Appearance
《轻板结构技术标准》[附条文说明] JGJ/T486-2020
🗓️ 住房和城乡建设部 实施时间:2020-10-01
1 总 则
1 总 则
1.0.1 为在轻板结构的设计、施工及验收中贯彻执行国家的技术经济政策,做到安全适用、技术先进、经济合理、确保质量,制定本标准。
条文说明
1.0.1 发展装配式建筑是实现节能环保、提高建筑质量水平、实现建筑业升级换代的有效措施。轻板结构是以轻质墙板和轻质楼板为构件单元,在现场拼装而成的装配式建筑结构体系。
轻质墙板和轻质楼板以轻质混凝土为基材,配置钢筋、钢丝网、型钢或薄壁型钢,在工厂预制而成。钢筋、钢丝、型钢或薄壁型钢与轻质混凝土能协同工作,发挥两种材料的各自优势,与钢结构相比可节省钢材,与钢筋混凝土结构相比可减轻结构自重。轻质混凝土材料还具有较好的热工性能,墙体保温隔热性能优于普通混凝土和砌体结构,更加节能。工厂预制可实现墙体的结构、保温、装饰一体化,提高建筑装配化水平,提高建筑品质。
楼板、墙体均在工厂预制,现场拼装,工业化程度高,现场基本不需要模板,节材、节水、节能,减少建筑垃圾,实现了建筑工业化和绿色施工,符合建筑行业发展需求,近年来在新农村建设、别墅等项目中大量使用。制定本标准的目的是为了规范轻板结构的材料技术参数,给出设计、施工和验收方法,促进该建筑结构体系合理应用和健康发展。
1.0.2 本标准适用于民用建筑抗震设防烈度为6度至8度地区的标准设防类和适度设防类,单层和2层轻板结构的设计、施工及验收。
条文说明
1.0.2 本条明确了本标准的适用范围。轻板结构中的轻质混凝土强度相对较低,所配置的钢筋直径小,或以配置焊接钢丝网或薄壁型钢为主,因此不适合建造高层建筑。经过系列结构试验研究证明,轻板结构用于2层及以下建筑是安全的,且能够满足8度及以下设防抗震烈度要求;轻板结构在3层~4层建筑中也有应用,但是,应用相对较少,经验较少。由于轻板结构体系的主要抗侧力依靠墙体,因此该结构适用于建造住宅、公寓、小开间公共建筑。轻板也可用于多层和高层建筑中的隔墙、外围护墙和楼板,其设计、施工和验收可参照本标准。
1.0.3 轻板结构的设计、施工及验收除应符合本标准外,尚应符合国家现行有关标准的规定。
条文说明
1.0.3 轻板结构的受力与砌体结构类似,轻板的制作与普通混凝土构件相近,因此,在轻板结构的设计、施工及验收时,除执行本标准外,尚应参照砌体结构和普通混凝土结构的相关规范,另外,轻板的连接技术也在不断完善,也应该符合装配式建筑的相关标准要求。
2 术语和主要符号
2.1 术 语
2.1 术 语
2.1.1 轻板结构 light-weight panel structure
采用轻质墙板、轻质楼板(屋面板)作为结构受力构件,现场装配并可靠连接形成的房屋建筑结构。
2.1.2 轻板 light-weight panel
以泡沫混凝土、聚苯颗粒混凝土、蒸压加气混凝土或轻骨料混凝土为基材,配置钢筋、钢丝网、型钢或薄壁型钢等形成的轻质混凝土预制板。
2.1.3 轻质墙板 light-weight wall panel
竖向安装,用作墙体的轻板。
2.1.4 轻质楼板(屋面板) light-weight floor/roof panel
水平安装,用做楼板(屋面板)的轻板。
2.1.5 轻质隔墙板 light-weight partition panel
除墙板自重外不承受其他竖向荷载的轻质混凝土内隔墙板。
条文说明
轻板结构是行业内的一种习惯性叫法,虽然“轻板”中没有明确轻质混凝土,一般专指轻质混凝土预制的轻板,而轻板结构就是轻质混凝土预制板装配成的房屋结构。本节所列术语参照了《墙体材料术语》GB/T 18968-2019。
轻骨料混凝土是用轻粗骨料、轻细骨料或普通砂、水泥和水配制成的干表观密度不大于1950kg/m3的混凝土,当用于轻板结构时,密度一般不大于1600kg/m3。《轻钢轻混凝土结构技术规程》JGJ 383-2015中给出轻混凝土定义,也就是轻质混凝土的定义:干密度不大于1600kg/m3的泡沫混凝土或聚苯颗粒混凝土,轻骨料混凝土、泡沫混凝土或聚苯颗粒混凝土都可用于制造轻板。蒸压加气混凝土是以水泥、石灰、硅砂为主要原料,以铝粉为发气剂,经过高温高压蒸汽养护而成的多孔混凝土材料,简称ALC(或NALC),密度一般不大于900kg/m3。
轻板按使用部位可分为轻质墙板和轻质楼板(屋面板),按板型可分为轻质大型板和轻质条板。
轻板可以预制成大型板,见图1;也可以预制成条板,见图2。蒸压加气混凝土轻板见图3,可以是条板;也可以叠合一层普通混凝土预制成大板作为楼板或屋面板,见图4。
轻板也可以在内部或外侧叠合保温材料,或采用其他无机材料制成轻型板材,原则上满足本标准各项技术要求的轻质板材都可以用于轻板结构。 板型分类参考了《墙体材料术语》GB/T 18968-2019,将墙板分为条板和大型板。 


2.2 主要符号
2.2 主要符号
2.2.1 材料性能
Ec——轻质混凝土弹性模量;
fck、fc——轻质混凝土轴心抗压强度标准值、设计值;
ftk、ft——轻质混凝土轴心抗拉强度标准值、设计值。
2.2.2 作用、作用效应及承载力
M——轻质楼板(屋面板)弯矩设计值;
Md——轻质楼板(屋面板)受弯承载力设计值;
N——轻质墙板竖向压力设计值;
Nd——轻质墙板不考虑高厚比影响的轴心受压承载力设计值;
Q——轻质楼板(屋面板)剪力设计值;
Qd——轻质楼板(屋面板)受剪承载力设计值;
Rd——轻板承载力设计值;
Sd——轻板作用组合效应设计值;
V——轻质墙板剪力设计值;
Vd——轻质墙板受剪承载力设计值。
2.2.3 几何参数
Ac——轻质墙板轴向受压混凝土截面面积;
bw——轻质墙板厚度;
h0——轻质墙板截面有效高度。
2.2.4 计算系数及其他
γ0——结构重要性系数;
γRE——承载力抗震调整系数;
γd——轻板受力不均匀调整系数;
λ——计算截面的剪跨比。
3 材 料
3.1 轻板用钢材
3.1 轻板用钢材
3.1.1 轻板中配置钢筋、钢筋焊接网或冷拔低碳钢丝时,钢筋的物理力学性能应符合现行国家标准《混凝土结构设计规范》GB 50010的相关规定,钢筋焊接网的物理力学性能应符合现行行业标准《钢筋焊接网混凝土结构技术规程》JGJ 114的相关规定,冷拔低碳钢丝的物理力学性能应符合现行行业标准《冷拔低碳钢丝应用技术规程》JGJ 19的相关规定。
条文说明
3.1.1 轻板结构自重轻,层数少,所承受的荷载较高层建筑小,所需要的配筋相对较少,轻板结构所采用的轻质混凝土强度比普通混凝土强度低,为了使得钢筋和轻质混凝土协同工作,故钢筋的强度也不宜太高。轻板结构的轻板产品来自工厂预制,采用钢筋焊接网作为轻板配筋应用较多,用冷拔低碳钢丝作为构造配筋和受力配筋的轻板产品也较多,因此,本条也给出了采用钢筋焊接网或冷拔低碳钢丝时应满足的标准要求。
3.1.2 轻板中配制钢丝焊接网时,钢丝直径不应小于2.2mm,网格尺寸不应大于200mm×200mm,并应进行热镀锌处理。
条文说明
3.1.2 目前还没有钢丝焊接网相关标准,但是,有些轻板已经采用钢丝焊接网,本条给出了采用钢丝焊接网时的要求。
构造钢丝焊接网的锚固长度不应小于100mm,搭接长度不应少于1个网格,且不应小于200mm。钢丝焊接网所用钢丝应进行热镀锌处理,网片、钢丝表面应光滑整洁,无油污、裂纹、翘皮、纵向拉痕等缺陷;不得有漏剪、翘伸的钢丝挑头;焊点区外应无钢丝锈点。
3.1.3 轻板中型钢的物理力学性能应符合现行国家标准《钢结构设计标准》GB 50017的相关规定。
3.1.4 轻板中薄壁型钢的物理力学性能应符合现行国家标准《冷弯薄壁型钢结构技术规范》GB 50018的相关规定,且壁厚不宜小于2mm。
条文说明
3.1.3、3.1.4 轻板可采用普通型钢或薄壁型钢代替钢筋,与轻质混凝土共同受力,特别是在轻质楼板中,采用型钢受力的较多。型钢的材质要求应满足现行相关标准要求,薄壁型钢及普通型钢的强度设计值,可以查相应的标准。薄壁型钢在轻板中作为受力用,因此,壁厚不宜小于2mm。
3.1.5 制作薄壁型钢的钢带宜采用热镀锌或热镀铝锌钢带,并应符合现行国家标准《连续热镀锌和锌合金镀层钢板及钢带》GB/T 2518或《连续热镀铝锌合金镀层钢板及钢带》GB/T 14978规定的结构钢要求。
条文说明
3.1.5 连续热镀锌钢板及钢带、连续热镀铝锌合金镀层钢板及钢带具有防腐层,广泛应用在建筑工程中,是用于轻板构件及连接件的很好的材料,可以根据受力及防腐要求从两项标准中选择钢板及钢带。
3.1.6 轻板中型钢防腐处理应符合下列规定:
1 采用热浸镀锌防腐蚀处理时,应根据所在地区的环境腐蚀程度确定镀层的镀锌量,热镀锌工艺应符合国家现行有关标准的规定;
2 采用防腐涂料时,应完全覆盖钢材表面和无端部封板的闭口型材的内侧,闭口型材宜进行端部封口处理,涂层厚度应满足防腐设计要求。
条文说明
3.1.6 热镀锌是一种有效的防腐处理方法,热镀层镀锌量及镀铝锌量可参考轻钢龙骨要求和目前国内工程实践经验确定。对于一般腐蚀性地区,镀层的镀锌量一般不低于180g/m2或镀铝锌量一般不低于100g/m2;对于高腐蚀性地区或特殊建筑物,镀层的镀锌量不低于275g/m2或镀铝锌量不低于175g/m2。镀层重量和厚度可以按涂层密度代换,镀锌层7.20g/m2对应厚度1μm,镀铝锌层3.76g/m2对应厚度1μm。
3.2 轻板用混凝土
3.2 轻板用混凝土
3.2.1 轻板采用的轻质混凝土强度等级应按立方体抗压强度标准值确定。泡沫混凝土、聚苯颗粒混凝土立方体抗压强度标准值系指按标准方法制作和养护的边长为100mm立方体试件,在28d或设计规定龄期以标准试验方法测得的具有95%保证率的抗压强度值,强度等级用字母LWC与立方体抗压强度标准值表示。蒸压加气混凝土强度标准值应按现行国家标准《蒸压加气混凝土性能试验方法》GB/T 11969进行确定,强度等级用字母A与立方体抗压强度标准值表示。
条文说明
3.2.1 本标准轻质混凝土材料的抗压强度是以边长为100mm的立方体标养试件的试验结果统计获得,其他设计指标均与抗压强度指标相关,本条参考了行业标准《轻钢轻混凝土结构技术规程》JGJ 383-2016中轻质混凝土强度等级试验方法。蒸压加气混凝土强度参考了《蒸压加气混凝土性能试验方法》GB/T 11969-2008和《蒸压加气混凝土建筑应用技术规程》JGJ/T 17-2008中的试验方法。
3.2.2 泡沫混凝土和聚苯颗粒混凝土用于墙板时,强度等级不应低于LWC3;用于楼板(屋面板)时,强度等级不应低于LWC5。蒸压加气混凝土用于墙板时,强度等级不应低于A2.5;用于楼板(屋面板)时,强度等级不应低于A3.5。
条文说明
3.2.2 《泡沫混凝土应用技术规程》JGJ/T 341-2014中用泡沫混凝土FC表示强度等级,从FC0.5到FC30,强度从0.5MPa到30MPa。《轻钢轻混凝土结构技术规程》JGJ 383-2016中用轻质混凝土LWC表示泡沫混凝土及聚苯颗粒混凝土强度等级,强度从LWC3到LWC20,本标准采用LWC表示泡沫混凝土和聚苯颗粒混凝土强度等级。《蒸压加气混凝土建筑应用技术规程》JGJ/T 17-2008和《蒸压加气混凝土板》GB 15762-2008都采用符号A表示蒸压加气混凝土强度等级,本标准沿用A。 根据不同密度等级轻质混凝土力学试验结果,结合大量结构构件的试验研究结果,确定轻混凝土强度等级不应低于LWC3。试验表明,轻质混凝土尽管强度较低,但仍能够大幅提高结构的抗侧移能力和耗能能力。采用LWC3以上等级的轻质混凝土制成的轻板,能起到良好的结构承载作用。根据《蒸压加气混凝土砌块》GB 11968-2006规定,蒸压加气混凝土强度分为A1.0、A2.0、A2.5、A3.5、A5.0、A7.5、A10七个级别,配筋板材按《蒸压加气混凝土板》GB 15762-2008最低取A2.5。当采用轻质混凝土只作为保温时,强度和密度可不受此强度限制。
3.2.3 泡沫混凝土轴心抗压强度标准值fck及轴心抗拉强度标准值ftk应按表3.2.3-1采用;聚苯颗粒混凝土轴心抗压强度标准值fck及轴心抗拉强度标准值ftk应按表3.2.3-2采用;蒸压加气混凝土轴心抗压强度标准值fck及轴心抗拉强度标准值ftk应按表3.2.3-3采用。

