Appearance
《混凝土结构设计标准》GB/T 50010-2010(2024年版)
🗓️ 住房和城乡建设部 实施时间:2011-07-01
前言
住房城乡建设部关于发布国家标准
《混凝土结构设计规范》局部修订的公告
现批准《混凝土结构设计规范》(GB50010-2010)局部修订的条文,自2024年8月1日起实施。标准名称修改为《混凝土结构设计标准》,标准编号修改为GB/T50010-2010。
局部修订的条文在住房城乡建设部门户网站(www.mohurd.gov.cn)公开,并刊登在近期出版的《工程建设标准化》刊物上。
住房城乡建设部
2024年4月24日
(混凝土结构设计规范》GB50010-2010(2015年版)
局部修订条文
(2024年版)
说明:1.下划线标记的文字为新增内容,删除线标记的文字为删除的原内容,无标记的文字为原内容。
2.本次修订的条文应与《混凝土结构设计规范》GB50010-2010(2015年版)中其他条文一并实施。
局部修订说明
本次局部修订系根据《住房和城乡建设部关于印发〈2019年工程建设规范和标准编制及相关工作计划〉的通知》(建标函[2019]8号)要求,由中国建筑科学研究院有限公司会同有关单位对《混凝土结构设计规范》GB50010-2010(2015年版)进行局部修订而成。
本次局部修订,主要是适度提高混凝土结构强度等级要求,删除HRB335牌号钢筋的有关规定,个别调整混凝土结构楼板厚度及混凝土结构构件配筋构造要求等。修订过程中,广泛征求了各方面意见,对具体修订内容进行了反复研讨,与国家相关工程建设规范及工程建设标准进行协调,最后经审查定稿。
本次局部修订共涉及26个条文,分别为第2.2.1条、第3.4.2条、第3.5.3条、第4.1.2条~第4.1.5条、第4.2.1条~第4.2.6条、第4.2.8条、第8.3.1条、第8.5.1条、第8.5.3条、第9.1.2条、第9.4.5条、第9.5.2条、第10.1.2条、第11.2.1条、第11.4.12条、第11.7.14条、第G.0.7条和第G.0.12条。
本次局部修订的起草单位:中国建筑科学研究院有限公司
哈尔滨工业大学
重庆大学
北京市建筑设计研究院有限公司
华东建筑设计研究院有限公司
中国建筑西南设计研究院有限公司
南京市建筑设计研究院有限公司
郑州大学综合设计研究院有限公司
本次局部修订起草人员:黄小坤 朱爱萍 赵基达 郑文忠 张川 陈彬磊 张凤新 吴小宾 左江 于秋波
本次局部修订审查人员:徐建 娄宇 丁永君 李景芳 曹万林 章一萍 卢伟煌 朱兆晴 张建军
中华人民共和国国家标准
混凝土结构设计规范
Code for design of concrete structures
GB 50010-2010
(2015年版)
主编部门:中华人民共和国住房和城乡建设部
批准部门:中华人民共和国住房和城乡建设部
施行日期:2011年7月1日
中华人民共和国住房和城乡建设部
公 告
第919号
住房城乡建设部关于发布国家标准
《混凝土结构设计规范》局部修订的公告
现批准《混凝土结构设计规范》GB 50010-2010局部修订的条文,自发布之日起实施。经此次修改的原条文同时废止。
局部修订的条文及具体内容,将刊登在我部有关网站和近期出版的《工程建设标准化》刊物上。
中华人民共和国住房和城乡建设部
2015年9月22日
修订说明
本次局部修订系根据住房和城乡建设部《关于同意国家标准<混凝土结构设计规范>GB 50010-2010局部修订的函》(建标标函[2013]29号)要求,由中国建筑科学研究院会同有关单位对《混凝土结构设计规范》GB 50010-2010局部修订而成。
本次修订对混凝土结构用钢筋的品种和规格进行了调整。修订过程中广泛征求了各方面的意见,对具体修订内容进行了反复的讨论和修改,与相关标准进行协调,最后经审查定稿。
此次局部修订,共涉及9个条文的修改,分别为第4.2.1条、第4.2.2条、第4.2.3条、第4.2.4条、第4.2.5条、第9.3.2条、第9.7.6条、第11.7.11条和第G.0.12条。
本规范条文下划线部分为修改的内容;用黑体字表示的条文为强制性条文,必须严格执行。
前言
根据原建设部《关于印发<2006年工程建设标准规范制订、修订计划(第一批)>的通知》(建标[2006]77号文)要求,本规范由中国建筑科学研究院会同有关单位经调查研究,认真总结实践经验,参考有关国际标准和国外先进标准,并在广泛征求意见的基础上修订完成。
本规范的主要内容是:总则、术语和符号基本设计规定、材料、结构分析、承载能力极限状态计算、正常使用极限状态验算、构造规定、结构构件的基本规定、预应力混凝土结构构件、混凝土结构构件抗震设计以及有关的附录。
本规范修订的主要技术内容是:1.补充了结构方案、结构防连续倒塌、既有结构设计和无粘结预应力设计的原则规定;2.修改了正常使用极限状态验算的有关规定;3.增加了500MPa级带肋钢筋,以300MPa级光圆钢筋取代了235MPa级钢筋;4.补充了复合受力构件设计的相关规定,修改了受剪、受冲切承载力计算公式;5.调整了钢筋的保护层厚度、钢筋锚固长度和纵向受力钢筋最小配筋率的有关规定;6.补充、修改了柱双向受剪、连梁和剪力墙边缘构件的抗震设计相关规定;7.补充、修改了预应力混凝土构件及板柱节点抗震设计的相关要求。
本规范中以黑体字标志的条文为强制性条文,必须严格执行。
本规范由住房和城乡建设部负责管理和对强制性条文的解释,由中国建筑科学研究院负责具体技术内容的解释。执行本规范过程中如有意见或建议,请寄送中国建筑科学研究院国家标准《混凝土结构设计规范》管理组(地址:北京市北三环东路30号,邮编:100013)。
本规范主编单位:中国建筑科学研究院
本规范参编单位:清华大学 同济大学 重庆大学 天津大学 东南大学 郑州大学 大连理工大学 哈尔滨工业大学 浙江大学 湖南大学 西安建筑科技大学 河海大学 国家建筑工程质量监督检验中心 中国建筑设计研究院 北京市建筑设计研究院 华东建筑设计研究院有限公司 中国建筑西南设计研究院 南京市建筑设计研究院有限公司 中国航空工业规划设计研究院 国家建筑钢材质量监督检验中心 中建国际建设公司 北京榆构有限公司
本规范主要起草人员:赵基达 徐有邻 黄小坤 陶学康 李云贵 李东彬 叶列平 李杰 傅剑平 王铁成 刘立新 邱洪兴 邸小坛 王晓锋 朱爱萍 宋玉普 郑文忠 金伟良 梁兴文 易伟建 吴胜兴 范重 柯长华 张凤新 左江 贾洁 吴小宾 朱建国 蒋勤俭 邓明胜 刘 刚
本规范主要审查人员:吴学敏 徐永基 白生翔 李明顺 汪大绥 程懋堃 康谷贻 莫庸 王振华 胡家顺 孙慧中 陈国义 耿树江 赵君黎 刘琼祥 娄宇 章一萍 李霆 吴一红
条文说明
修订说明 《混凝土结构设计规范》GB 50010-2010经住房和城乡建设部2010年8月18日以第743号公告批准、发布。 本规范是在《混凝土结构设计规范》GB 50010-2002的基础上修订而成的,上一版的主编单位是中国建筑科学研究院,参编单位是清华大学、天津大学、重庆建筑大学、湖南大学、东南大学、河海大学、大连理工大学、哈尔滨建筑大学、西安建筑科技大学、建设部建筑设计院、北京市建筑设计研究院、首都工程有限公司、中国轻工业北京设计院、铁道部专业设计院、交通部水运规划设计院、西北水电勘测设计院、冶金材料行业协会预应力委员会,主要起草人员是李明顺、徐有邻、白生翔、白绍良、孙慧中、沙志国、吴学敏、陈健、胡德忻、程懋堃、王振东、王振华、过镇海、庄崖屏、朱龙、邹银生、宋玉普、沈聚敏、邸小坛、吴佩刚、周氐、姜维山、陶学康、康谷贻、蓝宗建、干城、夏琪俐。 本规范修订过程中,修订组进行了广泛的调查研究,总结了我国工程建设的实践经验,同时参考了国外先进技术法规、技术标准,许多单位和学者进行了卓有成效的试验和研究,为本次修订提供了极有价值的参考资料。 为便于广大设计、施工、科研、学校等单位有关人员在使用本规范时能正确理解和执行条文规定,《混凝土结构设计规范》修订组按章、节、条顺序编制了本规范的条文说明,对条文规定的目的、依据以及执行中需注意的有关事项进行了说明,还着重对强制性条文的强制性理由作了解释。但是条文说明不具备与标准正文同等的效力,仅供使用者作为理解和把握规范规定的参考。
1 总 则
1 总 则
1.0.1 为了在混凝土结构设计中贯彻执行国家的技术经济政策,做到安全、适用、经济,保证质量,制定本规范。
条文说明
1.0.1 本次修订根据多年来的工程经验和研究成果,并总结了上一版规范的应用情况和存在问题,贯彻国家“四节一环保”的技术政策,对部分内容进行了补充和调整。适当扩充了混凝土结构耐久性的相关内容;引入了强度级别为500MPa级的热轧带肋钢筋;对承载力极限状态计算方法、正常使用极限状态验算方法进行了改进;完善了部分结构构件的构造措施;补充了结构防连续倒塌和既有结构设计的相关内容等。 本次修订继承上一版规范为实现房屋、铁路、公路、港口和水利水电工程混凝土结构共性技术问题设计方法统一的原则,修订力求使本规范的共性技术问题能进一步为各行业规范认可。
1.0.2 本规范适用于房屋和一般构筑物的钢筋混凝土、预应力混凝土以及素混凝土结构的设计。本规范不适用于轻骨料混凝土及特种混凝土结构的设计。
条文说明
1.0.2 本次修订补充了对结构防连续倒塌设计和既有结构设计的基本原则,同时增加了无粘结预应力混凝土结构的相关内容。 对采用陶粒、浮石、煤矸石等为骨料的轻骨料混凝土结构,应按专门标准进行设计。 设计下列结构时,尚应符合专门标准的有关规定: 1 超重混凝土结构、防辐射混凝土结构、耐酸(碱)混凝土结构等; 2 修建在湿陷性黄土、膨胀土地区或地下采掘区等的结构; 3 结构表面温度高于100℃或有生产热源且结构表面温度经常高于60℃的结构; 4 需作振动计算的结构。
1.0.3 本规范依据现行国家标准《工程结构可靠性设计统一标准》GB 50153及《建筑结构可靠度设计统一标准》GB 50068的原则制定。本规范是对混凝土结构设计的基本要求。
条文说明
1.0.3 本规范依据工程结构以及建筑结构的可靠性统一标准修订。本规范的内容是基于现阶段混凝土结构设计的成熟做法和对混凝土结构承载力以及正常使用的最低要求。当结构受力情况、材料性能等基本条件与本规范的编制依据有出入时,则需根据具体情况通过专门试验或分析加以解决。
1.0.4 混凝土结构的设计除应符合本规范外,尚应符合国家现行有关标准的规定。
条文说明
1.0.4 本规范与相关的标准、规范进行了合理的分工和衔接,执行时尚应符合相关标准、规范的规定。
2 术语和符号
2.1 术 语
2 术语和符号
2.1 术 语
2.1.1 混凝土结构 concrete structure
以混凝土为主制成的结构,包括素混凝土结构、钢筋混凝土结构和预应力混凝土结构等。
2.1.2 素混凝土结构 plain concrete structure
无筋或不配置受力钢筋的混凝土结构。
2.1.3 普通钢筋 steel bar
用于混凝土结构构件中的各种非预应力筋的总称。
2.1.4 预应力筋 prestressing tendon and/or bar
用于混凝土结构构件中施加预应力的钢丝、钢绞线和预应力螺纹钢筋等的总称。
2.1.5 钢筋混凝土结构 reinforced concrete structure
配置受力普通钢筋的混凝土结构。
2.1.6 预应力混凝土结构 prestressed concrete structure
配置受力的预应力筋,通过张拉或其他方法建立预加应力的混凝土结构。
2.1.7 现浇混凝土结构 cast-in-situ concrete structure
在现场原位支模并整体浇筑而成的混凝土结构。
2.1.8 装配式混凝土结构 precast concrete structure
由预制混凝土构件或部件装配、连接而成的混凝土结构。
2.1.9 装配整体式混凝土结构 assembled monolithic concrete structure
由预制混凝土构件或部件通过钢筋、连接件或施加预应力加以连接,并在连接部位浇筑混凝土而形成整体受力的混凝土结构。
2.1.10 叠合构件 composite member
由预制混凝土构件(或既有混凝土结构构件)和后浇混凝土组成,以两阶段成型的整体受力结构构件。
2.1.11 深受弯构件 deep flexural member
跨高比小于5的受弯构件。
2.1.12 深梁 deep beam
跨高比小于2的简支单跨梁或跨高比小于2.5的多跨连续梁。
2.1.13 先张法预应力混凝土结构 pretensioned prestressed concrete structure
在台座上张拉预应力筋后浇筑混凝土,并通过放张预应力筋由粘结传递而建立预应力的混凝土结构。
2.1.14 后张法预应力混凝土结构 post-tensioned prestressed concrete structure
浇筑混凝土并达到规定强度后,通过张拉预应力筋并在结构上锚固而建立预应力的混凝土结构。
2.1.15 无粘结预应力混凝土结构 unbonded prestressed concrete structure
配置与混凝土之间可保持相对滑动的无粘结预应力筋的后张法预应力混凝土结构。
2.1.16 有粘结预应力混凝土结构 bonded prestressed concrete structure
通过灌浆或与混凝土直接接触使预应力筋与混凝土之间相互粘结而建立预应力的混凝土结构。
2.1.17 结构缝 structural joint
根据结构设计需求而采取的分割混凝土结构间隔的总称。
2.1.18 混凝土保护层 concrete cover
结构构件中钢筋外边缘至构件表面范围用于保护钢筋的混凝土,简称保护层。
2.1.19 锚固长度 anchorage length
受力钢筋依靠其表面与混凝土的粘结作用或端部构造的挤压作用而达到设计承受应力所需的长度。
2.1.20 钢筋连接 splice of reinforcement
通过绑扎搭接、机械连接、焊接等方法实现钢筋之间内力传递的构造形式。
2.1.21 配筋率 ratio of reinforcement
混凝土构件中配置的钢筋面积(或体积)与规定的混凝土截面面积(或体积)的比值。
2.1.22 剪跨比 ratio of shear span to effective depth
截面弯矩与剪力和有效高度乘积的比值。
2.1.23 横向钢筋 transverse reinforcement
垂直于纵向受力钢筋的箍筋或间接钢筋。
条文说明
术语是根据现行国家标准《工程结构设计基本术语和通用符号》GBJ 132、《建筑结构设计术语和符号标准》GB/T 50083并结合本规范的具体情况给出的。
本次修订删节、简化了其他标准已经定义的常用术语,补充了各类钢筋及其性能、各类型混凝土构件、构造等混凝土结构特有的专用术语,如配筋率、混凝土保护层、锚固长度、结构缝等。原规范有关可靠度及荷载等方面的术语,在相关标准中已有表述,故不再列出。
原规范中混凝土结构的结构形式如排架结构、框架结构、剪力墙结构、框架-剪力墙结构、筒体结构、板柱结构等,作为常识也不再作为术语列出。
2.2.符号
2.2.符号
2.2.1 材料性能
Ec-混凝土的弹性模量;
Es——钢筋的弹性模量;
C30——立方体抗压强度标准值为30N/mmz的混凝土强度等级;
HRB500——强度级别为500MPa的普通热轧带肋钢筋;
HRBF400——强度级别为400MPa的细晶粒热轧带肋钢筋;
RRB400——强度级别为400MPa的余热处理带肋钢筋;
HPB300——强度级别为300MPa的热轧光圆钢筋;
HRB400E——强度级别为400MPa且有较高抗震性能的普通热轧带肋钢筋;
fck、fc——混凝土轴心抗压强度标准值、设计值;
ftk、——混凝土轴心抗拉强度标准值、设计值;
fyk、——普通钢筋、预应力筋屈服强度标准值;
fstk、——普通钢筋、预应力筋极限强度标准值;
fy、f'y——普通钢筋抗拉、抗压强度设计值;
fpy、f’py——预应力筋抗拉、抗压强度设计值}
fyv——横向钢筋的抗拉强度设计值;
δgt——钢筋 的 最大力 下的 总 延伸 伸长 率。 ,也称均匀伸长率。
条文说明
本次修订基本沿用原《混凝土结构设计规范》GB 50010—2002的符号。一些不常用的符号在条文相应处已有说明,在此不再列出。 2.2.1 用“C”后加数字表达混凝土的强度等级;用“HRB"、“HRBF"、“HPB"、“RRB”后加数字表达钢筋的牌号及强度等级。 在2010版规范中
增加了钢筋在最大拉力下的总伸长率(均匀伸长率)的符号“δgt”, 国家标准《钢筋混凝土用钢 第2部分:热轧带肋钢筋》GB/T1499.2-2018,在钢筋力学性能规定中用“最大力总延伸率”代替了国家标准《钢筋混凝土用钢 第2部分:热轧带肋钢筋》GB1499.2-2007中“最大力下的总伸长率”。为了不用行业表述的一致性,本次局部修订将符号“δgt”的释义修改为“钢筋最大力总延伸率”, 等同 对应 于现行国家标准《钢筋混凝土用钢 第2部分:热轧带肋钢筋》GB /T 1499.2、《预应力混凝土用钢丝》GB/T 5223和《预应力混凝土用钢绞线》GB/T 5224中的“Agt”。
2.2.2 作用和作用效应
N——轴向力设计值;
Nk、Nq——按荷载标准组合、准永久组合计算的轴向力值;
Noо——构件的截面轴心受压或轴心受拉承载力设计值;
Npo——预应力构件混凝土法向预应力等于零时的预加力;
M——弯矩设计值;
Mk、Mq——按荷载标准组合、准永久组合计算的弯矩值;
Mu——构件的正截面受弯承载力设计值;
Mcr——受弯构件的正截碗开裂弯矩值;
T——扭矩设计值;
V——剪力设计值;
Fl——局部荷载设计值或集中反力设计值;
σs、σp——正截面承载力计算中纵向钢筋、预应力筋的应力;
σpe——预应力筋的有效预应力;
σl、σ'l——受拉区、受压区预应力筋在相应阶段的预应力损失值;
τ——混凝土的剪应力;
ωmax——按荷载准永久组合或标准组合,并考虑长期作用影响的计算最大裂缝宽度。
2.2.3 几何参数
b——矩形截面宽度,T形、I形截面的腹板宽度;
c——混凝土保护层厚度;
d——钢筋的公称直径(简称直径)或圆形截面的直径;
h——截面高度;
ho——截面有效高度;
lab、la——纵向受拉钢筋的基本锚固长度、锚固长度;
lo——计算跨度或计算长度;
s——沿构件轴线方向上横向钢筋的间距、螺旋筋的间距或箍筋的间距;
x——混凝土受压区高度;
A——构件截面面积;
As、A's-受拉区、受压区纵向普通钢筋的截面面积;
Ap、A'p-受拉区、受压区纵向预应力筋的截面面积;
Al——混凝土局部受压面积;
Acor——箍筋、螺旋筋或钢筋网所围的混凝土核心截面面积;
B——受弯构件的截面刚度;
I——截面惯性矩;
W——截面受拉边缘的弹性抵抗矩;
Wt——截面受扭塑性抵抗矩。
2.2.4 计算系数及其他
αE——钢筋弹性模量与混凝土弹性模量的比值;
γ——混凝土构件的截面抵抗矩塑性影响系数;
η——偏心受压构件考虑二阶效应影响的轴向力偏心距增大系数;
λ——计算截面的剪跨比,即M/(Vho);
ρ——纵向受力钢筋的配筋率;
ρv——间接钢筋或箍筋的体积配筋率;
φ——表示钢筋直径的符号,φ20表示直径为20rnm的钢筋。
条文说明
2.2.4 偏心受压构件考虑二阶效应影响的增大系数有两个:在考虑结构侧移的二阶效应时用“ηs”表示;考虑构件自身挠曲的二阶效应时用“ηns”表示。 增加斜体希腊字母符号“Φ”,仅表示钢筋直径,不代表钢筋的牌号。
3 基本设计规定
3.1 一般规定
3 基本设计规定
3.1 一般规定
3.1.1 混凝土结构设计应包括下列内容:
1 结构方案设计,包括结构选型、构件布置及传力途径;
2 作用及作用效应分析;
3 结构的极限状态设计;
4 结构及构件的构造、连接措施;
5 耐久性及施工的要求;
6 满足特殊要求结构的专门性能设计。
条文说明
3.1.1 为满足建筑方案并从根本上保证结构安全,设计的内容应在以构件设计为主的基础上扩展到考虑整个结构体系的设计。本次修订补充有关结构设计的基本要求,包括结构方案、内力分析、截面设计、连接构造、耐久性、施工可行性及特殊工程的性能设计等。
3.1.2 本规范采用以概率理论为基础的极限状态设计方法,以可靠指标度量结构构件的可靠度,采用分项系数的设计表达式进行设计。
条文说明
3.1.2 本规范根据现行国家标准《工程结构可靠性设计统一标准》GB 50153及《建筑结构可靠度设计统一标准》GB 50068的规定,采用概率极限状态设计方法,以分项系数的形式表达。包括结构重要性系数、荷载分项系数、材料性能分项系数(材料分项系数,有时直接以材料的强度设计值表达)、抗力模型不定性系数(构件承载力调整系数)等。对难于定量计算的间接作用和耐久性等,仍采用基于经验的定性方法进行设计。 本规范中的荷载分项系数应按现行国家标准《建筑结构荷载规范》GB 50009的规定取用。
3.1.3 混凝土结构的极限状态设计应包括:
1 承载能力极限状态:结构或结构构件达到最大承载力、出现疲劳破坏、发生不适于继续承载的变形或因结构局部破坏而引发的连续倒塌;
2 正常使用极限状态:结构或结构构件达到正常使用的某项规定限值或耐久性能的某种规定状态。
条文说明
3.1.3 对混凝土结构极限状态的分类系根据《工程结构可靠性设计统一标准》GB 50153确定的。极限状态仍分为两类,但内容比原规范有所扩大:在承载能力极限状态中增加了结构防连续倒塌的内容;在正常使用极限状态中增加了楼盖舒适度的要求。
3.1.4 结构上的直接作用(荷载)应根据现行国家标准《建筑结构荷载规范》GB 50009及相关标准确定;地震作用应根据现行国家标准《建筑抗震设计规范》GB 50011确定。
间接作用和偶然作用应根据有关的标准或具体情况确定。
直接承受吊车荷载的结构构件应考虑吊车荷载的动力系数。预制构件制作、运输及安装时应考虑相应的动力系数。对现浇结构,必要时应考虑施工阶段的荷载。
条文说明
3.1.4 本条规定了确定结构上作用的原则,直接作用根据现行国家标准《建筑结构荷载规范》GB 50009确定;地震作用根据现行国家标准《建筑抗震设计规范》GB 50011确定;对于直接承受吊车荷载的构件以及预制构件、现浇结构等,应按不同工况确定相应的动力系数或施工荷载。 对于混凝土结构的疲劳问题,主要是吊车梁构件的疲劳验算。其设计方法与吊车的工作级别和材料的疲劳强度有关,近年均有较大变化。当设计直接承受重级工作制吊车的吊车梁时,建议根据工程经验采用钢结构的形式。 本次修订增加了对间接作用的规定。间接作用包括温度变化、混凝土收缩与徐变、强迫位移、环境引起材料性能劣化等造成的影响,设计时应根据有关标准、工程特点及具体情况确定,通常仍采用经验性的构造措施进行设计。 对于罕遇自然灾害以及爆炸、撞击、火灾等偶然作用以及非常规的特殊作用,应根据有关标准或由具体条件和设计要求确定。
3.1.5 混凝土结构的安全等级和设计使用年限应符合现行国家标准《工程结构可靠性设计统一标准》GB 50153的规定。
混凝土结构中各类结构构件的安全等级,宜与整个结构的安全等级相同。对其中部分结构构件的安全等级,可根据其重要程度适当调整。对于结构中重要构件和关键传力部位,宜适当提高其安全等级。
条文说明
3.1.5 混凝土结构的安全等级由现行国家标准《工程结构可靠性设计统一标准》GB 50153确定。本条仅补充规定:可以根据实际情况调整构件的安全等级。对破坏引起严重后果的重要构件和关键传力部位,宜适当提高安全等级、加大构件重要性系数;对一般结构中的次要构件及可更换构件,可根据具体情况适当降低其重要性系数。
3.1.6 混凝土结构设计应考虑施工技术水平以及实际工程条件的可行性。有特殊要求的混凝土结构,应提出相应的施工要求。
条文说明
3.1.6 设计应根据现有技术条件(材料、工艺、机具等)考虑施工的可行性。对特殊结构,应提出控制关键技术的要求,以达到设计目标。
3.1.7 设计应明确结构的用途,在设计使用年限内未经技术鉴定或设计许可,不得改变结构的用途和使用环境。 ( 自2022年4月1日起废止该条,详见新规 《混凝土结构通用规范》GB 55008-2021)
条文说明
3.1.7 各类建筑结构的设计使用年限并不一致,应按《建筑结构可靠度设计统一标准》GB 50068的规定取用,相应的荷载设计值及耐久性措施均应依据设计使用年限确定。改变用途和使用环境(如超载使用、结构开洞、改变使用功能、使用环境恶化等)的情况均会影响其安全及使用年限。任何对结构的改变(无论是在建结构或既有结构)均须经设计许可或技术鉴定,以保证结构在设计使用年限内的安全和使用功能。
3.2 结构方案
3.2 结构方案
3.2.1 混凝土结构的设计方案应符合下列要求:
1 选用合理的结构体系、构件形式和布置;
2 结构的平、立面布置宜规则,各部分的质量和刚度宜均匀、连续;
3 结构传力途径应简捷、明确,竖向构件宜连续贯通、对齐;
4 宜采用超静定结构,重要构件和关键传力部位应增加冗余约束或有多条传力途径;
5 宜采取减小偶然作用影响的措施。
条文说明
3.2.1 灾害调查和事故分析表明:结构方案对建筑物的安全有着决定性的影响。在与建筑方案协调时应考虑结构体形(高宽比、长宽比)适当;传力途径和构件布置能够保证结构的整体稳固性;避免因局部破坏引发结构连续倒塌。本条提出了在方案阶段应考虑加强结构整体稳固性的设计原则。
3.2.2 混凝土结构中结构缝的设计应符合下列要求:
1 应根据结构受力特点及建筑尺度、形状、使用功能要求,合理确定结构缝的位置和构造形式;
2 宜控制结构缝的数量,并应采取有效措施减少设缝对使用功能的不利影响;
3 可根据需要设置施工阶段的临时性结构缝。
条文说明
3.2.2 结构设计时通过设置结构缝将结构分割为若干相对独立的单元。结构缝包括伸缝、缩缝、沉降缝、防震缝、构造缝、防连续倒塌的分割缝等。不同类型的结构缝是为消除下列不利因素的影响:混凝土收缩、温度变化引起的胀缩变形;基础不均匀沉降;刚度及质量突变;局部应力集中;结构防震;防止连续倒塌等。除永久性的结构缝以外,还应考虑设置施工接槎、后浇带、控制缝等临时性的缝以消除某些暂时性的不利影响。
结构缝的设置应考虑对建筑功能(如装修观感、止水防渗、保温隔声等)、结构传力(如结构布置、构件传力)、构造做法和施工可行性等造成的影响。应遵循“一缝多能”的设计原则,采取有效的构造措施。
3.2.3 结构构件的连接应符合下列要求:
1 连接部位的承载力应保证被连接构件之间的传力性能;
2 当混凝土构件与其他材料构件连接时,应采取可靠的措施;
3 应考虑构件变形对连接节点及相邻结构或构件造成的影响。
条文说明
3.2.3 构件之间连接构造设计的原则是:保证连接节点处被连接构件之间的传力性能符合设计要求;保证不同材料(混凝土、钢、砌体等)结构构件之间的良好结合;选择可靠的连接方式以保证可靠传力;连接节点尚应考虑被连接构件之间变形的影响以及相容条件,以避免、减少不利影响。
3.2.4 混凝土结构设计应符合节省材料、方便施工、降低能耗与保护环境的要求。
条文说明
3.2.4 本条提出了结构方案设计阶段应综合考虑的“四节一环保”等问题。
3.3 承载能力极限状态计算
3.3 承载能力极限状态计算
3.3.1 混凝土结构的承载能力极限状态计算应包括下列内容:
1 结构构件应进行承载力(包括失稳)计算;
2 直接承受重复荷载的构件应进行疲劳验算;
3 有抗震设防要求时,应进行抗震承载力计算;
4 必要时尚应进行结构的倾覆、滑移、漂浮验算;
5 对于可能遭受偶然作用,且倒塌可能引起严重后果的重要结构,宜进行防连续倒塌设计。
条文说明
3.3.1 本条列出了各类设计状况下的结构构件承载能力极限状态计算应考虑的内容。 对只承受安装或检修用吊车的构件,根据使用情况和设计经验可不作疲劳验算。 在各种偶然作用(罕遇自然灾害、人为过失以及爆炸、撞击、火灾等人为灾害)下,混凝土结构应能保证必要的整体稳固性。因此本次修订对倒塌可能引起严重后果的特别重要结构,增加了防连续倒塌设计的要求。
3.3.2 对持久设计状况、短暂设计状况和地震设计状况,当用内力的形式表达时,结构构件应采用下列承载能力极限状态设计表达式:
γ0S≤R(3.3.2—1)
R=R(fc,fs,ak,…)/γRd (3.3.2—2)
式中:γ0——结构重要性系数:在持久设计状况和短暂设计状况下,对安全等级为一级的结构构件不应小于1.1,对安全等级为二级的结构构件不应小于1.0,对安全等级为三级的结构构件不应小于0.9;对地震设计状况下应取1.0;
S——承载能力极限状态下作用组合的效应设计值:对持久设计状况和短暂设计状况应按作用的基本组合计算;对地震设计状况应按作用的地震组合计算;
R——结构构件的抗力设计值;
R(·)——结构构件的抗力函数;
γRd——结构构件的抗力模型不定性系数:静力设计取1.0,对不确定性较大的结构构件根据具体情况取大于1.0的数值;抗震设计应用承载力抗震调整系数γRE代替γRd;
fc、fs——混凝土、钢筋的强度设计值,应根据本规范第 4.1.4条及第4.2.3条的规定取值;
ak——几何参数的标准值,当几何参数的变异性对结构性能有明显的不利影响时,应增减一个附加值。
注:公式(3.3.2—1)中的γ 0 S为内力设计值,在本规范各章中用N、M、V、T等表达。 ( 自2022年4月1日起废止该条,详见新规 《混凝土结构通用规范》 GB 55008-2021)
条文说明
3.3.2 本条为承载能力极限状态设计的基本表达式,适用于本规范结构构件的承载力计算。 符号S在现行国家标准《建筑结构荷载规范》GB 50009中为荷载组合的效应设计值;在现行国家标准《建筑抗震设计规范》GB 50011中为地震作用效应与其他荷载效应基本组合的设计值,在本条中均为以内力形式表达。 根据《工程结构可靠性设计统一标准》GB 50153的规定,本次修订提出了构件抗力模型不定性系数(构件抗力调整系数)γRd的概念,在抗震设计中为抗震承载力调整系数γRE。 当几何参数的变异性对结构性能有明显影响时,需考虑其不利影响。例如,薄板的截面有效高度的变异性对薄板正截面承载力有明显影响,在计算截面有效高度时宜考虑施工允许偏差带来的不利影响。
3.3.3 对二维、三维混凝土结构构件,当按弹性或弹塑性方法分析并以应力形式表达时,可将混凝土应力按区域等代成内力设计值,按本规范第3.3.2条进行计算;也可直接采用多轴强度准则进行设计验算。
条文说明
3.3.3 对二维、三维的混凝土结构,当采用应力设计的形式进行承载能力极限状态设计时,可按等代内力的简化方法计算;当采用多轴强度准则进行设计验算时,应符合本规范附录C.4的有关规定。
3.3.4 对偶然作用下的结构进行承载能力极限状态设计时,公式(3.3.2—1)中的作用效应设计值S按偶然组合计算,结构重要性系数γ0取不小于1.0的数值;公式(3.3.2—2)中混凝土、钢筋的强度设计值fc、fs改用强度标准值fck、fyk(或fpyk)。
当进行结构防连续倒塌验算时,结构构件的承载力函数应按本规范第3.6节的原则确定。
条文说明
3.3.4 对偶然作用下结构的承载能力极限状态设计,根据其受力特点对承载能力极限状态设计的表达形式进行了修正:作用效应设计值S按偶然组合计算;结构重要性系数γ0取不小于1.0的数值;材料强度取标准值。当进行防连续倒塌验算时,按本规范第3.6节的原则计算。
3.3.5 对既有结构的承载能力极限状态设计,应按下列规定进行:
1 对既有结构进行安全复核、改变用途或延长使用年限而需验算承载能力极限状态时,宜符合本规范第3.3.2条的规定;
2 对既有结构进行改建、扩建或加固改造而重新设计时,承载能力极限状态的计算应符合本规范第3.7节的规定。
条文说明
3.3.5 对既有结构进行承载能力验算时,既有结构的承载力应符合复核验算的要求;而对既有结构重新设计时,则应按本规范第3.7节的原则计算。
3.4 正常使用极限状态验算
3.4 正常使用极限状态验算
3.4.1 混凝土结构构件应根据其使用功能及外观要求,按下列规定进行正常使用极限状态验算:
1 对需要控制变形的构件,应进行变形验算;
2 对不允许出现裂缝的构件,应进行混凝土拉应力验算;
3 对允许出现裂缝的构件,应进行受力裂缝宽度验算;
4 对舒适度有要求的楼盖结构,应进行竖向自振频率验算。
条文说明
3.4.1 正常使用极限状态是通过对作用组合效应值的限值进行控制而实现的。本次修订根据对使用功能的进一步要求,新增加了对楼盖结构舒适度验算的要求。
3.4.2 对于正常使用极限状态, 钢筋混凝土构件、预应力 混凝土 结构 构件应分别按荷载的准永久组合 、标准组合 并考虑长期作用的影响 或标准组合并考虑长期作用的影响 ,采用下列极限状态设计表达式进行验算:
S≤C (3.4.2)
式中:S——正常使用极限状态荷载组合的效应设计值;
C——结构构件达到正常使用要求所规定的变形、应力、裂缝宽度 和自振频率 等的限值。
条文说明
3.4.2 对正常使用极限状态,89版规范规定按荷载的持久性采用两种组合;短期效应组合和长期效应组合。02版规范根据《建筑结构可靠度设计统一标准》GB 50068-2001
的规定,将荷载的短期效应组合、长期效应组合改称为荷载效应的标准组合、准永久组合。在标准组合中,含有起控制作用的一个可变荷载标准值效应;在准永久组合中,含有可变荷载准永久值效应。这就使荷载效应组合的名称与荷载代表值的名称相对应。
本次修订 2010版规范 对构件挠度、裂缝宽度计算采用的荷载组合进行了调整,对钢筋混凝土构件改为采用荷载准永久组合并考虑长期作用的影响;对预应力混凝土构件仍采用荷载标准组合并考虑长期作用的影响。 2010版规范还增加了楼盖竖向振动舒适度的规定,因此在本条符号解释中增加了楼盖竖向振动自振频率的表述。
本次对GB 50010-2010(2015年版)规范的局部修订中,在符号C的解释中删除了“自振频率”的表述,主要是与式
(3.4.2)的规定不一致;另外有关楼盖竖向振动频率的规定已反 映在本标准第3.4.6条中。结构正常使用极限状态设计中,可根据工程实际情况合理选择不同作用组合的效应设计值进行验算,并符合相应的限值规定。
3.4.3 钢筋混凝土受弯构件的最大挠度应按荷载的准永久组合,预应力混凝土受弯构件的最大挠度应按荷载的标准组合,并均应考虑荷载长期作用的影响进行计算,其计算值不应超过表3.4.3规定的挠度限值。

注:1 表中l0为构件的计算跨度;计算悬臂构件的挠度限值时,其计算跨度l0按实际悬臂长度的2倍取用;
2 表中括号内的数值适用于使用上对挠度有较高要求的构件;
3 如果构件制作时预先起拱,且使用上也允许,则在验算挠度时,可将计算所得的挠度值减去起拱值;对预应力混凝土构件,尚可减去预加力所产生的反拱值;
4 构件制作时的起拱值和预加力所产生的反拱值,不宜超过构件在相应荷载组合作用下的计算挠度值。
条文说明
3.4.3 构件变形挠度的限值应以不影响结构使用功能、外观及与其他构件的连接等要求为目的。工程实践表明,原规范验算的挠度限值基本合适,本次修订未作改动。 悬臂构件是工程实践中容易发生事故的构件,表注1中规定设计时对其挠度的控制要求;表注4中参照欧洲标准EN 1992的规定,提出了起拱、反拱的限制,目的是为防止起拱、反拱过大引起的不良影响。当构件的挠度满足表3.4.3的要求,但相对使用要求仍然过大时,设计时可根据实际情况提出比表括号中的限值更加严格的要求。
3.4.4 结构构件正截面的受力裂缝控制等级分为三级,等级划分及要求应符合下列规定:
一级——严格要求不出现裂缝的构件,按荷载标准组合计算时,构件受拉边缘混凝土不应产生拉应力。
二级——一般要求不出现裂缝的构件,按荷载标准组合计算时,构件受拉边缘混凝土拉应力不应大于混凝土抗拉强度的标准值。
三级——允许出现裂缝的构件:对钢筋混凝土构件,按荷载准永久组合并考虑长期作用影响计算时,构件的最大裂缝宽度不应超过本规范表3.4.5规定的最大裂缝宽度限值。对预应力混凝土构件,按荷载标准组合并考虑长期作用的影响计算时,构件的最大裂缝宽度不应超过本规范第3.4.5条规定的最大裂缝宽度限值;对二a类环境的预应力混凝土构件,尚应按荷载准永久组合计算,且构件受拉边缘混凝土的拉应力不应大于混凝土的抗拉强度标准值。
条文说明
3.4.4 本规范将裂缝控制等级划分为三级,等级是对裂缝控制严格程度而言的,设计人员需根据具体情况选用不同的等级。关于构件裂缝控制等级的划分,国际上一般都根据结构的功能要求、环境条件对钢筋的腐蚀影响、钢筋种类对腐蚀的敏感性和荷载作用的时间等因素来考虑。本规范在裂缝控制等级的划分上也考虑了以上因素。 在具体划分裂缝控制等级和确定有关限值时,主要参考了下列资料:历次混凝土结构设计规范修订的有关规定及历史背景;工程实践经验及调查统计国内常用构件的设计状况及实际效果;耐久性专题研究对典型地区实际工程的调查以及长期暴露试验与快速试验的结果;国外规范的有关规定。 经调查研究及与国外规范对比,原规范对受力裂缝的控制相对偏严,可适当放松。对结构构件正截面受力裂缝的控制等级仍按原规范划分为三个等级。一级保持不变;二级适当放松,仅控制拉应力不超过混凝土的抗拉强度标准值,删除了原规范中按荷载准永久组合计算构件边缘混凝土不宜产生拉应力的要求。 对于裂缝控制三级的钢筋混凝土构件,根据现行国家标准《工程结构可靠性设计统一标准》GB 50153以及作为主要依据的现行国际标准《结构可靠性总原则》ISO 2394和欧洲规范《结构设计基础》EN 1990的规定,相应的荷载组合按正常使用极限状态的外观要求(限制过大的裂缝和挠度)的限值作了修改,选用荷载的准永久组合并考虑长期作用的影响进行裂缝宽度与挠度验算。 对裂缝控制三级的预应力混凝土构件,考虑到结构安全及耐久性,基本维持原规范的要求,裂缝宽度限值0.20mm。仅在不利环境(二a类环境)时按荷载的标准组合验算裂缝宽度限值0.10mm;并按荷载的准永久组合并考虑长期作用的影响验算拉应力不大于混凝土的抗拉强度标准值。
3.4.5 结构构件应根据结构类型和本规范第3.5.2条规定的环境类别,按表3.4.5的规定选用不同的裂缝控制等级及最大裂缝宽度限值ωlim。

注:1 对处于年平均相对湿度小于60%地区一类环境下的受弯构件,其最大裂缝宽度限值可采用括号内的数值;
2 在一类环境下,对钢筋混凝土屋架、托架及需作疲劳验算的吊车梁,其最大裂缝宽度限值应取为0.20mm;对钢筋混凝土屋面梁和托梁,其最大裂缝宽度限值应取为0.30mm;
3 在一类环境下,对预应力混凝土屋架、托架及双向板体系,应按二级裂缝控制等级进行验算;对一类环境下的预应力混凝土屋面梁、托梁、单向板,应按表中二a类环境的要求进行验算;在一类和二a类环境下需作疲劳验算的预应力混凝土吊车梁,应按裂缝控制等级不低于二级的构件进行验算;
4 表中规定的预应力混凝土构件的裂缝控制等级和最大裂缝宽度限值仅适用于正截面的验算;预应力混凝土构件的斜截面裂缝控制验算应符合本规范第7章的有关规定;
5 对于烟囱、筒仓和处于液体压力下的结构,其裂缝控制要求应符合专门标准的有关规定;
6 对于处于四、五类环境下的结构构件,其裂缝控制要求应符合专门标准的有关规定;
7 表中的最大裂缝宽度限值为用于验算荷载作用引起的最大裂缝宽度。
条文说明
3.4.5 本条对于裂缝宽度限值的要求基本依据原规范,并按新增的环境类别进行了调整。 室内正常环境条件(一类环境)下钢筋混凝土构件最大裂缝剖形观察结果表明,不论裂缝宽度大小、使用时间长短、地区湿度高低,凡钢筋上不出现结露或水膜,则其裂缝处钢筋基本上未发现明显的锈蚀现象;国外的一些工程调查结果也表明了同样的观点。因此对于采用普通钢筋配筋的混凝土结构构件的裂缝宽度限值,考虑了现行国内外规范的有关规定,并参考了耐久性专题研究组对裂缝的调查结果,规定了裂缝宽度的限值。而对钢筋混凝土屋架、托架、主要屋面承重结构等构件,根据以往的工程经验,裂缝宽度限值宜从严控制;对吊车梁的裂缝宽度限值,也适当从严控制,分别在表注中作出了具体规定。 对处于露天或室内潮湿环境(二类环境)条件下的钢筋混凝土构件,剖形观察结果表明,裂缝处钢筋都有不同程度的表面锈蚀,而当裂缝宽度小于或等于0.2mm时,裂缝处钢筋上只有轻微的表面锈蚀。根据上述情况,并参考国内外有关资料,规定最大裂缝宽度限值采用0.20mm。 对使用除冰盐等的三类环境,锈蚀试验及工程实践表明,钢筋混凝土结构构件的受力裂缝宽度对耐久性的影响不是太大,故仍允许存在受力裂缝。参考国内外有关规范,规定最大裂缝宽度限值为0.2mm。 对采用预应力钢丝、钢绞线及预应力螺纹钢筋的预应力混凝土构件,考虑到钢丝直径较小等原因,一旦出现裂缝会影响结构耐久性,故适当加严。本条规定在室内正常环境下控制裂缝宽度采用0.20mm;在露天环境(二a类)下控制裂缝宽度0.10mm。 需指出,当混凝土保护层较大时,虽然受力裂缝宽度计算值也较大,但较大的混凝土保护层厚度对防止裂缝锈蚀是有利的。因此,对混凝土保护层厚度较大的构件,当在外观的要求上允许时,可根据实践经验,对表3.4.5中规范的裂缝宽度允许值作适当放大。
3.4.6 对混凝土楼盖结构应根据使用功能的要求进行竖向自振频率验算,并宜符合下列要求:
1 住宅和公寓不宜低于5Hz;
2 办公楼和旅馆不宜低于4Hz;
3 大跨度公共建筑不宜低于3Hz。
条文说明
3.4.6 本条提出了控制楼盖竖向自振频率的限值。对跨度较大的楼盖及业主有要求时,可按本条执行。一般楼盖的竖向自振频率可采用简化方法计算。对有特殊要求工业建筑,可参照现行国家标准《多层厂房楼盖结构抗微振设计规范》GB 50190进行验算。
3.5 耐久性设计
3.5 耐久性设计
3.5.1 混凝土结构应根据设计使用年限和环境类别进行耐久性设计,耐久性设计包括下列内容:
1 确定结构所处的环境类别;
2 提出对混凝土材料的耐久性基本要求;
3 确定构件中钢筋的混凝土保护层厚度;
4 不同环境条件下的耐久性技术措施;
5 提出结构使用阶段的检测与维护要求。
注:对临时性的混凝土结构,可不考虑混凝土的耐久性要求。
条文说明
3.5.1 混凝土结构的耐久性按正常使用极限状态控制,特点是随时间发展因材料劣化而引起性能衰减。耐久性极限状态表现为:钢筋混凝土构件表面出现锈胀裂缝;预应力筋开始锈蚀;结构表面混凝土出现可见的耐久性损伤(酥裂、粉化等)。材料劣化进一步发展还可能引起构件承载力问题,甚至发生破坏。 由于影响混凝土结构材料性能劣化的因素比较复杂,其规律不确定性很大,一般建筑结构的耐久性设计只能采用经验性的定性方法解决。参考现行国家标准《混凝土结构耐久性设计规范》GB/T 50476的规定,根据调查研究及我国国情,并考虑房屋建筑混凝土结构的特点加以简化和调整,本规范规定了混凝土结构耐久性定性设计的基本内容。
3.5.2 混凝土结构暴露的环境类别应按表3.5.2的要求划分。


注:1 室内潮湿环境是指构件表面经常处于结露或湿润状态的环境;
2 严寒和寒冷地区的划分应符合现行国家标准《民用建筑热工设计规范》GB 50176的有关规定;
3 海岸环境和海风环境宜根据当地情况,考虑主导风向及结构所处迎风、背风部位等因素的影响,由调查研究和工程经验确定;
4 受除冰盐影响环境是指受到除冰盐盐雾影响的环境;受除冰盐作用环境是指被除冰盐溶液溅射的环境以及使用除冰盐地区的洗车房、停车楼等建筑。
5 暴露的环境是指混凝土结构表面所处的环境。
条文说明
3.5.2 结构所处环境是影响其耐久性的外因。本次修订对影响混凝土结构耐久性的环境类别进行了较详细的分类。环境类别是指混凝土暴露表面所处的环境条件,设计可根据实际情况确定适当的环境类别。 干湿交替主要指室内潮湿、室外露天、地下水浸润、水位变动的环境。由于水和氧的反复作用,容易引起钢筋锈蚀和混凝土材料劣化。 非严寒和非寒冷地区与严寒和寒冷地区的区别主要在于有无冰冻及冻融循环现象。关于严寒和寒冷地区的定义,《民用建筑热工设计规范》GB 50176-93规定如下:严寒地区:最冷月平均温度低于或等于-10℃,日平均温度低于或等于5℃的天数不少于145d的地区;寒冷地区:最冷月平均温度高于-10℃、低于或等于0℃,日平均温度低于或等于5℃的天数不少于90d且少于145d的地区。也可参考该规范的附录采用。各地可根据当地气象台站的气象参数确定所属气候区域,也可根据《建筑气象参数标准》JGJ 35提供的参数确定所属气候区域。 三类环境主要是指近海海风、盐渍土及使用除冰盐的环境。滨海室外环境与盐渍土地区的地下结构、北方城市冬季依靠喷洒盐水消除冰雪而对立交桥、周边结构及停车楼,都可能造成钢筋腐蚀的影响。 四类和五类环境的详细划分和耐久性设计方法不再列入本规范,它们由有关的标准规范解决。
3.5.3 设计使用年限为50年的混凝土结构,其混凝土材料 的耐久性基本要求 宜 应 符合表3.5.3的规定。

