Appearance
《劲性复合桩技术规程[附条文说明]》JGJ/T 327-2014
🗓️ 住房和城乡建设部 实施时间:2014-10-01
前言
中华人民共和国行业标准
劲性复合桩技术规程
Technical specification for strength composite piles
JGJ/T 327-2014
批准部门:中华人民共和国住房和城乡建设部
施行日期:2014年10月1日
中华人民共和国住房和城乡建设部公告
第332号
住房城乡建设部关于发布行业标准《劲性复合桩技术规程》的公告
现批准《劲性复合桩技术规程》为行业标准,编号为JGJ/T 327-2014,自2014年10月1日起实施。
本规程由我部标准定额研究所组织中国建筑工业出版社出版发行。
中华人民共和国住房和城乡建设部
2014年2月28日
前言
根据住房和城乡建设部《关于印发<2011年工程建设标准规范制订、修订计划>的通知》(建标[2011]17号)的要求,规程编制组经广泛调查研究,认真总结实践经验,参考有关国外先进标准,并在广泛征求意见的基础上,编制本规程。
本规程的主要技术内容是:1总则;2术语和符号;3基本规定;4设计;5施工;6质量检测与验收等。
本规程由住房和城乡建设部负责管理,由万通建设集团有限公司负责具体技术内容的解释。执行过程中如有意见或建议,请寄送万通建设集团有限公司(地址:南通市掘港镇芳泉路7号,邮政编码:226400)。
本规程主编单位 :万通建设集团有限公司
昆明二建建设(集团)有限公司
本规程参编单位 :江苏通州基础工程有限公司
南通五建跃进建筑安装工程有限公司
建基建设集团有限公司
中国华西企业有限公司
南通市建筑设计研究院有限公司
江苏地基工程有限公司
如东水利电力建筑工程有限责任公司
江苏顺通建设集团有限公司
江苏科信岩土工程勘察有限公司
本规程主要起草人员 :邓亚光 胡学明 吴笙 饶英伟 蔡瑞平 钱于军 倪锡兵 邢马华 张京京 於军 苏贤杰 韩小霞 刘跃进 余小颉 褚国栋 刘新玉 从为民 韩豫昆 沈海燕 杨国胜 韩田斌 张国建 葛家君 姚锋祥 陆忠 曹薛平 张汪应 茅亚丽 胡锁 王凯 江建
本规程主要审查人员 :缪昌文 张雁 钱力航 叶观宝 康景文 邹科华 刘松玉 郑刚 陈忠平 葛兴杰 廖红建 傅明
条文说明
中华人民共和国行业标准
劲性复合桩技术规程
JGJ/T327-2014
条文说明
制订说明 《劲性复合桩技术规程》JGJ/T327-2014,经住房和城乡建设部2014年2月28日以第332号公告批准、发布。 本规程编制过程中,编制组进行了劲性复合桩技术的研究和工程应用情况的调查研究,总结了我国工程建设中劲性复合桩技术和工程应用的实践经验,同时参考了国外先进技术法规、技术标准,通过实际工程的现场试验取得了劲性复合桩设计施工的重要技术参数。 为便于广大设计、施工、科研、学校等单位有关人员在使用本规程时能正确理解和执行条文规定,《劲性复合桩技术规程》编制组按章、节、条顺序编制了本规程的条文说明,对条文规定的目的、依据以及执行中需注意的有关事项进行了说明。但是,本条文说明不具备与标准正文同等的法律效力,仅供使用者作为理解和把握标准规定的参考。
1 总则
1 总 则
1.0.1 为了在劲性复合桩的设计、施工、质量检测与验收中,贯彻执行国家的技术经济政策,做到技术先进、安全适用、经济合理、保证质量、保护环境,制定本规程。
条文说明
1.0.1劲性复合桩施工技术是由散体桩,柔性桩,刚性桩等通过一定的工艺,将两种或三种单体桩进行复合,形成劲性复合桩的一项技术。目前,劲性复合桩施工技术已在江苏、上海、云南、河北等地使用,推广应用项目已达到1000多项。为了使本技术更好地推广应用,并确保质量、保护环境、减少污染、经济合理、安全适用、规范操作的目的,制定本规程。
1.0.2 本规程适用于建筑工程中劲性复合桩的设计、施工、质量检测与验收。
1.0.3 劲性复合桩的设计应综合分析地质条件、上部结构与荷载特征、施工技术条件、工程环境等因素,因地制宜,选择相应的成桩材料和施工工艺。
条文说明
1.0.3劲性复合桩应用时应详细了解场地工程地质和水文地质条件,了解土层形成年代和成因,掌握土的工程性质,特别是穿越土层和桩端土的类别与性质,结合工程经验,进行计算分析。由于岩土工程分析中计算条件的模糊性、信息的不完全性、计算方法的局限性和各种假想边界条件的不确定性,不能完全精确计算出地基基础的承载力、沉降量、稳定性等指标,需要岩土工程师在计算分析结果和工程经验类比的基础上综合判断。劲性复合桩设计应在充分了解功能要求、荷载的性质与大小和掌握必要资料的基础上,研究设计条件,先定性分析,再定量分析,从技术方法的适宜性和有效性、施工的可操作性、质量的可控制性、环境限制,以及经济性等多方面进行论证,然后选择一个或几个方案,进行必要的计算、验算和试验,通过比较分析,逐步完善设计。
