响的结构,具有明显的不规则性。扭转计算应同时“考虑双向水平地震作用下的扭转影响”。
4 研究表明,对于较高的高层建筑,其竖向地震作用产生的轴力在结构上部是不可忽略的,故要求9度区高层建筑需考虑竖向地震作用。
5 关于大跨度和长悬臂结构,根据我国大陆和台湾地震的经验,9度和9度以上时,跨度大于18m的屋架、1.5m以上的悬挑阳台和走廊等震害严重甚至倒塌;8度时,跨度大于24m的屋架、2m以上的悬挑阳台和走廊等震害严重。
5.1.2 各类建筑结构的抗震计算,应采用下列方法:
1 高度不超过40m、以剪切变形为主且质量和刚度沿高度分布比较均匀的结构,以及近似于单质点体系的结构,可采用底部剪力法等简化方法。
2 除1款外的建筑结构,宜采用振型分解反应谱法。
3 特别不规则的建筑、甲类建筑和表5.1.2—1所列高度范围的高层建筑,应采用时程分析法进行多遇地震下的补充计算;当取三组加速度时程曲线输入时,计算结果宜取时程法的包络值和振型分解反应谱法的较大值;当取七组及七组以上的时程曲线时,计算结果可取时程法的平均值和振型分解反应谱法的较大值。
采用时程分析法时,应按建筑场地类别和设计地震分组选用实际强震记录和人工模拟的加速度时程曲线,其中实际强震记录的数量不应少于总数的2/3,多组时程曲线的平均地震影响系数曲线应与振型分解反应谱法所采用的地震影响系数曲线在统计意义上相符,其加速度时程的最大值可按表5.1.2—2采用。弹性时程分析时,每条时程曲线计算所得结构底部剪力不应小于振型分解反应谱法计算结果的65%,多条时程曲线计算所得结构底部剪力的平均值不应小于振型分解反应谱法计算结果的80%。

4 计算罕遇地震下结构的变形,应按本规范第5.5节规定,采用简化的弹塑性分析方法或弹塑性时程分析法。
5 平面投影尺度很大的空间结构,应根据结构形式和支承条件,分别按单点一致、多点、多向单点或多向多点输入进行抗震计算。按多点输入计算时,应考虑地震行波效应和局部场地效应。6度和7度Ⅰ、Ⅱ类场地的支承结构、上部结构和基础的抗震验算可采用简化方法,根据结构跨度、长度不同,其短边构件可乘以附加地震作用效应系数1.15~1.30;7度Ⅲ、Ⅳ类场地和8、9度时,应采用时程分析方法进行抗震验算。
6 建筑结构的隔震和消能减震设计,应采用本规范第12章规定的计算方法。
7 地下建筑结构应采用本规范第14章规定的计算方法。
条文说明
5.1.2 不同的结构采用不同的分析方法在各国抗震规范中均有体现,底部剪力法和振型分解反应谱法仍是基本方法,时程分析法作为补充计算方法,对特别不规则(参照本规范表3.4.3的规定)、特别重要的和较高的高层建筑才要求采用。所谓“补充”,主要指对计算结果的底部剪力、楼层剪力和层间位移进行比较,当时程分析法大于振型分解反应谱法时,相关部位的构件内力和配筋作相应的调整。
进行时程分析时,鉴于不同地震波输入进行时程分析的结果不同,本条规定一般可以根据小样本容量下的计算结果来估计地震作用效应值。通过大量地震加速度记录输入不同结构类型进行时程分析结果的统计分析,若选用不少于二组实际记录和一组人工模拟的加速度时程曲线作为输入,计算的平均地震效应值不小于大样本容量平均值的保证率在85%以上,而且一般也不会偏大很多。当选用数量较多的地震波,如5组实际记录和2组人工模拟时程曲线,则保证率更高。所谓“在统计意义上相符”指的是,多组时程波的平均地震影响系数曲线与振型分解反应谱法所用的地震影响系数曲线相比,在对应于结构主要振型的周期点上相差不大于20%。计算结果在结构主方向的平均底部剪力一般不会小于振型分解反应谱法计算结果的80%,每条地震波输入的计算结果不会小于65%。从工程角度考虑,这样可以保证时程分析结果满足最低安全要求。但计算结果也不能太大,每条地震波输入计算不大于135%,平均不大于120%。
正确选择输入的地震加速度时程曲线,要满足地震动三要素的要求,即频谱特性、有效峰值和持续时间均要符合规定。
频谱特性可用地震影响系数曲线表征,依据所处的场地类别和设计地震分组确定。
加速度的有效峰值按规范表5.1.2—2中所列地震加速度最大值采用,即以地震影响系数最大值除以放大系数(约2.25)得到。计算输入的加速度曲线的峰值,必要时可比上述有效峰值适当加大。当结构采用三维空间模型等需要双向(二个水平向)或三向(二个水平和一个竖向)地震波输入时,其加速度最大值通常按1(水平1) :0.85(水平2) :0.65(竖向)的比例调整。人工模拟的加速度时程曲线,也应按上述要求生成。
输入的地震加速度时程曲线的有效持续时间,一般从首次达到该时程曲线最大峰值的10%那一点算起,到最后一点达到最大峰值的10%为止;不论是实际的强震记录还是人工模拟波形,有效持续时间一般为结构基本周期的(5~10)倍,即结构顶点的位移可按基本周期往复(5~10)次。
抗震性能设计所需要对应于设防地震(中震)的加速度最大峰值,即本规范表3.2.2的设计基本地震加速度值,对应的地震影响系数最大值,见本规范3.10节。
本次修订,增加了平面投影尺度很大的大跨空间结构地震作用的下列计算要求:
1 平面投影尺度很大的空间结构,指跨度大于120m、或长度大于300m、或悬臂大于40m的结构。
2 关于结构形式和支承条件
对周边支承空间结构,如:网架,单、双层网壳,索穹顶,弦支穹顶屋盖和下部圈梁-框架结构,当下部支承结构为一个整体、且与上部空间结构侧向刚度比大于等于2时,可采用三向(水平两向加竖向)单点一致输入计算地震作用;当下部支承结构由结构缝分开、且每个独立的支承结构单元与上部空间结构侧向刚度比小于2时,应采用三向多点输入计算地震作用;对两线边支承空间结构,如:拱,拱桁架;门式刚架,门式桁架;圆柱面网壳等结构,当支承于独立基础时,应采用三向多点输入计算地震作用;对长悬臂空间结构,应视其支承结构特点,采用多向单点一致输入、或多向多点输入计算地震作用。
3 关于单点一致输入、多向单点输入、多点输入和多向多点输入单点一致输入,即仅对基础底部输入一致的加速度反应谱或加速度时程进行结构计算。
多向单点输入,即沿空间结构基础底部,三向同时输入,其地震动参数(加速度峰值或反应谱最大值)比例取:水平主向:水平次向:竖向=1.00:0.85:0.65。
多点输入,即考虑地震行波效应和局部场地效应,对各独立基础或支承结构输入不同的设计反应谱或加速度时程进行计算,估计可能造成的地震效应。对于6度和7度Ⅰ、Ⅱ类场地上的大跨空间结构,多点输入下的地震效应不太明显,可以采用简化计算方法,乘以附加地震作用效应系数,跨度越大、场地条件越差,附加地震作用系数越大;对于7度Ⅲ、Ⅳ场地和8、9度区,多点输入下的地震效应比较明显,应考虑行波和局部场地效应对输入加速度时程进行修正,采用结构时程分析方法进行多点输入下的抗震验算。
多向多点输入,即同时考虑多向和多点输入进行计算。
4 关于行波效应
研究证明,地震传播过程的行波效应、相干效应和局部场地效应对于大跨空间结构的地震效应有不同程度的影响,其中,以行波效应和场地效应的影响较为显著,一般情况下,可不考虑相干效应。对于周边支承空间结构,行波效应影响表现在对大跨屋盖系统和下部支承结构;对于两线边支承空间结构,行波效应通过支座影响到上部结构。
行波效应将使不同点支承结构或支座处的加速度峰值不同,相位也不同,从而使不同点的设计反应谱或加速度时程不同,计算分析应考虑这些差异。由于地震动是一种随机过程,多点输入时,应考虑最不利的组合情况。行波效应与潜在震源、传播路径、场地的地震地质特性有关,当需要进行多点输入计算分析时,应对此作专门研究。
5 关于局部场地效应
当独立基础或支承结构下卧土层剖面地质条件相差较大时,可采用一维或二维模型计算求得基础底部的土层地震反应谱或加速度时程、或按土层等效剪切波速对基岩地震反应谱或加速度时程进行修正后,作为多点输入的地震反应谱或加速度时程。当下卧土层剖面地质条件比较均匀时,可不考虑局部场地效应,不需要对地震反应谱或加速度时程进行修正。
5.1.3 计算地震作用时,建筑的重力荷载代表值应取结构和构配件自重标准值和各可变荷载组合值之和。各可变荷载的组合值系数,应按表5.1.3采用。 ( 自2022年1月1日起废止该条,详见新规 《建筑与市政工程抗震通用规范》GB 55002-2021) 
条文说明
5.1.3 按现行国家标准《建筑结构可靠度设计统一标准》GB 50068的原则规定,地震发生时恒荷载与其他重力荷载可能的遇合结果总称为“抗震设计的重力荷载代表值GE”,即永久荷载标准值与有关可变荷载组合值之和。组合值系数基本上沿用78规范的取值,考虑到藏书库等活荷载在地震时遇合的概率较大,故按等效楼面均布荷载计算活荷载时,其组合值系数为0.8。
表中硬钩吊车的组合值系数,只适用于一般情况,吊重较大时需按实际情况取值。
5.1.4 建筑结构的地震影响系数应根据烈度、场地类别、设计地震分组和结构自振周期以及阻尼比确定。其水平地震影响系数最大值应按表5.1.4—1采用;特征周期应根据场地类别和设计地震分组按表5.1.4—2采用,计算罕遇地震作用时,特征周期应增加0.05s。
注:周期大于6.0s的建筑结构所采用的地震影响系数应专门研究。 ( 自2022年1月1日起废止该条,详见新规 《建筑与市政工程抗震通用规范》GB 55002-2021) 
条文说明
5.1.4 本次修订,表5.1.4—1增加6度区罕遇地震的水平地震影响系数最大值。与第4章场地类别相对应,表5.1.4—2增加Ⅰ0类场地的特征周期。
5.1.5 建筑结构地震影响系数曲线(图5.1.5)的阻尼调整和形状参数应符合下列要求:
1 除有专门规定外,建筑结构的阻尼比应取0.05,地震影响系数曲线的阻尼调整系数应按1.0采用,形状参数应符合下列规定:
1)直线上升段,周期小于0.1s的区段。
2)水平段,自0.1s至特征周期区段,应取最大值(αmax)。
3)曲线下降段,自特征周期至5倍特征周期区段,衰减指数应取0.9。
4)直线下降段,自5倍特征周期至6s区段,下降斜率调整系数应取0.02。


条文说明
5.1.5 弹性反应谱理论仍是现阶段抗震设计的最基本理论,规范所采用的设计反应谱以地震影响系数曲线的形式给出。
本规范的地震影响系数的特点是:
1 同样烈度、同样场地条件的反应谱形状,随着震源机制、震级大小、震中距远近等的变化,有较大的差别,影响因素很多。在继续保留烈度概念的基础上,用设计地震分组的特征周期Tg予以反映。其中,Ⅰ、Ⅱ、Ⅲ类场地的特征周期值,2001规范较89规范的取值增大了0.05s;本次修订,计算罕遇地震作用时,特征周期Tg值又增大0.05s。这些改进,适当提高了结构的抗震安全性,也比较符合近年来得到的大量地震加速度资料的统计结果。
2 在T≤0.1s的范围内,各类场地的地震影响系数一律采用同样的斜线,使之符合T=0时(刚体)动力不放大的规律;在T≥Tg时,设计反应谱在理论上存在二个下降段,即速度控制段和位移控制段,在加速度反应谱中,前者衰减指数为1,后者衰减指数为2。设计反应谱是用来预估建筑结构在其设计基准期内可能经受的地震作用,通常根据大量实际地震记录的反应谱进行统计并结合工程经验判断加以规定。为保持规范的延续性,地震影响系数在T≤5Tg范围内与2001规范维持一致,各曲线的衰减指数为非整数;在T>5Tg的范围为倾斜下降段,不同场地类别的最小值不同,较符合实际反应谱的统计规律。对于周期大于6s的结构,地震影响系数仍专门研究。
3 按二阶段设计要求,在截面承载力验算时的设计地震作用,取众值烈度下结构按完全弹性分析的数值,据此调整了本规范相应的地震影响系数最大值,其取值继续与按78规范各结构影响系数C折减的平均值大致相当。在罕遇地震的变形验算时,按超越概率2%~3%提供了对应的地震影响系数最大值。
4 考虑到不同结构类型建筑的抗震设计需要,提供了不同阻尼比(0.02~0.30)地震影响系数曲线相对于标准的地震影响系数(阻尼比为0.05)的修正方法。根据实际强震记录的统计分析结果,这种修正可分二段进行:在反应谱平台段(α=αmax),修正幅度最大;在反应谱上升段(T<Tg)和下降段(T>Tg),修正幅度变小;在曲线两端(0s和6s),不同阻尼比下的α系数趋向接近。
本次修订,保持2001规范地震影响系数曲线的计算表达式不变,只对其参数进行调整,达到以下效果:
1 阻尼比为5%的地震影响系数与2001规范相同,维持不变。
2 基本解决了2001规范在长周期段,不同阻尼比地震影响系数曲线交叉、大阻尼曲线值高于小阻尼曲线值的不合理现象。
Ⅰ、Ⅱ、Ⅲ类场地的地震影响系数曲线在周期接近6s时,基本交汇在一点上,符合理论和统计规律。
3 降低了小阻尼(2%~3.5%)的地震影响系数值,最大降低幅度达18%。略微提高了阻尼比6%~10%的地震影响系数值,长周期部分最大增幅约5%。
4 适当降低了大阻尼(20%~30%)的地震影响系数值,在5Tg周期以内,基本不变,长周期部分最大降幅约10%,有利于消能减震技术的推广应用。 
5.1.6 结构的截面抗震验算,应符合下列规定:
1 6度时的建筑(不规则建筑及建造于Ⅳ类场地上较高的高层建筑除外),以及生土房屋和木结构房屋等,应符合有关的抗震措施要求,但应允许不进行截面抗震验算。
2 6度时不规则建筑、建造于Ⅳ类场地上较高的高层建筑,7度和7度以上的建筑结构(生土房屋和木结构房屋等除外),应进行多遇地震作用下的截面抗震验算。
注:采用隔震设计的建筑结构,其抗震验算应符合有关规定。 ( 自2022年1月1日起废止该条,详见新规 《建筑与市政工程抗震通用规范》GB 55002-2021)
条文说明
5.1.6 在强烈地震下,结构和构件并不存在最大承载力极限状态的可靠度。从根本上说,抗震验算应该是弹塑性变形能力极限状态的验算。研究表明,地震作用下结构和构件的变形和其最大承载能力有密切的联系,但因结构的不同而异。本条继续保持89规范和2001规范关于不同的结构应采取不同验算方法的规定。
1 当地震作用在结构设计中基本上不起控制作用时,例如6度区的大多数建筑,以及被地震经验所证明者,可不做抗震验算,只需满足有关抗震构造要求。但“较高的高层建筑(以后各章同)”,诸如高于40m的钢筋混凝土框架、高于60m的其他钢筋混凝土民用房屋和类似的工业厂房,以及高层钢结构房屋,其基本周期可能大于Ⅳ类场地的特征周期Tg,则6度的地震作用值可能相当于同一建筑在7度Ⅱ类场地下的取值,此时仍须进行抗震验算。本次修订增加了6度设防的不规则建筑应进行抗震验算的要求。
2 对于大部分结构,包括6度设防的上述较高的高层建筑和不规则建筑,可以将设防地震下的变形验算,转换为以多遇地震下按弹性分析获得的地震作用效应(内力)作为额定统计指标,进行承载力极限状态的验算,即只需满足第一阶段的设计要求,就可具有比78规范适当提高的抗震承载力的可靠度,保持了规范的延续性。
3 我国历次大地震的经验表明,发生高于基本烈度的地震是可能的,设计时考虑“大震不倒”是必要的,规范要求对薄弱层进行罕遇地震下变形验算,即满足第二阶段设计的要求。89规范仅对框架、填充墙框架、高大单层厂房等(这些结构,由于存在明显的薄弱层,在唐山地震中倒塌较多)及特殊要求的建筑做了要求,2001规范对其他结构,如各类钢筋混凝土结构、钢结构、采用隔震和消能减震技术的结构,也需要进行第二阶段设计。
5.1.7 符合本规范第5.5节规定的结构,除按规定进行多遇地震作用下的截面抗震验算外,尚应进行相应的变形验算。
5.2 水平地震作用计算
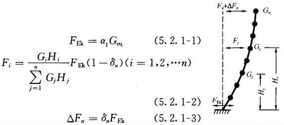
5.2.1 采用底部剪力法时,各楼层可仅取一个自由度,结构的水平地震作用标准值,应按下列公式确定(图5. 2.1):



2 水平地震作用效应(弯矩、剪力、轴向力和变形),当相邻振型的周期比小于0.85时,可按下式确定:

条文说明
5.2.1 底部剪力法视多质点体系为等效单质点系。根据大量的计算分析,本条继续保持89规范的如下规定:
1 引入等效质量系数0.85,它反映了多质点系底部剪力值与对应单质点系(质量等于多质点系总质量,周期等于多质点系基本周期)剪力值的差异。
2 地震作用沿高度倒三角形分布,在周期较长时顶部误差可达25%,故引入依赖于结构周期和场地类别的顶点附加集中地震力予以调整。单层厂房沿高度分布在9章中已另有规定,故本条不重复调整(取δn=0)。
5.2.2 对于振型分解法,由于时程分析法亦可利用振型分解法进行计算,故加上“反应谱”以示区别。为使高柔建筑的分析精度有所改进,其组合的振型个数适当增加。振型个数一般可以取振型参与质量达到总质量90%所需的振型数。
随机振动理论分析表明,当结构体系的振型密集、两个振型的周期接近时,振型之间的耦联明显。在阻尼比均为5%的情况下,由本规范式(5.2.3—6)可以得出(如图10所示):当相邻振型的周期比为0.85时,耦联系数大约为0.27,采用平方和开方SRSS方法进行振型组合的误差不大;而当周期比为0.90时,耦联系数增大一倍,约为0.50,两个振型之间的互相影响不可忽略。这时,计算地震作用效应不能采用SRSS组合方法,而应采用完全方根组合CQC方法,如本规范式(5.2.3—5)和式(5.2.3—6)所示。 
5.2.3 水平地震作用下,建筑结构的扭转耦联地震效应应符合下列要求:
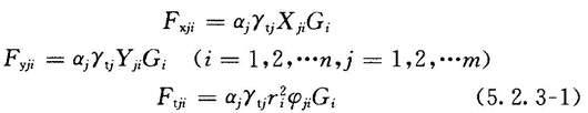
1 规则结构不进行扭转耦联计算时,平行于地震作用方向的两个边榀各构件,其地震作用效应应乘以增大系数。一般情况下,短边可按1.15采用,长边可按1.05采用;当扭转刚度较小时,周边各构件宜按不小于1.3采用。角部构件宜同时乘以两个方向各自的增大系数。
2 按扭转耦联振型分解法计算时,各楼层可取两个正交的水平位移和一个转角共三个自由度,并应按下列公式计算结构的地震作用和作用效应。确有依据时,尚可采用简化计算方法确定地震作用效应。
1)j振型i层的水平地震作用标准值,应按下列公式确定:



3)双向水平地震作用下的扭转耦联效应,可按下列公式中的较大值确定:

条文说明
5.2.3 地震扭转效应是一个极其复杂的问题,一般情况,宜采用较规则的结构体型,以避免扭转效应。体型复杂的建筑结构,即使楼层“计算刚心”和质心重合,往往仍然存在明显的扭转效应。因此,89规范规定,考虑结构扭转效应时,一般只能取各楼层质心为相对坐标原点,按多维振型分解法计算,其振型效应彼此耦连,用完全二次型方根法组合,可以由计算机运算。
89规范修订过程中,提出了许多简化计算方法,例如,扭转效应系数法,表示扭转时某榀抗侧力构件按平动分析的层剪力效应的增大,物理概念明确,而数值依赖于各类结构大量算例的统计。对低于40m的框架结构,当各层的质心和“计算刚心”接近于两串轴线时,根据上千个算例的分析,若偏心参数ε满足0.1<ε<0.3,则边榀框架的扭转效应增大系数η=0.65+4.5ε。偏心参数的计算公式是,其中,ey、sy分别为i层刚心和i层边榀框架距i层以上总质心的距离(y方向),Kx、Kφ分别为i层平动刚度和绕质心的扭刚度。其他类型结构,如单层厂房也有相应的扭转效应系数。对单层结构,多采用基于刚心和质心概念的动力偏心距法估算。这些简化方法各有一定的适用范围,故规范要求在确有依据时才可用来近似估计。
本次修订,保持了2001规范的如下改进:
1 即使对于平面规则的建筑结构,国外的多数抗震设计规范也考虑由于施工、使用等原因所产生的偶然偏心引起的地震扭转效应及地震地面运动扭转分量的影响。故要求规则结构不考虑扭转耦联计算时,应采用增大边榀构件地震内力的简化处理方法。
2 增加考虑双向水平地震作用下的地震效应组合。根据强震观测记录的统计分析,二个水平方向地震加速度的最大值不相等,二者之比约为1:0.85;而且两个方向的最大值不一定发生在同一时刻,因此采用平方和开方计算二个方向地震作用效应的组合。条文中的地震作用效应,系指两个正交方向地震作用在每个构件的同一局部坐标方向的地震作用效应,如χ方向地震作用下在局部坐标χi向的弯矩Mxx和y方向地震作用下在局部坐标χi方向的弯矩Mxy;按不利情况考虑时,则取上述组合的最大弯矩与对应的剪力,或上述组合的最大剪力与对应的弯矩,或上述组合的最大轴力与对应的弯矩等等。 3 扭转刚度较小的结构,例如某些核心筒-外稀柱框架结构或类似的结构,第一振型周期为Tθ,或满足Tθ>0.75Txl,或Tθ>0.75Tyl,对较高的高层建筑,0.75Tθ>Tx2,或0.75Tθ>Ty2,均需考虑地震扭转效应。但如果考虑扭转影响的地震作用效应小于考虑偶然偏心引起的地震效应时,应取后者以策安全。但现阶段,偶然偏心与扭转二者不需要同时参与计算。
4 增加了不同阻尼比时耦联系数的计算方法,以供高层钢结构等使用。
5.2.4 采用底部剪力法时,突出屋面的屋顶间、女儿墙、烟囱等的地震作用效应,宜乘以增大系数3,此增大部分不应往下传递,但与该突出部分相连的构件应予计入;采用振型分解法时,突出屋面部分可作为一个质点;单层厂房突出屋面天窗架的地震作用效应的增大系数,应按本规范第9章的有关规定采用。
条文说明
5.2.4 突出屋面的小建筑,一般按其重力荷载小于标准层1/3控制。
对于顶层带有空旷大房间或轻钢结构的房屋,不宜视为突出屋面的小屋并采用底部剪力法乘以增大系数的办法计算地震作用效应,而应视为结构体系一部分,用振型分解法等计算。
5.2.5 抗震验算时,结构任一楼层的水平地震剪力应符合下式要求: ( 自2022年1月1日起废止该条,详见新规 《建筑与市政工程抗震通用规范》GB 55002-2021) 
条文说明
5.2.5 由于地震影响系数在长周期段下降较快,对于基本周期大于3.5s的结构,由此计算所得的水平地震作用下的结构效应可能太小。而对于长周期结构,地震动态作用中的地面运动速度和位移可能对结构的破坏具有更大影响,但是规范所采用的振型分解反应谱法尚无法对此作出估计。出于结构安全的考虑,提出了对结构总水平地震剪力及各楼层水平地震剪力最小值的要求,规定了不同烈度下的剪力系数,当不满足时,需改变结构布置或调整结构总剪力和各楼层的水平地震剪力使之满足要求。例如,当结构底部的总地震剪力略小于本条规定而中、上部楼层均满足最小值时,可采用下列方法调整:若结构基本周期位于设计反应谱的加速度控制段时,则各楼层均需乘以同样大小的增大系数;若结构基本周期位于反应谱的位移控制段时,则各楼层i均需按底部的剪力系数的差值△λ0增加该层的地震剪力——△FEki=△λ0GEi;若结构基本周期位于反应谱的速度控制段时,则增加值应大于△λ0GEi,顶部增加值可取动位移作用和加速度作用二者的平均值,中间各层的增加值可近似按线性分布。
需要注意:①当底部总剪力相差较多时,结构的选型和总体布置需重新调整,不能仅采用乘以增大系数方法处理。②只要底部总剪力不满足要求,则结构各楼层的剪力均需要调整,不能仅调整不满足的楼层。③满足最小地震剪力是结构后续抗震计算的前提,只有调整到符合最小剪力要求才能进行相应的地震倾覆力矩、构件内力、位移等等的计算分析;即意味着,当各层的地震剪力需要调整时,原先计算的倾覆力矩、内力和位移均需要相应调整。④采用时程分析法时,其计算的总剪力也需符合最小地震剪力的要求。⑤本条规定不考虑阻尼比的不同,是最低要求,各类结构,包括钢结构、隔震和消能减震结构均需一律遵守。
扭转效应明显与否一般可由考虑耦联的振型分解反应谱法分析结果判断,例如前三个振型中,二个水平方向的振型参与系数为同一个量级,即存在明显的扭转效应。对于扭转效应明显或基本周期小于3.5s的结构,剪力系数取0.2αmax,保证足够的抗震安全度。对于存在竖向不规则的结构,突变部位的薄弱楼层,尚应按本规范3.4.4条的规定,再乘以不小于1.15的系数。
本次修订增加了6度区楼层最小地震剪力系数值。
5.2.6 结构的楼层水平地震剪力,应按下列原则分配:
1 现浇和装配整体式混凝土楼、屋盖等刚性楼、屋盖建筑,宜按抗侧力构件等效刚度的比例分配。
2 木楼盖、木屋盖等柔性楼、屋盖建筑,宜按抗侧力构件从属面积上重力荷载代表值的比例分配。
3 普通的预制装配式混凝土楼、屋盖等半刚性楼、屋盖的建筑,可取上述两种分配结果的平均值。
4 计入空间作用、楼盖变形、墙体弹塑性变形和扭转的影响时,可按本规范各有关规定对上述分配结果作适当调整。
5.2.7 结构抗震计算,一般情况下可不计入地基与结构相互作用的影响;8度和9度时建造于Ⅲ、Ⅳ类场地,采用箱基、刚性较好的筏基和桩箱联合基础的钢筋混凝土高层建筑,当结构基本自振周期处于特征周期的1.2倍至5倍范围时,若计入地基与结构动力相互作用的影响,对刚性地基假定计算的水平地震剪力可按下列规定折减,其层间变形可按折减后的楼层剪力计算。
1 高宽比小于3的结构,各楼层水平地震剪力的折减系数,可按下式计算:

2 高宽比不小于3的结构,底部的地震剪力按第1款规定折减,顶部不折减,中间各层按线性插入值折减。
3 折减后各楼层的水平地震剪力,应符合本规范第5.2.5条的规定。
条文说明
5.2.7 由于地基和结构动力相互作用的影响,按刚性地基分析的水平地震作用在一定范围内有明显的折减。考虑到我国的地震作用取值与国外相比还较小,故仅在必要时才利用这一折减。研究表明,水平地震作用的折减系数主要与场地条件、结构自振周期、上部结构和地基的阻尼特性等因素有关,柔性地基上的建筑结构的折减系数随结构周期的增大而减小,结构越刚,水平地震作用的折减量越大。89规范在统计分析基础上建议,框架结构折减10%,抗震墙结构折减15%~20%。研究表明,折减量与上部结构的刚度有关,同样高度的框架结构,其刚度明显小于抗震墙结构,水平地震作用的折减量也减小,当地震作用很小时不宜再考虑水平地震作用的折减。据此规定了可考虑地基与结构动力相互作用的结构自振周期的范围和折减量。
研究表明,对于高宽比较大的高层建筑,考虑地基与结构动力相互作用后水平地震作用的折减系数并非各楼层均为同一常数,由于高振型的影响,结构上部几层的水平地震作用一般不宜折减。大量计算分析表明,折减系数沿楼层高度的变化较符合抛物线型分布,2001规范提供了建筑顶部和底部的折减系数的计算公式。对于中间楼层,为了简化,采用按高度线性插值方法计算折减系数。本次修订保留了这一规定。
5.3 竖向地震作用计算
5.3.1 9度时的高层建筑,其竖向地震作用标准值应按下列公式确定(图5.3.1);楼层的竖向地震作用效应可按各构件承受的重力荷载代表值的比例分配,并宜乘以增大系数1.5。

条文说明
5.3.1 高层建筑的竖向地震作用计算,是89规范增加的规定。输入竖向地震加速度波的时程反应分析发现,高层建筑由竖向地震引起的轴向力在结构的上部明显大于底部,是不可忽视的。作为简化方法,原则上与水平地震作用的底部剪力法类似:结构竖向振动的基本周期较短,总竖向地震作用可表示为竖向地震影响系数最大值和等效总重力荷载代表值的乘积;沿高度分布按第一振型考虑,也采用倒三角形分布;在楼层平面内的分布,则按构件所承受的重力荷载代表值分配。只是等效质量系数取0.75。
根据台湾921大地震的经验,2001规范要求高层建筑楼层的竖向地震作用效应应乘以增大系数1.5,使结构总竖向地震作用标准值,8、9度分别略大于重力荷载代表值的10%和20%。
隔震设计时,由于隔震垫不仅不隔离竖向地震作用反而有所放大,与隔震后结构的水平地震作用相比,竖向地震作用往往不可忽视,计算方法在本规范12章具体规定。
5.3.2 跨度、长度小于本规范第5.1.2条第5款规定且规则的平板型网架屋盖和跨度大于24m的屋架、屋盖横梁及托架的竖向地震作用标准值,宜取其重力荷载代表值和竖向地震作用系数的乘积;竖向地震作用系数可按表5.3.2采用。

条文说明
5.3.2 用反应谱法、时程分析法等进行结构竖向地震反应的计算分析研究表明,对一般尺度的平板型网架和大跨度屋架各主要杆件,竖向地震内力和重力荷载下的内力之比值,彼此相差一般不太大,此比值随烈度和场地条件而异,且当结构周期大于特征周期时,随跨度的增大,比值反而有所下降。由于在常用的跨度范围内,这个下降还不很大,为了简化,本规范略去跨度的影响。
5.3.3 长悬臂构件和不属于本规范第5.3.2条的大跨结构的竖向地震作用标准值,8度和9度可分别取该结构、构件重力荷载代表值的10%和20%,设计基本地震加速度为0.30g时,可取该结构、构件重力荷载代表值的15%。
条文说明
5.3.3 对长悬臂等大跨度结构的竖向地震作用计算,本次修订未修改,仍采用78规范的静力法。
5.3.4 大跨度空间结构的竖向地震作用,尚可按竖向振型分解反应谱方法计算。其竖向地震影响系数可采用本规范第5.1.4、第5.1.5条规定的水平地震影响系数的65%,但特征周期可均按设计第一组采用。
条文说明
5.3.4 空间结构的竖向地震作用,除了第5.3.2、第5.3.3条的简化方法外,还可采用竖向振型的振型分解反应谱方法。对于竖向反应谱,各国学者有一些研究,但研究成果纳入规范的不多。现阶段,多数规范仍采用水平反应谱的65%,包括最大值和形状参数。但认为竖向反应谱的特征周期与水平反应谱相比,尤其在远震中距时,明显小于水平反应谱。故本条规定,特征周期均按第一组采用。对处于发震断裂10km以内的场地,竖向反应谱的最大值可能接近于水平谱,但特征周期小于水平谱。
5.4 截面抗震验算
条文说明
本节基本同89规范,仅按《建筑结构可靠度设计统一标准》GB 50068(以下简称《统一标准》)的修订,对符号表达做了修改,并修改了钢结构的γRE。
5.4.1 结构构件的地震作用效应和其他荷载效应的基本组合,应按下式计算:


条文说明
5.4.1在设防烈度的地震作用下,结构构件承载力按《统一标准》计算的可靠指标β是负值,难于按《统一标准》的要求进行设计表达式的分析。因此,89规范以来,在第一阶段的抗震设计时取相当于众值烈度下的弹性地震作用作为额定设计指标,使此时的设计表达式可按《统一标准》的要求导出。 1地震作用分项系数的确定 在众值烈度下的地震作用,应视为可变作用而不是偶然作用。这样,根据《统一标准》中确定直接作用(荷载)分项系数的方法,通过综合比较,本规范
标准89版修订时, 对水平地震作用,确定γEh=1.3,至于竖向地震作用分项系数,则参照水平地震作用,也取 γ Ev=1.3。当竖向与水平地震作用同时考虑时,根据加速度峰值记录和反应谱的分析,二者的组合比为1:0.4,故 γ Eh=1.3, γ Ev=0.4×1.3≈0.5。
此次修订 2010年修订时 ,考虑大跨、大悬臂结构的竖向地震作用效应比较显著,表5.4.1增加了同时计算水平与竖向地震作用(竖向地震为主)的组合。
此外,按照《统一标准》的规定,当重力荷载对结构构件承载力有利时,取 γ G=1.0。
此次局部修订,匹配《建筑与市政工程抗震通用规范》GB55002-2021的规定,调整有关荷载分项系数的取值要求。
2抗震验算中作用组合值系数的确定
本 规范 标准 在计算地震作用时,已经考虑了地震作用与各种重力荷载(恒荷载与活荷载、雪荷载等)的组合问题,在本 规范 标准 5.1.3条中规定了一组组合值系数,形成了抗震设计的重力荷载代表值,本 规范 标准 继续沿用78规范在验算和计算地震作用时(除吊车悬吊重力外)对重力荷载均采用相同的组合值系数的规定,可简化计算,并避免有两种不同的组合值系数。因此,本条中仅出现风荷载的组合值系数,并按《统一标准》的方法,将78规范的取值予以转换得到。这里,所谓风荷载起控制作用,指风荷载和地震作用产生的总剪力和倾覆力矩相当的情况。
3地震作用标准值的效应
规范 本标准 的作用效应组合是建立在弹性分析叠加原理基础上的,考虑到抗震计算模型的简化和塑性内力分布与弹性内力分布的差异等因素,本条中还规定,对地震作用效应,当本 规范 标准 各章有规定时尚应乘以相应的效应调整系数η,如突出屋面小建筑、天窗架、高低跨厂房交接处的柱子、框架柱,底层框架-抗震墙结构的柱子、梁端和抗震墙底部加强部位的剪力等的增大系数。
4关于重要性系数
根据地震作用的特点、抗震设计的现状,以及抗震设防分类与《统一标准》中安全等级的差异,重要性系数对抗震设计的实际意义不大,本 规范 标准 对建筑重要性的处理仍采用抗震措施的改变来实现,不考虑此项系数。
5.4.2结构构件的截面抗震验算,应采用下列设计表达式: ( 自2022年1月1日起废止该条,详见新规 《建筑与市政工程抗震通用规范》GB 55002-2021)

条文说明
5.4.1 在设防烈度的地震作用下,结构构件承载力按《统一标准》计算的可靠指标β是负值,难于按《统一标准》的要求进行设计表达式的分析。因此,89规范以来,在第一阶段的抗震设计时取相当于众值烈度下的弹性地震作用作为额定设计指标,使此时的设计表达式可按《统一标准》的要求导出。
1 地震作用分项系数的确定
在众值烈度下的地震作用,应视为可变作用而不是偶然作用。这样,根据《统一标准》中确定直接作用(荷载)分项系数的方法,通过综合比较,本规范对水平地震作用,确定γEh=1.3,至于竖向地震作用分项系数,则参照水平地震作用,也取γEv=1.3。当竖向与水平地震作用同时考虑时,根据加速度峰值记录和反应谱的分析,二者的组合比为1:0.4,故γEh=1.3,γEv=0.4×1.3≈0.5。
此次修订,考虑大跨、大悬臂结构的竖向地震作用效应比较显著,表5.4.1增加了同时计算水平与竖向地震作用(竖向地震为主)的组合。
此外,按照《统一标准》的规定,当重力荷载对结构构件承载力有利时,取γG=1.0。
2 抗震验算中作用组合值系数的确定
本规范在计算地震作用时,已经考虑了地震作用与各种重力荷载(恒荷载与活荷载、雪荷载等)的组合问题,在本规范5.1.3条中规定了一组组合值系数,形成了抗震设计的重力荷载代表值,本规范继续沿用78规范在验算和计算地震作用时(除吊车悬吊重力外)对重力荷载均采用相同的组合值系数的规定,可简化计算,并避免有两种不同的组合值系数。因此,本条中仅出现风荷载的组合值系数,并按《统一标准》的方法,将78规范的取值予以转换得到。这里,所谓风荷载起控制作用,指风荷载和地震作用产生的总剪力和倾覆力矩相当的情况。
3 地震作用标准值的效应
规范的作用效应组合是建立在弹性分析叠加原理基础上的,考虑到抗震计算模型的简化和塑性内力分布与弹性内力分布的差异等因素,本条中还规定,对地震作用效应,当本规范各章有规定时尚应乘以相应的效应调整系数η,如突出屋面小建筑、天窗架、高低跨厂房交接处的柱子、框架柱,底层框架-抗震墙结构的柱子、梁端和抗震墙底部加强部位的剪力等的增大系数。
4 关于重要性系数
根据地震作用的特点、抗震设计的现状,以及抗震设防分类与《统一标准》中安全等级的差异,重要性系数对抗震设计的实际意义不大,本规范对建筑重要性的处理仍采用抗震措施的改变来实现,不考虑此项系数。
5.4.2 结构在设防烈度下的抗震验算根本上应该是弹塑性变形验算,但为减少验算工作量并符合设计习惯,对大部分结构,将变形验算转换为众值烈度地震作用下构件承载力验算的形式来表现。按照《统一标准》的原则,89规范与78规范在众值烈度下有基本相同的可靠指标,研究发现,78规范钢结构构件的可靠指标比混凝土结构构件明显偏低,故89规范予以适当提高,使之与砌体、混凝土构件有相近的可靠指标;而且随着非抗震设计材料指标的提高,2001规范各类材料结构的抗震可靠性也略有提高。基于此前提,在确定地震作用分项系数取1.3的同时,则可得到与抗力标准值Rk相应的最优抗力分项系数,并进一步转换为抗震的抗力函数(即抗震承载力设计值RdE),使抗力分项系数取1.0或不出现。本规范砌体结构的截面抗震验算,就是这样处理的。
现阶段大部分结构构件截面抗震验算时,采用了各有关规范的承载力设计值Rd,因此,抗震设计的抗力分项系数,就相应地变为非抗震设计的构件承载力设计值的抗震调整系数γRE,即γRE=Rd/RdE或RdE=Rd/γRE。还需注意,地震作用下结构的弹塑性变形直接依赖于结构实际的屈服强度(承载力),本节的承载力是设计值,不可误作为标准值来进行本章5.5节要求的弹塑性变形验算。
本次修订,配合钢结构构件、连接的内力调整系数的变化,调整了其承载力抗震调整系数的取值。
5.4.3 当仅计算竖向地震作用时,各类结构构件承载力抗震调整系数均应采用1.0。 ( 自2022年1月1日起废止该条,详见新规 《建筑与市政工程抗震通用规范》GB 55002-2021)
条文说明
5.4.3 本条在2008年局部修订时,提升为强制性条文。
5.5 抗震变形验算
5.5.1 表5.5.1所列各类结构应进行多遇地震作用下的抗震变形验算,其楼层内最大的弹性层间位移应符合下式要求:

条文说明
5.5.1 根据本规范所提出的抗震设防三个水准的要求,采用二阶段设计方法来实现,即:在多遇地震作用下,建筑主体结构不受损坏,非结构构件(包括围护墙、隔墙、幕墙、内外装修等)没有过重破坏并导致人员伤亡,保证建筑的正常使用功能;在罕遇地震作用下,建筑主体结构遭受破坏或严重破坏但不倒塌。根据各国规范的规定、震害经验和实验研究结果及工程实例分析,采用层间位移角作为衡量结构变形能力从而判别是否满足建筑功能要求的指标是合理的。
对各类钢筋混凝土结构和钢结构要求进行多遇地震作用下的弹性变形验算,实现第一水准下的设防要求。弹性变形验算属于正常使用极限状态的验算,各作用分项系数均取1.0。钢筋混凝土结构构件的刚度,国外规范规定需考虑一定的非线性而取有效刚度,本规范规定与位移限值相配套,一般可取弹性刚度;当计算的变形较大时,宜适当考虑构件开裂时的刚度退化,如取0.85EcIo。
第一阶段设计,变形验算以弹性层间位移角表示。不同结构类型给出弹性层间位移角限值范围,主要依据国内外大量的试验研究和有限元分析的结果,以钢筋混凝土构件(框架柱、抗震墙等)开裂时的层间位移角作为多遇地震下结构弹性层间位移角限值。
计算时,一般不扣除由于结构重力P-△效应所产生的水平相对位移;高度超过150m或H/B>6的高层建筑,可以扣除结构整体弯曲所产生的楼层水平绝对位移值,因为以弯曲变形为主的高层建筑结构,这部分位移在计算的层间位移中占有相当的比例,加以扣除比较合理。如未扣除,位移角限值可有所放宽。
框架结构试验结果表明,对于开裂层间位移角,不开洞填充墙框架为1/2500,开洞填充墙框架为1/926;有限元分析结果表明,不带填充墙时为1/800,不开洞填充墙时为1/2000。本规范不再区分有填充墙和无填充墙,均按89规范的1/550采用,并仍按构件截面弹性刚度计算。
对于框架-抗震墙结构的抗震墙,其开裂层间位移角:试验结果为1/3300~1/1100,有限元分析结果为1/4000~1/2500,取二者的平均值约为1/3000~1/1600。2001规范统计了我国当时建成的124幢钢筋混凝土框-墙、框-筒、抗震墙、筒结构高层建筑的结构抗震计算结果,在多遇地震作用下的最大弹性层间位移均小于1/800,其中85%小于1/1200。因此对框-墙、板柱-墙、框-筒结构的弹性位移角限值范围为1/800;对抗震墙和筒中筒结构层间弹性位移角限值范围为1/1000,与现行的混凝土高层规程相当;对框支层要求较框-墙结构加严,取1/1000。
钢结构在弹性阶段的层间位移限值,日本建筑法施行令定为层高的1/200。参照美国加州规范(1988)对基本自振周期大于0.7s的结构的规定,本规范取1/250。
单层工业厂房的弹性层间位移角需根据吊车使用要求加以限制,严于抗震要求,因此不必再对地震作用下的弹性位移加以限制;弹塑性层间位移的计算和限值在本规范第5.5.4和第5.5.5条有规定,单层钢筋混凝土柱排架为1/30。因此本条不再单列对于单层工业厂房的弹性位移限值。
多层工业厂房应区分结构材料(钢和混凝土)和结构类型(框、排架),分别采用相应的弹性及弹塑性层间位移角限值,框排架结构中的排架柱的弹塑性层间位移角限值,在本规范附录H第H.1节中规定为1/30。
5.5.2 结构在罕遇地震作用下薄弱层的弹塑性变形验算,应符合下列要求:
1 下列结构应进行弹塑性变形验算:
1)8度Ⅲ、Ⅳ类场地和9度时,高大的单层钢筋混凝土柱厂房的横向排架;
2)7~9度时楼层屈服强度系数小于0.5的钢筋混凝土框架结构和框排架结构;
3)高度大于150m的结构;
4)甲类建筑和9度时乙类建筑中的钢筋混凝土结构和钢结构;
5)采用隔震和消能减震设计的结构。
2 下列结构宜进行弹塑性变形验算:
1)本规范表5.1.2-1所列高度范围且属于本规范表3.4.3-2所列竖向不规则类型的高层建筑结构;
2)7度Ⅲ、Ⅳ类场地和8度时乙类建筑中的钢筋混凝土结构和钢结构;
3)板柱-抗震墙结构和底部框架砌体房屋;
4)高度不大于150m的其他高层钢结构;
5)不规则的地下建筑结构及地下空间综合体。
注:楼层屈服强度系数为按钢筋混凝土构件实际配筋和材料强度标准值计算的楼层受剪承载力和按罕遇地震作用标准值计算的楼层弹性地震剪力的比值;对排架柱,指按实际配筋面积、材料强度标准值和轴向力计算的正截面受弯承载力与按罕遇地震作用标准值计算的弹性地震弯矩的比值。
条文说明
5.5.2 震害经验表明,如果建筑结构中存在薄弱层或薄弱部位,在强烈地震作用下,由于结构薄弱部位产生了弹塑性变形,结构构件严重破坏甚至引起结构倒塌;属于乙类建筑的生命线工程中的关键部位在强烈地震作用下一旦遭受破坏将带来严重后果,或产生次生灾害或对救灾、恢复重建及生产、生活造成很大影响。除了89规范所规定的高大的单层工业厂房的横向排架、楼层屈服强度系数小于0.5的框架结构、底部框架砖房等之外,板柱-抗震墙及结构体系不规则的某些高层建筑结构和乙类建筑也要求进行罕遇地震作用下的抗震变形验算。采用隔震和消能减震技术的建筑结构,对隔震和消能减震部件应有位移限制要求,在罕遇地震作用下隔震和消能减震部件应能起到降低地震效应和保护主体结构的作用,因此要求进行抗震变形验算。
考虑到弹塑性变形计算的复杂性,对不同的建筑结构提出不同的要求。随着弹塑性分析模型和软件的发展和改进,本次修订进一步增加了弹塑性变形验算的范围。
5.5.3 结构在罕遇地震作用下薄弱层(部位)弹塑性变形计算,可采用下列方法:
1 不超过12层且层刚度无突变的钢筋混凝土框架和框排架结构、单层钢筋混凝土柱厂房可采用本规范第5.5.4条的简化计算法;
2 除1款以外的建筑结构,可采用静力弹塑性分析方法或弹塑性时程分析法等。
3 规则结构可采用弯剪层模型或平面杆系模型,属于本规范第3.4节规定的不规则结构应采用空间结构模型。
条文说明
5.5.3 对建筑结构在罕遇地震作用下薄弱层(部位)弹塑性变形计算,12层以下且层刚度无突变的框架结构及单层钢筋混凝土柱厂房可采用规范的简化方法计算;较为精确的结构弹塑性分析方法,可以是三维的静力弹塑性(如push-over方法)或弹塑性时程分析方法;有时尚可采用塑性内力重分布的分析方法等。
5.5.4 结构薄弱层(部位)弹塑性层间位移的简化计算,宜符合下列要求:
1 结构薄弱层(部位)的位置可按下列情况确定:
1)楼层屈服强度系数沿高度分布均匀的结构,可取底层;
2)楼层屈服强度系数沿高度分布不均匀的结构,可取该系数最小的楼层(部位)和相对较小的楼层,一般不超过2~3处;
3)单层厂房,可取上柱。
2 弹塑性层间位移可按下列公式计算:

条文说明
5.5.4 钢筋混凝土框架结构及高大单层钢筋混凝土柱厂房等结构,在大地震中往往受到严重破坏甚至倒塌。实际震害分析及实验研究表明,除了这些结构刚度相对较小而变形较大外,更主要的是存在承载力验算所没有发现的薄弱部位——其承载力本身虽满足设计地震作用下抗震承载力的要求,却比相邻部位要弱得多。对于单层厂房,这种破坏多发生在8度Ⅲ、Ⅳ类场地和9度区,破坏部位是上柱,因为上柱的承载力一般相对较小且其下端的支承条件不如下柱。对于底部框架-抗震墙结构,则底部和过渡层是明显的薄弱部位。
迄今,各国规范的变形估计公式有三种;一是按假想的完全弹性体计算;二是将额定的地震作用下的弹性变形乘以放大系数,即△up=ηp△ue;三是按时程分析法等专门程序计算。其中采用第二种的最多,本条继续保持89规范所采用的方法。
1 根据数千个(1~15)层剪切型结构采用理想弹塑性恢复力模型进行弹塑性时程分析的计算结果,获得如下统计规律:
1)多层结构存在“塑性变形集中”的薄弱层是一种普遍现象,其位置,对屈服强度系数ζy分布均匀的结构多在底层,分布不均匀结构则在ζy最小处和相对较小处,单层厂房往往在上柱。
2)多层剪切型结构薄弱层的弹塑性变形与弹性变形之间有相对稳定的关系。
对于屈服强度系数ζy均匀的多层结构,其最大的层间弹塑变形增大系数ηp可按层数和ζy的差异用表格形式给出;对于ζy不均匀的结构,其情况复杂,在弹性刚度沿高度变化较平缓时,可近似用均匀结构的ηp适当放大取值;对其他情况,一般需要用静力弹塑性分析、弹塑性时程分析法或内力重分布法等予以估计。
2 本规范的设计反应谱是在大量单质点系的弹性反应分析基础上统计得到的“平均值”,弹塑性变形增大系数也在统计平均意义下有一定的可靠性。当然,还应注意简化方法都有其适用范围。此外,如采用延性系数来表示多层结构的层间变形,可用μ=ηp/ζy计算。
3 计算结构楼层或构件的屈服强度系数时,实际承载力应取截面的实际配筋和材料强度标准值计算,钢筋混凝土梁柱的正截面受弯实际承载力公式如下:

4 2001规范修订过程中,对不超过20层的钢框架和框架-支撑结构的薄弱层层间弹塑性位移的简化计算公式开展了研究。利用DRAIN-2D程序对三跨的平面钢框架和中跨为交叉支撑的三跨钢结构进行了不同层数钢结构的弹塑性地震反应分析。主要计算参数如下:结构周期,框架取0.1N(层数),支撑框架取0.09N;恢复力模型,框架取屈服后刚度为弹性刚度0.02的不退化双线性模型,支撑框架的恢复力模型同时考虑了压屈后的强度退化和刚度退化;楼层屈服剪力,框架的一般层约为底层的0.7,支撑框架的一般层约为底层的0.9;底层的屈服强度系数为0.7~0.3;在支撑框架中,支撑承担的地震剪力为总地震剪力的75%,框架部分承担25%;地震波取80条天然波。
根据计算结果的统计分析发现:①纯框架结构的弹塑性位移反应与弹性位移反应差不多,弹塑性位移增大系数接近1;②随着屈服强度系数的减小,弹塑性位移增大系数增大;③楼层屈服强度系数较小时,由于支撑的屈曲失效效应,支撑框架的弹塑性位移增大系数大于框架结构。
以下是15层和20层钢结构的弹塑性增大系数的统计数值(平均值加一倍方差):

上述统计值与89规范对剪切型结构的统计值有一定的差异,可能与钢结构基本周期较长、弯曲变形所占比重较大,采用杆系模型时楼层屈服强度系数计算,以及钢结构恢复力模型的屈服后刚度取为初始刚度的0.02而不是理想弹塑性恢复力模型等有关。

条文说明
5.5.5 在罕遇地震作用下,结构要进入弹塑性变形状态。根据震害经验、试验研究和计算分析结果,提出以构件(梁、柱、墙)和节点达到极限变形时的层间极限位移角作为罕遇地震作用下结构弹塑性层间位移角限值的依据。
国内外许多研究结果表明,不同结构类型的不同结构构件的弹塑性变形能力是不同的,钢筋混凝土结构的弹塑性变形主要由构件关键受力区的弯曲变形、剪切变形和节点区受拉钢筋的滑移变形等三部分非线性变形组成。影响结构层间极限位移角的因素很多,包括:梁柱的相对强弱关系,配箍率、轴压比、剪跨比、混凝土强度等级、配筋率等,其中轴压比和配箍率是最主要的因素。
钢筋混凝土框架结构的层间位移是楼层梁、柱、节点弹塑性变形的综合结果,美国对36个梁-柱组合试件试验结果表明,极限侧移角的分布为1/27~1/8,我国学者对数十榀填充墙框架的试验结果表明,不开洞填充墙和开洞填充墙框架的极限侧移角平均分别为1/30和1/38。本条规定框架和板柱-框架的位移角限值为1/50是留有安全储备的。
由于底部框架砌体房屋沿竖向存在刚度突变,因此对其混凝土框架部分适当从严;同时,考虑到底部框架一般均带一定数量的抗震墙,故类比框架-抗震墙结构,取位移角限值为1/100。
钢筋混凝土结构在罕遇地震作用下,抗震墙要比框架柱先进入弹塑性状态,而且最终破坏也相对集中在抗震墙单元。日本对176个带边框柱抗震墙的试验研究表明,抗震墙的极限位移角的分布为1/333~1/125,国内对11个带边框低矮抗震墙试验所得到的极限位移角分布为1/192~1/112。在上述试验研究结果的基础上,取1/120作为抗震墙和筒中筒结构的弹塑性层间位移角限值。考虑到框架-抗震墙结构、板柱-抗震墙和框架-核心筒结构中大部分水平地震作用由抗震墙承担,弹塑性层间位移角限值可比框架结构的框架柱严,但比抗震墙和筒中筒结构要松,故取1/100。高层钢结构,美国ATC3-06规定,Ⅱ类危险性的建筑(容纳人数较多),层间最大位移角限值为1/67;美国AISC《房屋钢结构抗震规定》(1997)中规定,与小震相比,大震时的位移角放大系数,对双重抗侧力体系中的框架-中心支撑结构取5,对框架-偏心支撑结构,取4。如果弹性位移角限值为1/300,则对应的弹塑性位移角限值分别大于1/60和1/75。考虑到钢结构在构件稳定有保证时具有较好的延性,弹塑性层间位移角限值适当放宽至1/50。
鉴于甲类建筑在抗震安全性上的特殊要求,其层间变位角限值应专门研究确定。
6 多层和高层钢筋混凝土房屋
6.1 一般规定
6.1.1 本章适用的现浇钢筋混凝土房屋的结构类型和最大高度应符合表6.1.1的要求。平面和竖向均不规则的结构,适用的最大高度宜适当降低。
注:本章“抗震墙”指结构抗侧力体系中的钢筋混凝土剪力墙,不包括只承担重力荷载的混凝土墙。

注:1 房屋高度指室外地面到主要屋面板板顶的高度(不包括局部突出屋顶部分);
2 框架-核心筒结构指周边稀柱框架与核心筒组成的结构;
3 部分框支抗震墙结构指首层或底部两层为框支层的结构,不包括仅个别框支墙的情况;
4 表中框架,不包括异形柱框架;
5 板柱-抗震墙结构指板柱、框架和抗震墙组成抗侧力体系的结构;
6 乙类建筑可按本地区抗震设防烈度确定其适用的最大高度;
7 超过表内高度的房屋,应进行专门研究和论证,采取有效的加强措施。
条文说明
6.1.1 本章适用于现浇钢筋混凝土多层和高层房屋,包括采用符合本章第6.1.7条要求的装配整体式楼屋盖的房屋。
对采用钢筋混凝土材料的高层建筑,从安全和经济诸方面综合考虑,其适用最大高度应有限制。当钢筋混凝土结构的房屋高度超过最大适用高度时,应通过专门研究,采取有效加强措施,如采用型钢混凝土构件、钢管混凝土构件等,并按建设部部长令的有关规定进行专项审查。 与2001规范相比,本章对适用最大高度的修改如下:
1 补充了8度(0.3g)时的最大适用高度,按8度和9度之间内插且偏于8度。
2 框架结构的适用最大高度,除6度外有所降低。
3 板柱-抗震墙结构的适用最大高度,有所增加。
4 删除了在Ⅳ类场地适用的最大高度应适当降低的规定。
5 对于平面和竖向均不规则的结构,适用的最大高度适当降低的规范用词,由“应”改为“宜”,一般减少10%左右。对于部分框支结构,表6.1.1的适用高度已经考虑框支的不规则而比全落地抗震墙结构降低,故对于框支结构的“竖向和平面均不规则”,指框支层以上的结构同时存在竖向和平面不规则的情况。 还需说明:
仅有个别墙体不落地,例如不落地墙的截面面积不大于总截面面积的10%,只要框支部分的设计合理且不致加大扭转不规则,仍可视为抗震墙结构,其适用最大高度仍可按全部落地的抗震墙结构确定。
框架-核心筒结构存在抗扭不利和加强层刚度突变问题,其适用最大高度略低于筒中筒结构。框架-核心筒结构中,带有部分仅承受竖向荷载的无梁楼盖时,不作为表6.1.1的板柱-抗震墙结构对待。
6.1.2 钢筋混凝土房屋应根据设防类别、烈度、结构类型和房屋高度采用不同的抗震等级,并应符合相应的计算和构造措施要求。丙类建筑的抗震等级应按表6.1.2确定。 ( 自2022年1月1日起废止该条,详见新规 《建筑与市政工程抗震通用规范》GB 55002-2021) 

注:1 建筑场地为Ⅰ类时,除6度外应允许按表内降低一度所对应的抗震等级采取抗震构造措施,但相应的计算要求不应降低;
2 接近或等于高度分界时,应允许结合房屋不规则程度及场地、地基条件确定抗震等级;
3 大跨度框架指跨度不小于18m的框架;
4 高度不超过60m的框架-核心筒结构按框架-抗震墙的要求设计时,应按表中框架-抗震墙结构的规定确定其抗震等级。
条文说明
6.1.2 钢筋混凝土房屋的抗震等级是重要的设计参数,89规范就明确规定应根据设防类别、结构类型、烈度和房屋高度四个因素确定。抗震等级的划分,体现了对不同抗震设防类别、不同结构类型、不同烈度、同一烈度但不同高度的钢筋混凝土房屋结构延性要求的不同,以及同一种构件在不同结构类型中的延性要求的不同。
钢筋混凝土房屋结构应根据抗震等级采取相应的抗震措施。这里,抗震措施包括抗震计算时的内力调整措施和各种抗震构造措施。因此,乙类建筑应提高一度查表6.1.2确定其抗震等级。 本章条文中,“X级框架”包括框架结构、框架-抗震墙结构、框支层和框架-核心筒结构、板柱-抗震墙结构中的框架,“X级框架结构”仅指框架结构的框架,“X级抗震墙”包括抗震墙结构、框架-抗震墙结构、筒体结构和板柱-抗震墙结构中的抗震墙。
本次修订的主要变化如下:
1 注意到《民用建筑设计通则》GB 50362规定,住宅10层及以上为高层建筑,多层公共建筑高度24m以上为高层建筑。本次修订,将框架结构的30m高度分界改为24m;对于7、8、9度时的框架-抗震墙结构,抗震墙结构以及部分框支抗震墙结构,增加24m作为一个高度分界,其抗震等级比2001规范降低一级,但四级不再降低,框支层框架不降低,总体上与89规范对“低层较规则结构”的要求相近。
2 明确了框架-核心筒结构的高度不超过60m时,当按框架-抗震墙结构的要求设计时,其抗震等级按框架-抗震墙结构的规定采用。
3 将“大跨度公共建筑”改为“大跨度框架”,并明确其跨度按18m划分。
6.1.3 钢筋混凝土房屋抗震等级的确定,尚应符合下列要求:
1 设置少量抗震墙的框架结构,在规定的水平力作用下,底层框架部分所承担的地震倾覆力矩大于结构总地震倾覆力矩的50%时,其框架的抗震等级应按框架结构确定,抗震墙的抗震等级可与其框架的抗震等级相同。
注:底层指计算嵌固端所在的层。
2 裙房与主楼相连,除应按裙房本身确定抗震等级外,相关范围不应低于主楼的抗震等级;主楼结构在裙房顶板对应的相邻上下各一层应适当加强抗震构造措施。裙房与主楼分离时,应按裙房本身确定抗震等级。
3 当地下室顶板作为上部结构的嵌固部位时,地下一层的抗震等级应与上部结构相同,地下一层以下抗震构造措施的抗震等级可逐层降低一级,但不应低于四级。地下室中无上部结构的部分,抗震构造措施的抗震等级可根据具体情况采用三级或四级。
4 当甲乙类建筑按规定提高一度确定其抗震等级而房屋的高度超过本规范表6.1.2相应规定的上界时,应采取比一级更有效的抗震构造措施。
注:本章“一、二、三、四级”即“抗震等级为一、二、三、四级”的简称。
条文说明
6.1.3 本条是关于混凝土结构抗震等级的进一步补充规定。
1 关于框架和抗震墙组成的结构的抗震等级。设计中有三种情况:其一,个别或少量框架,此时结构属于抗震墙体系的范畴,其抗震墙的抗震等级,仍按抗震墙结构确定;框架的抗震等级可参照框架-抗震墙结构的框架确定。其二,当框架-抗震墙结构有足够的抗震墙时,其框架部分是次要抗侧力构件,按本规范表6.1.2框架-抗震墙结构确定抗震等级;89规范要求其抗震墙底部承受的地震倾覆力矩不小于结构底部总地震倾覆力矩的50%。其三,墙体很少,即2001规范规定“在基本振型地震作用下,框架部分承受的地震倾覆力矩大于结构总地震倾覆力矩的50%”,其框架部分的抗震等级应按框架结构确定。对于这类结构,本次修订进一步明确以下几点:一是将“在基本振型地震作用下”改为“在规定的水平力作用下”,“规定的水平力”的含义见本规范第3.4节;二是明确底层框架部分所承担的地震倾覆力矩大于结构总地震倾覆力矩的50%时仍属于框架结构范畴;三是删除了“最大适用高度可比框架结构适当增加”的规定;四是补充规定了其抗震墙的抗震等级。
框架部分按刚度分配的地震倾覆力矩的计算公式,保持2001规范的规定不变: 
在框架结构中设置少量抗震墙,往往是为了增大框架结构的刚度、满足层间位移角限值的要求,仍然属于框架结构范畴,但层间位移角限值需按底层框架部分承担倾覆力矩的大小,在框架结构和框架-抗震墙结构两者的层间位移角限值之间偏于安全内插。
2 关于裙房的抗震等级。裙房与主楼相连,主楼结构在裙房顶板对应的上下各一层受刚度与承载力突变影响较大,抗震构造措施需要适当加强。裙房与主楼之间设防震缝,在大震作用下可能发生碰撞,该部位也需要采取加强措施。
裙房与主楼相连的相关范围,一般可从主楼周边外延3跨且不小于20m,相关范围以外的区域可按裙房自身的结构类型确定其抗震等级。裙房偏置时,其端部有较大扭转效应,也需要加强。
3 关于地下室的抗震等级。带地下室的多层和高层建筑,当地下室结构的刚度和受剪承载力比上部楼层相对较大时(参见本规范第6.1.14条),地下室顶板可视作嵌固部位,在地震作用下的屈服部位将发生在地上楼层,同时将影响到地下一层。地面以下地震响应逐渐减小,规定地下一层的抗震等级不能降低;而地下一层以下不要求计算地震作用,规定其抗震构造措施的抗震等级可逐层降低(图11)。 
4 关于乙类建筑的抗震等级。根据《建筑工程抗震设防分类标准》GB 50223的规定,乙类建筑应按提高一度查本规范表6.1.2确定抗震等级(内力调整和构造措施)。本规范第6.1.1条规定,乙类建筑的钢筋混凝土房屋可按本地区抗震设防烈度确定其适用的最大高度,于是可能出现7度乙类的框支结构房屋和8度乙类的框架结构、框架-抗震墙结构、部分框支抗震墙结构、板柱-抗震墙结构的房屋提高一度后,其高度超过本规范表6.1.2中抗震等级为一级的高度上界。此时,内力调整不提高,只要求抗震构造措施“高于一级”,大体与《高层建筑混凝土结构技术规程》JGJ 3中特一级的构造要求相当。
6.1.4 钢筋混凝土房屋需要设置防震缝时,应符合下列规定:
1 防震缝宽度应分别符合下列要求:
1)框架结构(包括设置少量抗震墙的框架结构)房屋的防震缝宽度,当高度不超过15m时不应小于100mm;高度超过15m时,6度、7度、8度和9度分别每增加高度5m、4m、3m和2m,宜加宽20mm;
2)框架-抗震墙结构房屋的防震缝宽度不应小于本款1)项规定数值的70%,抗震墙结构房屋的防震缝宽度不应小于本款1)项规定数值的50%;且均不宜小于100mm;
3)防震缝两侧结构类型不同时,宜按需要较宽防震缝的结构类型和较低房屋高度确定缝宽。
2 8、9度框架结构房屋防震缝两侧结构层高相差较大时,防震缝两侧框架柱的箍筋应沿房屋全高加密,并可根据需要在缝两侧沿房屋全高各设置不少于两道垂直于防震缝的抗撞墙。抗撞墙的布置宜避免加大扭转效应,其长度可不大于1/2层高,抗震等级可同框架结构;框架构件的内力应按设置和不设置抗撞墙两种计算模型的不利情况取值。
条文说明
6.1.4 震害表明,本条规定的防震缝宽度的最小值,在强烈地震下相邻结构仍可能局部碰撞而损坏,但宽度过大会给立面处理造成困难。因此,是否设置防震缝应按本规范第3.4.5条的要求判断。
防震缝可以结合沉降缝要求贯通到地基,当无沉降问题时也可以从基础或地下室以上贯通。当有多层地下室,上部结构为带裙房的单塔或多塔结构时,可将裙房用防震缝自地下室以上分隔,地下室顶板应有良好的整体性和刚度,能将地震剪力分布到整个地下室结构。
8、9度框架结构房屋防震缝两侧层高相差较大时,可在防震缝两侧房屋的尽端沿全高设置垂直于防震缝的抗撞墙,通过抗撞墙的损坏减少防震缝两侧碰撞时框架的破坏。本次修订,抗撞墙的长度由2001规范的可不大于一个柱距,修改为“可不大于层高的1/2”。结构单元较长时,抗撞墙可能引起较大温度内力,也可能有较大扭转效应,故设置时应综合分析(图12)。 
6.1.5 框架结构和框架-抗震墙结构中,框架和抗震墙均应双向设置,柱中线与抗震墙中线、梁中线与柱中线之间偏心距大于柱宽的1/4时,应计入偏心的影响。
甲、乙类建筑以及高度大于24m的丙类建筑,不应采用单跨框架结构;高度不大于24m的丙类建筑不宜采用单跨框架结构。
条文说明
6.1.5 梁中线与柱中线之间、柱中线与抗震墙中线之间有较大偏心距时,在地震作用下可能导致核芯区受剪面积不足,对柱带来不利的扭转效应。当偏心距超过1/4柱宽时,需进行具体分析并采取有效措施,如采用水平加腋梁及加强柱的箍筋等。
2008年局部修订,本条增加了控制单跨框架结构适用范围的要求。框架结构中某个主轴方向均为单跨,也属于单跨框架结构;某个主轴方向有局部的单跨框架,可不作为单跨框架结构对待。一、二层的连廊采用单跨框架时,需要注意加强。框-墙结构中的框架,可以是单跨。
6.1.6 框架-抗震墙、板柱-抗震墙结构以及框支层中,抗震墙之间无大洞口的楼、屋盖的长宽比,不宜超过表6.1.6的规定;超过时,应计入楼盖平面内变形的影响。