条文说明
3.5.3 混凝土材料的质量是影响结构耐久性的内因。根据对既有混凝土结构耐久性状态的调查结果和混凝土材料性能的研究,从材料抵抗性能退化的角度,表3.5.3提出了设计使用年限为50年的结构混凝土材料耐久性的基本要求。 影响耐久性的主要因素是:混凝土的水胶比、强度等级、氯离子含量和碱含量。近年来水泥中多加入不同的掺合料,有效胶凝材料含量不确定性较大,故配合比设计的水灰比难以反映有效成分的影响。本次修订
2010版规范 改用胶凝材料总量作水胶比及各种含量的控制, 原 02版 规范中的“水灰比”改成“水胶比”,并删去了对于“最小水泥用量”的限制。混凝土的强度反映了其密实度而影响耐久性,故也提出了相应的要求。
试验研究及工程实践均表明,在冻融循环环境中采用引气剂的混凝土抗冻性能可显著改善。故对采用引气剂抗冻的混凝土,可以适当降低强度等级的要求,采用括号中的数值。
长期受到水作用的混凝土结构,可能引发碱骨料反应。对一类环境中的房屋建筑混凝土结构则可不作碱含量限制;对其他环境中混凝土结构应考虑碱含量的影响, 计算方法可参考协会标准《混凝土碱含量限值标准》CECS 53:93。 本条碱含量一般指可溶性碱含量,其计算和测试方法可参照现行国家标准《混凝土结构现场检测技术标准》GB/T50784的有关规定执行。
试验研究及工程实践均表明:混凝土的碱性可使钢筋表面钝化,免遭锈蚀;而氯离子引起钢筋脱钝和电化学腐蚀,会严重影响混凝土结构的耐久性。 本次修订 2010版规范 加严了氯离子含量的限值; 本次对GB 50010-2010(2015年版)规范的局部修订适当加严了混凝土氯离子含量的计算要求,并部分提高了混凝土最低强度等级要求。 为控制氯离子含量,应严格限制使用含功能性氯化物的外加剂(例如含氯化钙的促凝剂等)。
工程经验表明,混凝土氯离子含量采用原材料氯离子含量累加,不利于质量控制,采用实测混凝土氯离子含量更容易保证质量。本次局部修订参考了国家标准《混凝土质量控制标准》GB50164-2011的有关规定。
3.5.4 混凝土结构及构件尚应采取下列耐久性技术措施:
1 预应力混凝土结构中的预应力筋应根据具体情况采取表面防护、孔道灌浆、加大混凝土保护层厚度等措施,外露的锚固端应采取封锚和混凝土表面处理等有效措施;
2 有抗渗要求的混凝土结构,混凝土的抗渗等级应符合有关标准的要求;
3 严寒及寒冷地区的潮湿环境中,结构混凝土应满足抗冻要求,混凝土抗冻等级应符合有关标准的要求;
4 处于二、三类环境中的悬臂构件宜采用悬臂梁-板的结构形式,或在其上表面增设防护层;
5 处于二、三类环境中的结构构件,其表面的预埋件、吊钩、连接件等金属部件应采取可靠的防锈措施,对于后张预应力混凝土外露金属锚具,其防护要求见本规范第10.3.13条;
6 处在三类环境中的混凝土结构构件,可采用阻锈剂、环氧树脂涂层钢筋或其他具有耐腐蚀性能的钢筋、采取阴极保护措施或采用可更换的构件等措施。
条文说明
3.5.4 本条对不良环境及耐久性有特殊要求的混凝土结构构件提出了针对性的耐久性保护措施。 对结构表面采用保护层及表面处理的防护措施,形成有利的混凝土表面小环境,是提高耐久性的有效措施。 预应力筋存在应力腐蚀、氢脆等不利于耐久性的弱点,且其直径一般较细,对腐蚀比较敏感,破坏后果严重。为此应对预应力筋、连接器、锚夹具、锚头等容易遭受腐蚀的部位采取有效的保护措施。 提高混凝土抗渗、抗冻性能有利于混凝土结构在恶劣环境下的耐久性。混凝土抗冻性能和抗渗性能的等级划分、配合比设计及试验方法等,应按有关标准的规定执行。混凝土抗渗和抗冻的设计可参考《水工混凝土结构设计规范》DL/T 5057的规定。 对露天环境中的悬臂构件,如不采取有效防护措施,不宜采用悬臂板的结构形式而宜采用梁-板结构。室内正常环境以外的预埋件、吊钩等外露金属件容易引导锈蚀,宜采用内埋式或采取有效的防锈措施。 对于可能导致严重腐蚀的三类环境中的构件,提出了提高耐久性的附加措施:如采用阻锈剂、环氧树脂或其他材料的涂层钢筋、不锈钢筋、阴极保护等方法。环氧树脂涂层钢筋是采用静电喷涂环氧树脂粉末工艺,在钢筋表面形成一定厚度的环氧树脂防腐涂层。这种涂层可将钢筋与其周围混凝土隔开,使侵蚀性介质(如氯离子等)不直接接触钢筋表面,从而避免钢筋受到腐蚀。 使用时应符合行业标准《环氧树脂涂层钢筋》JG 3042的规定。 对某些恶劣环境中难以避免材料性能劣化的情况,还可以采取设计可更换构件的方法。
3.5.5 一类环境中,设计使用年限为100年的混凝土结构应符合下列规定:
1 钢筋混凝土结构的最低强度等级为C30;预应力混凝土结构的最低强度等级为C40;
2 混凝土中的最大氯离子含量为0.06%;
3 宜使用非碱活性骨料,当使用碱活性骨料时,混凝土中的最大碱含量为3.0kg/m3;
4 混凝土保护层厚度应符合本规范第8.2.1条的规定;当采取有效的表面防护措施时,混凝土保护层厚度可适当减小。
条文说明
3.5.5、3.5.6 调查分析表明,国内实际使用超过100年的混凝土结构不多,但室内正常环境条件下实际使用70~80年的房屋建筑混凝土结构大多基本完好。因此在适当加严混凝土材料的控制、提高混凝土强度等级和保护层厚度并补充规定建立定期检查、维修制度的条件下,一类环境中混凝土结构的实际使用年限达到100年是可以得到保证的。而对于不利环境条件下的设计使用年限100年的结构,由于缺乏研究及工程经验,由专门设计解决。
3.5.6 二、三类环境中,设计使用年限100年的混凝土结构应采取专门的有效措施。
3.5.7 耐久性环境类别为四类和五类的混凝土结构,其耐久性要求应符合有关标准的规定。
条文说明
3.5.7 更恶劣环境(海水环境、直接接触除冰盐的环境及其他侵蚀性环境)中混凝土结构耐久性的设计,可参考现行国家标准《混凝土结构耐久性设计规范》GB/T 50476。四类环境可参考现行国家行业标准《港口工程混凝土结构设计规范》JTJ 267;五类环境可参考现行国家标准《工业建筑防腐蚀设计规范》GB 50046。
3.5.8 混凝土结构在设计使用年限内尚应遵守下列规定:
1 建立定期检测、维修制度;
2 设计中可更换的混凝土构件应按规定更换;
3 构件表面的防护层,应按规定维护或更换;
4 结构出现可见的耐久性缺陷时,应及时进行处理。
条文说明
3.5.8 设计应提出设计使用年限内房屋建筑使用维护的要求,使用者应按规定的功能正常使用并定期检查、维修或者更换。
3.6 防连续倒塌设计原则
3.6 防连续倒塌设计原则
3.6.1 混凝土结构防连续倒塌设计宜符合下列要求:
1 采取减小偶然作用效应的措施;
2 采取使重要构件及关键传力部位避免直接遭受偶然作用的措施;
3 在结构容易遭受偶然作用影响的区域增加冗余约束,布置备用的传力途径;
4 增强疏散通道、避难空间等重要结构构件及关键传力部位的承载力和变形性能;
5 配置贯通水平、竖向构件的钢筋,并与周边构件可靠地锚固;
6 设置结构缝,控制可能发生连续倒塌的范围。
条文说明
房屋结构在遭受偶然作用时如发生连续倒塌,将造成人员伤亡和财产损失,是对安全的最大威胁。总结结构倒塌和未倒塌的规律,采取针对性的措施加强结构的整体稳固性,就可以提高结构的抗灾性能,减少结构连续倒塌的可能性。
混凝土结构防连续倒塌是提高结构综合抗灾能力的重要内容。在特定类型的偶然作用发生时或发生后,结构能够承受这种作用,或当结构体系发生局部垮塌时,依靠剩余结构体系仍能继续承载,避免发生与作用不相匹配的大范围破坏或连续倒塌。这就是结构防连续倒塌设计的目标。无法抗拒的地质灾害破坏作用,不包括在防连续倒塌设计的范围内。
结构防连续倒塌设计涉及作用回避、作用宣泄、障碍防护等问题,本规范仅提出混凝土结构防连续倒塌的设计基本原则和概念设计的要求。
3.6.1 结构防连续倒塌设计的难度和代价很大,一般结构只须进行防连续倒塌的概念设计。本条给出了结构防连续倒塌概念设计的基本原则,以定性设计的方法增强结构的整体稳固性,控制发生连续倒塌和大范围破坏。当结构发生局部破坏时,如不引发大范围倒塌,即认为结构具有整体稳定性。结构和材料的延性、传力途径的多重性以及超静定结构体系,均能加强结构的整体稳定性。
设置竖直方向和水平方向通长的纵向钢筋并应采取有效的连接、锚固措施,将整个结构连系成一个整体,是提供结构整体稳定性的有效方法之一。此外,加强楼梯、避难室、底层边墙、角柱等重要构件;在关键传力部位设置缓冲装置(防撞墙、裙房等)或泄能通道(开敞式布置或轻质墙体、屋盖等);布置分割缝以控制房屋连续倒塌的范围;增加重要构件及关键传力部位的冗余约束及备用传力途径(斜撑、拉杆)等,都是结构防连续倒塌概念设计的有效措施。
3.6.2 重要结构的防连续倒塌设计可采用下列方法:
1 局部加强法:提高可能遭受偶然作用而发生局部破坏的竖向重要构件和关键传力部位的安全储备,也可直接考虑偶然作用进行设计。
2 拉结构件法:在结构局部竖向构件失效的条件下,可根据具体情况分别按梁-拉结模型、悬索-拉结模型和悬臂-拉结模型进行承载力验算,维持结构的整体稳固性。
3 拆除构件法:按一定规则拆除结构的主要受力构件,验算剩余结构体系的极限承载力;也可采用倒塌全过程分析进行设计。
条文说明
3.6.2 倒塌可能引起严重后果的安全等级为一级的可能遭受偶然作用的重要结构,以及为抵御灾害作用而必须增强抗灾能力的重要结构,宜进行防连续倒塌的设计。由于灾害和偶然作用的发生概率极小,且真正实现“防连续倒塌”的代价太大,应由业主根据实际情况确定。
局部加强法是对多条传力途径交汇的关键传力部位和可能引发大面积倒塌的重要构件通过提高安全储备和变形能力,直接考虑偶然作用的影响进行设计。这种按特定的局部破坏状态的荷载组合进行构件设计,是保证结构整体稳定性的有效措施之一。
当偶然事件产生特大荷载时,按效应的偶然组合进行设计以保持结构体系完整无缺往往代价太高,有时甚至不现实。此时,拉结构件法设计允许爆炸或撞击造成结构局部破坏,在某个竖向构件失效后,使其影响范围仅限于局部。按新的结构简图采用梁、悬索、悬臂的拉结模型继续承载受力,按整个结构不发生连续倒塌的原则进行设计,从而避免结构的整体垮塌。
拆除构件法是按一定规则撤去结构体系中某部分构件,验算剩余结构的抗倒塌能力的计算方法。可采用弹性分析方法或非线性全过程动力分析方法。
实际工程的防连续倒塌设计,应根据具体条件进行适当的选择。
3.6.3 当进行偶然作用下结构防连续倒塌的验算时,作用宜考虑结构相应部位倒塌冲击引起的动力系数。在抗力函数的计算中,混凝土强度取强度标准值fck;普通钢筋强度取极限强度标准值fstk,预应力筋强度取极限强度标准值fptk并考虑锚具的影响。宜考虑偶然作用下结构倒塌对结构几何参数的影响。必要时尚应考虑材料性能在动力作用下的强化和脆性,并取相应的强度特征值。
条文说明
3.6.3 本条介绍了混凝土结构防连续倒塌设计中有关设计参数的取值原则。效应除按偶然作用计算外,还宜考虑倒塌冲击引起的动力系数。材料强度取用标准值,钢筋强度改用极限强度,对无粘结预应力构件则应注意锚夹具对预应力筋有效强度的影响,还宜考虑动力作用下材料强化和脆性的影响,取相应的强度特征值。此外还应考虑倒塌对结构几何参数变化的影响。
3.7 既有结构设计原则
3.7 既有结构设计原则
3.7.1 既有结构延长使用年限、改变用途、改建、扩建或需要进行加固、修复等,均应对其进行评定、验算或重新设计。
条文说明
既有结构为已建成、使用的结构。由于历史的原因,我国既有混凝土结构的设计将成为未来工程设计的重要内容。为保证既有结构的安全可靠并延长其使用年限,满足近年日益增多的既有结构加固改建的需要,本次修订新增一节,强调既有混凝土结构设计的原则。
3.7.1 既有结构设计适用于下列几种情况:达到设计年限后延长继续使用的年限;为消除安全隐患而进行的设计校核;结构改变用途和使用环境而进行的复核性设计;对既有结构进行改建、扩建;结构事故或灾后受损结构的修复、加固等。应根据不同的目的,选择不同的设计方案。
3.7.2 对既有结构进行安全性、适用性、耐久性及抗灾害能力进行评定时,应符合现行国家标准《工程结构可靠性设计统一标准》GB 50153的原则要求,并应符合下列规定:
1 应根据评定结果、使用要求和后续使用年限确定既有结构的设计方案;
2 既有结构改变用途或延长使用年限时,承载能力极限状态验算宜符合本规范的有关规定;
3 对既有结构进行改建、扩建或加固改造而重新设计时,承载能力极限状态的计算应符合本规范和相关标准的规定;
4 既有结构的正常使用极限状态验算及构造要求宜符合本规范的规定;
5 必要时可对使用功能作相应的调整,提出限制使用的要求。
条文说明
3.7.2 既有结构设计前,应根据现行国家标准《建筑结构检测技术标准》GB/T 50344等进行检测,根据现行国家标准《工程结构可靠性设计统一标准》GB 50153、《工业建筑可靠性鉴定标准》GB 50144、《民用建筑可靠性鉴定标准》GB 50292等的要求,对其安全性、适用性、耐久性及抗灾害能力进行评定,从而确定设计方案。设计方案有两类:复核性验算和重新进行设计。
鉴于我国传统结构设计安全度偏低以及结构耐久性不足的历史背景,有大量的既有结构面临评定、验算等问题。验算宜符合本规范的规定,强调“宜”是可以根据具体情况作适当调整,如控制使用荷载和功能,控制使用年限等。因为充分利用既有建筑符合可持续发展的基本国策。
当对既有结构进行改建、扩建或加固修复时,须重新进行设计。为保证安全,承载能力极限状态计算“应”按本规范要求进行,但对正常使用状态验算及构造措施仅作“宜”符合本规范的要求。同样可根据具体情况作适当调整,尽量减少重新设计在构造要求方面的经济代价。
无论是复核验算和重新设计,均应考虑检测、评定以实测的结果确定相应的设计参数。
3.7.3 既有结构的设计应符合下列规定:
1 应优化结构方案,保证结构的整体稳固性;
2 荷载可按现行规范的规定确定,也可根据使用功能作适当的调整;
3 结构既有部分混凝土、钢筋的强度设计值应根据强度的实测值确定;当材料的性能符合原设计的要求时,可按原设计的规定取值;
4 设计时应考虑既有结构构件实际的几何尺寸、截面配筋、连接构造和已有缺陷的影响;当符合原设计的要求时,可按原设计的规定取值;
5 应考虑既有结构的承载历史及施工状态的影响;对二阶段成形的叠合构件,可按本规范第9.5节的规定进行设计。
条文说明
3.7.3 本条规定了既有结构设计的原则。避免只考虑局部加固处理的片面做法。本规范强调既有结构加强整体稳固性的原则,适用的范围更为广泛和系统。应避免由于仅对局部进行加固引起结构承载力或刚度的突变。
设计应考虑既有结构的现状,通过检测分析确定既有部分的材料强度和几何参数,并尽量利用原设计的规定值。结构后加部分则完全按本规范的规定取值。应注意新旧材料结构间的可靠连接,并反映既有结构的承载历史以及施工支撑卸载状态对内力分配的影响。
4 材 料
4.1 混凝土
4 材 料
4.1 混凝土
4.1.1 混凝土强度等级应按立方体抗压强度标准值确定。立方体抗压强度标准值系指按标准方法制作、养护的边长为150mm的立方体试件,在28d或设计规定龄期以标准试验方法测得的具有95%保证率的抗压强度值。
条文说明
4.1.1 混凝土强度等级由立方体抗压强度标准值确定,立方体抗压强度标准值fcu,k是本规范混凝土各种力学指标的基本代表值。混凝土强度等级的保证率为95%:按混凝土强度总体分布的平均值减去1.645倍标准差的原则确定。 由于粉煤灰等矿物掺合料在水泥及混凝土中大量应用,以及近年混凝土工程发展的实际情况,确定混凝土立方体抗压强度标准值的试验龄期不仅限于28d,可由设计根据具体情况适当延长。
4.1.2 素混凝土结构的混凝土强度等级不应低于 C15 C20 ;钢筋混凝土结构的混凝土强度等级不应低于 C20 C25 ; 采用强度等级400MPa及以上的钢筋时,混凝土强度等级不应低于C25。
预应力混凝土 楼板 结构的混凝土强度等级 不宜低于C40,且 不应低于C30 ,其他预应力混凝土结构构件的混凝土强度等级不应低于C40 。
采用强度等级500MPa及以上的钢筋时,混凝土强度等级不应低于C30。
承受重复荷载的钢筋混凝土构件,混凝土强度等级不应低于C30。
条文说明
4.1.2 我国建筑工程实际应用的高强
混凝土强度 等级 和钢筋强度均 低于发达国家。我国结构安全度总体上 与 比 国际水平 相当 低 ,但材料用量 偏高 并不少 ,其原因在于国际上较高的安全度是依靠较高强度的材料实现的。为提高材料的利用效率,工程中应用的混凝土强度等级宜适当提高。 本次对GB50010-2010(2015年版)规范的局部修订,用C20混凝土代替 C15 级的低强度 混凝土仅限用于素混凝土结构,各种配筋混凝土结构的混凝土强度等级也普遍稍有提高。 C15混凝土的设计指标可参考2010版规范的有关规定。本条所说的素混凝土结构,一般不包含地下室或其他地下结构的素混凝土垫层。
本规范不适用于山砂混凝土及高炉矿渣混凝土,本次修订删除原规范中相关的注,其应符合专门标准的规定。
4.1.3 混凝土轴心抗压强度的标准值fck应按表4.1.3—1采用;轴心抗拉强度的标准值ftk应按表4.1.3—2采用。

条文说明
4.1.3 混凝土的强度标准值由立方体抗压强度标准值fcu,k经计算确定。 1 轴心抗压强度标准值fck 考虑到结构中混凝土的实体强度与立方体试件混凝土强度之间的差异,根据以往的经验,结合试验数据分析并参考其他国家的有关规定,对试件混凝土强度的修正系数取为0.88。 棱柱强度与立方强度之比值αc1:对C50及以下普通混凝土取0.76;对高强混凝土C80取0.82,中间按线性插值; 
条文说明
4.1.3混凝土的强度标准值由立方体抗压强度标准值fcu,k经计算确定。 1轴心抗压强度标准值fck 考虑到结构中混凝土的实体强度与立方体试件混凝土强度之间的差异,根据以往的经验,结合试验数据分析并参考其他国家的有关规定,对试件混凝土强度的修正系数取为0.88。 棱柱强度与立方强度之比值αcl:对C50及以下普通混凝土取0.76;对高强混凝土C80取0.82,中间按线性插值; C40以上的混凝土考虑脆性折减系数αc₂:对C40取1.00,对高强混凝土C80取0.87,中间按线性插值。 轴心抗压强度标准值fck按0.88αc₁αc₂fcu,k计算,结果见表4.1.3-1。 2轴心抗拉强度标准值ftk
数0.55为轴心抗拉强度与立方体抗压强度的折算关系,是根据试验数据进行统计分析以后确定的。
C80以上的高强混凝土,目前虽偶有工程应用但数量很少,且对其性能的研究尚不够,故暂未列入。
本次对GB 50010-2010(2015年版)规范的局部修订,删除了C15强度等级的相关规定。
4.1.4 混凝土轴心抗压强度的设计值fc应按表4.1.4—1采用;轴心抗拉强度的设计值ft应按表4.1.4—2采用。


条文说明
4.1.4混凝土的强度设计值由强度标准值除混凝土材料分项系数γc确定。混凝土的材料分项系数取为1.40。 1轴心抗压强度设计值fc 轴心抗压强度设计值等于fck/1.40,结果见表4.1.4-1。 2轴心抗拉强度设计值ft 轴心抗拉强度设计值等于ftk/1.40,结果见表4.1.4-2。 修订
2010版 规范还删除了02版规范表注中受压构件尺寸效应的规定。该规定源于前苏联规范,最近俄罗斯规范已经取消。对离心混凝土的强度设计值,应按专门的标准取用,也不再列入。
本次对GB 50010-2010(2015年版)规范的局部修订,删除了C15强度等级的相关规定。
4.1.5 混凝土受压和受拉的弹性模量Ec宜按表4.1.5采用。
混凝土的剪切变形模量Gc可按相应弹性模量值的40%采用。
混凝土泊松比vc可按0.2采用。

条文说明
4.1.5 混凝土的弹性模量、剪切变形模量及泊松比同02版
原 规范。混凝土的弹性模量Ec以其强度等级值(fcu,k为代表)按下列公式计算:

由于混凝土组成成分不同(掺入粉煤灰等)而导致变形性能的不确定性, 2010版规范 增加了表注,强调在必要时可根据试验确定弹性模量。
本次对GB 50010-2010(2015年版)规范的局部修订,删除了C15强度等级的规定。
4.1.6 混凝土轴心抗压疲劳强度设计值
、轴心抗拉疲劳强度设计值
应分别按表4.1.4—1、表4.1.4—2中的强度设计值乘疲劳强度修正系数γρ确定。混凝土受压或受拉疲劳强度修正系数γρ应根据疲劳应力比值
分别按表4.1.6—1、表4.1.6—2采用;当混凝土承受拉-压疲劳应力作用时,疲劳强度修正系数γρ取0.60。
疲劳应力比值
应按下列公式计算:

注:直接承受疲劳荷载的混凝土构件,当采用蒸汽养护时,养护温度不宜高于60℃。
条文说明
4.1.6、4.1.7 根据等幅疲劳2×10的6次方次的实验研究结果,列出了混凝土的疲劳指标。疲劳指标包括混凝土疲劳强度设计值、混凝土疲劳变形模量。而疲劳强度设计值是混凝土强度设计值乘疲劳强度修正系数γp的数值。上述指标包括高强度混凝土的疲劳验算,但不包括变幅疲劳。 结构构件中的混凝土,可能遭遇受压疲劳、受拉疲劳或拉-压交变疲劳的作用。本次修订根据试验研究,将不同的疲劳受力状态分别表达,扩大了疲劳应力比值的覆盖范围,并将疲劳强度修正系数的数值作了相应调整与补充。 当蒸养温度超过60℃时混凝土容易产生裂缝,并不能简单依靠提高设计强度解决。因此,本次修订删去了蒸养温度超过60℃时,计算需要的混凝土强度设计值需提高20%的规定。
4.1.7 混凝土疲劳变形模量
应按表4.1.7采用。

4.1.8 当温度在0℃~100℃范围内时,混凝土的热工参数可按下列规定取值:

条文说明
4.1.8 本条提供了进行混凝土间接作用效应计算所需的基本热工参数。包括线膨胀系数、导热系数和比热容,数据引自《水工混凝土结构设计规范》DL/T 5057的规定,并作了适当简化。
4.2 钢筋
4.2 钢筋
4.2.1 混凝土结构的钢筋应按下列规定选用:
1 纵向受力普通钢筋可采用HRB400、HRB500、HRBF400、HRBF500、 HRB335、 RRB400、HPB300钢筋;梁、柱和斜撑构件的纵向受力普通钢筋宜采用HRB400、HRB500、HRBF400、HRBF500钢筋。
2 箍筋宜采用HRB400、HRBF400、 HRB335、 HPB300、HRB500、HRBF500钢筋。
3 预应力筋宜采用预应力钢丝、钢绞线和预应力螺纹钢筋。
条文说明
4.2.1 国家现行钢筋产品标准中,不再限制钢筋材料的化学成分和制作工艺,而按性能确定钢筋的牌号和强度级别,并以相应的符号表达。 本次修订
2010版规范 根据“四节一环保”的要求,提倡应用高强、高性能钢筋。根据混凝土构件对受力的性能要求,规定了各种牌号钢筋的选用原则。
1增加强度为500MPa级的高强热轧带肋钢筋;将400MPa、500MPa级高强热轧带肋钢筋作为纵向受力的主导钢筋推广应用,尤其是梁、柱和斜撑构件的纵向受力配筋应优先采用400MPa、500MPa级高强钢筋,500MPa级高强钢筋用于高层建筑的柱、大跨度与重荷载梁的纵向受力配筋更为有利; 相比GB 50010-2010(2015年版)规范,本次局部修订 淘汰 了 直径 16mm及以上的 HRB335热轧带肋钢筋 ,保留小直径的HRB335 钢筋,主要用于中、小跨度楼板配筋以及剪力墙的分布筋配筋,还可用于构件的箍筋与构造配筋;。 2010版规范 用300MPa级光圆钢筋取代235MPa级光圆钢筋, GB 50010-2010(2015年版)规范 将其规格限于直径6mm~14mm,主要用于小规格梁柱的箍筋与其他混凝土构件的构造配筋。对既有结构进行再设计时,235MPa级光圆钢筋 及HRB335热轧带肋钢筋 的设计 值 指标 仍可按 02版 原 规范取值。
2 推广应用具有较好的延性、可焊性、机械连接性能及施工适应性的HRB系列普通热轧带肋钢筋。列入采用控温轧制工艺生产的HRBF400、 HRBF500 系列细晶粒带肋钢筋,取消牌号 HRBF335钢筋 。
3 RRB400余热处理钢筋由轧制钢筋经高温淬水,余热处理后提高强度。资源能耗低、生产成本低。其延性、可焊性、机械连接性能及施工适应性也相应降低,一般可用于对变形性能及加工性能要求不高的构件中,如延性要求不高的基础、大体积混凝土、楼板以及次要的中小结构构件等。
4 增加预应力筋的品种:增补高强、大直径的钢绞线;列入大直径预应力螺纹钢筋(精轧螺纹钢筋);列入中强度预应力钢丝以补充中等强度预应力筋的空缺,用于中、小跨度的预应力构件;但其在最大力 下的 总 延伸 伸长 率应满足本 规范 标准 第4.2.4条的要求;淘汰锚固性能很差的刻痕钢丝。
5 箍筋用于抗剪、抗扭及抗冲切设计时,其抗拉强度设计值受到限制,不宜采用强度高于400MPa级的钢筋。当用于约束混凝土的间接配筋(如连续螺旋配箍或封闭焊接箍)时,钢筋的高强度可以得到充分发挥,采用500MPa级钢筋具有一定的经济效益。
6 近年来,我国强度高,性能好的预应力钢筋(钢丝、钢绞线)已可充分供应,故冷加工钢筋不再列入本 规范 标准 。
4.2.2 钢筋的强度标准值应具有不小于95%的保证率。普通钢筋的屈服强度标准值fyk、极限强度标准值fstk应按表4.2.2—1采用;预应力钢丝、钢绞线和预应力螺纹钢筋的极限强度标准值fptk及屈服强度标准值fpyk应按表4.2.2—2采用。



条文说明
4.2.2钢筋及预应力筋的强度取值按现行国家标准《钢筋混凝土用钢》GB 1499、《钢筋混凝土用余热处理钢筋》GB 13014、《中强度预应力混凝土用钢丝》YB/T 156
、 《预应力混凝土用中强度钢丝》GB/T 30828、 《预应力混凝土用螺纹钢筋》GB/T20065、《预应力混凝土用钢丝》GB/T 5223、《预应力混凝土用钢绞线》GB/T 5224等的规定给出,其应具有不小于95%的保证率。
普通钢筋采用屈服强度标志。屈服强度标准值fyk相当于钢筋标准中的 下 屈服强度特征值ReL。由于结构抗倒塌设计的需要, 本次修订 2010版规范 增列了钢筋极限强度(即钢筋拉断前相应于最大拉力下的强度)标准值fstk,相当于钢筋标准中的抗拉强度特征值Rm。
国家标准《钢筋混凝土用钢 第2部分:热轧带肋钢筋》GB /T 1499.2 -2018 修订报批稿 中,已不再列入HRBF335钢筋和 直径不小于16mm的 HRB335钢筋;对HPB300光圆钢筋从产品供应与实际应用中已基本不采用直径不小于16mm的规格。故 本次局部修订 GB 50010-2010(2015年版)规范 中删去了牌号为HRBF335钢筋,对HPB300、HRB335牌号的钢筋的最大公称直径限制在为14mm以下 。 ;本次对GB 50010-2010(2015年版)规范的局部修订,删去了牌号为HRB335钢筋品种。
预应力筋没有明显的屈服点,一般采用极限强度标志。极限强度标准值fptk相当于钢筋标准中的钢筋抗拉强度σb。在钢筋标准中一般取0.002残余应变所对应的应力 σ p0.2作为其条件屈服强度标准值fpyk。本条对 新增的 预应力螺纹钢筋及中强度预应力钢丝列出了有关的设计参数。
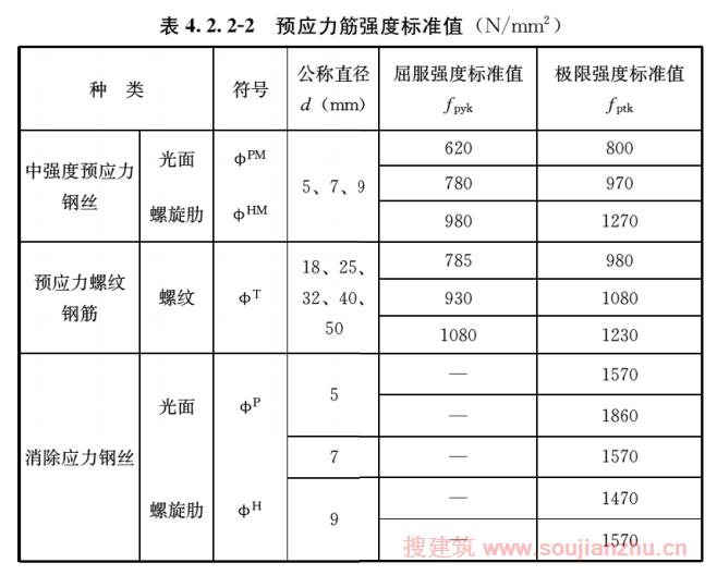
本次修订 2010版规范 补充了强度级别为1960MPa和直径为21.6mm的钢绞线。当用作后张预应力配筋时,应注意其与锚夹具的匹配性。应经检验并确认锚夹具及工艺可靠后方可在工程中应用。 02版 原 规范预应力筋强度分档太琐碎,故删除不常使用的预应力筋的强度等级和直径,以简化设计时的选择。
条文说明
4.2.2 钢筋及预应力筋的强度按现行国家标准《钢筋混凝土用钢》GB 1499、《钢筋混凝土用余热处理钢筋》GB 13014、《中强度预应力混凝土用钢丝》YB/T156、 《预应力混凝土用螺纹钢筋》GB/T 20065、《预应力混凝土用钢丝》GB/T 5223、《预应力混凝土用钢绞线》GB/T 5224等的规定给出,其应具有不小于95%的保证率。 普通钢筋采用屈服强度标志。屈服强度标准值fyk相当于钢筋标准中的屈服强度特征值ReL。由于结构抗倒塌设计的需要,本次修订增列了钢筋极限强度(即钢筋拉断前相应于最大拉力下的强度)的标准值fstk,相当于钢筋标准中的抗拉强度特征值Rm。 预应力筋没有明显的屈服点,一般采用极限强度标志。极限强度标准值fptk相当于钢筋标准中的钢筋抗拉强度σb。在钢筋标准中一般取0.002残余应变所对应的应力σp0.2作为其条件屈服强度标准值fpyk。本条对新增的预应力螺纹钢筋及中强度预应力钢丝列出了有关的设计参数。 本次修订补充了强度级别为1960MPa和直径为21.6mm的钢绞线。当用作后张预应力配筋时,应注意其与锚夹具的匹配性。应经检验并确认锚夹具及工艺可靠后方可在工程中应用。原规范预应力筋强度分档太琐碎,故删除不常使用的预应力筋的强度等级和直径,以简化设计时的选择。
4.2.3 普通钢筋的抗拉强度设计值fy、抗压强度设计值f'y 应按表4.2.3—1采用;预应力筋的抗拉强度设计值fpy、抗压强度设计值 f' py 应按表4.2.3—2采用。
当构件中配有不同种类的钢筋时,每种钢筋应采用各自的强度设计值。
对轴心受压构件,当采用HRB500、HRBF500钢筋时,钢筋的抗压强度设计值 f' y 应取400N/mm2。 横向钢筋的抗拉强度设计值fyv应按表中fy的数值采用;但用作受剪、受扭、受冲切承载力计算时,其数值大于360N/mm2时应取360N/mm2。


条文说明
4.2.3钢筋的强度设计值由强度标准值除以材料分项系数γs得到。延性较好的热轧钢筋,γs取1.10;对本次修订列入的
500MPa级高强钢筋,为了适当提高安全储备,Ys取为1.15。对预应力筋的强度设计值,取其条件屈服强度标准值除以材料分项系数γs,由于延性稍差,预应力筋γs一般取不小于1.20。对传统的预应力钢丝、钢绞线取0.85σb作为条件屈服点,材料分项系数1.2,保持 02版 原 规范值;对 新增的 中强度预应力钢丝和螺纹钢筋,按上述原则计算并考虑工程经验适当调整,列于表4.2.3-2中。
普通钢筋抗压强度设计值f'y取与抗拉强度相同。在偏心受压状态下,混凝土所能达到的压应变可以保证500MPa级钢筋的抗压强度达到与抗拉强度相同的值,因此 本次局部修订 GB50010-2010(2015年版)规范 中将500MPa级钢筋的抗压强度设计值从410N/mm²调整到435N/mm²;对轴心受压构件,由于混凝土压应力达到fe时混凝土压应变为0.002,当采用500MPa级钢筋时,其钢筋的抗压强度设计值取为400N/mm²。而预应力筋抗压强度设计值较小,这是由于构件中钢筋受到混凝土极限受压应变的控制,受压强度受到制约的缘故。
根据试验研究结果,限定受剪、受扭、受冲切箍筋的抗拉强度设计值fyv不大于360N/mm²;但用作围箍约束混凝土的间接配筋时,其强度设计值不受此限。
钢筋标准中预应力钢丝、钢绞线的强度等级繁多,对于表中未列出的强度等级可按比例换算,插值确定强度设计值。无粘结预应力筋不考虑抗压强度。预应力筋配筋位置偏离受力区较远时,应根据实际受力情况对强度设计值进行折减。
删去了 02版 原 规范中有关轴心受拉和小偏心受拉构件中的抗拉强度设计取值的注,这是由于采用裂缝宽度计算控制,无须再限制强度值了。
当构件中配有不同牌号和强度等级的钢筋时,可采用各自的强度设计值进行计算。因为尽管强度不同,但极限状态下各种钢筋先后均已达到屈服。
按预应力钢筋抗压强度设计值的取值原则, 本次局部修订 GB 50010-2010(2015年版)规范 将预应力螺纹钢筋的抗压强度设计值由2010版规范中410MPa修改为400MPa。
本次对GB 50010-2010(2015年版)的局部修订,删除了HRB335钢筋的规定。
4.2.4 普通钢筋及预应力筋 的 在 最大力 下的 总 延伸 伸长 率δgt不应小于表4.2.4规定的数值。

条文说明
4.2.4本条明确提出了对钢筋延性的要求。根据我国钢筋标准,将最大力下
总 延伸 伸长 率δgt( 相当 对应 于钢筋标准中的Agt)作为控制钢筋延性的指标。最大力 下 总 延伸 伸长 率 δ gt不受断口-颈缩区域局部变形的影响,反映了钢筋拉断前达到最大力(极限强度)时的均匀应变,故又称均匀伸长率。
对中强度预应力钢丝, 国家 产品标准规定其最大力 下 总 延伸 伸长 率 δ gt为 2 3 .5%。 但本规范规定, 本次对GB 50010-2010(2015年版)规范的局部修订,适当提高了要求, 中强度预应力钢丝用做预应力钢筋时,规定其最大力下总 延伸 伸长 率 δ gt 不应 应不 小于 3.5%。 4.0%,对于消除应力钢丝、钢绞线、预应力螺纹钢筋规定其最大力总延伸率δg不应小于4.5%;补充了HRB400E和HRB500E牌号钢筋的规定。
4.2.5 普通钢筋和预应力筋的弹性模量Es可按表4. 2. 5采用。

条文说明
4.2.5 钢筋的弹性模量同02版
原 规范。由于制作偏差、基圆面积率不同以及钢绞线捻绞紧度差异等因素的影响,实际钢筋受力后的变形模量存在一定的不确定性,而且通常不同程度地偏小。因此必要时可通过试验测定钢筋的实际弹性模量,用于设计计算。
本次局部修订 GB 50010-2010(2015年版)规范 中,删除了HRBF335钢筋牌号,取消了原表注,正文中的“应”改为“可”。 本次对GB 50010-2010(2015年版)规范的局部修订,删除了HRB335牌号钢筋的规定。
4.2.6 普通钢筋和预应力筋的疲劳应力幅限制Δffy和 Δ ffpy应据钢筋疲劳应力比值ρfs、ρfp,分别按表4.2.6-1、表4.2.6-2线性内插取值。


条文说明
4.2.6 国内外的疲劳试验研究表明:影响钢筋疲劳强度的主要因素为钢筋的疲劳应力幅 。
本次修订
2010版规范 根据钢筋疲劳强度设计值,给出了考虑疲劳应力比值的钢筋疲劳应力幅限值,
并改变了表达形式:将 02版 原 规范按应力比值区间取一个值,改为应力比值与应力幅限值对应而由内插取值,使计算更加准确。
出于对延性的考虑,表中未列入细晶粒HRBF钢筋,当其用于疲劳荷载作用的构件时,应经试验验证。HRB500级带肋钢筋尚未进行充分的疲劳试验研究,因此承受疲劳作用的钢筋宜选用HRB400热轧带肋钢筋。RRB400级钢筋不宜用于直接承受疲劳荷载的构件。
钢绞线的疲劳应力幅限值参考了我国现行规范《铁路桥涵钢筋混凝土和预应力混凝土结构设计规范》TB 10002.3。该规范根据1860MPa级高强钢绞线的试验,规定疲劳应力幅限值为140N/mm2。考虑到本 规范 标准 中钢绞线强度为1570MPa级以及预应力钢筋在曲线管道中等因素的影响,故表中采用偏安全的限值。
本次对GB 50010-2010(2015年版)规范的局部修订,删除了HRB335牌号钢筋的规定。
4.2.7 构件中的钢筋可采用并筋的配置形式。直径28mm及以下的钢筋并筋数量不应超过3根;直径32mm的钢筋并筋数量宜为2根;直径36mm及以上的钢筋不应采用并筋。并筋应按单根等效钢筋进行计算,等效钢筋的等效直径应按截面面积相等的原则换算确定。
条文说明
4.2.7 为解决粗钢筋及配筋密集引起设计、施工的困难,本次修订提出了受力钢筋可采用并筋(钢筋束)的布置方式。国外标准中允许采用绑扎并筋的配筋形式,我国某些行业规范中已有类似的规定。经试验研究并借鉴国内、外的成熟做法,给出了利用截面积相等原则计算并筋等效直径的简便方法。本条还给出了应用并筋时,钢筋最大直径及并筋数量的限制。 并筋等效直径的概念适用于本规范中钢筋间距、保护层厚度、裂缝宽度验算、钢筋锚固长度、搭接接头面积百分率及搭接长度等有关条文的计算及构造规定。 相同直径的二并筋等效直径可取为1.41倍单根钢筋直径;三并筋等效直径可取为1.73倍单根钢筋直径。二并筋可按纵向或横向的方式布置;三并筋宜按品字形布置,并均按并筋的重心作为等效钢筋的重心。
4.2.8 当进行钢筋代换时,除应符合设计要求的 钢筋延伸率、 构件承载力、 最大力下的总伸长率、 裂缝宽度 验算 、挠度控制 以及抗震规定以外,尚应满足最小配筋率、钢筋间距、保护层厚度、钢筋锚固长度、接头面积百分率及搭接长度等构造要求。
条文说明
4.2.8 钢筋代换除应满足等强代换的原则外,尚应综合考虑不同钢筋牌号的性能差异对裂缝宽度验算、挠度要求、
最小配筋率、 抗震 构造要求 性能 等的影响,并应满足 最小配筋率、 钢筋间距、保护层厚度、锚固长度、搭接接头面积百分率及搭接长度等 的 构造 要求。
4.2.9 当构件中采用预制的钢筋焊接网片或钢筋骨架配筋时,应符合国家现行有关标准的规定。
条文说明
4.2.9 钢筋的专业化加工配送有利于节省材料、方便施工、提高工程质量。采用钢筋焊接网片时应符合《钢筋焊接网混凝土结构技术规程》JGJ 114的规定。宜进一步推广钢筋专业加工配送生产预制钢筋骨架的设计、施工方式。
4.2.10 各种公称直径的普通钢筋、预应力筋的公称截面面积及理论重量应按本规范附录A采用。
条文说明
4.2.10 混凝土结构设计中,要用到各类钢筋的公称直径、公称截面面积及理论重量。根据有关钢筋标准的规定在附录A中列出了有关的参数。
5 结构分析
5.1 基本原则
5 结构分析
5.1 基本原则
5.1.1 混凝土结构应进行整体作用效应分析,必要时尚应对结构中受力状况特殊部位进行更详细的分析。
条文说明
本次修订补充、完善了02版规范的内容:丰富了分析模型、弹性分析、弹塑性分析、塑性极限分析等内容;增加了间接作用分析一节,弥补了02版规范中结构分析内容的不足。所列条款基本反映了我国混凝土结构的设计现状、工程经验和试验研究等方面所取得的进展,同时也参考了国外标准规范的相关内容。
本规范只列入了结构分析的基本原则和各种分析方法的应用条件。各种结构分析方法的具体内容在有关标准中有更详尽的规定,可遵照执行。
5.1.1 在所有的情况下均应对结构的整体进行分析。结构中的重要部位、形状突变部位以及内力和变形有异常变化的部位(例如较大孔洞周围、节点及其附近、支座和集中荷载附近等),必要时应另作更详细的局部分析。
对结构的两种极限状态进行结构分析时,应取用相应的作用组合。
5.1.2 当结构在施工和使用期的不同阶段有多种受力状况时,应分别进行结构分析,并确定其最不利的作用组合。
结构可能遭遇火灾、飓风、爆炸、撞击等偶然作用时,尚应按国家现行有关标准的要求进行相应的结构分析。
条文说明
5.1.2 结构在不同的工作阶段,例如结构的施工期、检修期和使用期,预制构件的制作、运输和安装阶段等,以及遭遇偶然作用的情况下,都可能出现多种不利的受力状况,应分别进行结构分析,并确定其可能的不利作用组合。
5.1.3 结构分析的模型应符合下列要求:
1 结构分析采用的计算简图、几何尺寸、计算参数、边界条件、结构材料性能指标以及构造措施等应符合实际工作状况;
2 结构上可能的作用及其组合、初始应力和变形状况等,应符合结构的实际状况;
3 结构分析中所采用的各种近似假定和简化,应有理论、试验依据或经工程实践验证;计算结果的精度应符合工程设计的要求。
条文说明
5.1.3 结构分析应以结构的实际工作状况和受力条件为依据。结构分析的结果应有相应的构造措施加以保证。例如,固定端和刚节点的承受弯矩能力和对变形的限制;塑性铰充分转动的能力;适筋截面的配筋率或受压区相对高度的限制等。
5.1.4 结构分析应符合下列要求:
1 满足力学平衡条件;
2 在不同程度上符合变形协调条件,包括节点和边界的约束条件;
3 采用合理的材料本构关系或构件单元的受力-变形关系。
条文说明
5.1.4 结构分析方法均应符合三类基本方程,即力学平衡方程,变形协调(几何)条件和本构(物理)关系。其中力学平衡条件必须满足;变形协调条件应在不同程度上予以满足;本构关系则需合理地选用。
5.1.5 结构分析时,应根据结构类型、材料性能和受力特点等选择下列分析方法:
1 弹性分析方法;
2 塑性内力重分布分析方法;
3 弹塑性分析方法;
4 塑性极限分析方法;
5 试验分析方法。
条文说明
5.1.5 结构分析方法分类较多,各类方法的主要特点和应用范围如下:
1 弹性分析方法是最基本和最成熟的结构分析方法,也是其他分析方法的基础和特例。它适用于分析一般结构。大部分混凝土结构的设计均基于此法。
结构内力的弹性分析和截面承载力的极限状态设计相结合,实用上简易可行。按此设计的结构,其承载力一般偏于安全。少数结构因混凝土开裂部分的刚度减小而发生内力重分布,可能影响其他部分的开裂和变形状况。
考虑到混凝土结构开裂后刚度的减小,对梁、柱构件可分别取用不同的刚度折减值,且不再考虑刚度随作用效应而变化。在此基础上,结构的内力和变形仍可采用弹性方法进行分析。
2 考虑塑性内力重分布的分析方法可用于超静定混凝土结构设计。该方法具有充分发挥结构潜力,节约材料,简化设计和方便施工等优点。但应注意到,抗弯能力调低部位的变形和裂缝可能相应增大。
3 弹塑性分析方法以钢筋混凝土的实际力学性能为依据,引入相应的本构关系后,可进行结构受力全过程分析,而且可以较好地解决各种体形和受力复杂结构的分析问题。但这种分析方法比较复杂,计算工作量大,各种非线性本构关系尚不够完善和统一,且要有成熟、稳定的软件提供使用,至今应用范围仍然有限,主要用于重要、复杂结构工程的分析和罕遇地震作用下的结构分析。
4 塑性极限分析方法又称塑性分析法或极限平衡法。此法主要用于周边有梁或墙支承的双向板设计。工程设计和施工实践经验证明,在规定条件下按此法进行计算和构造设计简便易行,可以保证结构的安全。
5 结构或其部分的体形不规则和受力状态复杂,又无恰当的简化分析方法时,可采用试验分析的方法。例如剪力墙及其孔洞周围,框架和桁架的主要节点,构件的疲劳,受力状态复杂的水坝等。
5.1.6 结构分析所采用的计算软件应经考核和验证,其技术条件应符合本规范和国家现行有关标准的要求。
应对分析结果进行判断和校核,在确认其合理、有效后方可应用于工程设计。
条文说明
5.1.6 结构设计中采用计算机分析日趋普遍,商业的和自编的电算软件都必须保证其运算的可靠性。而且对每一项电算的结果都应作必要的判断和校核。
5.2 分析模型
5.2 分析模型
5.2.1 混凝土结构宜按空间体系进行结构整体分析,并宜考虑结构单元的弯曲、轴向、剪切和扭转等变形对结构内力的影响。
当进行简化分析时,应符合下列规定:
1 体形规则的空间结构,可沿柱列或墙轴线分解为不同方向的平面结构分别进行分析,但应考虑平面结构的空间协同工作;
2 构件的轴向、剪切和扭转变形对结构内力分析影响不大时,可不予考虑。
条文说明
5.2.1 结构分析时都应结合工程的实际情况和采用的力学模型,对承重结构进行适当简化,使其既能较正确反映结构的真实受力状态,又能够适应所选用分析软件的力学模型和运算能力,从根本上保证所分析结果的可靠性。
5.2.2 混凝土结构的计算简图宜按下列方法确定:
1 梁、柱、杆等一维构件的轴线宜取为截面几何中心的连线,墙、板等二维构件的中轴面宜取为截面中心线组成的平面或曲面;
2 现浇结构和装配整体式结构的梁柱节点、柱与基础连接处等可作为刚接;非整体浇筑的次梁两端及板跨两端可近似作为铰接;
3 梁、柱等杆件的计算跨度或计算高度可按其两端支承长度的中心距或净距确定,并应根据支承节点的连接刚度或支承反力的位置加以修正;
4 梁、柱等杆件间连接部分的刚度远大于杆件中间截面的刚度时,在计算模型中可作为刚域处理。
条文说明
5.2.2 计算简图宜根据结构的实际形状、构件的受力和变形状况、构件间的连接和支承条件以及各种构造措施等,作合理的简化后确定。例如,支座或柱底的固定端应有相应的构造和配筋作保证;有地下室的建筑底层柱,其固定端的位置还取决于底板(梁)的刚度;节点连接构造的整体性决定连接处是按刚接还是按铰接考虑等。 当钢筋混凝土梁柱构件截面尺寸相对较大时,梁柱交汇点会形成相对的刚性节点区域。刚域尺寸的合理确定,会在一定程度上影响结构整体分析的精度。
5.2.3 进行结构整体分析时,对于现浇结构或装配整体式结构,可假定楼盖在其自身平面内为无限刚性。当楼盖开有较大洞口或其局部会产生明显的平面内变形时,在结构分析中应考虑其影响。
条文说明
5.2.3 一般的建筑结构的楼层大多数为现浇钢筋混凝土楼盖或有现浇面层的预制装配式楼盖,可近似假定楼盖在其自身平面内为无限刚性,以减少结构分析的自由度数,提高结构分析效率。实践证明,采用刚性楼盖假定对大多数建筑结构的分析精度都能够满足工程设计的需要。 若因结构布置的变化导致楼盖面内刚度削弱或不均匀时,结构分析应考虑楼盖面内变形的影响。根据楼面结构的具体情况,楼盖面内弹性变形可按全楼、部分楼层或部分区域考虑。
5.2.4 对现浇楼盖和装配整体式楼盖,宜考虑楼板作为翼缘对梁刚度和承载力的影响。梁受压区有效翼缘计算宽度b'f可按表5.2.4所列情况中的最小值取用;也可采用梁刚度增大系数法近似考虑,刚度增大系数应根据梁有效翼缘尺寸与梁截面尺寸的相对比例确定。
表5.2.4受弯构件受压区有效翼缘计算宽度b'f

注:1 表中b为梁的腹板厚度;
2 肋形梁在梁跨内设有间距小于纵肋间距的横肋时,可不考虑表中情况3的规定;
3 加腋的T形、I形和倒L形截面,当受压区加腋的高度hh不小 且加腋的长度bh不大于3hh时,其翼缘计算宽度可按表中情况3的规定分别增加2bh(T形、I形截面)和h'f(倒L形截面);
4 独立梁受压区的翼缘板在荷载作用下经验算沿纵肋方向可能产生裂缝时,其计算宽度应取腹板宽度b。
条文说明
5.2.4 现浇楼盖和装配整体式楼盖的楼板作为梁的有效翼缘,与梁一起形成T形截面,提高了楼面梁的刚度,结构分析时应予以考虑。当采用梁刚度放大系数法时,应考虑各梁截面尺寸大小的差异,以及各楼层楼板厚度的差异。
5.2.5 当地基与结构的相互作用对结构的内力和变形有显著影响时,结构分析中宜考虑地基与结构相互作用的影响。
条文说明
5.2.5 本条规定了考虑地基对上部结构影响的原则。
5.3 弹性分析
5.3 弹性分析
5.3.1 结构的弹性分析方法可用于正常使用极限状态和承载能力极限状态作用效应的分析。
条文说明
5.3.1 本条规定了弹性分析的应用范围。
5.3.2 结构构件的刚度可按下列原则确定:
1 混凝土的弹性模量可按本规范表4.1.5采用;
2 截面惯性矩可按匀质的混凝土全截面计算;
3 端部加腋的杆件,应考虑其截面变化对结构分析的影响;
4 不同受力状态下构件的截面刚度,宜考虑混凝土开裂、徐变等因素的影响予以折减。
条文说明
5.3.2 按构件全截面计算截面惯性矩时,可进行简化,既不计钢筋的换算面积,也不扣除预应力筋孔道等的面积。
5.3.3 混凝土结构弹性分析宜采用结构力学或弹性力学等分析方法。体形规则的结构,可根据作用的种类和特性,采用适当的简化分析方法。
条文说明
5.3.3 本条规定了弹性分析的计算方法。
5.3.4 当结构的二阶效应可能使作用效应显著增大时,在结构分析中应考虑二阶效应的不利影响。
混凝土结构的重力二阶效应可采用有限元分析方法计算,也可采用本规范附录B的简化方法。当采用有限元分析方法时,宜考虑混凝土构件开裂对构件刚度的影响。
条文说明
5.3.4 结构中的二阶效应指作用在结构上的重力或构件中的轴压力在变形后的结构或构件中引起的附加内力和附加变形。建筑结构的二阶效应包括重力二阶效应(P—△效应)和受压构件的挠曲效应(P—δ效应)两部分。严格地讲,考虑P—△效应和P—δ效应进行结构分析,应考虑材料的非线性和裂缝、构件的曲率和层间侧移、荷载的持续作用、混凝土的收缩和徐变等因素。但要实现这样的分析,在目前条件下还有困难,工程分析中一般都采用简化的分析方法。
重力二阶效应计算属于结构整体层面的问题,一般在结构整体分析中考虑,本规范给出了两种计算方法:有限元法和增大系数法。受压构件的挠曲效应计算属于构件层面的问题,一般在构件设计时考虑,详见本规范第6.2节。 需要提醒注意的是,附录B.0.4给出的排架结构二阶效应计算公式,其中也考虑了P—δ效应的影响。即排架结构的二阶效应计算仍维持02版规范的规定。
5.3.5 当边界支承位移对双向板的内力及变形有较大影响时,在分析中宜考虑边界支承竖向变形及扭转等的影响。
条文说明
5.3.5 本条规定考虑支承位移对双向板的内力、变形影响的原则。
5.4 塑性内力重分布分析
5.4 塑性内力重分布分析
5.4.1 混凝土连续梁和连续单向板,可采用塑性内力重分布方法进行分析。
重力荷载作用下的框架、框架-剪力墙结构中的现浇梁以及双向板等,经弹性分析求得内力后,可对支座或节点弯矩进行适度调幅,并确定相应的跨中弯矩。
条文说明
5.4.1 超静定混凝土结构在出现塑性铰的情况下,会发生内力重分布。可利用这一特点进行构件截面之间的内力调幅,以达到简化构造、节约配筋的目的。本条给出了可以采用塑性调幅设计的构件或结构类型。
5.4.2 按考虑塑性内力重分布分析方法设计的结构和构件,应选用符合本规范第4.2.4条规定的钢筋,并应满足正常使用极限状态要求且采取有效的构造措施。
对于直接承受动力荷载的构件,以及要求不出现裂缝或处于三a、三b类环境情况下的结构,不应采用考虑塑性内力重分布的分析方法。
条文说明
5.4.2 本条提出了考虑塑性内力重分布分析方法设计的条件。按考虑塑性内力重分布的计算方法进行构件或结构的设计时,由于塑性铰的出现,构件的变形和抗弯能力调小部位的裂缝宽度均较大。故本条进一步明确允许考虑塑性内力重分布构件的使用环境,并强调应进行构件变形和裂缝宽度验算,以满足正常使用极限状态的要求。
5.4.3 钢筋混凝土梁支座或节点边缘截面的负弯矩调幅幅度不宜大于25%;弯矩调整后的梁端截面相对受压区高度不应超过0.35,且不宜小于0.10。
钢筋混凝土板的负弯矩调幅幅度不宜大于20%。
预应力混凝土梁的弯矩调幅幅度应符合本规范第10.1.8条的规定。
条文说明
5.4.3 采用基于弹性分析的塑性内力重分布方法进行弯矩调幅时,弯矩调整的幅度及受压区的高度均应满足本条的规定,以保证构件出现塑性铰的位置有足够的转动能力并限制裂缝宽度。
5.4.4 对属于协调扭转的混凝土结构构件,受相邻构件约束的支承梁的扭矩宜考虑内力重分布的影响。
考虑内力重分布后的支承梁,应按弯剪扭构件进行承载力计算。
注:当有充分依据时,也可采用其他设计方法。
条文说明
5.4.4 钢筋混凝土结构的扭转,应区分两种不同的类型:
1 平衡扭转:由平衡条件引起的扭转,其扭矩在梁内不会产生内力重分布;
2 协调扭转:由于相邻构件的弯曲转动受到支承梁的约束,在支承梁内引起的扭转,其扭矩会由于支承梁的开裂产生内力重分布而减小,条文给出了宜考虑内力重分布影响的原则要求。
5.5 弹塑性分析
5.5 弹塑性分析
5.5.1 重要或受力复杂的结构,宜采用弹塑性分析方法对结构整体或局部进行验算。结构的弹塑性分析宜遵循下列原则:
1 应预先设定结构的形状、尺寸、边界条件、材料性能和配筋等;
2 材料的性能指标宜取平均值,并宜通过试验分析确定,也可按本规范附录C的规定确定;
3 宜考虑结构几何非线性的不利影响;
4 分析结果用于承载力设计时,宜考虑抗力模型不定性系数对结构的抗力进行适当调整。
条文说明
5.5.1 弹塑性分析可根据结构的类型和复杂性、要求的计算精度等选择相应的计算方法。进行弹塑性分析时,结构构件各部分的尺寸、截面配筋以及材料性能指标都必须预先设定。应根据实际情况采用不同的离散尺度,确定相应的本构关系,如应力-应变关系、弯矩-曲率关系、内力-变形关系等。
采用弹塑性分析方法确定结构的作用效应时,钢筋和混凝土的材料特征值及本构关系宜经试验分析确定,也可采用附录C提供的材料平均强度、本构模型或多轴强度准则。
需要提醒注意的是,在采用弹塑性分析方法确定结构的作用效应时,需先进行作用组合,并考虑结构重要性系数,然后方可进行分析。
5.5.2 混凝土结构的弹塑性分析,可根据实际情况采用静力或动力分析方法。结构的基本构件计算模型宜按下列原则确定:
1 梁、柱、杆等杆系构件可简化为一维单元,宜采用纤维束模型或塑性铰模型;
2 墙、板等构件可简化为二维单元,宜采用膜单元、板单元或壳单元;
3 复杂的混凝土结构、大体积混凝土结构、结构的节点或局部区域需作精细分析时,宜采用三维块体单元。
条文说明
5.5.2 结构构件的计算模型以及离散尺度应根据实际情况以及计算精度的要求确定。若一个方向的正应力明显大于其余两个正交方向的应力,则构件可简化为一维单元;若两个方向的正应力均显著大于另一个方向的应力,则应简化为二维单元;若构件三个方向的正应力无显著差异,则构件应按三维单元考虑。
5.5.3 构件、截面或各种计算单元的受力-变形本构关系宜符合实际受力情况。某些变形较大的构件或节点进行局部精细分析时,宜考虑钢筋与混凝土间的粘结-滑移本构关系。
钢筋、混凝土材料的本构关系宜通过试验分析确定,也可按本规范附录C采用。
条文说明
5.5.3 本条给出了在结构弹塑性分析中选用钢筋和混凝土材料本构关系的原则规定。钢筋混凝土界面的粘结、滑移对其分析结果影响较显著的构件(如:框架结构梁柱的节点区域等),建议在进行分析时考虑钢筋与混凝土的粘结-滑移本构关系。
5.6 塑性极限分析
5.6 塑性极限分析
5.6.1 对不承受多次重复荷载作用的混凝土结构,当有足够的塑性变形能力时,可采用塑性极限理论的分析方法进行结构的承载力计算,同时应满足正常使用的要求。
条文说明
5.6.1 对于超静定结构,结构中的某一个截面(或某几个截面)达到屈服,整个结构可能并没有达到其最大承载能力,外荷载还可以继续增加。先达到屈服截面的塑性变形会随之不断增大,并且不断有其他截面陆续达到屈服。直至有足够数量的截面达到屈服,使结构体系即将形成几何可变机构,结构才达到最大承载能力。因此,利用超静定结构的这一受力特征,可采用塑性极限分析方法来计算超静定结构的最大承载力,并以达到最大承载力时的状态,作为整个超静定结构的承载能力极限状态。这样既可以使超静定结构的内力分析更接近实际内力状态,也可以充分发挥超静定结构的承载潜力,使设计更经济合理。但是,超静定结构达到承载力极限状态(最大承载力)时,结构中较早达到屈服的截面已处于塑性变形阶段,即已形成塑性铰,这些截面实际上已具有一定程度的损伤。如果塑性铰具有足够的变形能力,则这种损伤对于一次加载情况的最大承载力影响不大。
5.6.2 整体结构的塑性极限分析计算应符合下列规定:
1 对可预测结构破坏机制的情况,结构的极限承载力可根据设定的结构塑性屈服机制,采用塑性极限理论进行分析;
2 对难于预测结构破坏机制的情况,结构的极限承载力可采用静力或动力弹塑性分析方法确定;
3 对直接承受偶然作用的结构构件或部位,应根据偶然作用的动力特征考虑其动力效应的影响。
条文说明
5.6.2 结构极限分析可采用精确解、上限解和下限解法。当采用上限解法时,应根据具体结构的试验结果或弹性理论的内力分布,预先建立可能的破坏机构,然后采用机动法或极限平衡法求解结构的极限荷载。当采用下限解法时,可参考弹性理论的内力分布,假定一个满足极限条件的内力场,然后用平衡条件求解结构的极限荷载。
5.6.3 承受均布荷载的周边支承的双向矩形板,可采用塑性铰线法或条带法等塑性极限分析方法进行承载能力极限状态的分析与设计。
条文说明
5.6.3 本条介绍双向矩形板采用塑性铰线法或条带法的计算原则。
5.7 间接作用分析
5.7 间接作用分析
5.7.1 当混凝土的收缩、徐变以及温度变化等间接作用在结构中产生的作用效应可能危及结构的安全或正常使用时,宜进行间接作用效应的分析,并应采取相应的构造措施和施工措施。
条文说明
5.7.1 大体积混凝土结构、超长混凝土结构等约束积累较大的超静定结构,在间接作用下的裂缝问题比较突出,宜对结构进行间接作用效应分析。对于允许出现裂缝的钢筋混凝土结构构件,应考虑裂缝的开展使构件刚度降低的影响,以减少作用效应计算的失真。
5.7.2 混凝土结构进行间接作用效应的分析,可采用本规范第5.5节的弹塑性分析方法;也可考虑裂缝和徐变对构件刚度的影响,按弹性方法进行近似分析。
条文说明
5.7.2 间接作用效应分析可采用弹塑性分析方法,也可采用简化的弹性分析方法,但计算时应考虑混凝土的徐变及混凝土的开裂引起的应力松弛和重分布。
6 承载能力极限状态计算
6.1 一般规定
6 承载能力极限状态计算
6.1 一般规定
6.1.1 本章适用于钢筋混凝土构件、预应力混凝土构件的承载能力极限状态计算;素混凝土结构构件设计应符合本规范附录D的规定。
深受弯构件、牛腿、叠合式构件的承载力计算应符合本规范第9章的有关规定。
条文说明
6.1.1 钢筋混凝土构件、预应力混凝土构件一般均可按本章的规定进行正截面、斜截面及复合受力状态下的承载力计算(验算)。素混凝土结构构件在房屋建筑中应用不多,低配筋混凝土构件的研究和工程实践经验尚不充分。因此,本次修订对素混凝土构件的设计要求未作调整,其内容见本规范附录D。 02版规范已有的深受弯构件、牛腿、叠合构件等的承载力计算,仍然独立于本章之外给出,深受弯构件见附录G,牛腿见第9.3节,叠合构件见第9.5节及附录H。 有关构件的抗震承载力计算(验算),见本规范第11章的相关规定。
6.1.2 对于二维或三维非杆系结构构件,当按弹性或弹塑性分析方法得到构件的应力设计值分布后,可根据主拉应力设计值的合力在配筋方向的投影确定配筋量,按主拉应力的分布区域确定钢筋布置,并应符合相应的构造要求;当混凝土处于受压状态时,可考虑受压钢筋和混凝土共同作用,受压钢筋配置应符合构造要求。
条文说明
6.1.2 对混凝土结构中的二维、三维非杆系构件,可采用弹性或弹塑性方法求得其主应力分布,其承载力极限状态设计应符合本规范第3.3.2条、第3.3.3条的规定,宜通过计算配置受拉区的钢筋和验算受压区的混凝土强度。按应力进行截面设计的原则和方法与02版规范第5.2.8条的规定相同。 受拉钢筋的配筋量可根据主拉应力的合力进行计算,但一般不考虑混凝土的抗拉设计强度;受拉钢筋的配筋分布可按主拉应力分布图形及方向确定。具体可参考行业标准《水工混凝土结构设计规范》DL/T 5057的有关规定。受压钢筋可根据计算确定,此时可由混凝土和受压钢筋共同承担受压应力的合力。受拉钢筋或受压钢筋的配置均应符合相关构造要求。
6.1.3 采用应力表达式进行混凝土结构构件的承载能力极限状态验算时,应符合下列规定:
1 应根据设计状况和构件性能设计目标确定混凝土和钢筋的强度取值。
2 钢筋应力不应大于钢筋的强度取值。
3 混凝土应力不应大于混凝土的强度取值;多轴应力状态混凝土强度取值和验算可按本规范附录C. 4的有关规定进行。
条文说明
6.1.3 复杂或有特殊要求的混凝土结构以及二维、三维非杆系混凝土结构构件,通常需要考虑弹塑性分析方法进行承载力校核、验算。根据不同的设计状况(如持久、短暂、地震、偶然等)和不同的性能设计目标,承载力极限状态往往会采用不同的组合,但通常会采用基本组合、地震组合或偶然组合,因此结构和构件的抗力计算也要相应采用不同的材料强度取值。例如,对于荷载偶然组合的效应,材料强度可取用标准值或极限值;对于地震作用组合的效应,材料强度可以根据抗震性能设计目标取用设计值或标准值等。承载力极限状态验算就是要考察构件的内力或应力是否超过材料的强度取值。 对于多轴应力状态,混凝土主应力验算可按本规范附录C.4的有关规定进行。对于二维尤其是三维受压的混凝土结构构件,校核受压应力设计值可采用混凝土多轴强度准则,可以强度代表值的相对形式,利用多轴受压时的强度提高。
6.2 正截面承载力计算
6.2 正截面承载力计算
(Ⅰ)正截面承载力计算的一般规定
6.2.1 正截面承载力应按下列基本假定进行计算:
1 截面应变保持平面。
2 不考虑混凝土的抗拉强度。
3 混凝土受压的应力与应变关系按下列规定取用:

式中:σst、σpt——第i层纵向普通钢筋、预应力筋的应力,正值代表拉应力。负值代表压应力;
σpot——第i层纵向预应力筋截面重心处混凝土法向应力等于零时的预应力筋应力,按本规范公式(10.1. 6-3)或公式(10.1. 6-6)计算;
fy、fpy——普通钢筋、预应力筋抗拉强度设计值,按本规范表4.2.3-1、表4.2.3-2采用;
f'y、f'py——普通钢筋、预应力筋抗压强度设计值,按本规范表4.2.3-1、表4.2.3-2采用;
条文说明
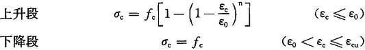
6.2.1 本条对正截面承载力计算方法作了基本假定。 1 平截面假定 试验表明,在纵向受拉钢筋的应力达到屈服强度之前及达到屈服强度后的一定塑性转动范围内,截面的平均应变基本符合平截面假定。因此,按照平截面假定建立判别纵向受拉钢筋是否屈服的界限条件和确定屈服之前钢筋的应力σs是合理的。平截面假定作为计算手段,即使钢筋已达屈服,甚至进入强化段时,也还是可行的,计算值与试验值符合较好。 引用平截面假定可以将各种类型截面(包括周边配筋截面)在单向或双向受力情况下的正截面承载力计算贯穿起来,提高了计算方法的逻辑性和条理性,使计算公式具有明确的物理概念。引用平截面假定也为利用电算进行混凝土构件正截面全过程分析(包括非线性分析)提供了必不可少的截面变形条件。 国际上的主要规范,均采用了平截面假定。 2 混凝土的应力-应变曲线 随着混凝土强度的提高,混凝土受压时的应力-应变曲线将逐渐变化,其上升段将逐渐趋向线性变化,且对应于峰值应力的应变稍有提高;下降段趋于变陡,极限应变有所减少。为了综合反映低、中强度混凝土和高强混凝土的特性,与02版规范相同,本规范对正截面设计用的混凝土应力-应变关系采用如下简化表达形式: 
根据国内中、低强度混凝土和高强度混凝土偏心受压短柱的试验结果,在条文中给出了有关参数:n、ε0、εcu的取值,与试验结果较为接近。 3 纵向受拉钢筋的极限拉应变 纵向受拉钢筋的极限拉应变本规范规定为0.01,作为构件达到承载能力极限状态的标志之一。对有物理屈服点的钢筋,该值相当于钢筋应变进入了屈服台阶;对无屈服点的钢筋,设计所用的强度是以条件屈服点为依据的。极限拉应变的规定是限制钢筋的强化强度,同时,也表示设计采用的钢筋的极限拉应变不得小于0.01,以保证结构构件具有必要的延性。对预应力混凝土结构构件,其极限拉应变应从混凝土消压时的预应力筋应力σp0处开始算起。 对非均匀受压构件,混凝土的极限压应变达到εcu或者受拉钢筋的极限拉应变达到0.01,即这两个极限应变中只要具备其中一个,就标志着构件达到了承载能力极限状态。
6.2.2 在确定中和轴位置时,对双向受弯构件,其内、外弯矩作用平面应相互重合;对双向偏心受力构件,其轴向力作用点、混凝土和受压钢筋的合力点以及受拉钢筋的合力点应在同一条直线上。当不符台上述条件时,尚应考虑扭转的影响。
条文说明
6.2.2 本条的规定同02版规范。
6.2.3 弯矩作用平面内截面对称的偏心受压构件,当同一主轴方向的杆端弯矩比M1/M2不大于0.9且轴压比不大于0.9时,若构件的长细比满足公式(6.2.3)的要求,可不考虑轴向压力在该方向挠曲杆件中产生的附加弯矩影响;否则应根据本规范第6.2.4条的规定,按截面的两个主轴方向分别考虑轴向压力在挠曲杆件中产生的附加弯矩影响。

式中:M1、M2——分别为已考虑侧移影响的偏心受压构件两端截面按结构弹性分析确定的对同一主轴的组合弯矩设计值,绝对值较大端为M2,绝对值较小端为M1,当构件按单曲率弯曲时,M1/M2取正值,否则取负值;
lc——构件的计算长度,可近似取偏心受压构件相应主轴方向上下支撑点之间的距离;
i——偏心方向的截面回转半径。
条文说明
6.2.3 轴向压力在挠曲杆件中产生的二阶效应(P—δ效应)是偏压杆件中由轴向压力在产生了挠曲变形的杆件内引起的曲率和弯矩增量。例如在结构中常见的反弯点位于柱高中部的偏压构件中,这种二阶效应虽能增大构件除两端区域外各截面的曲率和弯矩,但增大后的弯矩通常不可能超过柱两端控制截面的弯矩。因此,在这种情况下,P—δ效应不会对杆件截面的偏心受压承载能力产生不利影响。但是,在反弯点不在杆件高度范围内(即沿杆件长度均为同号弯矩)的较细长且轴压比偏大的偏压构件中,经P—δ效应增大后的杆件中部弯矩有可能超过柱端控制截面的弯矩。此时,就必须在截面设计中考虑P—δ效应的附加影响。因后一种情况在工程中较少出现,为了不对各个偏压构件逐一进行验算,本条给出了可以不考虑P—δ效应的条件。该条件是根据分析结果并参考国外规范给出的。
6.2.4 除排架结构柱外,其他偏心受压构件考虑轴向压力在挠曲杆件中产生的二阶效应后控制截面的弯矩设计值,应按下列公式计算:


条文说明
6.2.4 本条给出了在偏压构件中考虑P—δ效应的具体方法,即Cm—ηns法。该方法的基本思路与美国ACI 318-08规范所用方法相同。其中ηns使用中国习惯的极限曲率表达式。该表达式是借用02版规范偏心距增大系数η的形式,并作了下列调整后给出的: 1 考虑本规范所用钢材强度总体有所提高,故将02版规范η公式中反映极限曲率的“1/1400”改为“1/1300”。 2 根据对P—δ效应规律的分析,取消了02版规范η公式中在细长度偏大情况下减小构件挠曲变形的系数ζ2。 本条Cm系数的表达形式与美国ACI 318-08规范所用形式相似,但取值略偏高,这是根据我国所做的系列试验结果,考虑钢筋混凝土偏心压杆P—δ效应规律的较大离散性而给出的。 对剪力墙、核心筒墙肢类构件,由于P—δ效应不明显,计算时可以忽略。对排架结构柱,当采用本规范第B.0.4条的规定计算二阶效应后,不再按本条规定计算P—δ效应;当排架柱未按本规范第B.0.4条计算其侧移二阶效应时,仍应按本规范第B.0.4条考虑其P—δ效应。
6.2.5 偏心受压构件的正截面承载力计算时,应计入轴向压力在偏心方向存在的附加偏心距ea,其值应取20mm和偏心方向截面最大尺寸的1/30两者中的较大值。
条文说明
6.2.5 由于工程中实际存在着荷载作用位置的不定性、混凝土质量的不均匀性及施工的偏差等因素,都可能产生附加偏心距。 很多国家的规范中都有关于附加偏心距的具体规定,因此参照国外规范的经验,规定了附加偏心距ea的绝对值与相对值的要求,并取其较大值用于计算。
6.2.6 受弯构件、偏心受力构件正截面承载力计算时,受压区混凝土的应力图形可简化为等效的矩形应力图。
矩形应力图的受压区高度x可取截面应变保持平面的假定所确定的中和轴高度乘以系数β1。当混凝土强度等级不超过C50时,β1取为0.80,当混凝土强度等级为C80时,β1取为0.74,其间按线性内插法确定。
矩形应力图的应力值可由混凝土轴心抗压强度设计值fc乘以系数α1确定。当混凝土强度等级不超过C50时,α1取为1.0,当混凝土强度等级为C80时,α1取为0.94,其间按线性内插法确定。
条文说明
6.2.6 在承载力计算中,可采用合适的压应力图形,只要在承载力计算上能与可靠的试验结果基本符合。为简化计算,本规范采用了等效矩形压应力图形,此时,矩形应力图的应力取fc乘以系数α1,矩形应力图的高度可取等于按平截面假定所确定的中和轴高度xn乘以系数β1。对中低强度混凝土,当n=2,ε0=0.002,εcu=0.0033时,α1=0.969,β1=0.824;为简化计算,取α1=1.0,β1=0.8。对高强度混凝土,用随混凝土强度提高而逐渐降低的系数α1、β1值来反映高强度混凝土的特点,这种处理方法能适应混凝土强度进一步提高的要求,也是多数国家规范采用的处理方法。上述的简化计算与试验结果对比大体接近。应当指出,将上述简化计算的规定用于三角形截面、圆形截面的受压区,会带来一定的误差。
6.2.7 纵向受拉钢筋屈服与受压区混凝土破坏同时发生时的相对界限受压区高度ζb应按下列公式计算:
1 钢筋混凝土构件
有屈服点普通钢筋

式中:ζb——相对界限受压区高度,取xb/h0;
xb——界限受压区高度;
h0——截面有效高度:纵向受拉钢筋合力点至截面受压边缘的距离;
ES——钢筋弹性模量,按本规范表4.2.5采用;
σp0——受拉区纵向预应力筋合力点处混凝土法向应力等于零时的预应力筋应力,按本规范公式(10.1. 6—3)或公式(10.1.6—6)计算;
εcu——非均匀受压时的混凝土极限压应变,按本规范公式(6.2.1—5)计算;
β1——系数,按本规范第6.2.6条的规定计算。
注:当截面受拉区内配置有不同种类或不同预应力值的钢筋时,受弯构件的相对界限受压区高度应分别计算,并取其较小值。
条文说明
6.2.7 构件达到界限破坏是指正截面上受拉钢筋屈服与受压区混凝土破坏同时发生时的破坏状态。对应于这一破坏状态,受压边混凝土应变达到εcu;对配置有屈服点钢筋的钢筋混凝土构件,纵向受拉钢筋的应变取fy/ES。界限受压区高度xb与界限中和轴高xnb的比值为β1,根据平截面假定,可得截面相对界限受压区高度ζb的公式(6.2.7—1)。 对配置无屈服点钢筋的钢筋混凝土构件或预应力混凝土构件,根据条件屈服点的定义,应考虑0.2%的残余应变,普通钢筋应变取(fy/ES+0.002)、预应力筋应变取[(fpy-σp0)/ES+0.002]。根据平截面假定,可得公式(6.2.7—2)和公式(6.2.7—3)。 无屈服点的普通钢筋通常是指细规格的带肋钢筋,无屈服点的特性主要取决于钢筋的轧制和调直等工艺。在钢筋标准中,有屈服点钢筋的屈服强度以σs表示,无屈服点钢筋的屈服强度以σp0.2表示。
6.2.8 纵向钢筋应力应按下列规定确定:
1 纵向钢筋应力宜按下列公式计算:

条文说明
6.2.8 钢筋应力σs的计算公式,是以混凝土达到极限压应变εcu作为构件达到承载能力极限状态标志而给出的。 按平截面假定可写出截面任意位置处的普通钢筋应力σsi的计算公式(6.2.8—1)和预应力筋应力σpi的计算公式(6.2.8—2)。 为了简化计算,根据我国大量的试验资料及计算分析表明,小偏心受压情况下实测受拉边或受压较小边的钢筋应力σs与ζ接近直线关系。考虑到ζ=ζb及ζ=β1作为界限条件,取σs与ζ之间为线性关系,就可得到公式(6.2.8—3)、公式(6.2.8—4)。 按上述线性关系式,在求解正截面承载力时,一般情况下为二次方程。
6.2.9 矩形、I形、T形截面构件的正截面承载力可按本节规定计算;任意截面、圆形及环形截面构件的正截面承载力可按本规范附录E的规定计算。
(Ⅱ)正截面受弯承载力计算
条文说明
6.2.9 在02版规范中,将圆形、圆环形截面混凝土构件的正截面承载力列在正文,本次修订将圆形截面、圆环形截面与任意截面构件的正截面承载力计算一同列入附录。
6.2.10 矩形截面或翼缘位于受拉边的倒T形截面受弯构件,其正截面受弯承载力应符合下列规定(图6.2.10):


按上述公式计算T形、I形截面受弯构件时,混凝土受压区高度仍应符合本规范公式(6.2.10—3)和公式(6.2.10—4)的要求。
6.2.12 T形、I形及倒L形截面受弯构件位于受压区的翼缘计算宽度 可按本规范表5.2.4所列情况中的最小值取用。
6.2.13 受弯构件正截面受弯承载力计算应符合本规范公式(6.2.10—3)的要求。当由构造要求或按正常使用极限状态验算要求配置的纵向受拉钢筋截面面积大于受弯承载力要求的配筋面积时,按本规范公式(6.2.10—2)或公式(6.2.11—3)计算的混凝土受压区高度x,可仅计入受弯承载力条件所需的纵向受拉钢筋截面面积。
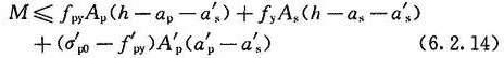
6.2.14 当计算中计入纵向普通受压钢筋时,应满足本规范公式(6.2.10—4)的条件;当不满足此条件时,正截面受弯承载力应符合下列规定:

式中:ax、ap——受拉区纵向普通钢筋、预应力筋至受拉边缘的距离。
(Ⅲ)正截面受压承载力计算
条文说明
6.2.10~6.2.14 保留02版规范的实用计算方法。 构件中如无纵向受压钢筋或不考虑纵向受压钢筋时,不需要符合公式(6.2.10—4)的要求。
6.2.15 钢筋混凝土轴心受压构件,当配置的箍筋符合本规范第9.3节的规定时,其正截面受压承载力应符合下列规定(图6.2.15):

式中:N——轴向压力设计值;
φ——钢筋混凝土构件的稳定系数,按表6.2.15采用;
fc——混凝土轴心抗压强度设计值,按本规范表4.1.4-1采用;
A——构件截面面积;
A's——全部纵向普通钢筋的截面面积。
当纵向普通钢筋的配筋率大于3%时,公式(6.2.15)中的A应改用(A-A's)代替。

注:1 lo为构件的计算长度,对钢筋混凝土柱可按本规范第6.2.20条的规定取用;
2 b为矩形截面的短边尺寸,d为圆形截面的直径,i为界面的最小回转半径。

条文说明
6.2.15 保留了02版规范的规定。为保持与偏心受压构件正截面承载力计算具有相近的可靠度,在正文公式(6.2.15)右端乘以系数0.9。 02版规范第7.3.11条规定的受压构件计算长度l0主要适用于有侧移受偏心压力作用的构件,不完全适用于上下端有支点的轴心受压构件。对于上下端有支点的轴心受压构件,其计算长度l0可偏安全地取构件上下端支点之间距离的1.1倍。 
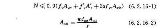
6.2.16 钢筋混凝土轴心受压构件,当配置的螺旋式或焊接环式间接钢筋符合本规范第9.3.2条的规定时,其正截面受压承载力应符合下列规定(图6.2.16):


式中:fyv——间接钢筋的抗拉强度设计值,按本规范第4.2.3条的规定采用;
Acor——构件的核心截面面积,取间接钢筋内表面范围内的混凝土截面面积;
Asso——螺旋式或焊接环式间接钢筋的换算截面面积;
dcor——构件的核心截面直径,取间接钢筋内表面之间的距离;
Assl——螺旋式或焊接环式单根间接钢筋的截面面积;
s——间接钢筋沿构件轴线方向的间距;
α——间接钢筋对混凝土约束的折减系数:当混凝土强度等级不超过C50时,取1.0,当混凝土强度等级为C80时,取0.85,其间按线性内插法确定。
注:1 按公式(6.2.16—1)算得的构件受压承载力设计值不应大于按本规范公式(6.2.15)算得的构件受压承载力设计值的1.5倍;
2 当遇到下列任意一种情况时,不应计入间接钢筋的影响,而应按本规范第6.2.15条的规定进行计算:
1)当lo/d>12时;
2)当按公式(6.2.16—1)算得的受压承载力小于按本规范公式(6.2.15)算得的受压承载力时;
3)当间接钢筋的换算截面面积Asso小于纵向普通钢筋的全部截面面积的25%时。
条文说明
6.2.16 保留了02版规范的规定。根据国内外的试验结果,当混凝土强度等级大于C50时,间接钢筋混凝土的约束作用将会降低,为此,在混凝土强度等级为C50~C80的范围内,给出折减系数α值。基于与第6.2.15条相同的理由,在公式(6.2.16—1)右端乘以系数0.9。
6.2.17 矩形截面偏心受压构件正截面受压承载力应符合下列规定(图6.2.17):



条文说明
6.2.17 矩形截面偏心受压构件: 1 对非对称配筋的小偏心受压构件,当偏心距很小时,为了防止As产生受压破坏,尚应按公式(6.2.17—5)进行验算,此处引入了初始偏心距ei=e0-ea,这是考虑了不利方向的附加偏心距。计算表明,只有当N>fcbh时,钢筋As的配筋率才有可能大于最小配筋率的规定。 2 对称配筋小偏心受压的钢筋混凝土构件近似计算方法: 当应用偏心受压构件的基本公式(6.2.17—1)、公式(6.2.17—2)及公式(6.2.8—1)求解对称配筋小偏心受压构件承载力时,将出现ζ的三次方程。第6.2.17条第4款的简化公式是取 </imgsrc="http:>
6.2.18 I形截面偏心受压构件的受压翼缘计算宽度b'f应按本规范第6.2.12条确定,其正截面受压承载力应符合下列规定:
1 当受压区高度x不大于h'f时,应按宽度为受压翼缘计算宽度b'f的矩形截面计算。
2 当受压区高度x大于h'f时(图6.2.18),应符合下列规定:

公式中的钢筋应力σs、σp以及是否考虑纵向受压普通钢筋的作用,均应按本规范第6.2.17条的有关规定确定。
3 当x大于(h-hf)时,其正截面受压承载力计算应计入受压较小边翼缘受压部分的作用,此时,受压较小边翼缘计算宽度bf应按本规范第6.2.12条确定。
4 对采用非对称配筋的小偏心受压构件,当N大于fcA时,尚应按下列公式进行验算:

式中:y'——截面重心至离轴向压力较近一侧受压边的距离,当截面对称时,取h/2。
注:对仅在离轴向压力较近一侧有翼缘的T形截面,可取bf为b;对仅在离轴向压力较远一侧有翼缘的倒T形截面,可取bf为b。
条文说明
6.2.18 给出了I形截面偏心受压构件正截面受压承载力计算公式,对T形、倒T形截面则可按条文注的规定进行计算;同时,对非对称配筋的小偏心受压构件,给出了验算公式及其适用的近似条件。
6.2.19 沿截面腹部均匀配置纵向普通钢筋的矩形、T形或I形截面钢筋混凝士偏心受压构件(图6.2.19),其正截面受压承载力宜符合下列规定:

式中:Asw——沿截面腹部均匀配置的全部纵向普通钢筋截面面积;
fyw——沿截面腹部均匀配置的纵向普通钢筋强度设计值,按本规范表4.2.3-1采用;
Nsw——沿截面腹部均匀配置的纵向普通钢筋所承担的轴向压力,当ξ大于β1时,取为β1进行计算;
Msw——沿截面腹部均匀配置的纵向普通钢筋的内力对As,重心的力矩,当ξ大于β1时,取为β1进行计算;
ω——均匀配置纵向普通钢筋区段的高度hsw与截面有效高度ho的比值(hsw/ho),宜取hsw为(ho-a's)。
受拉边或受压较小边普通钢筋As中的应力σs以及在计算中是否考虑受压普通钢筋和受压较小边翼缘受压部分的作用,应按本规范第6.2.17条和第6.2.18条的有关规定确定。
注:本条适用于截面腹部均匀配置纵向普通钢筋的数量每侧不少于4根的情况。

条文说明
6.2.19 沿截面腹部均匀配置纵向钢筋(沿截面腹部配置等直径、等间距的纵向受力钢筋)的矩形、T形或I形截面偏心受压构件,其正截面承载力可根据第6.2.1条中一般计算方法的基本假定列出平衡方程进行计算。但由于计算公式较繁,不便于设计应用,故作了必要简化,给出了公式(6.2.19—1)~公式(6.2.19—4)。 根据第6.2.1条的基本假定,均匀配筋的钢筋应变到达屈服的纤维距中和轴的距离为βζη0/β1,此处,β=fyw/(Esεcu)。分析表明,常用的钢筋β值变化幅度不大,而且对均匀配筋的内力影响很小。因此,将按平截面假定写出的均匀配筋内力Nsw、Msw的表达式分别用直线及二次曲线近似拟合,即给出公式(6.2.19—3)、公式(6.2.19—4)这两个简化公式。 计算分析表明,对两对边集中配筋与腹部均匀配筋呈一定比例的条件下,本条的简化计算与按一般方法精确计算的结果相比误差不大,并可使计算工作量得到很大简化。
6.2.20 轴心受压和偏心受压柱的计算长度lo可按下列规定确定:
1 刚性屋盖单层房屋排架柱、露天吊车柱和栈桥柱,其计算长度l0可按表6.2.20—1取用。


注:1 表中H为从基础顶面算起的柱子全高;Hl为从基础顶面至装配式吊车梁底面或现浇式吊车梁顶面的柱子下部高度;Hu为从装配式吊车梁底面或从现浇式吊车梁顶面算起的柱子上部高度;
2 表中有吊车房屋排架柱的计算长度,当计算中不考虑吊车荷载时,可按无吊车房屋柱的计算长度采用,但上柱的计算长度仍可按有吊车房屋采用;
3 表中有吊车房屋排架柱的上柱在排架方向的计算长度,仅适用于Hu/Hl不小于0.3的情况;当Hu/Hl小于0.3时,计算长度宜采用2.5Hu。
2 一般多层房屋中梁柱为刚接的框架结构,各层柱的计算长度l0可按表6.2.20—2取用。

注:表中H为底层柱从基础顶面到一层楼盖顶面的高度;对其余各层柱为上下两层楼盖顶面之间的高度。
条文说明
6.2.20 规范对排架柱计算长度的规定引自1974年的规范《钢筋混凝土结构设计规范》TJ 10—74,其计算长度值是在当时的弹性分析和工程经验基础上确定的。在没有新的研究分析结果之前,本规范继续沿用原规范的规定。 本次规范修订,对有侧移框架结构的P—△效应简化计算,不再采用η—l0法,而采用层增大系数法。因此,进行框架结构P—△效应计算时不再需要计算框架柱的计算长度l0,因此取消了02版规范第7.3.11条第3款中框架柱计算长度公式(7.3.11—1)、公式(7.3.11—2)。本规范第6.2.20条第2款表6.2.20—2中框架柱的计算长度l0主要用于计算轴心受压框架柱稳定系数φ,以及计算偏心受压构件裂缝宽度的偏心距增大系数时采用。
6.2.21 对截面具有两个互相垂直的对称轴的钢筋混凝土双向偏心受压构件(图6.2.21),其正截面受压承载力可选用下列两种方法之一进行计算:
1 按本规范附录E的方法计算,此时,附录E公式(E.0.1—7)和公式(E.0.1—8)中的Mx、My应分别用Neix、Neiy代替,其中,初始偏心距应按下列公式计算:

式中:eox、eoy——轴向压力对通过截面重心的y轴、x轴的偏心距,即Mox/N、Moy/N;
Mox、Moy——轴向压力在x轴、y轴方向的弯矩设计值,按本规范第5.3.4条、6.2.4条规定确定的弯矩设计值;
eax、eay——x轴、y轴方向上的附加偏心距,按本规范第6.2.5条的规定确定;
2 按下列近似公式计算:
式中:Nuo——构件的截面轴心受压承载力设计值;
Nux——轴向压力作用于x轴并考虑相应的计算偏心距eix后,按全部纵向普通钢筋计算的构件偏心受压承载力设计值;
Nuy——轴向压力作用于y轴并考虑相应的计算偏心距eiy后,按全部纵向普通钢筋计算的构件偏心受压承载力设计值。
构件的截面轴心受压承载力设计值Nuo,可按本规范公式(6.2.15)计算,但应取等号,将N以Nuo代替,且不考虑稳定系数φ及系数0.9。
构件的偏心受压承载力设计值Nux,可按下列情况计算:
1)当纵向普通钢筋沿截面两对边配置时,Nux可按本规范第6.2.17条或第6.2.18条的规定进行计算,但应取等号,将N以Nux代替。
2)当纵向普通钢筋沿截面腹部均匀配置时,Nux可按本规范第6.2.19条的规定进行计算,但应取等号,将N以Nux代替。
构件的偏心受压承载力设计值Nuy可采用与Nux相同的方法计算。
(Ⅳ)正截面受拉承载力计算
条文说明
6.2.21 本条对对称双向偏心受压构件正截面承载力的计算作了规定: 1 当按本规范附录E的一般方法计算时,本条规定了分别按x、y轴计算ei的公式;有可靠试验依据时,也可采用更合理的其他公式计算。 2 给出了双向偏心受压的倪克勤(N.V.Nikitin)公式,并指明了两种配筋形式的计算原则。 3 当需要考虑二阶弯矩的影响时,给出的弯矩设计值M0x,M0y已经包含了二阶弯矩的影响,即取消了02版规范第7.3.14条中的弯矩增大系数ηx、ηy,原因详见第6.2.17条条文说明。
6.2.22 轴心受拉构件的正截面受拉承载力应符合下列规定:
N≤fyAs+fpyAp (6.2.22)
式中:N——轴向拉力设计值;
As、Ap——纵向普通钢筋、预应力筋的全部截面面积。
条文说明
6.2.22~6.2.25 保留了02版规范的相应条文。 对沿截面高度或周边均匀配筋的矩形、T形或I形偏心受拉截面,其正截面承载力基本符合
的变化规律,且略偏于安全;此公式改写后即为公式(6.2.25—1)。试验表明,它也适用于对称配筋矩形截面钢筋混凝土双向偏心受拉构件。公式(6.2.25—1)是89规范在条文说明中提出的公式。
6.2.23 矩形截面偏心受拉构件的正截面受拉承载力应符合下列规定:
1 小偏心受拉构件

2 大偏心受拉构件
当轴向拉力不作用在钢筋As,与Ap的合力点和A's与A'p的合力点之间时(图6.2.23b):

此时,混凝土受压区的高度应满足本规范公式(6.2.10-3)的要求。当计算中计人纵向受压普通钢筋时,尚应满足本规范公式(6.2.10-4)的条件;当不满足时,可按公式(6.2.23-2)计算。
3 对称配筋的矩形截面偏心受拉构件,不论大、小偏心受拉情况,均可按公式(6.2.23-2)计算。

6.2.24 沿截面腹部均匀配置纵向普通钢筋的矩形、T形或I形截面钢筋混凝土偏心受拉构件,其正截面受拉承载力应符合本规范公式(6.2.25—1)的规定,式中正截面受弯承载力设计值Mu可按本规范公式(6.2.19—1)和公式(6.2.19—2)进行计算,但应取等号,同时应分别取N为0和以Mu代替Nei。
6.2.25 对称配筋的矩形截面钢筋混凝土双向偏心受拉构件,其正截面受拉承载力应符合下列规定:

6.3 斜截面承载力计算
6.3 斜截面承载力计算
6.3.1 矩形、T形和I形截面受弯构件的受剪截面应符合下列条件:
当hw/b≤4时
V≤0.25βcfcbh0 (6.3.1—1)
当hw/b≥6时
V≤0.2βcfcbh0 (6.3.1—2)
当4<hw/b<6时,按线性内插法确定。
式中:V——构件斜截面上的最大剪力设计值;
βc——混凝土强度影响系数:当混凝土强度等级不超过C50时,βc取1.0;当混凝土强度等级为C80时,βc取0.8;其间按线性内插法确定;
b——矩形截面的宽度,T形截面或I形截面的腹板宽度;
h0——截面的有效高度;
hw——截面的腹板高度:矩形截面,取有效高度;T形截面,取有效高度减去翼缘高度;I形截面,取腹板净高。
注:1 对T形或I形截面的简支受弯构件,当有实践经验时,公式(6.3.1—1)中的系数可改用0.3;
2 对受拉边倾斜的构件,当有实践经验时,其受剪截面的控制条件可适当放宽。
条文说明
6.3.1 混凝土构件的受剪截面限制条件仍采用02版规范的表达形式。 规定受弯构件的受剪截面限制条件,其目的首先是防止构件截面发生斜压破坏(或腹板压坏),其次是限制在使用阶段可能发生的斜裂缝宽度,同时也是构件斜截面受剪破坏的最大配箍率条件。 本条同时给出了划分普通构件与薄腹构件截面限制条件的界限,以及两个截面限制条件的过渡办法。
6.3.2 计算斜截面受剪承载力时,剪力设计值的计算截面应按下列规定采用:
1 支座边缘处的截面(图6.3.2a、b截面1—1);
2 受拉区弯起钢筋弯起点处的截面(图6.3.2a截面2—2、3—3);

3 箍筋截面面积或间距改变处的截面(图6.3.2b截面4—4);
4 截面尺寸改变处的截面。
注:1 受拉边倾斜的受弯构件,尚应包括梁的高度开始变化处、集中荷载作用处和其他不利的截面;
2 箍筋的间距以及弯起钢筋前一排(对支座而言)的弯起点至后一排的弯终点的距离,应符合本规范第9.2.8条和第9.2.9条的构造要求。
条文说明
6.3.2 本条给出了需要进行斜截面受剪承载力计算的截面位置。 在一般情况下是指最可能发生斜截面破坏的位置,包括可能受力最大的梁端截面、截面尺寸突然变化处、箍筋数量变化和弯起钢筋配置处等。
6.3.3 不配置箍筋和弯起钢筋的一般板类受弯构件,其斜截面受剪承载力应符合下列规定:

式中:βh——截面高度影响系数:当h0小于800mm时,取800mm;当h0大于2000mm时,取2000mm。
条文说明
6.3.3 由于混凝土受弯构件受剪破坏的影响因素众多,破坏形态复杂,对混凝土构件受剪机理的认识尚不很充分,至今未能像正截面承载力计算一样建立一套较完整的理论体系。国外各主要规范及国内各行业标准中斜截面承载力计算方法各异,计算模式也不尽相同。 对无腹筋受弯构件的斜截面受剪承载力计算: 1 根据收集到大量的均布荷载作用下无腹筋简支浅梁、无腹筋简支短梁、无腹筋简支深梁以及无腹筋连续浅梁的试验数据以支座处的剪力值为依据进行分析,可得到承受均布荷载为主的无腹筋一般受弯构件受剪承载力Vc偏下值的计算公式如下: Vc=0.7βhβρftbh0 2 综合国内外的试验结果和规范规定,对不配置箍筋和弯起钢筋的钢筋混凝土板的受剪承载力计算中,合理地反映了截面尺寸效应的影响。在第6.3.3条的公式中用系数
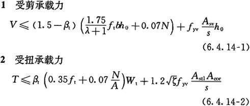
来表示;同时给出了截面高度的适用范围,当截面有效高度超过2000mm后,其受剪承载力还将会有所降低,但对此试验研究尚不够,未能作出进一步规定。 对第6.3.3条中的一般板类受弯构件,主要指受均布荷载作用下的单向板和双向板需按单向板计算的构件。试验研究表明,对较厚的钢筋混凝土板,除沿板的上、下表面按计算或构造配置双向钢筋网之外,如按本规范第9.1.11条的规定,在板厚中间部位配置双向钢筋网,将会较好地改善其受剪承载性能。 3 根据试验分析,纵向受拉钢筋的配筋率ρ对无腹筋梁受剪承载力Vc的影响可用系数βρ=(0.7+20ρ)来表示;通常在ρ大于1.5%时,纵向受拉钢筋的配筋率ρ对无腹筋梁受剪承载力的影响才较为明显,所以,在公式中未纳入系数βρ。 4 这里应当说明,以上虽然分析了无腹筋梁受剪承载力的计算公式,但并不表示设计的梁不需配置箍筋。考虑到剪切破坏有明显的脆性,特别是斜拉破坏,斜裂缝一旦出现梁即告剪坏,单靠混凝土承受剪力是不安全的。除了截面高度不大于150mm的梁外,一般梁即使满足V≤Vc的要求,仍应按构造要求配置箍筋。
6.3.4 当仅配置箍筋时,矩形、T形和I形截面受弯构件的斜截面受剪承载力应符合下列规定:

式中:Vcs——构件斜截面上混凝土和箍筋的受剪承载力设计值;
VP——由预加力所提高的构件受剪承载力设计值;
αcv——斜截面混凝土受剪承载力系数,对于一般受弯构件取0.7;对集中荷载作用下(包括作用有多种荷载,其中集中荷载对支座截面或节点边缘所产生的剪力值占总剪力的75%以上的情况)的独立梁,取αcv为1.75/ λ+1, λ为计算截面的剪跨比,可取λ等于α/h0,当λ小于1.5时,取1.5,当λ大于3时,取3,α取集中荷载作用点至支座截面或节点边缘的距离;
Asv——配置在同一截面内箍筋各肢的全部截面面积,即nAsvl,此处,n为在同一个截面内箍筋的肢数,Asvl为单肢箍筋的截面面积;
s——沿构件长度方向的箍筋间距;
fyv——箍筋的抗拉强度设计值,按本规范第4.2.3条的规定采用;
Np0——计算截面上混凝土法向预应力等于零时的预加力,按本规范第10.1.13条计算;当Np0大于0.3fcA0时,取0.3fcA0,此处,A0为构件的换算截面面积。
注:1 对预加力Np0引起的截面弯矩与外弯矩方向相同的情况,以及预应力混凝土连续梁和允许出现裂缝的预应力混凝土简支梁,均应取Vp为0;
2 先张法预应力混凝土构件,在计算预加力Np0时,应按本规范第7.1.9条的规定考虑预应力筋传递长度的影响。
条文说明
6.3.4 02版规范的受剪承载力设计公式分为集中荷载独立梁和一般受弯构件两种情况,较国外多数国家的规范繁琐,且两个公式在临近集中荷载为主的情况附近计算值不协调,且有较大差异。因此,建立一个统一的受剪承载力计算公式是规范修订和发展的趋势。 但考虑到我国的国情和规范的设计习惯,且过去规范的受剪承载力设计公式分两种情况用于设计也是可行的,此次修订实质上仍保留了受剪承载力计算的两种形式,只是在原有受弯构件两个斜截面承载力计算公式的基础上进行了整改,具体做法是混凝土项系数不变,仅对一般受弯构件公式的箍筋项系数进行了调整,由1.25改为1.0。通过对55个均布荷载作用下有腹筋简支梁构件试验的数据进行分析(试验数据来自原冶金建筑研究总院、同济大学、天津大学、重庆大学、原哈尔滨建筑大学、R.B.L.Smith等),结果表明,此次修订公式的可靠度有一定程度的提高。采用本次修订公式进行设计时,箍筋用钢量比02版规范计算值可能增加约25%。箍筋项系数由1.25改为1.0,也是为将来统一成一个受剪承载力计算公式建立基础。 试验研究表明,预应力对构件的受剪承载力起有利作用,主要因为预压应力能阻滞斜裂缝的出现和开展,增加了混凝土剪压区高度,从而提高了混凝土剪压区所承担的剪力。 根据试验分析,预应力混凝土梁受剪承载力的提高主要与预加力的大小及其作用点的位置有关。此外,试验还表明,预加力对梁受剪承载力的提高作用应给予限制。因此,预应力混凝土梁受剪承载力的计算,可在非预应力梁计算公式的基础上,加上一项施加预应力所提高的受剪承载力设计值0.05Np0,且当Np0超过0.3fcA0时,只取0.3fcA0,以达到限制的目的。同时,它仅适用于预应力混凝土简支梁,且只有当Np0对梁产生的弯矩与外弯矩相反时才能予以考虑。对于预应力混凝土连续梁,尚未作深入研究;此外,对允许出现裂缝的预应力混凝土简支梁,考虑到构件达到承载力时,预应力可能消失,在未有充分试验依据之前,暂不考虑预应力对截面抗剪的有利作用。
6.3.5 当配置箍筋和弯起钢筋时,矩形、T形和I形截面受弯构件的斜截面受剪承载力应符合下列规定:
V≤Vcs+VP+0.8fyvAsbsinαs+0.8fpyApbsinαp (6.3.5)
式中:V——配置弯起钢筋处的剪力设计值,按本规范第6.3.6条的规定取用;
VP——由预加力所提高的构件受剪承载力设计值,按本规范公式(6.3.4—3)计算,但计算预加力Np0时不考虑弯起预应力筋的作用;
Asb、Apb——分别为同一平面内的弯起普通钢筋、弯起预应力筋的截面面积;
αs、αp——分别为斜截面上弯起普通钢筋、弯起预应力筋的切线与构件纵轴线的夹角。
条文说明
6.3.5、6.3.6 试验表明,与破坏斜截面相交的非预应力弯起钢筋和预应力弯起钢筋可以提高构件的斜截面受剪承载力,因此,除垂直于构件轴线的箍筋外,弯起钢筋也可以作为构件的抗剪钢筋。公式(6.3.5)给出了箍筋和弯起钢筋并用时,斜截面受剪承载力的计算公式。考虑到弯起钢筋与破坏斜截面相交位置的不定性,其应力可能达不到屈服强度,因此在公式中引入了弯起钢筋应力不均匀系数0.8。 由于每根弯起钢筋只能承受一定范围内的剪力,当按第6.3.6条的规定确定剪力设计值并按公式(6.3.5)计算弯起钢筋时,其配筋构造应符合本规范第9.2.8条的规定。
6.3.6 计算弯起钢筋时,截面剪力设计值可按下列规定取用(图6.3.2a):
1 计算第一排(对支座而言)弯起钢筋时,取支座边缘处的剪力值;
2 计算以后的每一排弯起钢筋时,取前一排(对支座而言)弯起钢筋弯起点处的剪力值。
6.3.7 矩形、T形和I形截面的一般受弯构件,当符合下式要求时,可不进行斜截面的受剪承载力计算,其箍筋的构造要求应符合本规范第9.2.9条的有关规定。
V≤αcvftbh0+0.05Np0 (6.3.7)
式中:αcv——截面混凝土受剪承载力系数,按本规范第6.3.4条的规定采用。
条文说明
6.3.7 试验表明,箍筋能抑制斜裂缝的发展,在不配置箍筋的梁中,斜裂缝的突然形成可能导致脆性的斜拉破坏。因此,本规范规定当剪力设计值小于无腹筋梁的受剪承载力时,应按本规范第9.2.9条的规定配置最小用量的箍筋;这些箍筋还能提高构件抵抗超载和承受由于变形所引起应力的能力。 02版规范中,本条计算公式也分为一般受弯构件和集中荷载作用下的独立梁两种形式,此次修订与第6.3.4条相协调,统一为一个公式。
6.3.8 受拉边倾斜的矩形、T形和I形截面受弯构件,其斜截面受剪承载力应符合下列规定(图6.3.8):

式中:M——构件斜截面受压区末端的弯矩设计值;
Vcs——构件斜截面上混凝土和箍筋的受剪承载力设计值,按本规范公式(6.3.4—2)计算,其中h0取斜截面受拉区始端的垂直截面有效高度;
Vsp——构件截面上受拉边倾斜的纵向非预应力和预应力受拉钢筋的合力设计值在垂直方向的投影:对钢筋混凝土受弯构件,其值不应大于fyAssinβ;对预应力混凝土受弯构件,其值不应大于(fpyAp+fyAs)sinβ,且不应小于σpeApsinβ;
zsv——同一截面内箍筋的合力至斜截面受压区合力点的距离;
zsb——同一弯起平面内的弯起普通钢筋的合力至斜截面受压区合力点的距离;
z——斜截面受拉区始端处纵向受拉钢筋合力的水平分力至斜截面受压区合力点的距离,可近似取为0.9h0;
β——斜截面受拉区始端处倾斜的纵向受拉钢筋的倾角;
c——斜截面的水平投影长度,可近似取为h0。
注:在梁截面高度开始变化处,斜截面的受剪承载力应按等截面高度梁和变截面高度梁的有关公式分别计算,并应按不利者配置箍筋和弯起钢筋。
条文说明
6.3.8 受拉边倾斜的受弯构件,其受剪破坏的形态与等高度的受弯构件相类似;但在受剪破坏时,其倾斜受拉钢筋的应力可能发挥得比较高,在受剪承载力中将占有相当的比例。根据对试验结果的分析,提出了公式(6.3.8—2),并与等高度的受弯构件的受剪承载力公式相匹配,给出了公式(6.3.8—1)。
6.3.9 受弯构件斜截面的受弯承载力应符合下列规定(图6.3.9):
M≤(fyAs+fpyAp)z+∑fyAsbzsb+∑fpyApbzpb+∑fyvAsvzsv (6.3.9一1)
此时,斜截面的水平投影长度c可按下列条件确定:
V=∑fyAsbsinαs+∑fpyApbsinαp+∑fyvAsv (6.3.9—2)
式中:V——斜截面受压区末端的剪力设计值;
z——纵向受拉普通钢筋和预应力筋的合力点至受压区合力点的距离,可近似取为0.9h0;
zsb、zpb——分别为同一弯起平面内的弯起普通钢筋、弯起预应力筋的合力点至斜截面受压区合力点的距离;
zsv——同一斜截面上箍筋的合力点至斜截面受压区合力点的距离。
在计算先张法预应力混凝土构件端部锚固区的斜截面受弯承载力时,公式中的fpy应按下列规定确定:锚固区内的纵向预应力筋抗拉强度设计值在锚固起点处应取为零,在锚固终点处应取为fpy,在两点之间可按线性内插法确定。此时,纵向预应力筋的锚固长度la应按本规范第8.3.1条确定。

条文说明
6.3.9、6.3.10 受弯构件斜截面的受弯承载力计算是在受拉区纵向受力钢筋达到屈服强度的前提下给出的,此时,在公式(6.3.9—1)中所需的斜截面水平投影长度c,可由公式(6.3.9—2)确定。 如果构件设计符合第6.3.10条列出的相关规定,构件的斜截面受弯承载力一般可满足第6.3.9条的要求,因此可不进行斜截面的受弯承载力计算。
6.3.10 受弯构件中配置的纵向钢筋和箍筋,当符合本规范第8.3.1条~第8.3.5条、第9.2.2条~第9.2.4条、第9.2.7条~第9.2.9条规定的构造要求时,可不进行构件斜截面的受弯承载力计算。
6.3.11 矩形、T形和I形截面的钢筋混凝土偏心受压构件和偏心受拉构件,其受剪截面应符合本规范第6.3.1条的规定。
条文说明
6.3.11~6.3.14 试验研究表明,轴向压力对构件的受剪承载力起有利作用,主要是因为轴向压力能阻滞斜裂缝的出现和开展,增加了混凝土剪压区高度,从而提高混凝土所承担的剪力。轴压比限值范围内,斜截面水平投影长度与相同参数的无轴向压力梁相比基本不变,故对箍筋所承担的剪力没有明显的影响。 轴向压力对构件受剪承载力的有利作用是有限度的,当轴压比在0.3~0.5的范围时,受剪承载力达到最大值;若再增加轴向压力,将导致受剪承载力的降低,并转变为带有斜裂缝的正截面小偏心受压破坏,因此应对轴向压力的受剪承载力提高范围予以限制。 基于上述考虑,通过对偏压构件、框架柱试验资料的分析,对矩形截面的钢筋混凝土偏心构件的斜截面受剪承载力计算,可在集中荷载作用下的矩形截面独立梁计算公式的基础上,加一项轴向压力所提高的受剪承载力设计值,即0.07N,且当N大于0.3fcA时,规定仅取为0.3fcA,相当于试验结果的偏低值。 对承受轴向压力的框架结构的框架柱,由于柱两端受到约束,当反弯点在层高范围内时,其计算截面的剪跨比可近似取Hn/(2h0);而对其它各类结构的框架柱的剪跨比则取为M/Vh0,与截面承受的弯矩和剪力有关。同时,还规定了计算剪跨比取值的上、下限值。 偏心受拉构件的受力特点是:在轴向拉力作用下,构件上可能产生横贯全截面、垂直于杆轴的初始垂直裂缝;施加横向荷载后,构件顶部裂缝闭合而底部裂缝加宽,且斜裂缝可能直接穿过初始垂直裂缝向上发展,也可能沿初始垂直裂缝延伸再斜向发展。斜裂缝呈现宽度较大、倾角较大,斜裂缝末端剪压区高度减小,甚至没有剪压区,从而截面的受剪承载力要比受弯构件的受剪承载力有明显的降低。根据试验结果并偏稳妥地考虑,减去一项轴向拉力所降低的受剪承载力设计值,即0.2N。此外,第6.3.14条还对受拉截面总受剪承载力设计值的下限值和箍筋的最小配筋特征值作了规定。 对矩形截面钢筋混凝土偏心受压和偏心受拉构件受剪要求的截面限制条件,与第6.3.1条的规定相同,与02版规范相同。 与02版规范公式比较,本次修订的偏心受力构件斜截面受剪承载力计算公式,只对02版规范公式中的混凝土项采用公式(6.3.4—2)中的混凝土项代替,并将适用范围由矩形截面扩大到T形和I形截面,且箍筋项的系数取为1.0。偏心受压构件受剪承载力计算公式(6.3.12)及偏心受拉构件受剪承载力计算公式(6.3.14)与试验数据相比较,计算值也是相当于试验结果的偏低值。
6.3.12 矩形、T形和I形截面的钢筋混凝土偏心受压构件,其斜截面受剪承载力应符合下列规定:

式中:λ——偏心受压构件计算截面的剪跨比,取为M/(Vh0);
N——与剪力设计值V相应的轴向压力设计值,当大于0.3fcA时,取0.3fcA,此处,A为构件的截面面积。
计算截面的剪跨比λ应按下列规定取用:
1 对框架结构中的框架柱,当其反弯点在层高范围内时,可取为Hn/(2h0)。当λ小于1时,取1;当λ大于3时,取3。此处,M为计算截面上与剪力设计值V相应的弯矩设计值,Hn为柱净高。
2 其他偏心受压构件,当承受均布荷载时,取1.5;当承受符合本规范第6.3.4条所述的集中荷载时,取为α/h0,且当入小于1.5时取1.5,当λ大于3时取3。
6.3.13 矩形、T形和I形截面的钢筋混凝土偏心受压构件,当符合下列要求时,可不进行斜截面受剪承载力计算,其箍筋构造要求应符合本规范第9.3.2条的规定。

式中:剪跨比λ和轴向压力设计值N应按本规范第6.3.12条确定。
6.3.14 矩形、T形和I形截面的钢筋混凝土偏心受拉构件,其斜截面受剪承载力应符合下列规定:

6.3.15 圆形截面钢筋混凝土受弯构件和偏心受压、受拉构件,其截面限制条件和斜截面受剪承载力可按本规范第6.3.1条~第6.3.14条计算,但上述条文公式中的截面宽度b和截面有效高度h0应分别以1.76r和1.6r代替,此处,r为圆形截面的半径。计算所得的箍筋截面面积应作为圆形箍筋的截面面积。
条文说明
6.3.15 在分析了国内外一定数量圆形截面受弯构件、偏心受压构件试验数据的基础上,借鉴国外有关规范的相关规定,提出了采用等效惯性矩原则确定等效截面宽度和等效截面高度的取值方法,从而对圆形截面受弯和偏心受压构件,可直接采用配置垂直箍筋的矩形截面受弯和偏心受压构件的受剪截面限制条件和受剪承载力计算公式进行计算。
6.3.16 矩形截面双向受剪的钢筋混凝土框架柱,其受剪截面应符合下列要求:

式中:Vx——x轴方向的剪力设计值,对应的截面有效高度为h0截面宽度为b;
Vy——y轴方向的剪力设计值,对应的截面有效高度为b0,截面宽度为h;
θ——斜向剪力设计值V的作用方向与x轴的夹角,θ=arctan(Vy/Vx)。
条文说明
6.3.16~6.3.19 试验表明,矩形截面钢筋混凝土柱在斜向水平荷载作用下的抗剪性能与在单向水平荷载作用下的受剪性能存在着明显的差别。根据国外的有关研究资料以及国内配置周边箍筋的斜向受剪试件的试验结果,经分析表明,构件的受剪承载力大致服从椭圆规律: 
本规范第6.3.17条的公式(6.3.17—1)和公式(6.3.17—2),实质上就是由上面的椭圆方程式转化成在形式上与单向偏心受压构件受剪承载力计算公式相当的设计表达式。在复核截面时,可直接按公式进行验算;在进行截面设计时,可近似选取公式(6.3.17—1)和公式(6.3.17—2)中的Vux/Vuy比值等于1.0,而后再进行箍筋截面面积的计算。设计时宜采用封闭箍筋,必要时也可配置单肢箍筋。当复合封闭箍筋相重叠部分的箍筋长度小于截面周边箍筋长边或短边长度时,不应将该箍筋较短方向上的箍筋截面面积计入Asvx或Asvy中。 第6.3.16条和第6.3.18条同样采用了以椭圆规律的受剪承载力方程式为基础并与单向偏心受压构件受剪的截面要求相衔接的表达式。 同时提出,为了简化计算,对剪力设计值V的作用方向与x轴的夹角θ在0°~10°和80°~90°时,可按单向受剪计算。
6.3.17 矩形截面双向受剪的钢筋混凝土框架柱,其斜截面受剪承载力应符合下列规定:





条文说明
6.3.20 本条规定与02版规范相同,目的是规定剪力墙截面尺寸的最小值,或者说限制了剪力墙截面的最大名义剪应力值。剪力墙的名义剪应力值过高,会在早期出现斜裂缝;因极限状态下的抗剪强度受混凝土抗斜压能力控制,抗剪钢筋不能充分发挥作用。

为与剪力设计值V相应的弯矩设计值;当计算截面与墙底之间的距离小于h0/2时,λ可按距墙底h0/2处的弯矩值与剪力值计算。
当剪力设计值V不大于公式(6.3.21)中右边第一项时,水平分布钢筋可按本规范第9.4.2条、9.4.4条、9.4.6条的构造要求配置。
6.3.22 钢筋混凝土剪力墙在偏心受拉时的斜截面受剪承载力应符合下列规定:

条文说明
6.3.21、6.3.22 在剪力墙设计时,通过构造措施防止发生剪拉破坏和斜压破坏,通过计算确定墙中水平钢筋,防止发生剪切破坏。 在偏心受压墙肢中,轴向压力有利于抗剪承载力,但压力增大到一定程度后,对抗剪的有利作用减小,因此对轴力的取值需加以限制。 在偏心受拉墙肢中,考虑了轴向拉力的不利影响。

条文说明
6.3.23 剪力墙连梁的斜截面受剪承载力计算,采用和普通框架梁一致的截面承载力计算方法。
6.4 扭曲截面承载力计算
6.4 扭曲截面承载力计算
6.4.1 在弯矩、剪力和扭矩共同作用下,hw/b不大于6的矩形、T形、I形截面和hw/tw不大于6的箱形截面构件(图6.4.1),其截面应符合下列条件:
当hw/b(或hw/tw)不大于4时

当hw/b(或hw/tw)大于4但小于6时,按线性内插法确定。
式中:T——扭矩设计值;
b——矩形截面的宽度,T形或I形截面取腹板宽度,箱形截面取两侧壁总厚度2tw;
Wt——受扭构件的截面受扭塑性抵抗矩,按本规范第6.4.3条的规定计算;
hw——截面的腹板高度:对矩形截面,取有效高度h0;对T形截面,取有效高度减去翼缘高度;对I形和箱形截面,取腹板净高;
tw——箱形截面壁厚,其值不应小于bh/7,此处,bh为箱形截面的宽度。
注:当hw/b大于6或hw/tw大于6时,受扭构件的截面尺寸要求及扭曲截面承载力计算应符合专门规定。
条文说明
6.4.1、6.4.2 混凝土扭曲截面承载力计算的截面限制条件是以hw/b不大于6的试验为依据的。公式(6.4.1—1)、公式(6.4.1—2)的规定是为了保证构件在破坏时混凝土不首先被压碎。公式(6.4.1—1)、公式(6.4.1—2)中的纯扭构件截面限制条件相当于取用;T=(0.16~0.2)fcWt;当T等于0时,公式(6.4.1—1)、公式(6.4.1—2)可与本规范第6.3.1条的公式相协调。




条文说明
6.4.3 本条对常用的T形、I形和箱形截面受扭塑性抵抗矩的计算方法作了具体规定。 T形、I形截面可划分成矩形截面,划分的原则是:先按截面总高度确定腹板截面,然后再划分受压翼缘和受拉翼缘。本条提供的截面受扭塑性抵抗矩公式是近似的,主要是为了方便受扭承载力的计算。

式中:ζ——受扭的纵向普通钢筋与箍筋的配筋强度比值,ζ值不应小于0.6,当ζ大于1.7时,取1.7;
Astl——受扭计算中取对称布置的全部纵向普通钢筋截面面积;
Ast1——受扭计算中沿截面周边配置的箍筋单肢截面面积;
fyv——受扭箍筋的抗拉强度设计值,按本规范第4.2.3条采用;
Acor——截面核心部分的面积,取为bcorhcor,此处,bcor、hcor分别为箍筋内表面范围内截面核心部分的短边、长边尺寸;
ucor——截面核心部分的周长,取2(bcor+hcor)。
注:当ζ小于1.7或ep0大于h/6时,不应考虑预加力影响项,而应按钢筋混凝土纯扭构件计算。
条文说明
6.4.4 公式(6.4.4—1)是根据试验统计分析后,取用试验数据的偏低值给出的。经过对高强混凝土纯扭构件的试验验证,该公式仍然适用。 试验表明,当ζ值在0.5~2.0范围内,钢筋混凝土受扭构件破坏时,其纵筋和箍筋基本能达到屈服强度。为稳妥起见,取限制条件为0.6≤ζ≤1.7。当ζ>1.7时取1.7。当ζ接近1.2时为钢筋达到屈服的最佳值。因截面内力平衡的需要,对不对称配置纵向钢筋截面面积的情况,在计算中只取对称布置的纵向钢筋截面面积。 预应力混凝土纯扭构件的试验研究表明,预应力可提高构件受扭承载力的前提是纵向钢筋不能屈服,当预加力产生的混凝土法向压应力不超过规定的限值时,纯扭构件受扭承载力可提高 
6.4.5 T形和I形截面纯扭构件,可将其截面划分为几个矩形截面,分别按本规范第6.4.4条进行受扭承载力计算。每个矩形截面的扭矩设计值可按下列规定计算:


条文说明
6.4.6 试验研究表明,对受纯扭作用的箱形截面构件,当壁厚符合一定要求时,其截面的受扭承载力与实心截面是类同的。在公式(6.4.6—1)中的混凝土项受扭承载力与实心截面的取法相同,即取箱形截面开裂扭矩的50%,此外,尚应乘以箱形截面壁厚的影响系数αh;钢筋项受扭承载力取与实心矩形截面相同。通过国内外试验结果的分析比较,公式(6.4.6—1)的取值是稳妥的。

条文说明
6.4.7 试验研究表明,轴向压力对纵筋应变的影响十分显著;由于轴向压力能使混凝土较好地参加工作,同时又能改善混凝土的咬合作用和纵向钢筋的销栓作用,因而提高了构件的受扭承载力。在本条公式中考虑了这一有利因素,它对受扭承载力的提高值偏安全地取为0.07NWt/A。 试验表明,当轴向压力大于0.65fcA时,构件受扭承载力将会逐步下降,因此,在条文中对轴向压力的上限值作了稳妥的规定,即取轴向压力N的上限值为0.3fcA。
6.4.8 在剪力和扭矩共同作用下的矩形截面剪扭构件,其受剪扭承载力应符合下列规定:
1 一般剪扭构件
1)受剪承载力