1.0.4 劲性复合桩的设计、施工、质量检测与验收除应符合本规程外,尚应符合国家现行有关标准的规定。
2 术语和符号
2.1 术语
2 术语和符号
2.1 术 语
2.1.1 劲性复合桩 strength composite piles
散体桩、柔性桩、刚性桩经复合施工形成的具有互补增强作用的桩。
条文说明
2.1.1在岩土工程的实际应用中,单一桩型有一定的局限性:砂石桩等散体材料桩对软弱地基处理后承载力提高幅度不大;水泥土类桩的桩身强度受土质、施工工艺影响较大;在软土中采用振动沉管灌注桩施工时,由于振动和挤土效应易造成缩径和断桩现象;预应力管桩在软土中单桩承载力较低,且需进入密实土层,桩身材料得不到充分发挥。20世纪90年代初至今,全国各地逐步发展了刚性桩、柔性桩、散体桩相互复合的桩型,并用于实际工程。 劲性复合桩是将常用的散体材料桩、柔性水泥土类桩、刚性混凝土类桩三种单一桩型相互复合,后一种桩体在前一种桩体上进行再次施工,形成互补增强的劲性复合桩型。可分为散体桩与柔性桩复合成的散柔复合桩、散体桩与刚性桩复合成的散刚复合桩、柔性桩与刚性桩复合成的柔刚复合桩,以及散柔复合桩和刚性桩复合成的三元复合桩。其中在散体桩、柔性桩或散柔复合桩桩体上再进行刚性桩施工后形成的桩又称为劲芯复合桩。劲芯复合桩由内芯和外芯两部分组成,根据内芯的长度又可分为长芯、等芯和短芯等。
2.1.2 散体桩 granular column
碎石、砂、砖瓦碎块、钢渣、矿渣等散体材料形成的桩。
2.1.3 柔性桩 flexible pile
水泥、石灰等胶结材料与土混合形成的桩。
条文说明
2.1.3除水泥以外,也可采用粉煤灰、石灰、化学浆液或混合料等胶结材料,采用粉喷、湿喷、高压旋喷、注浆及复合方法等施工工艺。
2.1.4 刚性桩 rigid pile
混凝土、钢、水泥粉煤灰碎石混合料等材料形成的桩。
2.1.5 散柔复合桩 granular & flexible composite pile
散体桩和柔性桩复合的桩。
条文说明
2.1.5散柔复合桩是由散体桩与柔性桩复合形成的桩。可先施工散体桩,后再在散体桩上原位施工柔性桩;也可先施工散体桩,后注浆或施工含砂水泥土复合桩。
2.1.6 柔刚复合桩 flexible & rigid composite pile
柔性桩和刚性桩复合的桩。
条文说明
2.1.6柔刚复合桩是由柔性桩与刚性桩复合形成的桩。可先施工水泥土柔性桩,在水泥土硬化前,在水泥土桩桩体上施打刚性桩。
2.1.7 散刚复合桩 granular & rigid composite pile
散体桩和刚性桩复合的桩。
条文说明
2.1.7散刚复合桩是由散体桩与刚性桩复合形成的桩。可先施工散体桩,再在散体桩上原位施打刚性桩。也可利用特殊工艺同时施打散体桩和刚性桩。
2.1.8 三元复合桩 granular & flexible & rigid composite pile
散体桩、柔性桩和刚性桩复合的桩。
条文说明
2.1.8三元复合桩是由散体桩、柔性桩、刚性桩三种桩复合形成的桩。可先施工散柔复合桩,散柔复合桩桩身硬化前,在桩体上施打刚性桩形成散柔刚三元复合桩;也可先施工散刚复合桩,再在散体外芯内注浆形成散刚柔三元复合桩。
2.1.9 内芯 inner core
除散柔复合桩外的劲性复合桩桩体中心的刚性部分。
2.1.10 外芯 outer core
劲性复合桩中内芯以外的部分。
2.2 符号
2.2 符 号
2.2.1 抗力和材料性能
f ak ——地基土承载力特征值;
f cu ——与散柔复合桩桩身材料配比相同的室内加固土边长为70.7mm或50.0mm的立方体试块,在标准养护条件下90d龄期的立方体抗压强度平均值;
f sk ——桩间土的承载力特征值;
f spk ——复合地基的承载力特征值;
q sia ——柔刚复合桩、三元复合桩复合段外芯及散柔复合桩复合段第i土层侧阻力特征值;
q sja ——柔刚复合桩、三元复合桩及散柔复合桩非复合段第j土层侧阻力特征值;
q c sa ——劲性复合桩复合段内芯侧阻力特征值;
q c sja ——劲性复合桩非复合段内芯第j土层侧阻力特征值;
q pa ——柔刚复合桩、三元复合桩及散柔复合桩的端阻力特征值;
q c pa ——劲性复合桩内芯桩端土的端阻力特征值;
R a ——劲性复合桩单桩竖向抗压承载力特征值;