条文说明
6.1.6 楼、屋盖平面内的变形,将影响楼层水平地震剪力在各抗侧力构件之间的分配。为使楼、屋盖具有传递水平地震剪力的刚度,从78规范起,就提出了不同烈度下抗震墙之间不同类型楼、屋盖的长宽比限值。超过该限值时,需考虑楼、屋盖平面内变形对楼层水平地震剪力分配的影响。本次修订,8度框架-抗震墙结构装配整体式楼、屋盖的长宽比由2.5调整为2;适当放宽板柱-抗震墙结构现浇楼、屋盖的长宽比。
6.1.7 采用装配整体式楼、屋盖时,应采取措施保证楼、屋盖的整体性及其与抗震墙的可靠连接。装配整体式楼、屋盖采用配筋现浇面层加强时,其厚度不应小于50mm。
条文说明
6.1.7 预制板的连接不足时,地震中将造成严重的震害。需要特别加强。在混凝土结构中,本规范仅适用于采用符合要求的装配整体式混凝土楼、屋盖。
6.1.8 框架-抗震墙结构和板柱-抗震墙结构中的抗震墙设置,宜符合下列要求:
1 抗震墙宜贯通房屋全高。
2 楼梯间宜设置抗震墙,但不宜造成较大的扭转效应。
3 抗震墙的两端(不包括洞口两侧)宜设置端柱或与另一方向的抗震墙相连。
4 房屋较长时,刚度较大的纵向抗震墙不宜设置在房屋的端开间。
5 抗震墙洞口宜上下对齐;洞边距端柱不宜小于300mm。
条文说明
6.1.8 在框架-抗震墙结构和板柱-抗震墙结构中,抗震墙是主要抗侧力构件,竖向布置应连续,防止刚度和承载力突变。本次修订,增加结合楼梯间布置抗震墙形成安全通道的要求;将2001规范“横向与纵向的抗震墙宜相连”改为“抗震墙的两端(不包括洞口两侧)宜设置端柱,或与另一方向的抗震墙相连”,明确要求两端设置端柱或翼墙;取消抗震墙设置在不需要开洞部位的规定,以及连梁最大跨高比和最小高度的规定。
6.1.9 抗震墙结构和部分框支抗震墙结构中的抗震墙设置,应符合下列要求:
1 抗震墙的两端(不包括洞口两侧)宜设置端柱或与另一方向的抗震墙相连;框支部分落地墙的两端(不包括洞口两侧)应设置端柱或与另一方向的抗震墙相连。
2 较长的抗震墙宜设置跨高比大于6的连梁形成洞口,将一道抗震墙分成长度较均匀的若干墙段,各墙段的高宽比不宜小于3。
3 墙肢的长度沿结构全高不宜有突变;抗震墙有较大洞口时,以及一、二级抗震墙的底部加强部位,洞口宜上下对齐。
4 矩形平面的部分框支抗震墙结构,其框支层的楼层侧向刚度不应小于相邻非框支层楼层侧向刚度的50%;框支层落地抗震墙间距不宜大于24m,框支层的平面布置宜对称,且宜设抗震筒体;底层框架部分承担的地震倾覆力矩,不应大于结构总地震倾覆力矩的50%。
条文说明
6.1.9 本次修订,增加纵横向墙体互为翼墙或设置端柱的要求。 部分框支抗震墙属于抗震不利的结构体系,本规范的抗震措施只限于框支层不超过两层的情况。本次修订,明确部分框支抗震墙结构的底层框架应满足框架-抗震墙结构对框架部分承担地震倾覆力矩的限值——框支层不应设计为少墙框架体系(图13)。
为提高较长抗震墙的延性,分段后各墙段的总高度与墙宽之比,由不应小于2改为不宜小于3(图14)。 
6.1.10 抗震墙底部加强部位的范围,应符合下列规定:
1 底部加强部位的高度,应从地下室顶板算起。
2 部分框支抗震墙结构的抗震墙,其底部加强部位的高度,可取框支层加框支层以上两层的高度及落地抗震墙总高度的1/10二者的较大值。其他结构的抗震墙,房屋高度大于24m时,底部加强部位的高度可取底部两层和墙体总高度的1/10二者的较大值;房屋高度不大于24m时,底部加强部位可取底部一层。
3 当结构计算嵌固端位于地下一层的底板或以下时,底部加强部位尚宜向下延伸到计算嵌固端。
条文说明
6.1.10 延性抗震墙一般控制在其底部即计算嵌固端以上一定高度范围内屈服、出现塑性铰。设计时,将墙体底部可能出现塑性铰的高度范围作为底部加强部位,提高其受剪承载力,加强其抗震构造措施,使其具有大的弹塑性变形能力,从而提高整个结构的抗地震倒塌能力。
89规范的底部加强部位与墙肢高度和长度有关,不同长度墙肢的加强部位高度不同。为了简化设计,2001规范改为底部加强部位的高度仅与墙肢总高度相关。本次修订,将“墙体总高度的1/8”改为“墙体总高度的1/10”;明确加强部位的高度一律从地下室顶板算起;当计算嵌固端位于地面以下时,还需向下延伸,但加强部位的高度仍从地下室顶板算起。
此外,还补充了高度不超过24m的多层建筑的底部加强部位高度的规定。
有裙房时,按本规范第6.1.3条的要求,主楼与裙房顶对应的相邻上下层需要加强。此时,加强部位的高度也可以延伸至裙房以上一层。
6.1.11 框架单独柱基有下列情况之一时,宜沿两个主轴方向设置基础系梁:
1 一级框架和Ⅳ类场地的二级框架;
2 各柱基础底面在重力荷载代表值作用下的压应力差别较大;
3 基础埋置较深,或各基础埋置深度差别较大;
4 地基主要受力层范围内存在软弱黏性土层、液化土层或严重不均匀土层;
5 桩基承台之间。
6.1.12 框架-抗震墙结构、板柱-抗震墙结构中的抗震墙基础和部分框支抗震墙结构的落地抗震墙基础,应有良好的整体性和抗转动的能力。
条文说明
6.1.12 当地基土较弱,基础刚度和整体性较差,在地震作用下抗震墙基础将产生较大的转动,从而降低了抗震墙的抗侧力刚度,对内力和位移都将产生不利影响。
6.1.13 主楼与裙房相连且采用天然地基,除应符合本规范第4.2.4条的规定外,在多遇地震作用下主楼基础底面不宜出现零应力区。
条文说明
6.1.13 配合本规范第4.2.4条的规定,针对主楼与裙房相连的情况,明确其天然地基底部不宜出现零应力区。
6.1.14 地下室顶板作为上部结构的嵌固部位时,应符合下列要求:
1 地下室顶板应避免开设大洞口;地下室在地上结构相关范围的顶板应采用现浇梁板结构,相关范围以外的地下室顶板宜采用现浇梁板结构;其楼板厚度不宜小于180mm,混凝土强度等级不宜小于C30,应采用双层双向配筋,且每层每个方向的配筋率不宜小于0.25%。
2 结构地上一层的侧向刚度,不宜大于相关范围地下一层侧向刚度的0.5倍;地下室周边宜有与其顶板相连的抗震墙。
3 地下室顶板对应于地上框架柱的梁柱节点除应满足抗震计算要求外,尚应符合下列规定之一:
1)地下一层柱截面每侧纵向钢筋不应小于地上一层柱对应纵向钢筋的1.1倍,且地下一层柱上端和节点左右梁端实配的抗震受弯承载力之和应大于地上一层柱下端实配的抗震受弯承载力的1.3倍。
2)地下一层梁刚度较大时,柱截面每侧的纵向钢筋面积应大于地上一层对应柱每侧纵向钢筋面积的1.1倍;同时梁端顶面和底面的纵向钢筋面积均应比计算增大10%以上;
4 地下一层抗震墙墙肢端部边缘构件纵向钢筋的截面面积,不应少于地上一层对应墙肢端部边缘构件纵向钢筋的截面面积。
条文说明
6.1.14 为了能使地下室顶板作为上部结构的嵌固部位,本条规定了地下室顶板和地下一层的设计要求:
地下室顶板必须具有足够的平面内刚度,以有效传递地震基底剪力。地下室顶板的厚度不宜小于180mm,若柱网内设置多个次梁时,板厚可适当减小。这里所指地下室应为完整的地下室,在山(坡)地建筑中出现地下室各边填埋深度差异较大时,宜单独设置支档结构。
框架柱嵌固端屈服时,或抗震墙墙肢的嵌固端屈服时,地下一层对应的框架柱或抗震墙墙肢不应屈服。据此规定了地下一层框架柱纵筋面积和墙肢端部纵筋面积的要求。
“相关范围”一般可从地上结构(主楼、有裙房时含裙房)周边外延不大于20m。
当框架柱嵌固在地下室顶板时,位于地下室顶板的梁柱节点应按首层柱的下端为“弱柱”设计,即地震时首层柱底屈服、出现塑性铰。为实现首层柱底先屈服的设计概念,本规范提供了两种方法:
其一,按下式复核: 
设计时,梁柱纵向钢筋增加的比例也可不同,但柱的纵向钢筋至少比地上结构柱下端的钢筋增加10%。
其二,作为简化,当梁按计算分配的弯矩接近柱的弯矩时,地下室顶板的柱上端、梁顶面和梁底面的纵向钢筋均增加10%以上。可满足上式的要求。
6.1.15 楼梯间应符合下列要求:
1 宜采用现浇钢筋混凝土楼梯。
2 对于框架结构,楼梯间的布置不应导致结构平面特别不规则;楼梯构件与主体结构整浇时,应计入楼梯构件对地震作用及其效应的影响,应进行楼梯构件的抗震承载力验算;宜采取构造措施,减少楼梯构件对主体结构刚度的影响。
3 楼梯间两侧填充墙与柱之间应加强拉结。
条文说明
6.1.15 本条是新增的。发生强烈地震时,楼梯间是重要的紧急逃生竖向通道,楼梯间(包括楼梯板)的破坏会延误人员撤离及救援工作,从而造成严重伤亡。本次修订增加了楼梯间的抗震设计要求。对于框架结构,楼梯构件与主体结构整浇时,梯板起到斜支撑的作用,对结构刚度、承载力、规则性的影响比较大,应参与抗震计算;当采取措施,如梯板滑动支承于平台板,楼梯构件对结构刚度等的影响较小,是否参与整体抗震计算差别不大。对于楼梯间设置刚度足够大的抗震墙的结构,楼梯构件对结构刚度的影响较小,也可不参与整体抗震计算。
6.1.16 框架的填充墙应符合本规范第13章的规定。
6.1.17 高强混凝土结构抗震设计应符合本规范附录B的规定。
6.1.18 预应力混凝土结构抗震设计应符合本规范附录C的规定。
6.2 计算要点
6.2.1 钢筋混凝土结构应按本节规定调整构件的组合内力设计值,其层间变形应符合本规范第5.5节的有关规定。构件截面抗震验算时,非抗震的承载力设计值应除以本规范规定的承载力抗震调整系数;凡本章和本规范附录未作规定者,应符合现行有关结构设计规范的要求。
6.2.2 一、二、三、四级框架的梁柱节点处,除框架顶层和柱轴压比小于0.15者及框支梁与框支柱的节点外,柱端组合的弯矩设计值应符合下式要求:

一级的框架结构和9度的一级框架可不符合上式要求,但应符合下式要求:

当反弯点不在柱的层高范围内时,柱端截面组合的弯矩设计值可乘以上述柱端弯矩增大系数。
条文说明
6.2.2 框架结构的抗地震倒塌能力与其破坏机制密切相关。试验研究表明,梁端屈服型框架有较大的内力重分布和能量消耗能力,极限层间位移大,抗震性能较好;柱端屈服型框架容易形成倒塌机制。
在强震作用下结构构件不存在承载力储备,梁端受弯承载力即为实际可能达到的最大弯矩,柱端实际可能达到的最大弯矩也与其偏压下的受弯承载力相等。这是地震作用效应的一个特点。因此,所谓“强柱弱梁”指的是:节点处梁端实际受弯承载力 
这种概念设计,由于地震的复杂性、楼板的影响和钢筋屈服强度的超强,难以通过精确的承载力计算真正实现。
本规范自89规范以来,在梁端实配钢筋不超过计算配筋10%的前提下,将梁、柱之间的承载力不等式转为梁、柱的地震组合内力设计值的关系式,并使不同抗震等级的柱端弯矩设计值有不同程度的差异。采用增大柱端弯矩设计值的方法,只在一定程度上推迟柱端出现塑性铰;研究表明,当计入楼板和钢筋超强影响时,要实现承载力不等式,内力增大系数的取值往往需要大于2。由于地震是往复作用,两个方向的柱端弯矩设计值均要满足要求:当梁端截面为反时针方向弯矩之和时,柱端截面应为顺时针方向弯矩之和;反之亦然。 对于一级框架,89规范除了用增大系数的方法外,还提出了采用梁端实配钢筋面积和材料强度标准值计算的抗震受弯承载力所对应的弯矩值的调整、验算方法。这里,抗震承载力即本规范5章的RE=R/γRE=R/0.75,此时必须将抗震承载力验算公式取等号转换为对应的内力,即S=R/γRE。当计算梁端抗震受弯承载力时,若计入楼板的钢筋,且材料强度标准值考虑一定的超强系数,则可提高框架“强柱弱梁”的程度。89规范规定,一级的增大系数可根据工程经验估计节点左右梁端顺时针或反时针方向受拉钢筋的实际截面面积与计算面积的比值,取1.1λs作为实配增大系数的近似估计,其中的1.1来自钢筋材料标准值与设计值的比值fyk/fy。柱弯矩增大系数值可参考λs的可能变化范围确定:例如,当梁顶面为计算配筋而梁底面为构造配筋时,一级的λs不小于1.5,于是,柱弯矩增大系数不小于1.1×1.5=1.65;二级λs不小于1.3,柱弯矩增大系数不小于1.43。
2001规范比89规范提高了强柱弱梁的弯矩增大系数ηc,弯矩增大系数ηc考虑了一定的超配钢筋(包括楼板的配筋)和钢筋超强。一级的框架结构及9度时,仍应采用框架梁的实际抗震受弯承载力确定柱端组合的弯矩设计值,取二者的较大值。
本次修订,提高了框架结构的柱端弯矩增大系数,而其他结构中框架的柱端弯矩增大系数仍与2001规范相同;并补充了四级框架的柱端弯矩增大系数。对于一级框架结构和9度时的一级框架,明确只需按梁端实配抗震受弯承载力确定柱端弯矩设计值;即使按增大系数的方法比实配方法保守,也可不采用增大系数的方法。对于二、三级框架结构,也可按式(6.2.2—2)的梁端实配抗震受弯承载力确定柱端弯矩设计值,但式中的系数1.2可适当降低,如取1.1即可;这样,有可能比按内力增大系数,即按式(6.2.2—1)调整的方法更经济、合理。计算梁端实配抗震受弯承载力时,还应计入梁两侧有效翼缘范围的楼板。因此,在框架刚度和承载力计算时,所计入的梁两侧有效翼缘范围应相互协调。
即使按“强柱弱梁”设计的框架,在强震作用下,柱端仍有可能出现塑性铰,保证柱的抗地震倒塌能力是框架抗震设计的关键。本规范通过柱的抗震构造措施,使柱具有大的弹塑性变形能力和耗能能力,达到在大震作用下,即使柱端出铰,也不会引起框架倒塌的目标。
当框架底部若干层的柱反弯点不在楼层内时,说明这些层的框架梁相对较弱。为避免在竖向荷载和地震共同作用下变形集中,压屈失稳,柱端弯矩也应乘以增大系数。
对于轴压比小于0.15的柱,包括顶层柱在内,因其具有比较大的变形能力,可不满足上述要求;对框支柱,在本规范第6.2.10条另有规定。
6.2.3 一、二、三、四级框架结构的底层,柱下端截面组合的弯矩设计值,应分别乘以增大系数1.7、1.5、1.3和1.2。底层柱纵向钢筋应按上下端的不利情况配置。
条文说明
6.2.3 框架结构计算嵌固端所在层即底层的柱下端过早出现塑性屈服,将影响整个结构的抗地震倒塌能力。嵌固端截面乘以弯矩增大系数是为了避免框架结构柱下端过早屈服。对其他结构中的框架,其主要抗侧力构件为抗震墙,对其框架部分的嵌固端截面,可不作要求。 当仅用插筋满足柱嵌固端截面弯矩增大的要求时,可能造成塑性铰向底层柱的上部转移,对抗震不利。规范提出按柱上下端不利情况配置纵向钢筋的要求。
6.2.4 一、二、三级的框架梁和抗震墙的连梁,其梁端截面组合的剪力设计值应按下式调整:

条文说明
6.2.4、6.2.5、6.2.8 防止梁、柱和抗震墙底部在弯曲屈服前出现剪切破坏是抗震概念设计的要求,它意味着构件的受剪承载力要大于构件弯曲时实际达到的剪力,即按实际配筋面积和材料强度标准值计算的承载力之间满足下列不等式: 
规范在纵向受力钢筋不超过计算配筋10%的前提下,将承载力不等式转为内力设计值表达式,不同抗震等级采用不同的剪力增大系数,使“强剪弱弯”的程度有所差别。该系数同样考虑了材料实际强度和钢筋实际面积这两个因素的影响,对柱和墙还考虑了轴向力的影响,并简化计算。
一级的剪力增大系数,需从上述不等式中导出。直接取实配钢筋面积与计算实配筋面积之比λs的1.1倍,是ηv最简单的近似,对梁和节点的“强剪”能满足工程的要求,对柱和墙偏于保守。89规范在条文说明中给出较为复杂的近似计算公式如下: 
式中,λN为轴压比,λSW为墙体实际受拉钢筋(分布筋和集中筋) 截面面积与计算面积之比,ζ为考虑墙体边缘构件影响的系数,ρtw为墙体受拉钢筋配筋率。 
2001规范的框架柱、抗震墙的剪力增大系数ηvc、ηvw,即参考上述近似公式确定。此次修订,框架梁、框架结构以外框架的柱、连梁和抗震墙的剪力增大系数与2001规范相同,框架结构的柱的剪力增大系数随柱端弯矩增大系数的提高而提高;同时,明确一级的框架结构及9度的一级框架,只需满足实配要求,而即使增大系数为偏保守也可不满足。同样,二、三、四级框架结构的框架柱,也可采用实配方法而不采用增大系数的方法,使之较为经济又合理。
注意:柱和抗震墙的弯矩设计值系经本节有关规定调整后的取值;梁端、柱端弯矩设计值之和须取顺时针方向之和以及反时针方向之和两者的较大值;梁端纵向受拉钢筋也按顺时针及反时针方向考虑。

6.2.6 一、二、三、四级框架的角柱,经本规范第6.2.2、6.2.3、6.2.5、6.2.10条调整后的组合弯矩设计值、剪力设计值尚应乘以不小于1.10的增大系数。
条文说明
6.2.6 地震时角柱处于复杂的受力状态,其弯矩和剪力设计值的增大系数,比其他柱略有增加,以提高抗震能力。
6.2.7 抗震墙各墙肢截面组合的内力设计值,应按下列规定采用:
1 一级抗震墙的底部加强部位以上部位,墙肢的组合弯矩设计值应乘以增大系数,其值可采用1.2剪力相应调整。
2 部分框支抗震墙结构的落地抗震墙墙肢不应出现小偏心受拉。
3 双肢抗震墙中,墙肢不宜出现小偏心受拉;当任一墙肢为偏心受拉时,另一墙肢的剪力设计值、弯矩设计值应乘以增大系数1.25。
条文说明
6.2.7 对一级抗震墙规定调整截面的组合弯矩设计值,目的是通过配筋方式迫使塑性铰区位于墙肢的底部加强部位。89规范要求底部加强部位的组合弯设计值均按墙底截面的设计值采用,以上一般部位的组合弯矩设计值按线性变化,对于较高的房屋,会导致与加强部位相邻一般部位的弯矩取值过大。2001规范改为:底部加强部位的弯矩设计值均取墙底部截面的组合弯矩设计值,底部加强部位以上,均采用各墙肢截面的组合弯矩设计值乘以增大系数,但增大后与加强部位紧邻一般部位的弯矩有可能小于相邻加强部位的组合弯矩。本次修订,改为仅加强部位以上乘以增大系数。主要有两个目的:一是使墙肢的塑性铰在底部加强部位的范围内得到发展,不是将塑性铰集中在底层,甚至集中在底截面以上不大的范围内,从而减轻墙肢底截面附近的破坏程度,使墙肢有较大的塑性变形能力;二是避免底部加强部位紧邻的上层墙肢屈服而底部加强部位不屈服。
当抗震墙的墙肢在多遇地震下出现小偏心受拉时,在设防地震、罕遇地震下的抗震能力可能大大丧失;而且,即使多遇地震下为偏压的墙肢而设防地震下转为偏拉,则其抗震能力有实质性的改变,也需要采取相应的加强措施。
双肢抗震墙的某个墙肢为偏心受拉时,一旦出现全截面受拉开裂,则其刚度退化严重,大部分地震作用将转移到受压墙肢,因此,受压肢需适当增大弯矩和剪力设计值以提高承载能力。注意到地震是往复的作用,实际上双肢墙的两个墙肢,都可能要按增大后的内力配筋。
6.2.8 一、二、三级的抗震墙底部加强部位,其截面组合的剪力设计值应按下式调整:

6.2.9 钢筋混凝土结构的梁、柱、抗震墙和连梁,其截面组合的剪力设计值应符合下列要求:
跨高比大于2.5的梁和连梁及剪跨比大于2的柱和抗震墙:

跨高比不大于2.5的连梁、剪跨比不大于2的柱和抗震墙、部分框支抗震墙结构的框支柱和框支梁、以及落地抗震墙的底部加强部位:

条文说明
6.2.9 框架柱和抗震墙的剪跨比可按图15及公式
进行计算。 
6.2.10 部分框支抗震墙结构的框支柱尚应满足下列要求:
1 框支柱承受的最小地震剪力,当框支柱的数量不少于10根时,柱承受地震剪力之和不应小于结构底部总地震剪力的20%;当框支柱的数量少于10根时,每根柱承受的地震剪力不应小于结构底部总地震剪力的2%。框支柱的地震弯矩应相应调整。
2 一、二级框支柱由地震作用引起的附加轴力应分别乘以增大系数1.5、1.2;计算轴压比时,该附加轴力可不乘以增大系数。
3 一、二级框支柱的顶层柱上端和底层柱下端,其组合的弯矩设计值应分别乘以增大系数1.5和1.25,框支柱的中间节点应满足本规范第6.2.2条的要求。
4 框支梁中线宜与框支柱中线重合。
6.2.11 部分框支抗震墙结构的一级落地抗震墙底部加强部位尚应满足下列要求:
1 当墙肢在边缘构件以外的部位在两排钢筋间设置直径不小于8mm、间距不大于400mm的拉结筋时,抗震墙受剪承载力验算可计入混凝土的受剪作用。
2 墙肢底部截面出现大偏心受拉时,宜在墙肢的底截面处另设交叉防滑斜筋,防滑斜筋承担的地震剪力可按墙肢底截面处剪力设计值的30%采用。
6.2.12 部分框支抗震墙结构的框支柱顶层楼盖应符合本规范附录E第E.1节的规定。
条文说明
6.2.10~6.2.12 这几条规定了部分框支结构设计计算的注意事项。
第6.2.10条1款的规定,适用于本章6.1.1条所指的框支层不超过2层的情况。本次修订,将本层地震剪力改为底层地震剪力即基底剪力,但主楼与裙房相连时,不含裙房部分的地震剪力,框支柱也不含裙房的框架柱。 框支结构的落地墙,在转换层以下的部位是保证框支结构抗震性能的关键部位,这部位的剪力传递还可能存在矮墙效应。为了保证抗震墙在大震时的受剪承载力,只考虑有拉筋约束部分的混凝土受剪承载力。
无地下室的部分框支抗震墙结构的落地墙,特别是联肢或双肢墙,当考虑不利荷载组合出现偏心受拉时,为了防止墙与基础交接处产生滑移,宜按总剪力的30%设置45°交叉防滑斜筋,斜筋可按单排设在墙截面中部并应满足锚固要求。
6.2.13 钢筋混凝土结构抗震计算时,尚应符合下列要求:
1 侧向刚度沿竖向分布基本均匀的框架-抗震墙结构和框架-核心筒结构,任一层框架部分承担的剪力值,不应小于结构底部总地震剪力的20%和按框架-抗震墙结构、框架-核心筒结构计算的框架部分各楼层地震剪力中最大值1.5倍二者的较小值。
2 抗震墙地震内力计算时,连梁的刚度可折减,折减系数不宜小于0.50。
3 抗震墙结构、部分框支抗震墙结构、框架-抗震墙结构、框架-核心筒结构、筒中筒结构、板柱-抗震墙结构计算内力和变形时,其抗震墙应计入端部翼墙的共同工作。
4 设置少量抗震墙的框架结构,其框架部分的地震剪力值,宜采用框架结构模型和框架-抗震墙结构模型二者计算结果的较大值。
条文说明
6.2.13 本条规定了在结构整体分析中的内力调整: 1 按照框墙结构(不包括少墙框架体系和少框架的抗震墙体系)中框架和墙体协同工作的分析结果,在一定高度以上,框架按侧向刚度分配的剪力与墙体的剪力反号,二者相减等于楼层的地震剪力,此时,框架承担的剪力与底部总地震剪力的比值基本保持某个比例;按多道防线的概念设计要求,墙体是第一道防线,在设防地震、罕遇地震下先于框架破坏,由于塑性内力重分布,框架部分按侧向刚度分配的剪力会比多遇地震下加大。
我国20世纪80年代1/3比例的空间框墙结构模型反复荷载试验及该试验模型的弹塑性分析表明:保持楼层侧向位移协调的情况下,弹性阶段底部的框架仅承担不到5%的总剪力;随着墙体开裂,框架承担的剪力逐步增大;当墙体端部的纵向钢筋开始受拉屈服时,框架承担大于20%总剪力;墙体压坏时框架承担大于33%的总剪力。本规范规定的取值,既体现了多道抗震设防的原则,又考虑了当前的经济条件。对于框架-核心筒结构,尚应符合本规范6.7.1条1款的规定。
此项规定适用于竖向结构布置基本均匀的情况;对塔类结构出现分段规则的情况,可分段调整;对有加强层的结构,不含加强层及相邻上下层的调整。此项规定不适用于部分框架柱不到顶,使上部框架柱数量较少的楼层。
2 计算地震内力时,抗震墙连梁刚度可折减;计算位移时,连梁刚度可不折减。抗震墙的连梁刚度折减后,如部分连梁尚不能满足剪压比限值,可采用双连梁、多连梁的布置,还可按剪压比要求降低连梁剪力设计值及弯矩,并相应调整抗震墙的墙肢内力。
3 抗震墙应计入腹板与翼墙共同工作。对于翼墙的有效长度,89规范和2001规范有不同的具体规定,本次修订不再给出具体规定。2001规范规定:“每侧由墙面算起可取相邻抗震墙净间距的一半、至门窗洞口的墙长度及抗震墙总高度的15%三者的最小值”,可供参考。
4 对于少墙框架结构,框架部分的地震剪力取两种计算模型的较大值较为妥当。
6.2.14 框架节点核芯区的抗震验算应符合下列要求:
1 一、二、三级框架的节点核芯区应进行抗震验算;四级框架节点核芯区可不进行抗震验算,但应符合抗震构造措施的要求。
2 核芯区截面抗震验算方法应符合本规范附录D的规定。
条文说明
6.2.14 节点核芯区是保证框架承载力和抗倒塌能力的关键部位。本次修订,增加了三级框架的节点核芯区进行抗震验算的规定。
2001规范提供了梁宽大于柱宽的框架和圆柱框架的节点核芯区验算方法。梁宽大于柱宽时,按柱宽范围内和范围外分别计算。圆柱的计算公式依据国外资料和国内试验结果提出: 
根据重庆建筑大学2000年完成的4个圆柱梁柱节点试验,对比了计算和试验的节点核芯区受剪承载力,计算值与试验之比约为85%,说明此计算公式的可靠性有一定保证。
6. 3 框架的基本抗震构造措施
6.3.1 梁的截面尺寸,宜符合下列各项要求:
1 截面宽度不宜小于200mm;
2 截面高宽比不宜大于4;
3 净跨与截面高度之比不宜小于4。
6.3.2 梁宽大于柱宽的扁梁应符合下列要求:
1 采用扁梁的楼、屋盖应现浇,梁中线宜与柱中线重合,扁梁应双向布置。扁梁的截面尺寸应符合下列要求,并应满足现行有关规范对挠度和裂缝宽度的规定:

2 扁梁不宜用于一级框架结构。
条文说明
6.3.1、6.3.2 合理控制混凝土结构构件的尺寸,是本规范第3.5.4条的基本要求之一。梁的截面尺寸,应从整个框架结构中梁、柱的相互关系,如在强柱弱梁基础上提高梁变形能力的要求等来处理。
为了避免或减小扭转的不利影响,宽扁梁框架的梁柱中线宜重合,并应采用整体现浇楼盖。为了使宽扁梁端部在柱外的纵向钢筋有足够的锚固,应在两个主轴方向都设置宽扁梁。
6.3.3 梁的钢筋配置,应符合下列各项要求:
1 梁端计入受压钢筋的混凝土受压区高度和有效高度之比,一级不应大于0.25,二、三级不应大于0.35。
2 梁端截面的底面和顶面纵向钢筋配筋量的比值,除按计算确定外,一级不应小于0.5,二、三级不应小于0.3。
3 梁端箍筋加密区的长度、箍筋最大间距和最小直径应按表6.3.3采用,当梁端纵向受拉钢筋配筋率大于2%时,表中箍筋最小直径数值应增大2mm。 ( 自2022年1月1日起废止该条,详见新规 《建筑与市政工程抗震通用规范》GB 55002-2021) 
6.3.4 梁的钢筋配置,尚应符合下列规定:
1 梁端纵向受拉钢筋的配筋率不宜大于2.5%。沿梁全长顶面、底面的配筋,一、二级不应少于2ф14,且分别不应少于梁顶面、底面两端纵向配筋中较大截面面积的1/4;三、四级不应少于2ф12。
2 一、二、三级框架梁内贯通中柱的每根纵向钢筋直径,对框架结构不应大于矩形截面柱在该方向截面尺寸的1/20,或纵向钢筋所在位置圆形截面柱弦长的1/20;对其他结构类型的框架不宜大于矩形截面柱在该方向截面尺寸的1/20,或纵向钢筋所在位置圆形截面柱弦长的1/20。
3 梁端加密区的箍筋肢距,一级不宜大于200mm和20倍箍筋直径的较大值,二、三级不宜大于250mm和20倍箍筋直径的较大值,四级不宜大于300mm。
条文说明
6.3.3、6.3.4 梁的变形能力主要取决于梁端的塑性转动量,而梁的塑性转动量与截面混凝土相对受压区高度有关。当相对受压区高度为0.25至0.35范围时,梁的位移延性系数可到达3~4。计算梁端截面纵向受拉钢筋时,应采用与柱交界面的组合弯矩设计值,并应计入受压钢筋。计算梁端相对受压区高度时,宜按梁端截面实际受拉和受压钢筋面积进行计算。
梁端底面和顶面纵向钢筋的比值,同样对梁的变形能力有较大影响。梁端底面的钢筋可增加负弯矩时的塑性转动能力,还能防止在地震中梁底出现正弯矩时过早屈服或破坏过重,从而影响承载力和变形能力的正常发挥。
根据试验和震害经验,梁端的破坏主要集中于(1.5~2.0)倍梁高的长度范围内;当箍筋间距小于6d~8d(d为纵向钢筋直径)时,混凝土压溃前受压钢筋一般不致压屈,延性较好。因此规定了箍筋加密区的最小长度,限制了箍筋最大肢距;当纵向受拉钢筋的配筋率超过2%时,箍筋的最小直径相应增大。
本次修订,将梁端纵向受拉钢筋的配筋率不大于2.5%的要求,由强制性改为非强制性,移到6.3.4条,还提高了框架结构梁的纵向受力钢筋伸入节点的握裹要求。
6.3.5 柱的截面尺寸,宜符合下列各项要求:
1 截面的宽度和高度,四级或不超过2层时不宜小于300mm,一、二、三级且超过2层时不宜小于400mm;圆柱的直径,四级或不超过2层时不宜小于350mm,一、二、三级且超过2层时不宜小于450mm。
2 剪跨比宜大于2。
3 截面长边与短边的边长比不宜大于3。
条文说明
6.3.5 本次修订,根据汶川地震的经验,对一、二、三级且层数超过2层的房屋。增大了柱截面最小尺寸的要求,以有利于实现“强柱弱梁”。
6.3.6 柱轴压比不宜超过表6.3.6的规定;建造于Ⅳ类场地且较高的高层建筑,柱轴压比限值应适当减小。

注:1 轴压比指柱组合的轴压力设计值与柱的全截面面积和混凝土轴心抗压强度设计值乘积之比值;对本规范规定不进行地震作用计算的结构,可取无地震作用组合的轴力设计值计算;
2 表内限值适用于剪跨比大于2、混凝土强度等级不高于C60的柱;剪跨比不大于2的柱,轴压比限值应降低0.05;剪跨比小于1.5的柱,轴压比限值应专门研究并采取特殊构造措施;
3 沿柱全高采用井字复合箍且箍筋肢距不大于200mm、间距不大于100mm、直径不小于12mm,或沿柱全高采用复合螺旋箍、螺旋间距不大于100mm、箍筋肢距不大于200mm、直径不小于12mm,或沿柱全高采用连续复合矩形螺旋箍、螺旋净距不大于80mm、箍筋肢距不大于200mm、直径不小于10mm,轴压比限值均可增加0.10;上述三种箍筋的最小配箍特征值均应按增大的轴压比由本规范表6.3.9确定;
4 在柱的截面中部附加芯柱,其中另加的纵向钢筋的总面积不少于柱截面面积的0.8%,轴压比限值可增加0.05;此项措施与注3的措施共同采用时,轴压比限值可增加0.15,但箍筋的体积配箍率仍可按轴压比增加0.10的要求确定;
5 柱轴压比不应大于1.05。
条文说明
6.3.6 限值框架柱的轴压比主要是为了保证柱的塑性变形能力和保证框架的抗倒塌能力。抗震设计时,除了预计不可能进入屈服的柱外,通常希望框架柱最终为大偏心受压破坏。由于轴压比直接影响柱的截面设计,2001规范仍以89规范的限值为依据,根据不同情况进行适当调整,同时控制轴压比最大值。在框架-抗震墙、板柱-抗震墙及筒体结构中,框架属于第二道防线,其中框架的柱与框架结构的柱相比,其重要性相对较低,为此可以适当增大轴压比限值。本次修订,将框架结构的轴压比限值减小了0.05,框架-抗震墙、板柱-抗震墙及筒体中三级框架的柱的轴压比限值也减小了0.05,增加了四级框架的柱的轴压比限值。
利用箍筋对混凝土进行约束,可以提高混凝土的轴心抗压强度和混凝土的受压极限变形能力。但在计算柱的轴压比时,仍取无箍筋约束的混凝土的轴心抗压强度设计值,不考虑箍筋约束对混凝土轴心抗压强度的提高作用。
我国清华大学研究成果和日本AIJ钢筋混凝土房屋设计指南都提出,考虑箍筋对混凝土的约束作用时,复合箍筋肢距不宜大于200mm,箍筋间距不宜大于100mm,箍筋直径不宜小于10mm的构造要求。参考美国ACI资料,考虑螺旋箍筋对混凝土的约束作用时,箍筋直径不宜小于10mm,净螺距不宜大于75mm。为便于施工,采用螺旋间距不大于100mm,箍筋直径不小于12mm。矩形截面柱采用连续矩形复合螺旋箍是一种非常有效的提高延性的措施,这已被西安建筑科技大学的试验研究所证实。根据日本川铁株式会社1998年发表的试验报告,相同柱截面、相同配筋、配箍率、箍距及箍筋肢距,采用连续复合螺旋箍比一般复合箍筋可提高柱的极限变形角25%。采用连续复合矩形螺旋箍可按圆形复合螺旋箍对待。用上述方法提高柱的轴压比后,应按增大的轴压比由本规范表6.3.9确定配箍量,且沿柱全高采用相同的配箍特征值。 
试验研究和工程经验都证明,在矩形或圆形截面柱内设置矩形核芯柱,不但可以提高柱的受压承载力,还可以提高柱的变形能力。在压、弯、剪作用下,当柱出现弯、剪裂缝,在大变形情况下芯柱可以有效地减小柱的压缩,保持柱的外形和截面承载力,特别对于承受高轴压的短柱,更有利于提高变形能力,延缓倒塌。为了便于梁筋通过,芯柱边长不宜小于柱边长或直径的1/3,且不宜小于250mm(图16)。
6.3.7 柱的钢筋配置,应符合下列各项要求:
1 柱纵向受力钢筋的最小总配筋率应按表6.3.7-1采用,同时每一侧配筋率不应小于0.2%;对建造于Ⅳ类场地且较高的高层建筑,最小总配筋率应增加0.1%。

注:1 表中括号内数值用于框架结构的柱;
2.钢筋强度标准值小于400MPa时,表中数值应增加0.1,钢筋强度标准值为400MPa时,表中数值应增加0.05;
3 混凝土强度等级高于C60时,上述数值应相应增加0.1。
2 柱箍筋在规定的范围内应加密,加密区的箍筋间距和直径,应符合下列要求:
1)一般情况下,箍筋的最大间距和最小直径,应按表6.3.7-2采用。

2)一级框架柱的箍筋直径大于12mm且箍筋肢距不大于150mm及二级框架柱的箍筋直径不小于10mm且箍筋肢距不大于200mm时,除底层柱下端外,最大间距应允许采用150mm;三级框架柱的截面尺寸不大于400mm时,箍筋最小直径应允许采用6mm;四级框架柱剪跨比不大于2时,箍筋直径不应小于8mm。
3)框支柱和剪跨比不大于2的框架柱,箍筋间距不应大于100mm。 ( 自2022年1月1日起废止该条,详见新规 《建筑与市政工程抗震通用规范》GB 55002-2021)
6.3.8 柱的纵向钢筋配置,尚应符合下列规定:
1 柱的纵向钢筋宜对称配置。
2 截面边长大于400mm的柱,纵向钢筋间距不宜大于200mm。
3 柱总配筋率不应大于5%;剪跨比不大于2的一级框架的柱,每侧纵向钢筋配筋率不宜大于1.2%。
4 边柱、角柱及抗震墙端柱在小偏心受拉时,柱内纵筋总截面面积应比计算值增加25%。
5 柱纵向钢筋的绑扎接头应避开柱端的箍筋加密区。
条文说明
6.3.7、6.3.8 柱纵向钢筋的最小总配筋率,89规范的比78规范有所提高,但仍偏低,很多情况小于非抗震配筋率,2001规范适当调整。本次修订,提高了框架结构中柱和边柱纵向钢筋的最小总配筋率的要求。随着高强钢筋和高强混凝土的使用,最小纵向钢筋的配筋率要求,将随混凝土强度和钢筋的强度而有所变化,但表中的数据是最低的要求,必须满足。
当框架柱在地震作用组合下处于小偏心受拉状态时,柱的纵筋总截面面积应比计算值增加25%,是为了避免柱的受拉纵筋屈服后再受压时,由于包兴格效应导致纵筋压屈。
6.3.9 柱的箍筋配置,尚应符合下列要求:
1 柱的箍筋加密范围,应按下列规定采用:
1)柱端,取截面高度(圆柱直径)、柱净高的1/6和500mm三者的最大值;
2)底层柱的下端不小于柱净高的1/3;
3)刚性地面上下各500mm;
4)剪跨比不大于2的柱、因设置填充墙等形成的柱净高与柱截面高度之比不大于4的柱、框支柱、一级和二级框架的角柱,取全高。
2 柱箍筋加密区的箍筋肢距,一级不宜大于200mm,二、三级不宜大于250mm,四级不宜大于300mm。至少每隔一根纵向钢筋宜在两个方向有箍筋或拉筋约束;采用拉筋复合箍时,拉筋宜紧靠纵向钢筋并钩住箍筋。
3 柱箍筋加密区的体积配箍率,应按下列规定采用:
1)柱箍筋加密区的体积配箍率应符合下式要求:

注:普通箍指单个矩形箍和单个圆形箍,复合箍指由矩形、多边形、圆形箍或拉筋组成的箍筋;复合螺旋箍指由螺旋箍与矩形、多边形、圆形箍或拉筋组成的箍筋;连续复合矩形螺旋箍指用一根通长钢筋加工而成的箍筋。
2)框支柱宜采用复合螺旋箍或井字复合箍,其最小配箍特征值应比表6.3.9内数值增加0.02,且体积配箍率不应小于1.5%。
3)剪跨比不大于2的柱宜采用复合螺旋箍或井字复合箍,其体积配箍率不应小于1.2%,9度一级时不应小于1.5%。
4 柱箍筋非加密区的箍筋配置,应符合下列要求:
1)柱箍筋非加密区的体积配箍率不宜小于加密区的50%。
2)箍筋间距,一、二级框架柱不应大于10倍纵向钢筋直径,三、四级框架柱不应大于15倍纵向钢筋直径。
条文说明
6.3.9 框架柱的弹塑性变形能力,主要与柱的轴压比和箍筋对混凝土的约束程度有关。为了具有大体上相同的变形能力,轴压比大的柱,要求的箍筋约束程度高。箍筋对混凝土的约束程度,主要与箍筋形式、体积配箍率、箍筋抗拉强度以及混凝土轴心抗压强度等因素有关,而体积配箍率、箍筋强度及混凝土强度三者又可以用配箍特征值表示,配箍特征值相同时,螺旋箍、复合螺旋箍及连续复合螺旋箍的约束程度,比普通箍和复合箍对混凝土的约束更好。因此,规范规定,轴压比大的柱,其配箍特征值大于轴压比低的柱;轴压比相同的柱,采用普通箍或复合箍时的配箍特征值,大于采用螺旋箍、复合螺旋箍或连续复合螺旋箍时的配箍特征值。
89规范的体积配箍率,是在配箍特征值基础上,对箍筋抗拉强度和混凝土轴心抗压强度的关系做了一定简化得到的,仅适用于混凝土强度在C35以下和HPB235级钢箍筋。2001规范直接给出配箍特征值,能够经济合理地反映箍筋对混凝土的约束作用。为了避免配箍率过小,2001规范还规定了最小体积配箍率。普通箍筋的体积配箍率随轴压比增大而增加的对应关系举例如下:采用符合抗震性能要求的HRB335级钢筋且混凝土强度等级大于C35时,一、二、三级轴压比分别小于0.6、0.5和0.4时,体积配箍率取正文中的最小值——分别为0.8%、0.6%和0.4%,轴压比分别超过0.6、0.5和0.4但在最大轴压比范围内,轴压比每增加0.1,体积配箍率增加0.02(fc/fy)≈0.0011(fc/16.7);超过最大轴压比范围,轴压比每增加0.1,体积配箍率增加0.03(fc/fy)=0.0001fc。
本次修订,删除了89规范和2001规范关于复合箍应扣除重叠部分箍筋体积的规定,因重叠部分对混凝土的约束情况比较复杂,如何换算有待进一步研究;箍筋的强度也不限制在标准值400MPa以内。四级框架柱的箍筋加密区的最小体积配箍特征值,与三级框架柱相同。
对于封闭箍筋与两端为135°弯钩的拉筋组成的复合箍,约束效果最好的是拉筋同时钩住主筋和箍筋,其次是拉筋紧靠纵向钢筋并勾住箍筋;当拉筋间距符合箍筋肢距的要求,纵筋与箍筋有可靠拉结时,拉筋也可紧靠箍筋并勾住纵筋。
考虑到框架柱在层高范围内剪力不变及可能的扭转影响,为避免箍筋非加密区的受剪能力突然降低很多,导致柱的中段破坏,对非加密区的最小箍筋量也作了规定。
箍筋类别参见图17。 
6.3.10 框架节点核芯区箍筋的最大间距和最小直径宜按本规范第6.3.7条采用;一、二、三级框架节点核芯区配箍特征值分别不宜小于0.12、0.10和0.08,且体积配箍率分别不宜小于0.6%、0.5%和0.4%。柱剪跨比不大于2的框架节点核芯区,体积配箍率不宜小于核芯区上、下柱端的较大体积配箍率。
条文说明
6.3.10 为使框架的梁柱纵向钢筋有可靠的锚固条件,框架梁柱节点核芯区的混凝土要具有良好的约束。考虑到核芯区内箍筋的作用与柱端有所不同,其构造要求与柱端有所区别。
6.4 抗震墙结构的基本抗震构造措施
6.4.1 抗震墙的厚度,一、二级不应小于160mm且不宜小于层高或无支长度的1/20,三、四级不应小于140mm且不宜小于层高或无支长度的1/25;无端柱或翼墙时,一、二级不宜小于层高或无支长度的1/16,三、四级不宜小于层高或无支长度的1/20。
底部加强部位的墙厚,一、二级不应小于200mm且不宜小于层高或无支长度的1/16,三、四级不应小于160mm且不宜小于层高或无支长度的1/20;无端柱或翼墙时,一、二级不宜小于层高或无支长度的1/12,三、四级不宜小于层高或无支长度的1/16。
条文说明
6.4.1 本次修订,将墙厚与层高之比的要求,由“应”改为“宜”,并增加无支长度的相应规定。无端柱或翼墙是指墙的两端(不包括洞口两侧)为一字形的矩形截面。
试验表明,有边缘构件约束的矩形截面抗震墙与无边缘构件约束的矩形截面抗震墙相比,极限承载力约提高40%,极限层间位移角约增加一倍,对地震能量的消耗能力增大20%左右,且有利于墙板的稳定。对一、二级抗震墙底部加强部位,当无端柱或翼墙时,墙厚需适当增加。
6.4.2 一、二、三级抗震墙在重力荷载代表值作用下墙肢的轴压比,一级时,9度不宜大于0.4,7、8度不宜大于0.5;二、三级时不宜大于0.6。
注:墙肢轴压比指墙的轴压力设计值与墙的全截面面积和混凝土轴心抗压强度设计值乘积之比值。
条文说明
6.4.2 本次修订,将抗震墙的轴压比控制范围,由一、二级扩大到三级,由底部加强部位扩大到全高。计算墙肢轴压力设计值时,不计入地震作用组合,但应取分项系数1.2。
6.4.3 抗震墙竖向、横向分布钢筋的配筋,应符合下列要求:
1 一、二、三级抗震墙的竖向和横向分布钢筋最小配筋率均不应小于0.25%,四级抗震墙分布钢筋最小配筋率不应小于0.20%。
注:高度小于24m且剪压比很小的四级抗震墙,其竖向分布筋的最小配筋率应允许按0.15%采用。
2 部分框支抗震墙结构的落地抗震墙底部加强部位,竖向和横向分布钢筋配筋率均不应小于0.3%。 ( 自2022年1月1日起废止该条,详见新规 《建筑与市政工程抗震通用规范》GB 55002-2021)
条文说明
6.4.3 抗震墙,包括抗震墙结构、框架-抗震墙结构、板柱-抗震墙结构及筒体结构中的抗震墙,是这些结构体系的主要抗侧力构件。在强制性条文中,纳入了关于墙体分布钢筋数量控制的最低要求。
美国ACI 318规定,当抗震结构墙的设计剪力小于
(Acv为腹板截面面积,该设计剪力对应的剪压比小于0.02)时,腹板的竖向分布钢筋允许降到同非抗震的要求。因此,本次修订,四级抗震墙的剪压比低于上述数值时,竖向分布筋允许按不小于0.15%控制。
对框支结构,抗震墙的底部加强部位受力很大,其分布钢筋应高于一般抗震墙的要求。通过在这些部位增加竖向钢筋和横向的分布钢筋,提高墙体开裂后的变形能力,以避免脆性剪切破坏,改善整个结构的抗震性能。
本次修订,将钢筋最大间距和最小直径的规定,移至本规范第6.4.4条。
6.4.4 抗震墙竖向和横向分布钢筋的配置,尚应符合下列规定:
1 抗震墙的竖向和横向分布钢筋的间距不宜大于300mm,部分框支抗震墙结构的落地抗震墙底部加强部位,竖向和横向分布钢筋的间距不宜大于200mm。
2 抗震墙厚度大于140mm时,其竖向和横向分布钢筋应双排布置,双排分布钢筋间拉筋的间距不宜大于600mm,直径不应小于6mm。
3 抗震墙竖向和横向分布钢筋的直径,均不宜大于墙厚的1/10且不应小于8mm;竖向钢筋直径不宜小于10mm。
条文说明
6.4.4 本条包括2001规范第6.4.2条、6.4.4条的内容和部分6.4.3条的内容,对抗震墙分布钢筋的最大间距和最小直径作了调整。
6.4.5 抗震墙两端和洞口两侧应设置边缘构件,边缘构件包括暗柱、端柱和翼墙,并应符合下列要求:
1 对于抗震墙结构,底层墙肢底截面的轴压比不大于表6.4.5—1规定的一、二、三级抗震墙及四级抗震墙,墙肢两端可设置构造边缘构件,构造边缘构件的范围可按图6.4.5—1采用,构造边缘构件的配筋除应满足受弯承载力要求外,并宜符合表6.4.5—2的要求。


2 底层墙肢底截面的轴压比大于表6.4.5—1规定的一、二、三级抗震墙,以及部分框支抗震墙结构的抗震墙,应在底部加强部位及相邻的上一层设置约束边缘构件,在以上的其他部位可设置构造边缘构件。约束边缘构件沿墙肢的长度、配箍特征值、箍筋和纵向钢筋宜符合表6.4.5—3的要求(图6.4.5—2)。

注:1 抗震墙的翼墙长度小于其3倍厚度或端柱截面边长小于2倍墙厚时,按无翼墙、无端柱查表;端柱有集中荷载时,配筋构造尚应满足与墙相同抗震等级框架柱的要求;
2 lc为约束边缘构件沿墙肢长度,且不小于墙厚和400mm;有翼墙或端柱时不应小于翼墙厚度或端柱沿墙肢方向截面高度加300mm;
3 λv为约束边缘构件的配箍特征值,体积配箍率可按本规范式(6.3.9)计算,并可适当计入满足构造要求且在墙端有可靠锚固的水平分布钢筋的截面面积;
4 hw为抗震墙墙肢长度;
5 λ为墙肢轴压比;
6 Ac为图6.4.5-2中约束边缘构件阴影部分的截面面积。

条文说明
6.4.5 对于开洞的抗震墙即联肢墙,强震作用下合理的破坏过程应当是连梁首先屈服,然后墙肢的底部钢筋屈服、形成塑性铰。抗震墙墙肢的塑性变形能力和抗地震倒塌能力,除了与纵向配筋有关外,还与截面形状、截面相对受压区高度或轴压比、墙两端的约束范围、约束范围内的箍筋配箍特征值有关。当截面相对受压区高度或轴压比较小时,即使不设约束边缘构件,抗震墙也具有较好的延性和耗能能力。当截面相对受压区高度或轴压比大到一定值时,就需设置约束边缘构件,使墙肢端部成为箍筋约束混凝土,具有较大的受压变形能力。当轴压比更大时,即使设置约束边缘构件,在强烈地震作用下,抗震墙有可能压溃、丧失承担竖向荷载的能力。因此,2001规范规定了一、二级抗震墙在重力荷载代表值作用下的轴压比限值;当墙底截面的轴压比超过一定值时,底部加强部位墙的两端及洞口两侧应设置约束边缘构件,使底部加强部位有良好的延性和耗能能力;考虑到底部加强部位以上相邻层的抗震墙,其轴压比可能仍较大,将约束边缘构件向上延伸一层;还规定了构造边缘构件和约束边缘构件的具体构造要求。
本次修订的主要内容是:
1 将设置约束边缘构件的要求扩大至三级抗震墙。
2 约束边缘构件的尺寸及其配箍特征值,根据轴压比的大小确定。当墙体的水平分布钢筋满足锚固要求且水平分布钢筋之间设置足够的拉筋形成复合箍时,约束边缘构件的体积配箍率可计入分布筋,考虑水平筋同时为抗剪受力钢筋,且竖向间距往往大于约束边缘构件的箍筋间距,需要另增一道封闭箍筋,故计入的水平分布钢筋的配箍特征值不宜大于0.3倍总配箍特征值。
3 对于底部加强区以上的一般部位,带翼墙时构造边缘构件的总长度改为与矩形端相同,即不小于墙厚和400mm;转角墙在内侧改为不小于200mm。在加强部位与一般部位的过渡区(可大体取加强部位以上与加强部位的高度相同的范围),边缘构件的长度需逐步过渡。
此次局部修订,补充约束边缘构件的端柱有集中荷载时的设计要求。
6.4.6 抗震墙的墙肢长度不大于墙厚的3倍时,应按柱的有关要求进行设计;矩形墙肢的厚度不大于300mm时,尚宜全高加密箍筋。
条文说明
6.4.6 当抗震墙的墙肢长度不大于墙厚的3倍时,要求应按柱的有关要求进行设计。本次修订,降低了小墙肢的箍筋全高加密的要求。
6.4.7 跨高比较小的高连梁,可设水平缝形成双连梁、多连梁或采取其他加强受剪承载力的构造。顶层连梁的纵向钢筋伸入墙体的锚固长度范围内,应设置箍筋。
条文说明
6.4.7 高连梁设置水平缝,使一根连梁成为大跨高比的两根或多根连梁,其破坏形态从剪切破坏变为弯曲破坏。
6.5 框架 抗震墙结构的基本抗震构造措施
6.5.1 框架-抗震墙结构的抗震墙厚度和边框设置,应符合下列要求:
1 抗震墙的厚度不应小于160mm且不宜小于层高或无支长度的1/20,底部加强部位的抗震墙厚度不应小于200mm且不宜小于层高或无支长度的1/16。
2 有端柱时,墙体在楼盖处宜设置暗梁,暗梁的截面高度不宜小于墙厚和400mm的较大值;端柱截面宜与同层框架柱相同,并应满足本规范第6.3节对框架柱的要求;抗震墙底部加强部位的端柱和紧靠抗震墙洞口的端柱宜按柱箍筋加密区的要求沿全高加密箍筋。
条文说明
6.5.1 框架-抗震墙结构中的抗震墙,是作为该结构体系第一道防线的主要的抗侧力构件,需要比一般的抗震墙有所加强。
其抗震墙通常有两种布置方式:一种是抗震墙与框架分开,抗震墙围成筒,墙的两端没有柱;另一种是抗震墙嵌入框架内,有端柱、有边框梁,成为带边框抗震墙。第一种情况的抗震墙,与抗震墙结构中的抗震墙、筒体结构中的核心筒或内筒墙体区别不大。对于第二种情况的抗震墙,如果梁的宽度大于墙的厚度,则每一层的抗震墙有可能成为高宽比小的矮墙,强震作用下发生剪切破坏,同时,抗震墙给柱端施加很大的剪力,使柱端剪坏,这对抗地震倒塌是非常不利的。2005年,日本完成了一个1/3比例的6层2跨、3开间的框架-抗震墙结构模型的振动台试验,抗震墙嵌入框架内。最后,首层抗震墙剪切破坏,抗震墙的端柱剪坏,首层其他柱的两端出塑性铰,首层倒塌。2006年,日本完成了一个足尺的6层2跨、3开间的框架-抗震墙结构模型的振动台试验。与1/3比例的模型相比,除了模型比例不同外,嵌入框架内的抗震墙采用开缝墙。最后,首层开缝墙出现弯曲破坏和剪切斜裂缝,没有出现首层倒塌的破坏现象。
本次修订,对墙厚与层高之比的要求,由“应”改为“宜”;对于有端柱的情况,不要求一定设置边框梁。
6.5.2 抗震墙的竖向和横向分布钢筋,配筋率均不应小于0.25%,钢筋直径不宜小于10mm,间距不宜大于300mm,并应双排布置,双排分布钢筋间应设置拉筋。
条文说明
6.5.2 本次修订,增加了抗震墙分布钢筋的最小直径和最大间距的规定,拉筋具体配置方式的规定可参照本规范第6.4.4条。
6.5.3 楼面梁与抗震墙平面外连接时,不宜支承在洞口连梁上;沿梁轴线方向宜设置与梁连接的抗震墙,梁的纵筋应锚固在墙内;也可在支承梁的位置设置扶壁柱或暗柱,并应按计算确定其截面尺寸和配筋。
条文说明
6.5.3 楼面梁与抗震墙平面外连接,主要出现在抗震墙与框架分开布置的情况。试验表明,在往复荷载作用下,锚固在墙内的梁的纵筋有可能产生滑移,与梁连接的墙面混凝土有可能拉脱。
6.5.4 框架-抗震墙结构的其他抗震构造措施,应符合本规范第6.3节、6.4节的有关要求。
注:设置少量抗震墙的框架结构,其抗震墙的抗震构造措施,可仍按本规范第6.4节对抗震墙的规定执行。
条文说明
6.5.4 少墙框架结构中抗震墙的地位不同于框架-抗震墙,不需要按本节的规定设计其抗震墙。
6.6 板柱 抗震墙结构抗震设计要求
6.6.1 板柱-抗震墙结构的抗震墙,其抗震构造措施应符合本节规定,尚应符合本规范第6.5节的有关规定;柱(包括抗震墙端柱)和梁的抗震构造措施应符合本规范第6.3节的有关规定。
6.6.2 板柱-抗震墙的结构布置,尚应符合下列要求:
1 抗震墙厚度不应小于180mm,且不宜小于层高或无支长度的1/20;房屋高度大于12m时,墙厚不应小于200mm。
2 房屋的周边应采用有梁框架,楼、电梯洞口周边宜设置边框梁。
3 8度时宜采用有托板或柱帽的板柱节点,托板或柱帽根部的厚度(包括板厚)不宜小于柱纵筋直径的16倍,托板或柱帽的边长不宜小于4倍板厚和柱截面对应边长之和。
4 房屋的地下一层顶板,宜采用梁板结构。
条文说明
6.6.2 规定了板柱-抗震墙结构中抗震墙的最小厚度;放松了楼、电梯洞口周边设置边框梁的要求。按柱纵筋直径16倍控制托板或柱帽根部的厚度是为了保证板柱节点的抗弯刚度。
6.6.3 板柱-抗震墙结构的抗震计算,应符合下列要求:
1 房屋高度大于12m时,抗震墙应承担结构的全部地震作用;房屋高度不大于12m时,抗震墙宜承担结构的全部地震作用。各层板柱和框架部分应能承担不少于本层地震剪力的20%。
2 板柱结构在地震作用下按等代平面框架分析时,其等代梁的宽度宜采用垂直于等代平面框架方向两侧柱距各1/4。
3 板柱节点应进行冲切承载力的抗震验算,应计入不平衡弯矩引起的冲切,节点处地震作用组合的不平衡弯矩引起的冲切反力设计值应乘以增大系数,一、二、三级板柱的增大系数可分别取1.7、1.5、1.3。
条文说明
6.6.3 本次修订,对高度不超过12m的板柱-抗震墙结构,放松抗震墙所承担的地震剪力的要求;新增板柱节点冲切承载力的抗震验算要求。
无柱帽平板在柱上板带中按本规范要求设置构造暗梁时,不可把平板作为有边梁的双向板进行设计。
6.6.4 板柱-抗震墙结构的板柱节点构造应符合下列要求:
1 无柱帽平板应在柱上板带中设构造暗梁,暗梁宽度可取柱宽及柱两侧各不大于1.5倍板厚。暗梁支座上部钢筋面积应不小于柱上板带钢筋面积的50%,暗梁下部钢筋不宜少于上部钢筋的1/2;箍筋直径不应小于8mm,间距不宜大于3/4倍板厚,肢距不宜大于2倍板厚,在暗梁两端应加密。
2 无柱帽柱上板带的板底钢筋,宜在距柱面为2倍板厚以外连接,采用搭接时钢筋端部宜有垂直于板面的弯钩。
3 沿两个主轴方向通过柱截面的板底连续钢筋的总截面面积,应符合下式要求:

4 板柱节点应根据抗冲切承载力要求,配置抗剪栓钉或抗冲切钢筋。
条文说明
6.6.4 为了防止强震作用下楼板脱落,穿过柱截面的板底两个方向钢筋的受拉承载力应满足该层楼板重力荷载代表值作用下的柱轴压力设计值。试验研究表明,抗剪栓钉的抗冲切效果优于抗冲切钢筋。
6.7 筒体结构抗震设计要求
6.7.1 框架-核心筒结构应符合下列要求:
1 核心筒与框架之间的楼盖宜采用梁板体系;部分楼层采用平板体系时应有加强措施。
2 除加强层及其相邻上下层外,按框架-核心筒计算分析的框架部分各层地震剪力的最大值不宜小于结构底部总地震剪力的10%。当小于10%时,核心筒墙体的地震剪力应适当提高,边缘构件的抗震构造措施应适当加强;任一层框架部分承担的地震剪力不应小于结构底部总地震剪力的15%。
3 加强层设置应符合下列规定:
1)9度时不应采用加强层;
2)加强层的大梁或桁架应与核心筒内的墙肢贯通;大梁或桁架与周边框架柱的连接宜采用铰接或半刚性连接;
3)结构整体分析应计入加强层变形的影响;
4)施工程序及连接构造上,应采取措施减小结构竖向温度变形及轴向压缩对加强层的影响。
条文说明
6.7.1 本条新增框架-核心筒结构框架部分地震剪力的要求,以避免外框太弱。框架-核心筒结构框架部分的地震剪力应同时满足本条与第6.2.13条的规定。
框架-核心筒结构的核心筒与周边框架之间采用梁板结构时,各层梁对核心筒有一定的约束,可不设加强层,梁与核心筒连接应避开核心筒的连梁。当楼层采用平板结构且核心筒较柔,在地震作用下不能满足变形要求,或筒体由于受弯产生拉力时,宜设置加强层,其部位应结合建筑功能设置。为了避免加强层周边框架柱在地震作用下由于强梁带来的不利影响,加强层的大梁或桁架与周边框架不宜刚性连接。9度时不应采用加强层。核心筒的轴向压缩及外框架的竖向温度变形对加强层产生附加内力,在加强层与周边框架柱之间采取后浇连接及有效的外保温措施是必要的。
筒中筒结构的外筒可采取下列措施提高延性:
1 采用非结构幕墙。当采用钢筋混凝土裙墙时,可在裙墙与柱连接处设置受剪控制缝。
2 外筒为壁式筒体时,在裙墙与窗间墙连接处设置受剪控制缝,外筒按联肢抗震墙设计;三级的壁式筒体可按壁式框架设计,但壁式框架柱除满足计算要求外,尚需满足本章第6.4.5条的构造要求;支承大梁的壁式筒体在大梁支座宜设置壁柱,一级时,由壁柱承担大梁传来的全部轴力,但验算轴压比时仍取全部截面。
3 受剪控制缝的构造如图18所示。 
6.7.2 框架-核心筒结构的核心筒、筒中筒结构的内筒,其抗震墙除应符合本规范第6.4节的有关规定外,尚应符合下列要求:
1 抗震墙的厚度、竖向和横向分布钢筋应符合本规范第6.5节的规定;筒体底部加强部位及相邻上一层,当侧向刚度无突变时不宜改变墙体厚度。
2 框架-核心筒结构一、二级筒体角部的边缘构件宜按下列要求加强:底部加强部位,约束边缘构件范围内宜全部采用箍筋,且约束边缘构件沿墙肢的长度宜取墙肢截面高度的1/4,底部加强部位以上的全高范围内宜按转角墙的要求设置约束边缘构件。
3 内筒的门洞不宜靠近转角。
条文说明
6.7.2 框架-核心筒结构的核心筒、筒中筒结构的内筒,都是由抗震墙组成的,也都是结构的主要抗侧力竖向构件,其抗震构造措施应符合本章第6.4节和第6.5节的规定,包括墙的最小厚度、分布钢筋的配置、轴压比限值、边缘构件的要求等,以使筒体具有足够大的抗震能力。
框架-核心筒结构的框架较弱,宜加强核心筒的抗震能力;核心筒连梁的跨高比一般较小,墙的整体作用较强。因此,核心筒角部的抗震构造措施予以加强。
6.7.3 楼面大梁不宜支承在内筒连梁上。楼面大梁与内筒或核心筒墙体平面外连接时,应符合本规范第6.5.3条的规定。
6.7.4 一、二级核心筒和内筒中跨高比不大于2的连梁,当梁截面宽度不小于400mm时,可采用交叉暗柱配筋,并应设置普通箍筋;截面宽度小于400mm但不小于200mm时,除配置普通箍筋外,可另增设斜向交叉构造钢筋。
条文说明
6.7.4 试验表明,跨高比小的连梁配置斜向交叉暗柱,可以改善其的抗剪性能,但施工比较困难,本次修订,将2001规范设置交叉暗柱、交叉构造钢筋的要求,由“宜”改为“可”。
6.7.5 筒体结构转换层的抗震设计应符合本规范附录E第E.2节的规定。
7 多层砌体房屋和底部框架砌体房屋
7.1 一般规定
7.1.1 本章适用于普通砖(包括烧结、蒸压、混凝土普通砖)、多孔砖(包括烧结、混凝土多孔砖)和混凝土小型空心砌块等砌体承重的多层房屋,底层或底部两层框架-抗震墙砌体房屋。
配筋混凝土小型空心砌块房屋的抗震设计,应符合本规范附录F的规定。
注:1 采用非黏土的烧结砖、蒸压砖、混凝土砖的砌体房屋,块体的材料性能应有可靠的试验数据;当本章未作具体规定时,可按本章普通砖、多孔砖房屋的相应规定执行;
2 本章中“小砌块”为“混凝土小型空心砌块”的简称;
3 非空旷的单层砌体房屋,可按本章规定的原则进行抗震设计。
条文说明
7.1.1 考虑到黏土砖被限用,本章的适用范围由黏土砖砌体改为各类砖砌体,包括非黏土烧结砖、蒸压砖砌体,并增加混凝土类砖,该类砖已有产品国标。对非黏土烧结砖和蒸压砖,仍按2001规范的规定依据其抗剪强度区别对待。
对于配筋混凝土小砌块承重房屋的抗震设计,仍然在本规范的附录F中予以规定。
本次修订,明确本章的规定,原则上也可用于单层非空旷砌体房屋的抗震设计。
砌体结构房屋抗震设计的适用范围,随国家经济的发展而不断改变。89规范删去了“底部内框架砖房”的结构形式;2001规范删去了混凝土中型砌块和粉煤灰中型砌块的规定,并将“内框架砖房”限制于多排柱内框架;本次修订,考虑到“内框架砖房”已很少使用且抗震性能较低,取消了相关内容。
7.1.2 多层房屋的层数和高度应符合下列要求:
1 一般情况下,房屋的层数和总高度不应超过表7.1.2的规定。

注:1 房屋的总高度指室外地面到主要屋面板板顶或檐口的高度,半地下室从地下室室内地面算起,全地下室和嵌固条件好的半地下室应允许从室外地面算起;对带阁楼的坡屋面应算到山尖墙的1/2高度处;
2 室内外高差大于0.6m时,房屋总高度应允许比表中的数据适当增加,但增加量应少于1.0m;
3 乙类的多层砌体房屋仍按本地区设防烈度查表,其层数应减少一层且总高度应降低3m;不应采用底部框架-抗震墙砌体房屋;
4 本表小砌块砌体房屋不包括配筋混凝土小型空心砌块砌体房屋。
2 横墙较少的多层砌体房屋,总高度应比表7.1.2的规定降低3m,层数相应减少一层;各层横墙很少的多层砌体房屋,还应再减少一层。
注:横墙较少是指同一楼层内开间大于4.2m的房间占该层总面积的40%以上;其中,开间不大于4.2m的房间占该层总面积不到20%且开间大于4.8m的房间占该层总面积的50%以上为横墙很少。
3 6、7度时,横墙较少的丙类多层砌体房屋,当按规定采取加强措施并满足抗震承载力要求时,其高度和层数应允许仍按表7.1.2的规定采用。
4 采用蒸压灰砂砖和蒸压粉煤灰砖的砌体的房屋,当砌体的抗剪强度仅达到普通黏土砖砌体的70%时,房屋的层数应比普通砖房减少一层,总高度应减少3m;当砌体的抗剪强度达到普通黏土砖砌体的取值时,房屋层数和总高度的要求同普通砖房屋。 ( 自2022年1月1日起废止该条,详见新规 《建筑与市政工程抗震通用规范》GB 55002-2021)
条文说明
7.1.2 砌体房屋的高度限制,是十分敏感且深受关注的规定。基于砌体材料的脆性性质和震害经验,限制其层数和高度是主要的抗震措施。
多层砖房的抗震能力,除依赖于横墙间距、砖和砂浆强度等级、结构的整体性和施工质量等因素外,还与房屋的总高度有直接的联系。
历次地震的宏观调查资料说明:二、三层砖房在不同烈度区的震害,比四、五层的震害轻得多,六层及六层以上的砖房在地震时震害明显加重。海城和唐山地震中,相邻的砖房,四、五层的比二、三层的破坏严重,倒塌的百分比亦高得多。
国外在地震区对砖结构房屋的高度限制较严。不少国家在7度及以上地震区不允许采用无筋砖结构,前苏联等国对配筋和无筋砖结构的高度和层数作了相应的限制。结合我国具体情况,砌体房屋的高度限制是指设置了构造柱的房屋高度。
多层砌块房屋的总高度限制,主要是依据计算分析、部分震害调查和足尺模型试验,并参照多层砖房确定的。
2008局部修订时,补充了属于乙类的多层砌体结构房屋按当地设防烈度查表7.1.2的高度和层数控制要求。本条在2008年局部修订基础上作下列变动:
1 偏于安全,6度的普通砖砌体房屋的高度和层数适当降低。
2 明确补充规定了7度(0.15g)和8度(0.30g)的高度和层数限值。
3 底部框架-抗震墙砌体房屋,不允许用于乙类建筑和8度(0.3g)的丙类建筑。表7.1.2中底部框架-抗震墙砌体房屋的最小砌体墙厚系指上部砌体房屋部分。
4 横墙较少的房屋,按规定的措施加强后,总层数和总高度不变的适用范围,比2001规范有所调整:扩大到丙类建筑;根据横墙较少砖砌体房屋的试设计结果,当砖墙厚度为240mm时,7度(0.1g和0.15g)纵横墙计算承载力基本满足;8度(0.2g)六层时纵墙承载力大多不能满足,五层时部分纵墙承载力不满足;8度(0.3g)五层时纵横墙承载力均不能满足要求。故本次修订,规定仅6、7度时允许总层数和总高度不降低。
5 补充了横墙很少的多层砌体房屋的定义。对各层横墙很少的多层砌体房屋,其总层数应比横墙较少时再减少一层,由于层高的限值,总高度也有所降低。 需要注意:
表7.1.2的注2表明,房屋高度按有效数字控制。当室内外高差不大于0.6m时,房屋总高度限值按表中数据的有效数字控制,则意味着可比表中数据增加0.4m;当室内外高差大于0.6m时,虽然房屋总高度允许比表中的数据增加不多于1.0m,实际上其增加量只能少于0.4m。
坡屋面阁楼层一般仍需计入房屋总高度和层数;但属于本规范第5.2.4条规定的出屋面小建筑范围时,不计入层数和高度的控制范围。斜屋面下的“小建筑”通常按实际有效使用面积或重力荷载代表值小于顶层30%控制。
对于半地下室和全地下室的嵌固条件,仍与2001规范相同。
7.1.3 多层砌体承重房屋的层高,不应超过3.6m。
底部框架-抗震墙砌体房屋的底部,层高不应超过4.5m;当底层采用约束砌体抗震墙时,底层的层高不应超过4.2m。
注:当使用功能确有需要时,采用约束砌体等加强措施的普通砖房屋,层高不应超过3.9m。
条文说明
7.1.3 本条在2008局部修订中作了修改,以适应教学楼等需要层高3.9m的使用要求。约束砌体,大体上指间距接近层高的构造柱与圈梁组成的砌体、同时拉结网片符合相应的构造要求,可参见本规范第7.3.14、7.5.4、7.5.5条等。
对于采用约束砌体抗震墙的底框房屋,根据试设计结果,底层的层高也比2001规范有所减少。
7.1.4 多层砌体房屋总高度与总宽度的最大比值,宜符合表7.1.4的要求。

条文说明
7.1.4 若砌体房屋考虑整体弯曲进行验算,目前的方法即使在7度时,超过三层就不满足要求,与大量的地震宏观调查结果不符。实际上,多层砌体房屋一般可以不做整体弯曲验算,但为了保证房屋的稳定性,限制了其高宽比。
7.1.5房屋抗震横墙的间距,不应超过表7.1.5的要求: ( 自2022年1月1日起废止该条,详见新规 《建筑与市政工程抗震通用规范》GB 55002-2021)

条文说明
7.1.5 多层砌体房屋的横向地震力主要由横墙承担,地震中横墙间距大小对房屋倒塌影响很大,不仅横墙需具有足够的承载力,而且楼盖须具有传递地震力给横墙的水平刚度,本条规定是为了满足楼盖对传递水平地震力所需的刚度要求。
对于多层砖房,历来均沿用78规范的规定;对砌块房屋则参照多层砖房给出,且不宜采用木楼、屋盖。
纵墙承重的房屋,横墙间距同样应满足本条规定。
地震中,横墙间距大小对房屋倒塌影响很大,本次修订,考虑到原规定的抗震横墙最大间距在实际工程中一般也不需要这么大,故减小(2~3)m。
鉴于基本不采用木楼盖,将“木楼、屋盖”改为“木屋盖”。
多层砌体房屋顶层的横墙最大间距,在采用钢筋混凝土屋盖时允许适当放宽,大致指大房间平面长宽比不大于2.5,最大抗震横墙间距不超过表7.1.5中数值的1.4倍及18m。此时,抗震横墙除应满足抗震承载力计算要求外,相应的构造柱需要加强并至少向下延伸一层。
7.1.6 多层砌体房屋中砌体墙段的局部尺寸限值,宜符合表7. 1. 6的要求:

条文说明
7.1.6 砌体房屋局部尺寸的限制,在于防止因这些部位的失效,而造成整栋结构的破坏甚至倒塌,本条系根据地震区的宏观调查资料分析规定的,如采用另增设构造柱等措施,可适当放宽。本次修订进一步明确了尺寸不足的小墙段的最小值限制。
外墙尽端指,建筑物平面凸角处(不包括外墙总长的中部局部凸折处)的外墙端头,以及建筑物平面凹角处(不包括外墙总长的中部局部凹折处)未与内墙相连的外墙端头。
7.1.7 多层砌体房屋的建筑布置和结构体系,应符合下列要求:
1 应优先采用横墙承重或纵横墙共同承重的结构体系。不应采用砌体墙和混凝土墙混合承重的结构体系。
2 纵横向砌体抗震墙的布置应符合下列要求:
1)宜均匀对称,沿平面内宜对齐,沿竖向应上下连续;且纵横向墙体的数量不宜相差过大;
2)平面轮廓凹凸尺寸,不应超过典型尺寸的50%;当超过典型尺寸的25%时,房屋转角处应采取加强措施;
3)楼板局部大洞口的尺寸不宜超过楼板宽度的30%,且不应在墙体两侧同时开洞;
4)房屋错层的楼板高差超过500mm时,应按两层计算;错层部位的墙体应采取加强措施;
5)同一轴线上的窗间墙宽度宜均匀;在满足本规范第7.1.6条要求的前提下,墙面洞口的立面面积,6、7度时不宜大于墙面总面积的55%,8、9度时不宜大于50%;
6)在房屋宽度方向的中部应设置内纵墙,其累计长度不宜小于房屋总长度的60%(高宽比大于4的墙段不计入)。
3 房屋有下列情况之一时宜设置防震缝,缝两侧均应设置墙体,缝宽应根据烈度和房屋高度确定,可采用70mm~100mm:
1)房屋立面高差在6m以上;
2)房屋有错层,且楼板高差大于层高的1/4;
3)各部分结构刚度、质量截然不同。
4 楼梯间不宜设置在房屋的尽端或转角处。
5 不应在房屋转角处设置转角窗。
6 横墙较少、跨度较大的房屋,宜采用现浇钢筋混凝土楼、屋盖。
条文说明
7.1.7 本条对多层砌体房屋的建筑布置和结构体系作了较详细的规定,是对本规范第3章关于建筑结构规则布置的补充。 根据历次地震调查统计,纵墙承重的结构布置方案,因横向支承较少,纵墙较易受弯曲破坏而导致倒塌,为此,要优先采用横墙承重的结构布置方案。
纵横墙均匀对称布置,可使各墙垛受力基本相同,避免薄弱部位的破坏。
震害调查表明,不设防震缝造成的房屋破坏,一般多只是局部的,在7度和8度地区,一些平面较复杂的一、二层房屋,其震害与平面规则的同类房屋相比,并无明显的差别,同时,考虑到设置防震缝所耗的投资较多,所以89规范以来,对设置防震缝的要求比78规范有所放宽。
楼梯间墙体缺少各层楼板的侧向支承,有时还因为楼梯踏步削弱楼梯间的墙体,尤其是楼梯间顶层,墙体有一层半楼层的高度,震害加重。因此,在建筑布置时尽量不设在尽端,或对尽端开间采取专门的加强措施。
本次修订,除按2008年局部修订外,有关烟道、预制挑檐板移入第13章。对建筑结构体系的规则性增加了下列要求:
1 为保证房屋纵向的抗震能力,并根据本规范第3.5.3条两个主轴方向振动特性不宜相差过大的要求,规定多层砌体的纵横向墙体数量不宜相差过大,在房屋宽度的中部(约1/3宽度范围)应有内纵墙,且多道内纵墙开洞后累计长度不宜小于房屋纵向长度的60%。“宜”表示,当房屋层数很少时,还可比60%适当放宽。
2 避免采用混凝土墙与砌体墙混合承重的体系,防止不同材料性能的墙体被各个击破。
3 房屋转角处不应设窗,避免局部破坏严重。
4 根据汶川地震的经验,外纵墙体开洞率不应过大,宜按55%左右控制。
5 明确砌体结构的楼板外轮廓、开大洞、较大错层等不规则的划分,以及设计要求。考虑到砌体墙的抗震性能不及混凝土墙,相应的不规则界限比混凝土结构有所加严。
6 本条规定同一轴线(直线或弧线)上的窗间墙宽度宜均匀,包括与同一直线或弧线上墙段平行错位净距离不超过2倍墙厚的墙段上的窗间墙(此时错位处两墙段之间连接墙的厚度不应小于外墙厚度),在满足本规范第7.1.6条的局部尺寸要求的情况下,墙体的立面开洞率亦应进行控制。
7.1.8 底部框架-抗震墙砌体房屋的结构布置,应符合下列要求:
1 上部的砌体墙体与底部的框架梁或抗震墙,除楼梯间附近的个别墙段外均应对齐。
2 房屋的底部,应沿纵横两方向设置一定数量的抗震墙,并应均匀对称布置。6度且总层数不超过四层的底层框架-抗震墙砌体房屋,应允许采用嵌砌于框架之间的约束普通砖砌体或小砌块砌体的砌体抗震墙,但应计入砌体墙对框架的附加轴力和附加剪力并进行底层的抗震验算,且同一方向不应同时采用钢筋混凝土抗震墙和约束砌体抗震墙;其余情况,8度时应采用钢筋混凝土抗震墙,6、7度时应采用钢筋混凝土抗震墙或配筋小砌块砌体抗震墙。
3 底层框架-抗震墙砌体房屋的纵横两个方向,第二层计入构造柱影响的侧向刚度与底层侧向刚度的比值,6、7度时不应大于2.5,8度时不应大于2.0,且均不应小于1.0。
4 底部两层框架-抗震墙砌体房屋纵横两个方向,底层与底部第二层侧向刚度应接近,第三层计入构造柱影响的侧向刚度与底部第二层侧向刚度的比值,6、7度时不应大于2.0,8度时不应大于1.5,且均不应小于1.0。
5 底部框架-抗震墙砌体房屋的抗震墙应设置条形基础、筏形基础等整体性好的基础。 ( 自2022年1月1日起废止该条,详见新规 《建筑与市政工程抗震通用规范》GB 55002-2021)
条文说明
7.1.8 本次修订,将2001规范“基本对齐”明确为“除楼梯间附近的个别墙段外”,并明确上部砌体侧向刚度应计入构造柱影响的要求。 底层采用砌体抗震墙的情况,仅允许用于6度设防时,且明确应采用约束砌体加强,但不应采用约束多孔砖砌体,有关的构造要求见本章第7.5节;6、7度时,也允许采用配筋小砌块墙体。还需注意,砌体抗震墙应对称布置,避免或减少扭转效应,不作为抗震墙的砌体墙,应按填充墙处理,施工时后砌。 底部抗震墙的基础,不限定具体的基础形式,明确为“整体性好的基础”。
7.1.9 底部框架-抗震墙砌体房屋的钢筋混凝土结构部分,除应符合本章规定外,尚应符合本规范第6章的有关要求;此时,底部混凝土框架的抗震等级,6、7、8度应分别按三、二、一级采用,混凝土墙体的抗震等级,6、7、8度应分别按三、三、二级采用。
条文说明
7.1.9 底部框架-抗震墙房屋的钢筋混凝土结构部分,其抗震要求原则上均应符合本规范第6章的要求,抗震等级与钢筋混凝土结构的框支层相当。但考虑到底部框架-抗震墙房屋高度较低,底部的钢筋混凝土抗震墙应按低矮墙或开竖缝设计,构造上有所区别。
7.2 计算要点
7.2.1 多层砌体房屋、底部框架-抗震墙砌体房屋的抗震计算,可采用底部剪力法,并应按本节规定调整地震作用效应。
条文说明
7.2.1 砌体房屋层数不多,刚度沿高度分布一般比较均匀,并以剪切变形为主,因此可采用底部剪力法计算。底部框架-抗震墙房屋属于竖向不规则结构,层数不多,仍可采用底部剪力法简化计算,但应考虑一系列的地震作用效应调整,使之较符合实际。
自承重墙体(如横墙承重方案中的纵墙等),如按常规方法进行抗震验算,往往比承重墙还要厚,但抗震安全性的要求可以考虑降低,为此,利用γRE适当调整。
7.2.2 对砌体房屋,可只选从属面积较大或竖向应力较小的墙段进行截面抗震承载力验算。
条文说明
7.2.2 根据一般的设计经验,抗震验算时,只需对纵、横向的不利墙段进行截面验算,不利墙段为:①承担地震作用较大的;②竖向压应力较小的;③局部截面较小的墙段。
7.2.3 进行地震剪力分配和截面验算时,砌体墙段的层间等效侧向刚度应按下列原则确定:
1 刚度的计算应计及高宽比的影响。高宽比小于1时,可只计算剪切变形;高宽比不大于4且不小于1时,应同时计算弯曲和剪切变形;高宽比大于4时,等效侧向刚度可取0.0。
注:墙段的高宽比指层高与墙长之比,对门窗洞边的小墙段指洞净高与洞侧墙宽之比。
2 墙段宜按门窗洞口划分;对设置构造柱的小开口墙段按毛墙面计算的刚度,可根据开洞率乘以表7.2.3的墙段洞口影响系数:

注:1 开洞率为洞口水平截面积与墙段水平毛截面积之比,相邻洞口之间净宽小于500mm的墙段视为洞口;
2 洞口中线偏离墙段中线大于墙段长度的1/4时,表中影响系数值折减0.9;门洞的洞顶高度大于层高80%时,表中数据不适用;窗洞高度大于50%层高时,按门洞对待。
条文说明
7.2.3 在楼层各墙段间进行地震剪力的分配和截面验算时,根据层间墙段的不同高宽比(一般墙段和门窗洞边的小墙段,高宽比按本条“注”的方法分别计算),分别按剪切或弯剪变形同时考虑,较符合实际情况。
砌体的墙段按门窗洞口划分、小开口墙等效刚度的计算方法等内容同2001规范。
本次修订明确,关于开洞率的定义及适用范围,系参照原行业标准《设置钢筋混凝土构造柱多层砖房抗震技术规程》JGJ/T 13的相关内容得到的,该表仅适用于带构造柱的小开口墙段。当本层门窗过梁及以上墙体的合计高度小于层高的20%时,洞口两侧应分为不同的墙段。
7.2.4 底部框架-抗震墙砌体房屋的地震作用效应,应按下列规定调整:
1 对底层框架-抗震墙砌体房屋,底层的纵向和横向地震剪力设计值均应乘以增大系数;其值应允许在1.2~1.5范围内选用,第二层与底层侧向刚度比大者应取大值。
2 对底部两层框架-抗震墙砌体房屋,底层和第二层的纵向和横向地震剪力设计值亦均应乘以增大系数;其值应允许在1.2~1.5范围内选用,第三层与第二层侧向刚度比大者应取大值。
3 底层或底部两层的纵向和横向地震剪力设计值应全部由该方向的抗震墙承担,并按各墙体的侧向刚度比例分配。 ( 自2022年1月1日起废止该条,详见新规 《建筑与市政工程抗震通用规范》GB 55002-2021)
7.2.5 底部框架-抗震墙砌体房屋中,底部框架的地震作用效应宜采用下列方法确定:
1 底部框架柱的地震剪力和轴向力,宜按下列规定调整:
1)框架柱承担的地震剪力设计值,可按各抗侧力构件有效侧向刚度比例分配确定;有效侧向刚度的取值,框架不折减;混凝土墙或配筋混凝土小砌块砌体墙可乘以折减系数0.30;约束普通砖砌体或小砌块砌体抗震墙可乘以折减系数0.20;
2)框架柱的轴力应计入地震倾覆力矩引起的附加轴力,上部砖房可视为刚体,底部各轴线承受的地震倾覆力矩,可近似按底部抗震墙和框架的有效侧向刚度的比例分配确定;
3)当抗震墙之间楼盖长宽比大于2.5时,框架柱各轴线承担的地震剪力和轴向力,尚应计入楼盖平面内变形的影响。
2 底部框架-抗震墙砌体房屋的钢筋混凝土托墙梁计算地震组合内力时,应采用合适的计算简图。若考虑上部墙体与托墙梁的组合作用,应计入地震时墙体开裂对组合作用的不利影响,可调整有关的弯矩系数、轴力系数等计算参数。
条文说明
7.2.4、7.2.5 底部框架-抗震墙砌体房屋是我国现阶段经济条件下特有的一种结构。强烈地震的震害表明,这类房屋设计不合理时,其底部可能发生变形集中,出现较大的侧移而破坏,甚至坍塌。近十多年来,各地进行了许多试验研究和分析计算,对这类结构有进一步的认识。但总体上仍需持谨慎的态度。其抗震计算上需注意:
1 继续保持2001规范对底层框架-抗震墙砌体房屋地震作用效应调整的要求。按第二层与底层侧移刚度的比例相应地增大底层的地震剪力,比例越大,增加越多,以减少底层的薄弱程度。通常,增大系数可依据刚度比用线性插值法近似确定。 底层框架-抗震墙砌体房屋,二层以上全部为砌体墙承重结构,仅底层为框架-抗震墙结构,水平地震剪力要根据对应的单层的框架-抗震墙结构中各构件的侧移刚度比例,并考虑塑性内力重分布来分配。
作用于房屋二层以上的各楼层水平地震力对底层引起的倾覆力矩,将使底层抗震墙产生附加弯矩,并使底层框架柱产生附加轴力。倾覆力矩引起构件变形的性质与水平剪力不同,本次修订,考虑实际运算的可操作性,近似地将倾覆力矩在底层框架和抗震墙之间按它们的有效侧移刚度比例分配。需注意,框架部分的倾覆力矩近似按有效侧向刚度分配计算,所承担的倾覆力矩略偏少。
2 底部两层框架-抗震墙砌体房屋的地震作用效应调整原则,同底层框架-抗震墙砌体房屋。
3 该类房屋底部托墙梁在抗震设计中的组合弯矩计算方法:
考虑到大震时墙体严重开裂,托墙梁与非抗震的墙梁受力状态有所差异,当按静力的方法考虑两端框架柱落地的托梁与上部墙体组合作用时,若计算系数不变会导致不安全,应调整计算参数。作为简化计算,偏于安全,在托墙梁上部各层墙体不开洞和跨中1/3范围内开一个洞口的情况,也可采用折减荷载的方法:托墙梁弯矩计算时,由重力荷载代表值产生的弯矩,四层以下全部计入组合,四层以上可有所折减,取不小于四层的数值计入组合;对托墙梁剪力计算时,由重力荷载产生的剪力不折减。
4 本次修订,增加考虑楼盖平面内变形影响的要求。
7.2.6 各类砌体沿阶梯形截面破坏的抗震抗剪强度设计值,应按下式确定: ( 自2022年1月1日起废止该条,详见新规 《建筑与市政工程抗震通用规范》GB 55002-2021)

条文说明
7.2.6 砌体材料抗震强度设计值的计算,继续保持89规范的规定:
地震作用下砌体材料的强度指标,因不同于静力,宜单独给出。其中砖砌体强度是按震害调查资料综合估算并参照部分试验给出的,砌块砌体强度则依据试验。为了方便,当前仍继续沿用静力指标。但是,强度设计值和标准值的关系则是针对抗震设计的特点按《统一标准》可靠度分析得到的,并采用调整静强度设计值的形式。
关于砌体结构抗剪承载力的计算,有两种半理论半经验的方法——主拉和剪摩。在砂浆等级>M2.5且在1<σ0/fv≤4时,两种方法结果相近。本规范采用正应力影响系数的形式,将两种方法用同样的表达方式给出。
对砖砌体,此系数与89规范相同,继续沿用78规范的方法,采用在震害统计基础上的主拉公式得到,以保持规范的延续性: 
对于混凝土小砌块砌体,其fv较低,σ0/fv相对较大,两种方法差异也大,震害经验又较少,根据试验资料,正应力影响系数由剪摩公式得到: 
本次修订,根据砌体规范fv取值的变化,对表内数据作了调整,使fvE与σ0的函数关系基本不变。根据有关试验资料,当σ0/fv≥16时,小砌块砌体的正应力影响系数如仍按剪摩公式线性增加,则其值偏高,偏于不安全。因此当σ0/fv大于16时,小砌块砌体的正应力影响系数都按σ0/fv=16时取3.92。

3 当按式(7.2.7-1)、式(7.2.7-2)验算不满足要求时,可计入基本均匀设置于墙段中部、截面不小于240mm×240mm(墙厚190mm时为240mm×190mm)且间距不大于4m的构造柱对受剪承载力的提高作用,按下列简化方法验算:

条文说明
7.2.7 继续沿用了2001规范关于设置构造柱墙段抗震承载力验算方法:
一般情况下,构造柱仍不以显式计入受剪承载力计算中,抗震承载力验算的公式与89规范完全相同。
当构造柱的截面和配筋满足一定要求后,必要时可采用显式计入墙段中部位置处构造柱对抗震承载力的提高作用。有关构造柱规程、地方规程和有关的资料,对计入构造柱承载力的计算方法有三种:其一,换算截面法,根据混凝土和砌体的弹性模量比折算,刚度和承载力均按同一比例换算,并忽略钢筋的作用;其二,并联叠加法,构造柱和砌体分别计算刚度和承载力,再将二者相加,构造柱的受剪承载力分别考虑了混凝土和钢筋的承载力,砌体的受剪承载力还考虑了小间距构造柱的约束提高作用;其三,混合法,构造柱混凝土的承载力以换算截面并入砌体截面计算受剪承载力,钢筋的作用单独计算后再叠加。在三种方法中,对承载力抗震调整系数γRE的取值各有不同。由于不同的方法均根据试验成果引入不同的经验修正系数,使计算结果彼此相差不大,但计算基本假定和概念在理论上不够理想。
收集了国内许多单位所进行的一系列两端设置、中间设置1~3根构造柱及开洞砖墙体,并有不同截面、不同配筋、不同材料强度的试验成果,通过累计百余个试验结果的统计分析,结合混凝土构件抗剪计算方法,提出了抗震承载力简化计算公式。此简化公式的主要特点是:
(1)墙段两端的构造柱对承载力的影响,仍按89规范仅采用承载力抗震调整系数γRE反映其约束作用,忽略构造柱对墙段刚度的影响,仍按门窗洞口划分墙段,使之与现行国家标准的方法有延续性。
(2)引入中部构造柱参与工作系数及构造柱对墙体的约束修正系数,本次修订时该系数取1.1时的构造柱间距由2001规范的不大于2.8m调整为3.0m,以和7.3.14条的构造措施相对应。
(3)构造柱的承载力分别考虑了混凝土和钢筋的抗剪作用,但不能随意加大混凝土的截面和钢筋的用量。
(4)该公式是简化方法,计算的结果与试验结果相比偏于保守,供必要时利用。 横墙较少房屋及外纵墙的墙段计入其中部构造柱参与工作,抗震承载力可有所提高。
砖砌体横向配筋的抗剪验算公式是根据试验资料得到的。钢筋的效应系数随墙段高宽比在0.07~0.15之间变化,水平配筋的适用范围是0.07%~0.17%。
本次修订,增加了同时考虑水平钢筋和中部构造柱对墙体受剪承载力贡献的简化计算方法。

条文说明
7.2.8 混凝土小砌块的验算公式,系根据混凝土小砌块技术规程的基础资料,无芯柱时取γRE=1.0和(ζc=0.0,有芯柱时取γRE=0.9,按《统一标准》的原则要求分析得到的。
2001规范修订时进行了同时设置芯柱和构造柱的墙片试验。结果发现,只要把式(7.2.8)的芯柱截面(120mm×120mm)用构造柱截面(如180mm×240mm)替代,芯柱钢筋截面(如1Φ12)用构造柱钢筋(如4Φ12)替代,则计算结果与试验结果基本一致。于是,2001规范对式(7.2.8)的适用范围作了调整,也适用于同时设置芯柱和构造柱的情况。
7.2.9 底层框架-抗震墙砌体房屋中嵌砌于框架之间的普通砖或小砌块的砌体墙,当符合本规范第7.5.4条、第7.5.5条的构造要求时,其抗震验算应符合下列规定:
1 底层框架柱的轴向力和剪力,应计入砖墙或小砌块墙引起的附加轴向力和附加剪力,其值可按下列公式确定:


条文说明
7.2.9 底层框架-抗震墙房屋中采用砖砌体作为抗震墙时,砖墙和框架成为组合的抗侧力构件,直接引用89规范在试验和震害调查基础上提出的抗侧力砖填充墙的承载力计算方法。由砖抗震墙-周边框架所承担的地震作用,将通过周边框架向下传递,故底层砖抗震墙周边的框架柱还需考虑砖墙的附加轴向力和附加剪力。
本次修订,比2001版增加了底框房屋采用混凝土小砌块的约束砌体抗震墙承载力验算的内容。这类由混凝土边框与约束砌体墙组成的抗震构件,在满足上下层刚度比2.5的前提下,数量较少而需承担全楼层100%的地震剪力(6度时约为全楼总重力的4%)。因此,虽然仅适用于6度设防,为判断其安全性,仍应进行抗震验算。
7.3 多层砖砌体房屋抗震构造措施
7.3.1 各类多层砖砌体房屋,应按下列要求设置现浇钢筋混凝土构造柱(以下简称构造柱):
1 构造柱设置部位,一般情况下应符合表7.3.1的要求。
2 外廊式和单面走廊式的多层房屋,应根据房屋增加一层的层数,按表7.3.1的要求设置构造柱,且单面走廊两侧的纵墙均应按外墙处理。
3 横墙较少的房屋,应根据房屋增加一层的层数,按表7.3.1的要求设置构造柱。当横墙较少的房屋为外廊式或单面走廊式时,应按本条2款要求设置构造柱;但6度不超过四层、7度不超过三层和8度不超过二层时,应按增加二层的层数对待。
4 各层横墙很少的房屋,应按增加二层的层数设置构造柱。
5 采用蒸压灰砂砖和蒸压粉煤灰砖的砌体房屋,当砌体的抗剪强度仅达到普通黏土砖砌体的70%时,应根据增加一层的层数按本条1~4款要求设置构造柱;但6度不超过四层、7度不超过三层和8度不超过二层时,应按增加二层的层数对待。 ( 自2022年1月1日起废止该条,详见新规 《建筑与市政工程抗震通用规范》GB 55002-2021) 
7.3.2 多层砖砌体房屋的构造柱应符合下列构造要求:
1 构造柱最小截面可采用180mm×240mm(墙厚190mm时为180mm×190mm),纵向钢筋宜采用4Φ12,箍筋间距不宜大于250mm,且在柱上下端应适当加密;6、7度时超过六层、8度时超过五层和9度时,构造柱纵向钢筋宜采用4Φ14,箍筋间距不应大于200mm;房屋四角的构造柱应适当加大截面及配筋。
2 构造柱与墙连接处应砌成马牙槎,沿墙高每隔500mm设2Φ6水平钢筋和Φ4分布短筋平面内点焊组成的拉结网片或Φ4点焊钢筋网片,每边伸入墙内不宜小于1m。6、7度时底部1/3楼层,8度时底部1/2楼层,9度时全部楼层,上述拉结钢筋网片应沿墙体水平通长设置。
3 构造柱与圈梁连接处,构造柱的纵筋应在圈梁纵筋内侧穿过,保证构造柱纵筋上下贯通。
4 构造柱可不单独设置基础,但应伸入室外地面下500mm,或与埋深小于500mm的基础圈梁相连。
5 房屋高度和层数接近本规范表7.1.2的限值时,纵、横墙内构造柱间距尚应符合下列要求:
1)横墙内的构造柱间距不宜大于层高的二倍;下部1/3楼层的构造柱间距适当减小;
2)当外纵墙开间大于3.9m时,应另设加强措施。内纵墙的构造柱间距不宜大于4.2m。
条文说明
7.3.1、7.3.2 钢筋混凝土构造柱在多层砖砌体结构中的应用,根据历次大地震的经验和大量试验研究,得到了比较一致的结论,即:①构造柱能够提高砌体的受剪承载力10%~30%左右,提高幅度与墙体高宽比、竖向压力和开洞情况有关;②构造柱主要是对砌体起约束作用,使之有较高的变形能力;③构造柱应当设置在震害较重、连接构造比较薄弱和易于应力集中的部位。
本次修订继续保持2001规范的规定,根据房屋的用途、结构部位、烈度和承担地震作用的大小来设置构造柱。当房屋高度接近本规范表7.1.2的总高度和层数限值时,纵、横墙中构造柱间距的要求不变。对较长的纵、横墙需有构造柱来加强墙体的约束和抗倒塌能力。
由于钢筋混凝土构造柱的作用主要在于对墙体的约束,构造上截面不必很大,但需与各层纵横墙的圈梁或现浇楼板连接,才能发挥约束作用。
为保证钢筋混凝土构造柱的施工质量,构造柱须有外露面。一般利用马牙槎外露即可。
当6、7度房屋的层数少于本规范表7.2.1规定时,如6度二、三层和7度二层且横墙较多的丙类房屋,只要合理设计、施工质量好,在地震时可到达预期的设防目标,本规范对其构造柱设置未作强制性要求。注意到构造柱有利于提高砌体房屋抗地震倒塌能力,这些低层、小规模且设防烈度低的房屋,可根据具体条件和可能适当设置构造柱。
2008年局部修订时,增加了不规则平面的外墙对应转角(凸角)处设置构造柱的要求;楼梯斜段上下端对应墙体处增加四根构造柱,与在楼梯间四角设置的构造柱合计有八根构造柱,再与本规范7.3.8条规定的楼层半高的钢筋混凝土带等可组成应急疏散安全岛。
本次修订,在2008年局部修订的基础上作下列修改:
①文字修改,明确适用于各类砖砌体,包括蒸压砖、烧结砖和混凝土砖。
②对横墙很少的多层砌体房屋,明确按增加二层的层数设置构造柱。
③调整了6度设防时7层砖房的构造柱设置要求。
④提高了隔15m内横墙与外纵墙交接处设置构造柱的要求,调整至12m;同时增加了楼梯间对应的另一侧内横墙与外纵墙交接处设置构造柱的要求。间隔12m和楼梯间相对的内外墙交接处的要求二者取一。
⑤增加了较大洞口的说明。对于内外墙交接处的外墙小墙段,其两端存在较大洞口时,在内外墙交接处按规定设置构造柱,考虑到施工时难以在一个不大的墙段内设置三根构造柱,墙段两端可不再设置构造柱,但小墙段的墙体需要加强,如拉结钢筋网片通长设置,间距加密。
⑥原规定拉结筋每边伸入墙内不小于1m,构造柱间距4m,中间只剩下2m无拉结筋。为加强下部楼层墙体的抗震性能,本次修订将下部楼层构造柱间的拉结筋贯通,拉结筋与Φ4钢筋在平面内点焊组成拉结网片,提高抗倒塌能力。
7.3.3 多层砖砌体房屋的现浇钢筋混凝土圈梁设置应符合下列要求:
1 装配式钢筋混凝土楼、屋盖或木屋盖的砖房,应按表7.3.3的要求设置圈梁;纵墙承重时,抗震横墙上的圈梁间距应比表内要求适当加密。
2 现浇或装配整体式钢筋混凝土楼、屋盖与墙体有可靠连接的房屋,应允许不另设圈梁,但楼板沿抗震墙体周边均应加强配筋并应与相应的构造柱钢筋可靠连接。 ( 自2022年1月1日起废止该条,详见新规 《建筑与市政工程抗震通用规范》GB 55002-2021) 
7.3.4 多层砖砌体房屋现浇混凝土圈梁的构造应符合下列要求:
1 圈梁应闭合,遇有洞口圈梁应上下搭接。圈梁宜与预制板设在同一标高处或紧靠板底;
2 圈梁在本规范第7.3.3条要求的间距内无横墙时,应利用梁或板缝中配筋替代圈梁;
3 圈梁的截面高度不应小于120mm,配筋应符合表7.3.4的要求;按本规范第3.3.4条3款要求增设的基础圈梁,截面高度不应小于180mm,配筋不应少于4Φ12。

条文说明
- 3.3、7.3.4 圈梁能增强房屋的整体性,提高房屋的抗震能力,是抗震的有效措施,本次修订,提高了对楼层内横墙圈梁间距的要求,以增强房屋的整体性能。
74、78规范根据震害调查结果,明确现浇钢筋混凝土楼盖不需要设置圈梁。89规范和2001规范均规定,现浇或装配整体式钢筋混凝土楼、屋盖与墙体有可靠连接的房屋,允许不另设圈梁,但为加强砌体房屋的整体性,楼板沿抗震墙体周边均应加强配筋并应与相应的构造柱钢筋可靠连接。
圈梁的截面和配筋等构造要求,与2001规范保持一致。
7.3.5 多层砖砌体房屋的楼、屋盖应符合下列要求:
1 现浇钢筋混凝土楼板或屋面板伸进纵、横墙内的长度,均不应小于120mm。
2 装配式钢筋混凝土楼板或屋面板,当圈梁未设在板的同一标高时,板端伸进外墙的长度不应小于120mm,伸进内墙的长度不应小于100mm或采用硬架支模连接,在梁上不应小于80mm或采用硬架支模连接。
3 当板的跨度大于4.8m并与外墙平行时,靠外墙的预制板侧边应与墙或圈梁拉结。
4 房屋端部大房间的楼盖,6度时房屋的屋盖和7~9度时房屋的楼、屋盖,当圈梁设在板底时,钢筋混凝土预制板应相互拉结,并应与梁、墙或圈梁拉结。 ( 自2022年1月1日起废止该条,详见新规 《建筑与市政工程抗震通用规范》GB 55002-2021)
7.3.6 楼、屋盖的钢筋混凝土梁或屋架应与墙、柱(包括构造柱)或圈梁可靠连接;不得采用独立砖柱。跨度不小于6m大梁的支承构件应采用组合砌体等加强措施,并满足承载力要求。 ( 自2022年1月1日起废止该条,详见新规 《建筑与市政工程抗震通用规范》GB 55002-2021)
条文说明
7.3.5、7.3.6 砌体房屋楼、屋盖的抗震构造要求,包括楼板搁置长度,楼板与圈梁、墙体的拉结,屋架(梁)与墙、柱的锚固、拉结等等,是保证楼、屋盖与墙体整体性的重要措施。
本次修订,在2008年局部修订的基础上,提高了6~8度时预制板相互拉结的要求,同时取消了独立砖柱的做法。在装配式楼板伸入墙(梁)内长度的规定中,明确了硬架支模的做法(硬架支模的施工方法是:先架设梁或圈梁的模板,再将预制楼板支承在具有一定刚度的硬支架上,然后浇筑梁或圈梁、现浇叠合层等的混凝土)。
组合砌体的定义见砌体设计规范。
7.3.7 6、7度时长度大于7.2m的大房间,以及8、9度时外墙转角及内外墙交接处,应沿墙高每隔500mm配置2Φ6的通长钢筋和Φ4分布短筋平面内点焊组成的拉结网片或Φ4点焊网片。
条文说明
7.3.7 由于砌体材料的特性,较大的房间在地震中会加重破坏程度,需要局部加强墙体的连接构造要求。本次修订,将拉结筋的长度改为通长,并明确为拉结网片。
7.3.8 楼梯间尚应符合下列要求:
1 顶层楼梯间墙体应沿墙高每隔500mm设2Φ6通长钢筋和Φ4分布短钢筋平面内点焊组成的拉结网片或Φ4点焊网片;7~9度时其他各层楼梯间墙体应在休息平台或楼层半高处设置60mm厚、纵向钢筋不应少于2Φ10的钢筋混凝土带或配筋砖带,配筋砖带不少于3皮,每皮的配筋不少于2Φ6,砂浆强度等级不应低于M7.5且不低于同层墙体的砂浆强度等级。
2 楼梯间及门厅内墙阳角处的大梁支承长度不应小于500mm,并应与圈梁连接。
3 装配式楼梯段应与平台板的梁可靠连接,8、9度时不应采用装配式楼梯段;不应采用墙中悬挑式踏步或踏步竖肋插入墙体的楼梯,不应采用无筋砖砌栏板。
4 突出屋顶的楼、电梯间,构造柱应伸到顶部,并与顶部圈梁连接,所有墙体应沿墙高每隔500mm设2Φ6通长钢筋和Φ4分布短筋平面内点焊组成的拉结网片或Φ4点焊网片。 ( 自2022年1月1日起废止该条,详见新规 《建筑与市政工程抗震通用规范》GB 55002-2021)
条文说明
7.3.8 历次地震震害表明,楼梯间由于比较空旷常常破坏严重,必须采取一系列有效措施。本条在2008年局部修订时改为强制性条文。本次修订增加8、9度时不应采用装配式楼梯段的要求。
突出屋顶的楼、电梯间,地震中受到较大的地震作用,因此在构造措施上也需要特别加强。
7.3.9 坡屋顶房屋的屋架应与顶层圈梁可靠连接,檩条或屋面板应与墙、屋架可靠连接,房屋出入口处的檐口瓦应与屋面构件锚固。采用硬山搁檩时,顶层内纵墙顶宜增砌支承山墙的踏步式墙垛,并设置构造柱。
条文说明
7.3.9 坡屋顶与平屋顶相比,震害有明显差别。硬山搁檩的做法不利于抗震,2001规范修订提高了硬山搁檩的构造要求。屋架的支撑应保证屋架的纵向稳定。出入口处要加强屋盖构件的连接和锚固,以防脱落伤人。
7.3.10 门窗洞处不应采用砖过梁;过梁支承长度,6~8度时不应小于240mm,9度时不应小于360mm。
条文说明
7.3.10 砌体结构中的过梁应采用钢筋混凝土过梁,本次修订,明确不能采用砖过梁,不论是配筋还是无筋。
7.3.11 预制阳台,6、7度时应与圈梁和楼板的现浇板带可靠连接,8、9度时不应采用预制阳台。
条文说明
7.3.11 预制的悬挑构件,特别是较大跨度时,需要加强与现浇构件的连接,以增强稳定性。本次修订,对预制阳台的限制有所加严。
7.3.12 后砌的非承重砌体隔墙,烟道、风道、垃圾道等应符合本规范第13.3节的有关规定。
条文说明
7.3.12 本次修订,将2001规范第7.1.7条有关风道等非结构构件的规定移入第13章。
7.3.13 同一结构单元的基础(或桩承台),宜采用同一类型的基础,底面宜埋置在同一标高上,否则应增设基础圈梁并应按1:2的台阶逐步放坡。
条文说明
7.3.13 房屋的同一独立单元中,基础底面最好处于同一标高,否则易因地面运动传递到基础不同标高处而造成震害。如有困难时,则应设基础圈梁并放坡逐步过渡,不宜有高差上的过大突变。
对于软弱地基上的房屋,按本规范第3章的原则,应在外墙及所有承重墙下设置基础圈梁,以增强抵抗不均匀沉陷和加强房屋基础部分的整体性。
7.3.14 丙类的多层砖砌体房屋,当横墙较少且总高度和层数接近或达到本规范表7.1.2规定限值时,应采取下列加强措施:
1 房屋的最大开间尺寸不宜大于6.6m。
2 同一结构单元内横墙错位数量不宜超过横墙总数的1/3,且连续错位不宜多于两道;错位的墙体交接处均应增设构造柱,且楼、屋面板应采用现浇钢筋混凝土板。
3 横墙和内纵墙上洞口的宽度不宜大于1.5m;外纵墙上洞口的宽度不宜大于2.1m或开间尺寸的一半;且内外墙上洞口位置不应影响内外纵墙与横墙的整体连接。
4 所有纵横墙均应在楼、屋盖标高处设置加强的现浇钢筋混凝土圈梁:圈梁的截面高度不宜小于150mm,上下纵筋各不应少于3Φ10,箍筋不小于Φ6,间距不大于300mm。
5 所有纵横墙交接处及横墙的中部,均应增设满足下列要求的构造柱:在纵、横墙内的柱距不宜大于3.0m,最小截面尺寸不宜小于240mm×240mm(墙厚190mm时为240mm×190mm),配筋宜符合表7.3.14的要求。

6 同一结构单元的楼、屋面板应设置在同一标高处。
7 房屋底层和顶层的窗台标高处,宜设置沿纵横墙通长的水平现浇钢筋混凝土带;其截面高度不小于60mm,宽度不小于墙厚,纵向钢筋不少于2Φ10,横向分布筋的直径不小于Φ6且其间距不大于200mm。
条文说明
7.3.14 本条对应于本规范第7.1.2条第3款,2001规范规定为住宅类房屋,本次修订扩大为所有丙类建筑中横墙较少的多层砌体房屋(6、7度时)。对于横墙间距大于4.2m的房间超过楼层总面积40%且房屋总高度和层数接近本章表7.1.2规定限值的砌体房屋,其抗震设计方法大致包括以下方面:
(1)墙体的布置和开洞大小不妨碍纵横墙的整体连接的要求;
(2)楼、屋盖结构采用现浇钢筋混凝土板等加强整体性的构造要求;
(3)增设满足截面和配筋要求的钢筋混凝土构造柱并控制其间距、在房屋底层和顶层沿楼层半高处设置现浇钢筋混凝土带,并增大配筋数量,以形成约束砌体墙段的要求;
(4)按本规范7.2.7条第3款计入墙段中部钢筋混凝土构造柱的承载力。
本次修订,根据试设计结果,要求横墙较少时构造柱的间距,纵横墙均不大于3m。
7.4 多层砌块房屋抗震构造措施
7.4.1 多层小砌块房屋应按表7.4.1的要求设置钢筋混凝土芯柱。对外廊式和单面走廊式的多层房屋、横墙较少的房屋、各层横墙很少的房屋,尚应分别按本规范第7.3.1条第2、3、4款关于增加层数的对应要求,按表7.4.1的要求设置芯柱。 ( 自2022年1月1日起废止该条,详见新规 《建筑与市政工程抗震通用规范》GB 55002-2021) 
7.4.2 多层小砌块房屋的芯柱,应符合下列构造要求:
1 小砌块房屋芯柱截面不宜小于120mm×120mm。
2 芯柱混凝土强度等级,不应低于Cb20。
3 芯柱的竖向插筋应贯通墙身且与圈梁连接;插筋不应小于1Φ12,6、7度时超过五层、8度时超过四层和9度时,插筋不应小于1Φ14。
4 芯柱应伸入室外地面下500mm或与埋深小于500mm的基础圈梁相连。
5 为提高墙体抗震受剪承载力而设置的芯柱,宜在墙体内均匀布置,最大净距不宜大于2.0m。
6 多层小砌块房屋墙体交接处或芯柱与墙体连接处应设置拉结钢筋网片,网片可采用直径4mm的钢筋点焊而成,沿墙高间距不大于600mm,并应沿墙体水平通长设置。6、7度时底部1/3楼层,8度时底部1/2楼层,9度时全部楼层,上述拉结钢筋网片沿墙高间距不大于400mm。
条文说明
7.4.1、7.4.2 为了增加混凝土小型空心砌块砌体房屋的整体性和延性,提高其抗震能力,结合空心砌块的特点,规定了在墙体的适当部位设置钢筋混凝土芯柱的构造措施。这些芯柱设置要求均比砖房构造柱设置严格,且芯柱与墙体的连接要采用钢筋网片。 芯柱伸入室外地面下500mm,地下部分为砖砌体时,可采用类似于构造柱的方法。 本次修订,按多层砖房的本规范表7.3.1的要求,增加了楼、电梯间的芯柱或构造柱的布置要求;并补充9度的设置要求。
砌块房屋墙体交接处、墙体与构造柱、芯柱的连接,均要设钢筋网片,保证连接的有效性。本次修订,将原7.4.5条有关拉结钢筋网片设置要求调整至本规范第7.4.2、7.4.3条中。要求拉结钢筋网片沿墙体水平通长设置。为加强下部楼层墙体的抗震性能,将下部楼层墙体的拉结钢筋网片沿墙高的间距加密,提高抗倒塌能力。
7.4.3 小砌块房屋中替代芯柱的钢筋混凝土构造柱,应符合下列构造要求:
1 构造柱截面不宜小于190mm×190mm,纵向钢筋宜采用4Φ12,箍筋间距不宜大于250mm,且在柱上下端应适当加密;6、7度时超过五层、8度时超过四层和9度时,构造柱纵向钢筋宜采用4Φ14,箍筋间距不应大于200mm;外墙转角的构造柱可适当加大截面及配筋。
2 构造柱与砌块墙连接处应砌成马牙槎,与构造柱相邻的砌块孔洞,6度时宜填实,7度时应填实,8、9度时应填实并插筋。构造柱与砌块墙之间沿墙高每隔600mm设置Φ4点焊拉结钢筋网片,并应沿墙体水平通长设置。6、7度时底部1/3楼层,8度时底部1/2楼层,9度全部楼层,上述拉结钢筋网片沿墙高间距不大于400mm。
3 构造柱与圈梁连接处,构造柱的纵筋应在圈梁纵筋内侧穿过,保证构造柱纵筋上下贯通。
4 构造柱可不单独设置基础,但应伸入室外地面下500mm,或与埋深小于500mm的基础圈梁相连。
条文说明
7.4.3 本条规定了替代芯柱的构造柱的基本要求,与砖房的构造柱规定大致相同。小砌块墙体在马牙槎部位浇灌混凝土后,需形成无插筋的芯柱。 试验表明。在墙体交接处用构造柱代替芯柱,可较大程度地提高对砌块砌体的约束能力,也为施工带来方便。
7.4.4 多层小砌块房屋的现浇钢筋混凝土圈梁的设置位置应按本规范第7.3.3条多层砖砌体房屋圈梁的要求执行,圈梁宽度不应小于190mm,配筋不应少于4Φ12,箍筋间距不应大于200mm。 ( 自2022年1月1日起废止该条,详见新规 《建筑与市政工程抗震通用规范》GB 55002-2021)
条文说明
7.4.4 本次修订,小砌块房屋的圈梁设置位置的要求同砖砌体房屋,直接引用而不重复。
7.4.5 多层小砌块房屋的层数,6度时超过五层、7度时超过四层、8度时超过三层和9度时,在底层和顶层的窗台标高处,沿纵横墙应设置通长的水平现浇钢筋混凝土带;其截面高度不小于60mm,纵筋不少于2Φ10,并应有分布拉结钢筋;其混凝土强度等级不应低于C20。
水平现浇混凝土带亦可采用槽形砌块替代模板,其纵筋和拉结钢筋不变。
条文说明
7.4.5 根据振动台模拟试验的结果,作为砌块房屋的层数和高度达到与普通砖房屋相同的加强措施之一,在房屋的底层和顶层,沿楼层半高处增设一道通长的现浇钢筋混凝土带,以增强结构抗震的整体性。
本次修订,补充了可采用槽形砌块作为模板的做法,便于施工。
7.4.6 丙类的多层小砌块房屋,当横墙较少且总高度和层数接近或达到本规范表7.1.2规定限值时,应符合本规范第7.3.14条的相关要求;其中,墙体中部的构造柱可采用芯柱替代,芯柱的灌孔数量不应少于2孔,每孔插筋的直径不应小于18mm。
条文说明
7.4.6 本条为新增条文。与多层砖砌体横墙较少的房屋一样,当房屋高度和层数接近或达到本规范表7.1.2的规定限值,丙类建筑中横墙较少的多层小砌块房屋应满足本章第7.3.14条的相关要求。本条对墙体中部替代增设构造柱的芯柱给出了具体规定。
7.4.7 小砌块房屋的其他抗震构造措施,尚应符合本规范第7.3.5条至第7.3.13条有关要求。其中,墙体的拉结钢筋网片间距应符合本节的相应规定,分别取600mm和400mm。
条文说明
7.4.7 砌块砌体房屋楼盖、屋盖、楼梯间、门窗过梁和基础等的抗震构造要求,则基本上与多层砖房相同。其中,墙体的拉结构造,沿墙体竖向间距按砌块模数修改。
7.5 底部框架 抗震墙砌体房屋抗震构造措施
7.5.1 底部框架-抗震墙砌体房屋的上部墙体应设置钢筋混凝土构造柱或芯柱,并应符合下列要求:
1 钢筋混凝土构造柱、芯柱的设置部位,应根据房屋的总层数分别按本规范第7.3.1条、7.4.1条的规定设置。
2 构造柱、芯柱的构造,除应符合下列要求外,尚应符合本规范第7.3.2、7.4.2、7.4.3条的规定:
1)砖砌体墙中构造柱截面不宜小于240mm×240mm(墙厚190mm时为240mm×190mm);
2)构造柱的纵向钢筋不宜少于4Φ14,箍筋间距不宜大于200mm;芯柱每孔插筋不应小于1Φ14,芯柱之间沿墙高应每隔400mm设Φ4焊接钢筋网片。
3 构造柱、芯柱应与每层圈梁连接,或与现浇楼板可靠拉接。
条文说明
7.5.1 总体上看,底部框架-抗震墙砌体房屋比多层砌体房屋抗震性能稍弱,因此构造柱的设置要求更严格。本次修订,增加了上部为混凝土小砌块砌体墙的相关要求。上部小砌块墙体内代替芯柱的构造柱,考虑到模数的原因,构造柱截面不再加大。
7.5.2 过渡层墙体的构造,应符合下列要求:
1 上部砌体墙的中心线宜与底部的框架梁、抗震墙的中心线相重合;构造柱或芯柱宜与框架柱上下贯通。
2 过渡层应在底部框架柱、混凝土墙或约束砌体墙的构造柱所对应处设置构造柱或芯柱;墙体内的构造柱间距不宜大于层高;芯柱除按本规范表7.4.1设置外,最大间距不宜大于1m。
3 过渡层构造柱的纵向钢筋,6、7度时不宜少于4Φ16,8度时不宜少于4Φ18。过渡层芯柱的纵向钢筋,6、7度时不宜少于每孔1Φ16,8度时不宜少于每孔1Φ18。一般情况下,纵向钢筋应锚入下部的框架柱或混凝土墙内;当纵向钢筋锚固在托墙梁内时,托墙梁的相应位置应加强。
4 过渡层的砌体墙在窗台标高处,应设置沿纵横墙通长的水平现浇钢筋混凝土带;其截面高度不小于60mm,宽度不小于墙厚,纵向钢筋不少于2Φ10,横向分布筋的直径不小于6mm且其间距不大200mm。此外,砖砌体墙在相邻构造柱间的墙体,应沿墙高每隔360mm设置2Φ6通长水平钢筋和Φ4分布短筋平面内点焊组成的拉结网片或Φ4点焊钢筋网片,并锚入构造柱内;小砌块砌体墙芯柱之间沿墙高应每隔400mm设置Φ4通长水平点焊钢筋网片。
5 过渡层的砌体墙,凡宽度不小于1.2m的门洞和2.1m的窗洞,洞口两侧宜增设截面不小于120mm×240mm(墙厚190mm时为120mm×190mm)的构造柱或单孔芯柱。
6 当过渡层的砌体抗震墙与底部框架梁、墙体不对齐时,应在底部框架内设置托墙转换梁,并且过渡层砖墙或砌块墙应采取比本条4款更高的加强措施。
条文说明
7.5.2 本条为新增条文。过渡层即与底部框架-抗震墙相邻的上一砌体楼层,其在地震时破坏较重,因此,本次修订将关于过渡层的要求集中在一条内叙述并予以特别加强。
1 增加了过渡层墙体为混凝土小砌块砌体墙时芯柱设置及插筋的要求。
2 加强了过渡层构造柱或芯柱的设置间距要求。
3 过渡层构造柱纵向钢筋配置的最小要求,增加了6度时的加强要求,8度时考虑到构造柱纵筋根数与其截面的匹配性,统一取为4根。
4 增加了过渡层墙体在窗台标高处设置通长水平现浇钢筋混凝土带的要求;加强了墙体与构造柱或芯柱拉结措施。
5 过渡层墙体开洞较大时,要求在洞口两侧增设构造柱或单孔芯柱。
6 对于底部次梁转换的情况,过渡层墙体应另外采取加强措施。
7.5.3 底部框架-抗震墙砌体房屋的底部采用钢筋混凝土墙时,其截面和构造应符合下列要求:
1 墙体周边应设置梁(或暗梁)和边框柱(或框架柱)组成的边框;边框梁的截面宽度不宜小于墙板厚度的1.5倍,截面高度不宜小于墙板厚度的2.5倍;边框柱的截面高度不宜小于墙板厚度的2倍。
2 墙板的厚度不宜小于160mm,且不应小于墙板净高的1/20;墙体宜开设洞口形成若干墙段,各墙段的高宽比不宜小于2。
3 墙体的竖向和横向分布钢筋配筋率均不应小于0.30%,并应采用双排布置;双排分布钢筋间拉筋的间距不应大于600mm,直径不应小于6mm。
4 墙体的边缘构件可按本规范第6.4节关于一般部位的规定设置。
条文说明
7.5.3 底框房屋中的钢筋混凝土抗震墙,是底部的主要抗侧力构件,而且往往为低矮抗震墙。对其构造上提出了更为严格的要求,以加强抗震能力。 由于底框中的混凝土抗震墙为带边框的抗震墙且总高度不超过二层,其边缘构件只需要满足构造边缘构件的要求。
7.5.4 当6度设防的底层框架-抗震墙砖房的底层采用约束砖砌体墙时,其构造应符合下列要求:
1 砖墙厚不应小于240mm,砌筑砂浆强度等级不应低于M10,应先砌墙后浇框架。
2 沿框架柱每隔300mm配置2Φ8水平钢筋和Φ4分布短筋平面内点焊组成的拉结网片,并沿砖墙水平通长设置;在墙体半高处尚应设置与框架柱相连的钢筋混凝土水平系梁。
3 墙长大于4m时和洞口两侧,应在墙内增设钢筋混凝土构造柱。
条文说明
7.5.4 对6度底层采用砌体抗震墙的底框房屋,补充了约束砖砌体抗震墙的构造要求,切实加强砖抗震墙的抗震能力,并在使用中不致随意拆除更换。
7.5.5 当6度设防的底层框架-抗震墙砌块房屋的底层采用约束小砌块砌体墙时,其构造应符合下列要求:
1 墙厚不应小于190mm,砌筑砂浆强度等级不应低于Mb10,应先砌墙后浇框架。
2 沿框架柱每隔400mm配置2Φ8水平钢筋和Φ4分布短筋平面内点焊组成的拉结网片,并沿砌块墙水平通长设置;在墙体半高处尚应设置与框架柱相连的钢筋混凝土水平系梁,系梁截面不应小于190mm×190mm,纵筋不应小于4Φ12,箍筋直径不应小于Φ6,间距不应大于200mm。
3 墙体在门、窗洞口两侧应设置芯柱,墙长大于4m时,应在墙内增设芯柱,芯柱应符合本规范第7.4.2条的有关规定;其余位置,宜采用钢筋混凝土构造柱替代芯柱,钢筋混凝土构造柱应符合本规范第7.4.3条的有关规定。
条文说明
7.5.5 本条是新增的,主要适用于6度设防时上部为小砌块墙体的底层框架-抗震墙砌体房屋。
7.5.6 底部框架-抗震墙砌体房屋的框架柱应符合下列要求:
1 柱的截面不应小于400mm×400mm,圆柱直径不应小于450mm。
2 柱的轴压比,6度时不宜大于0.85,7度时不宜大于0.75,8度时不宜大于0.65。
3 柱的纵向钢筋最小总配筋率,当钢筋的强度标准值低于400MPa时,中柱在6、7度时不应小于0.9%,8度时不应小于1.1%;边柱、角柱和混凝土抗震墙端柱在6、7度时不应小于1.0%,8度时不应小于1.2%。
4 柱的箍筋直径,6、7度时不应小于8mm,8度时不应小于10mm,并应全高加密箍筋,间距不大于100mm。
5 柱的最上端和最下端组合的弯矩设计值应乘以增大系数,一、二、三级的增大系数应分别按1.5、1.25和1.15采用。
条文说明
7.5.6 本条是新增的。规定底框房屋的框架柱不同于一般框架-抗震墙结构中的框架柱的要求,大体上接近框支柱的有关要求。柱的轴压比、纵向钢筋和箍筋要求,参照本规范第6章对框架结构柱的要求,同时箍筋全高加密。
7.5.7 底部框架-抗震墙砌体房屋的楼盖应符合下列要求:
1 过渡层的底板应采用现浇钢筋混凝土板,板厚不应小于120mm;并应少开洞、开小洞,当洞口尺寸大于800mm时,洞口周边应设置边梁。
2 其他楼层,采用装配式钢筋混凝土楼板时均应设现浇圈梁;采用现浇钢筋混凝土楼板时应允许不另设圈梁,但楼板沿抗震墙体周边均应加强配筋并应与相应的构造柱可靠连接。 ( 自2022年1月1日起废止该条,详见新规 《建筑与市政工程抗震通用规范》GB 55002-2021)
条文说明
7.5.7 底部框架-抗震墙房屋的底部与上部各层的抗侧力结构体系不同,为使楼盖具有传递水平地震力的刚度,要求过渡层的底板为现浇钢筋混凝土板。 底部框架-抗震墙砌体房屋上部各层对楼盖的要求,同多层砖房。
7.5.8 底部框架-抗震墙砌体房屋的钢筋混凝土托墙梁,其截面和构造应符合下列要求:
1 梁的截面宽度不应小于300mm,梁的截面高度不应小于跨度的1/10。
2 箍筋的直径不应小于8mm,间距不应大于200mm;梁端在1.5倍梁高且不小于1/5梁净跨范围内,以及上部墙体的洞口处和洞口两侧各500mm且不小于梁高的范围内,箍筋间距不应大于100mm。
3 沿梁高应设腰筋,数量不应少于2Φ14,间距不应大于200mm。
4 梁的纵向受力钢筋和腰筋应按受拉钢筋的要求锚固在柱内,且支座上部的纵向钢筋在柱内的锚固长度应符合钢筋混凝土框支梁的有关要求。 ( 自2022年1月1日起废止该条,详见新规 《建筑与市政工程抗震通用规范》GB 55002-2021)
条文说明
7.5.8 底部框架的托墙梁是极其重要的受力构件,根据有关试验资料和工程经验,对其构造作了较多的规定。
7.5.9 底部框架-抗震墙砌体房屋的材料强度等级,应符合下列要求:
1 框架柱、混凝土墙和托墙梁的混凝土强度等级,不应低于C30。
2 过渡层砌体块材的强度等级不应低于MU10,砖砌体砌筑砂浆强度的等级不应低于M10,砌块砌体砌筑砂浆强度的等级不应低于Mb10。
条文说明
7.5.9 针对底框房屋在结构上的特殊性,提出了有别于一般多层房屋的材料强度等级要求。本次修订,提高了过渡层砌筑砂浆强度等级的要求。
7.5.10 底部框架-抗震墙砌体房屋的其他抗震构造措施,应符合本规范第7.3节、第7.4节和第6章的有关要求。
8 多层和高层钢结构房屋
8.1 一般规定
8.1.1 本章适用的钢结构民用房屋的结构类型和最大高度应符合表8.1.1的规定。平面和竖向均不规则的钢结构,适用的最大高度宜适当降低。
注:1 钢支撑-混凝土框架和钢框架-混凝土筒体结构的抗震设计,应符合本规范附录G的规定;
2 多层钢结构厂房的抗震设计,应符合本规范附录H第H.2节的规定。

