Appearance
《钢筋混凝土薄壳结构设计规程[附条文说明]》JGJ 22-2012
🗓️ 住房和城乡建设部 实施时间:2012-08-01
前言
中华人民共和国行业标准
钢筋混凝土薄壳结构设计规程
Specification for design of reinforced concrete shell structures
JGJ 22-2012
备案号 J 1400-2012
批准部门:中华人民共和国住房和城乡建设部
施行日期:2 0 1 2 年 8 月 1 日
中华人民共和国住房和城乡建设部公告
第1325号
关于发布行业标准《钢筋混凝土薄壳结构设计规程》的公告
现批准《钢筋混凝土薄壳结构设计规程》为行业标准,编号为JGJ 22-2012,自2012年8月1日起实施。其中,第3.2.1条为强制性条文,必须严格执行。原行业标准《钢筋混凝土薄壳结构设计规程》JGJ/T 22-98同时废止。
本规程由我部标准定额研究所组织中国建筑工业出版社出版发行。
中华人民共和国住房和城乡建设部
2012年3月1日
前言
根据住房和城乡建设部《关于印发<2008年工程建设标准规范制订、修订计划(第一批)>的通知》 (建标[2008]102号)的要求,本规程编制组经调查研究,认真总结实践经验,参考有关国际标准和国外先进标准,并在广泛征求意见的基础上,修订本规程。
本规程的主要技术内容是:总则、术语和符号、基本规定、结构分析、圆形底旋转壳、双曲扁壳、圆柱面壳、双曲抛物面扭壳、膜型扁壳等,包括了钢筋混凝土薄壳结构的基本形式、基本要求、计算分析、构造要求等。
本次修订的主要技术内容是:新增“结构分析”一章,增加采用有限元方法分析的要求和规定;与其他相关标准协调;对原规程的薄壳计算公式和系数表进行了适当精简。
本规程中以黑体字标志的条文为强制性条文,必须严格执行。
本规程由住房和城乡建设部负责管理和对强制性条文的解释,由中国建筑科学研究院负责具体技术内容的解释。执行本规程过程中如有意见或建议,请寄送中国建筑科学研究院(地址:北京市北三环东路30号,邮政编码:100013)。
本规程主编单位: 中国建筑科学研究院
本规程参编单位: 清华大学
浙江大学
浙江省建筑设计研究院
华南理工大学建筑设计研究院
本规程主要起草人员: 宋涛 董石麟 赵基达 袁驷 焦俭 方小丹 赵阳 叶康生 刘枫 董智力
本规程主要审查人员: 柯长华 张维嶽 胡绍隆 白生翔 曹资 娄宇 范重 顾渭建 朱丹
1 总则
1 总则
1.0.1 为在钢筋混凝土薄壳结构的设计中贯彻执行国家的技术经济政策。做到安全适用、技术先进、经济合理、确保质量,制定本规程。
条文说明
1.0.1 本规程的修订遵循节能、环保和可持续发展的方针,并与现行国家标准《工程结构可靠性设计统一标准》GB 50153、《混凝土结构设计规范》GB 50010等相关标准协调。
1.0.2 本规程适用于房屋和一般构筑物的现浇或装配整体式钢筋混凝土及预应力混凝土薄壳结构的设计。
条文说明
1.0.2 规定了本规程的适用范围。本规程适用于房屋和一般构筑物中薄壳结构的设计(一般用于建筑屋盖、构筑物顶盖结构),适用于现浇或装配整体式、普通钢筋混凝土或预应力混凝土薄壳。本规程不适用于轻骨料混凝土薄壳结构,也不适用于冷却塔、筒仓或其他特殊混凝土薄壳结构的设计。
1.0.3 钢筋混凝土及预应力混凝土薄壳结构的设计,除应符合本规程外,尚应符合国家现行有关标准的规定。
条文说明
1.0.3 说明了本规程与其他标准的关系。钢筋混凝土薄壳结构的设计除应符合本规程外,尚应符合现行国家标准《工程结构可靠性设计统一标准》GB 50153、《建筑结构荷载规范》GB 50009、《混凝土结构设计规范》GB 50010、《建筑抗震设计规范》GB 50011等国家现行有关标准的规定。钢筋混凝土薄壳结构的施工和验收应符合现行国家标准《混凝土结构工程施工质量验收规范》GB 50204等有关标准的规定。
2 术语和符号
2.1 术语
2 术语和符号
2.1 术语
2.1.1 壳板 shell plate
由两个曲面所限定,且此两曲面之间的距离远比曲面尺寸小的物体。
2.1.2 壳体 shell structure
由壳板(有时壳板上还有加劲肋)与其边缘构件组成的具有规定承载力的结构。
条文说明
2.1.1、2.1.2 区分壳板和壳体的不同含义。
2.1.3 壳板中曲面 middle surface of shell
在理论分析时能定义壳板抽象形体的曲面,一般为距壳板两个表面等距离的点组成的曲面。
2.1.4 壳板厚度 thickness of shell
壳板两曲面间的法线长度。
条文说明
2.1.3、2.1.4 薄壳的力学分析均以壳板中曲面为基础。在壳板中曲面和厚度已知的情况下,壳板可以在几何上被完全描述。壳板可以采用等厚度的或变厚度的。
2.1.5 壳板矢高 rise of shell plate
壳板中曲面最高处到壳板底平面的最大竖直距离。
2.1.6 壳体矢高 rise of shell structure
壳板中曲面最高处到壳体底平面的最大竖直距离。
条文说明
2.1.5、2.1.6 区分壳板矢高和壳体矢高的不同含义。
2.1.7 薄壳 thin shell
厚度与中曲面最小曲率半径之比不大于1/20的壳体。
条文说明
2.1.7 对于薄壳,可以在基本方程和边界条件中忽略某些很小的量,使得基本方程得到简化,从而得到一些近似的、在工程应用上已经足够精确的解答。大量的计算表明,壳体厚度与中曲面最小曲率半径之比不大于1/20时,这些解答不至于具有工程上不容许的误差。
2.1.8 扁壳 shallow shell
矢高与最小跨度之比不大于1/5的壳体。
条文说明
2.1.8 对底面投影为矩形的扁壳,最小跨度取为较短边长;对于底面投影为圆形的扁壳,最小跨度取为底面直径。壳板矢高与底面直径之比不大于1/5的球面壳称为扁球壳。
2.1.9 旋转壳 shell of revolution
以平面曲线为母线,绕一轴线旋转而形成中曲面的壳体。
2.1.10 球面壳 spherical shell
以圆弧线为母线,绕经过圆弧中心的轴线旋转而形成中曲面的壳体。
2.1.11 椭球面壳 rotational ellipsoidal shell
以椭圆线为母线,绕椭圆轴线旋转而形成中曲面的壳体。
2.1.12 旋转抛物面壳 rotational paraboloid shell
以抛物线为母线,绕抛物线的轴线旋转而形成中曲面的壳体。
条文说明
2.1.9~2.1.12 球面壳、椭球面壳、旋转抛物面壳为旋转壳的特定形式。
2.1.13 移动面壳体 translational shell
以直线或平面曲线为母线,在空间沿两条准线移动而形成中曲面的壳体。
条文说明
2.1.13 当移动面壳体的母线为平面曲线时,一般采用单侧平面曲线(即曲率半径中心在曲线同一侧的光滑平面曲线)。移动面壳体的准线一般为单侧平面曲线或直线。
2.1.14 双曲扁壳 double curvature shallow shell
母线及准线均为单侧平面曲线(一般为抛物线或圆弧线)、具有正高斯曲率中曲面的移动面扁壳。
条文说明
2.1.14 双曲扁壳的高斯曲率(即两个方向主曲率的乘积)为正。
2.1.15 圆柱面壳 cylindrical shell
母线为直线、准线为圆弧线的移动面壳体。
条文说明
2.1.15 用于房屋屋盖和一般构筑物顶盖的圆柱面壳都是环向开敞的,即壳面为圆柱面的一部分。圆柱面壳沿直母线方向的主曲率为零,沿环向的主曲率为圆弧准线的曲率。
2.1.16 双曲抛物面壳 hyperbolic paraboloid shell
母线为抛物线、准线为单侧平面曲线,具有负高斯曲率的移动面壳体。
条文说明
2.1.16 双曲抛物面壳具有负高斯曲率,中曲面方程的一般形式为z=kxy,对它通过坐标平移和旋转变换可以得到其他不同形式的方程。双曲抛物面壳可以看成是由一条抛物线母线在另一条弯曲方向相反的抛物线准线上移动而形成的移动面壳体,也可看成是由一条直母线在另两条不共面的直准线上移动而形成的壳体。它所有的竖剖面呈抛物线或直线,而水平剖面则呈双曲线,故有双曲抛物面之称。在双曲抛物面上有两簇直纹线,工程应用中可以利用它的这种性质布置钢筋(或预应力筋)和模板。具有直线边缘的双曲抛物面壳又称双曲抛物面扭壳,或简称扭壳。
2.1.17 膜型扁壳 membrane shell
两个主压应力方向上的截面内力彼此基本相等的扁壳。
条文说明
2.1.17 膜型扁壳系从受力特征上定义的。其中曲面的几何特征与荷载和内力分布有关。
2.1.18 壳板薄膜内力 membrane forces of shell
壳板中曲面内的轴向力和剪力。
条文说明
2.1.18 将壳板横截面上的应力向中曲面简化合成,得到作用于中曲面(单位宽度)两个主应力方向上的轴向力和剪力,称为薄膜内力。
2.1.19 边缘扰力 edge effect
在壳板与边缘构件连接处,由于位移协调而产生的内力。
2.2 符号
2.2 符号
条文说明
本节列出了本规程采用的主要符号。一次性采用的符号一般没有列入,只在出现处加以注释。
2.2.1 荷载
q n ——壳板中曲面上法向的均布荷载;
q z ——壳板中曲面上z轴方向的均布荷载;
q φ ——旋转壳壳板中曲面上分布荷载的经向分量;
Q z ——旋转壳壳板计算截面以上部分的总竖向外荷载;
s——壳板中曲面的水平投影面上的均布雪荷载;
s n ——壳板中曲面上分布雪荷载的法向分量。
2.2.2 作用效应
c t ——温度效应计算系数;
m 1 、m 2 ——壳板平行于y、x轴截面上的分布弯矩;
m t ——壳板截面上的分布扭矩;
m φ ——旋转壳壳板截面上经向的分布弯矩;
m φa 、m φo ——旋转壳壳板外环、内环处截面上经向的分布弯矩;

——旋转壳壳板外环、内环边缘处经向弯矩的修正值;
n 1 、n 2 ——壳板截面上中曲面x、y轴切线方向的分布轴向力;
n φ 、n θ ——旋转壳壳板截面上经向、环向的分布轴向力;
n φa 、n φo ——旋转壳壳板外环、内环处截面上经向的分布轴向力;

一一旋转壳壳板外环、内环边缘处经向轴向力的修正值;
n 1 m 、n 2 m 、v m ——壳板截面上沿x、y、z方向的分布薄膜内力;
R——结构构件的抗力设计值;
S——作用组合的效应设计值;
v n ——壳板截面上的法向分布剪力;
v ct ——双曲扁壳壳板角点处的分布剪力;
v t ——壳板截面上切向的分布剪力;
v φn ——旋转壳壳板垂直于经向的截面上法向的分布剪力;
u、v、w——壳体x、y、z轴方向的位移;
u h m ——旋转壳壳体按薄膜理论计算的水平位移;
τ m ——壳板截面上薄膜剪应力;
Ψ φ m ——旋转壳壳体按薄膜理论计算的经向转角。
2.2.3 几何特征
B——圆柱面壳的宽度,即圆柱面壳直线边梁间的水平距离;
f——壳板的矢高;
f tot ——壳体的矢高;
f a 、f b ——双曲扁壳a边、b边上的矢高;
l——圆柱面壳的跨度,即圆柱面壳横隔的间距;构件长度;
r 1 、r 2 ——旋转壳中曲面上任意点经向、环向的曲率半径;
r a 、r o ——壳板外环、内环边缘处的旋转半径;
r s ——球面壳的曲率半径;等曲率壳的曲率半径;
s 1 ——旋转壳壳体沿经线方向由旋转轴至外环边缘的弧长;
s 2 ——旋转壳壳体沿经线方向由内环边缘至外环边缘的弧长;
s a 、s o ——旋转壳由壳体外环、内环边缘至计算位置的经向弧长;
t——壳板厚度;
φ a 、φ O ——旋转壳外、内环边缘处环向曲率半径方向与旋转轴间的夹角;
κ——等曲率壳的中曲面曲率;
κ 1 、κ 2 ——壳板中曲面两个方向的主曲率;
κ t ——壳板中曲面的扭曲率。
2.2.4 其他
C——壳体的特征长度参数;
C a 、C o ——旋转壳外环、内环边缘处的特征长度参数;
C 1 、C 2 ——双曲扁壳x、y轴方向的特征长度参数;
D——壳板截面的分布刚度;或带肋壳的壳板与肋的总刚度;
E c ——混凝土的弹性模量;
α c ——混凝土的线膨胀系数。
3 基本规定
3.1 结构选型
3 基本规定
3.1 结构选型
3.1.1 薄壳结构的形式应根据建筑设计要求、施工技术条件和经济合理性确定。
条文说明
3.1.1 薄壳结构形式丰富,可满足不同建筑造型或构筑物形式的要求,但施工相对复杂。钢筋混凝土薄壳结构的施工方法可分为现浇整体式和装配整体式,两者施工工艺不同,所需费用也不同。结构选型时应综合考虑各方面因素,择优选用。
3.1.2 底面为圆形的壳体形式可采用球面壳、椭球面壳、旋转抛物面壳和膜型扁壳。
3.1.3 底面为矩形的壳体形式可采用双曲扁壳、圆柱面壳、双曲抛物面扭壳和膜型扁壳。
条文说明
3.1.2、3.1.3 分别给出了覆盖圆形、矩形平面的可选薄壳结构类型。
3.1.4 周边支承的矩形底面双曲扁壳、双曲抛物面扭壳和膜型扁壳,其底面长度与宽度的比值宜小于2。
条文说明
3.1.4 由于双曲扁壳、双曲抛物面扭壳和膜型扁壳属于双向受力结构,当这些薄壳类型采用周边支承并为矩形底面时,底面长度与宽度的比值宜接近1.0。当长、宽之比大于2.0时,上述薄壳类型的受力性能将不再优越,不宜采用。
3.1.5 当壳体上荷载分布变化较大,或圆形底面直径大于10m、矩形底面边长大于8m时,不宜采用膜型扁壳。
条文说明
3.1.5 膜型扁壳要求荷载基本均匀,且跨度不宜过大。
3.2 极限状态设计规定
3.2 极限状态设计规定
3.2.1 薄壳结构构件的承载能力极限状态设计应采用下列设计表达式:
γ 0 S≤R (3.2.1)
式中:γ 0 ——结构重要性系数,应符合现行国家标准《工程结构可靠性设计统一标准》GB 50153等的规定;
S——承载能力极限状态下作用组合的效应设计值,对持久设计状况和短暂设计状况应按作用的基本组合计算,对偶然设计状况应按作用的偶然组合计算,对地震设计状况应按作用的地震组合计算;
R——结构构件的抗力设计值,应按现行国家标准《混凝土结构设计规范》GB 50010的规定计算;在抗震设计时,应除以承载力抗震调整系数γ RE ;对壳板及其边缘构件,γ RE 应取1.0。 ( 自2022年4月1日起废止该条,点击查看:新规 《混凝土结构通用规范》 GB 55008-2021)
条文说明
3.2.1 本条的规定与薄壳结构的安全性直接相关,故列为强制性条文。
本规程依据现行国家标准<<212程结构可靠性设计统一标准》GB 50153的规定,采用以概率理论为基础的极限状态设计法,具体设计计算采用分项系数的表达式进行,包括结构重要性系数、荷载分项系数、材料分项系数(材料性能有时直接以材料强度设计值表达)、构件分项系数等。
国家标准《工程结构可靠性设计统一标准》GB 50153-2008将工程结构的设计状况区分为四种:(1)持久设计状况;(2)短暂设计状况;(3)偶然设计状况;(4)地震设计状况。对四种 设计状况,均应进行承载能力极限状态设计。本规程式(3.2.1)是薄壳结构四种设计状况的承载能力极限状态设计的统一公式。
按照国家标准《工程结构可靠性设计统一标准》GB 50153-2008的规定,当安全等级为一级时,薄壳结构的结构重要性系数γ0不应小于1.1;当安全等级为二级时,γ0不应小于1.0;当安全等级为三级时,γ0不应小于0.9;对偶然设计状况和地震设计状况,γ0不应小于1.0。
式(3.2.1)在不同的作用组合下具体应用时具有下列形式:
对基本组合:
γ0S≤R (1)
对偶然组合:
S≤R (2)
对地震组合:
S≤R/γRE (3)
S和R的计算以及系数的取值应分别符合现行国家标准《工程结构可靠性设计统一标准》GB 50153、《建筑结构荷载规范》GB 50009、《混凝土结构设计规范》GB 50010和《建筑抗震设计规范》GB 50011等的规定。当作用和作用效应可以按线性叠加关系考虑时,可以对作用的效应进行组合;对不适用线性叠加的情况,应对作用进行组合后再计算其效应S。
对地震设计状况,现行国家标准《建筑抗震设计规范》GB 50011将在设防烈度下的抗 震验算(根本上应该是弹塑性变形验算),在形式上转换为众值烈度地震作用下的构件承载能力验算,并通过抗震措施来实现延性和安全性。GB 50011在采用设计习惯的验算表达式时,规定结构构件的抗力设计值R应除以承载力抗震调整系数γRE,γRE一般是不大于1.0的数。对钢筋混凝土薄壳结构,壳板应力一般以受压为主,边缘构件的约束作用对壳板形成整体承载力非常关键,本规程规定对壳板及其边缘构件γRE应取1.0。对其他构件,γRE应按现行国家标准《建筑抗震设计规范》GB 50011的规定取值。
3.2.2 薄壳结构构件的正常使用极限状态设计应根据不同要求按下式进行验算:
S≤C (3.2.2)
式中:S——正常使用极限状态下作用组合的效应设计值;
C——结构构件达到正常使用要求所规定的裂缝宽度、变形等的限值。
条文说明
3.2.2 进行正常使用极限状态设计时,应根据不同的情况采用标准组合、频遇组合或准永久组合。标准组合宜用于不可逆正常使用极限状态;频遇组合宜用于可逆正常使用极限状态;准永久组合宜用于长期效应是决定性因素时的正常使用极限状态。判断可逆与不可逆应同时考虑到所验算的构件和受其影响的周边构件。
3.2.3 薄壳结构的耐久性设计应符合现行国家标准《混凝土结构设计规范》GB 50010的规定。
条文说明
3.2.3 薄壳结构的耐久性设计应包括环境类别和作用等级的确定、材料选用、保护层厚度的确定、维护要求等,应符合现行国家标准《混凝土结构设计规范》GB 50010的规定。
3.2.4 壳板的自重荷载可按壳板的实际总重力折算成平均厚度的重力进行计算。
条文说明
3.2.4 薄壳结构分析时一般采用曲面模型,因此自重可进行相应的折算。
3.2.5 对旋转壳、圆柱面壳和双曲抛物面扭壳,应考虑风荷载对壳板的影响;对扁球壳、双曲扁壳、双曲抛物面扁扭壳和膜型扁壳,可不考虑风荷载对壳板的影响。对各类壳体均应考虑风荷载对边缘构件的影响。
条文说明
3.2.5 钢筋混凝土扁球壳、双曲扁壳、双曲抛物面扁扭壳和膜型扁壳这几种扁壳类型对风荷载的作用不敏感,可不考虑风荷载对壳板的影响;对圆柱面壳、一般旋转壳和一般双曲抛物面扭壳,风荷载的影响不可忽略,应考虑风荷载的影响。对各类壳体的边缘构件,均应考虑风荷载的影响。上一版规程中规定对锯齿形圆柱面壳,只在壳面倾角大于30°的情况下应考虑风荷载的影响,本次修订考虑到圆柱面壳一般矢跨比均较大,风荷载影响有时不容忽视,故规定对于所有圆柱面壳均应考虑风荷载的影响。
3.2.6 壳体表面的风荷载取值应符合现行国家标准《建筑结构荷载规范》GB 50009的规定。单个旋转壳的风荷载体型系数可按表3.2.6的规定采用。对复杂体型的壳体结构,当跨度较大时,应通过风洞试验或专门研究确定风荷载体型系数。