3.2.4 泡沫混凝土轴心抗压强度设计值fc及轴心抗拉强度设计值ft应按表3.2.4-1采用;聚苯颗粒混凝土轴心抗压强度设计值fc及轴心抗拉强度设计值ft应按表3.2.4-2采用;蒸压加气混凝土轴心抗压强度设计值fc及轴心抗拉强度设计值ft应按表3.2.4-3采用。

条文说明
3.2.3、3.2.4 本标准第5章将给出轻板结构的设计方法,轻板构件的承载力和正常使用极限状态设计可以通过本标准附录A、附录B的试验确定,本标准的设计方法推荐此方法。在配筋轻质混凝土设计理论完善后,根据设计理论,利用混凝土、配筋或型钢的力学参数进行截面设计,或通过有限元分析进行设计,这时就需要轻质混凝土材料的各种力学参数,3.2.3条与3.2.4条给出了这些基础参数。 力学参数参考了国内试验研究成果,并依据了《轻钢轻混凝土结构技术规程》JGJ 383-2016、《泡沫混凝土应用技术规程》JGJ/T 341-2014和《蒸压加气混凝土建筑应用技术规程》JGJ/T 17-2008的相关数据。轻质混凝土轴心抗压强度的标准值系根据标养轻质混凝土棱柱体抗压强度试验结果统计得到,轴心抗拉强度系根据劈拉试验结果换算得到。轻质混凝土轴心抗压强度和轴心抗拉强度的设计值由强度标准值除以材料分项系数1.4,并考虑数值取整来确定。
3.2.5 泡沫混凝土及聚苯颗粒混凝土强度等级与干密度之间对应关系可按表3.2.5-1采用,干密度不宜大于1600kg/m3;蒸压加气混凝土强度等级与气干密度之间对应关系可按表3.2.5-2采用,气干密度不宜大于900kg/m3。

条文说明
3.2.5 泡沫混凝土和聚苯颗粒混凝土的强度等级与干密度之间的关系通过试验确定,取用《泡沫混凝土》JG/T 266-2011中的数据,并参考了《轻钢轻混凝土结构技术规程》JGJ 383-2016中数值。泡沫混凝土按干密度分为16个等级分别对应于A01,A02,…,A16,干密度分别对应于100kg/m3,200kg/m3,…,1600kg/m3。干密度较低时,泡沫混凝土可只用作保温材料,用于受力时本标准表3.2.5-1干密度从800kg/m3开始考虑。在考虑轻板的自重时,应考虑使用过程中吸水,按材料的实际密度取值,而不是按干密度取值。 蒸压加气混凝土根据《蒸压加气混凝土砌块》GB 11968-2006规定按干密度分为B03、B04、B05、B06、B07、B08六个级别,按强度分为A1.0、A2.0、A2.5、A3.5、A5.0、A7.5、A10七个级别。用于轻板结构时,强度采用A2.5、A3.5、A5.0、A7.5四个级别。表3.2.5-2参考了高连玉、李庆繁编著的《蒸压加气混凝土建筑制品生产及应用》,其中干密度400kg/m3、500kg/m3、600kg/m3、700kg/m3、800kg/m3分别对应干密度级别B04、B05、B06、B07、B08。
3.2.6 泡沫混凝土及聚苯颗粒混凝土的弹性模量Ec宜按表3.2.6-1采用,蒸压加气混凝土的弹性模量Ec宜按表3.2.6-2采用。

条文说明
3.2.6 泡沫混凝土和聚苯颗粒混凝土的弹性模量根据试验结果确定,并参照了《轻钢轻混凝土结构技术规程》JGJ 383-2016给出。蒸压加气混凝土弹性模量根据试验并参照《蒸压加气混凝土建筑应用技术规程》JGJ/T 17-2008给出。
3.2.7 轻骨料混凝土强度等级、强度设计值、弹性模量等应符合现行行业标准《轻骨料混凝土应用技术标准》JGJ/T 12的相关规定。
条文说明
3.2.7 轻骨料混凝土有成熟的设计标准《轻骨料混凝土应用技术标准》JGJ 12,目前,轻骨料采用的陶粒需要烧制,由于环保的原因,陶粒的烧制受到很多限制,价格较高,应用开始减少。
3.2.8 轻质混凝土导热系数应根据轻质混凝土类型、密度通过试验测得,其数值可按表3.2.8采用。