T ua ——群桩呈非整体破坏时劲性复合桩单桩竖向抗拔承载力特征值;
T ga ——群桩呈整体破坏时劲性复合桩单桩竖向抗拔承载力特征值。
2.2.2 几何参数
A p ——劲性复合桩桩身截面积;
A c p ——劲性复合桩内芯桩身截面积;
l c ——劲性复合桩复合段长度;
l i ——劲性复合桩复合段第i土层厚度;
l j ——劲性复合桩非复合段第j土层厚度;
m——面积置换率;
s a ——桩间距;
U——桩群复合段外芯外围周长;
U c ——桩群复合段内芯外围周长;
u——柔刚复合桩、三元复合桩复合段外芯及散柔复合桩桩身周长;
u c ——劲性复合桩内芯桩身周长。
2.2.3 计算系数
n——群桩的桩数、散体桩桩土应力比;
α——桩端天然地基土承载力折减系数;
β——桩间土承载力发挥系数;
λ——劲性复合桩单桩承载力发挥系数、复合段外芯抗拔系数;
λ c ———劲性复合桩复合段内芯抗拔系数;
λ j ——劲性复合桩非复合段内芯第j土层抗拔系数;
ξ p ——分别为劲性复合桩复合段外芯端阻力调整系数;
ξ si ——劲性复合桩复合段外芯侧阻力调整系数;
η——桩身强度折减系数。
3 基本规定
3 基本规定
3.0.1 劲性复合桩适用于淤泥、淤泥质土、黏性土、粉土、砂土以及人工填土等地基。
条文说明
3.0.1劲性复合桩作为复合地基竖向增强体时,适用于处理淤泥,淤泥质土,粉土、填土、黏性土以及砂土等软弱地基。对于其他地基土质条件,应通过试验研究和取得工程经验后方可应用。
3.0.2 劲性复合桩用于泥炭土、有机质土、pH值小于4的土、塑性指数大于25的黏土,或地下水渗流影响成桩质量以及在腐蚀性环境中和无工程经验的地区时,应通过试验确定其适用性。
3.0.3 劲性复合桩设计施工前,应具备下列资料:
1 场地的岩土工程勘察、上部结构及基础设计等资料;
2 类似地质条件的工程经验和使用情况等;
3 施工场地及其周边环境情况;
4 施工机械及设备的型号与性能、动力条件及对地质条件的适应性;施工机械设备的进出场及现场运行条件。
条文说明
3.0.3类似地质条件的工程经验和使用情况,包括劲性复合桩的施工条件、设计施工经验、载荷试验资料和沉降观测资料等。施工场地及其周边环境情况,包括地面建(构)筑物、地下工程、周边道路及管线等情况。
3.0.4 劲性复合桩设计应满足承载力、变形和稳定性要求,并应符合下列规定:
1 应根据地质条件、结构要求及荷载特征选用复合桩型及参数;
2 对大型、重要或地质条件复杂的工程,设计前应进行试验性施工,检验设计、施工参数、处理效果及适用性。
3.0.5 劲性复合桩的耐久性应符合国家现行相关标准的规定。
4 设计
4.1 一般规定
4 设 计
4.1 一般规定
4.1.1 劲性复合桩可按散柔复合桩、散刚复合桩、柔刚复合桩和三元复合桩等类型进行设计。
4.1.2 散刚复合桩、柔刚复合桩和三元复合桩用于复合地基时,刚性桩强度等级不宜低于C15;用于桩基础时,刚性桩强度等级不宜低于C25,且应满足桩身承载力的要求。
条文说明
4.1.2劲性复合桩用于复合地基时,刚性桩可选用预制混凝土桩、现浇混凝土桩和水泥粉煤灰碎石桩等;用于桩基时,可选用预制混凝土桩和现浇混凝土桩。
4.1.3 劲性复合桩用于桩基础时应穿透软弱土层。
条文说明
4.1.3劲性复合桩桩长可根据工程要求和工程地质条件通过计算确定: 1当软弱土层厚度不大时,劲性复合桩桩长宜穿过软弱土层; 2当软土层厚度较大时,对按稳定性控制的工程,劲性复合桩桩长应不小于处理后最危险滑动面以下2m的深度;对按变形控制的工程,劲性复合桩桩长应满足加固后地基变形量不超过国家现行标准《建筑地基基础设计规范》GB50007中建筑物地基容许变形量和满足软弱下卧层强度要求; 3对可液化的地基,劲性复合桩桩长按要求的抗震处理深度确定; 4桩长不宜小于4m。
4.1.4 散体桩的桩身材料宜级配良好,最大粒径应小于50mm。柔性桩设计前应对拟使用材料进行室内配比试验。
条文说明
4.1.4散体桩的桩身材料级配应通过级配试验确定,使之达到设计强度要求,密实度应等于或大于95%。
4.2 复合桩构造
4.2 复合桩构造
4.2.1 散柔复合桩的构造(图4.2.1)应符合下列规定:

图4.2.1 散柔复合桩构造示意图
1-先行施工散体桩位置;2-散柔复合桩;3-柔性桩
1 散体桩的桩长不宜大于柔性桩的桩长;
2 散体桩桩径宜为220mm~500mm,柔性桩桩径宜为500mm~1200mm;
3 柔性桩水泥掺入量宜为12%~18%,土质松软时应加大掺入量。
条文说明