条文说明
3.2.6 基本风压、风压高度变化系数、风致振动效应(风振系数)等应符合现行国家标准《建筑结构荷载规范》GB 50009的规定。
表3.2.6给出了单个旋转壳的风荷载体型系数分布。对于复杂形体壳体结构的风荷载,应按现行国家标准《建筑结构荷载规范》GB 50009的规定通过风洞试验或专门研究确定。
3.2.7 壳体水平投影面上的雪荷载取值应符合现行国家标准《建筑结构荷载规范》GB 50009的规定。壳面积雪分布系数μ r 的取值与壳面类型有关,对旋转壳(包括扁球壳)和圆柱面壳,其值可按表3.2.7的规定采用;对双曲扁壳、双曲抛物面扁扭壳和膜型扁壳,其值可取1.0。

条文说明
3.2.7 表3.2.7给出了单个旋转壳和并排圆柱面壳的积雪分布系数。对于旋转壳,当壳板最大经向角φa≤30°时,雪荷载可按均布考虑;当φa>30°时,除考虑雪荷载均布情况外,还应按本规程第5.3.1条的规定考虑雪荷载的不均匀分布。由于雪可能具有堆和漂移等特殊情况,对复杂的雪荷载情况应进行专门论证。
3.2.8 薄壳结构的抗震验算应符合下列规定:
1 抗震设防烈度低于或等于7度时,对周边支承且跨度不大于24m的薄壳结构可不进行抗震验算,对跨度大于24m的薄壳结构应进行水平抗震验算;
2 抗震设防烈度为8度或9度时,对各种薄壳结构均应进行水平和竖向抗震验算;对跨度不大于24m的薄壳结构进行竖向抗震验算时,其竖向地震作用标准值在8度和9度时可分别取重力荷载代表值的10%和20%、设计基本地震加速度为0.3g时可取重力荷载代表值的15%进行计算;
3 对体型复杂、悬挑较大或跨度大于24m的薄壳结构,宜采用振型分解反应谱法进行抗震计算;对其中特别不规则的薄壳结构应采用时程分析法进行多遇地震下的补充计算,并应符合行国家标准《建筑抗震设计规范》GB 50011的规定。
条文说明
3.2.8 规定了薄壳结构进行水平抗震验算和竖向抗震验算的范围和方法。薄壳结构进行抗震设计时,还应考虑下部结构的影响。
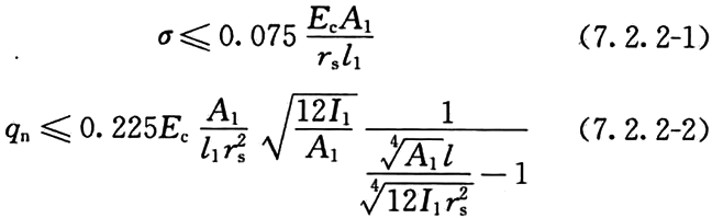
3.2.9 薄壳结构应进行稳定性验算。对于在均布荷载作用下、形状规则的圆形底旋转壳、双曲扁壳、圆柱面壳和双曲抛物面扭壳,其稳定性可分别按本规程的相关规定进行验算。
条文说明
3.2.9 薄壳结构以截面受压为承载的主要特征,当荷载达到临界值时,将发生屈曲。当壳体相对较薄(即壳体厚度与最小曲率半径的比值较小)时,稳定性问题愈发突出。薄壳的稳定性验算是事关结构安全的重要工作,应予以特别重视,故本条规定各种形式的钢筋混凝土薄壳结构均应进行稳定性验算。
增加壳体稳定承载力的可行方法有壳板加肋、减小局部壳板曲率半径、增加壳板厚度等。另外,配置受弯钢筋和采用低徐变的混凝土等措施也对增加壳体稳定承载力有效。
本规程的相关条文对在均布荷载作用下、形状规则的圆形底旋转壳、双曲扁壳、圆柱面 壳和双曲抛物面扭壳,给出了稳定性验算的经验公式,可在设计时采用。
对形状复杂或荷载作用不均匀的薄壳结构,本规程给出的稳定性验算公式不一定适用,其稳定性应进行专门的分析论证。对特别重要的薄壳结构,为避免由于局部或整体失稳引起丧失承载力的后果,也应进行专门的稳定性分析论证。
钢筋混凝土薄壳结构的稳定性可采用有限元分析方法或模型试验方法等进行研究。薄壳结构的稳定性分析是非常复杂的问题,它涉及壳体形式、支承条件、结构的后屈曲性态、大变形理论、初始缺陷影响、混凝土徐变和收缩、钢筋布置方式和配筋率、混凝土开裂、材料非线性性质等许多问题,尤其是混凝土的徐变对壳体稳定性的影响很大。
在钢筋混凝土薄壳稳定性的验算方法上,国际壳体和空间结构协会(IASS)和美国混凝土协会(ACI)等组织针对不同的壳体类型分别提出了半经验的方法,见“Recommendations for Reinforced Concrete Shells and Folded Plates,International Association for Shell and Spatial Structures,Madrid,1979”、“Concrete Shell Buckling,ACI Publication SP-67,Detroit,1981”等文献,可供参考。
在有条件时,提倡对钢筋混凝土薄壳结构的设计进行专门的考虑初始缺陷、大变形、混凝土开裂、徐变和收缩、材料非线性等的稳定性分析论证。
3.2.10 壳体的受力裂缝控制等级要求和裂缝控制验算应符合现行国家标准《混凝土结构设计规范》GB 50010的规定。当壳板截面承受拉力时,最大主拉应力标准值不宜大于3倍混凝土抗拉强度标准值。
条文说明
3.2.10 按荷载标准组合的效应计算时,对一级裂缝控制等级(严格要求不出现受力裂缝),构件受拉边缘混凝土不应产生拉应力;对二级裂缝控制等级(一般要求不出现受力裂缝),构件受拉边缘混凝土拉应力不应大于抗拉强度标准值。
为避免壳板产生过大的变形和裂缝(对允许产生裂缝的情形),应对壳板最大主拉应力进行限制。设计时要求钢筋应能承受全部的截面拉力,不计入混凝土的抗拉作用,本条规定壳板计算所得的最大主拉应力标准值不宜大于3倍混凝土抗拉强度标准值,当不满足时宜加大混凝土截面或施加预应力。
3.2.11 在正常使用极限状态下应验算边缘构件的变形,除有特殊要求者外,对荷载标准组合或准永久组合并考虑荷载长期作用影响下的挠度值,在跨度大于7m时不宜大于跨度的1/400,在跨度不大于7m时不宜大于跨度的1/250。
条文说明
3.2.11 本条给出了壳体边缘构件的变形控制要求。
3.2.12 边缘构件自身平面内的刚度应满足对壳板的约束要求。
条文说明
3.2.12 边缘构件在其自身平面内应具有足够的刚度,以使壳板变形不至于过大,保证空间结构可靠地工作。当边缘构件为钢筋混凝土桁架时,可按荷载集中在上弦杆节点进行内力分析,但对上弦杆尚应考虑节间荷载与剪力的偏心作用所引起的力矩。
3.2.13 对装配整体式薄壳结构的预制构件,应进行装配过程中的承载力、稳定性、裂缝控制验算。验算荷载应包括自重、施工荷载和吊装动力荷载等。对大型构件,在运输和安装时应设置临时支撑。
条文说明
3.2.13 薄壳结构的施工阶段验算非常重要,事故往往发生在壳体结构尚未形成的施工阶段。
3.3 壳体的构造和配筋
3.3 壳体的构造和配筋
3.3.1 壳体的混凝土强度等级不应低于C25。预应力混凝土壳体的混凝土强度等级不应低于C40。
条文说明
3.3.1 本条规定了钢筋混凝土和预应力混凝土壳体应采用的混凝土强度等级下限。对尺寸较小的薄壳结构,可以以C25作为最低要求;对尺寸较大的薄壳结构,混凝土强度等级一般不宜小于C30。
3.3.2 壳板的厚度不应小于50mm。壳板的厚度除应符合承载力要求外,还应根据壳板的钢筋布置、保护层厚度、施工质量、结构稳定性、壳板和辅助构件的变形控制等因素确定,同时应符合结构的防火要求。在壳板接近边缘和支承构件的部位,宜增厚至中部厚度的2~3倍,并应配置抗弯钢筋。壳板增厚区应平滑过渡,过渡区的长度不应小于厚度增加值的5倍。
条文说明
3.3.2 本条规定了壳板厚度的下限和确定壳板厚度应考虑的原则。壳板厚度的确定除了应考虑承载力外,还应考虑变形控制、钢筋布置、保护层厚度、施工质量保证、防火要求等多种影响因素。
在壳板与边缘构件和支承构件的连接部位,因存在边缘扰力产生的弯矩,应增加厚度,并配置抗弯钢筋。壳板厚度应逐渐平缓增加,以避免应力集中,过渡区的长度不应小于厚度增加值的5倍,一般可取厚度增加值的5倍~10倍。
3.3.3 壳体钢筋的混凝土保护层厚度应符合下列规定:
1 壳板的混凝土保护层厚度应符合现行国家标准《混凝土结构设计规范》GB 50010的规定;
2 壳板加劲肋的混凝土保护层厚度可与壳板相同;
3 对壳板表面较陡、需用双面模板施工的区域,宜增加混凝土保护层厚度;
4 受力钢筋的混凝土保护层厚度不应小于钢筋的公称直径;
5 当混凝土保护层厚度不满足防火要求时,应在主应力配筋及受弯配筋处增加保护层厚度。
条文说明
3.3.3 本条给出了确定壳体钢筋的混凝土保护层厚度应满足的要求,混凝土保护层厚度指钢筋外边缘至混凝土表面的距离。规定壳体钢筋的混凝土保护层厚度主要是出于对混凝土薄壳结构耐久性的考虑。
1 壳板钢筋的混凝土保护层最小厚度应符合现行国家标准《混凝土结构设计规范》GB 50010的规定,其中对壳板最外层钢筋的保护层最小厚度在不同的环境类别和耐久性作用等级、不同设计使用年限情况下的取值作了规定。规范还规定了可适当减小保护层厚度的条件。
2 本条规定壳板加劲肋的混凝土保护层厚度可采用与壳板保护层厚度相同的值。
3 对壳板表面较陡、需用双面模板施工的区域,考虑到施工偏差因素,宜适当增加混凝土保护层的厚度。
4 混凝土保护层最小厚度不应小于钢筋的公称直径是出于保证握裹层混凝土对受力钢筋的锚固作用。
5 当混凝土保护层最小厚度不能满足防火要求时,应增加保护层厚度,使其符合现行国家标准《建筑设计防火规范》GB 50016等的规定。
3.3.4 壳体的配筋应符合下列规定:
1 壳体中应配置薄膜内力配筋、弯矩配筋、壳板边缘和孔洞附近的附加构造配筋。薄膜内力配筋可设置在壳板中面,弯矩配筋宜设置在靠近壳板表面处。
2 壳板配筋宜采用较小直径的钢筋。除焊接钢筋网外,应全部采用带肋钢筋并合理确定钢筋间距。采用焊接钢筋网配筋时,尚应符合现行行业标准《钢筋焊接网混凝土结构技术规程》JGJ 114的规定。
3 薄膜内力配筋应至少由单层相互正交钢筋组成。
4 薄膜内力配筋的钢筋直径,当采用带肋钢筋时不应小于6mm,当采用焊接钢筋网时不应小于5mm。钢筋的间距当采用带肋钢筋时不宜大于5倍壳板厚度,且不宜大于300mm;当采用焊接钢筋网时不宜大于4倍壳板厚度,且不宜大于200mm。
5 薄膜内力配筋的最小配筋率在一个方向上不应小于0.25%。壳板其他配筋的最小配筋率应符合现行国家标准《混凝土结构设计规范》GB 50010对板类构件的规定。
6 薄膜内力配筋的方向与壳体的主应力方向一致时,受拉钢筋的最大配筋率可按下式计算:

式中:ρ max ——薄膜内力配筋的最大配筋率;
f c ——混凝土轴心抗压强度设计值,当混凝土强度等级大于C40时,应按C40等级的混凝土取值;
f y ——钢筋抗拉强度设计值。
7 钢筋的连接和锚固应符合现行国家标准《混凝土结构设计规范》GB 50010的规定。
条文说明
3.3.4 本条对壳体配筋的构造要求进行了规定。
1 按照薄壳结构的特点,壳板中央大部分区域主要承受中曲面内的薄膜内力,壳板与边缘构件连接处及其附近存在弯矩,孔洞周围有应力集中,因此,这些部位的钢筋应按受力特点来配置。由于壳板混凝土收缩和温度应力的影响,即使不是出于承载力计算的需要,壳板的任何部位也应配置抵抗收缩和温度应力的双向或多向钢筋。
2 为了控制壳体拉应变和裂缝开展,宜优先采用较小直径的钢筋。焊接钢筋网一般用在壳体曲面可展(如圆柱面壳)或预制情况。壳板非预应力受力钢筋不宜采用强度过高的钢筋,钢 筋的屈服强度标准值一般不宜大于400MPa,否则应对钢筋的强度设计值进行限制。
3 薄膜内力配筋至少应在两个近似垂直的方向设置,且宜按主应力方向设置,当局部不能按主应力方向设置且主拉应力较大时,可在该区主拉应力方向上增设一层薄膜内力配筋。当薄膜内力配筋的方向与壳体主应力线的偏差显著时(偏斜角φ大于10°),钢筋的承载力不能充分发挥,这时应采用比按主应力方向配筋更大的配筋量。
4 对薄膜内力配筋的最小钢筋直径和钢筋间距进行规定。
5 对薄膜内力配筋和壳板其他配筋的最小配筋率进行规定。这里规定不论受拉、受压,薄膜内力配筋的最小配筋率在两个方向均分别不应小于0.25%。薄膜内力配筋可兼作抵抗收缩和温度应力的配筋。
6 对壳体受拉钢筋的面积上限进行限制,是为了使钢筋屈服发生在混凝土受压破坏之前,避免出现脆性破坏。对在两个主薄膜内力近似相等而符号相反的壳板某些部位,为了避免在钢筋屈服之前发生混凝土受压破坏,也应对受拉钢筋的最大配筋率进行限制。
3.3.5 除膜型壳外,现浇壳体在壳板和边缘构件连接处的增厚区域内,应至少配置直径为5mm~10mm、间距不大于200mm的双层钢筋,且上下两层钢筋均应按锚固长度的要求锚入边缘构件内。
条文说明
3.3.5 本条规定了壳板与边缘构件连接处的厚度过渡区最小配筋要求。
3.4 装配整体式壳体
3.4 装配整体式壳体
3.4.1 当抗震设防烈度为8度或8度以上时,不宜采用装配整体式薄壳结构,宜采用现浇结构。在地震区采用装配整体式薄壳结构时,应采取措施保证结构的整体性、连接和支撑的可靠性。
条文说明
3.4.1 在地震区应谨慎使用装配整体式薄壳结构。如要采用,应采取措施保证结构的整体性、连接和支撑的可靠性。
3.4.2 装配整体式壳体的预制构件划分应符合下列规定:
1 应减少拼缝和预制构件类型;
2 应便于预制构件的制作、堆放、运输和安装;
3 应将拼缝设置于受压区或剪力与拉力较小的区域。
条文说明
3.4.2 装配整体式壳体可全部采用预制构件,也可部分采用预制、部分现浇。采用的方案应结合工程施工现场情况、施工方案、运输条件和综合经济成本等因素决定。预制构件的划分,应尽量减少拼缝和构件类型,并简化接头处理,应便于堆放、运输、安装和施工,安装后的壳体应符合整体空间受力特性。
3.4.3 预制壳板宜采用曲板。圆柱面壳及曲率不大的扁壳可采用平板,此时壳板沿曲线边的边长不得大于3m。
条文说明
3.4.3 装配整体式壳体的预制壳板宜尽量接近壳面形状,当曲率不大时可采用平板代替曲板,但平板的边长应加以限制,避免与曲面差别过大,边长不得大于3m。
3.4.4 预制壳板分块数目应符合下列规定:
1 扁球壳沿环向分块不应少于8块,沿经向分块不应少于4块;
2 双曲扁壳及双曲抛物面扭壳沿海边分块均不应少于9块;
3 圆柱面壳沿圆弧向分块不应少于7块。
条文说明
3.4.4 根据经验,给出了几类壳板分块的最小数目。
3.4.5 预制壳板的周边应设置加劲肋,肋高宜为预制壳板边长的1/20~1/15,且应满足壳体稳定性要求及预制构件在运输、安装过程中的刚度要求。
条文说明
3.4.5 为了保证预制壳板的稳定及预制构件在运输、安装过程中的刚度要求,预制壳板周边应设置加劲肋,本条给出了肋高的范围。大型构件在运输和安装时的临时支撑应根据具体情况设置,以保证构件和结构的安全。
3.4.6 当预制壳板具有与边缘构件正交的加劲肋且截面满足承载力要求时,壳板边缘可不加厚;当无加劲肋时,壳板边缘应按本规程第3.3.2条的规定加厚。
条文说明
3.4.6 本条给出了预制壳板加厚或不加厚的条件和要求。
3.4.7 在预制构件的连接边可设置齿形槽口,槽口的长度不宜大于1.2m。当预制壳板上具有与边缘构件正交且间距不大于3m的加劲肋时,壳体应符合下列构造要求:
1 壳板中可配置直径不小于6mm的单层正交钢筋。在肋的上部与下部应配置直径不小于10mm的钢筋,同时应将肋的上层钢筋及壳板钢筋伸出,并与边缘构件中伸出的钢筋焊接,焊接长度在单面焊时不应小于10倍钢筋直径,在双面焊时不应小于5倍钢筋直径。
2 壳板、肋和边缘构件的钢筋也可采用预埋件连接。当预制壳板的加劲肋及预埋件的间距均不大于1.5m时,可将肋中钢筋焊接在肋端的预埋件上,再用钢板将其与边缘构件的预埋件焊接。焊接连接的承载力不应小于肋中钢筋的承载力。当壳体跨度不小于24m时,肋的预埋件应设置在上表面;当壳体跨度小于24m时,肋的预埋件可设置在下表面。
条文说明
3.4.7 本条给出了预制壳板和边缘构件连接过渡的构造要求。
3.4.8 预制壳板的接缝,可根据接缝处的受力情况采用混凝土接缝、钢筋混凝土接缝和预应力混凝土接缝。在接缝中应浇筑细石混凝土,其强度等级不应低于预制构件的混凝土强度等级。
3.4.9 混凝土接缝应符合下列规定:
1 当预制壳板加劲肋的高度不大于100mm时,接缝上口宽度不应小于30mm 当肋高大于100mm时,接缝上口宽度不应小于50mm;
2 当接缝处剪应力值大于压应力的30%、且大于混凝土抗拉强度设计值的25%时,预制构件的侧边加劲肋应设置齿形槽口,齿形槽口处的壳板内钢筋应伸出,并应和相邻壳板的伸出钢筋连接,且在伸出钢筋的垂直方向应另设两根附加分布钢筋。
3.4.10 钢筋混凝土接缝应符合下列规定(图3.4.10):
1 预制构件的壳板内钢筋应伸出,并在接缝中与相邻壳板的伸出钢筋连接;
2 肋内钢筋可不伸出,但应在接缝内设置一个双层的十字形钢筋骨架,其钢筋直径应与预制构件肋内钢筋的直径相同,十字形钢筋骨架应与预制构件壳板内伸出钢筋绑扎或焊接;
3 当剪应力与拉应力的矢量和大于混凝土抗拉强度设计值时,侧边加劲肋上应设置齿形槽口;
4 不采用钢筋绑扎或焊接连接时,可在预制构件的壳板上设置间距不大于1.5m的预埋件,其内表面应与加劲肋中的主钢筋焊接;在各预制构件安装就位后,应采用连接板将预埋件焊接连接。

3.4.11 预应力混凝土接缝处的预应力筋可穿入预留孔或槽内,预应力孔道应灌浆填充。
条文说明
3.4.8~3.4.11 预制壳板接缝的类型可根据实际受力情况采用混凝土接缝、钢筋混凝土接缝和预应力混凝土接缝等,本规程给出了三种接缝的构造要求。混凝土接缝适用于受压、受压又受剪的接缝;钢筋混凝土接缝适用于受压、受拉、受压又受剪、受拉又受剪的接缝;预应力混凝土接缝适用于在正常使用情况下不宜出现裂缝的壳体,或接缝中主拉应力较大(大于混凝土抗拉强度设计值)的情况。
3.4.12 预制构件与现浇部分的连接,可采用从预制构件内伸出钢筋,与现浇部分的钢筋绑扎或焊接,然后浇筑混凝土的方法。
条文说明
3.4.12 本条给出了薄壳结构的预制部分和现浇部分的连接的方法。
3.5 预应力壳体
3.5 预应力壳体
3.5.1 在边拱拉杆、横隔、旋转壳的支座环、圆柱面壳的边梁、壳板的受拉区和剪力较大区域均可采用预应力配筋(图3.5.1);在受压区域也可采用预应力配筋以连接预制构件;边缘构件当支承点间的距离不小于24m时,宜采用预应力配筋。

条文说明
3.5.1 本条给出了薄壳结构中预应力的适用范围。采用预应力可提高薄壳结构的刚度和抗裂度,显著改善壳体的受力性能,降低壳体内钢筋的锈蚀程度,充分发挥混凝土的抗压能力,是一种值得提倡的技术。当边缘构件支承点间的距离不小于24m时,即跨度较大时,边缘构件宜配置预应力筋。
3.5.2 薄壳结构的预应力筋应采用直线形或曲率不大的曲线形配筋。在未经特殊处理时,应避免把预应力筋布置在壳体结构的弯折处。
条文说明
3.5.2 预应力筋应采用直线型或曲率不大的曲线型布置,不得出现突然弯折。
预应力筋对结构受力的影响是多方面的,直线型配筋的预应力可简单作为作用在锚固处的外力,它由混凝土的反力来平衡。曲线型配筋的预应力除了作为作用在锚固处的外力外,还产生沿曲线法向的作用,此作用也应同时考虑。
3.5.3 预应力薄壳结构应进行下列验算:
1 施加预应力过程中结构的变形、承载力和稳定性验算;
2 荷载基本组合下结构的承载力和稳定性验算;
3 荷载标准组合下结构的变形和裂缝控制验算。
条文说明
3.5.3 预应力薄壳结构在施加预应力和施工过程中的受力特点与正常使用阶段不同,因此应进行施工过程中的验算。预应力薄壳的裂缝控制一般较普通结构严格,也应进行验算。
计算预应力薄壳结构时,应考虑预应力损失的影响。
3.5.4 当预应力能满足构件裂缝控制验算要求时,承载力计算所需的其余受拉钢筋可采用非预应力筋。
3.5.5 后张预应力混凝土薄壳结构的局部受压承载力验算及端部锚固区的构造应符合现行国家标准《混凝土结构设计规范》GB 50010的规定。
条文说明
3.5.5 端部锚固区应进行局部受压承载力验算。端部锚固区一般应配间接钢筋。
3.5.6 在地震区采用预应力时,对薄壳结构的关键构件和重要部位应采用有粘结预应力筋。
3.6 孔洞
3.6 孔洞
3.6.1 当薄壳结构圆形孔洞直径或矩形孔洞的长边长度不大于壳体短边长度或直径的1/10,且在孔洞附近符合本规程第3.6.2条~第3.6.7条的要求时,可不对开洞影响进行计算。对其他情况下的壳板开洞,应对开洞影响进行计算并应专门设计。
3.6.2 当孔洞位于受压区,且孔洞直径或边长不大于2.0m时,应在孔洞周边设置加劲肋,且在任意法向剖面上其混凝土与钢筋的截面面积均不得少于被割去壳板混凝土与钢筋的截面面积,同时,孔洞附近的壳板应设置双层钢筋网(图3.6.2),上层钢筋网的钢筋直径不应小于6mm、间距不应大于150mm,从肋边缘伸出的长度L 1 应符合下列规定:
L 1 ≥2√rt,且L 1 ≥1.0m (3.6.2)
式中:L 1 --钢筋从肋边缘伸出的长度(m);
r——壳板中曲面曲率半径(m);
t——壳板厚度(m)。

3.6.3 当孔洞位于受压区,且孔洞直径或边长为2.0m~3.0m时,除应在孔洞周边设置加劲肋外,尚应在孔洞中加设十字形梁或井字形梁,在任意法向剖面上加劲肋、十字形或井字形梁的混凝土与钢筋的截面面积均不得少于被割去壳板混凝土与钢筋的截面面积;同时,孔洞附近的壳板应按本规程第3.6.2条的要求设置双层钢筋网。
3.6.4 当孔洞位于受拉区,且孔洞直径或边长不大于1.0m时,可按本规程第3.6.3条规定的构造要求设计。
3.6.5 孔洞与边缘构件间的净距不应小于该孔洞直径或矩形孔洞较大边长的2倍。相邻孔洞之间的净距不应小于较大孔洞直径或矩形孔洞较大边长的3倍。当采用矩形孔时,其长边与短边长度之比不宜大于2。
3.6.6 当孔洞周边作用有线荷载p L 时,其值不宜大于被割去壳板上均布荷载在孔洞周边上的折算线荷载,均布荷载的折算线荷载可按下列公式计算:
对圆形孔:

对矩形孔:

式中:p L * ——均布荷载在孔洞周边上的折算线荷载(kN/m);
q——壳板中曲面上的均布荷载(kN/m 2 );
r 0 ——圆孔半径(m);
a 0 、b 0 ——矩形孔的边长(m)。
3.6.7 当孔洞周边作用的线荷载p L 大于被割去壳板上均布荷载在孔洞周边上折算线荷载的1.5倍时,在孔洞周边设置的加劲肋内应配置直径不小于10mm、数量不少于4根的主钢筋及直径不小于6mm、间距不大于200mm的封闭箍筋。
条文说明
3.6.1~3.6.7 当薄壳结构孔洞尺寸不大时,对于荷载较均匀的情况,一般可不对开洞削弱影响进行计算,但应在孔洞周围采取构造措施局部加强。本节规定了不需要进行削弱影响计算的孔洞尺寸、根据受力特点确定的构造措施要求。对其他情况的孔洞,应进行专门设计,包括考虑开洞的计算分析和在边缘的构造加强。
3.7 温度影响
3.7 温度影响
3.7.1 薄壳结构的伸缩缝应符合下列规定:
1 壳体结构在伸缩缝处可采用双边缘构件和双柱;伸缩缝的宽度应根据温度变形计算确定,且不应小于50mm;
2 对锯齿形薄壳结构,在锯齿方向伸缩缝的间距不应大于5倍~6倍该方向的跨度;
3 在地震区,伸缩缝宽度尚应符合防震缝要求。
条文说明
3.7.1 薄壳结构伸缩缝的间距应符合现行国家标准《混凝土结构设计规范》GB 50010的规定,当其中没有数值可直接采用时,应按该规范规定的原则并参考对其他形式的要求设计。
伸缩缝兼作防震缝时,其宽度尚应符合防震缝的要求。
3.7.2 考虑温度变化对除膜型壳外的壳体的影响时,温度计算应 符合下列规定:
1 壳板中曲面温度变化T 1 可按下式计算:

式中:T s ——结构最高平均温度(℃);
T w ——结构最低平均温度(℃)。
2 壳体内、外表面温度差T 2 可按下式计算:

式中:T e ——壳板外表面的计算温度(℃);
T i ——壳板内表面及带肋壳中肋的计算温度(℃)。
T e 、T i 值应根据当地气候条件和壳体保温情况由热工计算确定。
条文说明
3.7.2 本条给出壳板中曲面温度变化和壳体内、外表面温度差的计算方法。施工阶段的温度应力对壳体受力也有影响,必要时也应计算。
3.7.3 当内、外表面温度差T 2 在整个壳板上的分布为常数或接近常数时,整个壳板可只考虑由其产生的弯矩,并可按下式计算:

式中:m——壳板截面上的线分布弯矩;
α c ——混凝土的线膨胀系数;
D——壳板截面的分布刚度,对带肋壳应采用壳板与肋的总刚度;
t——壳板厚度。
条文说明
3.7.3 本条给出当内、外表面温度差在整个壳体上的分布为常数或接近常数时,由其产生的弯矩的计算方法。
3.7.4 当中曲面的温度变化T 1 在整个壳板上的分布为常数或接近常数时,壳板内产生的三种主要温度应力的计算应符合下列规定(图3.7.4):
1 对圆柱面壳、旋转壳、双曲扁壳,应按壳体特征长度参数划分内力影响区,其中壳体特征长度参数的计算应符合下列规定:
1)对无肋圆柱面壳,特征长度参数C应按下式计算:

对带肋圆柱面壳,特征长度参数C应按下式计算:

式中:C——壳体的特征长度参数;
r s ——壳板的曲率半径;
t φD ——带肋圆柱面壳在圆弧方向按截面刚度折算的厚度;
t xA ——带肋圆柱面壳在直线方向按截面面积折算的厚度。
2)对无肋旋转壳,外环边缘处的特征长度参数C应按本规程第5.1.1条的规定计算;对带肋旋转壳,特征长度参数C应按本规程第5.4.2条的规定计算。
3)对无肋双曲扁壳,沿x、y轴方向的特征长度参数C 1 、C 2 应按本规程第6.2.3条的规定计算;对带肋双曲扁壳,C 1 、C 2 应按本规程第6.5.1条的规定计算。
2 平行于边缘构件方向的轴力的计算应符合下列规定:
1)轴力峰值可按下式计算:

式中:c t ——按边缘构件支承情况确定的系数,可按本规程第3.7.5条的规定计算;
E c ——混凝土弹性模量;
t——壳板厚度;对带肋壳,应采用按截面面积折算的厚度。
2)平行于边梁方向的轴力分布,对圆柱面壳应按正弦分布采用;对扭壳应按半波余弦分布采用;对旋转壳和双曲扁壳,在图3.7.4所示影响区内可按常数采用。
3 垂直于边缘构件方向的弯矩的计算应符合下列规定:
1)当壳板边界为简支时,分布弯矩峰值可按下式计算:

式中:t——壳板厚度;对带肋壳,应采用按截面刚度或惯性矩折算的厚度。
2)当壳板边界转角为零时,分布弯矩峰值可按下式计算:

3)对圆柱面壳和扭壳,弯矩可忽略不计;对旋转壳和双曲扁壳,弯矩在图3.7.4所示影响区内可按常数采用。

4 对矩形底面的简支边壳体,壳板与边缘构件交接处剪力的计算应符合下列规定:
1)剪力峰值可按下式计算:

2)双曲扁壳壳板与边缘构件交接处的剪力可按常数采用;圆柱面壳壳板与边梁交接处及扭壳壳板与边缘构件交接处,剪应力应按余弦分布按下式计算:

3)当T 1 为正值时,温度产生的剪力符号应与外荷载产生的剪力符号相同。
条文说明
3.7.4 温度变化对壳体应力的影响主要包括:壳板内外表面温度差引起的壳板弯矩;壳板中曲面温度变化引起的平行于边缘构件方向的轴力、垂直于边缘构件方向的弯矩、壳板与边缘构件交接处的剪力等。
本条给出了当温度变化分布为常数或接近常数时,计算壳体温度应力的公式。在计算季节温差影响时,可考虑混凝土徐变、开裂对减小温度应力的有利影响。
3.7.5 系数c t 的取值应符合下列规定:
1 当边缘构件支承在柱高与柱截面高度之比不小于10的柔性柱上,或其支点可自由滑动时,系数c t 应取为零。
2 当边缘构件支承在柱上,且其支点不能自由滑动时,系数c t 的计算应符合下列规定:
1)对矩形底面的壳体,可按下式计算:

式中:l——边缘构件的长度;
A——边缘构件的平均截面面积,如为桁架,则为其上下弦的总截面面积;
I——柱子的截面惯性矩,当每边的边缘构件均支承在多根柱上时,为多根柱截面惯性矩总和的25%;
H——柱高。
2)对圆形底面的壳体,可按下式计算:

式中:r r ——支座环的半径;
A r ——支座环的截面面积;
n——支承柱的数量。
3)当边缘构件底边完全支承在砖墙上时,系数c t 应取0.35;
4)当边缘构件支承在地下基础上时,系数c t 应取0.7。
3.7.6 对受有特殊温度场作用的壳体应进行专门分析。
条文说明
3.7.6 壳体受到的温度场作用可能比较复杂,此时应进行专门的温度应力分析。薄壳结构温度应力的计算应考虑下部结构的影响。
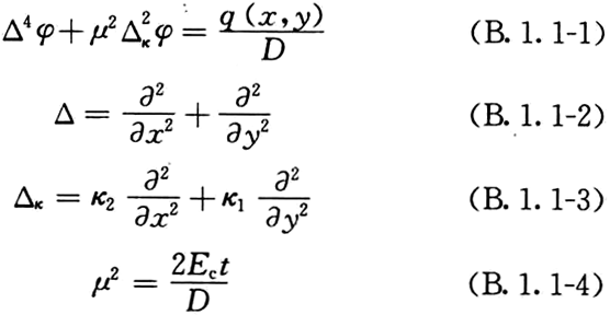
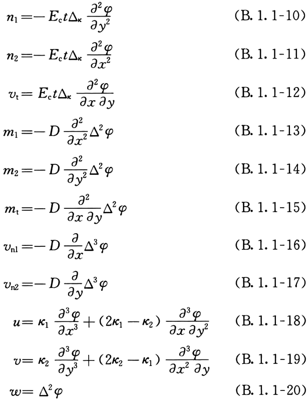
4 结构分析
4.1 基本原则
4 结构分析
4.1 基本原则
4.1.1 薄壳结构的内力与变形分析可采用解析法、半解析法和数值分析法。对计算结果应进行分析和评估,在确认其合理、有效后方可采用。
条文说明
4.1.1 本条给出了薄壳结构的内力与变形分析可采用的三类主要方法,即解析法、半解析法和数值分析法。
本条强调了应对计算结果(包括解析法、半解析法和数值分析法的结果)进行判断,判断可基于力学概念、工程经验、简化计算、类似结构的分析结果对比、不同计算软件的结果对比分析等,避免采用未经验证租评估的结果。对重要或复杂的薄壳结构工程,当采用计算机软件进行结构计算时,一般可采用两套计算模型符合工程实际的软件,对计算结果进行分析对比。
4.1.2 对壳板及其边缘构件,可按线弹性理论分析其内力与位移。采用解析法、半解析法时,可不考虑混凝土泊松比的影响。对特别重要或受力情况特殊的薄壳结构,必要时尚应对结构整体或其部分进行弹塑性分析。
条文说明
4.1.2 现行国家标准《混凝土结构设计规范》GB 50010采用弹性方法计算作用效应,在截面设计时考虑材料的弹塑性性质,本规程结构分析也采用弹性方法。
薄壳结构一般按照弹性理论分析壳板及边缘构件的内力和位移。本规程针对圆形底旋转壳、双曲扁壳、圆柱面壳、双曲抛物面扭壳和膜型扁壳这几种薄壳形式,给出了在一定情况下的计算公式和相应的计算系数,根据薄膜理论计算壳板中央部分的薄膜内力与位移,然后在壳板与边缘构件连接的局部区域考虑边缘扰力效应,将二者叠加得到最终结果。
国家标准《混凝土结构设计规范》GB 50010-2010规定混凝土的泊松比νc为0.2。在薄壳结构内力与位移分析时,常用到1-νc2项,忽略νc不会引起大的误差,因此在采用解析法、半解析法分析时混凝土的泊松比可取为零,以简化计算。
4.1.3 当薄壳结构的形体比较规则且受均布荷载或规则分布荷载作用时,其内力与位移的计算可按照本规程相关章节的规定进行。当薄壳结构形体复杂或荷载作用不规则时,应采用有限单元法进行整体分析。
条文说明
4.1.3 本规程第5~9章分别对形体比较规则的圆形底旋转壳、双曲扁壳、圆柱面壳、双曲抛物面扭壳和膜型扁壳在对称、均布荷载作用下的内力与位移计算作了规定。这些计算公式大部分是基于壳体控制方程的简化公式,有较好的精度,便于实际应用,还可作为半解析法和数值分析法计算结果的参照,采用时应注意其适用范围和应用条件。
当薄壳结构形体复杂或荷载作用不规则时,本规程给出的计算公式不再适用,此时应采用有限单元法建立计算模型、进行整体分析。
4.1.4 薄壳结构分析时,应考虑下部支承结构的影响,必要时应进行薄壳与下部结构的共同作用分析。
4.1.5 壳体的计算曲率应采用中曲面的曲率。当壳板的矢高与最小跨度之比不大于1/5时,可采用扁壳理论进行计算。
条文说明
4.1.5 壳板分析是针对中曲面的,计算曲率应采用中曲面的曲率。
对于扁壳,可以假定采用底平面投影的度量来近似中曲面的度量,例如中曲面的线性微元ds2可以用其在底平面的投影近似,即ds2≈dx2+dy2,中曲面在坐标轴方向的初始曲率和扭曲率也可近似为
、
、
,这是扁壳理论应用的基础。一般来说,当壳板矢高与最小跨度之比不大于1/5时,采用扁壳理论计算不至于产生工程上不容许的误差。
4.2 解析法和半解析法
4.2 解析法和半解析法
4.2.1 对形体比较规则且边界约束情况比较简单的薄壳结构,当采用解析法能求得其控制偏微分方程的解答时,可采用解析法求解。
条文说明
4.2.1 解析法是指对薄壳结构控制偏微分方程直接推导得到解答的解析表达式的方法,一般用于形体比较规则且边界约束情况比较简单的薄壳结构。
4.2.2 当薄壳结构某个方向的位移和内力变化已知或可展开为一组已知函数时,可将位移和内力沿该方向展开为该组函数与另一方向一元函数的乘积和,将原偏微分方程简化为常微分方程组,用解析法或数值法求解。
条文说明
4.2.2 对于简化后的常微分方程边值问题,可用解析法或常微分方程求解器法求解。
常微分方程求解器法是一种直接调用常微分方程求解器求解常微分方程的方法。常微分方程求解器可采用程序COLSYS。该求解器对线性和非线性、单一的和联立的常微分方程边值问题均适用。将方程及边界条件输入求解器,并根据需要为解答设置一个误差限,即可求解。对于非线性问题,还需为求解器提供一个初始解供迭代使用。
4.2.3 当薄壳结构形体复杂时,可用半解析法对其内力和位移作半离散,将原偏微分方程近似为常微分方程组,用解析法或数值法求解。
条文说明
4.2.3 对薄壳结构的半解析法摘要分述如下。
1 差分线法
该法用一组平行的直线对求解区域进行划分,将解答离散为结线上的一元函数。在偏微分控制方程中保留结线方向的导数,而离散方向的导数则用几个相邻的结线函数的差分近似,由此可得到一组常微分方程,然后用常微分方程求解器求解。该法主要用于求解规则区域上的问题,实施也较简单。该法的离散误差限于单方向,解答精度比全离散的差分法要高。为了提高解答精度,可加密结线网格,或采用高精度的差分公式。另外,将结线放在真解变化复杂的方向,可使该法的优势得到更好的发挥。
2 有限元线法
该法首先用一组结线对任意的求解区域进行划分,可得到若干个单元。根据需要,结线可为直线或曲线,单元一般为曲边四边形。单元可在公共结线处并排连接,也可在端边处对头搭接。然后,取结线位移为基本未知量,单元内部位移可由结线位移插值得到。再利用能量变分原理,可以导出一组定义在结线上的常微分方程组,用常微分方程求解器求出结线位移,作为原问题的近似解。
用该法构造的壳体单元主要基于下列三种理论:薄壳弯曲理论、考虑剪切变形的中厚壳 理论、由三维弹性理论退化而得的退化壳理论。该法的离散误差主要来自单元上结线位移间的插值,与真解沿结线方向的变化无关。因此,将结线沿真解变化剧烈的方向布置,可使本法的求解效力得到充分发挥。有两种途径可用来提高解答的精度:h型方法和p型方法。h型方法是通过对网格的细分加密(缩小单元尺寸h)而使解答收敛,而p型方法是固定单元网格不变,通过提高各单元的阶数(即提高插值形函数的次数p)来获得解答的收敛。p型方法网格简单,收敛速度一般比h型方法快,高次单元又可有效地克服各种闭锁现象,是较为实用的方法。
有限元线法可广泛应用于壳体的静力、稳定和振动分析,对局部荷载、边界效应、应力集中和孔洞等较难的问题求解效果相对更佳。
4.3 数值分析法
4.3 数值分析法
4.3.1 数值分析法可采用有限单元法等方法。
条文说明
4.3.1 本规程推荐采用的数值分析法为有限单元法。薄壳结构的数值分析法主要包括能量差分法和有限单元法,分述如下。
1 能量差分法
能量差分法是基于普通或广义变分原理的数值方法。该法直接从有关的变分原理推导出代数方程组来求解,即在泛函式中,导数用差分来近似,积分用有限和来代替,从而可将求泛函驻值的问题转化为求多元函数驻值的问题。能量差分法实质上就是一种简单的有限单元法。
2 有限单元法
有限单元法将连续的求解域离散为有限个单元的组合体,在单元内假设待求解未知量的近似函数,该近似函数通常由单元节点处的数值以及插值函数表达。通过求解以节点值为未知量的联立方程组,得到节点处的解,再利用插值函数确定单元内部的解。有限单元法可广泛适用于各种壳体形式、各种荷载和边界条件。
4.3.2 数值分析法所选用的计算机程序应经过验证,其技术条件应符合本规程和国家现行有关标准的规定。
条文说明
4.3.2 本条规定了数值分析所选用的计算机程序应达到的要求。
4.3.3 薄壳结构的分析模型应符合结构布置、边界条件和荷载作用等实际情况。
条文说明
4.3.3 进行薄壳结构分析时,应对计算机程序的单元特点、求解方法和应用条件有清晰的理解。应根据结构布置、荷载和边界条件等实际情况,建立正确的力学和数学模型,采用合适的求解方法。
4.3.4 有限单元法分析可采用平板型壳单元、曲面型壳单元、退化型壳单元等,对旋转壳还可采用截锥型旋转壳单元。当采用空间四节点四边形壳单元时,单元的边长宜相近,内角不宜小于45°,也不宜大于135°,必要时可采用空间三节点三角形单元作为连接过渡单元。对带肋壳,应考虑肋单元和壳板单元的共同作用,必要时尚应考虑壳板与肋之间的偏心影响。
条文说明
4.3.4 进行薄壳结构有限元分析可采用的单元类型很多,它们基于不同的假设和推导思路,有不同的适用范围。推导壳单元时,应用最广的是位移法,混合杂交法也日益受到重视。分析薄壳时可忽略横向剪切变形的影响,而分析中厚壳和夹层壳时则要考虑其影响。主要的壳单元类型如下。
1 平板型壳单元
平板型壳单元可以看成是平面应力单元和平板弯曲单元的组合。采用平板型壳单元分析时,将壳体离散为由一系列平板型单元组成的单向或双向折板。对于任意形状的壳体应采用三角形单元,对于柱壳可采用矩形单元,对于旋转壳可采用四边形单元。当采用平板型壳单 元,在考虑单元形式与单元划分时宜与薄壳结构曲面共面。在单元四点不共面的情况下,使用平面四节点壳元存在计算误差,计算时应加以考虑。
2 基于壳体理论的曲面型壳单元
基于壳体理论的曲面型壳单元简称曲面型壳单元。相对于平板型壳单元,它的单元几何形状更为合理,且在单元中已经体现了薄膜内力和弯曲内力的耦合作用。但是,它的壳体理论过于复杂、应变-位移关系有多种表达形式;它的节点位移当按刚体位移给定时,有的单元出现寄生的非零应变;它存在薄膜闭锁现象,有的单元还存在剪切闭锁现象。
3 基于三维弹性理论的退化型壳单元
基于三维弹性理论的退化型壳单元简称退化型壳单元,它与基于壳体理论的曲面型壳单元都属于曲面型单元,二者的区别是:曲面型壳单元先用解析方法将三维弹性理论问题化为二维壳体理论问题,其中引入了内力和广义应变(如曲率、扭率等)的概念,然后将二维壳体理论问题进行有限元离散;退化型壳单元先用数值方法将三维弹性理论问题离散为三维有限元问题,其中仍采用应力和应变,不引入内力和广义应变,然后引入简化假设,将三维单元的位移场用中面节点位移来表达,化为二维问题。由于退化型壳单元摒弃了壳体理论中各种复杂关系式,从而使其构造方法较为简单,更具有一般性。
4 截锥型旋转壳单元
对于旋转壳,除了可应用一般性壳单元外,还可利用结构的轴对称性质,采用特殊的截锥型单元,即不沿环向而只沿经向进行离散。这种单元实际上是一维单元,从而计算简单。
4.3.5 单元网格划分应与求解精度要求相适应。壳单元的边长不宜大于2m,且不宜大于壳体边长或直径的1/20。采用平板型壳单元时,相邻壳单元节点法线的交角不宜大于15°。在壳板曲率变化较大或应力变化较剧烈处,宜进一步细分单元。
条文说明
4.3.5 单元网格划分应保证获得所需要的计算精度,否则应细分网格或采用精度更好的高阶次单元。本条给出了划分有限元网格时壳单元尺寸和形状(角度)的一般性要求。对于壳板曲率变化较大或应力变化较剧烈处,可进一步细分单元以得到较好的结果。
5 圆形底旋转壳
5.1 计算方法
5 圆形底旋转壳
5.1 计算方法
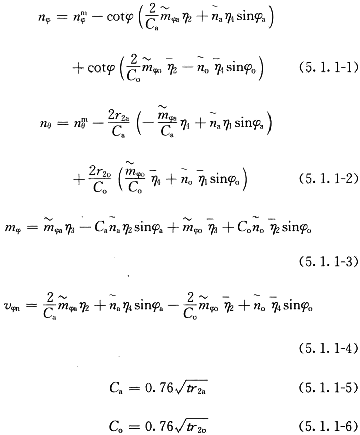
5.1.1 对不带肋的闭口或开口圆形底旋转壳,当壳板外环边缘处的特征长度参数C a 小于壳板沿经线方向由旋转轴至外环边缘的弧长s 1 的1/3,且壳板厚度和作用在壳板上的荷载没有突变时,在轴对称荷载作用下壳板的内力(图5.1.1)可按下列公式计算:


式中:n φ ——旋转壳壳板截面上经向的分布轴向力;
n θ ——旋转壳壳板截面上环向的分布轴向力;
m φ ——旋转壳壳板截面上经向的分布弯矩;
v φn ——旋转壳壳板垂直于经向的截面上法向的分布剪力;
C a 、C o ——旋转壳外环、内环边缘处的特征长度参数;
n φ m 、n θ m ——壳板按薄膜理论计算的经向、环向分布轴向力,可分别按本规程式(5.1.3-1)、式(5.1.3-3)的规定计算;

——壳板外环边缘处弯矩、轴向力的修正值,可按本规程附录A的规定计算;

——壳板内环边缘处弯矩、轴向力的修正值,可按本规程附录A的规定计算;
η i 、 η i (i=1,2,3,4)———系数,可按本规程第5.1.2条的规定计算;
r 2a 、r 2o ——壳板外环、内环边缘处环向的曲率半径;
φ——壳板计算位置处环向曲率半径方向与旋转轴间的夹角;
φ a 、φ o ——壳板外环、内环边缘处环向曲率半径方向与旋转轴间的夹角;
t——壳板厚度。
5.1.2 本规程第5.1.1条中的系数η i 、 η i (i=1,2,3,4)应符合下列规定:
1 对闭口壳,系数η i (i=1,2,3,4)应按下列公式计算:

式中:s a ——旋转壳由壳体外环边缘至壳板计算位置的经向弧长。
2 对开口壳,系数η i (i=1,2,3,4)应按式(5.1.2-1)~式(5.1.2-4)计算,系数 η i (i=1,2,3,4)应按下列公式计算:

式中:s o ——旋转壳由壳体内环边缘至壳板计算位置的经向弧长。
条文说明
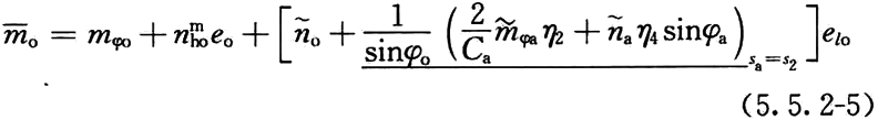
5.1.1、5.1.2 给出了在轴对称荷载作用下,不带肋的闭口或开口圆形底旋转壳壳板内力的计算公式。其中,分布轴向力和分布剪力的基本单位是“kN/m”,分布弯矩的基本单位是“kN·m/m”,在对应的量纲相同的情况下,各项也可以采用其他的单位。
使用时应满足下列限制条件:
(1)荷载轴对称且沿经向没有突变;
(2)壳板厚度沿经向没有突变;
(3)壳板不带肋;
(4)特征长度参数满足条件Ca<s1/3。
壳板内力由薄膜内力和边界扰力产生的内力两部分组成。第5.1.1条计算公式中的系数
(i=1,2,3,4)可按第5.1.2条的公式计算;壳板薄膜内力可按第5.1.3条的公式计算;壳板内外环边缘内力修正可按本规程附录A的公式计算。
5.1.3 对不带肋的闭口或开口圆形底旋转壳,在轴对称荷载作用下按薄膜理论计算的内力及位移可按下列公式计算:
1 壳板截面上经向的内力可按下列公式计算:

式中:Q z ——作用在壳板计算截面以上部分的总竖向外荷载;
p Lo ——旋转壳内环上的竖向均布线荷载,以向下为正;
q n ——旋转壳壳板中曲面上分布荷载的法向分量;
q φ ——旋转壳壳板中曲面上分布荷载的经向分量;
r 1 ——旋转壳壳板中曲面任意点处经向的主曲率半径;
r 2 ——旋转壳壳板中曲面任意点处环向的主曲率半径。
2 壳板截面上环向的内力可按下式计算:

3 壳板水平方向的位移可按下式计算,以向外为正:

4 壳板的经向转角Ψ φ m 可按下式计算,以外法线按φ增加方向转动为正,按薄膜理论计算时Ψ φ m 可取为零。

条文说明
5.1.3 本条给出了圆形底旋转壳壳板在轴对称荷载作用下薄膜内力与位移的计算公式。
5.1.4 对扁球壳,当特征长度参数C不小于壳板由旋转轴至外环边缘弧长s 1 的1/3时,在法向均布荷载q n 作用下的内力和位移可按表5.1.4所列公式计算。公式中的积分常数,对闭口壳应根据外环处的边界条件确定,对开口壳应根据内环和外环处的边界条件确定。


条文说明
5.1.4 当扁球壳满足条件C≥s1/3时,在法向均布荷载作用下,内力和位移可采用表5.1.4所列公式计算。公式中的积分常数应根据壳板的边界条件确定。对于闭口壳,表中公式带有三个积分常数C1、C2、C6,应利用外环处三个边界条件求出;对于开口壳,表中公式带有六个积分常数C1、C2、C3、C4、C5、C6,应利用内环与外环处各三个边界条件列出六个方程式联立求解。 表5.1.4中ber、ber′、bei、bei′、ker、ker′、kei、kei′为汤姆生函数(或称开尔文函数(Kelvin Functions))及其一阶导数,可从有关的数学手册中查找。
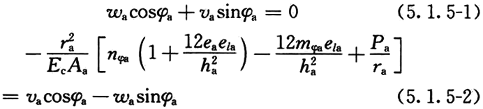
5.1.5 壳板的边界条件应根据边界位移和内力的约束情况确定。当边缘构件截面不为矩形时,应根据其几何特征按边界处经向转角及水平位移相协调的原则确定边界条件;当边缘构件截面为矩形时(图5.1.5),可按下列规定确定边界条件:
1 当外环截面为矩形时,弹性边界条件应按下列公式确定:


式中:w a ——壳板外环处法向的位移;
v a ——壳板外环处经向的位移;
n φa ——壳板外环处截面上经向的分布轴向力;
m φa ——壳板外环处截面上经向的分布弯矩;
Ψ a ——壳板外环处经向的转角;
P a ——壳板外环截面上的有效预压力值;
r a ——壳板外环边缘处的底平面半径;
I a ——壳板外环截面绕水平中心轴的惯性矩;
A a ——壳板外环截面面积;
h a ——壳板外环截面高度;
e a ——壳板截面轴线与外环竖直中心轴的交点距外环水平中心轴的距离;
e la ——壳板截面轴线与外环边缘交点距外环水平中心轴的距离。
2 当内环截面为矩形时,弹性边界条件应按下列公式确定:

式中:w o ——壳板内环处法向的位移;
v o ——壳板内环处经向的位移;
p Lo ——壳板内环上的竖向均布线荷载;
n φo ——壳板内环处截面上经向的分布轴向力;
m φo ——壳板内环处截面上经向的分布弯矩;
v φno ——壳板内环处垂直于经向的截面上法向的分布剪力;
Ψ o ——壳板内环处经向的转角;
r o ——壳板内环边缘处的旋转半径;
I o ——壳板内环截面绕水平中心轴的惯性矩;
A o ——壳板内环截面面积;
h o ——壳板内环截面高度;
e o ——壳板截面轴线与内环竖直中心轴的交点距内环水平中心轴的距离;
e lo ——壳板截面轴线与内环边缘交点距内环水平中心轴的距离。

条文说明
5.1.5 本条给出了边界条件确定的原则,并具体给出了当边缘构件截面为矩形时壳板内、外环边缘处的弹性边界条件公式。
5.2 集中荷载和环形荷载作用下的计算和圆孔应力集中
5.2 集中荷载和环形荷载作用下的计算和圆孔应力集中
5.2.1 圆形底旋转壳在集中荷载作用下(图5.2.1)的内力和位移的计算应符合下列规定:
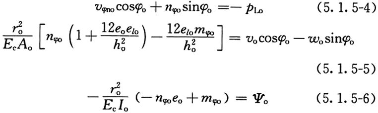
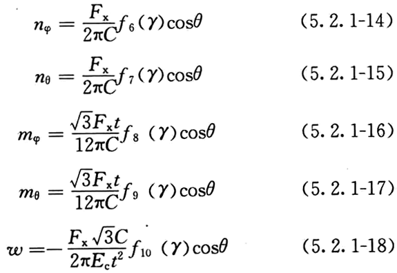
1 扁球壳顶部作用法向集中荷载F n ,且壳板外环边缘处的底平面半径r a 不小于壳体特征长度参数C的3倍时,除集中荷载作用点处外,壳板的内力和位移可按下列公式计算:

式中:r——计算点处壳的水平投影半径;
f i (γ),i=1,2,3,4,5——系数,可按本规程附录A的规定采用。
2 扁球壳顶部法向集中荷载F n 作用点处,壳板的内力和位移可按下列公式计算:


式中:γ F ——集中荷载实际作用区域的圆半径;
λ 1 、λ 2 ——系数,可按本规程附录A的规定采用。
3 扁球壳顶部作用沿经线的切向荷载F x ,且壳板外环边缘处的半径r a 不小于壳体特征长度参数C的3倍时,壳板的内力和位移可按下列公式计算:

式中:f i (γ),i=6,7,8,9,10——系数,可按本规程附录A的规定采用。
4 扁球壳顶部作用沿经线法面内的集中力矩M y ,且壳板外环边缘处半径r a 不小于壳体特征长度参数C的3倍时,壳板的内力和位移可按下列公式计算:

式中:f i (γ),i=11,12,13,14,15——系数,可按本规程附录A的规定采用。
5 当集中荷载不作用于扁球壳的顶部,而荷载作用点至壳板边缘的距离不小于壳体特征长度参数C的3倍时,仍可按式(5.2.1-1)~式(5.2.1-23)进行计算,但应取荷载作用点为坐标原点。
6 对其他类型的旋转壳,当受集中荷载作用时,近似计算时可按本条第1款至第5款的规定计算,但曲率半径r s 应按计算点处较大的主曲率半径取值。

条文说明
5.2.1 本条给出了圆形底旋转壳在集中荷载作用下壳板内力和位移的计算公式,有关的计算系数表格在本规程附录A.2中给出。公式中所用的荷载采用设计值还是标准值,应根据是验算承载力还是变形来决定。
5.2.2 当闭口扁球壳上作用有轴对称环形均布线荷载p L ,且荷载作用点至壳板边缘的距离大于壳体特征长度参数C的3倍时,壳板的内力和位移的计算应符合下列规定:
1 当计算点处壳板的水平投影半径r不大于环形线荷载分布半径a时,壳板的内力和位移可按下列公式计算:


式中:a——环形线荷载分布的水平投影半径。
2 当计算点处壳板的水平投影半径r大于环形线荷载分布半径a时,壳板的内力和位移可按下列公式计算:

条文说明
5.2.2 本条给出扁球壳在轴对称环形均布荷载作用下壳板内力和位移的计算公式,前提条件是荷载作用点距壳板边缘的距离大于壳体特征长度的3倍。第1款给出在荷载作用范围以内的计算公式,第2款给出在荷载作用范围以外的计算公式。
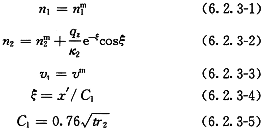
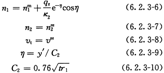
5.2.3 当闭口扁球壳上作用有轴对称环形均布线荷载p L ,且荷载作用点至壳板边缘的距离小于壳体特征长度参数C的3倍时,或在开口扁球壳上作用环形均布荷载时,壳板的内力可按本规程第5.1.1条的规定计算,但壳板边界处根据薄膜理论计算的水平方向位移u h m 和经向转角Ψ φ m 应按下列公式计算:

式中:n θ 、w——壳板的环向轴力和法向位移,应按本规程第5.2.2条的规定计算。
条文说明
5.2.3 本条给出了扁球壳在轴对称环形均布荷载作用下,当不满足第5.2.2条的限制条件时壳板内力和位移的计算规定。
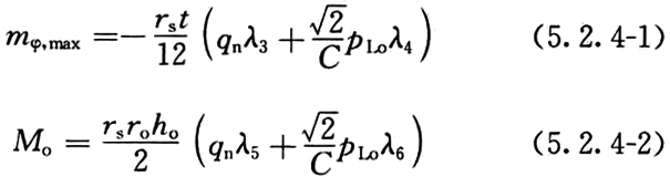
5.2.4 当球壳顶部开有半径为r o 的圆孔,且壳板内环边缘至外环边缘的弧长s 2 大于壳体特征长度参数C的3倍、表达式(r o +3C)/(4r s )之值小于1/5时,在壳面法向均布荷载q n 及孔边沿环向竖向均布线荷载p Lo 作用下,壳板最大经向弯矩和内环弯矩应根据内环和边梁的连接形式(中心连接、内环向下的偏心连接和内环向上的偏心连接,图5.2.4)按下列公式计算:

式中:m φ,max ——壳板截面上最大的经向分布弯矩;
M o ——内环所受的弯矩;
h o ——内环截面高度;
λ 3 、λ 4 、λ 5 、λ 6 ——系数,可按本规程附录A的规定采用。

条文说明
5.2.4 本条给出了开口球壳满足限制条件时,在法向均布荷载及孔边竖向均布线荷载作用下壳板的最大经向弯矩和内环梁弯矩的计算公式,限制条件为s2>3C且(ro+3C)/(4rs)<1/5。
5.2.5 当圆孔不位于球壳顶部,且孔边与壳板边缘或其他边孔的净距不小于壳体特征长度参数C的3倍时,可按本规程第5.2.4条的规定计算,但应取孔洞中心为坐标原点。当其他旋转壳顶部开有圆孔时,仍可按本规程第5.2.4条的规定计算,但曲率半径r s 应按孔边处环向主曲率半径r 2 采用,且特征长度参数C应按孔边处的计算值采用。
条文说明
5.2.5 本条给出不满足上列规定,但在一定条件下可按上列规定计算的情况。
5.3 雪、风荷载作用下的计算和稳定验算
5.3 雪、风荷载作用下的计算和稳定验算
5.3.1 旋转壳的雪荷载计算,除应符合本规程第3.2.7条的规定外,尚应符合下列规定:
1 当壳板最大经向角φ a 不大于30°时,可按均布雪荷载计算;
2 当壳板最大经向角φ a 大于30°时,除应考虑均布雪荷载外,尚应考虑雪荷载的不对称分布,不对称雪荷载可按下式计算:

式中:s——壳板中曲面水平投影面上的均布雪荷载;
s n ——壳板中曲面上分布雪荷载的法向分量;
ф——壳面法线与旋转轴间的夹角;
ψ——壳面法线在水平面上的投影与水平纵轴间的夹角。
5.3.2 风荷载所引起的旋转壳内力,可按薄膜理论进行计算。
条文说明
5.3.1、5.3.2 对旋转壳的雪荷载和风荷载计算作了相应规定。
5.3.3 旋转壳的稳定性验算应符合下列规定:
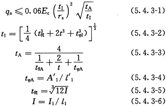
1 球面壳在法向均布荷载作用下的稳定性应按下式验算:

式中:q n ——壳体的法向均布荷载设计值。
2 其他类型旋转壳的稳定性也可按式(5.3.3)验算,但曲率半径r s 应取中曲面最大曲率半径。
条文说明
5.3.3 对旋转壳在均匀、规则荷载作用下的稳定性验算采用统一形式的公式,公式中包括了安全系数,其中荷载采用设计值。在应用时应注意曲率半径的取值。
对在均布法向荷载作用下的匀质、各向同性球面壳,采用经典弹性稳定理论(见Theory of Elastic Stability,Timoshenko,1936)可得到壳体的线弹性临界荷载:

对钢筋混凝土壳体,可令μ=0,则qcr=1.155Ec(t/rs)2。研究发现由该式计算得到的临界荷载与试验值相比有很大的差距,原因在于实际钢筋混凝土薄壳结构的稳定性与理想情况 有很大不同,它涉及大变形影响、初始缺陷、混凝土徐变和收缩、支承条件、材料非线性性质等许多非常复杂的问题,多种因素会引起稳定承载力的降低。
在实际应用中,对于较规则的情形,容许荷载可采用与式(4)相同的形式估算,将式(4)中的因子
和多种影响因素归结为一个系数K,即:

系数K由试验和研究成果并结合工程经验得到。本条规定对应的系数K取为0.06。
对一般情形的非规则薄壳结构,本条规定不再适用,其稳定性应进行专门的分析论证。
5.4 带肋壳的计算
5.4 带肋壳的计算
5.4.1 本节的规定适用于沿壳面经向和环向设有均匀的正交肋,且肋间距不大于3m、环肋不小于三圈、两个方向肋间距之比不大于2的带肋旋转壳。
5.4.2 带肋壳的内力和位移可按本规程第5.1.1条~第5.1.5条的规定计算,但应符合下列规定:
1 按本规程第5.1.3条规定计算时,壳板水平方向的位移应按下列公式计算:

式中:t θA ——带肋旋转壳在环向按截面面积折算的厚度;
l 1 ——环向肋间距;
A 1 ——环向肋截面面积与两侧肋间等分线之间的壳板横截面面积之和。

2 壳体特征长度参数应按下列公式计算:

式中:t φI ——带肋旋转壳在经向按截面惯性矩折算的厚度;
t φIa ——带肋旋转壳外环边缘处在经向按截面惯性矩折算的厚度;
t φIo ——带肋旋转壳内环边缘处在经向按截面惯性矩折算的厚度;
I′ 1 ——经向肋截面与宽度为肋间距的壳板截面之和对其总截面形心轴的惯性矩;
l′ 1 ——经向肋间距。
3 采用本规程附录A的规定计算时,壳板在内、外环边缘处的厚度应采用相应的按惯性矩折算的厚度,即系数a ij 及 a ij (j=1、2)中的t 3 应改用t 3 φIa 及t 3 φIo 。
5.4.3 带肋旋转壳在法向均布荷载作用下的稳定性应按下列公式验算:

式中:t φA 一带肋旋转壳在经向按截面面积折算的厚度,应取受压区内最小值;
t θI ——带肋旋转壳在环向按截面惯性矩折算的厚度,应取受压区内最小值;
I 1 ——环向肋与宽度为肋间距的壳板截面之和对其总截面形心轴的惯性矩;
A′ 1 ——经向肋截面面积与宽度为肋间距的壳板截面面积之和。
条文说明
5.4.1~5.4.3 对带肋旋转壳仍可采用薄膜理论加边界效应的方法进行计算。边界效应的齐次微分方程为:

由此可知带肋壳特征长度参数与无肋壳的差异。
5.5 壳体环梁的内力
5.5 壳体环梁的内力
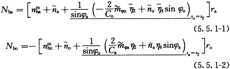
5.5.1 在旋转壳边缘处的水平推力作用下(图5.5.1),外环、内环的轴向内力(以拉力为正)可按下列公式计算:


式中:N ba 、N bo ——旋转壳外、内环截面上的轴向力;
N′ ba 、N′ bo ——扁球壳外、内环截面上的轴向力;
n φa 、n φo ——扁球壳壳板外、内环边缘处截面上经向的分布轴向力,可按本规程第5.1.4条的规定计算。
注:公式中带下划线部分为次要项,下同。

5.5.2 矩形截面外、内环在外环经向力矩 m a (图5.5.2)和内环经向力矩 m o 作用下,外、内环中产生的绕截面水平中性轴的弯矩(截面下部受拉为正)应符合下列规定:

1 外环在经向力矩作用下产生的弯矩可按下列公式计算:

对一般旋转壳,

对扁球壳,

式中: m a ——外环经向力矩。
2 内环在经向力矩作用下产生的弯矩可按下列公式计算:

对一般旋转壳,

对扁球壳,

式中: m o ——内环经向力矩。
5.5.3 当外环支承在若干支柱上时,可按支柱为铰支点的曲梁计算其内力(图5.5.3),且应符合下列规定:

1 环梁在竖向分布线荷载p L (包括环梁自重)作用下,各项内力计算应符合下列规定:

式中:M bc ——环梁跨中绕截面水平中性轴的弯矩;
M bs ——支柱处绕环梁截面水平中性轴的弯矩;
M bx ——任意截面θ x 处绕环梁截面水平中性轴的弯矩;
T bx ——任意截面θ x 处的扭矩;
θ x ——曲梁跨中算起的圆心角;
θ x,max 一——最大扭矩处的θ x ;
n——环梁下支柱数。
2 具有常用支柱数n=6、8、10、12、16、20、24的环梁,在均布线荷载p L 作用下产生的内力,可按表5.5.3的规定计算。

5.5.4 由支柱支承的外环受不对称风、雪荷载作用时,可根据壳体传至环梁内力的竖向分量分段按曲梁计算;作用在环梁上内力的水平分量可按全部支柱平均承担计算。
条文说明
5.5.1~5.5.4 壳体外环、内环的内力包括轴向内力、绕截面水平中性轴的弯矩等,本节给出了外环为连续支承或有限个支柱支承时的内力计算公式。
5.6 构造要求
5.6 构造要求
5.6.1 旋转壳应设外环梁,开口旋转壳还应设内环梁。
5.6.2 当符合下列情况时,旋转壳应加肋:
1 壳板厚度不符合稳定性要求;
2 采用装配整体式壳体;
3 壳体承受较大集中荷载处或开有孔洞处。
5.6.3 当不带肋的壳板上作用有集中荷载时,应按计算结果在集中荷载作用处设置附加钢筋,附加钢筋应位于靠近壳板表面处。
条文说明
5.6.3 设置的附加钢筋应能使壳板承担集中荷载作用所引起的弯矩,因此附加钢筋应位于靠近壳板表面处。
5.6.4 外环梁截面可采用矩形、槽形、L形、平板形等形式。外环梁可采用非预应力或预应力配筋。采用预应力配筋时,其有效预应力值宜使外环梁应力接近于壳体边缘处按薄膜理论计算所得的环向应力值。
条文说明
5.6.4 根据经验,当外环梁承受的拉应力大于混凝土抗拉强度设计值的8倍时,宜采用预应力配筋,或采取其他构造措施。
5.6.5 旋转壳在矩形截面的外环梁顶部或底部挑出混凝土雨篷时,应将雨篷作为外环梁的一部分进行内力分析。如果雨篷的挑出长度不大于500mm,可不考虑其对环梁内力的影响。此时,外环梁仍可按矩形截面计算和配筋,但在布置钢筋时,应将环梁顶部或底部钢筋的30%布置在雨篷的外檐口,而将其余的钢筋均匀布置在梁的顶部或底部。此外,雨篷板还应按悬臂板计算弯矩并配置经向钢筋。
5.6.6 在距内环边缘2倍壳体特征长度参数的范围内,壳体应配置双层抗弯钢筋。
6 双曲扁壳
6.1 几何尺寸
6 双曲扁壳
6.1 几何尺寸
6.1.1 双曲扁壳应由壳板及竖向边缘构件组成,可采用等曲率或不等曲率壳。双曲扁壳的矢高与底面最小边长之比不得大于1/5。不等曲率双曲扁壳的较大曲率与较小曲率之比不宜大于2。
条文说明
6.1.1 本条给出了双曲扁壳的基本组成部分和常用形式。双曲扁壳的矢高与最小边长之比不应大于1/5,也不宜太小。太大时采用扁壳理论进行分析将引起不可忽略的误差;太小时扁壳类似于平板,不能起空间结构的作用。为了获得较好的力学性能,要求不等曲率双曲扁壳的较大曲率与较小曲率之比不大于2、底面长边与短边之比不大于2。
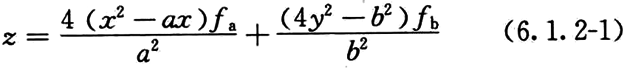
6.1.2 双曲扁壳的壳板曲面可采用抛物线移动曲面、圆弧移动曲面或球面等,曲面与曲率的计算应符合下列规定:
1 壳板中曲面采用抛物线移动曲面时,可取坐标系原点为壳体一边中点(图6.1.2),中曲面方程可按下式计算:

中曲面在x、y方向的曲率κ 1 、κ 2 可按下列公式计算:

式中:f a 、f b ——双曲扁壳沿x、y轴方向边界上的矢高;
a、b——双曲扁壳沿x、y轴方向的边长。

2 壳板中曲面采用圆弧移动曲面时,中曲面在x、y方向的曲率半径应分别取x、y方向圆弧的半径。
3 壳板中曲面采用球面时,中曲面在x、y方向的曲率半径应取球面半径。
条文说明
6.1.2 本条给出了双曲扁壳的曲率近似表达式和曲面方程。
6.2 均布荷载作用下的内力计算
6.2 均布荷载作用下的内力计算
6.2.1 双曲扁壳的位移正方向可定义为坐标轴方向;在外法线方向与坐标轴正方向一致的截面上,轴力和剪力正方向可定义为与坐标轴一致的方向;弯矩正方向可定义为使壳板下表面受拉的方向(图6.2.1)。

6.2.2 当底面为矩形的双曲扁壳边长与壳体特征长度参数之比a/C 1 和b/C 2 均不小于9时,均布荷载作用下可将壳板的内力计算区域按下列规定划分(图6.2.2):
1 壳板四角长、宽分别为3倍壳体特征长度参数的矩形区域可划为Ⅲ区;
2 除去壳板四角的四个Ⅲ区外,以凹角连线AB和CD可将区域划分成四块,左右两块可划分为Ⅰ区,其他两块可划分为Ⅱ区。

条文说明
6.2.2 对壳板的内力计算区域进行划分,不同的区域采用不同的计算公式。
6.2.3 满足本规程第6.2.2条的条件并按其要求划分区域的壳板,在均布竖向荷载q z 作用下薄膜内力的计算应符合下列规定:
1 Ⅰ区壳板薄膜内力可按下列公式计算:

式中:n 1 ——壳板截面上沿x轴中曲面切线方向的分布轴向力;
n 2 ——壳板截面上沿y轴中曲面切线方向的分布轴向力;
v t ——壳板截面上切向的分布剪力;
n 1 m 、n 2 m 、v m ——壳板截面上的分布薄膜内力,可按本规程附录B的规定计算;
x′——计算点在x方向距较近边的距离;
C 1 ——双曲扁壳x轴方向的特征长度参数;
r 2 ——y轴方向的曲率半径。
2 Ⅱ区壳板薄膜内力可按下列公式计算:

式中:y′——计算点在y方向距较近边的距离;
C 2 ——双曲扁壳y轴方向的特征长度参数;
r 1 ——x轴方向的曲率半径。
3 Ⅲ区壳板薄膜内力可按下列公式计算:

4 壳板角点处的分布剪力v ct 可按下列公式计算(公式中正负号与该点附近剪力v t m 的符号相同):
κ 1 =κ 2 =κ时,

κ 1 ≠κ 2 时,

条文说明
6.2.3 本条给出了满足第6.2.2条的条件、并按其要求划分区域的壳板轴向力和剪力的计算公式。
6.2.4 满足本规程第6.2.2条的条件并按其要求划分区域的壳板,在均布竖向荷载q z 作用下分布弯矩、扭矩及竖向剪力的计算应符合下列规定:
1 Ⅰ区壳板内力可按下列公式计算:

式中:m 1 ——壳板平行于y轴方向截面上的分布弯矩;
v v1 ——壳板平行于y轴方向截面上竖向的分布剪力,式中正负号分别用于x=0边及x=a边的附近。
2 Ⅱ区壳板内力可按下列公式计算:

式中;m 2 ——壳板平行于x轴方向截面上的分布弯矩;
v v2 ——壳板平行于x轴方向截面上竖向的分布剪力,式中正负号分别用于y=b/2边及y=-b/2边的附近。
3 Ⅲ区壳板内力可按下列公式计算:

4 等曲率壳在Ⅲ区的分布扭矩可按下列公式计算:
非角点处,

角点处,

式中:m t ——壳板截面上的分布扭矩,(0,b/2)和(a,-b/2)二点附近取负号,(0,-b/2)和(a,b/2)二点附近取正号;
f 5 (γ)——系数,可按本规程附录A的规定采用。
5 不等曲率壳在Ⅲ区的分布扭矩可按下列公式计算:
非角点处,

角点处,

式中:m t ——壳板截面上的分布扭矩,(0,b/2)和(a,-b/2)二点附近取负号,(0,-b/2)和(a,b/2)二点附近取正号。
条文说明
6.2.4 本条给出了满足第6.2.2条的条件、并按其要求划分区域的壳板分布弯矩、扭矩及竖向剪力的计算公式。
6.2.5 任意边界形状和任意边界条件的双曲扁壳在法向荷载作用下,其内力和位移可按本规程附录B的规定计算。
条文说明
6.2.5 本条给出了在任意边界形状和任意边界条件下双曲扁壳的内力和位移解析解计算方法。在更一般的情况下,应采用有限元法进行计算。
6.2.6 底面为正方形的球面双曲扁壳的边长与壳体特征长度参数之比小于9时,均布荷载作用下的内力和位移可按本规程附录B的规定计算。
条文说明
6.2.6 本条给出了正方形底球面双曲扁壳在a/C1或b/C2小于9时的计算方法。
6.3 半边荷载和水平荷载作用下的内力和位移计算
6.3 半边荷载和水平荷载作用下的内力和位移计算
6.3.1 双曲扁壳在半边均布荷载作用下的内力及位移,可先按对称均布荷载和反对称均布荷载情况分别进行计算,然后叠加。
6.3.2 双曲扁壳受反对称均布荷载作用时,可先将原壳板一分为二,形成两个四边简支扁壳,壳板的曲率不变,而垂直于荷载反对称方向的边长为原壳体该方向边长的1/2,该方向边缘处的矢高为原矢高的1/4(图6.3.2)。然后分别计算这两个四边简支扁壳在各自均布荷载作用下的内力和位移,可得原壳体的内力和位移。这两个四边简支扁壳在均布荷载作用下的内力和位移,可按本规程第6.2.1条~第6.2.6条的规定计算。

6.3.3 当双曲扁壳半边均布荷载q 1 值不大于壳体全部均布荷载q 2 的30%时,可将两者相加按满布荷载进行计算。
6.3.4 四边简支双曲扁壳受x轴方向的均布水平荷载q x 作用时,壳板的剪力v t 和沿x轴方向的位移u可按下列公式计算:

此时,其他的内力和位移可均取为零。
6.3.5 四边简支双曲扁壳受y轴方向均布水平荷载q y 作用时,可将坐标轴转换方向后,按本规程第6.3.4条的规定计算。
6.3.6 当水平荷载与x轴和y轴方向不平行时,可将其分解为x轴和y轴方向的两个分量分别计算,再进行叠加。
6.3.7 双曲扁壳可倾斜放置,但壳体底平面的倾角不宜大于10°。此时,应将壳体所受的荷载分解为与底平面垂直的和平行的两个分量,并可分别按本规程第6.2.1条~第6.2.6条及第6.3.4条~第6.3.6条的规定计算。
条文说明
6.3.1~6.3.7 双曲扁壳在一般荷载情况下,当没有计算公式可以采用时,应采用有限元法进行计算。
6.4 稳定验算
6.4 稳定验算
6.4.1 等曲率双曲扁壳在法向均布荷载作用下的稳定性应按下式验算:

式中:q n ——壳体的法向均布荷载设计值;
κ——壳板的曲率。
6.4.2 不等曲率双曲扁壳在法向均布荷载作用下的稳定性应按下式验算:

式中:κ 1 、κ 2 ——壳板沿x、y方向的曲率。
条文说明
6.4.1、6.4.2 给出了等曲率和不等曲率双曲扁壳在法向均布荷载作用下的稳定性验算公式,该公式与第5.3.3条圆形底旋转壳的稳定性验算公式具有相同的形式,公式中包括了安全系数,其中荷载采用设计值。
6.5 带肋壳的计算
6.5 带肋壳的计算
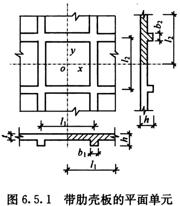
6.5.1 对沿x和y轴方向带肋的双曲扁壳(图6.5.1),当两个方向肋的分布均比较均匀、数量不少于4根、肋在x轴和y轴方向的间距l 1 和l 2 均不大于3m且两者之比不大于2时,壳体可按无肋壳计算内力和位移,其壳体特征长度参数的计算应符合下列规定:

1 等曲率带肋壳特征长度参数可按下列公式计算:


式中:C 1 、C 2 ——双曲扁壳x、y轴方向的特征长度参数;
b 1 、b 2 ——平行于x、y轴方向截面上的肋宽;
l 1 、l 2 ——平行于x、y轴方向的肋间距;
t 1I 、t 2I ——带肋壳在x、y轴方向按截面惯性矩折算的厚度;
t 1A 、t 2A ——带肋壳在x、y轴方向按截面面积折算的厚度。
2 不等曲率带肋壳特征长度参数可按下列公式计算:

条文说明
6.5.1 本条给出了带肋双曲扁壳按无肋壳公式近似计算的条件和相应的折算参数计算公式。根据经验,壳板加肋时肋的间距不宜大于7√rt。
6.5.2 带肋双曲扁壳在法向均布荷载作用下的稳定性应按下列公式验算:

式中:q n ——壳体的法向均布荷载设计值。
条文说明
6.5.2 本条给出了带肋双曲扁壳在法向均布荷载作用下的稳定性验算公式。
6.6 边缘构件
6.6 边缘构件
6.6.1 双曲扁壳的边缘构件可采用下列形式:带拉杆的双铰拱、拱形桁架、等截面或变截面的薄腹梁和多柱支承的曲梁等。
条文说明
6.6.1 双曲扁壳的边缘构件可采用多种形式,本条列出了几种常用的形式。
6.6.2 边缘构件可按空间杆系结构或平面杆系结构计算。计算时,可将壳体传至边缘构件上的分布荷载转换为若干竖向与水平的集中力及其对边缘构件中心轴产生的力矩。
6.6.3 在均布荷载作用下,壳体边缘处的剪力可作为作用在边缘构件上的均布荷载。
条文说明
6.6.2、6.6.3 边缘构件与双曲扁壳一起进行计算时,应注意二者间力的平衡和变形的协调关系。
6.7 构造和配筋
6.7 构造和配筋
6.7.1 现浇和装配整体式双曲扁壳的边拱可采用非预应力或预应力的构件,在构造上除应符合本规程第3章的有关规定外,尚应符合下列规定:
1 边拱与支承柱端部应通过预埋钢板或其他方式可靠连接;
2 边拱端部与支承柱端连接部位应进行局部受压承载力验算;
3 现浇双曲扁壳采用非预应力边拱时,两边拱的相交节点内侧可采取圆弧过渡,并应配置斜向附加钢筋(图6.7.1a),其中附加钢筋直径宜为12mm~16mm、数量不宜少于3根;采用预应力边拱时,两边拱的相交节点内侧可采取圆弧过渡,并应配置斜向附加钢筋(图6.7.1b),其中附加钢筋直径宜为16mm~20mm、数量不宜少于3根。

