Appearance
《高层建筑混凝土结构技术规程》JGJ 3-2010
🗓️ 住房和城乡建设部 实施时间:2011-10-01
1 总 则
1.0.1 为在高层建筑工程中合理应用混凝土结构(包括钢和混凝土的混合结构),做到安全适用、技术先进、经济合理、方便施工,制定本规程。
条文说明
1.0.1 20世纪90年代以来,我国混凝土结构高层建筑迅速发展,钢筋混凝土结构体系积累了很多工程经验和科研成果,钢和混凝土的混合结构体系也积累了不少工程经验和研究成果。从2002版规程开始,除对钢筋混凝土高层建筑结构的条款进行补充修订外,又增加了钢和混凝土混合结构设计规定,并将规程名称《钢筋混凝土高层建筑结构设计与施工规程》JGJ 3-91更改为《高层建筑混凝土结构技术规程》JGJ 3-2002(以下简称02规程)。
1.0.2 本规程适用于10层及10层以上或房屋高度大于28m的住宅建筑以及房屋高度大于24m的其他高层民用建筑混凝土结构。非抗震设计和抗震设防烈度为6至9度抗震设计的高层民用建筑结构,其适用的房屋最大高度和结构类型应符合本规程的有关规定。
本规程不适用于建造在危险地段以及发震断裂最小避让距离内的高层建筑结构。
条文说明
1.0.2 02规程适用于10层及10层以上或房屋高度超过28m的高层民用建筑结构。本次修订将适用范围修改为10层及10层以上或房屋高度超过28m的住宅建筑,以及房屋高度大于24m的其他高层民用建筑结构,主要是为了与我国现行有关标准协调。 现行国家标准《民用建筑设计通则》GB 50352规定:10层及10层以上的住宅建筑和建筑高度大于24m的其他民用建筑(不含单层公共建筑)为高层建筑;《高层民用建筑设计防火规范》GB50045(2005年版)规定10层及10层以上的居住建筑和建筑高度超过24m的公共建筑为高层建筑。本规程修订后的适用范围与上述标准基本协调。针对建筑结构专业的特点,对本条的适用范围补充说明如下: 1 有的住宅建筑的层高较大或底部布置层高较大的商场等公共服务设施,其层数虽然不到10层,但房屋高度已超过28m,这些住宅建筑仍应按本规程进行结构设计。 2 高度大于24m的其他高层民用建筑结构是指办公楼、酒店、综合楼、商场、会议中心、博物馆等高层民用建筑,这些建筑中有的层数虽然不到10层,但层高比较高,建筑内部的空间比较大,变化也多,为适应结构设计的需要,有必要将这类高度大于24m的结构纳入到本规程的适用范围。至于高度大于24m的体育场馆、航站楼、大型火车站等大跨度空间结构,其结构设计应符合国家现行有关标准的规定,本规程的有关规定仅供参考。 本条还规定,本规程不适用于建造在危险地段及发震断裂最小避让距离之内的高层建筑。大量地震震害及其他自然灾害表明,在危险地段及发震断裂最小避让距离之内建造房屋和构筑物较难幸免灾祸;我国也没有在危险地段和发震断裂的最小避让距离内建造高层建筑的工程实践经验和相应的研究成果,本规程也没有专门条款。发震断裂的最小避让距离应符合现行国家标准《建筑抗震设计规范》GB 50011的有关规定。
1.0.3 抗震设计的高层建筑混凝土结构,当其房屋高度、规则性、结构类型等超过本规程的规定或抗震设防标准等有特殊要求时,可采用结构抗震性能设计方法进行补充分析和论证。
条文说明
1.0.3 02规程第1.0.3条关于抗震设防烈度的规定,本次修订移至第3.1节。 本条是新增内容,提出了对有特殊要求的高层建筑混凝土结构可采用抗震性能设计方法进行分析和论证,具体的抗震性能设计方法见本规程第3.11节。 近几年,结构抗震性能设计已在我国“超限高层建筑工程”抗震设计中比较广泛地采用,积累了不少经验。国际上,日本从1981年起已将基于性能的抗震设计原理用于高度超过60m的高层建筑。美国从20世纪90年代陆续提出了一些有关抗震性能设计的文件(如ATC40、FEMA356、ASCE41等),近几年由洛杉矶市和旧金山市的重要机构发布了新建高层建筑(高度超过160英尺、约49m)采用抗震性能设计的指导性文件:“洛杉矶地区高层建筑抗震分析和设计的另一种方法”洛杉矶高层建筑结构设计委员会(LATBSDC)2008年;“使用非规范传统方法的新建高层建筑抗震设计和审查的指导准则”北加利福尼亚结构工程师协会(SEAONC)2007年4月为旧金山市建议的行政管理公报。2008年美国,“国际高层建筑及都市环境委员会(CT-BUH)”发表了有关高层建筑(高度超过50m)抗震性能设计的建议。高层建筑采用抗震性能设计已是一种趋势。正确应用性能设计方法将有利于判断高层建筑结构的抗震性能,有针对性地加强结构的关键部位和薄弱部位,为发展安全、适用、经济的结构方案提供创造性的空间。本条规定仅针对有特殊要求且难以按本规程规定的常规设计方法进行抗震设计的高层建筑结构,提出可采用抗震性能设计方法进行分析和论证。条文中提出的房屋高度、规则性、结构类型或抗震设防标准等有特殊要求的高层建筑混凝土结构包括:“超限高层建筑结构”,其划分标准参见原建设部发布的《超限高层建筑工程抗震设防专项审查技术要点》;有些工程虽不属于“超限高层建筑结构”,但由于其结构类型或有些部位结构布置的复杂性,难以直接按本规程的常规方法进行设计;还有一些位于高烈度区(8度、9度)的甲、乙类设防标准的工程或处于抗震不利地段的工程,出现难以确定抗震等级或难以直接按本规程常觌方法进行设计的情况。为适应上述工程抗震设计的需要,本规程提出了抗震性能设计的基本方法。
1.0.4 高层建筑结构应注重概念设计,重视结构的选型和平面、立面布置的规则性,加强构造措施,择优选用抗震和抗风性能好且经济合理的结构体系。在抗震设计时,应保证结构的整体抗震性能,使整体结构具有必要的承载能力、刚度和延性。
条文说明
1.0.4 02规程第1.0.4条本次修订移至第3.1节,本条为02规程第1.0.5条,作了部分文字修改。 注重高层建筑的概念设计,保证结构的整体性,是国内外历次大地震及风灾的重要经验总结。概念设计及结构整体性能是决定高层建筑结构抗震、抗风性能的重要因素,若结构严重不规则、整体性差,则按目前的结构设计及计算技术水平,较难保证结构的抗震、抗风性能,尤其是抗震性能。
1.0.5 高层建筑混凝土结构设计与施工,除应符合本规程外,尚应符合国家现行有关标准的规定。
条文说明
1.0.5本条是02规程第1.0.6条。
2 术语和符号
2.1 术 语
2.1.1 高层建筑 tall building,high-rise building
10层及10层以上或房屋高度大于28m的住宅建筑和房屋高度大于24m的其他高层民用建筑。
2.1.2 房屋高度 building height
自室外地面至房屋主要屋面的高度,不包括突出屋面的电梯机房、水箱、构架等高度。
2.1.3 框架结构 frame structure
由梁和柱为主要构件组成的承受竖向和水平作用的结构。
2.1.4 剪力墙结构 shearwall structure
由剪力墙组成的承受竖向和水平作用的结构。
2.1.5 框架-剪力墙结构 frame-shearwall structure
由框架和剪力墙共同承受竖向和水平作用的结构。
2.1.6 板柱-剪力墙结构 slab-column shearwall structure
由无梁楼板和柱组成的板柱框架与剪力墙共同承受竖向和水平作用的结构。
2.1.7 筒体结构 tube structure
由竖向筒体为主组成的承受竖向和水平作用的建筑结构。筒体结构的筒体分剪力墙围成的薄壁筒和由密柱框架或壁式框架围成的框筒等。
2.1.8 框架-核心筒结构 frame-corewall structure
由核心筒与外围的稀柱框架组成的筒体结构。
2.1.9 筒中筒结构 tube in tube structure
由核心筒与外围框筒组成的筒体结构。
2.1.10 混合结构 mixed structure,hybrid structure
由钢框架(框筒)、型钢混凝土框架(框筒)、钢管混凝土框架(框筒)与钢筋混凝土核心筒体所组成的共同承受水平和竖向作用的建筑结构。
2.1.11 转换结构构件 structural transfer member
完成上部楼层到下部楼层的结构形式转变或上部楼层到下部楼层结构布置改变而设置的结构构件,包括转换梁、转换桁架、转换板等。部分框支剪力墙结构的转换梁亦称为框支梁。
2.1.12 转换层 transfer story
设置转换结构构件的楼层,包括水平结构构件及其以下的竖向结构构件。
2.1.13 加强层 story with outriggers and/or belt members
设置连接内筒与外围结构的水平伸臂结构(梁或桁架)的楼层,必要时还可沿该楼层外围结构设置带状水平桁架或梁。
2.1.14 连体结构 towers linked with connective structure(s)
除裙楼以外,两个或两个以上塔楼之间带有连接体的结构。
2.1.15 多塔楼结构 multi-tower structure with a common po-dium
未通过结构缝分开的裙楼上部具有两个或两个以上塔楼的结构。
2.1.16 结构抗震性能设计 performance-based seismic design of structure
以结构抗震性能目标为基准的结构抗震设计。
2.1.17 结构抗震性能目标 seismic performance objectives of structure
针对不同的地震地面运动水准设定的结构抗震性能水准。
2.1.18 结构抗震性能水准 seismic performance levels of structure
对结构震后损坏状况及继续使用可能性等抗震性能的界定。
2.2 符 号
2.2.1 材料力学性能
C20——表示立方体强度标准值为20N/mm2的混凝土强度等级;
Ec——混凝土弹性模量;
Es——钢筋弹性模量;
fck、fc——分别为混凝土轴心抗压强度标准值、设计值;
ftk、ft——分别为混凝土轴心抗拉强度标准值、设计值;
fyk——普通钢筋强度标准值;
fy、f'y——分别为普通钢筋的抗拉、抗压强度设计值;
fyv——横向钢筋的抗拉强度设计值;
fyh、fyw——分别为剪力墙水平、竖向分布钢筋的抗拉强度设计值。
2.2.2 作用和作用效应
FEk——结构总水平地震作用标准值;
FEvk——结构总竖向地震作用标准值;
GE——计算地震作用时,结构总重力荷载代表值;
Geq——结构等效总重力荷载代表值;
M——弯矩设计值;
N——轴向力设计值;
Sd——荷载效应或荷载效应与地震作用效应组合的设计值;
V——剪力设计值;
W0——基本风压;
Wk——风荷载标准值;
ΔFn——结构顶部附加水平地震作用标准值;
Δu——楼层层间位移。
2.2.2 几何参数
as、a's——分别为纵向受拉、受压钢筋合力点至截面近边的距离;
As、A's——分别为受拉区、受压区纵向钢筋截面面积;
Ash——剪力墙水平分布钢筋的全部截面面积;
Asv——梁、柱同一截面各肢箍筋的全部截面面积;
Asw——剪力墙腹板竖向分布钢筋的全部截面面积;
A——剪力墙截面面积;
Aw——T形、I形截面剪力墙腹板的面积;
b——矩形截面宽度;
bb、bc、bw——分别为梁、柱、剪力墙截面宽度;
B——建筑平面宽度、结构迎风面宽度;
d——钢筋直径;桩身直径;
e——偏心距;
e0——轴向力作用点至截面重心的距离;
ei——考虑偶然偏心计算地震作用时,第i层质心的偏移值;
h——层高;截面高度;
h0——截面有效高度;
H——房屋高度;
Hi——房屋第i层距室外地面的高度;
la——非抗震设计时纵向受拉钢筋的最小锚固长度;
lab——受拉钢筋的基本锚固长度;
labE——抗震设计时纵向受拉钢筋的基本锚固长度;
laE——抗震设计时纵向受拉钢筋的最小锚固长度;
s——箍筋间距。
2.2.4 系数
α——水平地震影响系数值;
αmax、αvmax——分别为水平、竖向地震影响系数最大值;
α1——受压区混凝土矩形应力图的应力与混凝土轴心抗压强度设计值的比值;
βc——混凝土强度影响系数;
βz——z高度处的风振系数;
γj——j振型的参与系数;
γEh——水平地震作用的分项系数;
γEv——竖向地震作用的分项系数;
γG——永久荷载(重力荷载)的分项系数;
γw——风荷载的分项系数;
γRE——构件承载力抗震调整系数;
ηp——弹塑性位移增大系数;
λ——剪跨比;水平地震剪力系数;
λv——配箍特征值;
μN——柱轴压比;墙肢轴压比;
μs——风荷载体型系数;
μZ——风压高度变化系数;
ξy——楼层屈服强度系数;
ρsv——箍筋面积配筋率;
ρw——剪力墙竖向分布钢筋配筋率;
ψw——荷载的组合值系数。
2.2.5 其他
T1——结构第一平动或平动为主的自振周期(基本自振周期);
Tt——结构第一扭转振动或扭转振动为主的自振周期;
Tg——场地的特征周期。
条文说明
本章是根据标准编制要求增加的内容。
“高层建筑”大多根据不同的需要和目的而定义,国际、国内的定义不尽相同。国际上诸多国家和地区对高层建筑的界定多在10层以上;我国不同标准中有不同的定义。本规程主要是从结构设计的角度考虑,并与国家有关标准基本协调。
本规程中的“剪力墙(shear wall)”,在现行国家标准《建筑抗震设计规范》GB 50011中称抗震墙,在现行国家标准《建筑结构设计术语和符号标准》GB/T 50083中称结构墙(struc-tural wall)。“剪力墙”既用于抗震结构也用于非抗震结构,这一术语在国外应用已久,在现行国家标准《混凝土结构设计规范》GB 50010中和国内建筑工程界也一直应用。
“筒体结构”尚包括框筒结构、束筒结构等,本规程第9章和第11章主要涉及框架-核心筒结构和筒中筒结构。“转换层”是指设置转换结构构件的楼层,包括水平结构构件及竖向结构构件,“带转换层高层建筑结构”属于复杂结构,部分框支剪力墙结构是其一种常见形式。在部分框支剪力墙结构中,转换梁通常称为“框支梁”,支撑转换梁的柱通常称为“框支柱”。
“连体结构”的连接体一般在房屋的中部或顶部,连接体结构与塔楼结构可采用刚性连接或滑动连接方式。
“多塔楼结构”是在裙楼或大底盘上有两个或两个以上塔楼的结构,是体型收进结构的一种常见例子。一般情况下,在地下室连为整体的多塔楼结构可不作为本规程第10.6节规定的复杂结构,但地下室顶板设计宜符合本规程10.6节多塔楼结构设计的有关规定。
“混合结构”包括内容较多,本规程主要涉及高层建筑中常用的钢和混凝土混合结构,包括钢框架(框筒)、型钢混凝土框架(框筒)、钢管混凝土框架(框筒)与钢筋混凝土筒体所组成的共同承受竖向和水平作用的框架-核心筒结构和筒中筒结构,后者是本次修订增加的内容。
3 结构设计基本规定
3.1 一般规定
3.1.1 高层建筑的抗震设防烈度必须按照国家规定的权限审批、颁发的文件(图件)确定。一般情况下,抗震设防烈度应采用根据中国地震动参数区划图确定的地震基本烈度。
条文说明
3.1.1 本条是02规程的第1.0.3条。抗震设防烈度是按国家规定权限批准作为一个地区抗震设防依据的地震烈度,一般情况下取50年内超越概率为10%的地震烈度,我国目前分为6、7、8、9度,与设计基本地震加速度一一对应见表1。

3.1.2 抗震设计的高层混凝土建筑应按现行国家标准《建筑工程抗震设防分类标准》GB 50223的规定确定其抗震设防类别。
注:本规程中甲类建筑、乙类建筑、丙类建筑分别为现行国家标准《建筑工程抗震设防分类标准》GB 50223中特殊设防类、重点设防类、标准设防类的简称。
条文说明
3.1.2 本条是02规程第1.0.4条的修改。建筑工程的抗震设防分类,是根据建筑遭遇地震破坏后,可能造成人员伤亡、直接和间接经济损失、社会影响程度以及建筑在抗震救灾中的作用等因素,对各类建筑所作的抗震设防类别划分,具体分为特殊设防类、重点设防类、标准设防类、适度设防类,分别简称甲类、乙类、丙类和丁类。建筑抗震设防分类的划分应符合现行国家标准《建筑工程抗震设防分类标准》GB 50223的规定。
3.1.3 高层建筑混凝土结构可采用框架、剪力墙、框架-剪力墙、板柱-剪力墙和筒体结构等结构体系。
条文说明
3.1.3 高层建筑结构应根据房屋高度和高宽比、抗震设防类别、抗震设防烈度、场地类别、结构材料和施工技术条件等因素考虑其适宜的结构体系。 目前,国内大量的高层建筑结构采用四种常见的结构体系:框架、剪力墙、框架-剪力墙和筒体,因此本规程分章对这四种结构体系的设计作了比较详细的规定,以适应量大面广的工程设计需要。 框架结构中不包括板柱结构(无剪力墙或筒体),因为这类结构侧向刚度和抗震性能较差,目前研究工作不充分、工程实践经验不多,暂未列入规程;此外,由L形、T形、Z形或十字形截面(截面厚度一般为180mm~300mm)构成的异形柱框架结构,目前已有行业标准《混凝土异形柱结构技术规程》JGJ 149,本规程也不需列入。 剪力墙结构包括部分框支剪力墙结构(有部分框支柱及转换结构构件)、具有较多短肢剪力墙且带有筒体或一般剪力墙的剪力墙结构。 板柱-剪力墙结构的板柱指无内部纵梁和横梁的无梁楼盖结构。由于在板柱框架体系中加入了剪力墙或筒体,主要由剪力墙构件承受侧向力,侧向刚度也有很大的提高。这种结构目前在国内外高层建筑中有较多的应用,但其适用高度宜低于框架-剪力墙结构。有震害表明,板柱结构的板柱节点破坏较严重,包括板的冲切破坏或柱端破坏。 筒体结构在20世纪80年代后在我国已广泛应用于高层办公建筑和高层旅馆建筑。由于其刚度较大、有较高承载能力,因而在层数较多时有较大优势。多年来,我国已经积累了许多工程经验和科研成果,在本规程中作了较详细的规定。 一些较新颖的结构体系(如巨型框架结构、巨型桁架结构、悬挂结构等),目前工程较少、经验还不多,宜针对具体工程研究其设计方法,待积累较多经验后再上升为规程的内容。
3.1.4 高层建筑不应采用严重不规则的结构体系,并应符合下列规定:
1 应具有必要的承载能力、刚度和延性;
2 应避免因部分结构或构件的破坏而导致整个结构丧失承受重力荷载、风荷载和地震作用的能力;
3 对可能出现的薄弱部位,应采取有效的加强措施。
3.1.5 高层建筑的结构体系尚宜符合下列规定:
1 结构的竖向和水平布置宜使结构具有合理的刚度和承载力分布,避免因刚度和承载力局部突变或结构扭转效应而形成薄弱部位;
2 抗震设计时宜具有多道防线。
条文说明
3.1.4、3.1.5 这两条强调了高层建筑结构概念设计原则,宜采用规则的结构,不应采用严重不规则的结构。 规则结构一般指:体型(平面和立面)规则,结构平面布置均匀、对称并具有较好的抗扭刚度;结构竖向布置均匀,结构的刚度、承载力和质量分布均匀、无突变。 实际工程设计中,要使结构方案规则往往比较困难,有时会出现平面或竖向布置不规则的情况。本规程第3.4.3~3.4.7条和第3.5.2~3.5.6条分别对结构平面布置及竖向布置的不规则性提出了限制条件。若结构方案中仅有个别项目超过了条款中规定的“不宜”的限制条件,此结构属不规则结构,但仍可按本规程有关规定进行计算和采取相应的构造措施;若结构方案中有多项超过了条款中规定的“不宜”的限制条件或某一项超过“不宜”的限制条件较多,此结构属特别不规则结构,应尽量避免;若结构方案中有多项超过了条款中规定的“不宜”的限制条件,而且超过较多,或者有一项超过了条款中规定的“不应”的限制条件,则此结构属严重不规则结构,这种结构方案不应采用,必须对结构方案进行调整。 无论采用何种结构体系,结构的平面和竖向布置都应使结构具有合理的刚度、质量和承载力分布,避免因局部突变和扭转效应而形成薄弱部位;对可能出现的薄弱部位,在设计中应采取有效措施,增强其抗震能力;结构宜具有多道防线,避免因部分结构或构件的破坏而导致整个结构丧失承受水平风荷载、地震作用和重力荷载的能力。
3.1.6 高层建筑混凝土结构宜采取措施减小混凝土收缩、徐变、温度变化、基础差异沉降等非荷载效应的不利影响。房屋高度不低于150m的高层建筑外墙宜采用各类建筑幕墙。
条文说明
3.1.6 本条由02规程第4.9.3、4.9. 5条合并修改而成。非荷载效应一般指温度变化、混凝土收缩和徐变、支座沉降等对结构或结构构件产生的影响。在较高的钢筋混凝土高层建筑结构设计中应考虑非荷载效应的不利影响。 高度较高的高层建筑的温度应力比较明显。幕墙包覆主体结构而使主体结构免受外界温度变化的影响,有效地减少了主体结构温度应力的不利影响。幕墙是外墙的一种结构形式,由于面板材料的不同,建筑幕墙可以分为玻璃幕墙、铝板或钢板幕墙、石材幕墙和混凝土幕墙。实际工程中可采用多种材料构成的混合幕墙。
3.1.7 高层建筑的填充墙、隔墙等非结构构件宜采用各类轻质材料,构造上应与主体结构可靠连接,并应满足承载力、稳定和变形要求。
条文说明
3.1.7 本条由02规程第4.9.4、4.9.5、6.1.4条相关内容合并、修改而成。高层建筑层数较多,减轻填充墙的自重是减轻结构总重量的有效措施;而且轻质隔墙容易实现与主体结构的连接构造,减轻或防止随主体结构发生破坏。除传统的加气混凝土制品、空心砌块外,室内隔墙还可以采用玻璃、铝板、不锈钢板等轻质复合墙板材料。非承重墙体无论与主体结构采用刚性连接还是柔性连接,都应按非结构构件进行抗震设计,自身应具有相应的承载力、稳定及变形要求。
为避免主体结构变形时室内填充墙、门窗等非结构构件损坏,较高建筑或侧向变形较大的建筑中的非结构构件应采取有效的连接措施来适应主体结构的变形。例如,外墙门窗采用柔性密封胶条或耐候密封胶嵌缝;室内隔墙选用金属板或玻璃隔墙、柔性密封胶填缝等,可以很好地适应主体结构的变形。
3.2 材 料
3.2.1 高层建筑混凝土结构宜采用高强高性能混凝土和高强钢筋;构件内力较大或抗震性能有较高要求时,宜采用型钢混凝土、钢管混凝土构件。
条文说明
3.2.1 本条是在02规程第3.9.1条基础上修改完成的。当房屋高度大、层数多、柱距大时,由于单柱轴向力很大,受轴压比限制而使柱截面过大,不仅加大自重和材料消耗,而且妨碍建筑功能、浪费有效面积。减小柱截面尺寸通常有采用型钢混凝土柱、钢管混凝土柱、高强度混凝土这三条途径;
采用高强度混凝土可以减小柱截面面积。C60混凝土已广泛采用,取得了良好的效益。
采用高强钢筋可有效减少配筋量,提高结构的安全度。目前我国已经可以大量生产满足结构抗震性能要求的400MPa、500MPa级热轧带肋钢筋和300MPa级热轧光圆钢筋。400MPa、500MPa级热轧带肋钢筋的强度设计值比335MPa级钢筋分别提高20%和45%;300MPa级热轧光圆钢筋的强度设计值比235MPa级钢筋提高28.5%,节材效果十分明显。
型钢混凝土柱截面含型钢一般为5%~8%,可使柱截面面积减小30%左右。由于型钢骨架要求钢结构的制作、安装能力,因此目前较多用在高层建筑的下层部位柱、转换层以下的框支柱等;在较高的高层建筑中也有全部采用型钢混凝土梁、柱的实例。
钢管混凝土可使柱混凝土处于有效侧向约束下,形成三向应力状态,因而延性和承载力提高较多。钢管混凝土柱如用高强混凝土浇筑,可以使柱截面减小至原截面面积的50%左右。钢管混凝土柱与钢筋混凝土梁的节点构造十分重要,也比较复杂。钢管混凝土柱设计及构造可按本规程第11章的有关规定执行。
3.2.2 各类结构用混凝土的强度等级均不应低于C20,并应符合下列规定:
1 抗震设计时,一级抗震等级框架梁、柱及其节点的混凝土强度等级不应低于C30;
2 筒体结构的混凝土强度等级不宜低于C30;
3 作为上部结构嵌固部位的地下室楼盖的混凝土强度等级不宜低于C30;
4 转换层楼板、转换梁、转换柱、箱形转换结构以及转换厚板的混凝土强度等级均不应低于C30;
5 预应力混凝土结构的混凝土强度等级不宜低于C40、不应低于C30
6 型钢混凝土梁、柱的混凝土强度等级不宜低于C30;
7 现浇非预应力混凝土楼盖结构的混凝土强度等级不宜高于C40
8 抗震设计时,框架柱的混凝土强度等级,9度时不宜高于C60,8度时不宜高于C70;剪力墙的混凝土强度等级不宜高于C60。
条文说明
3.2.2 本条针对高层混凝土结构的特点,提出了不同结构部位、不同结构构件的混凝土强度等级最低要求及抗震上限限值,某些结构局部特殊部位混凝土强度等级的要求,在本规程相关条文中作了补充规定。
3.2.3 高层建筑混凝土结构的受力钢筋及其性能应符合现行国家标准《混凝土结构设计规范》GB 50010的有关规定。按一、二、三级抗震等级设计的框架和斜撑构件,其纵向受力钢筋尚应符合下列规定:
1 钢筋的抗拉强度实测值与屈服强度实测值的比值不应小于1.25;
2 钢筋的屈服强度实测值与屈服强度标准值的比值不应大于1.30;
3 钢筋最大拉力下的总伸长率实测值不应小于9%。
条文说明
3.2.3 本条对高层混凝土结构的受力钢筋性能提出了具体要求。
3.2.4 抗震设计时混合结构中钢材应符合下列规定;
1 钢材的屈服强度实测值与抗拉强度实测值的比值不应大于0.85;
2 钢材应有明显的屈服台阶,且伸长率不应小于20%;
3 钢材应有良好的焊接性和合格的冲击韧性。
3.2.5 混合结构中的型钢混凝土竖向构件的型钢及钢管混凝土的钢管宜采用Q345和Q235等级的钢材,也可采用Q390、Q420等级或符合结构性能要求的其他钢材;型钢梁宜采用Q235和Q345等级的钢材。
条文说明
3.2.4、3.2.5 提出了钢-混凝土混合结构中钢材的选用及性能要求。
3.3 房屋适用高度和高宽比
3.3.1 钢筋混凝土高层建筑结构的最大适用高度应区分为A级和B级。A级高度钢筋混凝土乙类和丙类高层建筑的最大适用高度应符合表3.3.1—1的规定,B级高度钢筋混凝土乙类和丙类高层建筑的最大适用高度应符合表3.3.1—2的规定。
平面和竖向均不规则的高层建筑结构,其最大适用高度宜适当降低。

注:1 表中框架不含异形柱框架结构;房屋高度指室外地面至主要屋面高度,不包括局部突出屋面的电梯机房、水箱、构架等高度;
2 部分框支剪力墙结构指地面以上有部分框支剪力墙的剪力墙结构;
3 甲类建筑,6、7、8 度时宜按本地区抗震设法烈度提高一度后符合本表的要求,9 度时应专门研究;
4 框架结构、板柱-剪力墙结构以及 9 度抗震设防的表列其他结构,当房屋高度超过本表数值时,结构设计应有可靠依据,并采取有效措施。

注:1 部分框支剪力墙结构指地面以上有部分框支剪力墙的剪力墙结构;
2 甲类建筑,6、7 度时宜按本地区抗震设法烈度提高一度后符合本表的要求,8 度时应专门研究;
3 当房屋高度超过本表数值时,结构设计应有可靠依据,并采取有效措施。
条文说明
3.3.1 A级高度钢筋混凝土高层建筑指符合表3.3.1—1最大适用高度的建筑,也是目前数量最多,应用最广泛的建筑。当框架-剪力墙、剪力墙及筒体结构的高度超出表3.3.1—1的最大适用高度时,列入B级高度高层建筑,但其房屋高度不应超过表3.3.1—2规定的最大适用高度,并应遵守本规程规定的更严格的计算和构造措施。为保证B级高度高层建筑的设计质量,抗震设计的B级高度的高层建筑,按有关规定应进行超限高层建筑的抗震设防专项审查复核。
对于房屋高度超过A级高度高层建筑最大适用高度的框架结构、板柱-剪力墙结构以及9度抗震设计的各类结构,因研究成果和工程经验尚显不足,在B级高度高层建筑中未予列入。
具有较多短肢剪力墙的剪力墙结构的抗震性能有待进一步研究和工程实践检验,本规程第7.1.8条规定其最大适用高度比普通剪力墙结构适当降低,7度时不应超过100m,8度(0.2g)时不应超过80m、8度(0.3g)时不应超过60m;B级高度高层建筑及9度时A级高度高层建筑不应采用这种结构。
房屋高度超过表3.3.1—2规定的特殊工程,则应通过专门的审查、论证,补充更严格的计算分析,必要时进行相应的结构试验研究,采取专门的加强构造措施。抗震设计的超限高层建筑,可以按本规程第3.11节的规定进行结构抗震性能设计。
框架-核心筒结构中,除周边框架外,内部带有部分仅承受竖向荷载的柱与无梁楼板时,不属于本条所列的板柱-剪力墙结构。本规程最大适用高度表中,框架-剪力墙结构的高度均低于框架-核心筒结构的高度,其主要原因是,框架-核心筒结构的核心筒相对于框架-剪力墙结构的剪力墙较强,核心筒成为主要抗侧力构件,结构设计上也有更严格的要求。
本次修订,增加了8度(0.3g)抗震设防结构最大适用高度的要求;A级高度高层建筑中,除6度外的框架结构最大适用高度适当降低,板柱-剪力墙结构最大适用高度适当增加;取消了在Ⅳ类场地上房屋适用的最大高度应适当降低的规定;平面和竖向均不规则的结构,其适用的最大高度适当降低的用词,由“应”改为“宜”。
对于部分框支剪力墙结构,本条表中规定的最大适用高度已经考虑框支层的不规则性而比全落地剪力墙结构降低,故对于“竖向和平面均不规则”,可指框支层以上的结构同时存在竖向和平面不规则的情况;仅有个别墙体不落地,只要框支部分的设计安全合理,其适用的最大高度可按一般剪力墙结构确定。
3.3.2 钢筋混凝土高层建筑结构的高宽比不宜超过表 3.3.2 的规定。

