Appearance
《混凝土升板结构技术标准[附条文说明]》GB/T 50130-2018
🗓️ 住房和城乡建设部 实施时间:2018-12-01
前言
中华人民共和国国家标准
混凝土升板结构技术标准
Technical standard for concrete lift-slab structures
GB/T 50130-2018
主编部门:中华人民共和国住房和城乡建设部
批准部门:中华人民共和国住房和城乡建设部
施行日期:2018年12月1日
中华人民共和国住房和城乡建设部公告
2018年第145号
住房城乡建设部关于发布国家标准《混凝土升板结构技术标准》的公告
现批准《混凝土升板结构技术标准》为国家标准,编号为GB/T 50130-2018,自2018年12月1日起实施。原《钢筋混凝土升板结构技术规范》GBJ 130-90同时废止。
本标准在住房城乡建设部门户网站(www.mohurd.gov.cn)公开,并由住房城乡建设部标准定额研究所组织中国建筑工业出版社出版发行。
中华人民共和国住房和城乡建设部
2018年7月10日
前言
根据住房和城乡建设部《关于印发2014年工程建设标准规范制订、修订计划的通知》(建标[2013]169号)的要求,标准编制组经广泛调查研究,认真总结工程实践经验,参考有关国际标准和国外先进标准,并在广泛征求意见的基础上,修订了本标准。
本标准的主要技术内容是:1.总则;2.术语和符号;3.基本规定;4.结构计算;5.结构设计;6.构件制作与安装;7.楼盖提升与固定;8.工程验收。
本次修订的主要内容是:
1.修订了简化计算时的等代框架法;
2.补充了升板结构房屋适用高度、构件抗震等级等规定;
3.补充了升板结构在水平荷载作用下的层间位移要求;
4.补充完善了升板结构计算规定;
5.增加了板柱-支撑结构的有关内容;
6.补充了提升系统的有关要求;
7.完善了构件制作与安装要求;
8.完善了工程验收要求。
本标准由住房和城乡建设部负责管理,由中国建筑科学研究院有限公司负责具体技术内容的解释。执行过程中如有意见或建议,请寄送中国建筑科学研究院(地址:北京市北三环东路30号;邮政编码:100013)。
本标准主编单位 :中国建筑科学研究院有限公司
镇江四建建设有限公司
本标准参编单位 :山东建筑大学
浙江省建筑设计研究院
华东建筑设计研究总院
上海建工集团股份有限公司
建研(北京)结构工程有限公司
东南大学
北京市建筑设计研究院有限公司
上海市建筑科学研究院
HALFEN(北京)建筑配件销售有限公司
大连城建设计研究院有限公司
北京建工一建工程建设有限公司
本标准主要起草人员 :冯大斌 代伟明 薛彦涛 聂永明 周学军 杨学林 朱莹 扶新立 杨翔虎 梁存之 解志广 孟少平 苗启松 张德锋 邓辉 董建伟 邱韶光 邹爱华 龚剑 曹现雷
本标准主要审查人员 :娄宇 钱稼茹 郑文忠 尤天直 黄兆纬 陈先德 罗斌 施炳华 刘亚非 崔士起 李晨光
条文说明
中华人民共和国国家标准 混凝土升板结构技术标准 GB/T50130-2018 条文说明 编制说明 《混凝土升板结构技术标准》GB/T50130-2018,经住房城乡建设部2018年7月10日以2018年第145号公告批准、发布。 本标准是在《钢筋混凝土升板结构技术规范》GBJ130-90的基础上修订而成的,上一版标准的主编单位是中国建筑科学研究院,参编单位有:北京市建筑设计院、北京市第一建筑工程公司、天津市建筑设计院、天津市第三建筑工程公司、华东建筑设计院、上海市第五建筑工程公司、上海市建筑科学研究所、同济大学、上海市纺织建筑工程公司、南京工学院、南京市第二建筑工程公司、无锡市建筑工程管理局、浙江省建筑设计院、浙江省建筑工程总公司和山东省青岛市机械化施工公司;标准的主要起草人为:张维嶽、董石麟、施炳华、陈芮、陈力、杨福海、梁瑞庭、陈效中、于崇根、王绍义、余安东、罗美成、杜训、刘德伐、董伟、周鸿仪、徐可安、康玉璞、冯秀和牟在根。 本标准修订过程中,编制组调查了升板结构在建筑工程领域的应用现状,总结了我国升板结构工程应用特别是结构提升技术和支撑技术的应用实践经验,同时参考了国外先进技术法规、技术标准,并通过试验研究等取得了一系列重要技术参数。 为便于广大设计、施工、科研、学校等单位有关人员在使用本标准时能正确理解和执行条文规定,《混凝土升板结构技术标准》编制组按章、节、条顺序编制了本标准的条文说明,对条文规定的目的、依据以及执行中需注意的有关事项进行了说明。但是,本条文说明不具备与标准正文同等的法律效力,仅供使用者作为理解和把握标准规定的参考。
1 总则
1 总 则
1.0.1 为在混凝土升板结构的设计、施工及验收中做到技术先进、经济合理、安全适用、确保质量,制定本标准。
条文说明
1.0.1混凝土升板结构,是指现场预制的楼盖通过提升工艺提升到设计标高并和竖向及水平结构构件连接而形成结构体系,该结构体系符合我国建筑工业化的产业政策,在设计、施工与验收中有区别于现浇结构的特点。为在保证工程质量的前提下,大力推动该结构体系在工程中的应用,获得更好的经济效益与社会效益,制定本标准。
1.0.2 本标准适用于抗震设防烈度不超过8度的建筑工程中混凝土升板结构的设计、施工及验收。
条文说明
1.0.2本条规定混凝土升板结构适用于设防烈度范围为6、7、8度的地区。国内目前升板结构的屋面最大高度为42m,抗震设防烈度为8度;在国外,已在地震区建成大量17层~22层的高层住宅。抗震设防烈度为9度地区,地震反应强烈,在对其抗震性能及连接节点的设计措施进行必要的试验或分析等研究,并经过有关专家审查认可后,也可以采用升板结构。
1.0.3 混凝土升板结构的设计、施工及验收除应符合本标准外,尚应符合国家现行有关标准的规定。
条文说明
1.0.3凡在我国现行标准中已有明确条文规定的,本标准原则上不再重复,因此,在升板结构的设计、施工与验收中,除符合本标准的规定外,还应符合我国现行有关标准的规定。
2 术语和符号
2.1 术语
2 术语和符号
2.1 术 语
2.1.1 升板结构 lift-slab structure
由安装在结构柱上的提升系统将在施工现场叠层预制的楼盖结构依次提升到设计标高位置,并通过后连接节点与竖向、水平结构构件连接而形成整体的结构体系,包括板柱结构、板柱-支撑结构、板柱-剪力墙结构。
2.1.2 板柱结构 slab-column structure
由水平构件为板和竖向构件为柱所组成的结构体系,楼板可采用平板、空心板或密肋板,板柱节点可设置柱帽。
2.1.3 板柱-支撑结构 slab-column-brace structure
由无梁楼板和柱组成的板柱框架与支撑组成的升板结构体系,支撑可采用普通钢支撑或屈曲约束支撑。
2.1.4 板柱-剪力墙结构 slab-column-shear wall structure
由无梁楼板和柱组成的板柱框架与剪力墙共同组成的升板结构体系。
2.1.5 预制构件 precast component
在工厂或施工现场预先制作的构件。
2.1.6 群柱稳定性 stability of grouped columns
升板结构在提升阶段,群柱在荷载作用下保持原有状态而不发生整体屈曲或失稳破坏的能力。
2.1.7 楼盖提升 floor lifting
在施工现场预制的楼盖由提升系统提升到设计标高的过程,可采用单板提升法或叠层提升法。
2.1.8 提升单元 lifting unit
楼盖在制作时事先划分的独立结构单元,应满足楼盖提升系统的提升能力及单元内群柱稳定性要求。
2.1.9 提升系统 lifting system
用于提升楼盖的设备系统,由动力系统、吊杆或吊索、支承系统等组成。
2.1.10 提升力 lift force
楼盖提升过程中吊杆或吊索所承担的最大荷载。
2.1.11 同步提升 synchronous lift
楼盖提升过程中,各提升点的提升速度一致或提升差异在控制范围以内。
2.2 符号
2.2 符 号
2.2.1 材料性能
E c ——混凝土弹性模量;
f c ——混凝土轴心抗压强度设计值;
f t ——混凝土轴心抗拉强度设计值;
f y ——钢材或普通钢筋抗拉强度设计值。
2.2.2 作用、作用效应及承载力
M——弯矩设计值;
M m 、M s ——格梁板楼盖中主、次梁弯矩设计值;
S——作用组合的效应设计值;
R——结构构件承载力设计值;
V——剪力设计值;
w——提升单元内全部柱所受均布风荷载设计值。
2.2.3 几何参数
A bq ——屈曲约束支撑截面面积;
A br ——普通钢支撑截面面积;
b ce ——柱帽在弯矩方向的宽度;
I m 、I s ——格梁板楼盖中主、次梁的截面惯性矩:
l 0 ——等代悬臂柱的计算长度;
l x 、l y ——x、y向的楼盖计算跨度;
u t ——齿槽外口周边长度。
2.2.4 计算系数及其他
α w ——基本周期考虑非承重墙影响的折减系数;
β i ——搁置折算系数;
γ 0 ——结构重要性系数;
γ 1 ——提升折算系数;
γ CQ ——施工活荷载作用分项系数;
γ G ——板自重作用分项系数;
γ l ——提升差异作用分项系数;
γ RE ——承载力抗震调整系数;
λ——支撑的长细比;
η——偏心距增大系数;
η L ——荷载效应放大系数。
3 基本规定
3.1 材料
3 基本规定
3.1 材 料
3.1.1 混凝土升板结构中,钢筋混凝土结构构件的混凝土强度等级不应低于C30,预应力混凝土结构构件的混凝土强度等级不宜低于C40。
条文说明
3.1.1对结构用混凝土,为符合我国“四节一环保”的技术政策,节约混凝土用量,推荐采用高强、高性能混凝土,对构件混凝土强度等级最低值作出规定。
3.1.2 混凝土升板结构中,纵向普通钢筋宜采用HRB400、HRB500钢筋;箍筋可采用HRB400、HRB335、HPB300钢筋;预应力筋宜采用预应力钢绞线;当采用钢柱或钢管混凝土柱时,钢材宜采用Q345或以上等级钢材。
条文说明
3.1.2本次修订根据“四节一环保”的要求,提倡应用高强、高性能钢材。 1推广具有较好的延性、可焊性、机械连接性能及施工适应性的HRB系列普通热轧带肋钢筋及Q345及以上钢材。 2推广400MPa、500MPa级高强热轧带肋钢筋作为纵向受力的主导钢筋;淘汰335MPa级热轧带肋钢筋的应用;用300MPa级光圆钢筋取代235MPa级光圆钢筋。 3箍筋用于抗剪、抗扭及抗冲切设计时,其抗拉强度设计值受到限制,不宜采用强度高于400MPa级的钢筋。当用作约束混凝土的间接配筋(如连续螺旋配箍或封闭焊接箍)时,其高强度可以得到充分发挥,采用500MPa级钢筋具有一定的经济效益。
3.1.3 混凝土、钢筋和钢材的力学性能指标等应符合现行国家标准《混凝土结构设计规范》GB 50010、《建筑抗震设计规范》GB 50011和《钢结构设计标准》GB 50017的规定。
条文说明
3.1.3现行国家标准《混凝土结构设计规范》GB50010和《钢结构设计标准》GB50017中,对混凝土、钢筋和钢材的力学性能指标有明确而具体的规定,本标准不再重复,在进行升板结构的设计时,可直接按其规定取用。同时,现行国家标准《建筑抗震设计规范》GB50011对于在有抗震设防要求的框架类构件中应用的钢筋和钢材的力学性能指标提出了明确的延性要求: 对按一、二、三级抗震等级设计的框架柱,其纵向受力钢筋的抗拉强度实测值与屈服强度实测值的比值不应小于1.25,屈服强度实测值与屈服强度标准值的比值不应大于1.3,且在最大拉力下的总伸长率实测值不应小于9%。要求纵向受力钢筋检验所得的抗拉强度实测值(即实测最大强度值)与受拉屈服强度的比值(强屈比)不小于1.25,目的是使结构某部位出现较大塑性变形或塑性铰后,钢筋在大变形条件下具有必要的强度潜力,保证构件的基本抗震承载力;要求钢筋受拉屈服强度实测值与钢筋的受拉强度标准值的比值(屈强比)不应大于1.3,主要是为了保证“强柱弱梁”、“强剪弱弯”设计要求的效果不致因钢筋屈服强度离散性过大而受到干扰;钢筋最大力下的总伸长率不应小于9%,主要为了保证在抗震大变形条件下,钢筋具有足够的塑性变形能力。现行国家标准《钢筋混凝土用钢第2部分:热轧带肋钢筋》GB1499.2中牌号带“E”的钢筋符合本条要求。其余钢筋牌号是否符合本条要求应经试验确定。 框架柱采用钢柱或钢管混凝土柱时,钢材应有良好的焊接性和合格的冲击韧性。钢结构中所用的钢材,应保证抗拉强度、屈服强度、冲击韧性合格及硫、磷和碳含量的限制值。抗拉强度是实际上决定结构安全储备的关键,伸长率反映钢材能承受残余变形量的程度及塑性变形能力,钢材的屈服强度不宜过高,同时要求有明显的屈服台阶,伸长率应大于20%,以保证构件具有足够的塑性变形能力;冲击韧性是抗震结构的要求。现行国家标准《低合金高强度结构钢》GB/T1591中,Q345钢分为A、B、C、D、E五个等级,其中A级钢不保证冲击韧性要求和延性性能的基本要求,故亦不建议采用。
3.1.4 升板结构的维护墙体宜采用轻质材料。
3.2 结构布置
3.2 结构布置
3.2.1 升板结构中,柱可设计为钢筋混凝土柱、钢管混凝土柱或钢柱,楼盖可根据柱网尺寸、荷载大小、刚度需求、楼板开洞状况及施工条件等设计为钢筋混凝土或预应力混凝土平板、密肋板、空心板或格梁板。
条文说明
3.2.1升板结构楼盖采用空心板时,宜设计为双向板,并在楼盖与柱连接区域、吊装节点区域设计为实心板以提高楼盖的受冲切承载力。
3.2.2 升板结构的整体布置应保证结构在施工过程中的稳定性。建筑物中的钢筋混凝土井筒等可作为抗侧力结构。
条文说明
3.2.2稳定性是对结构的基本要求。升板结构在施工过程中并未形成完整的结构体系,其竖向构件的稳定性在施工过程中应重点关注。升板结构在施工阶段的稳定性与使用阶段的抗侧力问题可以结合起来考虑,通常可利用建筑物中的钢筋混凝土井筒作为施工阶段提高稳定性的措施。
3.2.3 升板结构宜采用不设防震缝的结构方案。当需要设置时,防震缝宽度应符合下列规定:
1 板柱结构中防震缝宽度应符合现行国家标准《建筑抗震设计规范》GB 50011关于钢筋混凝土框架结构的相关规定;
2 板柱-剪力墙结构和板柱-支撑结构中防震缝宽度应符合现行国家标准《建筑抗震设计规范》GB 50011关于框架-剪力墙结构的相关规定。
条文说明
3.2.3升板结构设计时,一般情况下应采用不设置防震缝的结构方案,以最大限度满足建筑物的使用功能需求。当建筑物的平面或竖向布置不规则时,为减小不规则结构的不利地震影响,应设置防震缝将不规则的结构划分为几个相对比较规则的结构,以避免建筑物各部分刚度不一致,地震时受力复杂、相互碰撞。
3.2.4 升板结构楼盖中伸缩缝的最大间距不宜超过75m。当采取可靠措施后,伸缩缝的最大间距可适当增加。
条文说明
3.2.4升板结构中,楼盖是在施工现场预制的,在楼盖提升到设计标高并与竖向构件连接之前,其收缩是相对自由的。因此,本条参考现行国家标准《混凝土结构设计规范》GB50010中关于装配式楼盖的有关规定,给出了升板结构中伸缩缝的最大间距要求。
3.2.5 板柱结构的平面柱网结构布置宜均匀、对称。
条文说明
3.2.5震害调查表明,当结构布置不均匀时,升板结构的震害较为严重,因此应使结构的质量中心与刚度中心尽可能重合。
3.2.6 板柱-支撑结构中,支撑宜沿建筑物的两个主轴方向布置;支撑间距不宜超过楼盖宽度的2倍;支撑宜上、下连续布置,当不能连续布置时,宜在邻跨布置。
条文说明
3.2.6板柱结构的侧向刚度较小,地震作用下结构变形较大,不易满足使用要求。在板柱中适当布置支撑能有效提高板柱结构抗侧刚度,减小地震下结构的变形。支撑可以采用钢支撑或屈曲约束支撑,两种支撑均采用钢材制作。屈曲约束支撑是在钢支撑的基础上设置了特殊构造,对钢支撑的受压失稳进行了约束处理,支撑受压不会失稳,拉压性能一致。 板柱结构中支撑沿建筑物两个主轴方向布置,避免两个方向的刚度相差过大,同时避免刚度不对称而导致结构扭转。平面布置时,支撑间距不宜过大,间距大于2倍楼盖宽度时,宜采用弹性楼板计算,并适当增加楼板厚度。支撑沿竖向连续布置有利于支撑承担剪力的上下传递;不连续布置时,上层支撑承担的剪力会通过楼板传递到下层支撑,因此下层支撑不宜距离太远,邻跨布置较好,如在本榀框架中隔跨布置(图1),或在平行本榀框架的相邻框架中布置(图2),否则需验算楼板的承载力。薄弱层采用支撑时,其他楼层可不必布置支撑。 图1本榀框架隔跨布置
图2平行本榀框架布置
3.2.7 板柱-剪力墙结构中,剪力墙应沿建筑物的两个主轴方向均匀布置,并应符合下列规定:
1 剪力墙的间距不宜超过楼盖宽度的3倍,宜沿竖向贯通布置;
2 应避免楼板开洞对水平力传递的影响,当位于剪力墙之间的楼板有较大开洞时,应计入楼盖平面内变形的影响;
3 应形成双向抗侧力体系;
4 宜避免结构刚度偏心;
5 剪力墙的基础应有良好的整体性和抗转动能力。
条文说明
3.2.7本条对板柱-剪力墙结构中剪力墙的布置提出了原则规定,主要是为了保证结构体系的均匀、对称,构件受力合理、变形匀称,避免扭转等复杂受力状态。
3.3 结构设计
3.3 结构设计
3.3.1 升板结构应按提升与使用两个阶段进行设计。结构的截面尺寸、配筋宜由使用阶段的内力控制。提升阶段的提升程序及板柱节点的连接固定措施应结合施工工艺合理确定。
条文说明
3.3.1升板结构中,构件受力在提升与使用阶段有显著差异,因此应按两个阶段的实际受力状态分别进行设计。结构构件应进行承载能力极限状态承载力计算,同时应对持久设计状况和短暂设计状况进行正常使用极限状态时的变形、抗裂、裂缝宽度和截面应力验算,保证构件正常使用,这里的短暂状况主要指结构的施工阶段。在施工阶段,由于作用在构件上的荷载和正常使用状态时不完全一致,特别是楼盖提升过程中,结构柱的稳定性与楼盖提升程序密切相关,楼盖的内力还会受到不同提升点提升差异的影响,因此要求还应对升板结构中混凝土构件在施工阶段的实际受力状态进行验算,确保结构与构件的安全可靠。 由于提升阶段是短暂工况,在设计过程中应通过调整提升程序及提升控制要求,使提升阶段结构构件的内力不致成为控制内力。 楼盖的提升与施工单位的提升设备、技术力量等条件密切相关,因此楼盖的提升程序设计及节点连接做法应与施工单位协商确定,以确保工程质量及施工安全。
3.3.2 在升板结构中采用预应力混凝土楼盖时,其设计应符合国家现行标准《混凝土结构设计规范》GB 50010、《无粘结预应力混凝土结构技术规程》JGJ 92和《预应力混凝土结构抗震技术规程》JGJ 140的有关规定。
条文说明
3.3.2在楼盖中采用预应力技术时,多采用无粘结预应力工艺。楼盖的抗裂设计与计算,在现行行业标准《无粘结预应力混凝土结构技术规程》JGJ92中有详细的规定,设计时可按该规程的规定进行设计;预应力构件需要进行抗震设计时,还应符合现行行业标准《预应力混凝土结构抗震技术规程》JGJ140的规定。
3.3.3 直接承受动力荷载并需进行疲劳验算的混凝土升板结构,应经专门研究。
条文说明
3.3.3对混凝土结构的疲劳性能,国内外均缺乏深入的研究。因此,对直接承受动力荷载并需进行疲劳验算的升板结构,应结合工程实际进行专门研究,并在此基础上确定应采用的技术措施。
3.3.4 升板结构的承载力应采用下列设计表达式进行验算:
持久、短暂设计状况 γ 0 S≤R (3.3.4-1)
地震设计状况 S≤R/γ RE (3.3.4-2)
式中:γ 0 ——结构重要性系数,对安全等级为一级、二级和三级的结构构件,应分别取不小于1.1、1.0和0.9;
S——作用组合的效应设计值:对持久设计状况和短暂设计状况应按作用的基本组合计算;对地震设计状况应按作用的地震组合计算;
R——结构构件承载力设计值;
γ RE ——结构构件承载力抗震调整系数,应按现行国家标准《建筑抗震设计规范》GB 50011的规定取用。当仅计算竖向地震作用时,各类结构构件承载力抗震调整系数均应采用1.0。
条文说明
3.3.4本条规定的承载力设计表达式按现行国家标准《建筑结构可靠度设计统一标准》GB50068规定采用。
3.3.5 提升阶段板的内力设计值S l ,应按下式计算:

式中:S Bk ——板自重荷载效应标准值;
S CQk ——施工荷载效应标准值;计算时,施工荷载可按本标准第3.3.7条的规定取值;
S Lk ——提升差异作用效应标准值,按本标准第4.2.4条规定计算;
γ G ——板自重荷载的分项系数,按现行国家标准《建筑结构荷载规范》GB 50009的规定取用;
γ CQ ——施工荷载的分项系数,按现行国家标准《建筑结构荷载规范》GB 50009的规定取用;
γ l ——提升差异作用的分项系数,一般情况下取1.25;
K——动力系数,应取1.2。
3.3.6 使用阶段荷载基本组合的效应设计值应按下列公式计算:


式中:S——作用组合的效应设计值;
S Bk ——楼板自重荷载效应标准值;
S Sk ——楼板自重外的永久荷载效应标准值;
S Qk ——楼面活荷载效应标准值;
S GE ——重力荷载代表值的效应,按现行国家标准《建筑抗震设计规范》GB 50011的规定取用;
S wk ——风荷载效应标准值;
S Ehk ——水平地震作用效应标准值;
S Evk ——竖向地震作用效应标准值;
γ G ——永久荷载分项系数,按现行国家标准《建筑结构荷载规范》GB 50009的规定取用;
γ Q ——活荷载分项系数,按现行国家标准《建筑结构荷载规范》GB 50009的规定取用;
γ w ——风荷载的分项系数,按现行国家标准《建筑结构荷载规范》GB 50009的规定取用;
γ L ——活荷载考虑结构设计使用年限的调整系数,按现行国家标准《建筑结构荷载规范》GB 50009的规定取用;
γ Eh ——水平地震作用分项系数,按现行国家标准《建筑抗震设计规范》GB 50011的规定取用;
γ Ev ——竖向地震作用分项系数,按现行国家标准《建筑抗震设计规范》GB 50011的规定取用;
ψ Q ——活荷载组合值系数,按现行国家标准《建筑结构荷载规范》GB 50009的规定取用;
ψ w ——风荷载组合值系数,按现行国家标准《建筑结构荷载规范》GB 50009的规定取用。
3.3.7 升板结构承受的荷载和地震作用应符合下列规定:
1 荷载应按现行国家标准《建筑结构荷载规范》GB 50009的有关规定确定;
2 地震作用应按现行国家标准《建筑抗震设计规范》GB 50011的有关规定确定;
3 楼板上的施工荷载宜取0.5kN/m 2 ,顶层板施工荷载不宜大于1.5kN/m 2 ,当采用升提或升滑施工时可取2.5kN/m 2 ;有堆砖荷载时,堆砖荷载值不宜大于0.5kN/m 2 。
条文说明
3.3.7升板结构的永久荷载、活荷载、风荷载及地震作用参见相关标准取值,施工荷载按本条第3款的规定取值时,如果有堆砖荷载,堆砖荷载值应与施工荷载叠加。
3.3.8 按本标准设计的混凝土升板结构房屋的适用高度不应超过表3.3.8的规定。
表3.3.8 混凝土升板结构的最大适用高度(m)

条文说明
3.3.8升板结构抗侧能力较弱,只建议在6、7、8度区采用。9度采用时应进行专项论证。 升板结构中采用剪力墙后抗侧能力大幅提高,参考现行国家标准《建筑抗震设计规范》GB50011的相关规定,结合升板结构中板与柱连接节点的差异,将采用升板法施工工艺的板柱-剪力墙结构的适用高度适当降低。 支撑对板柱结构的刚度贡献虽较剪力墙小,但支撑的变形性能优于剪力墙,能够更好地与板柱结构共同工作,因此板柱-支撑结构的适用高度与板柱-剪力墙结构适用高度取值一样。 超过最大适用高度时,应通过专门研究,采取有效加强措施。
3.3.9 有抗震设防要求的混凝土升板结构,应按现行国家标准《建筑工程抗震设防分类标准》GB 50223的规定确定建筑抗震设防类别及抗震设防标准。
条文说明
3.3.9不同类型的建筑,应根据其使用功能及灾后影响,先依据现行国家标准《建筑工程抗震设防分类标准》GB50223确定设防类别及设防标准,再确定其抗震设防等级及需采用的抗震构造措施。
3.3.10 混凝土升板结构抗震设计时,应根据设防烈度、结构类型和房屋高度采用不同的抗震等级,并应符合相应的计算和构造规定。构件的抗震等级应符合下列规定:
1 丙类建筑的抗震等级应按本地区的设防烈度由表3.3.10确定,乙、丁类建筑应按现行国家标准《建筑抗震设计规范》GB 50011的规定调整烈度后,按表3.3.10确定抗震等级;
2 抗震设防烈度为6、7、8度时,钢柱的抗震等级应分别按四级、三级、二级采用,钢管混凝土柱的抗震等级应分别按三级、二级、一级采用;
3 确定与支撑相连柱的抗震措施时,应按本条第1、2款的规定提高一个抗震等级确定。
表3.3.10 混凝土升板结构的抗震等级

条文说明
3.3.10升板结构的抗震等级与结构高度、设防烈度、结构类型和设防分类相关,体现了对不同抗震设防类别、不同结构类型、不同设防烈度、同一设防烈度但不同高度的升板结构的延性要求的不同,以及同一种构件在不同结构类型中的延性要求的不同。 升板结构应根据抗震等级采取相应的抗震措施,包括抗震计算时的内力调整措施和各种抗震构造措施。乙类建筑应提高一度确定其抗震等级。
3.3.11 结构在多遇地震或风荷载作用下,楼层内最大弹性层间位移角宜符合表3.3.11的规定。
表3.3.11 弹性层间位移角限值

3.3.12 罕遇地震作用下,结构楼层最大弹塑性层间位移角宜符合表3.3.12的规定。
表3.3.12 楼层弹塑性层间位移角限值

3.3.13 升板结构中的预埋件和连接件等外露金属件应按不同环境类别进行封堵或防腐、防火处理,并应符合耐久性设计的有关规定。采用钢柱或钢管混凝土柱时,钢结构的防火处理应分别符合现行国家标准《钢结构设计标准》GB 50017和《钢管混凝土结构技术规范》GB 50936的规定。
条文说明
3.3.13升板结构中的金属预埋件,特别是楼板与柱(墙)连接预埋件的耐久性对升板结构耐久性至关重要。因此,应按升板结构所处的不同环境类别采取不同的防腐处理措施。通常情况下,预埋件和连接件在工厂加工时并不进行防腐处理,在后期安装施工后若不及时进行防腐处理或处理措施不到位,可能会降低其防腐能力,因此在施工时应及时进行防腐处理以保证结构的耐久性。 金属预埋件及钢结构构件的耐火极限不应低于升板结构的耐火极限要求,因此应按相关标准的要求根据不同的耐火极限要求采用不同的防火处理措施。
3.3.14 在设计使用期限内,未经技术鉴定或设计许可,不得改变混凝土升板结构的用途和使用环境。
条文说明
3.3.14各类建筑结构的设计使用年限并不一致,应按现行国家标准《建筑结构可靠度设计统一标准》GB50068的规定取用,相应的荷载设计值及耐久性措施均应依据设计使用年限确定。改变用途和使用环境(如超载使用、结构开洞、改变使用功能、使用环境恶化等)的情况均会影响其安全及使用年限。任何对结构的改变(无论是在建结构或既有结构)均须经设计许可或技术鉴定,以保证结构在设计使用年限内的安全和使用功能。
3.4 施工要求
3.4 施工要求
3.4.1 升板结构施工时,应根据设备提升能力及设计要求划分提升单元。单元的提升与连接固定方案应经设计单位认可。
条文说明
3.4.1楼盖的提升与施工单位的提升设备、技术力量等条件密切相关,同时也和提升阶段群柱的稳定性密切相关,因此,楼盖施工时应结合提升设备的能力和设计要求划分施工单元,以保证提升施工能顺利进行。由于提升单元之间相互独立,其钢筋等均应断开施工,在提升到位后再进行连接以保证楼盖的整体性,因此,单元的提升程序及连接固定做法应符合设计要求,以确保工程质量及施工安全。
3.4.2 电梯井筒、楼梯间剪力墙作为楼板提升过程的抗侧力结构时,宜先行施工。
条文说明
3.4.2在楼盖提升过程中,如果需要利用剪力墙或筒体作为抗侧力结构以提高提升过程中群柱的稳定性时,剪力墙与筒体宜先施工,并在达到设计规定的强度后方可作为抗侧力结构。
3.4.3 升板结构的施工应符合现行国家标准《混凝土结构工程施工规范》GB 50666及《钢结构工程施工规范》GB 50755的有关规定。
条文说明
3.4.3现行国家标准《混凝土结构工程施工规范》GB50666及《钢结构工程施工规范》GB50755分别规定了混凝土结构与钢结构在施工过程中的主要操作工艺及施工安装质量要求,升板结构在施工过程中应按照以上标准的有关规定进行操作,施工安装质量应符合该标准的规定。
3.4.4 升板结构施工中,楼盖的提升施工应编制专项施工方案,施工方案应经技术论证。
条文说明
3.4.4升板结构施工时,楼盖的提升施工对结构构件的内力及施工安全有重要影响,施工单位在施工之前应编制专项施工方案,对提升施工的程序、质量控制标准、安全措施等提出详细的技术要求及保证措施。对该专项施工方案,应根据现行国家标准《混凝土结构工程施工质量验收规范》GB50204的有关规定进行技术论证。
4 结构计算
4.1 一般规定
4 结构计算
4.1 一般规定
4.1.1 对提升阶段和使用阶段的升板结构分别进行计算时,计算模型可采用等代框架模型、等代梁模型或有限元模型。
条文说明
4.1.1升板结构的设计计算分施工过程中提升阶段的计算和正常使用阶段的计算。 提升阶段按提升方案计算楼板在自重下的内力分布,按弹性方法计算,同时须考虑提升差异产生的内力。采用等代梁模型计算时,楼板采用等代梁单元,按连续梁计算,计算得到的板弯矩按跨中板带和柱上板带分配;采用有限元计算时,楼板采用板单元或壳单元,楼板在柱或柱帽范围内开洞,洞口边设铰支撑,计算获得楼板应力分布.按柱上板带和跨中板带的应力积分得楼板内力。楼板计算时应考虑提升施工时的内力分布。 使用阶段计算包括楼面永久荷载、活荷载、风荷载和地震作用计算,其中楼面永久荷载、活荷载、风荷载和多遇地震下的计算按弹性计算,罕遇地震下按弹塑性计算。采用等代框架模型计算时,楼板采用等代梁单元,柱、支撑和梁采用杆单元,剪力墙采用臂式框架柱单元或壳单元。计算得到的板弯矩按跨中板带和柱上板带分配。采用有限元计算时,楼板和柱帽采用板单元或壳单元,柱、支撑和梁采用杆单元,剪力墙采用臂式框架柱单元或壳单元。楼板与柱或柱帽单元固接,计算获得楼板应力分布,按柱上板带和跨中板带的应力积分得到楼板内力。
4.1.2 板柱-剪力墙结构和板柱-支撑结构计算分析时,应分别考虑剪力墙和支撑施工顺序的影响。
条文说明
4.1.2板柱-剪力墙施工时,剪力墙与柱先施工,板提升到位后与剪力墙和柱相接,板提升过程中与墙连接边处于自由状态,因此需按悬臂计算。 板柱-支撑结构中,支撑应在主体结构完成后再安装,因此支撑不承担主体结构自重荷载。
4.1.3 升板结构中,楼盖受力复杂区域宜按有限元应力分析结果校核配筋设计。
条文说明
4.1.3升板结构的楼板如遇平面不规则、开洞和凹凸等情况,其受力采用等代梁方法计算误差较大,需采用有限元的方法计算分析楼板的应力分布,根据局部应力分布进行配筋校核。
4.2 提升阶段
4.2 提升阶段
Ⅰ 竖向荷载效应计算
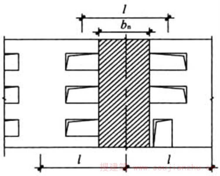
4.2.1 提升阶段,板的自重和施工荷载效应可采用等代梁法计算。采用等代梁法计算板的纵横两个方向的弯矩时,应符合下列规定:
1 等代梁的计算跨度应取柱中心线之间的距离,计算宽度应取垂直于计算跨度方向的两相邻区格板中心线之间的距离(图4.2.1)。
2 短期荷载作用下,等代梁的刚度可按下式计算:

式中:E c ——混凝土弹性模量(N/mm 2 );
I b ——等代梁的截面惯性矩(mm 4 )。对平板,I b 可取为 
,b x 、b y 为等代梁的计算宽度,h s 为平板的厚度;对密肋板,I b 可取为计算宽度范围内所

图4.2.1 板带划分及等代梁
1-柱上板带;2-跨中板带
有肋按T形截面计算的惯性矩之和;对空心板,I b 可取为计算宽度范围内所有肋按工形截面计算的惯性矩之和;对格梁板,I b 可取为柱轴线两侧板中心线范围内的T形截面主梁惯性矩与次梁惯性矩之和;密肋板与空心板肋的翼缘计算宽度和格梁板主梁及次梁的翼缘计算宽度应符合现行国家标准《混凝土结构设计规范》GB 50010的相关规定。
4.2.2 平板和空心板的等代梁弯矩设计值,可按表4.2.2的比例分配给柱上板带和跨中板带,在总弯矩不变的条件下,也可将柱上板带负弯矩的10%分配给跨中板带。
表4.2.2 平板与空心板柱上板带和跨中板带弯矩分配比例

注:本表为无悬臂板的弯矩分配经验系数。
4.2.3 两个方向主次梁相互垂直且相邻主梁间仅布置两根次梁的格梁板,其等代梁弯矩设计值应分别按下列公式分配给主次梁;其他情况的格梁板可按交叉梁结构计算。

式中:M——格梁板的等代梁弯矩设计值(N·mm);
M m 、M s ——分别为格梁板的主、次梁弯矩设计值(N·mm);
I m 、I s ——分别为格梁板的主、次梁的截面惯性矩(mm 4 );
E c ——混凝土弹性模量(N/mm 2 );
α——弯矩分配时次梁有效刚度系数,可按表4.2.3取用。
表4.2.3 弯矩分配时次梁有效刚度系数α

4.2.4 采用等代梁法计算内力时,提升差异内力应为分别计算仅由任一支座提升差异10mm产生的内力。
条文说明
4.2.4因提升差异在楼盖中产生的内力,可按照连续梁因支座产生位移后在梁中产生的内力进行计算。当采用先进提升设备时,根据设备控制精度,提升差异取值可适当减小。
4.2.5 提升阶段的平板自重和施工荷载效应也可采用楼板单元进行有限元计算,板与柱应采用铰接连接。
Ⅱ 稳定性验算
4.2.6 升板结构可采用单板逐层提升或叠层提升施工工艺,应由设计单位与施工单位根据实际情况共同研究确定。
4.2.7 在提升阶段,升板结构可按铰接排架模型简化为等代悬臂柱验算提升单元内群柱的稳定性,也可通过计算机仿真按铰接排架模型分析群柱稳定性,并应符合下列规定:
1 应对各个提升单元按实际的提升程序对搁置状态和正在提升状态分别进行群柱稳定性验算;
2 应验算底层板固定及相邻的前一个提升步的群柱稳定性;
3 当采用上承式承重销搁置板时,每层板应用楔块楔紧,未楔紧时应按受荷最大的单柱进行稳定性验算;
4 按等代悬臂柱计算时,其惯性矩应为该提升单元内所有单柱惯性矩的总和,并应承担单元内的全部荷载。
条文说明
4.2.7升板结构在提升阶段分为提升和搁置两种状态。在提升状态下,板通过提升吊杆与柱相连,无法传递力矩,板柱连接近似铰接。在临时搁置状态下,楼板通过承重销或螺栓搁置在柱上,这种状态基本上不能传递力矩,也只能视为铰接。因此,提升单元内一群独立柱之间靠平面内刚度很大的楼板相互联系,结构可作为铰接排架进行分析。通常,升板结构的中柱受荷载较大而边柱受荷载较小,中柱的失稳受到受荷载较小的边角柱约束,而边角柱则因中柱牵连而提前失稳,因此在楼板的联系下,中柱和边角柱被迫同时失稳。因此,把楼板看成与柱铰接的、刚度极大的水平连杆,升板结构在提升阶段不会单柱失稳而总是群柱失稳。该提升单元的铰接排架可简化为一等代悬臂柱进行计算,也可进行计算机仿真分析结构稳定性。
4.2.8 在提升阶段,升板结构的风荷载标准值应按现行国家标准《建筑结构荷载规范》GB 50009规定的10年一遇基本风压进行计算。当该提升单元有外墙体时,在顶层板以上应采用各柱风荷载的总和,在顶层板以下应采用墙和柱实际所受的风荷载。
条文说明
4.2.8我国现行国家标准《建筑结构荷载规范》GB50009规定的10年一遇最小的风荷载标准值为0.2kPa,其大小相当于七级风的风压,但考虑各地区风载差异,施工验算柱稳定性按照我国现行国家标准《建筑结构荷载规范》GB50009规定的10年一遇基本风压进行取值。
4.2.9 一个提升单元内的柱可按等代悬臂柱在两个主轴方向分别进行群柱稳定性验算。群柱稳定性应由等代悬臂柱偏心距增大系数η验算确定,当η小于0或大于3时,应改变提升工艺,也可增大柱截面尺寸或改变结构布置。偏心距增大系数η应按下式计算:

式中:η——偏心距增大系数;
γ F ——折算荷载修正系数,宜取1.10;
l 0 ——等代悬臂柱的计算长度(mm),应按本标准第4.2.12条的规定确定;
F c ——等代悬臂柱总的折算竖向荷载(N),应按本标准第4.2.13条的规定计算;
α s ——升板结构柱在提升阶段实际工作状态的系数,应按表4.2.9取值;
EI——提升单元内等代悬臂柱的柱底截面抗弯刚度总和(N·mm 2 ),应按本标准第4.2.10条的规定取值;
ξ——变刚度等代悬臂柱的截面刚度修正系数,应按本标准第4.2.11条的规定取值。
表4.2.9 柱实际工作状态系数α s

注:e 0 为偏心距,取等代悬臂柱按本标准公式(4.2.14)计算的柱底最大弯矩值与柱底以上的板、柱、提升机等重力荷载设计值及其他荷载设计值总和的比值;h c 为柱截面高度。
条文说明
4.2.9升板结构群柱在提升阶段的偏心距增大系数η与《钢筋混凝土结构设计规范》TJ10-74中的η很接近,但内容大不相同。 首先,升板结构柱的“长细比”较一般混凝土柱“长细比”大很多,它确实是稳定控制,从这点说更切合材料力学公式的含义,所以公式中F是用稳定的折算荷载Fc,即把作用在柱上各个不同高度的荷载,按等稳定度的原则都折算到最高着力点。一般混凝土柱不这样折算,是偏于安全的。相反,群柱稳定计算时,若不取Fc,则稳定验算太严且不符合实际。 其次,公式中I是等代悬臂柱的惯性矩,即提升单元内所有单柱柱底混凝土截面惯性矩综合,这就是考虑了群柱稳定。 第三,式中αs比《钢筋混凝土结构设计规范》TJ10-74中的αc提高了1.8倍~2.0倍,这是由于提升阶段所受的荷载是短期的,不必考虑徐变等降低柱刚度的因素;群柱的偶然偏心可部分抵消,没有单柱那么敏感;板柱节点尚能传递部分弯矩,计算长度可比2Hnl略小些。αs值经80多项工程的验算并经历了实际工程的实践,证明是可行的。但在实际应用时不宜放宽要求,否则安全度降低。相同条件下,相等偏心距柱的钢柱、钢管混凝土柱的材料强度、裂缝开展等优于钢筋混凝土柱,因此,在受压荷载作用下,钢柱、钢管混凝土柱的抗弯刚度EI降低要小于钢筋混凝土柱,用αs系数来修正上述三种柱的抗弯刚度略有保守。 本标准用γf代替了K。γf值根据荷载作用分项系数、材料强度设计值及K=1.4换算得来。 升提或升滑法施工时,现浇柱是变刚度柱,偏心距增大系数η与变刚度柱的刚度变化情况有关,可以采用迭代共轭梁法计算,本标准将算得的结果,列在附录中备查。柱刚度改变后,折算荷载也相应变小。为了简化计算,偏安全地不再考虑这一因素,仍选用与一般等刚度升板柱相同的方法计算Fc。《钢筋混凝土升板结构技术规范》GBJ130-90中单阶线性变截面柱的临界荷载是通过共轭梁法求得,此法解稳定问题的基本原理是利用
两个微分关系的相似性,虚梁的弯矩相当于实梁的挠度,先假定挠曲线为余弦函数,后求虚梁弯矩,即新的挠曲线,检查新老挠曲线的误差,如果满足精度要求,可算出临界荷载,否则继续迭代求解,由于悬臂柱变刚度,且有台阶,因此,挠曲线远非余弦曲线,分析时把变刚度部分分为n段,利用电算多次迭代求出。分析中主要涉及刚度和挠曲线两个基本参数,因此,此表仍适于钢管混凝土柱。
4.2.10 计算提升单元内等代悬臂柱的柱底截面抗弯刚度总和EI时,提升单元内等代悬臂柱在不同计算方向的截面抗弯刚度取值应与计算方向一致,并应符合下列规定:

式中:E ci ——第i根柱的柱底混凝土弹性模量;
E ai ——第i根柱的钢管弹性模量;
I ci ——第i根柱的柱底混凝土截面惯性矩;
I ai ——第i根柱的钢管截面惯性矩。
4.2.11 变刚度等代悬臂柱的截面刚度修正系数ξ的取值应符合下列规定:
1 当采用等截面预制柱时,ξ应取为1.0;
2 当采用单阶线性变截面柱时,ξ可按本标准表A.0.1采用;
3 当采用升提或升滑法的柱时,ξ可按本标准表A.0.2采用。
4.2.12 提升阶段柱的计算长度l 0 取值应符合下列规定:
1 柱的计算长度可按下式计算:

式中:H nl ——承重销底距柱底的高度。验算搁置状态时,取最高一层永久或临时搁置板处的承重销底距柱底的高度(图4.2.12-1);验算正在提升的状态时,取提升机处的承重销底距柱底的高度(图4.2.12-2);柱底应取混凝土地坪面,当地坪不是现浇混凝土时,应取柱杯口面。

图4.2.12-1 搁置状态时柱的计算简图

图4.2.12-2 正在提升状态时柱的计算简图
2 当下面一层或数层的板已就位且板柱节点已形成可靠的刚接时,柱底可取最高刚接层的层高一半处(图4.2.12-3、图4.2.12-4),其计算长度可按下式计算:

式中:H′ nl ——柱底以上的悬臂柱高度,其竖向荷载、风荷载及验算截面均以相应的柱底计算。当后浇柱帽的强度达到10MPa时,柱底位置取在该层层高的一半处;当有柱帽节点,但未浇筑柱帽前把全部柱与板进行符合无柱帽节点要求的可靠焊接时,柱底位置取在该层层高的 
处。

图4.2.12-3 一层或数层节点刚接后搁置状态时柱的计算简图

图4.2.12-4 一层或数层节点刚接后正在提升状态时柱的计算简图
3 当一个提升单元对称布置的内筒体,或在两个方向均有在施工阶段可起剪力墙作用的墙体且其间距不大于横向尺寸的三倍,并在提升和搁置状态均至少有一层楼板与其可靠连接时,柱计算长度可按下式计算:

式中:μ——计算长度系数。其值与筒体或剪力墙的刚度及连接位置有关,可按本标准附录B取用。
条文说明
4.2.12由于采用了等代悬臂柱的计算简图,若从最高着力点到嵌固端间的柱高为Hn1,则计算长度l0=2Hn1。搁置时最高着力点取最高一层板的承重销底,其上尽管还有提升设备的重力作用,但因其值相对较小,所以不认为是计算长度的起算点。提升时则应以提升设备位置为最高着力点。升板结构一般先浇筑地坪,后浇筑各层楼板,均以混凝土地坪当柱嵌固端。但若地坪不是混凝土或太薄,则以基础杯口为嵌固点。 升板群柱稳定验算一般控制η≤3,若不满足,不应急于修改柱的设计,而应首先考虑改进提升程序。板柱之间如果能做到刚接,柱的计算长度就会缩短,所以后浇柱帽的提前浇筑,是解决群柱稳定的一个重要措施。由于板柱也会整体侧移,所以柱帽处并不等于完全刚接,柱的反弯点会在已浇柱帽以下。当本层板后浇柱帽达到10MPa时,可认为板与柱能形成刚性连接,但上层板与柱仍为铰接,即板柱连接处不能传递弯矩,这时柱底部应取在柱变形曲线转角为0处,同时,为了计算简便并考虑板柱框架仍可出现侧移,故柱的计算长度起算点取在已刚接的节点以下H′n1/2处。施工经验表明,若在板柱间加以焊接,使板柱节点能传递部分弯矩,也可适当减少计算长度,但其作用不似后浇柱帽显著,可视焊接与连接板的承载能力大小而取反弯点在板柱焊接处以下Hi/4和Hi/3处。 当升板结构有对称的筒体或两个方向的剪力墙时,由于筒体具有强大的侧向刚度,却又不承担很多竖向荷载,故其对群柱起着一种弹性支撑作用。若柱高为Hn1,支承以上高度为H1,则按公式(1)和H1/Hn1可以求得群柱考虑筒体或剪力墙作用的计算长度l0。 
4.2.13 验算搁置状态的群柱稳定性时,折算竖向荷载F c 应按公式(4.2.13-1)计算;当验算一层板或叠层板正在提升而其他各层处于搁置状态的群柱稳定性时,竖向折算荷载F c 应按公式(4.2.13-2)计算。

式中:n——层数;
G 0i ——永久或临时搁置的第i层板所受的重力荷载设计值和按实际情况采用的其他荷载设计值(kN);屋面施工荷载标准值,对预制柱升板取0.5kN/m 2 ,升提、升滑法取1.5kN/m 2 ,楼面施工荷载在一般情况下可不计入;
G 0c ——折算的柱重力总和(kN);
G 01 ——正在提升的一层板(或叠层提升的数层板)所受的总重力及按实际情况采用的其他荷载(kN);荷载取值与G 0i 相同,不乘动力系数;
G 0 ——提升单元内直接放在每个柱上的提升机等设备的重力荷载设计值总和(kN);
β i ——搁置折算系数,当柱无侧向支承时,可按表4.2.13-1采用;
γ 1 ——提升折算系数,可按表4.2.13-2采用;
γ 0 ——柱重力折算系数;柱无侧向支承时取0.315,柱与内竖筒或剪力墙有连接时取0.385;
g 01 ——提升单元内所有单柱单位长度的重力荷载设计值总和(kN);
H c ——柱底截面以上的柱全高(m)。
表4.2.13-1 搁置折算系数β i 值

注:H il 为第i层板永久或临时搁置处的高度。
表4.2.13-2 提升折算系数γ 1 值

注:H 1 为验算提升状态时被正在提升的一层板或叠层提升的数层板的高度。
条文说明
4.2.13折算荷载就是把作用在悬臂柱某一高度上的竖向荷载按照等稳定条件,换算到另一高度上去,换算后的荷载称折算荷载。通过搁置折算系数、提升折算系数和柱重力折算系数,可以把悬臂柱不同高度上的一连串荷载换算到某一高度处,形成一个在稳定性与原来一连串荷载等价的一个单一荷载,通过假定悬臂柱挠曲线方程,应用能量法可近似求解出上述折算系数,因此仍适用于钢柱和钢管混凝土柱。 本标准表4.2.13-1中,无侧向支承时的βi值由公式(2)计算得到,表4.2.13-2中的γ1值由公式(3)计算得到。 
群柱与筒体或剪力墙连接后,改变了群柱的上端边界条件。它不仅提高了群柱的临界力,也提高了荷载折算系数。表4.2.13-1中的有侧向支承时的βi值由初参数法导出。为安全和简化计算,确定筒体或剪力墙的侧向刚度大于群柱的15倍时,βi应采用表4.2.13-1中有侧向支承时的值,自重的折算系数也相应改为0.385。筒体或剪力墙的侧向刚度小于群柱的15倍时,其折算系数仍采用悬臂柱的荷载折算系数。
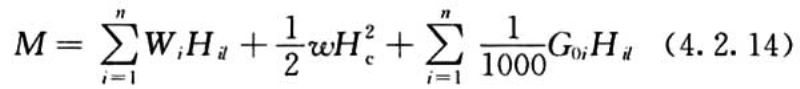
4.2.14 升板结构柱由本标准第4.2.8条确定的风荷载以及柱竖向偏差所产生的柱底最大弯矩M可按下式计算:

式中:W i ——第i层板处所受的集中风荷载设计值的总和(kN),包括该层板上墙体、堆砖所受的风荷载;
w——提升单元内全部柱所受均布风荷载设计值(kN/m),当柱较高时尚应考虑风荷载沿高度的变化;
G 0i 、H il ——分别按本标准第4.2.13条采用,当验算正在提升的状态时,应取本标准第4.2.13条规定的G 01 与H nl 。
条文说明
4.2.14柱底弯矩主要由风荷载及板的偏心搁置或柱竖向偏差引起的。Wi包括该层板及其上面的墙体、堆载所受的风荷载,它包括压力和吸力。柱竖向偏差取柱高的1/1000。
4.2.15 升滑、升提施工的钢管混凝土柱的钢骨架,应按现行国家标准《钢结构设计标准》GB 50017验算单柱的承载力和稳定性。钢骨架的柱高可取为δH nl ,计算长度可取为3δH nl 。当钢管混凝土柱与预制钢筋混凝土柱连接时,钢骨架柱计算长度可取2.5δH nl ~3δH nl ,当计算长度大于2H nl 时取2H nl 。停歇孔处以外的缀材可采用钢筋缀条。
条文说明
4.2.15升滑、升提的钢管混凝土柱上部钢骨架,可以看成嵌固于下部已浇筑柱的悬臂柱,但其嵌固并非理想的嵌固端,不仅有侧移,还可以有转动,所以计算长度取2.5δHn1~3δHn1。
4.2.16 采用计算机仿真分析升板结构提升阶段提升单元群柱的稳定性时,楼板与柱之间应采用铰接连接。
4.3 使用阶段
4.3 使用阶段
Ⅰ 竖向荷载效应计算
4.3.1 常用矩形柱网平板、密肋板、空心板和格梁板的内力可按本节规定的简化方法计算;对柱网较特殊的板、受集中荷载及开孔的板,应采用有限元等方法作专门分析计算。当密肋板和空心板的肋间距、高度、宽度及面板和底板厚度符合本标准第5.2.3条的构造要求时,其内力可分别采用T形和工形截面特征值按平板分析计算。
条文说明
4.3.1板柱体系是一种板柱框架,可采用简化方法进行分析。但是,等代框架与普通框架有所不同。在通常的梁柱框架中,梁与柱在节点刚接的条件下转角是一致的,但在板柱框架中,只有板与柱直接相交处或柱帽处,板与柱的转角才是一致的,柱轴线与其他部位的边梁和板的转角事实上是不同的。 当采用通用有限元软件时,在板柱体系的柱周边常存在应力集中现象,不适宜设计应用。为使计算结果可在设计中直接应用,应选用板柱连接经处理的楼板分析有限元计算软件。
4.3.2 当竖向荷载作用下的平板、密肋板和空心板采用本标准第4.3.3条的经验系数法计算使用阶段板的内力时,应符合下列规定;不符合时,应按本标准第4.3.4条的规定计算。
1 活荷载为均布荷载,且不应大于恒荷载的2倍;
2 在使用阶段每个方向至少应有三个连续跨;
3 任一区格内的长边和短边之比不应大于1.5;
4 在同一方向上的最大跨度与最小跨度之比不应大于1.2。
条文说明
4.3.2本条参考国外标准的有关规定并结合国内的试验研究成果,给出了板柱结构体系在竖向荷载作用下采用经验系数法进行计算时的前提条件。
4.3.3 采用经验系数法计算时,应分别按公式(4.3.3-1)和公式(4.3.3-2)计算垂直分布荷载在纵横两个方向产生的板的总弯矩设计值,并应按表4.3.3的规定确定柱上板带和跨中板带的弯矩设计值。在总弯矩值不变的条件下,也可将柱上板带负弯矩的10%分配给跨中板带。

式中:b ce ——柱帽在弯矩方向的宽度(m),无柱帽时取为0;
q——垂直分布荷载设计值(kN/m 2 );
M x 、M y ——分别为x、y向的总弯矩设计值(kN·m);
b x 、b y ——分别为x、y向的楼板计算宽度(m);
l x 、l y ——分别为x、y向的楼板计算跨度(m)。
表4.3.3 柱上板带和跨中板带弯矩值

注:本表为无悬臂板的经验值。
4.3.4 平板、密肋板、空心板以及格梁板采用等代框架法计算时,应符合下列规定:
1 竖向荷载作用下等代框架梁的计算宽度,可取垂直于计算跨度方向两个相邻区格板中心线之间的距离(图4.3.4)。

图4.3.4 平板、密肋板、空心板及格梁板的等代框架
1-板格l 2 中心线;2-边板中心线;3-板边;4-中间等代框架;5-边等代框架
2 平板与空心板的等代框架梁、柱以及格梁板的等代框架柱的线刚度,可按现行行业标准《无粘结预应力混凝土结构技术规程》JGJ 92的规定计算。格梁板的等代框架梁可不考虑柱帽的作用,梁刚度可按本标准第4.2.1条规定计算。
3 宜考虑活荷载的不利组合。
4.3.5 由等代框架法计算的弯矩,应按下列规定进行分配:
1 当平板、空心板与密肋板的任一区格长边与短边之比不大于2时,可按本标准表4.2.2比例分配给柱上板带和跨中板带。对有柱帽的等代框架,其支座负弯矩可取刚域边缘处的弯矩值(图4.3.5)。
2 格梁板的等代框架梁弯矩,可分别按本标准公式(4.2.3-1)和公式(4.2.3-2)分配给主梁及次梁。
3 等代框架梁端部刚域长度可按本标准附录C取用。