式中:λ——计算截面的剪跨比,按本规范第6.3.4条的规定取用;
βt——集中荷载作用下剪扭构件混凝土受扭承载力降低系数:当βt小于0.5时,取0.5;当βt大于1.0时,取1.0。
2)受扭承载力
受扭承载力仍应按公式(6.4.8—3)计算,但式中的βt应按公式(6.4.8—5)计算。
条文说明
6.4.8 无腹筋剪扭构件的试验研究表明,无量纲剪扭承载力的相关关系符合四分之一圆的规律;对有腹筋剪扭构件,假设混凝土部分对剪扭承载力的贡献与无腹筋剪扭构件一样,也可认为符合四分之一圆的规律。 本条公式适用于钢筋混凝土和预应力混凝土剪扭构件,它是以有腹筋构件的剪扭承载力为四分之一圆的相关曲线作为校正线,采用混凝土部分相关、钢筋部分不相关的原则获得的近似拟合公式。此时,可找到剪扭构件混凝土受扭承载力降低系数βt,其值略大于无腹筋构件的试验结果,但采用此βt值后与有腹筋构件的四分之一圆相关曲线较为接近。 经分析表明,在计算预应力混凝土构件的βt时,可近似取与非预应力构件相同的计算公式,而不考虑预应力合力Np0的影响。
6.4.9 T形和I形截面剪扭构件的受剪扭承载力应符合下列规定:
1 受剪承载力可按本规范公式(6.4.8—1)与公式(6.4.8—2)或公式(6.4.8—4)与公式(6.4.8—5)进行计算,但应将公式中的T及Wt分别代之以Tw及Wtw;
2 受扭承载力可根据本规范第6.4.5条的规定划分为几个矩形截面分别进行计算。其中,腹板可按本规范公式(6.4.8—3)、公式(6.4.8—2)或公式(6.4.8—3)、公式(6.4.8—5)进行计算,但应将公式中的T及Wt分别代之以Tw及Wtw;受压翼缘及受拉翼缘可按本规范第6.4.4条纯扭构件的规定进行计算,但应将T及Wt分别代之以T'f及W'tf或Tf及Wtf。
条文说明
6.4.9 本条规定了T形和I形截面剪扭构件承载力计算方法。腹板部分要承受全部剪力和分配给腹板的扭矩。这种规定方法是与受弯构件受剪承载力计算相协调的;翼缘仅承受所分配的扭矩,但翼缘中配置的箍筋应贯穿整个翼缘。
6.4.10 箱形截面钢筋混凝土剪扭构件的受剪扭承载力可按下列规定计算:
1一般剪扭构件

式中:βt——按本规范公式(6.4.8—5)计算,但式中的Wt应代之以αhWt。
2)受扭承载力
受扭承载力仍应按公式(6.4.10—2)计算,但式中的βt值应按本规范公式(6.4.8—5)计算。
条文说明
6.4.10 根据钢筋混凝土箱形截面纯扭构件受扭承载力计算公式(6.4.6—1)并借助第6.4.8条剪扭构件的相同方法,可导出公式(6.4.10—1)~公式(6.4.10—3),经与箱形截面试件的试验结果比较,所提供的方法是稳妥的。
6.4.11 在轴向拉力和扭矩共同作用下的矩形截面钢筋混凝土构件,其受扭承载力可按下列规定计算:

式中:ζ——按本规范第6.4.4条的规定确定;
Ast1——受扭计算中沿截面周边配置的箍筋单肢截面面积;
Astl——对称布置受扭用的全部纵向普通钢筋的截面面积;
N——与扭矩设计值相应的轴向拉力设计值,当N大于1.75ftA时,取1.75ftA;
Acor——截面核心部分的面积,取bcorhcor,此处bcor、hcor为箍筋内表面范围内截面核心部分的短边、长边尺寸;
ucor——截面核心部分的周长,取2(bcor+hcor)。
条文说明
6.4.11 本条是此次修订新增的内容。 在轴向拉力N作用下构件的受扭承载力可表示为: 
1 混凝土承担的扭矩 考虑轴向拉力对构件抗裂性能的影响,拉扭构件的开裂扭矩可按下式计算: 
根据以上说明,即可得出本条文设计计算公式(6.4.11—1)和公式(6.4.11—2),式中Astl为对称布置的受扭用的全部纵向钢筋的截面面积,承受拉力N作用的纵向钢筋截面面积不应计入。 与国内进行的25个拉扭试件的试验结果比较,本条公式的计算值与试验值之比的平均值为0.947(0.755~1.189),是可以接受的。
6.4.12 在弯矩、剪力和扭矩共同作用下的矩形、T形、I形和箱形截面的弯剪扭构件,可按下列规定进行承载力计算:
1 当V不大于0.35ftbh0或V不大于0.875ftbh0/(λ+1)时,可仅计算受弯构件的正截面受弯承载力和纯扭构件的受扭承载力;
2 当T不大于0.175ftWt或T不大于0.175αhftWt时,可仅验算受弯构件的正截面受弯承载力和斜截面受剪承载力。
条文说明
6.4.12 对弯剪扭构件,当V≤0.35fcbh0或V≤0.875ftbh0/(λ+1)时,剪力对构件承载力的影响可不予考虑,此时,构件的配筋由正截面受弯承载力和受扭承载力的计算确定;同理,T≤0.175ftWt或T≤0.175αhftWt时,扭矩对构件承载力的影响可不予考虑,此时,构件的配筋由正截面受弯承载力和斜截面受剪承载力的计算确定。
6.4.13 矩形、T形、I形和箱形截面弯剪扭构件,其纵向钢筋截面面积应分别按受弯构件的正截面受弯承载力和剪扭构件的受扭承载力计算确定,并应配置在相应的位置;箍筋截面面积应分别按剪扭构件的受剪承载力和受扭承载力计算确定,并应配置在相应的位置。
条文说明
6.4.13 分析表明,按照本条规定的配筋方法,构件的受弯承载力、受剪承载力与受扭承载力之间具有相关关系,且与试验结果大致相符。
6.4.14 在轴向压力、弯矩、剪力和扭矩共同作用下的钢筋混凝土矩形截面框架柱,其受剪扭承载力可按下列规定计算:

式中:λ——计算截面的剪跨比,按本规范第6.3.12条确定;
βt——按本规范第6.4.8条计算并符合相关要求;
ζ——按本规范第6.4.4条的规定采用。
条文说明
6.4.14~6.4.16 在钢筋混凝土矩形截面框架柱受剪扭承载力计算中,考虑了轴向压力的有利作用。分析表明,在βt计算公式中可不考虑轴向压力的影响,仍可按公式(6.4.8—5)进行计算。
当T≤(0.175ft+0.035N/A)Wt时,则可忽略扭矩对框架柱承载力的影响。
6.4.15 在轴向压力、弯矩、剪力和扭矩共同作用下的钢筋混凝土矩形截面框架柱,当T不大于(0.175ft+0.035N/A)Wt时,可仅计算偏心受压构件的正截面承载力和斜截面受剪承载力。
6.4.16 在轴向压力、弯矩、剪力和扭矩共同作用下的钢筋混凝土矩形截面框架柱,其纵向普通钢筋截面面积应分别按偏心受压构件的正截面承载力和剪扭构件的受扭承载力计算确定,并应配置在相应的位置;箍筋截面面积应分别按剪扭构件的受剪承载力和受扭承载力计算确定,并应配置在相应的位置。
6.4.17 在轴向拉力、弯矩、剪力和扭矩共同作用下的钢筋混凝土矩形截面框架柱,其受剪扭承载力应符合下列规定:


条文说明
6.4.17 本条给出了在轴向拉力、弯矩、剪力和扭矩共同作用下的钢筋混凝土矩形截面框架柱的剪、扭承载力设计计算公式。
与在轴向压力、弯矩、剪力和扭矩共同作用下钢筋混凝土矩形截面框架柱的剪、扭承载力βt计算公式相同,为简化设计,不考虑轴向拉力的影响。与考虑轴向拉力影响的βt计算公式比较,βt计算值略有降低,(1.5—βt)值略有提高;从而当轴向拉力N较小时,受扭钢筋用量略有增大,受剪箍筋用量略有减小,但箍筋总用量没有显著差别。当轴向拉力较大,当N不小于1.75ftA时,公式(6.4.17—2)右方第1项为零。从而公式(6.4.17—1)和公式(6.4.17—2)蜕变为剪扭混凝土作用项几乎不相关的、偏安全的设计计算公式。
6.4.18 在轴向拉力、弯矩、剪力和扭矩共同作用下的钢筋混凝土矩形截面框架柱,当T≤(0.175ft-0.1N/A)Wt时,可仅计算偏心受拉构件的正截面承载力和斜截面受剪承载力。
6.4.19 在轴向拉力、弯矩、剪力和扭矩共同作用下的钢筋混凝土矩形截面框架柱,其纵向普通钢筋截面面积应分别按偏心受拉构件的正截面承载力和剪扭构件的受扭承载力计算确定,并应配置在相应的位置;箍筋截面面积应分别按剪扭构件的受剪承载力和受扭承载力计算确定,并应配置在相应的位置。
6.5 受冲切承载力计算
6.5 受冲切承载力计算
6.5.1 在局部荷载或集中反力作用下,不配置箍筋或弯起钢筋的板的受冲切承载力应符合下列规定(图6.5.1):



条文说明
6.5.1 02版规范的受冲切承载力计算公式,形式简单,计算方便,但与国外规范进行对比,在多数情况下略显保守,且考虑因素不够全面。根据不配置箍筋或弯起钢筋的钢筋混凝土板的试验资料的分析,参考国内外有关规范,本次修订保留了02版规范的公式形式,仅将公式中的系数0.15提高到0.25。 本条具体规定的考虑因素如下: 1 截面高度的尺寸效应。截面高度的增大对受冲切承载力起削弱作用,为此,在公式(6.5.1—1)中引入了截面尺寸效应系数βh,以考虑这种不利影响。 2 预应力对受冲切承载力的影响。试验研究表明,双向预应力对板柱节点的冲切承载力起有利作用,主要是由于预应力的存在阻滞了斜裂缝的出现和开展,增加了混凝土剪压区的高度。公式(6.5.1—1)主要是参考我国的科研成果及美国ACI 318规范,将板中两个方向按长度加权平均有效预压应力的有利作用增大为0.25σpc,m,但仍偏安全地未计及在板柱节点处预应力竖向分量的有利作用。 对单向预应力板,由于缺少试验数据,暂不考虑预应力的有利作用。 3 参考美国ACI 318等有关规范的规定,给出了两个调整系数η1、η2的计算公式(6.5.1—2)、公式(6.5.1—3)。对矩形形状的加载面积边长之比作了限制,因为边长之比大于2后,剪力主要集中于角隅,将不能形成严格意义上的冲切极限状态的破坏,使受冲切承载力达不到预期的效果,为此,引入了调整系数η1,且基于稳妥的考虑,对加载面积边长之比作了不宜大于4的限制;此外,当临界截面相对周长um/h0过大时,同样会引起受冲切承载力的降低。有必要指出,公式(6.5.1—2)是在美国ACI规范的取值基础上略作调整后给出的。公式(6.5.1—1)的系数η只能取η1、η2中的较小值,以确保安全。 本条中所指的临界截面是为了简明表述而设定的截面,它是冲切最不利的破坏锥体底面线与顶面线之间的平均周长um处板的垂直截面。板的垂直截面,对等厚板为垂直于板中心平面的截面,对变高度板为垂直于板受拉面的截面。 对非矩形截面柱(异形截面柱)的临界截面周长,选取周长um的形状要呈凸形折线,其折角不能大于180°,由此可得到最小的周长,此时在局部周长区段离柱边的距离允许大于h0/2。
6.5.2 当板开有孔洞且孔洞至局部荷载或集中反力作用面积边缘的距离不大于6h0时,受冲切承载力计算中取用的计算截面周长um,应扣除局部荷载或集中反力作用面积中心至开孔外边画出两条切线之间所包含的长度(图6.5.2)。

条文说明
6.5.2 为满足设备或管道布置要求,有时要在柱边附近板上开孔。板中开孔会减小冲切的最不利周长,从而降低板的受冲切承载力。在参考了国外规范的基础上给出了本条的规定。

式中:fyv——箍筋的抗拉强度设计值,按本规范第4.2.3条的规定采用;
Asyu——与呈45°冲切破坏锥体斜截面相交的全部箍筋截面面积;
Asbu——与呈45°冲切破坏锥体斜截面相交的全部弯起钢筋截面面积;
α——弯起钢筋与板底面的夹角。
注:当有条件时,可采取配置栓钉、型钢剪力架等形式的抗冲切措施。
条文说明
6.5.3、6.5.4 当混凝土板的厚度不足以保证受冲切承载力时,可配置抗冲切钢筋。设计可同时配置箍筋和弯起钢筋,也可分别配置箍筋或弯起钢筋作为抗冲切钢筋。试验表明,配有冲切钢筋的钢筋混凝土板,其破坏形态和受力特性与有腹筋梁相类似,当抗冲切钢筋的数量达到一定程度时,板的受冲切承载力几乎不再增加。为了使抗冲切箍筋或弯起钢筋能够充分发挥作用,本条规定了板的受冲切截面限制条件,即公式(6.5.3—1),实际上是对抗冲切箍筋或弯起钢筋数量的限制,以避免其不能充分发挥作用和使用阶段在局部荷载附近的斜裂缝过大。本次修订参考美国ACI规范及我国的工程经验,对该限制条件作了适当放宽,将系数由02版规范规定的1.05放宽至1.2。 

本条提及的其他形式的抗冲切钢筋,包括但不限于工字钢、槽钢、抗剪栓钉、扁钢U形箍等。
6.5.4 配置抗冲切钢筋的冲切破坏锥体以外的截面,尚应按本规范第6.5.1条的规定进行受冲切承载力计算,此时,um应取配置抗冲切钢筋的冲切破坏锥体以外0.5h0处的最不利周长。
6.5.5 矩形截面柱的阶形基础,在柱与基础交接处以及基础变阶处的受冲切承载力应符合下列规定(图6.5.5):


式中:h0——柱与基础交接处或基础变阶处的截面有效高度,取两个方向配筋的截面有效高度平均值;
ps——按荷载效应基本组合计算并考虑结构重要性系数的基础底面地基反力设计值(可扣除基础自重及其上的土重),当基础偏心受力时,可取用最大的地基反力设计值;
A——考虑冲切荷载时取用的多边形面积(图6.5.5中的阴影面积ABCDEF);
bt——冲切破坏锥体最不利一侧斜截面的上边长:当计算柱与基础交接处的受冲切承载力时,取柱宽;当计算基础变阶处的受冲切承载力时,取上阶宽;
bb——柱与基础交接处或基础变阶处的冲切破坏锥体最不利一侧斜截面的下边长,取bt+2h0。
条文说明
6.5.5 阶形基础的冲切破坏可能会在柱与基础交接处或基础变阶处发生,这与阶形基础的形状、尺寸有关。对阶形基础受冲切承载力计算公式,也引进了本规范第6.5.1条的截面高度影响系数βh。在确定基础的Fl时,取用最大的地基反力值,这样做偏于安全。
6.5.6 在竖向荷载、水平荷载作用下,当考虑板柱节点计算截面上的剪应力传递不平衡弯矩时,其集中反力设计值Fl应以等效集中反力设计值Fl,eq代替,Fl,eq可按本规范附录F的规定计算。
条文说明
6.5.6 板柱节点传递不平衡弯矩时,其受力特性及破坏形态更为复杂。为安全起见,对板柱节点存在不平衡弯矩时的受冲切承载力计算,借鉴了美国ACI 318规范和我国的《无粘结预应力混凝土结构技术规程》JGJ 92—93的有关规定,在本条中提出了考虑问题的原则,具体可按本规范附录F计算。
6.6 局部受压承载力计算
6.6 局部受压承载力计算
6.6.1 配置间接钢筋的混凝土结构构件,其局部受压区的截面尺寸应符合下列要求:

式中:Fl——局部受压面上作用的局部荷载或局部压力设计值;
fc——混凝土轴心抗压强度设计值;在后张法预应力混凝土构件的张拉阶段验算中,可根据相应阶段的混凝土立方体抗压强度f'cu值按本规范表4.1.4—1的规定以线性内插法确定;
βc——混凝土强度影响系数,按本规范第6.3.1条的规定取用;
βl——混凝土局部受压时的强度提高系数;
Al——混凝土局部受压面积;
Aln——混凝土局部受压净面积;对后张法构件,应在混凝土局部受压面积中扣除孔道、凹槽部分的面积;
Ab——局部受压的计算底面积,按本规范第6.6.2条确定。
条文说明
6.6.1 本条对配置间接钢筋的混凝土结构构件局部受压区截面尺寸规定了限制条件,其理由如下: 1 试验表明,当局压区配筋过多时,局压板底面下的混凝土会产生过大的下沉变形;当符合公式(6.6.1—1)时,可限制下沉变形不致过大。为适当提高可靠度,将公式右边抗力项乘以系数0.9。式中系数1.35系由89版规范公式中的系数1.5乘以0.9而给出。 2 为了反映混凝土强度等级提高对局部受压的影响,引入了混凝土强度影响系数βc。 3 在计算混凝土局部受压时的强度提高系数βl(也包括本规范第6.6.3条的βcor)时,不应扣除孔道面积,经试验校核,此种计算方法比较合适。 4 在预应力锚头下的局部受压承载力的计算中,按本规范第10.1.2条的规定,当预应力作为荷载效应且对结构不利时,其荷载效应的分项系数取为1.2。
6.6.2 局部受压的计算底面积Ab,可由局部受压面积与计算底面积按同心、对称的原则确定;常用情况,可按图6.6.2取用。

条文说明
6.6.2 计算底面积Ab的取值采用了“同心、对称”的原则。 要求计算底面积Ab与局压面积Al具有相同的重心位置,并呈对称;沿Al各边向外扩大的有效距离不超过受压板短边尺寸b(对圆形承压板,可沿周边扩大一倍直径),此法便于记忆和使用。 对各类型垫板试件的试验表明,试验值与计算值符合较好,且偏于安全。试验还表明,当构件处于边角局压时,βl值在1.0上下波动且离散性较大,考虑使用简便、形式统一和保证安全(温度、混凝土的收缩、水平力对边角局压承载力的影响较大),取边角局压时的βl=1.0是恰当的。

当为方格网式配筋时(图6.6.3a),钢筋网两个方向上单位

式中:βcor——配置间接钢筋的局部受压承载力提高系数,可按本规范公式(6.6.1—2)计算,但公式中Ab应代之以Acor,且当Acor大于Ab时,Acor取Ab;当Acor不大于混凝土局部受压面积Al的1.25倍时,βcor取1.0;
α——间接钢筋对混凝土约束的折减系数,按本规范第6.2.16条的规定取用;
fyv——间接钢筋的抗拉强度设计值,按本规范第4.2.3条的规定采用;
Acor——方格网式或螺旋式间接钢筋内表面范围内的混凝土核心截面面积,应大于混凝土局部受压面积Al,其重心应与Al的重心重合,计算中按同心、对称的原则取值;
ρv——间接钢筋的体积配筋率;
n1、As1——分别为方格网沿l1方向的钢筋根数、单根钢筋的截面面积;
n2、As2——分别为方格网沿l2方向的钢筋根数、单根钢筋的截面面积;
Ass1——单根螺旋式间接钢筋的截面面积;
dcor——螺旋式间接钢筋内表面范围内的混凝土截面直径;
s——方格网式或螺旋式间接钢筋的间距,宜取30mm~80mm。
间接钢筋应配置在图6.6.3所规定的高度h范围内,方格网式钢筋,不应少于4片;螺旋式钢筋,不应少于4圈。柱接头,h尚不应小于15d,d为柱的纵向钢筋直径。
条文说明
6.6.3 试验结果表明,配置方格网式或螺旋式间接钢筋的局部受压承载力,可表达为混凝土项承载力和间接钢筋项承载力之和。间接钢筋项承载力与其体积配筋率有关;且随混凝土强度等级的提高,该项承载力有降低的趋势。为了反映这个特性,公式中引入了系数α。为便于使用且保证安全,系数α与本规范第6.2.16条的取值相同。基于与本规范第6.6.1条同样的理由,在公式(6.6.3—1)也考虑了折减系数0.9。
本条还规定了Acor大于Ab时,在计算中只能取为Ab的要求。此规定用以保证充分发挥间接钢筋的作用,且能确保安全。此外,当Acor不大于混凝土局部受压面积Al的1.25倍时,间接钢筋对局部受压承载力的提高不明显,故不予考虑。
为避免长、短两个方向配筋相差过大而导致钢筋不能充分发挥强度,对公式(6.6.3—2)规定了配筋量的限制条件。
间接钢筋的体积配筋率取为核心面积Acor范围内单位混凝土体积所含间接钢筋的体积,是在满足方格网或螺旋式间接钢筋的核心面积Acor大于混凝土局部受压面积Al的条件下计算得出的。
6.7 疲劳验算
6.7 疲劳验算
6.7.1 受弯构件的正截面疲劳应力验算时,可采用下列基本假定:
1 截面应变保持平面;
2 受压区混凝土的法向应力图形取为三角形;
3 钢筋混凝土构件,不考虑受拉区混凝土的抗拉强度,拉力全部由纵向钢筋承受;要求不出现裂缝的预应力混凝土构件,受拉区混凝土的法向应力图形取为三角形;
4 采用换算截面计算。
条文说明
6.7.1 保留了89规范的基本假定,它为试验所证实,并作为第6.7.5条和第6.7.11条建立钢筋混凝土和预应力混凝土受弯构件截面疲劳应力计算公式的依据。
6.7.2 在疲劳验算中,荷载应取用标准值;吊车荷载应乘以动力系数,并应符合现行国家标准《建筑结构荷载规范》GB 50009的规定。跨度不大于12m的吊车梁,可取用一台最大吊车的荷载。
条文说明
6.7.2 本条是根据规范第3.1.4条和吊车出现在跨度不大于12m的吊车梁上的可能情况而作出的规定。
6.7.3 钢筋混凝土受弯构件疲劳验算时,应计算下列部位的混凝土应力和钢筋应力幅:
1 正截面受压区边缘纤维的混凝土应力和纵向受拉钢筋的应力幅;
2 截面中和轴处混凝土的剪应力和箍筋的应力幅。
注:纵向受压普通钢筋可不进行疲劳验算。
条文说明
6.7.3 本条明确规定,钢筋混凝土受弯构件正截面和斜截面疲劳验算中起控制作用的部位需作相应的应力或应力幅计算。
6.7.4 钢筋混凝土和预应力混凝土受弯构件正截面疲劳应力应符合下列要求:


条文说明


条文说明
6.7.5、6.7.6 按照第6.7.1条的基本假定,具体给出了钢筋混凝土受弯构件正截面疲劳验算中所需的截面特征值及其相应的应力和应力幅计算公式。
6.7.6 钢筋混凝土受弯构件疲劳验算时,换成截面的受压区高度x0、x'0和惯性矩if0、if'0应按下列公式计算:



条文说明
6.7.7~6.7.9 原89版规范未给出斜截面疲劳验算公式,而采用计算配筋的方法满足疲劳要求。02版规范根据我国大量的试验资料提出了斜截面疲劳验算公式。本规范继续沿用了02版规范的规定。 钢筋混凝土受弯构件斜截面的疲劳验算分为两种情况:第一种情况,当按公式(6.7.8)计算的剪应力τf符合公式 
6.7.8 钢筋混凝土受弯构件中和轴处的剪应力应按下列公式计算:


6.7.10 预应力混凝土受弯构件疲劳验算时,应计算下列部位的应力、应力幅:
1 正截面受拉区和受压区边缘纤维的混凝土应力及受拉区纵向预应力筋、普通钢筋的应力幅;
2 截面重心及截面宽度剧烈改变处的混凝土主拉应力。
注:1 受压区纵向钢筋可不进行疲劳验算;
2 一级裂缝控制等级的预应力混凝土构件的钢筋可不进行疲劳验算。
6.7.11 要求不出现裂缝的预应力混凝土受弯构件,其正截面的混凝土、纵向预应力筋和普通钢筋的最小、最大应力和应力幅应按下列公式计算:



条文说明

第6.7.10条注2增加了一级裂缝控制等级的预应力混凝土构件(即全预应力混凝土构件)中的钢筋的应力幅可不进行疲劳验算。这是由于大量的试验资料表明,只要混凝土不开裂,钢筋就不会疲劳破坏,即不裂不疲。而一级裂缝控制等级的预应力混凝土构件(即全预应力混凝土构件)不仅不开裂,而且混凝土截面不出现拉应力,所以更不会出现钢筋疲劳破坏。美国规范如AASHTO LRFD Bridge Design Specifications 也规定全预应力混凝土构件中的钢筋可不进行疲劳验算。
7 正常使用极限状态验算
7.1 裂缝控制验算
7 正常使用极限状态验算
7.1 裂缝控制验算
7.1.1 钢筋混凝土和预应力混凝土构件,应按下列规定进行受拉边缘应力或正截面裂缝宽度验算:
1 一级裂缝控制等级构件,在荷载标准组合下,受拉边缘应力应符合下列规定:
σck—σpc≤0 (7.1.1—1)
2 二级裂缝控制等级构件,在荷载标准组合下,受拉边缘应力应符合下列规定:
σck—σpc≤ftk (7.1.1—2)
3 三级裂缝控制等级时,钢筋混凝土构件的最大裂缝宽度可按荷载准永久组合并考虑长期作用影响的效应计算,预应力混凝土构件的最大裂缝宽度可按荷载标准组合并考虑长期作用影响的效应计算。最大裂缝宽度应符合下列规定:
wmax≤wlim (7.1.1—3)
对环境类别为二a类的预应力混凝土构件,在荷载准永久组合下,受拉边缘应力尚应符合下列规定:
σcq—σpc≤ftk (7.1.1—4)
式中:σck、σcq——荷载标准组合、准永久组合下抗裂验算边缘的混凝土法向应力;
σpc——扣除全部预应力损失后在抗裂验算边缘混凝土的预压应力,按本规范公式(10.1.6—1)和公式(10.1.6—4)计算;
ftk——混凝土轴心抗拉强度标准值,按本规范表4.1.3—2采用;
wmax——按荷载的标准组合或准永久组合并考虑长期作用影响计算的最大裂缝宽度,按本规范第7.1.2条计算;
wlim——最大裂缝宽度限值,按本规范第3.4.5条采用。
条文说明
7.1.1 根据本规范第3.4.5条的规定,具体给出了对钢筋混凝土和预应力混凝土构件边缘应力、裂缝宽度的验算要求。 有必要指出,按概率统计的观点,符合公式(7.1.1—2)的情况下,并不意味着构件绝对不会出现裂缝;同样,符合公式(7.1.1—3)的情况下,构件由荷载作用而产生的最大裂缝宽度大于最大裂缝限值大致会有5%的可能性。
7.1.2 在矩形、T形、倒T形和I形截面的钢筋混凝土受拉、受弯和偏心受压构件及预应力混凝土轴心受拉和受弯构件中,按荷载标准组合或准永久组合并考虑长期作用影响的最大裂缝宽度可按下列公式计算:


注:对环氧树脂涂层带肋钢筋,其相对粘结特性系数应按表中系数的80%取用。
条文说明
7.1.2 本次修订,构件最大裂缝宽度的基本计算公式仍采用02版规范的形式: 
此处,对轴心受拉构件,取β=1.1;对其他受力构件,均取β=1.0。 当配置不同钢种、不同直径的钢筋时,公式(3)中d应改为等效直径deq,可按正文公式(7.1.2—3)进行计算确定,其中考虑了钢筋混凝土和预应力混凝土构件配置不同的钢种,钢筋表面形状以及预应力钢筋采用先张法或后张法(灌浆)等不同的施工工艺,它们与混凝土之间的粘结性能有所不同,这种差异将通过等效直径予以反映。为此,对钢筋混凝土用钢筋,根据国内有关试验资料;对预应力钢筋,参照欧洲混凝土桥梁规范ENV1992—2(1996)的规定,给出了正文表7.1.2—2的钢筋相对粘结特性系数。对有粘结的预应力筋di的取值,可按照di=4Ap/up求得,其中up本应取为预应力筋与混凝土的实际接触周长;分析表明,按照上述方法求得的di值与按预应力筋的公称直径进行计算,两者较为接近。为简化起见,对di统一取用公称直径。对环氧树脂涂层钢筋的相对粘结特性系数是根据试验结果确定的。 根据试验研究结果,受弯构件裂缝间纵向受拉钢筋应变不均匀系数的基本公式可表述为: 
公式(4)可作为规范简化公式的基础,并扩展应用到其他构件。式中系数w1与钢筋和混凝土的握裹力有一定关系,对光圆钢筋,w1则较接近1.1。根据偏拉、偏压构件的试验资料,以及为了与轴心受拉构件的计算公式相协调,将w1统一为1.1。同时,为了简化计算,并便于与偏心受力构件的计算相协调,将上式展开并作一定的简化,就可得到以钢筋应力σs为主要参数的公式(7.1.2—2)。 αc为反映裂缝间混凝土伸长对裂缝宽度影响的系数。根据近年来国内多家单位完成的配置400MPa、500MPa带肋钢筋的钢筋混凝土、预应力混凝土梁的裂缝宽度加载试验结果,经分析统计,试验平均裂缝宽度wm均小于原规范公式计算值。根据试验资料综合分析,本次修订对受弯、偏心受压构件统一取αc=0.77,其他构件仍同02版规范,即αc=0.85。 短期裂缝宽度的扩大系数τs,根据试验数据分析,对受弯构件和偏心受压构件,取τs=1.66;对偏心受拉和轴心受拉构件,取τs=1.9。扩大系数τs的取值的保证率约为95%。 根据试验结果,给出了考虑长期作用影响的扩大系数τl=1.5。 试验表明,对偏心受压构件,当e0/h0≤0.55时,裂缝宽度较小,均能符合要求,故规定不必验算。 在计算平均裂缝间距lcr和ψ时引进了按有效受拉混凝土面积计算的纵向受拉配筋率ρte,其有效受拉混凝土面积取Ate=0.5bh+(bf-b)hf,由此可达到ψ计算公式的简化,并能适用于受弯、偏心受拉和偏心受压构件。经试验结果校准,尚能符合各类受力情况。 鉴于对配筋率较小情况下的构件裂缝宽度等的试验资料较少,采取当ρte<0.01时,取ρte=0.01的办法,限制计算最大裂缝宽度的使用范围,以减少对最大裂缝宽度计算值偏小的情况。 当混凝土保护层厚度较大时,虽然裂缝宽度计算值也较大,但较大的混凝土保护层厚度对防止钢筋锈蚀是有利的。因此,对混凝土保护层厚度较大的构件,当在外观的要求上允许时,可根据实践经验,对本规范表3.4.5中所规定的裂缝宽度允许值作适当放大。 考虑到本条钢筋应力计算对钢筋混凝土构件和预应力混凝土构件分别采用荷载准永久组合和标准组合,故符号由02版规范的σsk改为σs。对沿截面上下或周边均匀配置纵向钢筋的构件裂缝宽度计算,研究尚不充分,本规范未作明确规定。在荷载的标准组合或准永久组合下,这类构件的受拉钢筋应力可能很高,甚至可能超过钢筋抗拉强度设计值。为此,当按公式(7.1.2—1)计算时,关于钢筋应力σs及Ate的取用原则等应按更合理的方法计算。 对混凝土保护层厚度较大的梁,国内试验研究结果表明表层钢筋网片有利于减少裂缝宽度。本条建议可对配制表层钢筋网片梁的裂缝计算结果乘以折减系数,并根据试验研究结果提出折减系数可取0.7。 本次修订根据国内多家单位科研成果,在本规范裂缝宽度计算公式的基础上,经过适当调整ρte、deq及σs值计算方法,即可将原规范公式用于计算无粘结部分预应力混凝土构件的裂缝宽度。
7.1.3 在荷载准永久组合或标准组合下,钢筋混凝土构件、预应力混凝土构件开裂截面处受压边缘混凝土压应力、不同位置处钢筋的拉应力及预应力筋的等效应力宜按下列假定计算:
1 截面应变保持平面;
2 受压区混凝土的法向应力图取为三角形;
3 不考虑受拉区混凝土的抗拉强度;
4 采用换算截面。
条文说明
7.1.3 本条提出了正常使用极限状态验算时的平截面基本假定。在荷载准永久组合或标准组合下,对允许出现裂缝的受弯构件,其正截面混凝土压应力、预应力筋的应力增量及钢筋的拉应力,可按大偏心受压的钢筋混凝土开裂换算截面计算。对后张法预应力混凝土连续梁等超静定结构,在外弯矩Ms中尚应包括由预加力引起的次弯矩M2。在本条计算假定中,对预应力混凝土截面,可按本规范公式(10.1.7—1)及(10.1.7—2)计算Np0和ep0,以考虑混凝土收缩、徐变在钢筋中所产生附加压力的影响。 按开裂换算截面进行应力分析,具有较高的精度和通用性,可用于重要钢筋混凝土及预应力混凝土构件的裂缝宽度及开裂截面刚度计算。计算换算截面时,必要时可考虑混凝土塑性变形对混凝土弹性模量的影响。
7.1.4 在荷载准永久组合或标准组合下,钢筋混凝土构件受拉区纵向普通钢筋的应力或预应力混凝土构件受拉区纵向钢筋的等效应力也可按下列公式计算:
1 钢筋混凝土构件受拉区纵向普通钢筋的应力



条文说明
7.1.4 本条给出的钢筋混凝土构件的纵向受拉钢筋应力和预应力混凝土构件的纵向受拉钢筋等效应力,是指在荷载的准永久组合或标准组合下构件裂缝截面上产生的钢筋应力,下面按受力性质分别说明: 1 对钢筋混凝土轴心受拉和受弯构件,钢筋应力σsq仍按原规范的方法计算。受弯构件裂缝截面的内力臂系数,仍取ηb=0.87。 2 对钢筋混凝土偏心受拉构件,其钢筋应力计算公式(7.1.4—2)是由外力与截面内力对受压区钢筋合力点取矩确定, 
3 对预应力混凝土构件的纵向受拉钢筋等效应力,是指在该钢筋合力点处混凝土预压应力抵消后钢筋中的应力增量,可视它为等效于钢筋混凝土构件中的钢筋应力σsk。 预应力混凝土轴心受拉构件的纵向受拉钢筋等效应力的计算公式(7.1.4—9)就是基于上述的假定给出的。 4 对钢筋混凝土偏压构件和预应力混凝土受弯构件,其纵向受拉钢筋的应力和等效应力可根据相同的概念给出。此时,可把预应力及非预应力钢筋的合力Np0作为压力与弯矩值Mk一起作用于截面,这样,预应力混凝土受弯构件就等效于钢筋混凝土偏心受压构件。 对裂缝截面的纵向受拉钢筋应力和等效应力,由建立内、外力对受压区合力取矩的平衡条件,可得公式(7.1.4—4)和公式(7.1.4—10)。 纵向受拉钢筋合力点至受压区合力点之间的距离z=ηh0,可近似按本规范第6.2节的基本假定确定。考虑到计算的复杂性,通过计算分析,可采用下列内力臂系数的拟合公式: 
通过分析,适当考虑了混凝土的塑性影响,并经有关构件的试验结果校核后,本规范给出了以上述拟合公式为基础的简化公式(7.1.4—5)。当然,本规范不排斥采用更精确的方法计算预应力混凝土受弯构件的内力臂z。 对钢筋混凝土偏心受压构件,当l0/h>14时,试验表明应考虑构件挠曲对轴向力偏心距的影响,本规范仍按02版规范进行规定。 5 根据国内多家单位的科研成果,在本规范预应力混凝土受弯构件受拉区纵向钢筋等效应力计算公式的基础上,采用无粘结预应力筋等效面积折减系数α1,即可将原公式用于无粘结部分预应力混凝土受弯构件σsk的相关计算。


条文说明
7.1.5 在抗裂验算中,边缘混凝土的法向应力计算公式是按弹性应力给出的。

注:对允许出现裂缝的吊车梁,在静力计算中应符合公式(7.1.6-2)和公式(7.1.6-3)的规定。
条文说明
7.1.6 从裂缝控制要求对预应力混凝土受弯构件的斜截面混凝土主拉应力进行验算,是为了避免斜裂缝的出现,同时按裂缝等级不同予以区别对待;对混凝土主压应力的验算,是为了避免过大的压应力导致混凝土抗拉强度过大地降低和裂缝过早地出现。

条文说明
7.1.7、7.1.8 第7.1.7条提供了混凝土主拉应力和主压应力的计算方法;第7.1.8条提供了考虑集中荷载产生的混凝土竖向压应力及剪应力分布影响的实用方法,是依据弹性理论分析和试验验证后给出的。
7.1.8 对预应力混凝土吊车梁,在集中力作用点两侧各0.6h的长度范围内,由集中荷载标准值Fk产生的混凝土竖向压应力和剪应力的简化分布可按图7.1.8确定,其应力的最大值可按下列公式计算:
7.1.9 对先张法预应力混凝土构件端部进行正截面、斜截面抗裂验算时,应考虑预应力筋在其预应力传递长度ltr范围内实际应力值的变化。预应力筋的实际应力可考虑为线性分布,在构件端部取为零,在其预应力传递长度的末端取有效预应力值σpe(图7.1.9),预应力筋的预应力传递长度ltr应按本规范第10.1.9条确定。

条文说明
7.1.9 对先张法预应力混凝土构件端部预应力传递长度范围内进行正截面、斜截面抗裂验算时,采用本条对预应力传递长度范围内有效预应力σpe按近似的线性变化规律的假定后,利于简化计算。
7.2 受弯构件挠度验算
7.2 受弯构件挠度验算
7.2.1 钢筋混凝土和预应力混凝土受弯构件的挠度可按照结构力学方法计算,且不应超过本规范表3.4.3规定的限值。
在等截面构件中,可假定各同号弯矩区段内的刚度相等,并取用该区段内最大弯矩处的刚度。当计算跨度内的支座截面刚度不大于跨中截面刚度的2倍或不小于跨中截面刚度的1/2时,该跨也可按等刚度构件进行计算,其构件刚度可取跨中最大弯矩截面的刚度。
条文说明
7.2.1 混凝土受弯构件的挠度主要取决于构件的刚度。本条假定在同号弯矩区段内的刚度相等,并取该区段内最大弯矩处所对应的刚度;对于允许出现裂缝的构件,它就是该区段内的最小刚度,这样做是偏于安全的。当支座截面刚度与跨中截面刚度之比在本条规定的范围内时,采用等刚度计算构件挠度,其误差一般不超过5%。
7.2.2 矩形、T形、倒T形和I形截面受弯构件考虑荷载长期作用影响的刚度B可按下列规定计算:

式中:Mk——按荷载的标准组合计算的弯矩,取计算区段内的最大弯矩值;
Mq——按荷载的准永久组合计算的弯矩,取计算区段内的最大弯矩值;
Bs——按荷载准永久组合计算的钢筋混凝土受弯构件或按标准组合计算的预应力混凝土受弯构件的短期刚度,按本规范第7.2.3条计算;
θ——考虑荷载长期作用对挠度增大的影响系数,按本规范第7.2.5条取用。
条文说明
7.2.2 在受弯构件短期刚度Bs基础上,分别提出了考虑荷载准永久组合和荷载标准组合的长期作用对挠度增大的影响,给出了刚度计算公式。
7.2.3 按裂缝控制等级要求的荷载组合作用下,钢筋混凝土受弯构件和预应力混凝土受弯构件的短期刚度Bs,可按下列公式计算:

式中:Ψ——裂缝间纵向受拉普通钢筋应变不均匀系数,按本规范第7.1.2条确定;
αE——钢筋弹性模量与混凝土弹性模量的比值,即Es/Ec;
ρ——纵向受拉钢筋配筋率:对钢筋混凝土受弯构件,取为As/(bh0);对预应力混凝土受弯构件,取为(α1Ap+As)/(bh0),对灌浆的后张预应力筋,取α1=1.0,对无粘结后张预应力筋,取α1=0.3;
I0——换算截面惯性矩;
γf——受拉翼缘截面面积与腹板有效截面面积的比值;
bf、hf——分别为受拉区翼缘的宽度、高度;
kcr——预应力混凝土受弯构件正截面的开裂弯矩Mcr与弯矩Mk的比值,当kcr>1.0时,取kcr=1.0;
σpc——扣除全部预应力损失后,由预加力在抗裂验算边缘产生的混凝土预压应力;
γ——混凝土构件的截面抵抗矩塑性影响系数,按本规范第7.2.4条确定。
注:对预压时预拉区出现裂缝的构件,BS应降低10%。
条文说明
7.2.3 本条提供的钢筋混凝土和预应力混凝土受弯构件的短期刚度是在理论与试验研究的基础上提出的。 1 钢筋混凝土受弯构件的短期刚度 截面刚度与曲率的理论关系式为: 

本次修订根据国内多家单位的科研成果,在预应力混凝土构件短期刚度计算公式的基础上,采用无粘结预应力筋等效面积折减系数α1,适当调整ρ值,即可将原公式用于无粘结部分预应力混凝土构件的短期刚度计算。
7.2.4 混凝土构件的截面抵抗矩塑性影响系数γ可按下列公式计算:

条文说明
7.2.4 本条同02版规范。计算混凝土截面抵抗矩塑性影响系数γ的基本假定取受拉区混凝土应力图形为梯形。
7.2.5 考虑荷载长期作用对挠度增大的影响系数可按下列规定取用:
1 钢筋混凝土受弯构件

对翼缘位于受拉区的倒T形截面,θ应增加20%。
2 预应力混凝土受弯构件,取θ=2.0。
条文说明
7.2.5、7.2.6 钢筋混凝土受弯构件考虑荷载长期作用对挠度增大的影响系数θ是根据国内一些单位长期试验结果并参考国外规范的规定给出的。 预应力混凝土受弯构件在使用阶段的反拱值计算中,短期反拱值的计算以及考虑预加应力长期作用对反拱增大的影响系数仍保留原规范取为2.0的规定。由于它未能反映混凝土收缩、徐变损失以及配筋率等因素的影响,因此,对长期反拱值,如有专门的试验分析或根据收缩、徐变理论进行计算分析,则也可不遵守本条的有关规定。 反拱值的精确计算方法可采用美国ACI、欧洲CEB-FIP等规范推荐的方法,这些方法可考虑与时间有关的预应力、材料性质、荷载等的变化,使计算达到要求的准确性;
7.2.6 预应力混凝土受弯构件在使用阶段的预加力反拱值,可用结构力学方法按刚度EcI0进行计算,并应考虑预压应力长期作用的影响,计算中预应力筋的应力应扣除全部预应力损失。简化计算时,可将计算的反拱值乘以增大系数2.0。
对重要的或特殊的预应力混凝土受弯构件的长期反拱值,可根据专门的试验分析确定或根据配筋情况采用考虑收缩、徐变影响的计算方法分析确定。 7.2.7 对预应力混凝土构件应采取措施控制反拱和挠度,并宜符合下列规定:
1 当考虑反拱后计算的构件长期挠度不符合本规范第3.4.3条的有关规定时,可采用施工预先起拱等方式控制挠度;
2 对永久荷载相对于可变荷载较小的预应力混凝土构件,应考虑反拱过大对正常使用的不利影响,并应采取相应的设计和施工措施。
条文说明
7.2.7 全预应力混凝土受弯构件,因为消压弯矩始终大于荷载准永久组合作用下的弯矩,在一般情况下预应力混凝土梁总是向上拱曲的;但对部分预应力混凝土梁,常为允许开裂,其上拱值将减小,当梁的永久荷载与可变荷载的比值较大时,有可能随时间的增长出现梁逐渐下挠的现象。因此,对预应力混凝土梁规定应采取措施控制挠度。 当预应力长期反拱值小于按荷载标准组合计算的长期挠度时,则需要进行施工起拱,其值可取为荷载标准组合计算的长期挠度与预加力长期反拱值之差。对永久荷载较小的构件,当预应力产生的长期反拱值大于按荷载标准组合计算的长期挠度时,梁的上拱值将增大。因此,在设计阶段需要进行专项设计,并通过控制预应力度、选择预应力筋配筋数量、在施工上也可配合采取措施控制反拱。 对于长期上拱值的计算,可采用本规范提出的简单增大系数,也可采用其他精确计算方法。
8 构造规定
8.1 伸缩缝
8 构造规定
8.1 伸缩缝
8.1.1 钢筋混凝土结构伸缩缝的最大间距可按表8.1.1确定。

注:1 装配整体式结构的伸缩缝间距,可根据结构的具体情况取表中装配式结构与现浇式结构之间的数值;
2 框架-剪力墙结构或框架-核心筒结构房屋的伸缩缝间距,可根据结构的具体情况取表中框架结构与剪力墙结构之间的数值;
3 当屋面无保温或隔热措施时,框架结构、剪力墙结构的伸缩缝间距宜按表中露天栏的数值取用;
4 现浇挑檐、雨罩等外露结构的局部伸缩缝间距不宜大于12m。
条文说明
8.1.1 混凝土结构的伸(膨胀)缝、缩(收缩)缝合称伸缩缝。
伸缩缝是结构缝的一种,目的是为减小由于温差(早期水化热或使用期季节温差)和体积变化(施工期或使用早期的混凝土收缩)等间接作用效应积累的影响,将混凝土结构分割为较小的单元,避免引起较大的约束应力和开裂。
由于现代水泥强度等级提高、水化热加大、凝固时间缩短;混凝土强度等级提高、拌合物流动性加大、结构的体量越来越大;为满足混凝土泵送、免振等工艺,混凝土的组分变化造成收缩增加,近年由此而引起的混凝土体积收缩呈增大趋势,现浇混凝土结构的裂缝问题比较普遍。
工程调查和试验研究表明,影响混凝土间接裂缝的因素很多,不确定性很大,而且近年间接作用的影响还有增大的趋势。
工程实践表明,超长结构采取有效措施后也可以避免发生裂缝。本次修订基本维持原规范的规定,将原规范中的“宜符合”改为“可采用”,进一步放宽对结构伸缩缝间距的限制,由设计者根据具体情况自行确定。
表注1中的装配整体式结构,也包括由叠合构件加后浇层形成的结构。由于预制混凝土构件已基本完成收缩,故伸缩缝的间距可适当加大。应根据具体情况,在装配与现浇之间取值。表注2的规定同理。表注3、表注4则由于受到环境条件的影响较大,加严了伸缩缝间距的要求。
8.1.2 对下列情况,本规范表8.1.1中的伸缩缝最大间距宜适当减小:
1 柱高(从基础顶面算起)低于8m的排架结构;
2 屋面无保温、隔热措施的排架结构;
3 位于气候干燥地区、夏季炎热且暴雨频繁地区的结构或经常处于高温作用下的结构;
4 采用滑模类工艺施工的各类墙体结构;
5 混凝土材料收缩较大,施工期外露时间较长的结构。
条文说明
8.1.2 对于某些间接作用效应较大的不利情况,伸缩缝的间距宜适当减小。总结近年的工程实践,本次修订对温度变化和混凝土收缩较大的不利情况加严了要求,较原规范作了少量修改和补充。
“滑模施工”应用对象由“剪力墙”扩大为一般墙体结构。“混凝土材料收缩较大”是指泵送混凝土及免振混凝土施工的情况。“施工外露时间较长”是指跨季节施工,尤其是北方地区跨越冬期施工时,室内结构如果未加封闭和保暖,则低温、干燥、多风都可能引起收缩裂缝。
8.1.3 如有充分依据对下列情况,本规范表8.1.1中的伸缩缝最大间距可适当增大:
1 采取减小混凝土收缩或温度变化的措施;
2 采用专门的预加应力或增配构造钢筋的措施;
3 采用低收缩混凝土材料,采取跳仓浇筑、后浇带、控制缝等施工方法,并加强施工养护。
当伸缩缝间距增大较多时,尚应考虑温度变化和混凝土收缩对结构的影响。
条文说明
8.1.3 近年许多工程实践表明:采取有效的综合措施,伸缩缝间距可以适当增大。总结成功的工程经验,在本条中增加了有关的措施及应注意的问题。
施工阶段采取的措施对于早期防裂最为有效。本次修订增加了采用低收缩混凝土;加强浇筑后的养护;采用跳仓法、后浇带、控制缝等施工措施。后浇带是避免施工期收缩裂缝的有效措施,但间隔期及具体做法不确定性很大,难以统一规定时间,由施工、设计根据具体情况确定。应该注意的是:设置后浇带可适当增大伸缩缝间距,但不能代替伸缩缝。
控制缝也称引导缝,是采取弱化截面的构造措施,引导混凝土裂缝在规定的位置产生,并预先做好防渗、止水等措施,或采用建筑手法(线脚、饰条等)加以掩饰。
结构在形状曲折、刚度突变,孔洞凹角等部位容易在温差和收缩作用下开裂。在这些部位增加构造配筋可以控制裂缝。施加预应力也可以有效地控制温度变化和收缩的不利影响,减小混凝土开裂的可能性。本条中所指的“预加应力措施”是指专门用于抵消温度、收缩应力的预加应力措施。
容易受到温度变化和收缩影响的结构部位是指施工期的大体积混凝土(水化热)以及暴露的屋盖、山墙部位(季节温差)等。在这些部位应分别采取针对性的措施(如施工控温、设置保温层等)以减少温差和收缩的影响。
本条特别强调增大伸缩缝间距对结构的影响。设计者应通过有效的分析或计算慎重考虑各种不利因素对结构内力和裂缝的影响,确定合理的伸缩缝间距。
本条中的“有充分依据”,不应简单地理解为“已经有了未发现问题的工程实例”。由于环境条件不同,不能盲目照搬。应对具体工程中各种有利和不利因素的影响方式和程度,作出有科学依据的分析和判断,并由此确定伸缩缝间距的增减。
8.1.4 当设置伸缩缝时,框架、排架结构的双柱基础可不断开。
条文说明
8.1.4 由于在混凝土结构的地下部分,温度变化和混凝土收缩能够得到有效的控制,规范规定了有关结构在地下可以不设伸缩缝的规定。对不均匀沉降结构设置沉降缝的情况不包括在内,设计时可根据具体情况自行掌握。
8.2 混凝土保护层
8.2 混凝土保护层
8.2.1 构件中普通钢筋及预应力筋的混凝土保护层厚度应满足下列要求。
1 构件中受力钢筋的保护层厚度不应小于钢筋的公称直径d;
2 设计使用年限为50年的混凝土结构,最外层钢筋的保护层厚度应符合表8.2.1的规定;设计使用年限为100年的混凝土结构,最外层钢筋的保护层厚度不应小于表8.2.1中数值的1.4倍。

注:1 混凝土强度等级不大于C25时,表中保护层厚度数值应增加5mm;
2 钢筋混凝土基础宜设置混凝土垫层,基础中钢筋的混凝土保护层厚度应从垫层顶面算起,且不应小于40mm。
条文说明
8.2.1 根据我国对混凝土结构耐久性的调研及分析,并参考《混凝土结构耐久性设计规范》GB/T 50476以及国外相应规范、标准的有关规定,对混凝土保护层的厚度进行了以下调整:
1 混凝土保护层厚度不小于受力钢筋直径(单筋的公称直径或并筋的等效直径)的要求,是为了保证握裹层混凝土对受力钢筋的锚固。
2 从混凝土碳化、脱钝和钢筋锈蚀的耐久性角度考虑,不再以纵向受力钢筋的外缘,而以最外层钢筋(包括箍筋、构造筋、分布筋等)的外缘计算混凝土保护层厚度。因此本次修订后的保护层实际厚度比原规范实际厚度有所加大。
3 根据第3.5节对结构所处耐久性环境类别的划分,调整混凝土保护层厚度的数值。对一般情况下混凝土结构的保护层厚度稍有增加;而对恶劣环境下的保护层厚度则增幅较大。
4 简化表8.2.1的表达:根据混凝土碳化反应的差异和构件的重要性,按平面构件(板、墙、壳)及杆状构件(梁、柱、杆)分两类确定保护层厚度;表中不再列入强度等级的影响,C30及以上统一取值,C25及以下均增加5mm。
5 考虑碳化速度的影响,使用年限100年的结构,保护层厚度取1.4倍。其余措施已在第3.5节中表达,不再列出。
6 为保证基础钢筋的耐久性,根据工程经验基础底面要求做垫层,基底保护层厚度仍取40mm。
8.2.2 当有充分依据并采取下列措施时,可适当减小混凝土保护层的厚度。
1 构件表面有可靠的防护层;
2 采用工厂化生产的预制构件;
3 在混凝土中掺加阻锈剂或采用阴极保护处理等防锈措施;
4 当对地下室墙体采取可靠的建筑防水做法或防护措施时,与土层接触一侧钢筋的保护层厚度可适当减少,但不应小于25mm。
条文说明
8.2.2 根据工程经验及具体情况采取有效的综合措施,可以提高构件的耐久性能,减小保护层的厚度。
构件的表面防护是指表面抹灰层以及其他各种有效的保护性涂料层。例如,地下室墙体采用防水、防腐做法时,与土壤接触面的保护层厚度可适当放松。
由工厂生产的预制混凝土构件,经过检验而有较好质量保证时,可根据相关标准或工程经验对保护层厚度要求适当放松。
使用阻锈剂应经试验检验效果良好,并应在确定有效的工艺参数后应用。
采用环氧树脂涂层钢筋、镀锌钢筋或采取阴极保护处理等防锈措施时,保护层厚度可适当放松。
8.2.3 当梁、柱、墙中纵向受力钢筋的保护层厚度大于50mm时,宜对保护层采取有效的构造措施。当在保护层内配置防裂、防剥落的钢筋网片时,网片钢筋的保护层厚度不应小于25mm。
条文说明
8.2.3 当保护层很厚时(例如配置粗钢筋;框架顶层端节点弯弧钢筋以外的区域等),宜采取有效的措施对厚保护层混凝土进行拉结,防止混凝土开裂剥落、下坠。通常为保护层采用纤维混凝土或加配钢筋网片。为保证防裂钢筋网片不致成为引导锈蚀的通道,应对其采取有效的绝缘和定位措施,此时网片钢筋的保护层厚度可适当减小,但不应小于25mm。
8.3 钢筋的锚固
8.3 钢筋的锚固
8.3.1 当计算中充分利用钢筋的抗拉强度时,受拉钢筋的锚固应符合下列要求:
1 基本锚固长度应按下列公式计算:


3 当锚固钢筋的保护层厚度不大于5d时,锚固长度范围内应配置横向构造钢筋,其直径不应小于d/4;对梁、柱、斜撑等构件间距不应大于5d,对板、墙等平面构件间距不应大于10d,且均不应大于100mm,此处d为锚固钢筋的直径。
条文说明
8.3.1 我国钢筋强度不断提高,结构形式的多样性也使锚固条件有了很大的变化,根据近年来系统试验研究及可靠度分析的结果并参考国外标准,规范给出了以简单计算确定受拉钢筋锚固长度的方法。其中基本锚固长度lab取决于钢筋强度fy及混凝土抗拉强度ft,并与锚固钢筋的直径及外形有关。 公式(8.3.1—1)为计算基本锚固长度lab的通式,其中分母项反映了混凝土对粘结锚固强度的影响,用混凝土的抗拉强度表达。表8.3.1中不同外形钢筋的锚固外形系数α是经对各类钢筋进行系统粘结锚固试验研究及可靠度分析得出的。本次修订
2010版规范 删除了 02版 原 规范中锚固性能很差的刻痕钢丝。预应力螺纹钢筋通常采用后张法端部专用螺母锚固,故未列入锚固长度的计算方法。
公式(8.3.1—3)规定,工程中实际的锚固长度la为钢筋基本锚固长度lab乘锚固长度修正系数ζa后的数值。修正系数ζa根据锚固条件按第8.3.2条取用,且可连乘 ,但不宜小于0.6 。为保证可靠锚固,在任何情况下受拉钢筋的锚固长度不 能 应 小于最低限度(最小锚固长度),其数值不应小于 0.6lab及 200mm。
试验研究表明,高强混凝土的锚固性能有所增强, 02版 原 规范混凝土强度最高等级取C40偏于保守, 本次修订 2010版规范 将混凝土强度等级提高到C60,充分利用混凝土强度提高对锚固的有利影响。
本条还提出了当混凝土保护层厚度不大于5d时,在钢筋锚固长度范围内配置构造钢筋(箍筋或横向钢筋)的要求,以防止保护层混凝土劈裂时钢筋突然失锚。其中对于构造钢筋的直径根据最大锚固钢筋的直径确定;对于构造钢筋的间距,按最小锚固钢筋的直径取值。
8.3.2 纵向受拉普通钢筋的锚固长度修正系数ζa应按下列规定取用:
1 当带肋钢筋的公称直径大于25mm时取1.10;
2 环氧树脂涂层带肋钢筋取1.25;
3 施工过程中易受扰动的钢筋取1.10;
4 当纵向受力钢筋的实际配筋面积大于其设计计算面积时,修正系数取设计计算面积与实际配筋面积的比值,但对有抗震设防要求及直接承受动力荷载的结构构件,不应考虑此项修正;
5 锚固钢筋的保护层厚度为3d时修正系数可取0.80,保护层厚度为5d时修正系数可取0.70,中间按内插取值,此处d为锚固钢筋的直径。
条文说明
8.3.2 本条介绍了不同锚固条件下的锚固长度的修正系数。这是通过试验研究并参考了工程经验和国外标准而确定的。 为反映粗直径带肋钢筋相对肋高减小对锚固作用降低的影响,直径大于25mm的粗直径带肋钢筋的锚固长度应适当加大,乘以修正系数1.10。 为反映环氧树脂涂层钢筋表面光滑状态对锚固的不利影响,其锚固长度应乘以修正系数1.25。这是根据试验分析的结果并参考国外标准的有关规定确定的。 施工扰动(例如滑模施工或其他施工期依托钢筋承载的情况)对钢筋锚固作用的不利影响,反映为施工扰动的影响。修正系数与原规范数值相当,取1.10。 配筋设计时实际配筋面积往往因构造原因大于计算值,故钢筋实际应力通常小于强度设计值。根据试验研究并参照国外规范,受力钢筋的锚固长度可以按比例缩短,修正系数取决于配筋裕量的数值。但其适用范围有一定限制:不适用于抗震设计及直接承受动力荷载结构中的受力钢筋锚固。 锚固钢筋常因外围混凝土的纵向劈裂而削弱锚固作用,当混凝土保护层厚度较大时,握裹作用加强,锚固长度可以减短。经试验研究及可靠度分析,并根据工程实践经验,当保护层厚度大于锚固钢筋直径的3倍时,可乘修正系数0.80;保护层厚度大于锚固钢筋直径的5倍时,可乘修正系数0.70;中间情况插值。
8.3.3 当纵向受拉普通钢筋末端采用弯钩或机械锚固措施时,包括弯钩或锚固端头在内的锚固长度(投影长度)可取为基本锚固长度lab的60%。弯钩和机械锚固的形式(图8.3.3)和技术要求应符合表8.3.3的规定。