条文说明
3.2.8 轻质混凝土导热系数与材料密度相关,不同的试验得到的导热系数略有不同,不同的资料给出略有不同的参数。 泡沫混凝土的导热系数根据《泡沫混凝土应用技术规程》JGJ/T 341-2014中第3.1.3条确定。聚苯颗粒混凝土导热系数缺少系统的研究,根据现有的试验结果,与泡沫混凝土导热系数基本相同,因此,暂时可按泡沫混凝土导热系数取值;当有可靠试验数据时,可按试验结果取值。蒸压加气混凝土导热系数参考行业标准《蒸压加气混凝土板》GB 15762-2008确定,根据试验研究,干密度在300kg/m3~800kg/m3时蒸压加气混凝土导热系数与干密度基本成线性关系,干密度每增加100kg/m3,导热系数增加约0.02W/(m·K);当有可靠试验依据时,也可根据试验结果确定。另外,根据《民用建筑热工设计规范》GB 50176-2016,正常使用状态下,蒸压加气混凝土导热系数比干燥时提高0.04W/(m·K)~0.05W/(m·K)。如干密度500kg/m3对应的导热系数为0.19W/(m·K),干密度700kg/m3对应的导热系数为0.22W/(m·K),将表3.2.8中干燥状态下数值增加0.05W/(m·K)统一考虑正常使用状态下导热系数,与《民用建筑热工设计规范》GB 50176-2016基本一致。
3.3 轻 板
3.3 轻 板
3.3.1 轻板产品应根据本标准第4.2节模数化要求形成尺寸规格系列,供设计选用。
3.3.2 轻板应满足设计要求的承载力、抗裂及刚度要求,轻板产品应经过产品检验。
3.3.3 外墙板或屋面板材料抗冻性应根据所处地区的建筑热工分区确定。夏热冬暖地区不应低于F15,夏热冬冷地区不应低于F25,寒冷地区不应低于F35,严寒地区不应低于F50。
条文说明
除了对轻板所需要的原材料给出要求外,轻板作为一种产品,本节给出了轻板的材料要求。 3.3.3 轻板外墙材料的抗冻等级是参考现行国家标准《墙体材料应用统一技术规范》GB 50574确定的。由于轻板采用的混凝土强度低,混凝土内孔隙多,为了保证轻质墙板或屋面板的耐久性,故对其抗冻性作出要求。过去常用慢冻法试验,用D表示,现在常用快冻法试验,用F表示。
3.3.4 外墙板和屋面板的软化系数不应小于0.85,楼板和隔墙板的软化系数不应小于0.80。
条文说明
3.3.4 轻板外墙材料的软化系数是参考《混凝土轻质条板》JG/T 350-2011确定的。由于轻板采用的混凝土强度低,为了保证轻质墙板或屋面板的耐久性,故对其软化系数作出要求。
3.3.5 墙板应符合现行行业标准《建筑隔墙用轻质条板通用技术要求》JG/T 169规定的抗冲击试验和单点吊挂承载力试验要求,抗冲击试验为30kg不应小于5次,单点吊挂承载力不应低于1.0kN。
条文说明
3.3.5 抗冲击性能是为了保证轻板结构在使用过程中承受可能存在的冲击,行业标准《建筑隔墙用轻质条板通用技术要求》JG/T 169-2016第7.4.1条给出了确定轻板抗冲击性的试验装置和试验方法,轻板要在30kg沙袋按要求冲击5次后满足开裂相应要求。单点吊挂承载力的确定是根据吊装、运输和使用过程中可能存在的吊挂要求确定的,行业标准《建筑隔墙用轻质条板通用技术要求》JG/T 169-2016第7.4.7条给出了确定单点吊挂承重力的装置和试验方法。
3.4 连接材料
3.4 连接材料
3.4.1 轻板面层及连接用玻璃纤维网布增强材料应符合现行行业标准《耐碱玻璃纤维网布》JC/T 841的相关规定。
3.4.2 安装轻板的金属连接件宜采用铝合金、不锈钢或耐候钢,也可采用碳素结构钢或低合金高强结构钢,材料选用应符合下列规定:
1 铝合金材料的牌号、状态应符合现行国家标准《变形铝及铝合金化学成分》GB/T 3190的规定,铝合金型材应符合现行国家标准《铝合金建筑型材》GB/T 5237的规定;
2 不锈钢应采用奥氏体不锈钢,其化学成分应符合现行国家标准《不锈钢和耐热钢 牌号及化学成分》GB/T 20878的规定;耐候钢应符合现行国家标准《耐候结构钢》GB/T 4171的规定;
3 碳素结构钢和低合金高强度结构钢的种类、牌号和质量等级应符合现行国家标准《碳素结构钢》GB/T 700和《低合金高强度结构钢》GB/T 1591的规定,并应做防腐处理。
条文说明
轻板结构是工厂预制、现场拼装,连接材料的质量直接影响结构的整体性能。本节对主要连接件的材质、规格和形式作了规定。连接材料选材原则是安装快速、便捷,连接可靠、牢固,使用耐候、耐久。 3.4.2 近年来,不锈钢材料已经在工程结构中大量应用,尤其是作为连接件,广泛应用在三明治式剪力墙内页板、保温板和外页板的连接,因此,在轻板结构中可采用不锈钢作为连接件。
3.4.3 当采用低碳钢、低合金高强度钢、不锈钢或耐候钢时,连接件厚度不宜小于3.0mm;当采用铝合金材料时,连接件厚度不宜小于4.0mm。
3.4.4 轻板连接用焊接材料及螺栓、锚栓、铆钉、自钻自攻螺钉等紧固件材料应符合国家现行标准《钢结构设计标准》GB 50017、《钢结构焊接规范》GB 50661和《钢筋焊接及验收规程》JGJ 18等的规定。
条文说明
3.4.4 轻板连接采用自攻螺钉时,工程标准中还没有明确给出设计方法和要求,相应的产品标准很多,可以参考,如《十字槽盘头自钻自攻螺钉》GB/T 15856.1、《十字槽沉头自钻自攻螺钉》GB/T 15856.2、《十字槽半沉头自钻自攻螺钉》GB/T 15856.3、《六角法兰面自钻自攻螺钉》GB/T 15856.4和《六角凸缘自钻自攻螺钉》GB/T 15856.5的规定;自攻螺钉应符合现行国家标准《开槽盘头自攻螺钉》GB/T 5282、《开槽沉头自攻螺钉》GB/T 5283、《开槽半沉头自攻螺钉》GB/T 5284和《六角头自攻螺钉》GB/T 5285的规定。
普通螺栓应符合现行国家标准《六角头螺栓C级》GB/T 5780的规定,其机械性能应符合现行国家标准《紧固件机械性能 螺栓、螺钉和螺柱》GB/T 3098.1的规定。
锚栓应符合现行行业标准《混凝土用机械锚栓》JG/T 160的规定。
3.4.5 轻板连接用的胶粘剂材料应满足强度要求和耐久性要求。拌合后的砂浆应符合现行国家标准《预拌砂浆》GB/T 25181的规定。
3.4.6 密封防水胶应采用有弹性、耐老化的密封材料,衬垫材料与密封防水胶应相容,耐老化与使用年限应满足设计要求;硅酮、聚氨酯、聚硫建筑密封胶应分别符合国家现行标准《硅酮和改性硅酮建筑密封胶》GB/T 14683、《聚氨酯建筑密封胶》JC/T 482和《聚硫建筑密封胶》JC/T 483的规定。
3.5 其他材料
3.5 其他材料
3.5.1 轻板结构保温隔热材料可采用模塑聚苯乙烯泡沫板(EPS板)、挤塑聚苯乙烯泡沫板(XPS板)、硬质聚氨酯板(PU板)、岩棉等。保温隔热材料性能指标应符合表3.5.1的规定,并应满足耐久性要求。