图4.3.5 有柱帽等代框架梁在竖向荷载作用下支座弯矩取值
b r -刚域区
4.3.6 平板采用有限元法计算时,应符合下列规定:
1 板单元与柱单元应采用刚性连接,有柱帽时板单元与柱帽单元应采用刚性连接。
2 板柱-剪力墙结构中,应计入剪力墙承担竖向荷载。
3 楼板弯矩应取柱边缘值,有柱帽时可取柱帽刚域边缘值。
条文说明
4.3.6升板结构中楼板采用平板时采用有限元进行计算分析,可以准确计算结构在各工况荷载效应。对一些复杂平面的升板结构,目前有限元计算是唯一方法。 柱、支撑采用杆单元,剪力墙采用壳单元,楼板和柱帽可采用板单元或壳单元。采用板单元时,需要引入楼板平面无限假定,楼板按弹性板计算时,应选用壳单元。 柱周边板单元应细分。在计算模型中,柱单元是一根线,柱周边先设置刚度较大的板单元,有柱帽时,柱帽也可以采用板单元或壳单元,楼单元与柱中板单元或柱帽单元连接。
Ⅱ 侧向作用效应计算
4.3.7 在风荷载作用下,升板结构应沿两个主轴方向分别进行计算。
4.3.8 结构的地震作用计算应符合下列规定:
1 应至少在建筑结构的两个主轴方向分别计算水平地震作用,各方向的水平地震作用应由该方向抗侧力构件承担。
2 有斜交抗侧力构件的结构,当相交角度大于15°时,应分别计算各抗侧力构件方向的水平地震作用。
3 质量和刚度分布明显不对称时,应计入双向地震作用下的扭转影响。
4 抗震设防烈度为8度且跨度大于9m时,应计算竖向地震作用。
条文说明
4.3.8某方向的地震作用主要由该方向的抗侧力构件承担。有斜交抗侧力构件的结构,考虑到地震可能来自任意方向,应考虑对各构件的最不利方向的水平地震作用,一般与该构件平形即可。抗侧力构件交角大于15°时,应考虑斜向地震作用。 高烈度区通常接近震中区,竖向地震作用明显。板柱结构中的楼板受四点支撑,竖向振动加剧,跨度大的板设计时应考虑竖向地震作用。
4.3.9 结构抗侧力构件内力和位移计算时,可采用楼板在其平面内刚性的假定;当楼板开洞较大、长宽比较大或平面特别不规则时,宜按弹性楼板计算。
条文说明
4.3.9板柱结构中的楼板为混凝土楼板,进行抗侧力分析时,可视为水平放置的深梁,具有很大的面内刚度,可近似认为楼板在其自身平面内为无限刚性。采用这一假定后,结构分析的自由度数目大大减少,使计算过程和计算结果的分析大大简化。 楼板无限刚假定必须要有措施保证楼面的整体刚度,平面体型应符合以下规定: 1平面宜简单、规则、对称; 2平面长度不宜过长,L/B≤5; 3板尺寸和平面刚度不宜急剧变化,例如有效楼板宽度大于该层楼板典型宽度的50%,或开洞面积小于该层楼面面积的30%。 楼板有效宽度较窄的环形楼面或其他有大开洞楼面、有狭长外伸段楼面、局部变窄产生薄弱连接的楼面时,楼板面内刚度有较大削弱且不均匀,楼板的面内变形会使楼层内抗侧刚度较小的构件的位移和受力加大(相对刚性板而言),计算时应考虑楼板面内变形的影响,宜采用有限单元法进行计算。
4.3.10 结构的地震作用效应计算应符合下列规定:
1 高度不超过24m,且高度与宽度之比不大于4,体型比较规则,质量和刚度沿高度分布比较均匀的结构,在水平地震作用下,可采用底部剪力法等简化方法。结构总水平地震作用、底部剪力标准值及各质点的水平地震作用应按现行国家标准《建筑抗震设计规范》GB 50011的有关规定计算,其中基本周期可按本标准第4.3.11条计算。
2 其他结构应采用振型分解反应谱法。
4.3.11 升板结构的基本周期可按下列公式近似计算:
1 结构总跨数等于或小于3跨的板柱结构

2 结构总跨数等于或小于3跨的板柱-剪力墙结构

3 结构总跨数大于3跨的板柱结构

4 结构总跨数大于3跨的板柱-剪力墙结构

式中:α w ——基本周期考虑非承重墙影响的折减系数,对板柱结构,一般情况下取0.7~0.8,非承重墙较多时取0.5~0.6;对板柱-剪力墙或板柱-壁式框架结构取0.9;
α G ——计算自振周期所用的建筑物总重力G与板柱结构总重力G f 之比;
G——计算自振周期所用的建筑物总重力(kN);
G f ——板柱结构总重力(kN);
H——升板结构的总高度(m);
B——升板结构的总宽度(m);
K w ——总剪力墙顶点的水平刚度。
4.3.12 不规则结构宜采用时程分析法进行多遇地震下的补充计算,计算方法和要求应按现行国家标准《建筑抗震设计规范》GB 50011中的有关规定采用。
4.3.13 结构应进行多遇地震和风荷载下结构变形验算,楼层最大弹性层间位移角应符合本标准表3.3.11的规定;设防烈度8度时的板柱结构以及高度大于15m的板柱-抗震墙和板柱-支撑结构,应进行罕遇地震下结构的变形验算,验算时可采用静力弹塑性方法或弹塑性时程分析方法,楼层最大弹塑性层间位移角应符合本标准表3.3.12的规定。
条文说明
4.3.13地震作用下板柱结构易在板和底层柱底出现塑性铰,形成整体倒塌破坏机制。由于板的受弯承载力较小,板柱结构的抗倒塌性只能依靠柱的塑性承载能力和变形能力,因此,结构的延性较好但塑性屈服力较低,相比较框架而言结构的冗余度较少。引入剪力墙或支撑分担大部分柱承受的地震力,可以提高结构的屈服承载力。板柱结构、板柱-支撑结构和板柱-剪力墙结构在我国的应用较少,在设计中应重点关注罕遇地震尤其是8度区罕遇地震下的结构抗倒塌性能。本次标准修订要求8度区板柱结构、15m及以上的板柱-支撑结构和15m及以上的板柱-剪力墙结构应进行弹塑性变形验算;6、7度区以及8度区15m以下的板柱-支撑结构和板柱-剪力墙结构,由设计人员根据经验选择进行弹塑性变形验算。
4.3.14 板柱结构可采用等代框架法计算侧向荷载作用下的内力和位移,并应符合下列规定:
1 等代框架梁的计算宽度,宜取下列公式计算结果的较小值:

式中:b y ——y向等代框架梁的计算宽度(mm);
l x 、l y ——等代框架梁在纵横两个方向的计算跨度(mm);
b ce ——柱帽的宽度(mm)。
2 有后浇柱帽时,梁、柱的等效刚度及等代框架计算模型可按现行行业标准《无粘结预应力混凝土结构技术规程》JGJ 92的有关规定取用。
4.3.15 采用有限元法计算侧向荷载作用下的内力和位移时,除应符合本标准第4.3.9条的规定外,尚应符合下列规定:
1 有柱帽时,柱应计入柱帽;
2 板与柱应采用刚性连接,有柱帽时板与柱帽单元应采用刚性连接。
4.3.16 板柱-剪力墙结构抗震计算应符合下列规定:
1 房屋高度大于12m时,剪力墙应承担结构的全部地震作用;房屋高度不大于12m时,剪力墙宜承担结构的全部地震作用。
2 各层柱应能承担不少于20%的本层地震剪力。
条文说明
4.3.16板柱-剪力墙结构中,剪力墙刚度较板柱的刚度大得多,地震作用主要由剪力墙承担,设计时剪力墙应适当加强。以12m为界,12m以上的板柱-剪力墙结构,剪力墙要求承担全部地震剪力,12m以下的板柱-剪力墙结构,剪力墙承担的地震剪力可以适当放松,按刚度分配地震剪力与本层地震剪力80%较大值取用。 板柱-剪力墙结构中的剪力墙为第一道防线,板柱为第二道防线。罕遇地震时,剪力墙作为第一道防线首先破坏,此后,由板柱结构承担全部地震作用,因此对板柱需进行承载力调整,各层柱和框架部分承担的剪力不少于本层地震剪力的20%。
4.3.17 混凝土板柱-支撑结构抗震计算应符合下列规定:
1 房屋高度大于12m时或房屋层数超过3层时,支撑按刚度分配的地震剪力不应小于本楼层地震剪力的50%;房屋高度不大于12m时且房屋层数不超过3层时,支撑按刚度分配的地震剪力不应小于本楼层地震剪力的30%。
2 采用普通钢支撑时,混凝土板柱结构承担的地震作用,应按板柱结构和板柱-支撑结构两种模型计算,配筋应取二者较大值。
3 结构阻尼比可按混凝土构件和钢支撑部分在结构总变形能所占的比例计算,且不应大于0.045。
条文说明
4.3.17钢支撑具有较好的变形能力,能够与板柱结构更好地协同工作。通过对大量板柱结构加支撑后的计算分析,结果表明在满足变形和强度的条件下,支撑按刚度分担的地震剪力占本层的30%~70%,其中1层~2层30%~50%,2层以上大于50%。因此本标准规定支撑按刚度分配的本楼层地震力,在高度大于12m时或房屋层数超过3层时支撑承担本楼层地震剪力不小于50%,房屋高度不大于12m时且房屋层数不超过3层时支撑承担本楼层地震剪力不小于30%,是可行的。 采用普通钢支撑时,试验表明支撑将先于板柱结构破坏,普通钢支撑为第一道防线,因此,作为第二道防线的板柱结构需承担全部地震剪力。 支撑采用屈曲约束支撑时,屈曲约束支撑能够与板柱结构共同工作,同时支撑的延性大于板柱结构的延性,后于板柱结构破坏,因此不存在二道防线的问题。板柱强度设计时屈曲约束支撑可与其共同计算。
4.3.18 采用钢柱的板柱-支撑结构抗震计算应符合下列规定:
1 房屋高度大于12m时或房屋层数超过3层时,支撑按刚度分配的地震剪力不应小于楼层地震剪力的60%;房屋高度不大于12m时或房屋层数不超过3层时,支撑按刚度分配的地震剪力不应小于楼层地震剪力的40%。
2 采用普通钢支撑时,应按板柱结构和板柱-支撑结构两种模型计算,并应按二者较大值验算承载力。
3 结构阻尼比宜取0.03。
条文说明
4.3.18钢柱的刚度较混凝土柱刚度小,支撑承担楼层地震剪力更多一些。
4.3.19 由水平荷载产生的内力,应组合到柱上板带或格梁板的主梁上。有柱帽的平板、密肋板和空心板,其支座负弯矩可取梁刚域边缘处的值(图4.3.19)。

图4.3.19 有柱帽等代框架梁在水平荷载作用下支座弯矩取值
5 结构设计
5.1 一般规定
5 结构设计
5.1 一般规定
5.1.1 混凝土升板结构中,应根据建筑物的功能要求及环境条件确定构件的裂缝控制等级,并应根据国家现行标准《混凝土结构设计规范》GB 50010和《无粘结预应力混凝土结构技术规程》JGJ 92的规定分别进行正常使用阶段和施工阶段抗裂验算。
条文说明
5.1.1混凝土构件在正常使用阶段和施工阶段的抗裂控制指标不同,构件所承受的荷载也有差异,因此需根据相关标准的规定分别进行抗裂验算。
5.1.2 用于固定连接的预埋件与吊装预埋件、临时支撑用预埋件不宜兼用;当兼用时,应同时满足正常使用阶段和施工阶段各种设计工况要求。预埋件的验算应符合现行国家标准《混凝土结构设计规范》GB 50010、《钢结构设计标准》GB 50017、《混凝土结构工程施工规范》GB 50666和《钢结构工程施工规范》GB 50755等的有关规定。
条文说明
5.1.2用于节点固定连接的预埋件与吊装预埋件、临时支撑用预埋件的设计荷载取值、相关安全度指标均不同,在设计时需验算的内容也有差异,因此宜分开设置。
5.1.3 升板结构中,楼梯宜采用一端铰接、一端滑动的连接方式。
条文说明
5.1.3在升板结构中,将楼梯与其他构件之间的连接设计为一端铰接一端滑动,主要是为了在结构计算时不计入楼梯梯段板对结构侧向刚度的贡献。
5.2 板设计
5.2 板设计
5.2.1 钢筋混凝土平板的厚度不宜小于柱网长边尺寸的1/35;钢筋混凝土空心板的厚度,不宜小于柱网长边尺寸的1/30;密肋板的肋高不宜小于柱网长边尺寸的1/25;钢筋混凝土格梁板梁高不宜小于柱网长边尺寸的1/20。预应力混凝土板的厚度和梁的高度可适当减小。
条文说明
5.2.1本条依据工程经验,给出了楼板厚度的限值要求。实际工程中,可结合楼盖跨度、荷载条件、结构所处的环境类别等条件进行调整。
5.2.2 临时划分的提升单元之间,板可预留宽度为1/4~1/3板跨的后浇混凝土板带,连接钢筋应加强。
条文说明
5.2.2后浇带两侧的钢筋通过搭接进行连接,为保证钢筋搭接连接时的接头面积百分率满足现行国家标准《混凝土结构工程施工质量验收规范》GB50204的有关规定,适当增大了后浇带的宽度,以保证钢筋搭接接头在后浇带内能有效错开设置。
5.2.3 空心板的肋净距不宜大于800mm,肋宽不宜小于80mm,肋高不宜大于肋宽的3倍。密肋板的面板和底板的厚度均不宜小于50mm。
条文说明
5.2.3本条参考了现行行业标准《现浇混凝土空心楼盖技术规程》JGJ/T268的有关规定。
5.2.4 板内配筋应取提升与正常使用两个阶段计算所得的较大值进行设计。
条文说明
5.2.4升板结构中,楼板在正常使刚阶段和提升阶段所承受的荷载不同,楼板的约束条件也不同,其内力分布也有差异,因此,应针对正常使用阶段和提升阶段分别验算其承载力,并取较大值配置楼板钢筋。
5.2.5 板内配筋设计应符合下列规定:
1 平板或空心板应分别按两个方向的柱上板带和跨中板带配置;
2 格梁板应分别按两个方向的主梁及次梁配筋,支承于格梁上的板应按连续板计算内力与配筋;
3 计算柱帽处的负弯矩钢筋时,不宜考虑后浇柱帽的高度。
条文说明
5.2.5后浇柱帽在楼板提升就位并固定后浇筑,后浇柱帽对楼板在提升与就位之前的承载力并无贡献,因此,在计算楼板配筋时,不宜考虑后浇柱帽的作用。
5.2.6 密肋板与空心板在柱帽区应做成实心板。空心板的配筋宜符合下列规定:
1 空心板纵向受力钢筋的配置长度宜符合平板纵向受力钢筋的规定;
2 空心板面板应配置双向钢筋网,其直径不应小于6mm,间距不应大于200mm;
3 在肋中配有负弯矩钢筋的范围内,宜配置构造用的封闭箍筋。箍筋直径不应小于6mm,间距不应大于肋高,且不应大于250mm。
条文说明
5.2.6本条参考了现行行业标准《现浇混凝土空心楼盖技术规程》JGJ/T268的有关规定,对空心楼板的纵向受力钢筋、构造钢筋的布置作了具体规定。
5.2.7 平板边缘上、下应各设置一根直径不小于16mm的通长钢筋,也可利用原有配筋拉通;空心板的边肋上下应各设置至少两根直径不小于16mm的通长钢筋,并应按本标准第5.2.6条的规定配置封闭箍筋。
条文说明
5.2.7对平板与空心板边缘处的配筋构造提出了具体要求。
5.2.8 板面有集中荷载时,可按现行国家标准《建筑结构荷载规范》GB 50009的规定将集中荷载折算为均布荷载设计楼板配筋。当楼板上某区格内的集中荷载设计值不大于该区格内均布活荷载设计值总量的10%时,也可按下式计算折算均布活荷载:

式中:q t ——某区格内的折算均布活荷载设计值(kN/m 2 );
F——某区格内的集中荷载设计值(kN);
A——某区格内的面积(m 2 );
q——某区格内的均布活荷载设计值(kN/m 2 )。
条文说明
5.2.8当板面集中荷载较大时,应对楼板内力进行专门计算,并按计算结果配置楼板钢筋。当板面集中荷载较小时,允许将集中荷载折算为楼面均布荷载进行简化计算并按计算结果配置楼板钢筋。
5.2.9 平板和空心板需开孔时,其配筋应按开孔板的内力设计值计算确定。当符合下列规定时,可仅在板孔周边补足被孔洞截断的钢筋:
1 在两个方向的跨中板带公共区内,孔的边长不应大于孔洞所在区格短边尺寸的40%;
2 在两个方向的柱上板带公共区内,孔的边长不应大于孔洞所在区格的短边尺寸的1/20,且柱帽区不得开孔;
3 在一个方向的跨中板带和另一个方向的柱上板带公共区内,孔的边长不应大于孔洞所在区格的短边尺寸的1/8;
4 孔洞间的净距,不应小于孔的最大尺寸的三倍;孔洞边长大于1m或截断现浇空心板的肋时,应在孔的周边增加圈梁或型钢。
条文说明
5.2.9本条给出了楼板开孔的尺寸要求。对同一个区域的多个孔,孔边长的尺寸要求为多个孔的边长之和。
5.2.10 平板楼盖应进行板柱节点的受冲切承载力验算。当需要配置抗冲切钢筋时,宜配置抗冲切栓钉,配置抗冲切栓钉后平板的受冲切承载力应按现行行业标准《无粘结预应力混凝土结构技术规程》JGJ 92的有关规定进行验算。
条文说明
5.2.10和箍筋相比,抗冲切栓钉安装简便,能简化板柱节点区的配筋构造,同时由于栓钉两端采用机械锚固,能充分发挥其强度,抗冲切性能更佳。因此,本标准推荐采用抗冲切栓钉以提高板柱节点的受冲切承载能力。
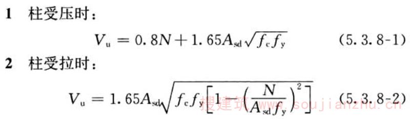
5.3 柱设计
5.3 柱设计
Ⅰ 一般规定
5.3.1 升板结构柱宜采用预制钢筋混凝土柱、钢柱或钢管混凝土柱,也可采用现浇钢筋混凝土柱。
条文说明
5.3.1结合升板结构的受力和施工特点,升板结构柱宜优先考虑采用预制钢筋混凝土柱、钢柱或钢管混凝土柱。
5.3.2 钢筋混凝土柱的截面较小边长或直径不宜小于500mm;钢柱或钢管混凝土柱的截面较小边长或直径不宜小于400mm,壁厚不宜小于8mm。
条文说明
5.3.2考虑升板结构的受力特点和抗震要求,本条对升板结构柱的最小截面尺寸作了规定。
5.3.3 柱截面承载力计算和构造设计,除应符合本节规定外,尚应符合现行国家标准《混凝土结构设计规范》GB 50010、《建筑抗震设计规范》GB 50011、《钢结构设计标准》GB 50017、《钢管混凝土结构技术规范》GB 50936的规定。
5.3.4 升板结构柱应分别按提升阶段和使用阶段进行验算,对预制柱尚应进行吊装阶段的验算。
5.3.5 升板结构柱采用拼接柱时,接缝应设置在柱受力较小的部位。对预制混凝土柱,接缝宜避开柱端箍筋加密区;对钢柱或钢管混凝土柱,接缝宜设置在楼面标高以上1.2m~1.3m。
5.3.6 预制钢筋混凝土柱接缝处纵向钢筋可采用套筒灌浆连接,套筒应符合现行行业标准《钢筋连接用灌浆套筒》JG/T 398的规定,灌浆料应符合现行行业标准《钢筋连接用套筒灌浆料》JG/T 408的规定,钢筋套筒灌浆连接接头应符合现行行业标准《钢筋套筒灌浆连接应用技术规程》JGJ 355的规定。
条文说明
5.3.6结合近年来预制构件钢筋连接技术的发展,对预制钢筋混凝土柱钢筋连接作了具体规定。
5.3.7 预制钢筋混凝土柱接缝处的正截面承载力和斜截面承载力应符合现行国家标准《混凝土结构设计规范》GB 50010的规定。抗震设计时,当接缝设置在柱端加密区范围内时,接缝处的受剪承载力尚应满足下式要求:

式中:V mua ——被连接柱端部按实配钢筋面积计算的斜截面受剪承载力设计值(kN);
V u ——柱端接缝的受剪承载力设计值(kN),按本标准第5.3.8条计算;
η j ——接缝受剪承载力增大系数,抗震等级为一、二级时取1.2,抗震等级为三级时取1.1。
条文说明
5.3.7预制钢筋混凝土柱接缝的承载力设计值应大于设计内力,以保证接缝受力安全。抗震设计时,当预制钢筋混凝土柱的接缝设置在柱端加密区范围内时,接缝应实现强连接,保证接缝处不发生破坏,即要求接缝的承载力设计值大于被连接柱截面承载力设计值。
5.3.8 预制钢筋混凝土柱接缝的受剪承载力设计值V u 应按下列公式计算:

式中:N——使用阶段与剪力设计值相对应的垂直于结合面的轴向力设计值(kN),取绝对值进行计算;
A sd ——垂直穿过结合面所有钢筋的面积(mm 2 );
f c ——预制柱混凝土轴心抗压强度设计值(kN/m 2 );
f y ——垂直穿过结合面钢筋抗拉强度设计值(kN/m 2 )。
条文说明
5.3.8预制钢筋混凝土柱接缝的受剪承载力设计值计算公式参考了行业标准《装配式混凝土结构技术规程》JGJ1-2014的规定。计算公式中仅考虑了轴向压力产生的摩擦力及柱纵向钢筋的销栓抗剪作用,未计入接缝处灌浆层与混凝土结合面的粘结力。当柱端接缝处设置抗剪键槽时,尚可考虑键槽的抗剪作用。
5.3.9 对钢柱或钢管混凝土柱,上、下柱的现场焊接应采用坡口全熔透焊缝,焊缝等级应为一级。
Ⅱ 提升阶段验算
5.3.10 各个提升单元内的柱,应按实际提升程序分别对搁置状态和正在提升的状态进行群柱稳定性验算和单柱偏心受压承载力验算。
条文说明
5.3.10对各个提升单元内的柱,除应根据实际提升程序按本标准第4.2节进行搁置状态和正在提升状态进行群柱稳定性验算外,尚应按本节要求进行单柱的偏心受压承载力验算。
5.3.11 提升阶段单柱偏心受压承载力验算应符合下列规定:
1 对提升阶段的单柱,应分别选取最不利荷载组合的最大内力截面和被孔洞削弱的截面进行单柱偏心受压承载力验算。
2 单柱弯矩计算可不考虑提升阶段结构侧移的影响,按无侧移结构进行计算,单柱的最大弯矩设计值应乘以偏心距增大系数η。偏心距增大系数η应按本标准公式(4.2.9)计算。
3 单柱的计算长度可按无侧移的铰接排架结构确定,取上下相邻临时或永久搁置板之间的一倍长度;提升状态时提升点至最高一层临时或永久搁置板之间的柱段计算长度,应取该柱段长度的2倍。
4 钢筋混凝土柱、钢柱、钢管混凝土柱的偏心受压承载力应分别按现行国家标准《混凝土结构设计规范》GB 50010、《钢结构设计标准》GB 50017和《钢管混凝土结构技术规范》GB 50936的规定进行验算。
条文说明
5.3.11本标准采用单柱弯矩乘以偏心距增大系数的办法,以近似考虑提升阶段因结构侧移引起的P-△效应对单柱受力的影响。单柱计算长度则按无侧移的铰接排架结构确定,即取上、下相邻楼板之间的一倍长度计算,这对已就位并形成刚性板柱节点之间的柱段,取一倍长度进行验算是偏于安全的;对提升状态时提升点至最高一层搁置板之间的柱段,其计算长度应取该柱段长度的2倍。
Ⅲ 使用阶段
5.3.12 使用阶段应分别对最不利荷载组合下内力设计值最大的柱截面进行偏心受压承载力和受剪承载力验算。被孔洞削弱的截面,应采用细石混凝土或加固型灌浆料填实,细石混凝土或加固型灌浆料的强度等级应提高至少一级。
5.3.13 一、二、三级抗震等级的板柱结构,其底层钢筋混凝土柱的下端截面组合弯矩设计值应分别乘以增大系数1.7、1.5、1.3。底层钢筋混凝土的柱纵向钢筋应按上下端的不利情况配置。
条文说明
5.3.13板柱结构底层柱下端过早出现塑性铰,将影响整个结构在地震时的抗倒塌能力。底层柱底弯矩设计值乘以增大系数,是为了避免板柱结构柱下端过早屈服。对板柱-支撑结构和板柱-剪力墙结构,其抗侧力构件主要为支撑或剪力墙,对框架柱底部截面可不作调整。为防止塑性铰向底层柱的上部转移,此处要求底层柱纵向钢筋按柱上下端的不利情况进行配置。 对于板柱结构中的柱,强柱弱梁的要求较易满足,故本标准未对上部楼层强柱弱梁验算提出要求。
5.3.14 柱端部截面的剪力设计值V应符合下列规定:
1 一级抗震等级的板柱结构

式中:M t cua ——偏心受压柱的上端顺时针或反时针方向实配的正截面抗震受弯承载力所对应的弯矩值(kN·m),应根据柱实配钢筋面积、材料强度标准值和轴压力等确定;
M b cua ——偏心受压柱的下端顺时针或反时针方向实配的正截面抗震受弯承载力所对应的弯矩值(kN·m),应根据柱实配钢筋面积、材料强度标准值和轴压力等确定;
H n ——柱的净高(m)。
2 除板柱结构外的一级抗震等级的柱、二级和三级抗震等级的柱

式中:M t c ——柱的上端顺时针或反时针方向截面组合的弯矩设计值(kN·m),板柱结构的底层柱弯矩设计值应按本标准第5.3.13条的规定调整;
M b c ——柱的下端顺时针或反时针方向截面组合的弯矩设计值(kN·m),板柱结构的底层柱弯矩设计值应按本标准第5.3.13条的规定调整;
η vc ——柱剪力增大系数。对板柱结构,抗震等级为二、三级应分别取1.3、1.2;对板柱-支撑结构和板柱-剪力墙结构,抗震等级为一、二、三级应分别取1.4、1.2、1.1。
3 角柱的端部截面剪力设计值除应按本条第1、2款的规定计算外,尚应再乘以不小于1.1的增大系数。
5.3.15 对于剪跨比大于2、混凝土强度等级不高于C60的钢筋混凝土柱,其轴压比不宜超过表5.3.15的规定。对于剪跨比不大于2但不小于1.5的柱,其轴压比限值应比表中数值相应降低0.05;对于剪跨比小于1.5的柱,其轴压比限值应专门研究。
表5.3.15 钢筋混凝土柱的轴压比限值

条文说明
5.3.15轴压比是影响钢筋混凝土框架柱塑性变形能力的主要因素之一,本条分别对板柱结构、板柱-剪力墙结构、板柱-支撑结构的框架柱轴压比作了规定。综合考虑升板结构的施工特点和抗震要求,对钢筋混凝土柱的轴压比限制适当严于《建筑抗震设计规范》GB50011-2010(2016年版)的规定。
5.3.16 钢筋混凝土柱全部纵向钢筋的配筋率不应小于表5.3.16的规定,且柱截面每一侧纵向钢筋配筋率不应小于0.2%;采用HRB335和HRB400MPa钢筋时,应分别按表中数值增加0.1和0.05采用。
表5.3.16 柱纵向钢筋最小配筋百分率(%)

5.3.17 钢柱的长细比,抗震等级为一级时不应大于50 
,二级时不应大于60 
,三级时不应大于80 
,四级时不应大于100 
,f y 为钢材的屈服强度。柱截面板件宽厚比应符合表5.3.17的规定。
表5.3.17 钢柱截面板件宽厚比限值


注:表列数值适用于Q235钢,采用其他牌号钢材应乘以 
,圆管应乘以235/f y 。
5.3.18 圆形钢管混凝土柱的构造应符合下列规定:
1 钢管外径与管壁厚度的比值不应大于100 
;
2 圆钢管混凝土柱的套箍指标不应小于0.5且不宜大于2.5;
3 柱的轴向压力偏心率e 0 /r c 不宜大于1.0,其中e 0 为偏心距,r c 为核心混凝土横截面半径;
4 柱长细比不宜大于80。
5.3.19 矩形钢管混凝土柱的构造应符合下列规定:
1 钢管截面高宽比不宜大于2;钢管最大边尺寸不小于800mm时,宜在柱内壁上焊接栓钉、纵向加劲肋等;
2 钢管边长与管壁厚度的比值不应大于60 
;
3 柱的长细比不宜大于80;
4 矩形钢管混凝土柱的轴压比不宜超过表5.3.19的规定;柱的剪跨比不大于2时,表5.3.19中的限值应降低0.05。
表5.3.19 矩形钢管混凝土柱的轴压比限值

5.3.20 钢管混凝土柱在浇筑混凝土前,钢管的轴向压应力不宜大于钢管抗压强度设计值的60%。
条文说明
5.3.20当采用钢管混凝土柱时,宜优先采用先浇筑钢管内混凝土、后提升楼板的施工工序,以确保提升阶段的群柱稳定和单柱偏心受压承载力要求。当采用先提升楼板、后浇筑钢管内混凝土的施工工序时,考虑到钢管在较大初应力作用下浇筑钢管内混凝土,将影响钢管混凝土构件的承载力,需对钢管内混凝土浇筑前的钢管初应力进行限制。参考相关试验研究成果及现行国家标准《钢管混凝土结构技术规范》GB50936的相关规定,规定钢管混凝土柱在浇筑混凝土前的钢管轴心应力不宜大于钢管抗压强度设计值的60%。
5.3.21 无地下室时,钢柱、钢管混凝土柱应采用埋入式柱脚,埋入深度不应小于钢柱截面长边尺寸或钢管外径的2.5倍;有地下室且柱脚延伸至地下至少两层时,可采用非埋入式柱脚。
5.4 剪力墙设计
5.4 剪力墙设计
5.4.1 剪力墙厚度不应小于180mm,且不宜小于层高或无支长度的1/20;房屋高度大于12m时,墙厚不应小于200mm。
条文说明
5.4.1结合现行国家标准《建筑抗震设计规范》GB50011的有关规定,对剪力墙的截面尺寸给出具体要求:剪力墙厚度不应小于180mm,将本标准表5.4.4中墙厚最小值修改至180mm,其对应的Hw相应改至14m。
5.4.2 剪力墙各墙肢截面的内力设计值,应按下列规定采用:
1 抗震等级为一级的剪力墙底部加强部位以上部位,墙肢的弯矩设计值应乘以增大系数1.2,剪力应相应调整;
2 双肢剪力墙中,墙肢不宜出现小偏心受拉;当任一墙肢为偏心受拉时,另一墙肢的剪力设计值、弯矩设计值应乘以增大系数1.25。
条文说明
5.4.2结合现行国家标准《建筑抗震设计规范》GB50011的有关规定,给出了剪力墙内力调整的规定。
5.4.3 一、二级抗震等级的剪力墙底部加强部位,其截面的剪力设计值应按下式调整:

式中:V——剪力墙底部加强部位截面的剪力设计值(kN);
V w ——剪力墙底部加强部位截面的剪力计算值(kN);
η vw ——剪力墙剪力增大系数,抗震等级为一、二级时,可分别取1.6和1.4。
5.4.4 剪力墙采用升提或升滑施工时,对未与其他墙肢形成芯筒的单片剪力墙,其平面外悬臂高度不应大于表5.4.4的允许值。墙体悬臂高度取值应符合下列规定:
1 当墙体与楼板无可靠连接时,应取墙体基础顶面或混凝土地坪面至墙体顶面间的距离;
2 当墙体与楼板有连接且连接间距不大于柱距和6m的较大值时,应取与墙体连接的最高一层楼板与次一层楼板之间中点至墙体顶面间的距离(图5.4.4-1):

图5.4.4-1 墙体悬臂高度H w 示意
3 当墙面开孔时(图5.4.4-2),表5.4.4中的墙体允许悬臂高度应乘以折算系数ψ w 。ψ w 应按下式进行计算:

式中:l——柱距(m);
b n ——该柱距中墙的净宽度(m);
γ w ——墙面开孔率。
表5.4.4 墙体允许悬臂高度[H w ]


图5.4.4-2 墙的净宽度b n
条文说明
5.4.4稳定性是对结构的基本要求。升板结构在施工过程中并未形成完整的结构体系,其竖向构件的稳定性在设计和施工过程中应重点关注。 有的升板工程在板提升的同时用提模或滑模的方法施工墙体。这种墙体是变刚度的,其刚度可以近似地看成沿高度线性变化。墙体主要承受自身重量,在风荷载作用下,基本上是一个受弯构件。由于偏心距e0与h0之比经常大于1,因此αa均可取为0.44。若墙体厚度为t,对单位宽度的墙体,则I=(1/12)1000t3,对三角形分布的重力,当Fc取为g0Hw时,可取ξ=2.34,g0=25000×t×1000×10-9,代入公式(4.2.9)可得: 

5.4.5 楼板与墙体间的连接件在施工阶段应按承受墙体允许悬臂高度范围内的风荷载进行受拉、受压、受剪承载力验算,并应对墙体连接点处的混凝土进行局部受压承载力验算。
5.4.6 升提或升滑施工的墙体,在施工阶段还应按钢筋混凝土受弯构件进行承载力验算,所需配筋过多时,宜改变提升程序或增加连接。墙体在施工阶段的内力计算应符合下列规定:
1 不开孔墙体承载力验算时,每米宽度的弯矩m应按下式计算:

式中:W——施工阶段的风荷载设计值(kN/m 2 ),可取现行国家标准《建筑结构荷载规范》GB 50009规定的10年一遇的风荷载值;
H w ——墙体的悬臂高度(m)。
2 开孔墙体承载力验算时,每米宽度的弯矩m应按下式计算:

式中:l——柱距(m);
b n ——该柱距中墙的净宽度(m);
γ m ——墙面开孔率。
3 进行提升阶段群柱稳定性分析中将剪力墙作为侧向支撑时,应根据内力复核剪力墙配筋。
条文说明
5.4.6原标准规定升提或升滑验算时可取七级风的风压值为0.18kPa,本次修订改为按10年一遇风荷载考虑。
5.4.7 利用外墙或内筒体作为剪力墙时,应通过连接钢筋或钢板传递楼板与剪力墙之间的剪力。
5.4.8 剪力墙的承载力计算和构造设计,除应符合本节规定外,尚应符合国家现行标准《混凝土结构设计规范》GB 50010、《建筑抗震设计规范》GB 50011和《高层建筑混凝土结构技术规程》JGJ 3的有关规定。
5.5 节点设计
5.5 节点设计
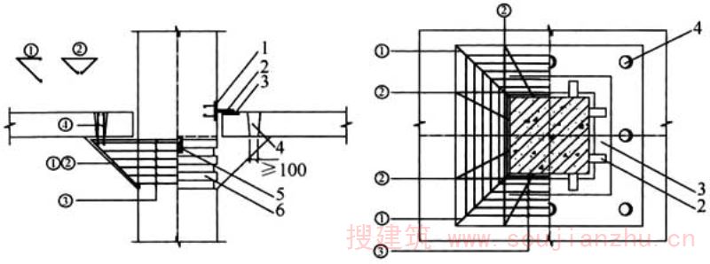
5.5.1 在混凝土升板结构中,楼盖与柱宜采取可靠的刚性连接措施,宜采用后浇柱帽连接节点(图5.5.1a).也可采用无柱帽的连接节点(图5.5.1b)。
条文说明
5.5.1楼盖与柱可靠连接,能确保水平力的连续传递。如果有可靠的工程经验,楼盖仅承受竖向荷载而不需要传递水平力时,楼盖与柱之间的连接也允许采用非刚性的连接措施。试验研究表明,采用预应力筋进行连接时(图3),板柱节点也能达到刚接的要求,但施工中需保证板内预留孔和柱内预留孔全部对中,提升单元内柱较多时对中难度很大,考虑到现场施工的便利性,标准中未给出采用预应力筋连接的节点形式。 
图3采用预应力筋后连接节点 1-预应力筋;2-后浇混凝土或灌浆料;3-承重销;4-齿槽
5.5.2 板柱节点在竖向荷载和水平地震作用下的总剪力设计值

图5.5.1 后连接节点
1-柱内预埋件;2-板柱连接件;3-板内预埋钢板;4-后浇混凝土或灌浆料;5-承重销;6-齿槽
应按下列公式计算:

式中:V——板柱节点的总剪力设计值(kN);
V h ——水平荷载作用下的剪力设计值(kN);
V V ——竖向荷载作用下的剪力设计值(kN);
M r1 ——水平荷载作用下的左侧柱等代框架梁刚域边缘处的弯矩设计值(kN·m);
M r2 ——水平荷载作用下的右侧柱等代框架梁刚域边缘处的弯矩设计值(kN·m);
l——等代框架的柱距(m)。
5.5.3 楼盖与柱采用后浇柱帽连接时,应符合下列规定:
1 后浇柱帽尺寸和构造要求应符合现行行业标准《无粘结预应力混凝土结构技术规程》JGJ 92的规定,并应按现行行业标准《无粘结预应力混凝土结构技术规程》JGJ 92的规定进行受冲切承载力验算。
2 在后浇柱帽高度范围内,柱上应设置齿槽,并应按下式验算其受剪承载力:

式中:V——板柱节点的总剪力设计值(N),按本标准公式(5.5.2-1)计算;
f t ——后浇柱帽混凝土抗拉强度设计值(N/mm 2 );
n——齿槽的数量;
u t ——齿槽外口周边长度(mm);
h t ——齿槽的高度(mm);
γ RE ——承载力抗震调整系数。非抗震设计时取为1.0,抗震设计时取为1.125。
3 每个方向上,后浇柱帽上部与柱的钢板连接件及连接焊缝均应按现行国家标准《钢结构设计标准》GB 50017的规定对其强度进行验算。验算时,其承受的轴心拉力设计值应按下式计算:

式中:N W ——每个连接件承受的轴向力设计值(kN);
M——板柱节点在验算方向的不平衡弯矩设计值(kN·m);
n——验算方向上连接件的数量;
h w ——连接件至板底的距离(m)。
4 在柱帽宽度范围内,应在楼板上设置混凝土浇筑孔;柱帽内应配置架立筋及箍筋,架立筋直径不宜小于12mm,箍筋直径不宜小于10mm,沿柱高方向的箍筋间距不宜大于100mm(图5.5.3);楼板上部钢筋应与板内预埋钢板可靠连接。
条文说明
5.5.3本条给出了采用后浇柱帽连接时的设计要求,主要是为了保证该连接做法能够满足刚性连接的要求。
5.5.4 楼盖与柱采用无柱帽节点连接时,应符合下列规定:
1 应设置承重销(图5.5.4-1),可按连续支承的悬臂梁验

图5.5.3 后浇柱帽节点配筋示意
1-柱上预埋件;2-板柱连接件;3-板内预埋钢板;4-板上预留浇筑孔;5-承重销;6-齿槽
①-角部架立筋,与柱主筋焊接;②-架立筋;③-箍筋;④-浇筑孔内销筋

图5.5.4-1 无柱帽节点中承重销示意
1-柱内预埋件;2-板柱连接件;3-板内预埋钢板;4-后浇灌浆料;5-承重销
算其承载力(图5.5.4-2)。验算时,剪力应取按本标准第5.5.2条计算的剪力设计值V,弯矩应取按图5.5.4-2的计算值并乘以