条文说明
3.3.2 高层建筑的高宽比,是对结构刚度、整体稳定、承载能力和经济合理性的宏观控制;在结构设计满足本规程规定的承载力、稳定、抗倾覆、变形和舒适度等基本要求后,仅从结构安全角度讲高宽比限值不是必须满足的,主要影响结构设计的经济性。因此,本次修订不再区分A级高度和B级高度高层建筑的最大高宽比限值,而统一为表3.3.2,大体上保持了02规程的规定。从目前大多数高层建筑看,这一限值是各方面都可以接受的,也是比较经济合理的。高宽比超过这一限制的是极个别的,例如上海金茂大厦(88层,420m)为7.6,深圳地王大厦(81层,320m)为8.8。
在复杂体型的高层建筑中,如何计算高宽比是比较难以确定的问题。一般情况下,可按所考虑方向的最小宽度计算高宽比,但对突出建筑物平面很小的局部结构(如楼梯间、电梯间等),一般不应包含在计算宽度内;对于不宜采用最小宽度计算高宽比的情况,应由设计人员根据实际情况确定合理的计算方法;对带有裙房的高层建筑,当裙房的面积和刚度相对于其上部塔楼的面积和刚度较大时,计算高宽比的房屋高度和宽度可按裙房以上塔楼结构考虑。
3.4 结构平面布置
3.4.1 在高层建筑的一个独立结构单元内,结构平面形状宜简单、规则,质量、刚度和承载力分布宜均匀。不应采用严重不规则的平面布置。
条文说明
3.4.1 结构平面布置应力求简单、规则,避免刚度、质量和承载力分布不均匀,是抗震概念设计的基本要求。结构规则性解释参见本规程第3.1.4、3.1.5条。
3.4.2 高层建筑宜选用风作用效应较小的平面形状。
条文说明
3.4.2 高层建筑承受较大的风力。在沿海地区,风力成为高层建筑的控制性荷载,采用风压较小的平面形状有利于抗风设计。
对抗风有利的平面形状是简单规则的凸平面,如圆形、正多边形、椭圆形、鼓形等平面。对抗风不利的平面是有较多凹凸的复杂形状平面,如V形、Y形、H形、弧形等平面。
3.4.3 抗震设计的混凝土高层建筑,其平面布置宜符合下列规定:
1 平面宜简单、规则、对称,减少偏心;
2 平面长度不宜过长(图3.4.3),L/B宜符合表3.4.3的要求;


3 平面突出部分的长度l不宜过大、宽度b不宜过小(图3.4.3),l/Bmax、l/b宜符合表3.4.3的要求;
4 建筑平面不宜采用角部重叠或细腰形平面布置。
条文说明
3.4.3 平面过于狭长的建筑物在地震时由于两端地震波输入有位相差而容易产生不规则振动,产生较大的震害,表3.4.3给出了L/B的最大限值。在实际工程中,L/B在6、7度抗震设计时最好不超过4;在8、9度抗震设计时最好不超过3。
平面有较长的外伸时,外伸段容易产生局部振动而引发凹角处应力集中和破坏,外伸部分l/b的限值在表3.4.3中已列出,但在实际工程设计中最好控制l/b不大于1。
角部重叠和细腰形的平面图形(图1),在中央部位形成狭窄部分,在地震中容易产生震害,尤其在凹角部位,因为应力集中容易使楼板开裂、破坏,不宜采用。如采用,这些部位应采取加大楼板厚度、增加板内配筋、设置集中配筋的边梁、配置45°斜向钢筋等方法予以加强。
需要说明的是,表3.4.3中,三项尺寸的比例关系是独立的规定,一般不具有关联性。

3.4.4 抗震设计时,B级高度钢筋混凝土高层建筑、混合结构高层建筑及本规程第10章所指的复杂高层建筑结构,其平面布置应简单、规则,减少偏心。
条文说明
3.4.4 本规程对B级高度钢筋混凝土结构及混合结构的最大适用高度已有所放松,与此相应,对其结构的规则性要求应该更加严格;本规程第10章所指的复杂高层建筑结构,其竖向布置已不规则,对这些结构的平面布置的规则性应提出更高要求。
3.4.5 结构平面布置应减少扭转的影响。在考虑偶然偏心影响的规定水平地震力作用下,楼层竖向构件最大的水平位移和层间位移,A级高度高层建筑不宜大于该楼层平均值的1.2倍,不应大于该楼层平均值的1.5倍;B级高度高层建筑、超过A级高度的混合结构及本规程第10章所指的复杂高层建筑不宜大于该楼层平均值的1.2倍,不应大于该楼层平均值的1.4倍。结构扭转为主的第一自振周期Tt与平动为主的第一自振周期Tl之比,A级高度高层建筑不应大于0.9,B级高度高层建筑、超过A级高度的混合结构及本规程第10章所指的复杂高层建筑不应大于0.85。
注:当楼层的最大层间位移角不大于本规程第3.7.3条规定的限值的40%时,该楼层竖向构件的最大水平位移和层间位移与该楼层平均值的比值可适当放松,但不应大于1.6。
条文说明
3.4.5 本条规定主要是限制结构的扭转效应。国内、外历次大地震震害表明,平面不规则、质量与刚度偏心和抗扭刚度太弱的结构,在地震中遭受到严重的破坏。国内一些振动台模型试验结果也表明,过大的扭转效应会导致结构的严重破坏。
对结构的扭转效应主要从两个方面加以限制:
1 限制结构平面布置的不规则性,避免产生过大的偏心而导致结构产生较大的扭转效应。本条对A级高度高层建筑、B级高度高层建筑、混合结构及本规程第10章所指的复杂高层建筑,分别规定了扭转变形的下限和上限,并规定扭转变形的计算应考虑偶然偏心的影响(见本规程第4.3.3条)。B级高度高层建筑、混合结构及本规程第10章所指的复杂高层建筑的上限值1.4比现行国家标准《建筑抗震设计规范》GB 50011的规定更加严格,但与国外有关标准(如美国规范IBC、UBC,欧洲规范Eurocode-8)的规定相同。
扭转位移比计算时,楼层的位移可取“规定水平地震力”计算,由此得到的位移比与楼层扭转效应之间存在明确的相关性。
“规定水平地震力”一般可采用振型组合后的楼层地震剪力换算的水平作用力,并考虑偶然偏心。水平作用力的换算原则:每一楼面处的水平作用力取该楼面上、下两个楼层的地震剪力差的绝对值;连体下一层各塔楼的水平作用力,可由总水平作用力按该层各塔楼的地震剪力大小进行分配计算。结构楼层位移和层间位移控制值验算时,仍采用CQC的效应组合。
当计算的楼层最大层间位移角不大于本楼层层间位移角限值的40%时,该楼层的扭转位移比的上限可适当放松,但不应大于1.6。扭转位移比为1.6时,该楼层的扭转变形已很大,相当于一端位移为1,另一端位移为4。
2 限制结构的抗扭刚度不能太弱。关键是限制结构扭转为主的第一自振周期Tt与平动为主的第一自振周期Tl之比。当两者接近时,由于振动耦联的影响,结构的扭转效应明显增大。
若周期比Tt/Tl小于0.5,则相对扭转振动效应θr/u一般较小(θ、r分别为扭转角和结构的回转半径,θr表示由于扭转产生的离质心距离为回转半径处的位移,u为质心位移),即使结构的刚度偏心很大,偏心距e达到0.7r,其相对扭转变形θr/u值亦仅为0.2。而当周期比Tt/Tl大于0.85以后,相对扭振效应θr/u值急剧增加。即使刚度偏心很小,偏心距e仅为0.1r,当周期比Tt/Tl等于0.85时,相对扭转变形θr/u值可达0.25;当周期比Tt/Tl接近1时,相对扭转变形θr/u值可达0.5。由此可见,抗震设计中应采取措施减小周期比Tt/Tl值,使结构具有必要的抗扭刚度。如周期比Tt/Tl不满足本条规定的上限值时,应调整抗侧力结构的布置,增大结构的抗扭刚度。
扭转耦联振动的主振型,可通过计算振型方向因子来判断。
在两个平动和一个扭转方向因子中,当扭转方向因子大于0.5时,则该振型可认为是扭转为主的振型。高层结构沿两个正交方向各有一个平动为主的第一振型周期,本条规定的Tl是指刚度较弱方向的平动为主的第一振型周期,对刚度较强方向的平动为主的第一振型周期与扭转为主的第一振型周期Tt的比值,本条未规定限值,主要考虑对抗扭刚度的控制不致过于严格。有的工程如两个方向的第一振型周期与Tt的比值均能满足限值要求,其抗扭刚度更为理想。周期比计算时,可直接计算结构的固有自振特征,不必附加偶然偏心。
高层建筑结构当偏心率较小时,结构扭转位移比一般能满足本条规定的限值,但其周期比有的会超过限值,必须使位移比和周期比都满足限值,使结构具有必要的抗扭刚度,保证结构的扭转效应较小。当结构的偏心率较大时,如结构扭转位移比能满足本条规定的上限值,则周期比一般都能满足限值。
3.4.6 当楼板平面比较狭长、有较大的凹入或开洞时,应在设计中考虑其对结构产生的不利影响。有效楼板宽度不宜小于该层楼面宽度的50%;楼板开洞总面积不宜超过楼面面积的30%;在扣除凹入或开洞后,楼板在任一方向的最小净宽度不宜小于5m,且开洞后每一边的楼板净宽度不应小于2m。
条文说明
3.4.6 目前在工程设计中应用的多数计算分析方法和计算机软件,大多假定楼板在平面内不变形,平面内刚度为无限大,这对于大多数工程来说是可以接受的。但当楼板平面比较狭长、有较大的凹入和开洞而使楼板有较大削弱时,楼板可能产生显著的面内变形,这时宜采用考虑楼板变形影响的计算方法,并应采取相应的加强措施。
楼板有较大凹入或开有大面积洞口后,被凹口或洞口划分开的各部分之间的连接较为薄弱,在地震中容易相对振动而使削弱部位产生震害,因此对凹入或洞口的大小加以限制。设计中应同时满足本条规定的各项要求。以图2所示平面为例,L2不宜小于0.5L1,a1与a2之和不宜小于0.5L2且不宜小于5m,a1和a2均不应小于2m,开洞面积不宜大于楼面面积的30%。

3.4.7 艹字形、井字形等外伸长度较大的建筑,当中央部分楼板有较大削弱时,应加强楼板以及连接部位墙体的构造措施,必要时可在外伸段凹槽处设置连接梁或连接板。
条文说明
3.4.7 高层住宅建筑常采用艹字形、井字形平面以利于通风采光,而将楼电梯间集中配置于中央部位。楼电梯间无楼板而使楼面产生较大削弱,此时应将楼电梯间周边的剩余楼板加厚,并加强配筋。外伸部分形成的凹槽可加拉梁或拉板,拉梁宜宽扁放置并加强配筋,拉梁和拉板宜每层均匀设置。
3.4.8 楼板开大洞削弱后,宜采取下列措施:
1 加厚洞口附近楼板,提高楼板的配筋率,采用双层双向配筋;
2 洞口边缘设置边梁、暗梁;
3 在楼板洞口角部集中配置斜向钢筋。
条文说明
3.4.8 在地震作用时,由于结构开裂、局部损坏和进入弹塑性变形;其水平位移比弹性状态下增大很多。因此,伸缩缝和沉降缝的两侧很容易发生碰撞。1976年唐山地震中,调查了35幢高层建筑的震害,除新北京饭店(缝净宽600mm)外,许多高层建筑都是有缝必碰,轻的装修、女儿墙碰碎,面砖剥落,重的顶层结构损坏,天津友谊宾馆(8层框架)缝净宽达150mm也发生严重碰撞而致顶层结构破坏;2008年汶川地震中也有数多类似震害实例。另外,设缝后,常带来建筑、结构及设备设计上的许多困难,基础防水也不容易处理。近年来,国内较多的高层建筑结构,从设计和施工等方面采取了有效措施后,不设或少设缝,从实践上看来是成功的、可行的。抗震设计时,如果结构平面或竖向布置不规则且不能调整时,则宜设置防震缝将其划分为较简单的几个结构单元。
3.4.9 抗震设计时,高层建筑宜调整平面形状和结构布置,避免设置防震缝。体型复杂、平立面不规则的建筑,应根据不规则程度、地基基础条件和技术经济等因素的比较分析,确定是否设置防震缝。
3.4.10 设置防震缝时,应符合下列规定:
1 防震缝宽度应符合下列规定:
1)框架结构房屋,高度不超过15m时不应小于100mm;超过15m时,6度、7度、8度和9度分别每增加高度5m、4m、3m和2m,宜加宽20mm;
2)框架-剪力墙结构房屋不应小于本款1)项规定数值的70%,剪力墙结构房屋不应小于本款1)项规定数值的50%,且二者均不宜小于100mm。
2 防震缝两侧结构体系不同时,防震缝宽度应按不利的结构类型确定;
3 防震缝两侧的房屋高度不同时,防震缝宽度可按较低的房屋高度确定;
4 8、9度抗震设计的框架结构房屋,防震缝两侧结构层高相差较大时,防震缝两侧框架柱的箍筋应沿房屋全高加密,并可根据需要沿房屋全高在缝两侧各设置不少于两道垂直于防震缝的抗撞墙;
5 当相邻结构的基础存在较大沉降差时,宜增大防震缝的宽度;
6 防震缝宜沿房屋全高设置,地下室、基础可不设防震缝,但在与上部防震缝对应处应加强构造和连接;
7 结构单元之间或主楼与裙房之间不宜采用牛腿托梁的做法设置防震缝,否则应采取可靠措施。
条文说明
3.4.10 抗震设计时,建筑物各部分之间的关系应明确:如分开,则彻底分开;如相连,则连接牢固。不宜采用似分不分、似连不连的结构方案。为防止建筑物在地震中相碰,防震缝必须留有足够宽度。防震缝净宽度原则上应大于两侧结构允许的地震水平位移之和。2008年汶川地震进一步表明,02规程规定的防震缝宽度偏小,容易造成相邻建筑的相互碰撞,因此将防震缝的最小宽度由70mm改为100mm。本条规定是最小值,在强烈地震作用下,防震缝两侧的相邻结构仍可能局部碰撞而损坏。本条规定的防震缝宽度要求与现行国家标准《建筑抗震设计规范》GB 50011是一致的。
天津友谊宾馆主楼(8层框架)与单层餐厅采用了餐厅层屋面梁支承在主框架牛腿上加以钢筋焊接,在唐山地震中由于振动不同步,牛腿拉断、压碎,产生严重震害,证明这种连接方式对抗震是不利的;必须采用时,应针对具体情况,采取有效措施避免地震时破坏。
3.4.11 抗震设计时,伸缩缝、沉降缝的宽度均应符合本规程第3.4.10条关于防震缝宽度的要求。
条文说明
3.4.11 抗震设计时,伸缩缝和沉降缝应留有足够的宽度,满足防震缝的要求。无抗震设防要求时,沉降缝也应有一定的宽度,防止因基础倾斜而顶部相碰的可能性。
3.4.12 高层建筑结构伸缩缝的最大间距宜符合表3.4.12的规定。

条文说明
3.4.12 本条是依据现行国家标准《混凝土结构设计规范》GB 50010制定的。考虑到近年来高层建筑伸缩缝间距已有许多工程超出了表中规定(如北京昆仑饭店为剪力墙结构,总长114m;北京京伦饭店为剪力墙结构,总长138m),所以规定在有充分依据或有可靠措施时,可以适当加大伸缩缝间距。当然,一般情况下,无专门措施时则不宜超过表中规定的数值。
如屋面无保温、隔热措施,或室内结构在露天中长期放置,在温度变化和混凝土收缩的共同影响下,结构容易开裂;工程中采用收缩性较大的混凝土(如矿渣水泥混凝土等),则收缩应力较大,结构也容易产生开裂。因此这些情况下伸缩缝的间距均应比表中数值适当减小。
3.4.13 当采用有效的构造措施和施工措施减小温度和混凝土收缩对结构的影响时,可适当放宽伸缩缝的间距。这些措施可包括但不限于下列方面:
1 顶层、底层、山墙和纵墙端开间等受温度变化影响较大的部位提高配筋率;
2 顶层加强保温隔热措施,外墙设置外保温层;
3 每30m~40m间距留出施工后浇带,带宽800mm~1000mm,钢筋采用搭接接头,后浇带混凝土宜在45d后浇筑;
4 采用收缩小的水泥、减少水泥用量、在混凝土中加入适宜的外加剂;
5 提高每层楼板的构造配筋率或采用部分预应力结构。
条文说明
3.4.13 提高配筋率可以减小温度和收缩裂缝的宽度,并使其分布较均匀,避免出现明显的集中裂缝;在普通外墙设置外保温层是减少主体结构受温度变化影响的有效措施。
施工后浇带的作用在于减少混凝土的收缩应力,并不直接减少使用阶段的温度应力。所以通过后浇带的板、墙钢筋宜断开搭接,以便两部分的混凝土各自自由收缩;梁主筋断开问题较多,可不断开。后浇带应从受力影响小的部位通过(如梁、板1/3跨度处,连梁跨中等部位),不必在同一截面上,可曲折而行,只要将建筑物分开为两段即可。混凝土收缩需要相当长时间才能完成,一般在45d后收缩大约可以完成60%,能更有效地限制收缩裂缝。
3.5 结构竖向布置
3.5.1 高层建筑的竖向体型宜规则、均匀,避免有过大的外挑和收进。结构的侧向刚度宜下大上小,逐渐均匀变化。
条文说明
3.5.1 历次地震震害表明:结构刚度沿竖向突变、外形外挑或内收等,都会产生某些楼层的变形过分集中,出现严重震害甚至倒塌。所以设计中应力求使结构刚度自下而上逐渐均匀减小,体形均匀、不突变。1995年阪神地震中,大阪和神户市不少建筑产生中部楼层严重破坏的现象,其中一个原因就是结构侧向刚度在中部楼层产生突变。有些是柱截面尺寸和混凝土强度在中部楼层突然减小,有些是由于使用要求使剪力墙在中部楼层突然取消,这些都引发了楼层刚度的突变而产生严重震害。柔弱底层建筑物的严重破坏在国内外的大地震中更是普遍存在。
结构竖向布置规则性说明可参阅本规程第3.1.4、3.1.5条。
3.5.2 抗震设计时,高层建筑相邻楼层的侧向刚度变化应符合下列规定:
1 对框架结构,楼层与其相邻上层的侧向刚度比γ1可按式(3.5.2—1)计算,且本层与相邻上层的比值不宜小于0.7,与相邻上部三层刚度平均值的比值不宜小于0.8。

条文说明
3.5.2 正常设计的高层建筑下部楼层侧向刚度宜大于上部楼层的侧向刚度,否则变形会集中于刚度小的下部楼层而形成结构软弱层,所以应对下层与相邻上层的侧向刚度比值进行限制。
本次修订,对楼层侧向刚度变化的控制方法进行了修改。中国建筑科学研究院的振动台试验研究表明,规定框架结构楼层与上部相邻楼层的侧向刚度比γ1不宜小于0.7,与上部相邻三层侧向刚度平均值的比值不宜小于0.8是合理的。 对框架-剪力墙结构、板柱-剪力墙结构、剪力墙结构、框架-核心筒结构、筒中筒结构,楼面体系对侧向刚度贡献较小,当层高变化时刚度变化不明显,可按本条式(3.5.2—2)定义的楼层侧向刚度比作为判定侧向刚度变化的依据,但控制指标也应做相应的改变,一般情况按不小于0.9控制;层高变化较大时,对刚度变化提出更高的要求,按1.1控制;底部嵌固楼层层间位移角结果较小,因此对底部嵌固楼层与上一层侧向刚度变化作了更严格的规定,按1.5控制。
3.5.3 A级高度高层建筑的楼层抗侧力结构的层间受剪承载力不宜小于其相邻上一层受剪承载力的80%,不应小于其相邻上一层受剪承载力的65%;B级高度高层建筑的楼层抗侧力结构的层间受剪承载力不应小于其相邻上一层受剪承载力的75%。
注:楼层抗侧力结构的层间受剪承载力是指在所考虑的水平地震作用方向上,该层全部柱、剪力墙、斜撑的受剪承载力之和。
条文说明
3.5.3 楼层抗侧力结构的承载能力突变将导致薄弱层破坏,本规程针对高层建筑结构提出了限制条件,B级高度高层建筑的限制条件比现行国家标准《建筑抗震设计规范》GB 50011的要求更加严格。
柱的受剪承载力可根据柱两端实配的受弯承载力按两端同时屈服的假定失效模式反算;剪力墙可根据实配钢筋按抗剪设计公式反算;斜撑的受剪承载力可计及轴力的贡献,应考虑受压屈服的影响。
3.5.4 抗震设计时,结构竖向抗侧力构件宜上、下连续贯通。
条文说明
3.5.4 抗震设计时,若结构竖向抗侧力构件上、下不连续,则对结构抗震不利,属于竖向不规则结构。在南斯拉夫斯可比耶地震(1964年)、罗马尼亚布加勒斯特地震(1977年)中,底层全部为柱子、上层为剪力墙的结构大都严重破坏,因此在地震区不应采用这种结构。部分竖向抗侧力构件不连续,也易使结构形成薄弱部位,也有不少震害实例,抗震设计时应采取有效措施。本规程所述底部带转换层的大空间结构就属于竖向不规则结构,应按本规程第10章的有关规定进行设计。
3.5.5 抗震设计时,当结构上部楼层收进部位到室外地面的高度H1与房屋高度H之比大于0.2时,上部楼层收进后的水平尺寸B1不宜小于下部楼层水平尺寸B的75%(图3.5.5a、b);当上部结构楼层相对于下部楼层外挑时,上部楼层水平尺寸Bl不宜大于下部楼层的水平尺寸B的1.1倍,且水平外挑尺寸a不宜大于4m(图3.5.5c、d)。

条文说明
3.5.5 1995年日本阪神地震、2010年智利地震震害以及中国建筑科学研究院的试验研究表明,当结构上部楼层相对于下部楼层收进时,收进的部位越高、收进后的平面尺寸越小,结构的高振型反应越明显,因此对收进后的平面尺寸加以限制。当上部结构楼层相对于下部楼层外挑时,结构的扭转效应和竖向地震作用效应明显,对抗震不利,因此对其外挑尺寸加以限制,设计上应考虑竖向地震作用影响。
本条所说的悬挑结构,一般指悬挑结构中有竖向结构构件的情况。
3.5.6 楼层质量沿高度宜均匀分布,楼层质量不宜大于相邻下部楼层质量的1.5倍。
条文说明
3.5.6 本条为新增条文,规定了高层建筑中质量沿竖向分布不规则的限制条件,与美国有关规范的规定一致。
3.5.7 不宜采用同一楼层刚度和承载力变化同时不满足本规程第3.5.2条和3.5.3条规定的高层建筑结构。
条文说明
3.5.7 本条为新增条文。如果高层建筑结构同一楼层的刚度和承载力变化均不规则,该层极有可能同时是软弱层和薄弱层,对抗震十分不利,因此应尽量避免,不宜采用。
3.5.8 侧向刚度变化、承载力变化、竖向抗侧力构件连续性不符合本规程第3.5.2、3.5.3、3.5.4条要求的楼层,其对应于地震作用标准值的剪力应乘以1.25的增大系数。
条文说明
3.5.8 本条是02规程第5.1.14条修改而成。刚度变化不符合本规程第3.5.2条要求的楼层,一般称作软弱层;承载力变化不符合本规程第3.5.3条要求的楼层,一般可称作薄弱层。为了方便,本规程把软弱层、薄弱层以及竖向抗侧力构件不连续的楼层统称为结构薄弱层。结构薄弱层在地震作用标准值作用下的剪力应适当增大,增大系数由02规程的1.15调整为1.25,适当提高安全度要求。
3.5.9 结构顶层取消部分墙、柱形成空旷房间时,宜进行弹性或弹塑性时程分析补充计算并采取有效的构造措施。
条文说明
3.5.9 顶层取消部分墙、柱而形成空旷房间时,其楼层侧向刚度和承载力可能比其下部楼层相差较多,是不利于抗震的结构,应进行更详细的计算分析,并采取有效的构造措施。如采用弹性或弹塑性时程分析方法进行补充计算、柱子箍筋全长加密配置、大跨度屋面构件要考虑竖向地震产生的不利影响等。
3.6 楼盖结构
3.6.1 房屋高度超过50m时,框架-剪力墙结构、筒体结构及本规程第10章所指的复杂高层建筑结构应采用现浇楼盖结构,剪力墙结构和框架结构宜采用现浇楼盖结构。
条文说明
3.6.1 在目前高层建筑结构计算中,一般都假定楼板在自身平面内的刚度无限大,在水平荷载作用下楼盖只有刚性位移而不变形。所以在构造设计上,要使楼盖具有较大的平面内刚度。再者,楼板的刚性可保证建筑物的空间整体性能和水平力的有效传递。房屋高度超过50m的高层建筑采用现浇楼盖比较可靠。
框架-剪力墙结构由于框架和剪力墙侧向刚度相差较大,因而楼板变形更为显著;主要抗侧力结构剪力墙的间距较大,水平荷载要通过楼面传递,因此框架-剪力墙结构中的楼板应有更良好的整体性。
3.6.2 房屋高度不超过50m时,8、9度抗震设计时宜采用现浇楼盖结构;6、7度抗震设计时可采用装配整体式楼盖,且应符合下列要求:
1 无现浇叠合层的预制板,板端搁置在梁上的长度不宜小于50mm。
2 预制板板端宜预留胡子筋,其长度不宜小于100mm。
3 预制空心板孔端应有堵头,堵头深度不宜小于60mm,并应采用强度等级不低于C20的混凝土浇灌密实。
4 楼盖的预制板板缝上缘宽度不宜小于40mm,板缝大于40mm时应在板缝内配置钢筋,并宜贯通整个结构单元。现浇板缝、板缝梁的混凝土强度等级宜高于预制板的混凝土强度等级。
5 楼盖每层宜设置钢筋混凝土现浇层。现浇层厚度不应小于50mm,并应双向配置直径不小于6mm、间距不大于200mm的钢筋网,钢筋应锚固在梁或剪力墙内。
条文说明
3.6.2 本条是由02规程是第4.5.3、4.5.4条合并修改而成,进一步强调高层建筑楼盖系统的整体性要求。当抗震设防烈度为8、9度时,宜采用现浇楼板,以保证地震力的可靠传递。房屋高度小于50m且为非抗震设计和6、7度抗震设计时,可以采用加现浇钢筋混凝土面层的装配整体式楼板,并应满足相应的构造要求,以保证其整体工作。
唐山地震(1976年)和汶川地震(2008年)震害调查表明:提高装配式楼面的整体性,可以减少在地震中预制楼板坠落伤人的震害。加强填缝构造和现浇叠合层混凝土是增强装配式楼板整体性的有效措施。为保证板缝混凝土的浇筑质量,板缝宽度不应过小。在较宽的板缝中放入钢筋,形成板缝梁,能有效地形成现浇与装配结合的整体楼面,效果显著。
针对目前钢筋混凝土剪力墙结构中采用预制楼板的情况很少,本次修订取消了有关预制板与现浇剪力墙连接的构造要求;预制板在梁上的搁置长度由02规程的35mm增加到50mm,以进一步保证安全。
3.6.3 房屋的顶层、结构转换层、大底盘多塔楼结构的底盘顶层、平面复杂或开洞过大的楼层、作为上部结构嵌固部位的地下室楼层应采用现浇楼盖结构。一般楼层现浇楼板厚度不应小于80mm,当板内预埋暗管时不宜小于100mm;顶层楼板厚度不宜小于120mm,宜双层双向配筋;转换层楼板应符合本规程第10章的有关规定;普通地下室顶板厚度不宜小于160mm;作为上部结构嵌固部位的地下室楼层的顶楼盖应采用梁板结构,楼板厚度不宜小于180mm,应采用双层双向配筋,且每层每个方向的配筋率不宜小于0.25%。
条文说明
3.6.3 重要的、受力复杂的楼板,应比一般层楼板有更高的要求。屋面板、转换层楼板、大底盘多塔楼结构的底盘屋面板、开口过大的楼板以及作为房屋嵌固部位的地下室楼板应采用现浇板,以增强其整体性。顶层楼板应加厚并采用现浇,以抵抗温度应力的不利影响,并可使建筑物顶部约束加强,提高抗风、抗震能力。转换层楼盖上面是剪力墙或较密的框架柱,下部转换为部分框架、部分落地剪力墙,转换层上部抗侧力构件的剪力要通过转换层楼板进行重分配,传递到落地墙和框支柱上去,因而楼板承受较大的内力,因此要用现浇楼板并采取加强措施。一般楼层的现浇楼板厚度在100mm~140mm范围内,不应小于80mm,楼板太薄不仅容易因上部钢筋位置变动而开裂,同时也不便于敷设各类管线。
3.6.4 现浇预应力混凝土楼板厚度可按跨度的1/45~1/50采用,且不宜小于150mm。
条文说明
3.6.4 采用预应力平板可以有效减小楼面结构高度,压缩层高并减轻结构自重;大跨度平板可以增加使用面积,容易适应楼面用途改变。预应力平板近年来在高层建筑楼面结构中应用比较广泛。
为了确定板的厚度,必须考虑挠度、受冲切承载力、防火及钢筋防腐蚀要求等。在初步设计阶段,为控制挠度通常可按跨高比得出板的最小厚度。但仅满足挠度限值的后张预应力板可能相当薄,对柱支承的双向板若不设柱帽或托板,板在柱端可能受冲切承载力不够。因此,在设计中应验算所选板厚是否有足够的抗冲切能力。
3.6.5 现浇预应力混凝土板设计中应采取措施防止或减小主体结构对楼板施加预应力的阻碍作用。
条文说明
3.6.5 楼板是与梁、柱和剪力墙等主要抗侧力结构连接在一起的,如果不采取措施,则施加楼板预应力时,不仅压缩了楼板,而且大部分预应力将加到主体结构上去,楼板得不到充分的压缩应力,而又对梁柱和剪力墙附加了侧向力,产生位移且不安全。 为了防止或减小主体结构刚度对施加楼盖预应力的不利影响,应考虑合理的预应力施工方案。
3.7 水平位移限值和舒适度要求
3.7.1 在正常使用条件下,高层建筑结构应具有足够的刚度,避免产生过大的位移而影响结构的承载力、稳定性和使用要求。
条文说明
3.7.1 高层建筑层数多、高度大,为保证高层建筑结构具有必要的刚度,应对其楼层位移加以控制。侧向位移控制实际上是对构件截面大小、刚度大小的一个宏观指标。 在正常使用条件下,限制高层建筑结构层间位移的主要.目的有两点: 1 保证主结构基本处于弹性受力状态,对钢筋混凝土结构来讲,要避免混凝土墙或柱出现裂缝;同时,将混凝土梁等楼面构件的裂缝数量、宽度和高度限制在规范允许范围之内。 2 保证填充墙、隔墙和幕墙等非结构构件的完好,避免产生明显损伤。 迄今,控制层间变形的参数有三种:即层间位移与层高之比(层间位移角);有害层间位移角;区格广义剪切变形。其中层间位移角是过去应用最广泛,最为工程技术人员所熟知的,原规程JGJ 3—91也采用了这个指标。

如上所述,从结构受力与变形的相关性来看,参数γij即剪切变形较符合实际情况;但就结构的宏观控制而言,参数θi即层间位移角又较简便。 考虑到层间位移控制是一个宏观的侧向刚度指标,为便于设计人员在工程设计中应用,本规程采用了层间最大位移与层高之比△u/h,即层间位移角θ作为控制指标。
3.7.2 正常使用条件下,结构的水平位移应按本规程第4章规定的风荷载、地震作用和第5章规定的弹性方法计算。
条文说明
3.7.2 目前,高层建筑结构是按弹性阶段进行设计的。地震按小震考虑;结构构件的刚度采用弹性阶段的刚度;内力与位移分析不考虑弹塑性变形。因此所得出的位移相应也是弹性阶段的位移,比在大震作用下弹塑性阶段的位移小得多,因而位移的控制指标也比较严。
3.7.3 按弹性方法计算的风荷载或多遇地震标准值作用下的楼层层间最大水平位移与层高之比△u/h宜符合下列规定:
1 高度不大于150m的高层建筑,其楼层层间最大位移与层高之比△u/h不宜大于表3.7.3的限值。