条文说明
8.3.3 在钢筋末端配置弯钩和机械锚固是减小锚固长度的有效方式,其原理是利用受力钢筋端部锚头(弯钩、贴焊锚筋、焊接锚板或螺栓锚头)对混凝土的局部挤压作用加大锚固承载力。锚头对混凝土的局部挤压保证了钢筋不会发生锚固拔出破坏,但锚头前必须有一定的直段锚固长度,以控制锚固钢筋的滑移,使构件不致发生较大的裂缝和变形。因此对钢筋末端弯钩和机械锚固可以乘修正系数0.6,有效地减小锚固长度。应该注意的是上述修正的锚固长度已达到0.6lab,不应再考虑第8.3.2条的修正。 根据近年的试验研究,参考国外规范并考虑方便施工,提出几种钢筋弯钩和机械锚固的形式:筋端弯钩及一侧贴焊锚筋的情况用于截面侧边、角部的偏置锚固时,锚头偏置方向还应向截面内侧偏斜。 根据试验研究并参考国外规范,局部受压与其承压面积有关,对锚头或锚板的净挤压面积,应不小于4倍锚筋截面积,即总投影面积的5倍。对方形锚板边长为1.98d、圆形锚板直径为2.24d,d为锚筋的直径。锚筋端部的焊接锚板或贴焊锚筋,应满足《钢筋焊接及验收规程》JGJ 18的要求。对弯钩,要求在弯折角度不同时弯后直线长度分别为12d和5d。 机械锚固局部受压承载力与锚固区混凝土的厚度及约束程度有关。考虑锚头集中布置后对局部受压承载力的影响,锚头宜在纵、横两个方向错开,净间距均为不宜小于4d。
8.3.4 混凝土结构中的纵向受压钢筋,当计算中充分利用其抗压强度时,锚固长度不应小于相应受拉锚固长度的70%。
受压钢筋不应采用末端弯钩和一侧贴焊锚筋的锚固措施。
受压钢筋锚固长度范围内的横向构造钢筋应符合本规范第8.3.1条的有关规定。
条文说明
8.3.4 柱及桁架上弦等构件中的受压钢筋也存在着锚固问题。受压钢筋的锚固长度为相应受拉锚固长度的70%。这是根据工程经验、试验研究及可靠度分析,并参考国外规范确定的。对受压钢筋锚固区域的横向配筋也提出了要求。
8.3.5 承受动力荷载的预制构件,应将纵向受力普通钢筋末端焊接在钢板或角钢上,钢板或角钢应可靠地锚固在混凝土中。钢板或角钢的尺寸应按计算确定,其厚度不宜小于10mm。
其他构件中受力普通钢筋的末端也可通过焊接钢板或型钢实现锚固。
条文说明
8.3.5 根据长期工程实践经验,规定了承受重复荷载预制构件中钢筋的锚固措施。本条规定采用受力钢筋末端焊接在钢板或角钢(型钢)上的锚固方式。这种形式同样适用于其他构件的钢筋锚固。
8.4 钢筋的连接
8.4 钢筋的连接
8.4.1 钢筋连接可采用绑扎搭接、机械连接或焊接。机械连接接头及焊接接头的类型及质量应符合国家现行有关标准的规定。
混凝土结构中受力钢筋的连接接头宜设置在受力较小处。在同一根受力钢筋上宜少设接头。在结构的重要构件和关键传力部位,纵向受力钢筋不宜设置连接接头。
条文说明
8.4.1 钢筋连接的形式(搭接、机械连接、焊接)各自适用于一定的工程条件。各种类型钢筋接头的传力性能(强度、变形、恢复力、破坏状态等)均不如直接传力的整根钢筋,任何形式的钢筋连接均会削弱其传力性能,因此钢筋连接的基本原则为:连接接头设置在受力较小处;限制钢筋在构件同一跨度或同一层高内的接头数量;避开结构的关键受力部位,如柱端、梁端的箍筋加密区,并限制接头面积百分率等。
8.4.2 轴心受拉及小偏心受拉杆件的纵向受力钢筋不得采用绑扎搭接;其他构件中的钢筋采用绑扎搭接时,受拉钢筋直径不宜大于25mm,受压钢筋直径不宜大于28mm。
条文说明
8.4.2 由于近年钢筋强度提高以及各种机械连接技术的发展,对绑扎搭接连接钢筋的应用范围及直径限制都较原规范适当加严。
8.4.3 同一构件中相邻纵向受力钢筋的绑扎搭接接头宜互相错开。钢筋绑扎搭接接头连接区段的长度为1.3倍搭接长度,凡搭接接头中点位于该连接区段长度内的搭接接头均属于同一连接区段(图8.4.3)。同一连接区段内纵向受力钢筋搭接接头面积百分率为该区段内有搭接接头的纵向受力钢筋与全部纵向受力钢筋截面面积的比值。当直径不同的钢筋搭接时,按直径较小的钢筋计算。
位于同一连接区段内的受拉钢筋搭接接头面积百分率:对梁类、板类及墙类构件,不宜大于25%;对柱类构件,不宜大于50%。当工程中确有必要增大受拉钢筋搭接接头面积百分率时,对梁类构件,不宜大于50%;对板、墙、柱及预制构件的拼接处,可根据实际情况放宽。
并筋采用绑扎搭接连接时,应按每根单筋错开搭接的方式连接。接头面积百分率应按同一连接区段内所有的单根钢筋计算。
并筋中钢筋的搭接长度应按单筋分别计算。

条文说明
8.4.3 本条用图及文字表达了钢筋绑扎搭接连接区段的定义,并提出了控制在同一连接区段内接头面积百分率的要求。搭接钢筋应错开布置,且钢筋端面位置应保持一定间距。首尾相接形式的布置会在搭接端面引起应力集中和局部裂缝,应予以避免。搭接钢筋接头中心的纵向间距应不大于1.3倍搭接长度。当搭接钢筋端部距离不大于搭接长度的30%时,均属位于同一连接区段的搭接接头。
粗、细钢筋在同一区段搭接时,按较细钢筋的截面积计算接头面积百分率及搭接长度。这是因为钢筋通过接头传力时,均按受力较小的细直径钢筋考虑承载受力,而粗直径钢筋往往有较大的余量。此原则对于其他连接方式同样适用。
对梁、板、墙、柱类构件的受拉钢筋搭接接头面积百分率分别提出了控制条件。其中,对板类、墙类及柱类构件,尤其是预制装配整体式构件,在实现传力性能的条件下,可根据实际情况适当放宽搭接接头面积百分率的限制。
并筋分散、错开的搭接方式有利于各根钢筋内力传递的均匀过渡,改善了搭接钢筋的传力性能及裂缝状态。因此并筋应采用分散、错开搭接的方式实现连接,并按截面内各根单筋计算搭接长度及接头面积百分率。
8.4.4 纵向受拉钢筋绑扎搭接接头的搭接长度,应根据位于同一连接区段内的钢筋搭接接头面积百分率按下列公式计算,且不应小于300mm。

条文说明
8.4.4 本条规定了受拉钢筋绑扎搭接接头搭接长度的计算方法,其中反映了接头面积百分率的影响。这是根据有关的试验研究及可靠度分析,并参考国外有关规范的做法确定的。搭接长度随接头面积百分率的提高而增大,是因为搭接接头受力后,相互搭接的两根钢筋将产生相对滑移,且搭接长度越小,滑移越大。为了使接头充分受力的同时变形刚度不致过差,就需要相应增大搭接长度。
为保证受力钢筋的传力性能,按接头百分率修正搭接长度,并提出最小搭接长度的限制。当纵向搭接钢筋接头面积百分率为表8.4.4的中间值时,修正系数可按内插取值。
8.4.5 构件中的纵向受压钢筋当采用搭接连接时,其受压搭接长度不应小于本规范第8.4.4条纵向受拉钢筋搭接长度的70%,且不应小于200mm。
条文说明
8.4.5 按原规范的做法,受压构件中(包括柱、撑杆、屋架上弦等)纵向受压钢筋的搭接长度规定为受拉钢筋的70%。为避免偏心受压引起的屈曲,受压纵向钢筋端头不应设置弯钩或单侧焊锚筋。
8.4.6 在梁、柱类构件的纵向受力钢筋搭接长度范围内的横向构造钢筋应符合本规范第8.3.1条的要求;当受压钢筋直径大于25mm时,尚应在搭接接头两个端面外100mm的范围内各设置两道箍筋。
条文说明
8.4.6 搭接接头区域的配箍构造措施对保证搭接钢筋传力至关重要。对于搭接长度范围内的构造钢筋(箍筋或横向钢筋)提出了与锚固长度范围同样的要求,其中构造钢筋的直径按最大搭接钢筋直径取值;间距按最小搭接钢筋的直径取值。
本次修订对受压钢筋搭接的配箍构造要求取与受拉钢筋搭接相同,比原规范要求加严。根据工程经验,为防止粗钢筋在搭接端头的局部挤压产生裂缝,提出了在受压搭接接头端部增加配箍的要求。
8.4.7 纵向受力钢筋的机械连接接头宜相互错开。钢筋机械连接区段的长度为35d,d为连接钢筋的较小直径。凡接头中点位于该连接区段长度内的机械连接接头均属于同一连接区段。
位于同一连接区段内的纵向受拉钢筋接头面积百分率不宜大于50%;但对板、墙、柱及预制构件的拼接处,可根据实际情况放宽。纵向受压钢筋的接头百分率可不受限制。
机械连接套筒的保护层厚度宜满足有关钢筋最小保护层厚度的规定。机械连接套筒的横向净间距不宜小于25mm;套筒处箍筋的间距仍应满足相应的构造要求。
直接承受动力荷载结构构件中的机械连接接头,除应满足设计要求的抗疲劳性能外,位于同一连接区段内的纵向受力钢筋接头面积百分率不应大于50%。
条文说明
8.4.7 为避免机械连接接头处相对滑移变形的影响,定义机械连接区段的长度为以套筒为中心长度35d的范围,并由此控制接头面积百分率。钢筋机械连接的质量应符合《钢筋机械连接技术规程》JGJ 107的有关规定。
本条还规定了机械连接的应用原则:接头宜互相错开,并避开受力较大部位。由于在受力最大处受拉钢筋传力的重要性,机械连接接头在该处的接头面积百分率不宜大于50%。但,对于板、墙等钢筋间距很大的构件,以及装配式构件的拼接处,可根据情况适当放宽。
由于机械连接套筒直径加大,对保护层厚度的要求有所放松,由“应”改为“宜”。此外,提出了在机械连接套筒两侧减小箍筋间距布置,避开套筒的解决办法。
8.4.8 细晶粒热轧带肋钢筋以及直径大于28mm的带肋钢筋,其焊接应经试验确定;余热处理钢筋不宜焊接。
纵向受力钢筋的焊接接头应相互错开。钢筋焊接接头连接区段的长度为35d且不小于500mm,d为连接钢筋的较小直径,凡接头中点位于该连接区段长度内的焊接接头均属于同一连接区段。
纵向受拉钢筋的接头面积百分率不宜大于50%,但对预制构件的拼接处,可根据实际情况放宽。纵向受压钢筋的接头百分率可不受限制。
条文说明
8.4.8 不同牌号钢筋可焊性及焊后力学性能影响有差别,对细晶粒钢筋(HRBF)、余热处理钢筋(RRB)焊接分别提出了不同的控制要求。此外粗直径钢筋的(大于28mm)焊接质量不易保证,工艺要求从严。对上述情况,均应符合《钢筋焊接及验收规程》JGJ 18的有关规定。
焊接连接区段长度的规定同原规范,工程实践证明这些规定是可行的。
8.4.9 需进行疲劳验算的构件,其纵向受拉钢筋不得采用绑扎搭接接头,也不宜采用焊接接头,除端部锚固外不得在钢筋上焊有附件。
当直接承受吊车荷载的钢筋混凝土吊车梁、屋面梁及屋架下弦的纵向受拉钢筋采用焊接接头时,应符合下列规定:
1 应采用闪光接触对焊,并去掉接头的毛刺及卷边;
2 同一连接区段内纵向受拉钢筋焊接接头面积百分率不应大于25%,焊接接头连接区段的长度应取为45d,d为纵向受力钢筋的较大直径;
3 疲劳验算时,焊接接头应符合本规范第4.2.6条疲劳应力幅限值的规定。
条文说明
8.4.9 承受疲劳荷载吊车梁等有关构件中受力钢筋焊接的要求,与原规范的有关内容相同。
8.5 纵向受力钢筋的最小配筋率
8.5 纵向受力钢筋的最小配筋率
8.5.1 钢筋混凝土结构构件中纵向受力钢筋的 最小 配筋 百分 率ρmin 应按现行强制性工程建设规范《混凝土结构通用规范》GB55008执行。 不应小于表8.5.1规定的数值。

条文说明
8.5.1我国建筑结构
混凝土 结构 构件的 最小 配筋率与其他国家相比 明显 曾经 偏低, 因此 历次规范修订 中 最小配筋率设置水平不断提高。受拉钢筋最小配筋百分率仍维持 原 02版 规范由配筋特征值(45 ft/fy)及配筋率常数限值0.20的双控方式。但由于主力钢筋已由335N/mm²提高到400N/mm²~500N/mm²,实际上配筋水平已有明显提高。但受弯板类构件的混凝土强度一般不超过C30,配筋基本全都由配筋率常数限值控制,对高强度的 500 400 N/mm²钢筋,其强度得不到发挥。故对此类情况的最小配筋率常数限值由 02版 原 规范的0.20%改为0.15%,实际效果基本与 02版 原 规范持平,仍可保证结构的安全。 《混凝土结构通用规范》GB 55008-2021增加了柱支承板(例如无梁楼盖板)也不能降低最小配筋率的规定,以适度提高安全度。
受压构件是指柱、压杆等截面长宽比不大于4的构件。规定受压构件最小配筋率的目的是改善其性能,避免混凝土突然压溃,并使受压构件具有必要的刚度和抵抗偶然偏心作用的能力。 本次修订 2010版规范 对受压构件纵向钢筋的最小配筋率基本不变,即受压构件一侧纵筋最小配筋率仍保持0.2 0 %不变,而对不同强度的钢筋分别给出了受压构件全部钢筋的最小配筋率:0.50、0.55和0.60三档,比 02版 原 规范稍有提高。考虑到强度等级偏高时混凝土脆性特征更为明显,故规定当混凝土强度等级为C60以上时,最小配筋率上调0.1 0 %
8.5.2 卧置于地基上的混凝土板,板中受拉钢筋的最小配筋率可适当降低,但不应小于0.15%。
8.5.3 对结构中次要的钢筋混凝土受弯构件,当构造所需截面高度远大于承载的需求时,其纵向受拉钢筋的配筋率可按下列公式计算:

条文说明
8.5.3本条为新增条文。
参照国内外有关规范的规定,对于截面 厚 高 度很大而内力相对较小的非主要受弯构件,提出了少筋混凝土配筋的概念。
由构件截面的内力(弯矩M) 设计值 计算截面的临界 厚 高 度(hcr)。按此临界 厚 高 度相应最小配筋率计算的配筋,仍可保证截面相应的受弯承载力。因此,在截面高度继续增大的条件下维持原有的实际配筋量,虽配筋率减 少 小 ,但仍应能保证构件应有的承载力。但为保证一定的配筋量,应限制临界 厚 高 度不小于截面 高度 的一半。这样,在保证构件安全的条件下可以 大大 减少配筋量,具有明显的经济效益。
9 结构构件的基本规定
9.1 板
9 结构构件的基本规定
9.1 板
(Ⅰ)基本规定
9.1.1 混凝土板按下列原则进行计算:
1 两对边支承的板应按单向板计算;
2 四边支承的板应按下列规定计算:
1)当长边与短边长度之比不大于2.0时,应按双向板计算;
2)当长边与短边长度之比大于2.0,但小于3.0时,宜按双向板计算;
3)当长边与短边长度之比不小于3.0时,宜按沿短边方向受力的单向板计算,并应沿长边方向布置构造钢筋。
条文说明
9.1.1 分析结果表明,四边支承板长短边长度的比值大于或等于3.0时,板可按沿短边方向受力的单向板计算;此时,沿长边方向配置本规范第9.1.7条规定的分布钢筋已经足够。当长短边长度比在2~3之间时,板虽仍可按沿短边方向受力的单向板计算,但沿长边方向按分布钢筋配筋尚不足以承担该方向弯矩,应适当增大配筋量。当长短边长度比小于2时,应按双向板计算和配筋。
9.1.2 现浇混凝土板的尺寸宜符合下列规定:
1 板的跨厚比:钢筋混凝土单向板不大于30,双向板不大于40;无梁支承的有柱帽板不大于35,无梁支承的无柱帽板不大于30。预应力板可适当增加;当板的荷载、跨度较大时宜适当减小。
2 现浇钢筋混凝土板的厚度不应小于表9.1.2规定的数值。

条文说明
9.1.2 本条考虑结构安全及舒适度(刚度)的要求,根据工程经验,提出了常用混凝土板的跨厚比,并从构造角度提出了现浇板最小厚度的要求。现浇板的合理厚度应在符合承载力极限状态和正常使用极限状态要求的前提下,按经济合理的原则选定,并考虑防火、防爆等要求,但不应小于表9.1.2的规定。 本次修订
2010版规范 从安全和耐久性的角度适当增加了密肋楼盖、悬臂板的厚度要求。还对悬臂板的外挑长度作出了限制,外挑过长时宜采取悬臂梁-板的结构形式。此外,根据工程经验,还给出了现浇空心楼盖最小厚度的要求。
本次对GB 50010-2010(2015年版)规范的局部修订,为了进一步提高混凝土结构的可靠性(安全性、适用性、耐久性),促进高质量发展,把混凝土实心楼板的最小厚度提高到80mm,悬臂板悬臂长度1200mm改为500mm~1000mm。
根据已有的工程经验,对制作条件较好的预制构件面板,在采取耐久性保护措施的情况下,其厚度可适当减薄。
9.1.3 板中受力钢筋的间距,当板厚不大于150mm时不宜大于200mm 当板厚大于150mm时不宜大于板厚的1.5倍,且不宜大于250mm。
条文说明
9.1.3 受力钢筋的间距过大不利于板的受力,且不利于裂缝控制。根据工程经验,规定了常用混凝土板中受力钢筋的最大间距。
9.1.4 采用分离式配筋的多跨板,板底钢筋宜全部伸入支座;支座负弯矩钢筋向跨内延伸的长度应根据负弯矩图确定,并满足钢筋锚固的要求。
简支板或连续板下部纵向受力钢筋伸入支座的锚固长度不应小于钢筋直径的5倍,且宜伸过支座中心线。当连续板内温度、收缩应力较大时,伸入支座的长度宜适当增加。
条文说明
9.1.4 分离式配筋施工方便,已成为我国工程中混凝土板的主要配筋形式。本条规定了板中钢筋配置以及支座锚固的构造要求。对简支板或连续板的下部纵向受力钢筋伸入支座的锚固长度作出了规定。
9.1.5 现浇混凝土空心楼板的体积空心率不宜大于50%。
采用箱型内孔时,顶板厚度不应小于肋间净距的1/15且不应小于50mm。当底板配置受力钢筋时,其厚度不应小于50mm。内孔间肋宽与内孔高度比不宜小于1/4,且肋宽不应小于60mm,对预应力板不应小于80mm。
采用管型内孔时,孔顶、孔底板厚均不应小于40mm,肋宽与内孔径之比不宜小于1/5,且肋宽不应小于50mm,对预应力板不应小于60mm。
条文说明
9.1.5 为节约材料、减轻自重及减小地震作用,近年来现浇空心楼盖的应用逐渐增多。本条为新增条文,根据工程经验和国内有关标准,提出了空心楼板体积空心率限值的建议,并对箱形内孔及管形内孔楼板的基本构造尺寸作出了规定。当箱体内模兼作楼盖板底的饰面时,可按密肋楼盖计算。
(Ⅱ)构造配筋
9.1.6 按简支边或非受力边设计的现浇混凝土板,当与混凝土梁、墙整体浇筑或嵌固在砌体墙内时,应设置板面构造钢筋,并符合下列要求:
1 钢筋直径不宜小于8mm,间距不宜大于200mm,且单位宽度内的配筋面积不宜小于跨中相应方向板底钢筋截面面积的1/3。与混凝土梁、混凝土墙整体浇筑单向板的非受力方向,钢筋截面面积尚不宜小于受力方向跨中板底钢筋截面面积的1/3。
2 钢筋从混凝土梁边、柱边、墙边伸入板内的长度不宜小于l0/4,砌体墙支座处钢筋伸入板边的长度不宜小于l0/7,其中计算跨度l0对单向板按受力方向考虑,对双向板按短边方向考虑。
3 在楼板角部,宜沿两个方向正交、斜向平行或放射状布置附加钢筋。
4 钢筋应在梁内、墙内或柱内可靠锚固。
条文说明
9.1.6 与支承梁或墙整体浇筑的混凝土板,以及嵌固在砌体墙内的现浇混凝土板,往往在其非主要受力方向的侧边上由于边界约束产生一定的负弯矩,从而导致板面裂缝。为此往往在板边和板角部位配置防裂的板面构造钢筋。本条提出了相应的构造要求:包括钢筋截面积、直径、间距、伸入板内的锚固长度以及板角配筋的形式、范围等。这些要求在原规范的基础上作了适当的合并和简化。
9.1.7 当按单向板设计时,应在垂直于受力的方向布置分布钢筋,单位宽度上的配筋不宜小于单位宽度上的受力钢筋的15%,且配筋率不宜小于0.15%;分布钢筋直径不宜小于6mm,间距不宜大于250mm;当集中荷载较大时,分布钢筋的配筋面积尚应增加,且间距不宜大于200mm。
当有实践经验或可靠措施时,预制单向板的分布钢筋可不受本条的限制。
条文说明
9.1.7 考虑到现浇板中存在温度-收缩应力,根据工程经验提出了板应在垂直于受力方向上配置横向分布钢筋的要求。本条规定了分布钢筋配筋率、直径、间距等配筋构造措施;同时对集中荷载较大的情况,提出了应适当增加分布钢筋用量的要求。
9.1.8 在温度、收缩应力较大的现浇板区域,应在板的表面双向配置防裂构造钢筋。配筋率均不宜小于0.10%,间距不宜大于200mm。防裂构造钢筋可利用原有钢筋贯通布置,也可另行设置钢筋并与原有钢筋按受拉钢筋的要求搭接或在周边构件中锚固。
楼板平面的瓶颈部位宜适当增加板厚和配筋。沿板的洞边、凹角部位宜加配防裂构造钢筋,并采取可靠的锚固措施。
条文说明
9.1.8 混凝土收缩和温度变化易在现浇楼板内引起约束拉应力而导致裂缝,近年来现浇板的裂缝问题比较严重。重要原因是混凝土收缩和温度变化在现浇楼板内引起的约束拉应力。设置温度收缩钢筋有助于减少这类裂缝。该钢筋宜在未配筋板面双向配置,特别是温度、收缩应力的主要作用方向。鉴于受力钢筋和分布钢筋也可以起到一定的抵抗温度、收缩应力的作用,故应主要在未配钢筋的部位或配筋数量不足的部位布置温度收缩钢筋。 板中温度、收缩应力目前尚不易准确计算,本条根据工程经验给出了配置温度收缩钢筋的原则和最低数量规定。如有计算温度、收缩应力的可靠经验,计算结果亦可作为确定附加钢筋用量的参考。此外,在产生应力集中的蜂腰、洞口、转角等易开裂部位,提出了配置防裂构造钢筋的规定。
9.1.9 混凝土厚板及卧置于地基上的基础筏板,当板的厚度大于2m时,除应沿板的上、下表面布置的纵、横方向钢筋外,尚宜在板厚度不超过1m范围内设置与板面平行的构造钢筋网片,网片钢筋直径不宜小于12mm,纵横方向的间距不宜大于300mm。
条文说明
9.1.9 在混凝土厚板中沿厚度方向以一定间隔配置钢筋网片,不仅可以减少大体积混凝土中温度-收缩的影响,而且有利于提高构件的受剪承载力。本条作出了相应的构造规定。
9.1.10 当混凝土板的厚度不小于150mm时,对板的无支承边的端部,宜设置U形构造钢筋并与板顶、板底的钢筋搭接,搭接长度不宜小于U形构造钢筋直径的15倍且不宜小于200mm;也可采用板面、板底钢筋分别向下、上弯折搭接的形式。
条文说明
9.1.10 为保证柱支承板或悬臂楼板自由边端部的受力性能,参考国外标准的做法,应在板的端面加配U形构造钢筋,并与板面、板底钢筋搭接;或利用板面、板底钢筋向下、上弯折,对楼板的端面加以封闭。
(Ⅲ)板柱结构
9.1.11 混凝土板中配置抗冲切箍筋或弯起钢筋时,应符合下列构造要求:
1 板的厚度不应小于150mm;
2 按计算所需的箍筋及相应的架立钢筋应配置在与45°冲切破坏锥面相交的范围内,且从集中荷载作用面或柱截面边缘向外的分布长度不应小于1.5h0(图9.1.11a);箍筋直径不应小于6mm,且应做成封闭式,间距不应大于h0/3,且不应大于100m。

3 按计算所需弯起钢筋的弯起角度可根据板的厚度在30°~45°之间选取;弯起钢筋的倾斜段应与冲切破坏锥面相交(图9.1.11b),其交点应在集中荷载作用面或柱截面边缘以外(1/2~2/3)h的范围内。弯起钢筋直径不宜小于12mm,且每一方向不宜少于3根。
条文说明
9.1.11 板柱结构及基础筏板,在板与柱相交的部位都处于冲切受力状态。试验研究表明,在与冲切破坏面相交的部位配置箍筋或弯起钢筋,能够有效地提高板的抗冲切承载力。本条的构造措施是为了保证箍筋或弯起钢筋的抗冲切作用。 国内外工程实践表明,在与冲切破坏面相交的部位配置销钉或型钢剪力架,可以有效地提高板的受冲切承载力,具体计算及构造措施可见相关的技术文件。
9.1.12 板柱节点可采用带柱帽或托板的结构形式。板柱节点的形状、尺寸应包容45°的冲切破坏锥体,并应满足受冲切承载力的要求。
柱帽的高度不应小于板的厚度h;托板的厚度不应小于h/4。柱帽或托板在平面两个方向上的尺寸均不宜小于同方向上柱截面宽度b与4h的和(图9.1.12)。

条文说明
9.1.12 为加强板柱结构节点处的受冲切承载力,可采取柱帽或托板的结构形式加强板的抗力。本条提出了相应的构造要求,包括平面尺寸、形状和厚度等。必要时可配置抗剪栓钉。
9.2 梁
9.2 梁
(Ⅰ)纵向配筋
9.2.1 梁的纵向受力钢筋应符合下列规定:
1 伸入梁支座范围内的钢筋不应少于2根。
2 梁高不小于300mm时,钢筋直径不应小于10mm;梁高小于300mm时,钢筋直径不应小于8mm。
3 梁上部钢筋水平方向的净间距不应小于30mm和1.5d;梁下部钢筋水平方向的净间距不应小于25mm和d。当下部钢筋多于2层时,2层以上钢筋水平方向的中距应比下面2层的中距增大一倍;各层钢筋之间的净间距不应小于25mm和d,d为钢筋的最大直径。
4 在梁的配筋密集区域宜采用并筋的配筋形式。
9.2.2 钢筋混凝土简支梁和连续梁简支端的下部纵向受力钢筋,从支座边缘算起伸入支座内的锚固长度应符合下列规定:
1 当V不大于0.7ftbh0时,不小于5d;当V大于0.7ftbh0时,对带肋钢筋不小于12d,对光圆钢筋不小于15d,d为钢筋的最大直径;
2 如纵向受力钢筋伸入梁支座范围内的锚固长度不符合本条第1款要求时,可采取弯钩或机械锚固措施,并应满足本规范第8.3.3条的规定;
3 支承在砌体结构上的钢筋混凝土独立梁,在纵向受力钢筋的锚固长度范围内应配置不少于2个箍筋,其直径不宜小于d/4,d为纵向受力钢筋的最大直径;间距不宜大于10d,当采取机械锚固措施时箍筋间距尚不宜大于5d,d为纵向受力钢筋的最小直径。
注:混凝土强度等级为C25及以下的简支梁和连续梁的简支端,当距支座边1.5h范围内作用有集中荷载,且V大于0.7ftbh0时,对带肋钢筋宜采取有效的锚固措施,或取锚固长度不小于15d,d为锚固钢筋的直径。
9.2.3 钢筋混凝土梁支座截面负弯矩纵向受拉钢筋不宜在受拉区截断,当需要截断时,应符合以下规定:
1 当V不大于0.7ftbh0时,应延伸至按正截面受弯承载力计算不需要该钢筋的截面以外不小于20d处截断,且从该钢筋强度充分利用截面伸出的长度不应小于1.2la;
2 当V大于0.7ftbh0时,应延伸至按正截面受弯承载力计算不需要该钢筋的截面以外不小于h0且不小于20d处截断,且从该钢筋强度充分利用截面伸出的长度不应小于1.2la与h0之和;
3 若按本条第1、2款确定的截断点仍位于负弯矩对应的受拉区内,则应延伸至按正截面受弯承载力计算不需要该钢筋的截面以外不小于1.3h0且不小于20d处截断,且从该钢筋强度充分利用截面伸出的长度不应小于1.2la与1.7h0之和。
9.2.4 在钢筋混凝土悬臂梁中,应有不少于2根上部钢筋伸至悬臂梁外端,并向下弯折不小于12d;其余钢筋不应在梁的上部截断,而应按本规范第9.2.8条规定的弯起点位置向下弯折,并按本规范第9.2.7条的规定在梁的下边锚固。
9.2.5 梁内受扭纵向钢筋的最小配筋率ρtl,min应符合下列规定:

沿截面周边布置受扭纵向钢筋的间距不应大于200mm及梁截面短边长度;除应在梁截面四角设置受扭纵向钢筋外,其余受扭纵向钢筋宜沿截面周边均匀对称布置。受扭纵向钢筋应按受拉钢筋锚固在支座内。
在弯剪扭构件中,配置在截面弯曲受拉边的纵向受力钢筋,其截面面积不应小于按本规范第8.5.1条规定的受弯构件受拉钢筋最小配筋率计算的钢筋截面面积与按本条受扭纵向钢筋配筋率计算并分配到弯曲受拉边的钢筋截面面积之和。
9.2.6 梁的上部纵向构造钢筋应符合下列要求:
1 当梁端按简支计算但实际受到部分约束时,应在支座区上部设置纵向构造钢筋。其截面面积不应小于梁跨中下部纵向受力钢筋计算所需截面面积的1/4,且不应少于2根。该纵向构造钢筋自支座边缘向跨内伸出的长度不应小于l0/5,l0为梁的计算跨度。
2 对架立钢筋,当梁的跨度小于4m时,直径不宜小于8mm;当梁的跨度为4m~6m时,直径不应小于10mm;当梁的跨度大于6m时,直径不宜小于12mm。
(Ⅱ)横向配筋
9.2.7 混凝土梁宜采用箍筋作为承受剪力的钢筋。
当采用弯起钢筋时,弯起角宜取45°或60°;在弯终点外应留有平行于梁轴线方向的锚固长度,且在受拉区不应小于20d,在受压区不应小于10d,d为弯起钢筋的直径;梁底层钢筋中的角部钢筋不应弯起,顶层钢筋中的角部钢筋不应弯下。
9.2.8 在混凝土梁的受拉区中,弯起钢筋的弯起点可设在按正截面受弯承载力计算不需要该钢筋的截面之前,但弯起钢筋与梁中心线的交点应位于不需要该钢筋的截面之外(图9.2.8);同时弯起点与按计算充分利用该钢筋的截面之间的距离不应小于h0/2。

当按计算需要设置弯起钢筋时,从支座起前一排的弯起点至后一排的弯终点的距离不应大于本规范表9.2.9中“V>0.7ftbh0+0.05Np0”时的箍筋最大间距。弯起钢筋不得采用浮筋。
9.2.9 梁中箍筋的配置应符合下列规定:
1 按承载力计算不需要箍筋的梁,当截面高度大于300mm时,应沿梁全长设置构造箍筋;当截面高度h=150mm~300mm时,可仅在构件端部l0/4范围内设置构造箍筋,l0为跨度。但当在构件中部l0/2范围内有集中荷载作用时,则应沿梁全长设置箍筋。当截面高度小于150mm时,可以不设置箍筋。
2 截面高度大于800mm的梁,箍筋直径不宜小于8mm;对截面高度不大于800mm的梁,不宜小于6mm。梁中配有计算需要的纵向受压钢筋时,箍筋直径尚不应小于d/4,d为受压钢筋最大直径。

4 当梁中配有按计算需要的纵向受压钢筋时,箍筋应符合以下规定:
1)箍筋应做成封闭式,且弯钩直线段长度不应小于5d,d为箍筋直径。
2)箍筋的间距不应大于15d,并不应大于400mm。当一层内的纵向受压钢筋多于5根且直径大于18mm时,箍筋间距不应大于10d,d为纵向受压钢筋的最小直径。
3)当梁的宽度大于400mm且一层内的纵向受压钢筋多于3根时,或当梁的宽度不大于400mm但一层内的纵向受压钢筋多于4根时,应设置复合箍筋。
9.2.10 在弯剪扭构件中,箍筋的配筋率ρsv不应小于0.28ft/fyv。
箍筋间距应符合本规范表9.2.9的规定,其中受扭所需的箍筋应做成封闭式,且应沿截面周边布置。当采用复合箍筋时,位于截面内部的箍筋不应计入受扭所需的箍筋面积。受扭所需箍筋的末端应做成135°弯钩,弯钩端头平直段长度不应小于10d,d为箍筋直径。
在超静定结构中,考虑协调扭转而配置的箍筋,其间距不宜大于0.75b,此处b按本规范第6.4.1条的规定取用,但对箱形截面构件,b均应以bh代替。
(Ⅲ)局部配筋
9.2.11 位于梁下部或梁截面高度范围内的集中荷载,应全部由附加横向钢筋承担;附加横向钢筋宜采用箍筋。
箍筋应布置在长度为2h1与3b之和的范围内(图9.2.11)。当采用吊筋时,弯起段应伸至梁的上边缘,且末端水平段长度不应小于本规范第9.2.7条的规定。
附加横向钢筋所需的总截面面积应符合下列规定:


9.2.13 梁的腹板高度hw不小于450mm时,在梁的两个侧面应沿高度配置纵向构造钢筋。每侧纵向构造钢筋(不包括梁上、下部受力钢筋及架立钢筋)的间距不宜大于200mm,截面面积不应小于腹板截面面积(bhw)的0.1%,但当梁宽较大时可以适当放松。此处,腹板高度hw按本规范第6.3.1条的规定取用。
9.2.14 薄腹梁或需作疲劳验算的钢筋混凝土梁,应在下部1/2梁高的腹板内沿两侧配置直径8mm~14mm的纵向构造钢筋,其间距为100mm~150mm并按下密上疏的方式布置。在上部1/2梁高的腹板内,纵向构造钢筋可按本规范第9.2.13条的规定配置。
9.2.15 当梁的混凝土保护层厚度大于50mm且配置表层钢筋网片时,应符合下列规定:
1 表层钢筋宜采用焊接网片,其直径不宜大于8mm,间距不应大于150mm;网片应配置在梁底和梁侧,梁侧的网片钢筋应延伸至梁高的2/3处。
2 两个方向上表层网片钢筋的截面积均不应小于相应混凝土保护层(图9.2.15阴影部分)面积的1%。

9.2.16 深受弯构件的设计应符合本规范附录G的规定。
9.3 柱、梁柱节点及牛腿
9.3 柱、梁柱节点及牛腿
(Ⅰ)柱
9.3.1 柱中纵向钢筋的配置应符合下列规定:
1 纵向受力钢筋直径不宜小于12mm;全部纵向钢筋的配筋率不宜大于5%;
2 柱中纵向钢筋的净间距不应小于50mm,且不宜大于300mm;
3 偏心受压柱的截面高度不小于600mm时,在柱的侧面上应设置直径不小于10mm的纵向构造钢筋,并相应设置复合箍筋或拉筋;
4 圆柱中纵向钢筋不宜少于8根,不应少于6根,且宜沿周边均匀布置;
5 在偏心受压柱中,垂直于弯矩作用平面的侧面上的纵向受力钢筋以及轴心受压柱中各边的纵向受力钢筋,其中距不宜大于300mm。
注:水平浇筑的预制柱,纵向钢筋的最小净间距可按本规范第9.2.1条关于梁的有关规定取用。
9.3.2 柱中的箍筋应符合下列规定:
1 箍筋直径不应小于d/4,且不应小于6mm,d为纵向钢筋的最大直径;
2 箍筋间距不应大于400mm及构件截面的短边尺寸,且不应大于15d,d为纵向钢筋的最小直径;
3 柱及其他受压构件中的周边箍筋应做成封闭式;对圆柱中的箍筋,搭接长度不应小于本规范第8.3.1条规定的锚固长度,且末端应做成135°弯钩,弯钩末端平直段长度不应小于5d,d为箍筋直径;
4 当柱截面短边尺寸大于400mm且各边纵向钢筋多于3根时,或当柱截面短边尺寸不大于400mm但各边纵向钢筋多于4根时,应设置复合箍筋;
5 柱中全部纵向受力钢筋的配筋率大于3%时,箍筋直径不应小于8mm,间距不应大于10d,且不应大于200mm,d为纵向受力钢筋的最小直径。箍筋末端应做成135°弯钩,且弯钩末端平直段长度不应小于箍筋直径的10倍;
6 在配有螺旋式或焊接环式箍筋的柱中,如在正截面受压承载力计算中考虑间接钢筋的作用时,箍筋间距不应大于80mm及dcor/5,且不宜小于40mm,dcor为按箍筋内表面确定的核心截面直径。
9.3.3 I形截面柱的翼缘厚度不宜小于120mm,腹板厚度不宜小于100mm。当腹板开孔时,宜在孔洞周边每边设置2~3根直径不小于8mm的补强钢筋,每个方向补强钢筋的截面面积不宜小于该方向被截断钢筋的截面面积。
腹板开孔的I形截面柱,当孔的横向尺寸小于柱截面高度的一半、孔的竖向尺寸小于相邻两孔之间的净间距时,柱的刚度可按实腹I形截面柱计算,但在计算承载力时应扣除孔洞的削弱部分。当开孔尺寸超过上述规定时,柱的刚度和承载力应按双肢柱计算。
(Ⅱ)梁柱节点
9.3.4 梁纵向钢筋在框架中间层端节点的锚固应符合下列要求:
1 梁上部纵向钢筋伸入节点的锚固:
1)当采用直线锚固形式时,锚固长度不应小于la,且应伸过柱中心线,伸过的长度不宜小于5d,d为梁上部纵向钢筋的直径。
2)当柱截面尺寸不满足直线锚固要求时,梁上部纵向钢筋可采用本规范第8.3.3条钢筋端部加机械锚头的锚固方式。梁上部纵向钢筋宜伸至柱外侧纵向钢筋内边,包括机械锚头在内的水平投影锚固长度不应小于0.4lab(图9.3.4a)。
3)梁上部纵向钢筋也可采用90°弯折锚固的方式,此时梁上部纵向钢筋应伸至柱外侧纵向钢筋内边并向节点内弯折,其包含弯弧在内的水平投影长度不应小于0.4lab,弯折钢筋在弯折平面内包含弯弧段的投影长度不应小于15d(图9.3.4b)。

2 框架梁下部纵向钢筋伸入端节点的锚固:
1)当计算中充分利用该钢筋的抗拉强度时,钢筋的锚固方式及长度应与上部钢筋的规定相同。
2)当计算中不利用该钢筋的强度或仅利用该钢筋的抗压强度时,伸入节点的锚固长度应分别符合本规范第9.3.5条中间节点梁下部纵向钢筋锚固的规定。
9.3.5 框架中间层中间节点或连续梁中间支座,梁的上部纵向钢筋应贯穿节点或支座。梁的下部纵向钢筋宜贯穿节点或支座。当必须锚固时,应符合下列锚固要求:
1 当计算中不利用该钢筋的强度时,其伸入节点或支座的锚固长度对带肋钢筋不小于12d,对光面钢筋不小于15d,d为钢筋的最大直径;
2 当计算中充分利用钢筋的抗压强度时,钢筋应按受压钢筋锚固在中间节点或中间支座内,其直线锚固长度不应小于0.7la;
3 当计算中充分利用钢筋的抗拉强度时,钢筋可采用直线方式锚固在节点或支座内,锚固长度不应小于钢筋的受拉锚固长度la(图9.3.5a);
4 当柱截面尺寸不足时,宜按本规范第9.3.4条第1款的规定采用钢筋端部加锚头的机械锚固措施,也可采用90°弯折锚固的方式;
5 钢筋可在节点或支座外梁中弯矩较小处设置搭接接头,搭接长度的起始点至节点或支座边缘的距离不应小于1.5h0(图9.3.5b)。

9.3.6 柱纵向钢筋应贯穿中间层的中间节点或端节点,接头应设在节点区以外。
柱纵向钢筋在顶层中节点的锚固应符合下列要求:
1 柱纵向钢筋应伸至柱顶,且自梁底算起的锚固长度不应小于la。
2 当截面尺寸不满足直线锚固要求时,可采用90°弯折锚固措施。此时,包括弯弧在内的钢筋垂直投影锚固长度不应小于0.5lab,在弯折平面内包含弯弧段的水平投影长度不宜小于12d(图9.3.6a)。
3 当截面尺寸不足时,也可采用带锚头的机械锚固措施。此时,包含锚头在内的竖向锚固长度不应小于0.5lab(图9.3.6b)。

4 当柱顶有现浇楼板且板厚不小于100mm时,柱纵向钢筋也可向外弯折,弯折后的水平投影长度不宜小于12d。
9.3.7 顶层端节点柱外侧纵向钢筋可弯入梁内作梁上部纵向钢筋;也可将梁上部纵向钢筋与柱外侧纵向钢筋在节点及附近部位搭接,搭接可采用下列方式:
1 搭接接头可沿顶层端节点外侧及梁端顶部布置,搭接长度不应小于1.5lab(图9.3.7a)。其中,伸入梁内的柱外侧钢筋截面面积不宜小于其全部面积的65%;梁宽范围以外的柱外侧钢筋宜沿节点顶部伸至柱内边锚固。当柱外侧纵向钢筋位于柱顶第一层时,钢筋伸至柱内边后宜向下弯折不小于8d后截断(图9.3.7a),d为柱纵向钢筋的直径;当柱外侧纵向钢筋位于柱顶第二层时,可不向下弯折。当现浇板厚度不小于100mm时,梁宽范围以外的柱外侧纵向钢筋也可伸入现浇板内,其长度与伸入梁内的柱纵向钢筋相同。

2 当柱外侧纵向钢筋配筋率大于1.2%时,伸入梁内的柱纵向钢筋应满足本条第1款规定且宜分两批截断,截断点之间的距离不宜小于20d,d为柱外侧纵向钢筋的直径。梁上部纵向钢筋应伸至节点外侧并向下弯至梁下边缘高度位置截断。
3 纵向钢筋搭接接头也可沿节点柱顶外侧直线布置(图9.3.7b),此时,搭接长度自柱顶算起不应小于1.7lab。当梁上部纵向钢筋的配筋率大于1.2%时,弯入柱外侧的梁上部纵向钢筋应满足本条第1款规定的搭接长度,且宜分两批截断,其截断点之间的距离不宜小于20d,d为梁上部纵向钢筋的直径。
4 当梁的截面高度较大,梁、柱纵向钢筋相对较小,从梁底算起的直线搭接长度未延伸至柱顶即已满足1.5lab的要求时,应将搭接长度延伸至柱顶并满足搭接长度1.7lab的要求;或者从梁底算起的弯折搭接长度未延伸至柱内侧边缘即已满足1.5lab的要求时,其弯折后包括弯弧在内的水平段的长度不应小于15d,d为柱纵向钢筋的直径。
5 柱内侧纵向钢筋的锚固应符合本规范第9.3.6条关于顶层中节点的规定。
9.3.8 顶层端节点处梁上部纵向钢筋的截面面积AS应符合下列规定:

梁上部纵向钢筋与柱外侧纵向钢筋在节点角部的弯弧内半径,当钢筋直径不大于25mm时,不宜小于6d;大于25mm时,不宜小于8d。钢筋弯弧外的混凝土中应配置防裂、防剥落的构造钢筋。
9.3.9 在框架节点内应设置水平箍筋,箍筋应符合本规范第9.3.2条柱中箍筋的构造规定,但间距不宜大于250mm。对四边均有梁的中间节点,节点内可只设置沿周边的矩形箍筋。当顶层端节点内有梁上部纵向钢筋和柱外侧纵向钢筋的搭接接头时,节点内水平箍筋应符合本规范第8.4.6条的规定。
(Ⅲ)牛 腿
9.3.10 对于a不大于h0的柱牛腿(图9.3.10),其截面尺寸应符合下列要求:



9.3.12 沿牛腿顶部配置的纵向受力钢筋,宜采用HRB400级或HRB500级热轧带肋钢筋。全部纵向受力钢筋及弯起钢筋宜沿牛腿外边缘向下伸入下柱内150mm后截断(图9.3.10)。
纵向受力钢筋及弯起钢筋伸入上柱的锚固长度,当采用直线锚固时不应小于本规范第8.3.1条规定的受拉钢筋锚固长度la;当上柱尺寸不足时,钢筋的锚固应符合本规范第9.3.4条梁上部钢筋在框架中间层端节点中带90°弯折的锚固规定。此时,锚固长度应从上柱内边算起。
承受竖向力所需的纵向受力钢筋的配筋率不应小于0.20%及0.45ft/fy,也不宜大于0.60%,钢筋数量不宜少于4根直径12mm的钢筋。
当牛腿设于上柱柱顶时,宜将牛腿对边的柱外侧纵向受力钢筋沿柱顶水平弯入牛腿,作为牛腿纵向受拉钢筋使用。当牛腿顶面纵向受拉钢筋与牛腿对边的柱外侧纵向钢筋分开配置时,牛腿顶面纵向受拉钢筋应弯入柱外侧,并应符合本规范第8.4.4条有关钢筋搭接的规定。
9.3.13 牛腿应设置水平箍筋,箍筋直径宜为6mm~12mm,间距宜为100mm~150mm;在上部2h0/3范围内的箍筋总截面面积不宜小于承受竖向力的受拉钢筋截面面积的1/2。
当牛腿的剪跨比不小于0.3时,宜设置弯起钢筋。弯起钢筋宜采用HRB400级或HRB500级热轧带肋钢筋,并宜使其与集中荷载作用点到牛腿斜边下端点连线的交点位于牛腿上部l/6~l/2之间的范围内,l为该连线的长度(图9.3.10)。弯起钢筋截面面积不宜小于承受竖向力的受拉钢筋截面面积的1/2,且不宜少于2根直径12mm的钢筋。纵向受拉钢筋不得兼作弯起钢筋。
9.4 墙
9.4 墙
9.4.1 竖向构件截面长边、短边(厚度)比值大于4时,宜按墙的要求进行设计。
支撑预制楼(屋面)板的墙,其厚度不宜小于140mm;对剪力墙结构尚不宜小于层高的1/25,对框架-剪力墙结构尚不宜小于层高的1/20。
当采用预制板时,支承墙的厚度应满足墙内竖向钢筋贯通的要求。
9.4.2 厚度大于160mm的墙应配置双排分布钢筋网;结构中重要部位的剪力墙,当其厚度不大于160mm时,也宜配置双排分布钢筋网。
双排分布钢筋网应沿墙的两个侧面布置,且应采用拉筋连系;拉筋直径不宜小于6mm,间距不宜大于600mm。
9.4.3 在平行于墙面的水平荷载和竖向荷载作用下,墙体宜根据结构分析所得的内力和本规范第6.2节的有关规定,分别按偏心受压或偏心受拉进行正截面承载力计算,并按本规范第6.3节的有关规定进行斜截面受剪承载力计算。在集中荷载作用处,尚应按本规范第6.6节进行局部受压承载力计算。
在承载力计算中,剪力墙的翼缘计算宽度可取剪力墙的间距、门窗洞间翼墙的宽度、剪力墙厚度加两侧各6倍翼墙厚度、剪力墙墙肢总高度的1/10四者中的最小值。
9.4.4 墙水平及竖向分布钢筋直径不宜小于8mm,间距不宜大于300mm。可利用焊接钢筋网片进行墙内配筋。

墙中温度、收缩应力较大的部位,水平分布钢筋的配筋率宜适当提高。
9.4.5 对于房屋高度不大于10m且不超过3层的墙,其截面厚度不应小于120mm,其水平与竖向分布钢筋的配筋率均不 应 宜 小于0.15%。
条文说明
9.4.5本条为有关低层混凝土房屋结构墙的新增
内容,配合墙体改革的要求,钢筋混凝土结构墙应用于低层房屋(乡村、集镇的住宅及民用房屋)的情况有所增多。钢筋混凝土结构墙性能优于砖砌墙体,但按高层房屋剪力墙的构造规定设计过于保守,且最小配筋率难以控制。本条提出混凝土结构墙的基本构造要求。结构墙配筋适当减小,其余构造基本同剪力墙。多层混凝土房屋结构墙尚未进行系统研究,故暂缺,拟在今后通过试验研究及工程应用,在成熟时纳入。抗震构造要求在第11章中表达,以边缘构件的形式予以加强。
本次对GB 50010-2010(2015年版)规范的局部修订,将配筋率由“不宜小于”改为“不应小于”0.15%。
9.4.6 墙中配筋构造应符合下列要求:
1 墙竖向分布钢筋可在同一高度搭接,搭接长度不应小于1.2la。
2 墙水平分布钢筋的搭接长度不应小于1.2la。同排水平分布钢筋的搭接接头之间以及上、下相邻水平分布钢筋的搭接接头之间,沿水平方向的净间距不宜小于500mm。
3 墙中水平分布钢筋应伸至墙端,并向内水平弯折10d,d为钢筋直径。
4 端部有翼墙或转角的墙,内墙两侧和外墙内侧的水平分布钢筋应伸至翼墙或转角外边,并分别向两侧水平弯折15d。在转角墙处,外墙外侧的水平分布钢筋应在墙端外角处弯入翼墙,并与翼墙外侧的水平分布钢筋搭接。
5 带边框的墙,水平和竖向分布钢筋宜分别贯穿柱、梁或锚固在柱、梁内。
9.4.7 墙洞口连梁应沿全长配置箍筋,箍筋直径不应小于6mm,间距不宜大于150mm。在顶层洞口连梁纵向钢筋伸入墙内的锚固长度范围内,应设置间距不大于150mm的箍筋,箍筋直径宜与跨内箍筋直径相同。同时,门窗洞边的竖向钢筋应满足受拉钢筋锚固长度的要求。
墙洞口上、下两边的水平钢筋除应满足洞口连梁正截面受弯承载力的要求外,尚不应少于2根直径不小于12mm的钢筋。对于计算分析中可忽略的洞口,洞边钢筋截面面积分别不宜小于洞口截断的水平分布钢筋总截面面积的一半。纵向钢筋自洞口边伸入墙内的长度不应小于受拉钢筋的锚固长度。
9.4.8 剪力墙墙肢两端应配置竖向受力钢筋,并与墙内的竖向分布钢筋共同用于墙的正截面受弯承载力计算。每端的竖向受力钢筋不宜少于4根直径为12mm或2根直径为16mm的钢筋,并宜沿该竖向钢筋方向配置直径不小于6mm、间距为250mm的箍筋或拉筋。
9.5 叠合构件
9.5 叠合构件
(Ⅰ)水平叠合构件
9.5.1 二阶段成形的水平叠合受弯构件,当预制构件高度不足全截面高度的40%时,施工阶段应有可靠的支撑。
施工阶段有可靠支撑的叠合受弯构件,可按整体受弯构件设计计算,但其斜截面受剪承载力和叠合面受剪承载力应按本规范附录H计算。
施工阶段无支撑的叠合受弯构件,应对底部预制构件及浇筑混凝土后的叠合构件按本规范附录H的要求进行二阶段受力计算。
9.5.2 混凝土叠合梁、板应符合下列规定:
1 叠合梁的叠合层混凝土的厚度不宜小于100mm,混凝土强度等级不宜低于C30。预制梁的箍筋应全部伸入叠合层,且各肢伸入叠合层的直线段长度不宜小于10d,d为箍筋直径。预制梁的顶面应做成凹凸差不小于6mm的粗糙面。
2 叠合板的叠合层混凝土厚度不应小于 40 50 mm ,混凝土强度等级不宜低于C25 。预制板表面应做成凹凸差不小于4mm的粗糙面。 预应力混凝土叠合板以及 承受较大荷载的 钢筋混凝土 叠合板 以及预应力叠合板 ,宜在预制底板上设置伸入叠合层的构造钢筋。
条文说明
9.5.2对一阶段采用预制梁、板的叠合受弯构件,提出了叠合受力的构造要求。主要是后浇叠合层混凝土的厚度;混凝土强度等级;叠合面粗糙度;界面构造钢筋等。这些要求是保证界面两侧混凝土共同承载、协调受力的必要条件。当预制板为预应力板时,由于预应力造成的反拱、徐变的影响,宜设置界面构造钢筋加强其整体性。 本次对GB 50010-2010(2015年版)规范的局部修订,将
叠合层混凝土厚度由40mm改为50mm,适当提高可靠性;同
时,为了与本标准其他规定协调,删除了“混凝土强度等级不宜 低于C25”的规定。
9.5.3 在既有结构的楼板、屋盖上浇筑混凝土叠合层的受弯构件,应符合本规范第9.5.2条的规定,并按本规范第3.3节、第3.7节的有关规定进行施工阶段和使用阶段计算。
(Ⅱ)竖向叠合构件
9.5.4 由预制构件及后浇混凝土成形的叠合柱和墙,应按施工阶段及使用阶段的工况分别进行预制构件及整体结构的计算。
9.5.5 在既有结构柱的周边或墙的侧面浇筑混凝土而成形的竖向叠合构件,应考虑承载历史以及施工支顶的情况,并按本规范第3.3节、第3.7节规定的原则进行施工阶段和使用阶段的承载力计算。
9.5.6 依托既有结构的竖向叠合柱、墙在使用阶段的承载力计算中,应根据实测结果考虑既有构件部分几何参数变化的影响。
竖向叠合柱、墙既有构件部分混凝土、钢筋的强度设计值按本规范第3.7.3条确定;后浇混凝土部分混凝土、钢筋的强度应按本规范第4章的规定乘以强度利用的折减系数确定,且宜考虑施工时支顶的实际情况适当调整。
9.5.7 柱外二次浇筑混凝土层的厚度不应小于60mm,混凝土强度等级不应低于既有柱的强度。粗糙结合面的凹凸差不应小于6mm,并宜通过植筋、焊接等方法设置界面构造钢筋。后浇层中纵向受力钢筋直径不应小于14mm;箍筋直径不应小于8mm且不应小于柱内相应箍筋的直径,箍筋间距应与柱内相同。
墙外二次浇筑混凝土层的厚度不应小于50mm,混凝土强度等级不应低于既有墙的强度。粗糙结合面的凹凸差应不小于4mm,并宜通过植筋、焊接等方法设置界面构造钢筋。后浇层中竖向、水平钢筋直径不宜小于8mm且不应小于墙中相应钢筋的直径。
9.6 装配式结构
9.6 装配式结构
9.6.1 装配式、装配整体式混凝土结构中各类预制构件及连接构造应按下列原则进行设计:
1 应在结构方案和传力途径中确定预制构件的布置及连接方式,并在此基础上进行整体结构分析和构件及连接设计;
2 预制构件的设计应满足建筑使用功能,并符合标准化要求;
3 预制构件的连接宜设置在结构受力较小处,且宜便于施工;结构构件之间的连接构造应满足结构传递内力的要求;
4 各类预制构件及其连接构造应按从生产、施工到使用过程中可能产生的不利工况进行验算,对预制非承重构件尚应符合本规范第9.6.8条的规定。
9.6.2 预制混凝土构件在生产、施工过程中应按实际工况的荷载、计算简图、混凝土实体强度进行施工阶段验算。验算时应将构件自重乘以相应的动力系数:对脱模、翻转、吊装、运输时可取1.5,临时固定时可取1.2。
注:动力系数尚可根据具体情况适当增减。
9.6.3 装配式、装配整体式混凝土结构中各类预制构件的连接构造,应便于构件安装、装配整体式。对计算时不考虑传递内力的连接,也应有可靠的固定措施。
9.6.4 装配整体式结构中框架梁的纵向受力钢筋和柱、墙中的竖向受力钢筋宜采用机械连接、焊接等形式;板、墙等构件中的受力钢筋可采用搭接连接形式;混凝土接合面应进行粗糙处理或做成齿槽;拼接处应采用强度等级不低于预制构件的混凝土灌缝。
装配整体式结构的梁柱节点处,柱的纵向钢筋应贯穿节点;梁的纵向钢筋应满足本规范第9.3节的锚固要求。
当柱采用装配式榫式接头时,接头附近区段内截面的轴心受压承载力宜为该截面计算所需承载力的1.3~1.5倍。此时,可采取在接头及其附近区段的混凝土内加设横向钢筋网、提高后浇混凝土强度等级和设置附加纵向钢筋等措施。
9.6.5 采用预制板的装配整体式楼盖、屋盖应采取下列构造措施:
1 预制板侧应为双齿边;拼缝上口宽度不应小于30mm;空心板端孔中应有堵头,深度不宜少于60mm;拼缝中应浇灌强度等级不低于C30的细石混凝土;
2 预制板端宜伸出锚固钢筋互相连接,并宜与板的支承结构(圈梁、梁顶或墙顶)伸出的钢筋及板端拼缝中设置的通长钢筋连接。
9.6.6 整体性要求较高的装配整体式楼盖、屋盖,应采用预制构件加现浇叠合层的形式;或在预制板侧设置配筋混凝土后浇带,并在板端设置负弯矩钢筋、板的周边沿拼缝设置拉结钢筋与支座连接。
9.6.7 装配整体式结构中预制承重墙板沿周边设置的连接钢筋应与支承结构及相邻墙板互相连接,并浇筑混凝土与周边楼盖、墙体连成整体。
9.6.8 非承重预制构件的设计应符合下列要求:
1 与支承结构之间宜采用柔性连接方式;
2 在框架内镶嵌或采用焊接连接时,应考虑其对框架抗侧移刚度的影响;
3 外挂板与主体结构的连接构造应具有一定的变形适应性。
9.7 预埋件及连接件
9.7 预埋件及连接件
9.7.1 受力预埋件的锚板宜采用Q235、Q345级钢,锚板厚度应根据受力情况计算确定,且不宜小于锚筋直径的60%;受拉和受弯预埋件的锚板厚度尚宜大于b/8,b为锚筋的间距。
受力预埋件的锚筋应采用HRB400或HPB300钢筋,不应采用冷加工钢筋。
直锚筋与锚板应采用T形焊接。当锚筋直径不大于20mm时宜采用压力埋弧焊;当锚筋直径大于20mm时宜采用穿孔塞焊。当采用手工焊时,焊缝高度不宜小于6mm,且对300MPa级钢筋不宜小于0.5d,对其他钢筋不宜小于0.6d,d为锚筋的直径。
9.7.2 由锚板和对称配置的直锚筋所组成的受力预埋件(图9.7.2),其锚筋的总截面面积As应符合下列规定:
1 当有剪力、法向拉力和弯矩共同作用时,应按下列两个公式计算,并取其中的较大值:



9.7.3 由锚板和对称配置的弯折锚筋及直锚筋共同承受剪力的

9.7.4 预埋件锚筋中心至锚板边缘的距离不应小于2d和20mm。预埋件的位置应使锚筋位于构件的外层主筋的内侧。
预埋件的受力直锚筋直径不宜小于8mm,且不宜大于25mm。直锚筋数量不宜少于4根,且不宜多于4排;受剪预埋件的直锚筋可采用2根。
对受拉和受弯预埋件(图9.7.2),其锚筋的间距b、b1和锚筋至构件边缘的距离c、c1,均不应小于3d和45mm。
对受剪预埋件(图9.7.2),其锚筋的间距b及b1不应大于300mm,且b1不应小于6d和70mm;锚筋至构件边缘的距离c1不应小于6d和70mm,b、c均不应小于3d和45mm。
受拉直锚筋和弯折锚筋的锚固长度不应小于本规范第8.3.1条规定的受拉钢筋锚固长度;当锚筋采用HPB300级钢筋时末端还应有弯钩。当无法满足锚固长度的要求时,应采取其他有效的锚固措施。受剪和受压直锚筋的锚固长度不应小于15d,d为锚筋的直径。
9.7.5 预制构件宜采用内埋式螺母、内埋式吊杆或预留吊装孔,并采用配套的专用吊具实现吊装,也可采用吊环吊装。
内埋式螺母或内埋式吊杆的设计与构造,应满足起吊方便和吊装安全的要求。专用内埋式螺母或内埋式吊杆及配套的吊具,应根据相应的产品标准和应用技术规定选用。
9.7.6 吊环应采用HPB300钢筋或Q235B圆钢,并应符合下列规定:
1 吊环锚入混凝土中的深度不应小于30d并应焊接或绑扎在钢筋骨架上,d为吊环钢筋或圆钢的直径。
2 应验算在荷载标准值作用下的吊环应力,验算时每个吊环可按两个截面计算。对HPB300钢筋,吊环应力不应大于65N/mm2;对Q235B圆钢,吊环应力不应大于50N/mm2。
3 当在一个构件上设有4个吊环时,应按3个吊环进行计算。
9.7.7 混凝土预制构件吊装设施的位置应能保证构件在吊装、运输过程中平稳受力。设置预埋件、吊环、吊装孔及各种内埋式预留吊具时,应对构件在该处承受吊装荷载作用的效应进行承载力的验算,并应采取相应的构造措施,避免吊点处混凝土局部破坏。
10 预应力混凝土结构构件
10.1 一般规定
10 预应力混凝土结构构件
10.1 一般规定
10.1.1 预应力混凝土结构构件,除应根据设计状况进行承载力计算及正常使用极限状态验算外,尚应对施工阶段进行验算。 ( 自2022年4月1日起废止该条,详见新规 《混凝土结构通用规范》 GB 55008-2021)
条文说明
10.1.1 为确保预应力混凝土结构在施工阶段的安全,明确规定了在施工阶段应进行承载能力极限状态等验算,施工阶段包括制作、张拉、运输及安装等工序。
10.1.2 预应力混凝土结构设计应计入预应力作用效应;对超静定结构,相应的次弯矩、次剪力及次轴力等应参与组合计算。
对承载能力极限状态 和正常使用极限状态 , 当预应力作用效应对结构有利时, 预应力作用分项系数γp 的取值应符合现行强制性工程建设规范《工程结构通用规范》GB55001的要求。 应取1.0,不利时γp应取1.2;对正常使用极限状态,预应力作用分项系数γp应取1.0。
对参与组合的预应力作用效应项,当预应力作用效应对承载力有利时,结构重要性系数γ0应取1.0;当预应力作用效应对承载力不利时,结构重要性系数γ0应按本 规范 标准 第3.3.2条确定。
条文说明
10.1.2 根据现行国家标准《工程结构通用规范》GB55001、
《工程结构可靠性设计统一标准》GB 50153的有关规定,当进行预应力混凝土构件承载能力极限状态及正常使用极限状态的荷载组合时,应计算预应力作用效应并参与组合 , 。 对后张法预应力混凝土超静定结构,预应力效应为综合内力Mr、Vr及Nr,包括预应力产生的次弯矩、次剪力和次轴力。在承载能力极限状态下,预应力作用分项系数γp应按预应力作用的有利或不利分别取1.0或1.2 、1.3,具体取值应根据工程类型等时机情况按照现行国家标准《工程结构通用规范》GB55001的有关规定执行 。当不利时,如后张法预应力混凝土构件锚头局压区的张拉控制力,预应力作用分项系数γp应取1.2 、1.3 。在正常使用极限状态下,预应力作用分项系数γp通常取1.0。当按承载能力极限状态计算时,预应力筋超出有效预应力值达到强度设计值之间的应力增量仍为结构抗力部分;当按本 规范 标准 第6章的实用方法进行承载力计算时,仅次内力应参与荷载效应组合和设计计算。
对承载能力极限状态,当预应力作用效应列为公式左端项参与作用效应组合时,由于预应力筋的数量和设计参数已由裂缝控制等级的要求确定,且总体上是有利的,根据工程经验,对参与组合的预应力作用效应项,应取结构重要性系数γ0=1.0;对局部受压承载力计算、框架梁端预应力筋偏心弯矩在柱中产生的次弯矩等,其预应力作用效应为不利时,γ0应按本规范公式(3.3.2—1)执行。
本 规范 标准 为避免出现冗长的公式,在诸多计算公式中并没有具体列出相关次内力。因此,当应用本 规范 标准 公式进行正截面受弯、受压及受拉承载力计算,斜截面受剪及受扭截面承载力计算,以及裂缝控制验算时,均应计入相关次内力。
本次修订 2010版规范 增加了无粘结预应力混凝土结构承受静力荷载的设计规定,主要有裂缝控制,张拉控制应力限值,有关的预应力损失值计算,受弯构件正截面承载力计算时无粘结预应力筋的应力设计值、斜截面受剪承载力计算,受弯构件的裂缝控制验算及挠度验算,受弯构件和板柱结构中有粘结纵向钢筋的配置,以及施工张拉阶段截面边缘混凝土法向应力控制和预拉区构造配筋,防腐及防火措施。以上规定的条款列在本章及本 规范 标准 相关章节的条款中。
10.1.3 预应力筋的张拉控制应力σcon应符合下列规定:
1 消除应力钢丝、钢绞线
σcon≤0.75fptk (10.1.3—1)
2 中强度预应力钢丝
σcon≤0.70fptk (10.1.3—2)
3 预应力螺纹钢筋
σcon≤0.85fpyk (10.1.3—3)
式中:fptk——预应力筋极限强度标准值;
fpyk——预应力螺纹钢筋屈服强度标准值。
消除应力钢丝、钢绞线、中强度预应力钢丝的张拉控制应力值不应小于0.4fptk;预应力螺纹钢筋的张拉应力控制值不宜小于0.5fpyk。
当符合下列情况之一时,上述张拉控制应力限值可相应提高0.05fptk或0.05fpyk;
1)要求提高构件在施工阶段的抗裂性能而在使用阶段受压区内设置的预应力筋;
2)要求部分抵消由于应力松弛、摩擦、钢筋分批张拉以及预应力筋与张拉台座之间的温差等因素产生的预应力损失。
条文说明
10.1.3 本次修订增加了中强度预应力钢丝及预应力螺纹钢筋的张拉控制应力限值。
10.1.4 施加预应力时,所需的混凝土立方体抗压强度应经计算确定,但不宜低于设计的混凝土强度等级值的75%。
注:当张拉预应力筋是为防止混凝土早期出现的收缩裂缝时,可不受上述限制,但应符合局部受压承载力的规定。
10.1.5 后张法预应力混凝土超静定结构,由预应力引起的内力和变形可采用弹性理论分析,并宜符合下列规定:
1 按弹性分析计算时,次弯矩M2宜按下列公式计算:

条文说明
10.1.5 通常对预应力筋由于布置上的几何偏心引起的内弯矩Npepn以M1表示。由该弯矩对连续梁引起的支座反力称为次反力,由次反力对梁引起的弯矩称为次弯矩M2。在预应力混凝土超静定梁中,由预加力对任一截面引起的总弯矩Mr为内弯矩M1与次弯矩M2之和,即Mr=M1+M2。次剪力可根据结构构件各截面次弯矩分布按力学分析方法计算。此外,在后张法梁、板构件中,当预加力引起的结构变形受到柱、墙等侧向构件约束时,在梁、板中将产生与预加力反向的次轴力。为求次轴力也需要应用力学分析方法。 为确保预应力能够有效地施加到预应力结构构件中,应采用合理的结构布置方案,合理布置竖向支承构件,如将抗侧力构件布置在结构位移中心不动点附近;采用相对细长的柔性柱以减少约束力,必要时应在柱中配置附加钢筋承担约束作用产生的附加弯矩。在预应力框架梁施加预应力阶段,可将梁与柱之间的节点设计成在张拉过程中可产生滑动的无约束支座,张拉后再将该节点做成刚接。对后张楼板为减少约束力,可采用后浇带或施工缝将结构分段,使其与约束柱或墙暂时分开;对于不能分开且刚度较大的支承构件,可在板与墙、柱结合处开设结构洞以减少约束力,待张拉完毕后补强。对于平面形状不规则的板,宜划分为平面规则的单元,使各部分能独立变形,以减少约束;当大部分收缩变形完成后,如有需要仍可以连为整体。





条文说明
10.1.7 当按裂缝控制要求配置的预应力筋不能满足承载力要求时,承载力不足部分可由普通钢筋承担,采用混合配筋的设计方法。这种部分预应力混凝土既具有全预应力混凝土与钢筋混凝土二者的主要优点,又基本上排除了两者的主要缺点,现已成为加筋混凝土系列中的主要发展趋势。当然也带来了一些新的课题。当预应力混凝土构件配置钢筋时,由于混凝土收缩和徐变的影响,会在这些钢筋中产生内力。这些内力减少了受拉区混凝土的法向预压应力,使构件的抗裂性能降低,因而计算时应考虑这种影响。为简化计算,假定钢筋的应力取等于混凝土收缩和徐变引起的预应力损失值。但严格地说,这种简化计算当预应力筋和钢筋重心位置不重合时是有一定误差的。

条文说明
10.1.8 近年来,国内开展了后张法预应力混凝土连续梁内力重分布的试验研究,并探讨次弯矩存在对内力重分布的影响。这些试验研究及有关文献建议,对存在次弯矩的后张法预应力混凝土超静定结构,其弯矩重分布规律可描述为:(1一β)Md+αM2≤Mu,其中,α为次弯矩消失系数。直接弯矩的调幅系数定义为:β=1-Ma/Md,此处,Ma为调整后的弯矩值,Md为按弹性分析算得的荷载弯矩设计值;直接弯矩调幅系数β的变化幅度是:0≤β≤βmax,此处,βmax为最大调幅系数。次弯矩随结构构件刚度改变和塑性铰转动而逐步消失,它的变化幅度是:0≤α≤1.0;且当β=0时,取α=1.0;当β=βmax时,可取α接近为0。且β可取其正值或负值,当取β为正值时,表示支座处的直接弯矩向跨中调幅;当取β为负值时,表示跨中的直接弯矩向支座处调幅。上述试验结果从概念设计的角度说明,在超静定预应力混凝土结构中存在的次弯矩,随着预应力构件开裂、裂缝发展以及刚度减小,在极限荷载阶段会相应减小。当截面配筋率高时,次弯矩的变化较小,反之可能大部分次弯矩都会消失。本次修订考虑到上述情况,采用次弯矩参与重分布的方案,即内力重分布所考虑的最大弯矩除了荷载弯矩设计值外,还包括预应力次弯矩在内。并参考美国ACI规范、欧洲规范EN 1992-2等,规定对预应力混凝土框架梁及连续梁在重力荷载作用下,当受压区高度x≤0.30h0时,可允许有限量的弯矩重分配,同时可考虑次弯矩变化对截面内力的影响,但总调幅值不宜超过20%。


条文说明
10.1.9 对光面钢丝、螺旋肋钢丝、三股和七股钢绞线的预应力传递长度,均在原规范规定的预应力传递长度的基础上,根据试验研究结果作了调整,并通过给出的公式由其有效预应力值计算预应力传递长度。预应力筋传递长度的外形系数取决于与锚固性能有关的钢筋的外形。
10.1.10 计算先张法预应力混凝土构件端部锚固区的正截面和斜截面受弯承载力时,锚固长度范围内的预应力筋抗拉强度设计值在锚固起点处应取为零,在锚固终点处应取为fpy,两点之间可按线性内插法确定。预应力筋的锚固长度la应按本规范第8.3.1条确定。
当采用骤然放张预应力的施工工艺时,对光面预应力钢丝的锚固长度应从距构件末端ltr/4处开始计算。
10.1.11 对制作、运输及安装等施工阶段预拉区允许出现拉应力的构件,或预压时全截面受压的构件,在预加力、自重及施工荷载作用下(必要时应考虑动力系数)截面边缘的混凝土法向应力宜符合下列规定(图10.1.11):


条文说明
10.1.11、10.1.12 为确保预应力混凝土结构在施工阶段的安全,本规范第10.1.1条规定了在施工阶段应进行承载能力极限状态验算。在施工阶段对截面边缘混凝土法向应力的限值条件,是根据国内外相关规范校准并吸取国内的工程设计经验而得的。 其中,对混凝土法向应力的限值,均用与各施工阶段混凝土抗压强度f'cu相对应的抗拉强度及抗压强度标准值表示。 预拉区纵向钢筋的构造配筋率,取略低于本规范第8.5.1条的最小配筋率要求。



条文说明
10.1.13 先张法及后张法预应力混凝土构件的受剪承载力、受扭承载力及裂缝宽度计算,均需用到混凝土法向预应力为零时的预应力筋合力Np0。本条对此作了规定。

条文说明
10.1.14 影响无粘结预应力混凝土构件抗弯能力的因素较多,如无粘结预应力筋有效预应力的大小、无粘结预应力筋与普通钢筋的配筋率、受弯构件的跨高比、荷载种类、无粘结预应力筋与管壁之间的摩擦力、束的形状和材料性能等。因此,受弯破坏状态下无粘结预应力筋的极限应力必须通过试验来求得。国内所进行的无粘结预应力梁(板)试验,得出无粘结预应力筋于梁破坏瞬间的极限应力,主要与配筋率、有效预应力、钢筋设计强度、混凝土的立方体抗压强度、跨高比以及荷载形式有关,积累了宝贵的数据。 本次修订采用了现行行业标准《无粘结预应力混凝土结构技术规程》JGJ 92的相关表达式。该表达式以综合配筋指标ζ0为主要参数,考虑了跨高比变化影响。为反映在连续多跨梁板中应用的情况,增加了考虑连续跨影响的设计应力折减系数。在设计框架梁时,无粘结预应力筋外形布置宜与弯矩包络图相接近,以防在框架梁顶部反弯点附近出现裂缝。
10.1.15 无粘结预应力混凝土受弯构件的受拉区,纵向普通钢筋截面面积As的配置应符合下列规定:

式中:hs——纵向受拉普通钢筋合力点至截面受压边缘的距离。
纵向受拉普通钢筋直径不宜小于14mm,且宜均匀分布在梁的受拉边缘。
对按一级裂缝控制等级设计的梁,当无粘结预应力筋承担不小于75%的弯矩设计值时,纵向受拉普通钢筋面积应满足承载力计算和公式(10.1.15—3)的要求。
条文说明
10.1.15 在无粘结预应力受弯构件的预压受拉区,配置一定数量的普通钢筋,可以避免该类构件在极限状态下发生双折线形的脆性破坏现象,并改善开裂状态下构件的裂缝性能和延性性能。 1 单向板的普通钢筋最小面积 本规范对钢筋混凝土受弯构件,规定最小配筋率为0.2%和45ft/fy中的较大值。美国通过试验认为,在无粘结预应力受弯构件的受拉区至少应配置从受拉边缘至毛截面重心之间面积0.4%的普通钢筋。综合上述两方面的规定和研究成果,并结合以往的设计经验,作出了本规范对无粘结预应力混凝土板受拉区普通钢筋最小配筋率的限制。 2 梁正弯矩区普通钢筋的最小面积 无粘结预应力梁的试验表明,为了改善构件在正常使用下的变形性能,应采用预应力筋及有粘结普通钢筋混合配筋方案。在全部配筋中,有粘结纵向普通钢筋的拉力占到承载力设计值Mu产生总拉力的25%或更多时,可更有效地改善无粘结预应力梁的性能,如裂缝分布、间距和宽度,以及变形性能,从而达到接近有粘结预应力梁的性能。本规范公式(10.1.15—2)是根据此比值要求,并考虑预应力筋及普通钢筋重心离截面受压区边缘纤维的距离hp、hs影响得出的。 对按一级裂缝控制等级设计的无粘结预应力混凝土构件,根据试验研究结果,可仅配置比最小配筋率略大的非预应力普通钢筋,取ρmin等于0.003。
10.1.16 无粘结预应力混凝土板柱结构中的双向平板,其纵向普通钢筋截面面积As及其分布应符合下列规定:
1 在柱边的负弯矩区,每一方向上纵向普通钢筋的截面面积应符合下列规定:
As≥0.00075hl (10.1.16—1)
式中:l——平行于计算纵向受力钢筋方向上板的跨度;
h——板的厚度。
由上式确定的纵向普通钢筋,应分布在各离柱边1.5h的板宽范围内。每一方向至少应设置4根直径不小于16mm的钢筋。
纵向钢筋间距不应大于300mm,外伸出柱边长度至少为支座每一边净跨的1/6。在承载力计算中考虑纵向普通钢筋的作用时,其伸出柱边的长度应按计算确定,并应符合本规范第8.3节对锚固长度的规定。
2 在荷载标准组合下,当正弯矩区每一方向上抗裂验算边缘的混凝土法向拉应力满足下列规定时,正弯矩区可仅按构造配置纵向普通钢筋:

条文说明
10.1.16 对无粘结预应力混凝土板柱结构中的双向平板,所要求配置的普通钢筋分述如下: 负弯矩区普通钢筋的配置。美国进行过1:3的九区格后张无粘结预应力平板的模型试验。结果表明,只要在柱宽及两侧各离柱边1.5~2倍的板厚范围内,配置占柱上板带横截面面积0.15%的普通钢筋,就能很好地控制和分散裂缝,并使柱带区域内的弯曲和剪切强度都能充分发挥出来。此外,这些钢筋应集中通过柱子和靠近柱子布置。钢筋的中到中间距应不超过300mm,而且每一方向应不少于4根钢筋。对通常的跨度,这些钢筋的总长度应等于跨度的1/3。我国进行的1:2无粘结部分预应力平板的试验也证实在上述柱面积范围内配置的钢筋是适当的。本规范根据公式(10.1.16—1),矩形板在长跨方向将布置更多的钢筋。 正弯矩区普通钢筋的配置。在正弯矩区,双向板在使用荷载下按照抗裂验算边缘混凝土法向拉应力确定普通筋配置数量的规定,是参照美国ACI规范对双向板柱结构关于有粘结普通钢筋最小截面面积的规定,并结合国内多年来对该板按二级裂缝控制和配置有粘结普通钢筋的工程经验作出规定的。针对温度、收缩应力所需配置的普通钢筋应按本规范第9.1节的相关规定执行。 在楼盖的边缘和拐角处,通过设置钢筋混凝土边梁,并考虑柱头剪切作用,将该梁的箍筋加密配置,可提高边柱和角柱节点的受冲切承载力。

条文说明
10.1.17 本条规定了预应力混凝土构件的弯矩设计值不小于开裂弯矩,其目的是控制受拉钢筋总配筋量不能过少,使构件具有应有的延性,以防止预应力受弯构件开裂后的突然脆断。
10.2 预应力损失值计算
10.2 预应力损失值计算
10.2.1 预应力筋中的预应力损失值可按表10.2.1的规定计算。
当计算求得的预应力总损失值小于下列数值时,应按下列数值取用:
先张法构件100N/mm2;
后张法构件80N/mm2。

条文说明
10.2.1 预应力混凝土用钢丝、钢绞线的应力松弛试验表明,应力松弛损失值与钢丝的初始应力值和极限强度有关。表中给出的普通松弛和低松弛预应力钢丝、钢绞线的松弛损失值计算公式,是按国家标准《预应力混凝土用钢丝》GB/T 5223—2002及《预应力混凝土用钢绞线》GB/T 5224—2003中规定的数值综合成统一的公式,以便于应用。当σcon/fptk≤0.5时,实际的松弛损失值已很小,为简化计算取松弛损失值为零。预应力螺纹钢筋、中强度预应力钢丝的应力松弛损失值是分别根据国家标准《预应力混凝土用螺纹钢筋》GB/T 20065—2006、行业标准《中强度预应力混凝土用钢丝》YB/T 156—1999的相关规定提出的。

条文说明
10.2.2 根据锚固原理的不同,将锚具分为支承式和夹片式两类,对每类作出规定。对夹片式锚具的锚具变形和预应力筋内缩值按有顶压或无顶压分别作了规定。



条文说明
10.2.4 预应力筋与孔道壁之间的摩擦引起的预应力损失,包括沿孔道长度上局部位置偏移和曲线弯道摩擦影响两部分。在计算公式中,x值为从张拉端至计算截面的孔道长度;但在实际工程中,构件的高度和长度相比常很小,为简化计算,可近似取该段孔道在纵轴上的投影长度代替孔道长度;θ值应取从张拉端至计算截面的长度上预应力孔道各部分切线的夹角(以弧度计)之和。本次修订根据国内工程经验,增加了按抛物线、圆弧曲线变化的空间曲线及可分段叠加的广义空间曲线"弯转角的近似计算公式。 研究表明,孔道局部偏差的摩擦系数k值与下列因素有关:预应力筋的表面形状;孔道成型的质量;预应力筋接头的外形;预应力筋与孔壁的接触程度(孔道的尺寸,预应力筋与孔壁之间的间隙大小以及预应力筋在孔道中的偏心距大小)等。在曲线预应力筋摩擦损失中,预应力筋与曲线弯道之间摩擦引起的损失是控制因素。 根据国内的试验研究资料及多项工程的实测数据,并参考国外规范的规定,补充了预埋塑料波纹管、无粘结预应力筋的摩擦影响系数。当有可靠的试验数据时,本规范表10.2.4所列系数值可根据实测数据确定。


条文说明
10.2.5 根据国内对混凝土收缩、徐变的试验研究,应考虑预应力筋和普通钢筋的配筋率对气值的影响,其影响可通过构件的总配筋率ρ(ρ=ρp+ρs)反映。在公式(10.2.5—1)~公式(10.2.5—4)中,分别给出先张法和后张法两类构件受拉区及受压区预应力筋处的混凝土收缩和徐变引起的预应力损失。公式反映了上述各项因素的影响。此计算方法比仅按预应力筋合力点处的混凝土法向预应力计算预应力损失的方法更为合理。此外,考虑到现浇后张预应力混凝土施加预应力的时间比28d龄期有所提前等因素,对上述收缩和徐变计算公式中的有关项在数值上作了调整。调整的依据为:预加力时混凝土龄期,先张法取7d,后张法取14d;理论厚度均取200mm;相对湿度为40%~70%,预加力后至使用荷载作用前延续的时间取1年的收缩应变和徐变系数终极值,并与附录K计算结果进行校核得出。
在附录K中,本次修订的混凝土收缩应变和徐变系数终极值,是根据欧洲规范EN 1992—2:《混凝土结构设计——第1部分:总原则和对建筑结构的规定》所提供的公式计算得出。混凝土收缩应变和徐变系数终极值是按周围空气相对湿度为40%~70%及70%~99%分别给出的。混凝土收缩和徐变引起的预应力损失简化公式是按周围空气相对湿度为40%~70%得出的,将其用于相对湿度大于70%的情况是偏于安全的。对泵送混凝土,其收缩和徐变引起的预应力损失值亦可根据实际情况采用其他可靠数据。


10.3 预应力混凝土构造规定
10.3 预应力混凝土构造规定
10.3.1 先张法预应力筋之间的净间距不宜小于其公称直径的2.5倍和混凝土粗骨料最大粒径的1.25倍,且应符合下列规定:
预应力钢丝,不应小于15mm;三股钢绞线,不应小于20mm;七股钢绞线,不应小于25mm。当混凝土振捣密实性具有可靠保证时,净间距可放宽为最大粗骨料粒径的1.0倍。
条文说明
10.3.1 根据先张法预应力筋的锚固及预应力传递性能,提出了配筋净间距的要求,其数值是根据试验研究及工程经验确定的。根据多年来的工程经验,为确保预制构件的耐久性,适当增加了预应力筋净间距的限值。
10.3.2 先张法预应力混凝土构件端部宜采取下列构造措施:
1 单根配置的预应力筋,其端部宜设置螺旋筋;
2 分散布置的多根预应力筋,在构件端部10d且不小于100mm长度范围内,宜设置3~5片与预应力筋垂直的钢筋网片,此处d为预应力筋的公称直径;
3 采用预应力钢丝配筋的薄板,在板端100mm长度范围内宜适当加密横向钢筋;
4 槽形板类构件,应在构件端部100mm长度范围内沿构件板面设置附加横向钢筋,其数量不应少于2根。
条文说明
10.3.2 先张法预应力传递长度范围内局部挤压造成的环向拉应力容易导致构件端部混凝土出现劈裂裂缝。因此端部应采取构造措施,以保证自锚端的局部承载力。所提出的措施为长期工程经验和试验研究结果的总结。近年来随着生产工艺技术的提高,也有一些预制构件不配置端部加强钢筋的情况,故在特定条件下可根据可靠的工程经验适当放宽。
10.3.3 预制肋形板,宜设置加强其整体性和横向刚度的横肋。端横肋的受力钢筋应弯入纵肋内。当采用先张长线法生产有端横肋的预应力混凝土肋形板时,应在设计和制作上采取防止放张预应力时端横肋产生裂缝的有效措施。
条文说明
10.3.3~10.3.5 为防止预应力构件端部及预拉区的裂缝,根据多年工程实践经验及原规范的执行情况,这几条对各种预制构件(肋形板、屋面梁、吊车梁等)提出了配置防裂钢筋的措施。
10.3.4 在预应力混凝土屋面梁、吊车梁等构件靠近支座的斜向主拉应力较大部位,宜将一部分预应力筋弯起配置。
10.3.5 预应力筋在构件端部全部弯起的受弯构件或直线配筋的先张法构件,当构件端部与下部支承结构焊接时,应考虑混凝土收缩、徐变及温度变化所产生的不利影响,宜在构件端部可能产生裂缝的部位设置纵向构造钢筋。
10.3.6 后张法预应力筋所用锚具、夹具和连接器等的形式和质量应符合国家现行有关标准的规定。
条文说明
10.3.6 预应力锚具应根据现行国家标准《预应力筋用锚具、夹具和连接器》GB/T 14370、现行行业标准《预应力筋用锚具、夹具和连接器应用技术规程》JGJ 85的有关规定选用,并满足相应的质量要求。
10.3.7 后张法预应力筋及预留孔道布置应符合下列构造规定:
1 预制构件中预留孔道之间的水平净间距不宜小于50mm,且不宜小于粗骨料粒径的1.25倍;孔道至构件边缘的净间距不宜小于30mm,且不宜小于孔道直径的50%;
2 现浇混凝土梁中预留孔道在竖直方向的净间距不应小于孔道外径,水平方向的净间距不宜小于1.5倍孔道外径,且不应小于粗骨料粒径的1.25倍;从孔道外壁至构件边缘的净间距,梁底不宜小于50mm,梁侧不宜小于40mm,裂缝控制等级为三级的梁,梁底、梁侧分别不宜小于60mm和50mm。
3 预留孔道的内径宜比预应力束外径及需穿过孔道的连接器外径大6mm~15mm,且孔道的截面积宜为穿入预应力束截面积的3.0~4.0倍。
4 当有可靠经验并能保证混凝土浇筑质量时,预留孔道可水平并列贴紧布置,但并排的数量不应超过2束。
5 在现浇楼板中采用扁形锚固体系时,穿过每个预留孔道的预应力筋数量宜为3~5根;在常用荷载情况下,孔道在水平方向的净间距不应超过8倍板厚及1.5m中的较大值。
6 板中单根无粘结预应力筋的间距不宜大于板厚的6倍,且不宜大于1m;带状束的无粘结预应力筋根数不宜多于5根,带状束间距不宜大于板厚的12倍,且不宜大于2.4m。
7 梁中集束布置的无粘结预应力筋,集束的水平净间距不宜小于50mm,束至构件边缘的净距不宜小于40mm。
条文说明
10.3.7 规定了后张预应力筋配置及孔道布置的要求。由于对预制构件预应力筋孔道间距的控制比现浇结构构件更容易,且混凝土浇筑质量更容易保证,故对预制构件预应力筋孔道间距的规定比现浇结构构件的小。要求孔道的竖向净间距不应小于孔道直径,主要考虑曲线孔道张拉预应力筋时出现的局部挤压应力不致造成孔道间混凝土的剪切破坏。而对三级裂缝控制等级的梁提出更厚的保护层厚度要求,主要是考虑其裂缝状态下的耐久性。预留孔道的截面积宜为穿入预应力筋截面积的3.0~4.0倍,是根据工程经验提出的。有关预应力孔道的并列贴紧布置,是为方便截面较小的梁类构件的预应力筋配置。
板中单根无粘结预应力筋、带状束及梁中集束无粘结预应力筋的布置要求,是根据国内推广应用无粘结预应力混凝土的工程经验作出规定的。
10.3.8 后张法预应力混凝土构件的端部锚固区,应按下列规定配置间接钢筋:
1 采用普通垫板时,应按本规范第6.6节的规定进行局部受压承载力计算,并配置间接钢筋,其体积配筋率不应小于0.5%,垫板的刚性扩散角应取45°;
2 局部受压承载力计算时,局部压力设计值对有粘结预应力混凝土构件取1.2倍张拉控制力,对无粘结预应力混凝土取1.2倍张拉控制力和(fptkAp)中的较大值;
3 当采用整体铸造垫板时,其局部受压区的设计应符合相关标准的规定;
4 在局部受压间接钢筋配置区以外,在构件端部长度l不小于截面重心线上部或下部预应力筋的合力点至邻近边缘的距离e的3倍、但不大于构件端部截面高度h的1.2倍,高度为2e的附加配筋区范围内,应均匀配置附加防劈裂箍筋或网片(图10.3.8),配筋面积可按下列公式计算:


当端部截面上部和下部均有预应力筋时,附加竖向钢筋的总截面面积应按上部和下部的预应力合力分别计算的较大值采用。
在构件端面横向也应按上述方法计算抗端面裂缝钢筋,并与上述竖向钢筋形成网片筋配置。
条文说明
10.3.8 后张预应力混凝土构件端部锚固区和构件端面在预应力筋张拉后常出现两类裂缝:其一是局部承压区承压垫板后面的纵向劈裂裂缝;其二是当预应力束在构件端部偏心布置,且偏心距较大时,在构件端面附近会产生较高的沿竖向的拉应力,故产生位于截面高度中部的纵向水平端面裂缝。为确保安全可靠地将张拉力通过锚具和垫板传递给混凝土构件,并控制这些裂缝的发生和开展,在试验研究的基础上,在条文中作出了加强配筋的具体规定。为防止第一类劈裂裂缝,规范给出了配置附加钢筋的位置和配筋面积计算公式;为防止第二类端面裂缝,要求合理布置预应力筋,尽量使锚具能沿构件端部均匀布置,以减少横向拉力。当难于做到均匀布置时,为防止端面出现宽度过大的裂缝,根据理论分析和试验结果,本条提出了限制这类裂缝的竖向附加钢筋截面面积的计算公式以及相应的构造措施。本次修订允许采用强度较高的热轧带肋钢筋。
对局部承压加强钢筋,提出当垫板采用普通钢板开穿筋孔的制作方式时,可按本规范第6.6节的规定执行,采用有关局部受压承载力计算公式确定应配置的间接钢筋;而当采用整体铸造的带有二次翼缘的垫板时,本规范局部受压公式不再适用,需通过专门的试验确认其传力性能,所以应选用经按有关规范标准验证的产品,并配置规定的加强钢筋,同时满足锚具布置对间距和边距要求。所述要求可按现行行业标准《预应力筋用锚具、夹具和连接器应用技术规程》JGJ 85的有关规定执行。
本条规定主要是针对后张法预制构件及现浇结构中的悬臂梁等构件的端部锚固区及梁中间开槽锚固的情况提出的。
10.3.9 当构件在端部有局部凹进时,应增设折线构造钢筋(图10.3.9)或其他有效的构造钢筋。

条文说明
10.3.9 为保证端面有局部凹进的后张预应力混凝土构件端部锚固区的强度和裂缝控制性能,根据试验和工程经验,规定了增设折线构造钢筋的防裂措施。
10.3.10 后张法预应力混凝土构件中,当采用曲线预应力束时,其曲率半径rp宜按下列公式确定,但不宜小于4m。



当有平行的几个孔道,且中心距不大于2dp时,预应力筋的合力设计值应按相邻全部孔道内的预应力筋确定。
条文说明
10.3.10、10.3.11 曲线预应力束最小曲率半径rp的计算公式是按本规范附录D有关素混凝土构件局部受压承载力公式推导得出,并与国外规范公式对比后确定的。10ф5以下常用曲线预应力钢丝束、钢绞线束的曲率半径不宜小于4m是根据工程经验给出的。当后张预应力束曲线段的曲率半径过小时,在局部挤压力作用下可能导致混凝土局部破坏,故应配置局部加强钢筋,加强钢筋可采用网片筋或螺旋筋,其数量可按本规范有关配置间接钢筋局部受压承载力的计算规定确定。
在预应力混凝土结构构件中,当预应力筋近凹侧混凝土保护层较薄,且曲率半径较小时,容易导致混凝土崩裂。相关计算公式按预应力筋所产生的径向崩裂力不超过混凝土保护层的受剪承载力推导得出。当混凝土保护层厚度不满足计算要求时,第10.3.11条提供了配置U形插筋用量的计算方法及构造措施,用以抵抗崩裂径向力。在计算应配置U形插筋截面面积的公式中,未计入混凝土的抗力贡献。
这两条是在工程经验的基础上,参考日本预应力混凝土设计施工规范及美国AASHTO规范作出规定的。
10.3.12 构件端部尺寸应考虑锚具的布置、张拉设备的尺寸和局部受压的要求,必要时应适当加大。
10.3.13 后张预应力混凝土外露金属锚具,应采取可靠的防腐及防火措施,并应符合下列规定:
1 无粘结预应力筋外露锚具应采用注有足量防腐油脂的塑料帽封闭锚具端头,并应采用无收缩砂浆或细石混凝土封闭;
2 对处于二b、三a、三b类环境条件下的无粘结预应力锚固系统,应采用全封闭的防腐蚀体系,其封锚端及各连接部位应能承受10kPa的静水压力而不得透水;
3 采用混凝土封闭时,其强度等级宜与构件混凝土强度等级一致,且不应低于C30。封锚混凝土与构件混凝土应可靠粘结,如锚具在封闭前应将周围混凝土界面凿毛并冲洗干净,且宜配置1~2片钢筋网,钢筋网应与构件混凝土拉结;
4 采用无收缩砂浆或混凝土封闭保护时,其锚具及预应力筋端部的保护层厚度不应小于:一类环境时20mm,二a、二b类环境时50mm,三a、三b类环境时80mm。
条文说明
10.3.13 为保证预应力混凝土结构的耐久性,提出了对构件端部锚具的封闭保护要求。
国内外应用经验表明,对处于二b、三a、三b类环境条件下的无粘结预应力锚固系统,应采用全封闭体系。参考美国ACI和PTI的有关规定,对全封闭体系应进行不透水试验,要求安装后的张拉端、固定端及中间连接部位在不小于10kPa静水压力下,保持24h不透水,具体漏水位置可用在水中加颜色等方法检查。当用于游泳池、水箱等结构时,可根据设计提出更高静水压力的要求。
11 混凝土结构构件抗震设计
11.1 一般规定
11 混凝土结构构件抗震设计
11.1 一般规定
11.1.1 抗震设防的混凝土结构,除应符合本规范第1章~第10章的要求外,尚应根据现行国家标准《建筑抗震设计规范》GB 50011规定的抗震设计原则,按本章的规定进行结构构件的抗震设计。
条文说明
11.1.1、11.1.2 《建筑工程抗震设防分类标准》GB 50223根据对各类建筑抗震性能的不同要求,将建筑分为特殊设防类、重点设防类、标准设防类和适度设防类四类,简称甲、乙、丙、丁类,并规定了各类别建筑的抗震设防标准,包括抗震措施和地震作用的确定原则。《建筑抗震设计规范》GB 50011则规定,6度时的不规则建筑结构、Ⅳ类场地上较高的高层建筑和7度及以上时的各类建筑结构,均应进行多遇地震作用下的截面抗震验算,并符合有关抗震措施要求;6度时的其他建筑结构则只应符合有关抗震措施要求。 在对抗震钢筋混凝土结构进行设计时,除应符合《建筑工程抗震设防分类标准》GB 50223和《建筑抗震设计规范》GB 50011所规定的设计原则外,其构件设计应符合本章以及本规范第1章~第10章的有关规定。本章主要对应进行抗震设计的钢筋混凝土结构主要构件类别的抗震承载力计算和抗震措施作出规定。其中包括对材料抗震性能的要求,以及框架梁、框架柱、剪力墙及连梁、梁柱节点、板柱节点、单层工业厂房中的铰接排架柱以及预应力混凝土结构构件的抗震承载力验算和相应的抗震构造要求。有关混凝土结构房屋抗震体系、房屋适用的最大高度、地震作用计算、结构稳定验算、侧向变形验算等内容,应遵守《建筑抗震设计规范》GB 50011的有关规定。 本次修订不再列入钢筋混凝土房屋建筑适用最大高度的规定。该规定由《建筑抗震设计规范》GB 50011给出。
11.1.2 抗震设防的混凝土建筑,应按现行国家标准《建筑工程抗震设防分类标准》GB 50223确定其抗震设防类别和相应的抗震设防标准。
注:本章甲类、乙类、丙类建筑分别为现行国家标准《建筑工程抗震设防分类标准》GB 50223中特殊设防类、重点设防类、标准设防类建筑的简称。
11.1.3 房屋建筑混凝土结构构件的抗震设计,应根据设防类别、烈度、结构类型和房屋高度采用不同的抗震等级,并应符合相应的计算和构造措施要求。丙类建筑的抗震等级应按表11.1.3确定。 ( 自2022年4月1日起废止该条,详见新规 《混凝土结构通用规范》 GB 55008-2021)


注:1 建筑场地为I类时,除6度设防烈度外应允许按表内降低一度所对应的抗震等级采取抗震构造措施,但相应的计算要求不应降低;
2 接近或等于高度分界时,应允许结合房屋不规则程度及场地、地基条件确定抗震等级;
3 大跨度框架指跨度不小于18m的框架;
4 表中框架结构不包括异形柱框架;
5 房屋高度不大于60m的框架-核心筒结构按框架-剪力墙结构的要求设计时,应按表中框架-剪力墙结构确定抗震等级。
条文说明
11.1.3 抗震措施是在按多遇地震作用进行构件截面承载力设计的基础上保证抗震结构在所在地可能出现的最强地震地面运动下具有足够的整体延性和塑性耗能能力,保持对重力荷载的承载能力,维持结构不发生严重损毁或倒塌的基本措施。其中主要包括两类措施。一类是宏观限制或控制条件和对重要构件在考虑多遇地震作用的组合内力设计值时进行调整增大;另一类则是保证各类构件基本延性和塑性耗能能力的各类抗震构造措施(其中也包括对柱和墙肢的轴压比上限控制条件)。由于对不同抗震条件下各类结构构件的抗震措施要求不同,故用“抗震等级”对其进行分级。抗震等级按抗震措施从强到弱分为一、二、三、四级。本章有关条文中的抗震措施规定将全部按抗震等级给出。根据我国抗震设计经验,应按设防类别、建筑物所在地的设防烈度、结构类型、房屋高度以及场地类别的不同分别选取不同的抗震等级。在表11.1.3中给出了丙类建筑按设防烈度、结构类型和房屋高度制定的结构中不同部分应取用的抗震等级。甲、乙类和丁类建筑的抗震等级应按《建筑工程抗震设防分类标准》GB 50223的规定在表11.1.3的基础上进行调整。 与02规范相比,表11.1.3作了下列主要调整: 1 考虑到框架结构的侧向刚度及抗水平力能力与其他结构类型相比相对偏弱,根据2008年汶川地震震害经验以及优化设计方案的考虑,将框架结构在9度区的最大高度限值以及其他烈度区不同抗震等级的划分高度由30m降为24m。 2 考虑到近年来因禁用黏土砖而使层数不多的框架-剪力墙结构、剪力墙结构的建造数量增加,为了更合理地考虑房屋高度对抗震等级的影响,将框架-剪力墙结构、剪力墙结构和部分框支剪力墙结构的高度分档从两档增加为三档,对高度最低一档(小于24m)适度降低了抗震等级要求。 3 因异形柱框架的抗震性能与一般框架有明显差异,故在表注中明确指出框架的抗震等级规定不适用于异形柱框架;异形柱框架应按有关行业标准进行设计。 4 根据近年来的工程经验,调整了对板柱-剪力墙结构抗震等级的有关规定。 5 根据近年来的工程实践经验,明确了当框架-核心筒结构的高度低于60m并符合框架-剪力墙结构的有关要求时,其抗震等级允许按框架-剪力墙结构取用。 表11.1.3的另一重含义是,表中列出的结构类型也是根据我国抗震设计经验,在《建筑抗震设计规范》GB 50011规定的最大高度限制条件下,适用于抗震的钢筋混凝土结构类型。
11.1.4 确定钢筋混凝土房屋结构构件的抗震等级时,尚应符合下列要求:
1 对框架-剪力墙结构,在规定的水平地震力作用下,框架底部所承担的倾覆力矩大于结构底部总倾覆力矩的50%时,其框架的抗震等级应按框架结构确定。
2 与主楼相连的裙房,除应按裙房本身确定抗震等级外,相关范围不应低于主楼的抗震等级;主楼结构在裙房顶板对应的相邻上下各一层应适当加强抗震构造措施。裙房与主楼分离时,应按裙房本身确定抗震等级。
3 当地下室顶板作为上部结构的嵌固部位时,地下一层的抗震等级应与上部结构相同,地下一层以下确定抗震构造措施的抗震等级可逐层降低一级,但不应低于四级。地下室中无上部结构的部分,其抗震构造措施的抗震等级可根据具体情况采用三级或四级。
4 甲、乙类建筑按规定提高一度确定其抗震等级时,如其高度超过对应的房屋最大适用高度,则应采取比相应抗震等级更有效的抗震构造措施。
条文说明
11.1.4 本条给出了在选用抗震等级时,除表11.1.3外应满足的要求。其中第1款中的“结构底部的总倾覆力矩”一般是指在多遇地震作用下通过振型组合求得楼层地震剪力并换算出各楼层水平力后,用该水平力求得的底部总倾覆力矩。第2款中裙房与主楼相连时的“相关范围”,一般是指主楼周边外扩不少于三跨的裙房范围。该范围内结构的抗震等级不应低于按主楼结构确定的抗震等级,该范围以外裙房结构的抗震等级可按裙房自身结构确定。当主楼与裙房由防震缝分开时,主楼和裙房分别按自身结构确定其抗震等级。
11.1.5 剪力墙底部加强部位的范围,应符合下列规定:
1 底部加强部位的高度应从地下室顶板算起。
2 部分框支剪力墙结构的剪力墙,底部加强部位的高度可取框支层加框支层以上两层的高度和落地剪力墙总高度的1/10二者的较大值。其他结构的剪力墙,房屋高度大于24m时,底部加强部位的高度可取底部两层和墙肢总高度的1/10二者的较大值;房屋高度不大于24m时,底部加强部位可取底部一层。
3 当结构计算嵌固端位于地下一层的底板或以下时,按本条第1、2款确定的底部加强部位的范围尚宜向下延伸到计算嵌固端。
条文说明
11.1.5 按本规范设置了约束边缘构件,并采取了相应构造措施的剪力墙和核心筒壁的墙肢底部,通常已具有较大的偏心受压强度储备,在罕遇水准地震地面运动下,该部位边缘构件纵筋进入屈服后变形状态的几率通常不会很大。但因墙肢底部对整体结构在罕遇地震地面运动下的抗倒塌安全性起关键作用,故设计中仍应预计到墙肢底部形成塑性铰的可能性,并对预计的塑性铰区采取保持延性和塑性耗能能力的抗震构造措施。所规定的采取抗震构造措施的范围即为“底部加强部位”,它相当于塑性铰区的高度再加一定的安全裕量。该底部加强部位高度是根据试验结果及工程经验确定的。其中,为了简化设计,只考虑了高度条件。本次修订根据经验将02版规范规定的确定底部加强部位高度的条件之一,即不小于总高度的1/8改为1/10;并明确,当墙肢嵌固端设置在地下室顶板以下时,底部加强部位的高度仍从地下室顶板算起,但相应抗震构造措施应向下延伸到设定的嵌固端处。
11.1.6 考虑地震组合验算混凝土结构构件的承载力时,均应按承载力抗震调整系数γRE进行调整,承载力抗震调整系数γRE应按表11.1.6采用。
正截面抗震承载力应按本规范第6.2节的规定计算,但应在相关计算公式右端项除以相应的承载力抗震调整系数γRE。
当仅计算竖向地震作用时,各类结构构件的承载力抗震调整系数γRE均应取为1.0。

条文说明
11.1.6 表11.1.6中各类构件的承载力抗震调整系数γRE是根据现行国家标准《建筑抗震设计规范》GB 50011的规定给出的。该系数是在该规范采用的多遇地震作用取值和地震作用分项系数取值的前提下,为了使多遇地震作用组合下的各类构件承载力具有适宜的安全性水准而采取的对抗力项的必要调整措施。此次修订,根据需要,补充了受冲切承载力计算的承载力抗震调整系数γRE。 本次修订把02版规范分别写在框架梁、框架柱及框支柱以及剪力墙各节中的抗震正截面承载力计算规定统一汇集在本条内集中表示,即所有这些构件的正截面设计均可按非抗震情况下正截面设计的同样方法完成,只需在承载力计算公式右边除以相应的承载力抗震调整系数γRE。这样做的理由是,大量各类构件的试验研究结果表明,构件多次反复受力条件下滞回曲线的骨架线与一次单调加载的受力曲线具有足够程度的一致性。故对这些构件的抗震正截面计算方法不需要像对抗震斜截面受剪承载力计算方法那样在静力设计方法的基础上进行调整。

3 纵向受力钢筋的连接可采用绑扎搭接、机械连接或焊接。
4 纵向受力钢筋连接的位置宜避开梁端、柱端箍筋加密区;如必须在此连接时,应采用机械连接或焊接。
5 混凝土构件位于同一连接区段内的纵向受力钢筋接头面积百分率不宜超过50%。
条文说明
11.1.7 在地震作用下,钢筋在混凝土中的锚固端可能处于拉、压反复受力状态或拉力大小交替变化状态。其粘结锚固性能较静力粘结锚固性能偏弱(锚固强度退化,锚固段的滑移量偏大)。为保证在反复荷载作用下钢筋与其周围混凝土之间具有必要的粘结锚固性能,根据试验结果并参考国外规范的规定,在静力要求的纵向受拉钢筋锚固长度la的基础上,对一、二、三级抗震等级的构件,规定应乘以不同的锚固长度增大系数。 对允许采用搭接接头的钢筋,其考虑抗震要求的搭接长度应根据搭接接头百分率取纵向受拉钢筋的抗震锚固长度laE,乘以纵向受拉钢筋搭接长度修正系数ζ。 梁端、柱端是潜在塑性铰容易出现的部位,必须预计到塑性铰区内的受拉和受压钢筋都将屈服,并可能进入强化阶段。为了避免该部位的各类钢筋接头干扰或削弱钢筋在该部位所应具有的较大的屈服后伸长率,规范要求钢筋连接接头宜尽量避开梁端、柱端箍筋加密区。当工程中无法避开时,应采用经试验确定的与母材等强度并具有足够伸长率的高质量机械连接接头或焊接接头,且接头面积百分率不宜超过50%。
11.1.8 箍筋宜采用焊接封闭箍筋、连续螺旋箍筋或连续复合螺旋箍筋。当采用非焊接封闭箍筋时,其末端应做成135°弯钩,弯钩端头平直段长度不应小于箍筋直径的10倍;在纵向钢筋搭接长度范围内的箍筋间距不应大于搭接钢筋较小直径的5倍,且不宜大于100mm。
条文说明
11.1.8 箍筋对抗震设计的混凝土构件具有重要的约束作用,采用封闭箍筋、连续螺旋箍筋和连续复合矩形螺旋箍筋可以有效提高对构件混凝土和纵向钢筋的约束效果,改善构件的抗震延性。对于绑扎箍筋,试验研究和震害经验表明,对箍筋末端的构造要求是保证地震作用下箍筋对混凝土和纵向钢筋起到有效约束作用的必要条件。本次修订强调采用焊接封闭箍筋,主要是倡导和适应工厂化加工配送钢筋的需求。
11.1.9 考虑地震作用的预埋件,应满足下列规定:
1 直锚钢筋截面面积可按本规范第9章的有关规定计算并增大25%,且应适当增大锚板厚度。
2 锚筋的锚固长度应符合本规范第9.7节的有关规定并增加10%;当不能满足时,应采取有效措施。在靠近锚板处,宜设置一根直径不小于10mm的封闭箍筋。
3 预埋件不宜设置在塑性铰区;当不能避免时应采取有效措施。
条文说明
11.1.9 预埋件反复荷载作用试验表明,弯剪、拉剪、压剪情况下锚筋的受剪承载力降低的平均值在20%左右。对预埋件,规定取γRE等于1.0,故将考虑地震作用组合的预埋件的锚筋截面积偏保守地取为静力计算值的1.25倍,锚筋的锚固长度偏保守地取为静力值的1.10倍。构造上要求在靠近锚板的锚筋根部设置一根直径不小于10mm的封闭箍筋,以起到约束端部混凝土、保证受剪承载力的作用。
11.2 材料
11.2 材料
11.2.1 混凝土结构的混凝土强度等级应符合下列规定:
1 剪力墙不宜超过C60;其他构件,9度时不宜超过C60,8度时不宜超过C70。
2 框支梁、框支柱以及 一级 抗震等级 不低于二级 的 钢筋 框架梁、柱 混凝土结构构件 及节点,不应低于C30; 其他各类结构构件,不应低于C20。
条文说明
11.2.1 本条根据抗震性能要求给出了混凝土最高和最低强度等级的限制。由于混凝土强度对保证构件塑性铰区发挥延性能力具有较重要作用,故对重要性较高的框支梁、框支柱、延性要求相对较高的一级抗震等级的框架梁和框架柱以及受力复杂的梁柱节点的混凝土最低强度等级提出了比非抗震情况更高的要求。 近年来国内高强度混凝土的试验研究和工程应用已有很大进展,但因高强度混凝土表现出的明显脆性,以及因侧向变形系数偏小而使箍筋对它的约束效果受到一定削弱,故对地震高烈度区高强度混凝土的应用作了必要的限制。 为了进一步提高结构的抗震性能和耐久性能,本次局部修订将不低于二级抗震等级的混凝土结构构件的混凝土最低强度等级要求提高到C30;同时,为了保持本标准条文的协调性,删除了
本条第2款中“其他各类结构构件,不应低于C20”的规定。
11.2.2 梁、柱、支撑以及剪力墙边缘构件中,其受力钢筋宜采用热轧带肋钢筋;当采用现行国家标准《钢筋混凝土用钢第2部分:热轧带肋钢筋》GB 1499.2中牌号带“E”的热轧带肋钢筋时,其强度和弹性模量应按本规范第4.2节有关热轧带肋钢筋的规定采用。
条文说明
11.2.2 结构构件中纵向受力钢筋的变形性能直接影响结构构件在地震力作用下的延性。考虑地震作用的框架梁、框架柱、剪力墙等结构构件的纵向受力钢筋宜选用HRB400级、HRB500级热轧带肋钢筋;箍筋宜选用HRB400、HRB335、HRB500、HPB300级热轧钢筋。当有较高要求时,尚可采用现行国家标准《钢筋混凝土用钢 第2部分:热轧带肋钢筋》GB 1499.2中牌号为HRB400E、 HRB500E、HRB335E、 HRBF400E、 HRBF500E、HRBF335E的钢筋。这些带“E”的钢筋牌号的强屈比、屈强比和极限应变(延伸率)均符合本规范第11.2.3条的要求;其抗拉强度、屈服强度、强度设计值以及弹性模量的取值与不带“E”的同牌号热轧带肋钢筋相同,应符合本规范第4.2节的有关规定。
11.2.3 按一、二、三级抗震等级设计的框架和斜撑构件,其纵向受力普通钢筋应符合下列要求:
1 钢筋的抗拉强度实测值与屈服强度实测值的比值不应小于1.25;
2 钢筋的屈服强度实测值与屈服强度标准值的比值不应大于1.30;
3 钢筋最大拉力下的总伸长率实测值不应小于9%。 ( 自2022年4月1日起废止该条,详见新规 《混凝土结构通用规范》 GB 55008-2021)
条文说明
11.2.3 对按一、二、三级抗震等级设计的各类框架构件(包括斜撑构件),要求纵向受力钢筋检验所得的抗拉强度实测值(即实测最大强度值)与受拉屈服强度的比值(强屈比)不小于1.25,目的是使结构某部位出现较大塑性变形或塑性铰后,钢筋在大变形条件下具有必要的强度潜力,保证构件的基本抗震承载力;要求钢筋受拉屈服强度实测值与钢筋的受拉强度标准值的比值(屈强比)不应大于1.3,主要是为了保证“强柱弱梁”、“强剪弱弯”设计要求的效果不致因钢筋屈服强度离散性过大而受到干扰;钢筋最大力下的总伸长率不应小于9%,主要为了保证在抗震大变形条件下,钢筋具有足够的塑性变形能力。 现行国家标准《钢筋混凝土用钢 第2部分:热轧带肋钢筋》GB 1499.2中牌号带“E”的钢筋符合本条要求。其余钢筋牌号是否符合本条要求应经试验确定。
11.3 框架梁
11.3 框架梁
11.3.1 梁正截面受弯承载力计算中,计入纵向受压钢筋的梁端混凝土受压区高度应符合下列要求:
一级抗震等级 x≤0.25h0 (11.3.1-1)
二、三级抗震等级 x≤0.35h0 (11.3.1-2)
式中:x——混凝土受压区高度;
h0——截面有效高度。 ( 自2022年4月1日起废止该条,详见新规 《混凝土结构通用规范》 GB 55008-2021)
条文说明
11.3.1 由于梁端区域能通过采取相对简单的抗震构造措施而具有相对较高的延性,故常通过“强柱弱梁”措施引导框架中的塑性铰首先在梁端形成。设计框架梁时,控制梁端截面混凝土受压区高度(主要是控制负弯矩下截面下部的混凝土受压区高度)的目的是控制梁端塑性铰区具有较大的塑性转动能力,以保证框架梁端截面具有足够的曲率延性。根据国内的试验结果和参考国外经验,当相对受压区高度控制在0.25~0.35时,梁的位移延性可达到4.0~3.0左右。在确定混凝土受压区高度时,可把截面内的受压钢筋计算在内。
11.3.2 考虑地震组合的框架梁端剪力设计值Vb应按下列规定计算:


条文说明
11.3.2 在框架结构抗震设计中,特别是一级抗震等级框架的设计中,应力求做到在罕遇地震作用下的框架中形成延性和塑性耗能能力良好的接近“梁铰型”的塑性耗能机构(即塑性铰主要在梁端形成,柱端塑性铰出现数量相对较少)。这就需要在设法保证形成接近梁铰型塑性机构的同时,防止梁端塑性铰区在梁端达到罕遇地震下预计的塑性变形状态之前发生脆性的剪切破坏。在本规范中,这一要求是从两个方面来保证的。一方面对梁端抗震受剪承载力提出合理的计算公式,另一方面在梁端进入屈服后状态的条件下适度提高梁端经结构弹性分析得出的截面组合剪力设计值(后一个方面即为通常所说的“强剪弱弯”措施或“组合剪力设计值增强措施”)。本条给出了各类抗震等级框架组合剪力设计值增强措施的具体规定。 对9度设防烈度的一级抗震等级框架和一级抗震等级的框架结构,规定应考虑左、右梁端纵向受拉钢筋可能超配等因素所形成的屈服抗弯能力偏大的不利情况,取用按实配钢筋、强度标准值,且考虑承载力抗震调整系数算得的受弯承载力值,即Mbua作为确定增大后的剪力设计值的依据。Mbua可按下列公式计算: 
与02版规范相比,本次修订规定在计算Mbua的中考虑受压钢筋及有效板宽范围内的板筋。这里的板筋指有效板宽范围内平行框架梁方向的板内实配钢筋。对于这里使用的有效板宽,美国ACI 318-08规范规定取为与非抗震设计时相同的等效翼缘宽度,这就相当于取梁每侧6倍板厚作为有效板宽范围。这一规定是根据进入接近罕遇地震水准侧向变形状态的缩尺框架结构试验中对参与抵抗梁端负弯矩的板筋应力的实测结果确定的。欧洲规范EN 1998则建议取用较小的有效板宽,即每侧2倍板厚。 这大致相当于梁端屈服后不久的受力状态。本规范建议,取用每侧6倍板厚的范围作为“有效板宽”,是偏于安全的。 对其他情况下框架梁剪力设计值的确定,则根据不同抗震等级,直接取用与梁端考虑地震作用组合的弯矩设计值相平衡的组合剪力设计值乘以不同的增大系数。

条文说明
11.3.3 矩形、T形和I形截面框架梁,其受剪要求的截面控制条件是在静力受剪要求的基础上,考虑反复荷载作用的不利影响确定的。在截面控制条件中还对较高强度的混凝土考虑了混凝土强度影响系数βc。

条文说明
11.3.4 国内外低周反复荷载作用下钢筋混凝土连续梁和悬臂梁受剪承载力试验表明,低周反复荷载作用使梁的斜截面受剪承载力降低,其主要原因是起控制作用的梁端下部混凝土剪压区因表层混凝土在上部纵向钢筋屈服后的大变形状态下剥落而导致的剪压区抗剪强度的降低,以及交叉斜裂缝的开展所导致的沿斜裂缝混凝土咬合力及纵向钢筋暗销力的降低。试验表明,在抗震受剪承载力中,箍筋项承载力降低不明显。为此,仍以截面总受剪承载力试验值的下包线作为计算公式的取值标准,将混凝土项取为非抗震情况下的60%,箍筋项则不予折减。同时,对各抗震等级均近似取用相同的抗震受剪承载力计算公式,这在抗震设防烈度偏低时略偏安全。
11.3.5 框架梁截面尺寸应符合下列要求:
1 截面宽度不宜小于200mm;
2 截面高度与宽度的比值不宜大于4;
3 净跨与截面高度的比值不宜小于4。
条文说明
11.3.5 为了保证框架梁对框架节点的约束作用,以及减小框架梁塑性铰区段在反复受力下侧屈的风险,框架梁的截面宽度和梁的宽高比不宜过小。 考虑到净跨与梁高的比值小于4的梁,作用剪力与作用弯矩的比值偏高,适应较大塑性变形的能力较差,因此,对框架梁的跨高比作了限制。
11.3.6 框架梁的钢筋配置应符合下列规定:
1 纵向受拉钢筋的配筋率不应小于表11.3.6—1规定的数值; ( 自2022年4月1日起废止该条,详见新规 《混凝土结构通用规范》 GB 55008-2021)

2 框架梁梁端截面的底部和顶部纵向受力钢筋截面面积的比值,除按计算确定外,一级抗震等级不应小于0.5;二、三级抗震等级不应小于0.3;
3 梁端箍筋的加密区长度、箍筋最大间距和箍筋最小直径,应按表11.3.6—2采用;当梁端纵向受拉钢筋配筋率大于2%时,表中箍筋最小直径应增大2mm。

条文说明
11.3.6 本规范在非抗震和抗震框架梁纵向受拉钢筋最小配筋率的取值上统一取用双控方案,即一方面规定具体数值,另一方面使用与混凝土抗拉强度设计值和钢筋抗拉强度设计值相关的特征值参数进行控制。本条规定的数值是在非抗震受弯构件规定数值的基础上,参考国外经验制定的,并按纵向受拉钢筋在梁中的不同位置和不同抗震等级分别给出了最小配筋率的相应控制值。这些取值高于非抗震受弯构件的取值。 本条还给出了梁端箍筋加密区内底部纵向钢筋和顶部纵向钢筋的面积比最小取值。通过这一规定对底部纵向钢筋的最低用量进行控制,一方面是考虑到地震作用的随机性,在按计算梁端不出现正弯矩或出现较小正弯矩的情况下,有可能在较强地震下出现偏大的正弯矩。故需在底部正弯矩受拉钢筋用量上给以一定储备,以免下部钢筋的过早屈服甚至拉断。另一方面,提高梁端底部纵向钢筋的数量,也有助于改善梁端塑性铰区在负弯矩作用下的延性性能。本条梁底部钢筋限值的规定是根据我国的试验结果及设计经验并参考国外规范确定的。 框架梁的抗震设计除应满足计算要求外,梁端塑性铰区箍筋的构造要求极其重要,它是保证该塑性铰区延性能力的基本构造措施。本规范对梁端箍筋加密区长度、箍筋最大间距和箍筋最小直径的要求作了规定,其目的是从构造上对框架梁塑性铰区的受压混凝土提供约束,并约束纵向受压钢筋,防止它在保护层混凝土剥落后过早压屈,及其后受压区混凝土的随即压溃。 本次修订将梁端纵筋最大配筋率限制不再作为强制性规定,相关规定移至本规范第11.3.7条。
11.3.7 梁端纵向受拉钢筋的配筋率不宜大于2.5%。沿梁全长顶面和底面至少应各配置两根通长的纵向钢筋,对一、二级抗震等级,钢筋直径不应小于14mm,且分别不应少于梁两端顶面和底面纵向受力钢筋中较大截面面积的1/4;对三、四级抗震等级,钢筋直径不应小于12mm。
11.3.8 梁箍筋加密区长度内的箍筋肢距:一级抗震等级,不宜大于200mm和20倍箍筋直径的较大值;二、三级抗震等级,不宜大于250mm和20倍箍筋直径的较大值;各抗震等级下,均不宜大于300mm。
11.3.9 梁端设置的第一个箍筋距框架节点边缘不应大于50mm。非加密区的箍筋间距不宜大于加密区箍筋间距的2倍。
沿梁全长箍筋的面积配筋率ρsv应符合下列规定:

条文说明
11.3.7~11.3.9 沿梁全长配置一定数量的通长钢筋,是考虑到框架梁在地震作用过程中反弯点位置可能出现的移动。这里“通长”的含义是保证梁各个部位都配置有这部分钢筋,并不意味着不允许这部分钢筋在适当部位设置接头。 此次修订时考虑到梁端箍筋过密,难于施工,对梁箍筋加密区长度内的箍筋肢距规定作了适当放松,且考虑了箍筋直径与肢距的合理搭配,此次修订维持02版规范的规定不变。 沿梁全长箍筋的配筋率ρsv是在非抗震设计要求的基础上适当增大后给出的。
11.4 框架柱及框支柱
11.4 框架柱及框支柱
11.4.1 除框架顶层柱、轴压比小于0.15的柱以及框支梁与框支柱的节点外,框架柱节点上、下端和框支柱的中间层节点上、下端的截面弯矩设计值应符合下列要求:


条文说明
11.4.1 由于框架柱中存在轴压力,即使在采取必要的抗震构造措施后,其延性能力通常仍比框架梁偏小;加之框架柱是结构中的重要竖向承重构件,对防止结构在罕遇地震下的整体或局部倒塌起关键作用,故在抗震设计中通常均需采取“强柱弱梁”措施,即人为增大柱截面的抗弯能力,以减小柱端形成塑性铰的可能性。 在总结2008年汶川地震震害经验的基础上,认为有必要对02版规范的柱抗弯能力增强措施作相应加强。具体做法是:对9度设防烈度的一级抗震等级框架和9度以外一级抗震等级的框架结构,要求仅按左、右梁端实际配筋(考虑梁截面受压钢筋及有效板宽范围内与梁平行的板内配筋)和材料强度标准值求得的梁端抗弯能力及相应的增强系数增大柱端弯矩;对于二、三、四级抗震等级的框架结构以及一、二、三、四级抗震等级的其他框架均分别提高了从左、右梁端考虑地震作用的组合弯矩设计值计算柱端弯矩时的增强系数。其中有必要强调的是,在按实际配筋确定梁端抗弯能力时,有效板宽范围与本规范第11.3.2条处相同,建议取用每侧6倍板厚。
11.4.2 一、二、三、四级抗震等级框架结构的底层,柱下端截面组合的弯矩设计值,应分别乘以增大系数1.7、1.5、1.3和1.2。底层柱纵向钢筋应按柱上、下端的不利情况配置。
注:底层指无地下室的基础以上或地下室以上的首层。
条文说明
11.4.2 为了减小框架结构底层柱下端截面和框支柱顶层柱上端和底层柱下端截面出现塑性铰的可能性,对此部位柱的弯矩设计值采用直接乘以增强系数的方法,以增大其正截面受弯承载力。本次修订对这些部位使用的增强系数作了与第11.4.1条处相呼应的调整。


条文说明
11.4.3 对于框架柱同样需要通过设计措施防止其在达到罕遇地震对应的变形状态之前过早出现非延性的剪切破坏。为此,一方面应使其抗震受剪承载能力计算公式具有保持抗剪能力达到该变形状态的能力;另一方面应通过对柱截面作用剪力的增强措施考虑柱端截面纵向钢筋数量偏多以及强度偏高有可能带来的作用剪力增大效应。这后一方面的因素也就是柱的“强剪弱弯”措施所要考虑的因素。 本次修订根据与“强柱弱梁”措施处相同的理由,相应适度增大了框架结构柱剪力的增大系数。 在按柱端实际配筋计算柱增强后的作用剪力时,对称配筋矩形截面大偏心受压柱按柱端实际配筋考虑承载力抗震调整系数的正截面受弯承载力Mcua,可按下列公式计算: 
对其他配筋形式或截面形状的框架柱,其Mcua值可仿照上述方法确定。
11.4.4 一、二级抗震等级的框支柱,由地震作用引起的附加轴向力应分别乘以增大系数1.5、1.2;计算轴压比时,可不考虑增大系数。
条文说明
11.4.4 对一、二级抗震等级的框支柱,规定由地震作用引起的附加轴力应乘以增大系数,以使框支柱的轴向承载能力适应因地震作用而可能出现的较大轴力作用情况。
11.4.5 各级抗震等级的框架角柱,其弯矩、剪力设计值应在按本规范第11.4.1条~第11.4.3条调整的基础上再乘以不小于1.1的增大系数。
条文说明
11.4.5 对一、二、三、四级抗震等级的框架角柱,考虑到以往震害中角柱震害相对较重,且受扭转、双向剪切等不利作用,其受力复杂,当其内力计算按两个主轴方向分别考虑地震作用时,其弯矩、剪力设计值应取经调整后的弯矩、剪力设计值再乘以不小于1.1的增大系数。
11.4.6 考虑地震组合的矩形截面框架柱和框支柱,其受剪截面应符合下列条件:

条文说明
11.4.6 本条规定了框架柱、框支柱的受剪承载力上限值,也就是按受剪要求提出的截面尺寸限制条件,它是在非抗震限制条件基础上考虑反复荷载影响后给出的。

条文说明
11.4.7 抗震钢筋混凝土框架柱的受剪承载力计算公式需保证柱在框架达到其罕遇地震变形状态时仍不致发生剪切破坏,从而防止在以往多次地震中发现的柱剪切破坏。具体方法仍是将非抗震受剪承载力计算公式中的混凝土项乘以0.6,箍筋项则保持不变。该公式经试验验证能够达到使柱在强震非弹性变形过程中不形成过早剪切破坏的控制目标。
11.4.8 考虑地震组合的矩形截面框架柱和框支柱,当出现拉力时,其斜截面抗震受剪承载力应符合下列规定:

条文说明
11.4.8 本条给出了偏心受拉抗震框架柱和框支柱的受剪承载力计算公式。该公式是在非抗震偏心受拉构件受剪承载力计算公式的基础上,通过对混凝土项乘以0.6后得出的。由于轴向拉力对抗剪能力起不利作用,故对公式中的轴向拉力项不作折减。

条文说明
11.4.9、11.4.10 这两条是本次修订新增条文,是在非抗震偏心受压构件双向受剪承载力限制条件和计算公式的基础上,考虑反复荷载影响后得出的。 根据国内在低周反复荷载作用下双向受剪钢筋混凝土柱的试验结果,对双向受剪承载力计算公式仍采用在非抗震公式的基础上只对混凝土项进行折减,箍筋项则不予折减的做法。这意味着与非抗震情况下的方法相同,考虑到计算方法的简洁,对于两向相关的影响,在双向受剪承载力计算公式中仍采用椭圆模式表达。


11.4.11 框架柱的截面尺寸应符合下列要求:
1 矩形截面柱,抗震等级为四级或层数不超过2层时,其最小截面尺寸不宜小于300mm,一、二、三级抗震等级且层数超过2层时不宜小于400mm;圆柱的截面直径,抗震等级为四级或层数不超过2层时不宜小于350mm,一、二、三级抗震等级且层数超过2层时不宜小于450mm;
2 柱的剪跨比宜大于2;
3 柱截面长边与短边的边长比不宜大于3。
条文说明
11.4.11 2008年汶川地震震害经验表明,当柱截面选用过小但仍符合02版规范要求时,即使按要求完成了抗震设计,由于多种偶然因素影响,结构中的框架柱仍有可能震害偏重。为此,对02版规范中框架柱截面尺寸的限制条件从偏安全的角度作了适当调整。
11.4.12 框架柱和框支柱的钢筋配置,应符合下列要求:
1 框架柱和框支柱中全部纵向受力钢筋的配筋 百分 率不应小于表11.4.12—1规定的数值,同时,每一侧的配筋 百分 率不应小于0.2 0% ; 对Ⅳ类场地上较高的高层建筑,最小配筋百分率应增加0.1;

2 框架柱和框支柱上、下两端箍筋应加密,加密区的箍筋最大间距和箍筋最小直径应符合表11.4.12—2的规定;

3 框支柱和剪跨比不大于2的框架柱应在柱全高范围内加密箍筋,且箍筋间距应符合本条第2款一级抗震等级的要求;
4 一级抗震等级框架柱的箍筋直径大于12mm且箍筋肢距不大于150mm及二级抗震等级框架柱的 箍筋 直径不小于10mm且箍筋肢距不大于200mm时,除底层柱下端外,箍筋间距 应允许 可 采用150mm; 四级抗震等级框架柱剪跨比不大于2时,箍筋直径不应小于8mm。 三级、四级框架柱的截面尺寸不大于400mm时,箍筋最小直径可采用6mm。
条文说明
11.4.12 框架柱纵向钢筋最小配筋率是抗震设计中的一项较重要的构造措施。其主要作用是:考虑到实际地震作用在大小及作用方式上的随机性,经计算确定的配筋数量仍可能在结构中造成某些估计不到的薄弱构件或薄弱截面;通过纵向钢筋最小配筋率规定可以对这些薄弱部位进行补救,以提高结构整体地震反应能力的可靠性;此外,与非抗震情况相同,纵向钢筋最小配筋率同样可以保证柱截面开裂后抗弯刚度不致削弱过多;另外,最小配筋率还可以使设防烈度不高地区一部分框架柱的抗弯能力在“强柱弱梁”措施基础上有进一步提高,这也相当于对“强柱弱梁”措施的某种补充。考虑到推广应用高强钢筋以及
适当提高安全度的需要, 2010版规范 表11.4.12—1中的纵向钢筋最小配筋率值与02版规范相比有所提高, 但采用335MPa级钢筋仍保留了02版规范的控制水平未变。 采用400MPa级钢筋的纵向钢筋最小配筋率值较02版规范提高了0.05%。
本次修订 2010版规范 根据工程经验对柱箍筋间距的规定作了局部调整,以利于保证混凝土的施工质量。
本次对GB 50010-2010(2015年版)规范的局部修订,删除了HRB335牌号钢筋的有关规定。考虑到IV类场地上较高的 高层建筑定义不明确(不好执行),本条对高抗震等级柱的最小配筋率规定和国外有关规范相比已经不低,故删除了“最小配筋 百分率应增加0.1”的规定。根据工程经验和地震震害经验,为了适度提高四级抗震等级柱箍筋加密区的箍筋配置要求,在 表11.4.12-2中删除了2010版规范的四级抗震等级规定,取与三级相同。这样修改后。本条第4款中“四级抗震等级框架柱剪跨比不大于2时,箍筋直径不应小于8mm”的规定自然满足本 条第2、3款的规定,故予以删除;同时考虑到小截面柱的工程情况及现行行业标准《高层建筑混凝土结构技术规程》JGJ3的相关规定,补充了截面尺寸不大于400mm且抗震等级为三级、四级的框架柱,箍筋直径可以降低到6mm的放松要求。
11.4.13 框架边柱、角柱及剪力墙端柱在地震组合下处于小偏心受拉时,柱内纵向受力钢筋总截面面积应比计算值增加25%。
框架柱、框支柱中全部纵向受力钢筋配筋率不应大于5%。柱的纵向钢筋宜对称配置。截面尺寸大于400mm的柱,纵向钢筋的间距不宜大于200mm。当按一级抗震等级设计,且柱的剪跨比不大于2时,柱每侧纵向钢筋的配筋率不宜大于1.2%。
条文说明
11.4.13 当框架柱在地震作用组合下处于小偏心受拉状态时,柱的纵筋总截面面积应比计算值增加25%,是为了避免柱的受拉纵筋屈服后再受压时,由于包兴格效应导致纵筋压屈。 为了避免纵筋配置过多,施工不便,对框架柱的全部纵向受力钢筋配筋率作了限制。 柱净高与截面高度的比值为3~4的短柱试验表明,此类框架柱易发生粘结型剪切破坏和对角斜拉型剪切破坏。为减少这种破坏,这类柱纵向钢筋配筋率不宜过大。为此,对一级抗震等级且剪跨比不大于2的框架柱,规定每侧纵向受拉钢筋配筋率不宜大于1.2%,并应沿柱全长采用复合箍筋。对其他抗震等级虽未作此规定,但也宜适当控制。
11.4.14 框架柱的箍筋加密区长度,应取柱截面长边尺寸(或圆形截面直径)、柱净高的1/6和500mm中的最大值;一、二级抗震等级的角柱应沿柱全高加密箍筋。底层柱根箍筋加密区长度应取不小于该层柱净高的1/3;当有刚性地面时,除柱端箍筋加密区外尚应在刚性地面上、下各500mm的高度范围内加密箍筋。
条文说明
11.4.14、11.4.15 框架柱端箍筋加密区长度的规定是根据试验结果及震害经验作出的。该长度相当于柱端潜在塑性铰区的范围再加一定的安全裕量。对箍筋肢距作出的限制是为了保证塑性铰区内箍筋对混凝土和受压纵筋的有效约束。
11.4.15 柱箍筋加密区内的箍筋肢距:一级抗震等级不宜大于200mm;二、三级抗震等级不宜大于250mm和20倍箍筋直径中的较大值;四级抗震等级不宜大于300mm。每隔一根纵向钢筋宜在两个方向有箍筋或拉筋约束;当采用拉筋且箍筋与纵向钢筋有绑扎时,拉筋宜紧靠纵向钢筋并勾住箍筋。
11.4.16 一、二、三、四级抗震等级的各类结构的框架柱、框支柱,其轴压比不宜大于表11.4.16规定的限值。对Ⅳ类场地上较高的高层建筑,柱轴压比限值应适当减小。

注:1 轴压比指柱地震作用组合的轴向压力设计值与柱的全截面面积和混凝土轴心抗压强度设计值乘积之比值:
2 当混凝土强度等级为C65、C70时.轴压比限值宜按表中数值减小0.05:混凝土强度等级为C75、C80时,轴压比限值宜按表中数值减小0.10;
3 表内限值适用于剪跨比大于2、混凝土强度等级不高于C60的柱;剪跨比不大于2的柱轴压比限值应降低0.05;剪跨比小于1.5的柱,轴压比限值应专门研究并采取特殊构造措施;
4 沿柱全高采用井字复合箍,且箍筋间距不大于100mm、肢距不大于200mm、直径不小于12mm,或沿柱全高采用复合螺旋箍,且螺距不大于100mm、肢距不大于200mm、直径不小于12mm,或沿柱全高采用连续复合矩形螺旋箍,且螺旋净距不大于80mm、肢距不大于200mm、直径不小于10mm时,轴压比限值均可按表中数值增加0.10;
5 当柱截面中部设置由附加纵向钢筋形成的芯柱,且附加纵向钢筋的总截面面积不少于柱截面面积的0.8%时,轴压比限值可按表中数值增加0.05;此项措施与注4的措施同时采用时,轴压比限值可按表中数值增加0.15,但箍筋的配箍特征值λV仍应按轴压比增加0.10的要求确定;
6 调整后的柱轴压比限值不应大于1.05。
条文说明
11.4.16 试验研究表明,受压构件的位移延性随轴压比增加而减小,因此对设计轴压比上限进行控制就成为保证框架柱和框支柱具有必要延性的重要措施之一。为满足不同结构类型框架柱、框支柱在地震作用组合下的位移延性要求,本条规定了不同结构体系中框架柱设计轴压比的上限值。此次修订对设计轴压比上限值的规定作了以下调整: 1 将设计轴压比上限值的规定扩展到四级抗震等级; 2 根据2008年汶川地震的震害经验,适度加严了框架结构的设计轴压比限值; 3 框架-剪力墙结构和筒体结构主要依靠剪力墙和内筒承受水平地震作用,其中框架部分,特别是中、下层框架,受水平地震作用的影响相对较轻。本次修订在保持02版规范对其设计轴压比给出比框架结构柱偏松的控制条件的同时,对其中个别取值作了调整。 近年来,国内外试验研究结果表明,采用螺旋箍筋、连续复合矩形螺旋箍筋等配筋方式,能在一般复合箍筋的基础上进一步提高对核心混凝土的约束效应,改善柱的位移延性性能,故规定当配置复合箍筋、螺旋箍筋或连续复合矩形螺旋箍筋,且配箍量达到一定程度时,允许适当放宽柱设计轴压比的上限控制条件。同时,国内研究表明,在钢筋混凝土柱中设置矩形核芯柱不仅能提高柱的受压承载力,也可提高柱的位移延性,且有利于在大变形情况下防止倒塌,类似于型钢混凝土结构中型钢的作用。因此,在设置矩形核芯柱,且核芯柱的纵向钢筋配置数量达到一定要求的情况下,也适当放宽了设计轴压比的上限控制条件。在放宽轴压比上限控制条件后,箍筋加密区的最小体积配筋率应按放松后的设计轴压比确定。
11.4.17 箍筋加密区箍筋的体积配筋率应符合下列规定:
1 柱箍筋加密区箍筋的体积配筋率,应符合下列规定:

注:1 普通箍指单个矩形箍筋或单个圆形箍筋;螺旋箍指单个螺旋箍筋;复合箍指由矩形、多边形、圆形箍筋或拉筋组成的箍筋;复合螺旋箍指由螺旋箍与矩形、多边形、圆形箍筋或拉筋组成的箍筋;连续复合矩形螺旋箍指全部螺旋箍为同一根钢筋加工成的箍筋;
2 在计算复合螺旋箍的体积配筋率时,其中非螺旋箍筋的体积应乘以系数0.8;
3 混凝土强度等级高于C60时,箍筋宜采用复合箍、复合螺旋箍或连续复合矩形螺旋箍,当轴压比不大于0.6时,其加密区的最小配箍特征值宜按表中数值增加0.02;当轴压比大于0.6时,宜按表中数值增加0.03。
2 对一、二、三、四级抗震等级的柱,其箍筋加密区的箍筋体积配筋率分别不应小于0.8%、0.6%、0.4%和0.4%;
3 框支柱宜采用复合螺旋箍或井字复合箍,其最小配箍特征值应按表11.4.17中的数值增加0.02采用,且体积配筋率不应小于1.5%;
4 当剪跨比λ不大于2时,宜采用复合螺旋箍或井字复合箍,其箍筋体积配筋率不应小于1.2%;9度设防烈度一级抗震等级时,不应小于1.5%。
条文说明
11.4.17 在柱端箍筋加密区内配置一定数量的箍筋(用体积配箍率衡量)是使柱具有必要的延性和塑性耗能能力的另一项重要措施。因抗震等级越高,抗震性能要求相应提高;加之轴压比越高,混凝土强度越高,也需要更高的配箍率,方能达到相同的延性;而箍筋强度越高,配箍率则可相应降低。为此,先根据抗震等级及轴压比给出所需的柱端配箍特征值,再经配箍特征值及混凝土与钢筋的强度设计值算得所需的体积配箍率。02版规范给出的配箍特征值是根据日本及我国完成的钢筋混凝土柱抗震延性性能系列试验按位移延性系数不低于3.0的标准给出的。 虽然2008年汶川地震中柱端破坏情况多有发现,但规范修订组经研究,拟主要通过适度的柱抗弯能力增强措施(“强柱弱梁”措施)和适度降低框架结构柱轴压比上限条件来进一步改善框架结构柱的抗震性能。对02版规范柱端体积配箍率的规定则不作变动。 需要说明的是,因《建筑抗震设计规范》GB 50011规定,对6度设防烈度的一般建筑可不进行考虑地震作用的结构分析和截面抗震验算,在按第11.4.16条及本条确定其轴压比时,轴压力可取为无地震作用组合的轴力设计值,对于6度设防烈度,建造于Ⅳ类场地上较高的高层建筑,因已需进行考虑地震作用的结构分析,故应采用考虑地震作用组合的轴向力设计值。 另外,当计算箍筋的体积配箍率时,各强度等级箍筋应分别采用其强度设计值,根据本规范第4.2.3条表4.2.3—1注的表述,其抗拉强度设计值不受360MPa的限制。
11.4.18 在箍筋加密区外,箍筋的体积配筋率不宜小于加密区配筋率的一半;对一、二级抗震等级,箍筋间距不应大于10d;对三、四级抗震等级,箍筋间距不应大于15d,此处,d为纵向钢筋直径。
条文说明
11.4.18 本条规定了考虑地震作用框架柱箍筋非加密区的箍筋配置要求。
11.5 铰接排架柱
11.5 铰接排架柱
11.5.1 铰接排架柱的纵向受力钢筋和箍筋,应按地震组合下的弯矩设计值及剪力设计值,并根据本规范第11.4节的有关规定计算确定;其构造除应符合本节的有关规定外,尚应符合本规范第8章、第9章、第11.1节以及第11.2节的有关规定。
条文说明
11.5.1、11.5.2 国内地震震害调查表明,单层厂房屋架或屋面梁与柱连接的柱顶和高低跨厂房交接处支承低跨屋盖的柱牛腿损坏较多,阶形柱上柱的震害往往发生在上下柱变截面处(上柱根部)和与吊车梁上翼缘连接的部位。为了避免排架柱在上述区段内产生剪切破坏并使排架柱在形成塑性铰后有足够的延性,这些区段内的箍筋应加密。按此构造配箍后,铰接排架柱在一般情况下可不进行受剪承载力计算。
根据排架结构的受力特点,对排架结构柱不需要考虑“强柱弱梁”措施和“强剪弱弯”措施。在设有工作平台等特殊情况下,斜截面受剪承载力可能对剪跨比较小的铰接排架柱起控制作用。此时,可按本规范公式(11.4.7)进行抗震受剪承载力计算。
11.5.2 铰接排架柱的箍筋加密区应符合下列规定:
1 箍筋加密区长度:
1)对柱顶区段,取柱顶以下500mm,且不小于柱顶截面高度;
2)对吊车梁区段,取上柱根部至吊车梁顶面以上300mm;
3)对柱根区段,取基础顶面至室内地坪以上500mm;
4)对牛腿区段,取牛腿全高;
5)对柱间支撑与柱连接的节点和柱位移受约束的部位,取节点上、下各300mm。
2 箍筋加密区内的箍筋最大间距为100mm;箍筋的直径应符合表11.5.2的规定。

11.5.3 当铰接排架侧向受约束且约束点至柱顶的高度不大于柱截面在该方向边长的2倍,柱顶预埋钢板和柱顶箍筋加密区的构造尚应符合下列要求:
1 柱顶预埋钢板沿排架平面方向的长度,宜取柱顶的截面高度h,但在任何情况下不得小于h/2及300mm;
2 当柱顶轴向力在排架平面内的偏心距e0在h/6~h/4范围内时,柱顶箍筋加密区的箍筋体积配筋率:一级抗震等级不宜小于1.2%;二级抗震等级不宜小于1.0%;三、四级抗震等级不宜小于0.8%。
条文说明
11.5.3 震害调查表明,排架柱柱头损坏最多的是侧向变形受到限制的柱,如靠近生活间或披屋的柱、或有横隔墙的柱。这种情况改变了柱的侧移刚度,使柱头处于短柱的受力状态。由于该柱的侧移刚度大于相邻各柱,当受水平地震作用的屋盖发生整体侧移时,该柱实际上承受了比相邻各柱大得多的水平剪力,使柱顶产生剪切破坏。对屋架与柱顶连接节点进行的抗震性能的试验结果表明,不同的柱顶连接形式仅对节点的延性产生影响,不影响柱头本身的受剪承载力;柱顶预埋钢板的大小和其在柱顶的位置对柱头的水平承载力有一定影响。当预埋钢板长度与柱截面高度相等时,水平受剪承载力大约是柱顶预埋钢板长度为柱截面高度一半时的1.65倍。故在条文中规定了柱顶预埋钢板长度和直锚筋的要求。试验结果还表明,沿水平剪力方向的轴向力偏心距对受剪承载力亦有影响,要求不得大于h/4。当h/6≤e0≤h/4时,一般要求柱头配置四肢箍,并按不同的抗震等级,规定不同的体积配箍率,以此来满足受剪承载力要求。
11.5.4 在地震组合的竖向力和水平拉力作用下,支承不等高厂房低跨屋面梁、屋架等屋盖结构的柱牛腿,除应按本规范第9.3节的规定进行计算和配筋外,尚应符合下列要求:
1 承受水平拉力的锚筋:一级抗震等级不应少于2根直径为16mm的钢筋,二级抗震等级不应少于2根直径为14mm的钢筋,三、四级抗震等级不应少于2根直径为12mm的钢筋;
2 牛腿中的纵向受拉钢筋和锚筋的锚固措施及锚固长度应符合本规范第9.3.12条的有关规定,但其中的受拉钢筋锚固长度la应以laE代替;
3 牛腿水平箍筋最小直径为8mm,最大间距为100mm。
条文说明
11.5.4 不等高厂房支承低跨屋盖的柱牛腿(柱肩梁)亦是震害较重的部位之一,最常见的是支承低跨的牛腿(肩梁)被拉裂。试验结果与工程实践均证明,为了改善牛腿和肩梁抵抗水平地震作用的能力,可在其顶面钢垫板下设水平锚筋,直接承受并传递水平力。承受竖向力所需的纵向受拉钢筋和承受水平拉力的水平锚筋的截面面积,仍按公式(9.3.11)计算。其锚固长度及锚固构造仍按本规范第9.3节的规定取用,但其中应以受拉钢筋的抗震锚固长度laE代替la。
11.5.5 铰接排架柱柱顶预埋件直锚筋除应符合本规范第11.1.9条的要求外,尚应符合下列规定:
1 一级抗震等级时,不应小于4根直径16mm的直锚钢筋;
2 二级抗震等级时,不应小于4根直径14mm的直锚钢筋;
3 有柱间支撑的柱子,柱顶预埋件应增设抗剪钢板。
条文说明
11.5.5 为加强柱牛腿预埋板的锚固,要把相当于承受水平拉力的纵向钢筋与预埋板焊连。
11.6 框架梁柱节点
11.6 框架梁柱节点
11.6.1 一、二、三级抗震等级的框架应进行节点核心区抗震受剪承载力验算;四级抗震等级的框架节点可不进行计算,但应符合抗震构造措施的要求。框支柱中间层节点的抗震受剪承载力验算方法及抗震构造措施与框架中间层节点相同。
条文说明
11.6.1、11.6.2 02版规范规定对三、四级抗震等级的框架节点可不进行受剪承载力验算,仅需满足抗震构造措施的要求。根据近几年进行的框架结构的非线性动力反应分析结果以及对框架结构的震害调查表明,对于三级抗震等级的框架节点,仅满足抗震构造措施的要求略显不足。因此,本次修订增加了对三级抗震等级框架节点受剪承载力的验算要求,同时要求满足相应抗震构造措施。 对节点剪力增大系数作了部分调整,即将二级抗震等级的1.2调整为1.25,三级抗震等级节点需要进行抗震受剪承载力计算后,增大系数取为1.1。








条文说明
11.6.3~11.6.6 节点截面的限制条件相当于其抗震受剪承载力的上限。这意味着当考虑了增大系数后的节点作用剪力超过其截面限制条件时,再增大箍筋已无法进一步有效提高节点的受剪承载力。
框架节点的受剪承载力由混凝土斜压杆和水平箍筋两部分受剪承载力组成,其中水平箍筋是通过其对节点区混凝土斜压杆的约束效应来增强节点受剪承载力的。 依据试验结果,节点核心区内混凝土斜压杆截面面积虽然可随柱端轴力的增加而稍有增加,使得在作用剪力较小时,柱轴压力的增大对防止节点的开裂和提高节点的抗震受剪承载力起一定的有利作用;但当节点作用剪力较大时,因核心区混凝土斜向压应力已经较高,轴压力的增大反而会使节点更早发生混凝土斜压型剪切破坏,从而削弱节点的抗震受剪承载力。02版规范考虑这一因素后已在9度设防烈度节点受剪承载力计算公式中取消了轴压力的有利影响。但为了不致使节点中箍筋用量增加过多,在除9度设防烈度以外的其他节点受剪承载力计算公式中,保留了轴力项的有利影响。这一做法与试验结果不符,只是一种权宜性的做法。 试验证明,当节点在两个正交方向有梁且在周边有现浇板时,梁和现浇板增加了对节点区混凝土的约束,从而可以在一定程度上提高节点的受剪承载力。但若两个方向的梁截面较小,或不是沿四周均有现浇板,则其约束作用就不明显。因此,规定在两个正交方向有梁,梁的宽度、高度都能满足一定要求,且有现浇板时,才可考虑梁与现浇板对节点的约束系数。对于梁截面较小或只沿一个方向有梁的中节点,或周边未被现浇板充分围绕的中节点,以及边节点、角节点等情况均不考虑梁对节点约束的有利影响。 根据国内试验结果,参考圆柱斜截面受剪承载力计算公式的建立模型,对圆柱截面框架节点提出了受剪承载力计算方法。
11.6.7 框架梁和框架柱的纵向受力钢筋在框架节点区的锚固和搭接应符合下列要求:
1 框架中间层中间节点处,框架梁的上部纵向钢筋应贯穿中间节点。贯穿中柱的每根梁纵向钢筋直径,对于9度设防烈度的各类框架和一级抗震等级的框架结构,当柱为矩形截面时,不宜大于柱在该方向截面尺寸的1/25,当柱为圆形截面时,不宜大于纵向钢筋所在位置柱截面弦长的1/25;对一、二、三级抗震等级,当柱为矩形截面时,不宜大于柱在该方向截面尺寸的1/20,对圆柱截面,不宜大于纵向钢筋所在位置柱截面弦长的1/20。
2 对于框架中间层中间节点、中间层端节点、顶层中间节点以及顶层端节点,梁、柱纵向钢筋在节点部位的锚固和搭接,应符合图11.6.7的相关构造规定。图中llE按本规范第11.1.7条规定取用,labE按下式取用:
labE=ζaElab (11.6.7)
式中:ζaE——纵向受拉钢筋锚固长度修正系数,按第11.1.7条规定取用。

条文说明
11.6.7 在本条规定中,对各类有抗震要求节点的构造措施作了以下调整: 1 对贯穿中间层中间节点梁筋直径与长度比值(相对直径)的限制条件,02规范主要是根据梁、柱配置335MPa级纵向钢筋的节点试验结果并参考国外规范的相关规定从不致给设计中选用梁筋直径造成过大限制的偏松角度制定的。为方便应用,原规定没有体现钢筋强度及混凝土强度对梁筋粘结性能的影响,仅限制了贯穿节点梁筋的相对直径。当梁柱纵筋采用400MPa级和500MPa级钢筋后,反复荷载作用下的节点试验表明,梁筋的粘结退化将明显提前、加重。为保证高烈度区罕遇地震作用下使用高强钢筋的节点中梁筋粘结性能不致过度退化,本次修订将9度设防烈度的各类框架和一级抗震等级框架结构中的梁柱节点中梁筋相对直径的限制条件作了略偏严格的调整。 2 近几年进行的框架结构非线性动力反应分析表明,顶层节点的延性需求通常比中间层节点偏小。框架震害结果也显示出顶层的震害一般比其他楼层的震害偏轻。为便于施工,在本次修订中,取消了原规范第11.6.7条第2款图11.6.7e中顶层端节点梁柱负弯矩钢筋在节点外侧搭接时柱筋在节点顶部向内水平弯折12d的要求,改为梁柱负弯矩钢筋在节点外侧直线搭接。
11.6.8 框架节点区箍筋的最大间距、最小直径宜按本规范表11.4.12—2采用。对一、二、三级抗震等级的框架节点核心区,配箍特征值λv分别不宜小于0.12、0.10和0.08,且其箍筋体积配筋率分别不宜小于0.6%、0.5%和0.4%。当框架柱的剪跨比不大于2时,其节点核心区体积配箍率不宜小于核心区上、下柱端体积配箍率中的较大值。
条文说明
11.6.8 本条对节点核心区的箍筋最大间距和最小直径作了规定。本次修订增加了对节点箍筋肢距的规定。同时,通过箍筋最小配箍特征值及最小体积配箍率以双控方式控制节点中的最低箍筋用量,以保证箍筋对核心区混凝土的最低约束作用和节点的基本抗震受剪承载力。
11.7 剪力墙及连梁
11.7 剪力墙及连梁
11.7.1 一级抗震等级剪力墙各墙肢截面考虑地震组合的弯矩设计值,底部加强部位应按墙肢截面地震组合弯矩设计值采用,底部加强部位以上部位应按墙肢截面地震组合弯矩设计值乘增大系数,其值可取1.2;剪力设计值应作相应调整。
条文说明
11.7.1 根据研究成果和地震震害经验,本条规定一级抗震等级剪力墙底部加强部位高度范围内各墙肢截面的弯矩设计值不再取用墙肢底部截面的组合弯矩设计值。由于从剪力墙底部截面向上的纵向受拉钢筋中高应力区向整个塑性铰区高度的扩展,也导致塑性铰区以上墙肢各截面的作用弯矩相应有所增大,故本条规定对底部加强部位以上墙肢各截面的组合弯矩设计值乘以1.2的增大系数。弯矩调整增大后,剪力设计值应相应提高。
11.7.2 考虑剪力墙的剪力设计值Vw应按下列规定计算:


条文说明
11.7.2 对于剪力墙肢底部截面同样需要考虑“强剪弱弯”的要求,即对其作用剪力设计值通过增强系数予以增大。对于9度设防烈度的剪力墙肢要求按底部截面纵向钢筋实际配置情况确定作用剪力的增大幅度,具体做法是用底部截面的“实配弯矩”Mwua与该截面的组合弯矩设计值的比值与一个增强系数的乘积来增大作用剪力设计值。其中Mwua按材料强度的标准值及底部截面纵向钢筋实际布置的位置和数量计算。

条文说明
11.7.3 国内外剪力墙的受剪承载力试验结果表明,剪跨比λ大于2.5时,大部分墙的受剪承载力上限接近于0.25fcbh0;在反复荷载作用下,其受剪承载力上限下降约20%。据此给出了抗震剪力墙肢的受剪承载力上限值。

条文说明
11.7.4 剪力墙的反复和单调加载受剪承载力对比试验表明,反复加载时的受剪承载力比单调加载时降低约15%~20%。因此,将非抗震受剪承载力计算公式中各个组成项均乘以降低系数0.8,作为抗震偏心受压剪力墙肢的斜截面受剪承载力计算公式。鉴于对高轴压力作用下的受剪承载力尚缺乏试验研究,公式中对轴压力的有利作用给予了必要的限制,即不超过0.2fcbh。

条文说明
11.7.5 对偏心受拉剪力墙的受剪承载力未做过试验研究。本条根据其受力特征,参照一般偏心受拉构件的受剪性能规律及偏心受压剪力墙的受剪承载力计算公式,给出了偏心受拉剪力墙的受剪承载力计算公式。

条文说明
11.7.6 水平施工缝处的竖向钢筋配置数量需满足受剪要求。根据剪力墙水平缝剪摩擦理论以及对剪力墙施工缝滑移问题的试验研究,并参照国外有关规范的规定提出本条的要求。


条文说明
11.7.7 剪力墙及筒体的洞口连梁因跨度通常不大,竖向荷载相对偏小,主要承受水平地震作用产生的弯矩和剪力。其中,弯矩作用的反弯点位于跨中,各截面所受的剪力基本相等。在地震反复作用下,连梁通常采用上、下纵向钢筋用量基本相等的配筋方式,在受弯承载力极限状态下,梁截面的受压区高度很小,如忽略截面中纵向构造钢筋的作用,正截面受弯承载力计算时截面的内力臂可近似取为截面有效高度h0与a's的差值。在设置有斜筋的连梁中,受弯承载力中应考虑穿过连梁端截面顶部和底部的斜向钢筋在梁端截面中的水平分量的抗弯作用。

条文说明
11.7.8 为了实现强剪弱弯,使连梁具有一定的延性,对于普通配筋连梁给出了连梁剪力设计值的增大系数。对于配置斜筋的连梁,由于斜筋的水平分量会提高梁的抗弯能力,而竖向分量会提高梁的抗剪能力,因此对配置斜筋的连梁,不能通过增加斜筋数量单纯提高梁的抗剪能力,形成强剪弱弯。考虑到满足本规范第11.7.10条规定的连梁已具有必要的延性,故对这几种配置斜筋连梁的剪力增大系数。可取为1.0。
11.7.9 各抗震等级的剪力墙及筒体洞口连梁,当配置普通箍筋时,其截面限制条件及斜截面受剪承载力应符合下列规定:

条文说明
11.7.9~11.7.11 02版规范缺少对跨高比小于2.5的剪力墙连梁抗震受剪承载力设计的具体规定。目前在进行小跨高比剪力墙连梁的抗震设计中,为防止连梁过早发生剪切破坏,通常在进行结构内力分析时,采用较大幅度地折减连梁的刚度以降低连梁的作用剪力。近年来对混凝土剪力墙结构的非线性动力反应分析以及对小跨高比连梁的抗震受剪性能试验表明,较大幅度人为折减连梁刚度的做法将导致地震作用下连梁过早屈服,延性需求增大,并且仍不能避免发生延性不足的剪切破坏。国内外进行的连梁抗震受剪性能试验表明,通过改变小跨高比连梁的配筋方式,可在不降低或有限降低连梁相对作用剪力(即不折减或有限折减连梁刚度)的条件下提高连梁的延性,使该类连梁发生剪切破坏时,其延性能力能够达到地震作用时剪力墙对连梁的延性需求。在对试验结果及相关成果进行分析研究的基础上,本次规范修订补充了跨高比小于2.5的连梁的抗震受剪设计规定。 跨高比小于2.5时的连梁抗震受剪试验结果表明,采取不同的配筋方式,连梁达到所需延性时能承受的最大剪压比是不同的。本次修订增加了跨高比小于2.5适用于两个剪压比水平的3种不同配筋形式连梁各自的配筋计算公式和构造措施。其中配置普通箍筋连梁的设计规定是参考我国现行行业标准《高层建筑混凝土结构技术规程》JGJ 3的相关规定和国内外的试验结果得出的;交叉斜筋配筋连梁的设计规定是根据近年来国内外试验结果及分析得出的;集中对角斜筋配筋连梁和对角暗撑配筋连梁是参考美国ACI 318—08规范的相关规定和国内外进行的试验结果给出的。国内外各种配筋形式连梁的试验结果表明,发生破坏时连梁位移延性指标,能够达到非线性地震反应分析时结构对连梁的延性需求,设计时可根据连梁的适应条件以及连梁宽度等要求选择相应的配筋形式和设计方法。
11.7.10 对于一、二级抗震等级的连梁,当跨高比不大于2.5时,除普通箍筋外宜另配置斜向交叉钢筋,其截面限制条件及斜截面受剪承载力可按下列规定计算:
1 当洞口连梁截面宽度不小于250mm时,可采用交叉斜筋配筋(图11.7.10—1),其截面限制条件及斜截面受剪承载力应符合下列规定:


2 当连梁截面宽度不小于400mm时,可采用集中对角斜筋配筋(图11.7.10—2)或对角暗撑配筋(图11.7.10—3),其截面限制条件及斜截面受剪承载力应符合下列规定:
1)受剪截面应符合式(11.7.10—1)的要求。
2)斜截面受剪承载力应符合下列要求:

11.7.11 剪力墙及筒体洞口连梁的纵向钢筋。斜筋及箍筋的构造应符合下列要求:
1 连梁沿上、下边缘单侧纵向钢筋的最小配筋率不应小于0.15%,且配筋不宜少于2Φ12;交叉斜筋配筋连梁单向对角斜筋不宜少于2Φ12,单组折线筋的截面面积可取为单向对角斜筋截面面积的一半,且直径不宜小于12mm;集中对角斜筋配筋连梁和对角暗撑连梁中每组对角斜筋应至少由4根直径不小于14mm的钢筋组成。
2 交叉斜筋配筋连梁的对角斜筋在梁端部位应设置不少于3根拉筋,拉筋的间距不应大于连梁宽度和200mm的较小值,直径不应小于6mm;集中对角斜筋配筋连梁应在梁截面内沿水平方向及竖直方向设置双向拉筋,拉筋应勾住外侧纵向钢筋,间距不应大于200mm,直径不应小于8mm;对角暗撑配筋连梁中暗撑箍筋的外缘沿梁截面宽度方向不宜小于梁宽的一半,另一方向不宜小于梁宽的1/5;对角暗撑约束箍筋的间距不宜大于暗撑钢筋直径的6倍,当计算间距小于100mm时可取100mm,箍筋肢距不应大于350mm。
除集中对角斜筋配筋连梁以外,其余连梁的水平钢筋及箍筋形成的钢筋网之间应采用拉筋拉结,拉筋直径不宜小于6mm,间距不宜大于400mm。
3 沿连梁全长箍筋的构造宜按本规范第11.3.6条和第11.3.8条框架梁梁端加密区箍筋的构造要求采用;对角暗撑配筋连梁沿连梁全长箍筋的间距可按本规范表11.3.6—2中规定值的两倍取用。
4 连梁纵向受力钢筋、交叉斜筋伸入墙内的锚固长度不应小于laE,且不应小于600mm;顶层连梁纵向钢筋伸入墙体的长度范围内,应配置间距不大于150mm的构造箍筋,箍筋直径应与该连梁的箍筋直径相同。
5 剪力墙的水平分布钢筋可作为连梁的纵向构造钢筋在连梁范围内贯通。当梁的腹板高度hw不小于450mm时,其两侧面沿梁高范围设置的纵向构造钢筋的直径不应小于10mm,间距不应大于200mm;对跨高比不大于2.5的连梁,梁两侧的纵向构造钢筋的面积配筋率尚不应小于0.3%。
11.7.12 剪力墙的墙肢截面厚度应符合下列规定:
1 剪力墙结构:一、二级抗震等级时,一般部位不应小于160mm,且不宜小于层高或无支长度的1/20;三、四级抗震等级时,不应小于140mm,且不宜小于层高或无支长度的1/25。一、二级抗震等级的底部加强部位,不应小于200mm,且不宜小于层高或无支长度的1/16,当墙端无端柱或翼墙时,墙厚不宜小于层高或无支长度的1/12。
2 框架-剪力墙结构:一般部位不应小于160mm,且不宜小于层高或无支长度的1/20;底部加强部位不应小于200mm,且不宜小于层高或无支长度的1/16。
3 框架-核心筒结构、筒中筒结构:一般部位不应小于160mm,且不宜小于层高或无支长度的1/20;底部加强部位不应小于200mm,且不宜小于层高或无支长度的1/16。筒体底部加强部位及其上一层不宜改变墙体厚度。
条文说明
11.7.12 为保证剪力墙的承载力和侧向(平面外)稳定要求,给出了各种结构体系剪力墙肢截面厚度的规定。与02版规范相比,本次修订根据近年来的工程经验对各类结构中剪力墙的最小厚度规定作了进一步的细化和局部调整。 因端部无端柱或翼墙的剪力墙与端部有端柱或翼墙的剪力墙相比,其正截面受力性能、变形能力以及端部侧向稳定性能均有一定降低。试验表明,极限位移将减小一半左右,耗能能力将降低20%左右。故适当加大了一、二级抗震等级墙端无端柱或翼墙的剪力墙的最小墙厚。 本次修订,对剪力墙最小厚度除具体尺寸要求外,还给出了用层高或无支长度的分数表示的厚度要求。其中,无支长度是指墙肢沿水平方向上无支撑约束的最大长度。
11.7.13 剪力墙厚度大于140mm时,其竖向和水平向分布钢筋不应少于双排布置。
条文说明
11.7.13 为了提高剪力墙侧向稳定和受弯承载力,规定了剪力墙厚度大于140mm时,应配置双排或多排钢筋。
11.7.14 剪力墙的水平和竖向分布钢筋的 最小 配筋 率 应 按现行强制性工程建设规范《混凝土结构通用规范》GB55008执行。 符合下列规定:
1 一、二、三级抗震等级的剪力墙的水平和竖向分布钢筋配筋率均不应小于0.25%;四级抗震等级剪力墙不应小于0.2%;
2 部分框支剪力墙结构的剪力墙底部加强部位,水平和竖向分布钢筋配筋率不应小于0.3%。
注:对高度小于24m且剪压比很小的四级抗震等级剪力墙,其竖向分布筋最小配筋率应允许按0.15%采用。
条文说明
11.7.14
根据试验研究和设计经验,并参考国外有关规范的规 定,按不同的结构体系和不同的抗震等级规定了水平和竖向分 布钢筋的最小配筋率的限值。
美国ACI 318规定,当抗震结构墙的设计剪力小于Ae√f.(A为腹板截面面积,f'c为混凝土的规定抗压强度,该设计剪力对 应的剪压比小于0.02)时,腹板的竖向分布钢筋允许降到同非抗震的要求。因此,本次修订,四级抗震墙的剪压比低于上述数值时,竖向分布筋允许按不小于0.15%控制。
条文说明
11.7.14 根据试验研究和设计经验,并参考国外有关规范的规定,按不同的结构体系和不同的抗震等级规定了水平和竖向分布钢筋的最小配筋率的限值。 美国ACI 318规定,当抗震结构墙的设计剪力小于
为腹板截面面积,f'c为混凝土的规定抗压强度,该设计剪力对应的剪压比小于0.02)时,腹板的竖向分布钢筋允许降到同非抗震的要求。因此,本次修订,四级抗震墙的剪压比低于上述数值时,竖向分布筋允许按不小于0.15%控制。
11.7.15 剪力墙水平和竖向分布钢筋的间距不宜大于300mm,直径不宜大于墙厚的1/10,且不应小于8mm 竖向分布钢筋直径不宜小于10mm。
部分框支剪力墙结构的底部加强部位,剪力墙水平和竖向分布钢筋的间距不宜大于200mm。
条文说明
11.7.15 给出了剪力墙分布钢筋最大间距、最大直径和最小直径的规定。
11.7.16 一、二、三级抗震等级的剪力墙,其底部加强部位的墙肢轴压比不宜超过表11.7.16的限值。

注:剪力墙肢轴压比指在重力荷载代表值作用下墙的轴压力设计值与墙的全截面面积和混凝土轴心抗压强度设计值乘积的比值。
条文说明
11.7.16~11.7.19 剪力墙肢和筒壁墙肢的底部在罕遇地震作用下有可能进入屈服后变形状态。该部位也是防止剪力墙结构、框架-剪力墙结构和筒体结构在罕遇地震作用下发生倒塌的关键部位。为了保证该部位的抗震延性能力和塑性耗能能力,通常采用的抗震构造措施包括:(1)对一、二、三级抗震等级的剪力墙肢和筒壁墙肢的轴压比进行限制;(2)对一、二、三级抗震等级的剪力墙肢和筒壁墙肢,当底部轴压比超过一定限值后,在墙肢或筒壁墙肢两侧设置约束边缘构件,同时对约束边缘构件中纵向钢筋的最低配置数量以及约束边缘构件范围内箍筋的最低配置数量作出限制。 设计中应注意,表11.7.16中的轴压比限值是一、二、三级抗震等级的剪力墙肢和筒壁墙肢应满足的基本要求。而表11.7.17中的“最大轴压比”则是在剪力墙肢和筒壁墙肢底部设置约束边缘构件的必要条件。 对剪力墙肢和筒壁墙肢底部约束边缘构件中纵向钢筋最低数量作出规定,除为了保证剪力墙肢和筒壁墙肢底部所需的延性和塑性耗能能力之外,也是为了对剪力墙肢和筒壁墙肢底部的抗弯能力作必要的加强,以便在联肢剪力墙和联肢筒壁墙肢中使塑性铰首先在各层洞口连梁中形成,而使剪力墙肢和筒壁墙肢底部的塑性铰推迟形成。 本次修订提高了三级抗震等级剪力墙的设计要求。
11.7.17 剪力墙两端及洞口两侧应设置边缘构件,并宜符合下列要求:
1 一、二、三级抗震等级剪力墙,在重力荷载代表值作用下,当墙肢底截面轴压比大于表11.7.17规定时,其底部加强部位及其以上一层墙肢应按本规范第11.7.18条的规定设置约束边缘构件;当墙肢轴压比不大于表11.7.17规定时,可按本规范第11.7.19条的规定设置构造边缘构件;