图5.5.4-2 取重销计算简图
1.15~1.25的放大系数;应对承重销搁置处的板底进行局部受压承载力验算。
2 每个方向上,楼盖上部和下部与柱的钢板连接件及连接焊缝均应按现行国家标准《钢结构设计标准》GB 50017的规定对其强度进行验算。验算时,其承受的轴向拉力设计值应按本标准公式(5.5.3-2)计算。
3 楼板钢筋应与板内预埋钢板可靠连接。
条文说明
5.5.4本条给出了无柱帽连接节点的设计要求,主要是为了保证该连接做法能够满足刚性连接的要求。采用暗销时,楼盖下部预埋钢板应避开楼盖内暗销槽。
5.5.5 楼盖中的吊装节点及吊装预埋件应结合吊装设备与吊装工艺进行承载力验算。
条文说明
5.5.5吊装节点及相应的预埋件与所采用的吊装设备及工艺密切相关,需结合工程实际进行设计。进行吊装节点和相应的预埋件设计时,其承载力设计要求应与选定的吊装设备及确定的吊装工艺相一致,节点与预埋件的承载能力不应低于确定吊装设备时所要求的吊装能力。
5.6 支撑设计
5.6 支撑设计
5.6.1 在升板结构中设置支撑时,可采用普通钢支撑或屈曲约束支撑,并应符合下列规定:
1 普通钢支撑可采用十字交叉斜杆和单斜杆,不应采用人字斜杆或V形斜杆。采用单斜杆时,应同时设不同倾斜方向的两组斜杆,且每层中不同方向单斜杆的截面面积在水平方向的投影面积之差不应大于10%。
2 屈曲约束支撑可采用单斜杆、人字斜杆或V形斜杆。
条文说明
5.6.1板柱结构中的普通钢支撑可采用单向斜杆支撑(图4a)或十字交叉支撑(图4b)。十字交叉支撑可按拉杆设计,较经济。单向斜支撑为拉压支撑,上下两端应与柱板节点或柱帽连接,其长细比及板件宽厚比应符合有关规定。人字斜杆或V形斜杆在支撑顶端形成不平衡竖向力,作用在板楼上,对楼板不利,不得使用。屈曲约束支撑拉压性能完全一致,因此采用人字形支撑(图4c)或V形支撑(图4d)时不会产生对楼板不利的不平衡力。 
图4支撑类型示意
5.6.2 支撑可按轴心受力构件设计,轴向力设计值可按下列公式计算:

式中:S——构件内力组合的设计值;
S w ——风荷载标准值的效应;
S Ehk ——水平地震作用标准值的效应;
S Evk ——竖向地震作用标准值的效应;
γ w ——风荷载的分项系数,取1.4;
γ Eh ——水平地震作用分项系数,按现行国家标准《建筑抗震设计规范》GB 50011的规定取用;
γ Ev ——竖向地震作用分项系数,按现行国家标准《建筑抗震设计规范》GB 50011的规定取用;
ψ w ——风荷载组合值系数,按现行国家标准《建筑结构荷载规范》GB 50009的规定取用。
5.6.3 普通钢支撑设计时,除应符合现行国家标准《钢结构设计标准》GB 50017关于轴心受力构件的有关规定外,尚应符合下列规定:
1 支撑应采用双轴对称截面;
2 长细比不应大于80 
;
3 支撑杆件的板件宽厚比不应大于表5.6.3规定的限值;
表5.6.3 钢支撑板件宽厚比限值

注:表列数值适用于Q235钢,采用其他牌号钢材应乘以 
,圆管应乘以235/f ay 。
4 多遇地震作用组合下,其内力设计值应乘以增大系数1.5;
5 多遇地震作用组合下,支撑受压承载力应符合下列公式规定:

式中:N——支撑轴向力设计值(N);
A br ——普通钢支撑截面面积(mm 2 );
φ——支撑的稳定系数;
ψ——受循环荷载时的钢材抗拉强度设计值降低系数;
λ n ——支撑的正则化长细比;
f y ——钢材抗拉强度设计值(N/mm 2 );
λ——支撑的长细比;
f ay ——钢材屈服强度(N/mm 2 );
E——钢材弹性模量(N/mm 2 );
γ RE ——承载力抗震调整系数,取0.9。
5.6.4 屈曲约束支撑设计时,除应符合现行行业标准《建筑消能减震技术规程》JGJ 297关于屈曲约束支撑的有关规定外,尚应符合下列规定:
1 风荷载或多遇地震下,屈曲约束支撑应处于弹性状态;
2 多遇地震作用组合下,支撑受压承载力应符合下式规定:

式中:A bq ——约束屈服段的钢材截面面积(mm 2 );
f y ——钢材抗拉强度设计值(N/mm 2 );
γ RE ——承载力抗震调整系数,取0.9。
5.6.5 支撑一端与边柱相连时,连接处的楼板应设置附加钢筋,附加钢筋的截面面积A t 可按下式进行计算:

式中:N bl ——支撑轴向力设计值水平分量(N);
f y ——附加钢筋抗拉强度设计值(N/mm 2 )。
条文说明
5.6.5垂直边榀框架布置支撑(图5),当支撑受压时,压力Nb沿柱和板分解出竖向作用力Nbv和水平作用力Nbh,水平作用力Nbh作用在板上会在板中产生拉力Nbl,这个拉力需要由楼板承担,在楼板中应附加配置受拉钢筋,钢筋量按混凝土轴心受拉计算。板中非受力钢筋可作为抗拉受力筋使用。 当下层支撑按图6设置支撑时,上下支撑的受力是反向的,即支撑为一拉一压,在楼板水平面的分量可以抵消很多,作用在板中的拉力可以大大降低。 
图5边柱支撑作用示意 1-边柱;2-支撑;3-楼板 
图6边柱支撑作用示意 1-边柱;2-支撑;3-楼板
5.6.6 支撑连接节点承载力F c 应满足下式的要求:

式中:N ub ——支撑最大承载力(kN),取支撑屈服承载力的1.5倍或罕遇地震下支撑轴力。
5.6.7 支撑与升板结构连接时的节点板,应符合现行国家标准《钢结构设计标准》GB 50017的有关规定。
5.6.8 预埋件的锚筋应与钢板连接牢固。锚筋的锚固长度宜大于20倍锚筋直径,且不应小于250mm,锚固长度不足时应设置弯钩或采取机械锚固等措施。
条文说明
5.6.7、5.6.8支撑与板柱节点见图7,“人”字形支撑或“V”形支撑与楼板节点见图8。 
图7支撑与板柱连接节点
图8“人”字形和“V”形支撑与楼板连接节点
6 构件制作与安装
6.1 一般规定
6 构件制作与安装
6.1 一般规定
6.1.1 升板结构的构件制作与安装应符合国家现行标准《混凝土结构工程施工规范》GB 50666、《钢结构工程施工规范》GB 50755和《装配式混凝土结构技术规程》JGJ 1的有关规定。
条文说明
6.1.1国家现行标准《混凝土结构工程施工规范》GB50666、《钢结构工程施工规范》GB50755、《装配式混凝土结构技术规程》JGJ1中对构件的制作作了具体规定,升板结构的构件制作应遵照执行。
6.1.2 构件制作前应按现行国家标准《混凝土结构工程施工质量验收规范》GB 50204的规定对原材料、供应品、生产过程中的半成品和成品进行验收。
条文说明
6.1.2升板结构原材料、供应品、成品和半成品主要材料为混凝土,应满足现行国家标准《混凝土结构工程施工质量验收规范》GB50204的要求。
6.1.3 混凝土构件的制作模具应具有规定的强度、刚度和整体稳固性,并应满足构件预留孔、插筋、预埋吊件及其他预埋件的定位要求。
条文说明
6.1.3为了保证升板结构构件的形状、尺寸和质量达到设计要求,对制作模具作了具体规定,应满足承载力和变形的要求。
6.1.4 采用后浇混凝土或砂浆、灌浆料连接的预制构件结合面,应按设计要求进行粗糙面处理。
条文说明
6.1.4预制构件与后浇混凝土实现可靠连接可以采用连接钢筋、键槽或粗糙面等方法。粗糙面可采用拉毛或凿毛处理方法,也可采用化学处理方法。 采用化学方法处理时,可在模板上或需要露骨料的部位涂刷缓凝剂,脱模后用清水冲洗干净,避免残留物对混凝土及其结合面造成影响。 为避免常用的缓凝剂中含有影响人体健康的成分,应严格控制缓凝剂,使其不含有氯离子、硫酸根离子和磷酸根离子,pH值应控制为6~8;产品应附有使用说明书,注明药剂的类型、适用的露骨料深度、使用方法、储存条件、推荐用量、注意事项等内容。
6.2 柱
6.2 柱
6.2.1 升板结构中,预制混凝土柱的制作应符合下列规定:
1 截面尺寸的制作偏差不应大于5mm。
2 柱高度不大于20m时,侧向弯曲变形不应超过12mm;柱高度大于20m时,侧向弯曲变形不应超过15mm。
3 柱顶和柱底的表面应平整,并应垂直于柱的轴线。
4 柱底部中线与轴线偏移不应超过5mm。柱顶竖向偏差不应超过柱高的1/1000,且不大于20mm。
5 柱预留齿槽位置应符合设计要求,棱角应方正。预留齿槽深度不应超过受力钢筋的保护层厚度,宽度宜为75mm~100mm。
6 柱上就位孔位置应准确,孔的轴线偏差及孔底两端高差均不应超过5mm,孔底应平整,同一标高的孔底标高允许偏差应为—15mm~0mm,孔的尺寸允许偏差应为—5mm~+10mm。
7 预制混凝土柱在脱模起吊时,同条件养护的混凝土立方体试块抗压强度不宜小于15N/mm 2 。
条文说明
6.2.1升板结构中预制混凝土柱的制作要求主要依据现行国家标准《混凝土结构工程施工质量验收规范》GB50204的要求和工程经验制定。
6.2.2 升板结构中,钢管混凝土柱的制作应符合下列规定:
1 钢管内混凝土宜采用自密实混凝土,采用其他混凝土材料时,应保证混凝土浇筑密实。
2 钢管内混凝土应连续浇筑完成。当不能连续浇筑时,可留设施工缝。施工缝宜留于钢管端口以下500mm~600mm处。混凝土终凝后,可注入清水养护,水深不宜少于200mm。
3 钢管混凝土的浇筑质量可采用敲击钢管或其他有效方法进行检查。
条文说明
6.2.2为保证钢管混凝土柱的质量,更好地为升板结构服务,本条从混凝土的浇筑、养护以及质量检验等方面作了详细规定。
6.2.3 升板结构中,钢柱的制作应符合下列规定:
1 钢柱底部中线与轴线偏移不应超过5mm。柱顶竖向偏差不应超过柱高的1/1000,且不应大于20mm。
2 就位孔位置应准确,孔的轴线偏差及孔底两端高差均不应超过5mm,孔底应平整,同一标高的孔底标高允许偏差应为—15mm~0mm,孔的尺寸允许偏差应为—5mm~+10mm。
3 停歇孔位置应根据提升程序确定,其质量要求应与就位孔相同。柱的上下两孔之间的净距不应小于300mm。
条文说明
6.2.3钢柱以及钢柱上预留孔的位置偏差对升板结构内力影响较大,为了保证结构的受力合理,偏差不能过大。
6.2.4 预制混凝土柱中预埋件的安装应符合下列规定:
1 预埋件不应凸出柱面,凹进柱面不宜超过3mm;
2 预埋件表面应平整,不得有翘曲变形。
6.2.5 预制柱需接长时,接头数不宜超过3个,并应保护预留接长钢筋。
条文说明
6.2.5预制柱接长质量不易保证,必须接长时,宜少于3个。
6.2.6 现浇混凝土柱可采用升模或滑模施工,并应符合下列规定:
1 采用滑模施工时,宜按提升单元进行施工。滑模施工宜连续进行,并应控制滑模速度。当柱高度与界面较小边长之比大于50或柱高超过30m时,应有保证稳定的施工技术措施。
2 采用升模施工时,其浇筑位置由每次施工高度确定,操作平台、柱模及脚手架应按现行国家标准《混凝土结构工程施工规范》GB 50666的规定进行设计,并不应影响提升施工。
3 在现浇混凝土柱上进行提升施工时,其混凝土强度不应低于15MPa。
条文说明
6.2.6升模施工是在顶层板的上方设置柱模和操作平台,提升顶层板时,柱模与操作平台一起上升,然后组装模板,浇筑一层或一段柱的混凝土,待混凝土强度达到15MPa以上,提升设备可挂到上层柱上,再重复上述工艺。 为了提高滑模施工期间的群柱稳定性,应控制滑模速度和设置柱间支撑。 柱施工有逐层升模和逐段升模两种方法,其施工高度是指分层和分段的高度。操作平台的高度,逐层升模时为施工高度的2倍,逐段升模时为施工高度的3倍。
6.2.7 提升施工需要工具柱时,工具柱的制作与安装应符合下列规定:
1 工具柱应经专门设计,应构造合理、安全可靠、通用性强及方便拆装;
2 工具柱的布置应合理,提升期间应保证其稳定性;
3 采用钢管制作工具柱时,宜采用无缝钢管;
4 当承重结构达到设计要求后,方可拆除工具柱;
5 工具柱应定期检查与维修,有变形、损伤、严重锈蚀等缺陷时,不得使用。
条文说明
6.2.7工具柱应充分考虑各种使用条件进行专门设计,根据工具柱的布置验算工具柱的承载能力与稳定性。工具柱可多次施工,在施工过程中为保证提升安全,有缺陷的工具柱不得使用。
6.3 楼盖
6.3 楼 盖
6.3.1 制作首层楼盖时,地下室顶板可作为胎模,并应进行承载力和变形验算。
条文说明
6.3.1地坪以及地下室顶板可以作为首层楼盖胎模,但要保证地坪平整、干净。
6.3.2 采用首层地坪作为胎膜时,在施工首层楼盖前应对首层地坪下方的地基进行处理。地基处理应符合下列规定:
1 地基处理方案应经技术经济比较综合确定。经处理后的地坪下垫层,其承载力应进行验算。
2 基础垫层材料可选用砂石、粉质黏土、灰土、粉煤灰、矿渣等。基础垫层的厚度应根据需要置换软弱土的深度或下卧层的承载力确定;垫层底面的宽度应满足基础底面应力扩散的要求。
3 基础垫层的压实标准应符合现行行业标准《建筑地基处理技术规范》JGJ 79的规定。
条文说明
6.3.2地基质量对首层楼盖的质量起到至关重要的作用,地基往往要经过处理才能满足施工要求。 1经处理后的地基,其承载力和变形应满足现行国家标准《建筑地基基础设计规范》GB50007的要求。 2垫层设计应满足建筑地基的承载力和变形要求。首先,垫层能换除基础下直接承受楼盖荷载的软弱土层,代之以能满足承载力要求的垫层;其次,荷载通过垫层的应力扩散,使下卧层顶面受到的压力满足小于或等于下卧层承载能力的条件;再者,基础持力层被低压缩性的垫层代换,能大大减少沉降量。因此,合理确定垫层厚度是垫层设计的主要内容。 3现行行业标准《建筑地基处理技术规范》JGJ79中对基础垫层的压实作了详细的规定,此处按照该标准执行。
6.3.3 胎模施工应符合下列规定:
1 胎模应平整光洁,不应下沉、开裂、起砂或起鼓;
2 胎模的垫层应分层夯实、均匀密实;
3 提升环位置胎模标高的相对允许偏差应为±2mm;
4 胎模设伸缩缝时,伸缩缝与楼板接触处应做好隔离处理。
条文说明
6.3.3本条对胎膜提出了平整光洁、垫层分层夯实、均匀密实等要求,主要是为了保证楼盖的成型质量。
6.3.4 楼板与胎模之间及楼板与楼板之间应设置隔离层。隔离层施工应符合下列规定:
1 隔离层材料应具有防水性、耐磨性,且应易于清除,可采用涂刷或铺贴式材料。
2 涂刷隔离层时,胎模和楼板的混凝土强度不应低于1.2MPa。隔离层涂刷应均匀,应待其表面干燥后再进行下道工序。
3 采用铺贴式材料时,铺贴应平整,接槎处的搭接宽度不应小于50mm。
4 隔离层应进行保护。施工过程有破损时,应在混凝土浇筑前修补;修补时应避免污染钢筋、混凝土芯模及其他填充材料。
条文说明
6.3.4楼板与胎模之间及楼板与楼板之间设置隔离层能有效起到保护的作用,防止裂缝,防止表面磨损,同时有效降低提升时楼盖之间的粘结力。
6.3.5 楼盖中预埋件的设置应符合下列规定:
1 楼盖中的预埋件、预留孔和预留洞均不得遗漏,且应安装牢固,其位置偏差不应超过3mm;
2 设置锚筋的预埋件,锚筋中心至锚板边缘的距离不应小于2倍锚筋直径和20mm,锚筋应位于构件的外层主筋的内侧;
3 楼盖内有预埋管线时,预埋管线应在浇筑混凝土前预先放置并固定,固定时应采用防止管线破坏及污染表面的保护措施;
4 板的各种预留孔洞应画线预留,并在浇筑混凝土前校正。预留孔拆模后,应避免浇筑上一层板时混凝土进入预留孔。
条文说明
6.3.5楼盖中的预埋件,不论固定在钢筋骨架上还是固定在模板上,均需要在混凝土浇筑之前设置,预埋件的位置和尺寸偏差不宜过大。在施工过程中,还应采取防护措施,保证预埋件的质量。楼盖中设置提升环与提升孔时,其相关要求如下: 1采用型钢提升环时,可采用槽钢或工字钢焊接成井字形或口字形,型钢挑肢长度不宜大于2倍板厚。在选择提升环型钢截面时,可采用将两个方向的提升环简化为主次梁和它所传递的荷载均匀地作用在提升环的挑肢长度上的计算简图。板内被提升环截断的受力钢筋应焊接在提升环型钢翼缘上,以加强提升环与板受力钢筋的共同工作;在孔的四周宜增加钢筋面积,以补偿被提升环截断的受力钢筋。 2型钢表面应平整,翘曲不应超过2mm,其内孔尺寸允许偏差应为0~3mm。型钢提升环就位时,应以柱的实际中线为准,其中线偏差不应超过3mm。提升环应安放平整。提升环及其搭接钢筋焊接应符合设计要求。 3采用无型钢提升环时,在板孔洞四周附近应设置附加钢筋,其面积不少于被孔洞截断的受力钢筋面积,附加钢筋两端伸出孔边的长度应满足搭接长度的要求,沿附加钢筋全长应设置封闭箍筋,板底搁置处应设置支承钢板。钢筋位置应符合设计要求,其主筋、吊筋允许偏差应为±5mm,箍筋允许偏差应为±10mm,提升孔的位置与尺寸应准确,各层板的孔眼上下要对准。
6.3.6 密肋板的施工应符合下列规定:
1 密肋板施工,可采用塑料、金属等工具式模壳、预制混凝土芯模或用轻质材料填充;格梁板施工,可采用预制钢筋混凝土芯模或定型组合钢模。
2 工具式模壳或芯模,应保证使用时的强度与刚度,其表面应平整光滑、规格统一、边缘整齐。
3 工具式模壳或芯模应弹线放置,底部应垫实。工具式模壳应预涂隔离剂。采用预制混凝土芯模或填充材料时,其表面宜粗糙,并应有规整的外形,浇筑混凝土前,芯模或填充材料应浇水润湿,但不应损坏隔离层。
4 应在各层板四周的外侧支好边模,在其下部每隔适当位置应留出排水孔,避免隔离层被水浸泡。
6.3.7 空心楼盖的制作应符合下列规定:
1 空心楼盖内模的外观质量、尺寸偏差、物理力学性能应符合现行行业标准《现浇混凝土空心楼盖技术规程》JGJ/T 268的有关规定。
2 施工中应采取防止内模损坏的措施。内模在板面钢筋安装之前发生损坏时,应予以更换;在板面钢筋安装之后发生损坏时,应修补完整。
3 浇筑混凝土时,应采取防止内模上浮及钢筋移位的措施。
4 浇筑混凝土过程中,应对内模进行观察和维护,发生异常情况时,应按施工方案进行处理。
5 施工中内模需要接长时,可将内模直接对接;内模需截断时,应采取措施保证截断后内模的完整性。
6 空心楼盖预埋管线的安装应与钢筋安装、预应力筋铺设、内模安装等工序交叉进行。
条文说明
6.3.7本条对空心楼盖的制作提出了具体要求。 1空心楼盖内模的外观质量、尺寸偏差、物理力学性能应进行进场抽样检验,其质量标准应按现行行业标准《现浇混凝土空心楼盖技术规程》JGJ/T268的有关规定执行。 2施工过程中,应采取措施防止内模损坏。板面钢筋绑扎之后,对发生损坏的内模,应采取填充麻袋、粘贴胶带纸或其他有效的封堵措施,以保证内模形状及密封。 3在混凝土浇筑时,空心楼板中的内模受到浮力和振捣作业,可能导致内模上移,如不采取可靠的抗浮技术措施,会严重影响楼板的施工质量。 防止内模在浇筑混凝土时上浮的技术措施可根据实际情况确定。对单个内模应采取经实践检验的抗浮技术措施。在采取抗浮技术措施之前,应保证内模底部设计标高的准确,并检查确认内模位置、间距及区隔板周边和柱周围混凝土实心部分的尺寸满足设计要求。 4浇筑混凝土时,内模在混凝土浮力和振捣作业下,可能出现上浮、位置偏移或破损情况。为避免事故和缺陷,保证工程质量和施工安全,提出了对内模进行观察、维护和发生异常情况及时处理的要求。 5在施工中内模可能需要接长或截断使用。 6管线的预留、预埋应与钢筋和内模的安装互相配合,交叉进行。在施工技术方案中对此应有明确规定和具体措施,避免在钢筋和内模安装后再进行预留、预埋施工,造成施工困难。
6.4 剪力墙
6.4 剪力墙
6.4.1 剪力墙作为施工阶段的抗侧力结构时,应在楼盖提升前施工。在提升过程中,应按设计要求和提升程序的规定及时完成楼盖与剪力墙的连接。
条文说明
6.4.1剪力墙施工的先后顺序可以根据在施工中所要起的作用来决定。但在施工完毕后,要根据设计及提升程序的规定,及时进行楼盖和剪力墙的连接。
6.4.2 现浇剪力墙施工时,应在基础梁或下一层墙体内设置插筋。钢筋混凝土墙体的插筋数量不应低于设计要求。
条文说明
6.4.2现浇混凝土墙体在施工缝处要可靠连接,可以设置插筋。设置插筋可以增强现浇混凝土墙体的整体性。为了保证墙体在连接处的受力性能,要求插筋的数量不能低于墙体的配筋数量。
6.4.3 墙体配筋宜优先采用焊接钢筋网片。在运输、堆放和吊装过程中,应采取措施防止钢筋产生弯折变形和焊点脱开。
条文说明
6.4.3焊接钢筋网片焊接牢固,网孔均匀,网面平整,强度大,力学性能稳定。在剪力墙中,可以优先采用焊接钢筋网片。但在运输、堆放和吊装过程中,要采取安全可靠的措施防止钢筋产生弯曲变形和焊点脱开。
6.4.4 钢筋的搭接部分应调直并绑扎牢固。搭接位置和长度应符合设计要求。双排钢筋之间、钢筋与模板之间应采取措施保证其位置准确。
条文说明
6.4.4钢筋的搭接和位置对结构构件的承载能力和抗裂性能等有重要影响,要保证搭接部分绑扎牢固、安全可靠和钢筋位置准确。
6.4.5 剪力墙钢筋绑扎应与模板的提升速度相适应,水平钢筋应在混凝土入模前绑扎完毕。
6.4.6 现浇剪力墙施工过程中,当风力大于6级时,应暂停升提或升滑,并应采取保证竖向结构整体稳定的措施。
条文说明
6.4.6在施工过程中,当风力大于6级时时,为了安全起见,要立即停止施工,对结构进行拉结固定。
6.4.7 采用预制墙体外墙模时,应先将外墙模安装到位,再进行内衬现浇混凝土剪力墙的钢筋绑扎。
条文说明
6.4.7预制构件外墙模的安装与现浇结构的施工顺序控制,是保证构件可靠连接与结构整体性的要求。
6.4.8 预制墙体插筋影响现浇混凝土结构部分钢筋绑扎时,可在预制构件上预留接驳器,待现浇混凝土墙体钢筋绑扎完成后,再将插筋旋入接驳器。
条文说明
6.4.8当预制墙体插筋影响现浇混凝土结构部分的钢筋绑扎时,可在预制构件上预留埋入式的螺纹连接接头或其他可靠的钢筋后连接配件以方便现浇部分的钢筋绑扎,在现场绑扎的钢筋完成后,在将插筋和螺纹连接接头等连接。
6.4.9 在升层结构中,围护墙体的制作与安装应符合下列规定:
1 在提升阶段,围护墙体应采取保证自身稳定的措施;
2 升板结构的墙板应在楼板脱模后安装。墙板就位、校正后,应与楼板临时支撑固定,并完成墙板拼缝的镶嵌。有条件时,宜进行外装饰。
条文说明
6.4.9本条规定了升层结构中对维护墙体的要求。 1围护墙只承担自重荷载,可以采用轻质材料。在提升过程中,要采取措施确保自身的稳定。 2规定了升板结构中墙板的技术要求。
6.4.10 在升层结构中,应采取下列增加稳定性的措施:
1 剪力墙应先施工;
2 楼层搁置后,板柱节点应采取临时连接措施;
3 施工中,应观测柱的侧向变形,变形值不应超过柱高度的1/1000,且不应大于20mm。
7 楼盖提升与固定
7.1 一般规定
7 楼盖提升与固定
7.1 一般规定
7.1.1 楼盖提升前,施工单位除应编制施工方案外,尚应编制专项安全施工方案。
条文说明
7.1.1专项安全施工方案应包括:危险性较大工序(提升设备的安装、升板、拆除等)的工程概况、施工平面布置图、施工要求和技术保证条件、技术参数、工艺流程、施工方法、技术措施、应急预案、监测监控、安全管理人员及特种作业员的要求、检查验收、相关计算书及施工图纸等。
7.1.2 提升荷载应包括楼盖自重与施工荷载,并应考虑提升差异及振动的影响。提升阶段利用楼盖提运材料、设备时应经验算,并应规定允许堆放范围。
条文说明
7.1.2安全措施中应考虑风荷载的影响,其标准值按现行国家标准《建筑结构荷载规范》GB50009中的规定计算。板所受施工荷载包括板上的附加荷载(墙体材料、模板、钢筋、施工机具、防护设施、构配件等)。
7.1.3 提升时混凝土同条件养护的混凝土立方体试块抗压强度应符合设计要求。
条文说明
7.1.3本条所规定的混凝土强度是基本要求,具体要根据楼盖提升时混凝土柱所受的实际施工荷载经验算确定。
7.1.4 楼盖提升前,应做好各种准备工作,并应进行技术交底。
条文说明
7.1.4本条内容包括机具及配件的检查、料具的准备、基准测量及记录、楼盖及柱的强度检查、技术交底、安全施工交底、应急预案等。
7.1.5 在提升过程中,应对柱的水平偏移和楼盖提升点的升差进行监测。
条文说明
7.1.5提升设备应选用同一型号和性能的合格产品,并且具有微调功能,确保每次提升能将各提升点调整到允许误差的水平上。升差监测的精度标准可按现行国家标准《工程测量规范》GB50026中对工业与民用建筑施工测量的有关规定执行。
7.1.6 在提升过程中,群柱应有可靠的稳定措施,并应在允许的风力环境下施工。
条文说明
7.1.6当实际风载大于验算取值时必须暂停升板施工,并做好缆风固定措施。一般风力大于6级应停止施工。
7.1.7 楼盖在提升中的临时停歇搁置和到达设计标高就位时,应检查楼盖的平面位置、搁置偏差等,偏差超过允许范围时应分析原因并进行调整。
条文说明
7.1.7如果各吊点或少数吊点在提升过程中不同步,使得竖向和水平误差超过允许范围,就会对柱和机械装置产生附加弯矩,增加提升机械、吊杆及楼盖和柱的内力,使楼盖和柱产生较大移位,严重时,吊环与柱局部相摩擦甚至卡死,楼盖开裂,此时如提升系统继续工作就会造成严重后果。
7.1.8 提升设备应建立维修保养制度并定期校验。提升机应编号并建立使用、维修、保养档案卡片。施工过程中应定期检查提升设备的承重部件的磨损程度,超过限值时应予调换。
条文说明
7.1.8本条是对提升装置中的设备提出的基本要求。
7.1.9 固定或临时固定楼盖的承重装置及其连接应经验算,保证其承载力、刚度和稳定性。
条文说明
7.1.9临时固定或固定楼盖的承重装置,可以是承重销或柱箍,其承载力、刚度和稳定性验算包括本身及其与柱连接方式的验算。
7.2 提升系统
7.2 提升系统
7.2.1 对于结构布置均匀的升板结构,初选设备时,提升力的设计值可按下式估算:

式中:η L ——荷载效应放大系数。考虑提升过程中的动力效应、提升差异等影响对荷载进行调整,当提升差异不超过10mm时,η L 值可取1.6~3.0;
A——提升机所担负的楼盖范围,可按两相邻区格楼盖的中线划分(m 2 );
G k ——楼盖自重荷载标准值(kN/m 2 );
Q Ck ——提升阶段楼盖上的施工荷载(kN/m 2 )。
条文说明
7.2.1本条用于提升设备的初选。当拟选用的提升设备同步控制精度高、楼盖的刚度小、跨度大,提升点位于周边时取小值,反之取大值。
7.2.2 提升系统的使用负载应由提升力确定,提升力的设计值应按下列公式计算:

式中:γ G ——板自重作用分项系数,永久荷载效应起控制作用时取1.35,可变荷载效应起控制作用时取1.2;
γ CQ ——施工活荷载作用分项系数,应取1.4;
γ l ——提升差异作用分项系数,应取1.25;
K——动力系数,应取1.2;
S Gk ——板自重作用效应值;
S Qk ——施工荷载作用效应值;
S Lk ——提升差异作用效应值,按本标准第4.2.4条规定计算;
ψ CQ ——可变荷载组合系数,应取0.7。
条文说明
7.2.2提升力包括楼盖的自重荷载、施工荷载、开始提升时板与板之间的粘结力、提升过程中的动力效应、提升差异所引起的附加力等。楼盖之间的隔离层具有一定的粘结力,但粘结力只在开始提升的瞬间存在,且比振动力与提升差异附加力之和小,因此在计算时未计入其影响;但一旦隔离层破坏,粘结力会大幅度增加,从而造成提升系统超负荷工作,甚至损坏,因此提升初始阶段要注意观察,确保隔离层不被破坏。提升系统是升板施工的关键设备,直接影响提升过程的安全性、施工质量和施工进度,应根据设计提升力进行设计。
7.2.3 选取提升设备时,应将额定负荷能力乘以折减系数后作为其提升操作使用的设计值。对穿心式千斤顶,折减系数可取0.8~0.9;电动螺杆升板机可不折减;其他设备的折减系数应通过试验确定。
条文说明
7.2.3应根据提升力设计值选取设备,提升力设计值按本标准第7.2.2条确定,这里提升设备额定负载折减系数是根据近年来工程经验总结得出。
7.2.4 提升吊杆可采用钢绞线或钢拉杆,且应符合下列规定:
1 吊杆应采用高强度、延性及可焊性好的钢材,残余变形超过5‰时应予以更换。
2 吊杆的端头应牢固。采用焊接时,其焊接质量应经检测,焊接端头强度不应低于母材的强度。
3 采用钢绞线做吊索时,应选用低松弛钢绞线,其质量应符合现行国家标准《预应力混凝土用钢绞线》GB/T 5224的规定。钢绞线吊索锁具质量应符合现行国家标准《预应力筋用锚具、夹具和连接器》GB/T 14370的规定。
4 楼盖的提升预留环和承压孔应与吊杆相匹配,安装千斤顶的支架及其与柱的连接应经验算,且应满足承载力、刚度和稳定性要求。
条文说明
7.2.4国内各提升机的性能不同而采用的吊杆略有区别,所使用的吊杆质量各项指标必须满足要求;电动提升机每步有效提升高度与螺杆长度有关,当螺杆长度为2.8m时,有效提升高度为2m左右。吊杆长度随每次提升时楼层和提升装置的固定位置而定。单杆吊杆有4.2m、3.6m、3.0m、1.8m、0.9m、0.6m、0.3m等不同长度,构成一个系列。吊杆接长可以用套筒接头,连接套筒的直径不要大于10cm,应使其能通过提升孔.吊杆的下端头套在板上的钥匙形提升吊点上。由于吊杆的下端头尺寸较大,必须先通过钥匙形的大孔,再移向柱侧较窄的小孔处,才能提升偻盖。自动液压升板机使用的延接吊杆是以0.5m为模数的组合式吊杆,可拼接出不同长度,用于不同的楼盖层高,使用时一次配好后可不再拆换,在吊杆的每一个接头上均可提升楼盖,使楼盖在相隔一段距离同时提升,并为集层升板和升层法创造了有利条件。
7.2.5 选用提升吊杆时,其拉力设计值不应小于提升力设计值,并应符合下列规定:
1 钢绞线的拉力设计值不应超过其极限抗拉力标准值的50%;
2 高强钢拉杆的拉力设计值不应超过其极限抗拉力标准值的60%。
条文说明
7.2.5提升力设计值按本标准第7.2.2条确定。吊杆对结构提升阶段的安全性至关重要,吊杆的抗拉承载力均通过其极限抗拉力及分项系数确定,根据相关研究成果及多项整体提升工程经验,对提升钢绞线和钢拉杆的抗力分项系数的取值分别为2.0和1.7。提升时各根钢绞线应受力均匀,钢拉杆破断力应考虑螺纹等对截面的削弱影响。
7.3 楼盖提升
7.3 楼盖提升
7.3.1 楼盖在提升前,应制定提升程序,其内容应包括:提升方式、步距、吊杆组配、群柱稳定措施及施工进度等。
条文说明
7.3.1升板结构提升准备工作前,应充分考虑提升装置设计的基本内容和具体步骤;升板结构提升时,应升完一个提升单元后,再依次提升其他单元,待各单元就位固定后,用现浇板带把各提升单元连接成一个整体楼盖。 编制提升程序时,应考虑下列内容: 1提升阶段应尽可能缩小各层板的距离(有条件时可集层提升、集层停歇),使顶层楼盖在较低标高处,将底层楼盖在设计位置上就位固定(采用承重销、剪力块时应焊接牢固;采用后浇柱帽时,混凝土强度不低于10MPa),然后再提升上层楼盖。 2方便操作,减少拆装吊杆的次数,以及便于安装承重销或剪力块。 3自升式升板机的位置应尽量压低,以提高柱的稳定性。 4在提升阶段若满足稳定条件,可连续提升各层楼盖,就位后宜尽快使板柱形成刚接。
7.3.2 各台提升机或千斤顶工作应同步,安装时应使提升机或千斤顶基座水平,其中线应与柱的轴线对准,提升丝杆和吊杆或吊索应垂直并松紧一致。
条文说明
7.3.2本条是对提升设备提出的基本要求,目前国内大都采用计算机控制同步,可高精度控制提升点间的升差值,同时不受提升点数量和提升点间荷载差异的影响。
7.3.3 提升施工前应先进行楼盖的脱模。脱模后,应按基准线进行校核与调整,板搁置前后应测调并做好记录。脱模顺序可按角、边、中柱为序,也可由边柱向里逐排进行,每次提升高度不宜大于5mm。
7.3.4 楼盖脱开后应作空中悬停,并应对提升柱的偏移、结构变形、连接构造等进行检查,符合设计要求后方可继续提升。
条文说明
7.3.4在悬停期间要对结构、连接节点、结构变形等进行观察,符合要求后方可进行提升。
7.3.5 楼盖在提升过程中应同步提升,相邻柱间的提升差异不应超过10mm,搁置差异不应超过5mm。
条文说明
7.3.5提升同步性控制对升板结构施工至关重要,结合工程经验本条给出提升差异量限值。承重销必须放平,两端外伸长度一致,且必须支承在型钢提升环或板的支承钢板上。
7.3.6 楼盖不宜在提升中途悬挂停歇;特殊情况下必须悬挂停歇时,应采取有效的支撑措施。
7.3.7 楼盖提升过程中,升板结构不得作为其他设施的支撑点或缆索锚点。
7.4 楼盖固定
7.4 楼盖固定
7.4.1 混凝土升板结构的楼盖提升就位后,应及时按设计要求对楼盖固定。
7.4.2 混凝土升板结构的楼盖就位时的位置偏差应符合下列规定:
1 楼盖的平面位移不应大于25mm;
2 楼盖的就位偏差不应大于5mm。
条文说明
7.4.2本条对不同提升方式的就位偏差给出具体规定,主要是为了保证楼盖就位后的位置与设计计算时采用的计算模型一致。
7.4.3 采用后浇柱帽固定楼盖时,后浇柱帽范围内楼盖底部的隔离层应清理干净;混凝土界面应进行凿毛处理并湿润;节点中钢筋应可靠连接;后浇混凝土应振捣密实,并应采取专门措施进行养护。
条文说明
7.4.3本条规定主要是为了保证后浇柱帽节点能和柱及楼盖结合为一个整体,确保节点连接可靠。
7.4.4 采用承重销固定楼盖时,楼盖与承重销间应紧密、平整,承重销应无变形,并应采取防腐蚀与防火保护措施。
条文说明
7.4.4本条对承重销的安装与耐久性防护要求作出具体规定,确保连接节点可靠。
7.5 临时稳定措施
7.5 临时稳定措施
7.5.1 对四层以上的升板结构,在提升过程中最上两层楼盖应至少有一层楼盖交替与柱子楔紧,并应尽早使楼盖与柱形成刚接。
7.5.2 采用柱顶式提升时,应利用柱顶间的临时走道将各柱顶连接稳固。
7.5.3 柱安装时,边柱的停歇孔应与板边垂直,相邻排柱的停歇孔宜互相垂直。
条文说明
7.5.3停歇时,因楼板临时搁置在承重销两侧,板与柱之间能够承受一定的弯矩;而相邻排柱停歇孔的垂直布置使板与柱在两个方向都有一定的抗弯能力,在一定程度上增强了群柱的整体稳定性;但此项措施仅为附加安全手段,计算时不予考虑。实际分析时,在提升阶段,楼板与柱之间仍为铰接连接,柱仅为板提供竖向支承力。
7.5.4 在提升过程中,可增设柱间临时可拆卸支撑。当结构设有电梯井、楼梯间等筒体时,也可利用其作为结构侧向支撑,此时筒体宜先施工。
7.5.5 五层或20m以上的升板结构,在提升和搁置时,应至少有一层板与先期施工的抗侧力结构有可靠的连接。
7.6 支撑安装
7.6 支撑安装
7.6.1 支撑的安装应符合专项施工方案和现行国家标准《钢结构工程施工规范》GB 50755的规定。
7.6.2 支撑可按施工前准备、施工前检查、运输、误差消除、起吊、临时固定、校正、最终固定的步骤进行安装。
7.6.3 支撑应在主体结构完成后安装。
条文说明
7.6.3板柱结构的支撑主要用于承担水平力,屈曲约束支撑在罕遇地震下还具有很强的耗能作用,平时使用时应尽可能让支撑处于非受力状态。屈曲约束支撑的耗能能力还与是否有初始应力密切相关。但是建筑使用活荷载是变化的,支撑或多或少承担一些活荷载产生的作用力,因此,支撑中的初始应力只能尽可能减少,本规定的目的也在于此。 如果在结构施工中使用结构支撑作为临时支撑用,在主体结构完成后,也须松开支撑重新安装。
7.6.4 支撑施工安装偏差应符合表7.6.4的规定。
表7.6.4 支撑安装允许偏差