2 高度不小于250m的高层建筑,其楼层层间最大位移与层高之比△u/h从不宜大于1/500。
3 高度在150m~250m之间的高层建筑,其楼层层间最大位移与层高之比△u/h从的限值可按本条第1款和第2款的限值线性插入取用。
注:楼层层间最大位移△u以楼层竖向构件最大的水平位移差计算,不扣除整体弯曲变形。抗震设计时,本条规定的楼层位移计算可不考虑偶然偏心的影响。
条文说明
3.7.3 本规程采用层间位移角△u/h作为刚度控制指标,不扣除整体弯曲转角产生的侧移,即直接采用内力位移计算的位移输出值。 高度不大于150m的常规高度高层建筑的整体弯曲变形相对影响较小,层间位移角△u/h的限值按不同的结构体系在1/550~1/1000之间分别取值。但当高度超过150m时,弯曲变形产生的侧移有较快增长,所以超过250m高度的建筑,层间位移角限值按1/500作为限值。150m~250m之间的高层建筑按线性插入考虑。 本条层间位移角△u/h的限值指最大层间位移与层高之比,第i层的△u/A指第i层和第i-1层在楼层平面各处位移差△ui=ui-ui-1中的最大值。由于高层建筑结构在水平力作用下几乎都会产生扭转,所以△u的最大值一般在结构单元的尽端处。 本次修订,表3.7.3中将“框支层”改为“除框架外的转换层”,包括了框架-剪力墙结构和筒体结构的托柱或托墙转换以及部分框支剪力墙结构的框支层;明确了水平位移限值针对的是风荷载或多遇地震作用标准值作用下结构分析所得到的位移计算值。
3.7.4 高层建筑结构在罕遇地震作用下的薄弱层弹塑性变形验算,应符合下列规定:
1 下列结构应进行弹塑性变形验算:
1)7~9度时楼层屈服强度系数小于0.5的框架结构;
2)甲类建筑和9度抗震设防的乙类建筑结构;
3)采用隔震和消能减震设计的建筑结构;
4)房屋高度大于150m的结构。
2 下列结构宜进行弹塑性变形验算:
1)本规程表4.3.4所列高度范围且不满足本规程第3.5.2—3.5.6条规定的竖向不规则高层建筑结构;
2)7度Ⅲ、Ⅳ类场地和8度抗震设防的乙类建筑结构;
3)板柱-剪力墙结构。
注:楼层屈服强度系数为按构件实际配筋和材料强度标准值计算的楼层受剪承载力与按罕遇地震作用计算的楼层弹性地震剪力的比值。
条文说明
3.7.4 震害表明,结构如果存在薄弱层,在强烈地震作用下,结构薄弱部位将产生较大的弹塑性变形,会引起结构严重破坏甚至倒塌。本条对不同高层建筑结构的薄弱层弹塑性变形验算提出了不同要求,第1款所列的结构应进行弹塑性变形验算,第2款所列的结构必要时宜进行弹塑性变形验算,这主要考虑到高层建筑结构弹塑性变形计算的复杂性。 本次修订,本条第1款增加高度大于150m的结构应验算罕遇地震下结构的弹塑性变形的要求。主要考虑到,150m以上的高层建筑一般都比较重要,数量相对不是很多,且目前结构弹塑性分析技术和软件已有较大发展和进步,适当扩大结构弹塑性分析范围已具备一定条件。
3.7.5 结构薄弱层(部位)层间弹塑性位移应符合下式规定:


条文说明
3.7.5 结构弹塑性位移限值与现行国家标准《建筑抗震设计规范》GB 50011一致。
3.7.6 房屋高度不小于150m的高层混凝土建筑结构应满足风振舒适度要求。在现行国家标准《建筑结构荷载规范》GB 50009规定的10年一遇的风荷载标准值作用下,结构顶点的顺风向和横风向振动最大加速度计算值不应超过表3.7.6的限值。结构顶点的顺风向和横风向振动最大加速度可按现行行业标准《高层民用建筑钢结构技术规程》JGJ 99的有关规定计算,也可通过风洞试验结果判断确定,计算时结构阻尼比宜取0.01~0.02。

条文说明
3.7.6 高层建筑物在风荷载作用下将产生振动,过大的振动加速度将使在高楼内居住的人们感觉不舒适,甚至不能忍受,两者的关系见表2。

对照国外的研究成果和有关标准,要求高层建筑混凝土结构应具有良好的使用条件,满足舒适度的要求,按现行国家标准《建筑结构荷载规范》GB 50009规定的10年一遇的风荷载取值计算或专门风洞试验确定的结构顶点最大加速度。一不应超过本规程表3.7.6的限值,对住宅、公寓。一不大于0.15m/s2,对办公楼、旅馆αmax不大于0.25m/s2。 高层建筑的风振反应加速度包括顺风向最大加速度、横风向最大加速度和扭转角速度。关于顺风向最大加速度和横风向最大加速度的研究工作虽然较多,但各国的计算方法并不统一,互相之间也存在明显的差异。建议可按现行行业标准《高层民用建筑钢结构技术规程》JGJ 99的相关规定进行计算。 本次修订,明确了计算舒适度时结构阻尼比的取值要求。一般情况,对混凝土结构取0.02,对混合结构可根据房屋高度和结构类型取0.01~0.02。
3.7.7 楼盖结构应具有适宜的舒适度。楼盖结构的竖向振动频率不宜小于3Hz,竖向振动加速度峰值不应超过表3.7.7的限值。楼盖结构竖向振动加速度可按本规程附录A计算。

条文说明
3.7.7 本条为新增内容。楼盖结构舒适度控制近20年来已引起世界各国广泛关注,英美等国进行了大量实测研究,颁布了多种版本规程、指南。我国大跨楼盖结构正大量兴起,楼盖结构舒适度控制已成为我国建筑结构设计中又一重要工作内容。 对于钢筋混凝土楼盖结构、钢—混凝土组合楼盖结构(不包括轻钢楼盖结构),一般情况下,楼盖结构竖向频率不宜小于3Hz,以保证结构具有适宜的舒适度,避免跳跃时周围人群的不舒适。,楼盖结构竖向振动加速度不仅与楼盖结构的竖向频率有关,还与建筑使用功能及人员起立、行走、跳跃的振动激励有关。一般住宅、办公、商业建筑楼盖结构的竖向频率小于3Hz时,需验算竖向振动加速度。楼盖结构的振动加速度可按本规程附录A计算,宜采用时程分析方法,也可采用简化近似方法,该方法参考美国应用技术委员会(Applied Technology Council)1999年颁布的设计指南1(ATC Design Guide 1)“减小楼盖振动”(Minimizing Floor Vibration)。舞厅、健身房、音乐厅等振动激励较为特殊的楼盖结构舒适度控制应符合国家现行有关标准的规定。 表3.7.7参考了国际标准化组织发布的ISO 2631—2(1989)标准的有关规定。
3.8 构件承载力设计
3.8.1 高层建筑结构构件的承载力应按下列公式验算:
持久设计状况、短暂设计状况 γ0Sd≤Rd (3.8.1—1)
地震设计状况 Sd≤Rd/γRE (3.8.1—2)
式中:γ0——结构重要性系数,对安全等级为一级的结构构件不应小于1.1,对安全等级为二级的结构构件不应小于1.0;
Sd——作用组合的效应设计值,应符合本规程第5.6.1~5.6.4条的规定;
Rd——构件承载力设计值;
γRE——构件承载力抗震调整系数。 ( 自2022年4月1日起废止该条,点击查看:新规 《混凝土结构通用规范》 GB 55008-2021)
条文说明
3.8.1 本条是高层建筑混凝土结构构件承载力设计的原则规定,采用了以概率理论为基础、以可靠指标度量结构可靠度、以分项系数表达的设计方法。本条仅针对持久设计状况、短暂设计状况和地震设计状况下构件的承载力极限状态设计,与现行国家标准《工程结构可靠性设计统一标准》GB 50153和《建筑抗震设计规范》GB 50011保持一致。偶然设计状况(如抗连续倒塌设计)以及结构抗震性能设计时的承载力设计应符合本规程的有关规定,不作为强制性内容。 结构构件作用组合的效应设计值应符合本规范第5.6.1~5.6.4条规定;结构构件承载力抗震调整系数的取值应符合本规范第3.8.2条及第11.1.7条的规定。由于高层建筑结构的安全等级一般不低于二级,因此结构重要性系数的取值不应小于1.0;按照现行国家标准《工程结构可靠性设计统一标准》GB50153的规定,结构重要性系数不再考虑结构设计使用年限的影响。
3.8.2 抗震设计时,钢筋混凝土构件的承载力抗震调整系数应按表3.8.2采用;型钢混凝土构件和钢构件的承载力抗震调整系数应按本规程第11.1.7条的规定采用。当仅考虑竖向地震作用组合时,各类结构构件的承载力抗震调整系数均应取为1.0。

3.9 抗震等级
3.9.1 各抗震设防类别的高层建筑结构,其抗震措施应符合下列要求:
1 甲类、乙类建筑:应按本地区抗震设防烈度提高一度的要求加强其抗震措施,但抗震设防烈度为9度时应按比9度更高的要求采取抗震措施;当建筑场地为,I类时,应允许仍按本地区抗震设防烈度的要求采取抗震构造措施。
2 丙类建筑:应按本地区抗震设防烈度确定其抗震措施;当建筑场地为I类时,除6度外,应允许按本地区抗震设防烈度降低一度的要求采取抗震构造措施。 ( 自2022年4月1日起废止该条,点击查看:新规 《混凝土结构通用规范》 GB 55008-2021)
条文说明
3.9.1 本条规定了各设防类别高层建筑结构采取抗震措施(包括抗震构造措施)时的设防标准,与现行国家标准《建筑工程抗震设防分类标准》GB 50223的规定一致;I类建筑场地上高层建筑抗震构造措施的放松要求与现行国家标准《建筑抗震设计规范》GB 50011的规定一致。
3.9.2 当建筑场地为Ⅲ、Ⅳ类时,对设计基本地震加速度为0.15g和0.30g的地区,宜分别按抗震设防烈度8度(0.20g)和9度(0.40g)时各类建筑的要求采取抗震构造措施。
条文说明
3.9.2 历次大地震的经验表明,同样或相近的建筑,建造于Ⅰ类场地时震害较轻,建造于Ⅲ、Ⅳ类场地震害较重。对Ⅲ、Ⅳ类场地,本条规定对7度设计基本地震加速度为0.15g以及8度设计基本地震加速度0.30g的地区,宜分别按抗震设防烈度8度(0.20g)和9度(0.40g)时各类建筑的要求采取抗震构造措施,而不提高抗震措施中的其他要求,如按概念设计要求的内力调整措施等。 同样,本规程第3.9.1条对建造在工类场地的甲、乙、丙类建筑,允许降低抗震构造措施,但不降低其他抗震措施要求,如按概念设计要求的内力调整措施等。
3.9.3 抗震设计时,高层建筑钢筋混凝土结构构件应根据抗震设防分类、烈度、结构类型和房屋高度采用不同的抗震等级,并应符合相应的计算和构造措施要求。A级高度丙类建筑钢筋混凝土结构的抗震等级应按表3.9.3确定。当本地区的设防烈度为9度时,A级高度乙类建筑的抗震等级应按特一级采用,甲类建筑应采取更有效的抗震措施。
注:本规程“特一级和一、二、三、四级”即“抗震等级为特一级和一、二、三、四级”的简称。 ( 自2022年4月1日起废止该条,点击查看:新规 《混凝土结构通用规范》 GB 55008-2021) 

3.9.4 抗震设计时,B级高度丙类建筑钢筋混凝土结构的抗震等级应按表3.9.4确定。 ( 自2022年4月1日起废止该条,点击查看:新规 《混凝土结构通用规范》 GB 55008-2021)

条文说明
3.9.3、3.9.4 抗震设计的钢筋混凝土高层建筑结构,根据设防烈度、结构类型、房屋高度区分为不同的抗震等级,采用相应的计算和构造措施。抗震等级的高低,体现了对结构抗震性能要求的严格程度。比一级有更高要求时则提升至特一级,其计算和构造措施比一级更严格。基于上述考虑,A级高度的高层建筑结构,应按表3.9.3确定其抗震等级;甲类建筑9度设防时,应采取比9度设防更有效的措施;乙类建筑9度设防时,抗震等级提升至特一级。B级高度的高层建筑,其抗震等级有更严格的要求,应按表3.9.4采用;特一级构件除符合一级抗震要求外,尚应符合本规程第3.10节的规定以及第10章的有关规定。
抗震等级是根据国内外高层建筑震害、有关科研成果、工程设计经验而划分的。框架-剪力墙结构中,由于剪力墙部分的刚度远大于框架部分的刚度,因此对框架部分的抗震能力要求比纯框架结构可以适当降低。当剪力墙或框架相对较少时,其抗震等级的确定尚应符合本规程第8.1.3条的有关规定。 在结构受力性质与变形方面,框架-核心筒结构与框架-剪力墙结构基本上是一致的,尽管框架-核心筒结构由于剪力墙组成筒体而大大提高了其抗侧力能力,但其周边的稀柱框架相对较弱,设计上与框架-剪力墙结构基本相同。由于框架-核心筒结构的房屋高度一般较高(大于60m),其抗震等级不再划分高度,而统一取用了较高的规定。本次修订,第3.9.3条增加了表注3,对于房屋高度不超过60m的框架-核心筒结构,其作为筒体结构的空间作用已不明显,总体上更接近于框架-剪力墙结构,因此其抗震等级允许按框架-剪力墙结构采用。
3.9.5 抗震设计的高层建筑,当地下室顶层作为上部结构的嵌固端时,地下一层相关范围的抗震等级应按上部结构采用,地下一层以下抗震构造措施的抗震等级可逐层降低一级,但不应低于四级;地下室中超出上部主楼相关范围且无上部结构的部分,其抗震等级可根据具体情况采用三级或四级。
3.9.6 抗震设计时,与主楼连为整体的裙房的抗震等级,除应按裙房本身确定外,相关范围不应低于主楼的抗震等级;主楼结构在裙房顶板上、下各一层应适当加强抗震构造措施。裙房与主楼分离时,应按裙房本身确定抗震等级;
条文说明
3.9.5、3.9.6 这两条是关于地下室及裙楼抗震等级的规定,是对本规程第3.9.3、3.9.4条的补充。 带地下室的高层建筑,当地下室顶板可视作结构的嵌固部位时,地震作用下结构的屈服部位将发生在地上楼层,同时将影响到地下一层;地面以下结构的地震响应逐渐减小。因此,规定地下一层的抗震等级不能降低,而地下一层以下不要求计算地震作用,其抗震构造措施的抗震等级可逐层降低。第3.9.5条中“相关范围”一般指主楼周边外延1~2跨的地下室范围。 第3.9.6条明确了高层建筑的裙房抗震等级要求。当裙楼与主楼相连时,相关范围内裙楼的抗震等级不应低于主楼;主楼结构在裙房顶板对应的上、下各一层受刚度与承载力突变影响较大,抗震构造措施需要适当加强。本条中的“相关范围”,一般指主楼周边外延不少于三跨的裙房结构,相关范围以外的裙房可按裙房自身的结构类型确定抗震等级。裙房偏置时,其端部有较大扭转效应,也需要适当加强。
3.9.7 甲、乙类建筑按本规程第3.9.1条提高一度确定抗震措施时,或Ⅲ、Ⅳ类场地且设计基本地震加速度为0.15g和0.30g的丙类建筑按本规程第3.9.2条提高一度确定抗震构造措施时,如果房屋高度超过提高一度后对应的房屋最大适用高度,则应采取比对应抗震等级更有效的抗震构造措施。
条文说明
3.9.7 根据现行国家标准《建筑工程抗震设防分类标准》GB 50223的规定,甲、乙类建筑应按提高一度查本规程表3.9.3、表3.9.4确定抗震等级(内力调整和构造措施);本规程第3.9.2条规定,当建筑场地为Ⅲ、Ⅳ类时,对设计基本地震加速度为0.15g和0.30g的地区,宜分别按抗震设防烈度8度(0.20g)和9度(0.40g)时各类建筑的要求采取抗震.构造措施;本规程第3.3.1条规定,乙类建筑的钢筋混凝土房屋可按本地区抗震设防烈度确定其适用的最大高度。于是,可能出现甲、乙类建筑或Ⅲ、Ⅳ类场地设计基本地震加速度为0.15g和0.30g的地区高层建筑提高一度后,其高度超过第3.3.1条中对应房屋的最大适用高度,因此按本规程表3.9.3、表3.9.4查抗震等级时可能与高度划分不能一一对应。此时,内力调整不提高,只要求抗震构造措施适当提高即可。
3.10 特一级构件设计规定
3.10.1 特一级抗震等级的钢筋混凝土构件除应符合一级钢筋混凝土构件的所有设计要求外,尚应符合本节的有关规定。
条文说明
3.10.1 特一级构件应采取比一级抗震等级更严格的构造措施,应按本节及第10章的有关规定执行;没有特别规定的,应按一级的规定执行。
3.10.2 特一级框架柱应符合下列规定:
1 宜采用型钢混凝土柱、钢管混凝土柱;
2 柱端弯矩增大系数ηc、柱端剪力增大系数ηvc应增大20%;
3 钢筋混凝土柱柱端加密区最小配箍特征值,应按本规程表6.4.7规定的数值增加0.02采用;全部纵向钢筋构造配筋百分率,中、边柱不应小于1.4%,角柱不应小于1.6%。
3.10.3 特一级框架梁应符合下列规定:
1 梁端剪力增大系数ηvb应增大20%;
2 梁端加密区箍筋最小面积配筋率应增大10%。
3.10.4 特一级框支柱应符合下列规定:
1 宜采用型钢混凝土柱、钢管混凝土柱。
2 底层柱下端及与转换层相连的柱上端的弯矩增大系数取1.8,其余层柱端弯矩增大系数ηc应增大20%;柱端剪力增大系数ηvc应增大20%;地震作用产生的柱轴力增大系数取1.8,但计算柱轴压比时可不计该项增大。
3 钢筋混凝土柱柱端加密区最小配箍特征值λv应按本规程表6.4.7的数值增大0.03采用,且箍筋体积配箍率不应小于1.6%;全部纵向钢筋最小构造配筋百分率取1.6%。
条文说明
3.10.2~3.10.4 对特一级框架梁、框架柱、框支柱的“强柱弱梁”、“强剪弱弯”以及构造配筋提出比一级更高的要求。框架角柱的弯矩和剪力设计值仍应按本规程第6.2.4条的规定,乘以不小于1.1的增大系数。
3.10.5 特一级剪力墙、筒体墙应符合下列规定:
1 底部加强部位的弯矩设计值应乘以1.1的增大系数,其他部位的弯矩设计值应乘以1.3的增大系数;底部加强部位的剪力设计值,应按考虑地震作用组合的剪力计算值的1.9倍采用,其他部位的剪力设计值,应按考虑地震作用组合的剪力计算值的1.4倍采用。
2 一般部位的水平和竖向分布钢筋最小配筋率应取为0.35%,底部加强部位的水平和竖向分布钢筋的最小配筋率应取为0.40%。
3 约束边缘构件纵向钢筋最小构造配筋率应取为1.4%,配箍特征值宜增大20%;构造边缘构件纵向钢筋的配筋率不应小于1.2%。
4 框支剪力墙结构的落地剪力墙底部加强部位边缘构件宜配置型钢,型钢宜向上、下各延伸一层。
5 连梁的要求同一级。
条文说明
3.10.5 本条第1款特一级剪力墙的弯矩设计值和剪力设计值均比一级的要求略有提高,适当增大剪力墙的受弯和受剪承载力;第2、3款对剪力墙边缘构件及分布钢筋的构造配筋要求适当提高;第5款明确特一级连梁的要求同一级,取消了02规程第3.9.2条第5款设置交叉暗撑的要求。
3.11 结构抗震性能设计
3.11.1 结构抗震性能设计应分析结构方案的特殊性、选用适宜的结构抗震性能目标,并采取满足预期的抗震性能目标的措施。
结构抗震性能目标应综合考虑抗震设防类别、设防烈度、场地条件、结构的特殊性、建造费用、震后损失和修复难易程度等各项因素选定。结构抗震性能目标分为A、B、C、D四个等级,结构抗震性能分为1、2、3、4、5五个水准(表3.11.1),每个性能目标均与一组在指定地震地面运动下的结构抗震性能水准相对应。

条文说明
3.11.1 本条规定了结构抗震性能设计的三项主要工作: 1 分析结构方案在房屋高度、规则性、结构类型、场地条件或抗震设防标准等方面的特殊要求,确定结构设计是否需要采用抗震性能设计方法,并作为选用抗震性能目标的主要依据。结构方案特殊性的分析中要注重分析结构方案不符合抗震概念设计的情况和程度。国内外历次大地震的震害经验已经充分说明,抗震概念设计是决定结构抗震性能的重要因素。多数情况下,需要按本节要求采用抗震性能设计的工程,一般表现为不能完全符合抗震概念设计的要求。结构工程师应根据本规程有关抗震概念设计的规定,与建筑师协调,改进结构方案,尽量减少结构不符合概念设计的情况和程度,不应采用严重不规则的结构方案。对于特别不规则结构,可按本节规定进行抗震性能设计,但需慎重选用抗震性能目标,并通过深入的分析论证。 2 选用抗震性能目标。本条提出A、B、C、D四级结构抗震性能目标和五个结构抗震性能水准(1、2、3、4、5),四级抗震性能目标与《建筑抗震设计规范》GB 50011提出结构抗震性能1、2、3、4是一致的。地震地面运动一般分为三个水准,即多遇地震(小震)、设防烈度地震(中震)及预估的罕遇地震(大震)。在设定的地震地面运动下,与四级抗震性能目标对应的结构抗震性能水准的判别准则由本规程第3.11.2条作出规定。 A、B、C、D四级性能目标的结构,在小震作用下均应满足第1抗震性能水准,即满足弹性设计要求;在中震或大震作用下,四种性能目标所要求的结构抗震性能水准有较大的区别。A级性能目标是最高等级,中震作用下要求结构达到第1抗震性能水准,大震作用下要求结构达到第2抗震性能水准,即结构仍处于基本弹性状态;B级性能目标,要求结构在中震作用下满足第2抗震性能水准,大震作用下满足第3抗震性能水准,结构仅有轻度损坏;C级性能目标,要求结构在中震作用下满足第3抗震性能水准,大震作用下满足第4抗震性能水准,结构中度损坏;D级性能目标是最低等级,要求结构在中震作用下满足第4抗震性能水准,大震作用下满足第5性能水准,结构有比较严重的损坏,但不致倒塌或发生危及生命的严重破坏。选用性能目标时,需综合考虑抗震设防类别、设防烈度、场地条件、结构的特殊性、建造费用、震后损失和修复难易程度等因素。鉴于地震地面运动的不确定性以及对结构在强烈地震下非线性分析方法(计算模型及参数的选用等)存在不少经验因素,缺少从强震记录、设计施工资料到实际震害的验证,对结构抗震性能的判断难以十分准确,尤其是对于长周期的超高层建筑或特别不规则结构的判断难度更大,因此在性能目标选用中宜偏于安全一些。例如:特别不规则的、房屋高度超过B级高度很多的高层建筑或处于不利地段的特别不规则结构,可考虑选用A级性能目标;房屋高度超过B级高度较多或不规则性超过本规程适用范围很多时,可考虑选用B级或C级性能目标;房屋高度超过B级高度或不规则性超过适用范围较多时,可考虑选用C级性能目标;房屋高度超过A级高度或不规则性超过适用范围较少时,可考虑选用C级或D级性能目标。结构方案中仅有部分区域结构布置比较复杂或结构的设防标准、场地条件等特殊性,使设计人员难以直接按本规程规定的常规方法进行设计时,可考虑选用C级或D级性能目标。以上仅仅是举些例子,实际工程情况很复杂,需综合考虑各项因素。选择性能目标时,一般需征求业主和有关专家的意见。 3 结构抗震性能分析论证的重点是深入的计算分析和工程判断,找出结构有可能出现的薄弱部位,提出有针对性的抗震加强措施,必要的试验验证,分析论证结构可达到预期的抗震性能目标。一般需要进行如下工作: 1)分析确定结构超过本规程适用范围及不规则性的情况和程度;
2)认定场地条件、抗震设防类别和地震动参数; 3)深入的弹性和弹塑性计算分析(静力分析及时程分析)并判断计算结果的合理性; 4)找出结构有可能出现的薄弱部位以及需要加强的关键部位,提出有针对性的抗震加强措施; 5)必要时还需进行构件、节点或整体模型的抗震试验,补充提供论证依据,例如对本规程未列入的新型结构方案又无震害和试验依据或对计算分析难以判断、抗震概念难以接受的复杂结构方案; 6)论证结构能满足所选用的抗震性能目标的要求。
3.11.2 结构抗震性能水准可按表3.11.2进行宏观判别。

条文说明
3.11.2 本条对五个性能水准结构地震后的预期性能状况,包括损坏情况及继续使用的可能性提出了要求,据此可对各性能水准结构的抗震性能进行宏观判断。本条所说的“关键构件”可由结构工程师根据工程实际情况分析确定。例如:底部加强部位的重要竖向构件、水平转换构件及与其相连竖向支承构件、大跨连体结构的连接体及与其相连的竖向支承构件、大悬挑结构的主要悬挑构件、加强层伸臂和周边环带结构的竖向支承构件、承托上部多个楼层框架柱的腰桁架、长短柱在同一楼层且数量相当时该层各个长短柱、扭转变形很大部位的竖向(斜向)构件、重要的斜撑构件等。
3.11.3 不同抗震性能水准的结构可按下列规定进行设计:
1 第1性能水准的结构,应满足弹性设计要求。在多遇地震作用下,其承载力和变形应符合本规程的有关规定;在设防烈度地震作用下,结构构件的抗震承载力应符合下式规定:

2 第2性能水准的结构,在设防烈度地震或预估的罕遇地震作用下,关键构件及普通竖向构件的抗震承载力宜符合式(3.11.3—1)的规定;耗能构件的受剪承载力宜符合式(3.11.3—1)的规定,其正截面承载力应符合下式规定:

3 第3性能水准的结构应进行弹塑性计算分析。在设防烈度地震或预估的罕遇地震作用下,关键构件及普通竖向构件的正截面承载力应符合式(3.11.3—2)的规定,水平长悬臂结构和大跨度结构中的关键构件正截面承载力尚应符合式(3.11.3—3)的规定,其受剪承载力宜符合式(3.11.3—1)的规定;部分耗能构件进入屈服阶段,但其受剪承载力应符合式(3.11.3—2)的规定。在预估的罕遇地震作用下,结构薄弱部位的层间位移角应满足本规程第3.7.5条的规定。

4 第4性能水准的结构应进行弹塑性计算分析。在设防烈度或预估的罕遇地震作用下,关键构件的抗震承载力应符合式(3.11.3—2)的规定,水平长悬臂结构和大跨度结构中的关键构件正截面承载力尚应符合式(3.11.3—3)的规定;部分竖向构件以及大部分耗能构件进入屈服阶段,但钢筋混凝土竖向构件的受剪截面应符合式(3.11.3—4)的规定,钢-混凝土组合剪力墙的受剪截面应符合式(3.11.3—5)的规定。在预估的罕遇地震作用下,结构薄弱部位的层间位移角应符合本规程第3.7.5条的规定。