注:1 房屋高度指室外地面到主要屋面板板顶的高度(不包括局部突出屋顶部分);
2 超过表内高度的房屋,应进行专门研究和论证,采取有效的加强措施;
3 表内的筒体不包括混凝土筒。
条文说明
8.1.1 本章主要适用于民用建筑,多层工业建筑不同于民用建筑的部分,由附录H予以规定。用冷弯薄壁型钢作为主要承重结构的房屋,构件截面较小,自重较轻,可不执行本章的规定。 本章不适用于上层为钢结构下层为钢筋混凝土结构的混合型结构。对于混凝土核心筒-钢框架混合结构,在美国主要用于非抗震设防区,且认为不宜大于150m。在日本,1992年建了两幢,其高度分别为78m和107m,结合这两项工程开展了一些研究,但并未推广。据报道,日本规定采用这类体系要经建筑中心评定和建设大臣批准。 我国自20世纪80年代在当时不设防的上海希尔顿酒店采用混合结构以来,应用较多,除大量应用于7度和6度地区外,也用于8度地区。由于这种体系主要由混凝土核心筒承担地震作用,钢框架和混凝土筒的侧向刚度差异较大,国内对其抗震性能虽有一些研究,尚不够完善。本次修订,将混凝土核心筒-钢框架结构做了一些原则性的规定,列入附录G第G.2节中。
本次修订,将框架-偏心支撑(延性墙板)单列,有利于促进它的推广应用。筒体和巨型框架以及框架-偏心支撑的适用最大高度,与国内现有建筑已达到的高度相比是保守的,需结合超限审查要求确定。AISC抗震规程对B、C等级(大致相当于我国0.10g及以下)的结构,不要求执行规定的抗震构造措施,明显放宽。据此,对7度按设计基本地震加速度划分。对8度也按设计基本地震加速度作了划分。
8.1.2 本章适用的钢结构民用房屋的最大高宽比不宜超过表8.1.2的规定。

条文说明
8.1.2 国外20世纪70年代及以前建造的高层钢结构,高宽比较大的,如纽约世界贸易中心双塔,为6.6,其他建筑很少超过此值的。注意到美国东部的地震烈度很小,《高层民用建筑钢结构技术规程》JGJ 99据此对高宽比作了规定。本规范考虑到市场经济发展的现实,在合理的前提下比高层钢结构规程适当放宽高宽比要求。
本次修订,按《高层民用建筑钢结构技术规程》JGJ 99增加了表注,规定了底部有大底盘的房屋高度的取法。
8.1.3 钢结构房屋应根据设防分类、烈度和房屋高度采用不同的抗震等级,并应符合相应的计算和构造措施要求。丙类建筑的抗震等级应按表8.1.3确定。

注:1 高度接近或等于高度分界时,应允许结合房屋不规则程度和场地、地基条件确定抗震等级;
2 一般情况,构件的抗震等级应与结构相同;当某个部位各构件的承载力均满足2倍地震作用组合下的内力要求时,7~9度的构件抗震等级应允许按降低一度确定。 ( 自2022年1月1日起废止该条,详见新规 《建筑与市政工程抗震通用规范》GB 55002-2021)
条文说明
8.1.3 将2001规范对不同烈度、不同层数所规定的“作用效应调整系数”和“抗震构造措施”共7种,调整、归纳、整理为四个不同的要求,称之为抗震等级。2001规范以12层为界区分改为50m为界。对6度高度不超过50m的钢结构,与2001规范相同,其“作用效应调整系数”和“抗震构造措施”可按非抗震设计执行。
不同的抗震等级,体现不同的延性要求。可借鉴国外相应的抗震规范,如欧洲Eurocode8、美国AISC、日本BCJ的高、中、低等延性要求的规定。而且,按抗震设计等能量的概念,当构件的承载力明显提高,能满足烈度高一度的地震作用的要求时,延性要求可适当降低,故允许降低其抗震等级。
甲、乙类设防的建筑结构,其抗震设防标准的确定,按现行国家标准《建筑工程抗震设防分类标准》GB 50223的规定处理,不再重复。
8.1.4 钢结构房屋需要设置防震缝时,缝宽应不小于相应钢筋混凝土结构房屋的1.5倍。
8.1.5 一、二级的钢结构房屋,宜设置偏心支撑、带竖缝钢筋混凝土抗震墙板、内藏钢支撑钢筋混凝土墙板、屈曲约束支撑等消能支撑或筒体。
采用框架结构时,甲、乙类建筑和高层的丙类建筑不应采用单跨框架,多层的丙类建筑不宜采用单跨框架。
注:本章“一、二、三、四级”即“抗震等级为一、二、三、四级”的简称。
条文说明
8.1.5 本次修订,将2001规范的12层和烈度的划分方法改为抗震等级划分。所以本章对钢结构房屋的抗震措施,一般以抗震等级区分。凡未注明的规定,则各种高度、各种烈度的钢结构房屋均要遵守。
本次修订,补充了控制单跨框架结构适用范围的要求。
8.1.6 采用框架-支撑结构的钢结构房屋应符合下列规定:
1 支撑框架在两个方向的布置均宜基本对称,支撑框架之间楼盖的长宽比不宜大于3。
2 三、四级且高度不大于50m的钢结构宜采用中心支撑,也可采用偏心支撑、屈曲约束支撑等消能支撑。
3 中心支撑框架宜采用交叉支撑,也可采用人字支撑或单斜杆支撑,不宜采用K形支撑;支撑的轴线宜交汇于梁柱构件轴线的交点,偏离交点时的偏心距不应超过支撑杆件宽度,并应计入由此产生的附加弯矩。当中心支撑采用只能受拉的单斜杆体系时,应同时设置不同倾斜方向的两组斜杆,且每组中不同方向单斜杆的截面面积在水平方向的投影面积之差不应大于10%。
4 偏心支撑框架的每根支撑应至少有一端与框架梁连接,并在支撑与梁交点和柱之间或同一跨内另一支撑与梁交点之间形成消能梁段。
5 采用屈曲约束支撑时,宜采用人字支撑、成对布置的单斜杆支撑等形式,不应采用K形或X形,支撑与柱的夹角宜在35°~55°之间。屈曲约束支撑受压时,其设计参数、性能检验和作为一种消能部件的计算方法可按相关要求设计。
条文说明
8.1.6 三、四级且高度不大于50m的钢结构房屋宜优先采用交叉支撑,它可按拉杆设计,较经济。若采用受压支撑,其长细比及板件宽厚比应符合有关规定。
大量研究表明,偏心支撑具有弹性阶段刚度接近中心支撑框架,弹塑性阶段的延性和消能能力接近于延性框架的特点,是一种良好的抗震结构。常用的偏心支撑形式如图19所示。

偏心支撑框架的设计原则是强柱、强支撑和弱消能梁段,即在大震时消能梁段屈服形成塑性铰,且具有稳定的滞回性能,即使消能梁段进入应变硬化阶段,支撑斜杆、柱和其余梁段仍保持弹性。因此,每根斜杆只能在一端与消能梁段连接,若两端均与消能梁段相连,则可能一端的消能梁段屈服,另一端消能梁段不屈服,使偏心支撑的承载力和消能能力降低。
本次修订,考虑了设置屈曲约束支撑框架的情况。屈曲约束支撑是由芯材、约束芯材屈曲的套管和位于芯材和套管间的无粘结材料及填充材料组成的一种支撑构件。这是一种受拉时同普通支撑而受压时承载力与受拉时相当且具有某种消能机制的支撑,采用单斜杆布置时宜成对设置。屈曲约束支撑在多遇地震下不发生屈曲,可按中心支撑设计;与∨形、∧形支撑相连的框架梁可不考虑支撑屈曲引起的竖向不平衡力。此时,需要控制屈曲约束支撑轴力设计值: 
作为消能构件时,其设计参数、性能检验、计算方法的具体要求需按专门的规定执行,主要内容如下:
1 屈曲约束支撑的性能要求:
1)芯材钢材应有明显的屈服台阶,屈服强度不宜大于235kN/mm2,伸长率不应小于25%;
2)钢套管的弹性屈曲承载力不宜小于屈曲约束支撑极限承载力计算值的1.2倍;
3)屈曲约束支撑应能在2倍设计层间位移角的情况下,限制芯材的局部和整体屈曲。
2 屈曲约束支撑应按照同一工程中支撑的构造形式、约束屈服段材料和屈服承载力分类进行抽样试验检验,构造形式和约束屈服段材料相同且屈服承载力在50%至150%范围内的屈曲约束支撑划分为同一类别。每种类别抽样比例为2%,且不少于一根。试验时,依次在1/300,1/200,1/150,1/100支撑长度的拉伸和压缩往复各3次变形。试验得到的滞回曲线应稳定、饱满,具有正的增量刚度,且最后一级变形第3次循环的承载力不低于历经最大承载力的85%,历经最大承载力不高于屈曲约束支撑极限承载力计算值的1.1倍。
3 计算方法可按照位移型阻尼器的相关规定执行。
8.1.7 钢框架-筒体结构,必要时可设置由筒体外伸臂或外伸臂和周边桁架组成的加强层。
8.1.8 钢结构房屋的楼盖应符合下列要求:
1 宜采用压型钢板现浇钢筋混凝土组合楼板或钢筋混凝土楼板,并应与钢梁有可靠连接。
2 对6、7度时不超过50m的钢结构,尚可采用装配整体式钢筋混凝土楼板,也可采用装配式楼板或其他轻型楼盖;但应将楼板预埋件与钢梁焊接,或采取其他保证楼盖整体性的措施。
3 对转换层楼盖或楼板有大洞口等情况,必要时可设置水平支撑。
8.1.9 钢结构房屋的地下室设置,应符合下列要求:
1 设置地下室时,框架-支撑(抗震墙板)结构中竖向连续布置的支撑(抗震墙板)应延伸至基础;钢框架柱应至少延伸至地下一层,其竖向荷载应直接传至基础。
2 超过50m的钢结构房屋应设置地下室。其基础埋置深度,当采用天然地基时不宜小于房屋总高度的1/15;当采用桩基时,桩承台埋深不宜小于房屋总高度的1/20。
条文说明
8.1.9 支撑桁架沿竖向连续布置,可使层间刚度变化较均匀。支撑桁架需延伸到地下室,不可因建筑方面的要求而在地下室移动位置。支撑在地下室是否改为混凝土抗震墙形式,与是否设置钢骨混凝土结构层有关,设置钢骨混凝土结构层时采用混凝土墙较协调。该抗震墙是否由钢支撑外包混凝土构成还是采用混凝土墙,由设计确定。
日本在高层钢结构的下部(地下室)设钢骨混凝土结构层,目的是使内力传递平稳,保证柱脚的嵌固性,增加建筑底部刚性、整体性和抗倾覆稳定性;而美国无此要求。本规范对此不作规定。
多层钢结构与高层钢结构不同,根据工程情况可设置或不设置地下室。当设置地下室时,房屋一般较高,钢框架柱宜伸至地下一层。
钢结构的基础埋置深度,参照高层混凝土结构的规定和上海的工程经验确定。
8.2 计算要点
8.2.1 钢结构应按本节规定调整地震作用效应,其层间变形应符合本规范第5.5节的有关规定。构件截面和连接抗震验算时,非抗震的承载力设计值应除以本规范规定的承载力抗震调整系数;凡本章未作规定者,应符合现行有关设计规范、规程的要求。
条文说明
8.2.1 钢结构构件按地震组合内力设计值进行抗震验算时,钢材的各种强度设计值需除以本规范规定的承载力抗震调整系数γRE,以体现钢材动静强度和抗震设计与非抗震设计可靠指标的不同。国外采用许用应力设计的规范中,考虑地震组合时钢材的强度通常规定提高1/3或30%,与本规范γRE的作用类似。
8.2.2 钢结构抗震计算的阻尼比宜符合下列规定:
1 多遇地震下的计算,高度不大于50m时可取0.04;高度大于50m且小于200m时,可取0.03;高度不小于200m时,宜取0.02。
2 当偏心支撑框架部分承担的地震倾覆力矩大于结构总地震倾覆力矩的50%时,其阻尼比可比本条1款相应增加0.005。
3 在罕遇地震下的弹塑性分析,阻尼比可取0.05。
条文说明
8.2.2 2001规范的钢结构阻尼比偏严,本次修订依据试验结果适当放宽。采用屈曲约束支撑的钢结构,阻尼比按本规范第12章消能减震结构的规定采用。
采用该阻尼比后,地震影响系数均按本规范第5章的规定采用。
8.2.3 钢结构在地震作用下的内力和变形分析,应符合下列规定:
1 钢结构应按本规范第3.6.3条规定计入重力二阶效应。进行二阶效应的弹性分析时,应按现行国家标准《钢结构设计规范》GB 50017的有关规定,在每层柱顶附加假想水平力。
2 框架梁可按梁端截面的内力设计。对工字形截面柱,宜计入梁柱节点域剪切变形对结构侧移的影响;对箱形柱框架、中心支撑框架和不超过50m的钢结构,其层间位移计算可不计入梁柱节点域剪切变形的影响,近似按框架轴线进行分析。
3 钢框架-支撑结构的斜杆可按端部铰接杆计算;其框架部分按刚度分配计算得到的地震层剪力应乘以调整系数,达到不小于结构底部总地震剪力的25%和框架部分计算最大层剪力1.8倍二者的较小值。
4 中心支撑框架的斜杆轴线偏离梁柱轴线交点不超过支撑杆件的宽度时,仍可按中心支撑框架分析,但应计及由此产生的附加弯矩。
5 偏心支撑框架中,与消能梁段相连构件的内力设计值,应按下列要求调整:
1)支撑斜杆的轴力设计值,应取与支撑斜杆相连接的消能梁段达到受剪承载力时支撑斜杆轴力与增大系数的乘积;其增大系数,一级不应小于1.4,二级不应小于1.3,三级不应小于1.2;
2)位于消能梁段同一跨的框架梁内力设计值,应取消能梁段达到受剪承载力时框架梁内力与增大系数的乘积;其增大系数,一级不应小于1.3,二级不应小于1.2,三级不应小于1.1;
3)框架柱的内力设计值,应取消能梁段达到受剪承载力时柱内力与增大系数的乘积;其增大系数,一级不应小于1.3,二级不应小于1.2,三级不应小于1.1。
6 内藏钢支撑钢筋混凝土墙板和带竖缝钢筋混凝土墙板应按有关规定计算,带竖缝钢筋混凝土墙板可仅承受水平荷载产生的剪力,不承受竖向荷载产生的压力。
7 钢结构转换构件下的钢框架柱,地震内力应乘以增大系数,其值可采用1.5。
条文说明
8.2.3 本条规定了钢结构内力和变形分析的一些原则要求。
1 钢结构考虑二阶效应的计算,《钢结构设计规范》GB 50017-2003第3.2.8条的规定,应计入构件初始缺陷(初倾斜、初弯曲、残余应力等)对内力的影响,其影响程度可通过在框架每层柱顶作用有附加的假想水平力来体现。
2 对工字形截面柱,美国NEHRP抗震设计手册(第二版)2000年节点域考虑剪切变形的方法如下,可供参考:
考虑节点域剪切变形对层间位移角的影响,可近似将所得层间位移角与由节点域在相应楼层设计弯矩下的剪切变形角平均值相加求得。节点域剪切变形角的楼层平均值可按下式计算。

对箱形截面柱节点域变形较小,其对框架位移的影响可略去不计。
3 本款修订依据多道防线的概念设计,框架-支撑体系中,支撑框架是第一道防线,在强烈地震中支撑先屈服,内力重分布使框架部分承担的地震剪力必需增大,二者之和应大于弹性计算的总剪力;如果调整的结果框架部分承担的地震剪力不适当增大,则不是“双重体系”而是按刚度分配的结构体系。美国IBC规范中,这两种体系的延性折减系数是不同的,适用高度也不同。日本在钢支撑-框架结构设计中,去掉支撑的纯框架按总剪力的40%设计,远大于25%总剪力。这一规定体现了多道设防的原则,抗震分析时可通过框架部分的楼层剪力调整系数来实现,也可采用删去支撑框架进行计算来实现。
4 为使偏心支撑框架仅在耗能梁段屈服,支撑斜杆、柱和非耗能梁段的内力设计值应根据耗能梁段屈服时的内力确定并考虑耗能梁段的实际有效超强系数,再根据各构件的承载力抗震调整系数,确定斜杆、柱和非耗能梁段保持弹性所需的承载力。2005AISC抗震规程规定,位于消能梁段同一跨的框架梁和框架柱的内力设计值增大系数不小于1.1,支撑斜杆的内力增大系数不小于1.25。据此,对2001规范的规定适当调整,梁和柱由原来的8度不小于1.5和9度不小于1.6调整为二级不小于1.2和一级不小于1.3,支撑斜杆由原来的8度不小于1.4和9度不小于1.5调整为二级不小于1.3和一级不小于1.4。
8.2.4 钢框架梁的上翼缘采用抗剪连接件与组合楼板连接时,可不验算地震作用下的整体稳定。
8.2.5 钢框架节点处的抗震承载力验算,应符合下列规定:
1 节点左右梁端和上下柱端的全塑性承载力,除下列情况之一外,应符合下式要求:
1)柱所在楼层的受剪承载力比相邻上一层的受剪承载力高出25%;



条文说明
8.2.5 本条是实现“强柱弱梁”抗震概念设计的基本要求。
1 轴压比较小时可不验算强柱弱梁。条文所要求的是按2倍的小震地震作用的地震组合得出的内力设计值,而不是取小震地震组合轴向力的2倍。
参考美国规定增加了梁端塑性铰外移的强柱弱梁验算公式。骨形连接(RBS)连接的塑性铰至柱面距离,参考FEMA350的规定,取(0.5~0.75)bf+(0.65~0.85)hb/2(其中,bf和hb分别为梁翼缘宽度和梁截面高度);梁端扩大型和加盖板的连接按日本规定,取净跨的1/10和梁高二者的较大值。强柱系数建议以7度(0.10g)作为低烈度区分界,大致相当于AISC的等级C,按AISC抗震规程,等级B、C是低烈度区,可不执行该标准规定的抗震构造措施。强柱系数实际上已隐含系数1.15。本次修订,只是将强柱系数,按抗震等级作了相应的划分,基本维持了2001规范的数值。
2 关于节点域。日本规定节点板域尺寸自梁柱翼缘中心线算起,AISC的节点域稳定公式规定自翼缘内侧算起。本次修订,拟取自翼缘中心线算起。
美国节点板域稳定公式为高度和宽度之和除以90,历次修订此式未变;我国同济大学和哈尔滨工业大学做过试验,结果都是1/70,考虑到试件板厚有一定限制,过去对高层用1/90,对多层用1/70。板的初始缺陷对平面内稳定影响较大,特别是板厚有限时,一次试验也难以得出可靠结果。考虑到该式一般不控制,本次修订拟统一采用美国的参数1/90。
研究表明,节点域既不能太厚,也不能太薄,太厚了使节点域不能发挥其耗能作用,太薄了将使框架侧向位移太大,规范使用折减系数来设计。取0.7是参考日本研究结果采用。《高层民用建筑钢结构技术规程》JGJ 99-98规定在7度时改用0.6,是考虑到我国7度地区较大,可减少节点域加厚。日本第一阶段设计相当于我国8度;考虑7度可适当降低要求,所以按抗震等级划分拟就了系数。
当两侧梁不等高时,节点域剪应力计算公式可参阅《钢结构设计规范》管理组编著的《钢结构设计计算示例》p582页,中国计划出版社,2007年3月。

2 人字支撑和V形支撑的框架梁在支撑连接处应保持连续,并按不计入支撑支点作用的梁验算重力荷载和支撑屈曲时不平衡力作用下的承载力;不平衡力应按受拉支撑的最小屈服承载力和受压支撑最大屈曲承载力的0.3倍计算。必要时,人字支撑和V形支撑可沿竖向交替设置或采用拉链柱。
注:顶层和出屋面房间的梁可不执行本款。
条文说明
8.2.6 本条规定了支撑框架的验算。
1 考虑循环荷载时的强度降低系数,是高钢规编制时陈绍蕃教授提出的。考虑中心支撑长细比限值改动较大,拟保留此系数。
2 当人字支撑的腹杆在大震下受压屈曲后,其承载力将下降,导致横梁在支撑处出现向下的不平衡集中力,可能引起横梁破坏和楼板下陷,并在横梁两端出现塑性铰;此不平衡集中力取受拉支撑的竖向分量减去受压支撑屈曲压力竖向分量的30%。V形支撑情况类似,仅当斜杆失稳时楼板不是下陷而是向上隆起,不平衡力与前种情况相反。设计单位反映,考虑不平衡力后梁截面过大。条文中的建议是AISC抗震规程中针对此情况提出的,具有实用性,参见图20。 
8.2.7 偏心支撑框架构件的抗震承载力验算,应符合下列规定:
1 消能梁段的受剪承载力应符合下列要求:


2 支撑斜杆与消能梁段连接的承载力不得小于支撑的承载力。若支撑需抵抗弯矩,支撑与梁的连接应按抗压弯连接设计。
条文说明
8.2.7 偏心支撑框架的设计计算,主要参考AISC于1997年颁布的《钢结构房屋抗震规程》并根据我国情况作了适当调整。
当消能梁段的轴力设计值不超过0.15Af时,按AISC规定,忽略轴力影响,消能梁段的受剪承载力取腹板屈服时的剪力和梁段两端形成塑性铰时的剪力两者的较小值。本规范根据我国钢结构设计规范关于钢材拉、压、弯强度设计值与屈服强度的关系,取承载力抗震调整系数为1.0,计算结果与AISC相当;当轴力设计值超过0.15Af时,则降低梁段的受剪承载力,以保证该梁段具有稳定的滞回性能。
为使支撑斜杆能承受消能梁段的梁端弯矩,支撑与梁段的连接应设计成刚接(图21)。 
8.2.8 钢结构抗侧力构件的连接计算,应符合下列要求:
1 钢结构抗侧力构件连接的承载力设计值,不应小于相连构件的承载力设计值;高强度螺栓连接不得滑移。
2 钢结构抗侧力构件连接的极限承载力应大于相连构件的屈服承载力。
3 梁与柱刚性连接的极限承载力,应按下列公式验算:

4 支撑与框架连接和梁、柱、支撑的拼接极限承载力,应按下列公式验算:


条文说明
8.2.8 构件的连接,需符合强连接弱构件的原则。
1 需要对连接作二阶段设计。第一阶段,要求按构件承载力而不是设计内力进行连接计算,是考虑设计内力较小时将导致连接件型号和数量偏少,或焊缝的有效截面尺寸偏小,给第二阶段连接(极限承载力)设计带来困难。另外,高强度螺栓滑移对钢结构连接的弹性设计是不允许的。
2 框架梁一般为弯矩控制,剪力控制的情况很少,其设计剪力应采用与梁屈服弯矩相应的剪力,2001规范规定采用腹板全截面屈服时的剪力,过于保守。另一方面,2001规范用1.3代替1.2考虑竖向荷载往往偏小,故作了相应修改。采用系数1.2,是考虑梁腹板的塑性变形小于翼缘的变形要求较多,当梁截面受剪力控制时,该系数宜适当加大。
3 钢结构连接系数修订,系参考日本建筑学会《钢结构连接设计指南》(2001/2006)的下列规定拟定。

表中的连接系数包括了超强系数和应变硬化系数;SS是碳素结构钢,SM是焊接结构钢,SN是抗震结构钢,其性能是逐步提高的。连接系数随钢种的性能提高而递减,也随钢材的强度等级递增而递减,是以钢材超强系数统计数据为依据的,而应变硬化系数各国普遍取1.1。该文献说明,梁端连接的塑性变形要求最高,连接系数也最高,而支撑连接和构件拼接的塑性变形相对较小,故连接系数可取较低值。螺栓连接受滑移的影响,且钉孔使截面减弱,影响了承载力。美国和欧盟规范中,连接系数都没有这样细致的划分和规定。我国目前对建筑钢材的超强系数还没有作过统计,本规范表8.2.8是按上述文献2006版列出的,它比2001规范对螺栓破断的规定降低了0.05。借鉴日本上述规定,将构件承载力抗震调整系数中的焊接连接和螺栓连接都取0.75,连接系数在连接承载力计算表达式中统一考虑,有利于按不同情况区别对待,也有利于提高连接系数的直观性。对于Q345钢材,连接系数1.30<fu/fy=470/345=1.36,解决了2001规范所规定综合连接系数偏高,材料强度不能充分利用的问题。另外,对于外露式柱脚,考虑在我国应用较多,适当提高抗震设计时的承载力是必要的,采用了1.1系数。本规范表8.2.8与日本规定相当接近。
8.3 钢框架结构的抗震构造措施
8.3.1框架柱的长细比 ( 自2022年1月1日起废止该条,详见新规 《建筑与市政工程抗震通用规范》GB 55002-2021)

条文说明
8.3.1 框架柱的长细比关系到钢结构的整体稳定。研究表明,钢结构高度加大时,轴力加大,竖向地震对框架柱的影响很大。本条规定与2001规范相比,高于50m时,7、8度有所放松;低于50m时,8、9度有所加严。
8.3.2 框架梁、柱板件宽厚比,应符合表8. 3. 2的规定:

条文说明
8.3.2 框架梁、柱板件宽厚比的规定,是以结构符合强柱弱梁为前提,考虑柱仅在后期出现少量塑性不需要很高的转动能力,综合美国和日本规定制定的。陈绍蕃教授指出,以轴压比0.37为界的12层以下梁腹板宽厚比限值的计算公式,适用于采用塑性内力重分布的连续组合梁负弯矩区,如果不考虑出现塑性铰后的内力重分布,宽厚比限值可以放宽。据此,将2001规范对梁宽厚比限值中的(Nb/Af<0.37)和(Nb/Af≥0.37)两个限值条件取消。考虑到按刚性楼盖分析时,得不出梁的轴力,但在进入弹塑性阶段时,上翼缘的负弯矩区楼板将退出工作,迫使钢梁翼缘承受一定轴力,不考虑是不安全的。注意到日本对梁腹板宽厚比限值的规定为60(65),括号内为缓和值,不考虑轴力影响;AISC 341-05规定,当梁腹板轴压比为0.125时其宽厚比限值为75。据此,梁腹板宽厚比限值对一、二、三、四抗震等级分别取上限值(60、65、70、75)
。
本次修订按抗震等级划分后,12层以下柱的板件宽厚比几乎不变,12层以上有所放松:8度由10、43、35放松为11、45、36;7度由11、43、37放松为12、48、38;6度由13、43、39放松为13、52、40。
注意,从抗震设计的角度,对于板件宽厚比的要求,主要是地震下构件端部可能的塑性铰范围,非塑性铰范围的构件宽厚比可有所放宽。
8.3.3 梁柱构件的侧向支承应符合下列要求:
1 梁柱构件受压翼缘应根据需要设置侧向支承。
2 梁柱构件在出现塑性铰的截面,上下翼缘均应设置侧向支承。
3 相邻两侧向支承点间的构件长细比,应符合现行国家标准《钢结构设计规范》GB 50017的有关规定。
条文说明
8.3.3 当梁上翼缘与楼板有可靠连接时,筒支梁可不设置侧向支承,固端梁下翼缘在梁端0.15倍梁跨附近宜设置隅撑。梁端采用梁端扩大、加盖板或骨形连接时,应在塑性区外设置竖向加劲肋,隅撑与偏置的竖向加劲肋相连。梁端翼缘宽度较大,对梁下翼缘侧向约束较大时,也可不设隅撑。朱聘儒著《钢-混凝土组合梁设计原理》(第二版)一书,对负弯矩区段组合梁钢部件的稳定性作了计算分析,指出负弯矩区段内的梁部件名义上虽是压弯构件,由于其截面轴压比较小,稳定问题不突出。李国强著《多高层建筑钢结构设计》第203页介绍了提供侧向约束的几种方法,也可供参考。首先验算钢梁受压区长细比λy是否满足: 
若不满足可按图22所示方法设置侧向约束。 
8.3.4 梁与柱的连接构造应符合下列要求:
1 梁与柱的连接宜采用柱贯通型。
2 柱在两个互相垂直的方向都与梁刚接时宜采用箱形截面,并在梁翼缘连接处设置隔板;隔板采用电渣焊时,柱壁板厚度不宜小于16mm,小于16mm时可改用工字形柱或采用贯通式隔板。当柱仅在一个方向与梁刚接时,宜采用工字形截面,并将柱腹板置于刚接框架平面内。
3 工字形柱(绕强轴)和箱形柱与梁刚接时(图8.3.4-1),应符合下列要求:

1)梁翼缘与柱翼缘间应采用全熔透坡口焊缝;一、二级时,应检验焊缝的V形切口冲击韧性,其夏比冲击韧性在—20℃时不低于27J;
2)柱在梁翼缘对应位置应设置横向加劲肋(隔板),加劲肋(隔板)厚度不应小于梁翼缘厚度,强度与梁翼缘相同;
3)梁腹板宜采用摩擦型高强度螺栓与柱连接板连接(经工艺试验合格能确保现场焊接质量时,可用气体保护焊进行焊接);腹板角部应设置焊接孔,孔形应使其端部与梁翼缘和柱翼缘间的全熔透坡口焊缝完全隔开;
4)腹板连接板与柱的焊接,当板厚不大于16mm时应采用双面角焊缝,焊缝有效厚度应满足等强度要求,且不小于5mm;板厚大于16mm时采用K形坡口对接焊缝。该焊缝宜采用气体保护焊,且板端应绕焊;
5)一级和二级时,宜采用能将塑性铰自梁端外移的端部扩大形连接、梁端加盖板或骨形连接。
4 框架梁采用悬臂梁段与柱刚性连接时(图8.3.4-2),悬臂梁段与柱应采用全焊接连接,此时上下翼缘焊接孔的形式宜相同;梁的现场拼接可采用翼缘焊接腹板螺栓连接或全部螺栓连接。

5 箱形柱在与梁翼缘对应位置设置的隔板,应采用全熔透对接焊缝与壁板相连。工字形柱的横向加劲肋与柱翼缘,应采用全熔透对接焊缝连接,与腹板可采用角焊缝连接。
条文说明
8.3.4 本条规定了梁柱连接构造要求。
1 电渣焊时壁板最小厚度16mm,是征求日本焊接专家意见并得到国内钢结构制作专家的认同。贯通式隔板是和冷成形箱形柱配套使用的,柱边缘受拉时要求对其采用Z向钢制作,限于设备条件,目前我国应用不多,其构造要求可参见现行行业标准《高层民用建筑钢结构技术规程》JGJ 99。隔板厚度一般不宜小于翼缘厚度。
2 现场连接时焊接孔如规范条文图8.3.4-1所示,应严格按规定形状和尺寸用刀具加工。FEMA中推荐的孔形如下(图23),美国规定为必须采用之孔形。其最大应力不出现在腹板与翼缘连接处,香港学者做过有限元分析比较,认为是当前国际上最佳孔形,且与梁腹板连接方便。有条件时也可采用该焊接孔形。
3 日本规定腹板连接板tw≤16m时采用双面角焊缝,焊缝计算厚度取5mm;tw大于16mm时用K形坡口对接焊缝,端部均要求绕焊。美国将梁腹板连接板连接焊缝列为重要焊缝,要求符合与翼缘焊缝同等的低温冲击韧性指标。本条不要求符合较高冲击韧性指标,但要求用气保焊和板端绕焊。 
4 日本普遍采用梁端扩大形,不采用RBS形;美国主要采用RBS形。RBS形加工要求较高,且需在关键截面削减部分钢材,国内技术人员表示难以接受。现将二者都列出供选用。此外,还有梁端用矩形加强板、加腋等形式加强的方案,这里列入常用的四种形式(图24)。梁端扩大部分的直角边长比可取1:2至1:3。AISC将7度(0.15g)及以上列入强震区,宜按此要求对梁端采用塑性铰外移构造。

5 日本在梁高小于700mm时,采用本规范图8.3.4-2的悬臂梁段式连接。
6 AISC规定,隔板与柱壁板的连接,也可用角焊缝加强的双面部分熔透焊缝连接,但焊缝的承载力不应小于隔板与柱翼缘全截面连接时的承载力。
8.3.5 当节点域的腹板厚度不满足本规范第8.2.5条第2、3款的规定时,应采取加厚柱腹板或采取贴焊补强板的措施。补强板的厚度及其焊缝应按传递补强板所分担剪力的要求设计。
条文说明
8.3.5 当节点域的体积不满足第8.2.5条有关规定时,参考日本规定和美国AISC钢结构抗震规程1997年版的规定,提出了加厚节点域和贴焊补强板的加强措施:
(1)对焊接组合柱,宜加厚节点板,将柱腹板在节点域范围更换为较厚板件。加厚板件应伸出柱横向加劲肋之外各150mm,并采用对接焊缝与柱腹板相连;
(2)对轧制H形柱,可贴焊补强板加强。补强板上下边缘可不伸过横向加劲肋或伸过柱横向加劲肋之外各150mm。当补强板不伸过横向加劲肋时,加劲肋应与柱腹板焊接,补强板与加劲肋之间的角焊缝应能传递补强板所分担的剪力,且厚度不小于5mm;当补强板伸过加劲肋时,加劲肋仅与补强板焊接,此焊缝应能将加劲肋传来的力传递给补强板,补强板的厚度及其焊缝应按传递该力的要求设计。补强板侧边可采用角焊缝与柱翼缘相连,其板面尚应采用塞焊与柱腹板连成整体。塞焊点之间的距离,不应大于相连板件中较薄板件厚度的21
倍。
8.3.6 梁与柱刚性连接时,柱在梁翼缘上下各500mm的范围内,柱翼缘与柱腹板间或箱形柱壁板间的连接焊缝应采用全熔透坡口焊缝。 ( 自2022年1月1日起废止该条,详见新规 《建筑与市政工程抗震通用规范》GB 55002-2021)
条文说明
8.3.6 罕遇地震作用下,框架节点将进入塑性区,保证结构在塑性区的整体性是很必要的。参考国外关于高层钢结构的设计要求,提出相应规定。
8.3.7 框架柱的接头距框架梁上方的距离,可取1.3m和柱净高一半二者的较小值。
上下柱的对接接头应采用全熔透焊缝,柱拼接接头上下各100mm范围内,工字形柱翼缘与腹板间及箱型柱角部壁板间的焊缝,应采用全熔透焊缝。
条文说明
8.3.7 本条规定主要考虑柱连接接头放在柱受力小的位置。本次修订增加了对净高小于2.6m柱的接头位置要求。
8.3.8 钢结构的刚接柱脚宜采用埋入式,也可采用外包式;6、7度且高度不超过50m时也可采用外露式。
条文说明
8.3.8 本条要求,对8、9度有所放松。外露式只能用于6、7度高度不超过50m的情况。
8.4 钢框架 中心支撑结构的抗震构造措施
8.4.1 中心支撑的杆件长细比和板件宽厚比限值应符合下列规定:

2 支撑杆件的板件宽厚比,不应大于表8.4.1规定的限值。
采用节点板连接时,应注意节点板的强度和稳定。 ( 自2022年1月1日起废止该条,详见新规 《建筑与市政工程抗震通用规范》GB 55002-2021) 
条文说明
8.4.1 本节规定了中心支撑框架的构造要求,主要用于高度50m以上的钢结构房屋。
AISC 341-05抗震规程,特殊中心支撑框架和普通中心支撑框架的支撑长细比限值均规定不大于120
。本次修订作了相应修改。
本次修订,按抗震等级划分后,支撑板件宽厚限值也作了适当修改和补充。对50m以上房屋的工字形截面构件有所放松:9度由7,21放松为8,25;8度时由8,23放松为9,26;7度时由8,23放松为10,27;6度时由9,25放松为13,33。
8.4.2 中心支撑节点的构造应符合下列要求:
1 一、二、三级,支撑宜采用H形钢制作,两端与框架可采用刚接构造,梁柱与支撑连接处应设置加劲肋;一级和二级采用焊接工字形截面的支撑时,其翼缘与腹板的连接宜采用全熔透连续焊缝。
2 支撑与框架连接处,支撑杆端宜做成圆弧。
3 梁在其与V形支撑或人字支撑相交处,应设置侧向支承;该支承点与梁端支承点间的侧向长细比(λy)以及支承力,应符合现行国家标准《钢结构设计规范》GB 50017关于塑性设计的规定。
4 若支撑和框架采用节点板连接,应符合现行国家标准《钢结构设计规范》GB 50017关于节点板在连接杆件每侧有不小于30°夹角的规定;一、二级时,支撑端部至节点板最近嵌固点(节点板与框架构件连接焊缝的端部)在沿支撑杆件轴线方向的距离,不应小于节点板厚度的2倍。
条文说明
8.4.2 美国规定,加速度0.15g以上的地区,支撑框架结构的梁与柱连接不应采用铰接。考虑到双重抗侧力体系对高层建筑抗震很重要,且梁与柱铰接将使结构位移增大,故规定一、二、三级不应铰接。
支撑与节点板嵌固点保留一个小距离,可使节点板在大震时产生平面外屈曲,从而减轻对支撑的破坏,这是AISC-97(补充)的规定,如图25所示。 
8.4.3 框架-中心支撑结构的框架部分,当房屋高度不高于100m且框架部分按计算分配的地震剪力不大于结构底部总地震剪力的25%时,一、二、三级的抗震构造措施可按框架结构降低一级的相应要求采用。其他抗震构造措施,应符合本规范第8.3节对框架结构抗震构造措施的规定。
8.5 钢框架 偏心支撑结构的抗震构造措施
8.5.1 偏心支撑框架消能梁段的钢材屈服强度不应大于345MPa。消能梁段及与消能梁段同一跨内的非消能梁段,其板件的宽厚比不应大于表8.5.1规定的限值。 ( 自2022年1月1日起废止该条,详见新规 《建筑与市政工程抗震通用规范》GB 55002-2021) 
条文说明
8.5.1 本节规定了保证消能梁段发挥作用的一系列构造要求。
为使消能梁段有良好的延性和消能能力,其钢材应采用Q235、Q345或Q345GJ。
板件宽厚比参照AISC的规定作了适当调整。当梁上翼缘与楼板固定但不能表明其下翼缘侧向固定时,仍需设置侧向支撑。

8.5.3 消能梁段的构造应符合下列要求:

2 消能梁段的腹板不得贴焊补强板,也不得开洞。
3 消能梁段与支撑连接处,应在其腹板两侧配置加劲肋,加劲肋的高度应为梁腹板高度,一侧的加劲肋宽度不应小于

条文说明
8.5.3 为使消能梁段在反复荷载作用下具有良好的滞回性能,需采取合适的构造并加强对腹板的约束:
1 支撑斜杆轴力的水平分量成为消能梁段的轴向力,当此轴向力较大时,除降低此梁段的受剪承载力外,还需减少该梁段的长度,以保证它具有良好的滞回性能。
2 由于腹板上贴焊的补强板不能进入弹塑性变形,因此不能采用补强板;腹板上开洞也会影响其弹塑性变形能力。
3 消能梁段与支撑斜杆的连接处,需设置与腹板等高的加劲肋,以传递梁段的剪力并防止梁腹板屈曲。
4 消能梁段腹板的中间加劲肋,需按梁段的长度区别对待,较短时为剪切屈服型,加劲肋间距小些;较长时为弯曲屈服型,需在距端部1.5倍的翼缘宽度处配置加劲肋;中等长度时需同时满足剪切屈服型和弯曲屈服型的要求。
偏心支撑的斜杆中心线与梁中心线的交点,一般在消能梁段的端部,也允许在消能梁段内,此时将产生与消能梁段端部弯矩方向相反的附加弯矩,从而减少消能梁段和支撑杆的弯矩,对抗震有利;但交点不应在消能梁段以外,因此时将增大支撑和消能梁段的弯矩,于抗震不利(图26)。 
8.5.4 消能梁段与柱的连接应符合下列要求:
1 消能梁段与柱连接时,其长度不得大于1.6Mlp/Vl,且应满足相关标准的规定。
2 消能梁段翼缘与柱翼缘之间应采用坡口全熔透对接焊缝连接,消能梁段腹板与柱之间应采用角焊缝(气体保护焊)连接;角焊缝的承载力不得小于消能梁段腹板的轴力、剪力和弯矩同时作用时的承载力。
3 消能梁段与柱腹板连接时,消能梁段翼缘与横向加劲板间应采用坡口全熔透焊缝,其腹板与柱连接板间应采用角焊缝(气体保护焊)连接;角焊缝的承载力不得小于消能梁段腹板的轴力、剪力和弯矩同时作用时的承载力。
8.5.5 消能梁段两端上下翼缘应设置侧向支撑,支撑的轴力设计值不得小于消能梁段翼缘轴向承载力设计值的6%,即0.06bftff。
条文说明
8.5.5 消能梁段两端设置翼缘的侧向隅撑,是为了承受平面外扭转。
8.5.6 偏心支撑框架梁的非消能梁段上下翼缘,应设置侧向支撑,支撑的轴力设计值不得小于梁翼缘轴向承载力设计值的2%,即0.02bftff。
条文说明
8.5.6 与消能梁段处于同一跨内的框架梁,同样承受轴力和弯矩,为保持其稳定,也需设置翼缘的侧向隅撑。
8.5.7 框架-偏心支撑结构的框架部分,当房屋高度不高于100m且框架部分按计算分配的地震作用不大于结构底部总地震剪力的25%时,一、二、三级的抗震构造措施可按框架结构降低一级的相应要求采用。其他抗震构造措施,应符合本规范第8.3节对框架结构抗震构造措施的规定。
9 单层工业厂房
9.1 单层钢筋混凝土柱厂房
(Ⅰ)一般规定
9.1.1 本节主要适用于装配式单层钢筋混凝土柱厂房,其结构布置应符合下列要求:
1 多跨厂房宜等高和等长,高低跨厂房不宜采用一端开口的结构布置。
2 厂房的贴建房屋和构筑物,不宜布置在厂房角部和紧邻防震缝处。
3 厂房体型复杂或有贴建的房屋和构筑物时,宜设防震缝;在厂房纵横跨交接处、大柱网厂房或不设柱间支撑的厂房,防震缝宽度可采用100mm~150mm,其他情况可采用50mm~90mm。
4 两个主厂房之间的过渡跨至少应有一侧采用防震缝与主厂房脱开。
5 厂房内上起重机的铁梯不应靠近防震缝设置;多跨厂房各跨上起重机的铁梯不宜设置在同一横向轴线附近。
6 厂房内的工作平台、刚性工作间宜与厂房主体结构脱开。
7 厂房的同一结构单元内,不应采用不同的结构形式;厂房端部应设屋架,不应采用山墙承重;厂房单元内不应采用横墙和排架混合承重。
8 厂房柱距宜相等,各柱列的侧移刚度宜均匀,当有抽柱时,应采取抗震加强措施。
注:钢筋混凝土框排架厂房的抗震设计,应符合本规范附录H第H.1节的规定。
条文说明
9.1.1 本规范关于单层钢筋混凝土柱厂房的规定,系根据20世纪60年代以来装配式单层工业厂房的震害和工程经验总结得到的。因此,对于现浇的单层钢筋混凝土柱厂房,需注意本节针对装配式结构的某些规定不适用。
根据震害经验,厂房结构布置应注意的问题是:
1 历次地震的震害表明,不等高多跨厂房有高振型反应,不等长多跨厂房有扭转效应,破坏较重;均对抗震不利,故多跨厂房宜采用等高和等长。
2 地震的震害表明,单层厂房的毗邻建筑任意布置是不利的,在厂房纵墙与山墙交汇的角部是不允许布置的。在地震作用下,防震缝处排架柱的侧移量大,当有毗邻建筑时,相互碰撞或变位受约束的情况严重;地震中有不少倒塌、严重破坏等加重震害的震例,因此,在防震缝附近不宜布置毗邻建筑。
3 大柱网厂房和其他不设柱间支撑的厂房,在地震作用下侧移量较设置柱间支撑的厂房大,防震缝的宽度需适当加大。
4 地震作用下,相邻两个独立的主厂房的振动变形可能不同步协调,与之相连接的过渡跨的屋盖常倒塌破坏;为此过渡跨至少应有一侧采用防震缝与主厂房脱开。
5 上吊车的铁梯,晚间停放吊车时,增大该处排架侧移刚度,加大地震反应,特别是多跨厂房各跨上吊车的铁梯集中在同一横向轴线时,会导致震害破坏,应避免。
6 工作平台或刚性内隔墙与厂房主体结构连接时,改变了主体结构的工作性状,加大地震反应;导致应力集中,可能造成短柱效应,不仅影响排架柱,还可能涉及柱顶的连接和相邻的屋盖结构,计算和加强措施均较困难,故以脱开为佳。
7 不同形式的结构,振动特性不同,材料强度不同,侧移刚度不同。在地震作用下,往往由于荷载、位移、强度的不均衡,而造成结构破坏。山墙承重和中间有横墙承重的单层钢筋混凝土柱厂房和端砖壁承重的天窗架,在地震中均有较重破坏,为此,厂房的一个结构单元内,不宜采用不同的结构形式。
8 两侧为嵌砌墙,中柱列设柱间支撑;一侧为外贴墙或嵌砌墙,另一侧为开敞;一侧为嵌砌墙,另一侧为外贴墙等各柱列纵向刚度严重不均匀的厂房,由于各柱列的地震作用分配不均匀,变形不协调,常导致柱列和屋盖的纵向破坏,在7度区就有这种震害反映,在8度和大于8度区,破坏就更普遍且严重,不少厂房柱倒屋塌,在设计中应予以避免。
9.1.2 厂房天窗架的设置,应符合下列要求:
1 天窗宜采用突出屋面较小的避风型天窗,有条件或9度时宜采用下沉式天窗。
2 突出屋面的天窗宜采用钢天窗架;6~8度时,可采用矩形截面杆件的钢筋混凝土天窗架。
3 天窗架不宜从厂房结构单元第一开间开始设置;8度和9度时,天窗架宜从厂房单元端部第三柱间开始设置。
4 天窗屋盖、端壁板和侧板,宜采用轻型板材;不应采用端壁板代替端天窗架。
条文说明
9.1.2 根据震害经验,天窗架的设置应注意下列问题:
1 突出屋面的天窗架对厂房的抗震带来很不利的影响,因此,宜采用突出屋面较小的避风型天窗。采用下沉式天窗的屋盖有良好的抗震性能,唐山地震中甚至经受了10度地震的考验,不仅是8度区,有条件时均可采用。
2 第二开间起开设天窗,将使端开间每块屋面板与屋架无法焊接或焊连的可靠性大大降低而导致地震时掉落,同时也大大降低屋面纵向水平刚度。所以,如果山墙能够开窗,或者采光要求不太高时,天窗从第三开间起设置。
天窗架从厂房单元端第三柱间开始设置,虽增强屋面纵向水平刚度,但对建筑通风、采光不利,考虑到6度和7度区的地震作用效应较小,且很少有屋盖破坏的震例,本次修订改为对6度和7度区不做此要求。
3 历次地震经验表明,不仅是天窗屋盖和端壁板,就是天窗侧板也宜采用轻型板材。
9.1.3 厂房屋架的设置,应符合下列要求:
1 厂房宜采用钢屋架或重心较低的预应力混凝土、钢筋混凝土屋架。
2 跨度不大于15m时,可采用钢筋混凝土屋面梁。
3 跨度大于24m,或8度Ⅲ、Ⅳ类场地和9度时,应优先采用钢屋架。
4 柱距为12m时,可采用预应力混凝土托架(梁);当采用钢屋架时,亦可采用钢托架(梁)。
5 有突出屋面天窗架的屋盖不宜采用预应力混凝土或钢筋混凝土空腹屋架。
6 8度(0.30g)和9度时,跨度大于24m的厂房不宜采用大型屋面板。
条文说明
9.1.3 根据震害经验,厂房屋盖结构的设置应注意下列问题:
1 轻型大型屋面板无檩屋盖和钢筋混凝土有檩屋盖的抗震性能好,经过8~10度强烈地震考验,有条件时可采用。
2 唐山地震震害统计分析表明,屋盖的震害破坏程度与屋盖承重结构的形式密切相关,根据8~11度地震的震害调查统计发现:梯形屋架屋盖共调查91跨,全部或大部倒塌41跨,部分或局部倒塌11跨,共计52跨,占56.7%;拱形屋架屋盖共调查151跨,全部或大部倒塌13跨,部分或局部倒塌16跨,共计29跨,占19.2%;屋面梁屋盖共调查168跨,全部或大部倒塌11跨,部分或局部倒塌17跨,共计28跨,占16.7%。 另外,采用下沉式屋架的屋盖,经8~10度强烈地震的考验,没有破坏的震例。为此,提出厂房宜采用低重心的屋盖承重结构。
3 拼块式的预应力混凝土和钢筋混凝土屋架(屋面梁)的结构整体性差,在唐山地震中其破坏率和破坏程度均较整榀式重得多。因此,在地震区不宜采用。
4 预应力混凝土和钢筋混凝土空腹桁架的腹杆及其上弦节点均较薄弱,在天窗两侧竖向支撑的附加地震作用下,容易产生节点破坏、腹杆折断的严重破坏,因此,不宜采用有突出屋面天窗架的空腹桁架屋盖。
5 随着经济的发展,组合屋架已很少采用,本次修订继续保持89规范、2001规范的规定,不列入这种屋架的规定。
本次修订,根据震害经验,建议在高烈度(8度0.30g和9度)且跨度大于24m的厂房,不采用重量大的大型屋面板。
9.1.4 厂房柱的设置,应符合下列要求:
1 8度和9度时,宜采用矩形、工字形截面柱或斜腹杆双肢柱,不宜采用薄壁工字形柱、腹板开孔工字形柱、预制腹板的工字形柱和管柱。
2 柱底至室内地坪以上500mm范围内和阶形柱的上柱宜采用矩形截面。
条文说明
9.1.4 不开孔的薄壁工字形柱、腹板开孔的普通工字形柱以及管柱,均存在抗震薄弱环节,故规定不宜采用。
9.1.5 厂房围护墙、砌体女儿墙的布置、材料选型和抗震构造措施,应符合本规范第13.3节的有关规定。
(Ⅱ)计算要点
9.1.6 单层厂房按本规范的规定采取抗震构造措施并符合下列条件之一时,可不进行横向和纵向抗震验算:
1 7度Ⅰ、Ⅱ类场地、柱高不超过10m且结构单元两端均有山墙的单跨和等高多跨厂房(锯齿形厂房除外)。
2 7度时和8度(0.20g)Ⅰ、Ⅱ类场地的露天吊车栈桥。
9.1.7 厂房的横向抗震计算,应采用下列方法:
1 混凝土无檩和有檩屋盖厂房,一般情况下,宜计及屋盖的横向弹性变形,按多质点空间结构分析;当符合本规范附录J的条件时,可按平面排架计算,并按附录J的规定对排架柱的地震剪力和弯矩进行调整。
2 轻型屋盖厂房,柱距相等时,可按平面排架计算。
注:本节轻型屋盖指屋面为压型钢板、瓦楞铁等有檩屋盖。
9.1.8 厂房的纵向抗震计算,应采用下列方法:
1 混凝土无檩和有檩屋盖及有较完整支撑系统的轻型屋盖厂房,可采用下列方法:
1)一般情况下,宜计及屋盖的纵向弹性变形,围护墙与隔墙的有效刚度,不对称时尚宜计及扭转的影响,按多质点进行空间结构分析;
2)柱顶标高不大于15m且平均跨度不大于30m的单跨或等高多跨的钢筋混凝土柱厂房,宜采用本规范附录K第K.1节规定的修正刚度法计算。
2 纵墙对称布置的单跨厂房和轻型屋盖的多跨厂房,可按柱列分片独立计算。
条文说明
9.1.7、9.1.8 对厂房的纵横向抗震分析,本规范明确规定,一般情况下,采用多质点空间结构分析方法。
关于横向计算:
当符合本规范附录J的条件时可采用平面排架简化方法,但计算所得的排架地震内力应考虑各种效应调整。本规范附录J的调整系数有以下特点:
1 适用于7~8度柱顶标高不超过15m且砖墙刚度较大等情况的厂房,9度时砖墙开裂严重,空间工作影响明显减弱,一般不考虑调整。
2 计算地震作用时,采用经过调整的排架计算周期。
3 调整系数采用了考虑屋盖平面内剪切刚度、扭转和砖墙开裂后刚度下降影响的空间模型,用振型分解法进行分析,取不同屋盖类型、各种山墙间距、各种厂房跨度、高度和单元长度,得出了统计规律,给出了较为合理的调整系数。因排架计算周期偏长,地震作用偏小,当山墙间距较大或仅一端有山墙时,按排架分析的地震内力需要增大而不是减小。对一端山墙的厂房,所考虑的排架一般指无山墙端的第二榀,而不是端榀。
4 研究发现,对不等高厂房高低跨交接处支承低跨屋盖牛腿以上的中柱截面,其地震作用效应的调整系数随高、低跨屋盖重力的比值是线性下降,要由公式计算。公式中的空间工作影响系数与其他各截面(包括上述中柱的下柱截面)的作用效应调整系数含义不同,分别列于不同的表格,要避免混淆。
5 地震中,吊车桥架造成了厂房局部的严重破坏。为此,把吊车桥架作为移动质点,进行了大量的多质点空间结构分析,并与平面排架简化分析比较,得出其放大系数。使用时,只乘以吊车桥架重力荷载在吊车梁顶标高处产生的地震作用,而不乘以截面的总地震作用。
关于纵向计算:
历次地震,特别是海城、唐山地震,厂房沿纵向发生破坏的例子很多,而且中柱列的破坏普遍比边柱列严重得多。在计算分析和震害总结的基础上,规范提出了厂房纵向抗震计算原则和简化方法。
钢筋混凝土屋盖厂房的纵向抗震计算,要考虑围护墙有效刚度、强度和屋盖的变形,采用空间分析模型。本规范附录K第K.1节的实用计算方法,仅适用于柱顶标高不超过15m且有纵向砖围护墙的等高厂房,是选取多种简化方法与空间分析计算结果比较而得到的。其中,要用经验公式计算基本周期。考虑到随着烈度的提高,厂房纵向侧移加大,围护墙开裂加重,刚度降低明显,故一般情况,围护墙的有效刚度折减系数,在7、8、9度时可近似取0.6、0.4和0.2。不等高和纵向不对称厂房,还需考虑厂房扭转的影响无合适的简化方法。
9.1.9 突出屋面天窗架的横向抗震计算,可采用下列方法:
1 有斜撑杆的三铰拱式钢筋混凝土和钢天窗架的横向抗震计算可采用底部剪力法;跨度大于9m或9度时,混凝土天窗架的地震作用效应应乘以增大系数,其值可采用1.5。
2 其他情况下天窗架的横向水平地震作用可采用振型分解反应谱法。
9.1.10 突出屋面天窗架的纵向抗震计算,可采用下列方法:
1 天窗架的纵向抗震计算,可采用空间结构分析法,并计及屋盖平面弹性变形和纵墙的有效刚度。
2 柱高不超过15m的单跨和等高多跨混凝土无檩屋盖厂房的天窗架纵向地震作用计算,可采用底部剪力法,但天窗架的地震作用效应应乘以效应增大系数,其值可按下列规定采用:
1)单跨、边跨屋盖或有纵向内隔墙的中跨屋盖:

条文说明
9.1.9、9.1.10 地震震害表明,没有考虑抗震设防的一般钢筋混凝土天窗架,其横向受损并不明显,而纵向破坏却相当普遍。计算分析表明,常用的钢筋混凝土带斜腹杆的天窗架,横向刚度很大,基本上随屋盖平移,可以直接采用底部剪力法的计算结果,但纵向则要按跨数和位置调整。
有斜撑杆的三铰拱式钢天窗架的横向刚度也较厂房屋盖的横向刚度大很多,也是基本上随屋盖平移,故其横向抗震计算方法可与混凝土天窗架一样采用底部剪力法。由于钢天窗架的强度和延性优于混凝土天窗架,且可靠度高,故当跨度大于9m或9度时,钢天窗架的地震作用效应不必乘以增大系数1.5。
本规范明确关于突出屋面天窗架简化计算的适用范围为有斜杆的三铰拱式天窗架,避免与其他桁架式天窗架混淆。
对于天窗架的纵向抗震分析,继续保持89规范的相关规定。
9.1.11 两个主轴方向柱距均不小于12m、无桥式起重机且无柱间支撑的大柱网厂房,柱截面抗震验算应同时计算两个主轴方向的水平地震作用,并应计入位移引起的附加弯矩。
条文说明
9.1.11 关于大柱网厂房的双向水平地震作用,89规范规定取一个主轴方向100%加上相应垂直方向的30%的不利组合,相当于两个方向的地震作用效应完全相同时按本规范5.2节规定计算的结果,因此是一种略偏安全的简化方法。为避免与本规范5.2节的规定不协调,保持2001规范的规定,不再专门列出。 位移引起的附加弯矩,即“P-△”效应,按本规范3.6节的规定计算。
9.1.12 不等高厂房中,支承低跨屋盖的柱牛腿(柱肩)的纵向受拉钢筋截面面积,应按下式确定:

条文说明
9.1.12 不等高厂房支承低跨屋盖的柱牛腿在地震作用下开裂较多,甚至牛腿面预埋板向外位移破坏。在重力荷载和水平地震作用下的柱牛腿纵向水平受拉钢筋的计算公式,第一项为承受重力荷载纵向钢筋的计算,第二项为承受水平拉力纵向钢筋的计算。
9.1.13 柱间交叉支撑斜杆的地震作用效应及其与柱连接节点的抗震验算,可按本规范附录K第K.2节的规定进行。下柱柱间支撑的下节点位置按本规范第9.1.23条规定设置于基础顶面以上时,宜进行纵向柱列柱根的斜截面受剪承载力验算。
条文说明
9.1.13 震害和试验研究表明;交叉支撑杆件的最大长细比小于200时,斜拉杆和斜压杆在支撑桁架中是共同工作的。支撑中的最大作用相当于单压杆的临界状态值。据此,在本规范的附录K第K.2节中规定了柱间支撑的设计原则和简化方法:

1 支撑侧移的计算:按剪切构件考虑,支撑任一点的侧移等于该点以下各节间相对侧移值的叠加。它可用以确定厂房纵向柱列的侧移刚度及上、下支撑地震作用的分配。 2 支撑斜杆抗震验算:试验结果发现,支撑的水平承载力,相当于拉杆承载力与压杆承载力乘以折减系数之和的水平分量。此折减系数即本规范附录K中的“压杆卸载系数”,可以线性内插;亦可直接用下列公式确定斜拉杆的净截面An:
3 震害表明,单层钢筋混凝土柱厂房的柱间支撑虽有一定数量的破坏,但这些厂房大多数未考虑抗震设防。据计算分析,抗震验算的柱间支撑斜杆内力大于非抗震设计时的内力几倍。
4 柱间支撑与柱的连接节点在地震反复荷载作用下承受拉弯剪和压弯剪,试验表明其承载力比单调荷载作用下有所降低;在抗震安全性综合分析基础上,提出了确定预埋板钢筋截面面积的计算公式,适用于符合本规范第9.1.25条5款构造规定的情况。 5 提出了柱间支撑节点预埋件采用角钢时的验算方法。
本规范第9.1.23条对下柱柱间支撑的下节点位置有明确的规定,一般将节点位置置于基础顶标高处。6、7度时地震力较小,采取加强措施后可设在基础顶面以上;本次修订明确,必要时也可沿纵向柱列进行柱根的斜截面受剪承载力验算来确定加强措施。
9.1.14 厂房的抗风柱、屋架小立柱和计及工作平台影响的抗震计算,应符合下列规定:
1 高大山墙的抗风柱,在8度和9度时应进行平面外的截面抗震承载力验算。
2 当抗风柱与屋架下弦相连接时,连接点应设在下弦横向支撑节点处,下弦横向支撑杆件的截面和连接节点应进行抗震承载力验算。
3 当工作平台和刚性内隔墙与厂房主体结构连接时,应采用与厂房实际受力相适应的计算简图,并计入工作平台和刚性内隔墙对厂房的附加地震作用影响。变位受约束且剪跨比不大于2的排架柱,其斜截面受剪承载力应按现行国家标准《混凝土结构设计规范》GB 50010的规定计算,并按本规范第9.1.25条采取相应的抗震构造措施。
4 8度Ⅲ、Ⅳ类场地和9度时,带有小立柱的拱形和折线型屋架或上弦节间较长且矢高较大的屋架,其上弦宜进行抗扭验算。
条文说明
9.1.14 本条规定了与厂房次要构件有关的计算。
1 地震震害表明:8度和9度区,不少抗风柱的上柱和下柱根部开裂、折断,导致山尖墙倒塌,严重的抗风柱连同山墙全部向外倾倒、抗风柱虽非单层厂房的主要承重构件,但它却是厂房纵向抗震中的重要构件,对保证厂房的纵向抗震安全,具有不可忽视的作用,补充规定8、9度时需进行平面外的截面抗震验算。
2 当抗风柱与屋架下弦相连接时,虽然此类厂房均在厂房两端第一开间设置下弦横向支撑,但当厂房遭到地震作用时,高大山墙引起的纵向水平地震作用具有较大的数值,由于阶形抗风柱的下柱刚度远大于上柱刚度,大部分水平地震作用将通过下柱的上端连接传至屋架下弦,但屋架下弦支撑的强度和刚度往往不能满足要求,从而导致屋架下弦支撑杆件压曲。1966年邢台地震6度区、1975年海城地震8度区均出现过这种震害。故要求进行相应的抗震验算。
3 当工作平台、刚性内隔墙与厂房主体结构相连时,将提高排架的侧移刚度,改变其动力特性,加大地震作用,还可能造成应力和变形集中,加重厂房的震害。地震中由此造成排架柱折断或屋盖倒塌,其严重程度因具体条件而异,很难作出统一规定。因此抗震计算时,需采用符合实际的结构计算简图,并采取相应的措施。 4 震害表明,上弦有小立柱的拱形和折线形屋架及上弦节间长和节间矢高较大的屋架,在地震作用下屋架上弦将产生附加扭矩,导致屋架上弦破坏。为此,8、9度在这种情况下需进行截面抗扭验算。
(Ⅲ)抗震构造措施
9.1.15 有檩屋盖构件的连接及支撑布置,应符合下列要求:
1 檩条应与混凝土屋架(屋面梁)焊牢,并应有足够的支承长度。
2 双脊檩应在跨度1/3处相互拉结。
3 压型钢板应与檩条可靠连接,瓦楞铁、石棉瓦等应与檩条拉结。
4 支撑布置宜符合表9.1.15的要求。

条文说明
9.1.15 本节所指有檩屋盖,主要是波形瓦(包括石棉瓦及槽瓦)屋盖。这类屋盖只要设置保证整体刚度的支撑体系,屋面瓦与檩条间以及檩条与屋架间有牢固的拉结,一般均具有一定的抗震能力,甚至在唐山10度地震区也基本完好地保存下来。但是,如果屋面瓦与檩条或檩条与屋架拉结不牢,在7度地震区也会出现严重震害,海城地震和唐山地震中均有这种例子。
89规范对有檩屋盖的规定,系针对钢筋混凝土体系而言。2001规范增加了对钢结构有檩体系的要求。本次修订,未作修改。
9.1.16 无檩屋盖构件的连接及支撑布置,应符合下列要求:
1 大型屋面板应与屋架(屋面梁)焊牢,靠柱列的屋面板与屋架(屋面梁)的连接焊缝长度不宜小于80mm。
2 6度和7度时有天窗厂房单元的端开间,或8度和9度时各开间,宜将垂直屋架方向两侧相邻的大型屋面板的顶面彼此焊牢。
3 8度和9度时,大型屋面板端头底面的预埋件宜采用角钢并与主筋焊牢。
4 非标准屋面板宜采用装配整体式接头,或将板四角切掉后与屋架(屋面梁)焊牢。
5 屋架(屋面梁)端部顶面预埋件的锚筋,8度时不宜少于4Φ10,9度时不宜少于4Φ12。
6 支撑的布置宜符合表9.1.16—1的要求,有中间井式天窗时宜符合表9.1.16—2的要求;8度和9度跨度不大于15m的厂房屋盖采用屋面梁时,可仅在厂房单元两端各设竖向支撑一道;单坡屋面梁的屋盖支撑布置,宜按屋架端部高度大于900mm的屋盖支撑布置执行。