条文说明
3.5.1 轻板结构自身有一定的保温功能,见本标准第3.2.8条,但是,在北方地区还不能满足建筑保温需要,需要与保温材料复合在一起或在轻板结构上做保温。本条保温材料的性能指标是根据行业标准《轻型钢结构住宅技术规程》JGJ 209-2010确定的,可为轻板结构保温设计提供参考。
3.5.2 当采用有机材料作为轻板的保温隔热材料时,保温隔热系统整体应有合理的防火构造措施,并应符合现行国家标准《建筑设计防火规范》GB?50016的相关规定,在特定高温环境下有害气体挥发量应符合国家现行有关标准的规定。
条文说明
3.5.2 轻板结构的优点是工厂预制轻板,现场拼装成建筑结构。保温材料和装饰面层可在工厂与轻板一起预制完成,减少现场的施工工序。目前,复合保温材料的轻板应用较为广泛。外保温材料可采用EPS板、XPS板、PU板等有机泡沫塑料材料,但必须做好防火构造措施,在特定高温环境下有害气体挥发量应满足国家相关规范要求,产品生产企业应对高温下有害气体的挥发进行检验和说明。
3.5.3 轻板材料室内装修层尚应符合现行国家标准《民用建筑工程室内环境污染控制规范》GB 50325、《混凝土外加剂中释放氨的限量》GB 18588和《建筑材料放射性核素限量》GB 6566的相关规定。
条文说明
3.5.3 国家质检总局2001年底颁布《室内装饰装修材料有害物质限量10项强制性国家标准》,《混凝土外加剂中释放氨的限量》GB 18588和《建筑材料放射性核素限量》GB 6566是其中与轻质墙板室内装修层有关的标准,《民用建筑工程室内环境污染控制规范》GB 50325是民用建筑工程及室内装修工程的室内环境质量验收的检测依据。
4 建筑设计
4.1 一般规定
4.1 一般规定
4.1.1 轻板结构建筑设计应按模数协调的原则实现构配件标准化、系列化,设备产品定型化,并应按建筑、结构、设备和装修一体化设计原则进行综合设计。
条文说明
4.1.1 轻板结构是工厂预制,现场拼装,具有产业化的优势和特点。因此,轻板结构应采用标准化设计,轻板尺寸应尽量标准化、模数化。轻板结构的建筑、结构、设备和装修应紧密配合,综合考虑,实现一体化设计,避免现场随意改动。
4.1.2 轻板结构建筑设计应符合现行国家标准对当地建筑热工分区的节能设计规定。
▼ 展开条文说明
条文说明
4.1.2 轻板结构是一种新的节能建筑体系,建筑设计应进行建筑节能专项设计,执行我国建筑节能政策。我国地域辽阔,从南到北气候差异较大,按现行国家标准《民用建筑热工设计规范》GB 50176分为严寒地区、寒冷地区、夏热冬冷地区、夏热冬暖地区和温和地区等五个建筑热工分区,建筑节能指标要求不同,建筑节能设计应根据当地气候情况满足当地节能指标要求。
4.2 模数协调
4.2 模数协调
4.2.1 轻板结构用于住宅时,模数协调应符合现行国家标准《建筑模数协调标准》GB/T 50002的规定,专用体系住宅建筑或非住宅建筑可以自行选择合适的模数协调方法。
4.2.2 结构网格应以模数网格线定位,模数网格线应为基本设计模数的倍数,宜采用优先参数为6M的模数系列。
4.2.3 装修网格应由内部部件的重复量和大小决定,模数网格线应为基本设计模数的倍数,宜采用优先参数为3M的模数系列。
4.2.4 轻板模数设计时,宜按模数协调确定墙板中基本板、洞口板、转角板和调整板等类型板的规格、截面尺寸和公差。
4.2.5 当体系中部分构件难以符合模数化要求时,可在保证主要构件模数化和标准化的条件下,通过插入非模数化部件调整布置间距。
条文说明
4.2.1~4.2.5 模数协调就是设计尺寸协调和生产活动协调,它既能使设计者的建筑、结构、设备、电气等专业技术文件相互协调,又能达到设计者、制造者、经销商、建设者和业主等人员之间的生产活动协调一致,目的就是推动房屋建造的装配化、住宅产业化。产业化的前提是工业化,工业化是在标准化基础上进行的,非标准化的工厂预制会大大降低生产效率。采用模数化设计就是最大限度地采用通用的建筑构配件和建筑设备,而轻板是最容易实现标准化设计和标准化生产的,通过模数协调,可以实现用标准化的板材达到灵活多样的建筑要求,1M(1M=100mm)模数系列也是建筑中常常采用的模数。建筑设计还应该考虑转角处的公差配合,做到现场不需要裁板就可以安装,实现转角的顺利对接。本节旨在引导技术和产品开发以及设计和建造者以工业化、产业化为方向,实现建筑产品和部件的尺寸协调及安装位置的模数协调,模数化原则参考了行业标准《轻型钢结构住宅技术规程》JGJ 209-2010的相关规定。
轻板结构是在轻板产品基础上进行设计,建筑设计时应根据轻板产品规格,选用合适的尺寸组合,形成模数化的建筑尺寸。
4.3 平面设计
4.3 平面设计
4.3.1 平面设计应在优先尺寸的基础上运用模数协调实现尺寸的配合,优先尺寸宜根据建筑设计参数与所选通用性强的建筑部件尺寸确定。
条文说明
4.3.1 优先尺寸就是从模数数列中事先排选出的模数或扩大模数尺寸。在选用部件和板型中对通用性强的尺寸关系,指定其中几种尺寸系列作为优先尺寸,其他部件和板型应与已选的优先尺寸关联配合。
4.3.2 平面设计应在模数化基础上以单元或房间进行模块化设计。
条文说明
4.3.2 轻板结构用于住宅时,应以套为单元进行模块化设计。
4.3.3 楼梯间的平面尺寸不符合模数时,应通过平面尺寸调整使之组合成为周边模数化的模块。
4.3.4 建筑平面设计应与结构体系相协调,并应符合下列规定:
1 平面几何形状宜规则,其凹凸变化及长宽比例应满足结构对质量、刚度均匀的要求,平面刚度中心与质心宜接近或重合;
2 空间布局应有利于结构抗侧力墙板的设置;
3 楼梯间不宜设置在房屋的尽端或转角处。
条文说明
4.3.4 建筑设计与结构体系相协调,使板型布置既能满足建筑要求,又能满足结构受力要求,使结构尽量对称布置,避免不规则布置,这样受力合理、外形美观,且节省材料,更加经济。
4.4 建筑构造设计
4.4 建筑构造设计
4.4.1 外墙板和屋面板应采取防裂、防潮和防雨水措施,并应采取措施保持保温隔热材料干燥。
4.4.2 门窗与墙板之间的缝隙、外墙板之间的缝隙应采取构造措施满足防水和保温隔热要求。
4.4.3 外墙挑出的阳台、雨棚、空调室外板等构件与外墙交接处应进行防水及保温隔热处理。
4.4.4 外墙板预留洞口或开槽位置除应有结构补强措施外,尚应对保温隔热采取局部弥补措施。
4.4.5 屋面保温隔热系统与外墙保温隔热系统应连续、密实衔接;屋檐挑出构件,外墙和楼板、屋面板连接处,应采取保温措施。当采用室内吊顶保温隔热屋面系统时,屋面与吊顶之间应采取通风措施。
条文说明
4.4.1~4.4.5 轻板结构在保温隔热方面具有明显的优势,符合我国建筑节能政策,具有推广价值。外墙和屋面是建筑节能的关键,墙板和屋面板都应根据建筑保温隔热要求确定相应的热阻值。除了墙板、屋面板主断面保温隔热满足要求外,窗口、开洞、开槽、外墙挑出部分都是存在“热桥”隐患的位置,需要重点处理,采取相应的措施。
轻板密度低、孔隙大、易吸水,吸水后不仅影响轻板的耐久性,而且降低保温性能,应做好轻板的防水处理。特别是各种连接的接缝位置,都存在渗水隐患,应重点采取措施做好防水处理。
4.4.6 外墙、内隔墙、楼面、屋面应满足建筑隔声要求;当轻板自身不能满足隔声要求时,应采取隔声措施。
条文说明
4.4.6 建筑隔声往往被忽视,常常在交房入住后才发现隔声存在问题,因此,应重视轻板结构的建筑隔声要求。轻板不如普通混凝土板隔声性能好,但是比一般轻钢龙骨外加水泥纤维板组成的墙板要好很多,应根据采用的轻质混凝土物理性质确定隔声参数,必要的时候进行试验确定轻板的隔声性能。
4.4.7 当轻板结构有地下室时,地下室外墙不应采用轻板,地下室防水应符合国家现行相关标准的规定。轻板结构首层墙体外侧宜设防水层,当外墙下端低于地面时,墙体外侧应做防护,墙体表面不应直接埋在土中。
5 结构设计
5.1 一般规定
5.1 一般规定
5.1.1 轻板结构布置应符合下列规定:
1 结构布置应使结构传力途径简捷、明确;
2 结构平面及立面布置宜规则、连续,墙体宜在结构的两个主轴方向均匀布置;
3 墙体及墙上门窗洞口宜上、下对齐,偏心布置时应考虑偏心的不利影响;
4 楼板及屋面板布置不宜错层;
5 当轻板结构平面和竖向布置不规则时,应采取专门措施。
条文说明
5.1.1 灾害调查和事故分析表明:结构方案对建筑物的安全有着决定性的影响,因此,结构方案非常重要,在确定结构布置时应考虑结构体型适当,传力途径和构件布置能够保证结构的整体稳固,避免因局部破坏引发结构连续倒塌。
5.1.2 单层轻板结构的开间不宜大于6.0m,2层轻板结构开间不宜大于4.2m,轻板结构的悬挑长度不宜大于2.0m,当超过限值时应有可靠依据。
条文说明
5.1.2 开间是指相邻两个横向定位墙体间的距离。住宅建筑的开间常采用下列参数:2.1m、2.4m、2.7m、3.0m、3.3m、3.6m、3.9m、4.2m。较小的开间尺度,可缩短楼板的空间跨度,增强住宅结构整体性、稳定性和抗震性,我国大量建造的砖混住宅,开间一般不超过3.3m。
目前,轻板结构主要用在农村住宅建设,单层开间尺寸不会大于6m,2层建筑开间控制在4.2m,悬挑主要是入户门上的雨棚,悬挑尺寸一般不会大于2.0m,这三个数值的限制可以满足大部分建筑的要求。
当突破本条的限制时,应经过试验验证,或者是有充分的理论依据。
5.1.3 单层轻板结构层高不宜大于4.0m,2层轻板结构层高不宜大于3.6m,当超过此限制时,应有可靠依据。
条文说明
5.1.3 根据试验研究,轻板结构不仅具有一定的竖向承载力,同时具有一定的抗侧移能力,满足建造多层建筑的要求。考虑到轻板结构为现场装配式结构,单层和2层已经积累了大量经验,而2层以上需要积累经验,为确保结构安全,本标准推荐不超过2层,这个限制也基本适合农村建筑的需要。
目前,已经有一些轻板结构建筑在经过试验、分析和论证后层数达到了3层甚至4层,从目前研究情况和工程实例看是可行的,因此,当有可靠的理论依据、计算分析或试验依据时,建筑可以突破2层限制。
单层房屋层高4.0m,2层房屋层高3.6m,基本满足住宅建筑的空间要求。
对于平面或竖向不规则的结构,其房屋适用的最大高度宜适当降低或采取专门措施,体现了对不同情况、不同宽严程度区别对待。
5.1.4 轻板结构中结构缝的设置应符合下列规定:
1 宜控制结构缝的数量,并应采取有效措施减少设缝的不利影响;
2 轻板结构的收缩缝间距不应大于40m。
条文说明
5.1.4 结构缝主要指轻板结构的收缩缝,应根据结构受力特点及建筑尺寸、形状、使用功能,合理确定结构缝的位置和构造形式,本条参照现行国家标准《混凝土结构设计规范》GB 50010中装配式剪力墙结构露天建筑的收缩缝距离,实际工程中大部分是一户一单元,户与户之间自然设缝。
5.1.5 轻板结构构件和节点应按承载力极限状态设计,并应满足正常使用极限状态要求。
条文说明
5.1.5 按承载力能力极限状态设计时,应考虑荷载效应的基本组合,采用荷载设计值和强度设计值进行计算。按正常使用极限状态设计时,应按荷载准永久组合并考虑长期作用的影响,采用荷载标准值、组合值和变形限值进行计算。
5.1.6 轻板结构设计使用年限应按现行国家标准《建筑结构可靠性设计统一标准》GB 50068确定,住宅建筑设计使用年限应为50年。轻板结构的安全等级不应低于二级,结构重要性系数不应小于1.0。
条文说明
5.1.6 对于灾后的临时性安置房,虽然使用年限少于50年,考虑到居住的重要性,结构重要性系数不应小于1.0。
5.1.7 轻板结构承载力计算应考虑现场装配受力不均匀影响,并应符合下列规定:

式中:γ0——结构重要性系数,对于一般轻板结构安全等级取二级,取1.0;
γd——轻板受力不均匀调整系数,取1.2;
Sd——作用组合效应设计值,应按本标准第5.2节规定计算;
Rd——轻板抗力设计值,可按本标准附录A试验确定;
γRE——承载力抗震调整系数,取0.85。
条文说明
5.1.7 本标准以现行国家标准《工程结构可靠性设计统一标准》GB 50153以及《建筑结构可靠性设计统一标准》GB 50068为准则,采用概率极限状态设计方法,以分项系数的形式表达。但是,轻板结构是工厂预制、现场拼装,现场拼装并没有达到装配整体式混凝土结构那样的整体性,各板块不能完全变形协调一致,因此,荷载组合时考虑受力不均匀的影响,γd为轻板受力不均匀调整系数,暂时取1.2。
轻板构造复杂、类型繁多,抗力设计值难以用统一的公式表达,也很难准确计算,因此,本标准规定,轻板的抗力通过轻板构件试验取得,这也是本标准的特点。不同构造、不同材料的各种组合形成的轻板,都可以通过试验得到其抗力设计值,作为轻板产品的基本参数和轻板结构结构设计的基本参数,因此,本标准可为新型板材的开发提供方便。
有地震作用主要指墙体,墙体承载力抗震调整系数γRE是根据现行国家标准《建筑抗震设计规范》GB 50011的规定给出的。该系数是在该规范采用的多遇地震作用取值和地震作用分项系数取值的前提下,为了使多遇地震作用组合下的各类构件承载力具有适宜的安全性水准而采取的对抗力项的必要调整措施。
5.1.8 轻板结构的连接节点应具有足够的强度、刚度和耐久性,连接节点不应先于所连接的墙板或楼板破坏,并不产生影响结构受力性能的变形。连接强度不应低于轻板连接作用组合效应值的1.2倍。
条文说明
5.1.8 由于轻板结构为预制装配式结构,靠现场连接形成整体,因此结构的连接节点尤为重要。连接节点包括墙板的拼接节点、纵横墙的连接节点、上下墙和楼板的连接节点等,应保证连接节点不先于板材破坏,从而保证结构的整体性。
5.2 作用及结构分析
5.2 作用及结构分析
5.2.1 轻板结构的作用及作用组合应根据现行国家标准《建筑结构荷载规范》GB 50009、《建筑结构可靠性设计统一标准》GB 50068及《建筑抗震设计规范》GB 50011确定。
条文说明
5.2.1 本条规定了结构设计荷载标准值的确定原则,即根据现行国家标准《建筑结构荷载规范》GB 50009,轻板结构设计应考虑恒荷载、活荷载、风荷载、雪荷载和支座不均匀沉降等荷载作用;地震作用根据现行国家标准《建筑抗震设计规范》GB 50011的规定;涉及轻板自重时应考虑轻板正常使用过程中的自然状态密度而不是干密度。
5.2.2 轻板结构的内力分布可采用弹性理论分析、有限元分析或试验等方法确定,静力计算也可按下列规定进行:
1 单层房屋:在荷载作用下,墙板按上端不动铰支承于屋盖、下端嵌固于基础的竖向构件考虑;
2 两层房屋:在竖向荷载作用下,墙板在每层高度范围内,可近似地视作两端铰支的竖向构件;在水平荷载作用下,墙板可视作竖向连续梁;
3 竖向荷载作用应根据楼板(屋面板)支承情况考虑墙板受压偏心的影响。
条文说明
5.2.2 弹性分析方法是最基本和最成熟的结构分析方法,也是其他分析方法的基础和特例,它适用于分析一般结构,同样也适用于轻板结构。结构内力的弹性分析和截面承载力的极限状态设计相结合,实用上简易可行。试验表明,对于轻板结构的静力计算,按照现行国家标准《砌体结构设计规范》GB 50003中刚性方案原则进行计算是可行的,并偏于安全,本条也给出了刚性方案计算原则。
轻板结构整体计算也可以采用现有的结构设计软件PKPM和YJK进行,只是要选择合理的计算参数值。
5.2.3 轻板结构的抗震计算可采用底部剪力法,并应对各个墙段进行截面抗震承载力验算。地震作用下结构分析时轻板结构的阻尼比可取0.05。
条文说明
5.2.3 轻板结构自重轻,地震作用小,拟静力试验结果表明,采用底部剪力法计算按满足设防烈度抗震承载力设计的轻板结构,具有较好的抗震能力和安全储备,并可确保大震不倒。
5.2.4 进行地震剪力分配和截面验算时,轻质墙板的层间等效侧向刚度应计及高宽比的影响,当高宽比小于1时,可只计算剪切变形;当高宽比不大于4且不小于1时,应同时计算弯曲和剪切变形;当高宽比大于4时,等效侧向刚度可取0;墙段宜按门窗洞口划分,墙板宽度取墙段宽度。
条文说明
5.2.4 墙段的高宽比指层高与墙长之比,对门窗洞边的小墙段指洞净高与洞侧墙宽之比。
5.2.5 轻板结构在风荷载和多遇地震作用下,楼层内最大弹性层间位移均不应超过楼层高度的1/1000。
条文说明
5.2.5 对结构楼层层间位移的控制,实际上是对构件截面尺寸、刚度大小的控制,从而达到保证主体结构基本处于弹性受力状态,保证轻质墙板及轻板隔墙完好,避免产生明显损伤。抗震设计是根据抗震设防三个水准的要求,采用二阶段设计方法来实现的。要求在多遇地震作用下主体结构不受损坏,填充墙及隔墙没有过重破坏,保证建筑的正常使用功能;在罕遇地震作用下,主体结构遭受破坏或严重破坏但不倒塌。根据现行国家标准《建筑抗震设计规范》GB 50011的规定,剪力墙结构弹性层间最大位移与层高之比为1/1000。轻板结构层数小于或等于2,当位移角达到1/1000时,裂缝比较少,故要求轻板结构在风荷载和多遇地震作用下,楼层内最大弹性层间位移均不应超过楼层高度的1/1000。
5.3 墙体设计
5.3 墙体设计
5.3.1 轻质墙板应进行受压承载力和受剪承载力计算,并应验算外墙在平面外风荷载作用下的抗裂性能。
条文说明
5.3.1 轻板结构为装配式建筑结构,墙板密度小,自重轻,墙体主要受到竖向压力和水平剪力作用,因此,轻质墙板应进行受压承载力和受剪承载力计算。外墙在平面外风荷载作用下受弯,可能会引起弯曲裂缝,但是,一般不会起控制作用。
5.3.2 重力荷载代表值作用下,轻质墙板的轴向压力应符合下式规定:

式中:γd——轻板受力不均匀调整系数,取1.2;
NG——重力荷载代表值作用下轻质墙板的轴向压力设计值(N);
μN——重力荷载代表值作用下轻质墙板的轴压比限值,取0.4;
fc——轻质混凝土的轴心抗压强度设计值(N/mm2),可按本标准第3.2.4条取值;
Ac——轻质墙板轴向受压混凝土截面面积(mm2)。
条文说明
5.3.2 轴压比是影响轻质墙板在地震作用下塑性变形能力的重要因素,考虑轻质混凝土强度较普通混凝土低,并参考剪力墙墙肢轴压比限值,将墙体轴压比限值定为0.4是适宜的。
5.3.3 轻质墙板受压偏心距不宜超出截面核心范围,考虑墙板高厚比l0/bw与受压偏心距e影响的受压承载力应符合下列公式规定:

式中:γd——轻板受力不均匀调整系数,取1.2;
N——轻质墙板竖向压力设计值(N);
φ——轻质墙板受压稳定性系数,按表5.3.3取值;
f′y——轻质墙板内竖向配置的钢材抗压强度设计值(N/mm2);
A′s——轻质墙板内竖向配置的钢材截面积(mm2);
Nd——轻质墙板不考虑高厚比与偏心距影响的受压承载力(N),可按式(5.3.3-2)计算,也可按本标准附录A试验确定。

条文说明
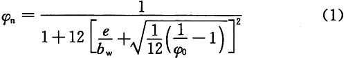
5.3.3 轻板种类很多,有的内部设钢筋桁架,有的设置型钢骨架,有的配置水平和竖向分布钢筋,有的配置高强钢丝网片,有的内部还填充轻质材料,因此,采用一种通用的计算公式进行轻板受压承载力计算非常困难,而且,大部分轻板的承载力是厂家通过试验得到,综合各方意见,可采用式(5.3.3-2)进行轻质墙板不考虑高厚比与偏心距影响的受压承载力计算,也可以按本标准附录A的要求试验得到Nd。
考虑偏心距e/bw影响是按现行国家标准《砌体结构设计规范》GB 50003中考虑偏心距影响的公式计算的,计算公式如下: 
其中,φ0为偏心距为0时的稳定性系数,稳定系数取值引用现行国家标准《混凝土结构设计规范》GB 50010和《砌体结构设计规范》GB 50003。
偏心距e/bw≤0.17是控制截面偏心受压时截面尚未出现拉应力,处于全截面受压状态。
5.3.4 轻质墙板当承受由梁传递的集中荷载时,应按下列规定进行验算:
1 荷载由梁下局部墙体承担,墙体有效宽度应取2倍墙体厚度,且不应小于梁的截面宽度;
2 根据墙体的局部宽度、单块墙体总宽度和墙体的轴心受压承载力设计值,验算局部受压承载力;
3 当不满足承载力要求时,应通过局部加强措施提高局部受压承载力,或通过加宽局部承压面积,满足承压要求。
条文说明
5.3.4 轻板结构墙板一般不承受梁的局部压力,只是在门窗洞口上才有过梁,需要计算梁下的局部受压承载力,局部受压可参照砌体结构计算。
5.3.5 地震作用组合时,轻质墙板的剪力设计值V应按下列规定计算:
1 一层部位
设防烈度为8度时:

设防烈度6度、7度时:

2 其他层部位

式中:V——考虑地震作用组合的轻质墙板截面的剪力设计值(N);
Vw——考虑地震作用组合的轻质墙板截面的剪力计算值(N)。
条文说明
5.3.5 轻板结构受力是剪力墙结构受力,水平力靠墙板的受剪来抵抗,因此,应满足“强剪弱弯”的要求,参考现行国家标准《建筑抗震设计规范》GB 50011对剪力墙抗震分级的规定,8度时为二级抗震底层取1.4,6、7度时为三级抗震底层取1.2。
5.3.6 轻质墙板的受剪截面应符合下列公式规定:
1 永久、短暂设计状况

