Appearance
《湿陷性黄土地区建筑标准[附条文说明]》GB 50025-2018
🗓️ 住房和城乡建设部 实施时间:2019-08-01
前言
中华人民共和国国家标准
湿陷性黄土地区建筑标准
Standard for building construction in collapsible loess regions
GB 50025-2018
主编部门:中华人民共和国住房和城乡建设部
批准部门:中华人民共和国住房和城乡建设部
施行日期:2 0 1 9 年 8 月 1 日
中华人民共和国住房和城乡建设部公告
2018年 第340号
住房和城乡建设部关于发布国家标准《湿陷性黄土地区建筑标准》的公告
现批准《湿陷性黄土地区建筑标准》为国家标准,编号为GB 50025-2018,自2019年8月1日起实施。其中,第4.1.1、4.1.8、5.7.3、6.1.1、7.1.1、7.4.5条为强制性条文,必须严格执行。原《湿陷性黄土地区建筑规范》GB 50025-2004同时废止。
本标准在住房和城乡建设部门户网站(wvw.mohurd.gov.cn)公开,并由住房和城乡建设部标准定额研究所组织中国建筑工业出版社出版发行。
中华人民共和国住房和城乡建设部
2018年12月26日
前言
根据住房和城乡建设部《关于印发<2012年工程建设标准规范制订、修订计划>的通知》 (建标[2012]5号)的要求,标准编制组经广泛调查研究,认真总结实践经验,参考有关国际标准和国外先进标准,并在广泛征求意见的基础上,修订了本标准。
本标准的主要技术内容是:1.总则;2.术语和符号;3.基本规定;4.勘察;5.设计;6.地基处理;7.施工;8.地基及桩基验收检验;9.既有建筑物地基加固和纠倾;10.使用与维护。
本标准修订的主要技术内容是:增加了将建筑类别和地貌单元作为确定勘探深度、间距、探井深度和各勘察阶段工作内容时的条件;调整了基底10m以下湿陷系数的试验压力,增加了压力-湿陷系数(p-δ s )曲线试验要求;调整了湿陷量计算中β的取值,增加了浸水概率系数α;增加了大厚度湿陷性黄土地基上建筑物的建筑、结构、给水排水与通风设计措施;对各类建筑的地基处理深度作了调整,增加了大厚度湿陷性黄土地基上建筑物地基处理深度及外放的规定;增加了地基及桩基的验收检验规定;对中国湿陷性黄土工程地质分区略图做了修订,对湿陷性黄土的物理力学指标表进行了补充;增加了复合地基浸水载荷试验要点、桩基负摩阻力和中性点测试规定。
本标准中以黑体字标志的条文为强制性条文,必须严格执行。
本标准由住房和城乡建设部负责管理和对强制性条文的解释,由陕西省建筑科学研究院有限公司负责具体技术内容的解释。执行过程中如有意见或建议,请寄送陕西省建筑科学研究院有限公司(地址:陕西省西安市环城西路272号,邮政编码:710082)。
本标准主编单位 :陕西省建筑科学研究院有限公司
陕西建工第三建设集团有限公司
本标准参编单位: 机械工业勘察设计研究院有限公司
西北综合勘察设计研究院
中国建筑西北设计研究院有限公司
甘肃省土木建筑学会
中国电力工程顾问集团西北电力设计院有限公司
山西省勘察设计研究院
甘肃土木工程科学研究院
陕西省建设工程质量安全监督总站
西安建筑科技大学
中国人民解放军陆军勤务学院
北京航空航天大学
兰州大学
西安理工大学土木建筑工程学院
宁夏建筑设计研究院有限公司
陕西省建筑设计研究院有限责任公司
新疆维吾尔自治区建筑设计研究院
甘肃众联建设工程科技有限公司
中冶地集团西北岩土工程有限公司
西安长庆科技工程有限责任公司
青海省建设工程勘察设计咨询中心
中铁西北科学研究院有限公司
甘肃省建筑设计研究院
本标准主要起草人员: 朱武卫 罗宇生 王奇维 郑建国 徐张建 郑永强 刘厚健 汪国烈 张炜 韩晓雷 朱沈阳 黄雪峰 滕文川 张豫川 文君 刘西宝 任会明 戚明军 马安刚 张拥军 谢蕴华 胡再强 姚仰平 丁冰 李康 刘存利 严军 刘以藻 刘小平 毛明强 屈耀辉 李静
本标准主要审查人员: 白晓红 曾凡生 高文生 刘明生 沈励操 王长科 董忠级 沈家文 郭汝艳 杨鸿贵 张长城 李存良
1 总则
1 总则
1.0.1 为确保湿陷性黄土地区建筑物(包括构筑物)的安全与正常使用,做到技术先进、经济合理、保护环境、节约能源,制定本标准。
条文说明
1.0.1 在湿陷性黄土地区进行建设,防止地基湿陷,保证建筑工程质量和建筑物(包括构筑物,本标准条文中的建筑物均包括构筑物)的安全使用,做到技术先进、经济合理、保护环境、节约能源,是制定本标准的宗旨和指导思想。
节能是我国的大政方针,建筑能耗在我国总能耗中占据比例较高。在建设的各环节除考虑技术、经济、安全等因素外,同时还应考虑节能要求和对环境的影响。
1.0.2 本标准适用于湿陷性黄土地区建筑工程勘察、设计、施工、检验、使用与维护。
条文说明
1.0.2 我国湿陷性黄土主要分布在山西、陕西、甘肃等大部分地区,河南西部和宁夏、青海、河北的部分地区,新疆、内蒙古和山东、辽宁、黑龙江等省、自治区的局部地区亦有分布。
湿陷性黄土地区的建筑工程,包括交通、电力、能源、水利等行业建设工程中的建筑物的勘察、设计、施工、检验、使用与维护,均应按本标准的规定执行。
1.0.3 在湿陷性黄土地区进行建筑,应根据湿陷性黄土的特点、工程要求和工程所处水环境,因地制宜,采取以地基处理为主的综合措施,防止地基湿陷对建筑物产生危害。
条文说明
1.0.3 湿陷性黄土是一种非饱和的欠压密土,具有大孔和垂直节理。在天然湿度下,其压缩性较低、强度较高,但遇水浸湿时,土的强度显著降低,在附加压力或附加压力和土的自重压力作用下产生的湿陷变形,是一种下沉量大、下沉速度快的失稳性变形,对建筑物危害性大。本条强调了在湿陷性黄土地区进行工程建设,应根据湿陷性黄土的特点(场地湿陷类型、地基湿陷等级、湿陷土层分布特点等)、工程要求(对沉降量和不均匀沉降的敏感程度等)及工程所处的水环境(浸水可能性、地面渗入还是侧向渗入、地下水上升至湿陷土层内可能性)等因素,结合当地建设经验,采取以地基处理为主的综合措施,防止地基湿陷对建筑物产生危害。 防止地基湿陷的措施有地基处理及基础措施、防水措施和结构措施,三种措施的作用和功能各不相同。本标准强调地基处理为主的综合措施,即以治本为主,治标为辅,标本兼治,突出重点,消除隐患。对大厚度湿陷性黄土地基,地基处理难度较大,与一般湿陷性黄土地基处理标准相比有所放宽,防水措施、结构措施更显重要。
1.0.4 湿陷性黄土地区的建筑工程的建设与维护,除应符合本标准外,尚应符合国家现行有关标准的规定。
条文说明
1.0.4 本标准是根据黄土的湿陷性特征编制的,对本标准未规定的有关内容,应按有关现行国家标准执行。
2 术语和符号
2.1 术语
2 术语和符号
条文说明
本次修订增加了湿陷性黄土场地、湿陷性黄土地基、湿陷量和组合处理4个术语,去掉了压缩变形、自重湿陷量的实测值、自重湿陷量的计算值、湿陷量的计算值4个术语。近十年来,随着建设地域逐渐扩大,我国在黄土层厚度很大的塬区等建设了许多高、重建筑物,对基底下黄土层很厚的情况,其处理措施与一般厚度地基的处理标准应有区别,本次修订对其处理标准和配套方法增加了专门规定,因此在术语中将湿陷性黄土地基分为一般湿陷性黄土地基和大厚度湿陷性黄土地基,并相应对术语做了增减。
2.1 术语
2.1.1 湿陷性黄土 collapsible loess
在一定压力下受水浸湿,土的结构迅速破坏,并产生显著附加下沉的黄土。
2.1.2 非湿陷性黄土 noncollapsible loess
在一定压力下受水浸湿,无显著附加下沉的黄土。
2.1.3 自重湿陷性黄土 loess collapsible under overburden pressure
在上覆土的饱和自重压力作用下受水浸湿,产生显著附加下沉的湿陷性黄土。
2.1.4 非自重湿陷性黄土 loess noncollapsible under overburden pressure
在上覆土的饱和自重压力作用下受水浸湿,不产生显著附加下沉的湿陷性黄土。
2.1.5 新近堆积黄土 recently deposited loess
沉积年代短,具高压缩性,承载力低,均匀性差,在50kPa~150kPa压力下变形较大的全新世(Q 2 4 )黄土。
2.1.6 湿陷变形 collapse deformation
湿陷性黄土或具有湿陷性的其他土在一定压力作用下,下沉稳定后,受水浸湿产生的附加下沉。
2.1.7 湿陷起始压力 Initial collapse pressure
湿陷性黄土浸水饱和,开始出现湿陷时的压力。
2.1.8 湿陷系数 coefficient of collapsibility
单位厚度的环刀试样,在一定压力下,下沉稳定后,浸水饱和产生的附加下沉。
2.1.9 自重湿陷系数 coefficient of collapsibility under overburden pressure
单位厚度的环刀试样,在上覆土的饱和自重压力作用下,下沉稳定后,浸水饱和产生的附加下沉。
2.1.10 湿陷量 collapse value
湿陷性黄土在一定压力作用下,下沉稳定后,浸水饱和产生的附加下沉量。可通过计算或实测取得。
条文说明
2.1.10 湿陷量可通过计算或现场试验获得。根据室内压缩试验得出的不同深度湿陷性黄土试样的自重湿陷系数或湿陷系数,考虑现场条件计算得到的湿陷量分别为自重湿陷量计算值或湿陷量计算值;采用现场试坑浸水试验,全部湿陷性黄土层浸水饱和,无外加荷载(仅有土的自重应力)作用下产生的湿陷量为自重湿陷量实测值,在外加荷载和土自重应力共同作用下产生的湿陷量为湿陷量实测值。
2.1.11 湿陷性黄土场地 collapsible loess site
天然地面或挖、填方场地的设计地面以下以湿陷性黄土为主要地层的场地。分为自重湿陷性黄土场地和非自重湿陷性黄土场地。
2.1.12 湿陷性黄土地基 collapsible loess foundation
含有湿陷性黄土的建筑物地基。基底下湿陷性黄土层下限深度小于20m定为一般湿陷性黄土地基,大于等于20m定为大厚度湿陷性黄土地基。
2.1.13 剩余湿陷量 remnant collapse
拟处理土层底面下未处理湿陷性黄土的湿陷量。
2.1.14 组合处理 combined treatment
对湿陷性黄土地基采用两种或两种以上方法处理,或地基处理和桩基结合使用的综合措施。
2.1.15 防护距离 protection distance
防止建筑物地基受管道、水池等渗漏影响的最小距离。
2.1.16 防护范围 area of protection
建筑物周围防护距离以内的区域。
2.2 符号
2.2 符号
2.2.1 抗力和材料性能
a——压缩系数;
E s ——压缩模量;
e——孔隙比;
f a ——修正后的地基承载力特征值;
f ak ——地基承载力特征值;
I p ——塑性指数;
p sh ——湿陷起始压力值;
q pa ——桩端土的承载力特征值;
q sa ——桩周土的摩擦力特征值;
R a ——单桩竖向承载力特征值;
S r ——饱和度;
ω——含水量;
ω L ——液限;
ω p ——塑限;
ω op ——最优含水量;
γ——土的重力密度,简称重度;
γ m ——基础底面以上土的加权平均重度,地下水位以下取有效重度;
θ——地基的压力扩散角;
δ s ——湿陷系数;
δ zs ——自重湿陷系数。
2.2.2 作用和作用效应
p k ——相对于荷载效应标准组合基础底面的平均压力值;
p 0 ——基础底面的平均附加压力值;
S s ——浸水下沉量;
△ zs ——自重湿陷量计算值;
△' zs ——自重湿陷量实测值;
△ s ——湿陷量计算值。
2.2.3 几何参数
A——基础底面积;
b——基础底面的宽度、承压板宽度;
d——基础埋置深度、桩身(或桩孔)直径、承压板直径;
l——基础底面的长度,桩身长度。
2.2.4 计算系数
α——浸水机率系数;
β——考虑基底下地基土的受力状态及地区等因素的修正系数;
β 0 ——因地区土质而异的修正系数;
η b ——基础宽度的承载力修正系数;
η d ——基础埋深的承载力修正系数;
ψ s ——沉降计算经验系数。
3 基本规定
3 基本规定
3.0.1 湿陷性黄土场地上的建筑物分类,应符合下列规定:
1 拟建建筑物应根据重要性、高度、体形、地基受水浸湿可能性大小和对不均匀沉降限制的严格程度等分为四类,并应符合表3.0.1的规定。
表3.0.1 建筑物分类

2 根据基础结构形式、变形刚度、连接方式及重要性等,建筑物各单元可划分为不同类别,也可划分为同一类别。建筑物类别的划分可结合本标准附录A确定。
条文说明
3.0.1 建筑物种类很多,使用功能各不相同,对建筑物分类是为了设计采取措施时区别对待,防止不论工程情况采取“一刀切”的措施。
建筑物分类的主要考虑因素是建筑物高度、重要性、体形复杂程度、基础结构形式、各单元之间的连接方式、地基受水浸湿可能性,也要考虑基底荷载大小、对沉降量的要求和对不均匀沉降的限制等因素。地基受水浸湿可能性分为以下三种:
1 地基受水浸湿可能性大,是指建筑物内的地面经常有水或积水可能性大,排水沟较多或地下管道很多;建筑物附近正在或将来计划修建人工湖或其他大型蓄水设施,或其他因素致地下水位可能上升幅度较大;
2 地基受水浸湿可能性较大,是指建筑物内局部有一般给水、排水或暖气管道;建筑物周边附近有需要经常浇水的绿化带;
3 地基受水浸湿可能性小,是指建筑物内无给排水设施和暖气管道,室外给排水设施距离建筑物较远,地下水位变动幅度小;建于突出高地上的建筑物或构筑物。地下水位很深,周围无用水设施,无汇水条件,雨水可迅速排走。
本次修订对划归甲类和乙类的构筑物附加了地基浸水可能性的限制,降低了某些地基浸水可能小的构筑物地基处理标准。将地基浸水可能性小且总高度低的单层辅助建筑物划入丁类。
3.0.2 防止或减小建筑物地基浸水湿陷的设计措施,应根据建筑物类别和岩土工程勘察对场地和地基的湿陷性评价结果综合确定。设计措施可分为下列三种:
1 地基基础措施
1)消除地基的全部或部分湿陷量;
2)将基础设置在非湿陷性土层上;
3)采用桩基础穿透全部湿陷性黄土层。
2 防水措施
1)基本防水措施:在总平面设计、场地排水、地面防水、排水沟、管道敷设、建筑物散水、屋面排水、管道材料和连接等方面采取措施,防止雨水或生产、生活用水的渗漏;
2)检漏防水措施:在基本防水措施的基础上,对防护范围内的地下管道,增设检漏管沟和检漏井;
3)严格防水措施:在检漏防水措施的基础上,提高防水地面、排水沟、检漏管沟和检漏井等设施的材料标准,如增设可靠的防水层、采用钢筋混凝土排水沟等;
4)侧向防水措施:在建筑物周围采取防止水从建筑物外侧渗入地基中的措施,如设置防水帷幕、增大地基处理外放尺寸等。
3 结构措施
减小或调整建筑物的不均匀沉降,或使结构适应地基的变形。
条文说明
3.0.2 原“规范”提出的三种设计措施,在湿陷性黄土地区的工程建设中已广泛使用。实践证明这些措施行之有效,对防止地基湿陷事故,确保建筑物安全使用具有重要意义,本次修订继续沿用。本次修订根据工程实践增加了侧向防水措施,对水从侧向渗入地基可能性大的情况可采用。侧向防水措施不能代替竖向防水措施,应作为其他措施的补充。
防水措施和结构措施宜根据场地湿陷类型和采取的地基基础措施选择使用。对场地自重湿陷量较小、已消除地基全部湿陷量和采用桩基情况,可选较低标准防水措施;对场地自重湿陷量较大、建筑物地基尚有剩余湿陷量的情况,应选择较高级别防水措施和结构措施。
3.0.3 地基处理及桩基础施工应进行质量检验。质量检验应分为施工自检和验收检验。检验结果应作为地基基础分项或分部工程验收资料的组成部分。
条文说明
3.0.3 施工自检宜由施工单位在施工过程中实施,验收检验应由第三方检测单位完成。地基处理和桩基施工的环节较多,影响工程质量的因素也多。作为过程控制,有些参数在施工中需要检测(施工单位自检),操作也比较容易,施工结束后检测则比较困难,一旦产生质量问题事后也不易补救,因此应加强自检工作。验收检验是验证性检验,一般在施工完成后由有资质的第三方单位进行,检测抽样量一般低于自检抽样量,检验项目侧重点也不相同。
3.0.4 对甲类建筑,以及设计单位认为有必要的乙类建筑,应在设计文件中注明沉降观测点的位置,并提出施工和使用期间的沉降观测要求。
条文说明
3.0.4 沉降观测可及时发现沉降异常,掌握实测值和计算值的关系,对发现事故起到预警作用,也可为事故处理提供依据和信息。在设计文件中提出沉降观测要求是提醒有关单位此项工作的重要性。甲类建筑外的其他类别建筑可根据实际情况决定是否观测。
3.0.5 湿陷性黄土场地上建筑物的设计文件中应附有建筑物和管道的使用与维护要求。建筑物交付使用后,管理单位应按本标准第10章的规定进行维护和检修。
3.0.6 湿陷性黄土地区的非湿陷性场地,建筑地基基础设计应按现行国家标准《建筑地基基础设计规范》GB 50007的规定执行。
4 勘察
4.1 一般规定
4 勘察
4.1 一般规定
4.1.1 湿陷性黄土场地的岩土工程勘察应查明或试验确定下列岩土参数,应对场地、地基作出岩土工程评价,并应对地基处理措施提出建议。
1 建筑类别为甲类、乙类时,场地湿陷性黄土层的厚度、下限深度;
2 自重湿陷系数、湿陷系数及湿陷起始压力随深度的变化;
3 不同湿陷类型场地、不同湿陷等级地基的平面分布。
条文说明
4.1.1 本条为强制性条文。湿陷性黄土场地的岩土工程勘察,首先应符合现行国家标准《岩土工程勘察规范》GB 50021的规定。针对湿陷性黄土特点,本条规定了对勘察的特殊要求,主要是查清湿陷特征及空间分布特点,并要求对地基进行评价,对地基处理、防水措施等提出工程措施建议,本条所提要求均对保证建筑物设计使用年限内的工程安全有重大影响,因此必须强制执行。 因垂直方向上湿陷性土层分布有可能不连续,本次修订增加了查明湿陷性土层下限深度的要求。考虑到有些场地湿陷性土层厚度大、下限深度很深,丙类、丁类建筑全部按此规定执行有不合理之处,故仅要求甲、乙类建筑严格执行。
4.1.2 湿陷性黄土场地的岩土工程勘察,除应符合本标准第4.1.1条及现行国家标准《岩土工程勘察规范》GB 50021的规定外,尚应符合下列规定:
1 查明工程场地及其周边的地形地貌等工程地质条件;
2 查明地下水及河、沟、湖、库、雨水等地面水的汇聚与排泄;
3 查明黄土地层的时代、成因;
4 查明地基土垂直向和水平向的渗透性;
5 场地存在大面积挖填方时,应查清挖填方的范围、厚度、原始地面高程和初始的地形地貌等,评估填挖方对水环境的影响、湿陷性的变化和形成的边坡及隐形边坡等;
6 评估地下水上升、侧向水渗入和地面水汇聚、排泄、下渗对建筑物的影响,并应提出工程建议。
条文说明
4.1.2 除本标准第4.1.1条须强制执行的内容外,针对湿陷性黄土场地特点还有一些特殊要求。因近十年建筑环境更加复杂、建筑规模更大,除强调地基处理外,有必要强调防水等工程措施;而防水首先应查清情况,其次对可能的水源和渗入影响进行较为准确的评估,才能提出有针对性的工程措施。
4.1.3 中国湿陷性黄土工程地质分区,可按本标准附录B划分。
4.1.4 勘察阶段可划分为场址选择或可行性研究、初步勘察、详细勘察三个阶段,并应符合下列规定:
1 各阶段的勘察成果应符合各相应设计阶段的要求;
2 对场地面积较小、地质条件简单或有建筑经验的地区,可简化勘察阶段,但应符合初步勘察和详细勘察两个阶段的要求;
3 对工程地质条件复杂或有特殊要求的建筑物,可进行施工勘察或专门勘察。
条文说明
4.1.4 勘察阶段,除选址或可研、初勘、详勘三个阶段外,对工程规模大的重要工程,还可增加早期阶段的预可研。
一个工程建设项目的确定和批准立项,须有可行性研究为依据。可行性研究报告中要求有必要的关于工程地质条件的内容,当工程项目的规模较大或地质情况复杂时,往往需要进行少量必要的勘察工作,以掌握场地湿陷性情况及有无影响场址安全的不良地质现象等基本情况。有时可行性研究阶段会有不止一个场址方案,就有必要对它们分别作一定的勘察工作,以利场址的科学比选。
4.1.5 勘察工作纲要的编制应按下列条件和要求进行:
1 不同的勘察阶段;
2 场地及其附近已有的工程地质资料和地区建筑经验;
3 场地工程地质条件的复杂程度,黄土层的分布和湿陷性变化特点;
4 水文地质条件,包括对地下水上升、侧向水侵入和地面水汇聚排泄的评估;
5 工程规模,建筑物的类别、特点,设计和施工要求。
条文说明
4.1.5 工程建设的迅猛发展,削山、填沟、造地引起的水环境变化,成为岩土科技界、工程界的新课题,勘察工作纲要中应增加工程地质、水文地质条件变化的资料收集与分析,特别是地下水上升、侧向水浸入、地面水汇聚排泄及边坡稳定性的评估。因此本次修订补充了对水文地质条件的要求。
4.1.6 场地工程地质条件的复杂程度,可分为下列三类:
1 简单场地:地形平缓,地貌、地层简单,场地湿陷类型单一、地基湿陷等级变化不大;
2 中等复杂场地:地形起伏较大,地貌、地层较复杂,局部有不良地质现象发育,场地湿陷类型、地基湿陷等级变化较大;
3 复杂场地:地形起伏很大,地貌、地层复杂,不良地质现象广泛发育,场地湿陷类型、地基湿陷等级分布复杂,地下水位变化幅度大或变化趋势不利。
4.1.7 工程地质测绘,除应符合现行国家标准《岩土工程勘察规范》GB 50021的规定外,尚应符合下列规定:
1 研究地形的起伏和地面水的积聚、排泄条件,调查洪水淹没范围及其发生规律;
2 划分不同的地貌单元,确定其与黄土分布的关系,查明湿陷凹地、黄土溶洞、滑坡、崩塌、冲沟、泥石流及地裂缝等不良地质现象的分布、规模、发展趋势及其对建设的影响;
3 划分黄土地层或判别新近堆积黄土,应分别符合本标准附录C或附录D的规定;
4 调查地下水位的深度、季节性变化幅度、升降趋势及其与地表水体、灌溉情况和开采地下水强度的关系,查明上层滞水、潜水、承压水等地下水类型和来源,评估地下水上升的可能性和程度;
5 调查既有建筑物的现状;
6 了解场地内有无地下坑穴,如古墓、井、坑、穴、地道、砂井(巷)等;
7 调查活动断裂的时代、位置、方向、性质及地震效应。
4.1.8 评价湿陷性用的不扰动土样应为Ⅰ级土样,且必须保持其天然的结构、密度和湿度。
条文说明
4.1.8 本条为强制性条文。土试样按扰动程度分为四个质量等级,其中只有Ⅰ级土试样可用于土类定名、含水量、密度、力学性质等试验,所以用于测试黄土密实度和力学性质的土试样首先必须是Ⅰ级土试样。湿陷性黄土的结构性、含水量、密度等对湿陷指标影响很大,在土样采取、包装、运输、储存等环节均应采取保护措施。
4.1.9 不扰动土样的采取应符合下列规定:
1 取土勘探点中,应有足够数量的探井,其数量应为取土勘探点总数的1/3~1/2,并不宜少于3个;
2 探井的深度,宜穿透湿陷性黄土层;
3 探井中取样,竖向间距宜为1m,土样直径不宜小于120mm;
4 钻孔中取样,应按本标准附录E的规定执行。钻孔取样的土工试验数据宜在与探井取样对比分析的基础上使用,土层的密度、湿陷性和力学指标宜以探井取样土工试验为准。
条文说明
4.1.9 国内外正反两个方面的经验一再证明,探井中人工取样是保证取得Ⅰ级质量湿陷性黄土土样的重要手段,基于这一认识,本标准对探井数量和人工取样要求作了明确规定,应有足够数量的探井,且对探井深度提出要求。
小直径钻孔和各种改进的取土器,较难保证所取土样的原状结构。钻取质量高的土样,首先要保证钻井不对土样产生有害扰动,所以钻井工艺必须合理,其次有好的取土器,将取土过程对土样的扰动降至最低。鼓励研究取得接近Ⅰ级土样的钻进取样方法、设备和工艺,但它必须以探井中人工取样为标准,对所取土样进行对比。
4.1.10 勘探点使用完毕后,应及时用原土分层夯实回填,且密实度不应小于该场地天然黄土的密度。
4.1.11 黄土工程性质评价,宜采用室内土工试验和现场原位试验成果相结合的方法。
条文说明
4.1.11 各种原位测试技术,在湿陷性黄土地区都有不同程度的使用。但针对湿陷性黄土的土性特点,仍应以探井人工取样土工试验为常规试验方法,浸水载荷试验和试坑浸水试验也是非常重要的试验方法。
4.1.12 对地下水位变化幅度较大或变化趋势不利的地段,应从初步勘察阶段开始进行地下水位动态的长期观测。
4.2 各勘察阶段工作要求
4.2 各勘察阶段工作要求
4.2.1 场址选择或可行性研究勘察阶段,应包括下列工作内容:
1 搜集并分析与建设场地相关的工程地质、水文地质资料及地区建筑经验;
2 调查了解拟建场地的地形地貌和黄土层的地质时代、成因、厚度、地下水位以及分布特点;
3 调查影响场地稳定性的不良地质作用和地质环境问题;
4 初步分析黄土湿陷类型、湿陷等级和湿陷下限、评估可能的地基基础类型及优缺点;当已有资料不足时,应开展满足本勘察阶段要求的工程地质测绘、勘探、测试工作;
5 评价场地的稳定性和适宜性,对各拟选场址提出明确比选意见。
条文说明
4.2.1 场址选择或可行性勘察是为建设项目的立项决策提供技术支持,也就是要对建设项目的场地的稳定性和适宜性做出结论,宏观条件交代清楚、主要问题定性准确是该阶段勘察成果的基本要求。条款中提出的不良地质作用和环境地质问题、地基湿陷性问题等是本阶段基本的同时也是重要的工作内容;在勘察方法方面,搜资调查是该阶段的主要方法,在对场址环境有了全面了解的基础上,结合已有的勘探测试资料,就可以对建设项目的工程地质条件和岩土工程问题做出基本判定和评价。如果已有资料不足或存疑,就需要根据项目特点,开展一定的测绘、勘探、测试等勘察工作。
4.2.2 初步勘察阶段应包括下列工作内容:
1 初步查明场地地层结构、各土层的物理力学性质、场地湿陷类型、地基湿陷等级、湿陷下限及其在不同区段内的差异;
2 初步查明场地地下水的类型与埋深、场地及周边范围内地表水汇集和排泄情况,分析地下水与地表自然水体(系)的联系特点,预估地下水位季节性变化幅度和升降可能性;
3 查明场地内不良地质作用的类型、成因、分布范围和危害程度;
4 结合岩土工程条件分析建筑总平面布置的合理性,对不同类型建筑的地基基础方案和地质环境防治做出分析建议,提出岩土设计参数初步取值意见。
4.2.3 初步勘察应符合下列规定:
1 场地工程地质条件复杂时应进行工程地质测绘,其比例尺可采用1:1000~1:5000;
2 勘探点应沿地貌单元的纵、横剖面线方向或分界线及其垂直线方向布置,且每个地貌单元上均应有勘探点;取样和原位测试勘探点在平面布局上应具控制性,其数量不得少于全部勘探点的1/2;
3 勘探点的间距和深度宜分别按表4.2.3-1、表4.2.3-2确定;
表4.2.3-1 初步勘察勘探点间距(m)

注:1 地貌单元分界地带应加密勘探点;
2 黄土沟谷谷底应有勘探线或勘探点。
表4.2.3-2 初步勘察勘探点深度

注:表中勘探深度内遇稳定地下水位或非湿陷性坚实地层时,部分勘探点可终孔。
4 每主要土层取不扰动土样进行湿陷性试验不应少于6组;
5 当根据地区建筑经验难以确定湿陷类型时,甲类建筑和乙类中的重要建筑应按本标准第4.3.7条的规定进行现场试坑浸水试验。
条文说明
4.2.2、4.2.3 初步勘察工作为设计专业确定总平面布置方案、地基基础方案和环境治理方案提供依据,因此勘察工作既要有对设计预案的针对性,还要有适应设计方案调整的预见性和包容性。
一个场地的地层结构分布通常和地貌类型有直接的关联,本次修订根据地貌单元和建筑类别的不同来规定勘探点的间距以及深度,容易把握,其中勘探点深度通过考虑压缩层深度、湿陷性评价深度和一些典型工程的经验综合确定。一个场地如有多类建筑或几种地貌形态,勘察工作就需要统筹兼顾突出重点来安排。
4.2.4 详细勘察阶段应包括下列工作内容:
1 详细查明各建筑地段的地层结构、场地湿陷类型、地基湿陷等级,甲类和乙类建筑地段尚应查明湿陷下限;
2 查明各建筑地段土层的物理力学性质指标,对每层湿陷性土层选取典型土样测试不同压力下的湿陷系数,绘制该层的压力-湿陷系数(p-δ s )曲线;分析湿陷起始压力、强度与变形指标沿深度的变化特点;
3 根据地下水类型、埋深,结合上部结构物特性和周边环境条件,分析地基浸水湿陷的可能性和程度;
4 提出适宜的地基处理或基础方案并进行分析,对处理深度和主要技术参数提出建议;
5 进一步查明场地内不良地质作用类型、成因、分布范围和危害程度,提出防治措施建议;
6 有深基坑和降水施工时,尚应分析评估坑壁稳定性以及对邻近建筑物的影响,并提供相关计算参数;场地条件复杂时,应进行专项研究。
4.2.5 详细勘察应符合下列规定:
1 勘探点应沿建筑轮廓或基础中心位置布设;
2 建筑群勘探点间距宜按表4.2.5确定;
表4.2.5 建筑群勘探点间距(m)

3 单体建筑勘探点数量,甲类、乙类建筑不宜少于5个,丙类建筑不应少于3个,丁类建筑不应少于2个,杆塔式构筑物不应少于1个;
4 勘探点深度应大于地基压缩层深度且满足评价湿陷等级的深度需要,甲类、乙类建筑尚应穿透湿陷性土层,对桩基工程尚应满足验算沉降的要求;
5 采取不扰动土样和原位测试的勘探点不应少于全部勘探点的2/3,且取样勘探点不宜少于全部勘探点的1/2。
条文说明
4.2.4、4.2.5 详细勘察是为施工图设计提供相关岩土资料,通常该阶段设计方案已经明朗,所以勘察工作就是围绕具体建筑的个性条件进行,因而详细勘察具有强烈的针对性,勘察内容不漏项、技术深度到位是基本的工作方针。
本次对勘探点的深度进行了调整,按同时满足地基压缩层评价和湿陷等级评价的深度双控原则作出规定,不再采用原来一刀切的数字式规定,以更适应各种地基条件的差异化情况。
近些年来,深基坑和降水工程越来越多,坑壁稳定性以及邻近建筑物的安全性需要得到恰当的勘察评估。场地环境复杂时,往往需要专门勘察设计或专项研究,常规勘察报告中可以给出建议。
4.3 测定黄土湿陷性的试验
4.3 测定黄土湿陷性的试验
条文说明
测定黄土湿陷性的试验分为室内压缩试验、现场静载荷试验和现场试坑浸水试验。室内压缩试验主要用于测定黄土的湿陷系数、自重湿陷系数、湿陷起始压力和绘制压力-湿陷系数曲线;现场静载荷试验可测定黄土的湿陷性和湿陷起始压力,由于室内压缩试验测定黄土的湿陷性比较简便,而且可同时测定不同深度的黄土湿陷性,所以仅规定在现场测定湿陷起始压力;现场试坑浸水试验主要用于确定自重湿陷量的实测值,以判定场地湿陷类型和自重湿陷下限深度。现场试坑浸水试验地点的确定应考虑浸水对建筑地基的影响,有条件时尽量选择在场地外。
Ⅰ 室内压缩试验
4.3.1 测定黄土湿陷系数δ s 、自重湿陷系数δ zs 、湿陷起始压力p sh 和绘制压力-湿陷系数(p-δ s )曲线的室内压缩试验应符合下列规定:
1 土样的质量等级应为Ⅰ级不扰动土样;
2 环刀面积不应小于5000mm 2 ;使用前应将环刀洗净风干,透水石应烘干冷却;
3 加荷前,环刀试样应保持天然湿度;
4 试样浸水宜用蒸馏水;
5 试样浸水前和浸水后的稳定标准,应为下沉量不大于0.01mm/h。
条文说明
4.3.1 采用室内压缩试验测定黄土的湿陷性应遵守有关统一的要求,以保证试验方法和过程的统一性及试验结果的可比性。这些要求包括试验土样、试验仪器、浸水水质,试验变形稳定标准等方面。
湿陷系数和土的含水量存在相关关系,根据试验对比结果,透水石的干湿程度对湿陷系数试验结果有一定影响,使用前应将环刀洗净风干,透水石应烘干冷却。
4.3.2 测定湿陷系数除应符合本标准第4.3.1条的规定外,尚应符合下列规定:
1 分级加荷至试样的规定压力,下沉稳定后,试样浸水饱和至附加下沉稳定,试验终止。
2 压力在(0~200)kPa范围内,每级增量宜为50kPa;压力大于200kPa时,每级增量宜为100kPa。
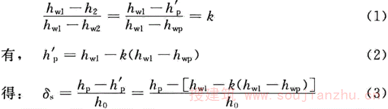
3 湿陷系数δ s 值,应按下式计算:

式中:h p ——保持天然湿度和结构的试样,加至一定压力时,下沉稳定后的高度(mm);
h' p ——加压下沉稳定后的试样,在浸水饱和条件下,附加下沉稳定后的高度(mm);
h 0 ——试样的原始高度(mm)。
4 测定湿陷系数δ s 的试验压力,应按土样深度和基底压力确定。土样深度自基础底面算起,基底标高不确定时,自地面下1.5m算起;试验压力应按下列条件取值:
1)基底压力小于300kPa时,基底下10m以内的土层应用200kPa,10m以下至非湿陷性黄土层顶面,应用其上覆土的饱和自重压力;
2)基底压力不小于300kPa时,宜用实际基底压力,当上覆土的饱和自重压力大于实际基底压力时,应用其上覆土的饱和自重压力;
3)对压缩性较高的新近堆积黄土,基底下5m以内的土层宜用(100~150)kPa压力,5m~10m和10m以下至非湿陷性黄土层顶面,应分别用200kPa和上覆土的饱和自重压力。
条文说明
4.3.2 本条规定了室内压缩试验测定湿陷系数的试验程序,并列出了湿陷系数的计算式。
关于测定湿陷系数的压力,采用取土样位置将受到的实际压力(附加压力与上覆土的饱和自重压力之和)最为合适,但在勘察阶段,由于基础设计未最终确定,实际压力往往不能计算或计算过程较为复杂,后期变数较多,采用实际压力试验难度很大。
如基础设计变更,地基进行处理,或采用桩基础,实际压力将相应发生变化,这些因素在勘察阶段要一一确定也不现实。本次修订增加了测定、绘制黄土的压力-湿陷系数(p-δs)曲线的规定,为解决以后的评价提供了数据依据,后期可根据实际压力对湿陷性重新评定。而勘察阶段采用统一的与实际压力接近的试验压力既能保证评价的准确度,又为勘察工作提供了便利,也有利于不同场地湿陷性的比较。若实际压力能确定,鼓励有条件的单位和工程,使用实际压力进行湿陷系数试验(新近堆积黄土除外)。
4.3.3 测定自重湿陷系数除应符合本标准第4.3.1条的规定外,尚应符合下列规定:
1 分级加荷,加至试样上覆土的饱和自重压力,下沉稳定后,试样浸水饱和,附加下沉稳定,试验终止。上覆土的饱和自重压力应自天然地面算起,挖、填方场地应自设计地面算起。
2 试样上覆土的饱和密度,可按下式计算:

式中:ρ s ——土的饱和密度(g/cm 3 );
ρ d ——土的干密度(g/cm 3 );
S r ——土的饱和度,可取S r =85%;
e——土的孔隙比;
d s ——土粒相对密度(比重)。
3 自重湿陷系数δ zs 值,可按下式计算:

式中:h z ——保持天然湿度和结构的试样,加压至该试样上覆土的饱和自重压力时,下沉稳定后的高度(mm);
h' z ——加压稳定后的试样,在浸水饱和条件下,附加下沉稳定后的高度(mm)。
4.3.4 测定压力-湿陷系数(p-δ s )曲线和湿陷起始压力除应符合本标准第4.3.1条的规定外,尚应符合下列规定:
1 可选用单线法压缩试验或双线法压缩试验;
2 从同一土样中所取环刀试样,其密度差值不得大于0.03g/cm 3 ;
3 压力在(0~150)kPa范围内,每级增量宜为25kPa~50kPa,压力大于150kPa时,每级增量宜为50kPa~100kPa;
4 测定压力-湿陷系数(p-δ s )曲线时,试验最大压力应大于土样所处位置处附加压力与上覆土的饱和自重压力之和;
5 单线法压缩试验不应少于5个环刀试样,且均应在天然湿度下分级加荷,分别加至不同的规定压力,下沉稳定后,各试样浸水饱和,附加下沉稳定,试验终止;
6 双线法压缩试验,应按下列步骤进行:
1)应取2个环刀试样,分别对其施加相同的第一级压力,下沉稳定后应将2个环刀试样的百分表读数调整一致,调整时应考虑各仪器变形量的差值;
2)应将2个环刀试样中的一个试样保持在天然湿度下分级加荷,加至最后一级压力,下沉稳定后,试样浸水饱和,附加下沉稳定,试验终止;
3)应将环刀试样中的另一个试样浸水饱和,附加下沉稳定后,在浸水饱和状态下分级加荷,每级荷载下沉稳定后继续加荷,加至最后一级压力,下沉稳定,试验终止;
4)当天然湿度的试样在最后一级压力下浸水饱和,附加下沉稳定后的高度与浸水饱和试样在最后一级压力下下沉稳定后的高度不一致且相对差值不大于20%时,应以前者的结果为准,对浸水饱和试样的试验结果进行修正;相对差值大于20%时,应重新试验。
条文说明
4.3.4 在室内测定土样的压力-湿陷系数(p-δs)曲线和湿陷起始压力有单线法和双线法两种。单线法试验较为复杂,双线法试验相对简单,已有的研究资料表明,只要对试样及试验过程控制得当,两种方法得到的湿陷起始压力试验结果基本一致。 但在双线法试验中,天然湿度试样在最后一级压力下浸水饱和附加下沉稳定高度与浸水饱和试样在最后一级压力下的下沉稳定高度通常不一致,如图1所示,h0ABCC1曲线与h0AA1B2C2曲线不闭合,因此在计算各级压力下的湿陷系数时,需要对试验结果进行修正。研究表明,单线法试验的物理意义更为明确,其结果更符合实际,对试验结果进行修正时以单线法为准来修正浸水饱和试样各级压力下的稳定高度,即将A1B2C2曲线修正至A1B1C1曲线,使饱和试样的终点C2与单线法试验的终点C1重合,以此来计算各级压力下的湿陷系数。 
图1 双线法压缩试验 在实际计算中,如需计算压力p下的湿陷系数δs,则假定: 
其中,
,可作为判别试验结果是否可以采用的参考指标,其范围宜为1.0±0.2,如超出此限,则应重新试验或舍弃试验结果。 计算实例:某一土样双线法试验结果及对试验结果的修正与计算见表1。 表1 某一土样双线法试验结果及对试验结果的修正与计算 
绘制p-δs曲线,得δs=0.015对应的湿陷起始压力psh为50kPa。 双线法试验第一级压力下2个环刀下沉稳定后的百分表读数不一致时,宜将浸水饱和试样的百分表读数调整至天然环刀试样的读数。
Ⅱ 现场静载荷试验
4.3.5 现场测定湿陷性黄土的湿陷起始压力,可采用单线法静载荷试验或双线法静载荷试验,并应符合下列规定:
1 单线法静载荷试验:应在同一场地相邻地段和相同标高的天然湿度土层上设3个或3个以上静载荷试验,分级加压,分别加至各自的规定压力,下沉稳定后,向试坑内浸水至饱和,附加下沉稳定后,试验终止。
2 双线法静载荷试验:在同一场地的相邻地段和相同标高,应设2个静载荷试验。其中1个应设在天然湿度的土层上分级加压,加至规定压力,下沉稳定后,试验终止;另1个应设在浸水饱和的土层上分级加压,加至规定压力,下沉稳定或确认土体已破坏后,试验终止。
条文说明
4.3.5 现场静载荷试验主要用于测定非自重湿陷性黄土场地的湿陷起始压力,自重湿陷性黄土场地的湿陷起始压力值小,无使用意义,一般不在现场测定。
在现场测定湿陷起始压力与室内试验相同,也分为单线法和双线法。二者试验结果有的相同或接近,有的互有大小。一般认为,单线法试验结果较符合实际,但单线法的试验工作量较大,在同一场地的相同标高及相同土层,单线法需做3台及以上静载荷试验,而双线法只需做2台静载荷试验(一个为天然湿度,一个为浸水饱和)。
本条对现场测定湿陷起始压力的方法与要求作了规定,可选择其中任一方法进行试验。
4.3.6 在现场采用静载荷试验测定湿陷性黄土的湿陷起始压力,尚应符合下列规定:
1 承压板的底面积宜为0.50m 2 ,试坑边长或直径应为承压板边长或直径的3倍,安装载荷试验设备时,应保持试验土层的天然湿度和原状结构,压板底面下宜用10mm~15mm厚的粗、中砂找平;
2 每级加压增量不宜大于25kPa,试验终止压力不应小于200kPa;
3 每级加压后,按间隔15min、15min、15min、15min各测读1次下沉量,以后每隔30min观测1次,当连续2h内,每1h的下沉量小于0.10mm时,认为压板下沉已稳定,即可加下一级压力;
4 试验结束后,应根据试验记录,绘制判定湿陷起始压力的p-S s 曲线图。
条文说明
4.3.6 本条对现场静载荷试验的承压板面积、试坑尺寸、分级加压增量和加压后的观测时间及稳定标准等进行了规定。 通过大量实验研究比较,测定黄土湿陷和湿陷起始压力,承压板面积宜为0.50m2,压板底面宜为方形或圆形,试坑深度宜与基础底面标高相同或接近。
Ⅲ 现场试坑浸水试验
4.3.7 现场采用试坑浸水试验测定自重湿陷量的实测值和自重湿陷下限深度时应符合下列规定:
1 试坑宜挖成圆形或方形,其直径或边长不应小于湿陷性黄土层的底面深度,并不应小于10m;试坑深度宜为0.5m,最深不应大于0.8m。坑底宜铺100mm厚的砂砾石。
2 试坑内应对称设置观测自重湿陷的深标点,最大埋设深度应大于室内试验确定的自重湿陷下限深度,各湿陷性黄土层分界深度位置宜布设有深标点。在试坑底部,由中心向坑边以不少于3个方向,均匀设置观测自重湿陷的浅标点。在试坑外沿浅标点方向10m或20m内设置地面观测标点。观测精度宜为±0.5mm。
3 试坑内的水头高度不宜小于300mm。在浸水过程中,应观测湿陷量、耗水量、浸湿范围和地面裂缝。湿陷稳定后可停止浸水,稳定标准为最后5d的平均湿陷量小于1mm/d。
4 设置观测标点前,可在坑底面打一定数量及深度的渗水孔,孔内应填满砂砾。
5 应在试坑内停止浸水前,测试自重湿陷性土层的饱和度。
6 试坑内停止浸水后,应继续观测不少于10d,且最后连续5d的平均下沉量不大于1mm/d,试验终止。
条文说明
4.3.7 现场试坑浸水试验可确定自重湿陷量的实测值,用以判定场地湿陷类型比较准确可靠,但浸水试验时间较长,一般需要1个月~2个月,并且需要较多的用水。本标准规定,在缺乏经验的新建地区,对甲类和乙类中的重要建筑,应采用试坑浸水试验,乙类中的一般建筑和丙类建筑以及有建筑经验的地区,均可按自重湿陷量的计算值判定场地湿陷类型。进行现场试坑浸水试验的场地应选择具有良好代表性的地段,不宜选择对后续地基处理设计和施工造成不利影响的地段。 本条规定了浸水试坑尺寸采用“双指标”控制,此外,还规定了观测自重湿陷量的深、浅标点埋设方法和观测要求以及停止浸水的稳定标准等。上述规定对确保实验数据的完整性和可靠性具有实际意义。
4.4 黄土湿陷性评价
4.4 黄土湿陷性评价
4.4.1 黄土的湿陷性和湿陷程度,应按室内浸水(饱和)压缩试验,在一定压力下测定的湿陷系数δ s 判定,并应符合下列规定:
1 当δ s ≥0.015时,应定为湿陷性黄土;当δ s <0.015时,应定为非湿陷性黄土。
2 湿陷性黄土的湿陷程度划分,应符合下列规定:
1)当0.015≤δ s ≤0.030时,湿陷性轻微;
2)当0.030<δ s ≤0.070时,湿陷性中等;
3)当δ s >0.070时,湿陷性强烈。
条文说明
4.4.1 黄土的湿陷性室内试验是在现场采取不扰动土样,送至试验室用完全侧限固结仪测定,也可用三轴压缩仪测定。前者试验操作较简便,我国自20世纪50年代至今,生产单位一直广泛使用;后者试样制作较为复杂,多为教学和科研使用。根据试验结果,以湿陷系数0.015作为湿陷性土和非湿陷性土的分界线。 多年来的试验研究资料和工程实践表明,湿陷系数δs≤0.030的湿陷性黄土,湿陷起始压力较大,地基受水浸湿时,湿陷性轻微,对建筑物危害性较小;0.030<δs≤0.070的湿陷性黄土,湿陷性中等或较强烈,湿陷起始压力小的具有自重湿陷性,地基受水浸湿时,下沉速度较快,附加下沉量较大,对建筑物有一定危害性;δs>0.070的湿陷性黄土,湿陷起始压力小的具有自重湿陷性,地基受水浸湿时,下沉速度快,附加下沉量大,对建筑物危害性大。勘察、设计,尤其是地基处理,应根据湿陷程度及特点区别对待。
4.4.2 湿陷性黄土场地的湿陷类型,应按自重湿陷量实测值△' zs 或自重湿陷量计算值△ zs 判定,并应符合下列规定:
1 自重湿陷量实测值△' zs 或自重湿陷量计算值△ zs 小于或等于70mm时,应定为非自重湿陷性黄土场地;
2 自重湿陷量实测值△' zs 或自重湿陷量计算值△ zs 大于70mm时,应定为自重湿陷性黄土场地;
3 按自重湿陷量实测值和自重湿陷量计算值判定出现矛盾时,应按自重湿陷量实测值判定。
条文说明
4.4.2 自重湿陷量实测值是在现场采用试坑浸水试验测定的,自重湿陷量计算值是在现场采取不同深度的不扰动土样,通过室内浸水压缩试验测定的自重湿陷系数考虑地区因素后计算得出的。
由于土样在采取、运输、制作等环节不可避免的扰动,试样制作和试验过程的人为因素,土样取出后应力状态的改变,试验时完全侧限的应力状态和实际状态的差别,土样的代表性强弱,以及现场浸水试验时天然状态下地层结构的影响等,自重湿陷量计算值和实测值很难完全吻合。当有现场浸水试验数据时,应以现场试验的结果作为评价标准。
4.4.3 湿陷性黄土场地自重湿陷量计算值应按下式计算:

式中:△ zs ——自重湿陷量计算值(mm);应自天然地面(挖、填方场地应自设计地面)算起,计算至其下非湿陷性黄土层的顶面止;勘探点未穿透湿陷性黄土层时,应计算至控制性勘探点深度止,其中自重湿陷系数δ zs 值小于0.015的土层不累计;
δ zsi ——第i层土的自重湿陷系数;
h i ——第i层土的厚度(mm);
β 0 ——因地区土质而异的修正系数,缺乏实测资料时,可按表4.4.3取值。
表4.4.3 因地区土质而异的修正系数

条文说明
4.4.3 自重湿陷量的计算值与起算地面有关。起算地面标高不同,场地湿陷类型就可能不同,以往出现过在建设中平整场地,由于挖、填方的厚度和面积较大,致使场地湿陷类型发生变化的实例。例如,山西某矿生活区,在勘察期间被判定为非自重湿陷性黄土场地,后来平整场地,部分地段填方厚度达3m~4m,下部土层的压力增大到50kPa~80kPa,超过了该场地的湿陷起始压力值而成为自重湿陷性黄土场地。建筑物在使用期间,管道漏水浸湿地基引起湿陷事故,室外地面亦出现裂缝,后经补充勘察查明,上述事故是由于场地整平,填方后产生自重湿陷所致。因此,当挖、填方的厚度和面积较大时,测定自重湿陷系数的试验压力和自重湿陷量的计算值,均应自整平后(或设计)的地面算起,否则,计算和判定结果不符合现场实际情况。 自重湿陷量计算值应计算至非湿陷性土层顶面。如场地上建筑物全部为丙类、丁类建筑,按本标准第4.2.3条的规定,勘探孔有可能未穿透湿陷性土层,此种情况下可只计算至控制性勘探点深度止,但如果本场地有勘探孔穿透湿陷土层,仍应计算至非湿陷性土层顶面。 根据室内浸水压缩试验所得的自重湿陷系数计算的自重湿陷量的计算值和现场试坑浸水试验得到的自重湿陷量的实测值存在差异,造成差异的原因很多,其中与场地所在地区有较明显相关关系。例如:陇西地区和陇东-陕北-晋西地区,自重湿陷量的实测值大于计算值,其比值大于1;关中地区自重湿陷量的实测值与计算值互有大小,但总体上相差较小,其比值接近1;山西、河南、河北等地区,自重湿陷量的实测值通常小于计算值,其比值小于1。 为使同一场地自重湿陷量的计算值和实测值接近或相同,在自重湿陷量计算时引入因地区土质而异的修正系数β0,以反映地区土质差异。条文中给出的β0值是根据各地区已有浸水试验资料宏观上的统计值,近年也发现局部区域因特殊原因造成β0值和本地区差异较大,对此种情况,若有当地浸水试验实测资料,可采用当地实测数据。表2为同一场地自重湿陷量的实测值与计算值统计。 表2 同一场地自重湿陷量的实测值与计算值统计 

4.4.4 湿陷性黄土地基受水浸湿饱和,其湿陷量计算值应按下式计算:

式中:△ s ——湿陷量计算值(mm);应自基础底面(基底标高不确定时,自地面下1.5m)算起。在非自重湿陷性黄土场地,累计至基底下10m深度止,当地基压缩层深度大于10m时累计至压缩层深度。在自重湿陷性黄土场地,累计至非湿陷性黄土层的顶面止,控制性勘探点未穿透湿陷性黄土层时,累计至控制性勘探点深度止。其中湿陷系数值小于0.015的土层不累计。
δ si ——第i层土的湿陷系数,按本标准第4.3节的规定取值;基础尺寸和基底压力已知时,可采用p-δ s 曲线上按基础附加压力和上覆土饱和自重压力之和对应的δ s 值。
h i ——第i层土的厚度(mm)。
β——考虑基底下地基土的受力状态及地区等因素的修正系数,缺乏实测资料时,可按表4.4.4-1的规定取值。
α——不同深度地基土浸水机率系数,按地区经验取值。无地区经验时可按表4.4.4-2取值。对地下水有可能上升至湿陷性土层内,或侧向浸水影响不可避免的区段,取α=1.0。
表4.4.4-1 修正系数β

表4.4.4-2 浸水机率系数α

条文说明
4.4.4 本条提出了湿陷量计算公式: 1 公式(4.4.4)计算湿陷量采用饱和状态下的湿陷系数,但并不意味着地基土只在饱和状态下才产生湿陷。主要是考虑在实际应用中统一标准,便于比较,故按最不利情况进行计算。 2 计算△s时所用的δsi,以最接近地基的实际应力状态为好,因此首选采用p-δs曲线上按基础附加压力和上覆土饱和自重压力之和对应的δs值。压力不能确定时取本标准第4.3节规定的试验值。 3 根据试验研究资料,基底下地基土在发生竖向压缩的同时会产生侧向挤出,侧向挤出与地基土本身性质、基底压力大小、基础宽度及侧向约束强度等因素有关。为使计算湿陷量更接近实际,引入修正系数β以反映侧向挤出以及地区因素等各种因素的影响。本次修订对β在5m~10m范围的取值做了调整,陇西地区和陇东-陕北-晋西地区的自重湿陷性场地β有所增大,其余地区未变。 4 根据未打浸水孔的自然浸水试验资料,平面范围有限的地表水自然向下渗透时。地基土达到饱和的时间和深度是非线性关系,即地基土所处位置越深越难以达到饱和,而且似乎存在一个渗透下限,说明土层浸水概率随深度的增加而减小。本次修订引入地基浸水机率系数α以反映这一规律,仅是对于建成后水只有自上而下渗入地基这一种可能性时可采用修正系数,对于地下水有上升至湿陷土层内可能性时,修正系数取1。 5 非自重湿陷性黄土场地,在地基附加应力影响范围以下的地基土不会产生湿陷,因此湿陷量计算累计深度不得小于压缩层深度,且不得小于10m。在自重湿陷性黄土场地,累计至非湿陷性黄土层的顶面止;如场地上建筑物全部为丙类、丁类建筑,按本标准第4.2.3条的规定,勘探孔有可能未穿透湿陷性土层,此种情况下可只计算至控制性勘探点深度止,但如果本场地有勘探孔(其他建筑下也可)穿透湿陷土层,仍应计算至非湿陷性土层顶面。
4.4.5 湿陷性黄土的湿陷起始压力p sh 值可按下列方法确定:
1 当按现场静载荷试验结果确定时,应在压力与浸水下沉量(p-S s )曲线上,取转折点所对应的压力作为湿陷起始压力值。曲线上的转折点不明显时,可取浸水下沉量(S s )与承压板直径(d)或宽度(b)之比等于0.017所对应的压力作为湿陷起始压力值。
2 当按室内压缩试验结果确定时,宜在p-δ s 曲线上取δ s =0.015所对应的压力作为湿陷起始压力值。
条文说明
4.4.5 湿陷起始压力是反映非自重湿陷性黄土特性的重要指标,具有实用价值。本条规定了按现场静载荷试验结果和室内压缩试验结果确定湿陷起始压力的方法。前者根据20组静载荷试验资料,按湿陷系数δs=0.015所对应的压力,相当于在p-δs曲线上的ss/b(或ss/d)=0.017。为此规定,如p-ss曲线转折点不明显时,取浸水下沉量(ss)与承压板直径(d)或宽度(b)之比等于0.017所对应的压力为湿陷起始压力。
4.4.6 湿陷性黄土地基的湿陷等级,应根据自重湿陷量计算值或实测值和湿陷量计算值,按表4.4.6判定。
表4.4.6 湿陷性黄土地基的湿陷等级

注:对70<△ zs ≤350、300<△ s ≤700一档的划分,当湿陷量的计算值△ s >600mm、自重湿陷量的计算值△ zs >300mm时,可判为Ⅲ级,其他情况可判为Ⅱ级。
条文说明
4.4.6 场地的湿陷性质是其本质的、自然的属性,自重湿陷量是在上覆土的饱和自重压力下发生的湿陷量,从地面开始评价。湿陷量计算值则是在接近基底下地基土实际应力下发生的可能湿陷量,评价从基底开始,两者代表不同意义。湿陷系数是压力的函数,所谓“自重湿陷”和“非自重湿陷”,实际上是在特定压力(上覆土饱和自重压力)下是否湿陷,本质上还是压力问题。建筑基础下地基土是否湿陷,和其实际应力状态相关性最大,场地湿陷类型某种程度上代表了湿陷敏感性。原规范在评价地基湿陷等级时和场地湿陷类型挂钩主要是考虑到自重湿陷性场地上湿陷敏感度高,且危害相对严重。但在目前多数建筑基底压力较大、基础埋深较深的实际情况下,评价中会出现不合理之处,如只要场地评价为自重湿陷性场地,则不论基础下地基土是否湿陷,地基湿陷等级均在Ⅱ级以上,有的建筑基础埋深较深,大多数甚至全部湿陷土层被挖除,剩余湿陷土层不多时地基湿陷等级仍被评为高等级,需要采取和湿陷等级配套的地基处理措施。因此本次修订对湿陷量计算值小于300mm一档作了细分,以避免上述不合理处。 另外同为自重湿陷场地,但自重湿陷量大小差别很大,设计人员对场地道路、管道等应根据自重湿陷量大小区别对待,分别采取措施。
5 设计
5.1 一般规定
5 设 计
5.1 一般规定
5.1.1 湿陷性黄土场地上的建筑物工程设计,应根据场地湿陷类型、地基湿陷等级和地基处理后下部未处理湿陷性黄土层的湿陷起始压力值或剩余湿陷量,结合当地建筑经验和施工条件等因素,综合确定采取的地基基础措施、结构措施、防水措施,并应符合下列规定:
1 湿陷性黄土地基上的甲类建筑,按本标准第6.1.1条或第6.1.2条第1款的规定处理地基时,应采取基本防水措施,结构措施可按一般地区的规定设计;当按本标准第6.1.2条第2款的规定处理时,应采取检漏防水措施或严格防水措施,并宜加强上部结构刚度。
2 湿陷性黄土地基上的乙类建筑,按本标准第6.1.4条第1款、第2款处理地基时,应采取结构措施和检漏防水措施。地基为大厚度湿陷性黄土地基时,地基处理应符合本标准第6.1.4条第3款规定,并应采取严格的防水措施,加强上部结构刚度,基础采取刚度好的形式,并宜按防水要求处理。
3 湿陷性黄土地基上的丙类建筑,地基湿陷等级为Ⅰ级时,应采取结构措施和基本防水措施;地基湿陷等级为Ⅱ、Ⅲ、Ⅳ级时,应采取结构措施和检漏防水措施。地基为大厚度湿陷性黄土地基时,应采取严格防水措施,加强上部结构刚度,并宜采用刚度较好的基础形式。
4 湿陷性黄土地基上的丁类建筑,地基可不处理,但应采取其他措施。地基湿陷等级为Ⅰ级时,应采取基本防水措施;地基湿陷等级为Ⅱ级时,应采取结构措施和基本防水措施;地基湿陷等级为Ⅲ、Ⅳ级时,应采取结构措施和检漏防水措施。
5 室内设备基础地基处理措施应根据其重要性和使用要求、场地的湿陷类型和湿陷程度、地基湿陷等级及受水浸湿可能性大小等因素综合确定。
6 在自重湿陷性黄土场地,室内地面有严格要求时,应有一定的地基处理厚度,并应采取检漏防水措施或严格防水措施。
条文说明
5.1.1 设计措施的选取关系到建筑物的安全与技术经济的合理性,本条根据湿陷性黄土地区的建筑经验,对一般湿陷性黄土地基的甲、乙、丙三类建筑采取的措施以地基处理措施为主;对大厚度湿陷性黄土地基上的甲类建筑,原则上应消除地基的全部湿陷量,但当湿陷性土层厚度特别大时,全部处理确有困难,采用本标准第6.1.2条第2款规定的最小处理厚度时,应进行充分论证,采取加强防水措施、结构措施等其他措施补偿,确保安全可靠;大厚度湿陷性黄土地基上的乙、丙类建筑,应采取以地基处理为主,更加严格的防水措施,加强建筑物的基础及上部刚度,宜采取能调整建筑物沉降变形的基础形式。如钢筋混凝土条基或筏板基础等,尽可能避免独立基础;对丁类建筑采取以防水措施为主的指导思想。 1 大量工程实践表明,在Ⅲ级~Ⅳ级自重湿陷性黄土地基上,地基未经处理,建筑物在使用期间地基受水浸湿,湿陷事故难以避免,例如: 1)兰州白塔山上有一座古塔建筑,系木结构,距今约600余年,20世纪70年代前未发现该塔有任何破裂或倾斜,80年代为搞绿化引水上山,在塔周围种植了一些花草树木,浇水过程中水渗入地基引起湿陷,导致塔身倾斜,墙体裂缝。 2)兰州西固棉纺厂的染色车间,建筑面积超过10000m2,湿陷性黄土层的厚度约15m,按《湿陷性黄土地区建筑规范》BJG20-66(下简称66规范)评定为Ⅲ级自重湿陷性黄土地基,基础下设置500mm厚度的灰土垫层,采取严格防水措施。投产十多年,维护管理工作搞得较好,防水措施发挥了有效作用,地基未受水浸湿,1974年~1976年修订66规范,在兰州召开征求意见会时,曾邀请该厂负责维护管理工作的同志在会上介绍经验。但后来由于人员变动,忽视维护管理工作,地下管道年久失修,过去采取的防水措施部失去作用,1987年在该厂调查时,由于地基受水浸湿引起严重湿陷事故的无梁上浆房已被拆除,而染色车间也丧失使用价值,所有梁、柱和承重部位均已设置临时支撑,后来该车间也拆除。 类似上述情况的工程实例,其他地区也有不少,这里不一一列举。由这些实例不难看出,未处理或未彻底消除湿陷性的地基,所采取的防水措施一旦失效,地基就有可能浸水湿陷,影响建筑物的安全与正常使用。 2 近些年来,我国基本建设项目越来越多的遇到大厚度湿陷性黄土,根据研究和实际工程经验,本次修订补充增加了大厚度湿陷性黄土的有关内容。 3 本次修订保留了原规范对各类建筑采取的设计措施和防水措施。多年来大量工程应用证明,原“规范”所采取的措施是行之有效的,对保证工程质量,减少湿陷事故,节约投资都是有益的。有关地基处理的要求均应按本标准第6章地基处理的规定执行。 4 工程应用中,丁类建筑越来越少,使用年限不多,在本次修订时继续沿用对丁类建筑地基可不处理的原则。 5 近年来,室内用水越来越多,建筑装修档次越来越高,自重湿陷引起装修地面沉陷造成修复费用高,因此,室内为自重湿陷性黄土时,装修层以下应根据使用情况决定处理厚度。
5.1.2 符合下列条件之一时,地基基础可按一般地区的规定设计:
1 在非自重湿陷性黄土场地,地基内各层土的湿陷起始压力值,均大于其附加压力与上覆土的饱和自重压力之和;
2 基底下湿陷性黄土层已经全部挖除或已全部处理;
3 丙类、丁类建筑地基湿陷量计算值小于或等于50mm。
条文说明
5.1.2 本条所列3种情况,前2种地基浸水后不发生湿陷;第3种情况,仅针对丙类和丁类建筑,计算总湿陷量小于50mm时可按非湿陷性地基对待。按一般地区的规定设计地基基础、防排水措施和结构措施,可降低工程造价,节约投资。
5.1.3 在新近堆积黄土场地上,乙类、丙类建筑的地基处理厚度小于新近堆积黄土层的厚度时,应按本标准第6.1.8条的规定验算下卧层的承载力,并应按本标准第5.6.2条的规定计算地基的压缩变形。
5.1.4 建筑场地内道路、给水排水管线、供热管线等,应根据场地湿陷类型和自重湿陷量大小、与建筑物的距离以及建筑物地基剩余湿陷量等综合确定地基处理措施和防水措施。
条文说明
5.1.4 本条为本次修订新增条款。近年来对建筑物地基的处理和防水比较受重视,而相对忽视了地基防护范围外的道路和给排水管线的防护,因此出现了不少事故。道路和给排水管线的设计措施主要应根据场地的湿陷类型和湿陷程度采用,自重湿陷性场地湿陷程度越严重,采取的措施应越严格。
5.1.5 建筑物使用期间,当湿陷性黄土场地的地下水位有可能上升至地基压缩层的深度以内时,建筑的设计措施除应符合本章规定外,尚应符合本标准附录F的规定。
条文说明
5.1.5 建筑物建成后,由于受环境用水、生产生活用水等因素影响,地下水位有可能上升至地基压缩层内,对建筑物产生危害,因此必须预先加以防范。除地基基础措施外,还可采用结构措施,可按本章规定和附录F的规定执行。
5.2 场址选择与总平面设计
5.2 场址选择与总平面设计
5.2.1 场址选择应符合下列规定:
1 具有排水畅通或利于组织场地排水的地形条件;
2 避开洪水威胁的地段;
3 避开不良地质环境发育和地下坑穴集中的地段;
4 避开新建水库、人工湖等可能引起地下水位上升的地段;
5 避免将重要建设项目布置在自重湿陷性很严重的黄土场地或厚度大的新近堆积黄土和高压缩性的饱和黄土等地段;
6 避开由于建设可能引起工程地质环境恶化的地段。
条文说明
5.2.1 近年来我国城乡建设发展较快,过去建设量少、建筑类别低的地区现在都有许多项目上马,呈现出建设量增大、高建筑类别建筑物增多的趋势,这些地区此类建设经验不多,场址选择一旦失误,后果将难以设想,不是给工程建设造成浪费,就是不安全,为此本条将场址选择需要考虑的岩土因素列出供参考。
此外,地基湿陷等级高或厚度大的新近堆积黄土、高压缩性的饱和黄土等地段,地基处理的难度大,工程造价高,应尽量避免将重要建设项目布置在上述地段,在场址选择和总平面设计时应引起重视。
5.2.2 总平面设计应符合下列规定:
1 合理规划场地,做好竖向设计,保证场地、道路和铁路等地表排水畅通;
2 在同一建筑范围内,地基土的压缩性和湿陷性变化不宜过大;
3 主要建筑物宜布置在地基湿陷等级低的地段;
4 在山前斜坡地带,建筑物宜沿等高线布置,填方厚度不宜过大;
5 储水构筑物和有湿润生产工艺的厂房等,宜布置在地下水流向的下游地段或地形较低处;
6 在挖填方厚度较大场区,宜避免在挖填交界处规划布局单体建筑。
条文说明
5.2.2 山前斜坡地带,下伏基岩起伏变化大,土层厚薄不一,新近堆积黄土往往分布在这些地段,地基湿陷等级较复杂,填方厚度过大时,下部土层的压力明显增大,土的湿陷类型就会发生变化,即由非自重湿陷性黄土场地变为自重湿陷性黄土场地。
挖方区下部土层一般处于卸荷状态,但挖方容易破坏或改变原有的地形、地貌和排水线路,有的引起边坡失稳,甚至影响建筑物的安全使用,故对挖方也应慎重对待,不可任意开挖。
考虑到储水构筑物和有湿润生产过程的厂房,其地基容易受水浸湿,并容易影响邻近建筑物。因此,宜将上述建筑物布置在地下水流向的下游地段或地形较低处。
由于建设用地紧张,湿陷性黄土地区挖山填沟造地的工程不断增多。挖填厚度较大,尤其是填土厚度大时,挖填交界处常设计成台阶状的斜坡,形成隐性边坡。在隐性边坡上建造单幢建筑物时,往往由于隐性边坡沉降不均匀及两侧湿陷等级不同而影响上部建筑的安全。应明确挖方区与填方区的边界范围。
5.2.3 山前地带的建筑场地,应整平成若干单独的台地,并应符合下列规定:
1 台地应稳定;
2 雨水不应沿斜坡无组织排泄;
3 边坡宜做护坡或采取支护措施;
4 用陡槽沿边坡排泄雨水时,应使雨水由边坡底部沿排水沟平缓流动,陡槽的结构应使土在暴雨时不受冲刷。
条文说明
5.2.3 随着基本建设事业的发展和尽量少占耕地的原则,山前斜坡地带的利用矛盾比较突出。尤其在Ⅰ区和Ⅱ区,自重湿陷性黄土分布较广泛,山前坡地地质情况复杂,应采取措施处理后方可使用。设计应根据山前斜坡地带的黄土特性和地层构造、地形、地貌、地下水位等情况,因地制宜地将斜坡地带划分成单独的台地,以保证边坡的稳定性。
边坡容易受地表水流的冲刷,在整平单独台地时,必须有组织地引导雨水排泄,此外,对边坡宜做护坡或在坡面种植草皮,防止坡面直接受雨水的冲刷,导致边坡失稳或产生滑移。
5.2.4 埋地管道、排水沟、雨水明沟和水池等与建筑物之间的防护距离,不宜小于表5.2.4的规定。当不能满足要求时,应采取与建筑物类别相应的防水措施。
表5.2.4 埋地管道、排水沟、雨水明沟和水池等与建筑物之间的防护距离(m)