4.2.1散柔复合桩是由散体桩与柔性桩复合而成,其施工过程如图1所示。根据单桩荷载传递规律,上部桩体受力大,先行施工小直径的散体砂桩,再在砂桩体上施工柔性搅拌桩,通过机械搅拌把砂、土和水泥搅拌成均匀的散柔复合桩,或先行施工散体碎石桩,再在散体桩中注浆形成散柔复合桩,采用散柔复合桩进行复合加强。下部受力小,柔性桩桩体能满足其要求,因此散体桩桩长不宜大于柔性桩的桩长。 
图1散柔复合桩施工过程 1-先行施工散体桩位置;2-散柔复合桩;3-柔性桩 散柔复合桩一般用于软弱地基,散体桩一般为沉管砂石桩,直径为220mm~500mm,柔性桩宜为桩径500mm~1200mm的深层搅拌桩。当柔性桩采用深层搅拌成桩时,散体桩桩径宜小于300mm,骨料粒径宜小于40mm,否则深层搅拌难以施工,且容易损坏搅拌叶片,达不到预期目的效果;当柔性桩采用注浆或高压喷射注浆时,骨料粒径和散体桩桩径可以适当加大。在散体桩中注浆形成散柔复合桩时,散体桩的直径可取大值。
4.2.2 散刚复合桩的构造(图4.2.2)应符合下列规定:

图4.2.2 散刚复合桩构造示意图
1-散体桩;2-刚性桩
1 散体桩桩径宜为280mm~600mm,刚性桩桩径宜为220mm~500mm;
2 当刚性桩桩长大于散体桩桩长时,刚性桩应进入相对较硬的持力土层;
3 当散体桩桩长大于刚性桩桩长时,刚性桩下散体桩的长度宜为(3~5)倍刚性桩桩径。
条文说明
4.2.2散刚复合桩是由散体桩与刚性桩复合而成。 1散体桩存在有效桩长,一般不超过其桩径的5倍。所以本条规定,刚性桩下散体桩的长度不超过刚性桩直径的(3~5)倍。对刚性桩下的散体桩进行扩底,能有效提高桩端阻力,使刚性桩的桩端应力得到有效扩散,减少变形。 2在软土中采用振动沉管灌注桩时,由于施工振动和挤土效应易造成缩径和断桩现象,采用散刚复合桩能有效地避免这一现象。为更好地发挥散刚复合桩的优势,土质较为软弱时,散体桩宜进行复打。
4.2.3 柔刚复合桩构造(图4.2.3)应符合下列规定:

图4.2.3 柔刚复合桩构造示意图
1-柔性桩;2-刚性桩
1 柔性桩桩径宜为500mm~1200mm,刚性桩桩径宜为220mm~800mm;
2 当刚性桩的桩长大于柔性桩桩长时,刚性桩应进入较硬的持力土层;
3 柔刚复合桩复合段的外芯厚度宜为150mm~250mm;
4 柔性桩在刚性桩桩端以下部分的长度宜根据土层状况及工程设计要求确定。
条文说明
4.2.3柔刚复合桩是由柔性桩与刚性桩复合而成。柔刚复合桩复合段的外芯厚度是指柔刚复合桩桩体外缘减去桩芯外缘的最小值。规定外芯厚度宜为150mm~250mm的目的是为了发挥复合段的复合功能效果,减少桩位偏差和垂直度偏差而产生的不良影响。根据长期以来的施工实践经验,确定柔刚复合桩复合段的外芯厚度不宜小于150mm。但外芯厚度也不能过大,过大会失去复合效果。除条文中所示的构造外,柔刚复合桩可根据土层分布采用分段复合的构造形式,如图2所示。 
图2柔刚复合桩分段复合构造示意图 1-柔性桩;2-刚性桩
4.2.4 三元复合桩构造(图4.2.4)应同时符合本规程第4.2.1和第4.2.3条的规定。

图4.2.4 三元复合桩构造示意图
1-散柔复合桩;2-刚性桩;3-柔性桩
条文说明
4.2.4三元复合桩是由散体桩、柔性桩、刚性桩三种桩体进行复合而成。除条文中所示的构造外,二元复合桩也可采用如图3所示的构造。 
图3三元复合桩其他构造形式示意图 1-散柔复合桩;2-刚性桩;3-柔性桩
4.3 桩基设计
4.3 桩基设计
4.3.1 劲性复合桩作为桩基础基桩时应符合下列规定:
1 当劲性复合桩作为抗拔桩时应选用柔刚复合桩或三元复合桩;
2 桩间距不应小于4倍内芯直径,且不应小于1.5倍外芯直径;
3 桩身承载力及裂缝控制宜按内芯进行验算;
4 内芯应与承台连接。
条文说明
4.3.1散柔复合桩属水泥土类桩,不适用于桩基础。散刚复合桩和柔刚复合桩可以改善刚性桩桩侧土体的性能,提高单桩竖向和水平承载力。
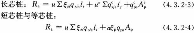
4.3.2 劲性复合桩单桩竖向抗压承载力设计应符合下列规定:
1 劲性复合桩单桩竖向抗压承载力特征值应根据单桩竖向抗压载荷试验确定;
2 初步设计时,对散刚复合桩可按公式(4.3.2-1)和公式(4.3.2-2)估算,对柔刚复合桩和三元复合桩可按公式(4.3.2-1)~公式(4.3.2-4)估算并取其中的小值:
1)劲性复合桩桩侧破坏面位于内、外芯界面时,基桩竖向抗压承载力特征值可按下列公式估算:

式中:R a ——劲性复合桩单桩竖向抗压承载力特征值(kN);
u c ——劲性复合桩内芯桩身周长(m);