6.7.2 双曲扁壳配筋除应符合本规程第3章的有关规定外,尚应符合下列规定:
1 壳板四角应配置与边缘呈45°角的斜钢筋,并应双层对称配置;
2 在壳板四周边缘宽度为3倍壳体特征长度参数范围内,宜配置双层钢筋。
条文说明
6.7.1、6.7.2 给出了双曲扁壳的配筋要求和边拱的构造要求。
7 圆柱面壳
7.1 几何尺寸和计算
7 圆柱面壳
7.1 几何尺寸和计算
7.1.1 圆柱面壳的壳体上应设置边梁和横隔。
条文说明
7.1.1 圆柱面壳的边梁和横隔对于壳体的整体受力是关键的构件。
7.1.2 圆柱面壳可按其几何特征和几何形状进行分类,并应符合下列规定:
1 根据圆柱面壳的几何特征,可分为长壳和短壳:
长壳应满足下列条件;
B/l≤1 (7.1.2-1)
短壳应满足下列条件:
B/l>1 (7.1.2-2)
式中:B——圆柱面壳的宽度,即圆柱面壳直线边梁间的水平距离;
l——圆柱面壳的跨度,即圆柱面壳纵向支承横隔的间距。
2 根据圆柱面壳的几何形状,可分为单波和多波圆柱面壳。
条文说明
7.1.2 长壳和短壳的受力特点不同,采用的计算公式也不同。一般以圆柱面壳的宽度(即圆柱面壳直线边梁间的水平距离)与圆柱面壳的跨度(即圆柱面壳横隔的间距)之比B/l作为长、短壳的区分参数,当比值小于1时称为长壳,大于1时称为短壳。
7.1.3 长壳、短壳的壳板矢高f不应小于壳体宽度B的1/8,长壳的壳体矢高f tot 不宜小于壳体跨度l的1/15(图7.1.3)。

条文说明
7.1.3 本条给出了从几何尺寸上保证壳体强度和刚度的规定。
7.1.4 长壳及短壳均可按弹性壳体理论计算内力和位移。当符合下列规定时,计算可简化:
1 对壳板中曲面曲率半径与跨度之比r s /l不大于0.2、且边梁无中间支承的情况,当荷载分布和壳体横截面均对称时,可按梁理论计算;在荷载分布或壳体横截面不对称时,可按薄壁构件计算;
2 对壳板中曲面曲率半径与跨度之比r s /l不小于4的情况,可将壳板与横隔合并,按拱或弧形桁架计算,边梁与其相邻的部分壳板(取宽度为l/5)可按倒L形截面梁进行配筋,其荷载应包括边梁自重及其相邻板壳上的荷载。
条文说明
7.1.4 给出了圆柱面壳可简化计算的条件和计算方法。
7.1.5 多波圆柱面壳的边波外侧半边的内力可按单波柱面壳计算,内侧半边的内力可按内波柱面壳计算。
条文说明
7.1.5 多波圆柱面壳的最外波可称为外波或边波,其余部分称为内波。本条给出了圆柱面壳外波的内、外半边的计算方法。
7.1.6 对任意边界条件的圆柱面壳可采用有限元法计算,并应考虑边缘构件的共同作用。
条文说明
7.1.6 本条给出了任意边界条件圆柱面壳的计算原则和方法。
7.1.7 两端简支单跨圆柱面壳的横隔刚度应符合下列规定:
1 横隔在其平面内应具有足够的刚度,以使板壳在该处的环向位移和法向位移可近似取为零;
2 横隔在其平面外的刚度宜较小,使壳板在该处的纵向力可近似取为零。
条文说明
7.1.7 给出了两端简支单跨圆柱面壳横隔的刚度要求。
7.1.8 圆柱面壳的稳定性验算应符合下列规定:
1 当壳体宽度与跨度之比B/l不大于1时,壳板纵向压应力应按下式验算:

式中:σ——壳板的纵向压应力,按荷载设计值进行计算。
2 当壳体宽度与跨度之比B/l大于1时,壳体的法向均布荷载设计值q n 应按下式验算:

条文说明
7.1.8 给出圆柱面长壳和短壳的壳体稳定性验算公式。
7.2 带肋壳的计算
7.2 带肋壳的计算
7.2.1 两端简支带肋圆柱面壳的内力和位移,可将薄膜理论的特解和有矩理论基本方程的齐次解叠加而得。
条文说明
7.2.1 给出了带肋圆柱面壳的计算原则。
7.2.2 当肋的间距不大于3m、且两个方向的间距比较接近时,壳体的稳定性可按下列公式验算:

式中:l 1 ——肋轴线间的距离;
A 1 ——肋截面面积与两侧肋间等分线之间的壳板横截面面积之和;
I 1 ——截面A 1 的惯性矩。
7.2.3 当宽度与跨度之比B/l不大于1的圆柱面壳只有环肋,或B/l大于1的圆柱面壳只有纵肋时,壳体稳定性可分别按本规程式(7.1.8-1)和式(7.1.8-2)验算。当宽度与跨度之比B/l不大于1的圆柱面壳只有纵肋,或B/l大于1的圆柱面壳只有环肋时,壳体的稳定性可分别按本规程式(7.2.2-1)和式(7.2.2-2)验算。
条文说明
7.2.2、7.2.3 给出了带肋圆柱面壳的稳定性验算公式,应注意公式的前提条件。
7.2.4 壳面带肋的圆柱面长壳,可按带肋的折板结构计算。
7.3 边缘构件
7.3 边缘构件
7.3.1 边梁可在下列五种常用形式中选用(图7.3.1):
1 形式Ⅰ:位于壳板边缘之下的矩形或倒T形截面梁;
2 形式Ⅱ:位于壳板边缘之上的矩形截面梁;
3 形式Ⅲ:位于壳板边缘之上的L形截面梁;
4 形式Ⅳ:位于壳板边缘侧面的平板梁,可用于边梁下墙支承的情况;

5 形式V:壳板边缘局部加厚形成的梁,可用作小跨度壳板的边梁。
条文说明
7.3.1 给出了边梁常用的五种形式和其适用范围。
7.3.2 边梁的截面尺寸应按承载力、变形及构造要求确定,并应符合下列规定:
1 长壳边梁的截面可采用本规程图7.3.1所示的尺寸,对形式Ⅰ、Ⅱ、Ⅲ的边梁,其高度不宜小于壳体跨度的1/30;
2 短壳边梁采用形式Ⅰ、Ⅱ、Ⅲ时,其高度不宜小于壳体跨度的1/15;
3 多波壳体的边梁截面宜设计成相同的形式。
条文说明
7.3.2 给出了边梁的构造要求。
7.3.3 圆柱面壳横隔可按平面构件进行计算,横隔可采用下列形式(图7.3.3):
1 形式Ⅰ:变截面梁或开洞变截面梁,可用于跨度和宽度较小的壳体;
2 形式Ⅱ:带拉杆的拱形横隔,宜用于半边荷载较小的壳体;
3 形式Ⅲ:弧形桁架,宜用于宽度较大的壳体。

条文说明
7.3.3 给出了圆柱面壳横隔常用的形式。
7.4 构造要求
7.4 构造要求
7.4.1 当圆柱面壳沿跨度方向设置通长孔洞时,其位置宜设于壳体顶部,并应符合下列构造规定:
1 对长壳,在孔洞周边应加肋,并应沿孔洞纵向每隔2m~3m设置一条横撑(图7.4.1);当壳体具有较大的不对称荷载时,除设置横撑外,还应加设斜撑;
2 当短壳的天窗孔宽度小于4m且不大于壳体宽度B的1/3时,如壳体内力按整个短壳计算,在天窗孔中应设置间距不大于2m的横撑;
3 如将短壳分成两半,并按锯齿形或蝶形壳计算内力时,可不设横撑;
4 在圆柱面壳两端,跨度l的1/5范围内不应设置孔洞。

条文说明
7.4.1 规定了柱壳两端1/5跨度l的范围内不得设置孔洞。
7.4.2 对有孔洞的圆柱面壳,宜用有限元法进行分析,并应考虑肋、横撑、斜撑和其他边缘构件的共同作用。
条文说明
7.4.2 本条给出了带孔洞圆柱面壳的计算原则和方法。
7.4.3 圆柱面壳的配筋应符合下列规定:
1 壳板受拉区的主要受拉钢筋应按计算所得的应力分布配置;受压区可按构造要求设置间距为200mm~250mm的纵向钢筋;
2 边梁所需受拉钢筋的25%~40%可设置在边梁底部,其余钢筋可按应力分布设置;边梁中除应设置直径不宜小于14mm的主要受拉钢筋外,还应设置直径不小于6mm的封闭箍筋,边梁中的主要钢筋应有50%以上锚入支座。
条文说明
7.4.3 给出圆柱面壳的配筋要求。
7.4.4 装配整体式圆柱面壳可采用下列四种形式(图7.4.4):
1 形式Ⅰ:壳体由预制拱形板和边梁段的横向分块组成;

2 形式Ⅱ:壳体由现浇边梁和预制拱形板组成;
3 形式Ⅲ:壳体由横隔、边梁段、肋拱及壳板组成;
4 形式Ⅳ:壳体由预制板及预制拱架组成。
当有可靠依据时,也可采用其他形式。
条文说明
7.4.4 给出装配整体式圆柱面壳常用的四种形式的图示。在地震区应谨慎采用装配整体式圆柱面壳,如必须采用时,应采取措施保证结构的整体性、连接和支撑的可靠性。
7.4.5 装配整体式圆柱面壳的形式Ⅰ应符合下列规定:
1 壳体的分块在横向可为整块(形式Ⅰ a )或两个半块(形式Ⅰ b ),形式Ⅰ a 宜用于较小跨度,形式Ⅰ b 宜用于较大跨度;
2 壳体在纵向可分成若干段,每段的长度应根据制作、运输及安装等条件确定,宜为1.5m~3m;
3 在块体的边缘处应设加劲肋;
4 对具有天窗孔的壳体,形式Ⅰ b 的预制构件可设计成带焊接预埋件形式;
5 边梁应采用预应力配筋。
7.4.6 装配整体式圆柱面壳的形式Ⅱ可用于较大跨度,整个壳体可划分为两个现浇的边梁、两个横隔及若干预制拱形板,每块拱形板均应设置两根临时拉杆,防止起吊时发生过大的弯曲变形。
7.4.7 装配整体式圆柱面壳的形式Ⅲ可用于大跨度,并应符合下列规定:
1 整个壳体应由横隔、边梁段、肋拱及壳板四种平面预制构件拼成;
2 拼装时,应先将边梁段、横隔及肋拱通过边梁中预应力筋连成一空框,然后将预制壳板放置于肋拱上,通过板缝纵向预应力筋及混凝土灌缝连成整体;
3 边梁应采用预应力配筋。
7.4.8 装配整体式圆柱面壳的形式Ⅳ可用于短壳,整个壳体可划分为预制板及预制拱架两种构件,拱架也可设计为装配整体式结构。
条文说明
7.4.5~7.4.8 给出装配整体式圆柱面壳常用的四种形式的适用范围和构造要求。
7.4.9 圆柱面壳的边梁与支柱的连接可设计为铰接。当边梁施加预应力时,应考虑对柱子的影响,宜采取相应的构造措施。
8 双曲抛物面扭壳
8.1 几何尺寸
8 双曲抛物面扭壳
8.1 几何尺寸
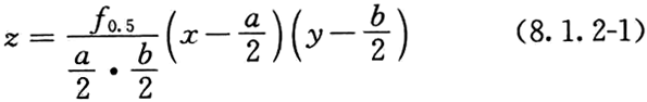
8.1.1 双曲抛物面扭壳可通过一条曲率中心向下的抛物线z=f 1 (x)沿另一条曲率中心向上的抛物线z=f 2 (y)平移而生成(图8.1.1),中曲面方程可按下式表示:

z=f 1 (x)+f 2 (y) (8.1.1-1)
由抛物线z 1 =κ 1 x 2 平移于另一抛物线z 2 =-κ 2 y 2 生成的双曲抛物面扭壳中曲面方程可按下式表示:
z=κ 1 x 2 -κ 2 y 2 (8.1.1-2)
当κ 1 =κ 2 =κ时,中曲面方程可按下式表示:
z=κ(x 2 -y 2 ) (8.1.1-3)
条文说明
8.1.1 本规程修订时结合现有工程经验,对本章内容进行了较大幅度的调整,使其不仅限于扁扭壳,更适用于一般的双曲抛物面扭壳。一般意义上的双曲抛物面扭壳可通过一曲率向下的抛物线平移于另一曲率向上的抛物线生成,形成负高斯曲率壳。双曲抛物面扭壳的形状丰富,可以满足不同的建筑造型要求。
8.1.2 矩形底面双曲抛物面扭壳的中曲面方程可按下列规定确定(图8.1.2):
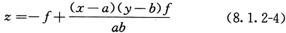
1 单块双倾扭壳:

式中:a——扭壳沿x方向的边长;
b——扭壳沿y方向的边长;
f 0.5 ——单块双倾扭壳中曲面最大矢高的1/2,与图示方向相反时取负值。
2 向下翘曲的单块单倾扭壳:

式中:f——扭壳的矢高,与图示方向相反时取负值。
3 向上翘曲的单块单倾扭壳:

4 组合扭壳靠近坐标原点的部分:


条文说明
8.1.2 矩形底面的直纹双曲抛物面扭壳常用四种形式:单块双倾扭壳、向下翘曲的单块单倾扭壳、向上翘曲的单块单倾扭壳、组合扭壳。对于其中的扁壳情形,可近似将曲面方程中的系数项直接当成扭曲率;对非扁壳情形,不可将系数项直接当成扭曲率。
8.1.3 双曲抛物面扭壳厚度应满足承载力要求。当有集中荷载作用时,扭壳厚度不宜小于80mm。
条文说明
8.1.3 双曲抛物面扭壳厚度应考虑承载力、保护层厚度、施工等因素。当有集中荷载作用时,按照经验,扭壳厚度不应小于80mm。规定矩形底扭壳底面长边与短边的限值是为了取得较好的双向传力效果。
8.1.4 双曲抛物面扭壳壳板与边缘构件连接部位应逐渐加厚(图8.1.4),至根部增加的厚度不宜小于壳板厚度,变厚度的范围不宜小于20倍壳板厚度,且不宜小于矩形短边边长的1/10,并宜满足下式要求:

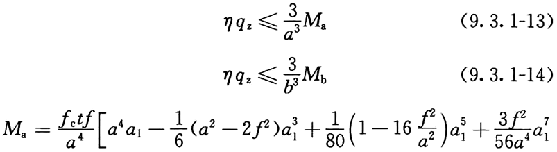
式中:q z ——由壳体、面层自重及活荷载等组成的总荷载,折算成水平投影面上的竖向均布荷载设计值;
t——壳板厚度;
f t ——混凝土抗拉强度设计值;
a、b——矩形扭壳的边长。

条文说明
8.1.4 双曲抛物面扭壳壳板与边缘构件连接部位的厚度应平缓过渡,本条给出了变厚度的要求。公式(8.1.4)是按冲切条件导出的厚度计算公式。
8.2 计算方法
8.2 计算方法
8.2.1 双曲抛物面扭壳结构宜采用有限元法进行计算。
条文说明
8.2.1 双曲抛物面扭壳结构的受力特性较复杂,本规程推荐优先采用有限元法进行计算。有限元法可用于各种形状、各种荷载和边界条件的扭壳结构计算,目前的计算机软件和硬件水平完全可以满足计算要求。
从实用的角度考虑,本规程不再列入原规程中计算四边简支单块双曲抛物面扁扭壳、四边简支组合扁扭壳在竖向均布荷载作用下的内力和位移的附录D,其中包含了计算公式和各种条件下采用的计算系数表。
8.2.2 壳体与边缘构件偏心连接时,应考虑偏心引起的附加弯矩对边缘构件的影响。
8.2.3 当双曲抛物面扭壳的最大矢高不大于矩形底面较小边长的1/5时,可按扁壳理论计算内力和位移。
条文说明
8.2.3 注意按扁壳理论计算内力和位移的适用范围。
8.2.4 各种形式的单块或组合扁扭壳的中曲面扭曲率κ t 可按下列公式计算:
1 单块双倾扭壳:

2 向下翘曲的单块单倾扭壳:

3 向上翘曲的单块单倾扭壳:

4 组合扭壳靠近坐标原点的部分:

条文说明
8.2.4 本条中计算单块或组合扭壳中曲面扭曲率kt的公式只适用于扁扭壳情形,当不符合扁壳条件时这些公式不再适用。
8.2.5 计算扁扭壳的内力时,可将壳体、面层自重及雪载、活荷载等按其总和折算成水平投影面上的竖向均布荷载。
条文说明
8.2.5 对于扁扭壳,将总荷载折算咸水平投影面上的竖向均布荷载计算不会引起大的误差。
8.2.6 方案和初步设计阶段,可按下列简化公式计算扁扭壳中的薄膜应力:

式中:τ m ——剪应力;
σ 1 m ——拉应力;
σ 2 m ——压应力。
条文说明
8.2.6 本条中的公式是简化公式,可以用于方案和初步设计阶段的初步计算。对于需要更精确结果的情况,应采用精确公式或有限元法的结果。
8.2.7 矩形底双曲抛物面扭壳在竖向均布荷载作用下的稳定性可按下式验算:

式中:q z ——壳体的竖向均布荷载设计值。
条文说明
8.2.7 钢筋混凝土薄壳结构的稳定性分析是非常复杂的问题。在有条件时,提倡对钢筋混凝土薄壳结构的稳定性进行考虑初始缺陷、大变形、混凝土开裂、徐变和收缩、材料非线性等的专门研究。
8.3 边缘构件
8.3 边缘构件
8.3.1 双曲抛物面扭壳的边缘构件可采用梁、桁架等。
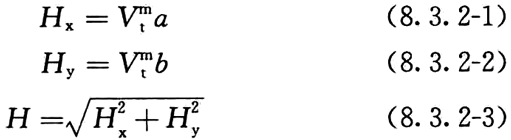
8.3.2 在竖向均布荷载作用下,矩形单块扭壳边缘构件在壳体两对角支座处产生的沿对角线方向的水平推力(图8.3.2)可按下列公式计算:

式中:V t m ——壳体作用于边缘构件的单位长度剪力,V t m =τ m t;
H x ——矩形扭壳边缘构件沿x向的水平推力;
H y ——矩形扭壳边缘构件沿y向的水平推力;
H——矩形扭壳边缘构件沿对角线方向的水平推力;
a、b——矩形扭壳的边长。

条文说明
8.3.2 矩形单块扭壳边缘构件在壳体两对角支座处产生的沿对角线方向的水平推力可分别沿两个坐标轴方向计算,然后叠加。
8.4 构造要求
8.4 构造要求
8.4.1 双曲抛物面扭壳的配筋应符合下列规定:
1 钢筋的直径不应小于8mm,并应采用带肋钢筋;
2 当壳体厚度不大于100mm、且壳面仅作用竖向均布荷载时,可采用单层双向配筋;当壳体有集中荷载作用时,宜局部或全部双层双向配筋;当壳体厚度大于100mm时,宜双层双向配筋;
3 钢筋宜沿平行于壳体直纹方向布置,间距不宜大于200mm。
条文说明
8.4.1 本条按工程经验对双曲抛物面扭壳配筋的最小规格、形式、间距作了规定。
8.4.2 当在竖向荷载标准值作用下,壳体中的主拉应力大于混凝土的抗拉强度标准值时,或当扭壳的跨度大于24m时,宜对壳体施加预压力。预应力筋应沿壳体直纹方向双向布置。预应力扭壳的壳板厚度不宜小于120mm。
条文说明
8.4.2 对双曲抛物面扭壳施加预压应力可以取得较好效果。由于扭壳具有直纹线,预应力钢筋可以沿壳体直纹方向双向布置。
8.4.3 现浇组合扭壳拼接部位的构造应符合下列规定:
1 当扭壳跨度不大于24m时,壳面脊线拼接部位应逐渐加厚,加厚的尺寸应按计算确定,且不宜小于3倍壳体厚度;加厚的范围不宜小于20倍壳板厚度,且不宜小于短边尺寸的1/15(图8.4.3);
2 加厚范围的配筋应按计算确定,垂直于脊线的附加钢筋直径不应小于10mm、间距不应大于200mm,沿脊线方向的纵向钢筋直径不应小于12mm、数量不应少于4根;
3 当扭壳跨度大于24m时,壳面十字形拼接部位宜设置梁,梁宽度不宜小于300mm,梁高度应按计算确定并不宜小于4倍壳板厚度;
4 拼接部位梁的配筋应按计算确定,纵筋直径不应小于16mm、数量不应少于6根,梁箍筋直径不应小于8mm、间距不应大于200mm。

9 膜型扁壳
9.1 适用范围和几何尺寸
9 膜型扁壳
9.1 适用范围和几何尺寸
9.1.1 本章的规定适用于承受均布荷载、周边在同一水平支承面内的矩形或圆形底膜型扁壳。
条文说明
9.1.1 本条规定了本章内容的适用范围,适用于承受的荷载比较规则、周边形状也比较规则的矩形或圆形底膜型扁壳,在此条-件下壳体可以按膜型受力考虑。
9.1.2 抗震设防烈度为9度时不宜采用膜型扁壳。
条文说明
9.1.2 膜型扁壳的配筋量很小,可节约材料,但破坏时延性不足,抗震性能较差,不宜在9度区采用。
9.1.3 矩形底膜型扁壳的最大边长不宜大于8m;圆形底膜型扁壳的最大直径不宜大于10m。
条文说明
9.1.3 本条给出了膜型扁壳平面尺寸的限制。
9.1.4 矩形底膜型扁壳壳板中央的最大矢高宜为矩形底面对角线长度的1/8~1/12;圆形底膜型扁壳壳板中央的最大矢高宜为圆形底面直径的1/5~1/10。
条文说明
9.1.4 本条给出了膜型扁壳矢高的限制。
9.2 成型计算
9.2 成型计算
9.2.1 膜型扁壳成型计算时可假定壳板中只存在相互正交的两个主压内力,且各处的主压内力均应相同,并可根据内力由薄膜理论求得中曲面方程。
条文说明
9.2.1 本条给出了膜型扁壳成型计算的基本假定和基本方法,膜型扁壳的形状与所承受的荷载密切相关。
9.2.2 膜型扁壳在竖向荷载作用下,中曲面的基本控制方程可按下式计算:

式中:n L ——膜型扁壳截面上给定的均布线压力;
q z ——竖向均布荷载。
条文说明
9.2.2 本条给出了膜型扁壳在竖向均布荷载作用下中曲面的控制方程。
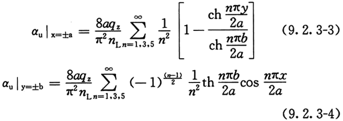
9.2.3 矩形底膜型扁壳在竖向均布荷载作用下各相关参数的计算应符合下列规定(图9.2.3):
1 壳板中曲面的z坐标可按下式计算:

式中:a——壳体底面较长边长的一半;
ζ(x,y)——参数,各点的数值可按表9.2.3-1的规定采用。
2 壳板中央矢高f可按下式计算:




3 壳板中曲面在周边处的倾斜度α u 可按下列公式计算:

式中:b——壳体底面较短边长的一半。
4 壳板中曲面周边各处的倾斜度可按抛物线图形变化计算,其中点最大倾斜度α u,max 可按下列公式计算:

式中:η a 、η b ——系数,可按表9.2.3-2的规定采用。
5 壳板周边垂直于底平面的线反力r n 可按下式计算:

6 总荷载Q z 可按下式计算:


条文说明
9.2.3 本条给出了矩形底膜型扁壳各相关参数的计算公式。
9.2.4 圆形底膜型扁壳在竖向均布荷载作用下各相关参数的计算应符合下列规定(图9.2.4):
1 壳板中曲面的z坐标可按下式计算:

式中:r a ——壳底面半径;
r——中曲面上计算点在底面上的投影距圆心的距离。
2 壳板中央矢高f可按下式计算:

3 壳板中曲面在周边处的倾斜度α u 可按下式计算:

4 壳板周边垂直于底平面的线反力r n 可按下式计算:

5 总荷载Q z 可按下式计算:


条文说明
9.2.4 本条给出了圆形底膜型扁壳各相关参数的计算公式。
9.3 边缘构件
9.3 边缘构件
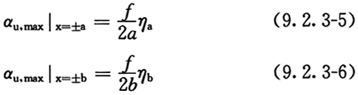
9.3.1 在竖向均布荷载作用下,膜型扁壳边缘构件的配筋应符合下列规定:
1 沿周边支承的圆形底膜型扁壳的边缘构件,应按下列公式进行验算:

式中:η——荷载放大系数,取1.2;
q z ——竖向均布荷载设计值;
A s ——圆形底膜型扁壳边缘构件中的钢筋面积;
h 0 ——膜型扁壳边缘构件的截面有效高度;
f c ——混凝土轴心抗压强度设计值;
f′ y ——钢筋的抗压强度设计值;
f——壳板的矢高。
2 四角支承的矩形底膜型扁壳的边缘构件,应按下列公式进行验算:

式中:M a 、M b ——膜型扁壳对应于边长2a、2b的边缘构件的计算弯矩;
A sa 、A sb ——膜型扁壳对应于边长2a、2b的边缘构件的钢筋截面面积。
3 沿周边支承的矩形底膜型扁壳的边缘构件,应按下列公式进行验算:


条文说明
9.3.1 本条给出了膜型扁壳在均布荷载作用下,边缘构件及其配筋的计算公式。
9.4 构造要求
9.4 构造要求
9.4.1 在矩形底膜型扁壳四角处,应设置垂直于对角线方向、间距为150mm~200mm、直径为6mm~8mm的附加钢筋,设置范围不应小于由壳体角点至1/10对角线长度的区域。在此区域内,壳板应逐渐加厚至2倍壳板厚度。在壳体的两个方向应设置间距不大于200mm、直径不小于6mm的构造钢筋网,并应将此钢筋锚入边缘构件内。
9.4.2 膜型扁壳应支承于周边为刚性的下部结构上。当为柱支承时,边缘构件应满足对壳板的约束刚度要求。
9.4.3 矩形底膜型扁壳周边的边缘构件,应按照刚接闭合框架梁的构造措施,在拐角处适当加腋并应设置附加钢筋(图9.4.3)。当壳体为四角支承时,边缘构件的截面高度不得小于相应跨度的1/30。

条文说明
9.4.1~9.4.3 膜型扁壳的构造主要应注意壳板在角部(对矩形底膜型扁壳)的构造钢筋和边缘的变厚度过渡,以及边缘构件在角部的构造。
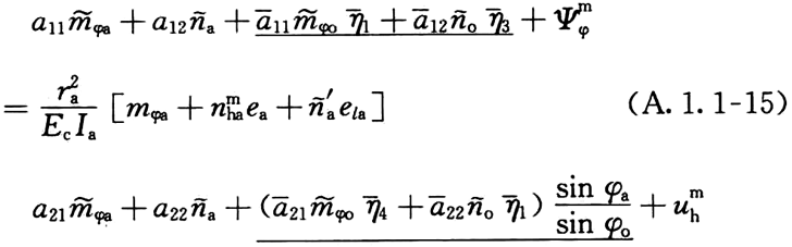
附录A圆形底旋转壳的计算及系数表
A.1圆形底旋转壳的计算公式
附录A 圆形底旋转壳的计算及系数表
A.1 圆形底旋转壳的计算公式
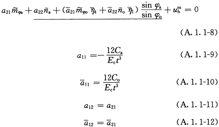
A.1.1 圆形底旋转壳在轴对称荷载作用下,壳板的边界条件应符合下列规定:
1 外环边缘处壳板的铰支边界条件应符合下列规定:

式中:u m h ——边界上按薄膜理论计算的水平位移,可按本规程式(5.1.3-4)计算。计算中的φ值应根据外环边缘或内环边缘分别采用φ a 或φ o 。
注:本条公式中带下划线的项均为远端影响项,一般为次要项,下同。
2 外环边缘处壳板的固定边界条件应符合下列规定:


式中:Ψ m φ ——边界上按薄膜理论计算的经向转角,可按本规程式(5.1.3-5)计算,也可取为零。
3 外环截面为任意形状时,外环边缘处壳板的弹性边界条件应符合下列规定:

式中:Ψ as ——旋转壳壳板外环边缘处的经向转角;
Ψ ar ——旋转壳外环与壳板相接处的经向转角;
u ash ——旋转壳壳板外环边缘处的水平位移;
u arh ——旋转壳外环与壳板相接处的水平位移。
4 外环截面为矩形时,外环边缘处壳板的弹性边界条件应符合下列规定:


式中:P a ——外环截面上的有效预加压力;
A a ——外环截面的面积;
I a ——外环截面绕水平中和轴的惯性矩;
N m φa ——壳体外环边缘处壳板截面上经向的薄膜分布轴向力,可按本规程式(5.1.3-1)计算,其中的φ应采用外环边缘处的值φ a 。
5 内环边缘处壳板的自由边界条件应符合下列规定:

式中:N m φo ——壳体内环边缘处壳板截面上经向的薄膜分布轴向力,可按本规程式(5.1.3-1)计算,其中的φ应采用内环边缘处的值φ o 。
6 内环截面为任意形状时,内环边缘处壳板的弹性边界条件应符合下列规定:

式中:Ψ os ——旋转壳壳板内边缘处的经向转角;
Ψ or ——旋转壳内环与壳板相接处的经向转角;
u osh ——旋转壳壳板内边缘处的水平位移;
u orh ——旋转壳内环与壳板相接处的水平位移。
7 内环截面为矩形时,内环边缘处壳板的弹性边界条件应符合下列规定:

式中:A o ——内环截面的面积;
I o ——内环截面绕水平中和轴的惯性矩。
A.1.2 圆形底旋转壳在轴对称荷载作用下,边缘附近各项修正内力 
、 
、 
和 
的计算应符合下列规定:
1 当壳板特征长度参数之一大于壳板内环边缘到外环边缘弧长s 2 的1/3时,应根据壳板边界的实际情况,按本规程式(A.1.1-1)~式(A.1.1-27)列出内、外环边缘处的一组方程组求解。
2 当壳板特征长度参数均小于壳板内环边缘到外环边缘弧长s 2 的1/3时,可在本规程式(A.1.1-1)~式(A.1.1-27)中忽略带下划线的项,并应根据壳板边界的实际情况,分别列出内、外环边缘处的两组独立的联立方程组求解。
A.2圆形底旋转壳的系数表
A.2 圆形底旋转壳的系数表
A.2.1 扁球壳内力和位移公式中的系数值可按表A.2.1-1和表A.2.1-2采用。


A.2.2 顶部开孔球壳内力公式中的系数值可按表A.2.2-1~表A.2.2-4采用。
















附录B双曲扁壳的计算及系数表
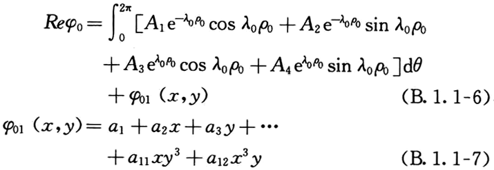
B.1内力和位移控制方程的求解
附录B 双曲扁壳的计算及系数表
B.1 内力和位移控制方程的求解
B.1.1 不等曲率、不带肋双曲扁壳在任意法向荷载作用下的内力和位移可采用控制方程求解,并应符合下列规定:
1 控制方程可按下列公式确定:

式中:q(x,y)——壳面(x,y)点上的法向分布荷载;
φ——壳体的应力函数。
2 控制方程的求解应符合下列规定:
1)控制方程的解应为完备通解和特解之和。
2)完备通解应满足下式:

式中:φ 0 ——公式(B.1.1-1)的完备通解。
3)完备通解的实数部分应满足下列公式:


式中:Reφ 0 一—公式(B.1.1-5)解的实数部分;
A i ,i=1~4——待定系数;
a i ,i=1~12——待定系数。
3 壳板内力和位移可按应力函数φ按下列公式计算:

4 完备通解的实数部分所涉及的待定系数(A i ,i=1~4和a i ,i=1~12)的求解,可在壳板边界上取k个点、建立4k个边界条件、形成下列关于待定系数的矩阵方程,并可按最小二乘法求解:
KU=V (B.1.1-21)
式中:K——n×m阶矩阵,n=4k;
U——待定系数m阶列向量,m≤n;
V——由边界条件所形成的n阶列向量。
B.2内力和位移的计算及系数表
B.2 内力和位移的计算及系数表
B.2.1 双曲扁壳在竖向均布荷载作用下的薄膜内力可按下列公式计算:

式中:ξ 1 、ξ 2 、ξ v ——系数,可根据具体计算位置和a边与b边矢高之比按本规程表B.2.1-1~表B.2.1-7的规定采用(图B.2.1)。












B.2.2 底面为正方形的球面扁壳,当边长与壳体特征长度参数之比小于9时,在竖向均布荷载作用下内力和位移的计算应符合下列规定(图B.2.2):
1 壳体竖向位移可按下式计算:

式中: w ——系数,可按表B.2.2-1的规定采用。
2 壳板截面上的弯矩可按下列公式计算:

式中: m 1 ——系数,可按表B.2.2-2的规定采用;
m 2 ——系数,可按表B.2.2-3的规定采用。
3 壳板截面上的扭矩可按下式计算:

式中: m t ——系数,可按表B.2.2-4的规定采用。
4 壳板截面上的轴向力可按下列公式计算:


式中: n 1 ——系数,可按表B.2.2-5的规定采用;
n 2 ——系数,可按表B.2.2-6的规定采用。
5 壳板截面上的剪力可按下式计算:

式中: v t ——系数,可按表B.2.2-7的规定采用。








本规程用词说明
本规程用词说明
1 为便于在执行本规程条文时区别对待,对要求严格程度不同的用词说明如下:
1)表示很严格,非这样做不可的:
正面词采用“必须”,反面词采用“严禁”;
2)表示严格,在正常情况下均应这样做的:
正面词采用“应”,反面词采用“不应”或“不得”;
3)表示允许稍有选择,在条件许可时首先应这样做的:
正面词采用“宜”,反面词采用“不宜”;
4)表示有选择,在一定条件下可以这样做的,采用“可”。
2 条文中指明应按其他有关标准执行的写法为:“应符合……的规定”或“应按……执行”。
引用标准名录
引用标准名录
1 《建筑结构荷载规范》GB 50009
2 《混凝土结构设计规范》GB 50010
3 《建筑抗震设计规范》GB 50011
4 《工程结构可靠性设计统一标准》GB 50153
5 《钢筋焊接网混凝土结构技术规程》JGJ 114
自2022年4月1日起废止的条文