条文说明
9.1.16 无檩屋盖指的是各类不用檩条的钢筋混凝土屋面板与屋架(梁)组成的屋盖。屋盖的各构件相互间联成整体是厂房抗震的重要保证,这是根据唐山、海城震害经验提出的总要求。鉴于我国目前仍大量采用钢筋混凝土大型屋面板,故重点对大型屋面板与屋架(梁)焊连的屋盖体系作了具体规定。
这些规定中,屋面板和屋架(梁)可靠焊连是第一道防线,为保证焊连强度,要求屋面板端头底面预埋板和屋架端部顶面预埋件均应加强锚固;相邻屋面板吊钩或四角顶面预埋铁件间的焊连是第二道防线;当制作非标准屋面板时,也应采取相应的措施。
设置屋盖支撑是保证屋盖整体性的重要抗震措施,基本沿用了89规范的规定。
根据震害经验,8度区天窗跨度等于或大于9m和9度区天窗架宜设置上弦横向支撑。
9.1.17 屋盖支撑尚应符合下列要求;
1 天窗开洞范围内,在屋架脊点处应设上弦通长水平压杆;8度Ⅲ、Ⅳ类场地和9度时,梯形屋架端部上节点应沿厂房纵向设置通长水平压杆。
2 屋架跨中竖向支撑在跨度方向的间距,6~8度时不大于15m,9度时不大于12m;当仅在跨中设一道时,应设在跨中屋架屋脊处;当设二道时,应在跨度方向均匀布置。
3 屋架上、下弦通长水平系杆与竖向支撑宜配合设置。
4 柱距不小于12m且屋架间距6m的厂房,托架(梁)区段及其相邻开间应设下弦纵向水平支撑。
5 屋盖支撑杆件宜用型钢。
条文说明
9.1.17 本规范在进一步总结地震经验的基础上,对有檩和无檩屋盖支撑布置的规定作适当的补充。
9.1.18 突出屋面的混凝土天窗架,其两侧墙板与天窗立柱宜采用螺栓连接。
条文说明
9.1.18 唐山地震震害表明,采用刚性焊连构造时,天窗立柱普遍在下挡和侧板连接处出现开裂和破坏,甚至倒塌,刚性连接仅在支撑很强的情况下才是可行的措施,故规定一般单层厂房宜用螺栓连接。
9.1.19 混凝土屋架的截面和配筋,应符合下列要求:
1 屋架上弦第一节间和梯形屋架端竖杆的配筋,6度和7度时不宜少于4Φ12,8度和9度时不宜少于4Φ14。
2 梯形屋架的端竖杆截面宽度宜与上弦宽度相同。
3 拱形和折线形屋架上弦端部支撑屋面板的小立柱,截面不宜小于200mm×200mm,高度不宜大于500mm,主筋宜采用п形,6度和7度时不宜少于4Φ12,8度和9度时不宜少于4Φ14,箍筋可采用Φ6,间距不宜大于100mm。
条文说明
9.1.19 屋架端竖杆和第一节间上弦杆,静力分析中常作为非受力杆件而采用构造配筋,截面受弯、受剪承载力不足,需适当加强。对折线形屋架为调整屋面坡度而在端节间上弦顶面设置的小立柱,也要适当增大配筋和加密箍筋。以提高其拉弯剪能力。
9.1.20 厂房柱子的箍筋,应符合下列要求:
1 下列范围内柱的箍筋应加密:
1)柱头,取柱顶以下500mm并不小于柱截面长边尺寸;
2)上柱,取阶形柱自牛腿面至起重机梁顶面以上300mm,高度范围内;
3)牛腿(柱肩),取全高;
4)柱根,取下柱柱底至室内地坪以上500mm;
5)柱间支撑与柱连接节点和柱变位受平台等约束的部位,取节点上、下各300mm。
2 加密区箍筋间距不应大于100mm,箍筋肢距和最小直径应符合表9.1.20的规定。

3 厂房柱侧向受约束且剪跨比不大于2的排架柱,柱顶预埋钢板和柱箍筋加密区的构造尚应符合下列要求:
1)柱顶预埋钢板沿排架平面方向的长度,宜取柱顶的截面高度,且不得小于截面高度的1/2及300mm;
2)屋架的安装位置,宜减小在柱顶的偏心,其柱顶轴向力的偏心距不应大于截面高度的1/4;
3)柱顶轴向力排架平面内的偏心距在截面高度的1/6~1/4范围内时,柱顶箍筋加密区的箍筋体积配筋率:9度不宜小于1.2%;8度不宜小于1.0%;6、7度不宜小于0.8%;
4)加密区箍筋宜配置四肢箍,肢距不大于200mm。
条文说明
9.1.20 根据震害经验,排架柱的抗震构造,增加了箍筋肢距的要求,并提高了角柱柱头的箍筋构造要求。 1 柱子在变位受约束的部位容易出现剪切破杯,要增加箍筋。变位受约束的部位包括:设有柱间支撑的部位、嵌砌内隔墙、侧边贴建披屋、靠山墙的角柱、平台连接处等。
2 唐山地震震害表明:当排架柱的变位受平台,刚性横隔墙等约束,其影响的严重程度和部位,因约束条件而异,有的仅在约束部位的柱身出现裂缝;有的造成屋架上弦折断、屋盖坍落(如天津拖拉机厂冲压车间);有的导致柱头和连接破坏屋盖倒塌(如天津第一机床厂铸工车间配砂间)。必须区别情况从设计计算和构造上采取相应的有效措施,不能统一采用局部加强排架柱的箍筋,如高低跨柱的上柱的剪跨比较小时就应全高加密箍筋,并加强柱头与屋架的连接。
3 为了保证排架柱箍筋加密区的延性和抗剪强度,除箍筋的最小直径和最大间距外,增加对箍筋最大肢距的要求。
4 在地震作用下,排架柱的柱头由于构造上的原因,不是完全的铰接;而是处于压弯剪的复杂受力状态,在高烈度地区,这种情况更为严重,排架柱头破坏较重,加密区的箍筋直径需适当加大。
5 厂房角柱的柱头处于双向地震作用,侧向变形受约束和压弯剪的复杂受力状态,其抗震强度和延性较中间排架柱头弱得多,地震中,6度区就有角柱顶开裂的破坏;8度和大于8度时,震害就更多,严重的柱头折断,端屋架榻落,为此,厂房角柱的柱头加密箍筋宜提高一度配置。
6 本次修订,增加了柱侧向受约束且剪跨比不大于2的排架柱柱顶的构造要求。
9.1.21 大柱网厂房柱的截面和配筋构造,应符合下列要求:
1 柱截面宜采用正方形或接近正方形的矩形,边长不宜小于柱全高的1/18~1/16。
2 重屋盖厂房地震组合的柱轴压比,6、7度时不宜大于0.8,8度时不宜大于0.7,9度时不应大于0.6。
3 纵向钢筋宜沿柱截面周边对称配置,间距不宜大于200mm,角部宜配置直径较大的钢筋。
4 柱头和柱根的箍筋应加密,并应符合下列要求:
1)加密范围,柱根取基础顶面至室内地坪以上1m,且不小于柱全高的1/6;柱头取柱顶以下500mm,且不小于柱截面长边尺寸;
2)箍筋直径、间距和肢距,应符合本规范第9.1.20条的规定。
条文说明
9.1.21 大柱网厂房的抗震性能是唐山地震中发现的新问题,其震害特征是:①柱根出现对角破坏,混凝土酥碎剥落,纵筋压曲,说明主要是纵、横两个方向或斜向地震作用的影响,柱根的强度和延性不足;②中柱的破坏率和破坏程度均大于边柱,说明与柱的轴压比有关。
本次修订,保持了2001规范对大柱网厂房的抗震验算规定,包括轴压比和相应的箍筋构造要求。其中的轴压比限值,考虑到柱子承受双向压弯剪和P-△效应的影响,受力复杂,参照了钢筋混凝土框支柱的要求,以保证延性;大柱网厂房柱仅承受屋盖(包括屋面、屋架、托架、悬挂吊车)和柱的自重,尚不致因控制轴压比而给设计带来困难。
9.1.22 山墙抗风柱的配筋,应符合下列要求:
1 抗风柱柱顶以下300mm和牛腿(柱肩)面以上300mm范围内的箍筋,直径不宜小于6mm,间距不应大于100mm,肢距不宜大于250mm。
2 抗风柱的变截面牛腿(柱肩)处,宜设置纵向受拉钢筋。
条文说明
9.1.22 对抗风柱,除了提出验算要求外,还提出纵筋和箍筋的构造规定。
地震中,抗风柱的柱头和上、下柱的根部都有产生裂缝、甚至折断的震害,另外,柱肩产生劈裂的情况也不少。为此,柱头和上、下柱根部需加强箍筋的配置,并在柱肩处设置纵向受拉钢筋,以提高其抗震能力。
9.1.23 厂房柱间支撑的设置和构造,应符合下列要求:
1 厂房柱间支撑的布置,应符合下列规定:
1)一般情况下,应在厂房单元中部设置上、下柱间支撑,且下柱支撑应与上柱支撑配套设置;
2)有起重机或8度和9度时,宜在厂房单元两端增设上柱支撑;
3)厂房单元较长或8度Ⅲ、Ⅳ类场地和9度时,可在厂房单元中部1/3区段内设置两道柱间支撑。
2 柱间支撑应采用型钢,支撑形式宜采用交叉式,其斜杆与水平面的交角不宜大于55度。
3 支撑杆件的长细比,不宜超过表9.1.23的规定。

4 下柱支撑的下节点位置和构造措施,应保证将地震作用直接传给基础;当6度和7度(0.10g)不能直接传给基础时,应计及支撑对柱和基础的不利影响采取加强措施。
5 交叉支撑在交叉点应设置节点板,其厚度不应小于10mm,斜杆与交叉节点板应焊接,与端节点板宜焊接。
条文说明
9.1.23 柱间支撑的抗震构造,本次修订基本保持2001规范对89规范的改进: ①支撑杆件的长细比限值随烈度和场地类别而变化;本次修订,调整了8、9度下柱支撑的长细比要求;②进一步明确了支撑柱子连接节点的位置和相应的构造;③增加了关于交叉支撑节点板及其连接的构造要求。
柱间支撑是单层钢筋混凝土柱厂房的纵向主要抗侧力构件,当厂房单元较长或8度Ⅲ、Ⅳ类场地和9度时,纵向地震作用效应较大,设置一道下柱支撑不能满足要求时,可设置两道下柱支撑,但应注意:两道下柱支撑宜设置在厂房单元中间三分之一区段内,不宜设置在厂房单元的两端,以避免温度应力过大;在满足工艺条件的前提下,两者靠近设置时,温度应力小;在厂房单元中部三分之一区段内,适当拉开设置则有利于缩短地震作用的传递路线,设计中可根据具体情况确定。
交叉式柱间支撑的侧移刚度大,对保证单层钢筋混凝土柱厂房在纵向地震作用下的稳定性有良好的效果,但在与下柱连接的节点处理时,会遇到一些困难。
9.1.24 8度时跨度不小于18m的多跨厂房中柱和9度时多跨厂房各柱,柱顶宜设置通长水平压杆,此压杆可与梯形屋架支座处通长水平系杆合并设置,钢筋混凝土系杆端头与屋架间的空隙应采用混凝土填实。
9.1.25 厂房结构构件的连接节点,应符合下列要求:
1 屋架(屋面梁)与柱顶的连接,8度时宜采用螺栓,9度时宜采用钢板铰,亦可采用螺栓;屋架(屋面梁)端部支承垫板的厚度不宜小于16mm。
2 柱顶预埋件的锚筋,8度时不宜少于4Φ14,9度时不宜少于4Φ16;有柱间支撑的柱子,柱顶预埋件尚应增设抗剪钢板。
3 山墙抗风柱的柱顶,应设置预埋板,使柱顶与端屋架的上弦(屋面梁上翼缘)可靠连接。连接部位应位于上弦横向支撑与屋架的连接点处,不符合时可在支撑中增设次腹杆或设置型钢横梁,将水平地震作用传至节点部位。
4 支承低跨屋盖的中柱牛腿(柱肩)的预埋件,应与牛腿(柱肩)中按计算承受水平拉力部分的纵向钢筋焊接,且焊接的钢筋,6度和7度时不应少于2Φ12,8度时不应少于2Φ14,9度时不应少于2Φ16。
5 柱间支撑与柱连接节点预埋件的锚件,8度Ⅲ、Ⅳ类场地和9度时,宜采用角钢加端板,其他情况可采用不低于HRB335级的热轧钢筋,但锚固长度不应小于30倍锚筋直径或增设端板。
6 厂房中的起重机走道板、端屋架与山墙间的填充小屋面板、天沟板、天窗端壁板和天窗侧板下的填充砌体等构件应与支承结构有可靠的连接。
条文说明
9.1.25 本条规定厂房各构件连接节点的要求,具体贯彻了本规范第3.5节的原则规定,包括屋架与柱的连接,柱顶锚件;抗风柱、牛腿(柱肩)、柱与柱间支撑连接处的预埋件:
1 柱顶与屋架采用钢板铰,在原苏联的地震中经受了考验,效果较好;建议在9度时采用。
2 为加强柱牛腿(柱肩)预埋板的锚固,要把相当于承受水平拉力的纵向钢筋(即本节第9.1.12公式中的第2项)与预埋板焊连。
3 在设置柱间支撑的截面处(包括柱顶、柱底等),为加强锚固,发挥支撑的作用,提出了节点预埋件采用角钢加端板锚固的要求,埋板与锚件的焊接,通常用埋弧焊或开锥形孔塞焊。
4 抗风柱的柱顶与屋架上弦的连接节点,要具有传递纵向水平地震力的承载力和延性。抗风柱顶与屋架(屋面梁)上弦可靠连接,不仅保证抗风柱的强度和稳定,同时也保证山墙产生的纵向地震作用的可靠传递,但连接点必须在上弦横向支撑与屋架的连接点,否则将使屋架上弦产生附加的节间平面外弯矩。由于现在的预应力混凝土和钢筋混凝土屋架,一般均不符合抗风柱布置间距的要求,故补充规定以引起注意,当遇到这种情况时,可以采用在屋架横向支撑中加设次腹杆或型钢横梁,使抗风柱顶的水平力传递至上弦横向支撑的节点。
9.2 单层钢结构厂房
(Ⅰ)一般规定
9.2.1 本节主要适用于钢柱、钢屋架或钢屋面梁承重的单层厂房。
单层的轻型钢结构厂房的抗震设计,应符合专门的规定。
条文说明
9.2.1 国内外的多次地震经验表明,钢结构的抗震性能一般比其他结构的要好。总体上说,单层钢结构厂房在地震中破坏较轻,但也有损坏或坍塌的。因此,单层钢结构厂房进行抗震设防是必要的。 本次修订,仍不包括轻型钢结构厂房。
9.2.2 厂房的结构体系应符合下列要求:
1 厂房的横向抗侧力体系,可采用刚接框架、铰接框架、门式刚架或其他结构体系。厂房的纵向抗侧力体系,8、9度应采用柱间支撑;6、7度宜采用柱间支撑,也可采用刚接框架。
2 厂房内设有桥式起重机时,起重机梁系统的构件与厂房框架柱的连接应能可靠地传递纵向水平地震作用。
3 屋盖应设置完整的屋盖支撑系统。屋盖横梁与柱顶铰接时,宜采用螺栓连接。
条文说明
9.2.2 从单层钢结构厂房的震害实例分析,在7~9度的地震作用下,其主要震害是柱间支撑的失稳变形和连接节点的断裂或拉脱,柱脚锚栓剪断和拉断,以及锚栓锚固过短所至的拔出破坏。亦有少量厂房的屋盖支撑杆件失稳变形或连接节点板开裂破坏。
9.2.3 厂房的平面布置、钢筋混凝土屋面板和天窗架的设置要求等,可参照本规范第9.1节单层钢筋混凝土柱厂房的有关规定。当设置防震缝时,其缝宽不宜小于单层混凝土柱厂房防震缝宽度的1.5倍。
条文说明
9.2.3 原则上,单层钢结构厂房的平面、竖向布置的抗震设计要求,是使结构的质量和刚度分布均匀,厂房受力合理、变形协调。
钢结构厂房的侧向刚度小于混凝土柱厂房,其防震缝缝宽要大于混凝土柱厂房。当设防烈度高或厂房较高时,或当厂房坐落在较软弱场地土或有明显扭转效应时,尚需适当增加。
9.2.4 厂房的围护墙板应符合本规范第13.3节的有关规定。
(Ⅱ)抗震验算
9.2.5 厂房抗震计算时,应根据屋盖高差、起重机设置情况,采用与厂房结构的实际工作状况相适应的计算模型计算地震作用。
单层厂房的阻尼比,可依据屋盖和围护墙的类型,取0.045~0.05。
条文说明
9.2.5 通常设计时,单层钢结构厂房的阻尼比与混凝土柱厂房相同。本次修订,考虑到轻型围护的单层钢结构厂房,在弹性状态工作的阻尼比较小,根据单层、多层到高层钢结构房屋的阻尼比由大到小变化的规律,建议阻尼比按屋盖和围护墙的类型区别对待。
9.2.6 厂房地震作用计算时,围护墙体的自重和刚度,应按下列规定取值:
1 轻型墙板或与柱柔性连接的预制混凝土墙板,应计入其全部自重,但不应计入其刚度;
2 柱边贴砌且与柱有拉结的砌体围护墙,应计入其全部自重;当沿墙体纵向进行地震作用计算时,尚可计入普通砖砌体墙的折算刚度,折算系数,7、8和9度可分别取0.6、0.4和0.2。
条文说明
9.2.6 本条保持2001规范的规定。单层钢结构厂房的围护墙类型较多。围护墙的自重和刚度主要由其类型、与厂房柱的连接所决定。因此,为使厂房的抗震计算更符合实际情况、更合理,其自重和刚度取值应结合所采用的围护墙类型、与厂房柱的连接方式来决定。对于与柱贴砌的普通砖墙围护厂房,除需考虑墙体的侧移刚度外,尚应考虑墙体开裂而对其侧移刚度退化的影响。当为外贴式砖砌纵墙,7、8、9度设防时,其等效系数分别可取0.6、0.4、0.2。
9.2.7 厂房的横向抗震计算,可采用下列方法:
1 一般情况下,宜采用考虑屋盖弹性变形的空间分析方法;
2 平面规则、抗侧刚度均匀的轻型屋盖厂房,可按平面框架进行计算。等高厂房可采用底部剪力法,高低跨厂房应采用振型分解反应谱法。
9.2.8 厂房的纵向抗震计算,可采用下列方法:
1 采用轻型板材围护墙或与柱柔性连接的大型墙板的厂房,可采用底部剪力法计算,各纵向柱列的地震作用可按下列原则分配:
1)轻型屋盖可按纵向柱列承受的重力荷载代表值的比例分配;
2)钢筋混凝土无檩屋盖可按纵向柱列刚度比例分配;
3)钢筋混凝土有檩屋盖可取上述两种分配结果的平均值。
2 采用柱边贴砌且与柱拉结的普通砖砌体围护墙厂房,可参照本规范第9.1节的规定计算。
3 设置柱间支撑的柱列应计入支撑杆件屈曲后的地震作用效应。
条文说明
9.2.7、9.2.8 单层钢结构厂房的地震作用计算,应根据厂房的竖向布置(等高或不等高)、起重机设置、屋盖类别等情况,采用能反映出厂房地震反应特点的单质点、两质点和多质点的计算模型。总体上,单层钢结构厂房地震作用计算的单元划分、质量集中等,可参照钢筋混凝土柱厂房的执行。但对于不等高单层钢结构厂房,不能采用底部剪力法计算,而应采用多质点模型振型分解反应谱法计算。
轻型墙板通过墙架构件与厂房框架柱连接,预制混凝土大型墙板可与厂房框架柱柔性连接。这些围护墙类型和连接方式对框架柱纵向侧移的影响较小。亦即,当各柱列的刚度基本相同时,其纵向柱列的变位亦基本相同。因此,等高单跨或多跨厂房的纵向抗震计算时,对无檩屋盖可按柱列刚度分配;对有檩屋盖可按柱列所承受的重力荷载代表值比例分配和按单柱列计算,并取两者之较大值。而当采用与柱贴砌的砖围护墙时,其纵向抗震计算与混凝土柱厂房的基本相同。
按底部剪力法计算纵向柱列的水平地震作用时,所得的中间柱列纵向基本周期偏长,可利用周期折减系数予以修正。
单层钢结构厂房纵向主要由柱间支撑抵抗水平地震作用,是震害多发部位。在地震作用下,柱间支撑可能屈曲,也可能不屈曲。柱间支撑处于屈曲状态或者不屈曲状态,对与支撑相连的框架柱的受力差异较大,因此需针对支撑杆件是否屈曲的两种状态,分别验算设置支撑的纵向柱列的受力。当然,目前采用轻型围护结构的单层钢结构厂房,在风荷载较大时,7、8度的柱间支撑杆件在7、8度也可处于不屈曲状态。这种情况可不进行支撑屈曲后状态的验算。
9.2.9 厂房屋盖构件的抗震计算,应符合下列要求:
1 竖向支撑桁架的腹杆应能承受和传递屋盖的水平地震作用,其连接的承载力应大于腹杆的承载力,并满足构造要求。
2 屋盖横向水平支撑、纵向水平支撑的交叉斜杆均可按拉杆设计,并取相同的截面面积。
3 8、9度时,支承跨度大于24m的屋盖横梁的托架以及设备荷重较大的屋盖横梁,均应按本规范第5.3节计算其竖向地震作用。
条文说明
9.2.9 屋盖的竖向支承桁架可包括支承天窗架的竖向桁架、竖向支撑桁架等。屋盖竖向支承桁架承受的作用力包括屋盖自重产生的地震力,尚需将其传递给主框架,故其杆件截面需由计算确定。
屋盖水平支撑交叉斜杆,在地震作用下,考虑受压斜杆失稳而需按拉杆设计,故其连接的承载力不应小于支撑杆的全塑性承载力。条文参考上海市的规定给出。
参照冶金部门的规定,支承跨度大于24m屋面横梁的托架系直接传递地震竖向作用的构件,应考虑屋架传来的竖向地震作用。
对于厂房屋面设置荷重较大的设备等情况,不论厂房跨度大小,都应对屋盖横梁进行竖向地震作用验算。
9.2.10 柱间X形支撑、V形或∧形支撑应考虑拉压杆共同作用,其地震作用及验算可按本规范附录K第K.2节的规定按拉杆计算,并计及相交受压杆的影响,但压杆卸载系数宜改取0.30。
交叉支撑端部的连接,对单角钢支撑应计入强度折减,8、9度时不得采用单面偏心连接;交叉支撑有一杆中断时,交叉节点板应予以加强,其承载力不小于1.1倍杆件承载力。支撑杆件的截面应力比,不宜大于0.75。
条文说明
9.2.10 单层钢结构厂房的柱间支撑一般采用中心支撑。X形柱间支撑用料省,抗震性能好,应首先考虑采用。但单层钢结构厂房的柱距,往往比单层混凝土柱厂房的基本柱距(6m)要大几倍,∨或∧形也是常用的几种柱间支撑形式,下柱柱间支撑也有用单斜杆的。
支撑杆件屈曲后状态支撑框架按本规范第5章的规定进行抗震验算。本条卸载系数主要依据日本、美国的资料导出,与附录K第K.2节对我国混凝土柱厂房柱间支撑规定的卸载系数有所不同。但同样适用于支撑杆件长细比大于60
的情况,长细比大于200时不考虑压杆卸载影响。
与∨或∧形支撑相连的横梁,除了轻型围护结构的厂房满足设防地震下不屈曲的支撑外,通常需要按本规范第8.2.6条计入支撑屈曲后的不平衡力的影响。即横梁截面Abr满足: 
9.2.11 厂房结构构件连接的承载力计算,应符合下列规定:
1 框架上柱的拼接位置应选择弯矩较小区域,其承载力不应小于按上柱两端呈全截面塑性屈服状态计算的拼接处的内力,且不得小于柱全截面受拉屈服承载力的0.5倍。
2 刚接框架屋盖横梁的拼接,当位于横梁最大应力区以外时,宜按与被拼接截面等强度设计。
3 实腹屋面梁与柱的刚性连接、梁端梁与梁的拼接,应采用地震组合内力进行弹性阶段设计。梁柱刚性连接、梁与梁拼接的极限受弯承载力应符合下列要求:
1)一般情况,可按本规范第8.2.8条钢结构梁柱刚接、梁与梁拼接的规定考虑连接系数进行验算。其中,当最大应力区在上柱时,全塑性受弯承载力应取实腹梁、上柱二者的较小值;
2)当屋面梁采用钢结构弹性设计阶段的板件宽厚比时,梁柱刚性连接和梁与梁拼接,应能可靠传递设防烈度地震组合内力或按本款1项验算。
刚接框架的屋架上弦与柱相连的连接板,在设防地震下不宜出现塑性变形。
4 柱间支撑与构件的连接,不应小于支撑杆件塑性承载力的1.2倍。
条文说明
9.2.11 设计经验表明,跨度不很大的轻型屋盖钢结构厂房,如仅从新建的一次投资比较,采用实腹屋面梁的造价略比采用屋架的高些。但实腹屋面梁制作简便,厂房施工期和使用期的涂装、维护量小而方便,且质量好、进度快。如按厂房全寿命的支出比较,这些跨度不很大的厂房采用实腹屋面梁比采用屋架要合理一些。实腹屋面梁一般与柱刚性连接。这种刚架结构应用日益广泛。
1 受运输条件限制,较高厂房柱有时需在上柱拼接接长。条文给出的拼接承载力要求是最小要求,有条件时可采用等强度拼接接长。
2 梁柱刚性连接、拼接的极限承载力验算及相应的构造措施(如潜在塑性铰位置的侧向支承),应针对单层刚架厂房的受力特征和遭遇强震时可能形成的极限机构进行。一般情况下,单跨横向刚架的最大应力区在梁底上柱截面,多跨横向刚架在中间柱列处也可出现在梁端截面。这是钢结构单层刚架厂房的特征。柱顶和柱底出现塑性铰是单层刚架厂房的极限承载力状态之一,故可放弃“强柱弱梁”的抗震概念。
条文中的刚架梁端的最大应力区,可按距梁端1/10梁净跨和1.5倍梁高中的较大值确定。实际工程中,受构件运输条件限制,梁的现场拼接往往在梁端附近,即最大应力区,此时,其极限承载力验算应与梁柱刚性连接的相同。
(Ⅲ)抗震构造措施
9.2.12 厂房的屋盖支撑,应符合下列要求:
1 无檩屋盖的支撑布置,宜符合表9.2.12—1的要求。
2 有檩屋盖的支撑布置,宜符合表9.2.12—2的要求。
3 当轻型屋盖采用实腹屋面梁、柱刚性连接的刚架体系时,屋盖水平支撑可布置在屋面梁的上翼缘平面。屋面梁下翼缘应设置隅撑侧向支承,隅撑的另一端可与屋面檩条连接。屋盖横向支撑、纵向天窗架支撑的布置可参照表9.2.12的要求。
4 屋盖纵向水平支撑的布置,尚应符合下列规定:
1)当采用托架支承屋盖横梁的屋盖结构时,应沿厂房单元全长设置纵向水平支撑;
2)对于高低跨厂房,在低跨屋盖横梁端部支承处,应沿屋盖全长设置纵向水平支撑;
3)纵向柱列局部柱间采用托架支承屋盖横梁时,应沿托架的柱间及向其两侧至少各延伸一个柱间设置屋盖纵向水平支撑;
4)当设置沿结构单元全长的纵向水平支撑时,应与横向水平支撑形成封闭的水平支撑体系。多跨厂房屋盖纵向水平支撑的间距不宜超过两跨,不得超过三跨;高跨和低跨宜按各自的标高组成相对独立的封闭支撑体系。
5 支撑杆宜采用型钢;设置交叉支撑时,支撑杆的长细比限值可取350。


条文说明
9.2.12 屋盖支撑系统(包括系杆)的布置和构造应满足的主要功能是:保证屋盖的整体性(主要指屋盖各构件之间不错位)和屋盖横梁平面外的稳定性,保证屋盖和山墙水平地震作用传递路线的合理、简捷,且不中断。本次修订,针对钢结构厂房的特点规定了不同于钢筋混凝土柱厂房的屋盖支撑布置要求: 1 一般情况下,屋盖横向支撑应对应于上柱柱间支撑布置,故其间距取决于柱间支撑间距。表9.2.12屋盖横向支撑间距限值可按本节第9.2.15条的柱间支撑间距限值执行。
2 无檩屋盖(重型屋盖)是指通用的1.5m×6.0m预制大型屋面板。大型屋面板与屋架的连接需保证三个角点牢固焊接,才能起到上弦水平支撑的作用。
屋架的主要横向支撑应设置在传递厂房框架支座反力的平面内。即,当屋架为端斜杆上承式时,应以上弦横向支撑为主;当屋架为端斜杆下承式时,以下弦横向支撑为主。当主要横向支撑设置在屋架的下弦平面区间内时,宜对应地设置上弦横向支撑;当采用以上弦横向支撑为主的屋架区间内时,一般可不设置对应的下弦横向支撑。 3 有檩屋盖(轻型屋盖)主要是指彩色涂层压形钢板、硬质金属面夹芯板等轻型板材和高频焊接薄壁型钢檩条组成的屋盖。在轻型屋盖中,高频焊接薄壁型钢等型钢檩条一般都可兼作上弦系杆,故在表9.2.12中未列入。
对于有檩屋盖,宜将主要横向支撑设置在上弦平面,水平地震作用通过上弦平面传递,相应的,屋架亦应采用端斜杆上承式。在设置横向支撑开间的柱顶刚性系杆或竖向支撑、屋面檩条应加强,使屋盖横向支撑能通过屋面檩条、柱顶刚性系杆或竖向支撑等构件可靠地传递水平地震作用。但当采用下沉式横向天窗时,应在屋架下弦平面设置封闭的屋盖水平支撑系统。 4 8、9度时,屋盖支撑体系(上、下弦横向支撑)与柱间支撑应布置在同一开间,以便加强结构单元的整体性。 5 支撑设置还需注意:当厂房跨度不很大时,压型钢板轻型屋盖比较适合于采用与柱刚接的屋面梁。压型钢板屋面的坡度较平缓,跨变效应可略去不计。
对轻型有檩屋盖,亦可采用屋架端斜杆为上承式的铰接框架,柱顶水平力通过屋架上弦平面传递。屋盖支撑布置也可参照实腹屋面梁的,隅撑间距宜按屋架下弦的平面外长细比小于240确定,但横向支撑开间的屋架两端应设置竖向支撑。
檩条隅撑系统布置时,需考虑合理的传力路径,檩条及其两端连接应足以承受隅撑传至的作用力。
屋盖纵向水平支撑的布置比较灵活。设计时,应据具体情况综合分析,以达到合理布置的目的。
9.2.13 厂房框架柱的长细比,轴压比小于0.2时不宜大于150;轴压比不小于0.2时,不宜大于120。
条文说明
9.2.13 单层钢结构厂房的最大柱顶位移限值、吊车梁顶面标高处的位移限值,一般已可控制出现长细比过大的柔韧厂房。
本次修订,参考美国、欧洲、日本钢结构规范和抗震规范,结合我国现行钢结构设计规范的规定和设计习惯,按轴压比大小对厂房框架柱的长细比限值适当调整。
9.2.14 厂房框架柱、梁的板件宽厚比,应符合下列要求:
1 重屋盖厂房,板件宽厚比限值可按本规范第8.3.2条的规定采用,7、8、9度的抗震等级可分别按四、三、二级采用。
2 轻屋盖厂房,塑性耗能区板件宽厚比限值可根据其承载力的高低按性能目标确定。塑性耗能区外的板件宽厚比限值,可采用现行《钢结构设计规范》GB 50017弹性设计阶段的板件宽厚比限值。
注:腹板的宽厚比,可通过设置纵向加劲肋减小。
条文说明
9.2.14 板件的宽厚比,是保证厂房框架延性的关键指标,也是影响单位面积耗钢量的关键指标。本次修订,对重屋盖和轻屋盖予以区别对待。重屋盖参照多层钢结构低于50m的抗震等级采用,柱的宽厚比要求比2001规范有所放松。
对于采用压型钢板轻型屋盖的单层钢结构厂房,对于设防烈度8度(0.20g)及以下的情况,即使按设防烈度的地震动参数进行弹性计算,也经常出现由非地震组合控制厂房框架受力的情况。因此,根据实际工程的计算分析,发现如果采用性能化设计的方法,可以分别按“高延性,低弹性承载力”或“低延性,高弹性承载力”的抗震设计思路来确定板件宽厚比。即通过厂房框架承受的地震内力与其具有的弹性抗力进行比较来选择板件宽厚比:

当构件的强度和稳定的承载力均满足高承载力——2倍多遇地震作用下的要求(γGSGE+γEh2SE≤R/γRE)时,可采用现行《钢结构设计规范》GB 50017弹性设计阶段的板件宽厚比限值,即C类;当强度和稳定的承载力均满足中等承载力——1.5倍多遇地震作用下的要求(γGSGE+γEh1.5SE≤R/γRE)时,可按表6中B类采用;其他情况,则按表6中A类采用。
A、B、C三类宽厚比的数值,系参照欧、日、美等国家的抗震规范选定。大体上,A类可达全截面塑性且塑性铰在转动过程中承载力不降低;B类可达全截面塑性,在应力强化开始前足以抵抗局部屈曲发生,但由于局部屈曲使塑性铰的转动能力有限。C类是指现行《钢结构设计规范》GB 50017按弹性准则设计时腹板不发生局部屈曲的情况,如双轴对称H形截面翼缘需满足b/t≤15
,受弯构件腹板需满足72
<ho/tw≤130
,压弯构件腹板应符合《钢结构设计规范》GB 50017-2003式(5.4.2)的要求。
上述板件宽厚比与地震作用的对应关系,系根据底部剪力相当的条件,与欧洲EC8规范、日本BCJ规范给出的板件宽厚比限值与地震作用的对应关系大致持平。
鉴于单跨单层厂房横向刚架的耗能区(潜在塑性铰区),一般在上柱梁底截面附近,因此,即使遭遇强烈地震在上柱梁底区域形成塑性铰,并考虑塑性铰区钢材应变硬化,屋面梁仍可能处于弹性状态工作。所以框架塑性耗能区外的构件区段(即使遭遇强烈地震,截面应力始终在弹性范围内波动的构件区段),可采用C类截面。
设计经验表明,就目前广泛采用轻型围护材料的情况,采用上述方法确定宽厚比,虽然增加了一些计算工作量,但充分利用了构件自身所具有的承载力,在6、7度设防时可以较大地降低耗钢量。
9.2.15 柱间支撑应符合下列要求:
1 厂房单元的各纵向柱列,应在厂房单元中部布置一道下柱柱间支撑;当7度厂房单元长度大于120m(采用轻型围护材料时为150m)、8度和9度厂房单元大于90m(采用轻型围护材料时为120m)时,应在厂房单元1/3区段内各布置一道下柱支撑;当柱距数不超过5个且厂房长度小于60m时,亦可在厂房单元的两端布置下柱支撑。上柱柱间支撑应布置在厂房单元两端和具有下柱支撑的柱间。
2 柱间支撑宜采用X形支撑,条件限制时也可采用V形、Λ形及其他形式的支撑。X形支撑斜杆与水平面的夹角、支撑斜杆交叉点的节点板厚度,应符合本规范第9.1节的规定。
3 柱间支撑杆件的长细比限值,应符合现行国家标准《钢结构设计规范》GB 50017的规定。
4 柱间支撑宜采用整根型钢,当热轧型钢超过材料最大长度规格时,可采用拼接等强接长。
5 有条件时,可采用消能支撑。
条文说明
9.2.15 柱间支撑对整个厂房的纵向刚度、自振特性、塑性铰产生部位都有影响。柱间支撑的布置应合理确定其间距,合理选择和配置其刚度以减小厂房整体扭转。
1 柱间支撑长细比限值,大于细柔长细比下限值130
(考虑0.5fy的残余应力)时,不需作钢号修正。
2 采用焊接型钢时,应采用整根型钢制作支撑杆件;但当采用热轧型钢时,采用拼接板加强才能达到等强接长。
3 对于大型屋面板无檩屋盖,柱顶的集中质量往往要大于各层吊车梁处的集中质量,其地震作用对各层柱间支撑大体相同,因此,上层柱间支撑的刚度、强度宜接近下层柱间支撑的。
4 压型钢板等轻型墙屋面围护,其波形垂直厂房纵向,对结构的约束较小,故可放宽厂房柱间支撑的间距。条文参考冶金部门的规定,对轻型围护厂房的柱间支撑间距作出规定。
9.2.16 柱脚应能可靠传递柱身承载力,宜采用埋入式、插入式或外包式柱脚,6、7度时也可采用外露式柱脚。柱脚设计应符合下列要求:
1 实腹式钢柱采用埋入式、插入式柱脚的埋入深度,应由计算确定,且不得小于钢柱截面高度的2.5倍。
2 格构式柱采用插入式柱脚的埋入深度,应由计算确定,其最小插入深度不得小于单肢截面高度(或外径)的2.5倍,且不得小于柱总宽度的0.5倍。
3 采用外包式柱脚时,实腹H形截面柱的钢筋混凝土外包高度不宜小于2.5倍的钢结构截面高度,箱形截面柱或圆管截面柱的钢筋混凝土外包高度不宜小于3.0倍的钢结构截面高度或圆管截面直径。
4 当采用外露式柱脚时,柱脚极限承载力不宜小于柱截面塑性屈服承载力的1.2倍。柱脚锚栓不宜用以承受柱底水平剪力,柱底剪力应由钢底板与基础间的摩擦力或设置抗剪键及其他措施承担。柱脚锚栓应可靠锚固。
条文说明
9.2.16 震害表明,外露式柱脚破坏的特征是锚栓剪断、拉断或拔出。由于柱脚锚栓破坏,使钢结构倾斜,严重者导致厂房坍塌。外包式柱脚表现为顶部箍筋不足的破坏。 1 埋入式柱脚,在钢柱根部截面容易满足塑性铰的要求。当埋入深度达到钢柱截面高度2倍的深度,可认为其柱脚部位的恢复力特性基本呈纺锤形。插入式柱脚引用冶金部门的有关规定。埋入式、插入式柱脚应确保钢柱的埋入深度和钢柱埋入部分的周边混凝土厚度。
2 外包式柱脚的力学性能主要取决于外包钢筋混凝土的力学性能。所以,外包短柱的钢筋应加强,特别是顶部箍筋,并确保外包混凝土的厚度。
3 一般的外露式柱脚,从力学的角度看,作为半刚性考虑更加合适。与钢柱根部截面的全截面屈服承载力相比,柱脚在多数情况下由锚栓屈服所决定的塑性弯矩较小。这种柱脚受弯时的力学性能,主要由锚栓的性能决定。如锚栓受拉屈服后能充分发展塑性,则承受反复荷载作用时,外露式柱脚的恢复力特性呈典型的滑移型滞回特性。但实际的柱脚,往往在锚栓截面未削弱部分屈服前,螺纹部分就发生断裂,难以有充分的塑性发展。并且,当钢柱截面大到一定程度时,设计大于柱截面抗弯承载力的外露式柱脚往往是困难的。因此,当柱脚承受的地震作用大时,采用外露式不经济,也不合适。采用外露式柱脚时,与柱间支撑连接的柱脚,不论计算是否需要,都必须设置剪力键,以可靠抵抗水平地震作用。 此次局部修订,进一步补充说明外露式柱脚的承载力验算要求,明确为“极限承载力极限承载力不宜小于柱截面塑性屈服承载力的1.2倍”。
9.3 单层砖柱厂房
(Ⅰ)一般规定
9.3.1 本节适用于6~8度(0.20g)的烧结普通砖(黏土砖、页岩砖)、混凝土普通砖砌筑的砖柱(墙垛)承重的下列中小型单层工业厂房:
1 单跨和等高多跨且无桥式起重机。
2 跨度不大于15m且柱顶标高不大于6.6m。
条文说明
9.3.1 本次修订明确本节适用范围为6~8度(0.20g)的烧结普通砖(黏土砖、页岩砖)、混凝土普通砖砌体。
在历次大地震中,变截面砖柱的上柱震害严重又不易修复,故规定砖柱厂房的适用范围为等高的中小型工业厂房。超出此范围的砖柱厂房;要采取比本节规定更有效的措施。
9.3.2 厂房的结构布置应符合下列要求,并宜符合本规范第9.1.1条的有关规定:
1 厂房两端均应设置砖承重山墙。
2 与柱等高并相连的纵横内隔墙宜采用砖抗震墙。
3 防震缝设置应符合下列规定:
1)轻型屋盖厂房,可不设防震缝;
2)钢筋混凝土屋盖厂房与贴建的建(构)筑物间宜设防震缝,防震缝的宽度可采用50mm~70mm,防震缝处应设置双柱或双墙。
4 天窗不应通至厂房单元的端开间,天窗不应采用端砖壁承重。
注:本章轻型屋盖指木屋盖和轻钢屋架、压型钢板、瓦楞铁等屋面的屋盖。
条文说明
9.3.2 针对中小型工业厂房的特点,对钢筋混凝土无檩屋盖的砖柱厂房,要求设置防震缝。对钢、木等有檩屋盖的砖往厂房,则明确可不设防震缝。
防震缝处需设置双柱或双墙,以保证结构的整体稳定性和刚性。
本次修订规定,屋盖设置天窗时,天窗不应通到端开间,以免过多削弱屋盖的整体性。天窗采用端砖壁时,地震中较多严重破坏,甚至倒塌,不应采用。
9.3.3 厂房的结构体系,尚应符合下列要求:
1 厂房屋盖宜采用轻型屋盖。
2 6度和7度时,可采用十字形截面的无筋砖柱;8度时不应采用无筋砖柱。
3 厂房纵向的独立砖柱柱列,可在柱间设置与柱等高的抗震墙承受纵向地震作用;不设置抗震墙的独立砖柱柱顶,应设通长水平压杆。
4 纵、横向内隔墙宜采用抗震墙,非承重横隔墙和非整体砌筑且不到顶的纵向隔墙宜采用轻质墙;当采用非轻质墙时,应计及隔墙对柱及其与屋架(屋面梁)连接节点的附加地震剪力。独立的纵向和横向内隔墙应采取措施保证其平面外的稳定性,且顶部应设置现浇钢筋混凝土压顶梁。
条文说明
9.3.3 厂房的结构选型应注意:
1 历次大地震中,均有相当数量不配筋的无阶形柱的单层砖柱厂房,经受8度地震仍基本完好或轻微损坏。分析认为,当砖柱厂房山墙的间距、开洞率和高宽比均符合砌体结构静力计算的“刚性方案”条件且山墙的厚度不小于240mm时,即:
①厂房两端均设有承重山墙且山墙和横墙间距,对钢筋混凝土无檩屋盖不大于32m,对钢筋混凝土有檩屋盖、轻型屋盖和有密铺望板的木屋盖不大于20m;
②山墙或横墙上洞口的水平截面面积不应超过山墙或横墙截面面积的50%;
③山墙和横墙的长度不小于其高度。 不配筋的砖排架柱仍可满足8度的抗震承载力要求。仅从承载力方面,8度地震时可不配筋;但历次的震害表明,当遭遇9度地震时,不配筋的砖柱大多数倒塌,按照“大震不倒”的设计原则,本次修订强调,8度(0.20g)时不应采用无筋砖柱。即仍保留78规范、89规范关于8度设防时至少应设置“组合砖柱”的规定,且多跨厂房在8度Ⅲ、Ⅳ类场地时,中柱宜采用钢筋混凝土柱,仅边柱可略放宽为采用组合砖柱。
2 震害表明,单层砖柱厂房的纵向也要有足够的强度和刚度,单靠独立砖柱是不够的,像钢筋混凝土柱厂房那样设置交叉支撑也不妥,因为支撑吸引来的地震剪力很大,将会剪断砖柱。比较经济有效的办法是,在柱间砌筑与柱整体连接的纵向砖墙井设置砖墙基础,以代替柱间支撑加强厂房的纵向抗震能力。
采用钢筋混凝土屋盖时,由于纵向水平地震作用较大,不能单靠屋盖中的一般纵向构件传递,所以要求在无上述抗震墙的砖柱顶部处设压杆(或用满足压杆构造的圈梁、天沟或檩条等代替)。
3 强调隔墙与抗震墙合并设置,目的在于充分利用墙体的功能,并避免非承重墙对柱及屋架与柱连接点的不利影响。当不能合并设置时,隔墙要采用轻质材料。
单层砖柱厂房的纵向隔墙与横向内隔墙一样,也宜做成抗震墙,否则会导致主体结构的破坏,独立的纵向、横向内隔墙,受震后容易倒塌,需采取保证其平面外稳定性的措施。
(Ⅱ)计算要点
9.3.4 按本节规定采取抗震构造措施的单层砖柱厂房,当符合下列条件之一时,可不进行横向或纵向截面抗震验算:
1 7度(0.10g)Ⅰ、Ⅱ类场地,柱顶标高不超过4.5m,且结构单元两端均有山墙的单跨及等高多跨砖柱厂房,可不进行横向和纵向抗震验算。
2 7度(0.10g)Ⅰ、Ⅱ类场地,柱顶标高不超过6.6m,两侧设有厚度不小于240mm且开洞截面面积不超过50%的外纵墙,结构单元两端均有山墙的单跨厂房,可不进行纵向抗震验算。
条文说明
9.3.4 本次修订基本保持了2001规范可不进行纵向抗震验算的条件。明确为7度(0.10g)的情况,不适用于7度(0.15g)的情况。
9.3.5 厂房的横向抗震计算,可采用下列方法:
1 轻型屋盖厂房可按平面排架进行计算。
2 钢筋混凝土屋盖厂房和密铺望板的瓦木屋盖厂房可按平面排架进行计算并计及空间工作,按本规范附录J调整地震作用效应。
9.3.6 厂房的纵向抗震计算,可采用下列方法:
1 钢筋混凝土屋盖厂房宜采用振型分解反应谱法进行计算。
2 钢筋混凝土屋盖的等高多跨砖柱厂房,可按本规范附录K规定的修正刚度法进行计算。
3 纵墙对称布置的单跨厂房和轻型屋盖的多跨厂房,可采用柱列分片独立进行计算。
条文说明
9.3.5、9.3.6 在本节适用范围内的砖柱厂房,纵、横向抗震计算原则与钢筋混凝土柱厂房基本相同,故可参照本章第9.1节所提供的方法进行计算。其中,纵向简化计算的附录K不适用,而屋盖为钢筋混凝土或密铺望板的瓦木屋盖时,2001规范规定,横向平面排架计算同样考虑厂房的空间作用影响。理由如下:
①根据国家标准《砌体结构设计规范》GB 50003的规定:密铺望板瓦木屋盖与钢筋混凝土有檩屋盖属于同一种屋盖类型,静力计算中,符合刚弹性方案的条件时(20~48)m均可考虑空间工作,但89抗震规范规定:钢筋混凝土有檩屋盖可以考虑空间工作,而密铺望板的瓦木屋盖不可以考虑空间工作,二者不协调。
②历次地震,特别是辽南地震和唐山地震中,不少密铺望板瓦木屋盖单层砖柱厂房反映了明显的空间工作特性。
③根据王光远教授《建筑结构的振动》的分析结论,不仅仅钢筋混凝土无檩屋盖和有檩屋盖(大波瓦、槽瓦)厂房;就是石棉瓦和黏土瓦屋盖厂房在地震作用下,也有明显的空间工作。
④从具有木望板的瓦木屋盖单层砖柱厂房的实测可以看出:实测厂房的基本周期均比按排架计算周期为短,同时其横向振型与钢筋混凝土屋盖的振型基本一致。
⑤山楼墙间距小于24m时,其空间工作更明显,且排架柱的剪力和弯矩的折减有更大的趋势,而单层砖柱厂房山、楼墙间距小于24m的情况,在工程建设中也是常见的。
根据以上分析,本次修订继续保持2001规范对单层砖柱厂房的空间工作的如下修订:
1)7度和8度时,符合砌体结构刚弹性方案(20~48)m的密铺望板瓦木屋盖单层砖柱厂房与钢筋混凝土有檩屋盖单层砖柱厂房一样,也可考虑地震作用下的空间工作。
2)附录J“砖柱考虑空间工作的调整系数”中的“两端山墙间距”改为“山墙、承重(抗震)横墙的间距”;并将小于24m分为24m、18m、12m。
3)单层砖柱厂房考虑空间工作的条件与单层钢筋混凝土柱厂房不同,在附录K中加以区别和修正。
9.3.7 突出屋面天窗架的横向和纵向抗震计算应符合本规范第9.1.9条和第9.1.10条的规定。
9.3.8 偏心受压砖柱的抗震验算,应符合下列要求:
1 无筋砖柱地震组合轴向力设计值的偏心距,不宜超过0.9倍截面形心到轴向力所在方向截面边缘的距离;承载力抗震调整系数可采用0.9。
2 组合砖柱的配筋应按计算确定,承载力抗震调整系数可采用0.85。
条文说明
9.3.8 砖柱的抗震验算,在现行国家标准《砌体结构设计规范》GB 50003的基础上,按可靠度分析,同样引入承载力调整系数后进行验算。
(Ⅲ)抗震构造措施
9.3.9 钢屋架、压型钢板、瓦楞铁等轻型屋盖的支撑,可按本规范表9.2.12—2的规定设置,上、下弦横向支撑应布置在两端第二开间;木屋盖的支撑布置,宜符合表9.3.9的要求,支撑与屋架或天窗架应采用螺栓连接;木天窗架的边柱,宜采用通长木夹板或铁板并通过螺栓加强边柱与屋架上弦的连接。

条文说明
9.3.9 砖柱厂房一般多采用瓦木屋盖,89规范关于木屋盖的规定基本上是合理的,本次修订,保持89规范、2001规范的规定;并依据木结构设计规范的规定,明确8度时的木屋盖不宜设置天窗。 木屋盖的支撑布置中,如端开间下弦水平系杆与山墙连接,地震后容易将山墙顶坏,故不宜采用。木天窗架需加强与屋架的连接,防止受震后倾倒。
当采用钢筋混凝土和钢屋盖时,可参照第9.1、9.2节的规定。
9.3.10 檩条与山墙卧梁应可靠连接,搁置长度不应小于120mm,有条件时可采用檩条伸出山墙的屋面结构。
条文说明
9.3.10 檩条与山墙连接不好,地震时将使支承处的砌体错动,甚至造成山尖墙倒塌,檩条伸出山墙的出山屋面有利于加强檩条与山墙的连接,对抗震有利,可以采用。
9.3.11 钢筋混凝土屋盖的构造措施,应符合本规范第9.1节的有关规定。
9.3.12 厂房柱顶标高处应沿房屋外墙及承重内墙设置现浇闭合圈梁,8度时还应沿墙高每隔3m~4m增设一道圈梁,圈梁的截面高度不应小于180mm,配筋不应少于4Φ12;当地基为软弱黏性土、液化土、新近填土或严重不均匀土层时,尚应设置基础圈梁。当圈梁兼作门窗过梁或抵抗不均匀沉降影响时,其截面和配筋除满足抗震要求外,尚应根据实际受力计算确定。
条文说明
9.3.12 震害调查发现,预制圈梁的抗震性能较差,故规定在屋架底部标高处设置现浇钢筋混凝土圈梁。为加强圈梁的功能,规定圈梁的截面高度不应小于180mm;宽度习惯上与砖墙同宽。
9.3.13 山墙应沿屋面设置现浇钢筋混凝土卧梁,并应与屋盖构件锚拉;山墙壁柱的截面与配筋,不宜小于排架柱,壁柱应通到墙顶并与卧梁或屋盖构件连接。
条文说明
9.3.13 震害还表明,山墙是砖柱厂房抗震的薄弱都位之一,外倾、局部倒塌较多;甚至有全部倒塌的。为此,要求采用卧梁并加强锚拉的措施。
9.3.14 屋架(屋面梁)与墙顶圈梁或柱顶垫块,应采用螺栓或焊接连接;柱顶垫块厚度不应小于240mm,并应配置两层直径不小于8mm间距不大于100mm的钢筋网;墙顶圈梁应与柱顶垫块整浇。
条文说明
9.3.14 屋架(屋面梁)与柱顶或墙顶的圈梁锚固的修订如下:
1 震害表明:屋架(屋面梁)和柱子可用螺栓连接,也可采用焊接连接。
2 对垫块的厚度和配筋作了具体规定。垫块厚度太薄或配筋太少时,本身可能局部承压破坏,且埋件锚固不足。
9.3.15 砖柱的构造应符合下列要求;
1 砖的强度等级不应低于MU10,砂浆的强度等级不应低于M5;组合砖柱中的混凝土强度等级不应低于C20。
2 砖柱的防潮层应采用防水砂浆。
条文说明
9.3.15 根据设计需要,本次修订规定了砖柱的抗震要求。
9.3.16 钢筋混凝土屋盖的砖柱厂房,山墙开洞的水平截面面积不宜超过总截面面积的50%;8度时,应在山墙、横墙两端设置钢筋混凝土构造柱,构造柱的截面尺寸可采用240mm×240mm,竖向钢筋不应少于4Φ12,箍筋可采用Φ6,间距宜为250mm~300mm。
条文说明
9.3.16 钢筋混凝土屋盖单层砖柱厂房,在横向水平地震作用下,由于空间工作的因素,山墙、横墙将负担较大的水平地震剪力,为了减轻山墙、横墙的剪切破坏,保证房屋的空间工作,对山墙、横墙的开洞面积加以限制,8度时宜在山墙、横墙的两端设置构造柱。
9.3.17 砖砌体墙的构造应符合下列要求:
1 8度时,钢筋混凝土无檩屋盖砖柱厂房,砖围护墙顶部宜沿墙长每隔1m埋入1Φ8竖向钢筋,并插入顶部圈梁内。
2 7度且墙顶高度大于4.8m或8度时,不设置构造柱的外墙转角及承重内横墙与外纵墙交接处,应沿墙高每500mm配置2Φ6钢筋,每边伸入墙内不小于1m。
3 出屋面女儿墙的抗震构造措施,应符合本规范第13.3节的有关规定。
条文说明
9.3.17 采用钢筋混凝土无檩屋盖等刚性屋盖的单层砖柱厂房,地震时砖墙往往在屋盖处圈梁底面下一至四皮砖范围内出现周围水平裂缝。为此,对于高烈度地区刚性屋盖的单层砖柱厂房,在砖墙顶部沿墙长每隔1m左右埋设一根ф8竖向钢筋,并插入顶部圈梁内,以防止柱周围水平裂缝,甚至墙体错动破坏的产生。
10 空旷房屋和大跨屋盖建筑
10.1 单层空旷房屋
(Ⅰ)一般规定
条文说明
单层空旷房屋是一组不同类型的结构组成的建筑,包含有单层的观众厅和多层的前后左右的附属用房。无侧厅的食堂,可参照本规范第9章设计。
观众厅与前后厅之间、观众厅与两侧厅之间一般不设缝,震害较轻;个别房屋在观众厅与侧厅处留缝,反而破坏较重。因此,在单层空旷房屋中的观众厅与侧厅、前后厅之间可不设防震缝,但根据本规范第3章的要求,布置要对称,避免扭转,并按本章采取措施,使整组建筑形成相互支持和有良好联系的空间结构体系。
本节主要规定了单层空旷房屋大厅抗震设计中有别于单层厂房的要求,对屋盖选型、构造、非承重隔墙及各种结构类型的附属房屋的要求,见其他各有关章节。
大厅人员密集,抗震要求较高,故观众厅有挑台,或房屋高、跨度大,或烈度高,需要采用钢筋混凝土框架或门式刚架结构等。根据震害调查及分析,为进一步提高其抗震安全性,本次修订对第10.1.3条进行了修改,对砖柱承重的情况作了更为严格的限制:
①增加了7度(0.15g)时不应采用砖柱的规定;
②鉴于现阶段各地区经济发展不平衡,对于设防烈度6度、7度(0.10g),经济条件不足的地区,还不宜全部取消砖柱承重,只是在跨度和柱顶高度方面较2001规范限制更加严格。
10.1.1 本节适用于较空旷的单层大厅和附属房屋组成的公共建筑。
10.1.2 大厅、前厅、舞台之间,不宜设防震缝分开;大厅与两侧附属房屋之间可不设防震缝。但不设缝时应加强连接。
10.1.3 单层空旷房屋大厅屋盖的承重结构,在下列情况下不应采用砖柱:
1 7度(0.15g)、8度、9度时的大厅。
2 大厅内设有挑台。
3 7度(0.10g)时,大厅跨度大于12m或柱顶高度大于6m。
4 6度时,大厅跨度大于15m或柱顶高度大于8m。 ( 自2022年1月1日起废止该条,详见新规 《建筑与市政工程抗震通用规范》GB 55002-2021)
10.1.4 单层空旷房屋大厅屋盖的承重结构,除本规范第10.1.3条规定者外,可在大厅纵墙屋架支点下增设钢筋混凝土-砖组合壁柱,不得采用无筋砖壁柱。
10.1.5 前厅结构布置应加强横向的侧向刚度,大门处壁柱和前厅内独立柱应采用钢筋混凝土柱。
10.1.6 前厅与大厅、大厅与舞台连接处的横墙,应加强侧向刚度,设置一定数量的钢筋混凝土抗震墙。
- 7 大厅部分其他要求可参照本规范第9章,附属房屋应符合本规范的有关规定。
(Ⅱ)计算要点
条文说明
本次修订对计算要点的规定未作修改,同2001规范。
单层空旷房屋的平面和体型均较复杂,尚难以采用符合实际工作状态的假定和合理的模型进行整体计算分析。为了简化,从工程设计的角度考虑,可将整个房屋划为若干个部分,分别进行计算,然后从构造上和荷载的局部影响上加以考虑,互相协调。例如,通过周期的经验修正,使各部分的计算周期趋于一致;横向抗震分析时,考虑附属房屋的结构类型及其与大厅的连接方式,选用排架、框排架或排架-抗震墙的计算简图,条件合适时亦可考虑空间工作的影响,交接处的柱子要考虑高振型的影响;纵向抗震分析时,考虑屋盖的类型和前后厅等影响,选用单柱列或空间协同分析模型。 根据宏观震害调查分析,单层空旷房屋中,舞台后山墙等高大山墙的壁柱,地震中容易破坏。为减少其破坏,特别强调,高烈度时高大山墙应进行出平面的抗震验算。验算要求可参考本规范第9章,即壁柱在水平地震力作用下的偏心距超过规定值时,应设置组合壁柱,并验算其偏心受压的承载力。
10.1.8 单层空旷房屋的抗震计算,可将房屋划分为前厅、舞台、大厅和附属房屋等若干独立结构,按本规范有关规定执行,但应计及相互影响。
10.1.9 单层空旷房屋的抗震计算,可采用底部剪力法,地震影响系数可取最大值。
10.1.10 大厅的纵向水平地震作用标准值,可按下式计算:

10.1.11 大厅的横向抗震计算,宜符合下列原则:
1 两侧无附属房屋的大厅,有挑台部分和无挑台部分可各取一个典型开间计算;符合本规范第9章规定时,尚可计及空间工作。
2 两侧有附属房屋时,应根据附属房屋的结构类型,选择适当的计算方法。
10.1.12 8度和9度时,高大山墙的壁柱应进行平面外的截面抗震验算。 ( 自2022年1月1日起废止该条,详见新规 《建筑与市政工程抗震通用规范》GB 55002-2021)
(Ⅲ)抗震构造措施
条文说明
单层空旷房屋的主要抗震构造措施如下:
1 6、7度时,中、小型单层空旷房屋的大厅,无筋的纵墙壁柱虽可满足承载力的设计要求,但考虑到大厅使用上的重要性,仍要求采用配筋砖柱或组合砖柱。
本次修订,在第10.1.3条不允许8度Ⅰ、Ⅱ类场地和7度(0.15g)采用砖柱承重,故在第10.1.14条删去了2001规范的有关规定。
当大厅采用钢筋混凝土柱时,其抗震等级不应低于二级。当附属房屋低于大厅柱顶标高时,大厅柱成为短柱,则其箍筋应全高加密。
2 前厅与大厅、大厅与舞台之间的墙体是单层空旷房屋的主要抗侧力构件,承担横向地震作用。因此,应根据抗震设防烈度及房屋的跨度、高度等因素,设置一定数量的抗震墙。采用钢筋混凝土抗震墙时,其抗震等级不应低于二级。与此同时,还应加强墙上的大梁及其连接的构造措施。
舞台口梁为悬梁,上部支承有舞台上的屋架,受力复杂,而且舞台口两侧墙体为一端自由的高大悬墙,在舞台口处不能形成一个门架式的抗震横墙,在地震作用下破坏较多。因此,舞台口墙要加强与大厅屋盖体系的拉结,用钢筋混凝土墙体、立柱和水平圈梁来加强自身的整体性和稳定性。9度时不应采用舞台口砌体悬墙承重。本次修订,进一步明确9度时舞台口悬墙应采用轻质墙体。
3 大厅四周的墙体一般较高,需增设多道水平圈梁来加强整体性和稳定性。特别是墙顶标高处的圈梁更为重要。
4 大厅与两侧的附属房屋之间一般不设防震缝,其交接处受力较大,故要加强相互间的连接,以增强房屋的整体性。本次修订,与本规范第7章对砌体结构的规定相协调,进一步提高了拉结措施——间距不大于400mm,且采用由拉结钢筋与分布短筋在平面内焊接而成的钢筋网片。
5 二层悬挑式挑台不但荷载大,而且悬挑跨度也较大,需要进行专门的抗震设计计算分析。
10.1.13 大厅的屋盖构造,应符合本规范第9章的规定。
10.1.14 大厅的钢筋混凝土柱和组合砖柱应符合下列要求:
1 组合砖柱纵向钢筋的上端应锚入屋架底部的钢筋混凝土圈梁内。组合砖柱的纵向钢筋,除按计算确定外,6度Ⅲ、Ⅳ类场地和7度(0.10g)Ⅰ、Ⅱ类场地每侧不应少于4Φ14;7度(0.10g)Ⅲ、Ⅳ类场地每侧不应少于4Φ16。
2 钢筋混凝土柱应按抗震等级不低于二级的框架柱设计,其配筋量应按计算确定。
10.1.15 前厅与大厅,大厅与舞台间轴线上横墙,应符合下列要求:
1 应在横墙两端,纵向梁支点及大洞口两侧设置钢筋混凝土框架柱或构造柱。
2 嵌砌在框架柱间的横墙应有部分设计成抗震等级不低于二级的钢筋混凝土抗震墙。
3 舞台口的柱和梁应采用钢筋混凝土结构,舞台口大梁上承重砌体墙应设置间距不大于4m的立柱和间距不大于3m的圈梁,立柱、圈梁的截面尺寸、配筋及与周围砌体的拉结应符合多层砌体房屋的要求。
4 9度时,舞台口大梁上的墙体应采用轻质隔墙。 ( 自2022年1月1日起废止该条,详见新规 《建筑与市政工程抗震通用规范》GB 55002-2021)
10.1.16 大厅柱(墙)顶标高处应设置现浇圈梁,并宜沿墙高每隔3m左右增设一道圈梁。梯形屋架端部高度大于900mm时还应在上弦标高处增设一道圈梁。圈梁的截面高度不宜小于180mm,宽度宜与墙厚相同,纵筋不应少于4Φ12,箍筋间距不宜大于200mm。
10.1.17 大厅与两侧附属房屋间不设防震缝时,应在同一标高处设置封闭圈梁并在交接处拉通,墙体交接处应沿墙高每隔400mm在水平灰缝内设置拉结钢筋网片,且每边伸入墙内不宜小于1m。
10.1.18 悬挑式挑台应有可靠的锚固和防止倾覆的措施。
10.1.19 山墙应沿屋面设置钢筋混凝土卧梁,并应与屋盖构件锚拉;山墙应设置钢筋混凝土柱或组合柱,其截面和配筋分别不宜小于排架柱或纵墙组合柱,并应通到山墙的顶端与卧梁连接。
10.1.20 舞台后墙,大厅与前厅交接处的高大山墙,应利用工作平台或楼层作为水平支撑。
10.2 大跨屋盖建筑
(Ⅰ)一般规定
10.2.1 本节适用于采用拱、平面桁架、立体桁架、网架、网壳、张弦梁、弦支穹顶等基本形式及其组合而成的大跨度钢屋盖建筑。
采用非常用形式以及跨度大于120m、结构单元长度大于300m或悬挑长度大于40m的大跨钢屋盖建筑的抗震设计,应进行专门研究和论证,采取有效的加强措施。
条文说明
10.2.1 近年来,大跨屋盖的建筑工程越来越广泛。为适应该类结构抗震设计的要求,本次修订增加了大跨屋盖建筑结构抗震设计的相关规定,并形成单独一节。
本条规定了本规范适用的屋盖结构范围及主要结构形式。本规范的大跨屋盖建筑是指与传统板式、梁板式屋盖结构相区别,具有更大跨越能力的屋盖体系,不应单从跨度大小的角度来理解大跨屋盖建筑结构。
大跨屋盖的结构形式多样,新形式也不断出现,本规范适用于一些常用结构形式,包括:拱、平面桁架、立体桁架、网架、网壳、张弦梁和弦支穹顶等七类基本形式以及由这些基本形式组合而成的结构。相应的,针对于这些屋盖结构形式的抗震研究开展较多,也积累了一定的抗震设计经验。
对于悬索结构、膜结构、索杆张力结构等柔性屋盖体系,由于几何非线性效应,其地震作用计算方法和抗震设计理论目前尚不成熟,本次修订暂不纳入。此外,大跨屋盖结构基本以钢结构为主,故本节也未对混凝土薄壳、组合网架、组合网壳等屋盖结构形式作出具体规定。
还需指出的是,对于存在拉索的预张拉屋盖结构,总体可分为三类:预应力结构,如预应力桁架、网架或网壳等;悬挂(斜拉)结构,如悬挂(斜拉)桁架、网架或网壳等;张弦结构,主要指张弦梁结构和弦支穹顶结构。本节中,预应力结构、悬挂(斜拉)结构归类在其依托的基本形式中。考虑到张弦结构的受力性能与常规预应力结构、悬挂(斜拉)结构有较大的区别,且是近些年发展起来的一类大跨屋盖结构新体系,因此将其作为基本形式列入。
大跨屋盖的结构新形式不断出现、体型复杂化、跨度极限不断突破,为保证结构的安全性,避免抗震性能差、受力很不合理的结构形式被采用,有必要对超出适用范围的大型建筑屋盖结构进行专门的抗震性能研究和论证,这也是国际上通常采用的技术保障措施。根据当前工程实践经验,对于跨度大于120m、结构单元长度大于300m或悬挑长度大于40m的屋盖结构,需要进行专门的抗震性能研究和论证。同时由于抗震设计经验的缺乏,新出现的屋盖结构形式也需要进行专门的研究和论证。
对于可开启屋盖,也属于非常用形式之一,其抗震设计除满足本节的规定外,与开闭功能有关的设计也需要另行研究和论证。
10.2.2 屋盖及其支承结构的选型和布置,应符合下列各项要求:
1 应能将屋盖的地震作用有效地传递到下部支承结构。
2 应具有合理的刚度和承载力分布,屋盖及其支承的布置宜均匀对称。
3 宜优先采用两个水平方向刚度均衡的空间传力体系。
4 结构布置宜避免因局部削弱或突变形成薄弱部位,产生过大的内力、变形集中。对于可能出现的薄弱部位,应采取措施提高其抗震能力。
5 宜采用轻型屋面系统。
6 下部支承结构应合理布置,避免使屋盖产生过大的地震扭转效应。
条文说明
10.2.2 本条规定为抗震概念设计的主要原则,是本规范第3.4节和第3.5节规定的补充。 大跨屋盖结构的选型和布置首先应保证屋盖的地震效应能够有效地通过支座节点传递给下部结构或基础,且传递途径合理。
屋盖结构的地震作用不仅与屋盖自身结构相关,而且还与支承条件以及下部结构的动力性能密切相关,是整体结构的反应。根据抗震概念设计的基本原则,屋盖结构及其支承点的布置宜均匀对称,具有合理的刚度和承载力分布。同时下部结构设计也应充分考虑屋盖结构地震响应的特点,避免采用很不规则的结构布置而造成屋盖结构产生过大的地震扭转效应。
屋盖自身的结构形式宜优先采用两个水平方向刚度均衡、整体刚度良好的网架、网壳、双向立体桁架、双向张弦梁或弦支穹顶等空间传力体系。同时宜避免局部削弱或突变的薄弱部位。对于可能出现的薄弱部位,应采取措施提高抗震能力。
10.2.3 屋盖体系的结构布置,尚应分别符合下列要求:
1 单向传力体系的结构布置,应符合下列规定:
1)主结构(桁架、拱、张弦梁)间应设置可靠的支撑,保证垂直于主结构方向的水平地震作用的有效传递;
2)当桁架支座采用下弦节点支承时,应在支座间设置纵向桁架或采取其他可靠措施,防止桁架在支座处发生平面外扭转。
2 空间传力体系的结构布置,应符合下列规定:
1)平面形状为矩形且三边支承一边开口的结构,其开口边应加强,保证足够的刚度。
2)两向正交正放网架、双向张弦梁,应沿周边支座设置封闭的水平支撑。
3)单层网壳应采用刚接节点。
注:单向传力体系指平面拱、单向平面桁架、单向立体桁架、单向张弦梁等结构形式;空间传力体系指网架、网壳、双向立体桁架、双向张弦梁和弦支穹顶等结构形式。
条文说明
10.2.3 本条针对屋盖体系自身传递地震作用的主要特点,对两类结构的布置要求作了规定。
1 单向传力体系的抗震薄弱环节是垂直于主结构(桁架、拱、张弦梁)方向的水平地震力传递以及主结构的平面外稳定性,设置可靠的屋盖支撑是重要的抗震措施。在单榀立体桁架中,与屋面支撑同层的两(多)根主弦杆间也应设置斜杆。这一方面可提高桁架的平面外刚度,同时也使得纵向水平地震内力在同层主弦杆中分布均匀,避免薄弱区域的出现。
当桁架支座采用下弦节点支承时,必须采取有效措施确保支座处桁架不发生平面外扭转,设置纵向桁架是一种有效的做法,同时还可保证纵向水平地震力的有效传递。
2 空间传力结构体系具有良好的整体性和空间受力特点,抗震性能优于单向传力体系。对于平面形状为矩形且三边支承一边开口的屋盖结构,可以通过在开口边局部增加层数来形成边桁架,以提高开口边的刚度和加强结构整体性。对于两向正交正放网架和双向张弦梁,屋盖平面内的水平刚度较弱。为保证结构的整体性及水平地震作用的有效传递与分配,应沿上弦周边网格设置封闭的水平支撑。当结构跨度较大或下弦周边支承时,下弦周边网格也应设置封闭的水平支撑。
10.2.4 当屋盖分区域采用不同的结构形式时,交界区域的杆件和节点应加强;也可设置防震缝,缝宽不宜小于150mm。
条文说明
10.2.4 当屋盖分区域采用不同抗震性能的结构形式时,在结构交界区域通常会产生复杂的地震响应,一般避免采用此类结构。如确要采用,应对交界区域的杆件和节点采用加强措施。如果建筑设计和下部支承条件允许,设置防震缝也是可采用的有效措施。此时,由于实际工程情况复杂,为避免其两侧结构在强烈地震中碰撞;条文规定的防震缝宽度可能不足,最好按设防烈度下两侧独立结构在交界线上的相对位移最大值来复核。对于规则结构,缝宽也可将多遇地震下的最大相对变形值乘以不小于3的放大系数近似估计。
10.2.5 屋面围护系统、吊顶及悬吊物等非结构构件应与结构可靠连接,其抗震措施应符合本规范第13章的有关规定。
(Ⅱ) 计算要点
10.2.6 下列屋盖结构可不进行地震作用计算,但应符合本节有关的抗震措施要求:
1 7度时,矢跨比小于1/5的单向平面桁架和单向立体桁架结构可不进行沿桁架的水平向以及竖向地震作用计算。
2 7度时,网架结构可不进行地震作用计算。
条文说明
10.2.6 本条规定屋盖结构可不进行地震作用计算的范围。
1 研究表明,单向平面桁架和单向立体桁架是否受沿桁架方向的水平地震效应控制主要取决于矢跨比的大小。对于矢跨比小于1/5的该类结构,水平地震效应较小,7度时可不进行沿桁架的水平向和竖向地震作用计算。但是由于垂直桁架方向的水平地震作用主要由屋盖支撑承担,本节并没有对支撑的布置进行详细规定,因此对于7度及7度以上的该类体系,均应进行垂直于桁架方向的水平地震作用计算并对支撑构件进行验算。
2 网架属于平板形屋盖结构。大量计算分析结果表明,当支承结构刚度较大时,网架结构以竖向振动为主。7度时,网架结构的设计往往由非地震作用工况控制,因此可不进行地震作用计算,但应满足相应的抗震措施的要求。
10.2.7 屋盖结构抗震分析的计算模型,应符合下列要求:
1 应合理确定计算模型,屋盖与主要支承部位的连接假定应与构造相符。
2 计算模型应计入屋盖结构与下部结构的协同作用。
3 单向传力体系支撑构件的地震作用,宜按屋盖结构整体模型计算。
4 张弦梁和弦支穹顶的地震作用计算模型,宜计入几何刚度的影响。
条文说明
10.2.7 本条规定抗震计算模型。 1 屋盖结构自身的地震效应是与下部结构协同工作的结果。由于下部结构的竖向刚度一般较大,以往在屋盖结构的竖向地震作用计算时通常习惯于仅单独以屋盖结构作为分析模型。但研究表明,不考虑屋盖结构与下部结构的协同工作,会对屋盖结构的地震作用,特别是水平地震作用计算产生显著影响,甚至得出错误结果。即便在竖向地震作用计算时,当下部结构给屋盖提供的竖向刚度较弱或分布不均匀时,仅按屋盖结构模型所计算的结果也会产生较大的误差。因此,考虑上下部结构的协同作用是屋盖结构地震作用计算的基本原则。
考虑上下部结构协同工作的最合理方法是按整体结构模型进行地震作用计算。因此对于不规则的结构,抗震计算应采用整体结构模型。当下部结构比较规则时,也可以采用一些简化方法(譬如等效为支座弹性约束)来计入下部结构的影响。但是,这种简化必须依据可靠且符合动力学原理。
2 研究表明,对于跨度较大的张弦梁和弦支穹顶结构,由预张力引起的非线性几何刚度对结构动力特性有一定的影响。此外,对于某些布索方案(譬如肋环型布索)的弦支穹顶结构,撑杆和下弦拉索系统实际上是需要依靠预张力来保证体系稳定性的几何可变体系,且不计入几何刚度也将导致结构总刚矩阵奇异。因此,这些形式的张弦结构计算模型就必须计入几何刚度。几何刚度一般可取重力荷载代表值作用下的结构平衡态的内力(包括预张力)贡献。
10.2.8 屋盖钢结构和下部支承结构协同分析时,阻尼比应符合下列规定:
1 当下部支承结构为钢结构或屋盖直接支承在地面时,阻尼比可取0.02。
2 当下部支承结构为混凝土结构时,阻尼比可取0.025~0.035。
条文说明
10.2.8 本条规定了整体、协同计算时的阻尼比取值。
屋盖钢结构和下部混凝土支承结构的阻尼比不同,协同分析时阻尼比取值方面的研究较少。工程设计中阻尼比取值大多在0.025~0.035间,具体数值一般认为与屋盖钢结构和下部混凝土支承结构的组成比例有关。下面根据位能等效原则提供两种计算整体结构阻尼比的方法,供设计中采用。
方法一:振型阻尼比法。振型阻尼比是指针对于各阶振型所定义的阻尼比。组合结构中,不同材料的能量耗散机理不同,因此相应构件的阻尼比也不相同,一般钢构件取0.02,混凝土构件取0.05。对于每一阶振型,不同构件单元对于振型阻尼比的贡献认为与单元变形能有关,变形能大的单元对该振型阻尼比的贡献较大,反之则较小。所以,可根据该阶振型下的单元变形能,采用加权平均的方法计算出振型阻尼比ζi: 
方法二:统一阻尼比法。依然采用方法一的公式,但并不针对各振型i分别计算单元变形能Wsi,而是取各单元在重力荷载代表值作用下的变形能Wsi,这样便求得对应于整体结构的一个阻尼比。
在罕遇地震作用下,一些实际工程的计算结果表明,屋盖钢结构也仅有少量构件能进入塑性屈服状态,所以阻尼比仍建议与多遇地震下的结构阻尼比取值相同。
10.2.9 屋盖结构的水平地震作用计算,应符合下列要求:
1 对于单向传力体系,可取主结构方向和垂直主结构方向分别计算水平地震作用。
2 对于空间传力体系,应至少取两个主轴方向同时计算水平地震作用;对于有两个以上主轴或质量、刚度明显不对称的屋盖结构,应增加水平地震作用的计算方向。
条文说明
10.2.9 本条规定水平地震作用的计算方向和宜考虑水平多向地震作用计算的范围。
不同于单向传力体系,空间传力体系的屋盖结构通常难以明确划分为沿某个方向的抗侧力构件,通常需要沿两个水平主轴方向同时计算水平地震作用。对于平面为圆形、正多边形的屋盖结构,可能存在两个以上的主轴方向,此时需要根据实际情况增加地震作用的计算方向。另外,当屋盖结构、支承条件或下部结构的布置明显不对称时,也应增加水平地震作用的计算方向。
10.2.10 一般情况,屋盖结构的多遇地震作用计算可采用振型分解反应谱法;体型复杂或跨度较大的结构,也可采用多向地震反应谱法或时程分析法进行补充计算。对于周边支承或周边支承和多点支承相结合、且规则的网架、平面桁架和立体桁架结构,其竖向地震作用可按本规范第5.3.2条规定进行简化计算。
条文说明
10.2.10 本条规定了屋盖结构地震作用计算的方法。
本节适用的大跨屋盖结构形式属于线性结构范畴,因此振型分解反应谱法依然可作为是结构弹性地震效应计算的基本方法。随着近年来结构动力学理论和计算技术的发展,一些更为精确的动力学计算方法逐步被接受和应用,包括多向地震反应谱法、时程分析法,甚至多向随机振动分析方法。对于结构动力响应复杂和跨度较大的结构,应该鼓励采用这些方法进行地震作用计算,以作为振型分解反应谱法的补充。
自振周期分布密集是大跨屋盖结构区别于多高层结构的重要特点。在采用振型分解反应谱法时,一般应考虑更多阶振型的组合。研究表明,在不按上下部结构整体模型进行计算时,网架结构的组合振型数宜至少取前(10~15)阶,网壳结构宜至少取前(25~30)阶。对于体型复杂的屋盖结构或按上下部结构整体模型计算时,应取更多阶组合振型。对于存在明显扭转效应的屋盖结构,组合应采用完全二次型方根(CQC)法。
10.2.11 屋盖结构构件的地震作用效应的组合应符合下列要求:
1 单向传力体系,主结构构件的验算可取主结构方向的水平地震效应和竖向地震效应的组合、主结构间支撑构件的验算可仅计入垂直于主结构方向的水平地震效应。
2 一般结构,应进行三向地震作用效应的组合。
条文说明
10.2.11 对于单向传力体系,结构的抗侧力构件通常是明确的。桁架构件抵抗其面内的水平地震作用和竖向地震作用,垂直桁架方向的水平地震作用则由屋盖支撑承担。因此,可针对各向抗侧力构件分别进行地震作用计算。
除单向传力体系外,一般屋盖结构的构件难以明确划分为沿某个方向的抗侧力构件,即构件的地震效应往往包含三向地震作用的结果,因此其构件验算应考虑三向(两个水平向和竖向)地震作用效应的组合,其组合值系数可按本规范第5章的规定采用。这也是基本原则。
10.2.12 大跨屋盖结构在重力荷载代表值和多遇竖向地震作用标准值下的组合挠度值不宜超过表10.2.12的限值。

条文说明
10.2.12 多遇地震作用下的屋盖结构变形限值部分参考了《空间网格结构技术规程》的相关规定。
10.2.13 屋盖构件截面抗震验算除应符合本规范第5.4节的有关规定外,尚应符合下列要求:
1 关键杆件的地震组合内力设计值应乘以增大系数;其取值,7、8、9度宜分别按1.1、1.15、1.2采用。
2 关键节点的地震作用效应组合设计值应乘以增大系数;其取值,7、8、9度宜分别按1.15、1.2、1.25采用。
3 预张拉结构中的拉索,在多遇地震作用下应不出现松弛。
注:对于空间传力体系,关键杆件指临支座杆件,即:临支座2个区(网)格内的弦、腹杆;临支座1/10跨度范围内的弦、腹杆,两者取较小的范围。对于单向传力体系,关键杆件指与支座直接相临节间的弦杆和腹杆。关键节点为与关键杆件连接的节点。
条文说明
10.2.13 本条规定屋盖构件及其连接的抗震验算。
大跨屋盖结构由于其自重轻、刚度好,所受震害一般要小于其他类型的结构。但震害情况也表明,支座及其邻近构件发生破坏的情况较多,因此通过放大地震作用效应来提高该区域杆件和节点的承载力,是重要的抗震措施。由于通常该区域的节点和杆件数量不多,对于总工程造价的增加是有限的。
拉索是预张拉结构的重要构件。在多遇地震作用下,应保证拉索不发生松弛而退出工作。在设防烈度下,也宜保证拉索在各地震作用参与的工况组合下不出现松弛。
(Ⅲ)抗震构造措施
10.2.14 屋盖钢杆件的长细比,宜符合表10.2.14的规定:

条文说明
10.2.14 本条规定了杆件的长细比限值。
杆件长细比限值参考了《钢结构设计规范》GB 50017和《空间网格结构技术规程》的相关规定,并作了适当加强。
10.2.15 屋盖构件节点的抗震构造,应符合下列要求:
1 采用节点板连接各杆件时,节点板的厚度不宜小于连接杆件最大壁厚的1.2倍。
2 采用相贯节点时,应将内力较大方向的杆件直通。直通杆件的壁厚不应小于焊于其上各杆件的壁厚。
3 采用焊接球节点时,球体的壁厚不应小于相连杆件最大壁厚的1.3倍。
4 杆件宜相交于节点中心。
条文说明
10.2.15 本条规定了节点的构造要求。
节点选型要与屋盖结构的类型及整体刚度等因素结合起来,采用的节点要便于加工、制作、焊接。设计中,结构杆件内力的正确计算,必须用有效的构造措施来保证,其中节点构造应符合计算假定。
在地震作用下,节点应不先于杆件破坏,也不产生不可恢复的变形,所以要求节点具有足够的强度和刚度。杆件相交于节点中心将不产生附加弯矩,也使模型计算假定更加符合实际情况。
10.2.16 支座的抗震构造应符合下列要求:
1 应具有足够的强度和刚度,在荷载作用下不应先于杆件和其他节点破坏,也不得产生不可忽略的变形。支座节点构造形式应传力可靠、连接简单,并符合计算假定。
2 对于水平可滑动的支座,应保证屋盖在罕遇地震下的滑移不超出支承面,并应采取限位措施。
3 8、9度时,多遇地震下只承受竖向压力的支座,宜采用拉压型构造。
条文说明
10.2.16 本条规定了屋盖支座的抗震构造。
支座节点是屋盖地震作用传递给下部结构的关键部件,其构造应与结构分析所取的边界条件相符,否则将使结构实际内力与计算内力出现较大差异,并可能危及结构的整体安全。
支座节点往往是地震破坏的部位,属于前面定义的关键节点的范畴,应予加强。在节点验算方面,对地震作用效应进行了必要的提高(第10.2.13条)。此外根据延性设计的要求,支座节点在超过设防烈度的地震作用下,应有一定的抗变形能力。但对于水平可滑动的支座节点,较难得到保证。因此建议按设防烈度计算值作为可滑动支座的位移限值(确定支承面的大小),在罕遇地震作用下采用限位措施确保不致滑移出支承面。
对于8、9度时多遇地震下竖向仅受压的支座节点,考虑到在强烈地震作用(如中震、大震)下可能出现受拉,因此建议采用构造上也能承受拉力的拉压型支座形式,且预埋锚筋、锚栓也按受拉情况进行构造配置。
10.2.17 屋盖结构采用隔震及减震支座时,其性能参数、耐久性及相关构造应符合本规范第12章的有关规。
11 土、木、石结构房屋
11.1 一般规定
条文说明
本节是在2001规范基础上增加的内容。主要依据云南丽江、普洱、大姚地震,新疆巴楚、伽师地震,河北张北地震,内蒙古西乌旗地震,江西九江-瑞昌地震,浙江文成地震,四川道孚、汶川等地震灾区房屋震害调查资料,对土木石房屋具有共性的震害问题进行了总结,在此基础上提出了本节的有关规定。本章其他条款也据此做了部分改动与细化。
11.1.1 土、木、石结构房屋的建筑、结构布置应符合下列要求:
1 房屋的平面布置应避免拐角或突出。
2 纵横向承重墙的布置宜均匀对称,在平面内宜对齐,沿竖向应上下连续;在同一轴线上,窗间墙的宽度宜均匀。
3 多层房屋的楼层不应错层,不应采用板式单边悬挑楼梯。
4 不应在同一高度内采用不同材料的承重构件。
5 屋檐外挑梁上不得砌筑砌体。
条文说明
11.1.1 形状比较简单、规则的房屋,在地震作用下受力明确、简洁,同时便于进行结构分析,在设计上易于处理。震害经验也充分表明,简单、规整的房屋在遭遇地震时破坏也相对较轻。
墙体均匀、对称布置,在平面内对齐、竖向连续是传递地震作用的要求,这样沿主轴方向的地震作用能够均匀对称地分配到各个抗侧力墙段,避免出现应力集中或因扭转造成部分墙段受力过大而破坏、倒塌。我国不少地区的二、三层房屋,外纵墙在一、二层上下不连续,即二层外纵墙外挑,在7度地震影响下二层墙体开裂严重。
板式单边悬挑楼梯在墙体开裂后会因嵌固端破坏而失去承载能力,容易造成人员跌落伤亡。
震害调查发现,有的房屋纵横墙采用不同材料砌筑,如纵墙用砖砌筑、横墙和山墙用土坯砌筑,这类房屋由于两种材料砌块的规格不同,砖与土坯之间不能咬槎砌筑,不同材料墙体之间为通缝,导致房屋整体性差,在地震中破坏严重;又如有些地区采用的外砖里坯(亦称里生外熟)承重墙,地震中墙体倒塌现象较为普遍。这里所说的不同墙体混合承重,是指同一高度左右相邻不同材料的墙体,对于下部采用砖(石)墙,上部采用土坯墙,或下部采用石墙,上部采用砖或土坯墙的做法则不受此限制,但这类房屋的抗震承载力应按上部相对较弱的墙体考虑。
调查发现,一些村镇房屋设有较宽的外挑檐,在屋檐外挑梁的上面砌筑用于搁置檩条的小段墙体,甚至砌成花格状,没有任何拉接措施,地震时中容易破坏掉落伤人,因此明确规定不得采用。该位置可采用三角形小屋架或设瓜柱解决外挑部位檩条的支承问题。
11.1.2 木楼、屋盖房屋应在下列部位采取拉结措施:
1 两端开间屋架和中间隔开间屋架应设置竖向剪刀撑;
2 在屋檐高度处应设置纵向通长水平系杆,系杆应采用墙揽与各道横墙连接或与木梁、屋架下弦连接牢固;纵向水平系杆端部宜采用木夹板对接,墙揽可采用方木、角铁等材料;
3 山墙、山尖墙应采用墙揽与木屋架、木构架或檩条拉结;
4 内隔墙墙顶应与梁或屋架下弦拉结。
条文说明
11.1.2 木楼、屋盖房屋刚性较弱,加强木楼、屋盖的整体性可以有效地提高房屋的抗震性能,各构件之间的拉结是加强整体性的重要措施。试验研究表明,木屋盖加设竖向剪刀撑可增强木屋架纵向稳定性。
纵向通长水平系杆主要用于竖向剪刀撑、横墙、山墙的拉结。
采用墙揽将山墙与屋盖构件拉结牢固,可防止山墙外闪破坏;内隔墙稳定性差,墙顶与梁或屋架下弦拉结是防止其平面外失稳倒塌的有效措施。
11.1.3 木楼、屋盖构件的支承长度应不小于表11.1.3的规定:

条文说明
11.1.3 本条规定了木楼、屋盖构件在屋架和墙上的最小支承长度和对应的连接方式。
11.1.4 门窗洞口过梁的支承长度,6~8度时不应小于240mm,9度时不应小于360mm。
条文说明
11.1.4 本条规定了门窗洞口过梁的支承长度。
11.1.5 当采用冷摊瓦屋面时,底瓦的弧边两角宜设置钉孔,可采用铁钉与椽条钉牢;盖瓦与底瓦宜采用石灰或水泥砂浆压垄等做法与底瓦粘结牢固。
条文说明
11.1.5 地震中坡屋面溜瓦是瓦屋面常见的破坏现象,冷摊瓦屋面的底瓦浮搁在椽条上时更容易发生溜瓦,掉落伤人。因此,本条要求冷摊瓦屋面的底瓦与椽条应有锚固措施。根据地震现场调查情况,建议在底瓦的弧边两角设置钉孔,采用铁钉与椽条钉牢。盖瓦可用石灰或水泥砂浆压垄等做法与底瓦粘结牢固。该项措施还可以防止暴风对冷摊瓦屋面造成的破坏。四川汶川地震灾区恢复重建中已有平瓦预留了锚固钉孔。
11.1.6 土木石房屋突出屋面的烟囱、女儿墙等易倒塌构件的出屋面高度,6、7度时不应大于600mm;8度(0.20g)时不应大于500mm;8度(0.30g)和9度时不应大于400mm。并应采取拉结措施。
注:坡屋面上的烟囱高度由烟囱的根部上沿算起。
条文说明
11.1.6 本条对突出屋面的烟囱、女儿墙等易倒塌构件的出屋面高度提出了限值。
11.1.7 土木石房屋的结构材料应符合下列要求:
1 木构件应选用干燥、纹理直、节疤少、无腐朽的木材。
2 生土墙体土料应选用杂质少的黏性土。
3 石材应质地坚实,无风化、剥落和裂纹。
条文说明
11.1.7 本条对土木石房屋的结构材料提出了基本要求。
11.1.8 土木石房屋的施工应符合下列要求:
1 HPB300钢筋端头应设置180°弯钩。
2 外露铁件应做防锈处理。
条文说明
11.1.8 本条对土木石房屋施工中钢筋端头弯钩和外露铁件防锈处理提出要求。
11.2 生土房屋
11.2.1 本节适用于6度、7度(0.10g)未经焙烧的土坯、灰土和夯土承重墙体的房屋及土窑洞、土拱房。
注:1 灰土墙指掺石灰(或其他粘结材料)的土筑墙和掺石灰土坯墙;
2 土窑洞指未经扰动的原土中开挖而成的崖窑。
条文说明
11.2.1 本次修订,根据生土房屋在不同地震烈度下的震害情况,将本节生土房屋的适用范围较2001规范降低一度。
11.2.2 生土房屋的高度和承重横墙墙间距应符合下列要求:
1 生土房屋宜建单层,灰土墙房屋可建二层,但总高度不应超过6m。
2 单层生土房屋的檐口高度不宜大于2.5m。
3 单层生土房屋的承重横墙间距不宜大于3.2m。
4 窑洞净跨不宜大于2.5m。
条文说明
11.2.2 生土房屋的层数,因其抗震能力有限,一般仅限于单层;本次修订,生土房屋的高度和开间尺寸限制保持不变。
灰土墙指掺有石灰的土坯砌筑或灰土夯筑而成的墙体,其承载力明显高于土墙。1970年云南通海地震,7、8度区两层及两层以下的土墙房屋仅轻微损坏。1918年广东南澳大地震,汕头为8度,一些由贝壳煅烧的白灰夯筑的2、3层灰土承重房屋,包括医院和办公楼,受到轻微损坏,修复后继续使用。因此,灰土墙承重房屋采取适当的措施后,7度设防时可建二层房屋。
11.2.3 生土房屋的屋盖应符合下列要求:
1 应采用轻屋面材料。
2 硬山搁檩房屋宜采用双坡屋面或弧形屋面,檩条支承处应设垫木;端檩应出檐,内墙上檩条应满搭或采用夹板对接和燕尾榫加扒钉连接。
3 木屋盖各构件应采用圆钉、扒钉、钢丝等相互连接。
4 木屋架、木梁在外墙上宜满搭,支承处应设置木圈梁或木垫板;木垫板的长度、宽度和厚度分别不宜小于500mm、370mm和60mm;木垫板下应铺设砂浆垫层或黏土石灰浆垫层。
条文说明
11.2.3 生土房屋的屋面采用轻质材料,可减轻地震作用;提倡用双坡和弧形屋面,可降低山墙高度,增加其稳定性;单坡屋面的后纵墙过高,稳定性差,平屋面防水有问题,不宜采用。
由于土墙抗压强度低,支承屋面构件部位均应有垫板或圈梁。檩条要满搭在墙上或椽子上,端檩要出檐,以使外墙受荷均匀,增加接触面积。
11.2.4 生土房屋的承重墙体应符合下列要求:
1 承重墙体门窗洞口的宽度,6、7度时不应大于1.5m。
2 门窗洞口宜采用木过梁;当过梁由多根木杆组成时,宜采用木板、扒钉、铅丝等将各根木杆连接成整体。
3 内外墙体应同时分层交错夯筑或咬砌。外墙四角和内外墙交接处,应沿墙高每隔500mm左右放置一层竹筋、木条、荆条等编织的拉结网片,每边伸入墙体应不小于1000mm或至门窗洞边,拉结网片在相交处应绑扎;或采取其他加强整体性的措施。
条文说明
11.2.4 抗震墙上开洞过大会削弱墙体抗震能力,因此对门窗洞口宽度进行限制。
当一个洞口采用多根木杆组成过梁时,在木杆上表面采用木板、扒钉、钢丝等将各根木杆连接成整体可避免地震时局部破坏塌落。
生土墙在纵横墙交接处沿高度每隔500mm左右设一层荆条、竹片、树条等拉结网片,可以加强转角处和内外墙交接处墙体的连接,约束该部位墙体,提高墙体的整体性,减轻地震时的破坏。震害表明,较细的多根荆条、竹片编制的网片,比较粗的几根竹竿或木杆的拉结效果好。原因是网片与墙体的接触面积大,握裹好。
11.2.5 各类生土房屋的地基应夯实,应采用毛石、片石、凿开的卵石或普通砖基础,基础墙应采用混合砂浆或水泥砂浆砌筑。外墙宜做墙裙防潮处理(墙脚宜设防潮层)。
条文说明
11.2.5 调查表明,村镇房屋墙体非地震作用开裂现象普遍,主要原因是不重视地基处理和基础的砌筑质量,导致地基不均匀沉降使墙体开裂。因此,本条要求对房屋的地基应夯实,并对基础的材料和砌筑砂浆提出了相应要求。设置防潮层以防止生土墙体酥落。
11.2.6 土坯宜采用黏性土湿法成型并宜掺入草苇等拉结材料;土坯应卧砌并宜采用黏土浆或黏土石灰浆砌筑。
条文说明
11.2.6 土坯的土质和成型方法,决定了土坯质量的好坏并最终决定土墙的强度,应予以重视。
11.2.7 灰土墙房屋应每层设置圈梁,并在横墙上拉通;内纵墙顶面宜在山尖墙两侧增砌踏步式墙垛。
条文说明
11.2.7 为加强灰土墙房屋的整体性,要求设置圈梁。圈梁可用配筋砖带或木圈梁。
11.2.8 土拱房应多跨连接布置,各拱脚均应支承在稳固的崖体上或支承在人工土墙上;拱圈厚度宜为300mm~400mm,应支模砌筑,不应后倾贴砌;外侧支承墙和拱圈上不应布置门窗。
条文说明
11.2.8 提高土拱房的抗震性能,主要是拱脚的稳定、拱圈的牢固和整体性。若一侧为崖体一侧为人工土墙,会因软硬不同导致破坏。
11.2.9 土窑洞应避开易产生滑坡、山崩的地段;开挖窑洞的崖体应土质密实、土体稳定、坡度较平缓、无明显的竖向节理;崖窑前不宜接砌土坯或其他材料的前脸;不宜开挖层窑,否则应保持足够的间距,且上、下不宜对齐。
条文说明
11.2.9 土窑洞有一定的抗震能力,在宏观震害调查时看到,土体稳定、土质密实、坡度较平缓的土窑洞在7度区有较完好的例子。因此,对土窑洞来说,首先要选择良好的建筑场地,应避开易产生滑坡、崩塌的地段。
崖窑前不要接砌土坯或其他材料的前脸,否则前脸部分将极易遭到破坏。
有些地区习惯开挖层窑,一般来说比较危险,如需要时应注意间隔足够的距离,避免一旦土体破坏时发生连锁反应,造成大面积坍塌。
11.3 木结构房屋
11.3.1 本节适用于6~9度的穿斗木构架、木柱木屋架和木柱木梁等房屋。
条文说明
11.3.1 本节所规定的木结构房屋,不适用于木柱与屋架(梁)铰接的房屋。因其柱子上、下端均为铰接,是不稳定的结构体系。
11.3.2 木结构房屋不应采用木柱与砖柱或砖墙等混合承重;山墙应设置端屋架(木梁),不得采用硬山搁檩。
条文说明
11.3.2 木柱与砖柱或砖墙在力学性能上是完全不同的材料,木柱属于柔性材料,变形能力强,砖柱或砖墙属于脆性材料,变形能力差。若两者混用,在水平地震作用下变形不协调,将使房屋产生严重破坏。
震害表明,无端屋架山墙往往容易在地震中破坏,导致端开间塌落,故要求设置端屋架(木梁),不得采用硬山搁檩做法。
11.3.3 木结构房屋的高度应符合下列要求:
1 木柱木屋架和穿斗木构架房屋,6~8度时不宜超过二层,总高度不宜超过6m;9度时宜建单层,高度不应超过3.3m。
2 木柱木梁房屋宜建单层,高度不宜超过3m。
条文说明
11.3.3 由于结构构造的不同,各种木结构房屋的抗震性能也有一定的差异。其中穿斗木构架和木柱木屋架房屋结构性能较好,通常采用重量较轻的瓦屋面,具有结构重量轻、延性与整体性较好的优点,其抗震性能比木柱木梁房屋要好,6~8度可建造两层房屋。
木柱木梁房屋一般为重量较大的平屋盖泥被屋顶,通常为粗梁细柱,梁、柱之间连接简单,从震害调查结果看,其抗震性能低于穿斗木构架和木柱木屋架房屋,一般仅建单层房屋。
11.3.4 礼堂、剧院、粮仓等较大跨度的空旷房屋,宜采用四柱落地的三跨木排架。
条文说明
11.3.4 四柱三跨木排架指的是中间有一个较大的主跨,两侧各有一个较小边跨的结构,是大跨空旷木柱房屋较为经济合理的方案。
震害表明,15m~18m宽的木柱房屋,若仅用单跨,破坏严重,甚至倒塌;而采用四柱三跨的结构形式,甚至出现地裂缝,主跨也安然无恙。
11.3.5 木屋架屋盖的支撑布置,应符合本规范第9.3节有关规定的要求,但房屋两端的屋架支撑,应设置在端开间。
条文说明
11.3.5 木结构房屋无承重山墙,故本规范第9.3节规定的房屋两端第二开间设置屋盖支撑的要求需向外移到端开间。
11.3.6 木柱木屋架和木柱木梁房屋应在木柱与屋架(或梁)间设置斜撑;横隔墙较多的居住房屋应在非抗震隔墙内设斜撑;斜撑宜采用木夹板,并应通到屋架的上弦。
11.3.7 穿斗木构架房屋的横向和纵向均应在木柱的上、下柱端和楼层下部设置穿枋,并应在每一纵向柱列间设置1~2道剪刀撑或斜撑。
11.3.8 木结构房屋的构件连接,应符合下列要求:
1 柱顶应有暗榫插入屋架下弦,并用U形铁件连接;8、9度时,柱脚应采用铁件或其他措施与基础锚固。柱础埋入地面以下的深度不应小于200mm。
2 斜撑和屋盖支撑结构,均应采用螺栓与主体构件相连接;除穿斗木构件外,其他木构件宜采用螺栓连接。
3 椽与檩的搭接处应满钉,以增强屋盖的整体性。木构架中,宜在柱檐口以上沿房屋纵向设置竖向剪刀撑等措施,以增强纵向稳定性。
条文说明
11.3.6~11.3.8 木柱与屋架(梁)设置斜撑,目的是控制横向侧移和加强整体性,穿斗木构架房屋整体性较好,有相当的抗倒力和变形能力,故可不必采用斜撑来限制侧移,但平面外的稳定性还需采用纵向支撑来加强。
震害表明,木柱与木屋架的斜撑若用夹板形式,通过螺栓与屋架下弦节点和上弦处紧密连接,则基本完好,而斜撑连接于下弦任意部位时,往往倒塌或严重破坏。
为保证排架的稳定性,加强柱脚和基础的锚固是十分必要的,可采用拉结铁件和螺栓连接的方式,或有石销键的柱础,也可对柱脚采取防腐处理后埋入地面以下。
11.3.9 木构件应符合下列要求:
1 木柱的梢径不宜小于150mm;应避免在柱的同一高度处纵横向同时开槽,且在柱的同一截面开槽面积不应超过截面总面积的1/2。
2 柱子不能有接头。
3 穿枋应贯通木构架各柱。
条文说明
11.3.9 本条对木构件截面尺寸、开榫、接头等的构造提出了要求。
11.3.10 围护墙应符合下列要求:
1 围护墙与木柱的拉结应符合下列要求:
1)沿墙高每隔500mm左右,应采用8号钢丝将墙体内的水平拉结筋或拉结网片与木柱拉结;
2)配筋砖圈梁、配筋砂浆带与木柱应采用Φ6钢筋或8号钢丝拉结。
2 土坯砌筑的围护墙,洞口宽度应符合本规范第11.2节的要求。砖等砌筑的围护墙,横墙和内纵墙上的洞口宽度不宜大于1.5m,外纵墙上的洞口宽度不宜大于1.8m或开间尺寸的一半。
3 土坯、砖等砌筑的围护墙不应将木柱完全包裹,应贴砌在木柱外侧。
条文说明
11.3.10 震害表明,木结构围护墙是非常容易破坏和倒塌的构件。木构架和砌体围护墙的质量、刚度有明显差异,自振特性不同,在地震作用下变形性能和产生的位移不一致,木构件的变形能力大于砌体围护墙,连接不牢时两者不能共同工作,甚至会相互碰撞,引起墙体开裂、错位,严重时倒塌。本条的目的是尽可能使围护墙在采取适当措施后不倒塌,以减轻人员伤亡和地震损失。
1 沿墙高每隔500mm采用8号钢丝将墙体内的水平拉结筋或拉结网片与木柱拉结,配筋砖圈梁、配筋砂浆带等与木柱采用ф6钢筋或8号钢丝拉结,可以使木构架与围护墙协同工作,避免两者相互碰撞破坏。振动台试验表明,在较强地震作用下即使墙体因抗剪承载力不足而开裂,在与木柱有可靠拉结的情况下也不致倒塌。
2 对土坯、砖等砌筑的围护墙洞口的宽度提出了限制。
3 完全包裹在土坯、砖等砌筑的围护墙中的木柱不通风,较易腐蚀,且难于检查木柱的变质情况。
11.4 石结构房屋
11.4.1 本节适用于6~8度,砂浆砌筑的料石砌体(包括有垫片或无垫片)承重的房屋。
11.4.2 多层石砌体房屋的总高度和层数不应超过表11.4.2的规定。

条文说明
11.4.1、11.4.2 多层石房震害经验不多,唐山地区多数是二层,少数三、四层,而昭通地区大部分是二、三层,仅泉州石结构古塔高达48.24m,经过1604年8级地震(泉州烈度为8度)的考验至今犹存。
多层石房高度限值相对于砖房是较小的,这是考虑到石块加工不平整,性能差别很大,且目前石结构的地震经验还不足。2008年局部修订将总高度和层数限值由“不宜”,改为“不应”,要求更加严格了。
11.4.3 多层石砌体房屋的层高不宜超过3m。
11.4.4 多层石砌体房屋的抗震横墙间距,不应超过表11.4.4的规定。

11.4.5 多层石砌体房屋,宜采用现浇或装配整体式钢筋混凝土楼、屋盖。
11.4.6 石墙的截面抗震验算,可参照本规范第7.2节;其抗剪强度应根据试验数据确定。
条文说明
11.4.6 从宏观震害和试验情况来看,石墙体的破坏特征和砖结构相近,石墙体的抗剪承载力验算可与多层砌体结构采用同样的方法。但其承载力设计值应由试验确定。
11.4.7 多层石砌体房屋应在外墙四角、楼梯间四角和每开间的内外墙交接处设置钢筋混凝土构造柱。
条文说明
11.4.7 石结构房屋的构造柱设置要求,系参照89规范混凝土中型砌块房屋对芯柱的设置要求规定的,而构造柱的配筋构造等要求,需参照多层黏土砖房的规定。
11.4.8 抗震横墙洞口的水平截面面积,不应大于全截面面积的1/3。
条文说明
11.4.8 洞口是石墙体的薄弱环节,因此需对其洞口的面积加以限制。
11.4.9 每层的纵横墙均应设置圈梁,其截面高度不应小于120mm,宽度宜与墙厚相同,纵向钢筋不应小于4Φ10,箍筋间距不宜大于200mm。
条文说明
11.4.9 多层石房每层设置钢筋混凝土圈梁,能够提高其抗震能力,减轻震害,例如,唐山地震中,10度区有5栋设置了圈梁的二层石房,震后基本完好,或仅轻微破坏。
与多层砖房相比,石墙体房屋圈梁的截面加大,配筋略有增加,因为石墙材料重量较大。在每开间及每道墙上,均设置现浇圈梁是为了加强墙体间的连接和整体性。字
11.4.10 无构造柱的纵横墙交接处,应采用条石无垫片砌筑,且应沿墙高每隔500mm设置拉结钢筋网片,每边每侧伸入墙内不宜小于1m。
条文说明
11.4.10 石墙在交接处用条石无垫片砌筑,并设置拉结钢筋网片,是根据石墙材料的特点,为加强房屋整体性而采取的措施。
11.4.11 不应采用石板作为承重构件。
条文说明
11.4.11 本条为新增条文。石板多有节理缺陷,在建房过程中常因堆载断裂造成人员伤亡事故。因此,明确不得采用对抗震不利的料石作为承重构件。
11.4.12 其他有关抗震构造措施要求,参照本规范第7章的相关规定。
12 隔震和消能减震设计
12.1 一般规定
12.1.1 本章适用于设置隔震层以隔离水平地震动的房屋隔震设计,以及设置消能部件吸收与消耗地震能量的房屋消能减震设计。
采用隔震和消能减震设计的建筑结构,应符合本规范第3.8.1条的规定,其抗震设防目标应符合本规范第3.8.2条的规定。
注:1 本章隔震设计指在房屋基础、底部或下部结构与上部结构之间设置由橡胶隔震支座和阻尼装置等部件组成具有整体复位功能的隔震层,以延长整个结构体系的自振周期,减少输入上部结构的水平地震作用,达到预期防震要求。
2 消能减震设计指在房屋结构中设置消能器,通过消能器的相对变形和相对速度提供附加阻尼,以消耗输入结构的地震能量,达到预期防震减震要求。
条文说明
12.1.1 隔震和消能减震是建筑结构减轻地震灾害的有效技术。
隔震体系通过延长结构的自振周期能够减少结构的水平地震作用,已被国外强震记录所证实。国内外的大量试验和工程经验表明:隔震一般可使结构的水平地震加速度反应降低60%左右,从而消除或有效地减轻结构和非结构的地震损坏,提高建筑物及其内部设施和人员的地震安全性,增加了震后建筑物继续使用的功能。
采用消能减震的方案,通过消能器增加结构阻尼来减少结构在风作用下的位移是公认的事实,对减少结构水平和竖向的地震反应也是有效的。
适应我国经济发展的需要,有条件地利用隔震和消能减震来减轻建筑结构的地震灾害,是完全可能的。本章主要吸收国内外研究成果中较成熟的内容,目前仅列入橡胶隔震支座的隔震技术和关于消能减震设计的基本要求。
2001规范隔震层位置仅限于基础与上部结构之间,本次修订,隔震设计的适用范围有所扩大,考虑国内外已有隔震建筑的隔震层不仅是设置在基础上,而且设置在一层柱顶等下部结构或多塔楼的底盘上。
12.1.2 建筑结构隔震设计和消能减震设计确定设计方案时,除应符合本规范第3.5.1条的规定外,尚应与采用抗震设计的方案进行对比分析。
条文说明
12.1.2 隔震技术和消能减震技术的主要使用范围,是可增加投资来提高抗震安全的建筑。进行方案比较时,需对建筑的抗震设防分类、抗震设防烈度、场地条件、使用功能及建筑、结构的方案,从安全和经济两方面进行综合分析对比。
考虑到随着技术的发展,隔震和消能减震设计的方案分析不需要特别的论证,本次修订不作为强制性条文,只保留其与本规范第3.5.1条关于抗震设计的规定不同的特点——与抗震设计方案进行对比,这是确定隔震设计的水平向减震系数和减震设计的阻尼比所需要的,也能显示出隔震和减震设计比抗震设计在提高结构抗震能力上的优势。
12.1.3 建筑结构采用隔震设计时应符合下列各项要求:
1 结构高宽比宜小于4,且不应大于相关规范规程对非隔震结构的具体规定,其变形特征接近剪切变形,最大高度应满足本规范非隔震结构的要求;高宽比大于4或非隔震结构相关规定的结构采用隔震设计时,应进行专门研究。
2 建筑场地宜为Ⅰ、Ⅱ、Ⅲ类,并应选用稳定性较好的基础类型。
3 风荷载和其他非地震作用的水平荷载标准值产生的总水平力不宜超过结构总重力的10%。
4 隔震层应提供必要的竖向承载力、侧向刚度和阻尼;穿过隔震层的设备配管、配线,应采用柔性连接或其他有效措施以适应隔震层的罕遇地震水平位移。
条文说明
12.1.3 本次修订,对隔震设计的结构类型不作限制,修改2001版规定的基本周期小于1s和采用底部剪力法进行非隔震设计的结构。在隔震设计的方案比较和选择时仍应注意:
1 隔震技术对低层和多层建筑比较合适,日本和美国的经验表明,不隔震时基本周期小于1.0s的建筑结构效果最佳;建筑结构基本周期的估计,普通的砌体房屋可取0.4s,钢筋混凝土框架取T1=0.075H3/4,钢筋混凝土抗震墙结构取T1=0.05H3/4。但是,不应仅限于基本自振周期在1s内的结构,因为超过1s的结构采用隔震技术有可能同样有效,国外大量隔震建筑也验证了此点,故取消了2001规范要求结构周期小于1s的限制。
2 根据橡胶隔震支座抗拉屈服强度低的特点,需限制非地震作用的水平荷载,结构的变形特点需符合剪切变形为主且房屋高宽比小于4或有关规范、规程对非隔震结构的高宽比限制要求。现行规范、规程有关非隔震结构高宽比的规定如下:
高宽比大于4的结构小震下基础不应出现拉应力;砌体结构,6、7度不大于2.5,8度不大于2.0,9度不大于1.5;混凝土框架结构,6、7度不大于4,8度不大于3,9度不大于2;混凝土抗震墙结构,6、7度不大于6,8度不大于5,9度不大于4。
对高宽比大的结构,需进行整体倾覆验算,防止支座压屈或出现拉应力超过1MPa。
3 国外对隔震工程的许多考察发现:硬土场地较适合于隔震房屋;软弱场地滤掉了地震波的中高频分量,延长结构的周期将增大而不是减小其地震反应,墨西哥地震就是一个典型的例子。2001规范的要求仍然保留,当在Ⅳ类场地建造隔震房屋时,应进行专门研究和专项审查。
4 隔震层防火措施和穿越隔震层的配管、配线,有与隔震要求相关的专门要求。2008年汶川地震中,位于7、8度区的隔震建筑,上部结构完好,但隔震层的管线受损,故需要特别注意改进。
12.1.4 消能减震设计可用于钢、钢筋混凝土、钢-混凝土混合等结构类型的房屋。
消能部件应对结构提供足够的附加阻尼,尚应根据其结构类型分别符合本规范相应章节的设计要求。
条文说明
12.1.4 消能减震房屋最基本的特点是: 1 消能装置可同时减少结构的水平和竖向的地震作用,适用范围较广,结构类型和高度均不受限制;
2 消能装置使结构具有足够的附加阻尼,可满足罕遇地震下预期的结构位移要求;
3 由于消能装置不改变结构的基本形式,除消能部件和相关部件外的结构设计仍可按本规范各章对相应结构类型的要求执行。这样,消能减震房屋的抗震构造,与普通房屋相比不降低,其抗震安全性可有明显的提高。
12.1.5 隔震和消能减震设计时,隔震装置和消能部件应符合下列要求:
1 隔震装置和消能部件的性能参数应经试验确定。
2 隔震装置和消能部件的设置部位,应采取便于检查和替换的措施。
3 设计文件上应注明对隔震装置和消能部件的性能要求,安装前应按规定进行检测,确保性能符合要求。 ( 自2022年1月1日起废止该条,详见新规 《建筑与市政工程抗震通用规范》GB 55002-2021)
条文说明
12.1.5 隔震支座、阻尼器和消能减震部件在长期使用过程中需要检查和维护。因此,其安装位置应便于维护人员接近和操作。 为了确保隔震和消能减震的效果,隔震支座、阻尼器和消能减震部件的性能参数应严格检验。
按照国家产品标准《橡胶支座 第3部分:建筑隔震橡胶支座》GB 20688.3-2006的规定,橡胶支座产品在安装前应对工程中所用的各种类型和规格的原型部件进行抽样检验,其要求是:
采用随机抽样方式确定检测试件。若有一件抽样的一项性能不合格,则该次抽样检验不合格。
对一般建筑,每种规格的产品抽样数量应不少于总数的20%;若有不合格,应重新抽取总数的30%,若仍有不合格,则应100%检测。
一般情况下,每项工程抽样总数不少于20件,每种规格的产品抽样数量不少于4件。
尚没有国家标准和行业标准的消能部件中的消能器,应采用本章第12.3节规定的方法进行检验。对黏滞流体消能器等可重复利用的消能器,抽检数量适当增多,抽检的消能器可用于主体结构;对金属屈服位移相关型消能器等不可重复利用的消能器,在同一类型中抽检数量不少于2个,抽检合格率为100%,抽检后不能用于主体结构。
型式检验和出厂检验应由第三方完成。
12.1.6 建筑结构的隔震设计和消能减震设计, 尚应符合相关专门标准的规定;也 可按抗震性能目标的要求进行性能化设计 ,当设防目标高于本标准第1.0.1条的基本设防目标时,尚应符合相关专门标准的规定。
条文说明
12.1.6 本条明确提出,可采用隔震、减震技术进行结构的抗震性能化设计。此时,本章的规定应依据性能化目标加以调整。
12.2 房屋隔震设计要点
12.2.1 隔震设计应根据预期的竖向承载力、水平向减震系数和位移控制要求,选择适当的隔震装置及抗风装置组成结构的隔震层。
隔震支座应进行竖向承载力的验算和罕遇地震下水平位移的验算。
隔震层以上结构的水平地震作用应根据水平向减震系数确定;其竖向地震作用标准值,8度(0.20g)、8度(0.30g)和9度时分别不应小于隔震层以上结构总重力荷载代表值的20%、30%和40%。 ( 自2022年1月1日起废止该条,详见新规 《建筑与市政工程抗震通用规范》GB 55002-2021)
条文说明
12.2.1 本规范对隔震的基本要求是:通过隔震层的大变形来减少其上部结构的地震作用,从而减少地震破坏。隔震设计需解决的主要问题是:隔震层位置的确定,隔震垫的数量、规格和布置,隔震层在罕遇地震下的承载力和变形控制,隔震层不隔离竖向地震作用的影响,上部结构的水平向减震系数及其与隔震层的连接构造等。
隔震层的位置通常位于第一层以下。当位于第一层及以上时,隔震体系的特点与普通隔震结构可有较大差异,隔震层以下的结构设计计算也更复杂。
为便于我国设计人员掌握隔震设计方法,本规范提出了“水平向减震系数”的概念。按减震系数进行设计,隔震层以上结构的水平地震作用和抗震验算,构件承载力留有一定的安全储备。对于丙类建筑,相应的构造要求也可有所降低。但必须注意,结构所受的地震作用,既有水平向也有竖向,目前的橡胶隔震支座只具有隔离水平地震的功能,对竖向地震没有隔震效果,隔震后结构的竖向地震力可能大于水平地震力,应予以重视并做相应的验算,采取适当的措施。
12.2.2 建筑结构隔震设计的计算分析,应符合下列规定:
1 隔震体系的计算简图,应增加由隔震支座及其顶部梁板组成的质点;对变形特征为剪切型的结构可采用剪切模型(图12.2.2);当隔震层以上结构的质心与隔震层刚度中心不重合时,应计入扭转效应的影响。隔震层顶部的梁板结构,应作为其上部结构的一部分进行计算和设计。

2 一般情况下,宜采用时程分析法进行计算;输入地震波的反应谱特性和数量,应符合本规范第5.1.2条的规定,计算结果宜取其包络值;当处于发震断层10km以内时,输入地震波应考虑近场影响系数,5km以内宜取1.5,5km以外可取不小于1.25。
3 砌体结构及基本周期与其相当的结构可按本规范附录L简化计算。
条文说明
12.2.2 本条规定了隔震体系的计算模型,且一般要求采用时程分析法进行设计计算。在附录L中提供了简化计算方法。
图12.2.2是对应于底部剪力法的等效剪切型结构的示意图;其他情况,质点j可有多个自由度,隔震装置也有相应的多个自由度。
本次修订,当隔震结构位于发震断裂主断裂带10km以内时,要求各个设防类别的房屋均应计及地震近场效应。
12.2.3 隔震层的橡胶隔震支座应符合下列要求:
1 隔震支座在表12.2.3所列的压应力下的极限水平变位,应大于其有效直径的0.55倍和支座内部橡胶总厚度3倍二者的较大值。
2 在经历相应设计基准期的耐久试验后,隔震支座刚度、阻尼特性变化不超过初期值的±20%;徐变量不超过支座内部橡胶总厚度的5%。
3 橡胶隔震支座在重力荷载代表值的竖向压应力不应超过表12.2.3的规定。

注:1 压应力设计值应按永久荷载和可变荷载的组合计算;其中,楼面活荷载应按现行国家标准《建筑结构荷载规范》GB 50009的规定乘以折减系数;
2 结构倾覆验算时应包括水平地震作用效应组合;对需进行竖向地震作用计算的结构,尚应包括竖向地震作用效应组合;
3 当橡胶支座的第二形状系数(有效直径与橡胶层总厚度之比)小于5.0时应降低压应力限值:小于5不小于4时降低20%,小于4不小于3时降低40%;
4 外径小于300mm的橡胶支座,丙类建筑的压应力限值为10MPa。
12.2.4 隔震层的布置、竖向承载力、侧向刚度和阻尼应符合下列规定:
1 隔震层宜设置在结构的底部或下部,其橡胶隔震支座应设置在受力较大的位置,间距不宜过大,其规格、数量和分布应根据竖向承载力、侧向刚度和阻尼的要求通过计算确定。隔震层在罕遇地震下应保持稳定,不宜出现不可恢复的变形;其橡胶支座在罕遇地震的水平和竖向地震同时作用下,拉应力不应大于1MPa。
2 隔震层的水平等效刚度和等效黏滞阻尼比可按下列公式计算:

3 隔震支座由试验确定设计参数时,竖向荷载应保持本规范表12.2.3的压应力限值;对水平向减震系数计算,应取剪切变形100%的等效刚度和等效黏滞阻尼比;对罕遇地震验算,宜采用剪切变形250%时的等效刚度和等效黏滞阻尼比,当隔震支座直径较大时可采用剪切变形100%时的等效刚度和等效黏滞阻尼比。当采用时程分析时,应以试验所得滞回曲线作为计算依据。
条文说明
12.2.3、12.2.4 规定了隔震层设计的基本要求。
1 关于橡胶隔震支座的压应力和最大拉应力限值。

1)根据Haringx弹性理论,按稳定要求,以压缩荷载下叠层橡胶水平刚度为零的压应力作为屈曲应力σcr,该屈曲应力取决于橡胶的硬度、钢板厚度与橡胶厚度的比值、第一形状参数s1(有效直径与中央孔洞直径之差D-D0与橡胶层4倍厚度4tr之比)和第二形状参数s2(有效直径D与橡胶层总厚度ntr之比)等。通常,隔震支座中间钢板厚度是单层橡胶厚度的一半,取比值为0.5。对硬度为30~60共七种橡胶,以及s1=11、13、15、17、19、20和s2=3、4、5、6、7,累计210种组合进行了计算。结果表明:满足s1≥15和s2≥5且橡胶硬度不小于40时,最小的屈曲应力值为34.0MPa。 将橡胶支座在地震下发生剪切变形后上下钢板投影的重叠部分作为有效受压面积,以该有效受压面积得到的平均应力达到最小屈曲应力作为控制橡胶支座稳定的条件,取容许剪切变形为0.55D(D为支座有效直径),则可得本条规定的丙类建筑的压应力限值 2)规定隔震支座控制拉应力,主要考虑下列三个因素:
①橡胶受拉后内部有损伤,降低了支座的弹性性能;
②隔震支座出现拉应力,意味着上部结构存在倾覆危险;
③规定隔震支座拉应力σt<1MPa理由是:1)广州大学工程抗震研究中心所作的橡胶垫的抗拉试验中,其极限抗拉强度为(2.0~2.5)MPa;2)美国UBC规范采用的容许抗拉强度为1.5MPa。
2 关于隔震层水平刚度和等效黏滞阻尼比的计算方法,系根据振动方程的复阻尼理论得到的。其实部为水平刚度,虚部为等效黏滞阻尼比。
本次修订,考虑到随着橡胶隔震支座的制作工艺越来越成熟,隔震支座的直径越来越大,建议在隔震支座选型时尽量选用大直径的支座,对300mm直径的支座,由于其直径小,稳定性差,故将其设计承载力由12MPa降低到10MPa。
橡胶支座随着水平剪切变形的增大,其容许竖向承载能力将逐渐减小,为防止隔震支座在大变形的情况下失去承载能力,故要求支座的剪切变形应满足σ≤σcr(1-γ/s2),式中,γ为水平剪切变形,s2为支座第二形状系数,σ为支座竖向面压,σcr为支座极限抗压强度。同时支座的竖向压应力不大于30MPa,水平变形不大于0.55D和300%的较小值。
隔震支座直径较大时,如直径不小于600mm,考虑实际工程隔震后的位移和现有试验设备的条件,对于罕遇地震位移验算时的支座设计参数,可取水平剪切变形100%的刚度和阻尼。
还需注意,橡胶材料是非线性弹性体,橡胶隔震支座的有效刚度与振动周期有关,动静刚度的差别甚大。因此,为了保证隔震的有效性,最好取相应于隔震体系基本周期的刚度进行计算。本次修订,将2001规范隐含加载频率影响的“动刚度”改为“等效刚度”,用语更明确,方便同国家标准《橡胶支座》接轨;之所以去掉有关频率对刚度影响的语句,因相关的产品标准已有明确的规定。
12.2.5 隔震层以上结构的地震作用计算,应符合下列规定:
1 对多层结构,水平地震作用沿高度可按重力荷载代表值分布。
2 隔震后水平地震作用计算的水平地震影响系数可按本规范第5.1.4、第5.1.5条确定。其中,水平地震影响系数最大值可按下式计算:

注:1 弹性计算时,简化计算和反应谱分析时宜按隔震支座水平剪切应变为100%时的性能参数进行计算;当采用时程分析法时按设计基本地震加速度输入进行计算;
2 支座剪切性能偏差按现行国家产品标准《橡胶支座 第3部分:建筑隔震橡胶支座》GB 20688.3确定。
3 隔震层以上结构的总水平地震作用不得低于非隔震结构在6度设防时的总水平地震作用,并应进行抗震验算;各楼层的水平地震剪力尚应符合本规范第5.2.5条对本地区设防烈度的最小地震剪力系数的规定。
4 9度时和8度且水平向减震系数不大于0.3时,隔震层以上的结构应进行竖向地震作用的计算。隔震层以上结构竖向地震作用标准值计算时,各楼层可视为质点,并按本规范式(5.3.1—2)计算竖向地震作用标准值沿高度的分布。
条文说明
12.2.5 隔震后,隔震层以上结构的水平地震作用可根据水平向减震系数确定。对于多层结构,层间地震剪力代表了水平地震作用取值及其分布,可用来识别结构的水平向减震系数。
考虑到隔震层不能隔离结构的竖向地震作用,隔震结构的竖向地震力可能大于其水平地震力,竖向地震的影响不可忽略,故至少要求9度时和8度水平向减震系数为0.30时应进行竖向地震作用验算。
本次修订,拟对水平向减震系数的概念作某些调整:直接将“隔震结构与非隔震结构最大水平剪力的比值”改称为“水平向减震系数”,采用该概念力图使其意义更明确,以方便设计人员理解和操作(美国、日本等国也同样采用此方法)。
隔震后上部结构按本规范相关结构的规定进行设计时,地震作用可以降低,降低后的地震影响系数曲线形式参见本规范5.1.5条,仅地震影响系数最大值αmaxl。
2001规范确定隔震后水平地震作用时所考虑的安全系数1.4,对于当时隔震支座的性能是合适的。当前,在国家产品标准《橡胶支座 第3部分:建筑隔震橡胶支座》GB 20688.3-2006中,橡胶支座按剪切性能允许偏差分为S-A和S-B两类,其中S-A类的允许偏差为±15%,S-B类的允许偏差为±25%。因此,随着隔震支座产品性能的提高,该系数可适当减少。本次修订,按照《建筑结构可靠度设计统一标准》GB 50068的要求,确定设计用的水平地震作用的降低程度,需根据概率可靠度分析提供一定的概率保证,一般考虑1.645倍变异系数。于是,依据支座剪变刚度与隔震后体系周期及对应地震总剪力的关系,由支座刚度的变异导出地震总剪力的变异,再乘以1.645,则大致得到不同支座的ψ值,S-A类为0.85,S-B类为0.80。当设置阻尼器时还需要附加与阻尼器有关的变异系数,ψ值相应减少,对于S-A类,取0.80,对于S-B类,取0.75。
隔震后的上部结构用软件计算时,直接取αmaxl进行结构计算分析。从宏观的角度,可以将隔震后结构的水平地震作用大致归纳为比非隔震时降低半度、一度和一度半三个档次,如表7所示(对于一般橡胶支座);而上部结构的抗震构造,只能按降低一度分挡,即以β=0.40分挡。 
本次修订对2001规范的规定,还有下列变化:
1 计算水平减震系数的隔震支座参数,橡胶支座的水平剪切应变由50%改为100%,大致接近设防地震的变形状态,支座的等效刚度比2001规范减少,计算的隔震的效果更明显。
2 多层隔震结构的水平地震作用沿高度矩形分布改为按重力荷载代表值分布。还补充了高层隔震建筑确定水平向减震系数的方法。
3 对8度设防考虑竖向地震的要求有所加严,由“宜”改为“应”。
12.2.6 隔震支座的水平剪力应根据隔震层在罕遇地震下的水平剪力按各隔震支座的水平等效刚度分配;当按扭转耦联计算时,尚应计及隔震层的扭转刚度。
隔震支座对应于罕遇地震水平剪力的水平位移,应符合下列要求:

12.2.7 隔震结构的隔震措施,应符合下列规定:
1 隔震结构应采取不阻碍隔震层在罕遇地震下发生大变形的下列措施:
1)上部结构的周边应设置竖向隔离缝,缝宽不宜小于各隔震支座在罕遇地震下的最大水平位移值的1.2倍且不小于200mm。对两相邻隔震结构,其缝宽取最大水平位移值之和,且不小于400mm。
2)上部结构与下部结构之间,应设置完全贯通的水平隔离缝,缝高可取20mm,并用柔性材料填充;当设置水平隔离缝确有困难时,应设置可靠的水平滑移垫层。
3)穿越隔震层的门廊、楼梯、电梯、车道等部位,应防止可能的碰撞。
2 隔震层以上结构的抗震措施,当水平向减震系数大于0.40时(设置阻尼器时为0.38)不应降低非隔震时的有关要求;水平向减震系数不大于0.40时(设置阻尼器时为0.38),可适当降低本规范有关章节对非隔震建筑的要求,但烈度降低不得超过1度,与抵抗竖向地震作用有关的抗震构造措施不应降低。此时,对砌体结构,可按本规范附录L采取抗震构造措施。
注:与抵抗竖向地震作用有关的抗震措施,对钢筋混凝土结构,指墙、柱的轴压比规定;对砌体结构,指外墙尽端墙体的最小尺寸和圈梁的有关规定。
条文说明
12.2.7 隔震后上部结构的抗震措施可以适当降低,一般的橡胶支座以水平向减震系数0.40为界划分,并明确降低的要求不得超过一度,对于不同的设防烈度如表8所示: 
需注意,本规范的抗震措施,一般没有8度(0.30g)和7度(0.15g)的具体规定。因此,当β≥0.40时抗震措施不降低,对于7度(0.15g)设防时,即使β<0.40,隔震后的抗震措施基本上不降低。
砌体结构隔震后的抗震措施,在附录L中有较为具体的规定。对混凝土结构的具体要求,可直接按降低后的烈度确定,本次修订不再给出具体要求。
考虑到隔震层对竖向地震作用没有隔振效果,隔震层以上结构的抗震构造措施应保留与竖向抗力有关的要求。本次修订,与抵抗竖向地震有关的措施用条注的方式予以明确。
12.2.8 隔震层与上部结构的连接,应符合下列规定:
1 隔震层顶部应设置梁板式楼盖,且应符合下列要求:
1)隔震支座的相关部位应采用现浇混凝土梁板结构,现浇板厚度不应小于160mm;
2)隔震层顶部梁、板的刚度和承载力,宜大于一般楼盖梁板的刚度和承载力;
3)隔震支座附近的梁、柱应计算冲切和局部承压,加密箍筋并根据需要配置网状钢筋。
2 隔震支座和阻尼装置的连接构造,应符合下列要求:
1)隔震支座和阻尼装置应安装在便于维护人员接近的部位;
2)隔震支座与上部结构、下部结构之间的连接件,应能传递罕遇地震下支座的最大水平剪力和弯矩;
3)外露的预埋件应有可靠的防锈措施。预埋件的锚固钢筋应与钢板牢固连接,锚固钢筋的锚固长度宜大于20倍锚固钢筋直径,且不应小于250mm。
条文说明
12.2.8 本次修订,删去2001规范关于墙体下隔震支座的间距不宜大于2m的规定,使大直径的隔震支座布置更为合理。
为了保证隔震层能够整体协调工作,隔震层顶部应设置平面内刚度足够大的梁板体系。当采用装配整体式钢筋混凝土楼盖时,为使纵横梁体系能传递竖向荷载并协调横向剪力在每个隔震支座的分配,支座上方的纵横梁体系应为现浇。为增大隔震层顶部梁板的平面内刚度,需加大梁的截面尺寸和配筋。
隔震支座附近的梁、柱受力状态复杂,地震时还会受到冲切,应加密箍筋,必要时配置网状钢筋。
上部结构的底部剪力通过隔震支座传给基础结构。因此,上部结构与隔震支座的连接件、隔震支座与基础的连接件应具有传递上部结构最大底部剪力的能力。
12.2.9 隔震层以下的结构和基础应符合下列要求:
1 隔震层支墩、支柱及相连构件,应采用隔震结构罕遇地震下隔震支座底部的竖向力、水平力和力矩进行承载力验算。
2 隔震层以下的结构(包括地下室和隔震塔楼下的底盘)中直接支承隔震层以上结构的相关构件,应满足嵌固的刚度比和隔震后设防地震的抗震承载力要求,并按罕遇地震进行抗剪承载力验算。隔震层以下地面以上的结构在罕遇地震下的层间位移角限值应满足表12.2.9要求。
3 隔震建筑地基基础的抗震验算和地基处理仍应按本地区抗震设防烈度进行,甲、乙类建筑的抗液化措施应按提高一个液化等级确定,直至全部消除液化沉陷。 ( 自2022年1月1日起废止该条,详见新规 《建筑与市政工程抗震通用规范》GB 55002-2021) 
条文说明
12.2.9 对隔震层以下的结构部分,主要设计要求是:保证隔震设计能在罕遇地震下发挥隔震效果。因此,需进行与设防地震、罕遇地震有关的验算,并适当提高抗液化措施。
本次修订,增加了隔震层位于下部或大底盘顶部时对隔震层以下结构的规定,进一步明确了按隔震后而不是隔震前的受力和变形状态进行抗震承载力和变形验算的要求。
12.3 房屋消能减震设计要点
12.3.1 消能减震设计时,应根据多遇地震下的预期减震要求及罕遇地震下的预期结构位移控制要求,设置适当的消能部件。消能部件可由消能器及斜撑、墙体、梁等支承构件组成。消能器可采用速度相关型、位移相关型或其他类型。
注:1 速度相关型消能器指黏滞消能器和黏弹性消能器等;
2 位移相关型消能器指金属屈服消能器和摩擦消能器等。
条文说明
12.3.1 本规范对消能减震的基本要求是:通过消能器的设置来控制预期的结构变形,从而使主体结构构件在罕遇地震下不发生严重破坏。消能减震设计需解决的主要问题是:消能器和消能部件的选型,消能部件在结构中的分布和数量,消能器附加给结构的阻尼比估算,消能减震体系在罕遇地震下的位移计算,以及消能部件与主体结构的连接构造和其附加的作用等等。
罕遇地震下预期结构位移的控制值,取决于使用要求,本规范第5.5节的限值是针对非消能减震结构“大震不倒”的规定。采用消能减震技术后,结构位移的控制可明显小于第5.5节的规定。
消能器的类型甚多,按ATC-33.03的划分,主要分为位移相关型、速度相关型和其他类型。金属屈服型和摩擦型属于位移相关型,当位移达到预定的启动限才能发挥消能作用,有些摩擦型消能器的性能有时不够稳定。黏滞型和黏弹性型属于速度相关型。消能器的性能主要用恢复力模型表示,应通过试验确定,并需根据结构预期位移控制等因素合理选用。位移要求愈严,附加阻尼愈大,消能部件的要求愈高。
12.3.2 消能部件可根据需要沿结构的两个主轴方向分别设置。消能部件宜设置在变形较大的位置,其数量和分布应通过综合分析合理确定,并有利于提高整个结构的消能减震能力,形成均匀合理的受力体系。
条文说明
12.3.2 消能部件的布置需经分析确定。设置在结构的两个主轴方向,可使两方向均有附加阻尼和刚度;设置于结构变形较大的部位,可更好发挥消耗地震能量的作用。
本次修订,将2001规范规定框架结构的层间弹塑性位移角不应大于1/80改为符合预期的变形控制要求,宜比不设置消能器的结构适当减小,设计上较为合理,仍体现消能减震提高结构抗震能力的优势。
12.3.3 消能减震设计的计算分析,应符合下列规定:
1 当主体结构基本处于弹性工作阶段时,可采用线性分析方法作简化估算,并根据结构的变形特征和高度等,按本规范第5.1节的规定分别采用底部剪力法、振型分解反应谱法和时程分析法。消能减震结构的地震影响系数可根据消能减震结构的总阻尼比按本规范第5.1.5条的规定采用。
消能减震结构的自振周期应根据消能减震结构的总刚度确定,总刚度应为结构刚度和消能部件有效刚度的总和。
消能减震结构的总阻尼比应为结构阻尼比和消能部件附加给结构的有效阻尼比的总和;多遇地震和罕遇地震下的总阻尼比应分别计算。
2 对主体结构进入弹塑性阶段的情况,应根据主体结构体系特征,采用静力非线性分析方法或非线性时程分析方法。
在非线性分析中,消能减震结构的恢复力模型应包括结构恢复力模型和消能部件的恢复力模型。
3 消能减震结构的层间弹塑性位移角限值,应符合预期的变形控制要求,宜比非消能减震结构适当减小。
条文说明
12.3.3 消能减震设计计算的基本内容是:预估结构的位移,并与未采用消能减震结构的位移相比,求出所需的附加阻尼,选择消能部件的数量、布置和所能提供的阻尼大小,设计相应的消能部件,然后对消能减震体系进行整体分析,确认其是否满足位移控制要求。 消能减震结构的计算方法,与消能部件的类型、数量、布置及所提供的阻尼大小有关。理论上,大阻尼比的阻尼矩阵不满足振型分解的正交性条件,需直接采用恢复力模型进行非线性静力分析或非线性时程分析计算。从实用的角度,ATC-33建议适当简化;特别是主体结构基本控制在弹性工作范围内时,可采用线性计算方法估计。
12.3.4 消能部件附加给结构的有效阻尼比和有效刚度,可按下列方法确定:
1 位移相关型消能部件和非线性速度相关型消能部件附加给结构的有效刚度应采用等效线性化方法确定。
2 消能部件附加给结构的有效阻尼比可按下式估算:

注:当消能部件在结构上分布较均匀,且附加给结构的有效阻尼比小于20%时,消能部件附加给结构的有效阻尼比也可采用强行解耦方法确定。
3 不计及扭转影响时,消能减震结构在水平地震作用下的总应变能,可按下式估算:



4 消能器的极限位移应不小于罕遇地震下消能器最大位移的1.2倍;对速度相关型消能器,消能器的极限速度应不小于地震作用下消能器最大速度的1.2倍,且消能器应满足在此极限速度下的承载力要求。
条文说明
12.3.4 采用底部剪力法或振型分解反应谱法计算消能减震结构时,需要通过强行解耦,然后计算消能减震结构的自振周期、振型和阻尼比。此时,消能部件附加给结构的阻尼,参照ATC-33,用消能部件本身在地震下变形所吸收的能量与设置消能器后结构总地震变形能的比值来表征。 消能减震结构的总刚度取为结构刚度和消能部件刚度之和,消能减震结构的阻尼比按下列公式近似估算: 
国内外的一些研究表明,当消能部件较均匀分布且阻尼比不大于0.20时,强行解耦与精确解的误差,大多数可控制在5%以内。
12.3.5 本次修订,增加了对黏弹性材料总厚度以及极限位移、极限速度的规定。
12.3.6 消能器的性能检验,应符合下列规定:
1 对黏滞流体消能器,由第三方进行抽样检验,其数量为同一工程同一类型同一规格数量的20%,但不少于2个,检测合格率为100%,检测后的消能器可用于主体结构;对其他类型消能器,抽检数量为同一类型同一规格数量的3%,当同一类型同一规格的消能器数量较少时,可以在同一类型消能器中抽检总数量的3%,但不应少于2个,检测合格率为100%,检测后的消能器不能用于主体结构。
2 对速度相关型消能器,在消能器设计位移和设计速度幅值下,以结构基本频率往复循环30圈后,消能器的主要设计指标误差和衰减量不应超过15%;对位移相关型消能器,在消能器设计位移幅值下往复循环30圈后,消能器的主要设计指标误差和衰减量不应超过15%,且不应有明显的低周疲劳现象。
条文说明
12.3.6 本次修订,根据实际工程经验,细化了2001版的检测要求,试验的循环次数,由60圈改为30圈。性能的衰减程度,由10%降低为15%。
12.3.7 结构采用消能减震设计时,消能部件的相关部位应符合下列要求:
1 消能器与支承构件的连接,应符合本规范和有关规程对相关构件连接的构造要求。
2 在消能器施加给主结构最大阻尼力作用下,消能器与主结构之间的连接部件应在弹性范围内工作。
3 与消能部件相连的结构构件设计时,应计入消能部件传递的附加内力。
条文说明
12.3.7 本次修订,进一步明确消能器与主结构连接部件应在弹性范围内工作。
12.3.8 当消能减震结构的抗震性能明显提高时,主体结构的抗震构造要求可适当降低。降低程度可根据消能减震结构地震影响系数与不设置消能减震装置结构的地震影响系数之比确定,最大降低程度应控制在1度以内。
条文说明
12.3.8 本条是新增的。当消能减震的地震影响系数不到非消能减震的50%时,可降低一度。
13 非结构构件
13.1 一般规定
13.1.1 本章主要适用于非结构构件与建筑结构的连接。非结构构件包括持久性的建筑非结构构件和支承于建筑结构的附属机电设备。
注:1 建筑非结构构件指建筑中除承重骨架体系以外的固定构件和部件,主要包括非承重墙体,附着于楼面和屋面结构的构件、装饰构件和部件、固定于楼面的大型储物架等。
2 建筑附属机电设备指为现代建筑使用功能服务的附属机械、电气构件、部件和系统,主要包括电梯、照明和应急电源、通信设备,管道系统,采暖和空气调节系统,烟火监测和消防系统,公用天线等。
条文说明
13.1.1 非结构的抗震设计所涉及的设计领域较多,本章主要涉及与主体结构设计有关的内容,即非结构构件与主体结构的连接件及其锚固的设计。
非结构构件(如墙板、幕墙、广告牌、机电设备等)自身的抗震,系以其不受损坏为前提的,本章不直接涉及这方面的内容。
本章所列的建筑附属设备,不包括工业建筑中的生产设备和相关设施。
13.1.2 非结构构件应根据所属建筑的抗震设防类别和非结构地震破坏的后果及其对整个建筑结构影响的范围,采取不同的抗震措施,达到相应的性能化设计目标。
建筑非结构构件和建筑附属机电设备实现抗震性能化设计目标的某些方法可按本规范附录M第M.2节执。
条文说明
13.1.2 非结构构件的抗震设防目标列于本规范第3.7节。与主体结构三水准设防目标相协调,容许建筑非结构构件的损坏程度略大于主体结构,但不得危及生命。
建筑非结构构件和建筑附属机电设备支架的抗震设防分类,各国的抗震规范、标准有不同的规定,本规范大致分为高、中、低三个层次:
高要求时,外观可能损坏而不影响使用功能和防火能力,安全玻璃可能裂缝,可经受相连结构构件出现1.4倍以上设计挠度的变形,即功能系数取≥1.4;
中等要求时,使用功能基本正常或可很快恢复,耐火时间减少1/4,强化玻璃破碎,其他玻璃无下落,可经受相连结构构件出现设计挠度的变形,功能系数取1.0;
一般要求,多数构件基本处于原位,但系统可能损坏,需修理才能恢复功能,耐火时间明显降低,容许玻璃破碎下落,只能经受相连结构构件出现0.6倍设计挠度的变形,功能系数取0.6。
世界各国的抗震规范、规定中,要求对非结构的地震作用进行计算的有60%,而仅有28%对非结构的构造作出规定。考虑到我国设计人员的习惯,首先要求采取抗震措施,对于抗震计算的范围由相关标准规定,一般情况下,除了本规范第5章有明确规定的非结构构件,如出屋面女儿墙、长悬臂构件(雨篷等)外,尽量减少非结构构件地震作用计算和构件抗震验算的范围。例如,需要进行抗震验算的非结构构件大致如下:
1 7~9度时,基本上为脆性材料制作的幕墙及各类幕墙的连接;
2 8、9度时,悬挂重物的支座及其连接、出屋面广告牌和类似构件的锚固;
3 附着于高层建筑的重型商标、标志、信号等的支架;
4 8、9度时,乙类建筑的文物陈列柜的支座及其连接;
5 7~9度时,电梯提升设备的锚固件、高层建筑的电梯构件及其锚固;
6 7~9度时,建筑附属设备自重超过1.8kN或其体系自振周期大于0.1s的设备支架、基座及其锚固。
13.1.3 当抗震要求不同的两个非结构构件连接在一起时,应按较高的要求进行抗震设计。其中一个非结构构件连接损坏时,应不致引起与之相连接的有较高要求的非结构构件失效。
条文说明
13.1. 3 很多情况下,同一部位有多个非结构构件,如出入口通道可包括非承重墙体、悬吊顶棚、应急照明和出入信号四个非结构构件;电气转换开关可能安装在非承重隔墙上等。当抗震设防要求不同的非结构构件连接在一起时,要求低的构件也需按较高的要求设计,以确保较高设防要求的构件能满足规定。
13.2 基本计算要求
13.2.1 建筑结构抗震计算时,应按下列规定计入非结构构件的影响:
1 地震作用计算时,应计入支承于结构构件的建筑构件和建筑附属机电设备的重力。
2 对柔性连接的建筑构件,可不计入刚度;对嵌入抗侧力构件平面内的刚性建筑非结构构件,应计入其刚度影响,可采用周期调整等简化方法;一般情况下不应计入其抗震承载力,当有专门的构造措施时,尚可按有关规定计入其抗震承载力。
3 支承非结构构件的结构构件,应将非结构构件地震作用效应作为附加作用对待,并满足连接件的锚固要求。
条文说明
13.2.1 本条明确了结构专业所需考虑的非结构构件的影响,包括如何在结构设计中计入相关的重力、刚度、承载力和必要的相互作用。结构构件设计时仅计入支承非结构部位的集中作用并验算连接件的锚固。
13.2.2 非结构构件的地震作用计算方法,应符合下列要求:
1 各构件和部件的地震力应施加于其重心,水平地震力应沿任一水平方向。
2 一般情况下,非结构构件自身重力产生的地震作用可采用等效侧力法计算;对支承于不同楼层或防震缝两侧的非结构构件,除自身重力产生的地震作用外,尚应同时计及地震时支承点之间相对位移产生的作用效应。
3 建筑附属设备(含支架)的体系自振周期大于0.1s且其重力超过所在楼层重力的1%,或建筑附属设备的重力超过所在楼层重力的10%时,宜进入整体结构模型的抗震设计,也可采用本规范附录M第M.3节的楼面谱方法计算。其中,与楼盖非弹性连接的设备,可直接将设备与楼盖作为一个质点计入整个结构的分析中得到设备所受的地震作用。
条文说明
13.2.2 非结构构件的地震作用,除了自身质量产生的惯性力外,还有支座间相对位移产生的附加作用;二者需同时组合计算。
非结构构件的地震作用,除了本规范第5章规定的长悬臂构件外,只考虑水平方向。其基本的计算方法是对应于“地面反应谱”的“楼面谱”,即反映支承非结构构件的主体结构体系自身动力特性、非结构构件所在楼层位置和支点数量、结构和非结构阻尼特性对地面地震运动的放大作用;当非结构构件的质量较大时或非结构体系的自振特性与主结构体系的某一振型的振动特性相近时,非结构体系还将与主结构体系的地震反应产生相互影响。一般情况下,可采用简化方法,即等效侧力法计算;同时计入支座间相对位移产生的附加内力。对刚性连接于楼盖上的设备,当与楼层并为一个质点参与整个结构的计算分析时,也不必另外用楼面谱进行其地震作用计算。
要求进行楼面谱计算的非结构构件,主要是建筑附属设备,如巨大的高位水箱、出屋面的大型塔架等。采用第二代楼面谱计算可反映非结构构件对所在建筑结构的反作用,不仅导致结构本身地震反应的变化,固定在其上的非结构的地震反应也明显不同。
计算楼面谱的基本方法是随机振动法和时程分析法,当非结构构件的材料与结构体系相同时,可直接利用一般的时程分析软件得到;当非结构构件的质量较大,或材料阻尼特性明显不同,或在不同楼层上有支点,需采用第二代楼面谱的方法进行验算。此时,可考虑非结构与主体结构的相互作用,包括“吸振效应”,计算结果更加可靠。采用时程分析法和随机振动法计算楼面谱需有专门的计算软件。
13.2.3 采用等效侧力法时,水平地震作用标准值宜按下列公式计算:

条文说明
13.2.3 非结构构件的抗震计算,最早见于ACT-3,采用了静力法。
等效侧力法在第一代楼面谱(以建筑的楼面运动作为地震输入,将非结构构件作为单自由度系统,将其最大反应的均值作为楼面谱,不考虑非结构构件对楼层的反作用)基础上做了简化。各国抗震规范的非结构构件的等效侧力法,一般由设计加速度、功能(或重要)系数、构件类别系数、位置系数、动力放大系数和构件重力六个因素所决定。
设计加速度一般取相当于设防烈度的地面运动加速度;与本规范各章协调,这里仍取多遇地震对应的加速度。
部分非结构构件的功能系数和类别系数参见本规范附录M第M.2节。
位置系数,一般沿高度为线性分布,顶点的取值,UBC97为4.0,欧洲规范为2.0,日本取3.3。根据强震观测记录的分析,对多层和一般的高层建筑,顶部的加速度约为底层的二倍;当结构有明显的扭转效应或高宽比较大时,房屋顶部和底部的加速度比例大于2.0。因此,凡采用时程分析法补充计算的建筑结构,此比值应依据时程分析法相应调整。
状态系数,取决于非结构体系的自振周期,UBC97在不同场地条件下,以周期1s时的动力放大系数为基础再乘以2.5和1.0两档,欧洲规范要求计算非结构体系的自振周期Ta,取值为3/[1+(1-Ta/T1)2],日本取1.0、1.5和2.0三档。本规范不要求计算体系的周期,简化为两种极端情况,1.0适用于非结构的体系自振周期不大于0.06s等体系刚度较大的情况,其余按Ta接近于T1的情况取值。当计算非结构体系的自振周期时,则可按2/[1+(1-Ta/T1)2]采用。
由此得到的地震作用系数(取位置、状态和构件类别三个系数的乘积)的取值范围,与主体结构体系相比,UBC97按场地不同为(0.7~4.0)倍[若以硬土条件下结构周期1.0s为1.0,则为(0.5~5.6)倍],欧洲规范为0.75~6.0倍[若以硬土条件下结构周期1.0s为1.0,则为(1.2~10)倍]。我国一般为(0.6~4.8)倍[若以Tg=0.4s、结构周期1.0s为1.0,则为(1.3~11)倍)。
13.2.4 非结构构件因支承点相对水平位移产生的内力,可按该构件在位移方向的刚度乘以规定的支承点相对水平位移计算。
非结构构件在位移方向的刚度,应根据其端部的实际连接状态,分别采用刚接、铰接、弹性连接或滑动连接等简化的力学模型。
相邻楼层的相对水平位移,可按本规范规定的限值采用。
条文说明
13.2.4 非结构构件支座间相对位移的取值,凡需验算层间位移者,除有关标准的规定外,一般按本规范规定的位移限值采用。
对建筑非结构构件,其变形能力相差较大。砌体材料构成的非结构构件,由于变形能力较差而限制在要求高的场所使用,国外的规范也只有构造要求而不要求进行抗震计算;金属幕墙和高级装修材料具有较大的变形能力,国外通常由生产厂家按主体结构设计的变形要求提供相应的材料,而不是由材料决定结构的变形要求;对玻璃幕墙,《建筑幕墙》标准中已规定其平面内变形分为五个等级,最大1/100,最小1/400。
对设备支架,支座间相对位移的取值与使用要求有直接联系。例如,要求在设防烈度地震下保持使用功能(如管道不破碎等),取设防烈度下的变形,即功能系数可取2~3,相应的变形限值取多遇地震的(3~4)倍;要求在罕遇地震下不造成次生灾害,则取罕遇地震下的变形限值。
13.2.5 非结构构件的地震作用效应(包括自身重力产生的效应和支座相对位移产生的效应)和其他荷载效应的基本组合,按本规范结构构件的有关规定计算;幕墙需计算地震作用效应与风荷载效应的组合;容器类尚应计及设备运转时的温度、工作压力等产生的作用效应。
非结构构件抗震验算时,摩擦力不得作为抵抗地震作用的抗力;承载力抗震调整系数可采用1.0。
条文说明
13.2.5 本条规定非结构构件地震作用效应组合和承载力验算的原则。强调不得将摩擦力作为抗震设计的抗力。
13.3 建筑非结构构件的基本抗震措施
条文说明
89规范各章中有关建筑非结构构件的构造要求如下:
1 砌体房屋中,后砌隔墙、楼梯间砖砌栏板的规定;
2 多层钢筋混凝土房屋中,围护墙和隔墙材料、砖填充墙布置和连接的规定;
3 单层钢筋混凝土柱厂房中,天窗端壁板、围护墙、高低跨封墙和纵横跨悬墙的材料和布置的规定,砌体隔墙和围护墙、墙梁、大型墙板等与排架柱、抗风柱的连接构造要求;
4 单层砖柱厂房中,隔墙的选型和连接构造规定;
5 单层钢结构厂房中,围护墙选型和连接要求。
2001规范将上述规定加以合并整理,形成建筑非结构构件材料、选型、布置和锚固的基本抗震要求。还补充了吊车走道板、天沟板、端屋架与山墙间的填充小屋面板,天窗端壁板和天窗侧板下的填充砌体等非结构件与支承结构可靠连接的规定。
玻璃幕墙已有专门的规程,预制墙板、顶棚及女儿墙、雨篷等附属构件的规定,也由专门的非结构抗震设计规程加以规定。
本次修订的主要内容如下:
13.3.1 建筑结构中,设置连接幕墙、围护墙、隔墙、女儿墙、雨篷、商标、广告牌、顶篷支架、大型储物架等建筑非结构构件的预埋件、锚固件的部位,应采取加强措施,以承受建筑非结构构件传给主体结构的地震作用。
13.3.2 非承重墙体的材料、选型和布置,应根据烈度、房屋高度、建筑体型、结构层间变形、墙体自身抗侧力性能的利用等因素,经综合分析后确定,并应符合下列要求:
1 非承重墙体宜优先采用轻质墙体材料;采用砌体墙时,应采取措施减少对主体结构的不利影响,并应设置拉结筋、水平系梁、圈梁、构造柱等与主体结构可靠拉结。
2 刚性非承重墙体的布置,应避免使结构形成刚度和强度分布上的突变;当围护墙非对称均匀布置时,应考虑质量和刚度的差异对主体结构抗震不利的影响。
3 墙体与主体结构应有可靠的拉结,应能适应主体结构不同方向的层间位移;8、9度时应具有满足层间变位的变形能力,与悬挑构件相连接时,尚应具有满足节点转动引起的竖向变形的能力。
4 外墙板的连接件应具有足够的延性和适当的转动能力,宜满足在设防地震下主体结构层间变形的要求。
5 砌体女儿墙在人流出入口和通道处应与主体结构锚固;非出入口无锚固的女儿墙高度,6~8度时不宜超过0.5m,9度时应有锚固。防震缝处女儿墙应留有足够的宽度,缝两侧的自由端应予以加强。
13.3.3 多层砌体结构中,非承重墙体等建筑非结构构件应符合下列要求:
1 后砌的非承重隔墙应沿墙高每隔500mm~600mm配置2Φ6拉结钢筋与承重墙或柱拉结,每边伸入墙内不应少于500mm;8度和9度时,长度大于5m的后砌隔墙,墙顶尚应与楼板或梁拉结,独立墙肢端部及大门洞边宜设钢筋混凝土构造柱。
2 烟道、风道、垃圾道等不应削弱墙体;当墙体被削弱时,应对墙体采取加强措施;不宜采用无竖向配筋的附墙烟囱或出屋面的烟囱。
3 不应采用无锚固的钢筋混凝土预制挑檐。
条文说明
13.3.3 将砌体房屋中关于烟道、垃圾道的规定移入本节。
13.3.4 钢筋混凝土结构中的砌体填充墙,尚应符合下列要求:
1 填充墙在平面和竖向的布置,宜均匀对称,宜避免形成薄弱层或短柱。
2 砌体的砂浆强度等级不应低于M5;实心块体的强度等级不宜低于MU2.5,空心块体的强度等级不宜低于MU3.5;墙顶应与框架梁密切结合。
3 填充墙应沿框架柱全高每隔500mm~600mm设2Φ6拉筋,拉筋伸入墙内的长度,6、7度时宜沿墙全长贯通,8、9度时应全长贯通。
4 墙长大于5m时,墙顶与梁宜有拉结;墙长超过8m或层高2倍时,宜设置钢筋混凝土构造柱;墙高超过4m时,墙体半高宜设置与柱连接且沿墙全长贯通的钢筋混凝土水平系梁。
5 楼梯间和人流通道的填充墙,尚应采用钢丝网砂浆面层加强。
条文说明
13.3.4 增加了框架楼梯间等处填充墙设置钢丝网面层加强的要求。
13.3.5 单层钢筋混凝土柱厂房的围护墙和隔墙,尚应符合下列要求:
1 厂房的围护墙宜采用轻质墙板或钢筋混凝土大型墙板,砌体围护墙应采用外贴式并与柱可靠拉结;外侧柱距为12m时应采用轻质墙板或钢筋混凝土大型墙板。
2 刚性围护墙沿纵向宜均匀对称布置,不宜一侧为外贴式,另一侧为嵌砌式或开敞式;不宜一侧采用砌体墙一侧采用轻质墙板。
3 不等高厂房的高跨封墙和纵横向厂房交接处的悬墙宜采用轻质墙板,6、7度采用砌体时不应直接砌在低跨屋面上。
4 砌体围护墙在下列部位应设置现浇钢筋混凝土圈梁:
1)梯形屋架端部上弦和柱顶的标高处应各设一道,但屋架端部高度不大于900mm时可合并设置;
2)应按上密下稀的原则每隔4m左右在窗顶增设一道圈梁,不等高厂房的高低跨封墙和纵墙跨交接处的悬墙,圈梁的竖向间距不应大于3m;
3)山墙沿屋面应设钢筋混凝土卧梁,并应与屋架端部上弦标高处的圈梁连接。
5 圈梁的构造应符合下列规定:
1)圈梁宜闭合,圈梁截面宽度宜与墙厚相同,截面高度不应小于180mm;圈梁的纵筋,6~8度时不应少于4Φ12,9度时不应少于4Φ14;
2)厂房转角处柱顶圈梁在端开间范围内的纵筋,6~8度时不宜少于4Φ14,9度时不宜少于4Φ16,转角两侧各1m范围内的箍筋直径不宜小于Φ8,间距不宜大于100mm;圈梁转角处应增设不少于3根且直径与纵筋相同的水平斜筋;
3)圈梁应与柱或屋架牢固连接,山墙卧梁应与屋面板拉结;顶部圈梁与柱或屋架连接的锚拉钢筋不宜少于4Φ12,且锚固长度不宜少于35倍钢筋直径,防震缝处圈梁与柱或屋架的拉结宜加强。
6 墙梁宜采用现浇,当采用预制墙梁时,梁底应与砖墙顶面牢固拉结并应与柱锚拉;厂房转角处相邻的墙梁,应相互可靠连接。
7 砌体隔墙与柱宜脱开或柔性连接,并应采取措施使墙体稳定,隔墙顶部应设现浇钢筋混凝土压顶梁。
8 砖墙的基础,8度Ⅲ、Ⅳ类场地和9度时,预制基础梁应采用现浇接头;当另设条形基础时,在柱基础顶面标高处应设置连续的现浇钢筋混凝土圈梁,其配筋不应少于4Φ12。
9 砌体女儿墙高度不宜大于1m,且应采取措施防止地震时倾倒。
条文说明
13.3.5 进一步明确厂房围护墙的设置应注意下列问题:
1 唐山地震震害经验表明:嵌砌墙的墙体破坏较外贴墙轻得多,但对厂房的整体抗震性能极为不利,在多跨厂房和外纵墙不对称布置的厂房中,由于各柱列的纵向侧移刚度差别悬殊,导致厂房纵向破坏,倒塌的震例不少,即使两侧均为嵌砌墙的单跨厂房,也会由于纵向侧移刚度的增加而加大厂房的纵向地震作用效,特别是柱顶地震作用的集中对柱顶节点的抗震很不利,容易造成柱顶节点破坏,危及屋盖的安全,同时由于门窗洞口处刚度的削弱和突变,还会导致门窗洞口处柱子的破坏,因此,单跨厂房也不宜在两侧采用嵌砌墙。
2 砖砌体的高低跨封墙和纵横向厂房交接处的悬墙,由于质量大、位置高,在水平地震作用特别是高振型影响下,外甩力大,容易发生外倾、倒塌,造成高砸低的震害,不仅砸坏低屋盖,还可能破坏低跨设备或伤人,危害严重,唐山地震中,这种震害的发生率很高,因此.宜采用轻质墙板,当必须采用砖砌体时,应加强与主体结构的锚拉。
3 高低跨封墙直接砌在低跨屋面板上时,由于高振型和上、下变形不协调的影响,容易发生倒塌破坏,并砸坏低跨屋盖,邢台地震7度区就有这种震例。
4 砌体女儿墙的震害较普遍,故规定需设置时,应控制其高度,并采取防地震时倾倒的构造措施。
5 不同墙体材料的质量、刚度不同,对主体结构的地震影响不同,对抗震不利,故不宜采用。必要时,宜采用相应的措施。
13.3.6 钢结构厂房的围护墙,应符合下列要求:
1 厂房的围护墙,应优先采用轻型板材,预制钢筋混凝土墙板宜与柱柔性连接;9度时宜采用轻型板材。
2 单层厂房的砌体围护墙应贴砌并与柱拉结,尚应采取措施使墙体不妨碍厂房柱列沿纵向的水平位移;8、9度时不应采用嵌砌式。
条文说明
13.3.6 本条文字表达略有修改。轻型板材是指彩色涂层压型钢板、硬质金属面夹芯板,以及铝合金板等轻型板材。
降低厂房屋盖和围护结构的重量,对抗震十分有利。震害调查表明,轻型墙板的抗震效果很好。大型墙板围护厂房的抗震性能明显优于砌体围护墙厂房。大型墙板与厂房柱刚性连接,对厂房的抗震不利,并对厂房的纵向温度变形、厂房柱不均匀沉降以及各种振动也都不利。因此,大型墙板与厂房柱间应优先采用柔性连接。
嵌砌砌体墙对厂房的纵向抗震不利,故一般不应采用。
13.3.7 各类顶棚的构件与楼板的连接件,应能承受顶棚、悬挂重物和有关机电设施的自重和地震附加作用;其锚固的承载力应大于连接件的承载力。
13.3.8 悬挑雨篷或一端由柱支承的雨篷,应与主体结构可靠连接。
13.3.9 玻璃幕墙、预制墙板、附属于楼屋面的悬臂构件和大型储物架的抗震构造,应符合相关专门标准的规定。
13.4 建筑附属机电设备支架的基本抗震措施
条文说明
本规范仅规定对附属机电设备支架的基本要求。并参照美国UBC规范的规定,给出了可不作抗震设防要求的一些小型设备和小直径的管道。
建筑附属机电设备的种类繁多,参照美国UBC97规范,要求自重超过1.8kN(400磅)或自振周期大于0.1s时,要进行抗震计算。计算自振周期时,一般采用单质点模型。对于支承条件复杂的机电设备,其计算模型应符合相关设备标准的要求。
13.4.1 附属于建筑的电梯、照明和应急电源系统、烟火监测和消防系统。采暖和空气调节系统、通信系统、公用天线等与建筑结构的连接构件和部件的抗震措施,应根据设防烈度、建筑使用功能、房屋高度、结构类型和变形特征、附属设备所处的位置和运转要求等经综合分析后确定。
13.4.2 下列附属机电设备的支架可不考虑抗震设防要求:
1 重力不超过1.8kN的设备。
2 内径小于25mm的燃气管道和内径小于60mm的电气配管。
3 矩形截面面积小于0.38m2和圆形直径小于0.70m的风管。
4 吊杆计算长度不超过300mm的吊杆悬挂管道。
13.4.3 建筑附属机电设备不应设置在可能导致其使用功能发生障碍等二次灾害的部位;对于有隔振装置的设备,应注意其强烈振动对连接件的影响,并防止设备和建筑结构发生谐振现象。
建筑附属机电设备的支架应具有足够的刚度和强度;其与建筑结构应有可靠的连接和锚固,应使设备在遭遇设防烈度地震影响后能迅速恢复运转。
13.4.4 管道、电缆、通风管和设备的洞口设置,应减少对主要承重结构构件的削弱;洞口边缘应有补强措。 管道和设备与建筑结构的连接,应能允许二者间有一定的相对变位。
13.4.5 建筑附属机电设备的基座或连接件应能将设备承受的地震作用全部传递到建筑结构上。建筑结构中,用以固定建筑附属机电设备预埋件、锚固件的部位,应采取加强措施,以承受附属机电设备传给主体结构的地震作用。
13.4.6 建筑内的高位水箱应与所在的结构构件可靠连接;且应计及水箱及所含水重对建筑结构产生的地震作用效应。
- 4.7 在设防地震下需要连续工作的附属设备,宜设置在建筑结构地震反应较小的部位;相关部位的结构构件应采取相应的加强措施。
14 地下建筑
14.1 一般规定
14.1.1 本章主要适用于地下车库、过街通道、地下变电站和地下空间综合体等单建式地下建筑。不包括地下铁道、城市公路隧道等。
条文说明
14.1.1 本章是新增加的,主要规定地下建筑不同于地面建筑的抗震设计要求。
地下建筑种类较多,有的抗震能力强,有的使用要求高,有的服务于人流、车流,有的服务于物资储藏,抗震设防应有不同的要求。本章的适用范围为单建式地下建筑,且不包括地下铁道和城市公路隧道,因为地下铁道和城市公路隧道等属于交通运输类工程。
高层建筑的地下室(包括设置防震缝与主楼对应范围分开的地下室)属于附建式地下建筑,其性能要求通常与地面建筑一致,可按本规范有关章节所提出的要求设计。
随着城市建设的快速发展,单建式地下建筑的规模正在增大,类型正在增多,其抗震能力和抗震设防要求也有差异,需要在工程设计中进一步研究,逐步解决。
14.1.2 地下建筑宜建造在密实、均匀、稳定的地基上。当处于软弱土、液化土或断层破碎带等不利地段时,应分析其对结构抗震稳定性的影响,采取相应措施。
条文说明
14.1.2 建设场地的地形、地质条件对地下建筑结构的抗震性能均有直接或间接的影响。选择在密实、均匀、稳定的地基上建造,有利于结构在经受地震作用时保持稳定。
14.1.3 地下建筑的建筑布置应力求简单、对称、规则、平顺;横剖面的形状和构造不宜沿纵向突变。
14.1.4 地下建筑的结构体系应根据使用要求、场地工程地质条件和施工方法等确定,并应具有良好的整体性,避免抗侧力结构的侧向刚度和承载力突变。
丙类钢筋混凝土地下结构的抗震等级,6、7度时不应低于四级,8、9度时不宜低于三级。乙类钢筋混凝土地下结构的抗震等级,6、7度时不宜低于三级,8、9度时不宜低于二级。
条文说明
14.1.3、14.1.4 对称、规则并具有良好的整体性,及结构的侧向刚度宜自下而上逐渐减小等是抗震结构建筑布置的常见要求。地下建筑与地面建筑的区别是,地下建筑结构尤应力求体型简单,纵向、横向外形平顺,剖面形状、构件组成和尺寸不沿纵向经常变化,使其抗震能力提高。
关于钢筋混凝土结构的地下建筑的抗震等级,其要求略高于高层建筑的地下室,这是由于:
①高层建筑地下室,在楼房倒塌后一般即弃之不用,单建式地下建筑则在附近房屋倒塌后仍常有继续服役的必要,其使用功能的重要性常高于高层建筑地下室;
②地下结构一般不宜带缝工作,尤其是在地下水位较高的场合,其整体性要求高于地面建筑;
③地下空间通常是不可再生的资源,损坏后一般不能推倒重来,需原地修复,而难度较大。
本条的具体规定主要针对乙类、丙类设防的地下建筑,其他设防类别,除有具体规定外,可按本规范相关规定提高或降低。
14.1.5 位于岩石中的地下建筑,其出入口通道两侧的边坡和洞口仰坡,应依据地形、地质条件选用合理的口部结构类型,提高其抗震稳定性。
条文说明
14.1.5 岩石地下建筑的口部结构往往是抗震能力薄弱的部位,洞口的地形、地质条件则对口部结构的抗震稳定性有直接的影响,故应特别注意洞口位置和口部结构类型的选择的合理性。
14.2 计算要点
14.2.1 按本章要求采取抗震措施的下列地下建筑,可不进行地震作用计算:
1 7度Ⅰ、Ⅱ类场地的丙类地下建筑。
2 8度(0.20g)Ⅰ、Ⅱ类场地时,不超过二层、体型规则的中小跨度丙类地下建筑。
条文说明
14.2.1 本条根据当前的工程经验,确定抗震设计中可不进行计算分析的地下建筑的范围。
设防烈度为7度时Ⅰ、Ⅱ类场地中的丙类建筑可不计算,主要是参考唐山地震中天津市人防工程震害调查的资料。
设防烈度为8度(0.20g)Ⅰ、Ⅱ类场地中层数不多于2层、体型简单、跨度不大、构件连结整体性好的丙类建筑,其结构刚度相对较大,抗震能力相对较强,具有设计经验时也可不进行地震作用计算。
14.2.2 地下建筑的抗震计算模型,应根据结构实际情况确定并符合下列要求:
1 应能较准确地反映周围挡土结构和内部各构件的实际受力状况;与周围挡土结构分离的内部结构,可采用与地上建筑同样的计算模型。
2 周围地层分布均匀、规则且具有对称轴的纵向较长的地下建筑,结构分析可选择平面应变分析模型并采用反应位移法或等效水平地震加速度法、等效侧力法计算。
3 长宽比和高宽比均小于3及本条第2款以外的地下建筑,宜采用空间结构分析计算模型并采用土层-结构时程分析法计算。
条文说明
14.2.2 本条规定地下建筑抗震计算的模型和相应的计算方法。
1 地下建筑结构抗震计算模型的最大特点是,除了结构自身受力、传力途径的模拟外,还需要正确模拟周围土层的影响。
长条形地下结构按横截面的平面应变问题进行抗震计算的方法,一般适用于离端部或接头的距离达1.5倍结构跨度以上的地下建筑结构。端部和接头部位等的结构受力变形情况较复杂,进行抗震计算时原则上应按空间结构模型进行分析。
结构形式、土层和荷载分布的规则性对结构的地震反应都有影响,差异较大时地下结构的地震反应也将有明显的空间效应。此时,即使是外形相仿的长条形结构,也宜按空间结构模型进行抗震计算和分析。
2 对地下建筑结构,反应位移法、等效水平地震加速度法或等效侧力法,作为简便方法,仅适用于平面应变问题的地震反应分析;其余情况,需要采用具有普遍适用性的时程分析法。
3 反应位移法。采用反应位移法计算时,将土层动力反应位移的最大值作为强制位移施加于结构上,然后按静力原理计算内力。土层动力反应位移的最大值可通过输入地震波的动力有限元计算确定。
以长条形地下结构为例,其横截面的等效侧向荷载为由两侧土层变形形成的侧向力p(z)、结构自重产生的惯性力及结构与周围土层间的剪切力τ三者的总和(图30)。地下结构本身的惯性力,可取结构的质量乘以最大加速度,并施加在结构重心上。

式中,τ为地下结构顶板上表面与土层接触处的剪切力;G为土层的动剪变模量,可采用结构周围地层中应变水平为10-4量级的地层的剪切刚度,其值约为初始值的70%~80%;H为顶板以上土层的厚度,Sv为基底上的速度反应谱,可由地面加速度反应谱得到;Ts为顶板以上土层的固有周期;p(z)为土层变形形成的侧向力,u(z)为距地表深度z处的地震土层变形;zb为地下结构底面距地表面的深度;kh为地震时单位面积的水平向土层弹簧系数,可采用不包含地下结构的土层有限元网格,在地下结构处施加单位水平力然后求出对应的水平变形得到。
4 等效水平地震加速度法。此法将地下结构的地震反应简化为沿垂直向线性分布的等效水平地震加速度的作用效应,计算采用的数值方法常为有限元法;等效侧力法将地下结构的地震反应简化为作用在节点上的等效水平地震惯性力的作用效应,从而可采用结构力学方法计算结构的动内力。两种方法都较简单,尤其是等效侧力法。但二者需分别得出等效水平地震加速度荷载系数和等效侧力系数等的取值,普遍适用性较差。
5 时程分析法。根据软土地区的研究成果,平面应变问题时程分析法网格划分时,侧向边界宜取至离相邻结构边墙至少3倍结构宽度处,底部边界取至基岩表面,或经时程分析试算结果趋于稳定的深度处,上部边界取至地表。计算的边界条件,侧向边界可采用自由场边界,底部边界离结构底面较远时可取为可输入地震加速度时程的固定边界,地表为自由变形边界。
采用空间结构模型计算时,在横截面上的计算范围和边界条件可与平面应变问题的计算相同,纵向边界可取为离结构端部距离为2倍结构横断面面积当量宽度处的横剖面,边界条件均宜为自由场边界。
14.2.3 地下建筑抗震计算的设计参数,应符合下列要求:
1 地震作用的方向应符合下列规定:
1)按平面应变模型分析的地下结构,可仅计算横向的水平地震作用;
2)不规则的地下结构,宜同时计算结构横向和纵向的水平地震作用;
3)地下空间综合体等体型复杂的地下结构,8、9度时尚宜计及竖向地震作用。
2 地震作用的取值,应随地下的深度比地面相应减少:基岩处的地震作用可取地面的一半,地面至基岩的不同深度处可按插入法确定;地表、土层界面和基岩面较平坦时,也可采用一维波动法确定;土层界面、基岩面或地表起伏较大时,宜采用二维或三维有限元法确定。
3 结构的重力荷载代表值应取结构、构件自重和水、土压力的标准值及各可变荷载的组合值之和。
4 采用土层-结构时程分析法或等效水平地震加速度法时,土、岩石的动力特性参数可由试验确定。
条文说明
14.2.3 本条规定地下结构抗震计算的主要设计参数:
1 地下结构的地震作用方向与地面建筑的区别。首先是对于长条形地下结构,作用方向与其纵轴方向斜交的水平地震作用,可分解为横断面上和沿纵轴方向作用的水平地震作用,二者强度均将降低,一般不可能单独起控制作用。因而对其按平面应变问题分析时,一般可仅考虑沿结构横向的水平地震作用;对地下空间综合体等体型复杂的地下建筑结构,宜同时计算结构横向和纵向的水平地震作用。其次是对竖向地震作用的要求,体型复杂的地下空间结构或地基地质条件复杂的长条形地下结构,都易产生不均匀沉降并导致结构裂损,因而即使设防烈度为7度,必要时也需考虑竖向地震作用效应的综合作用。
2 地面以下地震作用的大小。地面下设计基本地震加速度值随深度逐渐减小是公认的,但取值各国有不同的规定;一般在基岩面取地表的1/2,基岩至地表按深度线性内插。我国《水工建筑物抗震设计规范》DL 5073第9.1.2条规定地表为基岩面时,基岩面下50m及其以下部位的设计地震加速度代表值可取为地表规定值的1/2,不足50m处可按深度由线性插值确定。对于进行地震安全性评价的场地,则可根据具体情况按一维或多维的模型进行分析后确定其减小的规律。
3 地下结构的重力荷载代表值。地下建筑结构静力设计时,水、土压力是主要荷载,故在确定地下建筑结构的重力荷载的代表值时,应包含水、土压力的标准值。
4 土层的计算参数。软土的动力特性采用Davidenkov模型表述时,动剪变模量G、阻尼比λ与动剪应变γd之间满足关系式:

式中,ρ为质量密度,cs为剪切波速,σ′v为有效上覆压力,γ′i为第i层土的有效重度,hi为第i层土的厚度,α2、α3为经验常数,可由当地试验数据拟合分析确定。
14.2.4 地下建筑的抗震验算,除应符合本规范第5章的要求外,尚应符合下列规定:
1 应进行多遇地震作用下截面承载力和构件变形的抗震验算。
2 对于不规则的地下建筑以及地下变电站和地下空间综合体等,尚应进行罕遇地震作用下的抗震变形验算。计算可采用本规范第5.5节的简化方法,混凝土结构弹塑性层间位移角限值[θp]宜取1/250。
3 液化地基中的地下建筑,应验算液化时的抗浮稳定性。
液化土层对地下连续墙和抗拔桩等的摩阻力,宜根据实测的标准贯入锤击数与临界标准贯入锤击数的比值确定其液化折减系数。
条文说明
14.2.4 地下建筑不同于地面建筑的抗震验算内容如下:
1 一般应进行多遇地震下承载力和变形的验算。
2 考虑地下建筑修复的难度较大,将罕遇地震作用下混凝土结构弹塑性层间位移角的限值取为[θp]=1/250。由于多遇地震作用下按结构弹性状态计算得到的结果可能不满足罕遇地震作用下的弹塑性变形要求,建议进行设防地震下构件承载力和结构变形验算,使其在设防地震下可安全使用,在罕遇地震下能满足抗震变形验算的要求。
3 在有可能液化的地基中建造地下建筑结构时,应注意检验其抗浮稳定性,并在必要时采取措施加固地基,以防地震时结构周围的场地液化。鉴于经采取措施加固后地基的动力特性将有变化,本条要求根据实测标准贯入锤击数与临界锤击数的比值确定液化折减系数,并进而计算地下连续墙和抗拔桩等的摩阻力。
14.3 抗震构造措施和抗液化措施
14.3.1 钢筋混凝土地下建筑的抗震构造,应符合下列要求:
1 宜采用现浇结构。需要设置部分装配式构件时,应使其与周围构件有可靠的连接。
2 地下钢筋混凝土框架结构构件的最小尺寸应不低于同类地面结构构件的规定。
3 中柱的纵向钢筋最小总配筋率,应比本规范6.3.7-1的规定增加0.2%。中柱与梁或顶板、中间楼板及底板连接处的箍筋应加密,其范围和构造与地面框架结构的柱相同。
条文说明
14.3.1 地下钢筋混凝土框架结构构件的尺寸常大于同类地面结构的构件,但因使用功能不同的框架结构要求不一致,因而本条仅提构件最小尺寸应至少符合同类地面建筑结构构件的规定,而未对其规定具体尺寸。
地下钢筋混凝土结构按抗震等级提出的构造要求,第3款为根据“强柱弱梁”的设计概念适当加强框架柱的措施。 此次局部修订进行文字调整,以明确最小总配筋率取值规定。
14.3.2 地下建筑的顶板、底板和楼板,应符合下列要求:
1 宜采用梁板结构。当采用板柱-抗震墙结构时,无柱帽的平板应在柱上板带中设构造暗梁,其构造措施按本规范第6.6.4条第1款的规定采用。
2 对地下连续墙的复合墙体,顶板、底板及各层楼板的负弯矩钢筋至少应有50%锚入地下连续墙,锚入长度按受力计算确定;正弯矩钢筋需锚入内衬,并均不小于规定的锚固长度。
3 楼板开孔时,孔洞宽度应不大于该层楼板宽度的30%;洞口的布置宜使结构质量和刚度的分布仍较均匀、对称,避免局部突变。孔洞周围应设置满足构造要求的边梁或暗梁。
条文说明
14.3.2 本条规定比地上板柱结构有所加强,旨在便于协调安全受力和方便施工的需要。为加快施工进度,减少基坑暴露时间,地下建筑结构的底板、顶板和楼板常采用无梁肋结构,由此使底板、顶板和楼板等的受力体系不再是板梁体系,故在必要时宜通过在柱上板带中设置暗梁对其加强。 为加强楼盖结构的整体性,提出第2款为加强周边墙体与楼板的连接构造的措施。
水平地震作用下,地下建筑侧墙、顶板和楼板开孔都将影响结构体系的抗震承载能力,故有必要适当限制开孔面积,并辅以必要的措施加强孔口周围的构件。 此次局部修订进行文字调整,明确暗梁的设置范围。
14.3.3 地下建筑周围土体和地基存在液化土层时,应采取下列措施:
1 对液化土层采取注浆加固和换土等消除或减轻液化影响的措施。
2 进行地下结构液化上浮验算,必要时采取增设抗拔桩、配置压重等相应的抗浮措施。
3 存在液化土薄夹层,或施工中深度大于20m的地下连续墙围护结构遇到液化土层时,可不做地基抗液化处理,但其承载力及抗浮稳定性验算应计入土层液化引起的土压力增加及摩阻力降低等因素的影响。
条文说明
14.3.3 根据单建式地下建筑结构的特点,提出遇到液化地基时可采用的处理技术和要求。
对周围土体和地基中存在的液化土层,注浆加固和换土等技术措施可有效地消除或减轻液化危害。
对液化土层未采取措施时,应考虑其上浮的可能性,验算方法及要求见本章第14.2节,必要时应采取抗浮措施。
地基中包含薄的液化土夹层时,以加强地下结构而不是加固地基为好。当基坑开挖中采用深度大于20m的地下连续墙作为围护结构时,坑内土体将因受到地下连续墙的挟持包围而形成较好的场地条件,地震时一般不可能液化。这两种情况,周围土体都存在液化土,在承载力及抗浮稳定性验算中,仍应计入周围土层液化引起的土压力增加和摩阻力降低等因素的影响。
14.3.4 地下建筑穿越地震时岸坡可能滑动的古河道或可能发生明显不均匀沉陷的软土地带时,应采取更换软弱土或设置桩基础等措施。
条文说明
14.3.4 当地下建筑不可避免地必须通过滑坡和地质条件剧烈变化的地段时,本条给出了减轻地下建筑结构地震作用效应的构造措施。
14.3.5 位于岩石中的地下建筑,应采取下列抗震措施:
1 口部通道和未经注浆加固处理的断层破碎带区段采用复合式支护结构时,内衬结构应采用钢筋混凝土衬砌,不得采用素混凝土衬砌。
2 采用离壁式衬砌时,内衬结构应在拱墙相交处设置水平撑抵紧围岩。
3 采用钻爆法施工时,初期支护和围岩地层间应密实回填。
干砌块石回填时应注浆加强。
条文说明
14.3.5 汶川地震中公路隧道的震害调查表明,当断层破碎带的复合式支护采用素混凝土内衬时,地震下内衬结构严重裂损并大量坍塌,而采用钢筋混凝土内衬结构的隧道口部地段,复合式支护的内衬结构仅出现裂缝。因此,要求在断层破碎带中采用钢筋混凝土内衬结构。
附录A 我国主要城镇抗震设防烈度、设计基本地震加速度和设计地震分组
本附录仅提供我国各县级及县级以上城镇地区建筑工程抗震设计时所采用的抗震设防烈度(以下简称“烈度”)、设计基本地震加速度值(以下简称“加速度”)和所属的设计地震分组(以下简称(“分组”)。















































附录B 高强混凝土结构抗震设计要求
B.0.1 高强混凝土结构所采用的混凝土强度等级应符合本规范第3.9.3条的规定;其抗震设计,除应符合普通混凝土结构抗震设计要求外,尚应符合本附录的规定。
B.0.2 结构构件截面剪力设计值的限值中含有混凝土轴心抗压强度设计值(fc)的项应乘以混凝土强度影响系数(βc)。其值,混凝土强度等级为C50时取1.0,C80时取0.8,介于C50和C80之间时取其内插值。
结构构件受压区高度计算和承载力验算时,公式中含有混凝土轴心抗压强度设计值(fc)的项也应按国家标准《混凝土结构设计规范》GB 50010的有关规定乘以相应的混凝土强度影响系数。
B.0.3 高强混凝土框架的抗震构造措施,应符合下列要求:
1 梁端纵向受拉钢筋的配筋率不宜大于3%(HRB335级钢筋)和2.6%(HRB400级钢筋)。梁端箍筋加密区的箍筋最小直径应比普通混凝土梁箍筋的最小直径增大2mm。
2 柱的轴压比限值宜按下列规定采用:不超过C60混凝土的柱可与普通混凝土柱相同,C65~C70混凝土的柱宜比普通混凝土柱减小0.05,C75~C80混凝土的柱宜比普通混凝土柱减小0.1。
3 当混凝土强度等级大于C60时,柱纵向钢筋的最小总配筋率应比普通混凝土柱增大0.1%。
4 柱加密区的最小配箍特征值宜按下列规定采用;混凝土强度等级高于C60时,箍筋宜采用复合箍、复合螺旋箍或连续复合矩形螺旋箍。
1)轴压比不大于0.6时,宜比普通混凝土柱大0.02;
2)轴压比大于0.6时,宜比普通混凝土柱大0.03。
B.0.4 当抗震墙的混凝土强度等级大于C60时,应经过专门研究,采取加强措施。
附录C 预应力混凝土结构抗震设计要求
C.0.1 本附录适用于6、7、8度时先张法和后张有粘结预应力混凝土结构的抗震设计,9度时应进行专门研究。 无粘结预应力混凝土结构的抗震设计,应采取措施防止罕遇地震下结构构件塑性铰区以外有效预加力松弛,并符合专门的规定。
C.0.2 抗震设计的预应力混凝土结构,应采取措施使其具有良好的变形和消耗地震能量的能力,达到延性结构的基本要求;应避免构件剪切破坏先于弯曲破坏、节点先于被连接构件破坏、预应力筋的锚固粘结先于构件破坏。
C.0.3 抗震设计时,后张预应力框架、门架、转换层的转换大梁,宜采用有粘结预应力筋。承重结构的受拉杆件和抗震等级为一级的框架,不得采用无粘结预应力筋。
C.0.4 抗震设计时,预应力混凝土结构的抗震等级及相应的地震组合内力调整,应按本规范第6章对钢筋混凝土结构的要求执行。
C.0.5 预应力混凝土结构的混凝土强度等级,框架和转换层的转换构件不宜低于C40,其他抗侧力的预应力混凝土构件,不应低于C30。
C.0.6 预应力混凝土结构的抗震计算,除应符合本规范第5章的规定外,尚应符合下列规定:
1 预应力混凝土结构自身的阻尼比可采用0.03,并可按钢筋混凝土结构部分和预应力混凝土结构部分在整个结构总变形能所占的比例折算为等效阻尼比。
2 预应力混凝土结构构件截面抗震验算时,本规范第5.4.1条地震作用效应基本组合中,应增加预应力作用效应项,其分项系数,一般情况应采用1.0,当预应力作用效应对构件承载力不利时,应采用1.2。
3 预应力筋穿过框架节点核芯区时,节点核芯区的截面抗震验算,应计入总有效预加力以及预应力孔道削弱核芯区有效验算宽度的影响。
C.0.7 预应力混凝土结构的抗震构造,除下列规定外,应符合本规范第6章对钢筋混凝土结构的要求:
1 抗侧力的预应力混凝土构件,应采用预应力筋和非预应力筋混合配筋方式。二者的比例应依据抗震等级按有关规定控制,其预应力强度比不宜大于0.75。
2 预应力混凝土框架梁端纵向受拉钢筋的最大配筋率、底面和顶面非预应力钢筋配筋量的比值,应按预应力强度比相应换算后符合钢筋混凝土框架梁的要求。
3 预应力混凝土框架柱可采用非对称配筋方式;其轴压比计算,应计入预应力筋的总有效预加力形成的轴向压力设计值,并符合钢筋混凝土结构中对应框架柱的要求;箍筋宜全高加密。
4 板柱-抗震墙结构中,在柱截面范围内通过板底连续钢筋的要求,应计入预应力钢筋截面面积。
C.0.8 后张预应力筋的锚具不宜设置在梁柱节点核芯区。预应力筋-锚具组装件的锚固性能,应符合专门的规定。
附录D 框架梁柱节点核芯区截面抗震验算
D.1 一般框架梁柱节点
D.1.1 一、二、三级框架梁柱节点核芯区组合的剪力设计值,应按下列公式确定:





D.2 扁梁框架的梁柱节点
D.2.1 扁梁框架的梁宽大于柱宽时,梁柱节点应符合本段的规定。
D.2.2 扁梁框架的梁柱节点核芯区应根据梁纵筋在柱宽范围内、外的截面面积比例,对柱宽以内和柱宽以外的范围分别验算受剪承载力。
D.2.3 核芯区验算方法除应符合一般框架梁柱节点的要求外,尚应符合下列要求:
1 按本规范式(D.1.3)验算核芯区剪力限值时,核芯区有效宽度可取梁宽与柱宽之和的平均值;
2 四边有梁的约束影响系数,验算柱宽范围内核芯区的受剪承载力时可取1.5;验算柱宽范围以外核芯区的受剪承载力时宜取1.0;
3 验算核芯区受剪承载力时,在柱宽范围内的核芯区,轴向力的取值可与一般梁柱节点相同;柱宽以外的核芯区,可不考虑轴力对受剪承载力的有利作用;
4 锚入柱内的梁上部钢筋宜大于其全部截面面积的60%。
D.3 圆柱框架的梁柱节点
D.3.1 梁中线与柱中线重合时,圆柱框架梁柱节点核芯区组合的剪力设计值应符合下列要求:


附录E 转换层结构的抗震设计要求
E.1 矩形平面抗震墙结构框支层楼板设计要求
E.1.1 框支层应采用现浇楼板,厚度不宜小于180mm,混凝土强度等级不宜低于C30,应采用双层双向配筋,且每层每个方向的配筋率不应小于0.25%。
E.1.2 部分框支抗震墙结构的框支层楼板剪力设计值,应符合下列要求:

E.1.4 框支层楼板的边缘和较大洞口周边应设置边梁,其宽度不宜小于板厚的2倍,纵向钢筋配筋率不应小于1%,钢筋接头宜采用机械连接或焊接,楼板的钢筋应锚固在边梁内。
E.1.5 对建筑平面较长或不规则及各抗震墙内力相差较大的框支层,必要时可采用简化方法验算楼板平面内的受弯、受剪承载力。
E.2 筒体结构转换层抗震设计要求
E.2.1 转换层上下的结构质量中心宜接近重合(不包括裙房),转换层上下层的侧向刚度比不宜大于2。
E.2.2 转换层上部的竖向抗侧力构件(墙、柱)宜直接落在转换层的主结构上。
E.2.3 厚板转换层结构不宜用于7度及7度以上的高层建筑。
E.2.4 转换层楼盖不应有大洞口,在平面内宜接近刚性。
E.2.5 转换层楼盖与筒体、抗震墙应有可靠的连接,转换层楼板的抗震验算和构造宜符合本附录第E.1节对框支层楼板的有关规定。
E.2.6 8度时转换层结构应考虑竖向地震作用。
E.2.7 9度时不应采用转换层结构。
附录F 配筋混凝土小型空心砌块抗震墙房屋抗震设计要求
F.1 一般规定
F.1.1 本附录适用的配筋混凝土小型空心砌块抗震墙房屋的最大高度应符合表F.1.1—1的规定,且房屋总高度与总宽度的比值不宜超过表F.1.1—2的规定。

注:1 房屋高度超过表内高度时,应进行专门研究和论证,采取有效的加强措施;
2 某层或几层开间大于6.0m以上的房间建筑面积占相应层建筑面积40%以上时,表中数据相应减少6m;
3 房屋高度指室外地面到主要屋面板板顶的高度(不包括局部突出屋顶部分)。

条文说明
F.1.1 国内外有关试验研究结果表明,配筋混凝土小砌块抗震墙的最小分布钢筋仅为混凝土抗震墙的一半,但承载力明显高于普通砌体,而竖向和水平灰缝使其具有较大的耗能能力,结构的设计计算方法与钢筋混凝土抗震墙结构基本相似。从安全、经济诸方面综合考虑,对于满灌的配筋混凝土小砌块抗震墙房屋,本附录所适用高度可比2001规范适当增加,同时补充了7度(0.15g)、8度(0.30g)和9度的有关规定。当横墙较少时,类似多层砌体房屋,也要求其适用高度有所降低。
当经过专门研究,有可靠技术依据,采取必要的加强措施,按住房和城乡建设部的有关规定进行专项审查,房屋高度可以适当增加。
配筋混凝土小砌块房屋高宽比限制在一定范围内时,有利于房屋的稳定性,减少房屋发生整体弯曲破坏的可能性。配筋砌块砌体抗震墙抗拉相对不利,限制房屋高宽比,可使墙肢在多遇地震下不致出现小偏心受拉状况,本次修订对6度时的高宽比限制适当加严。根据试验研究和计算分析,当房屋的平面布置和竖向布置不规则时,会增大房屋的地震反应,应适当减小房屋高宽比以保证在地震作用下结构不会发生整体弯曲破坏。
F.1.2 配筋混凝土小型空心砌块抗震墙房屋应根据抗震设防类别、烈度和房屋高度采用不同的抗震等级,并应符合相应的计算和构造措施要求。丙类建筑的抗震等级宜按表F.1.2确定。

条文说明
F.1.2 配筋小砌块砌体抗震墙房屋的抗震等级是确定其抗震措施的重要设计参数,依据抗震设防分类、烈度和房屋高度等划分抗震等级。本次修订,参照现浇钢筋混凝土房屋以24m为界划分抗震等级的规定,对2001规范的规定作了调整,并增加了9度的有关规定。
F.1.3 配筋混凝土小型空心砌块抗震墙房屋应避免采用本规范第3.4节规定的不规则建筑结构方案,并应符合下列要求:
1 平面形状宜简单、规则,凹凸不宜过大;竖向布置宜规则、均匀,避免过大的外挑和内收。
2 纵横向抗震墙宜拉通对直;每个独立墙段长度不宜大于8m,且不宜小于墙厚的5倍;墙段的总高度与墙段长度之比不宜小于2;门洞口宜上下对齐,成列布置。
3 采用现浇钢筋混凝土楼、屋盖时,抗震横墙的最大间距,应符合表F.1.3的要求。