2 地震设计状况
剪跨比λ大于2.5时:

剪跨比λ不大于2.5时:

剪跨比按下式计算:

式中:V——墙板的剪力设计值(N);
λ——剪跨比,其中Mc、Vc应取同一组合的、未调整的墙板截面弯矩、剪力计算值,并取墙板上、下端截面计算的剪跨比的较大值;
fc——轻质混凝土轴心抗压强度设计值(N/mm2);
Ac0——墙板轻质混凝土有效受剪截面面积(mm2),不包括外贴保温、外装饰层和内嵌保温层厚度,取Ac0=bwh0;
h0——轻板截面受剪有效高度,即受拉端钢筋(或型钢)合力点至受压边缘的距离(mm)。
条文说明
5.3.6 本条参考了现行国家标准《混凝土结构设计规范》GB 50010剪力墙墙肢截面要求的规定,主要是为了确定墙板的厚度。
5.3.7 轻质墙板的剪力设计值应符合下列公式规定:
1 永久、短暂设计状况

2 地震设计状况

式中:Vd——轻质墙板的受剪承载力设计值(N),可按本标准附录A试验确定。
条文说明
5.3.7 采用式(5.3.7)进行轻质墙板的受剪承载力计算时,式中Vd一般应按本标准附录A的要求由试验得到;当有可靠理论依据时,也可通过设计计算得到。由于轻板构造复杂,理论计算非常困难,通过试验得到更为简单、可靠。轻质墙板作为一种产品,产品的性能参数应包括轻质墙板的受剪承载力设计值,供结构工程师设计时采用。
5.3.8 外墙板在平面外风荷载作用下最大裂缝宽度不宜大于0.10mm。
5.4 楼板、屋面板设计
5.4 楼板、屋面板设计
5.4.1 轻质楼板、屋面板与墙板的连接宜采用铰接连接,轻质楼板、屋面板受弯计算时可按两端铰接考虑。
条文说明
5.4.1 轻板结构的墙体混凝土强度较低,楼板、屋面板和墙板采用工厂预制、现场拼装,故墙体对楼板的约束难以做到嵌固,且按嵌固设计时对墙体承载受力不利,因此,规定楼板的非连续边的支撑按简支考虑。
5.4.2 轻质楼板、屋面板的受弯承载力应符合下式规定:

式中:M——轻质楼板、屋面板的弯矩设计值(N·mm);
Md——轻质楼板、屋面板的受弯承载力设计值(N·mm),可按本标准附录A试验确定。
5.4.3 轻板楼板、屋面板的受剪承载力应符合下式规定:

式中:Q——轻板楼板、屋面板的剪力设计值(N);
Qd——轻板楼板、屋面板的受剪承载力设计值(N),可按本标准附录A试验确定。
条文说明
5.4.2、5.4.3 楼板、屋面板的受剪承载力一般不会控制设计,但是,由于是轻质板材,轻质混凝土材料的受剪强度显著降低,板的受剪承载力也明显降低,因此,增加了受剪承载力验算。采用式(5.4.2)和式(5.4.3)进行轻板楼板的受弯和受剪承载力计算。式中Md和Qd由轻板厂家通过试验得到,试验应满足本标准附录A的要求;当有可靠理论依据时,也可通过计算得到。
5.4.4 轻质楼板、屋面板受弯构件的挠度不宜大于构件计算跨度的1/300,悬臂构件计算跨度应按实际悬臂长度的2倍计算取用。
条文说明
5.4.4 构件变形限值主要为了不影响结构使用功能和外观,不影响构件之间的连接等。轻板作楼板时,由于轻板为多种材料的复合体,要进行挠度验算是非常困难的。轻板作为一种产品,厂家应该进行板的弯曲试验,按本标准附录B进行挠度检验,得到满足挠度要求的使用荷载标准值,供结构工程师选用。
5.4.5 按荷载效应准永久组合并考虑长期作用影响计算时,轻质楼板、屋面板的最大裂缝宽度应小于0.2mm。当轻板内配置型钢、钢筋桁架时,可仅考虑型钢、钢筋桁架的受弯刚度计算挠度;当计算挠度符合本标准第5.4.4条规定时,裂缝宽度限值可适当放宽,但应小于0.3mm。
条文说明
5.4.5 轻板作楼板时,由于轻板为多种材料的复合体,要进行裂缝验算是非常困难的。轻板作为一种产品,厂家应该进行板的弯曲试验,得到板满足裂缝宽度要求的使用荷载标准值,供结构工程师选用。对于内置型钢(钢筋桁架)的轻板,混凝土主要起传递荷载作用,楼板的设计可仅考虑型钢(钢筋桁架)的刚度贡献,裂缝宽度可放宽到0.3mm。
5.4.6 轻质楼板、屋面板使用荷载下挠度和裂缝限值可按本标准附录B试验进行检验,也可按本标准附录B试验得到满足挠度和裂缝限值的使用荷载标准值。
6 构造规定
6.1 一般规定
6.1 一般规定
6.1.1 轻质墙板厚度应符合下列规定:
1 外墙板的厚度不宜小于150mm,不应小于120mm;
2 承重内墙板厚度不应小于120mm;
3 隔墙板厚度不应小于75mm。
条文说明
6.1.1 墙板厚度不包括外贴保温、外装饰层厚度。
6.1.2 承重墙板高度依结构层高确定,计算高厚比不宜大于30;墙板总宽度依房屋开间、进深确定,并应考虑吊装和运输要求。
6.1.3 承重墙板内钢筋的混凝土保护层厚度,外墙外侧不应小于25mm,外墙内侧及内墙不应小于20mm;做过专门防腐处理的钢筋保护层不应小于15mm。
6.1.4 轻板结构墙体门窗洞口可采用专门设计的带洞口的大型墙板;当两侧采用分离的墙板时,上方宜设置过梁,当洞口宽度大于1.2m时,洞口两侧宜设置立柱。
条文说明
6.1.4 过梁可采用预制钢筋混凝土梁或钢梁,立柱可采用矩形钢管和槽钢。钢结构过梁与门窗洞口的立柱可采用螺栓连接或焊接,钢筋混凝土过梁与门窗洞口的立柱可采用预埋件焊接或螺栓连接。钢结构过梁的计算根据现行国家标准《冷弯薄壁型钢结构技术规范》GB 50018和《钢结构设计标准》GB 50017的相关规定,钢筋混凝土结构过梁可按现行国家标准《混凝土结构设计规范》GB 50010的规定设计。
6.1.5 轻质楼板、屋面板上应浇筑不小于30mm厚的混凝土叠合层。叠合层混凝土强度等级不应低于C25,钢筋直径不应小于6mm,间距不宜大于200mm。
条文说明
6.1.5 轻质楼板、屋面板上浇筑不小于30mm厚的混凝土叠合层,是为了增加楼盖的整体性,保证轻质墙板变形的一致性,保证本标准第5章中轻板结构的计算模型的正确性。
6.2 连接构造
6.2 连接构造
6.2.1 轻板结构的连接构造应传力明确,并应与计算模型相符。
6.2.2 墙板结构基础宜采用混凝土条形基础或筏板基础,墙板与基础之间的连接应符合下列规定:
1 当采用焊接连接时(图6.2.2-1),墙板和基础应设预埋件,通过角钢或槽钢连接件焊接;
2 当采用专用胶粘剂连接时(图6.2.2-2),墙板端部应采用冷弯薄壁槽钢封边,槽钢厚度不应小于3mm,槽钢与基础顶面应可靠粘结;

3 当采用自攻螺钉连接时(图6.2.2-3),在墙下基础上应设通长钢板卡,并通过自攻螺钉和水泥射钉可靠连接;

4 蒸压轻质加气混凝土墙板与基础连接时(图6.2.2-4),墙板之间企口内应布置钢筋,并应将钢筋锚入基础内,墙板中间位置可采用插入墙板内的连接钢管与连接钢板焊接,连接钢板与基础采用水泥射钉连接。

6.2.3 墙板之间拼接时,墙板间应预留不大于10mm的拼接缝,拼接做法应符合下列规定:
1 采用焊接连接时(图6.2.3-1),应在墙板对应部位设预埋件并沿墙高均匀布置连接件,连接件截面尺寸和间距应通过计算确定,焊缝可采用间断焊,焊缝构造应符合国家现行有关标准的规定;

2 采用专用胶粘剂粘结时(图6.2.3-2),在接缝处附加不小于200mm宽耐碱玻纤网格布增强,并刮腻子或用聚合物水泥胶浆找平;
3 蒸压加气混凝土墙板之间可采用专用胶粘剂和水泥砂浆连接(图6.2.3-3),先用专用胶粘剂将左右板接触面粘结,墙板对接形成的圆孔企口内竖向布置1根直径不小于10mm的钢筋,并采用水泥砂浆灌注圆孔企口,墙板内侧缝隙由专用勾缝剂勾缝,墙板外侧由专用密封胶密封。

6.2.4 纵横墙之间的连接应符合下列规定:
1 采用焊接连接时(图6.2.4-1),应在墙板对应部位设预埋件并沿墙高均匀布置连接件,连接件截面尺寸和间距应通过计算确定,焊缝构造应符合现行国家标准《钢结构焊接规范》GB 50661的相关规定;
2 采用专用胶粘剂粘结时(图6.2.4-2),胶缝不应大于10mm,并应在墙外侧和内侧转角接缝处附加不小于200mm宽耐碱玻纤网格布增强;
3 承重墙板纵横墙采用构造柱连接时,构造柱可采用混凝土(图6.2.4-3)或型钢(图6.2.4-4)。混凝土构造柱纵向钢筋不应小于4
10,箍筋不应小于
6@200;型钢可采用薄壁H型钢,型钢高度不小于墙板厚度的2/3,型钢与墙板预埋件采用间断焊,型钢空隙内可填充岩棉保温材料。