5 第5性能水准的结构应进行弹塑性计算分析。在预估的罕遇地震作用下,关键构件的抗震承载力宜符合式(3.11.3—2)的规定;较多的竖向构件进入屈服阶段,但同一楼层的竖向构件不宜全部屈服;竖向构件的受剪截面应符合式(3.11.3—4)或(3.11.3—5)的规定;允许部分耗能构件发生比较严重的破坏;结构薄弱部位的层间位移角应符合本规程第3.7.5条的规定。
条文说明
3.11.3 各个性能水准结构的设计基本要求是判别结构性能水准的主要准则。 第1性能水准结构,要求全部构件的抗震承载力满足弹性设计要求。在多遇地震(小震)作用下,结构的层间位移、结构构件的承载力及结构整体稳定等均应满足本规程有关规定;结构构件的抗震等级不宜低于本规程的有关规定,需要特别加强的构件可适当提高抗震等级,已为特一级的不再提高。在设防烈度(中震)作用下,构件承载力需满足弹性设计要求,如式(3.11.3—1),其中不计入风荷载作用效应的组合,地震作用标准值的构件内力(
)计算中不需要乘以与抗震等级有关的增大系数。 第2性能水准结构的设计要求与第1性能水准结构的差别是,框架梁、剪力墙连梁等耗能构件的正截面承载力只需要满足式(3.11.3—2)的要求,即满足“屈服承载力设计”。“屈服承载力设计”是指构件按材料强度标准值计算的承载力Rk不小于按重力荷载及地震作用标准值计算的构件组合内力。对耗能构件只需验算水平地震作用为主要可变作用的组合工况,式(3.11.3—2)中重力荷载分项系数γg、水平地震作用分项系数γEh及抗震承载力调整系数γRE均取1.0,竖向地震作用分项系数γEv取0.4。
第3性能水准结构,允许部分框架梁、剪力墙连梁等耗能构件正截面承载力进入屈服阶段,受剪承载力宜符合式(3.11.3—2)的要求。竖向构件及关键构件正截面承载力应满足式(3.11.3—2)“屈服承载力设计”的要求;水平长悬臂结构和大跨度结构中的关键构件正截面“屈服承载力设计”需要同时满足式(3.11.3—2)及式(3.11.3—3)的要求。式(3.11.3—3)表示竖向地震为主要可变作用的组合工况,式中重力荷载分项系数γG、竖向地震作用分项系数γEv及抗震承载力调整系数γRE均取1.0,水平地震作用分项系数γEh取0.4;这些构件的受剪承载力宜符合式(3.11.3—1)的要求。整体结构进入弹塑性状态,应进行弹塑性分析。为方便设计,允许采用等效弹性方法计算竖向构件及关键部位构件的组合内力(SGE、
),计算中可适当考虑结构阻尼比的增加(增加值一般不大于0.02)以及剪力墙连梁刚度的折减(刚度折减系数一般不小于0.3)。实际工程设计中,可以先对底部加强部位和薄弱部位的竖向构件承载力按上述方法计算,再通过弹塑性分析校核全部竖向构件均未屈服。
第4性能水准结构,关键构件抗震承载力应满足式(3.11.3—2)“屈服承载力设计”的要求,水平长悬臂结构和大跨度结构中的关键构件抗震承载力需要同时满足式(3.11.3—2)及式(3.11.3—3)的要求;允许部分竖向构件及大部分框架梁、剪力墙连梁等耗能构件进入屈服阶段,但构件的受剪截面应满足截面限制条件,这是防止构件发生脆性受剪破坏的最低要求。式(3.11.3—4)和式(3.11.3—5)中,VGE、
可按弹塑性计算结果取值,也可按等效弹性方法计算结果取值(一般情况下是偏于安全的)。结构的抗震性能必须通过弹塑性计算加以深入分析,例如:弹塑性层间位移角、构件屈服的次序及塑性铰分布、塑性铰部位钢材受拉塑性应变及混凝土受压损伤程度、结构的薄弱部位、整体结构的承载力不发生下降等。整体结构的承载力可通过静力弹塑性方法进行估计。
第5性能水准结构与第4性能水准结构的差别在于关键构件承载力宜满足“屈服承载力设计”的要求,允许比较多的竖向构件进入屈服阶段,并允许部分”梁”等耗能构件发生比较严重的破坏。结构的抗震性能必须通过弹塑性计算加以深入分析,尤其应注意同一楼层的竖向构件不宜全部进入屈服并宜控制整体结构承载力下降的幅度不超过10%。
3.11.4 结构弹塑性计算分析除应符合本规程第5.5.1条的规定外,尚应符合下列规定:
1 高度不超过150m的高层建筑可采用静力弹塑性分析方法;高度超过200m时,应采用弹塑性时程分析法;高度在150m~200m之间,可视结构自振特性和不规则程度选择静力弹塑性方法或弹塑性时程分析方法。高度超过300m的结构,应有两个独立的计算,进行校核。
2 复杂结构应进行施工模拟分析,应以施工全过程完成后的内力为初始状态。
3 弹塑性时程分析宜采用双向或三向地震输入。
条文说明
3.11.4 结构抗震性能设计时,弹塑性分析计算是很重要的手段之一。计算分析除应符合本规程第5.5.1条的规定外,尚应符合本条之规定。 1 静力弹塑性方法和弹塑性时程分析法各有其优缺点和适用范围。本条对静力弹塑性方法的适用范围放宽到150m或200m非特别不规则的结构,主要考虑静力弹塑性方法计算软件设计人员比较容易掌握,对计算结果的工程判断也容易一些,但计算分析中采用的侧向作用力分布形式宜适当考虑高振型的影响,可采用本规程3.4.5条提出的“规定水平地震力”分布形式。对于高度在150m~200m的基本自振周期大于4s或特别不规则结构以及高度超过200m的房屋,应采用弹塑性时程分析法。对高度超过300m的结构,为使弹塑性时程分析计算结果有较大的把握,本条规定应有两个不同的、独立的计算结果进行校核。 2 对复杂结构进行施工模拟分析是十分必要的。弹塑性分析应以施工全过程完成后的静载内力为初始状态。当施工方案与施工模拟计算不同时,应重新调整相应的计算。 3 一般情况下,弹塑性时程分析宜采用双向地震输入;对竖向地震作用比较敏感的结构,如连体结构、大跨度转换结构、长悬臂结构、高度超过300m的结构等,宜采用三向地震输入。
3.12 抗连续倒塌设计基本要求
3.12.1 安全等级为一级的高层建筑结构应满足抗连续倒塌概念设计要求;有特殊要求时,可采用拆除构件方法进行抗连续倒塌设计。
条文说明
3.12.1 高层建筑结构应具有在偶然作用发生时适宜的抗连续倒塌能力。我国现行国家标准《工程结构可靠性设计统一标准》GB 50153和《建筑结构可靠度设计统一标准》GB 50068对偶然设计状态均有定性规定。在GB 50153中规定,“当发生爆炸、撞击、人为错误等偶然事件时,结构能保持必需的整体稳固性,不出现与起因不相称的破坏后果,防止出现结构的连续倒塌”。
在GB 50068中规定,“对偶然状况,建筑结构可采用下列原则之一按承载能力极限状态进行设计:1)按作用效应的偶然组合进行设计或采取保护措施,使主要承重结构不致因出现设计规定的偶然事件而丧失承载能力;2)允许主要承重结构因出现设计规定的偶然事件而局部破坏,但其剩余部分具有在一段时间内不发生连续倒塌的可靠度”。
结构连续倒塌是指结构因突发事件或严重超载而造成局部结构破坏失效,继而引起与失效破坏构件相连的构件连续破坏,最终导致相对于初始局部破坏更大范围的倒塌破坏。结构产生局部构件失效后,破坏范围可能沿水平方向和竖直方向发展,其中破坏沿竖向发展影响更为突出。当偶然因素导致局部结构破坏失效时,如果整体结构不能形成有效的多重荷载传递路径,破坏范围就可能沿水平或者竖直方向蔓延,最终导致结构发生大范围的倒塌甚至是整体倒塌。 结构连续倒塌事故在国内外并不罕见,英国Ronan Point公寓煤气爆炸倒塌,美国AlfredP.Murrah联邦大楼、WTC世贸大楼倒塌,我国湖南衡阳大厦特大火灾后倒塌,法国戴高乐机场候机厅倒塌等都是比较典型的结构连续倒塌事故。每一次事故都造成了重大人员伤亡和财产损失,给地区乃至整个国家都造成了严重的负面影响。进行必要的结构抗连续倒塌设计,当偶然事件发生时,将能有效控制结构破坏范围。
结构抗连续倒塌设计在欧美多个国家得到了广泛关注,英国、美国、加拿大、瑞典等国颁布了相关的设计规范和标准。比较有代表性的有美国General Services Administration(GSA)《新联邦大楼与现代主要工程抗连续倒塌分析与设计指南》(Progressive Collapse Analysis and Design Guidelines for New Federal Office Buildings and Major Modernization Project),美国国防部UFC(Unified Facilities Criteria 2005)《建筑抗连续倒塌设计》(Design of Buildings to Resist Progressive Collapse),以及英国有关规范对结构抗连续倒塌设计的规定等。
本条规定安全等级为一级时,应满足抗连续倒塌概念设计的要求;安全等级一级且有特殊要求时,可采用拆除构件方法进行抗连续倒塌设计。这是结构抗连续倒塌的基本要求。
- 12.2 抗连续倒塌概念设计应符合下列规定:
1 应采取必要的结构连接措施,增强结构的整体性。
2 主体结构宜采用多跨规则的超静定结构。
3 结构构件应具有适宜的延性,避免剪切破坏、压溃破坏、锚固破坏、节点先于构件破坏。
4 结构构件应具有一定的反向承载能力。
5 周边及边跨框架的柱距不宜过大。
6 转换结构应具有整体多重传递重力荷载途径。
7 钢筋混凝土结构梁柱宜刚接,梁板顶、底钢筋在支座处宜按受拉要求连续贯通。
8 钢结构框架梁柱宜刚接。
9 独立基础之间宜采用拉梁连接。
条文说明
3.12.2 高层建筑结构应具有在偶然作用发生时适宜的抗连续倒塌能力,不允许采用摩擦连接传递重力荷载,应采用构件连接传递重力荷载;应具有适宜的多余约束性、整体连续性、稳固性和延性;水平构件应具有一定的反向承载能力,如连续梁边支座、非地震区简支梁支座顶面及连续梁、框架梁梁中支座底面应有一定数量的配筋及合适的锚固连接构造,防止偶然作用发生时,该构件产生过大破坏。
3.12.3 抗连续倒塌的拆除构件方法应符合下列规定:
1 逐个分别拆除结构周边柱、底层内部柱以及转换桁架腹杆等重要构件。
2 可采用弹性静力方法分析剩余结构的内力与变形。
3 剩余结构构件承载力应符合下式要求:

条文说明
3.12.3 本条拆除构件设计方法主要引自美国、英国有关规范的规定。关于效应折减系数β,主要是考虑偶然作用发生后,结构进入弹塑性内力重分布,对中部水平构件有一定的卸载效应。
3.12.5 构件截面承载力计算时,混凝土强度可取标准值;钢材强度,正截面承载力验算时,可取标准值的1.25倍,受剪承载力验算时可取标准值。
条文说明
3.12.4 本条假定拆除构件后,剩余主体结构基本处于线弹性工作状态,以简化计算,便于工程应用。
3.12.6 当拆除某构件不能满足结构抗连续倒塌设计要求时,在该构件表面附加80kN/m2侧向偶然作用设计值,此时其承载力应满足下列公式要求:

条文说明
3.12.6 本条依据现行国家标准《工程结构可靠性设计统一标准》GB 50153的相关规定,并参考了美国国防部制定的《建筑物最低反恐怖主义标准》(UFC4-010-01)。
当拆除某构件后结构不能满足抗连续倒塌设计要求,意味着该构件十分重要(可称之为关键结构构件),应具有更高的要求,希望其保持线弹性工作状态。此时,在该构件表面附加规定的侧向偶然作用,进行整体结构计算,复核该构件满足截面设计承载力要求。公式(3.12.6—2)中,活荷载采用频遇值,近似取频遇值系数为0.6。
4 荷载和地震作用
4.1 竖向荷载
4.1.1 高层建筑的自重荷载、楼(屋)面活荷载及屋面雪荷载等应按现行国家标准《建筑结构荷载规范》GB 50009的有关规定采用。
条文说明
4.1.1 高层建筑的竖向荷载应按现行国家标准《建筑结构荷载规范》GB 50009有关规定采用。与原荷载规范GBJ 9—87相比,有较大的改动,使用时应予注意。
4.1.2 施工中采用附墙塔、爬塔等对结构受力有影响的起重机械或其他施工设备时,应根据具体情况确定对结构产生的施工荷载。
4.1.3 旋转餐厅轨道和驱动设备的自重应按实际情况确定。
4.1.4 擦窗机等清洗设备应按其实际情况确定其自重的大小和作用位置。
4.1.5 直升机平台的活荷载应采用下列两款中能使平台产生最大内力的荷载:
1 直升机总重量引起的局部荷载,按由实际最大起飞重量决定的局部荷载标准值乘以动力系数确定。对具有液压轮胎起落架的直升机,动力系数可取1.4;当没有机型技术资料时,局部荷载标准值及其作用面积可根据直升机类型按表4.1.5取用。

2 等效均布活荷载5kN/m2。
条文说明
4.1.5 直升机平台的活荷载是根据现行国家标准《建筑结构荷载规范》GB 50009的有关规定确定的。部分直升机的有关参数见表3。

4.2 风 荷 载
4.2.1 主体结构计算时,风荷载作用面积应取垂直于风向的最大投影面积,垂直于建筑物表面的单位面积风荷载标准值应按下式计算:

条文说明
4.2.1 风荷载计算主要依据现行国家标准《建筑结构荷载规范》GB 50009。对于主要承重结构,风荷载标准值的表达可有两种形式,其一为平均风压加上由脉动风引起结构风振的等效风压;另一种为平均风压乘以风振系数。由于结构的风振计算中,往往是受力方向基本振型起主要作用,因而我国与大多数国家相同,采用后一种表达形式,即采用风振系数βz。风振系数综合考虑了结构在风荷载作用下的动力响应,包括风速随时间、空间的变异性和结构的阻尼特性等因素。 基本风压w0是根据全国各气象台站历年来的最大风速记录,按基本风压的标准要求,将不同测风仪高度和时次时距的年最大风速,统一换算为离地10m高,自记式风速仪10min平均年最大风速(m/s)。根据该风速数据统计分析确定重现期为50年的最大风速,作为当地的基本风速v0,再按贝努利公式确定基本风压。
4.2.2 基本风压应按照现行国家标准《建筑结构荷载规范》GB 50009的规定采用。对风荷载比较敏感的高层建筑,承载力设计时应按基本风压的1.1倍采用。 ( 自2022年4月1日起废止该条,点击查看:新规 《混凝土结构通用规范》 GB 55008-2021)
条文说明
4.2.2 按照现行国家标准《建筑结构荷载规范》GB 50009的规定,对风荷载比较敏感的高层建筑,其基本风压应适当提高。因此,本条明确了承载力设计时应按基本风压的1.1倍采用。相对于02规程,本次修订:1)取消了对“特别重要”的高层建筑的风荷载增大要求,主要因为对重要的建筑结构,其重要性已经通过结构重要性系数γ0体现在结构作用效应的设计值中,见本规程第3.8.1条;2)对于正常使用极限状态设计(如位移计算),其要求可比承载力设计适当降低,一般仍可采用基本风压值或由设计人员根据实际情况确定,不再作为强制性要求;3)对风荷载比较敏感的高层建筑结构,风荷载计算时不再强调按100年重现期的风压值采用,而是直接按基本风压值增大10%采用。 对风荷载是否敏感,主要与高层建筑的体型、结构体系和自振特性有关,目前尚无实用的划分标准。一般情况下,对于房屋高度大于60m的高层建筑,承载力设计时风荷载计算可按基本风压的1.1倍采用;对于房屋高度不超过60m的高层建筑,风荷载取值是否提高,可由设计人员根据实际情况确定。 本条的规定,对设计使用年限为50年和100年的高层建筑结构都是适用的。
4.2.3 计算主体结构的风荷载效应时,风荷载体型系数μs可按下列规定采用:
1 圆形平面建筑取0.8;
2 正多边形及截角三角形平面建筑,由下式计算:

3 高宽比H/B不大于4的矩形、方形、十字形平面建筑取1.3;
4 下列建筑取1.4:
1)V形、Y形、弧形、双十字形、井字形平面建筑;
2)L形、槽形和高宽比H/B大于4的十字形平面建筑;
3)高宽比H/B大于4,长宽比L/B不大于1.5的矩形、鼓形平面建筑。
5 在需要更细致进行风荷载计算的场合,风荷载体型系数可按本规程附录B采用,或由风洞试验确定。
条文说明
4.2.3 风荷载体型系数是指风作用在建筑物表面上所引起的实际压力(或吸力)与来流风的速度压的比值,它描述的是建筑物表面在稳定风压作用下静态压力的分布规律,主要与建筑物的体型和尺度有关,也与周围环境和地面粗糙度有关。由于涉及固体与流体相互作用的流体动力学问题,对于不规则形状的固体,问题尤为复杂,无法给出理论上的结果,一般均应由试验确定。鉴于真型实测的方法对结构设计不现实,目前只能采用相似原理,在边界层风洞内对拟建的建筑物模型进行测试。 本条规定是对现行国家标准《建筑结构荷载规范》GB 50009表7.3.1的适当简化和整理,以便于高层建筑结构设计时应用,如需较详细的数据,也可按本规程附录B采用。
4.2.4 当多栋或群集的高层建筑相互间距较近时,宜考虑风力相互干扰的群体效应。一般可将单栋建筑的体型系数卢。乘以相互干扰增大系数,该系数可参考类似条件的试验资料确定;必要时宜通过风洞试验确定。
条文说明
4.2.4 对建筑群,尤其是高层建筑群,当房屋相互间距较近时,由于旋涡的相互干扰,房屋某些部位的局部风压会显著增大,设计时应予注意。对比较重要的高层建筑,建议在风洞试验中考虑周围建筑物的干扰因素。 本条和本规程第4.2.7条所说的风洞试验是指边界层风洞试验。
4.2.5 横风向振动效应或扭转风振效应明显的高层建筑,应考虑横风向风振或扭转风振的影响。横风向风振或扭转风振的计算范围、方法以及顺风向与横风向效应的组合方法应符合现行国家标准《建筑结构荷载规范》GB 50009的有关规定。
条文说明
4.2.5 本条为新增条文,意在提醒设计人员注意考虑结构横风向风振或扭转风振对高层建筑尤其是超高层建筑的影响。当结构高宽比较大、结构顶点风速大于临界风速时,可能引起较明显的结构横风向振动,甚至出现横风向振动效应大于顺风向作用效应的情况。结构横风向振动问题比较复杂,与结构的平面形状、竖向体型、高宽比、刚度、自振周期和风速都有一定关系。当结构体型复杂时,宜通过空气弹性模型的风洞试验确定横风向振动的等效风荷载;也可参考有关资料确定。
4.2.6 考虑横风向风振或扭转风振影响时,结构顺风向及横风向的侧向位移应分别符合本规程第3.7.3条的规定。
条文说明
4.2.6 本条为新增条文。横风向效应与J顷风向效应是同时发生的,因此必须考虑两者的效应组合。对于结构侧向位移控制,仍可按同时考虑横风向与顺风向影响后的计算方向位移确定,不必按矢量和的方向控制结构的层间位移。
4.2.7 房屋高度大于200m或有下列情况之一时,宜进行风洞试验判断确定建筑物的风荷载:
1 平面形状或立面形状复杂;
2 立面开洞或连体建筑;
3 周围地形和环境较复杂。
条文说明
4.2.7 对结构平面及立面形状复杂、开洞或连体建筑及周围地形环境复杂的结构,建议进行风洞试验。本次修订,对体型复杂、环境复杂的高层建筑,取消了02规程中房屋高度150m以上才考虑风洞试验的限制条件。对风洞试验的结果,当与按规范计算的风荷载存在较大差距时,设计人员应进行分析判断,合理确定建筑物的风荷载取值。因此本条规定“进行风洞试验判断确定建筑物的风荷载”。
4.2.8 檐口、雨篷、遮阳板、阳台等水平构件,计算局部上浮风荷载时,风荷载体型系数从不宜小于2.0。
条文说明
4.2.8 高层建筑表面的风荷载压力分布很不均匀,在角隅、檐口、边棱处和在附属结构的部位(如阳台、雨篷等外挑构件),局部风压会超过按本规程4.2.3条体型系数计算的平均风压。根据风洞实验资料和一些实测结果,并参考国外的风荷载规范,对水平外挑构件,取用局部体型系数为-2.0。
4.2.9 设计高层建筑的幕墙结构时,风荷载应按国家现行标准《建筑结构荷载规范》GB 50009、《玻璃幕墙工程技术规范》JGJ 102、《金属与石材幕墙工程技术规范》JGJ 133的有关规定采用。
条文说明
4.2.9 建筑幕墙设计时的风荷载计算,应按现行国家标准《建筑结构荷载规范》GB 50009以及行业标准《玻璃幕墙工程技术规范》JGJ 102、《金属及石材幕墙工程技术规范》JGJ 133等的有关规定执行。
4.3 地震作用
4.3.1 各抗震设防类别高层建筑的地震作用,应符合下列规定:
1 甲类建筑:应按批准的地震安全性评价结果且高于本地区抗震设防烈度的要求确定;
2 乙、丙类建筑:应按本地区抗震设防烈度计算。 ( 自2022年4月1日起废止该条,点击查看:新规 《混凝土结构通用规范》 GB 55008-2021)
条文说明
4.3.1 本条是高层建筑混凝土结构考虑地震作用时的设防标准,与现行国家标准《建筑工程抗震设防分类标准》GB 50223的规定一致。对甲类建筑的地震作用,改为“应按批准的地震安全性评价结果且高于本地区抗震设防烈度的要求确定”,明确规定如果地震安全性评价结果低于本地区的抗震设防烈度,计算地震作用时应按高于本地区设防烈度的要求进行。对于乙、丙类建筑,规定应按本地区抗震设防烈度计算,与02规程的规定一致。 原规程JGJ 3-91曾规定,6度抗震设防时,除Ⅳ类场地上的较高建筑外,可不进行地震作用计算。鉴于高层建筑比较重要且结构计算分析软件应用已经较为普遍,因此02版规程规定6度抗震设防时也应进行地震作用计算,本次修订未作调整。通过地震作用效应计算,可与无地震作用组合的效应进行比较,并可采用有地震作用组合的柱轴压力设计值控制柱的轴压比。
4.3.2 高层建筑结构的地震作用计算应符合下列规定:
1 一般情况下,应至少在结构两个主轴方向分别计算水平地震作用;有斜交抗侧力构件的结构,当相交角度大于15°时, 应分别计算各抗侧力构件方向的水平地震作用。
2 质量与刚度分布明显不对称的结构,应计算双向水平地震作用下的扭转影响;其他情况,应计算单向水平地震作用下的扭转影响。
3 高层建筑中的大跨度、长悬臂结构,7度(0.15g)、8度抗震设计时应计入竖向地震作用。
4 9度抗震设计时应计算竖向地震作用。 ( 自2022年4月1日起废止该条,点击查看:新规 《混凝土结构通用规范》 GB 55008-2021)
条文说明
4.3.2 本条除第3款“7度(0.15g)”外,与现行国家标准《建筑抗震设计规范》GB 50011的规定一致。某一方向水平地震作用主要由该方向抗侧力构件承担,如该构件带有翼缘,尚应包括翼缘作用。有斜交抗侧力构件的结构,当交角大于15°时,应考虑斜交构件方向的地震作用计算。对质量和刚度明显不均匀、不对称的结构应考虑双向地震作用下的扭转影响。 大跨度指跨度大于24m的楼盖结构、跨度大于8m的转换结构、悬挑长度大于2m的悬挑结构。大跨度、长悬臂结构应验算其自身及其支承部位结构的竖向地震效应。 除了8、9度外,本次修订增加了大跨度、长悬臂结构7度(0.15g)时也应计入竖向地震作用的影响。主要原因是:高层建筑由于高度较高,竖向地震作用效应放大比较明显。
4.3.3 计算单向地震作用时应考虑偶然偏心的影响。每层质心沿垂直于地震作用方向的偏移值可按下式采用:

条文说明
4.3.3 本条规定主要是考虑结构地震动力反应过程中可能由于地面扭转运动、结构实际的刚度和质量分布相对于计算假定值的偏差,以及在弹塑性反应过程中各抗侧力结构刚度退化程度不同等原因引起的扭转反应增大;特别是目前对地面运动扭转分量的强震实测记录很少,地震作用计算中还不能考虑输入地面运动扭转分量。采用附加偶然偏心作用计算是一种实用方法。美国、新西兰和欧洲等抗震规范都规定计算地震作用时应考虑附加偶然偏心,偶然偏心距的取值多为0.05L。对于平面规则(包括对称)的建筑结构需附加偶然偏心;对于平面布置不规则的结构,除其自身已存在的偏心外,还需附加偶然偏心。 本条规定直接取各层质量偶然偏心为0.05Li(Li为垂直于地震作用方向的建筑物总长度)来计算单向水平地震作用。实际计算时,可将每层质心沿主轴的同一方向(正向或负向)偏移。

采用底部剪力法计算地震作用时,也应考虑偶然偏心的不利影响。 当计算双向地震作用时,可不考虑偶然偏心的影响,但应与单向地震作用考虑偶然偏心的计算结果进行比较,取不利的情况进行设计。 关于各楼层垂直于地震作用方向的建筑物总长度Li的取值,当楼层平面有局部突出时,可按回转半径相等的原则,简化为无局部突出的规则平面,以近似确定垂直于地震计算方向的建筑物边长Li。如图3所示平面,当计算y向地震作用时,若b/B及h/H均不大于1/4,可认为是局部突出;此时用于确定偶然偏心的边长可近似按下式计算: 
4.3.4 高层建筑结构应根据不同情况,分别采用下列地震作用计算方法:
1 高层建筑结构宜采用振型分解反应谱法;对质量和刚度不对称、不均匀的结构以及高度超过100m的高层建筑结构应采用考虑扭转耦联振动影响的振型分解反应谱法。
2 高度不超过40m、以剪切变形为主且质量和刚度沿高度分布比较均匀的高层建筑结构,可采用底部剪力法。
3 7~9度抗震设防的高层建筑,下列情况应采用弹性时程分析法进行多遇地震下的补充计算:
1)甲类高层建筑结构;
2)表4.3.4所列的乙、丙类高层建筑结构;
3)不满足本规程第3.5.2~3.5.6条规定的高层建筑结构;
4)本规程第10章规定的复杂高层建筑结构。

注:场地类别应按现行国家标准《建筑抗震设计规范》GB 50011的规定采用。
条文说明
4.3.4 不同的结构采用不同的分析方法在各国抗震规范中均有体现,振型分解反应谱法和底部剪力法仍是基本方法。对高层建筑结构主要采用振型分解反应谱法(包括不考虑扭转耦联和考虑扭转耦联两种方式),底部剪力法的应用范围较小。弹性时程分析法作为补充计算方法,在高层建筑结构分析中已得到比较普遍的应用。 本条第3款对于需要采用弹性时程分析法进行补充计算的高层建筑结构作了具体规定,这些结构高度较高或刚度、承载力和质量沿竖向分布不规则或属于特别重要的甲类建筑。所谓“补充”,主要指对计算的底部剪力、楼层剪力和层间位移进行比较,当时程法分析结果大于振型分解反应谱法分析结果时,相关部位的构件内力和配筋作相应的调整。 质量沿竖向分布不均匀的结构一般指楼层质量大于相邻下部楼层质量1.5倍的情况,见本规程第3.5.6条。
4.3.5 进行结构时程分析时,应符合下列要求:
1 应按建筑场地类别和设计地震分组选取实际地震记录和人工模拟的加速度时程曲线,其中实际地震记录的数量不应少于总数量的2/3,多组时程曲线的平均地震影响系数曲线应与振型分解反应谱法所采用的地震影响系数曲线在统计意义上相符;弹性时程分析时,每条时程曲线计算所得结构底部剪力不应小于振型分解反应谱法计算结果的65%,多条时程曲线计算所得结构底部剪力的平均值不应小于振型分解反应谱法计算结果的80%。
2 地震波的持续时间不宜小于建筑结构基本自振周期的5倍和15s,地震波的时间间距可取0.01s或0.02s。
3 输入地震加速度的最大值可按表4.3.5采用。

4 当取三组时程曲线进行计算时,结构地震作用效应宜取时程法计算结果的包络值与振型分解反应谱法计算结果的较大值;当取七组及七组以上时程曲线进行计算时,结构地震作用效应可取时程法计算结果的平均值与振型分解反应谱法计算结果的较大值。
条文说明
4.3.5 进行时程分析时,鉴于不同地震波输入进行时程分析的结果不同,本条规定一般可以根据小样本容量下的计算结果来估计地震效应值。通过大量地震加速度记录输入不同结构类型进行时程分析结果的统计分析,若选用不少于2组实际记录和1组人工模拟的加速度时程曲线作为输入,计算的平均地震效应值不小于大样本容量平均值的保证率在85%以上,而且一般也不会偏大很多。当选用数量较多的地震波,如5组实际记录和2组人工模拟时程曲线,则保证率更高。所谓“在统计意义上相符”是指,多组时程波的平均地震影响系数曲线与振型分解反应谱法所用的地震影响系数曲线相比,在对应于结构主要振型的周期点上相差不大于20%。计算结果的平均底部剪力一般不会小于振型分解反应谱法计算结果的80%,每条地震波输入的计算结果不会小于65%;从工程应用角度考虑,可以保证时程分析结果满足最低安全要求。但时程法计算结果也不必过大,每条地震波输入的计算结果不大于135%,多条地震波输入的计算结果平均值不大于120%,以体现安全性和经济性的平衡。 正确选择输入的地震加速度时程曲线,要满足地震动三要素的要求,即频谱特性、有效峰值和持续时间均要符合规定。频谱特性可用地震影响系数曲线表征,依据所处的场地类别和设计地震分组确定;加速度的有效峰值按表4.3.5采用,即以地震影响系数最大值除以放大系数(约2.25)得到;输入地震加速度时程曲线的有效持续时间,一般从首次达到该时程曲线最大峰值的10%那一点算起,到最后一点达到最大峰值的10%为止,约为结构基本周期的5~10倍。 因为本次修订增加了结构抗震性能设计规定,因此本条第3款补充了设防地震(中震)和6度时的数值。
4.3.6 计算地震作用时,建筑结构的重力荷载代表值应取永久荷载标准值和可变荷载组合值之和。可变荷载的组合值系数应按下列规定采用:
1 雪荷载取0.5;
2 楼面活荷载按实际情况计算时取1.0;按等效均布活荷载计算时,藏书库、档案库、库房取0.8,一般民用建筑取0.5。
4.3.7 建筑结构的地震影响系数应根据烈度、场地类别、设计地震分组和结构自振周期及阻尼比确定。其水平地震影响系数最大值。一应按表4.3.7—1采用;特征周期应根据场地类别和设计地震分组按表4.3.7—2采用,计算罕遇地震作用时,特征周期应增力口0.05s。
注:周期大于6.0s的高层建筑结构所采用的地震影响系数应作专门研究。


条文说明
4.3.7 本条规定了水平地震影响系数最大值和场地特征周期取值。现阶段仍采用抗震设防烈度所对应的水平地震影响系数最大值αmax,多遇地震烈度(小震)和预估罕遇地震烈度(大震)分别对应于50年设计基准期内超越概率为63%和2%~3%的地震烈度。为了与地震动参数区划图接口,表3.3.7—1中的αmax比89规范增加了7度0.15g和8度0.30g的地区数值。本次修订,与结构抗震性能设计要求相适应,增加了设防烈度地震(中震)和6度时的地震影响系数最大值规定。 根据土层等效剪切波速和场地覆盖层厚度将建筑的场地划分为Ⅰ、Ⅱ、Ⅲ、Ⅳ四类,其中Ⅰ类分为Ⅰ0和Ⅰ1两个亚类,本规程中提及Ⅰ类场地而未专门注明Ⅰ0或Ⅰ1的,均包含这两个亚类。具体场地划分标准见现行国家标准《建筑抗震设计规范》GB 50011的有关规定。
4.3.8 高层建筑结构地震影响系数曲线(图4.3.8)的形状参数和阻尼调整应符合下列规定:
1 除有专门规定外,钢筋混凝土高层建筑结构的阻尼比应取0.05,此时阻尼调整系数η2应取1.0,形状参数应符合下列规定:

1)直线上升段,周期小于0.1s的区段;
2)水平段,自0.1s至特征周期Tg的区段,地震影响系数应取最大值amax;
3)曲线下降段,自特征周期至5倍特征周期的区段,衰减指数γ应取0.9;
4)直线下降段,自5倍特征周期至6.0s的区段,下降斜率调整系数η1应取0.02。
2 当建筑结构的阻尼比不等于0.05时,地震影响系数曲线的分段情况与本条第1款相同,但其形状参数和阻尼调整系数η2应符合下列规定;


条文说明
4.3.8 弹性反应谱理论仍是现阶段抗震设计的最基本理论,本规程的设计反应谱与现行国家标准《建筑抗震设计规范》GB 50011一致。 1 同样烈度、同样场地条件的反应谱形状,随着震源机制、震级大小、震中距远近等的变化,有较大的差别,影响因素很多。在继续保留烈度概念的基础上,用设计地震分组的特征周期Tg予以反映。其中,Ⅰ、Ⅱ、Ⅲ类场地的特征周期值,《建筑抗震设计规范》GB 50011-2001(下称01规范)较89规范的取值增大了0.05s;本次修订,计算罕遇地震作用时,特征周期Tg值也增大0.05s。这些改进,适当提高结构的抗震安全性,也比较符合近年来得到的大量地震加速度资料的统计结果。 2 在T≤0.1s的范围内,各类场地的地震影响系数一律采用同样的斜线,使之符合T=0时(刚体)动力不放大的规律;在T≥Tg时,设计反应谱在理论上存在二个下降段,即速度控制段和位移控制段,在加速度反应谱中,前者衰减指数为1,后者衰减指数为2。设计反应谱是用来预估建筑结构在其设计基准期内可能经受的地震作用,通常根据大量实际地震记录的反应谱进行统计并结合工程经验判断加以规定。为保持延续性,地震影响系数在T≤5Tg范围内保持不变,各曲线的递减指数为非整数;在T>5Tg的范围为倾斜下降段,不同场地类别的最小值不同,较符合实际反应谱的统计规律。对于周期大于6s的结构,地震影响系数仍需专门研究。 3 考虑到不同结构类型的设计需要,提供了不同阻尼比(通常为0.02~0.30)地震影响系数曲线相对于标准的地震影响系数(阻尼比为0.05)的修正方法。根据实际强震记录的统计分析结果,这种修正可分二段进行:在反应谱平台段修正幅度最大;在反应谱上升段和下降段,修正幅度变小;在曲线两端(0s和6s),不同阻尼比下的地震影响系数趋向接近。 本次修订,保持01规范地震影响系数曲线的计算表达式不变,只对其参数进行调整,达到以下效果: 1)阻尼比为5%的地震影响系数维持不变,对于钢筋混凝土结构的抗震设计,同01规范的水平。 2)基本解决了01规范在长周期段,不同阻尼比地震影响系数曲线交叉、大阻尼曲线值高于小阻尼曲线值的不合理现象。Ⅰ、Ⅱ、Ⅲ类场地的地震影响系数曲线在周期接近6s时,基本交汇在一点上,符合理论和统计规律。 3)降低了小阻尼(0.02~0.035)的地震影响系数值,最大降低幅度达18%。略微提高了阻尼比0.06~0.10范围的地震影响系数值,长周期部分最大增幅约5%。 4)适当降低了大阻尼(0.20~0.30)的地震影响系数值,在5Tg周期以内,基本不变;长周期部分最大降幅约10%,扩大了消能减震技术的应用范围。 对应于不同阻尼比计算地震影响系数曲线的衰减指数和调整系数见表4。 
4.3.9 采用振型分解反应谱方法时,对于不考虑扭转藕联震动影响的结构,应按下列规定进行地震作用和作用效应的计算:
1 结构第j振型i层的水平地震作用的标准应按下列公式确定:

2 水平地震作用效应,当相邻振型的周期比小于0.85时,可按下式计算:

式中:S——水平地震作用标准值的效应;
Sj——j振型的水平地震作用标准值的效应(弯矩、剪力、轴向力和位移等)。
4.3.10. 考虑扭转影响的平面、竖向不规则结构,按扭转藕联振型分解法计算时,各楼层可取两个正交的水平位移和一个转角位移共三个自由度,并应按下列规定计算地震作用和作用效应。确有依据时,可采用简化计算方法确定地震作用。
1 j振型i层的水平地震作用标准值,应按下列公式确定:

当仅考虑x方向地震作用时:

当仅考虑y方向地震作用时:

当考虑与x方向夹角为θ的地震作用时:

2 单向水平地震作用下,考虑扭转藕联的地震作用效应,应按下列公式确定:

3 考虑双向水平地震作用下的扭转地震作用效应,应按下列公式中的较大值确定:

条文说明
4.3.10 引用现行国家标准《建筑抗震设计规范》GB 50011。 增加了考虑双向水平地震作用下的地震效应组合方法。根据强震观测记录的统计分析,两个方向水平地震加速度的最大值不相等,二者之比约为1:0.85;而且两个方向的最大值不一定发生在同一时刻,因此采用平方和开平方计算两个方向地震作用效应的组合。条文中的Sx和Sy是指在两个正交的X和Y方向地震作用下,在每个构件的同一局部坐标方向上的地震作用效应,如X方向地震作用下在局部坐标x方向的弯矩Mxx和Y方向地震作用下在局部坐标x方向的弯矩Mxy。 作用效应包括楼层剪力、弯矩和位移,也包括构件内力(弯矩、剪力、轴力、扭矩等)和变形。 本规程建议的振型数是对质量和刚度分布比较均匀的结构而言的。对于质量和刚度分布很不均匀的结构,振型分解反应谱法所需的振型数一般可取为振型参与质量达到总质量的90%时所需的振型数。
4.3.11 采用底部剪力法计算结构的水平地震作用时,可按本规程附录C执行。
条文说明
4.3.11 底部剪力法在高层建筑水平地震作用计算中应用较少,但作为一种方法,本规程仍予以保留,因此列于附录中。对于规则结构,采用本条方法计算水平地震作用时,仍应考虑偶然偏心的不利影响。
4.3.12 多遇地震水平地震作用计算时,结构各楼层对应于地震作用标准值的剪力应符合下式要求: ( 自2022年4月1日起废止该条,点击查看:新规 《混凝土结构通用规范》 GB 55008-2021) 

条文说明
4.3.12 由于地震影响系数在长周期段下降较快,对于基本周期大于3s的结构,由此计算所得的水平地震作用下的结构效应可能过小。而对于长周期结构,地震地面运动速度和位移可能对结构的破坏具有更大影响,但是规范所采用的振型分解反应谱法尚无法对此作出合理估计。出于结构安全的考虑,增加了对各楼层水平地震剪力最小值的要求,规定了不同设防烈度下的楼层最小地震剪力系数(即剪重比),当不满足时,结构水平地震总剪力和各楼层的水平地震剪力均需要进行相应的调整或改变结构刚度使之达到规定的要求。本次修订补充了6度时的最小地震剪力系数规定。 对于竖向不规则结构的薄弱层的水平地震剪力,本规程第3.5.8条规定应乘以1.25的增大系数,该层剪力放大1.25倍后仍需要满足本条的规定,即该层的地震剪力系数不应小于表4.3.12中数值的1.15倍。 表4.3.12中所说的扭转效应明显的结构,是指楼层最大水平位移(或层间位移)大于楼层平均水平位移(或层间位移)1.2倍的结构。
4.3.13 结构竖向地震作用标准值可采用时程分析方法或振型分解反应谱方法计算,也可按下列规定计算(图4.3.13):
1 结构总竖向地震作用标准值可按下列公式计算:

2 结构质点i的竖向地震作用标准值可按下式计算:

3 楼层各构件的竖向地震作用效应可按各构件承受的重力荷载代表值比例分配,并宜乘以增大系数1.5.