4 房屋需要设置防震缝时,其最小宽度应符合下列要求:
当房屋高度不超过24m时,可采用100mm;当超过24m时,6度、7度、8度和9度相应每增加6m、5m、4m和3m,宜加宽20mm。
条文说明
F.1.3 根据本规范第3.4节的规则性要求,提出配筋混凝土小砌块房屋平面和竖向布置简单、规则、抗震墙拉通对直的要求,从结构体型的设计上保证房屋具有较好的抗震性能。
本次修订,对墙肢长度提出了具体的要求。考虑到抗震墙结构应具有延性,高宽比大于2的延性抗震墙,可避免脆性的剪切破坏,要求墙段的长度(即墙段截面高度)不宜大于8m。当墙很长时,可通过开设洞口将长墙分成长度较小、较均匀的超静定次数较高的联肢墙,洞口连梁宜采用约束弯矩较小的弱连梁(其跨高比宜大于6)。由于配筋小砌块砌体抗震墙的竖向钢筋设置在砌块孔洞内(距墙端约100mm),墙肢长度很短时很难充分发挥作用,因此设计时墙肢长度也不宜过短。
楼、屋盖平面内的变形,将影响楼层水平地震作用在各抗侧力构件之间的分配,为了保证配筋小砌块砌体抗震墙结构房屋的整体性,楼、屋盖宜采用现浇钢筋混凝土楼、屋盖,横墙间距也不应过大,使楼盖具备传递地震力给横墙所需的水平刚度。
根据试验研究结果,由于配筋小砌块砌体抗震墙存在水平灰缝和垂直灰缝,其结构整体刚度小于钢筋混凝土抗震墙,因此防震缝的宽度要大于钢筋混凝土抗震墙房屋。
F.1.4 配筋混凝土小型空心砌块抗震墙房屋的层高应符合下列要求:
1 底部加强部位的层高,一、二级不宜大于3.2m,三、四级不应大于3.9m。
2 其他部位的层高,一、二级不应大于3.9m,三、四级不应大于4.8m。
注:底部加强部位指不小于房屋高度的1/6且不小于底部二层的高度范围,房屋总高度小于21m时取一层。
条文说明
F.1.4 本条是新增条文。试验研究表明,抗震墙的高度对抗震墙出平面偏心受压强度和变形有直接关系,控制层高主要是为了保证抗震墙出平面的强度、刚度和稳定性。由于小砌块墙体的厚度是190mm,当房屋的层高为3.2m~4.8m时,与现浇钢筋混凝土抗震墙的要求基本相当。
F.1.5 配筋混凝土小型空心砌块抗震墙的短肢墙应符合下列要求:
1 不应采用全部为短肢墙的配筋小砌块抗震墙结构,应形成短肢抗震墙与一般抗震墙共同抵抗水平地震作用的抗震墙结构。9度时不宜采用短肢墙。
2 在规定的水平力作用下,一般抗震墙承受的底部地震倾覆力矩不应小于结构总倾覆力矩的50%,且短肢抗震墙截面面积与同层抗震墙总截面面积比例,两个主轴方向均不宜大于20%。
3 短肢墙宜设置翼墙;不应在一字形短肢墙平面外布置与之单侧相交的楼、屋面梁。
4 短肢墙的抗震等级应比表F.1.2的规定提高一级采用;已为一级时,配筋应按9度的要求提高。
注:短肢抗震墙指墙肢截面高度与宽度之比为5~8的抗震墙,一般抗震墙指墙肢截面高度与宽度之比大于8的抗震墙。“L”形、“T”形、“+”形等多肢墙截面的长短肢性质应由较长一肢确定。
条文说明
F.1.5 本条是新增条文,对配筋小砌块砌体抗震墙房屋中的短肢墙布置作了规定。虽然短肢抗震墙有利于建筑布置,能扩大使用空间,减轻结构自重,但是其抗震性能较差,因此在整个结构中应设置足够数量的一般抗震墙,形成以一般抗震墙为主、短肢抗震墙与一般抗震墙相结合共同抵抗水平力的结构体系,保证房屋的抗震能力。本条参照有关规定,对短肢抗震墙截面面积与同一层内所有抗震墙截面面积的比例作了规定。
一字形短肢抗震墙的延性及平面外稳定均相对较差,因此规定不宜布置单侧楼、屋面梁与之平面外垂直或斜交,同时要求短肢抗震墙应尽可能设置翼缘,保证短肢抗震墙具有适当的抗震能力。
F.2 计算要点
F.2.1 配筋混凝土小型空心砌块抗震墙房屋抗震计算时,应按本节规定调整地震作用效应;6度时可不进行截面抗震验算,但应按本附录的有关要求采取抗震构造措施。配筋混凝土小砌块抗震墙房屋应进行多遇地震作用下的抗震变形验算,其楼层内最大的弹性层间位移角,底层不宜超过1/1200,其他楼层不宜超过1/800。
条文说明
F.2.1 本条是新增条文。配筋小砌块砌体抗震墙存在水平灰缝和垂直灰缝,在地震作用下具有较好的耗能能力,而且灌孔砌体的强度和弹性模量也要低于相对应的混凝土,其变形比普通钢筋混凝土抗震墙大。根据同济大学、哈尔滨工业大学、湖南大学等有关单位的试验研究结果,综合参考了钢筋混凝土抗震墙弹性层间位移角限值,规定了配筋小砌块砌体抗震墙结构在多遇地震作用下的弹性层间位移角限值为1/800,底层承受的剪力最大且主要是剪切变形,其弹性层间位移角限值要求相对较高,取1/1200。
F.2.2 配筋混凝土小砌块抗震墙承载力计算时,底部加强部位截面的组合剪力设计值应按下列规定调整:


F.2.5 在多遇地震作用组合下,配筋混凝土小型空心砌块抗震墙的墙肢不应出现小偏心受拉。大偏心受拉配筋混凝土小型空心砌块抗震墙,其斜截面受剪承载力应按下列公式计算:

F.2.6 配筋小型空心砌块抗震墙跨高比大于2.5的连梁宜采用钢筋混凝土连梁,其截面组合的剪力设计值和斜截面受剪承载力,应符合现行国家标准《混凝土结构设计规范》GB 50010对连梁的有关规定。
F.2.7 抗震墙采用配筋混凝土小型空心砌块砌体连梁时,应符合下列要求:
1 连梁的截面应满足下式的要求:

条文说明
F.2.2~F.2.7 配筋小砌块砌体抗震墙房屋的抗震计算分析,包括内力调整和截面应力计算方法,大多参照钢筋混凝土结构的有关规定,并针对配筋小砌块砌体结构的特点做了修改。
在配筋小砌块砌体抗震墙房屋抗震设计计算中,抗震墙底部的荷载作用效应最大,因此应根据计算分析结果,对底部截面的组合剪力设计值采用按不同抗震等级确定剪力放大系数的形式进行调整,以使房屋的最不利截面得到加强。
条文中规定配筋小砌块砌体抗震墙的截面抗剪能力限制条件,是为了规定抗震墙截面尺寸的最小值,或者说是限制了抗震墙截面的最大名义剪应力值。试验研究结果表明,抗震墙的名义剪应力过高,灌孔砌体会在早期出现斜裂缝,水平抗剪钢筋不能充分发挥作用,即使配置很多水平抗剪钢筋,也不能有效地提高抗震墙的抗剪能力。
配筋小砌块砌体抗震墙截面应力控制值,类似于混凝土抗压强度设计值,采用“灌孔小砌块砌体”的抗压强度,它不同于砌体抗压强度,也不同于混凝土抗压强度。
配筋小砌块砌体抗震墙截面受剪承载力由砌体、竖向和水平分布筋三者共同承担,为使水平分布钢筋不致过小,要求水平分布筋应承担一半以上的水平剪力。
配筋小砌块砌体由于受其块型、砌筑方法和配筋方式的影响,不适宜做跨高比较大的的梁构件。而在配筋小砌块砌体抗震墙结构中,连梁是保证房屋整体性的重要构件,为了保证连梁与抗震节点处有弯曲屈服前不会山现剪切破坏和具有适当的刚度和承载能力,对于跨度比大于2.5的连梁宜采用受力性能更好的钢筋混凝土连梁,以确保连梁构件的“强剪弱弯”。对于跨高比小于2.5的连梁(主要指窗下墙部分),新增了允许采用配筋小砌块砌体连梁的规定。
F.3 抗震构造措施
F.3.1 配筋混凝土小型空心砌块抗震墙房屋的灌孔混凝土应采用坍落度大、流动性及和易性好,并与砌块结合良好的混凝土,灌孔混凝土的强度等级不应低于Cb20。
条文说明
F.3.1 灌注混凝土是指由水泥、砂、石等主要原材料配制的大流动性细石混凝土,石子粒径控制在(5~16)mm之间,坍落度控制在(230~250)mm。过高的灌孔混凝土强度与混凝土小砌块块材的强度不匹配,由此组成的灌孔砌体的性能不能充分发挥,而且低强度的灌孔混凝土其和易性也较差,施工质量无法保证。
F.3.2 配筋混凝土小型空心砌块抗震墙房屋的抗震墙,应全部用灌孔混凝土灌实。
条文说明
F.3.2 本条文为新增条文。配筋小砌块砌体抗震墙是一个整体,必须全部灌孔。在配筋小砌块砌体抗震墙结构的房屋中,允许有部分墙体不灌孔,但不灌孔的墙体只能按填充墙对待并后砌。
F.3.3 配筋混凝土小型空心砌块抗震墙的横向和竖向分布钢筋应符合表F.3.3—1和F.3.3—2的要求;横向分布钢筋宜双排布置,双排分布钢筋之间拉结筋的间距不应大于400mm,直径不应小于6mm;竖向分布钢筋宜采用单排布置,直径不应大于25mm。

条文说明
F.3.3 本条根据有关的试验研究结果、配筋小砌块砌体的特点和试点工程的经验,并参照了国内外相应的规范等资料,规定了配筋小砌块砌体抗震墙中配筋的最低构造要求。本次修改把原条文规定改为表格形式,同时对抗震等级为一、二级的配筋要求略有提高,并新增加了9度的配筋率不应小于0.2%的规定。
F.3.4 配筋混凝土小型空心砌块抗震墙在重力荷载代表值作用下的轴压比,应符合下列要求:
1 一般墙体的底部加强部位,一级(9度)不宜大于0.4,一级(8度)不宜大于0.5,二、三级不宜大于0.6;一般部位,均不宜大于0.6。
2 短肢墙体全高范围,一级不宜大于0.50,二、三级不宜大于0.60;对于无翼缘的一字形短肢墙,其轴压比限值应相应降低0.1。
3 各向墙肢截面均为3b<h<5b的独立小墙肢,一级不宜大于0.4,二、三级不宜大于0.5;对于无翼缘的一字形独立小墙肢,其轴压比限值应相应降低0.1。
条文说明
F.3.4 配筋小砌块砌体抗震墙在重力荷载代表值作用下的轴压比控制是为了保证配筋小砌块砌体在水平荷载作用下的延性和强度的发挥,同时也是为了防止墙片截面过小、配筋率过高,保证抗震墙结构延性。本次修订对一般墙、短肢墙、一字形短肢墙的轴压比限值做了区别对待;由于短肢墙和无翼缘的一字形短肢墙的抗震性能较差,因此其轴压比限值更为严格。
F.3.5 配筋混凝土小型空心砌块抗震墙墙肢端部应设置边缘构件;底部加强部位的轴压比,一级大于0.2和二级大于0.3时,应设置约束边缘构件。构造边缘构件的配筋范围:无翼墙端部为3孔配筋;“L”形转角节点为3孔配筋;“T”形转角节点为4孔配筋;边缘构件范围内应设置水平箍筋,最小配筋应符合表F.3.5的要求。约束边缘构件的范围应沿受力方向比构造边缘构件增加1孔,水平箍筋应相应加强,也可采用混凝土边框柱加强。

条文说明
F.3.5 在配筋小砌块砌体抗震墙结构中,边缘构件在提高墙体承载力方面和变形能力方面的作用都非常明显,因此参照混凝土抗震墙结构边缘构件设置的要求,结合配筋小砌块砌体抗震墙的特点,规定了边缘构件的配筋要求。
配筋小砌块砌体抗震墙的水平筋放置于砌块横肋的凹槽和灰缝中,直径不小于6mm且不大于8mm比较合适。因此一级的水平筋最小直径为Φ8,二~四级为Φ6,为了适当弥补钢筋直径小的影响,抗震等级为一、二、三级时,应采用不低于HRB335级的热轧钢筋。
本次修订,还增加了一、二级抗震墙的底部加强部位设置约束边缘构件的要求。当房屋高度接近本附录表F.1.1—1的限值时,也可以采用钢筋混凝土边框柱作为约束边缘构件来加强对墙体的约束,边框柱截面沿墙体方向的长度可取400mm。在设计时还应注意,过于强大的边框柱可能会造成墙体与边框柱的受力和变形不协调,使边框柱和配筋小砌块墙体的连接处开裂,影响整片墙体的抗震性能。
F.3.6 配筋混凝土小型空心砌块抗震墙内竖向和横向分布钢筋的搭接长度不应小于48倍钢筋直径,锚固长度不应小于42倍钢筋直径。
条文说明
F.3.6 根据配筋小砌块砌体抗震墙的施工特点,墙内的竖向钢筋布置无法绑扎搭接,钢筋的搭接长度应比普通混凝土构件的搭接长度长些。
F.3.7 配筋混凝土小型空心砌块抗震墙的横向分布钢筋,沿墙长应连续设置,两端的锚固应符合下列规定:
1 一、二级的抗震墙,横向分布钢筋可绕竖向主筋弯180度弯钩,弯钩端部直段长度不宜小于12倍钢筋直径;横向分布钢筋亦可弯入端部灌孔混凝土中,锚固长度不应小于30倍钢筋直径且不应小于250mm。
2 三、四级的抗震墙,横向分布钢筋可弯入端部灌孔混凝土中,锚固长度不应小于25倍钢筋直径且不应小于200mm。
条文说明
F.3.7 本条是新增条文,规定了水平分布钢筋的锚固要求。根据国内外有关试验研究成果,砌块砌体抗震墙的水平钢筋,当采用围绕墙端竖向钢筋180°加12d延长段锚固时,施工难度较大,而一般做法可将该水平钢筋末端弯钩锚于灌孔混凝土中,弯入长度不小于200mm,在试验中发现这样的弯折锚固长度已能保证该水平钢筋能达到屈服。因此,考虑不同的抗震等级和施工因素,分别规定相应的锚固长度。
F.3.8 配筋混凝土小型空心砌块抗震墙中,跨高比小于2.5的连梁可采用砌体连梁;其构造应符合下列要求:
1 连梁的上下纵向钢筋锚入墙内的长度,一、二级不应小于1.15倍锚固长度,三级不应小于1.05倍锚固长度,四级不应小于锚固长度;且均不应小于600mm。
2 连梁的箍筋应沿梁全长设置;箍筋直径,一级不小于10mm,二、三、四级不小于8mm;箍筋间距,一级不大于75mm,二级不大于100mm,三级不大于120mm。
3 顶层连梁在伸入墙体的纵向钢筋长度范围内应设置间距不大于200mm的构造箍筋,其直径应与该连梁的箍筋直径相同。
4 自梁顶面下200mm至梁底面上200mm范围内应增设腰筋,其间距不大于200mm;每层腰筋的数量,一级不少于2Φ12,二~四级不少于2Φ10;腰筋伸入墙内的长度不应小于30倍的钢筋直径且不应小于300mm;
5 连梁内不宜开洞,需要开洞时应符合下列要求:
1)在跨中梁高1/3处预埋外径不大于200mm的钢套管;
2)洞口上下的有效高度不应小于1/3梁高,且不应小于200mm;
3)洞口处应配补强钢筋,被洞口削弱的截面应进行受剪承载力验算。
条文说明
F.3.8 本条是根据国内外试验研究成果和经验、以及配筋砌块砌体连梁的特点而制定的。
F.3.9 配筋混凝土小型空心砌块抗震墙的圈梁构造,应符合下列要求:
1 墙体在基础和各楼层标高处均应设置现浇钢筋混凝土圈梁,圈梁的宽度应同墙厚,其截面高度不宜小于200mm。
2 圈梁混凝土抗压强度不应小于相应灌孔小砌块砌体的强度,且不应小于C20。
3 圈梁纵向钢筋直径不应小于墙中横向分布钢筋的直径,且不应小于4Φ12;基础圈梁纵筋不应小于4Φ12;圈梁及基础圈梁箍筋直径不应小于8mm,间距不应大于200mm;当圈梁高度大于300mm时,应沿圈梁截面高度方向设置腰筋,其间距不应大于200mm,直径不应小于10mm。
4 圈梁底部嵌入墙顶小砌块孔洞内,深度不宜小于30mm;圈梁顶部应是毛面。
条文说明
F.3.9 本次修订,进一步细化了对圈梁的构造要求。在配筋小砌块砌体抗震墙和楼、屋盖的结合处设置钢筋混凝土圈梁,可进一步增加结构的整体性,同时该圈梁也可作为建筑竖向尺寸调整的手段。钢筋混凝土圈梁作为配筋小砌块砌体抗震墙的一部分,其强度应和灌孔小砌块砌体强度基本一致,相互匹配,其纵筋配筋量不应小于配筋小砌块砌体抗震墙水平筋的数量,其腰筋间距不应大于配筋小砌块砌体抗震墙水平筋间距,并宜适当加密。
F.3.10 配筋混凝土小型空心砌块抗震墙房屋的楼、屋盖,高层建筑和9度时应采用现浇钢筋混凝土板,多层建筑宜采用现浇钢筋混凝土板;抗震等级为四级时,也可采用装配整体式钢筋混凝土楼盖。
条文说明
F.3.10 对于预制板的楼盖,配筋混凝土小型空心砌块砌体抗震墙房屋与其他结构类型房屋一样,均要求楼、屋盖有足够的刚度和整体性。
附录G 钢支撑 混凝土框架和钢框架 钢筋混凝土核心筒结构房屋抗震设计要求
G.1 钢支撑 钢筋混凝土框架
G.1.1 抗震设防烈度为6~8度且房屋高度超过本规范第6.1.1条规定的钢筋混凝土框架结构最大适用高度时,可采用钢支撑-混凝土框架组成抗侧力体系的结构。
按本节要求进行抗震设计时,其适用的最大高度不宜超过本规范第6.1.1条钢筋混凝土框架结构和框架-抗震墙结构二者最大适用高度的平均值。超过最大适用高度的房屋,应进行专门研究和论证,采取有效的加强措施。
条文说明
G.1.1 我国的钢支撑-混凝土框架结构,钢支撑承担较大的水平力,但不及抗震墙,其适用高度不宜超过框架结构和框剪结构二者最大适用高度的平均值。
本节的规定,除抗震等级外也可适用于房屋高度在混凝土框架结构最大适用高度内的情况。
G.1.2 钢支撑-混凝土框架结构房屋应根据设防类别、烈度和房屋高度采用不同的抗震等级,并应符合相应的计算和构造措施要求。丙类建筑的抗震等级,钢支撑框架部分应比本规范第8.1.3条和第6.1.2条框架结构的规定提高一个等级,钢筋混凝土框架部分仍按本规范第6.1.2条框架结构确定。
条文说明
G.1.2 由于房屋高度超过本规范第6.1.1条混凝土框架结构的最大适用高度,故参照框剪结构提高抗震等级。
G.1.3 钢支撑-混凝土框架结构的结构布置,应符合下列要求:
1 钢支撑框架应在结构的两个主轴方向同时设置。
2 钢支撑宜上下连续布置,当受建筑方案影响无法连续布置时,宜在邻跨延续布置。
3 钢支撑宜采用交叉支撑,也可采用人字支撑或V形支撑;采用单支撑时,两方向的斜杆应基本对称布置。
4 钢支撑在平面内的布置应避免导致扭转效应;钢支撑之间无大洞口的楼、屋盖的长宽比,宜符合本规范6.1.6条对抗震墙间距的要求;楼梯间宜布置钢支撑。
5 底层的钢支撑框架按刚度分配的地震倾覆力矩应大于结构总地震倾覆力矩的50%。
条文说明
G.1.3 本条规定了钢支撑-混凝土框架结构不同于钢支撑结构、混凝土框架结构的设计要求,主要参照混凝土框架-抗震墙结构的要求,将钢支撑框架在整个结构中的地位类比于混凝土框架-抗震墙结构中的抗震墙。
G.1. 4 钢支撑-混凝土框架结构的抗震计算,尚应符合下列要求:
1 结构的阻尼比不应大于0.045,也可按混凝土框架部分和钢支撑部分在结构总变形能所占的比例折算为等效阻尼比。
2 钢支撑框架部分的斜杆,可按端部铰接杆计算。当支撑斜杆的轴线偏离混凝土柱轴线超过柱宽1/4时,应考虑附加弯矩。
3 混凝土框架部分承担的地震作用,应按框架结构和支撑框架结构两种模型计算,并宜取二者的较大值。
4 钢支撑-混凝土框架的层间位移限值,宜按框架和框架-抗震墙结构内插。
条文说明
G.1.4 混合结构的阻尼比,取决于混凝土结构和钢结构在总变形能中所占比例的大小。采用振型分解反应谱法时,不同振型的阻尼比可能不同。当简化估算时,可取0.045。
按照多道防线的概念设计,支撑是第一道防线,混凝土框架需适当增大按刚度分配的地震作用,可取两种模型计算的较大值。
G.1.5 钢支撑与混凝土柱的连接构造,应符合本规范第9.1节关于单层钢筋混凝土柱厂房支撑与柱连接的相关要求。钢支撑与混凝土梁的连接构造,应符合连接不先于支撑破坏的要求。
G.1.6 钢支撑-混凝土框架结构中,钢支撑部分尚应按本规范第8章、现行国家标准《钢结构设计规范》GB 50017的规定进行设计;钢筋混凝土框架部分尚应按本规范第6章的规定进行设计。
G.2 钢框架 钢筋混凝土核心筒结构
G.2.1 抗震设防烈度为6~8度且房屋高度超过本规范第6.1.1条规定的混凝土框架-核心筒结构最大适用高度时,可采用钢框架-混凝土核心筒组成抗侧力体系的结构。
按本节要求进行抗震设计时,其适用的最大高度不宜超过本规范第6.1.1条钢筋混凝土框架-核心筒结构最大适用高度和本规范第8.1.1条钢框架-中心支撑结构最大适用高度二者的平均值。超过最大适用高度的房屋,应进行专门研究和论证,采取有效的加强措施。
条文说明
G.2.1 我国的钢框架-钢筋混凝土核心筒,由钢筋混凝土筒体承担主要水平力,其适用高度应低于高层钢结构而高于钢筋混凝土结构,参考《高层建筑混凝土结构技术规程》JGJ 3-2002第11章的规定,其最大适用高度不大于二者的平均值。
G.2.2 钢框架-混凝土核心筒结构房屋应根据设防类别、烈度和房屋高度采用不同的抗震等级,并应符合相应的计算和构造措施要求。丙类建筑的抗震等级,钢框架部分仍按本规范第8.1.3条确定,混凝土部分应比本规范第6.1.2条的规定提高一个等级(8度时应高于一级)。
条文说明
G.2.2 本条抗震等级的划分,基本参照《高层建筑混凝土结构技术规程》JGJ 3-2002的第11章和本规范第6.1.2、8.1.3条的规定。
G.2.3 钢框架-钢筋混凝土核心筒结构房屋的结构布置,尚应符合下列要求:
1 钢框架-核心筒结构的钢外框架梁、柱的连接应采用刚接;楼面梁宜采用钢梁。混凝土墙体与钢梁刚接的部位宜设置连接用的构造型钢。
2 钢框架部分按刚度计算分配的最大楼层地震剪力,不宜小于结构总地震剪力的10%。当小于10%时,核心筒的墙体承担的地震作用应适当增大;墙体构造的抗震等级宜提高一级,一级时应适当提高。
3 钢框架-核心筒结构的楼盖应具有良好的刚度并确保罕遇地震作用下的整体性。楼盖应采用压型钢板组合楼盖或现浇钢筋混凝土楼板,并采取措施加强楼盖与钢梁的连接。当楼面有较大开口或属于转换层楼面时,应采用现浇实心楼盖等措施加强。
4 当钢框架柱下部采用型钢混凝土柱时,不同材料的框架柱连接处应设置过渡层,避免刚度和承载力突变。过渡层钢柱计入外包混凝土后,其截面刚度可按过渡层下部型钢混凝土柱和过渡层上部钢柱二者截面刚度的平均值设计。
条文说明
G.2.3 本条规定了钢框架-钢筋混凝土核心筒结构体系设计中不同于混凝土结构、钢结构的一些基本要求:
1 近年来的试验和计算分析,对钢框架部分应承担的最小地震作用有些新的认识:框架部分承担一定比例的地震作用是非常重要的,如果钢框架部分按计算分配的地震剪力过少,则混凝土、筒体的受力状态和地震下的表现与普通钢筋混凝土结构几乎没有差别,甚至混凝土墙体更容易破坏。
清华大学土木系选择了一幢国内的钢框架-混凝土核心筒结构,变换其钢框架部分和混凝土核心筒的截面尺寸,并将它们进行不同组合,分析了共20个截面尺寸互不相同的结构方案,进行了在地震作用下的受力性能研究和比较,提出了钢框架部分剪力分担率的设计建议。
考虑钢框架-钢筋混凝土核心筒的总高度大于普通的钢筋混凝土框架-核心筒房屋,为给混凝土墙体留有一定的安全储备,规定钢框架按刚度分配的最小地震作用。当小于规定时,混凝土筒承担的地震作用和抗震构造均应适当提高。
2 钢框架柱的应力一般较高,而混凝土墙体大多由位移控制,墙的应力较低,而且两种材料弹性模量不等,此外,混凝土存在徐变和收缩,因此会使钢框架和混凝土筒体间存在较大变形。为了其差异变形不致使结构产生过大的附加内力,国外这类结构的楼盖梁大多两端都做成铰接。我国的习惯做法是,楼盖梁与周边框架刚接,但与钢筋混凝土墙体做成铰接,当墙体内设置连接用的构造型钢时,也可采用刚接。
3 试验表明,混凝土墙体与钢梁连接处存在局部弯矩及轴向力,但墙体平面外刚度较小,很容易出现裂缝;设置构造型钢有助于提高墙体的局部性能,也便于钢结构的安装。
4 底部或下部楼层用型钢混凝土柱,上部楼层用钢柱,可提高结构刚度和节约钢材,是常见的做法。阪神地震表明,此时应避免刚度突变引起的破坏,设置过渡层使结构刚度逐渐变化,可以减缓此种效应。
5 要使钢框架与混凝土核心筒能协同工作,其楼板的刚度和大震作用下的整体性是十分重要的,本条要求其楼板应采用现浇实心板。
G.2.4 钢框架-钢筋混凝土核心筒结构的抗震计算,尚应符合下列要求:
1 结构的阻尼比不应大于0.045,也可按钢筋混凝土筒体部分和钢框架部分在结构总变形能所占的比例折算为等效阻尼比。
2 钢框架部分除伸臂加强层及相邻楼层外的任一楼层按计算分配的地震剪力应乘以增大系数,达到不小于结构底部总地震剪力的20%和框架部分计算最大楼层地震剪力1.5倍二者的较小值,且不少于结构底部地震剪力的15%。由地震作用产生的该楼层框架各构件的剪力、弯矩、轴力计算值均应进行相应调整。
3 结构计算宜考虑钢框架柱和钢筋混凝土墙体轴向变形差异的影响。
4 结构层间位移限值,可采用钢筋混凝土结构的限值。
条文说明
G.2.4 本条规定了抗震计算中,不同于钢筋混凝土结构的要求:
1 混合结构的阻尼比,取决于混凝土结构和钢结构在总变形能中所占比例的大小。采用振型分解反应谱法时,不同振型的阻尼比可能不同。必要时,可参照本规范第10章关于大跨空间钢结构与混凝土支座综合阻尼比的换算方法确定,当简化估算时,可取0.045。
2 根据多道抗震防线的要求,钢框架部分应按其刚度承担一定比例的楼层地震力。
按美国IBC 2006规定,凡在设计时考虑提供所需要的抵抗地震力的结构部件所组成的体系均为抗震结构体系。其中,由剪力墙和框架组成的结构有以下三类:①双重体系是“抗弯框架(moment frame)具有至少提供抵抗25%设计力(design forces)的能力,而总地震抗力由抗弯框架和剪力墙按其相对刚度的比例共同提供”;由中等抗弯框架和普通剪力墙组成的双重体系,其折减系数R=5.5,不许用于加速度大于0.20g的地区。②在剪力墙-框架协同体系中,“每个楼层的地震力均由墙体和框架按其相对刚度的比例并考虑协同工作共同承担”;其折减系数也是R=5.5,但不许用于加速度大于0.13g的地区。③当设计中不考虑框架部分承受地震力时,称为房屋框架(building frame)体系;对于普通剪力墙和建筑框架的体系,其折减系数R=5,不许用于加速度大于0.20g的地区。
关于双重体系中钢框架部分的剪力分担率要求,美国UBC85已经明确为“不少于所需侧向力的25%”,在UBC97是“应能独立承受至少25%的设计基底剪力”。我国在2001抗震规范修订时,第8章多高层钢结构房屋的设计规定是“不小于钢框架部分最大楼层地震剪力的1.8倍和25%结构总地震剪力二者的较小值”。考虑到混凝土核心筒的刚度远大于支撑钢框架或钢筒体,参考混凝土核心筒结构的相关要求,本条规定调整后钢框架承担的剪力至少达到底部总剪力的15%。
G.2.5 钢框架-钢筋混凝土核心筒结构房屋中的钢结构、混凝土结构部分尚应按本规范第6章、第8章和现行国家标准《钢结构设计规范》GB 50017及现行有关行业标准的规定进行设计。
附录H 多层工业厂房抗震设计要求
H.1 钢筋混凝土框排架结构厂房
H.1.1 本节适用于由钢筋混凝土框架与排架侧向连接组成的侧向框排架结构厂房、下部为钢筋混凝土框架上部顶层为排架的竖向框排架结构厂房的抗震设计。当本节未作规定时,其抗震设计应按本规范第6章和第9.1节的有关规定执行。
条文说明
H.1.1 多层钢筋混凝土厂房结构特点:柱网为(6~12)m、跨度大,层高高(4~8)m,楼层荷载大(10~20)kN/m2,可能会有错层,有设备振动扰力、吊车荷载,隔墙少,竖向质量、刚度不均匀,平面扭转。框排架结构是多、高层工业厂房的一种特殊结构,其特点是平面、竖向布置不规则、不对称,纵向、横向和竖向的质量分布很不均匀,结构的薄弱环节较多;地震反应特征和震害要比框架结构和排架结构复杂,表现出更显著的空间作用效应,抗震设计有特殊要求。
H.1.2 框排架结构厂房的框架部分应根据烈度、结构类型和高度采用不同的抗震等级,并应符合相应的计算和构造措施要求。
不设置贮仓时,抗震等级可按本规范第6章确定;设置贮仓时,侧向框排架的抗震等级可按现行国家标准《构筑物抗震设计规范》GB 50191的规定采用,竖向框排架的抗震等级应按本规范第6章框架的高度分界降低4m确定。
注:框架设置贮仓,但竖壁的跨高比大于2.5,仍按不设置贮仓的框架确定抗震等级。
条文说明
H.1.2 为减少与国家标准《构筑物抗震设计规范》GB 50191重复,本附录主要针对上下排列的框排架的特点予以规定。
针对框排架厂房的特点,其抗震措施要求更高。震害表明,同等高度设有贮仓的比不设贮仓的框架在地震中破坏的严重。钢筋混凝土贮仓竖壁与纵横向框架柱相连,以竖壁的跨高比来确定贮仓的影响,当竖壁的跨高比大于2.5时,竖壁为浅梁,可按不设贮仓的框架考虑。
H.1.3 厂房的结构布置,应符合下列要求:
1 厂房的平面宜为矩形,立面宜简单、对称。
2 在结构单元平面内,框架、柱间支撑等抗侧力构件宜对称均匀布置,避免抗侧力结构的侧向刚度和承载力产生突变。
3 质量大的设备不宜布置在结构单元的边缘楼层上,宜设置在距刚度中心较近的部位;当不可避免时宜将设备平台与主体结构分开,或在满足工艺要求的条件下尽量低位布置。
条文说明
H.1.3 对于框排架结构厂房,如在排架跨采用有檩或其他轻屋盖体系,与结构的整体刚度不协调,会产生过大的位移和扭转,为了提高抗扭刚度,保证变形尽量趋于协调,使排架柱列与框架柱列能较好地共同工作,本条规定目的是保证排架跨屋盖的水平刚度;山墙承重属结构单元内有不同的结构形式,造成刚度、荷载、材料强度不均衡,本条规定借鉴单层厂房的规定和震害调查制订。
H.1.4 竖向框排架厂房的结构布置,尚应符合下列要求:
1 屋盖宜采用无檩屋盖体系;当采用其他屋盖体系时,应加强屋盖支撑设置和构件之间的连接,保证屋盖具有足够的水平刚度。
2 纵向端部应设屋架、屋面梁或采用框架结构承重,不应采用山墙承重;排架跨内不应采用横墙和排架混合承重。
3 顶层的排架跨,尚应满足下列要求:
1)排架重心宜与下部结构刚度中心接近或重合,多跨排架宜等高等长;
2)楼盖应现浇,顶层排架嵌固楼层应避免开设大洞口,其楼板厚度不宜小于150mm;
3)排架柱应竖向连续延伸至底部;
4)顶层排架设置纵向柱间支撑处,楼盖不应设有楼梯间或开洞;柱间支撑斜杆中心线应与连接处的梁柱中心线汇交于一点。
H.1.5 竖向框排架厂房的地震作用计算,尚应符合下列要求:
1 地震作用的计算宜采用空间结构模型,质点宜设置在梁柱轴线交点、牛腿、柱顶、柱变截面处和柱上集中荷载处。
2 确定重力荷载代表值时,可变荷载应根据行业特点,对楼面活荷载取相应的组合值系数。贮料的荷载组合值系数可采用0.9。
3 楼层有贮仓和支承重心较高的设备时,支承构件和连接应计及料斗、贮仓和设备水平地震作用产生的附加弯矩。该水平地震作用可按下式计算:

条文说明
H.1.5 在地震时,成品或原料堆积楼面荷载、设备和料斗及管道内的物料等可变荷载的遇合概率较大,应根据行业特点和使用条件,取用不同的组合值系数;厂房除外墙外,一般内隔墙较少,结构自振周期调整系数建议取0.8~0.9;框排架结构的排架柱,是厂房的薄弱部位或薄弱层,应进行弹塑性变形验算;高大设备、料斗、贮仓的地震作用对结构构件和连接的影响不容忽视,其重力荷载除参与结构整体分析外,还应考虑水平地震作用下产生的附加弯矩。式(H.1.5)为设备水平地震作用的简化计算公式。
H.1.6 竖向框排架厂房的地震作用效应调整和抗震验算,应符合下列规定:
1 一、二、三、四级支承贮仓竖壁的框架柱,按本规范第6.2.2、6.2.3、6.2.5条调整后的组合弯矩设计值、剪力设计值尚应乘以增大系数,增大系数不应小于1.1。
2 竖向框排架结构与排架柱相连的顶层框架节点处,柱端组合的弯矩设计值应按第6.2.2条进行调整,其他顶层框架节点处的梁端、柱端弯矩设计值可不调整。
3 顶层排架设置纵向柱间支撑时,与柱间支撑相连排架柱的下部框架柱,一、二级框架柱由地震引起的附加轴力应分别乘以调整系数1.5、1.2;计算轴压比时,附加轴力可不乘以调整系数。
4 框排架厂房的抗震验算,尚应符合下列要求:
1)8度Ⅲ、Ⅳ类场地和9度时,框排架结构的排架柱及伸出框架跨屋顶支承排架跨屋盖的单柱,应进行弹塑性变形验算,弹塑性位移角限值可取1/30。
2)当一、二级框架梁柱节点两侧梁截面高度差大于较高梁截面高度的25%或500mm时,尚应按下式验算节点下柱抗震受剪承载力:

条文说明
H.1.6 支承贮仓竖壁的框架柱的上端截面,在地震作用下如果过早屈服,将影响整体结构的变形能力。对于上述部位的组合弯矩设计值,在第6章规定基础上再增大1.1倍。
与排架柱相连的顶层框架节点处,框架梁端、柱端组合的弯矩设计值乘以增大系数,是为了提高节点承载力。排架纵向地震作用将通过纵向柱间支撑传至下部框架柱,本条参照框支柱要求调整构件内力。
竖向框排架结构的排架柱,是厂房的薄弱部位,需进行弹塑性变形验算。
针对框排架厂房节点两侧梁高通常不等的特点,为防止柱端和小核芯区剪切破坏,提出了高差大于大梁25%或500mm时的承载力验算公式。
H.1.7 竖向框排架厂房的基本抗震构造措施尚应符合下列要求:
1 支承贮仓的框架柱轴压比不宜超过本规范表6.3.6中框架结构的规定数值减少0.05。
2 支承贮仓的框架柱纵向钢筋最小总配筋率应不小于本规范表6.3.7中对角柱的要求。
3 竖向框排架结构的顶层排架设置纵向柱间支撑时,与柱间支撑相连排架柱的下部框架柱,纵向钢筋配筋率、箍筋的配置应满足本规范第6.3.7条中对于框支柱的要求;箍筋加密区取柱全高。
4 框架柱的剪跨比不大于1.5时,应符合下列规定:
1)箍筋应按提高一级抗震等级配置,一级时应适当提高箍筋的要求;
2)框架柱每个方向应配置两根对角斜筋(图H.1.7),对角斜筋的直径,一、二级框架不应小于20mm和18mm,三、四级框架不应小于16mm;对角斜筋的锚固长度,不应小于40倍斜筋直径。

5 框架柱段内设置牛腿时,牛腿及上下各500mm范围内的框架柱箍筋应加密;牛腿的上下柱段净高与柱截面高度之比不大于4时,柱箍筋应全高加密。
条文说明
H.1.7 框架柱的剪跨比不大于1.5时,为超短柱,破坏为剪切脆性型破坏。抗震设计应尽量避免采用超短柱,但由于工艺使用要求,有时不可避免(如有错层等情况),应采取特殊构造措施。在短柱内配置斜钢筋,可以改善其延性,控制斜裂缝发展。
H.1.8 侧向框排架结构的结构布置、地震作用效应调整和抗震验算,以及无檩屋盖和有檩屋盖的支撑布置,应分别符合现行国家标准《构筑物抗震设计规范》GB 50191的有关规定。
H.2 多层钢结构厂房
H.2.1 本节适用于钢结构的框架、支撑框架、框排架等结构体系的多层厂房。本节未作规定时,多层部分可按本规范第8章的有关规定执行,其抗震等级的高度分界应比本规范第8.1节规定降低10m;单层部分可按本规范第9.2节的规定执行。
条文说明
H.2.1 考虑多层厂房受力复杂,其抗震等级的高度分界比民用建筑有所降低。
H.2.2 多层钢结构厂房的布置,除应符合本规范第8章的有关要求外,尚应符合下列规定:
1 平面形状复杂、各部分构架高度差异大或楼层荷载相差悬殊时,应设防震缝或采取其他措施。当设置防震缝时,缝宽不应小于相应混凝土结构房屋的1.5倍。
2 重型设备宜低位布置。
3 当设备重量直接由基础承受,且设备竖向需要穿过楼层时,厂房楼层应与设备分开。设备与楼层之间的缝宽,不得小于防震缝的宽度。
4 楼层上的设备不应跨越防震缝布置;当运输机、管线等长条设备必须穿越防震缝布置时,设备应具有适应地震时结构变形的能力或防止断裂的措施。
5 厂房内的工作平台结构与厂房框架结构宜采用防震缝脱开布置。当与厂房结构连接成整体时,平台结构的标高宜与厂房框架的相应楼层标高一致。
条文说明
H.2.2 当设备、料斗等设备穿过楼层时,由于各楼层梁的竖向挠度难以同步,如采用分层支承,则各楼层结构的受力不明确。同时,在水平地震作用下,各层的层间位移对设备、料斗产生附加作用效应,严重时可损坏设备。
细而高的设备必须借助厂房楼层侧向支承才能稳定,楼层与设备之间应采用能适应层间位移差异的柔性连接。
装料后的设备、料斗总重心接近楼层的支承点处,是为了降低设备或料斗的地震作用对支承结构所产生的附加效应。
H.2.3 多层钢结构厂房的支撑布置,应符合下列要求:
1 柱间支撑宜布置在荷载较大的柱间,且在同一柱间上下贯通;当条件限制必须错开布置时,应在紧邻柱间连续布置,并宜适当增加相近楼层或屋面的水平支撑或柱间支撑搭接一层,确保支撑承担的水平地震作用可靠传递至基础。
2 有抽柱的结构,应适当增加相近楼层、屋面的水平支撑,并在相邻柱间设置竖向支撑。
3 当各榀框架侧向刚度相差较大、柱间支撑布置又不规则时,采用钢铺板的楼盖,应设置楼盖水平支撑。
4 各柱列的纵向刚度宜相等或接近。
条文说明
H.2.3 结构布置合理的支撑位置,往往与工艺布置冲突,支撑布置难以上下贯通,支撑平面布置错位。在保证支撑能把水平地震作用通过适当的途径,可靠地传递至基础前提下,支撑位置也可不设置在同一柱间。
H.2.4 厂房楼盖宜采用现浇混凝土的组合楼板,亦可采用装配整体式楼盖或钢铺板,尚应符合下列要求:
1 混凝土楼盖应与钢梁有可靠的连接。
2 当楼板开设孔洞时,应有可靠的措施保证楼板传递地震作用。
H.2.5 框排架结构应设置完整的屋盖支撑,尚应符合下列要求:
1 排架的屋盖横梁与多层框架的连接支座的标高,宜与多层框架相应楼层标高一致,并应沿单层与多层相连柱列全长设置屋盖纵向水平支撑。
2 高跨和低跨宜按各自的标高组成相对独立的封闭支撑体系。
H.2.6 多层钢结构厂房的地震作用计算,尚应符合下列规定:
1 一般情况下,宜采用空间结构模型分析;当结构布置规则,质量分布均匀时,亦可分别沿结构横向和纵向进行验算。现浇钢筋混凝土楼板,当板面开孔较小且用抗剪连接件与钢梁连接成为整体时,可视为刚性楼盖。
2 在多遇地震下,结构阻尼比可采用0.03~0.04;在罕遇地震下,阻尼比可采用0.05。
3 确定重力荷载代表值时,可变荷载应根据行业的特点,对楼面检修荷载、成品或原料堆积楼面荷载、设备和料斗及管道内的物料等,采用相应的组合值系数。
4 直接支承设备、料斗的构件及其连接,应计入设备等产生的地震作用。一般的设备对支承构件及其连接产生的水平地震作用,可按本附录第H.1.5条的规定计算;该水平地震作用对支承构件产生的弯矩、扭矩,取设备重心至支承构件形心距离计算。
条文说明
H.2.6 本条与2001规范相比,主要增加关于阻尼比的规定:
在众值烈度的地震作用下,结构处于弹性阶段。根据33个冶金钢结构厂房用脉动法和吊车刹车进行大位移自由衰减阻尼比测试结果,钢结构厂房小位移阻尼比为0.012~0.029之间,平均阻尼比0.018;大位移阻尼比为0.0188~0.0363之间,平均阻尼比0.026。与本规范第8.2.2条协调,规定多遇地震作用计算的阻尼比取0.03~0.04。板件宽厚比限值的选择计算的阻尼比也取此值。当结构经受强烈地震作用(如中震、大震等)时,考虑到结构已可能进入非弹性阶段,结构以延性耗能为主。因此,罕遇地震分析的阻尼比可适当取大一些。
H.2.7 多层钢结构厂房构件和节点的抗震承载力验算,尚应符合下列规定:
1 按本规范式(8.2.5)验算节点左右梁端和上下柱端的全塑性承载力时,框架柱的强柱系数,一级和地震作用控制时,取1.25;二级和1.5倍地震作用控制时,取1.20;三级和2倍地震作用控制时,取1.10。
2 下列情况可不满足本规范式(8.2.5)的要求:
1)单层框架的柱顶或多层框架顶层的柱顶;
2)不满足本规范式(8.2.5)的框架柱沿验算方向的受剪承载力总和小于该楼层框架受剪承载力的20%;且该楼层每一柱列不满足本规范式(8.2.5)的框架柱的受剪承载力总和小于本柱列全部框架柱受剪承载力总和的33%。
3 柱间支撑杆件设计内力与其承载力设计值之比不宜大于0.8;当柱间支撑承担不小于70%的楼层剪力时,不宜大于0.65。
条文说明
H.2.7 “强柱弱梁”抗震概念,考虑的不仅是单独的梁柱连接部位,在更大程度上是反映结构的整体性能。多层工业厂房中,由于工艺设备布置的要求,有时较难做到“强柱弱梁”要求,因此,应着眼于结构整体的角度全面考虑和计算分析。
对梁柱节点左右梁端和上下柱端的全塑性承载力的验算要求,比本规范第8.2.5条增加两种例外情况:
①单层或多层结构顶层的低轴力柱,弹塑性软弱层的影响不明显,不需要满足要求。
②柱列中允许占一定比例的柱,当轴力较小而足以限制其在地震下出现不利反应且仍有可接受的刚度时,可不必满足强柱弱梁要求(如在厂房钢结构的一些大跨梁处、民用建筑转换大梁处)。条文中的柱列,指一个单线柱列或垂直于该柱列方向平面尺寸10%范围内的几列平行的柱列。
H.2.8 多层钢结构厂房的基本抗震构造措施,尚应符合下列规定:
1 框架柱的长细比不宜大于150;当轴压比大于0.2时,不宜大于125(1—0.8N/Af)。
2 厂房框架柱、梁的板件宽厚比,应符合下列要求:
1)单层部分和总高度不大于40m的多层部分,可按本规范第9.2节规定执行;
2)多层部分总高度大于40m时,可按本规范第8.3节规定执行。
3 框架梁、柱的最大应力区,不得突然改变翼缘截面,其上下翼缘均应设置侧向支承,此支承点与相邻支承点之间距应符合现行《钢结构设计规范》GB 50017中塑性设计的有关要求。
4 柱间支撑构件宜符合下列要求:
1)多层框架部分的柱间支撑,宜与框架横梁组成X形或其他有利于抗震的形式,其长细比不宜大于150;
2)支撑杆件的板件宽厚比应符合本规范第9.2节的要求。
5 框架梁采用高强度螺栓摩擦型拼接时,其位置宜避开最大应力区(1/10梁净跨和1.5倍梁高的较大值)。梁翼缘拼接时,在平行于内力方向的高强度螺栓不宜少于3排,拼接板的截面模量应大于被拼接截面模量的1.1倍。
6 厂房柱脚应能保证传递柱的承载力,宜采用埋入式、插入式或外包式柱脚,并按本规范第9.2节的规定执行。
条文说明
H.2.8 框架柱长细比限值大小对钢结构耗钢量有较大影响。构件长细比增加,往往误解为承载力退化严重。其实,这时的比较对象是构件的强度承载力,而不是稳定承载力。构件长细比属于稳定设计的范畴(实质上是位移问题)。构件长细比愈大,设计可使用的稳定承载力则愈小。在此基础上的比较表明,长细比增加,并不表现出稳定承载力退化趋势加重的迹象。
显然,框架柱的长细比增大,结构层间刚度减小,整体稳定性降低。但这些概念上已由结构的最大位移限值、层间位移限值、二阶效应验算以及限制软弱层、薄弱层、平面和竖向布置的抗震概念措施等所控制。美国AISC钢结构规范在提示中述及受压构件的长细比不应超过200,钢结构抗震规范未作规定;日本BCJ抗震规范规定柱的长细比不得超过200。条文参考美国、欧洲、日本钢结构规范和抗震规范,结合我国钢结构设计习惯,对框架柱的长细比限值作出规定。 当构件长细比不大于125
(弹塑性屈曲范围)时,长细比的钢号修正项才起作用。
抗侧力结构构件的截面板件宽厚比,是抗震钢结构构件局部延性要求的关键指标。板件宽厚比对工程设计的耗钢量影响很大。考虑多层钢结构厂房的特点,其板件宽厚比的抗震等级分界,比民用建筑降低10m。
多层钢结构厂房的支撑布置往往受工艺要求制约,故增大其地震组合设计值。为避免出现过度刚强的支撑而吸引过多的地震作用,其长细比宜在弹性屈曲范围内选用。条文给出的柱间支撑长细比限值,下限值与欧洲规范的X形支撑、美国规范特殊中心支撑框架(SCBF)、日本规范的BB级支撑相当,上限值要稍严些。条文限定支撑长细比下限值的原因是,长细比在部分弹塑性屈曲范围(60
≤λ≤125
)中心受压构件,表现为承载力值不稳定,滞回环波动大。
附录J 单层厂房横向平面排架地震作用效应调整
J.1 基本自振周期的调整
J.1.1 按平面排架计算厂房的横向地震作用时,排架的基本自振周期应考虑纵墙及屋架与柱连接的固结作用,可按下列规定进行调整:
1 由钢筋混凝土屋架或钢屋架与钢筋混凝土柱组成的排架,有纵墙时取周期计算值的80%,无纵墙时取90%;
2 由钢筋混凝土屋架或钢屋架与砖柱组成的排架,取周期计算值的90%;
3 由木屋架、钢木屋架或轻钢屋架与砖柱组成排架,取周期计算值。
J.2 排架柱地震剪力和弯矩的调整系数
J.2.1 钢筋混凝土屋盖的单层钢筋混凝柱厂房,按本规范第J.1.1条确定基本自振周期且按平面排架计算的排架柱地震剪力和弯矩,当符合下列要求时,可考虑空间工作和扭转影响,并按本规范第J.2.3条的规定调整:
1 7度和8度;
2 厂房单元屋盖长度与总跨度之比小于8或厂房总跨度大于12m;
3 山墙的厚度不小于240mm,开洞所占的水平截面积不超过总面积50%,并与屋盖系统有良好的连接;
4 柱顶高度不大于15m。
注:1 屋盖长度指山墙到山墙的间距,仅一端有山墙时,应取所考虑排架至山墙的距离;
2 高低跨相差较大的不等高厂房,总跨度可不包括低跨。
J.2.2 钢筋混凝土屋盖和密铺望板瓦木屋盖的单层砖柱厂房,按本规范第J.1.1条确定基本自振周期且按平面排架计算的排架柱地震剪力和弯矩,当符合下列要求时,可考虑空间工作,并按本规范第J.2.3条的规定调整:
1 7度和8度;
2 两端均有承重山墙;
3 山墙或承重(抗震)横墙的厚度不小于240mm,开洞所占的水平截面积不超过总面积50%,并与屋盖系统有良好的连接;
4 山墙或承重(抗震)横墙的长度不宜小于其高度;
5 单元屋盖长度与总跨度之比小于8或厂房总跨度大于12m。
注:屋盖长度指山墙到山墙或承重(抗震)横墙的间距。
J.2.3 排架柱的剪力和弯矩应分别乘以相应的调整系数,除高低跨度交接处上柱以外的钢筋混凝土柱,其值可按表J.2.3—1采用,两端均有山墙的砖柱,其值可按表J.2.3—2采用。


J.2.5 钢筋混凝土柱单层厂房的吊车梁顶标高处的上柱截面,由起重机桥架引起的地震剪力和弯矩应乘以增大系数,当按底部剪力法等简化计算方法计算时,其值可按表J.2.5采用。

附录K 单层厂房纵向抗震验算
K.1 单层钢筋混凝土柱厂房纵向抗震计算的修正刚度法
K.1.1 纵向基本自振周期的计算。
按本附录计算单跨或等高多跨的钢筋混凝土柱厂房纵向地震作用时,在柱顶标高不大于15m且平均跨度不大于30m时,纵向基本周期可按下列公式确定:
1 砖围护墙厂房,可按下式计算:

K.1.2 柱列地震作用的计算。
1 等高多跨钢筋混凝土屋盖的厂房,各纵向柱列的柱顶标高处的地震作用标准值,可按下列公式确定:


2 等高多跨钢筋混凝土屋盖厂房,柱列各吊车梁顶标高处的纵向地震作用标准值,可按下式确定:

K.2 单层钢筋混凝土柱厂房柱间支撑地震作用效应及验算
K.2.1 斜杆长细比不大于200的柱间支撑在单位侧力作用下的水平位移,可按下式确定:

K.2.2 长细比不大于200的斜杆截面可仅按抗拉验算,但应考虑压杆的卸载影响,其拉力可按下式确定:

K.2.3 无贴砌墙的纵向柱列,上柱支撑与同列下柱支撑宜等强设计。
K.3 单层钢筋混凝土柱厂房柱间支撑端节点预埋件的截面抗震验算
K.3.1 柱间支撑与柱连接节点预埋件的锚件采用锚筋时,其截面抗震承载力宜按下列公式验算:


K.4 单层砖柱厂房纵向抗震计算的修正刚度法
K.4.1 本节适用于钢筋混凝土无檩或有檩屋盖等高多跨单层砖柱厂房的纵向抗震验算。
K.4.2 单层砖柱厂房的纵向基本自振周期可按下式计算:

K.4.3 单层砖柱厂房纵向总水平地震作用标准值可按下式计算:

K.4.4 沿厂房纵向第s柱列上端的水平地震作用可按下式计算:

附录L 隔震设计简化计算和砌体结构隔震措施
L.1 隔震设计的简化计算
L.1.1 多层砌体结构及与砌体结构周期相当的结构采用隔震设计时,上部结构的总水平地震作用可按本规范式(5.2.1—1)简化计算,但应符合下列规定:
1 水平向减震系数,宜根据隔震后整个体系的基本周期,按下式确定:

2 与砌体结构周期相当的结构,其水平向减震系数宜根据隔震后整个体系的基本周期,按下式确
定:


L.1.4 当隔震支座的平面布置为矩形或接近于矩形,但上部结构的质心与隔震层刚度中心不重合时,隔震支座扭转影响系数可按下列方法确定:
1 仅考虑单向地震作用的扭转时(图L.1.4),扭转影响系数可按下列公式估计:


对边支座,其扭转影响系数不宜小于1.15;当隔震层和上部结构采取有效的抗扭措施后或扭转周期小于平动周期的70%,扭转影响系数可取1.15。
2 同时考虑双向地震作用的扭转时,扭转影响系数可仍按式(L.1.4—1)计算,但其中的偏心距值(e)应采用下列公式中的较大值替代:
L.1.5 砌体结构按本规范第12.2.5条规定进行竖向地震作用下的抗震验算时,砌体抗震抗剪强度的正应力影响系数,宜按减去竖向地震作用效应后的平均压应力取值。
L.L.6 砌体结构的隔震层顶部各纵、横梁均可按承受均布荷载的单跨简支梁或多跨连续梁计算。均布荷载可按本规范第7.2.5条关于底部框架砖房的钢筋混凝土托墙梁的规定取值;当按连续梁算出的正弯矩小于单跨简支梁跨中弯矩的0.8倍时,应按0.8倍单跨简支梁跨中弯矩配筋。
L.2 砌体结构的隔震措施
L.2.1 当水平向减震系数不大于0.40时(设置阻尼器时为0.38),丙类建筑的多层砌体结构,房屋的层数、总高度和高宽比限值,可按本规范第7.1节中降低一度的有关规定采用。
L.2.2 砌体结构隔震层的构造应符合下列规定:
1 多层砌体房屋的隔震层位于地下室顶部时,隔震支座不宜直接放置在砌体墙上,并应验算砌体的局部承压。
2 隔震层顶部纵、横梁的构造均应符合本规范第7.5.8条关于底部框架砖房的钢筋混凝土托墙梁的要求。
L.2.3 丙类建筑隔震后上部砌体结构的抗震构造措施应符合下列要求:
1 承重外墙尽端至门窗洞边的最小距离及圈梁的截面和配筋构造,仍应符合本规范第7.1节和第7.3、7.4节的有关规定。
2 多层砖砌体房屋的钢筋混凝土构造柱设置,水平向减震系数大于0.40时(设置阻尼器时为0.38),仍应符合本规范表7.3.1的规定;(7~9)度,水平向减震系数不大于0.40时(设置阻尼器时为0.38),应符合表L.2.3—1的规定。
3 混凝土小砌块房屋芯柱的设置,水平向减震系数大于0.40时(设置阻尼器时为0.38),仍应符合本规范表7.4.1的规定;(7~9)度,当水平向减震系数不大于0.40时(设置阻尼器时为0.38),应符合表L.2.3—2的规定。
4 上部结构的其他抗震构造措施,水平向减系数大于0.40时(设置阻尼器时为0.38)仍按本规范第7章的相应规定采用;(7~9)度,水平向减震系数不大于0.40时(设置阻尼器时为0.38),可按本规范第7章降低一度的相应规定采用。


附录M 实现抗震性能设计目标的参考方法
M.1 结构构件抗震性能设计方法
M.1.1 结构构件可按下列规定选择实现抗震性能要求的抗震承载力、变形能力和构造的抗震等级;整个结构不同部位的构件竖向构件和水平构件,可选用相同或不同的抗震性能要求:
1 当以提高抗震安全性为主时,结构构件对应于不同性能要求的承载力参考指标,可按表M.1.1—1的示例选用。

2 当需要按地震残余变形确定使用性能时,结构构件除满足提高抗震安全性的性能要求外,不同性能要求的层间位移参考指标,可按表M.1.1—2的示例选用。

3 结构构件细部构造对应于不同性能要求的抗震等级,可按表M.1.1—3的示例选用;结构中同一部位的不同构件,可区分竖向构件和水平构件,按各自最低的性能要求所对应的抗震构造等级选用。

条文说明
M.1.1 本条依据震害,尽可能将结构构件在地震中的破坏程度,用构件的承载力和变形的状态做适当的定量描述,以作为性能设计的参考指标。
关于中等破坏时构件变形的参考值,大致取规范弹性限值和弹塑性限值的平均值;构件接近极限承载力时,其变形比中等破坏小些;轻微损坏,构件处于开裂状态,大致取中等破坏的一半。不严重破坏,大致取规范不倒塌的弹塑性变形限值的90%。
不同性能要求的位移及其延性要求,参见图28。从中可见,对于非隔震、减震结构,性能1,在罕遇地震时层间位移可按线性弹性计算,约为[△ue],震后基本不存在残余变形;性能2,震时位移小于2[△ue],震后残余变形小于0.5[△ue];性能3,考虑阻尼有所增加,震时位移约为(4~5)[△ue],按退化刚度估计震后残余变形约[△ue];性能4,考虑等效阻尼加大和刚度退化,震时位移约为(7~8)[△ue],震后残余变形约2[△ue]。
从抗震能力的等能量原理,当承载力提高一倍时,延性要求减少一半,故构造所对应的抗震等级大致可按降低一度的规定采用。延性的细部构造,对混凝土构件主要指箍筋、边缘构件和轴压比等构造,不包括影响正截面承载力的纵向受力钢筋的构造要求;对钢结构构件主要指长细比、板件宽厚比、加劲肋等构造。
M.1.2 结构构件承载力按不同要求进行复核时,地震内力计算和调整、地震作用效应组合、材料强度取值和验算方法,应符合下列要求:
1 设防烈度下结构构件承载力,包括混凝土构件压弯、拉弯、受剪、受弯承载力,钢构件受拉、受压、受弯、稳定承载力等,按考虑地震效应调整的设计值复核时,应采用对应于抗震等级而不计入风荷载效应的地震作用效应基本组合,并按下式验算:


条文说明
M.1.2 本条列出了实现不同性能要求的构件承载力验算表达式,中震和大震均不考虑地震效应与风荷载效应的组合。
设计值复核,需计入作用分项系数、抗力的材料分项系数、承载力抗震调整系数,但计入和不计入不同抗震等级的内力调整系数时,其安全性的高低略有区别。
标准值和极限值复核,不计入作用分项系数、承载力抗震调整系数和内力调整系数,但材料强度分别取标准值和最小极限值。其中,钢材强度的最小极限值fu按《高层民用建筑钢结构技术规程》JGJ 99采用,约为钢材屈服强度的(1.35~1.5)倍;钢筋最小极限强度参照本规范第3.9.2条,取钢筋屈服强度fy的1.25倍;混凝土最小极限强度参照《混凝土结构设计规范》GB 50011—2002第4.1.3条的说明,考虑实际结构混凝土强度与试件混凝土强度的差异,取立方强度的0.88倍。
M.1.3 结构竖向构件在设防地震、罕遇地震作用下的层间弹塑性变形按不同控制目标进行复核时,地震层间剪力计算、地震作用效应调整、构件层间位移计算和验算方法,应符合下列要求:
1 地震层间剪力和地震作用效应调整,应根据整个结构不同部位进入弹塑性阶段程度的不同,采用不同的方法。构件总体上处于开裂阶段或刚刚进入屈服阶段,可取等效刚度和等效阻尼,按等效线性方法估算;构件总体上处于承载力屈服至极限阶段,宜采用静力或动力弹塑性分析方法估算;构件总体上处于承载力下降阶段,应采用计入下降段参数的动力弹塑性分析方法估算。
2 在设防地震下,混凝土构件的初始刚度,宜采用长期刚度。
3 构件层间弹塑性变形计算时,应依据其实际的承载力,并应按本规范的规定计入重力二阶效应;风荷载和重力作用下的变形不参与地震组合。
4 构件层间弹塑性变形的验算,可采用下列公式:

确定;整个结构中变形最大部位的竖向构件,轻微损坏可取中等破坏的一半,中等破坏可取本规范表5.5.1和表5.5.5规定值的平均值,不严重破坏按小于本规范表5.5.5规定值的0.9倍控制。
条文说明
M.1.3 本条给出竖向构件弹塑性变形验算的注意事项。
对于不同的破坏状态,弹塑性分析的地震作用和变形计算的方法也不同,需分别处理。
地震作用下构件弹塑性变形计算时,必须依据其实际的承载力——取材料强度标准值、实际截面尺寸(含钢筋截面)、轴向力等计算,考虑地震强度的不确定性,构件材料动静强度的差异等等因素的影响,从工程的角度,构件弹塑性参数可仍按杆件模型适当简化,参照IBC的规定,建议混凝土构件的初始刚度取短期或长期刚度,至少按0.85EcI简化计算。
结构的竖向构件在不同破坏状态下层间位移角的参考控制目标,若依据试验结果并扣除整体转动影响,墙体的控制值要远小于框架柱。从工程应用的角度,参照常规设计时各楼层最大层间位移角的限值,若干结构类型按本条正文规定得到的变形最大的楼层中竖向构件最大位移角限值,如表9所示。 
M.2 建筑构件和建筑附属设备支座抗震性能设计方法
条文说明
各类建筑构件在强烈地震下的性能,一般允许其损坏大于结构构件,在大震下损坏不对生命造成危害。固定于结构的各类机电设备,则需考虑使用功能保持的程度,如检修后照常使用、一般性修理后恢复使用、更换部分构件的大修后恢复使用等。
本附录的表M.2.2和表M.2.3来自2001规范第13.2.3条的条文说明,主要参考国外的相关规定。
关于功能系数,UBC97分1.5和1.0两档,欧洲规范分1.5、1.4、1.2、1.0和0.8五档,日本取1.0,2/3,1/2三档。本附录按设防类别和使用要求确定,一般分为三档,取≥1.4、1.0和0.6。
关于构件类别系数,美国早期的ATC-3分0.6、0.9、1.5、2.0、3.0五档,UBC97称反应修正系数,无延性材料或采用胶粘剂的锚固为1.0,其余分为2/3、1/3、1/4三档,欧洲规范分1.0和1/2两档。本附录分0.6、0.9、1.0和1.2四档。
M.2.1 当非结构的建筑构件和附属机电设备按使用功能的专门要求进行性能设计时,在遭遇设防烈度地震影响下的性能要求可按表M.2.1选用。

M.2.2 建筑围护墙、附属构件及固定储物柜等进行抗震性能设计时,其地震作用的构件类别系数和功能系数可参考表M.2.2确定。

M.2.3 建筑附属设备的支座及连接件进行抗震性能设计时,其地震作用的构件类别系数和功能系数可参考表M.2.3确定。

M.3 建筑构件和建筑附属设备抗震计算的楼面谱方法
条文说明
非结构抗震设计的楼面谱,即从具体的结构及非结构所在的楼层在地震下的运动(如实际加速度记录或模拟加速度时程)得到具体的加速度谱,体现非结构动力特性对所处环境(场地条件、结构特性、非结构位置等)地震反应的再次放大效果。对不同的结构或同一结构的不同楼层,其楼面谱均不相同,在与结构体系主要振动周期相近的若干周期段,均有明显的放大效果。下面给出北京长富宫的楼面谱,可以看到上述特点。
北京长富宫为地上25层的钢结构,前六个自振周期为3.45s、1.15s、0.66s、0.48s、0.46s、0.35s。采用随机振动法计算的顶层楼面反应谱如图29所示,说明非结构的支承条件不同时,与主体结构的某个振型发生共振的机会是较多的。 
M.3.1 非结构构件的楼面谱,应反映支承非结构构件的具体结构自身动力特性、非结构构件所在楼层位置,以及结构和非结构阻尼特性对结构所在地点的地面地震运动的放大作用。
计算楼面谱时,一般情况,非结构构件可采用单质点模型;对支座间有相对位移的非结构构件,宜采用多支点体系计算。
M.3.2 采用楼面反应谱法时,非结构构件的水平地震作用标准值可按下列公式计算:

本规范用词说明
1 为了便于在执行本规范条文时区别对待,对要求严格程度不同的用词说明如下:
1)表示很严格,非这样做不可的:
正面词采用“必须”;反面词采用“严禁”;
2)表示严格,在正常情况下均应这样做的:
正面词采用“应”;反面词采用“不应”或“不得”;
3)表示允许稍有选择,在条件许可时首先这样做的:
正面词采用“宜”;反面词采用“不宜”;
4)表示有选择,在一定条件下可以这样做的,采用“可”。
2 条文中指明应按其他有关标准、规范执行的写法为:“应符合……的规定”或“应按……执行”。
引用标准名录
1 《建筑地基基础设计规范》GB 50007
2 《建筑结构荷载规范》GB 50009
3 《混凝土结构设计规范》GB 50010
4 《钢结构设计规范》GB 50017
5 《构筑物抗震设计规范》GB 50191
6 《混凝土结构工程施工质量验收规范》GB 50204
7 《建筑工程抗震设防分类标准》GB 50223
8 《建筑边坡工程技术规范》GB 50330
9 《橡胶支座 第3部分:建筑隔震橡胶支座》GB 20688.3
10 《厚度方向性能钢板》GB/T 5313