6.2.5 墙板与楼板的连接应符合下列规定:
1 外墙应在楼板标高处设置连续布置的混凝土圈梁或型钢圈梁,圈梁与墙板应可靠连接;
2 墙板和楼板应在端部设预埋件,通过预埋件之间的连接、预埋件与圈梁的连接实现墙板、楼板之间的可靠连接;
3 楼板深入墙体的距离a不应小于墙厚的40%(图6.2.5-1);

4 蒸压加气混凝土墙板与楼板连接处(图6.2.5-2),外墙板可通过现浇混凝土圈梁、企口内竖向连接钢筋、连接钢管、连接钢板、楼板叠合层,将上、下层墙板及楼板连接在一起。

6.2.6 轻板结构应在檐口标高处设置圈梁,圈梁的设置应符合下列规定:
1 圈梁宜连续设在同一水平面上,并形成封闭状,纵横墙交接处的圈梁应有可靠的连接。
2 采用混凝土圈梁时:当墙厚bw≤160mm时,圈梁宽度宜与墙厚相同,当墙厚bw>160mm时,圈梁宽度不宜小于160mm与2bw/3的较大者。圈梁高度不应小于120mm;圈梁纵向钢筋不应少于4根,直径不应小于10mm,钢筋搭接长度应按受拉钢筋考虑,箍筋不应少于
6@300mm。
3 采用型钢圈梁时:圈梁宽度不宜小于120mm与bw/2的较大者;圈梁高度不应小于120mm,型钢壁厚不应小于3mm。
6.2.7 轻板构造柱与圈梁应可靠连接。当构造柱与圈梁均为混凝土结构时,圈梁内钢筋应通过构造柱并应将混凝土浇筑在一起;当构造柱与圈梁均为型钢时,应通过焊接或螺栓连接为一体;当混凝土与型钢混合使用时,应在型钢上钻孔将混凝土结构中的钢筋穿过,浇筑混凝土时应将构造柱与圈梁相交区域浇筑密实。
条文说明
6.2.1~6.2.7 本节连接构造是根据大量工程实践总结出来的,主要包括了墙板之间的连接、墙板与楼板(屋面板)之间的连接、墙板与基础的连接、屋顶圈梁等。蒸压加气混凝土轻板结构有一套独立的连接构造,与泡沫混凝土轻板、聚苯颗粒混凝土轻板做法既能协调一致,成为统一的做法,同时,条文也体现蒸压加气混凝土轻板结构独立成熟的做法。
连接采用自攻螺钉目前还没有相应的技术规范,自攻螺钉的数量应根据计算确定,且每个接触面不应少于2个。自攻螺钉应有不少于3圈螺纹穿过连接构件;相邻自攻螺钉的中心距不应小于自攻螺钉直径的3倍;自攻螺钉中心到连接件边缘不应小于自攻螺钉直径的2倍。
在檐口标高处设置圈梁是为增加房屋的整体刚度,防止由于地基的不均匀沉降或振动引起轻板与轻板之间的连接破坏,影响结构整体性。
7 施 工
7.1 安装准备
7.1 安装准备
7.1.1 轻板应有专业厂家生产,并应按本标准附录A、附录B的试验方法给出轻板的承载力和正常使用性能。
7.1.2 轻板结构施工前应编制专项施工方案,施工方案应包括下列内容:
1 应根据轻板特点和设计要求确定吊装方案、连接方法、防水做法、门窗洞口做法、穿墙管线以及吊挂重物的加固构造措施等;
2 应根据轻板产品和设计图纸绘制排板图,确定安装顺序;
3 冬期或雨期施工时,应包括相应的防冻、防水等保证措施。
7.1.3 施工前准备工作应符合下列规定:
1 装卸、运输过程中轻板面层材料发生碰损时,应在安装前修补;当轻板损伤影响结构受力时,应先做补强处理;
2 材料进场时,应进行进场验收,供方应提供产品合格证、质量检验报告、承载力和正常使用性能试验报告;
3 材料进场后,应按不同种类或规格堆放,不得被其他物料污染;露天堆放时应有防潮、防雨和防暴晒等措施;
4 轻质墙板安装前应完成基础施工并验收合格。
条文说明
7.1.1~7.1.3 轻板结构是一种装配式建筑结构,轻板由工厂预制,运到现场后进行安装,因此,施工准备包括了预制构件的工厂检验,主要是设计需要的承载力、正常使用性能等,这些参数是设计的依据,需要随产品一并提供。
轻板安装的施工方案、排板图、安装顺序等,也是施工前必须准备好的;轻板进场后的保护、修复、产品进场检验,都是施工前需要准备好的。
本标准未包括基础的设计和施工内容,这部分工作应该在轻板安装前完成施工,并进行验收。
7.2 安装与连接
7.2 安装与连接
7.2.1 墙体宜从一端向另一端顺序安装,当有门窗洞口时,可从洞口向两侧顺序安装。
7.2.2 轻板起吊宜采用专用吊具,吊装方案应经过设计、验算或试验检验,起吊时绳索与水平面夹角不宜小于60°,不应小于45°。
7.2.3 墙板吊装就位后应采取临时固定措施保证构件稳定,并应及时校正位置和垂直度。外墙垂直度应以墙板外表面为主进行校核,墙板接缝位置应以满足墙面平整、相邻表面平顺为目标进行校核。
7.2.4 墙板之间、墙板与基础之间、楼板(屋面板)与墙板之间的连接应按本标准第6.2节构造要求进行。
7.2.5 当轻板采用专用胶粘剂连接时,应在连接接触面两侧均匀满刮粘结材料,对接缝隙内填满的粘结材料应密实挤紧,并应将挤出的粘结材料刮平。
7.2.6 墙板内布置的线管应在墙板生产时预埋,当墙板内安装管线需要现场开槽时,应经过设计和厂家认可,并应符合下列规定:
1 应使用专用切割工具在板的单面开槽,并应在管线安装完成后用不低于C20细石混凝土填补;
2 竖向槽深不宜大于板厚的1/3,水平向槽深不宜大于板厚的1/5,水平向槽长不应大于板宽的1/3;
3 开槽不宜切断配置的竖向钢筋或型钢,当切断钢筋或型钢时应采取补强措施达到原墙板承载能力。
条文说明
本节主要规定了墙板、楼板(屋面板)的安装与连接要求,施工过程中的注意事项。轻板结构作为一个建筑结构,建筑还包括了防水、保温、装修、设备等,本节没有给出详细的规定,需要根据不同专业要求配合进行。
7.2.6 墙板水平方向开槽会严重破坏墙板的受荷载截面,显著降低承载力,因此,现场不允许水平方向开槽。如墙板确需沿水平方向表面开槽,开槽不应切断竖向配筋或型钢,槽深不应大于板厚的1/5,如果切断了钢筋或型钢,应该将钢筋或型钢通过连接件焊接补强,并应该把开槽破坏的轻质混凝土用不低于C20混凝土填补。
7.2.7 轻板板面需开洞时,洞口尺寸不宜大于80mm×80mm,不应大于150mm×150mm,且洞宽不应大于板宽的15%。
7.2.8 墙面处理和保护应符合下列规定:
1 墙面处理应在门框、窗框、管线及设备安装完毕后进行;
2 对墙面小的破损和孔隙应先用腻子填满刮平,对不带饰面的毛坯墙应满铺防裂网并刮腻子找平;
3 对有防潮或防渗漏要求的墙体,应按设计要求进行墙面防水处理;
4 施工过程中及工程验收前,应对墙体采取保护措施,防止污染或损坏墙体。
7.2.9 门、窗安装应符合下列规定:
1 墙板预制时,门、窗洞口相应位置应根据设计要求安装预埋件;
2 门、窗的安装应在墙板安装完毕后进行,安装前应检查洞口的垂直度、平整度及对角线差值,当不满足要求时应进行调整。
7.2.10 当轻板自身保温不能满足建筑节能要求时,应按设计要求在墙板、屋面板安装完成后进行保温系统施工。
7.2.11 屋面板安装验收合格后,方可进行屋面防水层或屋面瓦施工。
8 验 收
8.1 一般规定
8.1 一般规定
8.1.1 轻板结构可作为轻板建筑子分部工程的一个分项工程进行验收。轻板建筑除了轻板结构分项工程外还包括地基基础、装饰装修等内容。轻板结构工程施工质量验收除应符合本标准规定外,尚应符合现行国家标准《混凝土结构工程施工质量验收规范》GB 50204、《混凝土结构工程施工规范》GB 50666等相关标准的规定。
8.1.2 轻板结构分项工程根据材料可划分为轻板、连接材料、防水材料、保温材料等检验批。
8.1.3 轻板结构施工可分为墙板安装、楼板安装、屋面板安装、板缝连接、保温安装等检验批。
8.1.4 同一批材料制成的相同规格的轻板,每1000件为一个检验批,不足1000件时亦作一个检验批。
8.1.5 检验批质量合格应符合下列规定:
1 主控项目的质量经抽样检验均应合格;
2 一般项目的质量经抽样检验应合格;一般项目当采用计数抽样检验时,合格点率应达到90%及以上,且偏差不应超过允许值的1.5倍;
3 应具有完整的施工操作依据、质量检查记录。
8.1.6 每个检验批应至少抽查5%,但不得少于3件。
8.1.7 轻板结构工程验收时,除应按现行国家标准《混凝土结构工程施工质量验收规范》GB 50204提供文件外,尚应提交下列文件和记录:
1 轻板、连接材料、防水材料、保温材料等的质量证明文件、进场验收记录、抽样复验报告;
2 轻板承载力、正常使用性能检验报告;
3 连接材料强度检验报告;
4 轻板安装施工记录文件;
5 隐蔽工程检查验收文件;
6 分项工程质量验收文件;
7 其他必要文件和记录。
条文说明
8.1.1~8.1.7 按《建筑工程施工质量验收统一标准》GB 50300-2013附录B,装配式混凝土结构可以作为一个分项工程进行验收,因此,轻板结构作为轻板建筑的一个分项工程来验收,对于整个轻板建筑,除了轻板结构外还有基础工程、装修装饰等分项工程。
8.2 轻板及材料
8.2 轻板及材料
Ⅰ 主控项目
8.2.1 轻板应在明显部位标明生产单位、轻板型号、生产日期和质量验收合格标志,并应提供出厂证明文件。
检查数量:全数检查。
检验方法:观察,检查产品合格证书。
8.2.2 轻板的结构性能应经过试验检验,并应符合设计要求。
检查数量:全数检查。
检验方法:检查轻板合格证、轻板检验报告。
8.2.3 轻板的预埋件、预留孔洞规格、数量应符合本标准和设计要求。
检查数量:全数检查。
检验方法:对照本标准和设计图纸进行观察。
8.2.4 轻板不应有影响结构性能和安装、使用功能的尺寸偏差,当尺寸偏差影响结构性能以及影响安装、使用功能时,不得使用。
检查数量:全数检查。
检验方法:量测,检查技术方案。
8.2.5 连接材料、防水材料、保温材料应符合本标准和设计要求。
检查数量:全数检查。
检验方法:观察并检查产品合格证书。
检验方法:对照本标准和设计图纸进行观察。
Ⅱ 一般项目
8.2.6 轻板的外观质量不宜有一般缺陷。外观质量一般缺陷应按表8.2.6的规定进行外观检查,对已经出现的一般缺陷应按技术方案进行处理,并应重新验收。
检查数量:全数检查。
检验方法:量测,检查技术方案。