l c 、l j ——分别为劲性复合桩复合段长度和非复合段第j土层厚度(m);
A c p ——劲性复合桩内芯桩身截面积(m 2 );
q c sa ——劲性复合桩复合段内芯侧阻力特征值(kPa),宜按地区经验取值。无地区经验时,宜取室内相同配比水泥土试块在标准条件下90d龄期的立方体(边长70.7mm)无侧限抗压强度的(0.04~0.08)倍,当内芯为预制混凝土类桩或外芯水泥土桩采用干法施工时宜取较高值。对散刚复合桩可取30kPa~50kPa;
q c sja ——劲性复合桩非复合段内芯第j土层侧阻力特征值(kPa),可按地区经验取值。也可根据内芯桩型按现行行业标准《建筑桩基技术规范》JGJ 94取值;
q c pa ——劲性复合桩内芯桩端土的端阻力特征值(kPa),宜按地区经验取值。对长芯桩与等芯桩也可根据内芯桩型按现行行业标准《建筑桩基技术规范》JGJ 94取值;对短芯散刚复合桩可取1200kPa~1500kPa,对短芯柔刚复合桩和短芯三元复合桩可取2000kPa~3000kPa。
2)劲性复合桩桩侧破坏面位于外芯和桩周土的界面时,基桩竖向抗压承载力特征值可按下列公式估算:

式中:u——劲性复合桩复合段桩身周长(m);
l i ——劲性复合桩复合段第i土层厚度(m);
A p ——劲性复合桩桩身截面积(m 2 ),对散刚复合桩应取刚性桩桩身截面积;对柔刚复合桩和三元复合桩,当刚性桩桩长大于柔性桩或散柔复合桩桩长时,应取刚性桩桩身截面积;
q sia ——劲性复合桩复合段外芯第i土层侧阻力特征值(kPa),宜按地区经验取值。无经验时,可按表4.3.2-1取值;
q pa ——劲性复合桩端阻力特征值(kPa),宜按地区经验取值。也可取桩端地基土未经修正的承载力特征值;
α——劲性复合桩桩端天然地基土承载力折减系数,对柔刚复合桩可取0.70~0.90,对三元复合桩可取0.80~1.00;
ξ si 、ξ p ——分别为劲性复合桩复合段外芯第i土层侧阻力调整系数、端阻力调整系数,宜按地区经验取值。无经验时,可按表4.3.2-2取值;非复合段侧阻力调整系数、端阻力调整系数均取1.0。
表4.3.2-1 劲性复合桩外芯侧阻力特征值q sa


表4.3.2-2 劲性复合桩复合段外芯侧阻力调整系数ξ si 、端阻力调整系数ξ p

3)在表4.3.2-1、表4.3.2-2中,当劲性复合桩外芯为干法搅拌桩时,取高值;外芯为湿法搅拌桩和旋喷桩时,取低值;内芯为预制桩时,取高值;内芯为现浇混凝土桩时,取低值;内外芯截面积比值大时,取高值;三元复合桩取高值。
条文说明
4.3.2本条在估算劲性复合桩的承载力时,考虑了两种破坏模式,即芯桩与外芯之间接触面的破坏以及桩周土的破坏。本条提供的劲性复合桩侧阻力特征值qsa、劲性复合桩端阻力特征值qpa取值原则及外芯侧阻力调整系数ξs、端阻力调整系数ξp是根据25个工程的完整实测资料及大量的工程实践经验确定的。劲芯复合桩复合段内芯侧阻力特征值qcsa取水泥土室内试块无侧限抗压强度的(0.04~0.08)倍。 对于劲性复合桩分段复合的情况(如图2、图3所示),承载力计算时,可将分段复合桩分为长芯桩、等芯桩或短芯桩的组合形式,按各段桩型计算承载力后相加得到。 工程算例: 南通某工程采用柔刚复合桩作为桩基础,外芯为干法水泥土搅拌桩,直径800mm,桩长16.5m,内芯为PHC管桩,直径400mm,桩长13m。土层分布及相关参数如表1所示。水泥土室内试块90天龄期无侧限抗压强度为2MPa。 表1 土层分布及相关参数
劲芯复合桩桩侧破坏面位于内、外芯界面时,按公式(4.3.2-2)计算如下: 
劲芯复合桩桩侧破坏面位于外芯和桩周土的界面时,按公式(4.3.2-4)计算如下: 
上述两者计算值取小值,则单桩承载力特征值为2212kN,且按外芯与桩周土破坏。 现场载荷试验单桩承载力极限值为4960kN,则承载力特征值取2480kN,较估算值略大。说明按第4.3.2条能够较好的估算劲芯复合单桩承载力特征值,且偏于安全。现场开挖量测劲芯复合桩直径约为890mm,比800mm直径的水泥土桩有所扩大。在极限荷载下,现场实测芯桩桩底应力为桩顶应力的10%左右。水泥土芯样无侧限抗压强度约为1.5MPa。对比施工前后静力触探结果,桩间土强度提高30%~50%。现场实测水平特征值高达200kN,比管桩高90%左右。当外芯采用900mm湿法搅拌桩时,其单桩极限承载力也在5000kN左右。采用湿法搅拌桩时,宜采用较小的水灰比,以减少浆体外溢。
4.3.3 劲性复合桩桩基软弱下卧层承载力验算应符合下列规定:
1 散刚复合桩宜按刚性桩桩底平面验算;