注:1 陇西地区( 
区)和陇东-陕北-晋西地区( 
区),当湿陷性黄土层的厚度大于12m时,压力管道与各类建筑的防护距离不宜小于湿陷性黄土层的厚度;
2 当湿陷性黄土层内有碎石土、砂土夹层时,防护距离宜大于表中数值;
3 采用基本防水措施的建筑,防护距离不得小于一般地区的规定。
条文说明
5.2.4 本条中表5.2.4规定的防护距离的数值,主要是针对消除部分湿陷量的乙、丙类建筑和不处理地基的丁类建筑所作的规定。
本标准中有关防护距离,系根据编制《湿陷性黄土地区建筑规范》BJG 20-66规范时,在西安、兰州等地区模拟的自渗管道试验结果,并结合建筑物调查资料而制定的。几十年的工程实践表明,原有表中规定的这些数值,基本上符合实际情况。通过在兰州、太原、西安等地区的进一步调查,原规范对66规范防护距离的数值作了适当调整和修改,经十余年来使用证明是合理的,本次修订沿用原规定数值。
5.2.5 防护距离的计算,建筑物应自外墙墙皮算起;高耸结构应自基础外缘算起;水池应自池壁边缘(喷水池等应自回水坡边缘)算起;管道和排水沟应自其外壁算起。
5.2.6 各类建筑与新建水渠之间的防护距离,在非自重湿陷性黄土场地不得小于12m,在自重湿陷性黄土场地不得小于湿陷性黄土层厚度的3倍,并不应小于25m。
条文说明
5.2.6 水渠渗漏可能性较大,新建水渠渗漏情况难以预知,建筑与水渠保持一定距离是必要的。《湿陷性黄土地区建筑规范》TJ 25-78规定距离不得小于25m。编制《湿陷性黄土地区建筑规范》GBJ 25-90(下简称90规范)时调查发现,当自重湿陷性黄土层厚度较大时,新建水渠与建筑物之间的防护距离仅用25m控制不够安全。例如:
1 青海有一新建工程,湿陷性黄土层厚度约17m,采用预浸水法处理地基,浸水坑边缘距离既有建筑物37m,浸水过程中水渗透至既有建筑物地基引起湿陷,导致墙体开裂。
2 兰州东岗有一水渠远离既有建筑物30m,由于水渠漏水,该建筑物发生裂缝。
上述实例说明,新建水渠距既有建筑物的距离30m仍偏小,本条规定自GBJ 25-90规范调整为在自重湿陷性黄土场地,新建水渠距既有建筑物的距离不得小于湿陷性黄土层厚度的3倍,并不应小于25m,用“双指标”控制。经90规范、原规范至今的经验证明此规定是合理的,本次修订继续沿用。
5.2.7 建筑场地平整后的坡度,在建筑物周围6m内不宜小于2%,当为不透水地面时,可适当减小;建筑物周围6m外不宜小于0.5%。
当采用雨水明沟或路面排水时,其纵向坡度不应小于0.5%。
5.2.8 建筑物周围6m内应平整场地,当为填方时,应分层夯(或压)实,压实系数不得小于0.95;当为挖方时,在自重湿陷性黄土场地,表面夯(或压)实后宜设置150mm~300mm厚的灰土面层,压实系数不得小于0.95。
5.2.9 防护范围内的雨水明沟不应漏水。自重湿陷性黄土场地宜设混凝土雨水明沟,防护范围外的雨水明沟,宜做防水处理,沟底下应设灰土或土垫层。
5.2.10 有下列情况之一时,应采取有组织排除建筑物周边雨水的措施。
1 临近有构筑物(包括露天装置)、露天吊车、堆场或其他露天作业场等;
2 临近有铁路通过;
3 建筑物的平面为 
等形状构成封闭或半封闭的场地。
5.2.11 山前斜坡上的建筑场地,应根据地形修筑雨水截水沟。
5.2.12 防洪设施的设计重现期宜略高于一般地区。
5.2.13 冲沟发育的山区,宜利用现有排水沟排走山洪,建筑场地位于山洪威胁的地段,应设置排洪沟。排洪沟和冲沟应平缓连接,宜采用较大的坡度,并应减少弯道。在转弯及跌水处应采取防护措施。
5.2.14 建筑场地内的铁路路基应有良好的排水系统,不得利用道砟排水。路基顶面的排水应引向远离建筑物的一侧。在暗道床处,应将基床表面翻松夯(或压)实,也可采用优质防水材料处理。道床内应设防止积水的排水措施。
条文说明
5.2.14 新型优质的防水材料日益增多,本条未作具体规定,设计时可结合工程的实际情况或使用功能等特点选用。
5.3 建筑设计
5.3 建筑设计
5.3.1 建筑设计应符合下列规定:
1 建筑物的体形和纵横墙布置,应有利于加强其空间刚度,并具有适应或抵抗湿陷变形的能力。多层砌体承重结构的建筑,体形应简单,长高比不宜大于3。
2 合理设计建筑物的雨水排水系统,多层建筑的室内地坪应高出室外地坪,且高差不宜小于450mm。
3 用水设施宜集中设置,缩短地下管线并远离主要承重基础,其管道宜明装。
4 在防护范围内设置绿化带,应采取措施防止地基土受水浸湿。
条文说明
5.3.1 多层砌体承重结构的建筑,体形应简单,长高比不宜大于3。室内地坪应高出室外地坪不小于450mm。上述规定的目的是:前者在于加强建筑物的整体刚度,增强其抵抗不均匀沉降的能力;后者为建筑物周围排水通畅创造有利条件,减少地基浸水湿陷的概率。
工程实践表明,长高比大于3的多层砌体房屋,地基不均匀下沉往往会导致严重破坏,例如:
1 西安某厂有一栋四层宿舍楼,砌体结构,横墙承重,尽管基础和每层都设有钢筋混凝土圈梁,但由于房屋长高比大于3.5,整体刚度较差,地基不均匀下沉,墙体普遍裂缝,严重影响使用。
2 兰州化学公司一栋三层试验楼,砌体结构,外墙厚370mm,楼板和屋面均为现浇钢筋混凝土,条形基础埋深1.5m,地基湿陷等级Ⅲ级,自重湿陷性场地,未采取处理措施,建筑物使用期间曾两次受水浸湿,沉降最大值达551mm,倾斜率最大值0.018,被迫停止使用。后对其采取纠倾措施,使建筑物恢复原位才重新使用。
上述实例说明,长高比大于3的建筑物,其整体刚度和抵抗不均匀沉降的能力差,破坏后果严重,加固难度大且效果不一定好。长高比小于3的建筑物,虽倾斜严重,但整体刚度好,破坏相对轻微,易于修复和恢复使用功能。
第3款规定目的是即使管道漏水,漏水限制在有限范围内,也能便于发现和检修。
5.3.2 单层和多层建筑物的屋面宜采用外排水;当采用有组织外排水时,宜选用耐用材料的水落管,其末端距离散水面不应大于300mm,并不应设置在沉降缝处;集水面积大的外落水管,应接入专设的雨水明沟或管道。
5.3.3 建筑物的周围应设置散水,其坡度不得小于5%。散水外缘应略高于平整后的场地,散水的宽度应符合下列规定:
1 当屋面为无组织排水时,檐口高度在8m以内宜为1.50m;檐口高度超过8m,每增高4m宜增宽0.25m,但最宽不宜大于2.50m;
2 当屋面为有组织排水时,非自重湿陷性黄土场地不得小于1.00m,自重湿陷性黄土场地不得小于1.50m;
3 水池的散水宽度宜为1.00m~3.00m,散水外缘超出水池基底边缘不应小于0.20m,喷水池等的回水坡或散水的宽度宜为3.00m~5.00m;
4 高耸结构的散水宜超出基础底边缘1.00m,且宽度不得小于5.00m。
条文说明
5.3.3 沿建筑物外墙设置散水,有利于屋面水、地面水顺利地排向雨水明沟或其他排水系统,以远离建筑物,避免雨水直接从外墙基础侧面渗入地基。
5.3.4 散水应用现浇混凝土浇筑,并应符合下列规定:
1 其下应设置150mm厚的灰土垫层或300mm厚的土垫层,垫层应超出散水或建筑物外墙基础底外缘500mm;
2 散水宜每隔6m~10m设置一条伸缩缝。散水与外墙交接处和散水的伸缩缝,应用柔性防水材料封填,沿散水外缘不宜设置排水明沟。
条文说明
5.3.4 基础施工后,其侧向一般比较狭窄,回填质量较差,为防止屋面水、周围地面水从侧向渗入地基,增加散水及其下垫层宽度较为有利,借以覆盖基础侧向的回填土。
一般地区的散水伸缩缝间距为6m~12m,湿陷性黄土地区大部分昼夜温差大,气候寒冷,散水容易产生冻胀和开裂,成为渗水隐患,因此规定间距较小。
5.3.5 经常受水浸湿或可能积水的地面,应按防水地面设计,并应符合下列规定:
1 采用严格防水措施的建筑,其防水地面应设防水层;
2 地面坡向集水点的坡度不得小于1%;
3 地面与墙、柱、设备基础等交接处应做翻边,地面下应做300mm~500mm厚的灰土或土垫层;
4 管道穿过地坪处应做好防水处理;排水沟与地面混凝土宜一次浇筑。
条文说明
5.3.5 经常受水浸湿或可能积水的地面,建筑物地基容易受水浸湿。应按防水地面设计。
近年来出现了不少新的优质可靠防水材料。使用效果良好,对采用严格防水措施的建筑地面推荐采用优质可靠卷材防水层或其他行之有效的防水层。
5.3.6 排水沟的材料和做法,应根据场地湿陷类型、建筑物类别和使用要求选定,并应符合下列规定:
1 排水沟下应设灰土或土垫层;
2 防护范围内宜采用钢筋混凝土排水沟;
3 在非自重湿陷性黄土场地,室内小型排水沟可采用素混凝土浇筑,但应做防水地面;
4 采用严格防水措施的建筑,排水沟应增设防水层。
条文说明
5.3.6 排水沟的材料和做法选择原则,主要是考虑一旦产生渗漏造成的后果严重程度。同样的渗漏量,高湿陷程度场地湿陷变形量大,危害也必然严重。同样道理,建筑类别高对沉降的要求相应也更严格,排水沟的材料应更好,措施也应更可靠。
5.3.7 基础梁底下应预留空隙,并应采取有效措施防止地面水渗入地基。地下室内的采光井应做好防、排水措施。
条文说明
5.3.7 为适应地基变形,在基础梁底下往往需要预留一定高度的净空。但对此若不采取措施,地面水便可从梁底下的空间渗入地基,应采取措施防止出现上述情况。基于同样的理由,采光井也应作好防排水措施。
5.3.8 防护范围内的各种地沟和管沟的做法,均应符合本标准第5.5.10条~第5.5.17条的规定。
5.4 结构设计
5.4 结构设计
5.4.1 当地基不处理或仅消除地基的部分湿陷量时,结构设计应根据建筑物类别、地基湿陷等级或地基处理后下部未处理湿陷性黄土层的湿陷起始压力值或剩余湿陷量,以及建筑物对不均匀沉降的敏感度等确定采取的结构措施,并应符合下列规定:
1 选择适宜的结构体系和基础形式;
2 墙体宜选用轻质材料;
3 加强结构的整体性和空间刚度;
4 预留适应沉降的净空。
条文说明
5.4.1 本条强调了采取结构措施时要根据建筑物类别和地基处理的具体情况等因素区别对待。建筑物类别高、剩余湿陷量大、对不均匀沉降敏感时,宜采取多种组合措施。反之可采取较少组合措施。
对多层砌体房屋,墙体材料提倡采用轻质材料,以减轻结构自重,降低基底附加压力,对在非自重湿陷性黄土场地上,按湿陷起始压力设计时具有重要意义。
5.4.2 建筑物的平面、立面布置复杂时,宜采用沉降缝将建筑物分成若干个简单、规则,并应具有较大空间刚度的独立单元。沉降缝两侧,各单元应设置独立的承重结构体系。
条文说明
5.4.2 建筑物平面、立面布置复杂时,上部结构传至基础的荷载在平面上不易均匀,且结构上应力集中点较多,基础产生不均匀沉降时结构更易产生裂缝和其他损害。划分成简单规则的单元有利于避免或减轻危害程度。就考虑湿陷变形对建筑物平、立面布置的要求而言,尚难提出量化标准,只能从概念设计角度出发提出原则性要求。
我国湿陷性黄土地区大多属于抗震设防区。在具体工程设计中,应根据抗震设防要求、地基条件和温度区段长度等因素,综合考虑沉降缝的设置问题。
沉降缝处不宜采用牛腿搭梁的做法。一是结构单元要保证足够的空间刚度,不应形成三面围合,靠缝一侧开敞的形式;二是采用牛腿搭梁的“铰接”做法,构造上很难实现理想铰,一旦出现较大沉降差时,由于沉降缝两侧的结构单元未能彻底脱开而互相牵扯、互相制约,将会导致沉降缝处局部损坏较严重的不良后果。
5.4.3 高层建筑的设计,宜选用轻质高强材料,应加强上部结构刚度和基础刚度,并宜采取下列措施:
1 调整上部结构荷载合力作用点与基础形心的位置,减小偏心;
2 采用桩基础或采用减小沉降的其他有效措施,控制建筑物的不均匀沉降或倾斜;
3 主楼与裙房采用不同的基础形式时,应考虑高低不同部位沉降差的影响,并采取相应的措施。
条文说明
5.4.3 本条强调了高层建筑减轻结构自重的重要性。高层建筑属于甲类和乙类建筑,一般采用桩基础或采取地基处理措施。如不设沉降缝,在设计地基基础方案时,除考虑地基的承载力和变形等因素外,还需根据上部结构的荷载分布特点考虑不均匀沉降的调整。
5.4.4 大厚度湿陷性黄土地基上的建筑,宜采取下列措施:
1 建筑物平、立面布置宜简单、规则,并应控制建筑物的长度和长高比。
2 加强建筑物的整体性和空间刚度,采用适宜的基础形式和结构体系,增强建筑物抵抗不均匀沉降的能力。基础应采用钢筋混凝土箱基、筏基、交叉梁条基等形式;结构宜采用现浇钢筋混凝土框架、框架-剪力墙、剪力墙等体系,多层建筑也可采用砌体结构体系,但各楼层均应设置封闭交叉圈梁和构造柱。
3 建筑物宜利用沉降缝分成若干个简单、规则,并具有较大空间刚度的独立单元,并宜加大沉降缝宽度。
条文说明
5.4.4 本条修订的主要内容包括:1)增加了大厚度湿陷性黄土地基上建筑的结构措施。结构措施主要用于减小和调整建筑物的不均匀沉降,或使上部结构适应地基的变形。建筑物应尽可能避免采用独立基础;控制长高比小于3.0;合理设置沉降缝,其宽度可根据地基的压缩变形、湿陷变形、震陷变形综合确定。2)取消原“规范”中“丙类建筑基础的埋置深度”的条文,丙类建筑基础的埋置深度按现行国家标准《建筑地基基础设计规范》GB 50007的有关规定执行。
5.4.5 地下管道或管沟穿过建筑物的基础或墙时,应预留洞孔,并应符合下列规定:
1 洞顶与管道及管沟顶间的净空高度:消除地基全部湿陷量的建筑物,不宜小于200mm;消除地基部分湿陷量和未处理地基的建筑物,不宜小于300mm。洞边与管沟外壁应脱离。
2 洞边与承重外墙转角处外缘的距离不宜小于1m;当不能满足要求时,可采用钢筋混凝土框加强。
3 洞底距基础底不应小于洞宽的1/2,并不宜小于400mm,当不能满足要求时,应局部加深基础或在洞底设置钢筋混凝土梁。
5.4.6 砌体承重结构建筑的现浇钢筋混凝土圈梁、构造柱或芯柱设置,应符合下列规定:
1 乙类、丙类建筑的基础内和屋面檐口处,均应设置钢筋混凝土圈梁。乙类、丙类中的多层建筑,应每层设置钢筋混凝土圈梁。单层厂房和单层空旷房屋,当檐口高度大于6m时,宜增设钢筋混凝土圈梁。
2 丁类建筑地基湿陷等级为Ⅱ级时,应在基础内和屋面檐口处设置配筋砂浆带;地基湿陷等级为Ⅲ级、Ⅳ级时,应在基础内和屋面檐口处设置钢筋混凝土圈梁。
3 采用严格防水措施的多层建筑,应每层设置钢筋混凝土圈梁。
4 各层圈梁均应设在外墙、内纵墙和对整体刚度起重要作用的内横墙上,横向圈梁的水平间距不宜大于16m。圈梁应在同一标高处闭合,遇有洞口时应上下搭接,搭接长度不应小于其竖向间距的2倍,且不得小于1m。
5 在纵横圈梁交界处的墙体内,宜设置钢筋混凝土构造柱或芯柱。
条文说明
5.4.6 原“规范”第1款在执行过程中,出现了乙类、丙类多层建筑在采取每层设置钢筋混凝土圈梁的结构措施之后,不再遵守剩余湿陷量要求的工程个例,违反了“以地基处理为主的综合措施”的原则。为确保工程质量,防止和减少地基湿陷事故,本次修订改为“乙类、内类中的多层建筑应每层设置钢筋混凝土圈梁”,有关地基处理的要求按本标准第6章地基处理的规定执行。 纵、横向圈梁在平面内互相拉结才能有效发挥作用(特别是楼、屋盖采用预制板时)。规定横向圈梁间距不大于16m,主要是考虑增强砌体结构房屋的整体性和刚度,是按照现行国家标准《砌体结构设计规范》GB 50003中房屋静力计算方案为刚性时对横墙间距的最严格要求而规定的。对于多层砌体房屋,实际上规定了横墙的最大间距;对于单层厂房或单层空旷砖房,则要求将屋面承重构件与纵向圈梁可靠拉结。
5.4.7 多层砌体承重结构建筑,不得采用空斗墙和无筋过梁。砌体承重结构建筑的窗间墙宽度,在承受主梁处或开间轴线处,不应小于主梁或开间轴线间距的1/3,并不应小于1.0m;在其他承重墙处,不应小于0.6m。门窗洞孔边缘至建筑物转角处(或变形缝)的间距不应小于1.0m。当不能满足要求时,应在孔洞周边采用钢筋混凝土框加强,或在转角及轴线处加设构造柱或芯柱。
5.4.8 当砌体承重结构建筑的门窗洞或其他洞孔的宽度大于1m,且地基未处理或未消除地基的全部湿陷量时,应采用钢筋混凝土过梁。
5.4.9 厂房内吊车上的净空高度,对消除地基全部湿陷量的建筑不宜小于200mm,对消除地基部分湿陷量或地基未处理的建筑不宜小于300mm。吊车梁应设计为简支。吊车梁和吊车轨之间应采用能调整的连接方式。
5.4.10 预制钢筋混凝土梁在砖墙、砖柱上的支承长度不宜小于240mm;预制钢筋混凝土板在砖墙上的支承长度不宜小于100mm,在梁上不应小于80mm。
5.5 给水排水、供热与通风设计
5.5 给水排水、供热与通风设计
Ⅰ 储水构筑物
5.5.1 储水构筑物应根据其重要性、刚度、容积、地基湿陷等级,结合当地建筑经验采取设计措施。
条文说明
5.5.1 储水构筑物包括蓄水池、消防水池、化粪池等储水设施,其他位于建筑物附近经常储存液体的构筑物可视具体情况确定是否归入储水构筑物类。
5.5.2 埋地管道与储水构筑物之间或储水构筑物相互之间的防护距离应符合下列规定:
1 自重湿陷性黄土场地,应与建筑物之间的防护距离的规定相同,当不能满足要求时,应加强储水构筑物的防渗漏处理;
2 非自重湿陷性黄土场地,可按一般地区的规定设计。
5.5.3 建筑物防护范围内的储水构筑物,当技术经济合理时,宜架空明设于地面或地下室地面以上。
条文说明
5.5.2、5.5.3 储水构筑物因存在渗漏可能,因此条件许可时宜明设,以便渗漏时能及时发现。埋设于地下时渗漏不易发现,和建筑物保持一定距离可降低建筑物地基浸水风险。
5.5.4 储水构筑物应采用防渗现浇钢筋混凝土结构。预埋件和穿池壁的套管,应在现浇混凝土前埋设,不得事后钻孔、凿洞。
5.5.5 储水构筑物的地基处理,应采用整片灰土或土垫层,并应符合下列规定:
1 非自重湿陷性黄土场地,灰土垫层的厚度不宜小于0.30m,土垫层的厚度不应小于0.50m;自重湿陷性黄土场地,一般水池的垫层的厚度应为1.00m~2.50m,特别重要的水池,宜消除地基的全部湿陷量;
2 垫层外放尺寸不宜小于垫层厚度,且不得小于0.50m;
3 垫层的压实系数不得小于0.97。
5.5.6 基槽侧向宜采用灰土回填,压实系数不应小于0.94。
条文说明
5.5.5、5.5.6 作为为建筑物服务的储水构筑物一般高度不大,设于地面上的构筑物对地基产生的附加压力较小,埋设于地面下的储水构筑物产生的附加压力甚至小于原空间土的自重。因此储水构筑物地基处理着重于防止渗漏水渗入构筑物地基。由于自重湿陷性黄土场地湿陷的敏感性强,地基处理厚度和外放宽度相对非自重湿陷性黄土场地要求大一些。压实系数要求较高也是出于防渗考虑。
Ⅱ 给水、排水管道
5.5.7 给水、排水管道设计,应符合下列规定:
1 室内管道宜明装;暗设管道应设置便于检修的设施;
2 室外管道宜布置在防护范围外;布置在防护范围内的地下管道,应采取防水措施;
3 管道接口应严密不漏水,并应具有柔性;管道接口法兰、卡扣、卡箍等应安装在检查井或地沟内,不应埋在土层中;
4 设置在地下的管道检漏管沟和检漏井,应便于检查和排水。
条文说明
5.5.7 在建筑物内布置给排水管道时,从方便维护和管理考虑,有条件的宜采取明设方式。但现在建筑物的装修标准都较高,需要暗设管道,尤其在住宅和公用建筑物内的管道布置已趋隐蔽,再强调应尽量明装已不符合工程实际需要。所以本条改为“室内管道宜明装;暗设管道应设置便于检修的设施”。这样规定,便于发现管道漏水及便于检修管道。 为了保证建筑物内、外合理设置给排水设施,对建筑物防护范围外和防护范围内的管道布置应有所区别。“室外管道宜布置在防护范围外”,这主要指建筑物内无用水设施,仅是户外有外网管道或是其他建筑物的配水管道,此时就可以将管道远离该建筑物布置在防护距离外,该建筑物内的防水措施即可从简;若室内有用水设施,在防护范围内有管道敷设时,此情况下,则要求“应采取防水措施”,再按本标准第5.1.1条和第5.1.2条的规定,采取综合设计措施。 无论是明装还是暗装,管道本身的强度及接口的严密性均是防止建筑物湿陷事故的第一道防线。所以,本条规定“管道接口应严密不漏水,并具有柔性”。过去,在压力管道中,接口使用石棉水泥材料较多,此类接口仅能承受微量不均匀变形,实际仍属刚性接口,如果出现漏水不易修复。近年来,国内外管道柔性接口连接技术已很成熟,这种接口有利于消除温差、施工误差或不均匀沉降引起的应力转移,增强管道系统及其与设备连接的安全性,降低漏水概率。这种接口主要有柔性接口管、柔性接口阀门、柔性管接头、密封胶圈等。目前,在压力管道工程中,逐渐采用的柔性接口形式有:卡箍式、松套式、避震喉、不锈钢波纹管、专用承插柔性接口管及管件等,这对由于各种原因引起的不均匀沉降都有很好的抵御能力。 考虑到湿陷性黄土地区的地震烈度大都在7度以上,就是说,湿陷性黄土地区兼有湿陷、震陷双重危害,基于此情况,应提高管材材质标准,且在适当部位和有条件的地方,均应做柔性接口,同时加强对管基的处理。对管道与构筑物(如井、沟、池壁)连接部位,因属受力不均匀的薄弱部位,也应加强管道接口的严密和柔韧性。在湿陷性黄土地区,在防护范围内的地上、地下敷设的管道须加强设防标准,以柔性接口连接为主,无论架设和埋地的管道,包括管沟内架设,均应考虑采用柔性接口。 法兰、卡扣、卡箍等是管道可拆卸的连接件,埋在土壤中,这些管件必然要锈蚀,挖出后再拆卸已不可能,即就不挖出不做拆卸,这些管件的所在部位也是管道的易损部位,从而影响管道的寿命;第3款内容在现行国家标准《建筑给水排水及采暖工程施工质量验收规范》GB 50242中也有同样的要求。
5.5.8 地下管道管材的选用,应符合下列规定:
1 管沟及管井内的压力管道宜采用球墨给水铸铁管、给水塑料管、钢管、不锈钢管、钢塑复合管、双金属复合管等;
2 埋地压力管道宜采用球墨给水铸铁管、给水塑料管、焊接不锈钢管、丝接钢管、熔接钢塑复合管、预应力钢筒混凝土管或预应力钢筋混凝土管等;
3 自流管道宜采用排水铸铁管、塑料排水管、钢塑复合排水管、玻璃钢夹砂排水管、离心成型钢筋混凝土排水管等;
4 对埋地给水铸铁管、不锈钢管及熔接钢塑复合管应做防腐处理,对埋地钢管及钢配件应做加强防腐层;
5 管材、管件均应符合国家及行业现行相关产品标准的规定。
条文说明
5.5.8 本条对管材选用作出了规定。压力管道的材质中球墨铸铁管的柔韧性好,管径适应幅度大(在DN200~DN2200之间),而且具有胶圈承插柔性接口、防腐内衬,便于安装等优点,在湿陷性黄土地区应为首选管材。但在建筑小区内或建筑物内的进户管,因受管径限制,没有小口径球墨铸铁管,则在此部位只能采用给水塑料管、给水铸铁管、不锈钢管、钢塑复合管或者双金属复合管等。 镀锌钢管内壁易锈蚀,会对饮用水产生二次污染。建设部在2000年颁发通知“在住宅建设中禁止使用镀锌钢管”,即在生活饮用水系统彻底淘汰了镀锌钢管。 塑料管与传统管材相比,具有重量轻,耐腐蚀,水流阻力小,节约能源,安装简便、迅速,综合造价较低等优点,受到工程界的青睐。随着科学技术的不断提高,原材料品质的改进,塑料管的质量已大幅度提高。近年来,开发的管材种类有硬质聚氯乙烯(UPVC)管、氯化聚氯乙烯(CPVC)管、聚乙烯(PE)管、聚丙烯(PP-R)管、铝塑复合(PAP)管、钢塑复合(SP)管、双金属复合管、不锈钢钢管等,其中不同品种分别适用于不同的建筑给排水管材,及管件和城市供水、排水管材及管件。工程中无论采用何种管材,必须按有关现行国家标准进行检验,凡符合国家标准并具有相应管道工程的施工及验收规范(规程)的才可选用。 预应力钢筋混凝土管是20世纪60年代~70年代发展起来的管材。近年来发现,大量地下钢筋混凝土管的保护层脱落,管身露筋引起锈蚀,管壁冒汗、渗水,管道承压降低,有的甚至发生爆管,造成地面发生大面积塌方,并且自身有难以修复的致命缺点,故本次修订,将其排序列后。 预应力钢筒混凝土管在国内也属常用管材,制管工艺由美国引进,管道缩写为“PCCP”,管径大多在ф600mm~ф3000mm。管材结构特点:混凝土结构层夹钢管,外缠绕预应力钢丝并喷涂水泥砂浆层,连接用橡胶圈承插口,该管同时生产有转换接口、弯头、三通、双橡胶圈承接口,极大地方便了管线的施工,故本条此管材继续保留。 自流管道的管材,据调查反映:人工成型或人工机械成型的钢筋混凝土管,基本属于土法振捣的钢筋混凝土管,因其质量不过关,故本标准不推荐采用,保留离心成形钢筋混凝土管。
5.5.9 屋面雨水引出外墙后,应接入室外雨水明沟、管道或检查井。
5.5.10 检漏管沟应作防水处理,其材料与做法应符合下列规定:
1 对检漏防水措施,应采用砖壁混凝土槽形底检漏管沟或砖壁钢筋混凝土槽形底检漏管沟;管沟高度大于1.6m时应采用钢筋混凝土检漏管沟。
2 对严格防水措施,应采用钢筋混凝土检漏管沟。在自重湿陷性黄土场地,地基受水浸湿可能性大的建筑,宜增设防水层,防水层应做保护层。
3 对高层建筑或重要建筑,当有成熟经验时,也可采用其他形式的检漏管沟或具备检漏报警功能的直埋管中管。
4 直径较小、长度较短的管道,采用检漏管沟确有困难时,可采用金属套管或钢筋混凝土套管代替管沟。
条文说明
5.5.10 以往在严格防水措施的检漏管沟中,仅采用油毡防水层。近年来,工程实践表明,新型的复合防水材料及高分子卷材均具有防水可靠、耐热、耐寒、耐久、施工方便,价格适中等优点,是防水卷材的优质品种。涂膜防水层、水泥聚合物涂膜防水层、氰凝防水材料等,都是高效、优质防水材料。为此,在本标准规定的严格防水措施中,对管沟的防水材料,将卷材防水层或塑料油膏防水改为可靠防水层。并应做防水层保护层。 自20世纪60年代起,检漏设施主要是检漏管沟和检漏井。这种设施占地多,显得陈旧落后,并且试用期间,须经常维护和检修才能有效。近年来,由国外引进的高密度聚乙烯外护套管聚氨酯泡沫塑料预制直埋保温管,具有较好的保温、防水、防潮作用,此管简称为“直埋管中管”。某些工程中,在管道上还装有渗漏水检测报警系统,增加了直埋管道的安全可靠性,可以代替管沟敷设,经技术经济分析, “直埋管中管”的造价低于管沟。该技术在国内已大面积采用,取得丰富经验。“具备检漏报警功能的直埋管中管设施”是指直埋管中设有检漏报警装置,尤其在热力管道和高寒地带的输配水管道中用的多一些。原国家质监总局颁布了国家标准《高密度聚乙烯外护管硬质聚氨酯泡沫塑料预制直埋保温管及管件》GB/T 29047,这对采用此类直埋管中管提供了可靠保证。
5.5.11 检漏管沟设计,除应符合本标准第5.5.10条的规定外,尚应符合下列规定:
1 检漏管沟的盖板不宜明设。当明设时或在人孔处,应采取防止地面水流入沟内的措施。
2 检漏管沟的沟底应设坡度,并应坡向检漏井。进、出户管的检漏管沟,沟底坡度宜大于2%。
3 检漏管沟的截面,应根据管道管径、数量和安装与检修的要求确定。在使用和构造上需保持地面完整或当地下管道较多并需集中设置时,宜采用半通行或通行管沟(管廊)。
4 不得利用建筑物和设备基础作为沟壁或井壁。
5 检漏管沟在穿过建筑物基础或墙处不得断开,并应加强其刚度。检漏管沟穿出外墙的施工缝,宜设在室外检漏井处或超出基础3m处。
条文说明
5.5.11 排水出户管道一般具有1.5%~2.0%的坡度,而给水进户管道管径小,坡度也小。在进、出户管沟的沟底,往往忽略了排水方向,沟底多见积水长期聚集,对建筑物地基造成浸水隐患。本条除强调检漏管沟的沟底坡向外,并增加了进、出户管的管沟沟底坡度宜大于2%的规定。 考虑到高层建筑或重大建筑大都设有地下室或半地下室,为方便检修,保护地基不受水浸湿,管道设计应充分利用地下部分的空间,设计管道设备层。为此,本条特别规定对甲类建筑和自重湿陷性黄土场地上乙类中的重要建筑,室内地下室管线宜敷设在地下室或半地下室的设备层内,穿出外墙的进、出户管段,宜集中设置在半通行管沟内,这样有利于加强维护和检修,并便于排除积水。
5.5.12 甲类建筑和自重湿陷性黄土场地上乙类中的重要建筑,室内地下管线宜敷设在地下室或半地下室的设备层内。穿出外墙的进、出户管段,应设置在管沟内,且宜集中设置在半通行管沟内。
5.5.13 穿基础或穿墙的地下管道、管沟,在基础或墙内预留洞的尺寸,应符合本标准第5.4.5条的规定。
5.5.14 检漏井设计,应符合下列规定:
1 检漏井应没置在管沟末端和管沟沿线分段的每段下游检漏处;
2 检漏井内宜设集水坑,其深度不应小于300mm;
3 当检漏井与排水系统接通时,应防止倒灌。
5.5.15 检漏井、阀门井、消火栓井、消防水泵接合器井、洒水栓井、雨水篦外和检查井等,应做内壁防水处理,并应符合下列规定:
1 应采取防止地面水、雨水流入井内的措施;
2 防护范围内的各种井,宜采用与检漏管沟相应的材料;
3 不得利用检查井、消火栓井、消防水泵接合器井、洒水栓井和阀门井等兼做检漏井;但检漏井可与检查井或阀门井共壁合建;
4 不宜采用闸阀套筒代替阀门井。
5.5.16 在湿陷性黄土场地,地下管道及其附属构筑物,如检漏井、阀门井、检查井、管沟、消火栓井、消防水泵接合器井等的地基设计,应符合下列规定:
1 应设150mm~300mm厚的土垫层;对埋地的重要管道或大型压力管道及其附属构筑物,尚应在土垫层上设300mm厚的灰土垫层;
2 对埋地的非金属自流管道,应符合本条第1款地基处理要求,且应设置混凝土条形基础。
条文说明
5.5.16 非自重湿陷性黄土场地管道工程,虽然管道、构筑物的基底压力小,一般不会超过湿陷起始压力,但管道是个线形工程,管道与附属构筑物连接部位是受力不均匀的薄弱部位。受这些因素影响,易造成管道损坏,接口开裂。据非自重湿陷性黄土场地的工程经验,在一些输配水管道及其附属构筑物基底做土垫层和灰土垫层,效果很好,故本条扩大了使用范围,凡是湿陷性黄土场地的管基和基底均这样做管基。
5.5.17 管道穿过井(或沟)时,应在井(或沟)壁处预留洞孔或预埋防水套管。管道与洞孔、套管间的缝隙,应采用不透水的柔性材料填塞。
5.5.18 管道穿过地下室外墙、屋面、水池的池壁处,宜设柔性防水套管或直接预埋翼环套管,且应在连接设备穿水池的池壁处设柔性防水套管并在管道上加设柔性接头或软管。水池的溢水管和泄水管,应接入能满足排水量的排水系统或明沟、集水坑。
条文说明
5.5.18 原“规范”要求管道穿水池池壁处设柔性防水套管,管道从套管伸出,环形壁缝用柔性填料封堵。据调查反映,多数施工难以保证质量,普遍有渗水现象。工程实践中,多改为在池壁处直接埋设带有止水环的管道,在管道外加设柔性接口,效果很好,故本条也增加了此种做法。Ⅲ 供热管道与风道
Ⅲ 供热管道与风道
5.5.19 采用直埋敷设的供热管道,管材选用应符合国家现行有关标准的规定。对重点监测管段,宜设置泄漏报警系统。
条文说明
5.5.19 本条强调了在湿陷性黄土地区应重视选择质量可靠的直埋敷设供热管道的管材。现行行业标准《城镇供热直埋热水管道技术规程》CJJ/T 81、国标《高密度聚乙烯外护管硬质聚氨酯泡沫塑料预制直埋保温管及管件》GB/T 29047中对直埋供热管道的结构、技术要求、试验方法和检验规则等作出了具体规定。为保证湿陷性黄土地区直埋敷设供热管道的总体质量,本标准不推荐采用玻璃钢保护壳,因其在现场施工条件下,质量难以保证。
5.5.20 采用管沟敷设的供热管道,在防护距离内的管沟材料及做法应符合本标准第5.5.10条和第5.5.11条的规定;各种地下井、室应采用与管沟相应的材料及做法。在防护距离外的管沟可采取基本防水措施。阀门不宜设在沟内。
5.5.21 供热管沟的沟底坡度宜大于2%,并应坡向室外检查井。检查井内应设集水坑,其深度不应小于300mm。检查井可与检漏井合并设置。在过门地沟的末端应设检漏孔,地沟内的管道应采取防冻措施。
条文说明
5.5.20、5.5.21 热力管道的管沟遍布室内和室外,甚至防护范围外。室内暖气管沟较长,沟内一般有检漏井,检漏井可与检查井合并设置。所以本条规定,管沟的沟底应设坡向室外检漏井的坡度,以便将水引向室外。 据调查,暖气管沟的过门沟,渗漏水引起地基湿陷的机率较高。尤其在自重湿陷性敏感的Ⅰ、Ⅱ区,冬期较长,过门沟及其沟内装置一旦有渗漏水,如未及时发现和检修,管道往往被冻裂,为此增加在过门管沟的末端应采取防冻措施的规定,防止湿陷事故的发生和恶化。
5.5.22 直埋敷设的供热管道、管沟和各种地下井、室及固定墩等的地基处理,应符合本标准第5.5.16条的规定。
条文说明
5.5.22 直埋敷设供热管道在运行时承受较大的轴向应力,为细长不稳定压杆,管道是依靠覆土而保持稳定的,当管道地基发生湿陷时,有可能产生管道失稳,故应对“直埋供热管道”的管基进行处理,防止产生湿陷。
5.5.23 直埋敷设管道的补偿器、阀门、疏水装置等宜布置在检查井内。
条文说明
5.5.23 直埋敷设供热管道的补偿器布置在检查井内,便于及时发现故障,便于检修。因此有条件时宜将补偿器设置在检查井内。如采用直埋式补偿器,应尽量选用密封性好、质量可靠的产品。
5.5.24 地下风道和地下烟道的人孔或检查孔等,不应设在有可能积水的位置。确有困难时,应采取措施防止地面水流入。
5.5.25 架空管道和室内外管网的泄水、冷凝水,不得任意排放。
条文说明
5.5.25 据调查,目前室内外管网的泄水、空调冷凝水等任意引接和排放的现象较严重,为此,本条规定对室内外管网的泄水、冷凝水不得任意排放,防止地基浸水湿陷。
5.6 地基计算
5.6 地基计算
5.6.1 湿陷性黄土场地自重湿陷量的计算值和湿陷性黄土地基湿陷量的计算值,应按本标准第4.4.3条和第4.4.4条的规定分别进行计算。
条文说明
5.6.1 计算黄土地基的湿陷变形,主要目的在于:
1 根据自重湿陷量的计算值判定建筑场地的湿陷类型;
2 根据基底下各土层累计的湿陷量和自重湿陷量的计算值等因素,判定湿陷性黄土地基的湿陷等级;
3 对于湿陷性黄土地基上的乙、丙类建筑,根据地基处理后的剩余湿陷量并结合其他综合因素,确定设计措施的采取。
对于甲类、乙类建筑或有特殊要求的建筑,由于荷载和压缩层深度比一般建筑物相对较大,所以在计算地基湿陷量或地基处理后的剩余湿陷量时,可考虑按实际压力相应的湿陷系数和压缩层深度的下限进行计算。
5.6.2 湿陷性黄土地基需要变形验算时,其变形计算和变形允许值,应符合现行国家标准《建筑地基基础设计规范》GB 50007的有关规定。但其中沉降计算经验系数φ s 可按表5.6.2取值。
表5.6.2 沉降计算经验系数

E s 为变形计算深度范围内压缩模量的当量值,应按下式计算:

式中:A i ——第i层土附加应力系数曲线沿土层厚度的积分值;
E si ——第i层土的压缩模量值(MPa)。
条文说明
5.6.2 变形计算在地基计算中的重要性日益显著,对于湿陷性黄土地基,有以下几个特点需要考虑:
1 本标准明确规定在湿陷性黄土地区的建设中,采取以地基处理为主的综合措施,所以在计算地基的压缩变形时,应考虑地基处理后压缩层范围内土的压缩性的变化,采用地基处理后的压缩模量作为计算依据。
2 湿陷性黄土在近期浸水饱和后,土的湿陷性消失并转化为高压缩性,对于这类饱和黄土地基,一般应进行地基变形计算。
3 对需要进行变形验算的黄土地基,其变形计算和变形允许值,应符合现行国家标准《建筑地基基础设计规范》GB 50007的规定。考虑到黄土地区的特点,根据原机械工业部勘察研究院等单位多年来在黄土地区积累的建(构)筑物沉降观测资料,经分析整理后得到沉降计算经验系数(即沉降实测值与按分层总和法所得沉降计算值之比)与变形计算深度范围内压缩模量的当量值之间存在着一定的相关关系,如条文中的表5.6.2。
4 计算地基变形时,传至基础底面上的荷载效应,应按正常使用极限状态标准永久组合,不应计入风荷载和地震作用。
5.6.3 湿陷性黄土地基承载力的确定,应符合下列规定:
1 地基承载力特征值,在地基稳定的条件下,应使建筑物的沉降量不超过允许值;
2 甲类、乙类建筑的地基承载力特征值,宜根据静载荷试验或其他原位测试结果,结合土性指标及工程实践经验综合确定;
3 当有充分依据时,对丙类、丁类建筑,可根据当地经验确定;
4 对天然含水量小于塑限含水量的土,可按塑限含水量确定土的承载力。
条文说明
5.6.3 本条对黄土地基承载力明确了以下几点:
1)与现行国家标准《建筑地基基础设计规范》GB 50007相适应,以地基承载力特征值作为地基计算的代表数值。其定义为在保证地基稳定的条件下,使建筑物或构筑物的沉降量不超过容许值的地基承载能力。
2)本条所指承载力是湿陷性黄土地基在天然含水量状态下的承载力。使用此承载力有一定的条件限制,就是按照本标准采取了规定的地基处理、防水措施或结构措施。根据本标准第6章的规定,建筑地基的湿陷性需要按规定进行处理,如湿陷性土层未处理完,下部未处理湿陷性土层的承载力的确定适用于本条规定。或采用天然地基(如丙类、丁类建筑符合某些条件时可不处理地基,或非自重场地上湿陷起始压力大于基底压力等情况)时,如出现本条第4款规定情形,承载力按塑限含水量确定的规定更符合建筑物使用后的实际情况,安全度更高一些。
3)本条第2款主要突出了两个重点:一是强调了载荷试验及其他原位测试的重要作用;二是强调了系统总结工程实践经验和当地经验(包括地区性标准)的重要性。
5.6.4 基础底面积应按正常使用极限状态下荷载效应的标准组合,并应按修正后的地基承载力特征值确定。偏心荷载作用下,相应于荷载效应标准组合,基础底面边缘的最大压力值,不应超过修正后地基承载力特征值的1.20倍。
条文说明
5.6.4 本条规定了确定基础底面积时计算荷载和抗力的相应规定。荷载效应应根据正常使用极限状态标准组合计算;相应的抗力应采用地基承载力特征值。当偏心作用时,基础底面边缘的最大压力值,不应超过修正后的地基承载力特征值的1.20倍。
5.6.5 当基础宽度大于3m或埋置深度大于1.50m时,地基承载力特征值应按下式修正:

式中:f a ——修正后的地基承载力特征值(kPa);
f ak ——相应于b=3m和d=1.50m的地基承载力特征值(kPa),可按本标准第5.6.3条的原则确定;
η b 、η d ——分别为基础宽度和基础埋深的承载力修正系数,可根据基底下土的类别按表5.6.5采用;
γ——基础底面以下土的重度(kN/m 3 ),地下水位以下取浮重度;
γ m ——基础底面以上土的加权平均重度(kN/m 3 ),地下水位以下取浮重度;
b——基础底面宽度(m),当基础宽度小于3m或大于6m时,分别按3m或6m取值;
d一一基础埋置深度(m),宜自室外地面标高算起;当为填方时,可自填土地面标高算起,但填方在上部结构施工后完成时,应自天然地面标高算起;对于地下室,采用箱形基础或筏形基础时,基础埋置深度可自室外地面标高算起;在其他情况下,应自室内地面标高算起。
表5.6.5 基础宽度和基础埋深的承载力修正系数


注:饱和黄土是指I p >10、饱和度S r ≥80%的晚更新世(Q 3 )、全新世(Q 1 4 )黄土。
条文说明
5.6.5 本标准对地基承载力特征值的深、宽修正作如下规定: 1 深、宽修正计算公式及其符号意义与现行国家标准《建筑地基基础设计规范》GB 50007相同; 2 深、宽修正系数取值与原规范相同,未作修改; 3 对饱和黄土的有关物理性质指标分档作了一些修订,将e或IL(其中只要有一个指标)大于0.85改为e或IL大于等于0.85,补充原规范在e或IL等于0.85时的空档。 4 原“规范”深度修正深度自1.5m起,主要是考虑黄土的表层一般沉积年代较短,密度较低,比较松软。本次修订沿用原规范的规定。
5.6.6 湿陷性黄土地基的稳定性计算,除应符合现行国家标准《建筑地基基础设计规范》GB 50007的有关规定外,尚应符合下列规定:
1 确定滑动面时,应考虑湿陷性黄土地基中可能存在的竖向节理和裂隙;
2 对有可能受水浸湿的湿陷性黄土地基,土的强度指标应按饱和状态的试验结果确定。
条文说明
5.6.6 对于黄土地基的稳定性计算,除满足一般要求外,针对黄土地区的特点,增加了两条要求。一条是在确定滑动面(或破裂面)时,应考虑到黄土地基(包括斜坡)的滑动面(或破裂面)与饱和软黏土和一般黏性土是不相同的;另一条是在可能被水浸湿的黄土地基,强度指标应根据饱和状态的试验结果求得。这是因为对于湿陷性黄土来说,含水量增加会使强度显著降低。
5.7 桩基
5.7 桩基
5.7.1 湿陷性黄土场地上的建筑物,符合下列条件之一时,宜采用桩基:
1 采用地基处理措施不能满足设计要求的建筑;
2 对整体倾斜有严格限制的高耸结构:
3 对不均匀沉降有严格限制的建筑和设备基础;
4 主要承受水平荷载和上拔力的建筑或基础;
5 经技术经济综合分析比较,采用地基处理不合理的建筑。
条文说明
5.7.1 湿陷性黄土场地,地基一旦浸水,便会引起湿陷给建筑物带来危害,特别是对于上部结构荷载大且集中的甲、乙类建筑;对整体倾斜有严格限制的高耸结构;对不均匀沉降有严格限制的甲类建筑和设备基础以及主要承受水平荷载和上拔力的建筑或基础等,均应从消除湿陷性危害的角度出发,针对建筑物的具体情况和场地条件,首先从经济技术条件上考虑采取可靠的地基处理措施,当采用地基处理措施不能满足设计要求或经济技术分析比较,采用地基处理不适宜的建筑,可采用桩基础。自20世纪70年代以来,陕西、甘肃、山西等湿陷性黄土地区,大量采用了桩基础,均取得了良好的经济技术效果。
5.7.2 在湿陷性黄土场地选用桩基类型时,应根据工程要求、场地湿陷类型、湿陷性黄土层厚度、桩端持力层的土质情况、施工条件和场地周围环境等因素综合确定。可选用钻、挖孔(扩底)灌注桩,挤土成孔灌注桩,静压或打入的预制钢筋混凝土桩等桩型。
条文说明
5.7.2 在湿陷性黄土地区,采用的桩型主要有:钻、挖孔(扩底)灌注桩,沉管灌注桩,静压桩和打入式钢筋混凝土预制桩等。选用桩型时,应根据工程要求、场地湿陷类型、地基湿陷等级、岩土工程地质条件、施工条件及场地周围环境等综合因素确定。如在非自重湿陷性黄土场地,可采用钻、挖孔(扩底)灌注桩;在地基湿陷性等级较高的自重湿陷性黄土场地,宜采用干作业成孔(扩底)灌注桩;还可充分利用黄土直立性好的特性,采用人工挖孔(扩底)灌注桩;在可能条件下,可采用混凝土预制桩,沉桩工艺有静力压入法和打入法两种。但打入法因噪声大和污染严重,不宜在城市中采用。
5.7.3 湿陷性黄土场地的甲类、乙类建筑物桩基,其桩端必须穿透湿陷性黄土层,并应选择压缩性较低的岩土层作为桩端持力层。 (自2022年1月1日起废止该条,详见新规 《建筑与市政地基基础通用规范》 GB 55003-2021)
条文说明
5.7.3 在湿陷性黄土场地采用桩基础,桩周黄土在浸水后会发生软化导致桩侧极限摩阻力减小,在自重湿陷性黄土场地,还可能产生负摩阻力,使桩的轴向力加大而产生较大沉降。天然黄土的强度较高,当桩的长度和直径较大时,桩身的正摩阻力相当大。在这种情况下,即使桩端支撑在湿陷性黄土层上,在桩周土天然含水量状态下试验,桩的下沉量也往往不大。例如,20世纪70年代建成投产的甘肃刘家峡化肥厂碱洗塔工程,采用的井桩基础未穿透湿陷性黄土层,但由于载荷试验未进行浸水,荷载加至3000kN,下沉量仅6mm。井桩按单桩竖向承载力特征值为1500kN进行设计, 当时认为安全系数取2已足够安全,但建成投产后不久,地基浸水产生了严重的湿陷事故,桩周土体的自重湿陷量达600mm,桩周土的正摩阻力完全丧失,并产生负摩阻力,使桩基产生了大量的下沉。
甲类、乙类建筑物,其工程重要性或浸水可能性较高,应按较不利的浸水条件进行设计,桩端必须穿透湿陷性黄土层,已有研究资料表明,桩端持力层的性质明显影响着桩基浸水附加沉降,桩端持力层的压缩性越低,浸水附加沉降越小,因而宜选择压缩性较低的岩土层作为桩端持力层。
近年来,在湿陷性黄土地区修建了一些浸水可能性低的构筑物,在这种场地按原“规范”饱和条件进行桩基设计,其经济技术效果较差,因此在本次修订中取消了丙、丁类建筑桩基础必须穿透湿陷性黄土层的强制性规定,但在条件许可(如湿陷性黄土层较薄)时应首先考虑按不利的浸水条件进行设计,桩端穿透湿陷性黄土层确有困难时应评估浸水的概率及其对桩基础的影响,并采取相应的防排水措施、地基处理措施和结构措施。
5.7.4 湿陷性黄土场地的桩基,其单桩竖向承载力特征值的确定应符合下列规定:
1 基底下湿陷性黄土层厚度不小于10m时,单桩竖向承载力特征值应通过单桩竖向静载荷浸水试验确定。单桩竖向静载荷浸水试验应符合本标准附录G的规定。
2 基底下湿陷性黄土层厚度小于10m或单桩竖向静载荷试验进行浸水试验确有困难时,单桩竖向承载力特征值可按有关经验公式和本标准第5.7.5条、第5.7.6条的规定进行估算。
条文说明
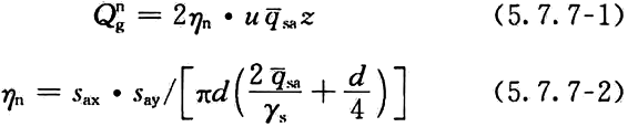
5.7.4 基底下湿陷性黄土层的厚度越大,湿陷性可能越严重,由此产生的危害也可能越大。鉴于目前根据有关经验公式和室内试验评价湿陷性的结果估算单桩竖向承载力还往往与实际存在较大差别,规定基底下湿陷性黄土层厚度较大时,单桩竖向承载力特征值应通过单桩竖向静载荷浸水试验确定,以便为更合理的桩基础设计提供更为丰富的基础资料。甲类建筑和乙类建筑中的重要建筑,是高、重建筑或地基受水浸湿可能性较大,发生湿陷灾害的影响较大,其单桩承载力的确定更应慎重。 按本标准附录G试验要点仅测定桩周土饱和状态下单桩竖向承载力时,由于浸水坑面积较小,对自重湿陷性黄土场地,在试验过程中,桩周土体不一定产生自重湿陷,因此应从试验结果中扣除中性点深度以上的桩侧正、负摩阻力。 对于采用桩基础的其他建筑,其单桩竖向承载特征值,可按有关标准的经验公式估算,即: 
式中:qpa——桩端阻力特征值(kPa); Ap——桩端横截面的面积(m2); u——桩身周长(m); qsa——中性点深度以下土层(加权平均)桩侧摩阻力特征值(kPa);
q sa ——中性点深度以上黄土层平均负摩阻力特征值(kPa);
l——桩身长度(m);
z——中性点深度(m),可按本标准第5.7.6条的规定确定。
对于上式中的qpa和qsa值,对湿陷性黄土土层一般应按饱和状态下的土性指标确定,但对有可靠地区经验或研究表明建筑寿命期内无浸水可能性的湿陷性黄土土层,可取天然状态下的土性指标。饱和状态下的液性指数,可按下式计算:

式中 Sr——土的饱和度,可取85%;
e——土的孔隙比;
ds——土粒相对密度(比重);
ωL、ωp——分别为土的液限和塑限含水量,以小数计。
对于自重湿陷性土层中的桩侧负摩阻力,特征值的概念对负摩阻力而言不甚确切,但考虑到工程人员的习惯,仍采用负摩阻力“特征值”说法。
5.7.5 在非自重湿陷性黄土场地,计算单桩竖向承载力时,湿陷性黄土层内的桩长部分可取桩周土在饱和状态下的正侧阻力。
条文说明
5.7.5 对于非自重湿陷性黄土场地的桩基,虽然理论分析和现场实测均表明在浸水饱和条件下也可能产生负摩阻力作用,但90规范和原规范规定非自重湿陷性黄土场地可计入湿陷性黄土层范围内饱和状态下桩侧正侧阻力以来,在按“规范”设计前提下,工程实践中还未见有桩基础事故的案例,因此本次修订仍维持非自重湿陷性黄土场地可考虑饱和状态下桩侧正摩阻力的规定。
5.7.6 在自重湿陷性黄土场地,单桩竖向承载力的计算除不应计中性点深度以上黄土层的正侧阻力外,尚应扣除桩侧的负摩阻力,并应符合下列规定:
1 负摩阻力值宜通过现场浸水试验测定,无场地负摩阻力实测资料时,可按表5.7.6中的数值估算。
表5.7.6 桩侧平均负摩阻力特征值(kPa)

2 中性点深度可通过下列方式确定:
1)单桩竖向静载荷浸水试验实测;
2)浸水饱和条件下,取桩周黄土沉降与桩身沉降相等的深度;
3)取自重湿陷性黄土层底面深度;
4)根据建筑使用年限内场地水环境变化研究结果结合场地黄土湿陷性条件综合确定;
5)有经验的地区,可根据当地经验结合场地黄土湿陷性条件综合确定。
条文说明
5.7.6 对自重湿陷性黄土场地,桩周的自重湿陷性黄土层浸水后发生自重湿陷时,将产生土层对桩的向下位移,对桩将产生一个向下的作用力,即负摩阻力。因此在确定单桩竖向承载力特征值时,除不计中性点深度以上黄土层的桩侧正摩阻力外,尚应考虑桩侧的负摩阻力。
桩侧负摩阻力应通过现场桩基竖向载荷浸水试验确定,但一般情况下不容易做到。因此,许多单位提出希望本标准能给出具体数据或参考值。自20世纪70年代开始,我国有关单位采用悬吊法实测桩侧负摩阻力;随着测试技术的进步,20世纪90年代开始,有关单位在桩身中埋设测试元件,进行黄土桩基浸水载荷试验, 实测桩侧负摩阻力和中性点深度。本次修订收集了在陕西、甘肃、宁夏、河南、山西等省26根桩的负摩阻力测试资料,资料显示浸水试验过程中桩顶无荷载的桩实测的负摩阻力要比有荷载桩大。鉴于先湿法和后湿法得到的负摩阻力大小不同,且后湿法被认为更符合桩的工作实际,剔除先湿法和不确定的试验数据,绘制14根灌注桩(4根采用悬吊法测试,10根采用后湿法埋设测试元件测试)实测负摩阻力大小频数分布直方图见图2。

图2 灌注桩实测负摩阻力频数分布直方图
从图2中以看出,目前的负摩阻力测试结果较为离散,但大多数桩(占79%)实测负摩阻力不大于30kPa,表明原规范负摩阻力的取值总体上是较合适的,因此本次修订仍维持原规范负摩阻力取值大小不变。
关于桩的类型对负摩擦力的影响:试验结果表明,预制桩的侧表面虽比灌注桩平滑,但其单位面积上的负摩擦力却比灌注桩为大。这主要是由于预制桩在打桩过程中,将桩周土挤密,挤密土在桩周形成一层硬壳,牢固地黏附在桩侧表面上。桩周土体发生自重湿陷时不是沿桩身而是沿硬壳层滑移,增加了桩的侧表面面积,负摩擦力也随之增大。因此,对于具有挤密作用的预制桩与无挤密作用的钻、挖孔灌注桩,其桩侧负摩擦力应分别给出不同的数值。但近年在自重湿陷性黄土场地进行的PHC管桩浸水试验结果表明,当桩由多节管桩连接而成时,沉桩后有时在上部桩体与桩周土之间会存在明显缝隙,导致浸水后桩侧负摩阻力较小;该现象是个别现象还是普遍现象还需要进一步积累资料。
关于自重湿陷量的大小对负摩擦力的影响:兰州钢厂两次负摩擦力的测试结果表明,经过8年之后,由于地下水位上升,地基土的含水量提高以及地面堆载的影响,场地的湿陷性降低,负摩擦力值也明显减小,钻孔灌注桩两次的测试结果见表3。
表3 兰州钢厂钻孔灌注桩负摩擦力的测试结果
试验结果表明,桩侧负摩擦力与自重湿陷量的大小有关,土的自重湿陷性愈强,地面的沉降速度愈大,桩侧负摩擦力值也愈大。因此,对自重湿陷量△zs<200mm的弱自重湿陷性黄土与△zs≥200mm较强的自重湿陷性黄土,桩侧负摩擦力的数值差异较大。
大多数学者认为按原规范进行湿陷性黄土地区的桩基设计总体是偏于安全的,特别是在大厚度自重湿陷性黄土场地尤为如此,其主要原因一是基坑开挖的卸荷导致自重湿陷量减小,自重湿陷土层的下限深度上移;二是已有桩基竖向静载荷浸水试验结果表明实测的中性点深度往往要比室内试验确定的自重湿陷土层下限深度小;三是对大厚度自重湿陷性黄土层,在建筑物生命期内,下部自重湿陷土层受到浸水作用的概率较小。上述三个原因均与桩中性点深度的选取相关,但目前相关的试验和研究开展得并不多,还难以形成比较具体的条文,本次修订仅对中性点深度的确定作出原则性规定:
1 通过单桩竖向静载荷浸水试验实测中性点深度。在大厚度自重湿陷性黄土场地,相对于将室内—试验确定的自重湿陷土层下限深度作为中性点深度,采取该方法在不少地区能优化(减小)中性点深度。
2 按桩周黄土沉降与桩沉降相等的条件实测或计算中性点深度。在较细致的竖向应力计算和包括湿陷性试验在内更细致的室内外试验基础上,分别计算桩周土沉降和桩沉降,从负摩阻力最基本的理论出发计算中性点深度,可解决深基坑及其他竖向应力减小情况下原规范确定的中性点深度过大的问题。
3 取自重湿陷性黄土层底面对应的深度作为中性点深度。包括两层含义:一是取室内试验确定的自重湿陷性黄土层底面深度(自重湿陷性黄土层下限深度)作为中性点深度,该方法是传统的湿陷性黄土场地桩基中性点深度确定方法,在没有更多的地区经验、现场试验或研究的情况下一般按该法确定中性点深度;二是取现场试坑浸水试验确定的自重湿陷黄土层底面深度作为中性点深度,该法虽不如单桩竖向静载荷浸水试验实测中性点直接,但对中性点深度的取值也是重要参考,在大厚度湿陷性黄土地区采用该法往往也可以优化(减小)中性点深度,如在郑西高速铁路沿线进行的7组现场试坑浸水试验,室内试验确定的自重湿陷下限深度为19m~32m,而实测自重湿陷下限深度为10m~22m,后者是前者的0.40倍~0.96倍。
4 通过开展水环境变化研究确定中性点深度。在地下水无上升至自重湿陷性土层可能的情况下,可将研究得到的建筑使用期内可能达到的最大浸水深度作为中性点深度(最大浸水深度小于自重湿陷下限深度时)。
5 根据地区经验确定中性点深度。鼓励有条件的大厚度湿陷性黄土地区开展研究,根据浸水水源、地基土渗透性、地层结构、黄土性质、建设规划等条件,总结地区不同防水措施,不同类型建筑使用期内浸水深度的经验;在不同地质单元选择代表性的场地进行现场浸水试验,总结地区实测自重湿陷下限深度与室内试验确定的自重湿陷下限深度关系的经验。综合确定地区可靠的中性点深度取值经验方法。
鉴于目前自重湿陷黄土场地桩侧负摩阻力的试验资料不多,关于黄土浸水可能性的研究还不够深入,本标准有关桩侧负摩阻力和中性点深度的规定,有待于今后通过不断积累资料逐步完善。
5.7.7 将负摩阻力引起的下拉荷载计入附加荷载验算桩基沉降时,考虑群桩效应的单桩下拉荷载可按下列公式计算:

式中:Q n g ——考虑群桩效应的单桩下拉荷载(kN);
η n ——负摩阻力群桩效应系数,对于单桩基础或按式(5.7.7-2)计算得群桩效应系数η n >1时,取η n =1;
u——桩身周长(m);
q sa ——中性点深度以上黄土层平均负摩阻力特征值(kPa);
z——中性点深度(m);
s ax 、s ay ——分别为纵、横向桩的中心距(m);
d——桩身直径(m);
γ s ——中性点深度以上按土层厚度加权的平均饱和重度(kN/m 3 )。
条文说明
5.7.7 将负摩阻力引起的下拉荷载计入附加荷载验算桩基沉降时,对于单桩基础,桩侧负摩阻力的总和即为下拉荷载;对于桩距较小的群桩,其单桩的负摩阻力因群桩效应而降低,本条考虑群桩效应下拉荷载的算法取自现行国家标准《建筑桩基技术规范》JGJ 94。
5.7.8 单桩水平承载力特征值,宜通过现场水平静载荷浸水试验结果确定。
条文说明
5.7.8 在水平荷载和弯矩作用下,桩身将产生挠曲变形,并挤压桩侧土体,土体则对桩产生水平抗力,其大小和分布与桩的变形以及土质条件、桩的入土深度等因素有关。设在湿陷性黄土层中的桩,在天然含水量条件下,桩侧土对桩往往可以提供较大的水平抗力;一旦浸水桩周土变软,强度显著降低,桩周土体对桩侧的水平抗力就会降低。
5.7.9 在 
区的自重湿陷性黄土场地,桩的纵向钢筋长度应沿桩身通长配置。其他地区的自重湿陷性黄土场地,桩的纵向钢筋长度,不应小于自重湿陷性黄土层的厚度。
条文说明
5.7.9 对于混凝土灌注桩纵向受力钢筋的配置长度,在设计中应有所考虑。对于在非自重湿陷性黄土层中的桩,一经浸水桩周土可能变软或产生一定量的负摩擦力,对桩产生不利影响。因此,建议桩的纵向钢筋除应自桩顶按1/3桩长配置之外,配筋长度尚应超过湿陷性黄土层的厚度;对于在自重湿陷性黄土层中的桩,由于桩侧可能承受较大的负摩擦力,中性点界面处的轴向压力往往大于桩顶,全桩长的轴向压力均较大。因此,建议在湿陷性相对较强的
区自重湿陷性黄土场地,桩身纵向钢筋应通长配置。
5.7.10 自重湿陷性黄土场地,可采取减小桩侧负摩阻力的措施提高桩基的竖向承载力。
条文说明
5.7.10 在自重湿陷性黄土层中的桩基,一经浸水桩侧产生负摩阻力,将使桩基竖向承载力不同程度的降低。为了提高桩基的竖向承载力,设在自重湿陷性黄土场地的桩基,可采取减小桩侧负摩阻力的措施,如:
1 在自重湿陷性黄土层,桩的负摩阻力试验资料表明,在同一类土中,挤土桩的负摩阻力大于非挤土桩的负摩阻力。因此,应尽量采用非挤土桩(如钻、挖孔灌注桩),以减小桩侧负摩阻力(挤土桩已完全消除地基土湿陷性的情况除外)。
2 对位于中性点以上的桩侧表面进行处理,以减小负摩阻力的产生。
3 在桩基施工前,可采用强夯、挤密法等进行地基处理,消除中性点深度以上土层的自重湿陷性。
4 采取其他有效而合理的措施。
5.8 基坑设计
5.8 基坑设计
5.8.1 湿陷性黄土场地的基坑开挖与支护应进行专项设计,勘察资料不满足专项设计要求时应进行专项勘察。专项设计宜具备下列资料:
1 岩土工程勘察报告;
2 建筑总平面图,地下管线图,地下结构的平面图和剖面图;
3 邻近建筑物和地下设施的类型及分布情况、基础形式、基础埋深、地基处理方法及深度等,并宜对结构质量进行检测评价;
4 周边道路和各种管线的分布及其允许变形标准。有给水排水管线在基坑附近通过时,宜对其渗漏现象进行调查。
条文说明
5.8.1 基坑开挖和支护结构通常有两种情况,一种是属于地下工程施工过程中作为一种临时性结构,地下工程施工完成后,即失去作用,其支护工程施工完成后有效使用期一般为12个月。当超过有效使用期限时,应由原设计单位进行安全性复核,确认安全并采取相应处置措施后方可延长一定的使用期限。另一种情况作为建筑物的永久性构件继续使用,此类支护结构的设计计算,还应满足永久结构的设计使用要求。不论哪种情况,均应进行专门设计,本条列出的资料均是设计输入资料或需要考虑的问题。
5.8.2 湿陷性黄土场地的基坑支护设计,宜符合下列规定:
1 作用于支护结构的土压力和水压力宜按水土合算的原则计算。当按变形控制原则设计支护结构时,作用在支护结构的土压力宜考虑支护结构与土体的相互作用,也可按地区经验确定。
2 当基坑壁受水浸湿可能性较大时,宜采用饱和状态下黄土的强度参数进行校核,校核采用的安全系数宜根据基坑重要性及浸水可能性大小确定,但不宜小于1.05。
3 对基坑周边外宽度为(1~2)倍的开挖深度范围内土体的垂直节理和裂缝对坑壁稳定性的影响进行分析。
条文说明
5.8.2 随着建设的发展,湿陷性黄土地区的基坑开挖深度越来越大,许多已超过20m,黄土地区基坑事故也屡有发生。湿陷性黄土地区的基坑开挖与支护除了应符合现行国家标准《岩土工程勘察规范》GB 50021、《建筑地基基础设计规范》GB 50007和《建筑基坑支护技术规程》JGJ 120的有关规定外,还有其特殊的要求,其中最为突出的有:
1 要对基坑周边外宽度为(1~2)倍开挖深度的范围内进行土体裂隙调查,并分析其对坑壁稳定性的影响。一些工程实例表明,黄土坑壁的失稳或破坏,常常呈现坍落或坍滑的形式,滑动面或破坏面的后壁常呈现直立或近似直立,与土体中的垂直节理或裂隙有关。
2 湿陷性黄土遇水增湿后,其强度将显著降低导致坑壁失稳。不少工程实例都表明,黄土地区的基坑事故大都与黄土坑壁浸水增湿软化有关。所以对黄土基坑来说,严格的防水措施是至关重要的。当基坑壁受水浸湿可能性较大时,应采用饱和状态下黄土的物理力学性质指标进行校核。
5.8.3 湿陷性黄土层中预应力土层锚杆设计应符合下列规定:
1 土层锚杆锚固段不宜设置在未经处理的软弱土层、填土、不稳定土层和不良地质地段,上覆土层厚度不宜小于4.0m,在最危险滑动面以外的有效计算长度应满足稳定计算要求。预应力锚杆自由段长度不应小于5.0m。
2 锚杆锚固体上、下排间距不宜小于2.0m,水平方向间距不宜小于1.5m,倾角不宜小于15°。
3 锚杆张拉锁定应在锚固体和外锚头强度达到设计强度以后逐根进行,张拉荷载宜为设计值的(1.05~1.10)倍,并应在稳定5min~10min后,退至锁定荷载锁定。锚杆锁定荷载可取锚杆设计值的(0.70~0.85)倍。
6 地基处理
6.1 一般规定
6 地基处理
6.1 一般规定
6.1.1 甲类建筑地基的湿陷变形和压缩变形不能满足设计要求时,应采取地基处理措施或将基础设置在非湿陷性土层或岩层上,或采用桩基础穿透全部湿陷性黄土层。采取地基处理措施时应符合下列规定:
1 非自重湿陷性黄土场地,应将基础底面以下附加压力与上覆土的饱和自重压力之和大于湿陷起始压力的所有土层进行处理,或处理至地基压缩层的深度;
2 自重湿陷性黄土场地,对一般湿陷性黄土地基,应将基础底面以下湿陷性黄土层全部处理。 (自2022年1月1日起废止该条,详见新规 《建筑与市政地基基础通用规范》 GB 55003-2021)
条文说明
6.1.1 本条为强制性条文。湿陷变形是作用于地基上的荷载不改变,仅由于地基浸水引起的附加变形。由于浸水范围的不确定性,此附加变形经常是局部和突然发生的,并且很不均匀。在地基浸水初期,往往一昼夜就可产生150mm~250mm的湿陷量,上部结构很难适应和抵抗这种量大、速率快、不均匀的地基变形,对建筑物的破坏性大,危害严重。如地基湿陷性不消除,仅采用防水措施和结构措施,实践证明是不能保证建筑物的安全和正常使用的。 鉴于甲类建筑的重要性和使用上对不均匀沉降的严格限制等与乙、丙建筑有所不同,地基一旦发生湿陷,在政治、经济等方面会造成不良影响或重大损失,后果严重,因此不允许甲类建筑出现任何破坏性变形,也不允许因地基变形影响建筑物正常使用,故对其要求从严。 针对地基湿陷性的处置措施:一是地基处理,使地基变为非湿陷性地基(地基措施);在湿陷性土层较薄,持力层深度不深时可将基础直接放置于持力层(基础措施);二是采用桩基础穿透全部湿陷性黄土层(基础措施),使上部荷载通过桩基础传递至压缩性低或较低的非湿陷性土(岩)层上。从而将地基浸水引起的附加沉降控制在允许范围内。 试验研究结果表明,在非自重湿陷性黄土场地,在附加压力和上覆土饱和自重压力共同作用下,建筑物地基受水浸湿后的变形范围,通常发生在地基压缩层内。压缩层下限深度以下的湿陷性黄土层,由于附加压力很小,即使地基浸水,产生的湿陷变形也很小,且发生在深部,因此将附加压力和上覆土饱和自重压力之和大于湿陷起始压力的土层处理后,可保证建筑物安全。 在自重湿陷性黄土场地,建筑物地基充分浸水时,基底下具有自重湿陷性的黄土层会产生湿陷。本次修订按基底下湿陷性黄土的下限深度(最下层湿陷性黄土层底深度)对地基进行了划分,小于20m划分为一般湿陷性黄土地基,大于20m为大厚度湿陷性黄土地基(术语中已做了区分),理由如下:1 原“规范”规定甲类建筑应将湿陷性黄土全部处理,实践中发现对厚度大的湿陷性黄土地基实施起来有困难;2 根据浸水试验结果,深层黄土湿陷发生的量和概率均较低;3 上部黄土处理后形成较好的隔水层,深部黄土浸水的概率大幅降低。因此按湿陷性黄土层深度对地基进行区分,分别采取措施是必要的。 甲类建筑基底压力大,压缩层深度较深,一般湿陷性黄土地基为基底下黄土深度小于20m,考虑到此范围内土层被水渗入的可能性较大,应将全部湿陷性黄土层进行处理。
6.1.2 大厚度湿陷性黄土地基上的甲类建筑,采取地基处理措施时应符合下列规定:
1 基础底面以下具自重湿陷性的黄土层应全部处理,且应将附加压力与上覆土饱和自重压力之和大于湿陷起始压力的非自重湿陷性黄土层一并处理;
2 地下水位无上升可能,或上升对建筑物不产生有害影响,且按本条第1款规定计算的地基处理厚度大于25m时,处理厚度可适当减小,但不得小于25m,且应在原防水措施基础上提高等级或采取加强措施。
条文说明
6.1.2 基底下湿陷性黄土层厚度不小于20m时定义为大厚度湿陷性黄土地基。本条规定对甲类建筑除将自重湿陷性黄土层全部处理外,对附加压力和上覆土饱和自重压力之和大于湿陷起始压力的非自重湿陷土层也应处理,按此规定建筑物安全是有保障的。 但由于地域或场地不同,有些场地湿陷性黄土层厚达40m以上,要完全处理完,施工难度大、成本高,尚缺成熟的机具和可靠工法。根据几十年来的浸水试验成果总结出以下规律:①不打浸水孔使水自然向下渗透(地面浸水范围有限)时,渗水面25m以下的土层含水量变化很小,且需要较长时间;②水在黄土中垂直渗透速度远远大于水平渗透速度;③湿陷变形量大部分产生于上部土层,深层湿陷量占总湿陷量比例较小。为保证安全,本条还规定应加强防水措施,减少或杜绝渗漏。在后续条文中规定了对大厚度湿陷性黄土地基的最小处理外放宽度,加长地面水渗入地基持力层的长度,改变渗入路径和方向。综合以上措施,地基处理至某一深度是可行的,本条规定在计算处理厚度大于25m时最小处理厚度可取25m,是考虑安全和施工成本的合理平衡。
6.1.3 乙类、丙类建筑应采取地基处理措施消除地基的部分湿陷量。当基础下湿陷性黄土层厚度较薄,经技术经济比较合理时,也可消除地基的全部湿陷量或将基础设置在非湿陷性土层或岩层上,或采用桩基础穿透全部湿陷性黄土层。
条文说明
6.1.3 按本标准第4章的规定,可以计算出地基的“湿陷量”,地基处理时,若将对“湿陷量”有贡献的土层全部进行处理,消除其湿陷性,就是消除地基的“全部湿陷量”。与此对应,仅处理基底下部分土层,消除其湿陷性,就是消除地基的“部分湿陷量”。 乙、丙类建筑量大面广,重要性较甲类建筑低,地基处理的思想是在建筑物浸水条件下,确保建筑物整体稳定和主体结构安全,非承重部位允许出现裂缝。也是在建筑物安全和节约建设投资之间达成合理平衡。因此规定可消除地基部分湿陷量,同时根据地基处理程度及下部未处理湿陷土层的剩余湿陷量或湿陷起始压力,采取防水措施和结构措施以弥补地基处理的不足。但湿陷性黄土地基比较复杂,在某些特殊情况下,如按一般规定选取设计措施,技术、经济上不一定合理。若经济上合理,又能达到更高的地基处理标准,应为首选。
6.1.4 乙类建筑采用消除地基部分湿陷量的措施时,应符合下列规定:
1 非自重湿陷性黄土场地,处理深度不应小于地基压缩层深度的2/3,且下部未处理湿陷性黄土层的湿陷起始压力值不应小于100kPa;
2 自重湿陷性黄土场地,处理深度不应小于基底下湿陷性土层的2/3,且下部未处理湿陷性黄土层的剩余湿陷量不应大于150mm;
3 大厚度湿陷性黄土地基,基础底面以下具自重湿陷性的黄土层应全部处理,且应将附加压力与上覆土饱和自重压力之和大于湿陷起始压力的非自重湿陷性黄土层的2/3一并处理;处理厚度大于20m时,可适当减小,但不得小于20m,并应在原防水措施基础上提高等级或采取加强措施。
条文说明
6.1.4 相较于甲类建筑,乙类建筑高度和重要性稍低,允许地基残留部分湿陷量。处理的重点集中在基底下湿陷性较强的土层,因这部分土层贴近基底,附加应力大,受水浸湿可能性大,对建筑物安全影响最大。 大量工程实践表明,消除建筑物地基部分湿陷量的处理厚度太小时,一是地基处理后下部未处理湿陷性土层的剩余湿陷量大。调查资料表明,地基处理后剩余湿陷量大于220mm时,建筑物在使用期间受水浸湿,可产生严重或较严重裂缝;剩余湿陷量在130mm~200mm时,受水浸湿一般产生的裂缝轻微。二是防水效果不理想,难以阻止生产、生活用水及大气降水,自上而下渗入未处理土层,潜在危害大。因此处理厚度应有限制,本条对于剩余湿陷量的规定也保证了有足够的地基处理厚度。 本次修订增加了大厚度湿陷性黄土地基的规定。对湿陷性黄土厚度很大的地基,处理厚度过大在实际工程中难以实施,如计算出的处理厚度过大时,可采用最小地基处理厚度,但应加强防水措施弥补。
6.1.5 丙类建筑消除地基部分湿陷量的最小处理厚度,应符合表6.1.5的规定。当按剩余湿陷量计算的地基处理厚度较大,采用表6.1.5中的最小处理厚度时,应在原防水措施基础上提高等级或采取加强措施。
表6.1.5 丙类建筑消除地基部分湿陷量的最小处理厚度


条文说明
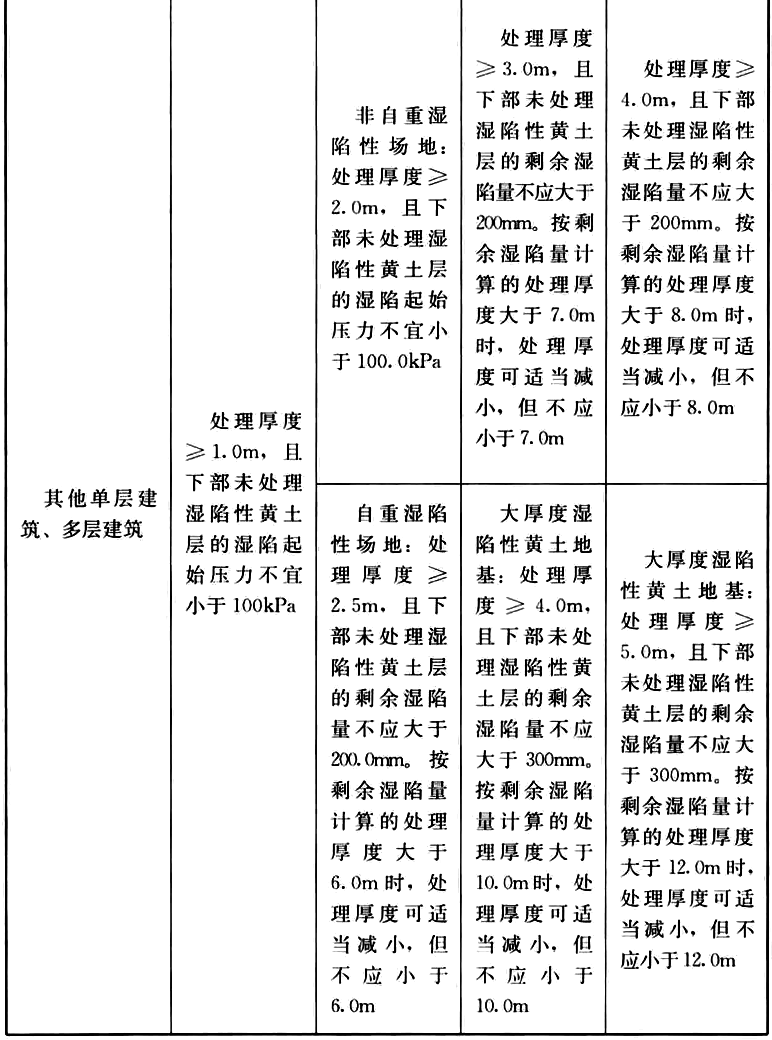
6.1.5 丙类建筑主要是单层和多层建筑以及构筑物。同为丙类建筑,有内部有上下水设施的多层建筑,也有内部无用水设施的单层建筑,单层建筑中有总高度低、基底压力小的门房、单层教室、宿舍等,也有基底压力较大、总高度较高的单层工业厂房等,其基底压力和浸水可能性都有很大差别,地基处理也应区别对待。本条对单层和多层建筑的地基处理分别进行了规定,并增加了对浸水可能小的单层丙类建筑的地基处理规定。本条规定是处理厚度的下限,对湿陷土层厚度不大的情况,也可全部处理。 本次修订增加了多层丙类建筑地基处理厚度的最小厚度规定和大厚度湿陷性黄土地基上丙类建筑的地基处理规定。随着湿陷性黄土层厚度较大地区工程建设项目的增多,原规范在实施中遇到了按剩余湿陷量控制处理厚度时,处理厚度很大的情况,例如在西安北部的渭北黄土塬区及河南西部黄土塬,地下水位很深,湿陷土层厚度超过30m,按剩余湿陷量计算的处理厚度可达20余米,对丙类建筑来说不尽合理。根据近年工程经验,对地基处理厚度最小值给出了规定,采用最小值时,应加强防排水措施作为补偿。
6.1.6 采用地基处理措施时,平面处理范围应符合下列规定:
1 非自重湿陷性黄土场地可采用整片或局部处理地基,自重湿陷性黄土场地应采用整片处理。
2 局部处理时,平面处理范围应大于基础底面,且每边应超出基础底面宽度的1/4,并不应小于0.5m。
3 整片处理时,平面处理范围应大于建筑物外墙基础底面。超出建筑物外墙基础外缘的宽度,不宜小于处理土层厚度的1/2,并不应小于2.0m。确有困难时,按处理土层厚度的1/2计算外放宽度,非自重湿陷性黄土场地大于4.0m时,可采用4.0m;自重湿陷性黄土场地,大于5.0m时可采用5.0m,大厚度湿陷性黄土地基大于6.0m时可采用6.0m,但应在原防水措施基础上提高等级或采取加强措施。
条文说明
6.1.6 湿陷性黄土地基的处理,在平面上分为局部处理和整片处理。 局部处理是将大于基础底面下一定范围内的湿陷性黄土层进行处理,通过处理消除拟处理土层的湿陷性,改善地基应力扩散,增强地基稳定性。由于局部处理平面范围较小,上部水源仍可自其侧向渗入下部未处理湿陷土层,本次修订将局部处理的应用范围限定在非自重湿陷性黄土场地。 整片处理是将大于建筑物底层平面范围内的湿陷性土层全部进行处理,消除其湿陷性,减小渗透性,增强拟处理土层的防水作用。要求地基处理有一定外放宽度,就是要增大上部水源从侧向渗入地基的路径长度,减少渗入量,减轻危害。原规范规定外放宽度是地基处理厚度的1/2,在处理厚度大时较难实施,本次修订参考了自然渗透浸水试验的结果,对地基处理厚度较大时的外放宽度给出了最小外放值。具体实施时,如有条件按地基处理厚度的1/2进行外放,还应按此规定执行,确有困难时,可采用地基处理的最小外放值,但要加强防水措施作为弥补。
6.1.7 地基压缩层厚度宜按下列方法确定,取其中较大值,且不宜小于5m。
1 对条形基础,取其宽度的3.0倍;对独立基础,取其宽度的2.0倍;对筏形基础和宽度大于10m的基础取其宽度的(0.8~1.2)倍,基础宽度大者取小值,反之取大值。
2 按下式计算:

式中:p z ——相应于荷载效应标准组合下,在基础底面下z深度处土的附加压力值(kPa);
p cz ——在基础底面下z深度处土的自重压力值(kPa);
λ——系数,z深度下无高压缩性土时取0.2,有高压缩性土时取0.1。
条文说明
6.1.7 地基压缩层厚度与基础尺寸、基础形状、基底压力、基底下土层结构等诸多因素有关。其厚度是确定地基处理厚度的依据之一,对建筑物最终沉降量影响较大。本次修订对其厚度确定的原则做了调整,规定取按宽度和附加应力计算两者结果的大值。
6.1.8 地基处理后的承载力,应根据静载荷试验结果结合当地经验综合确定。其下卧层顶面的承载力特征值,应满足下式要求:

式中:p z ——相应于荷载效应标准组合下,下卧层顶面的附加压力值(kPa);
p cz ——地基处理后,下卧层顶面上覆土的自重压力值(kPa);
f az ——地基处理后,下卧层顶面经深度修正后的承载力特征值(kPa)。
条文说明
6.1.8 通过静载试验检验地基处理后的承载力是目前最可靠的方法之一。但由于静载试验的压板一般尺寸较小,影响深度有限,其结果只能反映一定范围内的地基情况。对仍存在剩余湿陷量的地基,下部未处理湿陷性黄土层仍有发生湿陷的可能,因此地基承载力不宜用的过大。
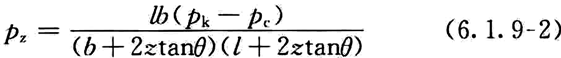
6.1.9 处理土层底面处下卧土层的附加压力p z ,对条形基础和矩形基础,可分别按下列公式计算:
1 条形基础

2 矩形基础

式中:b——条形或矩形基础底面的宽度(m);
l——矩形基础底面的长度(m);
p k ——相应于荷载效应标准组合,基础底面的平均压力值(kPa);
p c ——基础底面处土的自重压力值(kPa)
z——基础底面至处理土层底面的距离(m);
θ——处理层地基压力扩散线与垂直线的夹角(°),灰土、水泥土垫层可取28°~30°;素土垫层当z/b<0.25时取0°,z/b=0.25时取6°,z/b≥0.50取23°,0.25<z/b<0.5时可内插确定。
6.1.10 当按处理后的地基承载力确定基础底面积及埋深时,宜对现场原位测试确定的地基承载力特征值进行修正。基础宽度的地基承载力修正系数宜取0,基础埋深的地基承载力修正系数宜取1。
6.1.11 地基处理方法应根据建筑类别和场地工程地质条件,结合施工设备、进度要求、材料来源和施工环境等因素,经技术经济比较后综合确定。可选用表6.1.11中的一种或多种方法组合。
表6.1.11 湿陷性黄土地基处理方法

条文说明
6.1.11 比较常用的处理湿陷性黄土地基的方法有垫层法、强夯法、挤密法。黄土具有干密度小、含水量较低及欠压密等特点,适于用夯压和挤密方法处理,且成本相对较低。含水量低于12%时土的强度较高,挤密效果较差,宜增湿后再施工挤密桩。预浸水法适用于自重湿陷量大的自重湿陷性场地,一般工期较长,在环境等条件适宜时可以采用。注浆法包括化学材料注浆和水泥浆液注浆等,在新建工程中较少使用,主要用于既有建筑物的地基加固,使用时应通过试验确定其适用性。 通过在湿陷土层中设置强度较高的竖向增强体(水泥土桩、低标号混凝土桩等),而对桩间土不挤密或部分挤密(平均挤密系数较低),也可达到使复合土层不具湿陷性的目的,设计时桩间土的承载力可按低于湿陷起始压力取值。近年也有成功工程实例,主要应用于湿陷土层较薄、湿陷性弱的非自重湿陷性黄土,使用时应通过试验验证其适用性。 表6.1.11中所列处理方法可组合使用,如预浸水法和垫层法、强夯法等结合使用。
6.2 垫层法
6.2 垫层法
6.2.1 垫层材料可选用土、灰土和水泥土等,不应采用砂石、建筑垃圾、矿渣等透水性强的材料。当仅要求消除基底下1m~3m湿陷性黄土的湿陷量时,可采用土垫层,当同时要求提高垫层的承载力及增强水稳性时,宜采用灰土垫层或水泥土垫层。
条文说明
6.2.1 垫层法是一种浅层外理湿陷性黄土的传统方法,具有因地制宜、就地取材、施工简便等优点,在湿陷性黄土地区应用广泛。处理厚度超过3m时,挖填方量较大,施工质量不易保证,选用时应进行技术经济比较。
湿陷性黄土层未处理完,垫层下仍有未处理的湿陷性黄土层时,垫层不应采用透水材料。如垫层下已无湿陷性土层,或是浸水无影响的地层(如砂石层等),可采用透水材料。
6.2.2 灰土垫层中的消石灰与土的体积配合比,宜为2:8或3:7,回填料含水量较大时宜采用较高的消石灰配合比。水泥土垫层中水泥与土的配合比宜通过试验确定,无经验时,水泥掺量可采用土重量的7%~12%。
6.2.3 垫层的压实质量,应用压实系数λ c 控制,并应符合下列规定:
1 厚度不大于3m的垫层,λ c 不应小于0.97;
2 厚度大于3m的垫层,基底下3m以内λ c 不应小于0.97,3m以下不应小于0.95;
3 压实系数λ c 应按下式计算:

式中 λ c ——压实系数;
ρ d ——垫层的控制(或设计)干密度(g/cm 3 );
ρ dmax ——最大干密度(g/cm 3 )。
6.2.4 土或灰土、水泥土的最大干密度和最优含水量,应在工程现场拟施工垫层的材料中选取有代表性的土样采用击实试验确定。
条文说明
6.2.4 击实试验分轻型击实和重型击实,采用何种击实试验由设计单位决定。设计无明确要求时,对垫层而言,一般采用轻型击实试验,或根据压实机械确定击实试验类型。本标准第6.2.3条规定的压实系数是对应轻型击实试验的要求。
6.2.5 垫层的承载力特征值,应根据现场原位试验结果结合下卧土层湿陷量综合确定。无承载力直接试验结果时,土垫层承载力特征值取值不宜超过180kPa,灰土垫层承载力特征值取值不宜超过250kPa。
条文说明
6.2.5 设置土(或灰土)垫层主要在于消除拟处理土层的湿陷性,其承载力可通过现场静载荷试验或动、静触探试验确定,取值超过本条建议值时应验算下卧土层的承载力。当无试验资料时,按本条规定取值可满足工程要求,并有一定的安全储备。总之,消除部分湿陷量的地基,其承载力不宜用得太高,否则,对减小湿陷不利。
6.3 强夯法
6.3 强夯法
6.3.1 强夯法适用于处理地下水位以上、含水量10%~22%且平均含水量低于塑限含水量1%~3%的湿陷性黄土地基。当强夯施工产生的振动和噪声对周边环境可能产生有害影响时,应评估采用强夯法的适宜性。
条文说明
6.3.1 本条规定强夯法处理湿陷性黄土地基的适用范围主要是基于以下两方面考虑:
1 地基土含水量范围。湿陷性黄土地基在一定的夯击能级下强力夯实,消除湿陷性,属于地基土机械加密方法,同压实法一样存在最优含水量问题。当地基土的含水量接近最优含水量(强夯法一般采用重型击实试验测得)时,强夯效果好,偏离最优含水量越大,效果越差。本条规定的含水量范围总结了黄土强夯工程实测统计资料,当地基土含水量在10%~22%范围内时,达到设计效果需要的总夯击能较少,夯击能效较高,经济性较好。超过22%时,将地基土夯击成“橡皮土”的风险很大,适用性应通过实验验证。
2 拟建场地环境因素。强夯法处理地基时地基会产生弹性波(振动),周围空气产生噪声。强夯能级越大,振动幅度和噪声波及的范围也就越大。设计人员在选择地基处理方法时应考虑强夯法处理地基对本场地及周围环境的影响,包括对地下建筑物、地下管线和科研实验仪器等的破坏与不利影响;在人口居住密集区对居民生产、生活产生的不良影响。这类场地地基处理一般不宜选用强夯法。
6.3.2 强夯法处理湿陷性黄土地基的设计内容应包括夯实厚度、强夯能级、处理平面范围及夯点排布、起夯标高、夯击遍数和夯点击数等参数。
条文说明
6.3.2 本条是强夯法处理地基设计单位要设计的内容,其顺序也是强夯法处理地基设计的步骤:夯实厚度、强夯能级、处理平面范围及夯点排布、起夯标高、夯击遍数和夯点击数。
6.3.3 夯实厚度应根据本标准第6.1节的规定,结合建筑物对地基的物理力学指标要求或地基处理目的及岩土工程资料等综合确定。
条文说明
6.3.3 本次修订引入“夯实厚度”的概念,即依据拟建场地工程地质资料和拟建工程对地基土承载力、强度、变形的要求,结合本标准第6.1节对消除湿陷性方面的要求,由设计单位确定基础底面以下必须夯实的厚度,此厚度由终止夯面(一般为基础底面或垫层底面)向下算起。夯实厚度内地基土的物理力学性质指标经强夯法处理后应达到拟建工程对地基的要求。夯实厚度以下的土层指标也可能改善,但不能全部达到夯实厚度内土层指标的标准。 用夯实厚度代替原“规范”中的地基处理厚度(起夯面向下),工程使用意义更明确。由于强夯后的地基可直接砌筑基础,强夯后处理效果表现为两方面,一方面是夯实厚度满足设计要求,这是保证建筑物上部安全使用的前提;另一方面是终夯面标高与基础底面(或垫层底面)标高一致,这能够最大限度发挥强夯法处理地基减少土方的挖填、节约工期及造价的优点。夯实厚度既表明了基础下已处理的厚度,又可以控制终夯面标高,减少夯后的挖填方量,从而保证强夯施工质量,节省劳力,缩短工期,降低工程费用。一般湿陷性黄土地基夯实厚度下限深度处最低控制标准为:湿陷性消除且物理力学性质指标达到设计要求。
6.3.4 强夯能级应根据湿陷性黄土地层时代、夯实厚度、处理深度内地层含水率、饱和度等因素综合确定。初步设计时强夯能级宜根据当地试验资料或工程经验确定,无试验资料或工程经验时,可按表6.3.4选用。
表6.3.4 强夯能级与夯实厚度对应关系

注:强夯处理深度内土层含水量介于13%~18%且中上部无坚硬土层时,夯实厚度取高值,其他情况取低值。
条文说明
6.3.4 当湿陷性黄土地基的含水量满足强夯法处理湿陷性黄土地基的适用条件时,强夯能级就是达到夯实厚度、保证强夯法处理效果的关键指标。
本标准表6.3.4是根据湿陷性黄土地区近十年来大量的工程实测资料统计得来。一方面,夯实厚度越大,强夯能级即单位夯击能也就要求越大,但其两者关系并不成正比例关系,一般随着强夯能级的加大,夯实厚度增加的幅度越来越小。在工程实践中常用的强夯能级多为(1000~4000)kN·m,消除湿陷性黄土层的夯实厚度多为(3.0~6.5)m, 以发挥强夯法快捷、经济的特点。高能级强夯机械移位、夯锤提升均较慢,造价增幅较大,经济性变差,对于大厚度湿陷性黄土经经济、工期比较后也可以对夯实厚度内湿陷性黄土进行分层强夯。另一方面,根据工程实践经验,当拟处理地基土中上部含坚硬土层时,中上部坚硬土层消耗能量较大,相应强夯能级也须增大,故同一强夯能级下当地基处理深度内含水率介于13%~18%且中上部无坚硬土层时,夯实厚度取高值,其他情况下取低值。
对含水量低,不具备增湿条件或增湿成本很大时,若经济上可行,也可考虑采用大能级强夯,表4是新疆地区含水量低于10%的黄土采用强夯法时强夯能级和夯实厚度的经验数值。土层含水量低于7%时夯实厚度取低值。
表4 新疆地区含水量低于10%的黄土强夯能级与夯实厚度

6.3.5 强夯法处理湿陷性黄土地基宜采用整片处理,其平面处理范围超出建筑物基础外缘的宽度,不应小于设计夯实厚度的1/2,且不应小于3.0m。
条文说明
6.3.5 根据国内经验,在工程设计中,考虑到强夯土为夯压素土,且终止夯面以下土层的力学指标随深度逐渐变差,下层强夯土水稳性较差,因此对强夯地基的平面处理范围的要求高于其他处理方法,以减小地基土层浸水的可能性,降低地基土由于浸水产生的变形。
6.3.6 夯点排布宜按正三角形网格布置,也可按正方形网格布置。初步设计时夯点中心距可取夯锤直径的(1.2~2.0)倍。夯实厚度小、强夯能级低时夯点中心距取小值;夯实厚度大,强夯能级高时夯点中心距取大值。
条文说明
6.3.6 夯点排布包括夯点平面布置形式和夯点中心距。排布原则是既要充分发挥每一夯点的强夯效益,又要保证整个强夯地基的强夯质量和均匀性。夯点的平面布置形式以三角形较优,根据工程具体情况及方便施工,也可采用正方形布置。夯点排布的原则是同一遍夯点应尽量远离,以利于土中孔隙水、气有足够的时间排逸,利于强夯土固结增密。
6.3.7 起夯标高应根据终夯面标高,考虑地基夯沉量及垫层厚度确定。地基夯沉量宜通过试夯测定,初步设计时可根据当地工程经验结合岩土工程勘察资料确定。
6.3.8 全部夯点宜分(2~3)遍夯击,各遍夯击间隔时间可根据夯实土层孔隙水压力消散时间确定。各遍夯击的夯点应互相错开,最末一遍夯完推平后,应采用低能级满夯拍平。满夯拍平锤印宜搭叠夯锤直径的1/3,每印痕连夯(2~3)击。
条文说明
6.3.8 强夯遍数多少及各遍强夯之间应留的间歇时间长短,应由孔隙水压力消散时间来确定。而孔隙水压力消散时间与夯实厚度内地基土颗粒粗细、土层含水率、夯点间距、夯实厚度的大小等因素密切相关。一般情况下土颗粒细、含水率高、夯点间距小、夯实厚度大时,强夯遍数宜多,且每遍强夯之间的间歇时间宜长。
强夯法主夯(所排夯点的夯击)主要是将夯坑底面以下夯实厚度内的地基土层夯实,而满夯拍平主要解决夯坑底面以上的填土和表层松动土层的夯实。
6.3.9 每个夯点的连续夯击次数,应根据试夯或试验性施工夯击数与夯沉量关系曲线、最后两击平均夯沉量、夯坑周围地面隆起程度等因素综合确定。
条文说明
6.3.9 夯点的夯击次数以达到最佳次数为宜。强夯试验及工程实践资料表明,夯点(坑)单击夯沉量随击数的增加逐渐减小,夯击效应逐渐降低,经济性也相应降低,因此存在一个“最佳夯击次数”,即夯击效果和经济性之间的一个平衡点。超过最佳夯击次数继续夯击,消除湿陷性黄土层的厚度增加很小甚至不增加,夯击能效大幅降低。
一般取夯击次数与夯沉量关系曲线平缓段开始的拐点(同时应考虑夯坑周围地面隆起程度等因素)且最后两击平均夯沉量为3cm~5cm时的击数定为“最佳夯击次数”,强夯能级高于3000kN·m的最后两击平均夯沉量可适当放大到5cm~8cm。
6.3.10 强夯地基宜在基底下设置灰土垫层。垫层厚度可取300mm~500mm或根据计算确定。
6.3.11 强夯法处理湿陷性黄土地基应根据初步设计要求选择有代表性的场地试夯或试验性施工,并应根据试夯测试结果调整设计参数,或修改地基处理方案。
条文说明
6.3.11 本条主要强调试夯或试验性施工的重要性。强夯法设计属半经验设计,初步设计参数需要经现场试夯检验和修正。试夯主要作用是确定不同强夯能级、夯点排布下的实测夯实厚度和夯沉量,以验证强夯设计参数和施工参数的合理性、经济性,并确定强夯法外理地基的可行性,以确保地基处理效果达到设计要求。
6.4 挤密法
6.4 挤密法
6.4.1 挤密法根据成孔工艺,可分为挤土成孔挤密法和预钻孔夯扩挤密法。宜选择振动沉管法、锤击沉管法、静压沉管法、旋挤沉管法、冲击夯扩法等挤土成孔挤密法。
条文说明
6.4.1 经挤密法处理后的地基称为“挤密地基”或“挤密复合地基”,有些标准称为“灰土挤密桩、土挤密桩地基”,它是一种复合地基。挤土成孔挤密法是指将填料孔位的土体完全挤压到填料孔周围,适用于地基土含水量略低于最优含水量或塑限的土层,或地基土含水量偏低经增湿后达到最优含水量或接近最优含水量的土层;预钻孔夯扩挤密法是将填料孔位的土体取(钻、掏或挖)出,然后分层填入规定的填料,利用1500kg~3000kg重锤进行夯击,将填料挤压到填料孔周围,形成大于钻孔孔径的桩体。适用于含水量偏高的土层,或处理深度较大的土层。
6.4.2 甲类、乙类建筑或缺乏建筑经验的地区采用挤密法时,应在工程现场选择有代表性的地段进行试验或试验性施工,取得需要的设计参数后,再进行地基处理设计和施工。
条文说明
6.4.2 对一般地区的建筑,特别是有一些经验的地区,只要掌握了建筑物的使用情况、要求和建筑物场地的岩土工程地质情况以及某些必要的土性参数(包括击实试验资料等),就可以按照本节的条文规定进行挤密地基的设计计算。工程实践及检验测试结果表明,设计计算的准确性能够满足一般地区和建筑的使用要求。
对某些比较重要的建筑和缺乏工程经验的地区,为慎重起见,可在地基处理施工前,在工程现场选择有代表性的地段进行试验或试验性施工,应按实际的试验检测结果对设计参数和施工要求进行调整。
6.4.3 挤密孔的孔位,宜按正三角形布置。孔心距可按下式计算:

式中:s——孔心距(m);
D——成桩直径(m);
d——预钻孔直径(m),无预钻孔时取0;
ρ d0 ——地基挤密前孔深范围内各土层的平均干密度(g/cm 3 );
ρ dmax ——击实试验确定的桩间土最大干密度(g/cm 3 );
η c ——挤密填孔(达到D)后,3个孔之间土的平均挤密系数,不宜小于0.93。
条文说明
6.4.3 本条规定了挤密地基的布孔原则和孔心距的计算方法。本条的孔心距计算公式涵盖了正三角布孔时挤土成孔、预钻孔挤密法的计算。无预钻孔时,计算式中的预钻孔直径取0。公式(6.4.3)中D指最终的成桩直径,包括了沉管成孔后又夯扩的情况。
挤密地基属于复合地基,由填料形成的桩体和挤密后的桩间土组成。挤密地基的面积置换率一般不超过0.3,桩间土在复合地基中面积占比较大,提高桩间土的强度是提高复合地基强度的一条简单而经济的途径,因此规定桩间土平均挤密系数不宜小于0.93。根据挤密地基浸水试验结果,桩间土平均挤密系数不小于0.93时,挤密地基的湿陷起始压力均在200kPa以上。
6.4.4 挤密法处理湿陷性黄土地基,挤密孔直径宜为0.35m~0.45m;当挤密处理深度较深,采用挤土成孔挤密法有困难,或需要较大面积置换率时,可采用预钻孔挤密法,预钻孔直径宜为0.30m~0.60m,挤密后成桩直径宜为0.40m~0.80m。
条文说明
6.4.4 挤土成孔挤密法和预钻孔挤密法相比,在处理效果相同的条件下,前者孔心距将大于后者(指与挤密填料孔径的相对比值),后者需要增加孔内的取土量和填料量,而前者没有取土量,孔内填料量比后者少。在孔心距相同的情况下,预钻孔挤密比沉管挤密,多了预钻孔体积的取土量和相当于预钻孔体积的夯填量,且其桩间土的挤密效果取决于夯扩量,人为因素大,因此条件许可时应优先采用挤土成孔挤密法。 在同样的设计参数情况下,预钻孔挤密法的置换率较挤土挤密法高,前者对施工工艺、质量的要求也高于后者。预钻孔挤密法在施工前,应根据填料的密度、填料孔直径和夯后设计要求填料干密度、夯后孔直径等参数,计算填料体积,确保夯实质量。
6.4.5 挤密填孔后,3个孔之间土的最小挤密系数η dmin ,可按下式计算:

式中 η dmin ——土的最小挤密系数:甲类、乙类建筑不宜小于0.88;丙类建筑不宜小于0.84;
ρ dc ——挤密填孔后,相邻3个孔之间形心点部位土的干密度(g/cm 3 )。
条文说明
6.4.5 对于正三角形布置挤密孔的挤密地基,其3个孔圆心构成的三角形形心处的地基土是挤密最薄弱处,其挤密系数理论上最小(最小挤密系数)。最小挤密系数的大小,直接反映挤密地基的挤密效果。但3孔间形心点桩间土存在湿陷性,与复合地基湿陷性没有必然因果关系,并不能代表整个挤密地基一定存在湿陷性,关键是这些点竖向不要连贯,水平不要成片,且平均挤密系数应达到设计要求。
6.4.6 孔内填料宜用素土、灰土或水泥土,也可采用混凝土或水泥粉煤灰碎石水拌制料等强度高的填料,不应使用粗颗粒填料。当防(隔)水或消除湿陷性预处理时,宜用素土;当提高承载力或减小基础宽度和地基沉降量时,宜用灰土或水泥土等。填料应分层回填夯实,压实系数不宜小于0.97。
条文说明
6.4.6 有试验研究资料表明,相同压实系数下,夯实灰土的防水、隔水性不如素土,如消除湿陷性是地基处理主要目的,填料采用素土即可。孔内填夯实灰土及其他强度高的材料,有提高复合地基承载力或减小基础宽度的作用。
湿陷性黄土地区挤密地基使用粗颗粒填料,会增加地基的渗透性,形成渗水通道,不利于防水,不应采用。
6.4.7 填料中的土料宜选用粉质黏土,土料中的有机质含量不应超过5%,且不得含有冻土、渣土和垃圾,土粒径不应大于15mm;石灰应选用新鲜消石灰,粒径不应大于5mm。
条文说明
6.4.7 灰土填料中的消石灰粉应符合现行行业标准《建筑消石灰》JC/T 481中合格品以上标准,储存期不超过3个月,所含活性CaO或MgO不低于60%或55%。
6.4.8 挤密地基宜在基底下设置0.30m~0.60m厚的垫层,垫层材料可为灰土、素土及其他与孔填料相适应的材料。垫层施工前,应对挖去松动层的地面进行夯实或压实。
条文说明
6.4.8 在挤密地基上设置垫层,有调节桩土应力和防水双重作用。
6.5 预浸水法
6.5 预浸水法
6.5.1 预浸水法宜用于处理自重湿陷性黄土层厚度大于10m、自重湿陷量的计算值不小于500mm的场地。浸水前宜通过现场试坑浸水试验确定浸水时间、耗水量和湿陷量等。
条文说明
6.5.1 本条规定了预浸水法的适用范围。工程经验表明,采用预浸水法处理湿陷性黄土层厚度大于10m和自重湿陷量的计算值大于500mm的自重湿陷性黄土场地,可消除地面下6m以下土层的全部湿陷性,地面下6m以上土层的湿陷性也可大幅度减小。
6.5.2 预浸水法处理地基应符合下列规定:
1 浸水坑边缘至既有建筑物的距离不宜小于50m,并应评估浸水对附近建筑物、市政设施及场地边坡稳定性的影响,根据评估结果确定应采取的预防措施。
2 浸水坑的边长不得小于湿陷性黄土层的厚度,当浸水坑的面积较大时,可分段浸水。
3 当需要加快自重湿陷发生速度时,宜在浸水坑内打渗水孔,孔间距不宜大于3m,深浅孔宜相间布置。
4 浸水坑内的水头高度不宜小于300mm,浸水应连续,停止浸水时间应以湿陷变形稳定为准。湿陷变形稳定标准为最后5天的平均湿陷量小于1mm/d,当处理湿陷性黄土层的厚度大于20m时,沉降稳定标准为最后5天的平均湿陷量小于2mm/d。
5 停止浸水后还应进行排水固结沉降观测,沉降稳定标准为最后5d的平均湿陷量小于1mm/d。
条文说明
6.5.2 本条规定说明如下:
1 采用预浸水法处理自重湿陷性黄土地基,为防止在浸水过程中影响周边邻近建筑物或其他工程的安全使用以及场地边坡的稳定性,要求浸水坑边缘至邻近建筑物的距离不宜小于50m,主要是根据浸水试验和工程实践中对浸水影响范围的经验总结出的。
1)青海省地质局物探队的拟建工程,位于西宁市西郊西川河南岸Ⅲ级阶地,该场地的湿陷性黄土层厚度为13m~17m。青海省建筑勘察设计院于1977年在该场地进行勘察,为确定场地的湿陷类型,曾在现场采用15m×15m的试坑进行浸水试验。
2)为消除拟建住宅楼地基土的湿陷性,该院于1979年又在同一场地采用预浸法进行处理,浸水坑的尺寸为53m×33m。
试坑浸水试验和预浸水法的实测结果以及地表开裂范围等,详见表5。
表5 青海省物探队拟建场地试坑浸水试验和预浸水法的实测结果

从表5的实测结果可以看出,试坑浸水试验和预浸水法,二者除试坑尺寸(或面积)及浸水时间有所不同外,其他条件基本相同,但自重湿陷量的实测值与地表开裂范围相差较大。说明浸水影响范围与浸水试坑面积的大小有关,设计时应对浸水影响范围进行评估。
2 处理湿陷性黄土层的厚度大于20m时,后期沉降速率变慢,达到最后5d的平均湿陷量小于1mm/d的标准耗时较长,本次修订将其沉降稳定标准放宽为最后5d的平均湿陷量小于2mm/d,主要是出于缩短工期的考虑。依据多项浸水试验经验,停止浸水后排水固结所产生的沉降量相当可观,因此还需进行排水固结沉降观测。
1)2012年山西省勘察设计研究院在太原东山黄土丘陵区进行浸水试验,试验场地为自重湿陷性黄土场地,湿陷性黄土厚度24m,试坑为直径30m圆柱形,为了加快地基土层的浸水饱和速度,渗水孔分为两圈布设,分别位于以坑心为圆心半径为5m以及10m的圆上。内圈布置了3个,分别位于以浅标主轴两两围成的扇形的中线上;外圈布置了12个,渗水孔深度24m,直径400mm。
裂缝逐渐向远处发展,整体空间展布逐渐均匀,与试坑呈同心圆状发展,至稳定后,最远处的一圈裂缝距坑边10m,裂缝两侧错落高度已达33cm。浸水70d后,坑内沉降速率仍在(2~3)mm/d。停止注水3d内,坑内有明显的一个固结沉降过程,10d后趋于稳定。
2)国家重点工程建设项目——宁夏扶贫扬黄灌溉工程11号泵站地基的预浸水处理资料反映,在自重湿陷性黄土厚度大于35m的场地上做了尺寸为110m×70m的浸水试验,试验历时251d。地面裂缝范围一般为坑边外24m~36m,平均30m左右,最大距离约42m,位于浸水坑的西南角。坑外地面下沉范围一般为坑边外30m~40m,平均35m左右。
浸水约95d后沉降逐渐减小,平均为2.72mm/d,浸水约110d后沉降平均为2.5mm/d;此后至停水的这段时间,坑内各点的沉降量基本在2.0mm/d左右,缓慢减小,随浸水时间的增加,沉降量有微小的减小趋势,但不十分明显。停水后10d左右,沉降速率出现停水后的峰值,一般为(30~40)mm/d,最大可达50mm/d以上,此后又逐渐平缓、趋向稳定。
6.5.3 地基预浸水结束后,基础施工前应进行补充勘察,重新评定地基土的湿陷性,并应采用垫层或其他处理方法处理上部未消除湿陷性的黄土层。
条文说明
6.5.3 采用预浸水法处理地基,土的湿陷性及其他物理力学性质指标有很大变化和改善,因此在基础施工前应进行补充勘察,重新评定场地或地基土的湿陷性,并根据本标准相关规定进行地基处理。
6.6 组合处理
6.6 组合处理
6.6.1 地基采用组合处理时,应综合考虑地基湿陷等级、处理土层的厚度、基础类型、上部结构对地基承载力和变形的要求及环境条件等因素,选择处理方法组合。
条文说明
6.6.1 组合处理为本次修订新增内容。所谓组合处理,就是将两种或两种以上的地基处理方法联合使用,或地基处理和桩基础联合使用。湿陷性黄土一般在自然含水量状态下强度较高,遇水后则大幅降低,甚至对桩产生负摩阻力。建筑物承载力要求高时,一般需采用增强体强度高的刚性桩复合地基或桩基础,如桩间土有湿陷性,则会大幅降低复合地基或桩基的承载力,经济上不合理。如先通过地基处理方法消除湿陷性土层的湿陷性,则复合地基或桩基础可按一般土设计,且经处理后的桩间土承载力和摩阻力均有提高,还可起到防水作用,技术、经济都是优选。近年来在工程实践中得到了大量应用,取得了很好的效果。常用的组合处理方式有:
1 预浸水法消除深层黄土湿陷性,采用垫层法、强夯法或挤密法处理浅层土;
2 强夯法处理部分土层,上部采用垫层;
3 挤密法或强夯法先消除土层湿陷性,再采用水泥粉煤灰碎石桩或素混凝土桩等复合地基处理;
4 强夯法或挤密法消除土层湿陷性,再采用桩基础。
6.6.2 处理土层以下的下卧层强度验算应按本标准第6.1.8条规定执行。其中下卧层顶面上覆土的自重压力p cz 应采用处理后复合土层或垫层的指标计算。复合土层的重度应按下列公式计算:

式中: ρ——复合土层的重度(kN/m 3 );
m——所有桩型面积置换率之和;
m i ——种桩型的面积置换率;
n——桩型数量;
η c ——桩间土平均挤密系数,宜采用实测值,初步设计时可按本标准第6.4节的规定采用;
ρ dmax-s 、ρ dmax-pi ——分别为桩间土、桩体填料的最大干密度(kN/m 3 ),按击实试验确定;
ρ pi ——桩体填料重度(kN/m 3 ),填料为土、灰土及水泥土时按式(6.6.2-2)计算;
λ ci ——桩体平均压实系数,宜采用实测值,初步设计时可按本标准第6.4节的规定采用;
ω s ——桩间土平均含水量;
ω pi ——桩体填料含水量。
条文说明
6.6.2 对上部土层使用挤密等方法处理后,在强度等参数提高的同时,土体的重度也得到提高,对下部土层来说是增加了荷载,故在进行下卧层验算时应将提高部分一并予以计算。
6.6.3 组合处理中采用素土挤密桩消除湿陷性时,桩间土平均挤密系数不宜小于0.93,桩体压实系数不宜小于0.97。
6.6.4 采用预浸水法与其他方法组合,应先对预浸水法处理效果进行检验,根据预浸水处理后地基土的实际物理力学指标选择后续处理方法。
6.6.5 挤密法和其他方法组合,应先对挤密法处理效果进行检测,对挤密后复合土层的湿陷性等工程参数做出评价。根据测试结果调整后续处理方法参数。
条文说明
6.6.4、6.6.5 组合处理施工中,第一种方法处理结束后,应对地基处理的效果进行检测,如未达到预期效果,还可根据检测结果及时调整后续的处理方法或施工参数。
6.6.6 消除土层湿陷性后再采用刚性桩复合地基或桩基时,不再计算已消除湿陷的土层中桩的负摩阻力,桩侧正摩阻力宜通过试验确定。
6.7 黄土高填方地基
6.7 黄土高填方地基
6.7.1 黄土填方地基应包括人工填筑形成的黄土填筑地基和其下原场地地基。填筑地基厚度大于20m时应定为黄土高填方地基。
6.7.2 黄土高填方地基设计,应符合下列规定:
1 边坡坡比应由稳定性分析确定;
2 边坡宜采用上陡下缓加平台的形式,坡顶及平台应设置截水沟;
3 边坡坡脚外应采取拦截及排除地表水的措施;
4 应根据渗流水位置及流量设置集水井、盲沟等降低地下水位或将地下水排出,排水的排出口应与坡脚、坡面的排水沟合理结合,不得破坏边坡坡脚;
5 排水构造设施应采取防渗、防漏措施;
6 原地表高差较大或原地形呈V形深沟,致使填筑体厚度相差较大时,应对填筑后的沉降均匀性进行分析,根据分析结果确定是否采取平衡沉降的措施;
7 应设置高填方地基变形长期监测系统,并应从填筑开始进行观测。
条文说明
6.7.2 黄土高填方多用于黄土梁洼地貌,目的以造地为主,主要方式是削峰填谷。地貌的变化必然引起水环境的变化,本条规定的目的是对渗流水设置排泄通道,防止原场地地基或填筑地基内因地下水渗流而引起破坏。
高填方地基变形机理复杂,持续时间长,对其变形进行实测既可对工程起到预警作用,又可积累资料,为进一步研究打下基础。在设计阶段提出监测要求有利于保证监测资料完整,并能有效降低监测成本。
6.7.3 勘察阶段应对因填筑引起的原场地地基土含水量的改变做出分析评估。原场地地基土湿陷性和力学指标应采用填筑后所受实际压力进行试验和评价。
6.7.4 黄土高填方地基的变形应包括原场地地基的变形和填筑地基的变形。变形中的压缩变形或湿陷变形计算应符合本标准第5.6.1条、第5.6.2条的有关规定。
条文说明
6.7.4 黄土高填方地基的变形机理复杂,仅考虑压缩变形不能完全反映其变形规律。有学者认为除压缩变形外,蠕变变形也是高填方地基变形的重要组成部分,蠕变变形应按当地工程经验或实测资料确定,如缺乏工程经验和实测数据,可依据设计所要求的时间参考以下蠕变变形的计算方法进行估算:
按分层总和法对黄土高填方地基的蠕变进行计算,在有效应力σ'v作用下,从蠕变计算开始经历时间t之后,土的孔隙比从e0减小至e的计算公式为:

其中,

式中:Cc——土的压缩指数(见图3);
Cs——土的回弹指数(见图3);
Ca——土的次固结系数,由恒定荷载下的压缩试验确定(见图4);
σ'v——竖向有效应力,为有效自重应力与有效附加应力之和(kPa);
t——设计要求的蠕变时间(min);
δt——室内等比荷载下的压缩试验中相邻两级荷载施加的时间间隔(min);
e0——应力为σ'v下,蠕变计算时的起始孔隙比;
e——应力为σ'v下,从蠕变计算开始经历时间t之后土的孔隙比;
Nδt——室内等比荷载下的压缩试验线上应力σ'v为1kPa时土的孔隙比,与试验速率有关,加载速率越快其值越高;
N——参考线上应力σ'v为1kPa时的孔隙比,对于给定的土为一常数,按公式(7)计算。
以上参数的意义详见图3和图4。
黄土高填方地基蠕变计算深度选取:填筑地基蠕变计算深度取填筑体厚度;原场地地基蠕变计算深度下限取原场地地基附加应力等于自重应力的20%处,即σ'z=0.2σ'c处。
黄土高填方地基蠕变计算深度范围内的分层厚度可参照分层总和法计算地基变形的分层方法来取,其中原场地地基成层土的层面和地下水位面都是自然的分层面。

图3 等比荷载下的压缩试验曲线

图4 恒定荷载下的压缩试验曲线
黄土高填方地基蠕变计算的自重应力和附加应力分别取分层的顶、底面各点的自重应力平均值和附加应力平均值。
从蠕变计算开始经历时间t之后,第i分层土的蠕变计算公式:

式中:Si——从蠕变计算开始经历时间t之后,第i分层土在有效应力为σ'vi(有效自重应力与有效附加应力之和)下的蠕变;
e0i——蠕变计算中第i分层土在应力为σ'vi下的起始孔隙比;
ei——从蠕变计算开始经历时间t之后,第i分层土在有效应力为σ'vi下的孔隙比,按式(6)计算;
Hi——第i分层土的厚度。
从蠕变计算开始经历时间t之后,黄土高填方地基的总蠕变St的计算公式:

式中:n——黄土高填方地基分层总数。
6.7.5 黄土高填方地基的稳定性验算,应符合下列规定:
1 应分别进行填筑地基的稳定性、填筑地基和原场地地基的整体稳定性、填筑地基沿原场地地基接触面的稳定性验算;
2 当原场地地基中含软弱夹层时,应进行沿软弱夹层的整体稳定性验算,并应结合场地条件通过试验获得软弱夹层的强度参数。
6.7.6 黄土高填方地基的原场地地基处理方法,应根据场地工程地质条件,结合建筑设计要求的地基变形允许值和场地施工的可行性等因素确定。可采用冲击碾压、强夯或挤密等方法处理;当原场地地面坡度大于1:5时,原场地地面应挖成台阶状并夯实,然后分层填筑填筑体。
6.7.7 黄土高填方地基的填筑地基施工,应符合下列规定:
1 应分层填筑、分层压实;当填方的两段交接处不在同一时间填筑时,应在先填筑段分层留设台阶,再分层填筑后填筑段;
2 应在接近土的最优含水量下进行碾压;
3 压实宽度应大于边坡设计宽度,最后削坡;
4 黄土填料中可加入碎石料以形成土石混合料,碎石料含量应通过室内大型试验或现场试验确定;
5 采用机械压实时,虚铺厚度应根据压实机具、土质类别和碾压遍数等通过现场试验确定。
6.7.8 黄土高填方地基上的建筑施工,宜在黄土高填方地基沉降稳定后进行。
7 施工
7.1 一般规定
7 施工
7.1 一般规定
7.1.1 湿陷性黄土场地上建筑物及附属工程施工,应采取防止施工用水、场地雨水和邻近管道渗漏水渗入建筑物地基的措施。 (自2022年1月1日起废止该条,详见新规 《建筑与市政地基基础通用规范》 GB 55003-2021)
条文说明
7.1.1 施工中难以避免施工用水、场地雨水和邻近管道渗漏水流入基坑,尤其是在地基基础施工阶段。关键是要采取措施,减少流入量并及时排除流入积水,防止积水侵入建筑地基引起湿陷或产生其他有害作用。
7.1.2 湿陷性黄土场地上建筑施工应符合下列规定:
1 施工准备应统筹安排。应先进行场地平整、施工道路和防排水设施、施工用电设施等施工工作,并应处置场地内影响施工的地上和地下管线及其他障碍物。
2 宜先施工地下工程,后施工地上工程。对体形复杂的建筑物,先施工深、重、高的部分,后施工浅、轻、低的部分。
3 基础及地下室内外应及时回填。
4 敷设管道时,宜先施工排水管道,并保证其畅通。
条文说明
7.1.2 本着预防为主的原则,在湿陷性黄土地区建筑施工前期策划及施工组织设计中,进行科学、统筹策划,应合理布置用水较多的现场临设、加工场地、材料堆场、搅拌站、水池、淋灰池以及给水、排水设施等。应先施工防排水设施,降低地基浸水概率,同时,合理安排施工顺序,及时回填基坑,将建筑地基受水侵入引起湿陷的可能性尽量降低。
7.1.3 建筑场地的防洪工程应提前施工,并应在汛期前完成。
条文说明
7.1.3 湿陷性黄土地区气候比较干燥,年降雨量较少,一般为300mm~500mm,降雨多集中在7月~9月,且暴雨较多,危害性较大。建筑场地的防洪工程应在雨季到来之前完成,以防止洪水淹没现场引起地基湿陷等灾害。
7.1.4 在建筑物邻近修建地下工程时,应采取有效措施,保证原有建筑物和管道系统的安全使用,并应保持场地排水畅通。
条文说明
7.1.4 在既有建筑物的临近修建地下工程时,不仅要保证地下工程自身的安全,而且还必须采取有效措施,确保既有建筑物和管道系统的安全使用。
7.1.5 施工现场平面布置应符合下列规定:
1 临时施工设施与建筑物外墙的距离宜符合表7.1.5规定。
表7.1.5 临时施工设施与建筑物外墙的距离(m)

2 临时搅拌站应做好排水设施。临时防洪沟、水池、洗料场和淋灰池等,遇有碎石土、砂土等夹层时应采取防止水渗入建筑物地基的有效措施。
3 需要浇水的材料宜堆放在硬化场地内,与基坑或基槽边缘的距离不应小于5m。浇水时应有专人管理,严禁水流入基坑或基槽内。
4 临时给水排水管道宜敷设在场地冻结深度以下,并应通水试压检查,不漏水后方可使用。给水支管应装有阀门。在水龙头处应设排水设施,将废水引至排水系统。临时给水排水管线均应绘在施工总平面图上,有专人负责管理,并经常进行检修和维护,施工完毕应及时拆除。
5 制作和堆放预制构件、现场堆放材料和设备、重型吊车行走的场地等,应整平夯实,并应保持场地排水畅通。
条文说明
7.1.5 湿陷性黄土场地渗漏点水的横向浸湿范围:在非自重湿陷性黄土场地约为10m~12m,在自重湿陷性黄土场地约为20m。施工期间应尽可能将现场临时设施布置在地形较低或地下水流向的下游地段,使其远离主要建筑物,以防止临时设施渗漏水侵入建筑地基造成湿陷。要求临时给排水管道敷设在场地冻结深度以下,以防止管道冻裂或压坏。
7.1.6 基坑或基槽开挖前,应对建筑物及其周围3m~5m内的地下坑穴进行探查与处理,并应绘图和详细记录其位置、大小、形状及填充情况等。在重要管道、行驶重型车辆和施工机械的通道下,应对空虚的地下坑穴进行处理。
条文说明
7.1.6 地下坑穴,包括古墓、古井和砂井、砂巷等,是影响地基并危害建筑物安全使用的隐患。在地基处理或基础施工前,应将地下坑穴探查清楚,处理妥善,并应绘图、记录。
7.1.7 基坑或基槽开挖到设计标高后,应进行验槽。验槽可采用井探、触探或其他有效方法;当发现地质条件与勘察报告和设计文件不一致或遇到异常情况时,应结合地质条件和工程条件提出处理意见,或进行施工勘察。
条文说明
7.1.7 本条规定了基槽(坑)开挖时应进行验槽及验槽采用的方法,以及地质情况出现异常时需要进行施工勘察工作的情况。
7.1.8 在雨期、冬期施工基坑或基槽时,应制定季节性施工专项方案;垫层法、强夯法、挤密法等施工时,应采取防止土料淋湿或冻结的措施。严寒地区冬期不宜进行基坑或基槽的施工,确需施工时,应采取预防地基或基槽土层受冻的措施。
条文说明
7.1.8 湿陷性黄土地区,雨期、冬期约占全年时间1/3以上,可能会影响工程进度和施工质量。因此,需要采取防雨、防冻等专项措施,适当增加工程预算,提前进行专项准备,及时落实并做好过程控制。
7.1.9 垫层地基和挤密地基不得使用盐渍土、膨胀土、冻土或有机质含量大于5%的材料。
7.1.10 隐蔽工程完工时,应进行质量检验和验收,并应将有关资料及记录存入工程技术档案。
7.2 地基处理和桩基施工
7.2 地基处理和桩基施工
Ⅰ 垫层施工
7.2.1 施工垫层前,宜先进行试碾压试验,根据初步选定的施工机械确定每层虚铺厚度、碾压遍数等施工参数。
7.2.2 施工土、灰土或水泥土垫层前,应先将基底下拟处理的湿陷性黄土挖除,宜利用就地挖出的黄土或其他黏性土作材料,根据所选用的夯实或压实设备及试压确定的施工参数,在最优或接近最优含水量下分层回填、分层夯实或压实至设计标高。
7.2.3 土或灰土应过筛,灰土应拌合均匀。土料中不得含有冻土块、建筑垃圾或生活垃圾等。
7.2.4 无击实试验资料时,素土的最优含水量,可取该场地天然土的塑限含水量为其填料的最优含水量。
条文说明
7.2.1~7.2.4 施工应按试压试验确定的垫层施工参数分层碾压至设计标高。垫层质量的好坏与多个因素有关,诸如土料或灰土的含水量、灰与土的配合比、灰土拌和的均匀程度、虚铺土(或灰土)的厚度、夯(或压)实次数等是否符合设计规定等。
要求施工时将土料过筛,目的是筛除大土块,保证压实均匀性。要求在最优或接近最优含水量下分层夯(或压)实是保证密实度的必要条件。
7.2.5 垫层施工进程中应对压实质量进行施工自检,自检合格后才能进行下一层的施工。施工自检参数宜为压实系数,取样点应在每层表面下的2/3分层厚度处。取样数量及位置应符合下列规定:
1 整片垫层,每100m 2 面积不应少于1处,且每层不应少于3处;
2 独立基础下局部处理的垫层,每基础每层不应少于3处;
3 条形基础下局部处理的垫层,每10延米每层1处,且每层不应少于3处;
4 取样点应均匀随机布置,并应具有良好的代表性。存在压实质量缺陷可能性大的局部区域应单独布点。取样点与垫层边缘距离不宜小于300mm。
条文说明
7.2.5 垫层的施工质量,应采用压实系数或干密度控制。压实系数是实测干密度ρd与室内击实试验测定的土(或灰土)最大干密度ρdmax的比值。室内击实试验分轻型和重型,对同一种土,轻型和重型击实试验得出的最大干密度和最优含水量是不同的,采用何种标准由设计单位确定,如设计无明确要求,一般采用轻型击实试验结果。 施工单位在施工进程中应分层取样自检,检验点位置应每层错开,中间、边缘、四角等部位均应设置检验点。避免只集中检验中间,而不检验或少检验边缘或四角的情况。根据试验研究结果,每层表面下2/3厚度处的压实系数最小,该处检验合格可保证其他部位的压实系数满足要求。
Ⅱ 强夯施工
7.2.6 强夯法处理湿陷性黄土地基施工前,应选择有代表性的地段进行试夯或试验性施工,并应符合下列规定:
1 试夯点的数量,应根据建筑场地的复杂程度、土质均匀性和建筑物类别等因素综合确定。同一场地内如土性基本相同,试夯或试验性施工可在一处进行;否则,应在土质差异明显的地段分别进行。
2 试夯过程中,应测量每个夯点每夯击1次的下沉量。
3 试夯结束后,应从夯击终止时的夯面起至设计处理深度以下1m,每隔0.5m~1.0m取土样进行室内试验,测定土的干密度、压缩系数和湿陷系数等指标,并可进行静载荷试验或其他原位测试。
4 测试结果不满足设计要求时,可调整夯锤质量、落距、夯击次数等参数,重新试夯。
条文说明
7.2.6 采用强夯法处理湿陷性黄土地基,在现场选点进行试夯是必不可少的程序,这是由强夯法的特点决定的。试夯数量根据场地内土质均匀程度确定,差别较大时应分段试夯。试夯可在施工场地内,也可在场外,在场外试夯时试夯位置的岩土性质应和施工区域尽量接近。
7.2.7 拟夯实的土层内,土的天然含水量大于塑限含水量3%以上时,宜采用晾干、换土或其他措施降低含水量。土的天然含水量低于10%时,宜对其增湿至接近最优含水量。增湿注水量可按下式计算:

式中:Q——估算注水量(t);
ω op ——土的最优含水量,宜采用重型击实试验结果;
ω ——拟增湿土层内土的天然含水量按厚度的加权平均值;
ρ d ——拟增湿土层地基处理前土的平均干密度(t/m 3 );
A——拟增湿土面积(m 2 ):
h——拟增湿土层厚度(m);
k——系数,可取0.95~1.00。
条文说明
7.2.7 含水量是影响强夯法处理效果的关键因素之一。天然含水量接近最优含水量的土,夯击时土粒间阻力较小,颗粒易于互相挤密,夯击能量向纵深方向传递深度较深,在相应的夯击次数下,总夯沉量和消除湿陷性黄土的有效深度均较大。天然含水量大于塑限含水量3%以上的土,夯击时呈软塑状态,容易出现“橡皮土”;为方便施工,在工地可采用塑限含水量ωp-(1%~3%)或0.6ωL(液限含水量)作为最优含水量。天然含水量低于10%的土,呈坚硬状态,夯击时表层土容易松动,夯击能量消耗在表层土上,深部土层不易夯实,消除湿陷性黄土的有效深度小,因此宜对拟夯实的土层加水增湿。可在强夯施工前5d~10d,将计算加水量均匀的浸入拟增湿的土层内。
7.2.8 夯锤底面宜为圆形,并应按夯锤底面积大小均匀设置(4~6)个直径250mm~300mm上下贯通的排气孔。锤重宜为80kN~400kN,锤底静压力宜为20kPa~80kPa。
7.2.9 强夯正式施工采用的夯锤质量、落距、夯点布置、夯击次数和夯击遍数等参数,应与试夯选定的相同。施工中应有专人监测和记录。
7.2.10 强夯施工过程中或施工结束后应进行施工自检,并应符合下列规定:
1 检查强夯施工记录,每个夯点的累计夯沉量不得小于试夯时各夯点平均夯沉量的95%;最后2击平均夯沉量应满足设计要求;
2 在已完工的区域每500m 2 ~1000m 2 选取1处分层检测土的干密度、压缩系数和湿陷系数。
条文说明
7.2.10 为确保采用强夯法处理地基的质量符合设计要求,在强夯施工进程中和施工结束后,对强夯施工质量进行动态监督和检验至关重要。强夯施工过程中主要检查强夯施工记录,各夯点的累计夯沉量一定程度上反映了强夯影响深度的大小,应达到试夯或设计规定的数值,出现异常时应及时查明原因,采取处理措施。
强夯施工结束后,主要是在已夯实的场地内挖探井取土样进行室内试验,测定土的干密度、压缩系数和湿陷系数等指标。当需要在现场采用静载荷试验检验强夯土的承载力时,宜于强夯施工结束一个月左右进行。否则,由于时效因素,土的结构和强度尚未恢复,测试结果可能偏低。
7.2.11 施工场地周围对环境保护有要求时,应对强夯施工产生的振动、噪声及扬尘等污染采取改善措施。
Ⅲ 挤密施工
7.2.12 挤密法处理地基施工前,对甲类、乙类建筑或缺乏建筑经验的地区,应在现场选择有代表性的地段进行试验或试验性施工。预钻孔夯扩挤密工艺施工前应进行试验性施工。试验结果应满足设计要求,并应符合下列规定:
1 试验数量不宜少于3组。每组桩数三角形布桩时不应少于7根,矩形布桩时不应少于9根。
2 在桩间土开挖探井,分层检测桩体压实系数、桩间土平均挤密系数、相邻桩形心处桩间土湿陷性及常规物理力学指标。取样间距不应大于1m。
3 对预钻孔夯扩工艺,应根据试验结果确定施工采用的机械、锤型、锤重、落距、夯击次数和填料量等施工参数,并应分段检测桩径。
条文说明
7.2.12 本条规定了采用挤密法时,对甲、乙类建筑或缺乏建筑经验的地区,应在地基处理施工前,在工程现场选择有代表性的地段进行试验或试验性施工,以获取合理的施工参数,指导正式施工。
对预钻孔夯扩工艺,挤密效果取决于夯扩后的桩径,施工中随夯实深度、提锤高度等的变化夯击能量也在变化,因此桩身不同深度处的施工参数可能不同,施工前应认真做好试验性施工,根据场地处理土体性质和设计要求,以预钻孔直径(d)、成桩直径(D)为依据,通过试验确定施工采用的机械、锤型、锤重、落距、夯击规定和下料量、填料规定等以保证达到设计桩径的施工参数。
采用预钻孔夯扩挤密,必须杜绝人为随意性,施工中应有效控制填料质量和夯扩工艺,加强夯扩直径监测,及时调整下料和夯扩要求,确保填料夯扩直径达到设计要求。
7.2.13 挤密施工前,宜对处理范围内的地基土含水量进行普查,并应取样进行击实试验。当地基土含水量偏低时,宜提前7d~14d将拟处理范围内的土层增湿至接近最优含水量或塑限。增湿注水量可按本标准式(7.2.7)估算,式中ω op 宜采用轻型击实试验结果,系数k可取0.90~1.05。
条文说明
7.2.13 当地基土的含水量略低于最优含水量(指击实试验结果)时,挤密的效果最好;当含水量过大或过小时,挤密效果较差。 当地基土的含水量ω≥22%、饱和度Sr>65%时,一般不宜直接选用挤密法。但当工程需要时,在采取了必要的有效措施后,如对孔周围的土采取有效“吸湿”和提高填料强度,也可采用挤密法处理地基,但应通过试验性施工验证可行性。 对含水量ω<10%的地基土,特别是在整个处理深度范围内的含水量普遍偏低的情况,一般宜采取增湿措施,以提高挤密法的处理效果。增湿一般有两种方法,一是用洛阳铲或其他钻孔机械成孔,填砂卵石后注水;二是筑埂后漫灌。前一种方法用于增湿深度较大的土层,后一种方法用于增湿深度较浅的土层,一般应使用第一种方法。注水孔正三角形布置效果最佳,孔径为100mm~150mm,孔心距应考虑后期挤密孔的孔心距,两者最好重合,在挤密孔成孔时将注水孔破坏,不形成直接过水通道。孔深较拟消除湿陷性土层厚度小1m~3m,可根据增湿土层厚度,设置2种~3种不同孔深。
7.2.14 挤密施工应间隔、分批进行,孔成后应及时夯填。局部处理时,应由外向里施工。
条文说明
7.2.14 为提高地基的挤密效果,要求成孔挤密应间隔分批、及时夯实,这样可以使地基达到挤密有效、均匀,处理效果好。在局部处理时,必须强调由外向里施工,否则挤密不好,影响到地基处理效果。而在整片处理时,应首先从边缘开始,分行、分点、分批,在整个处理场地平面范围内均匀分布,逐步加密进行施工,不宜像局部处理时那样,过分强调由外向里的施工原则,整片处理应强调“从边缘开始、均匀分布、逐步加密、及时夯实”的施工顺序和施工要求。
为保证填料的压实效果,应分层回填,定量填料、规定夯锤落距和夯击次数。
7.2.15 孔底填料前应夯实。填料时,应分层回填分层夯实,压实系数和夯扩桩径达到设计要求后才能填下一层土料。
条文说明
7.2.15 此条强调了孔内填料前的要求,特别是预钻孔,孔底可能残留虚土,填料前必须夯实。施工孔内填料应遵守分层填料、分层夯实的规定,严格控制每次填料量,不允许多填。对预钻孔夯扩桩,每层夯击标准不仅压实系数要达到设计要求,而且夯扩桩径也必须达到设计要求,才能保证桩间土挤密效果。
7.2.16 施工预留松动层的厚度宜为0.60m~0.90m。冬期施工可增大预留松动层的厚度。
条文说明
7.2.16 挤密施工时,由于近地表部分侧限压力小,挤密效果较差,桩体也不易夯实,采取预留松动层来解决这一问题是行之有效的措施。
7.2.17 挤密施工过程中应进行施工自检,并应符合下列规定:
1 成孔质量检查,包括成孔直径、深度、垂直度、孔底塌落土厚度及缩孔情况等,应及时抽样检查,数量不得少于总孔数的2%,且每台班不应少于1孔。
2 孔内填料的夯实质量,应随机及时抽样检查,数量不得少于总孔数的2%,且每台班不应少于1孔。
3 对预钻孔夯扩桩,除本条第1款、第2款检查内容外,尚应抽样检查单桩填料量,数量不得少于总孔数的4%,且每台班不应少于3孔。
条文说明
7.2.17 为确保工程质量,及时发现施工中出现的问题,针对挤密地基施工的特点,对施工质量自检作出规定。此规定是针对施工过程中的自检,不是第三方验收检验。自检项目主要是根据施工的环节而设,检查为主,检测为辅。只要将成孔、夯实、预钻孔夯扩环节质量把握住,整体挤密质量就不会出现大的问题。
Ⅳ 桩基施工
7.2.18 湿陷性黄土场地上灌注桩施工应符合下列规定:
1 宜采用干作业机械旋挖或长螺旋钻中心压灌混凝土等干作业工艺,不宜采用泥浆护壁钻孔工艺,确需采用时,应采取降低泥浆水对地基土产生不利影响的措施。
2 钻孔、挖孔、扩底及护壁施工过程中,不得让雨水和地表水流入桩孔内。
3 应合理安排工序,减少各工序之间的间歇时间。非干孔作业时,成孔应连续进行。成孔后应尽快浇筑混凝土,浇筑过程不应中断。
4 浇筑混凝土时返上的泥浆应集中收集并及时清理。泥浆池应有防渗措施。
条文说明
7.2.18 桩基施工过程中,应尽量减少影响承载力的不利因素,如地表水或雨水进入桩孔中造成桩孔坍塌,或长时间浸泡桩周土,桩孔周围土产生软化,致使侧摩阻力降低;泥浆护壁钻孔法的泥浆循环液,渗入附近自重湿陷性黄土地基引起自重湿陷等。浇筑混凝土时不应中断,防止断桩、离析等桩身缺陷发生;废弃的泥浆、渣土应及时处理,做到文明施工,尽量减小对环境的影响。
7.2.19 沉管灌注桩、长螺旋钻中心压灌灌注桩施工应符合下列规定:
1 成桩施工拔管速度应均匀,并控制拔管速度和拔管高度;
2 在饱和黄土层中宜采用反插法,必要时尚应复打。
条文说明
7.2.19 沉管灌注桩、长螺旋钻中心压灌灌注桩施工应均匀拔管或提钻,忽快忽慢易造成缩颈或断桩情况。拔管或提钻速度在饱和黄土中应控制在1.2m/min~1.5m/min,如遇淤泥或淤泥质土层,拔管速度应适当放慢。
复打主要针对沉管灌注桩,是为保证桩顶部位不缩径、不离析、不断桩而采取的一种施工措施,复打可按现行行业标准《建筑桩基技术规范》JGJ 94及其他专门规范的规定执行。
7.2.20 静压与锤击预制桩施工应符合下列规定:
1 桩长范围内有饱和软弱黄土层或土体含水量偏大土层时,应采取防止地面隆起使桩上浮的措施。
2 锤击预制桩施工过程中,宜根据土层结构合理调整施工参数,将地面振动控制在安全范围内。振源较深时,宜在邻近建筑物附近开挖减振沟。
3 桩长范围内有钙质结核层的黄土场地,打或压入预制桩施工前应进行工艺性试桩,检验施工工艺可行性。
条文说明
7.2.20 湿陷性黄土地区,当桩身范围内存在饱和黄土或含水量较大的土层,大面积预制桩施工过程中在这部分土层中会产生超孔隙水压力,可能使桩上浮悬空,造成承载力减小。可通过选择合理的打桩顺序、控制打桩速率和日总打桩量,采用消除超孔隙水压力的措施,对桩进行复压等方法预防或减轻桩的上浮情况。
在古土壤中往往存在呈鸡窝状的钙质结核比较富集的地带,预制桩常常不能穿透该范围达到设计的桩底标高,遇见此类情况应停止施工,查清原因后采取适当的处理措施。
7.3 基坑和基槽施工
7.3 基坑和基槽施工
7.3.1 湿陷性黄土场地的基坑支护施工,应符合下列规定:
1 基坑开挖前和施工期间,应对周围建筑物、地下管线、地下构筑物等状况进行监测;并应对基坑周边外宽度为(1~2)倍坑深范围内的土体垂直节理和裂缝采取防止地面水流入裂缝内的防护措施。
2 开挖前宜先完成基坑周边防排水设施的施工。
3 土方开挖完成后应及时对基坑坡面进行封闭,并应及时进行地下结构施工。基坑土方开挖应严格按设计要求进行,不得超挖;基坑周边荷载,不得超过设计限制荷载。
4 在地下水位以上黄土层中施工锚杆时,不应采用用水量大的成孔工艺。
5 土方开挖施工过程留置的临时坡道应根据计算确定支护措施。
6 当大型基坑内的土挖至接近设计标高,而下一工序不能连续进行时,宜在设计标高以上保留300mm~500mm厚的土层,待继续施工时挖除。开挖施工过程中的积水应及时排除。
7 地下结构施工至地面时,应及时清除杂物并进行回填。
条文说明
7.3.1 黄土基坑工程施工过程中的监测应包括对支护结构和对周边环境的监测,掌握基坑降水和开挖过程中对其影响的程度,为施工过程中基坑安全性的评价提供依据。对周边供排水管道和用水设施应经常检查,防止漏水引起事故。
黄土中锚杆宜优先采用热轧带肋的钢筋作主筋,数量一般采用1根~3根。锚杆的施工质量对锚杆抗拔力的影响很大,在施工中必须将钻孔清理干净,孔壁不允许有泥膜存在,最好采用二次补浆,以保证锚杆的抗拔力。
7.3.2 基槽的开挖与回填,应符合下列规定:
1 基槽开挖前应对各种工况下槽壁的稳定性进行验算和判定。支撑及围护构件几何尺寸、强度等参数应通过计算确定。
2 开挖应分层、分段并及时支撑;当基槽挖至设计深度或标高时,应及时验槽。
3 从基槽内挖出的土堆放在基槽附近时,堆放高度、与基槽壁边缘的距离应通过稳定性验算确定。
4 基槽两侧宜设置防排水设施,防止雨水流入基槽。
5 垫层或基础施工前,应在基槽底面打底夯,同一夯点不宜少于3遍。当表层土的含水量过大或局部地段有松软土层时,应采取晾干或换土等措施。
6 基础施工完毕,其周围的灰、砂、砖等杂物应及时清除,并应用素土或灰土在基础周围分层回填夯实至散水垫层底面或室内地坪垫层底面,回填压实系数不宜小于0.94。
条文说明
7.3.2 基槽一般深度不大,工程实践中常不受重视,但因一般是垂直开挖,有一定的危险性,表层有杂填土时危险性更大,工程中发生过坍塌事故,应引起足够重视,对坑壁稳定性应该验算和判定。在基槽开挖时,应严格遵循分段、分层开挖、边开挖边支撑的原则,严格控制一次开挖深度,每次开挖深度宜为1m~2m,开挖深度大于此要求时应验算工况及坑壁稳定性,当稳定性不能满足安全需要时,需支撑稳定后方可继续进行下一步基坑开挖。
基础施工完毕,基坑或基槽回填一般采用素土,在有特殊需要时也可采用灰土或水泥土。
7.4 上部结构施工
7.4 上部结构施工
7.4.1 建筑结构施工过程中对作业层用水、雨雪水应有组织排放,不得流入建筑底层室内回填土、变形缝、混凝土后浇带、管沟或管井、基坑或基槽内。
7.4.2 水暖管沟穿过建筑物基础时,不得留施工缝。穿过外墙时,应一次施工至室外的第一个检查井,或距基础3m以外。沟底应有向外排水的坡度。施工中应防止雨水或地面水流入地基,施工完毕后应及时清理、验收、加盖和回填。
条文说明
7.4.2 通常施工缝处易产生渗漏,通过严格控制水暖管沟的施工缝位置,可有效降低建筑物基础部位管沟出现开裂及渗漏的概率。
7.4.3 地下工程施工至超出设计地面后,应按设计要求及时进行室内外土方回填。设计无要求时,回填土应分层夯实或压实,压实系数不得小于0.94。
条文说明
7.4.3 由于工程中对室内外回填土不够重视,近些年由于回填土质量差造成的问题不在少数。主要表现为:使用含建筑垃圾较多甚至含生活垃圾的材料进行回填,回填压实度差甚至虚填,压实不均匀等,在回填区域形成渗水通道。在使用一段时间后,由于回填土下沉造成散水、管道或管沟开裂,各种水很容易下渗至地基引起事故。
7.4.4 屋面施工完毕,应及时安装天沟、水落管和雨水管道等,并直接将雨水引至室外排水系统。散水的伸缩缝不得设在水落管处。
条文说明
7.4.4 施工中出现长期持续性降雨的情况时,如果雨水不能及时排离建筑物,会增加地基浸湿的风险。
7.4.5 当发现地基浸水湿陷或建筑物产生沉降裂缝时,应立即停止施工,切断有关水源,对建筑物的沉降和裂缝加强观测,并应查明原因。应经处理满足设计要求后,方可继续施工。 (自2022年1月1日起废止该条,详见新规 《建筑与市政地基基础通用规范》 GB 55003-2021)
条文说明
7.4.5 本条为强制性条文。采取暂停施工,查明原因,切断水源并加强观测等措施,是减少地基湿陷影响,防止造成质量事故和扩大经济损失的重要措施。通常查明原因后,会同设计单位采取处理措施,处理结果符合设计要求后方可进行后续施工。
7.5 管道和储水构筑物施工
7.5 管道和储水构筑物施工
7.5.1 各种管材及其配件进场时应进行复检,复检合格后方可使用。
条文说明
7.5.1 管材质量的优劣,不仅影响其使用寿命,更重要的是关系到是否漏水渗入地基。近些年,由于市场不规范,产品鉴定不严格,一些不符合国家标准的劣质产品流入施工现场,给工程带来了危害。为把好质量关,本条规定,对各种管材及其配件进场时,应按设计要求和有关现行国家标准进行检查。检查不合格的不得使用。
7.5.2 管道及其附属构筑物的基础与地基施工时,应将基槽底夯实,并应采取分段流水作业,迅速完成各分段的全部工序。管道敷设完毕,应及时回填。
条文说明
7.5.2 根据工程实践经验,基槽底夯实一般不少于3遍,要根据具体工程把握。另外,从管道基槽开挖至回填结束,施工时间越长,问题越多。本条规定,施工管道及其附属构筑物的地基与基础时,应采取分段、流水作业,或分段进行基槽开挖、检验和回填。即:完成一段,再施工另一段,以便缩短管道和沟槽的暴露时间,防止雨水和其他水流入基槽内。
7.5.3 敷设管道时,管道应与管基或支架密合,管道接口应严密不漏水。金属管道的接口焊缝不得低于Ⅲ级。新、旧管道连接时,应先做好排水设施。当昼夜温差大或在负温度条件下施工时,管道敷设后,宜及时保温。
7.5.4 施工水池、化粪池、检漏管沟、检漏井和检查井等,应确保砌体砂浆饱满、混凝土浇捣密实、防水层严密不漏水。穿过池、井或沟壁的管道和预埋件,应预先设置,不得打洞。铺设盖板前,应将池、井或沟底清理干净。池、井或沟壁与基槽间,应用素土或灰土分层回填夯实,压实系数不应小于0.95。
7.5.5 成品化粪池施工时,应根据黄土场地的湿陷类型采取相应的防护措施。自重湿陷性黄土场地宜将成品化粪池设在钢筋混凝土基槽内;非自重湿陷性黄土场地成品化粪池施工应按本标准第7.5.4条执行。
7.5.6 管道和水池、化粪池等施工完毕,应进行水压及满水试验。不合格的应返修或加固,重做试验,直至合格为止。清洗管道、池的用水和试验用水,应将其引至排水系统,不得任意排放。
7.5.7 埋地压力管道的水压试验,应符合下列规定:
1 管道试压应逐段进行,每段长度在场地内不宜超过400m,在场地外不应超过1000m。分段试压合格后,两段之间管道连接处的接口,应通水检查,不漏水后方可回填。
2 在非自重湿陷性场地,管基经检查合格,沟槽间填至管顶上方0.50m后(接口处暂不回填),应进行1次强度和严密性试验。
3 在自重湿陷性黄土场地,非金属管道的管基经检查合格后,应进行2次强度和严密性试验:沟槽回填前,应分段进行强度和严密性的预先试验;沟槽回填后,应进行强度和严密性的最后试验。对金属管道,应进行1次强度和严密性试验。
条文说明
7.5.7 本条是对埋地压力管道试压次数作出了规定。据调查,在非自重湿陷性黄土场地(如西安地区),大量埋地压力管道安装后,仅进行1次强度和严密性试验,在沟槽回填过程中,对管道基础和管道接口的质量影响不大。进行1次试压,基本上能反映出管道的施工质量。所以,在非自重湿陷性黄土场地,仍按原规范规定应进行1次强度和严密性试验。 在自重湿陷性黄土场地,普遍反映,非金属管道进行2次强度和严密性试验是必要的。因为非金属管道各品种的加工、制作工艺不稳定,施工过程中易损易坏。从工程实例分析,管道接口处的事故发生率较高,接口处易产生环向裂缝,尤其在管基垫层质量较差的情况下,回填土时易造成隐患。管口在回填土后一旦产生裂缝,稍有渗漏,自重湿陷性黄土的湿陷很敏感,极易影响前、后管基下沉,管口拉裂,扩大破坏程度,甚至造成返工。所以,本标准要求做2次强度和严密性试验,而且是在沟槽回填前、后分别进行。 金属管道,因其管材质量相对稳定;大口径管道接口已普遍采用橡胶止水环的柔性材料;小口径管道接口施工质量有所提高;直埋管中管,管材材质好,接口质量严密。从金属管道整体而言,均有一定的抗不均匀沉陷的能力。调查中,普遍认为没有必要做2次试压。所以金属管道进行1次强度和严密性试验即可。
7.5.8 建筑物防护距离外的城镇、建筑群及小区的室外埋地压力管道试验应符合现行国家标准《给水排水管道工程施工及验收规范》GB 50268的有关规定。
条文说明
7.5.8 从压力管道的功能而言,有两种状况:在建筑物基础内外,基本是防护距离以内,为其建筑物的生产、生活直接服务的附属配水管道。这些管道的管径较小,但数量较多,很复杂,可归为建筑物内的压力管道;还有的是穿越城镇或建筑群区域内(远离建筑物)的主体输水管道;此类管道虽然不在建筑物防护距离之内,但从管道自身的重要性和管道直接埋地的敷设环境看,对建筑区域的安全存在不可忽视的威胁。这些压力管道在本标准中基本属于构筑物的范畴,是建筑物的室外压力管道。 现行国家标准《给水排水管道工程施工及验收规范》GB 50268(以下简称“管道规范”)解决了室外压力管道试压问题。该“管道规范”明确规定适用于城镇和工业区的室外给排水管道工程的施工及验收;在严密性试验中,“管道规范”的要求明显高于原“规范”,其试验方法与质量检测标准也较高。考虑到湿陷性黄土对防水有特殊要求,所以,室外压力管道的试压标准应符合“管道规范”的要求。
7.5.9 建筑物防护距离内的室外及建筑物内埋地压力管道的试验除应符合现行国家标准《建筑给水排水及采暖工程施工质量验收规范》GB 50242的规定外,尚应符合下列规定:
1 建筑物内埋地压力管道的试验压力,不应小于0.60MPa;生活饮用水和生产、消防合用管道的试验压力应为工作压力的1.50倍;
2 强度试验,应先加压至试验压力,保持恒压10min,接口、管道和管道附件无破损及无漏水现象时,管道强度试验为合格;
3 严密性试验,应在强度试验合格后进行;试验时,宜将试验压力降至工作压力加0.10MPa,金属管道恒压2h不漏水、非金属管道恒压4h不漏水即为合格,并应记录为保持试验压力所补充的水量;
4 在严密性的最后试验中,为保持试验压力所补充的水量不应超过预先试验时各分段补充水量及阀件等渗水量的总和;
5 工业厂房内埋地压力管道的试验压力,尚应符合有关工业标准的规定。
条文说明
7.5.9 本条对室内管道,包括防护范围内的压力管道进行水压试验,基本上仍按原规范规定,高于一般地区的要求。其中规定室内管道强度试验的试验压力值,在严密性试验时,沿用原规范规定的工作压力加0.10MPa。测试时间:金属管道仍为2h,非金属管道为4h,并尽量使试验工作在一个工作日内完成。
建筑物内的工业埋地压力给水管道,因随工艺要求不同,其压力要求也不同,所以试验压力本次改写为应按有关标准执行。
塑料管品种繁多,又不断更新,国家标准陆续制定,尚未系列化,所以,本标准对塑料管的试压要求未作规定。在塑料管道工程中,对塑料管的试压要求,只有参照非金属管的要求试压或者按已颁布实施的相应现行国家标准执行。
7.5.10 埋地无压管道、检查井、雨水管的水压试验,应符合下列规定:
1 水压试验应采用闭水法。
2 试验应分段进行,宜以相邻两段检查井间的管段为一分段。对每一分段应进行2次严密性试验:沟槽回填前进行预先试验;沟槽回填至管顶上方0.50m以后,进行复查试验。
条文说明
7.5.10 据调查,雨水管道漏水引起的湿陷事故率仅次于污水管。雨水汇集在管道内的时间虽短暂,但量大,来的猛,管道又易受外界因素影响。如:小区内雨水管距建筑物基础近;有的屋面水落管入地后直埋于柱基附近,再与地下雨水管相接,本身就处于不均匀沉降敏感部位;小区和市政雨水管防渗漏效果的好坏将直接影响交通和环境,所以,提高了在湿陷性黄土地区刘雨水管施工和试验检验的标准,与污水管同等对待,当作埋地无压管道进行水压试验,同时明确要求采用闭水法试验。
7.5.11 室外埋地无压管道闭水试验,应符合现行国家标准《给水排水管道工程施工及验收规范》GB 50268的有关规定。
条文说明
7.5.11 本条对室外埋地无压管道作了单独规定,采用闭水试验方法,具体实施应按“管道规范”规定。
7.5.12 室内埋地无压管道闭水试验水头应为一层楼的高度,并不应超过8m;室内雨水管道闭水试验水头,应为注满立管上部雨水斗的水位高度。闭水试验经24h不漏水即为合格,并记录在试验时间内为保持试验水头所补充的水量。复查试验时,为保持试验水头所补充的水量不应超过预先试验的数值。
条文说明
7.5.12 本条与本标准第7.5.11条相对应,将室内埋地无压管道的水压试验作了单独规定。至于采用闭水法试验,注水水头、室内雨水管道闭水试验水头的取值都与原规范一致。因合理、适用,未作修改。
7.5.13 对水池、化粪池应按设计水位进行满水试验,并应符合现行国家标准《给水排水构筑物工程施工及验收规范》GB 50141的有关规定。
条文说明
7.5.13 现行国家标准《给水排水构筑物施工及验收规范》GB 50141,对水池满水试验的充水水位观测,蒸发量测定,渗水量计算等都有详细规定和严格要求。本次修订,仅将原条文改写为对水池应按设计水位进行满水试验。其方法与质量标准应符合现行国家标准《给水排水构筑物工程施工及验收规范》GB 50141的规定和要求。
7.5.14 埋地管道的沟槽应分层回填夯实。在管道外缘的上方0.50m范围内压实系数不得小于0.90,其他部位回填土的压实系数不得小于0.94。
条文说明
7.5.14 工程实例说明,埋地管道沟槽回填质量不规范,有的甚至凹陷,埋下隐患。为此,本次修订,明确在0.50m范围内,压实系数按0.90控制,其他部位按0.94控制。基本等同于池(沟)壁与基槽间的标准,保护管道,也便于定量检验。
8 地基及桩基验收检验
8.1 一般规定
8 地基及桩基验收检验
8.1 一般规定
8.1.1 验收检验的项目和参数应根据地基或桩基类型、地基处理目的、国家现行标准规定及设计要求综合确定。
条文说明
8.1.1 确定验收检测的检验项目和参数的原则是,对地基安全有重大影响的项目或参数,即承载力和变形以及对承载力和变形有重要影响的相关参数,如桩身强度、压实系数、完整性、湿陷性等。验收检测的项目一般有承载力、桩身强度或压实质量、桩间土湿陷系数和平均挤密系数、垫层压实系数、桩身完整性等参数。
8.1.2 承载力应通过静载荷试验确定。采用其他方法检测承载力应有本场地同条件下静载试验对比结果。
条文说明
8.1.2 静载荷试验是检测承载力最可靠的方法,但费时、费工,成本也高,因此检测数量不宜过多。工程实践中,可采用和承载力有密切相关关系的参数和承载力建立对应关系,如针对特定工程建立土垫层压实系数和承载力之间的对应关系,可通过压实系数来间接判断承载力,减少载荷试验数量。
8.1.3 挤密、强夯等地基应采用取土室内试验或现场浸水载荷试验等方法,对处理后设计处理深度内地基湿陷性作出评价。当取土室内试验不能判断地基的湿陷性是否消除时,宜通过现场浸水载荷试验判定。浸水载荷试验应符合本标准附录H或附录J的规定。
条文说明
8.1.3 挤密桩处理后,不同位置桩间土挤密程度是不同的,对桩间土的湿陷性检测就存在取样代表性的问题。工程实践中都是取相邻三桩(三角形布桩)或四桩(矩形布桩)形心位置处的土样检测其湿陷系数,因形心处是挤密效果最差处,如果此处桩间土的湿陷性已消除,则其他位置的湿陷性也应消除,结合其他参数应能判断复合土层湿陷性已消除。但如果此处的湿陷性未消除或未完全消除,复合土层是否存在湿陷性则不易判断,部分桩间土存在湿陷性对复合地基湿陷变形的影响也无法定量,可通过浸水载荷试验进行实测。 强夯地基沿深度方向是不均匀的,由于土质差异或其他因素,平面范围内也可能出现不均匀情况,即检测到部分土样的湿陷性未消除,如根据检测结果无法判断加固土层湿陷性是否消除时,也应通过浸水载荷试验进行实测。
8.1.4 组合处理的地基,应对不同地基处理方法的处理质量、湿陷性消除情况、桩身质量分别检测评价。地基处理消除湿陷性后采用桩基的,应对地基处理质量和桩基分别检测并应作出评价。
8.1.5 当检验结果或合格率不满足设计或现行国家标准《建筑地基基础工程施工质量验收标准》GB 50202的规定时,宜查明原因,或扩大检测。应根据扩大检测结果和原检测结果对地基进行综合评价。
条文说明
8.1.5 检测结果或合格率不满足设计或相关规范要求时,宜查明原因,如果原因明确,例如因原地基土局部异常等导致部分检测点承载力偏低,可采取局部处理措施,不必扩大检测。如原因不明,则需扩大检测,最终评价应以全部检测结果为基础。
扩大检测数量可根据抽样原则,按能判定结果的最少数量确定,或由检测单位会同设计、监理、建设及施工等有关单位共同确定。
8.2 地基验收检验
8.2 地基验收检验
8.2.1 垫层地基应检验承载力和压实系数等参数,并应符合下列规定:
1 承载力检测数量每单体工程不应少于3点,单体垫层面积超过1500m 2 的,超出部分每500m 2 增加1点,不足500m 2 按500m 2 计。
2 压实系数应分层取样检测。检测点数量,对整片垫层,每层每200m 2 面积内应有一个检测点,且每层不应少于3点;对宽度小于6m的基槽,每层每30延米不应少于1点,且每层不应少于3点;对局部处理的独立柱基,每柱基每层不应少于1点。
3 压实系数检测点位置应在每层表面下2/3厚度处。
4 对实际施工的灰土配合比有怀疑时,可检测灰土配合比,根据实际灰土配合比击实试验结果计算压实系数。
5 采用标准贯入或动力触探检验时,检验点的间距不宜大于4m。
条文说明
8.2.1 本条规定了垫层的质量检验项目和数量。
1 在工程实践中发现,如果施工中偷工减料,灰比不够,试验得出的压实系数反而大(按设计灰比试验得出的最大干密度计算),所以,规定了对灰土配合比有怀疑时检验灰土配合比,评价应以实际的灰土配合比计算压实系数,
2 验收检验是验证性检验,是在施工自检合格的基础上进行,抽样数量以能真实评定质量状况即可,数量不宜太多,以尽量减小检测给地基带来的损伤。
3 垫层面积较大时,干密度试验工作量大,对地基破坏也大。如在同一场地建立了压实系数和标准贯入、触探击数的对比相关关系后,可采用击数确定压实系数;对于不同材料的垫层,可按有关现行国家及行业标准采用相应的方法进行压实系数的检测。
8.2.2 强夯地基应检验承载力和夯实土的物理力学指标,并应符合下列规定:
1 承载力检测数量每单体工程不得少于3点,单体地基处理面积超过1500m 2 的,超出部分每500m 2 增加1点,不足500m 2 按500m 2 计;超出10000m 2 部分每1000m 2 增加1点,不足1000m 2 按1000m 2 计。
2 取样检测地基土的物理力学及湿陷性指标,检测点数量不宜小于按本条第1款计算的数量。宜采用探井取样,取样位置宜在相邻夯点中间空隙处;取样深度应至设计夯实厚度下1m,竖向取样间距不应大于1m。
3 采用标准贯入或动力触探检验时,每400m 2 内应有一个检验点,且每单体不应少于3点。
4 强夯地基的承载力检测宜在地基强夯结束28d后进行,并应符合本标准附录J的规定。取样检测宜在地基强夯结束14d后进行。
条文说明
8.2.2 本条规定了强夯地基验收检验的项目及数量,采取了分级降低抽样率的方式,在地基处理面积较大时适当减少了抽样数量。 1 单体承载力检测的荷载试验数量计算举例如下:如强夯面积为12400m2时,1500m2取3个点,超出的8500m2,每500m2为一个点,取17个点,超出10000m2部分共2400m2按每1000m2一个点,取3个点,共计23个荷载试验点。 2 对于以黄土为主的工程,应取土样评价其物理力学指标和湿陷性;对于粗颗粒土及不能取原状样的,应采用标准贯入、动力触探等方法评价其夯实质量。
8.2.3 挤密地基应检验承载力、桩身质量及桩间土的物理力学指标,并应符合下列规定:
1 承载力检测应采用单桩或多桩复合地基静载荷试验,检测数量不应小于桩数的0.5%,且每单体建筑不应少于3点;桩数大于3000根时,超出3000根部分可取超出桩数的0.4%。对桩距超过3m的挤密地基,采用复合地基静载荷试验确有困难时,也可采用单桩静载荷试验和桩间土平板载荷试验相结合的试验方法。
2 桩身质量检测数量不应小于总桩数的0.6%,且每单体工程不少于6根。桩身压实系数应分层检测,取样间距不应超过1m,取样位置应在距桩心2/3桩半径处。采用标准贯入、静力触探、动力触探或其他原位测试方法检测桩身压实质量时,应有同条件土工试验进行对比。
3 桩间土检测数量不应小于总桩数的0.2%,且每单体工程不少于3处。应分层检测桩间土平均挤密系数、物理力学指标和湿陷系数,竖向取样间距不宜超过1m。平均挤密系数取样位置应分别位于两桩心连线的中点及净间距(桩间距减去桩直径)的1/10处,取二者的平均值;湿陷系数取样位置应位于相邻3桩(三角形布桩)或4桩(正方形布桩)形心位置。采用标准贯入、静力触探、动力触探或其他原位测试方法检测桩间土挤密效果时,应有同条件土工试验进行对比。
4 静载荷试验应在成桩14d后进行。
5 对预钻孔夯扩桩,宜检测成桩桩径。
条文说明
8.2.3 本条规定了挤密地基的验收检验项目、方法和抽样数量。挤密桩是分层回填夯实起来的,各层夯实质量和施工过程控制有很大关系,验收检验一般在施工完成后进行,采取全桩段开挖取样方式检测,取样过程比较困难,对挤密地基也会产生破坏,而黄土场地上挤密桩间距较小(一般在0.9m左右),桩数量较大,即使按本条第3款规定的0.2%计算探井数量,也达到约不足20m见方范围就有一个探井,因此抽检比例不宜过高。验收检测抽检比例可适当减少,但应加强施工过程中的质量自检,如桩身压实系数是施工过程中质量控制的主要参数,施工中应该经常抽测,检测时取样难度也不大,抽检比例宜大一些,抽检比例在本标准第7.2.17条中已作规定。
桩间土的挤密程度与距桩边的距离密切相关,在平面上各处桩间土的挤密系数是不同的,因此检测桩间土平均挤密系数时,取样的位置至关重要,位置不同会得出完全不同的检测结果。本条第3款规定了取样位置,应该严格执行。
对预钻孔夯扩桩,桩间土的挤密完全取决于夯扩程度,即成桩桩径,必要时宜增加检测成桩桩径,作为评价挤密效果的参考。
8.2.4 预浸水法处理的地基,应检验地基土物理力学指标和湿陷系数,并应评价场地和地基湿陷性。检测点数为每500m 2 ~1000m 2 一点,且不应少于3点。
条文说明
8.2.4 采用预浸水法处理的地基,大多是湿陷性严重的场地,这时的检测是对地基湿陷性的二次评价,应注意取样质量。
8.2.5 组合法处理地基的验收检验应符合下列规定:
1 强夯地基后采用刚性桩或桩基础时,应先对夯实质量进行检验,检验合格后才能进行下步工序施工。检验应按本标准第8.2.2条第2款、第3款的规定执行。
2 挤密地基后采用刚性桩复合地基或桩基础时,设计无要求时可不检验挤密地基承载力,但应检验挤密质量,检验合格后才能进行下步工序施工。检验应按本标准第8.2.3条第2款、第3款、第5款执行。
3 强夯或挤密地基后采用刚性桩复合地基时,承载力应按刚性桩置换率采用复合地基静载荷及单桩静载荷试验确定,检测数量之和不应少于刚性桩桩数的1%,且每单体工程各不应少于3点;桩身完整性采用低应变法检测时,数量不应少于桩数的10%。
4 挤密或强夯后采用桩基时,桩基检验应符合本标准第8.3节的规定。
条文说明
8.2.5 采用组合法处理的地基第一次处理不管是挤密法、强夯法还是预浸水法,均应先进行湿陷性、均匀性等处理质量的评价,根据评价结果决定是否调整后续处理方法的设计、施工参数。
8.3 桩基验收检验
8.3 桩基验收检验
8.3.1 甲类、乙类建筑物,或地质条件复杂、成孔质量可靠性低的工程,当混凝土灌注桩设计桩长不小于20m时,施工过程中应进行成孔质量检测。同类型桩检测数量不应少于总桩数的20%,且不应少于10根。
条文说明
8.3.1 混凝土灌注桩的质量检测应较其他桩型严格,这是施工工艺本身决定的。在黄土地区灌注桩施工过程中随机抽检一定比例的桩孔进行成孔质量(含孔径、孔深、垂直度及孔底沉渣厚度等)检测,或者对在施工过程中出现异常的桩孔进行检测,能及时发现并解决施工过程中存在的问题,对提高整体桩基施工质量是有利的。
孔底沉渣厚度应在钢筋笼放入后,混凝土浇筑前测定。成孔结束后,放钢筋笼和灌注导管都会造成孔壁岩土体的跌落,增加孔底沉渣厚度,因此沉渣厚度应是清孔后的结果。
8.3.2 桩施工完成后应对桩身质量进行检验,宜选用低应变法、声波透射法或钻芯法,并应符合下列规定:
1 采用低应变法时,检测数量应符合下列规定:
1)对灌注桩,满堂布置时抽检数量不应少于总桩数的30%,且不得少于20根;墙下或柱下承台布桩时宜全部检测;
2)其他桩基工程的抽检数量不应少于总桩数的20%,且不少于10根。
2 采用声波透射法或钻芯法时,抽检数量不应少于总桩数的10%,且每个承台下的抽检数量不应少于1根;钻芯法岩芯采取率不应低于90%。
条文说明
8.3.2 低应变法进行桩身完整性检测较为便捷,抽检比例大些有利于控制桩的质量,也易于操作;而声波透射法或钻芯法操作较为复杂,抽检比例可适当减小。
低应变法、声波透射法以及钻芯法各有其的适用范围,对桩径不大的中短桩,宜采用低应变法检测桩身质量;随着桩径的增大,尺寸效应对低应变法的影响加剧,而声波透射法或钻芯法恰好适用于大直径桩的检测(对于嵌岩桩,采用钻芯法可同时检测桩长、钻取桩端持力层岩芯和检测沉渣厚度),同时对大直径桩采用联合检测方式,两种或多种方法并用,可以实现上述方法之间相互补充或验证,提高桩身质量检测的可靠性。
8.3.3 桩基承载力检验可采用单桩静载试验或高应变法,并应符合下列规定:
1 单位工程内同一条件下的工程桩,当符合下列条件之一时,应采用单桩竖向抗压静载试验进行验收检验,抽检数量不应少于总桩数的1%,且不应少于3根;当总桩数在50根以内时,不应少于2根。
1)设计等级为甲级的桩基;
2)挤土群桩施工产生挤土效应;
3)桩侧或桩端采用后注浆的桩;
4)载体桩、扩底桩、支盘桩等异型桩;
5)地质条件复杂、桩施工质量可靠性低;
6)施工过程中工艺变更或施工质量出现异常;
7)本地区采用的新桩型或新工艺。
2 除本条第1款规定外的预制桩和满足高应变法适用检测条件的灌注桩,在正式施工前进行过试桩承载力静载荷试验的,可采用高应变法进行单桩竖向抗压承载力验收检验。抽检数量在同一条件下不应少于总桩数的5%,且不得少于5根。
条文说明
8.3.3 桩基承载力检验不仅是检测施工的质量,而且也能检测设计是否达到工程的要求。承载力检测常规方法为单桩静载试验和高应变法。检测点的选择应征求设计单位、监理单位和建设单位的意见和建议,能代表现场施工的真实情况和普遍情况。
桩基工程属于单位工程中的重要分项工程,一般以分项工程单独验收。工程桩验收时的承载力检测对整个项目至关重要,本条结合多年来工程实践,规定了工程桩应进行单桩竖向抗压静载试验的条件,并规定了抽检数量。其中的设计等级按现行国家标准《建筑地基基础设计规范》GB 50007确定。对有条件或有地区经验的大直径灌注桩,也可采用自平衡检测技术检测基桩承载力。
高应变法作为一种以检测承载力为主的试验方法,目前仍处于发展和完善阶段,还不能完全取代静载试验。本条结合工程实践,规定了其抽检数量。此外高应变法有其自身的应用范围,如大直径扩底桩和嵌岩灌注桩是不适宜采用高应变法检测其承载力的。
8.3.4 端承型大直径灌注桩,当受设备或现场条件限制无法采用静载荷试验检测单桩竖向抗压承载力时,可采用钻芯法测定桩底沉渣厚度并钻取桩端持力层岩土芯样检验桩端持力层,抽检数量不应少于总桩数的10%,且不应少于10根。
条文说明
8.3.4 黄土地区部分工程,由于受交通、设备或场地限制,有时很难、甚至无法进行单桩竖向抗压承载力静载检测,本条提供了另外一种桩基验收方法。钻芯法是检测成桩质量的一种有效手段,适用于检测灌注桩的桩长、桩身混凝土强度、桩底沉渣厚度和桩身完整性,判定或鉴别桩端持力层岩土性状,当其他手段无法检测桩的承载力时,可通过钻芯法检测结合其他条件综合判断桩的可靠性。
8.3.5 桩长范围内土层有湿陷性时,基桩承载力宜通过浸水载荷试验判定。在桩侧土天然含水量状态下进行载荷试验时,应按本标准第5.7.5条、第5.7.6条的规定对承载力试验结果进行折减。桩基浸水载荷试验应符合本标准附录G的规定。
条文说明
8.3.5 黄土地区部分工程产生较大不均匀沉降,是因工程投入使用后基础下土层遇水湿陷造成的。湿陷性黄土场地的桩基承载力,应充分考虑桩侧湿陷土层遇水承载力降低的情况。目前湿陷性黄土场地的桩基设计,多数采用挤密法或强夯法等方法先消除上部土层的湿陷性,再进行桩基的设计与施工,当桩侧土湿陷性被完全消除后,可不考虑承载力的折减。
8.3.6 承受上拔力和水平力较大的桩基,应进行单桩竖向抗拔和水平承载力检测。抽检数量不应少于总桩数的1%,且不应少于3根。
条文说明
8.3.6 对于一些建筑物或者构筑物,荷载最不利组合为上拔力和推力,因此承载力检测应进行单桩抗拔静载试验和单桩水平静载试验。
9 既有建筑物地基加固和纠倾
9.1 一般规定
9 既有建筑物地基加固和纠倾
9.1 一般规定
9.1.1 湿陷性黄土地区的既有建筑物或设备基础,出现下列情况时宜进行地基加固:
1 地基土的承载力或沉降变形不能满足使用要求;
2 地基浸水湿陷变形,继续发展可能导致基础变形或破坏,需要阻止湿陷继续发展;
3 不均匀沉降超过现行国家标准《建筑地基基础设计规范》GB 50007规定的允许值。
9.1.2 湿陷性黄土地区的既有建筑物或设备基础,出现下列情况时宜进行纠倾:
1 倾斜已造成建筑物结构损害或明显影响建筑物或设备的功能;
2 倾斜超过现行国家标准《建筑地基基础设计规范》GB 50007规定的允许值,已影响建筑物的安全和正常使用;
3 倾斜已对人的心理和情绪产生明显影响。
条文说明
9.1.1、9.1.2 某些已经建成并投入使用的建筑物和设备基础,甚至有些正在建造中的建筑物,由于地基土的湿陷性及压缩性较高,雨水、场地水、管网水、施工用水、环境水管理不好等原因,使地基土发生湿陷变形及压缩变形,造成倾斜和其他形式的不均匀下沉、建筑物裂缝和构件断裂等,影响建筑物和设备的使用和安全。解决问题的方法之一就是采取地基加固措施,阻止地基进一步沉陷,使其承载力和变形符合标准规范和使用要求。如不均匀沉降较大,需要使不均匀变形减小到符合建筑物和设备的允许值,满足建筑物的使用要求,消除人们的心理和情绪的不适,可采取消除沉降差的措施,本标准称为纠倾。
9.1.3 地基加固或纠倾前应收集下列资料:
1 既有建筑物或设备基础原设计图及施工验收资料、改造或改建资料;
2 原岩土勘察资料;
3 地下管网设施布置图。
9.1.4 地基加固或纠倾前应进行专项鉴定,并应符合下列规定:
1 查明上部建筑结构形式及受损破坏情况,基础类型、埋置深度及受损破坏情况;
2 查明原地基处理方法、参数及施工质量;
3 对基础不均匀沉降或倾斜值、建筑的整体倾斜进行观测;
4 检测现状下基础强度等参数,必要时检测上部结构承重构件强度;
5 查明现状下地基土的物理力学指标;
6 对产生不均匀沉降的原因进行分析。
条文说明
9.1.3、9.1.4 地基加固或纠倾方案的选择至关重要,某种程度上决定了加固或纠倾的成败。正确选择加固方案,必须全面掌握各种资料,包括原设计与施工的情况、场地的岩土工程地质情况,以及产生事故的原因及建筑物现状、现状下地基的各种指标、使用上的要求、周围环境等各方面的资料。以上资料,有些可通过收集获得,收集不到的,应进行专门检测。
9.1.5 加固或纠倾设计方案应根据建筑物及基础特点、地基现状、加固或纠倾方法的适用性、施工引起的附加沉降、周边环境等因素综合确定。施工参数宜通过现场试验验证。
9.1.6 加固或纠倾应采用信息法施工。施工过程应进行沉降和变形观测,根据沉降和倾斜观测结果调整施工参数。
条文说明
9.1.6 地基加固或纠倾虽有设计,但因事故本身的复杂性和许多不确定因素,设计事实上更接近“方案”,施工中需要根据沉降速率、倾斜值的变化随时调整施工参数,调整后也需要尽快得到效果反馈,以便决定是否需要再做调整。整个过程需要施工和设计的及时互动和配合。
9.1.7 加固或纠倾施工完成后,应对施工质量和加固效果进行检验及评估。
9.1.8 加固或纠倾工程竣工后,应对建筑物继续进行沉降观测至沉降稳定,且时间不宜少于半年。
9.2 单液硅化法和碱液加固法
9.2 单液硅化法和碱液加固法
9.2.1 单液硅化法和碱液加固法可用于加固地下水位以上、渗透性较好的湿陷性黄土地基,酸性土和已渗入沥青、油脂及石油化合物的黄土地基不宜采用。在自重湿陷性黄土场地,采用碱液加固法应通过现场试验确定其可行性。
条文说明
9.2.1 单液硅化法和碱液加固法均可用于湿陷性黄土的加固。但在地下水位以下,该方法无法在土体中形成有效的加固强度,不宜采用;黏粒含量高、渗透性小的黄土地基,硅化液或其他碱液的渗透扩散范围难达预期效果,应慎用。自重湿陷性黄土场地,碱液加固法在加固施工过程中可能产生较大的附加沉降,施工前应进行试验,根据试验结果和数据决定加固方案是否可行。
试验结果表明单液硅化法和碱液加固法对渗入沥青、油脂及石油化合物的地基土土体无法形成有效的加固强度,不宜采用。
9.2.2 采用单液硅化法或碱液法加固湿陷性黄土地基,施工前应在拟加固建筑场地或附近同类地层中进行单孔或多孔灌注试验,以确定该方法的适用性及灌注溶液的速度、时间、数量和压力等参数。
条文说明
9.2.2 单液硅化法或碱液法加固地基受拟加固土性质影响较大,由于土的变异性,加固效果也常常有明显差异。不同场地施工的单液硅化法和碱液加固法注浆参数变化很大,因此渗透范围、深度、加固体强度等加固效果以及灌注速度、压力等施工参数均需要通过试验确定。根据注浆理论,假定注浆浆液的黏度是一定的、土层为均质各向同性体、浆源形状规整沿径向向外扩散、扩散体为标准的圆柱体、浆液为牛顿体、浆液的渗透符合层流状态下的达西定律、浆液的渗透速度与浆液的黏度成反比且注浆为孔式注浆时,注浆时间、注浆压力、浆液扩散半径和土的参数之间的关系符合下列公式: 
式中:t——所需的注浆时间(s); α——灌注系数; β——浆液与水的黏度比; r1——浆液的设计扩散半径(cm); r0——注浆管(孔)半径(cm); γw——水的重度,取10kN/m3; p——注浆压力(kPa); k——水在砂土中的渗透系数(cm/s); n——土的孔隙率(无量纲量); μ、μj——分别为水和浆液在同温下的黏度(m·Pa·s); Vvj、Vv——实际注入的浆体体积、土的孔隙体积。
9.2.3 溶液灌注试验结束10d后,应在试验范围加固深度内量测灌注孔的加固土半径,取土样进行室内试验,多孔试验场地宜结合动力触探或载荷试验等原位测试,测定加固土的压缩性和湿陷性等指标是否满足加固或设计要求。
9.2.4 加固设计应根据灌注试验所获参数进行,并应对加固地层之下的土层进行下卧层验算。
条文说明
9.2.3、9.2.4 现场试验与测试的目的其一是为了验证单液硅化法和碱液加固法的加固效果,其二是为了确定加固注浆参数。施工过程也是一个动态过程,应结合施工情况变化调整设计参数。
9.2.5 单液硅化法或碱液法加固地基施工结束10d后,应对已加固的地基土进行检查、检验,并应符合下列规定:
1 检查施工记录,各灌注孔的加固深度应符合设计要求,注入土中溶液量与设计计算量应相同或接近;
2 宜采用动力触探、钻探取样、现场载荷试验等原位测试方法或其他有效检测方法对已加固地基进行全深度加固效果检验,对加固效果进行评价。
条文说明
9.2.5 加固地基的施工记录和检验结果,是验收和评定地基加固质量好坏的重要依据。通过精心施工,才能确保地基的加固质量。
硅化加固土的承载力较高,检验时,采用静力触探或开挖取样有一定难度,以检查施工记录为主,抽样检验为辅。
Ⅰ 单液硅化法
9.2.6 选择单液硅化法灌注工艺应符合下列规定:
1 压力灌注宜用于加固非自重湿陷性黄土场地上的建筑物地基和设备基础,用于自重湿陷性黄土场地上加固时应通过试验验证可行性;
2 溶液自渗宜用于加固自重湿陷性黄土场地上既有建筑物和设备基础的地基。
条文说明
9.2.6 单液硅化加固湿陷性黄土地基的灌注工艺,分为压力灌注和溶液自渗两种。
组分相同的黄土其渗透性和湿陷性具有较好的关联性,黄土的湿陷性越大其渗透性往往越强。
压力灌注溶液的速度快,渗透范围大。试验研究资料表明,在灌注溶液过程中,溶液与土接触初期,尚未产生化学反应,被浸湿的土体强度不但未提高,反而有所降低,在自重湿陷严重的场地, 采用此法加固既有建筑物地基时,其附加沉降可达300mm以上,这对既有建筑物显然是不允许的。故本条规定,压力单液硅化宜用于加固非自重湿陷性黄土场地上的地基,用于加固自重湿陷性黄土场地上的既有建筑物地基时宜慎重。非自重湿陷性黄土的湿陷起始压力值较大,当基底压力不大于湿陷起始压力时,不致出现附加沉降,并已为工程实践和试验研究资料所证明。
压力灌注需要加压设备(如空压机)和金属灌注管等,加固费用较高,其优点是水平向的加固范围较大,基础底面以下的部分土层也能得到加固。
溶液自渗的速度慢,扩散范围小,溶液与土接触初期,被浸湿的土体小,既有建筑物和设备基础的附加沉降很小(一般约10mm),对建筑物不良影响较小。
溶液自渗的灌注孔可用钻机或洛阳铲完成,不需要用灌注管和加压等设备,加固费用比压力灌注的费用低,饱和度不大于60%的湿陷性黄土,采用溶液自渗,技术上可行,经济上较合理。
9.2.7 单液硅化法溶液应由浓度为10%~15%的硅酸钠溶液掺入2.5%的氯化钠组成,相对密度宜为1.13~1.15,且不应小于1.10;模数值宜为2.50~3.30,且杂质含量不应大于2%。
条文说明
9.2.7 湿陷性黄土的天然含水量较小,孔隙中不出现自由水,采用低浓度(10%~15%)的硅酸钠(NaO2·nSi02)溶液注入土中,不致被孔隙中的水稀释。 此外,低浓度的硅酸钠溶液,黏滞度小,与水相近,溶液自渗较畅通。 硅酸钠(也称水玻璃)的模数值是二氧化硅与氧化钠(百分率)之比,模数值越大,表明SiO2的成分越多。因为硅化加固主要是由SiO2对土的胶结作用,水玻璃模数值的大小对加固土的强度有明显关系。试验研究资料表明,模数值为SiO2%/Na2O%=1的纯偏硅酸钠溶液,加固土的强度很小,完全不适合加固土的要求,模数值在2.50~3.30范围内的水玻璃溶液,加固土的强度可达最大值。当模数值超过3.30时,随着模数值的增大,加固土的强度反而降低。说明SiO2过多,对加固土的强度有不良影响,因此,本条规定采用单液硅化加固湿陷性黄土地基,水玻璃的模数值宜为2.50~3.30。
9.2.8 初步设计时加固湿陷性黄土的单孔溶液用量,可按下式计算:

式中:Q——单孔硅酸钠溶液的设计注入量(t);
r——溶液的设计扩散半径(m);
h——自基础底面起算的加固深度(m);
n ——拟加固地基土的平均孔隙率;
d n ——硅酸钠溶液的密度(t/m 3 );
α——溶液灌注系数,由单孔或多孔灌注试验确定。无经验时,可取0.6~0.8。
条文说明
9.2.8 加固湿陷性黄土的溶液用量与土的孔隙率、渗透性、土颗粒表面等因素有关,计算溶液量可作为采购材料(水玻璃)和控制工程总预算的主要因素。注入土中的溶液量与计算溶液量相近,可作为评价加固土质量的指标之一。
9.2.9 单液硅化法加固湿陷性黄土地基时,灌注孔的布置应符合下列规定:
1 灌注孔间距应根据设计加固要求、灌注孔的设计扩散半径和灌注工艺以及试验结果等综合确定,压力灌注时宜为0.8m~1.2m;溶液自渗时宜为0.4m~0.6m;
2 灌注孔宜沿基础侧边布置,且每侧不宜少于2排。
条文说明
9.2.9 设计灌注孔间距应按现场灌注溶液试验确定的扩散距离确定。
加固既有建筑和设备基础的地基,只能在基础侧向(或周边)布置灌注孔,以加固基础侧向土层,防止地基产生侧向挤出。但对宽度大的基础,仅加固基础侧向土层,有时难以满足工程要求,此时,可结合工程具体情况在基础侧向布置斜向基础底面中心以下的灌注孔,或在其台阶布置穿透基础的灌注孔,使基础底面下的土层得到加固。
9.2.10 压力灌注溶液施工应符合下列规定:
1 应先灌注外排孔,再依次灌注内排孔;
2 灌注溶液的压力大小应通过试验确定,灌注压力宜由小逐渐增大,但最大压力不宜超过200kPa;
3 拟加固地层深度范围内各层土性质差别较大时,宜分层灌注。
条文说明
9.2.10 采用压力灌注,溶液有可能冒出地面。为防止在灌注溶液过程中,溶液出现上冒,灌注管打入土中后,在连接胶皮管时,不得摇动灌注管,以免灌注管外壁与土脱离产生缝隙,灌注溶液前,应将灌注管周围的表层土夯实或采取其他措施进行处理。灌注压力由小逐渐增大,剩余溶液不多时,可适当提高其压力,但最大压力不宜超过200kPa。
9.2.11 溶液自渗施工应符合下列规定:
1 灌注溶液过程中溶液面宜高出基础底面0.50m以上;
2 灌注施工过程中应及时观测溶液面高度变化,注入溶液速度宜和溶液自渗速度一致;
3 除建筑物或设备基础沉降突然增大或发生其他异常情况外,施工过程中应避免孔内溶液渗干,宜每隔2h~3h向孔内添加一次溶液。
条文说明
9.2.11 溶液自渗,不需要分层打灌注管和分层灌注溶液。设计布置的灌注孔,可用钻机或洛阳铲一次钻(或打)至设计深度。成孔后,将配好的溶液注满灌注孔,溶液面宜高出基础底面标高0.50m,借助孔内水头高度使溶液自行渗入土中。
灌注孔数量不多时,钻(或打)孔和灌溶液,可全部一次施工,否则,可采取分批施工。
9.2.12 加固施工应进行沉降观测,当发现基础的沉降突然增大或出现异常情况时,应立即停止溶液灌注,待查明原因并确认安全后,方可继续灌注。
条文说明
9.2.12 灌注溶液前,应对拟加固地基的建筑物进行沉降和裂缝观测,获得初始观测数据。在灌注溶液过程中,自始至终应进行沉降观测,并可同加固结束后的观测情况进行比较。
单液硅化法在施工过程中可能会引起地基产生附加变形。沉降观测是指导施工、防止意外安全问题发生的基本保障。有利于及时发现问题并及时采取措施进行处理。
Ⅱ 碱液加固法
9.2.13 碱液加固法分单液法和双液法两种,单液法为氢氧化钠一种溶液注入,双液法为氢氧化钠和氯化钙两种溶液轮流注入。当土中可溶性和交换性的钙、镁离子含量大于10mg·eq/100g干土时,可采用单液法。
条文说明
9.2.13 碱液加固法分为单液和双液两种。当土中可溶性和交换性的钙、镁离子含量大于本条规定值时,以氢氧化钠(NaOH)一种溶液注入土中可获得较好的加固效果。如土中的钙、镁离子含量较低,采用氢氧化钠和氯化钙(无水氯化钙CaCl2和二水氯化钙CaCl2·2H2O)两种溶液轮流注入土中,也可获得较好的加固效果。
9.2.14 碱液法加固地基的深度,不宜大于既有建筑物或设备基础底面下5m。当湿陷性黄土层深度和基础宽度较大、基底压力较高且地基湿陷等级为Ⅱ级以上时,加固深度应通过试验确定。初步设计时,加固地基的厚度可按下式估算:
h=l+r-△ (9.2.14)
式中:h——碱液法加固地基的厚度(m);
l——灌注孔的长度(m);
r——溶液的设计扩散半径(m),初步设计时可取0.4m~0.5m;
△——灌浆孔顶部不能形成满足设计扩散半径部分的长度,可取0.4m~0.6m。
条文说明
9.2.14 在非自重湿陷性黄土场地,碱液加固地基的深度可为基础宽度的2倍~3倍,或根据基底压力和湿陷性黄土层深度等因素确定。已有工程采用碱液加固地基的深度大都为2m~5m。施工中可根据条件变化和试验测试效果进行适当调整。
9.2.15 碱液可用固体烧碱或液体烧碱配制,并应符合下列规定:
1 碱液浓度宜为100g/L,采用双液加固时,氯化钙溶液的浓度宜为50g/L~80g/L;
2 灌注液中氢氧化钠含量不宜小于85%,碳酸钠含量不得超过5%,不溶于水的杂质含量不应超过2%。
9.2.16 加固需要的氢氧化钠量宜通过试验确定。无试验资料时,可取干土重量的3%;初步设计时,单孔碱溶液用量可按下式计算:

式中:Q——单孔氢氧化钠溶液的设计注入量(m 3 );
r——溶液的设计扩散半径(m);
l———灌注孔的长度(m);
n ——拟加固地基土的平均孔隙率;
α——溶液灌注系数,由单孔或多孔灌注试验确定。进行试验孔计算时可取0.7~0.9。
9.2.17 碱液法加固湿陷性黄土地基时,灌注孔的布置应符合下列规定:
1 灌注孔间距应根据设计加固要求及灌注试验结果等综合确定。加固土体连片时孔间距不应大于1.8d,最大孔间距不宜大于3d(d为灌注孔直径)。
2 灌注孔宜沿基础周围或条形基础两侧成排布置。
9.2.18 碱液法加固湿陷性黄土地基施工,应符合下列规定:
1 宜将碱液加热至80℃~100℃再注入土中;
2 灌注溶液过程中溶液面宜高出基础底面0.40m以上;
3 溶液灌注速度宜为0.4L/min~0.5L/min,灌注速度过大或过小时均应停止灌注,查明原因并应采取应对措施后方可继续施工。
条文说明
9.2.18 将碱液加热至(80~100)℃再注入土中,可提高碱液加固地基的早期强度,并对减小拟加固建筑物的附加沉降有利。
9.3 旋喷加固法
9.3 旋喷加固法
9.3.1 旋喷加固法宜用于非自重湿陷性黄土场地上的建筑物和设备基础的加固,在自重湿陷性黄土场地上应用时应通过试验验证其适用性。
9.3.2 旋喷加固法设计时,设计参数、初步施工工艺参数、检测及变形监测要求等应根据勘察成果、现场测试、试验性施工的结果并应结合当地工程经验确定。
条文说明
9.3.2 采用旋喷加固法应充分考虑其加固原理及有效性,还应预估旋喷桩施工过程中浆液和用水对地基可能造成的不良影响,要求设计时应有充分的依据。同时设计应当明确对检测和变形监测的要求。检测要求应包含检测对象、检测位置和数量、检测指标、检测方法、合格标准等。
9.3.3 旋喷加固设计应符合下列规定:
1 场地为非自重湿陷性黄土场地时,宜按复合地基设计,也可按桩基设计。为自重湿陷性黄土场地时,宜按桩基设计。
2 旋喷桩的桩长应根据地层结构确定,桩端持力层宜选择承载力较高的非湿陷性地层。
3 旋喷桩的平面布置应根据既有建筑的结构特点和基础形式确定,宜布置在基础下,确有困难时,可布置在承重墙基础两侧或独立基础周边。纵横墙交接处等应力集中区域应优先布置。
4 旋喷桩复合地基承载力特征值应通过现场复合地基浸水载荷试验确定,初步设计时可按下列公式估算:

式中:f spk ——复合地基承载力特征值(kPa);
λ——单桩承载力发挥系数;
m——面积置换率;
R a ——单桩竖向承载力特征值(kN);
A p ——桩的截面积(m 2 );
β一一桩间土承载力折减系数,宜按地区经验取值,无经验时可取0.75~0.95,天然地基湿陷起始压力较大、承载力较高时取大值;
f sk ——桩间土承载力特征值(kPa),宜按当地经验取值,无经验时可取饱和状态下地基承载力特征值;
ΣA p ——基础下旋喷桩截面积之和(m 2 );
ΣA——需加固的基础总面积(m 2 )。
5 初步设计时,旋喷桩单桩竖向承载力特征值可按下列公式估算,并应取其中较小值:

式中:R a ——单桩竖向承载力特征值(kN);
f cu ——桩体试块(边长为150mm立方体)标准养护28d的立方体抗压强度平均值(kPa);
η——桩身强度折减系数,宜按地区经验取值。初步设计时可取0.20~0.25;
n——桩身长度范围内的土层层数;
μ p ——桩身周长(m);
l i ——桩长范围内第i层土的厚度(m);
q si ——桩周第i层土的侧阻力特征值(kPa);非自重湿陷土层中宜按饱和状态下取值,自重湿陷性黄土层内宜按本标准第5.7.6条取值;
α p ——桩端端阻力发挥系数,可取0.4~0.6,桩侧土自重湿陷量大时取大值;
q p ——桩端地基土承载力特征值(kPa)。
条文说明
9.3.3 本条旋喷桩加固设计针对的是既有建筑地基还存在湿陷性的情况。当既有建筑地基土具有非自重湿陷性时,一般湿陷起始压力较高,在浸水条件下桩间土仍有承载力,宜按复合地基设计。当既有建筑地基土具有自重湿陷性时,浸水条件下桩间土即便不产生负摩阻力,其承载力和摩阻力也可忽略不计,宜按桩基础设计。
采用旋喷加固法时,应强调重视概念设计,单桩承载力是通过试验方法确定还是采用估算方法确定,需要分析加固机理、考虑旋喷桩体发挥的作用并结合现场试验的可行性来确定,设计时还需要考虑布桩的位置、桩体与上部基础的接触形式、桩体承载作用的发挥程度等因素综合确定其承载力取值和相关设计参数。 和新建工程不同,加固时桩布置受很多限制,一般沿基础周边布置,桩距不可能整齐划一。置换率也无法按固定桩距计算,本条提供了置换率计算公式。对只有部分桩顶位于基础下的桩,如沿条形基础两侧布置的桩,只有一半面积在基础下,计算置换率时可只计算基础下部分桩截面积,也可计算全部桩面积,计算多少应根据桩体强度及基础施加在桩顶的应力水平综合确定。
9.3.4 旋喷加固采用的水泥浆液配合比应根据试验确定,宜采用强度等级为42.5级的普通硅酸盐水泥,外加剂和掺合料的用量应通过试验确定。
9.3.5 旋喷加固施工应符合下列规定:
1 施工前应依据设计要求通过试验性施工确定施工工艺参数、施工批次、施工顺序、间隔时间等。施工顺序在平面上应均匀、对称,不应在一个区域集中施工。
2 水泥浆液的水灰比不宜大于1.0。单管旋喷注浆压力宜为20MPa~25MPa,提升速度宜为0.1m/min~0.2m/min。施工过程中应观察返浆情况;出现压力骤然上升、下降或冒浆等异常时,应查明原因并采取措施。
3 单桩施工完成后,根据桩头浆液沉降情况及时回灌比施工浆液强度高一级的浆液,至浆液不再下沉,用同级的水泥砂浆封孔。
4 应严格按照施工参数和材料用量进行施工,并应做好取样和施工记录。
5 施工中应按设计要求对建筑物的变形进行监测。
6 每完成一批次的桩体施工,均应结合变形监测结果和施工情况评估加固效果,未满足设计要求时不得进行后续施工。
条文说明
9.3.4、9.3.5 水泥水化需要的水数量并不多,旋喷加固时实际采用的水灰比要比水泥水化需要的水数量大得多,主要是施工工艺要求。水灰比越大,多余的水分越多,浸入地基土的水量就越大,对地基加固不利。因此在能保证喷出压力等施工参数情况下应尽量选择较低的水灰比。
施工过程中,水泥土凝固过程会产生附加沉降,因此施工顺序尤为重要,不应在一个区域内连续施工,这可能会造成施工中建筑物局部沉降较大。应均匀对称施工,并应有足够的时间和距离间隔。
9.3.6 旋喷加固后的质量检验应根据设计要求进行,并应符合下列规定:
1 旋喷桩检验宜在成桩28d后进行,可采用开挖检查、低应变桩身检测、载荷试验等方法对承载力、桩身强度、成桩直径和桩长等进行检验;
2 检验点应布置在有代表性的桩位或施工中出现异常情况的部位;
3 成桩质量检验点的数量不宜少于施工桩数的2%,并不应少于6点;旋喷桩单桩静载荷试验的抽检数量不宜少于总桩数的1%且不得少于3根。
9.4 坑式静压桩托换法
9.4 坑式静压桩托换法
9.4.1 坑式静压桩的桩位布置,应符合下列规定:
1 纵横墙基础交接处、基础沉降较大处、承重墙基础的中间、独立基础的中心或四角,地基受水浸湿可能性大的承重部位应优先布置;
2 宜避开门窗洞口等薄弱部位;
3 地梁或圈梁较弱时,应加大或加固地梁或圈梁。
条文说明
9.4.1 坑式静压桩托换法是对既有建筑物的基础地基进行加固补强的一种方法,通过托换桩将原有基础的部分荷载传给较好的下部土层中,阻止该建筑物的沉降、裂缝或倾斜继续发展。本条主要是坑式静压桩托换法布桩的基本原则,通常沿纵、横墙的基础交接处、承重墙基础的中间、独立基础的四角等部位、地基受水浸湿可能性大或较大的承重部位布置,以减小基底压力,阻止建筑物沉降不再继续发展。门窗洞口等上部结构薄弱部位的基础下尽量不布置桩,地梁(或圈梁)较弱时,经验算后应加大或加固地梁(或圈梁)。
9.4.2 坑式静压桩宜采用预制钢筋混凝土方桩或钢管桩。方桩边长宜为150mm~250mm,混凝土强度等级不宜低于C30;钢管桩应经过防腐处理,直径不宜小于159mm,壁厚不得小于6mm。
条文说明
9.4.2 坑式静压桩主要是在基础底面以下进行施工,施工空间小,预制桩或金属管桩的尺寸过大,沉桩、搬运及操作都很困难。
9.4.3 坑式静压桩的桩尖应穿透湿陷性黄土层,并应支承在压缩性低或较低的非湿陷性黄土、砂石层或岩石中,桩尖进入非湿陷性黄土中的深度不宜小于0.30m。终止压桩力应大于或等于2倍的设计承载力特征值。
条文说明
9.4.3 在湿陷性黄土地基中采用坑式静压桩,要求桩尖穿透湿陷性黄土层,支承在压缩性低或较低的非湿陷性黄土层中是为有效保障桩的承载力。计算承载力时,应扣去桩身在自重湿陷性黄土层中桩侧的负摩擦力。
9.4.4 托换时宜在桩顶两侧安放活动牛腿,用托换千斤顶使中间千斤顶压力释放为零,然后撤去中间千斤顶进行托换。
条文说明
9.4.4 坑式静压桩沉桩完成后,静压桩桩顶托换作业的关键是托换钢管和桩顶及基础之间应接触紧密,保证荷载及时、有效传递,有利于减小沉降。
9.4.5 托换钢管安放结束后,托换坑应及时回填,并应符合下列规定:
1 托换坑底面以上至桩顶面0.20m以下,桩的周围可用灰土分层回填夯实,压实系数不宜小于0.93,或用素混凝土回填;
2 基础底面以下至灰土层顶面,桩及托换管的周围宜用C20混凝土浇筑密实,并应使其与基础连成整体。
条文说明
9.4.5 托换管的两端,应分别与基础底面及桩顶面牢固连接,当有缝隙时,应用铁片塞严实,基础的上部荷载通过托换管传给桩及桩端下部土层。为防止托换管腐蚀生锈,宜在托换管外壁涂刷防锈油漆,托换管安放结束后,宜在其周围浇筑C20混凝土,并可在混凝土内加适量膨胀剂,也可采用膨胀水泥,使混凝土与原基础接触紧密,连成整体。
9.4.6 坑式静压桩的质量检验,应符合下列规定:
1 桩材试块强度应符合设计要求。现场制桩时,应符合现行行业标准《建筑桩基技术规范》JGJ 94的相关规定。
2 检查压桩施工记录,最终压桩力应符合设计要求。
条文说明
9.4.6 坑式静压桩属于隐蔽工程,将其压入土中后,不便进行检验,桩的质量与砂、石、水泥、钢材等原材料以及施工因素有关,现场制桩时应检验。施工验收,应侧重检验制桩的原材料化验结果以及钢材、水泥出厂合格证、混凝土试块的试验报告和压桩记录等内容。
9.5 纠倾
9.5 纠倾
9.5.1 建筑物实施纠倾前应对纠倾的可行性、适宜性进行评价。
9.5.2 建筑物纠倾方案应根据建筑物倾斜程度及原因、上部结构及基础类型、整体刚度、荷载特征、土质情况、施工条件和周围环境等因素综合确定。
条文说明
9.5.1、9.5.2 在湿陷性黄土场地对既有建筑物进行纠倾时,必须全面掌握原设计与施工的情况、场地的岩土工程地质情况、事故的现状、产生事故的原因及影响因素、地基的变形性质与规律、下沉的数量与特点、建筑物本身的重要性和使用上的要求、邻近建筑物及地下构筑物的情况、周围环境等各方面的资料,当某些重要资料缺少时,应先进行必要的补充工作,精心做好纠倾前的准备。纠倾方案应充分考虑到实施过程中可能出现的不利情况,做到有对策、留余地,安全可靠、经济合理。
9.5.3 湿陷性黄土场地上建筑物的纠倾方法可分为湿法纠倾和干法纠倾。湿法纠倾主要为浸水法,干法纠倾应包括横向或竖向掏土法、加压法和顶升法等。
条文说明
9.5.3 湿陷性黄土浸水湿陷,这是湿陷性黄土地区有别于其他地区的一个特点。由此出发,本条将纠倾法分为湿法和干法两种。 浸水湿陷是一种有害的特性,但可以变有害为有利,利用湿陷性黄土浸水湿陷这一特性,对建筑物地基相对下沉较小的部位进行浸水(包括竖向注水孔注水和横向或斜向辐射冲水等),强迫其下沉,使既有建筑物的倾斜得以纠正,本法称为湿法纠倾。兰化有机厂生产楼地基下沉停产事故、窑街水泥厂烟囱倾斜事故等工程中,均采用了湿法纠倾,使生产楼恢复生产、烟囱扶正,恢复了它们的使用功能,节省了大量资金。 对某些建筑物,由于邻近范围内有建筑物或有大量的地下构筑物等,采用湿法纠倾,将会威胁到邻近地上或地下建、构筑物的安全,在这种情况下,对地基应选择不浸水或少浸水的方法,对不浸水的方法,称为干法纠倾,如掏土法、加压法、顶升法等,包括使未下沉或下沉较小部位的迫降下沉,和使下沉较大部位的抬升。早在20世纪70年代,甘肃省建筑科学研究院用加压法处理了当时影响很大的天水军民两用机场跑道下沉全工程停工的特大事故,使整个工程复工,经过40多年的使用考验,证明处理效果很好。又如兰化烟囱的纠倾,采用了小切口竖向调整和局部横向扇形掏土法;西北铁科院对兰州白塔山公园白塔的纠倾,采用了横向掏土和竖向顶升法,都取得了明显的技术、经济和社会效益。
9.5.4 既有建筑物地基压缩层内土的湿陷性较强、平均含水量小于塑限含水量时,可采用浸水法或横向掏土法进行纠倾,并应符合下列规定:
1 纠倾施工前,应在现场进行渗水试验,测定土的渗透速率、渗透半径、渗水量等参数,确定土的渗透系数;
2 浸水法的注水孔(槽)至邻近建筑物的距离不宜小于20m;
3 根据拟纠倾建筑物的基础类型和地基土湿陷性,预留浸水滞后的预估沉降量。
9.5.5 既有建筑物地基压缩层土的平均含水量大于塑限含水量时,可采用竖向掏土法或加压法纠倾。
9.5.6 上部结构的自重较小或局部变形大,且需要使既有建筑物恢复到正常或接近正常位置时,宜采用顶升法纠倾。
9.5.7 既有建筑物的倾斜较大,采用一种纠倾方法不易达到要求时,可将几种纠倾方法结合使用。
条文说明
9.5.4~9.5.7 规定了纠倾法的适用范围和有关要求。 在既有建筑物地基的压缩层内,当土的湿陷系数大于0.05、平均含水量小于16%时,可以采用湿法进行纠倾;当土的平均含水量大于23%,而湿陷系数小于0.03时,可采用干法进行纠倾;当土的含水量或湿陷性介于上述二者之间,或建筑物倾斜率较大时,采用湿法纠倾难于达到目的时,可将两种或两种以上的方法因地、因工程制宜地结合使用,或将几种干法纠倾结合使用,也可以将干、湿两种方法合用,比如浸水和加压相结合,浸水和横向掏土法相结合,等等。 采用湿法时,一定要注意控制浸水范围、浸水量和浸水速率。地基下沉的速率以5mm/d~10mm/d为宜,当达到预估的浸水滞后沉降量时,应及时停水,防止产生相反方向的新的不均匀变形,并防止建筑物产生新的损坏。 采用浸水法对既有建筑物进行纠倾,必须考虑到对邻近建筑物的不利影响,应有一定的安全防护距离。一般情况下,浸水点与邻近建筑物的距离,不宜小于1.5倍湿陷性黄土层的下限深度,并不宜小于20m;当土层中有碎石类土和砂土夹层时,还应考虑到这些夹层的水平向串水的不利影响,此时防护距离宜取大值;在土体水平向渗透性小于垂直向和湿陷性黄土层深度较小(如小于10m)的情况下,防护距离可适当减小。
9.5.8 下列情况不得采用浸水法纠倾:
1 距离拟纠倾建筑物20m内有建筑物或地下构筑物和管道;
2 靠近边坡地段;
3 靠近滑坡地段。
条文说明
9.5.8 本条从安全角度出发,规定了不得采用浸水法的有关情况。靠近边坡地段,如果采用浸水法,可能会使本来稳定的边坡成为不稳定的边坡,或使原来不太稳定的边坡进一步恶化。靠近滑坡地段,如果采用浸水法,可能会使土体含水量增大,滑坡体的重量加大,土的抗剪强度减小,滑动面的阻滑作用减小,滑坡体的滑动作用增大,甚至会触发滑坡体的滑动。所以在这些地段,不得采用浸水法纠倾。 附近有建筑物和地下管网时,采用浸水法,可能顾此失彼,不但会损害附近地面、地下的建筑物及管网,还可能由于管道断裂,建筑物本身有可能产生新的次生灾害,所以在这种情况下,不宜采用浸水法。
9.5.9 建筑物纠倾前应做好下列准备工作:
1 地基需要加固时,应先完成加固再实施纠倾,或与地基加固同时进行;
2 被纠倾建筑物整体刚度不足时,应在施工前先行加固;
3 进行现场试验性施工,确定施工参数,检验纠倾方案的可行性,并应根据试验结果对方案进行调整与补充。
条文说明
9.5.9 如果建筑物的变形在持续发展,则需要同时考虑地基加固,阻止建筑物的继续沉降。一般情况下,应先进行地基加固,特别是对由于浸水等原因造成地基软弱而下沉的情况,应先对软弱地基进行加固后再进行纠倾;再者,对采用湿法进行纠倾的一侧地基,如果湿法造成地基承载力的不足,也应在纠倾完成后立即进行地基加固。如山西化肥厂水泥分厂100m烟囱的纠倾,浸水湿陷使烟囱向北侧倾斜,由于北侧地基土含水量已达28%,故先采用双灰桩对烟囱北侧地基土进行加固,再对烟囱南侧采用辐射冲水法纠倾,最后对南侧地基土采用双灰桩进行加固。
9.5.10 纠倾过程中应控制纠倾速率。根据建筑物的整体刚度和结构构件的强度,宜控制在4mmm/d~10mm/d,纠倾初期可取大值,后期应取小值。对于刚度较好的建筑物可适当提高,对变形敏感的建筑物或重要建筑物,宜小于4mm/d。
9.5.11 应评估纠倾后的回倾可能性并预留滞后回倾量,预留滞后回倾量可取建筑物目标纠倾量的1/10~1/12。
条文说明
9.5.11 应预估纠倾后的回倾可能性,防止建筑物回倾,特别是浸水法,滞后变形还会大一些,一般在注水停止后需要15d~30d沉降才会稳定,其滞后变形约占建筑物的实际沉降量的10%~20%,在确定停止注水时间时应考虑到这一点。
9.5.12 纠倾全过程中应进行现场监测。并应根据监测结果,及时调整方案、程序及施工进度,并采取相应的安全技术措施。
条文说明
9.5.12 在纠倾过程中,必须对拟纠倾的建筑物和周围情况进行监控,并采取有效的安全措施,这是确保工程质量和施工安全的关键。一旦出现异常,应及时处理,不得拖延时间。纠倾过程中,监测工作一般包括下列内容: 1 建筑物沉降、倾斜和裂缝的观测; 2 地面沉降和裂缝的观测; 3 地下水位的观测; 4 附近建筑物、道路和管道的监测。 监测频率应根据不同纠倾方法和不同纠倾速率而定,纠倾速率增大时,监测频率相应增大,一般情况下,每天应进行两次沉降观测。 纠倾过程中还应采取一定安全措施,除通过上述监测方法,严格控制纠倾速率外,特别是对于高耸构筑物,必要时还需设置钢丝缆绳,以防矫枉过正。缆绳可设置在构筑物顶部或2/3高度处,与地面成25°~30°夹角,采用花篮螺丝连接,根据纠倾情况随时调整松紧。
9.5.13 纠倾过程中应做好防护工作,除预定区域外,其他工作区域不得受水浸湿。
10 使用与维护
10.1 一般规定
10 使用与维护
10.1 一般规定
10.1.1 建筑物及管道设施使用期间应定期检查和维护,并应做好记录。
条文说明
10.1.1 本条规定的目的是确保防水措施发挥有效作用,防止建筑物和附属设施地基浸水湿陷。根据调查,建筑物使用期间发生地基湿陷事故的原因有管道漏水、地面水(雨水、绿化浇水、集水明沟渗漏等)局部大量下渗、地下水上升等。其中管道漏水占绝大多数,且多为长期渗漏。管道大多埋设于地下,不主动检查很难发现初期渗漏,一般是由于已出现建筑物沉降或裂缝,或地面沉陷等明显现象时才发现,但此时为时已晚。由于建筑物使用期间环境的变化、管道材料的老化、腐蚀、堵塞等因素,渗漏很难避免,只有通过定期检查,及时发现问题,及时维修,才是避免湿陷事故的最佳办法。
10.1.2 管理单位应存留完整的建设技术资料档案,包括岩土勘察报告、设计及变更文件、检验检测报告及其他竣工资料等。使用期间建筑物、附属设施和管道的改建、加固、维修等资料应一并归档。
条文说明
10.1.2 在事故调查中,常发现很多资料不全,尤其是使用期间进行的改建和扩建资料缺失,这给分析事故原因带来不便,增加了许多调查工作量,延长了处理时间。因此管理单位应存留完整的建设档案,以备需要时使用。
10.1.3 管理单位应制定维护管理制度和实施细则,并负责实施。
10.1.4 既有建筑物的防护范围内增添或改变用水设施时,应按本标准第5章的规定采取相应的防水措施或其他措施。
条文说明
10.1.4 建筑物使用期间,如需在防护范围内增加用水设施,如水房、淋浴室、锅炉房等,应根据原设计检查防水设施是否符合本标准相关要求,如不符合应按本标准要求采取地基处理或防水措施等。并对新建用水设施可能的渗漏对邻近建筑物的影响进行评估,有影响时应采取防范措施。
10.1.5 建筑物周边水环境发生改变,可能引起建筑物地基浸水或地下水位变化时,管理单位应收集有关资料,并宜会同原设计单位对建筑物的影响做出评估,根据评估结果采取相应措施。
条文说明
10.1.5 建筑物建成后,周边如有新建的水库、人工湖、喷泉水景等设施,均可能引起水环境变化。管理单位应及时收集相关资料和信息,会同原设计、勘察等单位,共同对可能的影响作出评估,采取相应对策,防止对建筑物产生危害。
10.2 维护与检修
10.2 维护与检修
10.2.1 使用期间,给水、排水和供热管道系统应定期进行维护,保持其畅通。并应符合下列规定:
1 发现漏水或故障,应及时断绝水源、汽源,故障排除后方可继续使用。
2 每隔(3~5)年,宜对埋地压力管道进行工作压力下的泄压检查,对埋地自流管道进行常压泄漏检查。发现泄漏,应及时检修。
10.2.2 检漏设施和防水套管应定期检查。采用严格防水措施的建筑,宜每周检查1次,其他建筑宜每半个月检查1次。发现有积水或堵塞物,应及时修复和清除,并作记录。
10.2.3 防护范围内的防水措施应经常检查,并应符合下列规定:
1 防水地面、排水沟和雨水明沟应经常检查,发现裂缝及时修补。每年应全面检修1次。
2 散水的伸缩缝和散水与外墙交接处的填塞材料应经常检查和填补。散水发生倒坡时,应及时修补并应调整至原设计坡度。
3 建筑场地应保持原设计的排水坡度,发现积水地段,应及时填平夯实。
4 建筑物周围6m以内的地面应保持排水畅通,不得堆放阻碍排水的物品和垃圾,严禁绿化过量浇水。
10.2.4 每年雨季前和每次暴雨后,对防洪沟、缓洪调节池、排水沟、雨水明沟及雨水收集口等,应进行详细检查,清除淤积物,整理沟堤,保持排水畅通。
10.2.5 每年入冬以前,应对可能冻裂的水管采取保温措施。并应对所有管道进行系统检查,管沟或管道的过缝、过门处应重点检查。
10.2.6 当发现建筑物突然下沉,墙、梁、柱或楼板、地面出现裂缝时,应立即检查附近的供热管道、水管和水池、化粪池等。有漏水(汽)时,应迅速断绝水(汽)源,观测建筑物的沉降和裂缝发展情况,记录部位和时间,并应会同有关部门研究处理。
条文说明
10.2.1~10.2.6 本节各条都是维护和检修的一些要求和做法,其规定比较具体,故未作逐条说明,管理单位只要认真按本标准规定执行,建筑物的湿陷事故就有可能杜绝或减少到最少。
埋地管道未设检漏设施,其渗漏水无法检查和发现。尽管埋地管道大都是设在防护范围外,但如果长期漏水,不仅使大量水浪费,而且还可能引起场地地下水位上升,甚至影响建筑物安全,为此,本标准第10.2.1条规定,每隔(3~5)年,对埋地压力管道进行工作压力下的泄漏检查,以便发现问题及时采取措施进行检修。
10.3 沉降观测和地下水位观测
10.3 沉降观测和地下水位观测
10.3.1 管理单位在接管沉降观测和地下水位观测工作时,应根据设计文件、施工资料及移交清单,对水准基点、观测点、观测井及观测资料和记录,逐项检查、清点和验收。有水准基点或观测点损坏、不全或观测井填塞等情况时,应由移交单位补齐或清理。
10.3.2 水准基点、沉降观测点及水位观测井应妥善保护。并应定期根据地区水准控制网对水准基点进行校核。
10.3.3 建筑物的沉降观测应按现行行业标准《建筑变形测量规范》JGJ 8的规定执行;地下水位观测应按设计要求进行。观测记录应及时整理,并存入工程技术档案。
10.3.4 发现建筑物沉降和地下水位变化出现异常时,应及时反馈给有关单位研究处理。
条文说明
10.3.3、10.3.4 在使用期间,对建筑物进行沉降观测和地下水位观测的目的是:
1 通过沉降观测可及时发现建筑物地基的湿陷变形。因为地基浸水湿陷往往需要一定的时间,只要按标准规定坚持经常对建筑物和地下水位进行观测,即可为发现建筑物的不正常沉降情况提供信息,从而可以采取措施,切断水源,制止湿陷变形的发展。
2 根据沉降观测和地下水位观测的资料,可以分析判断地基变形的原因和发展趋势,为是否需要加固地基提供依据。
附录A各类建筑举例
附录A 各类建筑举例
表A 各类建筑举例