8.2.7 轻板外形、预埋件、预留孔洞的尺寸允许偏差及检验方法应符合表8.2.7的规定。
检查数量:每个检验批,现场抽查5%,且不应少于3件。

条文说明
8.2.1~8.2.7 本节主要规定了轻板结构作为结构的主要材料,包括轻板、轻板上的预埋件及预留孔洞、连接材料、防水材料等的验收规定,保温材料可以作为保温分项进行验收。
8.3 安装及成品
8.3 安装及成品
Ⅰ主控项目
8.3.1 轻板之间的连接应符合本标准第6.2节的规定和设计要求。
检查数量:全数检查。
检验方法:观察、检查施工记录,包括隐蔽工程记录。
8.3.2 当轻板之间采用专用胶粘剂或专用砂浆填充连接时,应检查填充材料的强度,并应在填充材料达到设计强度要求时安装上一层结构。
检查数量:全数检查。
检验方法:观察、检查施工记录及填充材料强度,包括隐蔽工程记录。
Ⅱ一般项目
8.3.3 墙板安装位置、平整度、垂直度允许偏差应符合表8.3.3的规定。
检查数量:全数检查。

条文说明
8.3.1~8.3.3 本节主要规定了轻板结构安装连接节点的验收要求,本标准第6.2节给出了详细的构造要求,验收主要检测是否按构造要求进行安装和连接。当采用专用胶粘剂或专用砂浆连接时,胶粘剂和专用砂浆的强度是关键,必须进行试验验证。
安装完成轻板结构的外观主要是通过测量来验收,检查是否满足安装的允许偏差值。
附录A 轻板抗力设计值试验确定方法
附录A 轻板抗力设计值试验确定方法
A.0.1 轻板受弯、轴心受压、受剪承载力设计值可采用本附录试验方法确定,试验应符合现行国家标准《混凝土结构试验方法标准》GB/T 50152的相关规定。
A.0.2 轻板试件宜采用足尺,试件与试验装置之间的连接、支承方式应能合理、有效地模拟结构构件的受力状态。墙板轴心受压试验应采用侧向支撑措施,得到不考虑高厚比与偏心距影响的轴心受压承载力。
A.0.3 对相同型号轻板的同一性能X进行试验测试,有效试件数量不少于3件,轻板达到承载力极限状态判断准则应符合现行国家标准《混凝土结构试验方法标准》GB/T 50152的规定,并应按表A.0.3确定承载力检验系数[γu]。

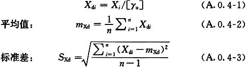
A.0.4 同型号轻板性能X量测结果考虑承载力检验系数后的统计特征值应按下列公式计算:

式中:Xi——性能X的第i个测量值,X包括受弯、轴心受压、受剪承载力等;
Xdi——第i个测量值Xi考虑承载力检验系数后的数值。
A.0.5 对试验中多次量测系列数据中与其余量测值有明显差异的可疑数据Xdi,可按下式决定取舍:

式中:dn——合理的误差限制,按表A.0.5取值。

A.0.6 轻板性能X的抗力设计值Xd可按下列公式计算得到:

式中:ks——分位值为0.05时的单侧容限系数,按表A.0.6取值。

条文说明
A.0.1~A.0.6 本附录给出了依据试验确定构件承载力的方法,参照了《工程结构可靠性设计统一标准》GB 50153-2008附录D“试验辅助设计”中的经典统计方法以及国际标准《General principles on reliability for structures》ISO 2394-2015的相关条文,当性能X服从正态分布时,其设计值Xd可按下列公式确定:
式中:mX——性能X的平均值; SX——性能X的标准差; knk——标准值单侧容限系数; ηd——换算系数的设计值,换算系数的评估主要取决于试验类型和材料; γm——分项系数,具体数值应根据试验结构的应用领域来选定。 《工程结构可靠性设计统一标准》GB 50153-2008未给出系数ηd和γm的取值,结合《混凝土结构试验方法标准》GB/T 50152-2012中承载力检验系数[γu]给出,也就是近似取
=1/[γu]这样就可以得到公式:
考虑到不同试件破坏形式可能不同,采用的[γu]值也会不同,就将[γu]的考虑放在了前面,对每个试验数据Xi先考虑[γu],得到式(A.0.6)。
附录B 轻板挠度与裂缝试验检验方法
附录B 轻板挠度与裂缝试验检验方法
B.0.1 轻质楼板(屋面板)、轻质墙板在按本标准附录A得到抗力设计值后,可采用本附录方法检验轻板的正常使用性能,试验方法应符合现行国家标准《混凝土结构试验方法标准》GB/T 50152的规定。
B.0.2 挠度检验应在使用状态试验荷载作用下、持荷结束时量测挠度值,挠度试验检验应符合下列规定:

式中:a0s——在使用状态试验荷载作用下,构件的挠度实测值(mm);
[af]——构件挠度设计的限值(mm),轻质楼板、屋面板应取跨度的1/300;
θ——考虑荷载长期效应组合对挠度增大的影响系数。受压侧配筋率ρ′=0时,取θ=2.0;ρ′=ρ时,取1.6;其他情况线性插值。
B.0.3 裂缝宽度检验应在使用状态试验荷载作用下、持荷结束时量测裂缝宽度,并取量测结果的最大值作为最大裂缝宽度实测值,构件裂缝宽度试验检验应符合下列规定:

式中:ω0s,max——在使用状态试验荷载作用下,构件的最大裂缝宽度实测值(mm);
[ωmax]——构件最大裂缝宽度检验允许值(mm),按表B.0.3采用。

条文说明
B.0.1~B.0.3 本附录依据国家标准《混凝土结构试验方法标准》GB/T 50152-2012给出。
本标准用词说明
本标准用词说明
1 为便于在执行本标准条文时区别对待,对于要求严格程度不同的用词说明如下:
1)表示很严格,非这样做不可的:
正面词采用“必须”;反面词采用“严禁”;
2)表示严格,在正常情况下均应这样做的:
正面词采用“应”;反面词采用“不应”或“不得”;
3)表示允许稍有选择,在条件许可时首先应这样做的:
正面词采用“宜”;反面词采用“不宜”;
4)表示有选择,在一定条件下可以这样做的,采用“可”。
2 条文中指明应按其他有关标准执行的写法为:“应符合……的规定”或“应按……执行”。
引用标准名录
引用标准名录
1 《建筑模数协调标准》GB/T 50002
2 《建筑结构荷载规范》GB 50009
3 《混凝土结构设计规范》GB 50010
4 《建筑抗震设计规范》GB 50011
5 《建筑设计防火规范》GB 50016
6 《钢结构设计标准》GB 50017
7 《冷弯薄壁型钢结构技术规范》GB 50018
8 《建筑结构可靠性设计统一标准》GB 50068
9 《混凝土结构试验方法标准》GB/T 50152
10 《混凝土结构工程施工质量验收规范》GB 50204
11 《民用建筑工程室内环境污染控制规范》GB 50325
12 《钢结构焊接规范》GB 50661
13 《混凝土结构工程施工规范》GB 50666
14 《碳素结构钢》GB/T 700
15 《低合金高强度结构钢》GB/T 1591
16 《连续热镀锌和锌合金镀层钢板及钢带》GB/T 2518
17 《变形铝及铝合金化学成分》GB/T 3190
18 《耐候结构钢》GB/T 4171
19 《铝合金建筑型材》GB/T 5237
20 《建筑材料放射性核素限量》GB 6566
21 《蒸压加气混凝土性能试验方法》GB/T 11969
22 《硅酮和改性硅酮建筑密封胶》GB/T 14683
23 《连续热镀铝锌合金镀层钢板及钢带》GB/T 14978
24 《混凝土外加剂中释放氨的限量》GB 18588
25 《不锈钢和耐热钢 牌号及化学成分》GB/T 20878
26 《预拌砂浆》GB/T 25181
27 《轻骨料混凝土应用技术标准》JGJ/T 12
28 《钢筋焊接及验收规程》JGJ 18
29 《冷拔低碳钢丝应用技术规程》JGJ 19
30 《钢筋焊接网混凝土结构技术规程》JGJ 114
31 《建筑隔墙用轻质条板通用技术要求》JG/T 169
32 《聚氨酯建筑密封胶》JC/T 482
33 《聚硫建筑密封胶》JC/T 483
34 《耐碱玻璃纤维网布》JC/T 841