2 对柔刚复合桩和三元复合桩,为长芯或等芯复合桩时,宜按刚性桩桩底平面验算;为短芯复合桩时,宜同时按复合段桩底平面和非复合段桩底平面验算。
4.3.4 劲性复合桩桩基沉降计算应从刚性桩桩底平面起算并应符合现行国家标准《建筑地基基础设计规范》GB 50007的有关规定;刚性桩桩底下非复合桩体的压缩模量宜按现行国家标准《复合地基技术规范》GB/T 50783相关规定取值。
4.3.5 劲性复合桩用于抗拔桩时,应采用长芯或等芯复合桩。单桩竖向抗拔承载力特征值的确定应符合下列规定:
1 单桩竖向抗拔承载力特征值应根据单桩竖向抗拔载荷试验确定;
2 初步设计时,可按式(4.3.5-1)~式(4.3.5-3)估算,并取其中的小值;
1)群桩呈非整体破坏,且破坏面位于内、外芯界面时,单桩竖向抗拔承载力特征值可按下式估算:

式中:T ua ——群桩呈非整体破坏时劲性复合桩单桩竖向抗拔承载力特征值(kN);
λ c ——劲性复合桩复合段内芯抗拔系数,宜按地区经验取值。无地区经验时,可取0.70~0.90;
λ j ——非复合段内芯第j土层抗拔系数,宜按地区经验取值。无地区经验时可根据土的类别按表4.3.5取值;
2)群桩呈非整体破坏,且破坏面位于外芯和桩周土的界面时,单桩竖向抗拔承载力特征值可按下式估算:

式中:λ——为劲性复合桩复合段外芯抗拔系数,宜按地区经验取值,无地区经验时可根据土的类别按表4.3.5取值;
3)群桩呈整体破坏时,单桩竖向抗拔力特征值可按下式估算:

式中:T ga ——群桩呈整体破坏时劲性复合桩单桩竖向抗拔承载力特征值(kN);
U、U c ——分别为桩群复合段外芯外围周长和桩群复合段内芯外围周长(m);
n——群桩的桩数。
表4.3.5 抗 拔 系 数

4.3.6 劲性复合桩的水平承载力特征值应根据现场水平载荷试验确定。
4.4 复合地基设计
4.4 复合地基设计
4.4.1 劲性复合桩作为复合地基增强体时应符合下列规定:
1 应选用散柔复合桩、散刚复合桩、柔刚复合桩或三元复合桩;
2 劲性复合桩复合地基设计时宜在基础范围内布桩;
3 劲性复合桩的置换率应根据设计要求的复合地基承载力、地基土特性、施工工艺等确定,桩间距不宜小于3倍内芯直径。
4.4.2 劲性复合桩的长度应根据上部结构对承载力和变形的要求确定,宜穿透软弱土层到达承载力相对较高的土层;为提高抗滑稳定性而设置的劲性复合桩,其桩底标高应低于处理后最危险滑动面以下2m。
4.4.3 劲性复合桩复合地基承载力特征值确定应符合下列规定:
1 复合地基承载力特征值应根据单桩复合地基或多桩复合地基载荷试验确定;
2 初步设计时,复合地基承载力特征值可按下式估算:

式中:f spk ——复合地基承载力特征值(kPa);
λ——单桩承载力发挥系数,应按地区经验取值,无经验时可取0.95~1.0;
m——面积置换率;
R a ——单桩竖向抗压承载力特征值(kN);
β——桩间土承载力发挥系数,应按地区经验取值,无经验时可取0.8~1.0;
f sk ——处理后桩间土承载力特征值(kPa),应按地区经验确定;无试验资料时可取天然地基承载力特征值。
4.4.4 劲性复合桩单桩竖向抗压承载力特征值应根据单桩载荷试验确定,初步设计时,散刚复合桩、柔刚复合桩和三元复合桩可按本规程第4.3.2条规定估算,散柔复合桩可按下列公式估算,并应取计算结果的小值:

式中:q sia ——散柔复合桩复合段第i土层侧阻力特征值(kPa),宜按地区经验取值。无经验时,可按本规程表4.3.2-1取值;
q sja ——散柔复合桩非复合段第j土层侧阻力特征值(kPa),宜按地区经验取值。无经验时,可按现行行业标准《建筑地基处理技术规范》JGJ 79的规定取值;
q pa ——散柔复合桩端阻力特征值(kPa),宜按地区经验取值。也可取桩端地基土未经修正的承载力特征值;
ξ si ——散柔复合桩第i土层侧阻力调整系数,宜按地区经验取值。无经验时,可按本规程表4.3.2-2中相应值的0.9倍取值;
ξ p ——散柔复合桩端阻力调整系数,宜按地区经验取值。无经验时,对非复合的桩端应取1.0,对复合的桩端宜取1.1~1.5;
α——散柔复合桩桩端地基土承载力折减系数,对非复合的桩端可取0.40~0.60,对复合段桩端可取0.6~0.8;
η——桩身强度折减系数,可取0.25~0.35;
f cu ——与散柔复合桩桩身材料配比相同的室内加固土边长为70.7mm或50.0mm的立方体试块,在标准养护条件下90d龄期的立方体抗压强度平均值(kPa)。
4.4.5 劲性复合桩处理深度范围以下存在软弱下卧层时,应按现行国家标准《复合地基技术规范》GB/T 50783的有关规定进行下卧层承载力验算。