附录B中国湿陷性黄土工程地质分区
附录B 中国湿陷性黄土工程地质分区
条文说明
本次修订对附录B(原“规范”附录A)内容做了补充。近年随着城市建设(特别是高层建筑)的迅速发展,岩土工程勘探的广度及深度也在不断加深,人们对黄土的认识进一步深入,因此,本次修订过程中,主要收集和整理了山西、青海、陕西、宁夏、甘肃和新疆等地区有关单位近年来的勘察资料。对原图中的湿陷性黄土层厚度、湿陷系数等数据进行了部分修改和补充,共修改了29个城镇点,新增代表性城镇点14个,涉及陕西、甘肃、山西、青海、宁夏等省市。另外本次修订根据地形地貌将陕西的永寿、白水及韩城由原“规范”北山以北的Ⅱ区调整为北山以南的Ⅲ
区。受现有收集到的资料所限,略图中未涉及的地区还有待于进一步补充和完善。
湿陷性黄土在我国分布很广,主要分布在山西、陕西、宁夏、甘肃大部分地区以及河南的西部。此外,新疆、山东、辽宁、青海、河北以及内蒙古的部分地区也有分布,但不连续。《中国湿陷性黄土工程地质分区略图》可使人们对全国范围内的湿陷性黄土性质和分布有一个概括的认识和了解,图中所标明的湿陷性黄土层厚度和高、低阶地湿陷系数平均值,大多数资料的收集和整理源于建筑物集中的城镇区(一级~三级阶地),而对于该区的黄土台塬、大的冲积扇、河漫滩等地貌单元的湿陷性黄土层厚度与湿陷系数值,则应查阅当地的工程地质资料或分区详图。
鉴于我国湿陷性黄土分布区自南向北及从东往西黄土湿陷性质的复杂性及差异性较大的特点,分区略图中不能完全反映各地区所有细部湿陷性黄土的分布特性,因此本标准第4.4.3条规定,因土质而异的修正系数β0值,可按现场试坑浸水试验实测值与室内试验计算值之比取值。

图B.1 中国湿陷性黄土工程地质分区略图-1

图B.2 中国湿陷性黄土工程地质分区略图-2
表B 湿陷性黄土的物理力学性质指标

附录C黄土地层的划分
附录C 黄土地层的划分
条文说明
黄土地层的划分,国内外很多学者如刘东生、王永焱、闫永定、张宗祜、孙建中等都提出了划分方案,各位学者提出的划分方案存在一定差别。早期黄土地层的划分,地层名称代表地质年代,如Q2、Q1黄土分别和离石、午城黄土对应,离石黄土的范围为L2~S14(或L15),其下为午城黄土。后来随着国际上对Q2与Q1分界地质年代的认识逐渐明确,结合古地磁测年成果,地层的划分更加精细,把Q2与Q1的界限确定到S7层底附近,离石黄土被划分为上部、下部,也有分为上、中、下三部,L2~S7确定为Q2黄土,其下为Q1黄土,因此在地层学中Q2、Q1黄土已不分别和离石、午城黄土对应。本次修订考虑到黄土地层的划分目前尚未达成较高的共识和工程人员的使用习惯,另从工程角度考虑,地层划分的精细化对工程使用影响不大,故对地层划分未做调整,仅将原“规范”表的注解内容细化到表格中。 近十年,高层建筑发展很快。在离石黄土天然地基上建高层建筑不断出现,对离石黄土在400kPa~600kPa压力下的地基承载力和湿陷性评价问题,甘肃省土木建筑学会和甘肃众联建设工程科技有限公司,结合兰州恒大工程等高层建筑群做了规模较大、较系统的载荷试验和浸水试验,并取得了湿陷起始压力600kPa的试验结果。 从实践中发现了上覆压力较大部位的离石黄土湿陷起始压力较大、接近临空面或上覆压力较小部位的离石黄土湿陷起始压力较小等规律,为高层建筑根据高度、层数的不同等调整具体建筑物的布置、合理利用不同地段离石黄土天然地基承载力、节省高层建筑地基基础费用提供了借鉴。
表C 黄土地层的划分

附录D新近堆积黄土的判别
附录D 新近堆积黄土的判别
D.0.1 现场鉴定新近堆积黄土,应符合下列规定:
1 堆积环境:黄土塬、梁、峁的坡脚和斜坡后缘;冲沟两侧及沟口处的洪积扇和山前坡积地带;河道拐弯处的内侧,河漫滩及低阶地;山间或黄土梁、峁之间凹地的表层;平原上被淹埋的池沼洼地。
2 颜色:灰黄、黄褐、棕褐,常相杂或相间。
3 结构:土质不均、松散、大孔排列杂乱。常混有岩性不一的土块,多虫孔和植物根孔。铣挖容易。
4 包含物:常含有机质;斑状或条状氧化铁;有的混砂、砾或岩石碎屑;有的混有砖瓦陶瓷碎片或朽木片等人类活动的遗物;有时混钙质结核,呈零星分布。在大孔壁上常有白色钙质粉末,在深色土中,白色物呈现菌丝状或条纹状分布,在浅色土中,白色物呈星点状分布。
条文说明
D.0.1 新近堆积黄土的鉴别方法,可分为现场鉴别和按室内试验的指标鉴别。现场鉴别是根据场地所处地貌部位、土的外观特征进行。通过现场鉴别可以知道哪些地段和地层,有可能属于新近堆积黄土,在现场鉴别把握性不大时,可以根据土的物理力学性质指标作出判别分析,也可按两者综合分析判定。 新近堆积黄土的主要特点是,土的固结成岩作用差,在小压力下变形较大,其所反映的压缩曲线与晚更新世(Q3)黄土有明显差别。新近堆积黄土是在小压力下(0~100kPa或50kPa~150kPa)呈现高压缩性,而晚更新世(Q3)黄土是在100kPa~200kPa压力段压缩性的变化增大,在小压力下变形不大。
D.0.2 现场鉴别不明确时,可按下列试验指标判定:
1 在(50~150)kPa压力段变形较大,小压力下具高压缩性。
2 利用下列判别式判定

当R>R 0 时,可将该土判定为新近堆积黄土。
式中:e——土的孔隙比;
a——压缩系数(MPa -1 ),宜取(50~150)kPa或(0~100)kPa压力下的大值;
γ——土的重度(kN/m 3 );
ω——土的天然含水量(%)。
条文说明
D.0.2 为对新近堆积黄土进行定量判别,并利用土的物理力学性质指标进行了判别函数计算分析,将新近堆积黄土和晚更新世(Q3)黄土的两组样品作判别分析,可以得到以下四组判别式:
当有一半土样的R>R0时,所提供指标的土层为新近堆积黄土。式中e为土的孔隙比;a为0~100kPa及50kPa~150kPa压力段的压缩系数之大者,单位为MPa-1;γ为土的重度,单位为kN/m3;ω为土的天然含水量(%);ωL为土的液限(%)。 类别实例: 陕北某场地新近堆积黄土,判别情况如下: 1 现场鉴定 拟建场地位于延河Ⅰ级阶地,部分地段位于河漫滩,在场地表面分布有3m~7m厚黄褐~褐黄色的粉土,土质结构松散,孔隙发育,见较多虫孔及植物根孔,常混有粉质黏土土块及砂、砾或岩石碎屑,偶尔见陶瓷及朽木片。从现场土层分布及土性特征看,可初步定为新近堆积黄土。 2 按试验指标判定 根据该场地对应地层的土样室内试验结果,ω=16.80%,γ=14.90kN/m3,e=1.070,a50~150=0.68MPa-1,代入式(15),得R=-152.64>R0=-154.80,通过计算有一半以上土样的土性指标达到了上述标准。由此可以判定该场地上部的黄土为新近堆积黄土。
附录E钻孔内采取不扰动土样的操作要点
附录E 钻孔内采取不扰动土样的操作要点
E.0.1 在钻孔内采取不扰动土样,应熟练掌握钻进和取样方法,使用合适的清孔器,并应符合下列操作要点:
1 宜采用回转钻进和使用螺旋(纹)钻头,控制回次进尺的深度,并应根据土质情况,控制钻头的垂直进入速度和旋转速度。取土间距为1m时,第一钻进尺应为50mm~60mm,第二钻清孔进尺20mm~30mm,第三钻取原状土试样。当取土间距大于1m时,其下部1m深度内仍应按取土间距为1m时的方法操作。
对坚硬黄土,冲击钻进时,应使用专用的薄壁钻头(其规格为:直径不小于140mm,壁厚不大于3mm,刃口角度不大于10°~12°)。并应采取分段进尺、逐次缩减、最后清孔的钻进程序,每段进尺应小于回转钻进要求的进尺深度。
2 清孔时,不应加压或少许加压,慢速钻进,应使用薄壁取样器压入清孔,不得用小钻头钻进,大钻头清孔。
对坚硬黄土,冲击钻进清孔时,应使用薄壁钻头或薄壁取土器一次击入,击入深度为120mm~150mm,严禁多次击入。
E.0.2 取样应采用“压入法”。取样前应将取土器轻轻吊放至孔内预定深度处,然后以匀速连续压入,中途不得停顿。在压入过程中,钻杆应保持垂直不摇摆,压入深度以土样超过盛土段30mm~50mm为宜。当使用有内衬的取样器时,其内衬应与取样器内壁紧贴(塑料或酚醛压管)。
对坚硬黄土,有经验时也可采用击入法取样,击入时应根据击入阻力大小,预估击入能量,使整个取样过程在一击下完成,不得进行二次锤击。击入深度以超过盛土段30mm~50mm为宜。
条文说明
E.0.1、E.0.2 为了使土样不受扰动,要注意的因素很多,但主要有钻进方法,取样方法和取样器三个方面。
采用适合的钻进方法和清孔器是保证取得不扰动土样的第一个前提。钻进方法与清孔器的选用,首先着眼于防止或减少孔底拟取土样的扰动,这对结构敏感的黄土显得更为重要。选择适当的取样器,是保证采取不扰动土样的关键。经过多年来的工程实践,以及西北综合勘察设计研究院、中国电力工程顾问集团西北电力设计院有限公司、信息产业部电子综合勘察院等单位,通过对探井与钻孔取样的直接对比, 其结果表7证明:按附录E中的操作要点,使用回转钻进、薄壁清孔器清孔、压入法取样,能够保证取得不扰动土样。对坚硬黄土,有成熟经验时可采用冲击钻进和清孔取样。
目前使用的黄土薄壁取样器中,内衬大多使用镀锌薄钢板。由于薄钢板重复使用容易变形,且有内外壁易黏附残留的蜡和土等弊病,影响土样的质量,因此将逐步予以淘汰,并以塑料或酚醛层压纸管代替。
E.0.3 取样器宜使用带内衬的黄土薄壁取样器,对结构较松散的黄土,不应使用无内衬的黄土薄壁取样器。黄土薄壁取样器内径不宜小于120mm,刃口壁的厚度不宜大于3mm,刃口角度为10°~12°,控制面积比为12%~15%。其尺寸规格可按表E.0.3采用,构造可按图E.0.3采用。
表E.0.3 黄土薄壁取样器的尺寸

图E.0.3 黄土薄壁取样器示意
1-导径接头;2-废土筒;3-衬管;4-取样管;5-刀口
D s -衬管内径;D w -取样管外径;D e -刀口内径;D 1 -刀口外径
条文说明
E.0.3 近年来,在湿陷性黄土地区勘察中,使用的黄土薄壁取样器的类型有:无内衬和有内衬两种。为了说明按操作要点以及使用两种取样器的取样效果,在同一勘探点处,对探井与两种类型三种不同规格、尺寸的取样器(表6)的取土质量进行对比,其结果(表8)说明:应根据土质结构、当地经验选择合适的取样器。
当采用有内衬的黄土薄壁取样器取样时,内衬必须是完好、干净、无变形,且与取样器的内壁紧贴。当采用无内衬的取样器取样时,内壁必须均匀涂抹润滑油,取土样时,应使用专门的工具将取样器中的土样缓缓推出。但在结构松散的黄土层中,不宜使用无内衬的取样器。以免土样从取样器另装入盛土筒过程中,受到扰动。
西安咸阳机场试验点,在探井内与钻孔内的取样质量对比,见表8。
表6 黄土薄壁取土器的尺寸、规格

表7 同一勘探点在探井内与钻孔内的取样质量对比

表8 西安咸阳机场在探井内与钻孔内的取土质量对比

E.0.4 钻进和取土样应符合下列规定:
1 严禁向钻孔内注水;
2 在卸土过程中,不得敲打取土器;
3 土样取出后,应检查土样质量,土样有受压、扰动、碎裂和变形等情况时,应将其废弃并重新采取土样;
4 应经常检查钻头、取土器的完好情况,当发现钻头、取土器有变形、刃口缺损时,应及时校正或更换;
5 冬期施工时土样取出后应采取防冻融措施;
6 对探井内和钻孔内的取样结果,应进行对比、检查,发现问题及时改进;
7 土样在运输的过程中应采取防止振动破坏措施,结构敏感、含粉土颗粒较大的黄土宜就地进行土工试验。
附录F未消除全部湿陷量的地基地下水位上升时的设计措施
附录F 未消除全部湿陷量的地基地下水位上升时的设计措施
F.0.1 对末消除全部湿陷量的地基,应根据地下水位可能上升的幅度,采取防止不均匀沉降的有效措施。
条文说明
F.0.1 未消除全部湿陷量的地基,残留有湿陷性的土层均在下部,地下水位上升至其中时,会产生湿陷,湿陷量的大小和土的湿陷性质及应力状态有关。为尽量减小湿陷对建筑物的影响,应根据可能产生的湿陷量大小和深度、地基处理情况、上部建筑的特点等采取有针对性的设计措施,目的是尽量减小不均匀沉降。
F.0.2 建筑物的平面、立面布置,应力求简单、规则。体形复杂时,宜将建筑物分成若干简单、规则的单元。单元之间宜拉开一定距离,设置能适应沉降的连接体或采取其他措施。
F.0.3 多层砌体承重结构房屋,应有较大的刚度,房屋的单元长高比不宜大于3。
F.0.4 在同一单元内,各基础的荷载、形式、尺寸和埋深应尽量接近。当门廊等附属建筑与主体建筑的荷载相差悬殊时,应采取有效措施,减少主体建筑下沉对门廊等附属建筑的影响。
F.0.5 在建筑物的同一单元内,不宜设置局部地下室。对有地下室的单元,应用沉降缝将其与相邻单元分开。
F.0.6 宜通过加大建筑物沉降缝两侧基础面积、调整上部结构布置等措施减小沉降缝处的基底压力。
F.0.7 建筑物基础附近有重物或重型设备时,应采取隔离、对设备基础地基进行处理、加固建筑物基础等措施,减小附加沉降对建筑物的影响。
F.0.8 对地下室和地下管沟,应根据地下水位上升的可能幅度采取防水措施。水位可能上升至基础底面标高以上时,地下管沟材料宜采用抗渗混凝土并应增设柔性防水层。
F.0.9 在非自重湿陷性黄土场地,有大面积填方时,应根据填方厚度、地下水位可能上升的幅度,判断场地转化为自重湿陷性黄土场地的可能性。可能性大时,应按自重湿陷性黄土场地进行设计。
附录G单桩竖向静载荷浸水试验要点
附录G 单桩竖向静载荷浸水试验要点
G.0.1 本试验要点适用于测试浸水条件下桩侧负摩阻力、中性点深度及桩周土饱和状态下单桩承载力。
G.0.2 试验浸水坑应符合下列规定:
1 浸水坑的平面尺寸(边长或直径):仅测定桩周土饱和状态下的单桩竖向承载力时,不宜小于5m;测定桩侧负摩阻力和中性点深度时,不宜小于自重湿陷性黄土层的深度,并不应小于10m;
2 试坑深度不宜小于500mm,坑底面应铺100mm~150mm厚度的砂、石,在浸水期间,坑内水头高度不宜小于300mm;
3 可在试坑底面布置一定数量及深度的渗水孔,孔内应填满砂砾。
条文说明
G.0.2 单桩竖向承载力静载荷浸水试验包括两种:一种仅测定桩周土饱和状态下的单桩竖向极限承载力;另一种除测定桩周土饱和状态下的单桩竖向极限承载力外,还可通过桩身内力测试测定桩侧负摩阻力和中性点深度。前者相对简单,可在工程中广泛实施,不要求桩周土发挥或完全发挥自重湿陷量,因此试坑面积可相对小些;后者测试的内容较为全面,要求浸水条件下自重湿陷量充分发挥才能测得相对准确的桩侧负摩阻力和中性点深度,依据现场试坑浸水试验经验,试坑平面尺寸需大于自重湿陷性黄土层深度且大于10m才能使得自重湿陷量充分发挥。
G.0.3 单桩竖向承载力静载荷浸水试验方法,可选择先湿法或后湿法。
G.0.4 先湿法进行单桩竖向承载力静载荷浸水试验,应符合下列规定:
1 加载前向试坑内浸水,连续浸水时间不宜少于10d。过程中应记录桩顶沉降量,记录间隔时间不宜大于6h。
2 桩周湿陷性黄土层达到饱和,且桩顶沉降稳定后,在继续浸水条件下对桩顶分级加载至极限荷载或设计荷载的2倍。
G.0.5 后湿法进行单桩竖向承载力静载荷浸水试验,应符合下列规定:
1 应在试坑浸水前,对桩分级加压至设计荷载。
2 在设计荷载下沉降稳定后,维持桩顶荷载不变,向试坑内浸水,连续浸水时间不宜少于10d。过程中应记录桩顶附加沉降量,记录间隔时间不宜大于6h。
3 桩周湿陷性黄土层达到饱和,且桩顶附加沉降稳定后,在继续浸水条件下对桩顶分级加载至极限荷载或设计荷载的2倍。
条文说明
G.0.3~G.0.5 先湿法和后湿法单桩竖向承载力静载荷浸水试验均可测定桩周土饱和条件下的单桩竖向极限承载力,其区别主要在于先浸水还是先加载。浸水过程中,由于桩周土发生自重湿陷或软化,会导致桩身内力重新分布,可能会产生桩顶浸水附加沉降,该部分沉降应记录并表现在试验成果荷载-沉降曲线当中。
G.0.6 桩侧负摩阻力和中性点深度测试,应符合下列规定:
1 宜在浸水试坑内设置观测自重湿陷的浅标点和深标点,实测自重湿陷下限深度;
2 预估的中性点深度附近应埋设有桩身内力测试元件,当中性点深度难以预测时,桩身内力测试元件宜加密埋设,或采用线测法进行内力测试;
3 先湿法桩顶无荷载或后湿法桩顶维持设计荷载,试坑浸水期间,在桩侧负摩阻力值和中性点深度稳定后应暂时停止注水,继续测试负摩阻力和中性点深度不少于10d,负摩阻力和中性点深度不再变化后,重新注水,继续对桩分级加载;
4 取试验过程中下拉荷载最大时对应的负摩阻力值和中性点深度作为实测值。
条文说明
G.0.6 对桩侧负摩阻力和中性点深度测试提出了明确的试验要求,其理由如下: 1 已有试验表明,特别对大厚度自重湿陷性黄土和Q2自重湿陷性黄土,现场浸水试验得到的自重湿陷土层厚度往往和根据室内试验结果确定的不一致,试验中实测自重湿陷下限深度,有助于验证试验成果可靠性,综合确定桩基设计时的中性点深度,积累相关经验。 2 所谓线测法桩身内力测试,是相对于采用传统点式传感器而言,能较为连续地获得桩身轴力的内力测试方法,采用该测试方法有助于较准确确定中性点深度。 3 已有试验表明,由于试坑浸水过程中在土体内往往存在有孔隙水压力,土中的有效应力在浸水过程中往往并不是最大的,因而桩侧最大负摩阻力以及自重湿陷沉降往往也并不是发生在浸水期末,而是在停水后一定时间。 4 单桩竖向承载力静载荷浸水试验中,负摩阻力和中性点都有一个发生发展的过程,一般下拉荷载最大时对应的桩侧负摩阻力和中性点深度均为最大。
G.0.7 基准桩或沉降观测基准点应设在浸水影响范围外。试桩和锚桩设置、开始试验时间、试验装置、量测沉降用的仪表,分级加载额定量,加、卸载的沉降观测和单桩竖向承载力的确定等要求,应符合现行国家标准《建筑地基基础设计规范》GB 50007的有关规定。桩顶附加沉降量的观测精度不应低于0.1mm。
附录H复合地基浸水载荷试验要点
附录H 复合地基浸水载荷试验要点
H.0.1 本试验要点适用于采用单桩和多桩复合地基浸水载荷试验确定复合地基在饱和状态下的承载力及湿陷变形参数。
H.0.2 承压板的选择应符合下列规定:
1 承压板应具有足够刚度。
2 单桩复合地基载荷试验的承压板可用圆形或方形,面积为一根桩承担的处理面积。桩孔按正三角形布置时,圆形承压板直径(d)应为桩距的1.05倍;桩孔按正方形布置时,承压板直径应为桩距的1.13倍。
3 多桩复合地基的承压板宜为方形或矩形,尺寸应按承压板下的实际桩数确定。
H.0.3 浸水试坑开挖和载荷试验设备安装,应符合下列规定:
1 浸水试坑底面的直径或边长,不应小于处理厚度的一半及承压板直径或边长的3倍,且不应小于5m。
2 试坑底面标高宜与拟建的建筑物基底标高相同或接近。
3 应保持试验土层的原状结构。
4 试坑内桩间土宜打设浸水孔,最大深度应根据剩余湿陷量及未处理土层厚度确定,且不应小于增强体底端深度。孔内用砾砂或粗砂填充。承压板底面下应铺100mm~150mm厚度的中、粗砂找平。
5 基准梁的支点,应设在浸水影响及承压板应力影响范围之外,并不应小于压板直径或边长的3倍。
6 承压板的形心与荷载作用点应重合。
H.0.4 宜在土层天然含水量下加至1倍设计荷载,下沉稳定后向试坑内连续浸水,连续浸水时间在桩间土达到饱和后不宜少于5d。坑内水头不应小于200mm。仅需判定复合地基湿陷性时,可不再增加荷载。需要判定承载力时,宜再加1倍设计荷载。
H.0.5 加荷等级不宜少于10级,每加一级荷载的前、后,应分别测记1次压板的下沉量,以后每0.5h测记1次,当连续2.0h内,每1.0h的下沉量小于0.10mm时,即可加下一级荷载。每级荷载的维持时间不应少于2.0h。
H.0.6 出现下列情况之一时,可终止加载:
1 沉降急剧增大,承压板周围的土出现明显的侧向挤出;
2 浸水条件下附加下沉稳定后继续加载,在某一级荷载下,24h内沉降速率不能达到稳定标准,或沉降s急骤增大,压力-沉降(p-s)曲线出现陡降段;
3 s/b(或s/d)≥0.06;
4 仅需判定复合地基湿陷性时,设计荷载下浸水后,附加下沉达到稳定标准或连续5d达不到稳定标准(从浸水开始计算);
5 已加载至设计荷载的2倍。
当满足前2种情况之一时,其对应的前一级荷载可定为极限荷载。
H.0.7 卸荷可分为3级~4级,每卸一级荷载测记回弹量,直至变形稳定。
H.0.8 复合地基湿陷性判定和承载力特征值,应根据压力(p)与承压板沉降量(s)的p-s曲线形态确定:
1 复合地基浸水相对沉降应按下式计算:

式中:ξ——复合地基浸水相对沉降;
s 1 ——加至1倍设计荷载沉降稳定,浸水前承压板沉降量(mm);
s 2 ——维持1倍设计荷载浸水,沉降稳定后承压板沉降量(mm);
d——承压板直径(mm),承压板为矩形时取短边长度b(mm)。
当ξ<0.017时,判定复合地基不具湿陷性。
2 复合地基承载力特征值判定应符合下列规定:
1)当极限荷载能确定,取极限荷载的一半;
2)按相对变形确定:土挤密桩复合地基,可取s/b或s/d=0.010所对应的压力;灰土挤密桩、夯实水泥土桩、水泥土搅拌桩复合地基可取s/b或s/d=0.008所对应的压力;水泥粉煤灰碎石桩、素混凝土桩复合地基,可取s/b或s/d=0.010所对应的压力;
3)压板边长或直径大于2000mm时,b或d按2000mm计算;
4)按相对变形确定的地基承载力特征值,不应大于最大加载压力的一半。
附录J垫层、强夯和挤密地基载荷试验要点
附录J 垫层、强夯和挤密地基载荷试验要点
J.0.1 现场采用静载荷试验检测垫层、强夯和挤密等方法处理地基的承载力及变形参数,应符合下列规定:
1 承压板应为刚性,底面宜为圆形或方形。
2 对土或灰土垫层,承压板的面积应按需检验土层的厚度确定,且不应小于1.0m 2 ;对强夯地基承压板,承压板的面积不应小于2.0m 2 ,当处理土层厚度较大时,宜分层进行试验。
3 对挤密桩复合地基:
1)单桩复合地基的承压板面积,应为1根挤密桩承担的处理地基面积。桩孔按正三角形布置时,承压板直径(d)应为桩距的1.05倍,桩孔按正方形布置时,承压板直径应为桩距的1.13倍。
2)多桩复合地基的承压板,宜为方形或矩形,其尺寸应按承压板下的实际桩数确定。
3)对于桩距大于2.5m的大直径挤密桩复合地基,承载力检验宜采用单桩复合地基静载荷试验;有经验或对比资料时,也可分别进行单桩竖向抗压静载荷试验和桩间土静载荷试验计算复合地基承载力特征值。单桩静载试验承压板直径应与设计桩直径相同,桩间土的承压板直径不宜小于0.6m。
条文说明
J.0.1 荷载的影响深度和荷载的作用面积密切相关。压板的直径越大,影响深度越深。所以本条对垫层地基和强夯地基上的载荷试验压板的最小尺寸作了规定,但当地基处理厚度大或较大时,宜分层进行试验。
对于大桩距的挤密桩复合地基静载荷试验,宜采用单桩或多桩复合地基静载荷试验。如因故不能采用复合地基静载荷试验,且在当地有经验时,也可在桩顶和桩间土上分别进行试验。主要是因为桩距太大要求的承压板直径大,压板刚度难以满足要求,如陕西地区采用的大直径冲扩桩,桩径在1.8m以上,桩距在3.0m左右,检测过程中承压板刚度不易满足刚性要求,检测结果易失真。
J.0.2 试坑开挖和安装载荷试验设备应符合下列规定:
1 试坑底面的直径或边长,不应小于承压板直径或边长的3倍;
2 试坑底面标高,宜与拟建的建筑物基底标高相同或接近;
3 应保持试验土层的天然湿度和原状结构;
4 承压板底面下应铺10mm~20mm厚度的中、粗砂找平;
5 基准梁的支点,应设在承压板直径或边长的3倍范围以外;
6 承压板的形心与荷载作用点应重合。
J.0.3 加荷等级不宜少于10级,总加载量不应小于设计荷载值的2倍。
J.0.4 每加一级荷载的前、后,应分别测记1次压板的下沉量,以后每0.5h测记1次,当连续2.0h内,每1.0h的下沉量小于0.10mm,即可加下一级荷载。每级荷载的维持时间不应少于2.0h。
J.0.5 需要测定处理后的地基是否消除湿陷性时,应进行浸水载荷试验。浸水前,宜加至1倍设计荷载,下沉稳定后向试坑内连续浸水,连续浸水时间不宜少于10d,坑内水头不应小于200mm,附加下沉稳定,试验终止。需判定地基承载力时,可继续浸水,再加1倍设计荷载后,试验终止。
条文说明
J.0.5 处理后的地基土密实度较高,水不易下渗,可预先在试坑底部打适量的浸水孔,再进行浸水载荷试验。
J.0.6 出现下列情况之一时,可终止加载:
1 承压板周围的土出现明显的侧向挤出;
2 沉降s急骤增大,压力-沉降(p-s)曲线出现陡降段;
3 在某一级荷载下,24h内沉降速率不能达到稳定标准;
4 s/b(或s/d)≥0.06。
当满足前3种情况之一时,其对应的前一级荷载可定为极限荷载。
条文说明
J.0.6 对本条规定的试验终止条件说明如下:
1 为地基处理设计(或方案)提供参数,宜加至极限荷载终止;
2 为检验处理地基的承载力,宜加至设计荷载值的2倍终止。
J.0.7 卸荷可分为3级~4级,每卸一级荷载测记回弹量,直至变形稳定。
J.0.8 处理后的地基承载力特征值,应根据压力(p)与承压板沉降量(s)的p-s曲线形态确定:
1 当p-s曲线上的比例界限明显时,可取比例界限所对应的压力;
2 当p-s曲线上的极限荷载小于比例界限的2倍时,可取极限荷载的一半;
3 当p-s曲线上的比例界限不明显时,可按压板沉降(s)与压板直径(d)或宽度(b)之比值即相对变形确定:
1)土垫层地基、强夯地基和桩间土,可取s/d(或s/b)=0.010所对应的压力;
2)灰土垫层地基,可取s/d(或s/b)=0.006所对应的压力;
3)土挤密桩复合地基,可取s/d(或s/b)=0.010所对应的压力;灰土挤密桩或水泥土挤密桩复合地基,可取s/d(或s/b)=0.008所对应的压力;
4)桩、土分别试验的,桩体材料为灰土时,桩间土承载力可取s/d(或s/b)=0.008所对应的压力;桩体材料为素土时,桩间土承载力可取s/d(或s/b)=0.010所对应的压力;
5)复合地基载荷试验当压板边长或直径大于2000mm时,b或d按2000mm计算。
按相对变形确定的地基承载力特征值,不应大于最大加载压力的一半;桩、土分别试验时,桩间土承载力取值不宜大于天然地基承载力的1.5倍。
条文说明
J.0.8 本条提供了三种地基承载力特征值的判定方法。大量资料表明,垫层的压力-沉降曲线一般呈直线或平滑的曲线,复合地基载荷试验的压力-沉降曲线大多是一条平滑的曲线,均不易找到明显的拐点。因此承载力按控制相对变形的原则确定较为适宜。本条对土(或灰土)垫层及桩、土分别试验的相对变形值作了规定。
J.0.9 试验点的数量不应少于3点,当极差不超过平均值的30%时,可取其平均值作为地基承载力特征值。当极差超过平均值的30%时,应分析原因,并结合工程具体情况综合确定地基承载力特征值,或增加试验点数量。
本标准用词说明
本标准用词说明
1 为便于在执行本标准条文时区别对待,对要求严格程度不同的用词说明如下:
1)表示很严格,非这样做不可的:
正面词采用“必须”,反面词采用“严禁”;
2)表示严格,在正常情况下均应这样做的:
正面词采用“应”,反面词采用“不应”或“不得”;
3)表示允许稍有选择,在条件许可时首先应这样做的:
正面词采用“宜”,反面词采用“不宜”;
4)表示有选择,在一定条件下可以这样做的,采用“可”。
2 条文中指明应按其他有关标准执行时的写法为:“应符合……的规定”或“应按……执行”。
引用标准名录
引用标准名录
1 《建筑地基基础设计规范》GB 50007
2 《岩土工程勘察规范》GB 50021
3 《给水排水构筑物工程施工及验收规范》GB 50141
4 《建筑地基基础工程施工质量验收标准》GB 50202
5 《建筑给水排水及采暖工程施工质量验收规范》GB 50242
6 《给水排水管道工程施工及验收规范》GB 50268
7 《建筑变形测量规范》JGJ 8
8 《建筑桩基技术规范》JGJ 94
自2022年1月1日起废止的条文