8 工程验收
8.1 一般规定
8 工程验收
8.1 一般规定
8.1.1 混凝土升板结构工程应按混凝土结构子分部工程进行验收。验收时,除应符合本标准规定外,尚应符合国家现行标准《混凝土结构工程施工质量验收规范》GB 50204、《钢结构工程施工质量验收规范》GB 50205、《钢管混凝土工程施工质量验收规范 》GB 50628及《装配式混凝土结构技术规程》JGJ 1的有关规定。
条文说明
8.1.1升板结构的验收,凡本标准有规定的项目均按本标准的要求进行验收,本标准未规定的项目,按现行国家标准《混凝土结构工程施工质量验收规范》GB50204、《钢结构工程施工质量验收规范》GB50205、《钢管混凝土工程施工质量验收规范》GB50628及现行行业标准《装配式混凝土结构技术规程》JGJ1的规定进行验收。
8.1.2 预制混凝土构件的进场质量验收应符合现行国家标准《混凝土结构工程施工质量验收规范》GB 50204的规定;钢结构构件的进场质量验收应符合现行国家标准《钢结构工程施工质量验收规范》GB 50205的规定。
条文说明
8.1.2预制混凝土构件(预制柱、预制墙、预制楼梯、维护墙体等)作为产品进行验收,均应按照现行国家标准《混凝土结构工程施工质量验收规范》GB50204规定的验收程序和验收要求进行验收;楼盖作为施工现场预制的构件,按照现行国家标准《混凝土结构工程施工质量验收规范》GB50204规定的对现场预制构件的验收要求进行验收;钢结构构件按现行国家标准《钢结构工程施工质量验收规范》GB50205的规定进行验收。
8.1.3 采用后浇柱帽节点时,浇筑混凝土之前应进行隐蔽工程验收。隐蔽工程验收应包括下列主要内容:
1 混凝土粗糙面的质量,键槽的尺寸、数量、位置;
2 钢筋的牌号、规格、数量、位置、间距,箍筋弯钩的弯折角度及平直段长度;
3 钢筋的连接方式、接头位置、接头数量、接头面积百分率、搭接长度、锚固方式及锚固长度。
条文说明
8.1.3在浇筑混凝土之前进行隐蔽工程验收,主要是为了保证连接节点性能满足设计要求。
8.1.4 升板结构构件的外观质量缺陷应由监理单位、施工单位等各方根据其对结构性能和使用功能影响的严重程度,按现行国家标准《混凝土结构工程施工质量验收规范》GB 50204的规定确定。
条文说明
8.1.4对结构外观质量的验收,采用检查缺陷,并对缺陷的性质和数量加以限制的方法进行。本条提出了确定结构外观质量严重缺陷、一般缺陷的一般原则。各种缺陷的数量限制可根据实际情况作出规定。 在具体实施中,外观质量缺陷对结构性能和使用功能等的影响程度,应由监理、施工等各方根据其对结构性能和使用功能影响的严重程度共同确定。对于具有外观质量要求较高的清水混凝土,考虑到其装饰效果属于主要使用功能,可将其表面外形缺陷、外表缺陷定为严重缺陷。
8.2 结构构件与安装
8.2 结构构件与安装
Ⅰ 主控项目
8.2.1 结构构件的外观质量不应有严重缺陷。对已经出现的严重缺陷,应由施工单位提出技术处理方案,并经监理单位认可后进行处理;对裂缝或连接部位的严重缺陷及其他影响结构安全的严重缺陷,技术处理方案尚应经设计单位认可。对经处理的部位应重新验收。
检查数量:全数检查。
检验方法:观察,检查技术处理方案。
条文说明
8.2.1外观质量的严重缺陷通常会影响到结构性能、使用功能或耐久性。对已经出现的严重缺陷,应由施工单位根据缺陷的具体情况提出技术处理方案,经监理单位认可后进行处理,并重新检查验收。对于影响结构安全的严重缺陷,除上述程序外,技术处理方案尚应经设计单位认可。“影响结构安全的严重缺陷”包括《混凝土结构工程施工质量验收规范》GB50204-2015表8.1.2中的裂缝、连接部位的严重缺陷,也包括露筋、蜂窝、孔洞、夹渣、疏松、外形、外表等严重缺陷中可能影响结构安全的情况。
8.2.2 结构构件不应有影响结构性能和使用功能的尺寸偏差。对超过尺寸允许偏差且影响结构性能或安装、使用功能的部位,应由施工单位提出技术处理方案,并经监理、设计单位认可后进行处理。对经处理的部位应重新验收。
检查数量:全数检查。
检验方法:量测,检查技术处理方案。
条文说明
8.2.2升板结构构件尺寸偏差应在允许范围内。过大的尺寸偏差可能影响结构构件的受力性能、使用功能,也可能影响结构构件安装,或影响设备安装与使用。验收时,应根据尺寸偏差的具体情况,由施工、监理各方共同确定尺寸偏差对结构性能和安装使用功能的影响程度。对超过尺寸允许偏差且影响结构性能和安装、使用功能的部位,应由施工单位根据尺寸偏差的具体情况提出技术处理方案,经监理、设计单位认可后进行处理,并重新检查验收。
8.2.3 结构预埋件和预留孔应按设计图纸设置。预埋件数量、规格、位置应满足设计要求。
检查数量:全数检查。
检验方法:量测。
条文说明
8.2.3构件中的预留孔、洞和预埋件直接关系到构件的顺利安装及使用功能,施工中应加强过程控制,确保其数量和位置等满足设计要求。
8.2.4 钢结构构件的制作和安装应符合设计和现行国家标准《钢结构工程施工质量验收规范》GB 50205的规定。运输、堆放和安装等造成的钢构件变形及涂层脱落,应进行矫正和修补。
检查数量:全数检查。
检验方法:量测或观察。
8.2.5 结构构件定位应准确,并应满足设计及安装要求。
检查数量:全数检查。
检验方法:量测。
条文说明
8.2.5构件定位直接关系到施工安全及最终结构安全和使用性能。施工单位应采取严密的施工质量控制措施确保构件定位准确。
8.2.6 屈曲约束支撑在设计位移幅值下往复循环30圈后,主要设计指标误差和衰减量不应超过15%,且不应有明显的低周疲劳现象。
检查数量:同一规格支撑现场抽取总数的3%,且不应少于1个。
检验方法:检查抽样检验报告。
条文说明
8.2.6通常情况下多遇地震时屈曲约束支撑不屈服,设防烈度地震和罕遇地震下屈曲约束支撑进入屈服耗能状态。为保证结构的抗倒塌性能,要求屈曲约束支撑能够正常工作,因此按消能器的要求进行检验。设计位移指罕遇地震下屈曲约束支撑最大变形的1.2倍。
Ⅱ 一般项目
8.2.7 结构构件的外观质量不宜有一般缺陷。对已经出现的一般缺陷,应由施工单位按技术处理方案进行处理,并应重新检查验收。
检查数量:全数检查。
检验方法:观察,检查技术处理方案。
条文说明
8.2.7外观质量的一般缺陷通常不会影响到结构性能,但有碍观瞻。故对一般缺陷,施工单位及时处理后,重新检查验收。
8.2.8 混凝土结构构件的尺寸偏差和检验方法应符合现行国家标准《混凝土结构工程施工质量验收规范》GB 50204的规定。
检查数量:按现行国家标准《混凝土结构工程施工质量验收规范》GB 50204的规定。
8.2.9 结构构件的预埋件及预留孔洞安装允许偏差和检验方法应符合表8.2.9的规定。
检查数量:按楼层、结构缝或施工段划分检验批。在同一检验批内,对梁、柱和独立基础,应抽查构件数量的10%,且不应少于3件;对墙和板,应按有代表性的自然间抽查10%,且不应少于3间;对大空间结构,墙可按相邻轴线间高度5m左右划分检查面,板可按纵、横轴线划分检查面,抽查10%,且均不应少于3面;对电梯井,应全数检查。
表8.2.9 构件预埋件和预留孔洞允许偏差及检验方法


8.2.10 预制构件定位偏差和检验方法应符合现行行业标准《装配式混凝土结构技术规程》JGJ 1的规定。
检查数量:全数检查。
8.2.11 支撑的定位与安装偏差应符合本标准表7.6.4的舰定。
检查数量:全数检查。
检验方法:尺量。
8.2.12 竖向结构构件的垂直度偏差和检验方法应符合表8.2.12的规定。
检查数量:全数检查。
表8.2.12 竖向结构构件垂直度允许偏差及检验方法

注:H为全高,单位为mm。
8.3 连接与固定
8.3 连接与固定
Ⅰ 主控项目
8.3.1 节点的连接方式应符合设计要求。
检查数量:全数检查。
检验方法:观察。
条文说明
8.3.1节点的连接方式由设计人员根据结构设计时所采用的计算假定及计算模型确定的,为使结构性能在使用阶段能够符合设计要求,节点的连接方式也必须按设计要求进行施工。
8.3.2 钢筋采用套筒灌浆连接时,灌浆应饱满、密实,其材料及连接质量应符合国家现行行业标准《钢筋套筒灌浆连接应用技术规程》JGJ 355的规定。
检查数量:按现行行业标准《钢筋套筒灌浆连接应用技术规程》JGJ 355的规定确定。
检验方法:检查质量证明文件、灌浆记录及相关检验报告。
条文说明
8.3.2钢筋采用套筒灌浆连接时,连接接头的质量及传力性能是影响装配式结构受力性能的关键,应严格控制。灌浆饱满、密实是灌浆质量的基本要求。套筒灌浆连接的验收及平行加工试件的制作应按现行行业标准《钢筋套筒灌浆连接应用技术规程》JGJ355的有关规定执行。
8.3.3 采用后浇柱帽连接时,粗糙面的质量及键槽的数量应符合设计要求。
检查数量:全数检查。
检验方法:观察。
条文说明
8.3.3粗糙面的质量和键槽的数量对于保证后浇柱帽节点的整体性至关重要,因此应按设计要求对粗糙面的质量和键槽的数量进行验收。
8.3.4 后浇混凝土的强度应符合设计要求。
检查数量:按现行国家标准《混凝土结构工程施工质量验收规范》GB 50204的规定确定。
检验方法:检查混凝土强度试验报告。
条文说明
8.3.4混凝土强度对保证后浇节点的性能至关重要,必须符合设计要求。本条所要求的是混凝土强度等级,是针对强度评定检验批而言的,并非指某一组或几组混凝土标准养护试件的抗压强度代表值,而应将整个检验批的所有各组混凝土试件强度代表值按现行国家标准《混凝土强度检验评定标准》GB/T50107的有关公式进行计算,以评定该检验批的混凝土强度等级。
8.3.5 后浇柱帽施工后,其外观质量不应有严重缺陷,且不应有影响结构性能和安装、使用性能的尺寸偏差,对已出现的严重缺陷,应按本标准第8.2节的规定进行处理并重新验收。
检查数量:全数检查。
检验方法:观察,量测;检查技术处理方案。
条文说明
8.3.5后浇柱帽的外观质量缺陷可按本标准第8.1节的有关规定进行检查与确认。出现严重缺陷或有影响结构性能和安装、使用性能的尺寸偏差后应按本标准第8.2节的规定的程序进行处理和验收。
8.3.6 承重销与钢板连接件的质量应符合设计要求。
检查数量:全数检查。
检验方法:检查质量检验记录。
条文说明
8.3.6承重销用于承担节点的所有剪力,因此其加工质量必须符合设计要求。
8.3.7 承重销与钢板连接件的防火与防腐蚀保护措施应符合设计要求。
检查数量:全数检查。
检验方法:观察,检查质量检验记录。
条文说明
8.3.7承重销及钢板连接件的防火与防腐蚀保护措施对于保证结构在极端条件下的性能及结构耐久性至关重要,在施工中应严格按照设计要求对承重销及钢板连接件进行防火与防腐蚀保护。
Ⅱ 一般项目
8.3.8 楼盖就位后的位置偏差应符合本标准第7.4.2条的规定。
检查数量:全数检查。
检验方法:尺量。
8.3.9 应按现行国家标准《钢结构工程施工质量验收规范》GB 50205的规定对焊缝的内部缺陷及外观质量进行检验,检验结果应符合该标准的规定。
检查数量:按现行国家标准《钢结构工程施工质量验收规范》GB 50205的规定。
检验方法:按现行国家标准《钢结构工程施工质量验收规范》GB 50205的规定。
8.3.10 后浇柱帽施工后,其外观质量不应有一般缺陷,对已出现的一般缺陷,应按本标准第8.2节的规定进行处理并重新验收。
检查数量:全数检查。
检验方法:观察,检查技术处理方案。
8.4 资料归档
8.4 资料归档
8.4.1 升板结构验收时,除应按现行国家标准《混凝土结构工程施工质量验收规范》GB 50204、《钢结构工程施工质量验收规范》GB 50205的要求提供文件和记录外,尚应提供下列文件和记录:
1 预制构件制作和安装的设计深化图纸;
2 预制构件、主要材料及配件的质量证明文件、进场验收记录、抽样检验报告;
3 预制构件安装施工记录;
4 楼盖与柱的连接施工与验收记录;
5 后浇混凝土部位的隐蔽工程检查验收记录;
6 后浇混凝土的强度检验报告;
7 楼盖提升与就位施工检查与监测记录;
8 装配式结构分项工程质量验收文件;
9 其他必要的文件和记录。
条文说明
8.4.1本条规定反映了从基本的检验批开始,贯彻于整个施工过程的质量控制结果,落实了过程控制的基本原则,是确保工程质量的依据。 本条所列的文件和记录仅是升板结构所特有的内容,其他需要在验收时提供的文件和记录,可按现行国家标准《混凝土结构工程施工质量验收规范》GB50204和《钢结构工程施工质量验收规范》GB50205的规定执行。
8.4.2 升板结构施工质量验收合格后,应将所有的验收文件存档备案。
条文说明
8.4.2本条提出了对验收文件存档的要求。这不仅是为了落实在设计使用年限内的责任,而且在有必要进行维护、修理、检测、加固或改变使用功能时,可以提供有效的依据。
附录A变刚度等代悬臂柱的截面刚度修正系数
附录A 变刚度等代悬臂柱的截面刚度修正系数
A.0.1 变截面等代悬臂柱的截面刚度修正系数ξ可按表A.0.1取值。
表A.0.1 变截面等代悬臂柱的截面刚度修正系数ξ

注:ξ 1 为钢筋骨架刚度E a I a 与柱底混凝土截面刚度E b c I b c 之比值;
ξ 2 为能与钢骨架共同工作的混凝土弹性模量E ca 与柱底混凝土弹性模量E b c 之比值。
A.0.2 材料改变时,变刚度等代悬臂柱的截面刚度修正系数ξ可按表A.0.2取值。
表A.0.2 材料改变时,等代悬臂柱的截面刚度修正系数ξ



注:δ为H n1 范围内未浇筑混凝土的钢骨架和混凝土强度不足10MPa部分的高度δH n1 与H n1 的比值;
ξ 1 为钢筋骨架刚度E a I a 与柱底混凝土截面刚度E b c I b c 之比值;
ξ 2 为能与钢骨架共同工作的混凝土弹性模量E ca 与柱底混凝土弹性模量E b c 之比值(图A.0.2)。

图A.0.2 钢管混凝土柱计算简图
附录B群柱与筒体或剪力墙共同工作时的计算长度系数
附录B 群柱与筒体或剪力墙共同工作时的计算长度系数
表B 计算长度系数μ

注:1 在不同施工情况下H b 和H n1 (图B)。
2 a wc 为筒体或剪力墙的刚度与群柱刚度之比。图B中(c)、(d)所示变刚度柱的刚度可取ξE b c I b c ,其中ξ按附录A取用。图B中(b)、(d)所示变刚度筒体,可先按在群柱与筒体连接处产生单位位移所要的作用力相等的原则折算成等刚度筒体,然后再查表B进行计算。

图B 群柱与筒体或剪力墙共同工作稳定性刚度计算
附录C等代框架梁刚域计算长度系数
附录C 等代框架梁刚域计算长度系数
表C 等代框架梁端部刚域计算长度b r 与柱帽半宽的比值

注:h为升板结构楼板厚度,当为密肋扳时,取惯性矩相等的折算平均厚度;b为等代框架梁的计算宽度;θ为柱帽倾斜侧面与柱轴线的交角;λ cb 为柱帽半宽与等代框架梁跨度之比。
本标准用词说明
本标准用词说明
1 为便于在执行本标准条文时区别对待,对要求严格程度不同的用词说明如下:
1)表示很严格,非这样做不可的:
正面词采用“必须”,反面词采用“严禁”;
2)表示严格,在正常情况下均应这样做的:
正面词采用“应”,反面词采用“不应”或“不得”;
3)表示允许稍有选择,在条件许可时首先应这样做的:
正面词采用“宜”,反面词采用“不宜”;
4)表示有选择,在一定条件下可以这样做的,采用“可”。
2 条文中指明应按其他有关标准执行的写法为:“应符合……的规定”或“应按……执行”。
引用标准名录
引用标准名录
1 《建筑结构荷载规范》GB 50009
2 《混凝土结构设计规范》GB 50010
3 《建筑抗震设计规范》GB 50011
4 《钢结构设计标准》GB 50017
5 《混凝土结构工程施工质量验收规范》GB 50204
6 《钢结构工程施工质量验收规范》GB 50205
7 《建筑工程抗震设防分类标准》GB 50223
8 《钢管混凝土工程施工质量验收规范》GB 50628
9 《混凝土结构工程施工规范》GB 50666
10 《钢结构工程施工规范》GB 50755
11 《钢管混凝土结构技术规范》GB 50936
12 《预应力混凝土用钢绞线》GB/T 5224
13 《预应力筋用锚具、夹具和连接器》GB/T 14370
14 《装配式混凝土结构技术规程》JGJ 1
15 《高层建筑混凝土结构技术规程》JGJ 3
16 《建筑地基处理技术规范》JGJ 79
17 《无粘结预应力混凝土结构技术规程》JGJ 92
18 《预应力混凝土结构抗震技术规程》JGJ 140
19 《现浇混凝土空心楼盖技术规程》JGJ/T 268
20 《建筑消能减震技术规程》JGJ 297
21 《钢筋套筒灌浆连接应用技术规程》JGJ 355
22 《钢筋连接用灌浆套筒》JG/T 398
23 《钢筋连接用套筒灌浆料》JG/T 408