4.4.6 复合地基的变形应为复合土层的平均压缩变形与桩端下未加固土层的压缩变形之和。可按现行国家标准《复合地基技术规范》GB/T 50783的有关规定进行计算。
4.4.7 劲性复合桩桩顶和基础之间应设置褥垫层。褥垫层材料宜用中砂、粗砂或级配砂石,碎石最大粒径不宜大于30mm。褥垫层的厚度宜取150mm~300mm,当桩径大或桩距大时褥垫层厚度宜取大值。
条文说明
4.4.7由于劲性复合桩的刚度较大,单桩承载力较高,应在劲性复合桩桩顶和基础之间设置褥垫层。褥垫层在复合地基中有如下作用:(1)保证桩、土共同承担荷载,它是劲性复合桩形成复合地基的重要条件;(2)通过改变褥垫层厚度,调整桩垂直荷载的分担,通常褥垫层越薄,桩承担的荷载占总荷载的百分比越高;(3)减少基础底面的应力集中;(4)调整桩、土水平荷载的分担,褥垫层越厚,土分担的水平荷载占总荷载的百分比越大,桩分担的水平荷载占总荷载的百分比越小;对抗震设防区,不宜采用厚度过薄的褥垫层设计;(5)褥垫层的设置,可使桩间土承载力充分发挥,作用在桩间土表面的荷载在桩侧的土单元体产生竖向和水平的附加应力,水平向附加应力作用在桩表面具有增大侧阻的作用,在桩端产生的竖向附加应力对提高单桩承载力是有益的。
5 施工
5.1 一般规定
5 施 工
5.1 一般规定
5.1.1 散体桩和柔性桩施工应符合现行行业标准《建筑地基处理技术规范》JGJ 79的有关规定。
5.1.2 刚性桩施工应符合下列规定:
1 当刚性桩采用混凝土预制桩、钢桩或灌注桩时,应符合现行行业标准《建筑桩基技术规范》JGJ 94的有关规定;
2 当刚性桩采用水泥粉煤灰碎石桩时,应符合现行行业标准《建筑地基处理技术规范》JGJ 79的有关规定。
5.1.3 劲性复合桩施工前应进行成桩工艺试验,数量不得少于3根。当成桩质量不能满足设计要求时,应在调整设计与施工有关参数后,重新进行试验。
条文说明
5.1.3每个劲性复合桩的施工现场,由于土质有差异、桩身材料多样、复合桩的类型较多、施工工序较复杂,因而复合桩的质量有较大的差别。所以在正式施工前,均应按施工组织设计确定的施工工艺制作数根工艺性试桩,再最后确定设计施工参数。
5.1.4 劲性复合桩中各单体桩桩位的允许偏差应为±10mm,散柔复合桩的垂直度允许偏差应为1%,散刚复合桩、柔刚复合桩与三元复合桩的垂直度允许偏差应为0.5%。
5.2 施工准备
5.2 施工准备
5.2.1 施工前应具备下列资料:
1 岩土工程勘察报告、建筑物平面布置图、桩位布置图及技术要求;
2 砂、石、水泥、石灰、粉煤灰、钢材等原材料的产品合格证书及抽样送检报告;
3 砂石配比、水泥土配比、混凝土配比试验资料;
4 预制混凝土方桩、先张法预应力管桩、钢桩等成品桩产品合格证书及现场抽样检验资料;
5 试验性施工资料;
6 平面及高程引测点资料;
7 邻近建(构)筑物和地下设施类型、分布及结构质量情况;
8 专项施工方案。
5.2.2 施工前应平整场地并清除地上和地下障碍物,当表层土松软时应碾压夯实;场地平整后应测量场地平面标高,桩顶设计标高以上宜预留300mm~500mm土层。
5.2.3 桩定位前应按单个建(构)筑物设置轴线定位点及水准基点,并应采取措施加以保护。后施工的桩应重新定位。
5.2.4 施工前应检查施工机械设备的工作性能及各种计量装置的完好程度。
5.3 施工工艺
5.3 施工工艺
5.3.1 散柔复合桩施工时,宜先施工散体桩,再施工柔性桩。
条文说明
5.3.1散柔复合桩施工时,一般在散体桩施工完成后再施工柔性桩,施工的散体桩数量可多于拟施工的散柔复合桩数量。“细而密”的散体桩缩短了排水路径,能及时消散后期搅拌桩施工时产生的超孔隙水压力,有利于桩间软土排水固结,并使散体材料、水泥等固化剂与土体充分搅拌成均匀且强度较高的复合桩体。
5.3.2 散柔复合桩也可选用下列工艺施工:
1 预混工艺:将砂与水泥预混后进行现场成桩;
2 先砂后粉工艺:用粉喷桩机先喷干细砂搅拌,再喷水泥粉体搅拌成桩;
3 先粉后砂工艺:用粉喷桩机先喷水泥粉体搅拌,再喷干细砂搅拌成桩;
4 双喷工艺:将水泥粉体和干砂从两个喷口喷入土中搅拌成桩。
5.3.3 散刚复合桩施工时,宜在原地用同一桩机,先施工散体桩,再施工刚性桩。当土层松软时,散体桩宜采用复打或扩底工艺。
条文说明
5.3.3散刚复合桩施工时,宜采用同一桩机,先施工散体桩再施工刚性桩。施工时,一般采用振动沉管打桩机施工散体桩,当散体桩施工完成后,采用同一桩机复打刚性桩,直径与散体桩相等,形成散刚复合桩。当土质松软时,散体桩要采取复打或扩底工艺,提高密实度增强承载力。