2 部分框支剪力墙结构中,一、二、三级抗震等级落地剪力墙的底部加强部位及以上一层的墙肢两端,宜设置翼墙或端柱,并应按本规范第11.7.18条的规定设置约束边缘构件;不落地的剪力墙,应在底部加强部位及以上一层剪力墙的墙肢两端设置约束边缘构件;
3 一、二、三级抗震等级的剪力墙的一般部位剪力墙以及四级抗震等级剪力墙,应按本规范第11.7.19条设置构造边缘构件;
4 对框架-核心筒结构,一、二、三级抗震等级的核心筒角部墙体的边缘构件尚应按下列要求加强:底部加强部位墙肢约束边缘构件的长度宜取墙肢截面高度的1/4,且约束边缘构件范围内宜全部采用箍筋;底部加强部位以上宜按本规范图11.7.18的要求设置约束边缘构件。
11.7.18 剪力墙端部设置的约束边缘构件(暗柱、端柱、翼墙和转角墙)应符合下列要求(图11.7.18):
1 约束边缘构件沿墙肢的长度lc及配箍特征值λv宜满足表11.7.18的要求,箍筋的配置范围及相应的配箍特征值λv和λv/2的区域如图11.7.18所示,其体积配筋率ρv应符合下列要求:

计算体积配箍率时,可适当计入满足构造要求且在墙端有可靠锚固的水平分布钢筋的截面面积。
2 一、二、三级抗震等级剪力墙约束边缘构件的纵向钢筋的截面面积,对图11.7.18所示暗柱、端柱、翼墙与转角墙分别不应小于图中阴影部分面积的1.2%、1.0%和1.0%。
3 约束边缘构件的箍筋或拉筋沿竖向的间距,对一级抗震等级不宜大于100mm,对二、三级抗震等级不宜大于150mm。



11.8 预应力混凝土结构构件
11.8 预应力混凝土结构构件
11.8.1 预应力混凝土结构可用于抗震设防烈度6度、7度、8度区,当9度区需采用预应力混凝土结构时,应有充分依据,并采取可靠措施。
无粘结预应力混凝土结构的抗震设计,应符合专门规定。
条文说明
11.8.1 多年来的抗震性能研究以及震害调查证明,预应力混凝土结构只要设计得当,重视概念设计,采用预应力筋和普通钢筋混合配筋的方式、设计为在活荷载作用下允许出现裂缝的部分预应力混凝土,采取保证延性的措施,构造合理,仍可获得较好的抗震性能。考虑到9度设防烈度地区地震反应强烈,对预应力混凝土结构的使用应慎重对待。故当9度设防烈度地区需要采用预应力混凝土结构时,应专门进行试验或分析研究,采取保证结构具有必要延性的有效措施。
11.8.2 抗震设计时,后张预应力框架、门架、转换层的转换大梁,宜采用有粘结预应力筋;承重结构的预应力受拉杆件和抗震等级为一级的预应力框架,应采用有粘结预应力筋。
11.8.3 预应力混凝土结构的抗震计算,应符合下列规定:
1 预应力混凝土框架结构的阻尼比宜取0.03;在框架-剪力墙结构、框架-核心筒结构及板柱-剪力墙结构中,当仅采用预应力混凝土梁或板时,阻尼比应取0.05;
2 预应力混凝土结构构件截面抗震验算时,在地震组合中,预应力作用分项系数,当预应力作用效应对构件承载力有利时应取用1.0,不利时应取用1.2;
3 预应力筋穿过框架节点核心区时,节点核心区的截面抗震受剪承载力应按本规范第11.6节的有关规定进行验算,并可考虑有效预加力的有利影响。
条文说明
11.8.3 研究表明,预应力混凝土框架结构在弹性阶段阻尼比约为0.03,当出现裂缝后,在弹塑性阶段可取与钢筋混凝土相同的阻尼比0.05;在框架-剪力墙、框架-核心筒或板柱-剪力墙结构中,对仅采用预应力混凝土梁或平板的情况,其阻尼比仍应取0.05进行抗震设计。
预应力混凝土结构构件的地震作用效应和其他荷载效应的基本组合主要按照现行国家标准《建筑抗震设计规范》GB 50011的有关规定确定,并加入了预应力作用效应项,预应力作用分项系数是参考国内外有关规范作出规定的。
由于预应力对节点的侧向约束作用,使节点混凝土处于双向受压状态,不仅可以提高节点的开裂荷载,也可提高节点的受剪承载力。国内试验资料表明,在考虑反复荷载使有效预应力降低后,可取预应力作用的承剪力Vp=0.4Npe,式中Npe为作用在节点核心区预应力筋的总有效预加力。
11.8.4 预应力混凝土框架的抗震构造,除应符合钢筋混凝土结构的要求外,尚应符合下列规定:
1 预应力混凝土框架梁端截面,计入纵向受压钢筋的混凝土受压区高度应符合本规范第11.3.1条的规定;按普通钢筋抗拉强度设计值换算的全部纵向受拉钢筋配筋率不宜大于2.5%。
2 在预应力混凝土框架梁中,应采用预应力筋和普通钢筋混合配筋的方式,梁端截面配筋宜符合下列要求。

注:对二、三级抗震等级的框架-剪力墙、框架-核心筒结构中的后张有粘结预应力混凝土框架,式(11.8.4)右端项系数1/3可改为1/4。
3 预应力混凝土框架梁梁端截面的底部纵向普通钢筋和顶部纵向受力钢筋截面面积的比值,应符合本规范第11.3.6条第2款的规定。计算顶部纵向受力钢筋截面面积时,应将预应力筋按抗拉强度设计值换算为普通钢筋截面面积。
框架梁端底面纵向普通钢筋配筋率尚不应小于0.2%。
4 当计算预应力混凝土框架柱的轴压比时,轴向压力设计值应取柱组合的轴向压力设计值加上预应力筋有效预加力的设计值,其轴压比应符合本规范第11.4.16条的相应要求。
5 预应力混凝土框架柱的箍筋宜全高加密。大跨度框架边柱可采用在截面受拉较大的一侧配置预应力筋和普通钢筋的混合配筋,另一侧仅配置普通钢筋的非对称配筋方式。
条文说明
11.8.4 框架梁是框架结构的主要承重构件之一,应保证其必要的承载力和延性。
试验研究表明,为保证预应力混凝土框架梁的延性要求,应对梁的混凝土截面相对受压区高度作一定的限制。当允许配置受压钢筋平衡部分纵向受拉钢筋以减小混凝土受压区高度时,考虑到截面受拉区配筋过多会引起梁端截面中较大的剪力,以及钢筋拥挤不方便施工的原因,故对纵向受拉钢筋的配筋率作出不宜大于2.5%的限制。
采用有粘结预应力筋和普通钢筋混合配筋的部分预应力混凝土是提高结构抗震耗能能力的有效途径之一。但预应力筋的拉力与预应力筋及普通钢筋拉力之和的比值要结合工程具体条件,全面考虑使用阶段和抗震性能两方面要求。从使用阶段看,该比值大一些好;从抗震角度,其值不宜过大。为使梁的抗震性能与使用性能较为协调,按工程经验和试验研究该比值不宜大于0.75。本规范公式(11.8.4)对普通钢筋数量的要求,是按该限值并考虑预应力筋及普通钢筋重心离截面受压区边缘纤维距离hp、hs的影响得出的。本条要求是在相对受压区高度、配箍率、钢筋面积As、 。等得到满足的情况下得出的。
梁端箍筋加密区内,底部纵向普通钢筋和顶部纵向受力钢筋的截面面积应符合一定的比例,其理由及规定同钢筋混凝土框架。
考虑地震作用组合的预应力混凝土框架柱,可等效为承受预应力作用的非预应力偏心受压构件,在计算中将预应力作用按总有效预加力表示,并乘以预应力分项系数1.2,故预应力作用引起的轴压力设计值为1.2Npe。
对于承受较大弯矩而轴向压力较小的框架顶层边柱,可以按预应力混凝土梁设计,采用非对称配筋的预应力混凝土柱,弯矩较大截面的受拉一侧采用预应力筋和普通钢筋混合配筋,另一侧仅配普通钢筋,并应符合一定的配筋构造要求。
11.8.5 后张预应力混凝土板柱-剪力墙结构,其板柱柱上板带的端截面应符合本规范第11.8.4条对受压区高度的规定和公式(11.8.4)对截面配筋的要求。
板柱节点应符合本规范第11.9节的规定。
11.8.6 后张预应力筋的锚具、连接器不宜设置在梁柱节点核心区内。
11.9 板柱节点
11.9 板柱节点
11.9.1 对一、二、三级抗震等级的板柱节点,应按本规范第11.9.3条及附录F进行抗震受冲切承载力验算。
11.9.2 8度设防烈度时宜采用有托板或柱帽的板柱节点,柱帽及托板的外形尺寸应符合本规范第9.1.10条的规定。同时,托板或柱帽根部的厚度(包括板厚),不应小于柱纵向钢筋直径的16倍,且托板或柱帽的边长不应小于4倍板厚与柱截面相应边长之和。
条文说明
11.9.2 关于柱帽可否在地震区应用,国外有试验及分析研究认为,若抵抗竖向冲切荷载设计的柱帽较小,在地震荷载作用下,较大的不平衡弯矩将在柱帽附近产生反向的冲切裂缝。因此,按竖向冲切荷载设计的小柱帽或平托板不宜在地震区采用。按柱纵向钢筋直径16倍控制板厚是为了保证板柱节点的抗弯刚度。本规范给出了平托板或柱帽按抗震设计的边长及板厚要求。
11.9.3 在地震组合下,当考虑板柱节点临界截面上的剪应力传递不平衡弯矩时,其考虑抗震等级的等效集中反力设计值Fl,eq可按本规范附录F的规定计算,此时,Fl为板柱节点临界截面所承受的竖向力设计值。由地震组合的不平衡弯矩在板柱节点处引起的等效集中反力设计值应乘以增大系数,对一、二、三级抗震等级板柱结构的节点,该增大系数可分别取1.7、1.5、1.3。
条文说明
11.9.3、11.9.4 根据分析研究及工程实践经验,对一级、二级和三级抗震等级板柱节点,分别给出由地震作用组合所产生不平衡弯矩的增大系数,以及板柱节点配置抗冲切钢筋,如箍筋、抗剪栓钉等受冲切承载力计算方法。对板柱-剪力墙结构,除在板柱节点处的板中配置抗冲切钢筋外,也可采用增加板厚、增加结构侧向刚度来减小层间位移角等措施,以避免板柱节点发生冲切破坏。
11.9.4 在地震组合下,配置箍筋或栓钉的板柱节点,受冲切截面及受冲切承载力应符合下列要求:


11.9.5 无柱帽平板宜在柱上板带中设构造暗梁,暗梁宽度可取柱宽加柱两侧各不大于1.5倍板厚。暗梁支座上部纵向钢筋应不小于柱上板带纵向钢筋截面面积的1/2,暗梁下部纵向钢筋不宜少于上部纵向钢筋截面面积的1/2。
暗梁箍筋直径不应小于8mm,间距不宜大于3/4倍板厚,肢距不宜大于2倍板厚;支座处暗梁箍筋加密区长度不应小于3倍板厚,其箍筋间距不宜大于100mm,肢距不宜大于250mm。
条文说明
11.9.5、11.9.6 强调在板柱的柱上板带中宜设置暗梁,并给出暗梁的配筋构造要求。为了有效地传递不平衡弯矩,板柱节点除满足受冲切承载力要求外,其连接构造亦十分重要,设计中应给予充分重视。 公式(11.9.6)是为了防止在极限状态下楼板塑性变形充分发育时从柱上脱落,要求两个方向贯通柱截面的后张预应力筋及板底普通钢筋受拉承载力之和不小于该层柱承担的楼板重力荷载代表值作用下的柱轴压力设计值。对于边柱和角柱,贯通钢筋在柱截面对边弯折锚固时,在计算中应只取其截面面积的一半。
11.9.6 沿两个主轴方向贯通节点柱截面的连续预应力筋及板底纵向普通钢筋,应符合下列要求:
1 沿两个主轴方向贯通节点柱截面的连续钢筋的总截面面积,应符合下式要求:

2 连续预应力筋应布置在板柱节点上部,呈下凹进入板跨中。
3 板底纵向普通钢筋的连接位置,宜在距柱面laE与2倍板厚的较大值以外,且应避开板底受拉区范围。
附录A 钢筋的公称直径、公称截面面积及理论重量
附录A 钢筋的公称直径、公称截面面积及理论重量

条文说明
表A.0.1 普通钢筋和预应力螺纹钢筋的公称直径是指与其公称截面面积相等的圆的直径。光面钢筋的公称截面面积与承载受力面积相同;而带肋钢筋承载受力的截面面积小于按理论重量计算的截面面积,基圆面积率约为0.94。而预应力螺纹钢筋的有关数值也不完全对应,故在表中以括号及注另行表达。必要时,尚应考虑基圆面积率的影响。


条文说明
表A.0.2 本规范将钢绞线外接圆直径称作公称直径;而公称截面面积即现行国家标准《预应力混凝土用钢绞线》GB/T 5224中的“参考截面面积”。由于捻绞松紧程度的不同,其值可能有波动,工程应用时如果有必要,可以根据实测确定。

条文说明
表A.0.3 钢丝的公称直径、公称截面面积及理论重量之间的关系与普通钢筋相似,但基圆面积率较大,约为0.97。
附录B 近似计算偏压构件侧移二阶效应的增大系数法
附录B 近似计算偏压构件侧移二阶效应的增大系数法
B.0.1 在框架结构、剪力墙结构、框架-剪力墙结构及筒体结构中,当采用增大系数法近似计算结构因侧移产生的二阶效应(P—△效应)时,应对未考虑P—△效应的一阶弹性分析所得的柱、墙肢端弯矩和梁端弯矩以及层间位移分别按公式(B.0.1—1)和公式(B.0.1—2)乘以增大系数ηs:

条文说明
B.0.1 根据本规范第5.3.4条的规定,必要时,也可以采用本附录给出的增大系数法来考虑各类结构中的P—△效应。根据结构中二阶效应的基本规律,P—△效应只会增大由引起结构侧移的荷载或作用所产生的构件内力,而不增大由不引起结构侧移的荷载(例如较为对称结构上作用的对称竖向荷载)所产生的构件内力。因此,在计算P—△效应增大后的杆件弯矩时,公式(B.0.1—1)中的ηs应只乘Ms。 因P—△效应既增大竖向构件中引起结构侧移的弯矩,同时也增大水平构件中引起结构侧移的弯矩,因此公式(B.0.1—1)同样适用于梁端控制截面的弯矩计算。另外,根据本规范第11.4.1条的规定,抗震框架各节点处柱端弯矩之和∑Mc应根据同一节点处的梁端弯矩之和ΣMb进行增大,因此,按公式(B.0.1—1)用ηs增大梁端引起结构侧移的弯矩,也能使P—△效应的影响在ΣMb和增大后的ΣMc中保留下来。

H0——所计算楼层的层高。
条文说明
B.0.2 本条对框架结构的ηs采用层增大系数法计算,各楼层计算出的ηs分别适用于该楼层的所有柱段。该方法直接引自《高层建筑混凝土结构技术规程》JGJ 3—2002。当用ηs按公式(B.0.1—1)增大柱端及梁端弯矩时,公式(B.0.2)中的楼层侧向刚度D应按第B.0.5条给出的构件折减刚度计算。

条文说明
B.0.3 剪力墙结构、框架-剪力墙结构和筒体结构中的ηs用整体增大系数法计算。用该方法算得的ηs适用于该结构全部的竖向构件。该方法直接引自《高层建筑混凝土结构技术规程》JGJ 3—2002。当用ηs按公式(B.0.1—1)增大柱端、墙肢端部和梁端弯矩时,应采用按第B.0.5条给出的构件折减刚度计算公式(B.0.3)中的等效竖向悬臂受弯构件的弯曲刚度EcJd。


条文说明
B.0.4 排架结构,特别是工业厂房排架结构的荷载作用复杂,其二阶效应规律有待详细探讨。到目前为止国内已完成的分析研究工作尚不足以提出更为合理的考虑二阶效应的设计方法,故继续沿用02版规范中的η—l0法考虑排架结构的P—△效应。其中,就工业厂房排架结构而言,除屋盖重力荷载外的其他各项荷载都将使排架产生侧移,同时也为了计算方便,故在该方法中采用将增大系数ηs统乘排架柱各截面组合弯矩的近似做法,即取M=ηs(Mns+Ms)=ηsM0。另外,在排架结构所用的ηs计算公式中考虑到:(1)目前所用钢材的强度水平普遍有所提高;(2)引起排架柱各截面弯矩的各项荷载中,大部分均属短期作用,故不再考虑引起极限曲率增长的长期作用影响系数;故将02版规范η公式中的1/1400改为1/1500。基于与第6.2.4条相同的理由,取消了02版规范η公式中的系数ζ2。

条文说明
B.0.5 细长钢筋混凝土偏心压杆考虑二阶效应影响的受力状态大致对应于受拉钢筋屈服后不久的非弹性受力状态。因此,在考虑二阶效应的结构分析中,结构内各类构件的受力状态也应与此相呼应。钢筋混凝土结构在这类受力状态下由于受拉区开裂以及其他非弹性性能的发展,从而导致构件截面弯曲刚度降低。由于各类构件沿长度方向各截面所受弯矩的大小不同,非弹性性能的发展特征也各有不同,这导致了构件弯曲刚度的降低规律较为复杂。为了便于工程应用,通常是通过考虑非弹性性能的结构分析,并参考试验结果,按结构非弹性侧向位移相等的原则,给出按构件类型的统一当量刚度折减系数(弹性刚度中的截面惯性矩仍按不考虑钢筋的混凝土毛截面计算)。本条给出的刚度折减系数是以我国完成的结构及构件非弹性性能模拟分析结果和试验结果为依据的,与国外规范给出的相应数值相近。
附录C 钢筋、混凝土本构关系与混凝土多轴强度准则
C.1 钢筋本构关系
附录C 钢筋、混凝土本构关系与混凝土多轴强度准则
C.1 钢筋本构关系
条文说明
本附录的内容与原规范基本相同,仅在混凝土一维本构关系中引入了损伤概念,并新增了混凝土的二维本构关系以及钢筋-混凝土之间的粘结-滑移本构关系。 本附录用于混凝土结构的弹塑性分析和结构的承载力验算。

条文说明
C.1.1 钢筋强度的平均值主要用于弹塑性分析时的本构关系,宜实测确定。本条文给出了基于统计的建议值。在89规范和02规范,钢筋强度参数采用的都是20世纪80年代的统计数据,当时统计的主要对象是HPB235、HRB335钢筋,表1中为上述钢筋强度的变异系数。2008~2010年对全国HRB335、HRB400和HRB500钢筋强度参数进行了统计分析,与20世纪80年代的统计结果相比,钢筋强度的变异系数略有减小,但考虑新统计数据有限,且缺少HRBF,RRB和HRB-E、HRBF-E系列钢筋的统计数据,本规范可参考表1的数值确定。 


条文说明



条文说明
C.1.3 新增了钢筋在反复荷载作用下的本构关系曲线,建议钢筋卸载曲线为直线,并给出了钢筋反向再加载曲线的表达式。
C.2 混凝土本构关系
C.2 混凝土本构关系
C.2.1 混凝土的抗压强度及抗拉强度的平均值fcm、ftm可按下列公式计算:

条文说明
C.2.1 混凝土强度的平均值主要用于弹塑性分析时的本构关系,宜实测确定。本条给出了基于统计的建议值。在89规范和02规范中,混凝土强度参数采用的都是20世纪80年代的统计数据,表2中数值为20世纪80年代以现场搅拌为主的混凝土的变异系数。目前全国普遍采用的都是商品混凝土。2008~2010年对全国商品混凝土参数进行了统计,结果表明,与20世纪80年代统计的现场搅拌混凝土相比,目前普遍采用的商品混凝土的变异系数略有减小,但因统计数据有限,本规范可参考表2中的数值采用。 
C.2.2 本节规定的混凝土本构模型应适用于下列条件:
1 混凝土强度等级C20~C80;
2 混凝土质量密度2200kg/m3~2400kg/m3;
3 正常温度、湿度环境;
4 正常加载速度。
条文说明
C.2.2 现有混凝土的强度和应力-应变本构关系大都是基于正常环境下的短期试验结果。若结构混凝土的材料种类、环境和受力条件等与标准试验条件相差悬殊,则其强度和本构关系都将发生不同程度的变化。例如,采用轻混凝土或重混凝土、全级配或大骨料的大体积混凝土、龄期变化、高温、截面非均匀受力、荷载长期持续作用、快速加载或冲击荷载作用等情况,均应自行试验测定,或参考有关文献作相应的修正。
C.2.3 混凝土单轴受拉的应力-应变曲线(图C.2.3)可按下列公式确定:


条文说明
C.2.3 混凝土单轴受拉的本构关系,原则上采用02版规范附录C的基本表达式与建议参数。根据近期相关的研究工作,给出了与之等效的损伤本构关系表述,以便与二维本构关系相协调。 修订后的混凝土单轴受拉应力-应变曲线分作上升段和下降段,二者在峰值点处连续。在原规范基础上引入了混凝土单轴受拉损伤参数。与原规范附录相似,曲线方程中引入形状参数,可适合不同强度等级混凝土的曲线形状变化。 表C.2.3中的参数按以下公式计算取值: 


条文说明



条文说明
C.2.5 新增了受压混凝土在重复荷载作用下的应力-应变本构曲线,以反映混凝土滞回、刚度退化及强度退化的特性。为简化表述,卸载段应力路径采用直线表达方式。




条文说明
C.2.6 根据近期相关的研究工作,给出了混凝土二维本构关系的表达式,以为混凝土非线性有限元分析提供依据。该本构关系包括了卸载本构方程,实现了一维卸载的残余应变与二维卸载残余应变计算的统一。
C.3 钢筋 混凝土粘结滑移本构关系
C.3 钢筋-混凝土粘结滑移本构关系
条文说明
修订规范新增了钢筋与混凝土的粘结应力-滑移本构关系,为结构大变形时进行更精确的分析提供了界面的粘结-滑移参数。 钢筋与混凝土之间的粘结应力-滑移本构关系适用范围与第C.1节、第C.2节相同。 建议的带肋钢筋与混凝土之间的粘结滑移本构关系是通过大量试验量测,经统计分析后提出的一般形式。影响粘结-滑移本构关系的因素很多,如混凝土的强度、级配,锚固钢筋的直径、强度、变形指标、外形参数,箍筋配置,侧向压力等都会影响粘结-滑移本构关系。因此,在条件许可的情况下,建议通近试验测定表达式中的参数。
C.3.1 混凝土与热轧带肋钢筋之间的粘结应力-滑移(τ-s)本构关系曲线(图C.3.1)可按下列规定确定,曲线特征点的参数值可按表C.3.1取用。


C.3.2 除热轧带肋钢筋外,其余种类钢筋的粘结应力-滑移本构关系曲线的参数值可根据试验确定。
C.4 混凝土强度准则
C.4 混凝土强度准则
C.4.1 当采用混凝土多轴强度准则进行承载力计算时,材料强度参数取值及抗力计算应符合下列原则:
1 当采用弹塑性方法确定作用效应时,混凝土强度指标宜取平均值;
2 当采用弹性方法或弹塑性方法分析结果进行构件承载力计算时,混凝土强度指标可根据需要,取其强度设计值(fc或ft)或标准值(fck或ftk)。
3 采用弹性分析或弹塑性分析求得混凝土的应力分布和主应力值后,混凝土多轴强度验算应符合下列要求:

fi——混凝土强度代表值,受拉为负,受压为正,且f1≥f2≥f3。
条文说明
C.4.1 当以应力设计方式采用多轴强度准则进行承载能力极限状态计算时,混凝土强度指标应以相对值形式表达,且可根据需要,对承载力计算取相对的设计值;对防连续倒塌计算取相对的标准值。
C.4.2 在二轴应力状态下,混凝土的二轴强度由下列4条曲线连成的封闭曲线(图C.4.2)确定;也可以根据表C.4.2—1、表C 4.2—2和表C.4.2—3所列的数值内插取值。
强度包络曲线方程应符合下列公式的规定:


条文说明
C.4.2 混凝土的二轴强度包络图为由4条曲线连成的封闭曲线(图C.4.2),图中每条曲线中应力符号均遵循“受拉为负、受压为正”的原则,根据其对应象限确定。根据相关的研究,给出了混凝土二维强度准则的分区表达式,这些表达式原则上也可以由前述混凝土本构关系给出。 为方便应用,二轴强度还可以根据表C.4.2—1~表C.4.2—3所列的数值内插取值。
C.4.3 混凝土在三轴应力状态下的强度可按下列规定确定:
1 在三轴受拉(拉-拉-拉)应力状态下,混凝土的三轴抗拉强度f3均可取单轴抗拉强度的0.9倍;
2 三轴拉压(拉-拉-压、拉-压-压)应力状态下混凝土的三轴抗压强度f1可根据应力比σ3/σ1和σ2/σ1按图C.4.3—1确定,或根据表C.4.3—1内插取值,其最高强度不宜超过单轴抗压强度的1.2倍;



条文说明

附录D 素混凝土结构构件设计
D.1 一般规定
附录D 素混凝土结构构件设计
条文说明
本附录的内容与02版规范附录A相同,对素混凝土结构构件的计算和构造作出了规定。
D.1 一般规定
D.1.1 素混凝土构件主要用于受压构件。素混凝土受弯构件仅允许用于卧置在地基上以及不承受活荷载的情况。
D.1.2 素混凝土结构构件应进行正截面承载力计算;对承受局部荷载的部位尚应进行局部受压承载力计算。
D.1.3 素混凝土墙和柱的计算长度l0可按下列规定采用:
1 两端支承在刚性的横向结构上时,取l0=H;
2 具有弹性移动支座时,取l0=1.25H~1.50H;
3 对自由独立的墙和柱,取l0=2H。
此处,H为墙或柱的高度,以层高计。
D.1.4 素混凝土结构伸缩缝的最大间距,可按表D.1.4的规定采用。
整片的素混凝土墙壁式结构,其伸缩缝宜做成贯通式,将基础断开。

D.2 受压构件
D.2 受压构件
D.2.1 素混凝土受压构件,当按受压承载力计算时,不考虑受拉区混凝土的工作,并假定受压区的法向应力图形为矩形,其应力值取素混凝土的轴心抗压强度设计值,此时,轴向力作用点与受压区混凝土合力点相重合。
素混凝土受压构件的受压承载力应符合下列规定:



D.2.3 素混凝土偏心受压构件,除应计算弯距作用平面的受压承载力外,尚应按轴心受压构件验算垂直于弯距作用平面的受压承载力。此时,不考虑弯距作用,但应考虑稳定系数φ的影响力。
D.3 受弯构件
D.3 受弯构件
D.3.1 素混凝土受弯构件的受弯承载力应符合下列规定:
1 对称于弯矩作用平面的截面

D.4 局部构造钢筋
D.4 局部构造钢筋
D.4.1 素混凝土结构在下列部位应配置局部构造钢筋:
1 结构截面尺寸急剧变化处;
2 墙壁高度变化处(在不小于1m范围内配置);
3 混凝土墙壁中洞口周围。
注:在配置局部构造钢筋后,伸缩缝的间距仍应按本规范表D.1.4中未配构造钢筋的现浇结构采用。
D.5 局部受压
D.5 局部受压
D.5.1 素混凝土构件的局部受压承载力应符合下列规定:
1 局部受压面上仅有局部荷载作用


附录E 任意截面、圆形及环形构件正截面承载力计算
附录E 任意截面、圆形及环形构件正截面承载力计算
E.0.1 任意截面钢筋混凝土和预应力混凝土构件,其正截面承载力可按下列方法计算:
1 将截面划分为有限多个混凝土单元、纵向钢筋单元和预应力筋单元(图E.0.1a),并近似取单元内应变和应力为均匀分布,其合力点在单元重心处;
2 各单元的应变按本规范第6.2.1条的截面应变保持平面的假定由下列公式确定(图E.0.1b):

4 混凝土单元的压应力和普通钢筋单元、预应力筋单元的应力应按本规范第6.2.1条的基本假定确定;
5 构件正截面承载力应按下列公式计算:


条文说明
E.0.1 本条给出了任意截面任意配筋的构件正截面承载力计算的一般公式。
随着计算机的普遍使用,对任意截面、外力和配筋的构件,正截面承载力的一般计算方法,可按本规范第6.2.1条的基本假定,通过数值积分方法进行迭代计算。在计算各单元的应变时,通常应通过混凝土极限压应变为εcu的受压区顶点作一条与中和轴平行的直线;在某些情况下,尚应通过最外排纵向受拉钢筋极限拉应变0.01为顶点作一条与中和轴平行的直线,然后再作一条与中和轴垂直的直线,以此直线作为基准线按平截面假定确定各单元的应变及相应的应力。
在建立本条公式时,为使公式的形式简单,坐标原点取在截面重心处;在具体进行计算或编制计算程序时,可根据计算的需要,选择合适的坐标系。
E.0.2 环形和圆形截面受弯构件的正截面受弯承载力,应按本规范第E.0.3条和第E.0.4条的规定计算。但在计算时,应在公式(E.0.3—1)、公式(E.0.3—3)和公式(K.0.4—1)中取等号,并取轴向力设计值N=0;同时,应将公式(E.0.3—2)、公式(E.0.3—4)和公式(E.0.4—2)中Nei以弯矩设计值M代替。
E.0.3 沿周边均匀配置纵向钢筋的环形截面偏心受压构件(图E.0.3),其正截面受压承载力宜符合下列规定:
1 钢筋混凝土构件




条文说明
E.0.3、E.0.4 环形及圆形截面偏心受压构件正截面承载力计算。
均匀配筋的环形、圆形截面的偏心受压构件,其正截面承载力计算可采用第6.2.1条的基本假定列出平衡方程进行计算,但计算过于繁琐,不便于设计应用。公式(E.0.3—1)~公式(E.0.3—6)及公式(E.0.4—1)~公式(E.0.4—4)是将沿截面梯形应力分布的受压及受拉钢筋应力简化为等效矩形应力图,其相对钢筋面积分别为α及αt,在计算时,不需判断大小偏心情况,简化公式与精确解误差不大。对环形截面,当α较小时实际受压区为环内弓形面积,简化公式可能会低估了截面承载力,此时可按圆形截面公式计算。
E.0.5 沿周边均匀配置纵向钢筋的环形和圆形截面偏心受拉构件,其正截面受拉承载力应符合本规范公式(6.2.25—1)的规定,式中的正截面受弯承载力设计值Mu可按本规范第E.0.2条的规定进行计算,但应取等号,并以Mu代替Nei。
附录F 板柱节点计算用等效集中反力设计值
附录F 板柱节点计算用等效集中反力设计值
F.0.1 在竖向荷载、水平荷载作用下的板柱节点,其受冲切承载力计算中所用的等效集中反力设计值Fl,eq可按下列情况确定:
1 传递单向不平衡弯矩的板柱节点
当不平衡弯矩作用平面与柱矩形截面两个轴线之一相重合时,可按下列两种情况进行计算:



条文说明
F.0.1 在垂直荷载、水平荷载作用下,板柱结构节点传递不平衡弯矩时,其等效集中反力设计值由两部分组成: 1 由柱所承受的轴向压力设计值减去柱顶冲切破坏锥体范围内板所承受的荷载设计值,即Fl; 



条文说明

F.0.3 在按本附录公式(F.0.1—5)、公式(F.0.1—6)进行板柱节点考虑传递双向不平衡弯矩的受冲切承载力计算中,如将本附录第F.0.2条的规定视作x轴(或y轴)的类似极惯性矩、几何尺寸及计算系数,则与其相应的y轴(或x轴)的类似极惯性矩、几何尺寸及计算系数,可将前述的x轴(或y轴)的相应参数进行置换确定。
F.0.4 当边柱、角柱部位有悬臂板时,临界截面周长可计算至垂直于自由边的板端处,按此计算的临界截面周长应与按中柱计算的临界截面周长相比较,并取两者中的较小值。在此基础上,应按本规范第F.0.2条和第F.0.3条的原则,确定板柱节点考虑受剪传递不平衡弯矩的受冲切承载力计算所用等效集中反力设计值Fl,eq的有关参数。
条文说明
F.0.4 当边柱、角柱部位有悬臂板时,在受冲切承载力计算中,可能是按图F.0.1所示的临界截面周长,也可能是如中柱的冲切破坏而形成的临界截面周长,应通过计算比较,以取其不利者作为设计计算的依据。
附录G 深受弯构件
附录G 深受弯构件
条文说明
根据分析及试验结果,国内外均将跨高比小于2的简支梁及跨高比小于2.5的连续梁视为深梁;而跨高比小于5的梁统称为深受弯构件(短梁)。其受力性能与一般梁有一定区别,故单列附录加以区别,作出专门的规定。
G.0.1 简支钢筋混凝土单跨深梁可采用由一般方法计算的内力进行截面设计;钢筋混凝土多跨连续深梁应采用由二维弹性分析求得的内力进行截面设计。
条文说明
G.0.1 对于深梁的内力分析,简支深梁与一般梁相同,但连续深梁的内力值及其沿跨度的分布规律与一般连续梁不同。其跨中正弯矩比一般连续梁偏大,支座负弯矩偏小,且随跨高比和跨数而变化。在工程设计中,连续深梁的内力应由二维弹性分析确定,且不宜考虑内力重分布。具体内力值可采用弹性有限元方法或查阅根据二维弹性分析结果制作的连续深梁的内力表格确定。
G.0.2 钢筋混凝土深受弯构件的正截面受弯承载力应符合下列规定:

条文说明
G.0.2 深受弯构件的正截面受弯承载力计算采用内力臂表达式,该式在l0/h=5.0时能与一般梁计算公式衔接。试验表明,水平分布筋对受弯承载力的作用约占10%~30%。故在正截面计算公式中忽略了这部分钢筋的作用。这样处理偏安全。


条文说明
G.0.3 本条给出了适用于l0/h<5.0的全部深受弯构件的受剪截面控制条件。该条件在l0/h=5时与一般受弯构件受剪截面控制条件相衔接。

条文说明
G.0.4 在深受弯构件受剪承载力计算公式中,竖向钢筋受剪承载力计算项的系数,根据第6.3.4条的修改由1.25调整为1.0。 此外,公式中混凝土项反映了随l0/h的减小,剪切破坏模式由剪压型向斜压型过渡,混凝土项在受剪承载力中所占的比例增大。而竖向分布筋和水平分布筋项则分别反映了从l0/h=5.0时只有竖向分布筋(箍筋)参与受剪,过渡到l0/h较小时只有水平分布筋能发挥有限受剪作用的变化规律。在l0/h=5.0时,该式与一般梁受剪承载力计算公式相衔接。 在主要承受集中荷载的深受弯构件的受剪承载力计算公式中,含有跨高比l0/h和计算剪跨比入两个参数。对于l0/h≤2.0的深梁,统一取λ=0.25;而l0/h≥5.0的一般受弯构件的剪跨比上、下限值则分别为3.0、1.5。为了使深梁、短梁、一般梁的受剪承载力计算公式连续过渡,本条给出了深受弯构在2.0<l0/h<5.0时λ上、下限值的线性过渡规律。 应注意的是,由于深梁中水平及竖向分布钢筋对受剪承载力的作用有限,当深梁受剪承载力不足时,应主要通过调整截面尺寸或提高混凝土强度等级来满足受剪承载力要求。

式中:Vk——按荷载效应的标准组合计算的剪力值。
此时可不进行斜截面受剪承载力计算,但应按本规范第G.0.10条、第G.0.12条的规定配置分布钢筋。
条文说明
G.0.5 试验表明,随着跨高比的减小,深梁斜截面抗裂能力有一定提高。为了简化计算,本条给出了防止深梁出现斜裂缝的验算条件,这是按试验结果偏下限给出的,并作了合理的放宽。当满足本条公式的要求时,可不再进行受剪承载力计算。
G.0.6 钢筋混凝土深梁在承受支座反力的作用部位以及集中荷载作用部位,应按本规范第6.6节的规定进行局部受压承载力计算。
条文说明
G.0.6 深梁支座的支承面和深梁顶集中荷载作用面的混凝土都有发生局部受压破坏的可能性,应进行局部受压承载力验算,在必要时还应配置间接钢筋。按本规范第G.0.7条的规定,将支承深梁的柱伸到深梁顶部能够有效地降低支座传力面发生局部受压破坏的可能性。
G.0.7 深梁的截面宽度不应小于140mm。当l0/h不小于1时,h/b不宜大于25;当l0/h小于1时,l0/b不宜大于25。 深梁的混凝土强度等级不应低于C20。 当深梁支承在钢筋混凝土柱上时,宜将柱伸至深梁顶。深梁顶部应与楼板等水平构件可靠连接。
条文说明
G.0.7 为了保证深梁平面外的稳定性,本条对深梁的高厚比(h/b)或跨厚比(l0/b)作了限制。此外,简支深梁在顶部、连续深梁在顶部和底部应尽可能与其他水平刚度较大的构件(如楼盖)相连接,以进一步加强其平面外稳定性。 本次对GB 50010-2010(2015年版)规范的局部修订,删除了“深梁的混凝土强度等级不应低于C20”的规定,相关规定
已包含在本标准第4.1.2条中。
G.0.8 钢筋混凝土深梁的纵向受拉钢筋宜采用较小的直径,且宜按下列规定布置:
1 单跨深梁和连续深梁的下部纵向钢筋宜均匀布置在梁下边缘以上0.2h的范围内(图G.0.8—1及图G.0.8—2)。

2 连续深梁中间支座截面的纵向受拉钢筋宜按图G.0.8—3规定的高度范围和配筋比例均匀布置在相应高度范围内。对于l0/h小于1的连续深梁,在中间支座底面以上0.2l0~0.6l0高度范围内的纵向受拉钢筋配筋率尚不宜小于0.5%。水平分布钢筋可用作支座部位的上部纵向受拉钢筋,不足部分可由附加水平钢筋补足,附加水平钢筋自支座向跨中延伸的长度不宜小于0.4l0(图G.0.8—2)。

条文说明
G.0.8 在弹性受力阶段,连续深梁支座截面中的正应力分布规律随深梁的跨高比变化,由此确定深梁的配筋分布。 当l0/h>1.5时,支座截面受压区约在梁底以上0.2h的高度范围内,再向上为拉应力区,最大拉应力位于梁顶;随着l0/h的减小,最大拉应力下移;到l0/h=1.0时,较大拉应力位于从梁底算起0.2h~0.6h的范围内,梁顶拉应力相对偏小。达到承载力极限状态时,支座截面因开裂导致的应力重分布使深梁支座截面上部钢筋拉力增大。 本条以图示给出了支座截面负弯矩受拉钢筋沿截面高度的分区布置规定,比较符合正常使用极限状态支座截面的受力特点。水平钢筋数量的这种分区布置规定,虽未充分反映承载力极限状态下的受力特点,但更有利于正常使用极限状态下支座截面的裂缝控制,同时也不影响深梁在承载力极限状态下的安全性。 本条保留了从梁底算起0.2h~0.6h范围内水平钢筋最低用量的控制条件,以减少支座截面在这一高度范围内过早开裂的可能性。
G.0.9 深梁的下部纵向受拉钢筋应全部伸入支座,不应在跨中弯起或截断。在简支单跨深梁支座及连续深梁梁端的简支支座处,纵向受拉钢筋应沿水平方向弯折锚固(图G.0.8—1),其锚固长度应按本规范第8.3.1条规定的受拉钢筋锚固长度la乘以系数1.1采用;当不能满足上述锚固长度要求时,应采取在钢筋上加焊锚固钢板或将钢筋末端焊成封闭式等有效的锚固措施。连续深梁的下部纵向受拉钢筋应全部伸过中间支座的中心线,其自支座边缘算起的锚固长度不应小于la。
条文说明
G.0.9 深梁在垂直裂缝以及斜裂缝出现后将形成拉杆拱的传力机制,此时下部受拉钢筋直到支座附近仍拉力较大,应在支座中妥善锚固。鉴于在“拱肋”压力的协同作用下,钢筋锚固端的竖向弯钩很可能引起深梁支座区沿深梁中面的劈裂,故钢筋锚固端的弯折建议改为平放,并按弯折180°的方式锚固。
G.0.10 深梁应配置双排钢筋网,水平和竖向分布钢筋直径均不应小于8mm,间距不应大于200mm。
当沿深梁端部竖向边缘设柱时,水平分布钢筋应锚入柱内。
在深梁上、下边缘处,竖向分布钢筋宜做成封闭式。
在深梁双排钢筋之间应设置拉筋,拉筋沿纵横两个方向的间距均不宜大于600mm,在支座区高度为0.4h,宽度为从支座伸出0.4h的范围内(图G.0.8—1和图G.0.8—2中的虚线部分),尚应适当增加拉筋的数量。
条文说明
G.0.10 试验表明,当仅配有两层钢筋网时,如果网与网之间未设拉筋,由于钢筋网在深梁平面外的变形未受到专门约束,当拉杆拱拱肋内斜向压力较大时,有可能发生沿深梁中面劈开的侧向劈裂型斜压破坏。故应在双排钢筋网之间配置拉筋。而且,在本规范图G.0.8—1和图G.0.8—2深梁支座附近由虚线标示的范围内应适当增配拉筋。
G.0.11 当深梁全跨沿下边缘作用有均布荷载时,应沿梁全跨均匀布置附加竖向吊筋,吊筋间距不宜大于200mm。
当有集中荷载作用于深梁下部3/4高度范围内时,该集中荷载应全部由附加吊筋承受,吊筋应采用竖向吊筋或斜向吊筋。竖向吊筋的水平分布长度s应按下列公式确定(图G.0.11a):
当h1不大于hb/2时
s=bb+hb (G.0.11—1)
当h1大于hb/2时
s=bb+2h1 (G.0.11—2)
式中:bb——传递集中荷载构件的截面宽度;
hb——传递集中荷载构件的截面高度;
h1——从深梁下边缘到传递集中荷载构件底边的高度。
竖向吊筋应沿梁两侧布置,并从梁底伸到梁顶,在梁顶和梁底应做成封闭式。

条文说明
G.0.11 深梁下部作用有集中荷载或均布荷载时,吊筋的受拉能力不宜充分利用,其目的是为了控制悬吊作用引起的裂缝宽度。当作用在深梁下部的集中荷载的计算剪跨比λ>0.7时,按第9.2.11条规定设置的吊筋和按第 G.0.12条规定设置的竖向分布钢筋仍不能完全防止斜拉型剪切破坏的发生,故应在剪跨内适度增大竖向分布钢筋的数量。

条文说明
G.0.12 深梁的水平和竖向分布钢筋对受剪承载力所起的作用虽然有限,但能限制斜裂缝的开展。当分布钢筋采用较小直径和较小间距时,这种作用就越发明显。此外,分布钢筋对控制深梁中温度、收缩裂缝的出现也起作用。本条给出的分布钢筋最小配筋率是构造要求的最低数量,设计者应根据具体情况合理选择分布筋的配置数量。 本次对GB 50010-2010(2015年版)规范的局部修订,删除了HRB335牌号钢筋的规定;为了提高安全度,采用
HRB500、HRBF500牌号钢筋时,把深梁纵向受拉钢筋的最小 配筋率由0.15%提高到0.20%,把竖向分布钢筋的最小配筋率 由0.10%提高到0.15%。
G.0.13 除深梁以外的深受弯构件,其纵向受力钢筋、箍筋及纵向构造钢筋的构造规定与一般梁相同,但其截面下部1/2高度范围内和中间支座上部1/2高度范围内布置的纵向构造钢筋宜较一般梁适当加强。
条文说明
G.0.13 本条给出了对介于深梁和浅梁之间的“短梁”的一般性构造规定。
附录H 无支撑叠合梁板
附录H 无支撑叠合梁板
H.0.1 施工阶段不加支撑的叠合受弯构件(梁、板),内力应分别按下列两个阶段计算。
1 第一阶段 后浇的叠合层混凝土未达到强度设计值之前的阶段。荷载由预制构件承担,预制构件按简支构件计算;荷载包括预制构件自重、预制楼板自重、叠合层自重以及本阶段的施工活荷载。
2 第二阶段 叠合层混凝土达到设计规定的强度值之后的阶段。叠合构件按整体结构计算;荷载考虑下列两种情况并取较大值:
施工阶段 考虑叠合构件自重、预制楼板自重、面层、吊顶等自重以及本阶段的施工活荷载;
使用阶段 考虑叠合构件自重、预制楼板自重、面层、吊顶等自重以及使用阶段的可变荷载。
条文说明
H.0.1 本条给出“二阶段受力叠合受弯构件”在叠合层混凝土达到设计强度前的第一阶段和达到设计强度后的第二阶段所应考虑的荷载。在第二阶段,因为当叠合层混凝土达到设计强度后仍可能存在施工活荷载,且其产生的荷载效应可能超过使用阶段可变荷载产生的荷载效应,故应按这两种荷载效应中的较大值进行设计。
H.0.2 预制构件和叠合构件的正截面受弯承载力应按本规范第6.2节计算,其中,弯矩设计值应按下列规定取用:
预制构件
M1=M1G+M1Q (H.0.2—1)
叠合构件的正弯矩区段
M=M1G+M2G+M2Q (H.0.2—2)
叠合构件的负弯矩区段
M=M2G十M2Q (H.0.2—3)
式中:M1G——预制构件自重、预制楼板自重和叠合层自重在计算截面产生的弯矩设计值;
M2G——第二阶段面层、吊顶等自重在计算截面产生的弯矩设计值;
M1Q——第一阶段施工活荷载在计算截面产生的弯矩设计值;
M2Q——第二阶段可变荷载在计算截面产生的弯矩设计值,取本阶段施工活荷载和使用阶段可变荷载在计算截面产生的弯矩设计值中的较大值。
在计算中,正弯矩区段的混凝土强度等级,按叠合层取用;负弯矩区段的混凝土强度等级,按计算截面受压区的实际情况取用。
条文说明
H.0.2 本条给出了预制构件和叠合构件的正截面受弯承载力的计算方法。当预制构件高度与叠合构件高度之比h1/h较小(较薄)时,预制构件正截面受弯承载力计算中可能出现ζ>ζb的情况,此时纵向受拉钢筋的强度fy、fpy,应该用应力值σs、σp代替σs、σp应按本规范第6.2.8条计算,也可取ζ=ζb进行计算。
H.0.3 预制构件和叠合构件的斜截面受剪承载力,应按本规范第6.3节的有关规定进行计算。其中,剪力设计值应按下列规定取用:
预制构件
V1=V1G+V1Q (H.0.3—1)
叠合构件
V=V1G+V2G+V2Q (H.0.3—2)
式中:V1G——预制构件自重、预制楼板自重和叠合层自重在计算截面产生的剪力设计值;
V2G——第二阶段面层、吊顶等自重在计算截面产生的剪力设计值;
V1Q——第一阶段施工活荷载在计算截面产生的剪力设计值;
V2Q——第二阶段可变荷载产生的剪力设计值,取本阶段施工活荷载和使用阶段可变荷载在计算截面产生的剪力设计值中的较大值。
在计算中,叠合构件斜截面上混凝土和箍筋的受剪承载力设计值Vcs应取叠合层和预制构件中较低的混凝土强度等级进行计算,且不低于预制构件的受剪承载力设计值;对预应力混凝土叠合构件,不考虑预应力对受剪承载力的有利影响,取VP=0。
条文说明
H.0.3 由于二阶段受力叠合梁斜截面受剪承载力试验研究尚不充分,本规范规定叠合梁斜截面受剪承载力仍按普通钢筋混凝土梁受剪承载力公式计算。在预应力混凝土叠合梁中,由于预应力效应只影响预制构件,故在斜截面受剪承载力计算中暂不考虑预应力的有利影响。在受剪承载力计算中混凝土强度偏安全地取预制梁与叠合层中的较低者;同时受剪承载力应不低于预制梁的受剪承载力。
H.0.4 当叠合梁符合本规范第9.2节梁的各项构造要求时,其叠合面的受剪承载力应符合下列规定:

条文说明
H.0.4 叠合构件叠合面有可能先于斜截面达到其受剪承载能力极限状态。叠合面受剪承载力计算公式是以剪摩擦传力模型为基础,根据叠合构件试验结果和剪摩擦试件试验结果给出的。叠合式受弯构件的箍筋应按斜截面受剪承载力计算和叠合面受剪承载力计算得出的较大值配置。 不配筋叠合面的受剪承载力离散性较大,故本规范用于这类叠合面的受剪承载力计算公式暂不与混凝土强度等级挂钩,这与国外规范的处理手法类似。


条文说明
H.0.5、H.0.6 叠合式受弯构件经受施工阶段和使用阶段的不同受力状态,故预应力混凝土叠合受弯构件的抗裂要求应分别对预制构件和叠合构件进行抗裂验算。验算要求其受拉边缘的混凝土应力不大于预制构件的混凝土抗拉强度标准值。由于预制构件和叠合层可能选用强度等级不同的混凝土,故在正截面抗裂验算和斜截面抗裂验算中应按折算截面确定叠合后构件的弹性抵抗矩、惯性矩和面积矩。


条文说明
H.0.7 由于叠合构件在施工阶段先以截面高度小的预制构件承担该阶段全部荷载,使得受拉钢筋中的应力比假定用叠合构件全截面承担同样荷载时大。这一现象通常称为“受拉钢筋应力超前”。 当叠合层混凝土达到强度从而形成叠合构件后,整个截面在使用阶段荷载作用下除去在受拉钢筋中产生应力增量和在受压区混凝土中首次产生压应力外,还会由于抵消预制构件受压区原有的压应力而在该部位形成附加拉力。该附加拉力虽然会在一定程度上减小受力钢筋中的应力超前现象,但仍使叠合构件与同样截面普通受弯构件相比钢筋拉应力及曲率偏大,并有可能使受拉钢筋在弯矩准永久值作用下过早达到屈服。这种情况在设计中应予防止。 为此,根据试验结果给出了公式计算的受拉钢筋应力控制条件。该条件属叠合受弯构件正常使用极限状态的附加验算条件。该验算条件与裂缝宽度控制条件和变形控制条件不能相互取代。 由于钢筋混凝土构件采用荷载效应的准永久组合,计算公式作了局部调整。


条文说明
H.0.8 以普通钢筋混凝土受弯构件裂缝宽度计算公式为基础,结合二阶段受力叠合受弯构件的特点,经局部调整,提出了用于钢筋混凝土叠合受弯构件的裂缝宽度计算公式。其中考虑到若第一阶段预制构件所受荷载相对较小,受拉区弯曲裂缝在第一阶段不一定出齐;在随后由叠合截面承受M2k时,由于叠合截面的ρte相对偏小,有可能使最终的裂缝间距偏大。因此当计算叠合式受弯构件的裂缝间距时,应对裂缝间距乘以扩大系数1.05。这相当于将本规范公式(7.1.2—1)中的αcr由普通钢筋混凝土构件的1.9增大到2.0,由预应力混凝土构件的1.5增大到1.6。此外,还要用ρtelσslk+ρteσs2k取代普通钢筋混凝土梁ψ计算公式中的ρteσsk,以近似考虑叠合构件二阶段受力特点。 由于钢筋混凝土构件与预应力混凝土构件在计算正常使用极限状态后的裂缝宽度与挠度时,采用了不同的荷载效应组合,故分列公式表达裂缝宽度的计算。


条文说明
H.0.9 叠合受弯构件的挠度计算方法同前,本条给出了刚度B的计算方法。其考虑了二阶段受力的特征且按荷载效应准永久组合或标准组合并考虑荷载长期作用影响。该公式是在假定荷载对挠度的长期影响均发生在受力第二阶段的前提下,根据第一阶段和第二阶段的弯矩曲率关系导出的。
同样,由于钢筋混凝土构件与预应力混凝土构件在计算正常使用极限状态后的裂缝宽度与挠度时,采用了不同的荷载效应组合,故分列公式表达刚度的计算。

式中:Ecl——预制构件的混凝土弹性模量;
I0——叠合构件换算截面的惯性矩,此时,叠合层的混凝土截面面积应按弹性模量比换算成预制构件混凝土的截面面积。
条文说明
H.0.10~H.0.12 钢筋混凝土二阶段受力叠合受弯构件第二阶段短期刚度是在一般钢筋混凝土受弯构件短期刚度计算公式的基础上考虑了二阶段受力对叠合截面的受压区混凝土应力形成的滞后效应后经简化得出的。对要求不出现裂缝的预应力混凝土二阶段受力叠合受弯构件,第二阶段短期刚度公式中的系数0.7是根据试验结果确定的。
对负弯矩区段内第二阶段的短期刚度和使用阶段的预应力反拱值,给出了计算原则。
H.0.11 荷载准永久组合或标准组合下叠合式受弯构件负弯矩区段内第二阶段的短期刚度Bs2可按本规范公式(7.2.3—1)计算,其中,弹性模量的比值取αE=Es/Ecl。
H.0.12 预应力混凝土叠合构件在使用阶段的预应力反拱值可用结构力学方法按预制构件的刚度进行计算。在计算中,预应力钢筋的应力应扣除全部预应力损失;考虑预应力长期影响,可将计算所得的预应力反拱值乘以增大系数1.75。
附录J 后张曲线预应力筋由锚具变形和预应力筋内缩引起的预应力损失
附录J 后张曲线预应力筋由锚具变形和预应力筋内缩引起的预应力损失
J.0.1 在后张法构件中,应计算曲线预应力筋由锚具变形和预应力筋内缩引起的预应力损失。








条文说明
附录J 后张曲线预应力筋由锚具变形和预应力筋内缩引起的预应力损失 后张法构件的曲线预应力筋放张时,由于锚具变形和预应力筋内缩引起的预应力损失值,应考虑曲线预应力筋受到曲线孔道上反摩擦力的阻止,按变形协调原理,取张拉端锚具的变形和预应力筋内缩值等于反摩擦力引起的预应力筋变形值,可求出预应 

附录K 与时间相关的预应力损失
附录K 与时间相关的预应力损失
K.0.1 混凝土收缩和徐变引起预应力筋的预应力损失终极值可按下列规定计算:




条文说明
K.0.1、K.0.2 考虑预加力时的龄期、理论厚度等多种因素影响的混凝土收缩、徐变引起的预应力损失计算方法,是参考“部分预应力混凝土结构设计建议”的计算方法,并经过与本规范公式(10.2.5—1)~公式(10.2.5—4)计算结果分析比较后给出的。所采用的方法考虑了普通钢筋对混凝土收缩、徐变所引起预应力损失的影响,考虑预应力筋松弛对徐变损失计算值的影响,将徐变损失项按0.9折减。考虑预加力时的龄期、理论厚度影响的混凝土收缩应变和徐变系数终极值,系根据欧洲规范EN1992-2:《混凝土结构设计第1部分:总原则和对建筑结构的规定》提供的公式计算得出的。所列计算结果一般适用于周围空气相对湿度RH为40%~70%和70%~99%,温度为-20℃~+40℃,由一般的硅酸盐类水泥或快硬水泥配制而成的强度等级为C30~C50混凝土。在年平均相对湿度低于40%的条件下使用的结构,收缩应变和徐变系数终极值应增加30%。当无可靠资料时,混凝土收缩应变和徐变系数终极值可按表K.0.1—1及表K.0.1—2采用。对泵送混凝土,其收缩和徐变引起的预应力损失值亦可根据实际情况采用其他可靠数据。松弛损失和收缩、徐变中间值系数取自现行行业标准《铁路桥涵钢筋混凝土和预应力混凝土结构设计规范》TB 10002.3。
本附录K所列混凝土收缩和徐变引起的预应力损失计算方法,供需要考虑施加预应力时混凝土龄期、理论厚度影响,以及需要计算松弛及收缩、徐变损失随时间变化中间值的重要工程设计使用。 欧洲规范EN 1992—2中有关混凝土收缩应变和徐变系数计算公式及计算结果如下: 1 收缩应变 





《混凝土结构设计规范》GB50010-2010勘误表 



本规范用词说明
本规范用词说明
1 为了便于在执行本规范条文时区别对待,对要求严格程度不同的用词说明如下:
1)表示很严格,非这样做不可的:
正面词采用“必须”,反面词采用“严禁”;
2)表示严格,在正常情况下均应这样做的:
正面词采用“应”,反面词采用“不应”或“不得”;
3)表示允许稍有选择,在条件允许时首先这样做的:
正面词采用“宜”,反面词采用“不宜”;
4)表示有选择,在一定条件下可以这样做的,采用“可”。
2 规范中指定应按其他有关标准、规范执行时,写法为:“应符合……的规定”或“应按……执行”。
引用标准名录
引用标准名录
1 《工程结构可靠性设计统一标准》GB 50153
2 《建筑结构可靠度设计统一标准》GB 50068
3 《建筑结构荷载规范》GB 50009
4 《建筑抗震设计规范》GB 50011
5 《钢筋混凝土用钢》GB 1499
6 《预应力混凝土用钢丝》GB/T 5223
7 《预应力混凝土用钢绞线》GB/T 5224
8 《混凝土强度检验评定标准》GB/T 50107
9 《混凝土结构工程施工规范》GB 50666
10 《混凝土结构工程施工质量验收规范》GB 50204
自2022年4月1日起废止的条文