条文说明
4.3.13 结构的竖向地震作用的精确计算比较繁杂,本规程保留了原规程JGJ 3—91的简化计算方法。
4.3.14 跨度大于24m的楼盖结构、跨度大于12m的转换结构和连体结构、悬挑长度大于5m的悬挑结构,结构竖向地震作用效应标准值宜采用时程分析方法或振型分解反应谱方法进行计算。时程分析计算时输入的地震加速度最大值可按规定的水平输入最大值的65%采用,反应谱分析时结构竖向地震影响系数最大值可按水平地震影响系数最大值的65%采用,但设计地震分组可按第一组采用。
条文说明
4.3.14 本条为新增条文,主要考虑目前高层建筑中较多采用大跨度和长悬挑结构,需要采用时程分析方法或反应谱方法进行竖向地震的分析,给出了反应谱和时程分析计算时需要的数据。 反应谱采用水平反应谱的65%,包括最大值和形状参数,但认为竖向反应谱的特征周期与水平反应谱相比,尤其在远震中距时,明显小于水平反应谱,故本条规定,设计特征周期均按第一组采用。对处于发震断裂10km以内的场地,其最大值可能接近于水平谱,特征周期小于水平谱。
4.3.15 高层建筑中,大跨度结构、悬挑结构、转换结构、连体结构的连接体的竖向地震作用标准值,不宜小于结构或构件承受的重力荷载代表值与表4.3.15所规定的竖向地震作用系数的乘积。

条文说明
4.3.15 高层建筑中的大跨度、悬挑、转换、连体结构的竖向 地震作用大小与其所处的位置以及支承结构的刚度都有一定关系,因此对于跨度较大、所处位置较高的情况,建议采用本规程第4.3.13、4.3.14条的规定进行竖向地震作用计算,并且计算结果不宜小于本条规定。 为了简化计算,跨度或悬挑长度不大于本规程第4.3.14条规定的大跨结构和悬挑结构,可直接按本条规定的地震作用系数乘以相应的重力荷载代表值作为竖向地震作用标准值。
4.3.16 计算各振型地震影响系数所采用的结构自振周期应考虑非承重墙体的刚度影响予以折减。 ( 自2022年4月1日起废止该条,点击查看:新规 《混凝土结构通用规范》 GB 55008-2021)
条文说明
4.3.16 高层建筑结构整体计算分析时,只考虑了主要结构构件(梁、柱、剪力墙和筒体等)的刚度,没有考虑非承重结构构件的刚度,因而计算的自振周期较实际的偏长,按这一周期计算的地震力偏小。为此,本条规定应考虑非承重墙体的刚度影响,对计算的自振周期予以折减。
4.3.17 当非承重墙体为砌体墙时,高层建筑结构的计算自振周期折减系数可按下列规定取值:
1 框架结构可取0.6~0.7;
2 框架-剪力墙结构可取0.7~0.8;
3 框架-核心筒结构可取0.8~0.9;
4 剪力墙结构可取0.8~1.0。
对于其他结构体系或采用其他非承重墙体时,可根据工程情况确定周期折减系数。
条文说明
4.3.17 大量工程实测周期表明:实际建筑物自振周期短于计算的周期。尤其是有实心砖填充墙的框架结构,由于实心砖填充墙的刚度大于框架柱的刚度,其影响更为显著,实测周期约为计算周期的50%~60%;剪力墙结构中,由于砖墙数量少,其刚度又远小于钢筋混凝土墙的刚度,实测周期与计算周期比较接近。本次修订,考虑到目前黏土砖被限制使用,而其他类型的砌体墙越来越多,把“填充砖墙”改为“砌体墙”,但不包括采用柔性连接的填充墙或刚度很小的轻质砌体填充墙;增加了框架-核心筒结构周期折减系数的规定;目前有些剪力墙结构布置的填充墙较多,其周期折减系数可能小于0.9,故将剪力墙结构的周期折减系数调整为0.8~1.0。
5 结构计算分析
5.1 一般规定
5.1.1 高层建筑结构的荷载和地震作用应按本规程第4章的有关规定进行计算。
5.1.2 复杂结构和混合结构高层建筑的计算分析,除应符合本章规定外,尚应符合本规程第10章和第11章的有关规定。
5.1.3 高层建筑结构的变形和内力可按弹性方法计算。框架梁及连梁等构件可考虑塑性变形引起的内力重分布。
条文说明
5.1.3 目前国内规范体系是采用弹性方法计算内力,在截面设计时考虑材料的弹塑性性质。因此,高层建筑结构的内力与位移仍按弹性方法计算,框架梁及连梁等构件可考虑局部塑性变形引起的内力重分布,即本规程第5.2.1条和5.2.3条的规定。
5.1.4 高层建筑结构分析模型应根据结构实际情况确定。所选取的分析模型应能较准确地反映结构中各构件的实际受力状况。
高层建筑结构分析,可选择平面结构空间协同、空间杆系、空间杆-薄壁杆系、空间杆-墙板元及其他组合有限元等计算模型。
条文说明
5.1.4 高层建筑结构是复杂的三维空间受力体系,计算分析时应根据结构实际情况,选取能较准确地反映结构中各构件的实际受力状况的力学模型。对于平面和立面布置简单规则的框架结构、框架-剪力墙结构宜采用空间分析模型,可采用平面框架空间协同模型;对剪力墙结构、筒体结构和复杂布置的框架结构、框架-剪力墙结构应采用空间分析模型。目前国内商品化的结构分析软件所采用的力学模型主要有:空间杆系模型、空间杆-薄壁杆系模型、空间杆-墙板元模型及其他组合有限元模型。 目前,国内计算机和结构分析软件应用十分普及,原规程JGJ 3—91第4.1.4条和4.1.6条规定的简化方法和手算方法未再列入本规程。如需要采用简化方法或手算方法,设计人员可参考有关设计手册或书籍。
5.1.5 进行高层建筑内力与位移计算时,可假定楼板在其自身平面内为无限刚性,设计时应采取相应的措施保证楼板平面内的整体刚度。
当楼板可能产生较明显的面内变形时,计算时应考虑楼板的面内变形影响或对采用楼板面内无限刚性假定计算方法的计算结果进行适当调整。
条文说明
5.1.5 高层建筑的楼屋面绝大多数为现浇钢筋混凝土楼板和有现浇面层的预制装配式楼板,进行高层建筑内力与位移计算时,可视其为水平放置的深梁,具有很大的面内刚度,可近似认为楼板在其自身平面内为无限刚性。采用这一假设后,结构分析的自由度数目大大减少,可能减小由于庞大自由度系统而带来的计算误差,使计算过程和计算结果的分析大为简化。计算分析和工程实践证明,刚性楼板假定对绝大多数高层建筑的分析具有足够的工程精度。采用刚性楼板假定进行结构计算时,设计上应采取必要措施保证楼面的整体刚度。比如,平面体型宜符合本规程4.3.3条的规定;宜采用现浇钢筋混凝土楼板和有现浇面层的装配整体式楼板;局部削弱的楼面,可采取楼板局部加厚、设置边梁、加大楼板配筋等措施。
楼板有效宽度较窄的环形楼面或其他有大开洞楼面、有狭长外伸段楼面、局部变窄产生薄弱连接的楼面、连体结构的狭长连接体楼面等场合,楼板面内刚度有较大削弱且不均匀,楼板的面内变形会使楼层内抗侧刚度较小的构件的位移和受力加大(相对刚性楼板假定而言),计算时应考虑楼板面内变形的影响。根据楼面结构的实际情况,楼板面内变形可全楼考虑、仅部分楼层考虑或仅部分楼层的部分区域考虑。考虑楼板的实际刚度可以采用将楼板等效为剪弯水平梁的简化方法,也可采用有限单元法进行计算。
当需要考虑楼板面内变形而计算中采用楼板面内无限刚性假定时,应对所得的计算结果进行适当调整。具体的调整方法和调整幅度与结构体系、构件平面布置、楼板削弱情况等密切相关,不便在条文中具体化。一般可对楼板削弱部位的抗侧刚度相对较小的结构构件,适当增大计算内力,加强配筋和构造措施。
5.1.6 高层建筑结构按空间整体工作计算分析时,应考虑下列变形:
1 梁的弯曲、剪切、扭转变形,必要时考虑轴向变形;
2 柱的弯曲、剪切、轴向、扭转变形;
3 墙的弯曲、剪切、轴向、扭转变形。
条文说明
5.1.6 高层建筑按空间整体工作计算时,不同计算模型的梁、柱自由度是相同的。梁的弯曲、剪切、扭转变形,当考虑楼板面内变形时还有轴向变形;柱的弯曲、剪切、轴向、扭转变形。当采用空间杆-薄壁杆系模型时,剪力墙自由度考虑弯曲、剪切、轴向、扭转变形和翘曲变形;当采用其他有限元模型分析剪力墙时,剪力墙自由度考虑弯曲、剪切、轴向、扭转变形。
高层建筑层数多、重量大,墙、柱的轴向变形影响显著,计算时应考虑。
构件内力是与位移向量对应的,与截面设计对应的分别为弯矩、剪力、轴力、扭矩等。
5.1.7 高层建筑结构应根据实际情况.进行重力荷载、风荷载和(或)地震作用效应分析,并应按本规程第5.6节的规定进行荷载效应和作用效应计算。
5.1.8 高层建筑结构内力计算中,当楼面活荷载大于4kN/m2时,应考虑楼面活荷载不利布置引起的结构内力的增大;当整体计算中未考虑楼面活荷载不利布置时,应适当增大楼面梁的计算弯矩。
条文说明
5.1.8 目前国内钢筋混凝土结构高层建筑由恒载和活载引起的单位面积重力,框架与框架-剪力墙结构约为12kN/m2~14kN/m2,剪力墙和筒体结构约为13kN/m2~16kN/m2,而其中活荷载部分约为2kN/m2~3kN/m2,只占全部重力的15%~20%,活载不利分布的影响较小。另一方面,高层建筑结构层数很多,每层的房间也很多,活载在各层间的分布情况极其繁多,难以一一计算。 如果活荷载较大,其不利分布对梁弯矩的影响会比较明显,计算时应予考虑。除进行活荷载不利分布的详细计算分析外,也可将未考虑活荷载不利分布计算的框架梁弯矩乘以放大系数予以近似考虑,该放大系数通常可取为1.1~1.3,活载大时可选用较大数值。近似考虑活荷载不利分布影响时,梁正、负弯矩应同时予以放大。
5.1.9 高层建筑结构在进行重力荷载作用效应分析时,柱、墙、斜撑等构件的轴向变形宜采用适当的计算模型考虑施工过程的影响;复杂高层建筑及房屋高度大于150m的其他高层建筑结构,应考虑施工过程的影响。
条文说明
5.1.9 高层建筑结构是逐层施工完成的,其竖向刚度和竖向荷载(如自重和施工荷载)也是逐层形成的。这种情况与结构刚度一次形成、竖向荷载一次施加的计算方法存在较大差异。因此对于层数较多的高层建筑,其重力荷载作用效应分析时,柱、墙轴向变形宜考虑施工过程的影响。施工过程的模拟可根据需要采用适当的方法考虑,如结构竖向刚度和竖向荷载逐层形成、逐层计算的方法等。 本次修订,增加了复杂结构及150m以上高层建筑应考虑施工过程的影响,因为这类结构是否考虑施工过程的模拟计算,对设计有较大影响。
5.1.10 高层建筑结构进行风作用效应计算时,正反两个方向的风作用效应宜按两个方向计算的较大值采用;体型复杂的高层建筑,应考虑风向角的不利影响。
条文说明
5.1.10 高层建筑结构进行水平风荷载作用效应分析时,除对称结构外,结构构件在正反两个方向的风荷载作用下效应一般是不相同的,按两个方向风效应的较大值采用,是为了保证安全的前提下简化计算:体型复杂的高层建筑,应考虑多方向风荷载作用,进行风效应对比分析,增加结构抗风安全性。
5.1.11 结构整体内力与位移计算中,型钢混凝土和钢管混凝土构件宜按实际情况直接参与计算,并应按本规程第11章的有关规定进行截面设计。
条文说明
5.1.11 在结构整体计算分析中,型钢混凝土和钢管混凝土构件宜按实际情况直接参与计算。随着结构分析软件技术的进步,已经可以较容易地实现在整体模型中直接考虑型钢混凝土和钢管混凝土构件,因此本次修订取消了将型钢混凝土和钢管混凝土构件等效为混凝土构件进行计算的规定。
型钢混凝土构件、钢管混凝土构件的截面设计应按本规程第11章的有关规定执行。
5.1.12 体型复杂、结构布置复杂以及B级高度高层建筑结构,应采用至少两个不同力学模型的结构分析软件进行整体计算。
条文说明
5.1.12 体型复杂、结构布置复杂的高层建筑结构的受力情况复杂,B级高度高层建筑属于超限高层建筑,采用至少两个不同力学模型的结构分析软件进行整体计算分析,可以相互比较和分析,以保证力学分析结构的可靠性。
对B级高度高层建筑的要求是本次修订增加的内容。
5.1.13 抗震设计时,B级高度的高层建筑结构、混合结构和本规程第10章规定的复杂高层建筑结构,尚应符合下列规定:
1 宜考虑平扭耦联计算结构的扭转效应,振型数不应小于15,对多塔楼结构的振型数不应小于塔楼数的9倍,且计算振型数应使各振型参与质量之和不小于总质量的90%;
2 应采用弹性时程分析法进行补充计算;
3 宜采用弹塑性静力或弹塑性动力分析方法补充计算。
条文说明
5.1.13 带加强层的高层建筑结构、带转换层的高层建筑结构、错层结构、连体和立面开洞结构、多塔楼结构、立面较大收进结构等,属于体形复杂的高层建筑结构,其竖向刚度和承载力变化大、受力复杂,易形成薄弱部位;混合结构以及B级高度的高层建筑结构的房屋高度大、工程经验不多,因此整体计算分析时应从严要求。本条第4款的要求主要针对重要建筑以及相邻层侧向刚度或承载力相差悬殊的竖向不规则高层建筑结构。
本次修订补充了对混合结构的计算要求。
5.1.14 对多塔楼结构,宜按整体模型和各塔楼分开的模型分别计算,并采用较不利的结果进行结构设计。当塔楼周边的裙楼超过两跨时,分塔楼模型宜至少附带两跨的裙楼结构。
条文说明
5.1.14 本条为新增条文,对多塔楼结构提出了分塔楼模型计算要求。多塔楼结构振动形态复杂,整体模型计算有时不容易判断结果的合理性;辅以分塔楼模型计算分析,取二者的不利结果进行设计较为妥当。
5.1.15 对受力复杂的结构构件,宜按应力分析的结果校核配筋设计。
条文说明
5.1.15 对受力复杂的结构构件,如竖向布置复杂的剪力墙、加强层构件、转换层构件、错层构件、连接体及其相关构件等,除结构整体分析外,尚应按有限元等方法进行更加仔细的局部应力分析,并可根据需要,按应力分析结果进行截面配筋设计校核。按应力进行截面配筋计算的方法,可按照现行国家标准《混凝土结构设计规范》GB 50010的有关规定。
5.1.16 对结构分析软件的计算结果,应进行分析判断,确认其合理、有效后方可作为工程设计的依据。
条文说明
5.1.16 在计算机和计算机软件广泛应用的条件下,除了要选择使用可靠的计算软件外,还应对软件产生的计算结果从力学概念和工程经验等方面加以分析判断,确认其合理性和可靠性。
5.2 计算参数
5.2.1 高层建筑结构地震作用效应计算时,可对剪力墙连梁刚度予以折减,折减系数不宜小于0.5。
条文说明
5.2.1 高层建筑结构构件均采用弹性刚度参与整体分析,但抗震设计的框架-剪力墙或剪力墙结构中的连梁刚度相对墙体较小,而承受的弯矩和剪力很大,配筋设计困难。因此,可考虑在不影响承受竖向荷载能力的前提下,允许其适当开裂(降低刚度)而把内力转移到墙体上。通常,设防烈度低时可少折减一些(6、7度时可取0.7),设防烈度高时可多折减一些(8、9度时可取0.5)。折减系数不宜小于0.5,以保证连梁承受竖向荷载的能力。
对框架-剪力墙结构中一端与柱连接、一端与墙连接的梁以及剪力墙结构中的某些连梁,如果跨高比较大(比如大于5)、重力作用效应比水平风或水平地震作用效应更为明显,此时应慎重考虑梁刚度的折减问题,必要时可不进行梁刚度折减,以控制正常使用阶段梁裂缝的发生和发展。
本次修订进一步明确了仅在计算地震作用效应时可以对连梁刚度进行折减,对如重力荷载、风荷载作用效应计算不宜考虑连梁刚度折减。有地震作用效应组合工况,均可按考虑连梁刚度折减后计算的地震作用效应参与组合。
5.2.2 在结构内力与位移计算中,现浇楼盖和装配整体式楼盖中,梁的刚度可考虑翼缘的作用予以增大。近似考虑时,楼面梁刚度增大系数可根据翼缘情况取1.3~2.0。
对于无现浇面层的装配式楼盖,不宜考虑楼面梁刚度的增大。
条文说明
5.2.2 现浇楼面和装配整体式楼面的楼板作为梁的有效翼缘形成T形截面,提高了楼面梁的刚度,结构计算时应予考虑。当近似其影响时,应根据梁翼缘尺寸与梁截面尺寸的比例关系确定增大系数的取值。通常现浇楼面的边框架梁可取1.5,中框架梁可取2.0;有现浇面层的装配式楼面梁的刚度增大系数可适当减小。当框架梁截面较小而楼板较厚或者梁截面较大而楼板较薄时,梁刚度增大系数可能会超出1.5~2.0的范围,因此规定增大系数可取1.3~2.0。
5.2.3 在竖向荷载作用下,可考虑框架梁端塑性变形内力重分布对梁端负弯矩乘以调幅系数进行调幅,并应符合下列规定:
1 装配整体式框架梁端负弯矩调幅系数可取为0.7~0.8,现浇框架梁端负弯矩调幅系数可取为0.8~0.9;
2 框架梁端负弯矩调幅后,梁跨中弯矩应按平衡条件相应增大;
3 应先对竖向荷载作用下框架梁的弯矩进行调幅,再与水平作用产生的框架梁弯矩进行组合;
4 截面设计时,框架梁跨中截面正弯矩设计值不应小于竖向荷载作用下按简支梁计算的跨中弯矩设计值的50%。
条文说明
5.2.3 在竖向荷载作用下,框架梁端负弯矩往往较大,配筋困难,不便于施工和保证施工质量。因此允许考虑塑性变形内力重分布对梁端负弯矩进行适当调幅。钢筋混凝土的塑性变形能力有限,调幅的幅度应该加以限制。框架梁端负弯矩减小后,梁跨中弯矩应按平衡条件相应增大。
截面设计时,为保证框架梁跨中截面底钢筋不至于过少,其正弯矩设计值不应小于竖向荷载作用下按简支梁计算的跨中弯矩之半。
5.2.4 高层建筑结构楼面梁受扭计算时应考虑现浇楼盖对梁的约束作用。当计算中未考虑现浇楼盖对梁扭转的约束作用时,可对梁的计算扭矩予以折减。梁扭矩折减系数应根据梁周围楼盖的约束情况确定。
条文说明
5.2.4 高层建筑结构楼面梁受楼板(有时还有次梁)的约束作用,无约束的独立梁极少。当结构计算中未考虑楼盖对梁扭转的约束作用时,梁的扭转变形和扭矩计算值过大,与实际情况不符,抗扭设计也比较困难,因此可对梁的计算扭矩予以适当折减。计算分析表明,扭矩折减系数与楼盖(楼板和梁)的约束作用和梁的位置密切相关,折减系数的变化幅度较大,本规程不便给出具体的折减系数,应由设计人员根据具体情况进行确定。
5.3 计算简图处理
5.3.1 高层建筑结构分析计算时宜对结构进行力学上的简化处理,使其既能反映结构的受力性能,又适应于所选用的计算分析软件的力学模型。
条文说明
5.3.1 高层建筑是三维空间结构,构件多,受力复杂;结构计算分析软件都有其适用条件,使用不当,可能导致结构设计的不合理甚至不安全。因此,结构计算分析时,应结合结构的实际情况和所采用的计算软件的力学模型要求,对结构进行力学上的适当简化处理,使其既能比较正确地反映结构的受力性能,又适应于所选用的计算分析软件的力学模型,从根本上保证结构分析结果的可靠性。
5.3.2 楼面梁与竖向构件的偏心以及上、下层竖向构件之间的偏心宜按实际情况计入结构的整体计算。当结构整体计算中未考虑上述偏心时,应采用柱、墙端附加弯矩的方法予以近似考虑。
5.3.3 在结构整体计算中,密肋板楼盖宜按实际情况进行计算。
当不能按实际情况计算时,可按等刚度原则对密肋梁进行适当简化后再行计算。
对平板无梁楼盖,在计算中应考虑板的面外刚度影响,其面外刚度可按有限元方法计算或近似将柱上板带等效为框架梁计算。
条文说明
5.3.3 密肋板楼盖简化计算时,可将密肋梁均匀等效为柱上框架梁,其截面宽度可取被等效的密肋梁截面宽度之和。
平板无梁楼盖的面外刚度由楼板提供,计算时必须考虑。当采用近似方法考虑时,其柱上板带可等效为框架梁计算,等效框架梁的截面宽度可取等代框架方向板跨的3/4及垂直于等代框架方向板跨的1/2两者的较小值。
5.3.4 在结构整体计算中,宜考虑框架或壁式框架梁、柱节点区的刚域(图5.3.4)影响,

梁端截面弯矩可取刚域端截面的弯矩计算值。刚域的长度可按下列公式计算:

当计算的刚域长度为负值时,应取为零。
条文说明
5.3.4 当构件截面相对其跨度较大时,构件交点处会形成相对的刚性节点区域。刚域尺寸的合理确定,会在一定程度上影响结构的整体分析结果,本条给出的计算公式是近似公式,但在实际工程中已有多年应用,有一定的代表性。确定计算模型时,壁式框架梁、柱轴线可取为剪力墙连梁和墙肢的形心线。
本条规定,考虑刚域后梁端截面计算弯矩可以取刚域端截面的弯矩值,而不再取轴线截面的弯矩值,在保证安全的前提下,可以适当减小梁端截面的弯矩值,从而减少配筋量。
5.3.5 在结构整体计算中,转换层结构、加强层结构、连体结构、竖向收进结构(含多塔楼结构),应选用合适的计算模型进行分析。在整体计算中对转换层、加强层、连接体等做简化处理的,宜对其局部进行更细致的补充计算分析。
5.3.6 复杂平面和立面的剪力墙结构,应采用合适的计算模型进行分析。当采用有限元模型时,应在截面变化处合理地选择和划分单元;当采用杆系模型计算时,对错洞墙、叠合错洞墙可采取适当的模型化处理,并应在整体计算的基础上对结构局部进行更细致的补充计算分析。
条文说明
5.3.5、5.3.6 对复杂高层建筑结构、立面错洞剪力墙结构,在结构内力与位移整体计算中,可对其局部作适当的和必要的简化处理,但不应改变结构的整体变形和受力特点。整体计算作了简化处理的,应对作简化处理的局部结构或结构构件进行更精细的补充计算分析(比如有限元分析),以保证局部构件计算分析结果的可靠性。
5.3.7 高层建筑结构整体计算中,当地下室顶板作为上部结构嵌固部位时,地下一层与首层侧向刚度比不宜小于2。
条文说明
5.3.7 本条给出作为结构分析模型嵌固部位的刚度要求。计算地下室结构楼层侧向刚度时,可考虑地上结构以外的地下室相关部位的结构,“相关部位”一般指地上结构外扩不超过三跨的地下室范围。楼层侧向刚度比可按本规程附录E.0.1条公式计算。
5.4 重力二阶效应及结构稳定
5.4.1 当高层建筑结构满足下列规定时,弹性计算分析时可不考虑重力二阶效应的不利影响。
1 剪力墙结构、框架-剪力墙结构、板柱剪力墙结构、筒体结构:

2 框架结构:

条文说明
5.4.1 在水平力作用下,带有剪力墙或筒体的高层建筑结构的变形形态为弯剪型,框架结构的变形形态为剪切型。计算分析表明,重力荷载在水平作用位移效应上引起的二阶效应(以下简称重力P—△效应)有时比较严重。对混凝土结构,随着结构刚度的降低,重力二阶效应的不利影响呈非线性增长。因此,对结构的弹性刚度和重力荷载作用的关系应加以限制。本条公式使结构按弹性分析的二阶效应对结构内力、位移的增量控制在5%左右;考虑实际刚度折减50%时,结构内力增量控制在10%以内。 如果结构满足本条要求,重力二阶效应的影响相对较小,可忽略不计。 公式(5.4.1—1)与德国设计规范(DIN1045)及原规程JGJ 3—91第4.3.1条的规定基本一致。 结构的弹性等效侧向刚度EJd,可近似按倒三角形分布荷载作用下结构顶点位移相等的原则,将结构的侧向刚度折算为竖向悬臂受弯构件的等效侧向刚度。假定倒三角形分布荷载的最大值为q,在该荷载作用下结构顶点质心的弹性水平位移为u,房屋高度为H,则结构的弹性等效侧向刚度EJd可按下式计算:

5.4.2 当高层建筑结构不满足本规程第5.4.1条的规定时,结构弹性计算时应考虑重力二阶效应对水平力作用下结构内力和位移的不利影响。
条文说明
5.4.2 混凝土结构在水平力作用下,如果侧向刚度不满足本规程第5.4.1条的规定,应考虑重力二阶效应对结构构件的不利影响。但重力二阶效应产生的内力、位移增量宜控制在一定范围,不宜过大。考虑二阶效应后计算的位移仍应满足本规程第3.7.3条的规定。
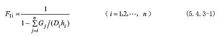
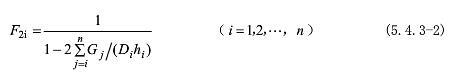
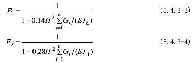
5.4.3 高层建筑结构的重力二阶效应可采用有限元方法进行计算;也可采用对未考虑重力二阶效应的计算结果乘以增大系数的方法近似考虑。近似考虑时,结构位移增大系数F1、F1i以及结构构件弯矩和剪力增大系数F2、F2i可分别按下列规定计算,位移计算结果仍应满足本规程第3.7.3条的规定。
对框架结构,可按下列公式计算:


对剪力墙结构、框架-剪力墙结构、简体结构,可按下列公式计算:

条文说明
5.4.3 一般可根据楼层重力和楼层在水平力作用下产生的层间位移,计算出等效的荷载向量,利用结构力学方法求解重力二阶效应。重力二阶效应可采用有限元分析计算,也可按简化的弹性方法近似考虑。增大系数法是一种简单近似的考虑重力P—△效应的方法。考虑重力P—△效应的结构位移可采用未考虑重力二阶效应的位移乘以位移增大系数,但位移限制条件不变。本规程第3.7.3条规定按弹性方法计算的位移宜满足规定的位移限值,因此结构位移增大系数计算时,不考虑结构刚度的折减。考虑重力P—△效应的结构构件(梁、柱、剪力墙)内力可采用未考虑重力二阶效应的内力乘以内力增大系数,内力增大系数计算时,考虑结构刚度的折减,为简化计算,折减系数近似取0.5,以适当提高结构构件承载力的安全储备。
5.4.4 高层建筑结构的稳定应符合下列规定: ( 自2022年4月1日起废止该条,点击查看:新规 《混凝土结构通用规范》 GB 55008-2021)
1 剪力墙结构、框架-剪力墙结构、简体结构应符合下式要求:

2 框架结构应符合下式要求:

条文说明
5.4.4 结构整体稳定性是高层建筑结构设计的基本要求。研究表明,高层建筑混凝土结构仅在竖向重力荷载作用下产生整体失稳的可能性很小。高层建筑结构的稳定设计主要是控制在风荷载或水平地震作用下,重力荷载产生的二阶效应不致过大,以免引起结构的失稳、倒塌。结构的刚度和重力荷载之比(简称刚重比)是影响重力P一△效应的主要参数。如果结构的刚重比满足本条公式(5.4.4—1)或(5.4.4—2)的规定,则在考虑结构弹性刚度折减50%的情况下,重力P—△效应仍可控制在20%之内,结构的稳定具有适宜的安全储备。若结构的刚重比进一步减小,则重力P—△效应将会呈非线性关系急剧增长,直至引起结构的整体失稳。在水平力作用下,高层建筑结构的稳定应满足本条的规定,不应再放松要求。如不满足本条的规定,应调整并增大结构的侧向刚度。 当结构的设计水平力较小,如计算的楼层剪重比(楼层剪力与其上各层重力荷载代表值之和的比值)小于0.02时,结构刚度虽能满足水平位移限值要求,但有可能不满足本条规定的稳定要求。
5.5 结构弹塑性分析及薄弱层弹塑性变形验算
5.5.1 高层建筑混凝土结构进行弹塑性计算分析时,可根据实际工程情况采用静力或动力时程分析方法,并应符合下列规定:
1 当采用结构抗震性能设计时,应根据本规程第3.11节的有关规定预定结构的抗震性能目标;
2 梁、柱、斜撑、剪力墙、楼板等结构构件,应根据实际情况和分析精度要求采用合适的简化模型;
3 构件的几何尺寸、混凝土构件所配的钢筋和型钢、混合结构的钢构件应按实际情况参与计算;
4 应根据预定的结构抗震性能目标,合理取用钢筋、钢材、混凝土材料的力学性能指标以及本构关系。钢筋和混凝土材料的本构关系可按现行国家标准《混凝土结构设计规范》GB 50010的有关规定采用;
5 应考虑几何非线性影响;
6 进行动力弹塑性计算时,地面运动加速度时程的选取、预估罕遇地震作用时的峰值加速度取值以及计算结果的选用应符合本规程第4.3.5条的规定;
7 应对计算结果的合理性进行分析和判断。
条文说明
5.5.1 本条为新增条文。对重要的建筑结构、超高层建筑结构、复杂高层建筑结构进行弹塑性计算分析,可以分析结构的薄弱部位、验证结构的抗震性能,是目前应用越来越多的一种方法。 在进行结构弹塑性计算分析时,应根据工程的重要性、破坏后的危害性及修复的难易程度,设定结构的抗震性能目标,这部分内容可按本规程第3.11节的有关规定执行。 建立结构弹塑性计算模型时,可根据结构构件的性能和分析精度要求,采用恰当的分析模型。如梁、柱、斜撑可采用一维单元;墙、板可采用二维或三维单元。结构的几何尺寸、钢筋、型钢、钢构件等应按实际设计情况采用,不应简单采用弹性计算软件的分析结果。 结构材料(钢筋、型钢、混凝土等)的性能指标(如弹性模量、强度取值等)以及本构关系,与预定的结构或结构构件的抗震性能目标有密切关系,应根据实际情况合理选用。如材料强度可分别取用设计值、标准值、抗拉极限值或实测值、实测平均值等,与结构抗震性能目标有关。结构材料的本构关系直接影响弹塑性分析结果,选择时应特别注意;钢筋和混凝土的本构关系,在现行国家标准《混凝土结构设计规范》GB 50010的附录中有相应规定,可参考使用。 结构弹塑性变形往往比弹性变形大很多,考虑结构几何非线性进行计算是必要的,结果的可靠性也会因此有所提高。 与弹性静力分析计算相比,结构的弹塑性分析具有更大的不确定性,不仅与上述因素有关,还与分析软件的计算模型以及结构阻尼选取、构件破损程度的衡量、有限元的划分等有关,存在较多的人为因素和经验因素。因此,弹塑性计算分析首先要了解分析软件的适用性,选用适合于所设计工程的软件,然后对计算结果的合理性进行分析判断。工程设计中有时会遇到计算结果出现不合理或怪异现象,需要结构工程师与软件编制人员共同研究解决。
5.5.2 在预估的罕遇地震作用下,高层建筑结构薄弱层(部位)弹塑性变形计算可采用下列方法:
1 不超过12层且层侧向刚度无突变的框架结构可采用本规程第5.5.3条规定的简化计算法;
2 除第1款以外的建筑结构可采用弹塑性静力或动力分析方法。
条文说明
5.5.2 本条规定了进行结构弹塑性分析的具体方法。本次修订取消了02规程中“7、8、9度抗震设计”的限制条件,因为本条仅规定计算方法,哪些结构需要进行弹塑性计算分析,在本规程第3.7.4、5.1.13条等条有专门规定。
5.5.3 结构薄弱层(部位)的弹塑性层间位移的简化计算,宜符合下列规定:
1 结构薄弱层(部位)的位置可按下列情况确定:
1)楼层屈服强度系数沿高度分布均匀的结构,可取底层;
2)楼层屈服强度系数沿高度分布不均匀的结构,可取该系数最小的楼层(部位)和相对较小的楼层,一般不超过2~3处。
2 弹塑性层间位移可按下列公式计算:


条文说明
5.5.3 本条罕遇地震作用下结构薄弱层(部位)弹塑性变形验算的简化计算方法,与现行国家标准《建筑抗震设计规范》GB 50011的规定一致。
5.6 荷载组合和地震作用组合的效应
5.6.1 持久设计状况和短暂设计状况下,当荷载与荷载效应按线性关系考虑时,荷载基本组合的效应设计值应按下式确定: ( 自2022年4月1日起废止该条,点击查看:新规 《混凝土结构通用规范》 GB 55008-2021)

注:对书库、档案库、储藏室、通风机房和电梯机房,本条楼面活荷载组合值系数取0.7的场合应取为0.9。
5.6. 2 持久设计状况和短暂设计状况下,荷载基本组合的分项系数应按下列规定采用:
1 永久荷载的分项系数γG:当其效应对结构承载力不利时,对由可变荷载效应控制的组合应取1.2,对由永久荷载效应控制的组合应取1.35;当其效应对结构承载力有利时,应取1.0。
2 楼面活荷载的分项系数γQ;一般情况下应取1.4。
3 风荷载的分项系数γw应取1.4。 ( 自2022年4月1日起废止该条,点击查看:新规 《混凝土结构通用规范》 GB 55008-2021)
5.6.3 地震设计状况下,当作用与作用效应按线性关系考虑时,荷载和地震作用基本组合的效应设计值应按下式确定: ( 自2022年4月1日起废止该条,点击查看:新规 《混凝土结构通用规范》 GB 55008-2021)


5.6.4 地震设计状况下,荷载和地震作用基本组合的分项系数应按表5.6.4采用。当重力荷载效应对结构的承载力有利时,表5.6.4中γ G 不应大于1.0。 ( 自2022年4月1日起废止该条,点击查看:新规 《混凝土结构通用规范》 GB 55008-2021)

条文说明
5.6.1~5.6.4 本节是高层建筑承载能力极限状态设计时作用组合效应的基本要求,主要根据现行国家标准《工程结构可靠性设计统一标准》GB 50153以及《建筑结构荷载规范》GB 50009、《建筑抗震设计规范》GB 50011的有关规定制定。 本次修订:1)增加了考虑设计使用年限的可变荷载(楼面活荷载)调整系数;2)仅规定了持久、短暂、地震设计状况下,作用基本组合时的作用效应设计值的计算公式,对偶然作用组合、标准组合不作强制性规定,有关结构侧向位移的设计规定见本规程第3.7.3条;3)明确了本节规定不适用于作用和作用效应呈非线性关系的情况;4)表5.6.4中增加了7度(0.15g)时,也要考虑水平地震、竖向地震作用同时参与组合的情况;5)对水平长悬臂结构和大跨度结构,表5.6.4中增加了竖向地震作为主要可变作用的组合工况。 第5.6.1条和5.6.3条均适应于作用和作用效应呈线性关系的情况。如果结构上的作用和作用效应不能以线性关系表述,则作用组合的效应应符合现行国家标准《工程结构可靠性设计统一标准》GB 50153的有关规定。 持久设计状况和短暂设计状况作用基本组合的效应,当永久荷载效应起控制作用时,永久荷载分项系数取1.35,此时参与组合的可变作用(如楼面活荷载、风荷载等)应考虑相应的组合值系数;持久设计状况和短暂设计状况的作用基本组合的效应,当可变荷载效应起控制作用(永久荷载分项系数取1.2)的场合,如风荷载作为主要可变荷载、楼面活荷载作为次要可变荷载时,其组合值系数分别取1.0、0.7,对书库、档案库、储藏室、通风机房和电梯机房等楼面活荷载较大且相对固定的情况,其楼面活荷载组合值系数应由0.7改为0.9;持久设计状况和短暂设计状况的作用基本组合的效应,当楼面活荷载作为主要可变荷载、风荷载作为次要可变荷载时,其组合值系数分别取1.0和0.6。 结构设计使用年限为100年时,本条公式(5.6.1)中参与组合的风荷载效应应按现行国家标准《建筑结构荷载规范》GB 50009规定的100年重现期的风压值计算;当高层建筑对风荷载比较敏感时,风荷载效应计算尚应符合本规程第4.2.2条的规定。 地震设计状况作用基本组合的效应,当本规程有规定时,地震作用效应标准值应首先乘以相应的调整系数、增大系数,然后再进行效应组合。如薄弱层剪力增大、楼层最小地震剪力系数(剪重比)调整、框支柱地震轴力的调整、转换构件地震内力放大、框架-剪力墙结构和筒体结构有关地震剪力调整等。 7度(0.15g)和8、9度抗震设计的大跨度结构、长悬臂结构应考虑竖向地震作用的影响,如高层建筑的大跨度转换构件、连体结构的连接体等。 关于不同设计状况的定义以及作用的标准组合、偶然组合的有关规定,可参考现行国家标准《工程结构可靠性设计统一标准》GB 50153。
5.6.5 非抗震设计时,应按本规程第5.6.1条的规定进行荷载组合的效应计算。抗震设计时,应同时按本规程第5.6.1条和5.6.3条的规定进行荷载和地震作用组合的效应计算;按本规程第5.6.3条计算的组合内力设计值,尚应按本规程的有关规定进行调整。
条文说明
5.6.5 对非抗震设计的高层建筑结构,应按式(5.6.1)计算荷载效应的组合;对抗震设计的高层建筑结构,应同时按式(5.6.1)和式(5.6.3)计算荷载效应和地震作用效应组合,并按本规程的有关规定(如强柱弱梁、强剪弱弯等),对组合内力进行必要的调整。同二构件的不同截面或不同设计要求,可能对应不同的组合工况,应分别进行验算。
6 框架结构设计
6.1 一般规定
6.1.1 框架结构应设计成双向梁柱抗侧力体系。主体结构除个别部位外,不应采用铰接。
6.1.2 抗震设计的框架结构不应采用单跨框架。
条文说明
6.1.2 本次修订将02规程的“不宜”改为“不应”,进一步从严要求。震害调查表明,单跨框架结构,尤其是层数较多的高层建筑,震害比较严重。因此,抗震设计的框架结构不应采用冗余度低的单跨框架。 单跨框架结构是指整栋建筑全部或绝大部分采用单跨框架的结构,不包括仅局部为单跨框架的框架结构。本规程第8.1.3条第1、2款规定的框架-剪力墙结构可局部采用单跨框架结构;其他情况应根据具体情况进行分析、判断。
6.1.3 框架结构的填充墙及隔墙宜选用轻质墙体。抗震设计时,框架结构如采用砌体填充墙,其布置应符合下列规定:
1 避免形成上、下层刚度变化过大。
2 避免形成短柱。
3 减少因抗侧刚度偏心而造成的结构扭转。
条文说明
6.1.3 本条为02规程第6.1.4条的修改,02规程第6.1.3条改为本规程第6.1.7条。 框架结构如采用砌体填充墙,当布置不当时,常能造成结构竖向刚度变化过大;或形成短柱;或形成较大的刚度偏心。由于填充墙是由建筑专业布置,结构图纸上不予表示,容易被忽略。 国内、外皆有由此而造成的震害例子。本条目的是提醒结构工程师注意防止砌体(尤其是砖砌体)填充墙对结构设计的不利影响。
6.1.4 抗震设计时,框架结构的楼梯间应符合下列规定:
1 楼梯间的布置应尽量减小其造成的结构平面不规则。
2 宜采用现浇钢筋混凝土楼梯,楼梯结构应有足够的抗倒塌能力。
3 宜采取措施减小楼梯对主体结构的影响。
4 当钢筋混凝土楼梯与主体结构整体连接时,应考虑楼梯对地震作用及其效应的影响,并应对楼梯构件进行抗震承载力验算。
条文说明
6.1.4 2008年汶川地震震害进一步表明,框架结构中的楼梯及周边构件破坏严重。本次修订增加了楼梯的抗震设计要求。抗震设计时,楼梯间为主要疏散通道,其结构应有足够的抗倒塌能力,楼梯应作为结构构件进行设计。框架结构中楼梯构件的组合内力设计值应包括与地震作用效应的组合,楼梯梁、柱的抗震等级应与框架结构本身相同。 框架结构中,钢筋混凝土楼梯自身的刚度对结构地震作用和地震反应有着较大的影响,若楼梯布置不当会造成结构平面不规则,抗震设计时应尽量避免出现这种情况。 震害调查中发现框架结构中的楼梯板破坏严重,被拉断的情况非常普遍,因此应进行抗震设计,并加强构造措施,宜采用双排配筋。
6.1.5 抗震设计时,砌体填充墙及隔墙应具有自身稳定性,并应符合下列规定:
1 砌体的砂浆强度等级不应低于M5,当采用砖及混凝土砌块时,砌块的强度等级不应低于MU5;采用轻质砌块时,砌块的强度等级不应低于MU2.5。墙顶应与框架梁或楼板密切结合。
2 砌体填充墙应沿框架柱全高每隔500mm左右设置2根直径6mm的拉筋,6度时拉筋宜沿墙全长贯通,7、8、9度时拉筋应沿墙全长贯通。
3 墙长大于5m时,墙顶与梁(板)宜有钢筋拉结;墙长大于8m或层高的2倍时,宜设置间距不大于4m的钢筋混凝土构造柱;墙高超过4m时,墙体半高处(或门洞上皮)宜设置与柱连接且沿墙全长贯通的钢筋混凝土水平系梁。
4 楼梯间采用砌体填充墙时,应设置间距不大于层高且不大于4m的钢筋混凝土构造柱,并应采用钢丝网砂浆面层加强。
条文说明
6.1.5 2008年汶川地震中,框架结构中的砌体填充墙破坏严重。本次修订明确了用于填充墙的砌块强度等级,提高了砌体填充墙与主体结构的拉结要求、构造柱设置要求以及楼梯间砌体墙构造要求。
6.1.6 框架结构按抗震设计时,不应采用部分由砌体墙承重之混合形式。框架结构中的楼、电梯间及局部出屋顶的电梯机房、楼梯间、水箱间等,应采用框架承重,不应采用砌体墙承重。 ( 自2022年4月1日起废止该条,点击查看:新规 《混凝土结构通用规范》 GB 55008-2021)
条文说明
6.1.6 框架结构与砌体结构是两种截然不同的结构体系,其抗侧刚度、变形能力等相差很大,这两种结构在同一建筑物中混合使用,对建筑物的抗震性能将产生很不利的影响,甚至造成严重破坏。
6.1.7 框架梁、柱中心线宜重合。当梁柱中心线不能重合时,在计算中应考虑偏心对梁柱节点核心区受力和构造的不利影响,以及梁荷载对柱子的偏心影响。
梁、柱中心线之间的偏心距,9度抗震设计时不应大于柱截面在该方向宽度的1/4;非抗震设计和6~8度抗震设计时不宜大于柱截面在该方向宽度的1/4,如偏心距大于该方向柱宽的1/4时,可采取增设梁的水平加腋(图6.1.7)等措施。设置水平加腋后,仍须考虑梁柱偏心的不利影响。

1 梁的水平加腋厚度可取梁截面高度,其水平尺寸宜满足下列要求:

2 梁采用水平加腋时,框架节点有效宽度bj宜符合下式要求:

条文说明
6.1.7 在实际工程中,框架梁、柱中心线不重合、产生偏心的实例较多,需要有解决问题的方法。本条是根据国内外试验研究的结果提出的。根据试验结果,采用水平加腋方法,能明显改善梁柱节点的承受反复荷载性能。9度抗震设计时,不应采用梁柱偏心较大的结构。
6.1.8 不与框架柱相连的次梁,可按非抗震要求进行设计。
条文说明
6.1.8 不与框架柱(包括框架-剪力墙结构中的柱)相连的次梁,可按非抗震设计。 图4为框架楼层平面中的一个区格。图中梁L1两端不与框架柱相连,因而不参与抗震,所以梁L1的构造可按非抗震要求。 例如,梁端箍筋不需要按抗震要求加密,仅需满足抗剪强度的要求,其间距也可按非抗震构件的要求;箍筋无需弯135°钩,90°钩即可;纵筋的锚固、搭接等都可按非抗震要求。图中梁L2与L1不同,其一端与框架柱相连,另一端与梁相连;与框架柱相连端应按抗震设计,其要求应与框架梁相同,与梁相连端构造可同L1梁。

6.2 截面设计
6.2.1 抗震设计时,除顶层、柱轴压比小于0.15者及框支梁柱节点外,框架的梁、柱节点处考虑地震作用组合的柱端弯矩设计值应符合下列要求:
1 一级框架结构及9度时的框架:

2 其它情况:

条文说明
6.2.1 由于框架柱的延性通常比梁的延性小,一旦框架柱形成了塑性铰,就会产生较大的层间侧移,并影响结构承受垂直荷载的能力。因此,在框架柱的设计中,有目的地增大柱端弯矩设计值,体现“强柱弱梁”的设计概念。
本次修订对“强柱弱梁”的要求进行了调整,提高了框架结构的要求,对二、三级框架结构柱端弯矩增大系数Vc由02规程的1.2、1.1分别提高到1.5、1.3。因本规程框架结构不含四级,故取消了四级的有关要求。
一级框架结构和9度时的框架应按实配钢筋进行强柱弱梁验算。本规程的高层建筑,9度时抗震等级只有一级,无二级。 当楼板与梁整体现浇时,板内配筋对梁的受弯承载力有相当影响,因此本次修订增加了在计算梁端实际配筋面积时,应计入梁有效翼缘宽度范围内楼板钢筋的要求。梁的有效翼缘宽度取值,各国规范也不尽相同,建议一般情况可取梁两侧各6倍板厚的范围。
本次修订对二、三级框架结构仅提高了柱端弯矩增大系数,未要求采用实配反算。但当框架梁是按最小配筋率的构造要求配筋时,为避免出现因梁的实际受弯承载力与弯矩设计值相差太多而无法实现“强柱弱梁”的情况,宜采用实配反算的方法进行柱子的受弯承载力设计。此时公式(6.2.3—1)中的实配系数1.2可适当降低,但不应低于1.1。
6.2.2 抗震设计时,一、二、三级框架结构的底层柱底截面的弯矩设计值,应分别采用考虑地震作用组合的弯矩值与增大系数1.7、1.5、1.3的乘积。底层框架柱纵向钢筋应按上、下端的不利情况配置。
条文说明
6.2.2 研究表明,框架结构的底层柱下端,在强震下不能避免出现塑性铰。为了提高抗震安全度,将框架结构底层柱下端弯矩设计值乘以增大系数,以加强底层柱下端的实际受弯承载力,推迟塑性铰的出现。本次修订进一步提高了增大系数的取值,一、二、三级增大系数由02规程的1.5、1.25、1.15分别调整为1.7、1.5、1.3。
增大系数只适用于框架结构,对其他类型结构中的框架,不作此要求。
6.2.3 抗震设计的框架柱、框支柱端部截面的剪力设计值,一、二、三、四级时永安下列公式计算:
1 一级框架结构和9度时的框架:

2 其它情况:

条文说明
6.2.3 框架柱、框支柱设计时应满足“强剪弱弯”的要求。在设计中,需要有目的地增大柱子的剪力设计值。本次修订对剪力放大系数作了调整,提高了框架结构的要求,二、三级时柱端剪力增大系数ηvc由02规程的1.2、1.1分别提高到1.3、1.2;对其他结构的框架,扩大了进行“强剪弱弯”设计的范围,要求四级框架柱也要增大,要求同三级。
6.2.4 抗震设计时,框架角柱应按双向偏心受力构件进行正截面承载力设计。一、二、三、四级框架角柱经按本规程第6.2.1~6.2.3条调整后的弯矩、剪力设计值应乘以不小于1.1的增大系数。
条文说明
6.2.4 抗震设计的框架,考虑到角柱承受双向地震作用,扭转效应对内力影响较大,且受力复杂,在设计中应予以适当加强,因此对其弯矩设计值、剪力设计值增大10%。02规程中,此要求仅针对框架结构中的角柱;本次修订扩大了范围,并增加了四级要求。
6.2.5 抗震设计时,框架梁端部截面组合的剪力设计值,一、二、三级应按下列公式计算;四级时可直接取考虑地震作用组合的剪力计算值。
1 一级框架结构及9度时的框架:

2 其它情况:

条文说明
6.2.5 框架结构设计中应力求做到,在地震作用下的框架呈现梁铰型延性机构,为减少梁端塑性铰区发生脆性剪切破坏的可能性,对框架梁提出了梁端的斜截面受剪承载力应高于正截面受弯承载力的要求,即“强剪弱弯”的设计概念。
梁端斜截面受剪承载力的提高,首先是在剪力设计值确定中,考虑了梁端弯矩的增大,以体现“强剪弱弯”的要求。对一级抗震等级的框架结构及9度时的其他结构中的框架,还考虑了工程设计中梁端纵向受拉钢筋有超配的情况,要求梁左、右端取用考虑承载力抗震调整系数的实际抗震受弯承载力进行受剪承载力验算。梁端实际抗震受弯承载力可按下式计算:

时,应计入有效翼缘宽度范围内的纵筋,有效翼缘宽度可取梁两侧各6倍板厚。 对其他情况的一级和所有二、三级抗震等级的框架梁的剪力设计值的确定,则根据不同抗震等级,直接取用梁端考虑地震作用组合的弯矩设计值的平衡剪力值,乘以不同的增大系数。
6.2.6 框架梁、柱,其受剪截面应符合下列要求:
1 持久、短暂设计状况

2 地震设计状况


6.2.7 抗震设计时,一、二、三级框架的节点核心区应进行抗震验算;四级框架节点可不进行抗震验算。各抗震等级的框架节点均应符合构造措施的要求。
条文说明
6.2.7 本次修订增加了三级框架节点的抗震受剪承载力验算要求,取消了02规程中“各抗震等级的顶层端节点核心区,可不进行抗震验算”的规定及02规程的附录C。
节点核心区的验算可按现行国家标准《混凝土结构设计规范》GB 50010的有关规定执行。
6.2.8 矩形截面偏心受压框架柱,其斜截面受剪承载力应按下列公式计算:
1 持久、短暂设计状况

2 地震设计状况

6.2.9 当矩形截面框架柱出现拉力时,其斜截面受剪承载力应按下列公式计算:
1 持久、短暂设计状况

2 地震设计状况

6.2.10 本章未作规定的框架梁、柱和框支梁、柱截面的其他承载力验算,应按照现行国家标准《混凝土结构设计规范》GB 50010的有关规定执行。
条文说明
6.2.10 本条为02规程第6.2.10~6.2.13条的合并。本规程未作规定的承载力计算,包括截面受弯承载力、受扭承载力、剪扭承载力、受压(受拉)承载力、偏心受拉(受压)承载力、拉(压)弯剪扭承载力、局部承压承载力、双向受剪承载力等,均应按现行国家标准《混凝土结构设计规范》GB 50010的有关规定执行。
6.3 框架梁构造要求
6.3.1 框架结构的主梁截面高度可按计算跨度的1/10~1/18确定;梁净跨与截面高度之比不宜小于4。梁的截面宽度不宜小于梁截面高度的1/4,也不宜小于200mm。
当梁高较小或采用扁梁时,除应验算其承载力和受剪截面要求外,尚应满足刚度和裂缝的有关要求。在计算梁的挠度时,可扣除梁的合理起拱值;对现浇梁板结构,宜考虑梁受压翼缘的有利影响。
条文说明
6.3.1 过去规定框架主梁的截面高度为计算跨度的1/8~1/12,已不能满足近年来大量兴建的高层建筑对于层高的要求。近来我国一些设计单位,已大量设计了梁高较小的工程,对于8m左右的柱网,框架主梁截面高度为450mm左右,宽度为350mm~400mm的工程实例也较多。 国外规范规定的框架梁高跨比,较我国小。例如美国ACI 318—08规定梁的高度为:

从以上数据可以看出,我们规定的高跨比下限1/18,此国外规范要严。因此,不论从国内已有的工程经验以及与国外规范相比较,规定梁截面高跨比为1/10~1/18是可行的。在选用时,上限1/10可适用于荷载较大的情况。当设计入确有可靠依据且工程上有需要时,梁的高跨比也可小于1/18。
在工程中,如果梁承受的荷载较大,可以选择较大的高跨比。在计算挠度时,可考虑梁受压区有效翼缘的作用,并可将梁的合理起拱值从其计算所得挠度中扣除。
6.3.2 框架梁设计应符合下列要求:
1 抗震设计时,计入受压钢筋作用的梁端截面混凝土受压区高度与有效高度之比值,一级不应大于0.25,二、三级不应大于0.35。
2 纵向受拉钢筋的最小配筋百分率ρmin(%),非抗震设计时,不应小于0.2和45ft/fy二者的较大值;抗震设计时,不应小于表6.3.2—1规定的数值。 ( 自2022年4月1日起废止该条,点击查看:新规 《混凝土结构通用规范》 GB 55008-2021)

3 抗震设计时,梁端截面的底面和顶面纵向钢筋截面面积的比值,除按计算确定外,一级不应小于0.5,二、三级不应小于0.3。
4 抗震设计时,梁端箍筋的加密区长度、箍筋最大间距和最小直径应符合表6.3.2—2的要求;当梁端纵向钢筋配筋率大于2%时,表中箍筋最小直径应增大2mm。

条文说明
6.3.2 抗震设计中,要求框架梁端的纵向受压与受拉钢筋的比例A's /As不小于0.5(一级)或0.3(二、三级),因为梁端有箍筋加密区,箍筋间距较密,这对于发挥受压钢筋的作用,起了很好的保证作用。所以在验算本条的规定时,可以将受压区的实际配筋计入,则受压区高度x不大于0.25h0(一级)或0.35h0(二、三级)的条件较易满足。 本次修订,取消了02规程本条第3款框架梁端最大配筋率不应大于2.5%的强制性要求,相关内容改为非强制性要求反映在本规程的6.3.3条中。最大配筋率主要考虑因素包括保证梁端截面的延性、梁端配筋不致过密而影响混凝土的浇筑质量等,但是不宜给一个确定的数值作为强制性条文内容。 本次修订还增加了表6.3.2—2的注2,给出了可适当放松梁端加密区箍筋的间距的条件。主要考虑当箍筋直径较大且肢数较多时,适当放宽箍筋间距要求,仍然可以满足梁端的抗震性能,同时箍筋直径大、间距过密时不利于混凝土的浇筑,难以保证混凝土的质量。
6.3.3 梁的纵向钢筋配置,尚应符合下列规定:
1 抗震设计时,梁端纵向受拉钢筋的配筋率不宜大于2.5%,不应大于2.75%;当梁端受拉钢筋的配筋率大于2.5%时,受压钢筋的配筋率不应小于受拉钢筋的一半。
2 沿梁全长顶面和底面应至少各配置两根纵向配筋,一、二级抗震设计时钢筋直径不应小于14mm,且分别不应小于梁两端顶面和底面纵向配筋中较大截面面积的1/4;三、四级抗震设计和非抗震设计时钢筋直径不应小于12mm。
3 一、二、三级抗震等级的框架梁内贯通中柱的每根纵向钢筋的直径,对矩形截面柱,不宜大于柱在该方向截面尺寸的1/20;对圆形截面柱,不宜大于纵向钢筋所在位置柱截面弦长的1/20。
条文说明
6.3.3 根据近年来工程应用情况和反馈意见,梁的纵向钢筋最大配筋率不再作为强制性条文,相关内容由02规程第6.3.2条移入本条。 根据国内、外试验资料,受弯构件的延性随其配筋率的提高而降低。但当配置不少于受拉钢筋50%的受压钢筋时,其延性可以与低配筋率的构件相当。新西兰规范规定,当受弯构件的压区钢筋大于拉区钢筋的50%时,受拉钢筋配筋率不大于2.5%的规定可以适当放松。当受压钢筋不少于受拉钢筋的75%时,其受拉钢筋配筋率可提高30%,也即配筋率可放宽至3.25%。因此本次修订规定,当受压钢筋不少于受拉钢筋的50%时,受拉钢筋的配筋率可提高至2.75%。
本条第3款的规定主要是防止梁在反复荷载作用时钢筋滑移;本次修订增加了对三级框架的要求。
6.3.4 非抗震设计时,框架梁箍筋配筋构造应符合下列规定:
1 应沿梁全长设置箍筋,第一个箍筋应设置在距支座边缘50mm处。
2 截面高度大于800mm的梁,其箍筋直径不宜小于8mm;其余截面高度的梁不应小于6mm。在受力钢筋搭接长度范围内,箍筋直径不应小于搭接钢筋最大直径的1/4。
3 箍筋间距不应大于表6.3.4的规定;在纵向受拉钢筋的搭接长度范围内,箍筋间距尚不应大于搭接钢筋较小直径的5倍,且不应大于100mm;在纵向受压钢筋的搭接长度范围内,箍筋间距尚不应大于搭接钢筋较小直径的10倍,且不应大于200mm。
4 承受弯矩和剪力的梁,当梁的剪力设计值大于0.7fth0时,其箍筋的面积配筋率应符合下式规定:

5 承受弯矩、剪力和扭矩的梁,其箍筋面积配筋率和受扭纵向钢筋的面积配筋率应分别符合公式(6.3.4-2)和(6.3.4-3)的规定:


6 当梁中配有计算需要的纵向受压钢筋时,其箍筋配置尚应符合下列规定:
1)箍筋直径不应小于纵向受压钢筋最大直径的1/4;
2)箍筋应做成封闭式;
3)箍筋间距不应大于15d且不应大于400mm;当一层内的受压钢筋多于5根且直径大于18mm时,箍筋间距不应大于10d(d为纵向受压钢筋的最小直径);
4)当梁截面宽度大于400mm且一层内的纵向受压钢筋多于3根时,或当梁截面宽度不大于400mm但一层内的纵向受压钢筋多于4根时,应设置复合箍筋。
条文说明
6.3.4 本条第5款为新增内容,给出了抗扭箍筋和抗扭纵向钢筋的最小配筋要求。
6.3.5 抗震设计时,框架梁的箍筋尚应符合下列构造要求:
1 沿梁全长箍筋的面积配筋率应符合下列规定:

2 在箍筋加密区范围内的箍筋肢距:一级不宜大于200mm和20倍箍筋直径的较大值,二、三级不宜大于250mm和20倍箍筋直径的较大值,四级不宜大于300mm。
3 箍筋应有135°弯钩,弯钩端头直段长度不应小于10倍的箍筋直径和75mm的较大值。
4 在纵向钢筋搭接长度范围内的箍筋间距,钢筋受拉时不应大于搭接钢筋较小直径的5倍,且不应大于100mm;钢筋受压时不应大于搭接钢筋较小直径的10倍,且不应大于200mm。
5 框架梁非加密区箍筋最大间距不宜大于加密区箍筋间距的2倍。
6.3.6 框架梁的纵向钢筋不应与箍筋、拉筋及预埋件等焊接。
条文说明
6.3.6 梁的纵筋与箍筋、拉筋等作十字交叉形的焊接时,容易使纵筋变脆,对于抗震不利,因此作此规定。同理,梁、柱的箍筋在有抗震要求时应弯135°钩,当采用焊接封闭箍时应特别注意避免出现箍筋与纵筋焊接在一起的情况。 国外规范,如美国ACI 318—08规范,在抗震设计也有类似的条文。 钢筋与构件端部锚板可采用焊接。
6.3.7 框架梁上开洞时,洞口位置宜位于梁跨中1/3区段,洞口高度不应大于梁高的40%;开洞较大时应进行承载力验算。
梁上洞口周边应配置附加纵向钢筋和箍筋(图6.3.7),并应符合计算及构造要求。

条文说明
6.3.7 本条为新增内容,给出了梁上开洞的具体要求。当梁承受均布荷载时,在梁跨度的中部1/3区段内,剪力较小。洞口高度如大于梁高的1/3,只要经过正确计算并合理配筋,应当允许。在梁两端接近支座处,如必须开洞,洞口不宜过大,且必须经过核算,加强配筋构造。 有些资料要求在洞口角部配置斜筋,容易导致钢筋之间的间距过小,使混凝土浇捣困难;当钢筋过密时,不建议采用。图6.3.7可供参考采用;当梁跨中部有集中荷载时,应根据具体情况另行考虑。
6.4 框架柱构造要求
6.4.1 柱截面尺寸宜符合下列规定,
1 矩形截面柱的边长,非抗震设计时不宜小于250mm,抗震设计时,四级不宜小于300mm,一、二、三级时不宜小于400mm;圆柱直径,非抗震和四级抗震设计时不宜小于350mm,一、二、三级时不宜小于450mm。
2 柱剪跨比宜大于2。
3 柱截面高宽比不宜大于3。
条文说明
6.4.1 考虑到抗震安全性,本次修订提高了抗震设计时柱截面最小尺寸的要求。一、二、三级抗震设计时,矩形截面柱最小截面尺寸由300mm改为400mm,圆柱最小直径由350mm改为450mm。
6.4.2 抗震设计时,钢筋混凝土柱轴压比不宜超过表6.4.2的规定;对于Ⅳ类场地上较高的高层建筑,其轴压比限值应适当减小。

注:1 轴压比指柱考虑地震作用组合的轴压力设计值与柱全截面面积和混凝土轴心抗压强度设计值乘积的比值;
2 表内数值适用于混凝土强度等级不高于C60的柱。当混凝土强度等级为C65~C70时,轴压比限值应比表中数值降低0.05;当混凝土强度等级为C75~C80时,轴压比限值应比表中数值降低0.10;
3 表内数值适用于剪跨比大于2的柱;剪跨比不大于2但不小于1.5的柱,其轴压比限值应比表中数值减小0.05;剪跨比小于1.5的柱,其轴压比限值应专门研究并采取特殊构造措施;
4 当沿柱全高采用并字复合箍,箍筋间距不大于100mm、肢距不大于200mm、直径不小于12mm,或当沿柱全高采用复合螺旋箍,箍筋螺距不大于100mm、肢距不大于200mm、直径不小于12mm,或当沿柱全高采用连续复合螺旋箍,且螺距不大于80mm,肢距不大于200mm、直径不小于10mm时,轴压比限值可增加0.10;
5 当柱截面中部设置由附加纵向钢筋形成的芯柱,且附加纵向钢筋的截面面积不小于柱截面面积的0.8%时,柱轴压比限值可增加0.050当本项措施与注4的措施共同采用时,柱轴压比限值可比表中数值增加0.15,但箍筋的配箍特征值仍可按轴压比增加0.10的要求确定;
6 调整后的柱轴压比限值不应大于1.05。
条文说明
6.4.2 抗震设计时,限制框架柱的轴压比主要是为了保证柱的延性要求。本条中,对不同结构体系中的柱提出了不同的轴压比限值;本次修订对部分柱轴压比限值进行了调整,并增加了四级抗震轴压比限值的规定。框架结构比原限值降低0.05,框架-剪力墙等结构类型中的三级框架柱限值降低了0.05。 根据国内外的研究成果,当配箍量、箍筋形式满足一定要求,或在柱截面中部设置配筋芯柱且配筋量满足一定要求时,柱的延性性能有不同程度的提高,因此可对柱的轴压比限值适当放宽。 当采用设置配筋芯柱的方式放宽柱轴压比限值时,芯柱纵向钢筋配筋量应符合本条的规定,宜配置箍筋,其截面宜符合下列规定: 1 当柱截面为矩形时,配筋芯柱可采用矩形截面,其边长不宜小于柱截面相应边长的1/3; 2 当柱截面为正方形时,配筋芯柱可采用正方形或圆形,其边长或直径不宜小于柱截面边长的1/3; 3 当柱截面为圆形时,配筋芯柱宜采用圆形,其直径不宜小于柱截面直径的1/3。 条文所说的“较高的高层建筑”是指,高于40m的框架结构或高于60m的其他结构体系的混凝土房屋建筑。
6.4.3 柱纵向钢筋和箍筋配置应符合下列要求:
1 柱全部纵向钢筋的配筋率,不应小于表6.4.3—1的规定值,且柱截面每一侧纵向钢筋配筋率不应小于0.2%;抗震设计时,对Ⅳ类场地上较高的高层建筑,表中数值应增加0.1。 ( 自2022年4月1日起废止该条,点击查看:新规 《混凝土结构通用规范》 GB 55008-2021)

注:1 表中括号内数值适用于框架结构;
2 采用335MPa级、400MPa级纵向受力钢筋时,应分别按表中数值增加0.1和0.05采用;
3 当混凝土强度等级高于C60时,上述数值应增加0.1采用。
2 抗震设计时,柱箍筋在规定的范围内应加密,加密区的箍筋间距和直径,应符合下列要求:
1)箍筋的最大间距和最小直径,应按表6.4.3—2采用;

2)一级框架柱的箍筋直径大于12mm且箍筋肢距不大于150mm及二级框架柱箍筋直径不小于10mm且肢距不大于200mm时,除柱根外最大间距应允许采用150mm;三级框架柱的截面尺寸不大于400mm时,箍筋最小直径应允许采用6mm;四级框架柱的剪跨比不大于2或柱中全部纵向钢筋的配筋率大于3%时,箍筋直径不应小于8mm;
3)剪跨比不大于2的柱,箍筋间距不应大于100mm。
条文说明
6.4.3 本条是钢筋混凝土柱纵向钢筋和箍筋配置的最低构造要求。本次修订,第1款调整了抗震设计时框架柱、框支柱、框架结构边柱和中柱最小配筋率的规定;表6.4.3—1中数值是以500MPa级钢筋为基准的。与02规程相比,对335MPa及400MPa级钢筋的最小配筋率略有提高,对框架结构的边柱和中柱的最小配筋百分率也提高了0.1,适当增大了安全度。 第2款第2)项增加丁一级框架柱端加密区箍筋间距可以适当放松的规定,主要考虑当箍筋直径较大、肢数较多、肢距较小时,箍筋的间距过小会造成钢筋过密,不利于保证混凝土的浇筑质量;适当放宽箍筋间距要求,仍然可以满足柱端的抗震性能。 但应注意:箍筋的间距放宽后,柱的体积配箍率仍需满足本规程的相关规定。
6.4.4 柱的纵向钢筋配置,尚应满足下列规定:
1 抗震设计时,宜采用对称配筋。
2 截面尺寸大于400mm的柱,一、二、三级抗震设计时其纵向钢筋间距不宜大于200mm 抗震等级为四级和非抗震设计时,柱纵向钢筋间距不宜大于300mm;柱纵向钢筋净距均不应小于50mm。
3 全部纵向钢筋的配筋率,非抗震设计时不宜大于5%、不应大于6%,抗震设计时不应大于5%。
4 一级且剪跨比不大于2的柱,其单侧纵向受拉钢筋的配筋率不宜大于1.2%。
5 边柱;角柱及剪力墙端柱考虑地震作用组合产生小偏心受拉时,柱内纵筋总截面面积应比计算值增加25%。
条文说明
6.4.4 本次修订调整了非抗震设计时柱纵向钢筋间距的要求,由350mm改为300mm;明确了四级抗震设计时柱纵向钢筋间距的要求同非抗震设计。
6.4.5 柱的纵筋不应与箍筋、拉筋及预埋件等焊接。
条文说明
6.4.5 本条理由,同本规程第6.3.6条。
6.4.6 抗震设计时,柱箍筋加密区的范围应符合下列规定:
1 底层柱的上端和其他各层柱的两端,应取矩形截面柱之长边尺寸(或圆形截面柱之直径)、柱净高之1/6和500mm三者之最大值范围;
2 底层柱刚性地面上、下各500mm的范围;
3 底层柱柱根以上1/3柱净高的范围;
4 剪跨比不大于2的柱和因填充墙等形成的柱净高与截面高度之比不大于4的柱全高范围;
5 一、二级框架角柱的全高范围;
6 需要提高变形能力的柱的全高范围。
6.4.7 柱加密区范围内箍筋的体积配箍率,应符合下列规定:
1 柱箍筋加密区箍筋的体积配箍率,应符合下式要求:


注:普通箍指单个矩形箍或单个圆形箍;螺旋箍指单个连续螺旋箍筋,复合箍指由矩形、多边形、圆形箍或拉筋组成的箍筋;复合螺旋箍指由螺旋箍与矩形、多边形、圆形箍或拉筋组成的箍筋;连续复合螺旋箍指全部螺旋箍由同一根钢筋加工而成的箍筋。
2 对一、二、三、四级框架柱,其箍筋加密区范围内箍筋的体积配箍率尚且分别不应小于0.8%、0.6%、0.4%和0.4%。
3 剪跨比不大于2的柱宜采用复合螺旋箍或井字复合箍,其体积配箍率不应小于1.2%;设防烈度为9度时,不应小于1.5%。
4 计算复合螺旋箍筋的体积配箍率时,其非螺旋箍筋的体积应乘以换算系数0.8。
条文说明
6.4.7 本规程给出了柱最小配箍特征值,可适应钢筋和混凝土强度的变化,有利于更合理地采用高强钢筋;同时,为了避免由计算的体积配箍率过低,还规定了最小体积配箍率要求。 本条给出的箍筋最小配箍特征值,除与柱抗震等级和轴压比有关外,还与箍筋形式有关。井式复合箍、螺旋箍、复合螺旋箍、连续复合螺旋箍对混凝土具有更好的约束性能,因此其配箍特征值可比普通箍、复合箍低一些。本条所提到的柱箍筋形式举例如图5所示。

本次修订取消了“计算复合箍筋的体积配箍率时,应扣除重叠部分的箍筋体积”的要求;在计算箍筋体积配箍率时,取消了箍筋强度设计值不超过360MPa的限制。
6.4.8 抗震设计时,柱箍筋设置尚应符合下列规定:
1 箍筋应为封闭式,其末端应做成135°弯钩且弯钩末端平直段长度不应小于10倍的箍筋直径,且不应小于75mm。
2 箍筋加密区的箍筋肢距,一级不宜大于200mm,二、三级不宜大于250mm和20倍箍筋直径的较大值,四级不宜大于300mm。每隔一根纵向钢筋宜在两个方向有箍筋约束;采用拉筋组合箍时,拉筋宜紧靠纵向钢筋并勾住封闭箍筋。
3 柱非加密区的箍筋,其体积配箍率不宜小于加密区的一半;其箍筋间距,不应大于加密区箍筋间距的2倍,且一、二级不应大于10倍纵向钢筋直径,三、四级不应大于15倍纵向钢筋直径。
6.4.9 非抗震设计时,柱中箍筋应符合下列规定:
1 周边箍筋应为封闭式;
2 箍筋间距不应大于400mm,且不应大于构件截面的短边尺寸和最小纵向受力钢筋直径的15倍;
3 箍筋直径不应小于最大纵向钢筋直径的1/4,且不应小于6mm;
4.当柱中全部纵向受力钢筋的配筋率超过3%时,箍筋直径不应小于8mm,箍筋间距不应大于最小纵向钢筋直径的10倍,且不应大于200mm,箍筋末端应做成135°弯钩且弯钩末端平直段长度不应小于10倍箍筋直径;
5 当柱每边纵筋多于3根时,应设置复合箍筋;
6 柱内纵向钢筋采用搭接做法时,搭接长度范围内箍筋直径不应小于搭接钢筋较大直径的1/4;在纵向受拉钢筋的搭接长度范围内的箍筋间距不应大于搭接钢筋较小直径的5倍,且不应大于100mm;在纵向受压钢筋的搭接长度范围内的箍筋间距不应大于搭接钢筋较小直径的10倍,且不应大于200mm。当受压钢筋直径大于25mm时,尚应在搭接接头端面外100mm的范围内各设置两道箍筋。
条文说明
6.4.8、6.4.9 原规程JGJ 3—91曾规定:当柱内全部纵向钢筋的配筋率超过3%时,应将箍筋焊成封闭箍。考虑到此种要求在实施时,常易将箍筋与纵筋焊在一起,使纵筋变脆,如本规程第6.3.6条的解释;同时每个箍皆要求焊接,费时费工,增加造价,于质量无益而有害。目前,国际上主要结构设计规范,皆无类似规定。 因此本规程对柱纵向钢筋配筋率超过3%时,未作必须焊接的规定。抗震设计以及纵向钢筋配筋率大于3%的非抗震设计的柱,其箍筋只需做成带135°弯钩之封闭箍,箍筋末端的直段长度不应小于10d。 在柱截面中心,可以采用拉条代替部分箍筋。 当采用菱形、八字形等与外围箍筋不平行的箍筋形式(图5b、d、e)时,箍筋肢距的计算,应考虑斜向箍筋的作用。
6.4.10 框架节点核心区应设置水平箍筋,且应符合下列规定:
1 非抗震设计时,箍筋配置应符合本规程第6.4.9条的有关规定,但箍筋间距不宜大于250mm;对四边有梁与之相连的节点,可仅沿节点周边设置矩形箍筋。
2 抗震设计时,箍筋的最大间距和最小直径宜符合本规程第6.4.3条有关柱箍筋的规定。一、二、三级框架节点核心区配箍特征值分别不宜小于0.12、0.10和0.08,且箍筋体积配箍率分别不宜小于0.6%、0.5%和0.4%。柱剪跨比不大于2的框架节点核心区的体积配箍率不宜小于核心区上、下柱端体积配箍率中的较大值。
条文说明
6.4.10 为使梁、柱纵向钢筋有可靠的锚固条件,框架梁柱节点核心区的混凝土应具有良好的约束。考虑到节点核心区内箍筋的作用与柱端有所不同,其构造要求与柱端有所区别。
6.4.11 柱箍筋的配筋形式,应考虑浇筑混凝土的工艺要求,在柱截面中心部位应留出浇筑混凝土所用导管的空间。
条文说明
6.4.11 本条为新增内容。现浇混凝土柱在施工时,一般情况下采用导管将混凝土直接引入柱底部,然后随着混凝土的浇筑将导管逐渐上提,直至浇筑完毕。因此,在布置柱箍筋时,需在柱中心位置留出不少于300mm×300mm的空间,以便于混凝土施工。对于截面很大或长矩形柱,尚需与施工单位协商留出不止插一个导管的位置。
6.5 钢筋的连接和锚固
6.5.1 受力钢筋的连接接头应符合下列规定:
1 受力钢筋的连接接头宜设置在构件受力较小部位;抗震设计时,宜避开梁端、柱端箍筋加密区范围。钢筋连接可采用机械连接、绑扎搭接或焊接。
2 当纵向受力钢筋采用搭接做法时,在钢筋搭接长度范围内应配置箍筋,其直径不应小于搭接钢筋较大直径的1/4。当钢筋受拉时,箍筋间距不应大于搭接钢筋较小直径的5倍,且不应大于100mm;当钢筋受压时,箍筋间距不应大于搭接钢筋较小直径的10倍,且不应大于200mm。当受压钢筋直径大于25mm时,尚应在搭接接头两个端面外100mm范围内各设置两道箍筋。
6.5.2 非抗震设计时,受拉钢筋的最小锚固长度应取la。受拉钢筋绑扎搭接的搭接长度,应根据位于同一连接区段内搭接钢筋截面面积的百分率按下式计算,且不应小于300mm。


6.5.3 抗震设计时,钢筋混凝土结构构件纵向受力钢筋的锚固和连接,应符合下列要求:
1 纵向受拉钢筋的最小锚固长度laE应按下列规定采用:

2 当采用绑扎搭接接头时,其搭接长度不应小于下式的计算值:

3 受拉钢筋直径大于25mm、受压钢筋直径大于28mm时,不宜采用绑扎搭接接头;
4 现浇钢筋混凝土框架梁、柱纵向受力钢筋的连接方法,应符合下列规定:
1)框架柱:一、二级抗震等级及三级抗震等级的底层,宜采用机械连接接头,也可采用绑扎搭接或焊接接头;三级抗震等级的其他部位和四级抗震等级,可采用绑扎搭接或焊接接头;
2)框支梁、框支柱:宜采用机械连接接头;
3)框架梁:一级宜采用机械连接接头,二、三、四级可采用绑扎搭接或焊接接头。
5 位于同一连接区段内的受拉钢筋接头面积百分率不宜超过50%;
6 当接头位置无法避开梁端、柱端箍筋加密区时,应采用满足等强度要求的机械连接接头,且钢筋接头面积百分率不宜超过50%;
7 钢筋的机械连接、绑扎搭接及焊接,尚应符合国家现行有关标准的规定。
条文说明
6.5.1~6.5.3 关于钢筋的连接,需注意下列问题:
1 对于结构的关键部位,钢筋的连接宜采用机械连接,不宜采用焊接。这是因为焊接质量较难保证,而机械连接技术已比较成熟,质量和性能比较稳定。另外,1995年日本阪神地震震害中,观察到多处采用气压焊的柱纵向钢筋在焊接部位拉断的情况。本次修订对位于梁柱端部箍筋加密区内的钢筋接头,明确要求应采用满足等强度要求的机械连接接头。
2 采用搭接接头时,对非抗震设计,允许在构件同一截面100%搭接,但搭接长度应适当加长。这对于柱纵向钢筋的搭接接头较为有利。
第6.5.1条第2款是由02规程第6. 4.9条第6款移植过来的,本款内容同时适用于抗震、非抗震设计,给出了柱纵向钢筋采用搭接做法时在钢筋搭接长度范围内箍筋的配置要求。
6.5.4 非抗震设计时,框架梁、柱的纵向钢筋在框架节点区的锚固和搭接(图6.5.4)应符合下列要求:
1 顶层中节点柱纵向钢筋和边节点柱内侧纵向钢筋应伸至柱顶;当从梁底边计算的直线锚固长度不小于la时,可不必水平弯折,否则应向柱内或梁、板内水平弯折,当充分利用柱纵向钢筋的抗拉强度时,其锚固段弯折前的竖直投影长度不应小于0.5lab,弯折后的水平投影长度不宜小于12倍的柱纵向钢筋直径。此处,lab为钢筋基本锚固长度,应符合现行国家标准《混凝土结构设计规范》GB 50010的有关规定。

2 顶层端节点处,在梁宽范围以内的柱外侧纵向钢筋可与梁上部纵向钢筋搭接,搭接长度不应小于1.5la;在梁宽范围以外的柱外侧纵向钢筋可伸入现浇板内,其伸入长度与伸入梁内的相同。当柱外侧纵向钢筋的配筋率大于1.2%时,伸入梁内的柱纵向钢筋宜分两批截断,其截断点之间的距离不宜小于20倍的柱纵向钢筋直径。
3 梁上部纵向钢筋伸入端节点的锚固长度,直线锚固时不应小于la,且伸过柱中心线的长度不宜小于5倍的梁纵向钢筋直径;当柱截面尺寸不足时,梁上部纵向钢筋应伸至节点对边并向下弯折,弯折水平段的投影长度不应小于0.4lab,弯折后竖直投影长度不应小于15倍纵向钢筋直径。
4 当计算中不利用梁下部纵向钢筋的强度时,其伸入节点内的锚固长度应取不小于12倍的梁纵向钢筋直径。当计算中充分利用梁下部钢筋的抗拉强度时,梁下部纵向钢筋可采用直线方式或向上90°弯折方式锚固于节点内,直线锚固时的锚固长度不应小于la;弯折锚固时,弯折水平段的投影长度不应小于0.4lab,弯折后竖直投影长度不应小于15倍纵向钢筋直径。
5 当采用锚固板锚固措施时,钢筋锚固构造应符合现行国家标准《混凝土结构设计规范》GB 50010的有关规定。
6.5.5 抗震设计时,框架梁、柱的纵向钢筋在框架节点区的锚固和搭接(图6.5.5)应符合下列要求:
1 顶层中节点柱纵向钢筋和边节点柱内侧纵向钢筋应伸至柱顶。当从梁底边计算的直线锚固长度不小于laE时,可不必水平弯折,否则应向柱内或梁内、板内水平弯折,锚固段弯折前的竖直投影长度不应小于0.5labE,弯折后的水平投影长度不宜小于12倍的柱纵向钢筋直径。此处,labE为抗震时钢筋的基本锚固长度,一、二级取1.15lab,三、四级分别取1.05lab和1.00lab。

2 顶层端节点处,柱外侧纵向钢筋可与梁上部纵向钢筋搭接,搭接长度不应小于1.5laE,且伸入梁内的柱外侧纵向钢筋截面面积不宜小于柱外侧全部纵向钢筋截面面积的65%;在梁宽范围以外的柱外侧纵向钢筋可伸入现浇板内,其伸入长度与伸入梁内的相同。当柱外侧纵向钢筋的配筋率大于1.2%时,伸入梁内的柱纵向钢筋宜分两批截断,其截断点之间的距离不宜小于20倍的柱纵向钢筋直径。
3 梁上部纵向钢筋伸入端节点的锚固长度,直线锚固时不应小于laE,且伸过柱中心线的长度不应小于5倍的梁纵向钢筋直径;当柱截面尺寸不足时,梁上部纵向钢筋应伸至节点对边并向下弯折,锚固段弯折前的水平投影长度不应小于0.4labE,弯折后的竖直投影长度应取15倍的梁纵向钢筋直径。
4 梁下部纵向钢筋的锚固与梁上部纵向钢筋相同,但采用90°弯折方式锚固时,竖直段应向上弯入节点内。
条文说明
6.5.4、6.5.5 分别规定了非抗震设计和抗震设计时,框架梁柱纵向钢筋在节点区的锚固要求及钢筋搭接要求。图6.5.4中梁顶面2根直径12mm的钢筋是构造钢筋;当相邻梁的跨度相差较大时,梁端负弯矩钢筋的延伸长度(截断位置),应根据实际受力情况另行确定。
本次修订按现行国家标准《混凝土结构设计规范》GB 50010作了必要的修改和补充。
7 剪力墙结构设计
7.1 一般规定
7.1.1 剪力墙结构应具有适宜的侧向刚度,其布置应符合下列规定:
1 平面布置宜简单、规则,宜沿两个主轴方向或其他方向双向布置,两个方向的侧向刚度不宜相差过大。抗震设计时,不应采用仅单向有墙的结构布置。
2 宜自下到上连续布置,避免刚度突变。
3 门窗洞口宜上下对齐、成列布置,形成明确的墙肢和连梁;宜避免造成墙肢宽度相差悬殊的洞口设置;抗震设计时,一、二、三级剪力墙的底部加强部位不宜采用上下洞口不对齐的错洞墙,全高均不宜采用洞口局部重叠的叠合错洞墙。
条文说明
7.1.1 高层建筑结构应有较好的空间工作性能,剪力墙应双向布置,形成空间结构。特别强调在抗震结构中,应避免单向布置剪力墙,并宜使两个方向刚度接近。 剪力墙的抗侧刚度较大,如果在某一层或几层切断剪力墙, 易造成结构刚度突变,因此,剪力墙从上到下宜连续设置。 剪力墙洞口的布置,会明显影响剪力墙的力学性能。规则开洞,洞口成列、成排布置,能形成明确的墙肢和连梁,应力分布比较规则,又与当前普遍应用程序的计算简图较为符合,设计计算结果安全可靠。错洞剪力墙和叠合错洞剪力墙的应力分布复杂,计算、构造都比较复杂和困难。剪力墙底部加强部位,是塑性铰出现及保证剪力墙安全的重要部位,一、二和三级剪力墙的底部加强部位不宜采用错洞布置,如无法避免错洞墙,应控制错洞墙洞口间的水平距离不小于2m,并在设计时进行仔细计算分析,在洞口周边采取有效构造措施(图6a、b)。此外,一、二、三级抗震设计的剪力墙全高都不宜采用叠合错洞墙,当无法避免叠合错洞布置时,应按有限元方法仔细计算分析,并在洞口周边采取加强措施(图6c),或在洞口不规则部位采用其他轻质材料填充,将叠合洞口转化为规则洞口(图6d,其中阴影部分表示轻质填充墙体)。

错洞墙或叠合错洞墙的内力和位移计算均应符合本规程第5章的有关规定。若在结构整体计算中采用杆系、薄壁杆系模型或对洞口作了简化处理的其他有限元模型时,应对不规则开洞墙的计算结果进行分析、判断,并进行补充计算和校核。目前除了平面有限元方法外,尚没有更好的简化方法计算错洞墙。采用平面有限元方法得到应力后,可不考虑混凝土的抗拉作用,按应力进行配筋,并加强构造措施。
本规程所指的剪力墙结构是以剪力墙及因剪力墙开洞形成的连梁组成的结构,其变形特点为弯曲型变形,目前有些项目采用了大部分由跨高比较大的框架梁联系的剪力墙形成的结构体系,这样的结构虽然剪力墙较多,但受力和变形特性接近框架结构,当层数较多时对抗震是不利的,宜避免。
7.1.2 剪力墙不宜过长,较长剪力墙宜设置跨高比较大的连梁将其分成长度较均匀的若干墙段,各墙段的高度与墙段长度之比不宜小于3,墙段长度不宜大于8m。
条文说明
7.1.2 剪力墙结构应具有延性,细高的剪力墙(高宽比大于3)容易设计成具有延性的弯曲破坏剪力墙。当墙的长度很长时,可通过开设洞口将长墙分成长度较小的墙段,使每个墙段成为高宽比大于3的独立墙肢或联肢墙,分段宜较均匀。用以分割墙段的洞口上可设置约束弯矩较小的弱连梁(其跨高比一般宜大于6)。
此外,当墙段长度(即墙段截面高度)很长时,受弯后产生的裂缝宽度会较大,墙体的配筋容易拉断,因此墙段的长度不宜过大,本规程定为8m。
7.1.3 跨高比小于5的连梁应按本章的有关规定设计,跨高比不小于5的连梁宜按框架梁设计。
条文说明
7.1.3 两端与剪力墙在平面内相连的梁为连梁。如果连梁以水平荷载作用下产生的弯矩和剪力为主,竖向荷载下的弯矩对连梁影响不大(两端弯矩仍然反号),那么该连梁对剪切变形十分敏感,容易出现剪切裂缝,则应按本章有关连梁设计的规定进行设计,一般是跨度较小的连梁;反之,则宜按框架梁进行设计,其抗震等级与所连接的剪力墙的抗震等级相同。
7.1.4 抗震设计时,剪力墙底部加强部位的范围,应符合下列规定:
1 底部加强部位的高度,应从地下室顶板算起;
2 底部加强部位的高度可取底部两层和墙体总高度的1/10二者的较大值,部分框支剪力墙结构底部加强部位的高度应符合本规程第10.2.2条的规定;
3 当结构计算嵌固端位于地下一层底板或以下时,底部加强部位宜延伸到计算嵌固端。
条文说明
7.1.4 抗震设计时,为保证剪力墙底部出现塑性铰后具有足够大的延性,应对可能出现塑性铰的部位加强抗震措施,包括提高其抗剪切破坏的能力,设置约束边缘构件等,该加强部位称为“底部加强部位”。剪力墙底部塑性铰出现都有一定范围,一般情况下单个塑性铰发展高度约为墙肢截面高度hw,但是为安全起见,设计时加强部位范围应适当扩大。本规定统一以剪力墙总高度的1/10与两层层高二者的较大值作为加强部位(02规程要求加强部位是剪力墙全高的1/8)。第3款明确了当地下室整体刚度不足以作为结构嵌固端,而计算嵌固部位不能设在地下室顶板时,剪力墙底部加强部位的设计要求宜延伸至计算嵌固部位。
7.1.5 楼面梁不宜支承在剪力墙或核心筒的连梁上。
条文说明
7.1.5 楼面梁支承在连梁上时,连梁产生扭转,一方面不能有效约束楼面梁,另一方面连梁受力十分不利,因此要尽量避免。
楼板次梁等截面较小的梁支承在连梁上时,次梁端部可按铰接处理。
7.1.6 当剪力墙或核心筒墙肢与其平面外相交的楼面梁刚接时,可沿楼面梁轴线方向设置与梁相连的剪力墙、扶壁柱或在墙内设置暗柱,并应符合下列规定;
1 设置沿楼面梁轴线方向与梁相连的剪力墙时,墙的厚度不宜小于梁的截面宽度;
2 设置扶壁柱时,其截面宽度不应小于梁宽,其截面高度可计入墙厚;
3 墙内设置暗柱时,暗柱的截面,高度可取墙的厚度,暗柱的截面宽度可取梁宽加2倍墙厚;
4 应通过计算确定暗柱或扶壁柱的纵向钢筋(或型钢),纵向钢筋的总配筋率不宜小于表7.1.6的规定。

5 楼面梁的水平钢筋应伸入剪力墙或扶壁柱,伸入长度应符合钢筋锚固要求。钢筋锚固段的水平投影长度,非抗震设计时不宜小于0.4lab,抗震设计时不宜小于0.4labE;当锚固段的水平投影长度不满足要求时,可将楼面梁伸出墙面形成梁头,梁的纵筋伸入梁头后弯折锚固(图7.1.6),也可采取其他可靠的锚固措施。