5.3.4 散刚复合桩施工时,可将桩管沉至设计深度后,置入预制混凝土桩,并在其周边灌注散体材料,拔管后成桩。
5.3.5 柔刚复合桩施工时,宜先施工柔性桩,再施工刚性桩。刚性桩施工宜在柔性桩施工后6h内进行。
条文说明
5.3.5柔刚复合桩施工时,宜先施工柔性桩,再施工刚性桩。一般情况下宜在柔性桩施工后6h内施工刚性桩。因为柔性桩所用材料主要是胶结材料,在柔性桩硬化前施工刚性桩可以提高柔性桩与刚性桩的握裹力。
5.3.6 三元复合桩施工宜先打散体桩,后打柔性桩,形成散柔复合桩,再在散柔复合桩中施工刚性桩。刚性桩施工宜在散柔性桩施工后6h内进行。
6 质量检测与验收
6.1 成桩质量检查
6 质量检测与验收
6.1 成桩质量检查
6.1.1 劲性复合桩质量应按散体桩、柔性桩、刚性桩三种类型进行检查,应符合国家现行标准《建筑地基基础工程施工质量验收规范》GB 50202、《建筑桩基技术规范》JGJ 94和《建筑地基处理技术规范》JGJ 79的有关规定。
6.1.2 劲性复合桩施工过程中应随时检查施工记录,出现异常情况应及时处理。
条文说明
6.1.2劲性复合桩施工过程中应检查每道工序的施工记录,对施工中出现的异常情况的桩,应及时会同设计及有关单位进行及时处理。
6.1.3 基槽开挖后应检查桩位、内外芯中心偏差、桩径、桩顶标高、桩顶质量、桩数、坑(槽)底土质情况。
6.2 承载力检测
6.2 承载力检测
6.2.1 劲性复合桩应在成桩21d后进行承载力检测,试验应在设计标高处进行,每个单体工程的检测数量不应少于工程桩总数的1%,且不应少于3根(组)。
条文说明
6.2.1劲性复合桩集置换、排水排气固结、胶结、压密、充填、挤密、互补增强等作用于一体,可有效避免对桩间土的结构扰动,可在成桩21d后进行静荷载试验,
6.2.2 劲性复合桩单桩载荷试验的压板尺寸应与劲性复合桩截面尺寸一致。
条文说明
6.2.2在复合桩单桩载荷试验时,宜对桩顶进行保护,可在桩顶部位设置桩帽,避免试验时压碎或损伤桩顶。
6.2.3 劲性复合桩复合地基载荷试验应符合现行行业标准《建筑地基处理技术规范》JGJ 79的有关规定。压板尺寸应根据设计置换率确定。按相对变形值确定复合地基承载力特征值时,对散柔复合桩可取沉降与压板边长或直径的比值等于0.007所对应的压力值,对柔刚复合桩和散刚复合桩可取沉降与压板边长或直径的比值等于0.008所对应的压力值,对三元复合桩可取沉降与压板边长或直径的比值等于0.009所对应的压力值。
条文说明
6.2.3按相对变形值确定各类型劲性复合桩复合地基承载力特征值时,s/b取值是根据长期工程实践经验并参照行业标准《建筑地基处理技术规范》JGJ79的相关规定确定了取值范围。
6.3 工程验收
6.3 工程验收
6.3.1 劲性复合桩工程验收应在基坑(槽)开挖后进行,验收合格后方可进行下道工序施工。
6.3.2 劲性复合桩工程验收应包括下列资料:
1 设计文件、施工图以及设计变更通知书;
2 岩土工程勘察报告;
3 开工报告;
4 图纸会审记录;
5 技术交底文件;
6 试验性施工记录;
7 施工组织设计或施工方案;
8 原材料或成品桩的产品合格证书及抽样检验资料、材料配比试验资料、样桩的位置等;预制桩芯桩、钢桩芯桩产品质量合格证,原材料的质量合格证和质量鉴定文件;
9 施工记录及隐蔽工程验收文件;
10 桩体质量检查记录、取样送检记录及试验报告等;
11 施工过程中质量问题处理记录;
12 桩位、桩顶标高、垂直度实测记录;
13 载荷试验报告、桩身完整性检测报告;
14 工程竣工图,补桩记录等;
15 竣工报告;
16 工程质量控制资料核查记录;
17 工程质量验收报告。
本规程用词说明
本规程用词说明
1 为了便于在执行本规程条文时区别对待,对于要求严格程度不同的用词说明如下:
1)表示很严格,非这样做不可的:
正面词采用“必须”,反面词采用“严禁”;
2)表示严格,在正常情况下均应这样做的:
正面词采用“应”,反面词采用“不应”或“不得”;
3)表示允许稍有选择,在条件允许时首先应这样做的:
正面词采用“宜”,反面词采用“不宜”;
4)表示有选择,在一定条件下可以这样做的,采用“可”。
2 条文中指明应按其他有关标准执行的写法为:“应符合……的规定”或“应按……的执行”。
引用标准名录
引用标准名录
1《建筑地基基础设计规范》GB 50007
2《建筑地基基础工程施工质量验收规范》GB 50202
3《复合地基技术规范》GB/T 50783
4《建筑地基处理技术规范》JGJ 79
5《建筑桩基技术规范》JGJ 94