6 暗柱或扶壁柱应设置箍筋,箍筋直径,一、二、三级时不应小于8mm,四级及非抗震时不应小于6mm,且均不应小于纵向钢筋直径的1/4;箍筋间距,一、二、三级时不应大于150mm,四级及非抗震时不应大于200mm。
条文说明
7.1.6 剪力墙的特点是平面内刚度及承载力大,而平面外刚度及承载力都很小,因此,应注意剪力墙平面外受弯时的安全问题。当剪力墙与平面外方向的大梁连接时,会使墙肢平面外承受弯矩,当梁高大于约2倍墙厚时,刚性连接梁的梁端弯矩将使剪力墙平面外产生较大的弯矩,此时应当采取措施,以保证剪力墙平面外的安全。
本条所列措施,是02规程7.1.7条内容的修改和完善。是指在楼面梁与剪力墙刚性连接的情况下,应采取措施增大墙肢抵抗平面外弯矩的能力。在措施中强调了对墙内暗柱或墙扶壁柱进行承载力的验算,增加了暗柱、扶壁柱竖向钢筋总配筋率的最低要求和箍筋配置要求,并强调了楼面梁水平钢筋伸入墙内的锚固要求,钢筋锚固长度应符合现行国家标准《混凝土结构设计规范》GB 50010的有关规定。
当梁与墙在同一平面内时,多数为刚接,梁钢筋在墙内的锚固长度应与梁、柱连接时相同。当梁与墙不在同一平面内时,可能为刚接或半刚接,梁钢筋锚固都应符合锚固长度要求。
此外,对截面较小的楼面梁,也可通过支座弯矩调幅或变截面梁实现梁端铰接或半刚接设计,以减小墙肢平面外弯矩。此时应相应加大梁的跨中弯矩,这种情况下也必须保证梁纵向钢筋在墙内的锚固要求。
7.1.7 当墙肢的截面高度与厚度之比不大于4时,宜按框架柱进行截面设计。
条文说明
7.1.7 剪力墙与柱都是压弯构件,其压弯破坏状态以及计算原理基本相同,但是截面配筋构造有很大不同,因此柱截面和墙截面的配筋计算方法也各不相同。为此,要设定按柱或按墙进行截面设计的分界点。为方便设置边缘构件和分布钢筋,墙截面高厚比hw/bw宜大于4。本次修订修改了以前的分界点,规定截面高厚比hw/bw不大于4时,按柱进行截面设计。
7.1.8 抗震设计时,高层建筑结构不应全部采用短肢剪力墙;B级高度高层建筑以及抗震设防烈度为9度的A级高度高层建筑,不宜布置短肢剪力墙,不应采用具有较多短肢剪力墙的剪力墙结构。当采用具有较多短肢剪力墙的剪力墙结构时,应符合下列规定:
1 在规定的水平地震作用下,短肢剪力墙承担的底部倾覆力矩不宜大于结构底部总地震倾覆力矩的50%;
2 房屋适用高度应比本规程表3.3.1—1规定的剪力墙结构的最大适用高度适当降低,7度、8度(0.2g)和8度(0.3g)时分别不应大于100m、80m和60m。
注:1 短肢剪力墙是指截面厚度不大于300mm、各肢截面高度与厚度之比的最大值大于4但不大于8的剪力墙;
2 具有较多短肢剪力墙的剪力墙结构是指,在规定的水平地震作用下,短肢剪力墙承担的底部倾覆力矩不小于结构底部总地震倾覆力矩的30%的剪力墙结构。
条文说明
7.1.8 厚度不大的剪力墙开大洞口时,会形成短肢剪力墙,短肢剪力墙一般出现在多层和高层住宅建筑中。短肢剪力墙沿建筑高度可能有较多楼层的墙肢会出现反弯点,受力特点接近异形柱,又承担较大轴力与剪力,因此,本规程规定短肢剪力墙应加强,在某些情况下还要限制建筑高度。对于L形、T形、十字形剪力墙,其各肢的肢长与截面厚度之比的最大值大于4且不大于8时,才划分为短肢剪力墙。对于采用刚度较大的连梁与墙肢形成的开洞剪力墙,不宜按单独墙肢判断其是否属于短肢剪力墙。 由于短肢剪力墙抗震性能较差,地震区应用经验不多,为安全起见,在高层住宅结构中短肢剪力墙布置不宜过多,不应采用全部为短肢剪力墙的结构。短肢剪力墙承担的倾覆力矩不小于结构底部总倾覆力矩的30%时,称为具有较多短肢剪力墙的剪力墙结构,此时房屋的最大适用高度应适当降低。B级高度高层建筑及9度抗震设防的A级高度高层建筑,不宜布置短肢剪力墙,不应采用具有较多短肢剪力墙的剪力墙结构。
本条还规定短肢剪力墙承担的倾覆力矩不宜大于结构底部总倾覆力矩的50%,是在短肢剪力墙较多的剪力墙结构中,对短肢剪力墙数量的间接限制。
7.1.9 剪力墙应进行平面内的斜截面受剪、偏心受压或偏心受拉、平面外轴心受压承载力验算。在集中荷载作用下,墙内无暗柱时还应进行局部受压承载力验算。
条文说明
7.1.9 一般情况下主要验算剪力墙平面内的偏压、偏拉、受剪等承载力,当平面外有较大弯矩时,也应验算平面外的轴心受压承载力。
7.2 截面设计及构造
7.2.1 剪力墙的截面厚度应符合下列规定:
1 应符合本规程附录D的墙体稳定验算要求。
2 一、二级剪力墙:底部加强部位不应小于200mm,其他部位不应小于160mm 一字形独立剪力墙底部加强部位不应小于220mm,其他部位不应小于180mm。
3 三、四级剪力墙:不应小于160mm,一字形独立剪力墙的底部加强部位尚不应小于180mm。
4 非抗震设计时不应小于160mm。
5 剪力墙井筒中,分隔电梯井或管道井的墙肢截面厚度可适当减小,但不宜小于160mm。
条文说明
7.2.1 本条强调了剪力墙的截面厚度应符合本规程附录D的墙体稳定验算要求,并应满足剪力墙截面最小厚度的规定,其目的是为了保证剪力墙平面外的刚度和稳定性能,也是高层建筑剪力墙截面厚度的最低要求。按本规程的规定,剪力墙截面厚度除应满足本条规定的稳定要求外,尚应满足剪力墙受剪截面限制条件、剪力墙正截面受压承载力要求以及剪力墙轴压比限值要求。 02规程第7.2.2条规定了剪力墙厚度与层高或剪力墙无支长度比值的限制要求以及墙截面最小厚度的限值,同时规定当墙厚不能满足要求时,应按附录D计算墙体的稳定。当时主要考虑方便设计,减少计算工作量,一般情况下不必按附录D计算墙体的稳定。 本次修订对原规程第7.2.2条作了修改,不再规定墙厚与层高或剪力墙无支长度比值的限制要求。主要原因是:1)本条第2、3、4款规定的剪力墙截面的最小厚度是高层建筑的基本要求;2)剪力墙平面外稳定与该层墙体顶部所受的轴向压力的大小密切相关,如不考虑墙体顶部轴向压力的影响,单一限制墙厚与层高或无支长度的比值,则会形成高度相差很大的房屋其底部楼层墙厚的限制条件相同,或一幢高层建筑中底部楼层墙厚与顶部楼层墙厚的限制条件相近等不够合理的情况;3)本规程附录D的墙体稳定验算公式能合理地反映楼层墙体顶部轴向压力以及层高或无支长度对墙体平面外稳定的影响,并具有适宜的安全储备。

设计人员可利用计算机软件进行墙体稳定验算,可按设计经验、轴压比限值及本条2、3、4款初步选定剪力墙的厚度,也可参考02规程的规定进行初选:一、二级剪力墙底部加强部位可选层高或无支长度(图7)二者较小值的1/16,其他部位为层高或剪力墙无支长度二者较小值的1/20;三、四级剪力墙底部加强部位可选层高或无支长度二者较小值的1/20,其他部位为层高或剪力墙无支长度二者较小值的1/25。 一般剪力墙井筒内分隔空间的墙,不仅数量多,而且无支长度不大,为了减轻结构自重,第5款规定其墙厚可适当减小。
7.2.2 抗震设计时,短肢剪力墙的设计应符合下列规定:
1 短肢剪力墙截面厚度除应符合本规程第7.2.1条的要求外,底部加强部位尚不应小于200mm,其他部位尚不应小于180mm。
2 一、二、三级短肢剪力墙的轴压比,分别不宜大于0.45、0.50、0.55,一字形截面短肢剪力墙的轴压比限值应相应减少0.1。
3 短肢剪力墙的底部加强部位应按本节7.2.6条调整剪力设计值,其他各层一、二、三级时剪力设计值应分别乘以增大系数1.4、1.2和1.1。
4 短肢剪力墙边缘构件的设置应符合本规程第7.2.14条的规定。
5 短肢剪力墙的全部竖向钢筋的配筋率,底部加强部位一、二级不宜小于1.2%,三、四级不宜小于1.0%;其他部位一、二级不宜小于1.0%,三、四级不宜小于0.8%。
6 不宜采用一字形短肢剪力墙,不宜在一字形短肢剪力墙上布置平面外与之相交的单侧楼面梁。
条文说明
7.2.2 本条对短肢剪力墙的墙肢形状、厚度、轴压比、纵向钢筋配筋率、边缘构件等作了相应规定。本次修订对02规程的规定进行了修改,不论是否短肢剪力墙较多,所有短肢剪力墙都要求满足本条规定。短肢剪力墙的抗震等级不再提高,但在第2款中降低了轴压比限值。对短肢剪力墙的轴压比限制很严,是防止短肢剪力墙承受的楼面面积范围过大、或房屋高度太大,过早压坏引起楼板坍塌的危险。 一字形短肢剪力墙延性及平面外稳定均十分不利,因此规定不宜采用一字形短肢剪力墙,不宜布置单侧楼面梁与之平面外垂直连接或斜交,同时要求短肢剪力墙尽可能设置翼缘。
7.2.3 高层剪力墙结构的竖向和水平分布钢筋不应单排配置。
剪力墙截面厚度不大于400mm时,可采用双排配筋;大于400mm、但不大于700mm时,宜采用三排配筋;大于700mm时,宜采用四排配筋。各排分布钢筋之间拉筋的间距不应大于600mm,直径不应小于6mm。
条文说明
7.2.3 为防止混凝土表面出现收缩裂缝,同时使剪力墙具有一定的出平面抗弯能力,高层建筑的剪力墙不允许单排配筋。高层建筑的剪力墙厚度大,当剪力墙厚度超过400mm时,如果仅采用双排配筋,形成中部大面积的素混凝土,会使剪力墙截面应力分布不均匀,因此本条提出了可采用三排或四排配筋方案,截面设计所需要的配筋可分布在各排中,靠墙面的配筋可略大。在各排配筋之间需要用拉筋互相联系。
7.2.4 抗震设计的双肢剪力墙,其墙肢不宜出现小偏心受拉;当任一墙肢为偏心受拉时,另一墙肢的弯矩设计值及剪力设计值应乘以增大系数1.25。
条文说明
7.2.4 如果双肢剪力墙中一个墙肢出现小偏心受拉,该墙肢可能会出现水平通缝而严重削弱其抗剪能力,抗侧刚度也严重退化,由荷载产生的剪力将全部转移到另一个墙肢而导致另一墙肢抗剪承载力不足。因此,应尽可能避免出现墙肢小偏心受拉情况。当墙肢出现大偏心受拉时,墙肢极易出现裂缝,使其刚度退化,剪力将在墙肢中重分配,此时,可将另一受压墙肢按弹性计算的剪力设计值乘以1.25增大系数后计算水平钢筋,以提高其受剪承载力。注意,在地震作用的反复荷载下,两个墙肢都要增大设计剪力。
7.2.5 一级剪力墙的底部加强部位以上部位,墙肢的组合弯矩设计值和组合剪力设计值应乘以增大系数,弯矩增大系数可取为1.2,剪力增大系数可取为1.3。
条文说明
7.2.5 剪力墙墙肢的塑性铰一般出现在底部加强部位。对于一级抗震等级的剪力墙,为了更有把握实现塑性铰出现在底部加强部位,保证其他部位不出现塑性铰,因此要求增大一级抗震等级剪力墙底部加强部位以上部位的弯矩设计值,为了实现强剪弱弯设计要求,弯矩增大部位剪力墙的剪力设计值也应相应增大。
7.2.6 底部加强部位剪力墙截面的剪力设计值,一、二、三级时应按式(7.2.6—1)调整,9度一级剪力墙应按式(7.2.6—2)调整;二、三级的其他部位及四级时可不调整。

条文说明
7.2.6 抗震设计时,为实现强剪弱弯的原则,剪力设计值应由实配受弯钢筋反算得到。为了方便实际操作,一、二、三级剪力墙底部加强部位的剪力设计值是由计算组合剪力按式(7.2.6—1)乘以增大系数得到,按一、二、三级的不同要求,增大系数不同。一般情况下,由乘以增大系数得到的设计剪力,有利于保证强剪弱弯的实现。 在设计9度一级抗震的剪力墙时,剪力墙底部加强部位要求用实际抗弯配筋计算的受弯承载力反算其设计剪力,如式(7.2.6—2)。 由抗弯能力反算剪力,比较符合实际情况。因此,在某些情况下,一、二、三级抗震剪力墙均可按式(7.2.6—2)计算设计剪力,得到比较符合强剪弱弯要求而不浪费的抗剪配筋。
7.2.7 剪力墙墙肢截面剪力设计值应符合下列规定:
1 永久、短暂设计状况

2 地震设计状况


条文说明
7.2.7 剪力墙的名义剪应力值过高,会在早期出现斜裂缝,抗剪钢筋不能充分发挥作用,即使配置很多抗剪钢筋,也会过早剪切破坏。
7.2.8 矩形、T形、I形偏心受压剪力墙墙肢(图7.2.8)的正截面受压承载力应符合现行国家标准《混凝土结构设计规范》GB 50010的有关规定,也可按下列规定计算:

1 持久、短暂设计状况



2 地震设计状况,公式(7.2.8-1)、(7.2.8-2)右端均应除以承载力抗震调整系数γRE,γRE取0.85。
条文说明
7.2.8 钢筋混凝土剪力墙正截面受弯计算公式是依据现行国家标准《混凝土结构设计规范》GB 50010中偏心受压和偏心受拉构件的假定及有关规定,又根据中国建筑科学研究院结构所等单位所做的剪力墙试验研究结果进行了适当简化。 按照平截面假定,不考虑受拉混凝土的作用,受压区混凝土按矩形应力图块计算。大偏心受压时受拉、受压端部钢筋都达到屈服,在1.5倍受压区范围之外,假定受拉区分布钢筋应力全部达到屈服;小偏压时端部受压钢筋屈服,而受拉分布钢筋及端部钢筋均未屈服,且忽略部分钢筋的作用。 条文中分别给出了工字形截面的两个基本平衡公式(ΣN=0,ΣM=0),由上述假定可得到各种情况下的设计计算公式。
7.2.9 矩形截面偏心受拉剪力墙的正截面受拉承载力应符合下列规定:
1 永久、短暂设计状况

2 地震设计状况

条文说明
7.2.9 偏心受拉正截面计算公式直接采用了现行国家标准《混凝土结构设计规范》GB 50010的有关规定。
7.2.10 偏心受压剪力墙的斜截面受剪承载力应符合下列规定:
1 永久、短暂设计状况

2 地震设计状况

7.2.11 偏心受拉剪力墙的斜截面受剪承载力应符合下列规定:
1 永久、短暂设计状况

2 地震设计状况

条文说明
7.2.10、7.2.11 剪切脆性破坏有剪拉破坏、斜压破坏、剪压破坏三种形式。剪力墙截面设计时,是通过构造措施(最小配筋率和分布钢筋最大间距等)防止发生剪拉破坏和斜压破坏,通过计算确定墙中需要配置的水平钢筋数量,防止发生剪压破坏。 偏压构件中,轴压力有利于受剪承载力,但压力增大到一定程度后,对抗剪的有利作用减小,因此应用验算公式(7.2.10)时,要对轴力的取值加以限制。 偏拉构件中,考虑了轴向拉力对受剪承载力的不利影响。
7.2.12 抗震等级为一级的剪力墙,水平施工缝的抗滑移应符合下式要求:

条文说明
7.2.12 按一级抗震等级设计的剪力墙,要防止水平施工缝处发生滑移。公式(7.2.12)验算通过水平施工缝的竖向钢筋是否足以抵抗水平剪力,如果所配置的端部和分布竖向钢筋不够,则可设置附加插筋,附加插筋在上、下层剪力墙中都要有足够的锚固长度。
7.2.13 重力荷载代表值作用下,一、二、三级剪力墙墙肢的轴压比不宜超过表7.2.13的限值。

条文说明
7.2.13 轴压比是影响剪力墙在地震作用下塑性变形能力的重要因素。清华大学及国内外研究单位的试验表明,相同条件的剪力墙,轴压比低的,其延性大,轴压比高的,其延性小;通过设置约束边缘构件,可以提高高轴压比剪力墙的塑性变形能力,但轴压比大于一定值后,即使设置约束边缘构件,在强震作用下,剪力墙仍可能因混凝土压溃而丧失承受重力荷载的能力。因此,规程规定了剪力墙的轴压比限值。本次修订的主要内容为:将轴压比限值扩大到三级剪力墙;将轴压比限值扩大到结构全高,不仅仅是底部加强部位。
7.2.14 剪力墙两端和洞口两侧应设置边缘构件,并应符合下列规定:
1 一、二、三级剪力墙底层墙肢底截面的轴压比大于表7.2.14的规定值时,以及部分框支剪力墙结构的剪力墙,应在底部加强部位及相邻的上一层设置约束边缘构件,约束边缘构件应符合本规程第7.2.15条的规定;
2 除本条第1款所列部位外,剪力墙应按本规程第7.2.16条设置构造边缘构件;
3 B级高度高层建筑的剪力墙,宜在约束边缘构件层与构造边缘构件层之间设置1~2层过渡层,过渡层边缘构件的箍筋配置要求可低于约束边缘构件的要求,但应高于构造边缘构件的要求。

条文说明
7.2.14 轴压比低的剪力墙,即使不设约束边缘构件,在水平力作用下也能有比较大的塑性变形能力。本条规定了可以不设约束边缘构件的剪力墙的最大轴压比。B级高度的高层建筑,考虑到其高度比较高,为避免边缘构件配筋急剧减少的不利情况,规定了约束边缘构件与构造边缘构件之间设置过渡层的要求。
7.2.15 剪力墙的约束边缘构件可为暗柱、端柱和翼墙(图7.2.15),并应符合下列规定:
1 约束边缘构件沿墙肢的长度lc和箍筋配箍特征值λv应符合表7.2.15的要求,其体积配箍率ρv应按下式计算:



2 剪力墙约束边缘构件阴影部分(图7.2.15)的竖向钢筋除应满足正截面受压(受拉)承载力计算要求外,其配筋率一、二、三级时分别不应小于1.2%、1.0%和1.0%,并分别不应少于8Φ16、6Φ16和6Φ14的钢筋(Φ表示钢筋直径);
3 约束边缘构件内箍筋或拉筋沿竖向的间距,一级不宜大于100mm,二、三级不宜大于150mm;箍筋、拉筋沿水平方向的肢距不宜大于300mm,不应大于竖向钢筋间距的2倍。
条文说明
7.2.15 对于轴压比大于本规程表7.2.14规定的剪力墙,通过设置约束边缘构件,使其具有比较大的塑性变形能力。 截面受压区高度不仅与轴压力有关,而且与截面形状有关,在相同的轴压力作用下,带翼缘或带端柱的剪力墙,其受压区高度小于一字形截面剪力墙。因此,带翼缘或带端柱的剪力墙的约束边缘构件沿墙的长度,小于一字形截面剪力墙。 本次修订的主要内容为:增加了三级剪力墙约束边缘构件的要求;将轴压比分为两级,较大一级的约束边缘构件要求与02规程相同,较小一级的有所降低;可计入符合规定条件的水平钢筋的约束作用;取消了计算配箍特征值时,箍筋(拉筋)抗拉强度设计值不大于360MPa的规定。 本条“符合构造要求的水平分布钢筋”,一般指水平分布钢筋伸入约束边缘构件,在墙端有90°弯折后延伸到另一排分布钢筋并勾住其竖向钢筋,内、外排水平分布钢筋之间设置足够的拉筋,从而形成复合箍,可以起到有效约束混凝土的作用。
7.2.16 剪力墙构造边缘构件的范围宜按图7.2.16中阴影部分采用,其最小配筋应满足表7.2.16的规定,并应符合下列规定:
1 竖向配筋应满足正截面受压(受拉)承载力的要求;
2 当端柱承受集中荷载时,其竖向钢筋、箍筋直径和间距应满足框架柱的相应要求;
3 箍筋、拉筋沿水平方向的肢距不宜大于300mm,不应大于竖向钢筋间距的2倍;
4 抗震设计时,对于连体结构、错层结构以及B级高度高层建筑结构中的剪力墙(筒体),其构造边缘构件的最小配筋应符合下列要求:
1)竖向钢筋最小量应比表7.2.16中的数值提高0.001Ac采用;
2)箍筋的配筋范围宜取图7.2.16中阴影部分,其配箍特征值λv不宜小于0.1。
5 非抗震设计的剪力墙,墙肢端部应配置不少于4Φ12的纵向钢筋,箍筋直径不应小于6mm、间距不宜大于250mm。


条文说明
7.2.16 剪力墙构造边缘构件的设计要求与02规程变化不大,将箍筋、拉筋肢距“不应大于300mm”改为“不宜大于300mm”及不应大于竖向钢筋间距的2倍;增加了底部加强部位构造边缘构件的设计要求。 剪力墙构造边缘构件中的纵向钢筋按承载力计算和构造要求二者中的较大值设置。设计时需注意计算边缘构件竖向最小配筋所用的面积Ac的取法和配筋范围。承受集中荷载的端柱还要符合框架柱的配筋要求。构造边缘构件中的纵向钢筋宜采用高强钢筋。构造边缘构件可配置箍筋与拉筋相结合的横向钢筋。 02规程第7.2.17条对抗震设计的复杂高层建筑结构、混合结构、框架-剪力墙结构、筒体结构以及B级高度的高层剪力墙结构中剪力墙构造边缘构件提出了比一般剪力墙更高的要求,本次修订明确为连体结构、错层结构以及B级高度的高层建筑结构,适当缩小了加强范围。
7.2.17 剪力墙竖向和水平分布钢筋的配筋率,一、二、三级时均不应小于0.25%,四级和非抗震设计时均不应小于0.20%。 ( 自2022年4月1日起废止该条,点击查看:新规 《混凝土结构通用规范》 GB 55008-2021)
条文说明
7.2.17 为了防止混凝土墙体在受弯裂缝出现后立即达到极限受弯承载力,配置的竖向分布钢筋必须满足最小配筋百分率要求。 同时,为了防止斜裂缝出现后发生脆性的剪拉破坏,规定了水平分布钢筋的最小配筋百分率。本条所指剪力墙不包括部分框支剪力墙,后者比全部落地剪力墙更为重要,其分布钢筋最小配筋率应符合本规程第10章的有关规定。 本次修订不再把剪力墙分布钢筋最大间距和最小直径的规定作为强制性条文,相关内容反映在本规程第7.2.18条中。
7.2.18 剪力墙的竖向和水平分布钢筋的间距均不宜大于300mm,直径不应小于8mm。剪力墙的竖向和水平分布钢筋的直径不宜大于墙厚的1/10。
条文说明
7.2.18 剪力墙中配置直径过大的分布钢筋,容易产生墙面裂缝,一般宜配置直径小而间距较密的分布钢筋。
7.2.19 房屋顶层剪力墙、长矩形平面房屋的楼梯间和电梯间剪力墙、端开间纵向剪力墙以及端山墙的水平和竖向分布钢筋的配筋率均不应小于0.25%,间距均不应大于200mm。
条文说明
7.2.19 房屋顶层墙、长矩形平面房屋的楼、电梯间墙、山墙和纵墙的端开间等是温度应力可能较大的部位,应当适当增大其分布钢筋配筋量,以抵抗温度应力的不利影响。
7.2.20 剪力墙的钢筋锚固和连接应符合下列规定:
1 非抗震设计时,剪力墙纵向钢筋最小锚固长度应取la;抗震设计时,剪力墙纵向钢筋最小锚固长度应取laE。la、laE的取值应符合本规程第6.5节的有关规定。
2 剪力墙竖向及水平分布钢筋采用搭接连接时(图7.2.20),一、二级剪力墙的底部加强部位,接头位置应错开,同一截面连接的钢筋数量不宜超过总数量的50%,错开净距不宜小于500mm;其他情况剪力墙的钢筋可在同一截面连接。分布钢筋的搭接长度,非抗震设计时不应小于1.2la,抗震设计时不应小于1.2laE。

3 暗柱及端柱内纵向钢筋连接和锚固要求宜与框架柱相同,宜符合本规程第6.5节的有关规定。
条文说明
7.2.20 钢筋的锚固与连接要求与02规程有所不同。本条主要依据现行国家标准《混凝土结构设计规范》GB 50010的有关规定制定。
7.2.21 连梁两端截面的剪力设计值V应按下列规定确定:
1 非抗震设计以及四级剪力墙的连梁,应分别取考虑水平风荷载、水平地震作用组合的剪力设计值。
2 一、二、三级剪力墙的连梁,其梁端截面组合的剪力设计值应按式(7.2.21—1)确定,9度时一级剪力墙的连梁应按式(7.2.21—2)确定。

条文说明
7.2.21 连梁应与剪力墙取相同的抗震等级。 为了实现连梁的强剪弱弯、推迟剪切破坏、提高延性,应当采用实际抗弯钢筋反算设计剪力的方法;但是为了程序计算方便,本条规定,对于一、二、三级抗震采用了组合剪力乘以增大系数的方法确定连梁剪力设计值,对9度一级抗震等级的连梁,设计时要求用连梁实际抗弯配筋反算该增大系数。
7.2.22 连梁截面剪力设计值应符合下列规定:
1 永久、短暂设计状况

2 地震设计状况
跨高比大于2.5的连梁

跨高比不大于2.5的连梁

7.2.23 连梁的斜截面受剪承载力应符合下列规定:
1 永久、短暂设计状况

2 地震设计状况
跨高比大于2.5的连梁

跨高比不大于2.5的连梁

条文说明
7.2.22、7.2. 23 根据清华大学及国内外的有关试验研究可知,连梁截面的平均剪应力大小对连梁破坏性能影响较大,尤其在小跨高比条件下,如果平均剪应力过大,在箍筋充分发挥作用之前,连梁就会发生剪切破坏。因此对小跨高比连梁,本规程对截面平均剪应力及斜截面受剪承载力验算提出更加严格的要求。
7.2.24 跨高比(l/hb)不大于1.5的连梁,非抗震设计时,其纵向钢筋的最小配筋率可取为0.2%;抗震设计时,其纵向钢筋的最小配筋率宜符合表7.2.24的要求;跨高比大于1.5的连梁,其纵向钢筋的最小配筋率可按框架梁的要求采用。

7.2.25 剪力墙结构连梁中,非抗震设计时,顶面及底面单侧纵向钢筋的最大配筋率不宜大于2.5%;抗震设计时,顶面及底面单侧纵向钢筋的最大配筋率宜符合表7.2.25的要求。如不满足,则应按实配钢筋进行连梁强剪弱弯的验算。

条文说明
7.2.24、7.2.25 为实现连梁的强剪弱弯,本规程第7.2.21、7.2.22条分别规定了按强剪弱弯要求计算连梁剪力设计值和名义剪应力的上限值,两条规定共同使用,就相当于限制了连梁的受弯配筋。但由于第7.2.21条是采用乘以增大系数的方法获得剪力设计值(与实际配筋量无关),容易使设计人员忽略受弯钢筋数量的限制,特别是在计算配筋值很小而按构造要求配置受弯钢筋时,容易忽略强剪弱弯的要求。因此.本次修订新增第7.2.24条和7.2.25条,分别给出了连梁最小和最大配筋率的限值,防止连梁的受弯钢筋配置过多。 跨高比超过2.5的连梁,其最大配筋率限值可按一般框架梁采用,即不宜大于2.5%。
7.2.26 剪力墙的连梁不满足本规程第7.2.22条的要求时,可采取下列措施:
1 减小连梁截面高度或采取其他减小连梁刚度的措施。
2 抗震设计剪力墙连梁的弯矩可塑性调幅;内力计算时已经按本规程第5.2.1条的规定降低了刚度的连梁,其弯矩值不宜再调幅,或限制再调幅范围。此时,应取弯矩调幅后相应的剪力设计值校核其是否满足本规程第7.2.22条的规定;剪力墙中其他连梁和墙肢的弯矩设计值宜视调幅连梁数量的多少而相应适当增大。
3 当连梁破坏对承受竖向荷载无明显影响时,可按独立墙肢的计算简图进行第二次多遇地震作用下的内力分析,墙肢截面应按两次计算的较大值计算配筋。
条文说明
7.2.26 剪力墙连梁对剪切变形十分敏感,其名义剪应力限制比较严,在很多情况下设计计算会出现“超限”情况,本条给出了一些处理方法。 对第2款提出的塑性调幅作一些说明。连梁塑性调幅可采用两种方法,一是按照本规程第5.2.1条的方法,在内力计算前就将连梁刚度进行折减;二是在内力计算之后,将连梁弯矩和剪力组合值乘以折减系数。两种方法的效果都是减小连梁内力和配筋。无论用什么方法,连梁调幅后的弯矩、剪力设计值不应低于使用状况下的值,也不宜低于比设防烈度低一度的地震作用组合所得的弯矩、剪力设计值,其目的是避免在正常使用条件下或较小的地震作用下在连梁上出现裂缝。因此建议一般情况下,可掌握调幅后的弯矩不小于调幅前按刚度不折减计算的弯矩(完全弹性)的80%(6~7度)和50%(8~9度),并不小于风荷载作用下的连梁弯矩。 需注意,是否“超限”,必须用弯矩调幅后对应的剪力代入第7.2.22条公式进行验算; 当第1、2款的措施不能解决问题时,允许采用第3款的方法处理,即假定连梁在大震下剪切破坏,不再能约束墙肢,因此可考虑连梁不参与工作,而按独立墙肢进行第二次结构内力分析,它相当于剪力墙的第二道防线,这种情况往往使墙肢的内力及配筋加大,可保证墙肢的安全。第二道防线的计算没有了连梁的约束,位移会加大,但是大震作用下就不必按小震作用要求限制其位移。
- 2.27 连梁的配筋构造(图7.2.27)应符合下列规定:
1 连梁顶面、底面纵向水平钢筋伸入墙肢的长度,抗震设计时不应小于laE,非抗震设计时不应小于la,且均不应小于600mm。
2 抗震设计时,沿连梁全长箍筋的构造应符合本规程第6.3.2条框架梁梁端箍筋加密区的箍筋构造要求;非抗震设计时,沿连梁全长的箍筋直径不应小于6mm,间距不应大于150mm。
3 顶层连梁纵向水平钢筋伸入墙肢的长度范围内应配置箍筋,箍筋间距不宜大于150mm,直径应与该连梁的箍筋直径相同。
4 连梁高度范围内的墙肢水平分布钢筋应在连梁内拉通作为连梁的腰筋。连梁截面高度大于700mm时,其两侧面腰筋的直径不应小于8mm,间距不应大于200mm;跨高比不大于2.5的连梁,其两侧腰筋的总面积配筋率不应小于0.3%。

条文说明
7.2.27 一般连梁的跨高比都较小,容易出现剪切斜裂缝,为防止斜裂缝出现后的脆性破坏,除了减小其名义剪应力,并加大其箍筋配置外,本条规定了在构造上的一些要求,例如钢筋锚固、箍筋配置、腰筋配置等。
7.2.28 剪力墙开小洞口和连梁开洞应符合下列规定:
1 剪力墙开有边长小于800mm的小洞口、且在结构整体计算中不考虑其影响时,应在洞口上、下和左、右配置补强钢筋,补强钢筋的直径不应小于12mm,截面面积应分别不小于被截断的水平分布钢筋和竖向分布钢筋的面积(图7.2.28a);
2 穿过连梁的管道宜预埋套管,洞口上、下的截面有效高度不宜小于梁高的1/3,且不宜小于200mm;被洞口削弱的截面应进行承载力验算,洞口处应配置补强纵向钢筋和箍筋(图7.2.28b),补强纵向钢筋的直径不应小于12mm。

条文说明
7.2.28 当开洞较小,在整体计算中不考虑其影响时,应将切断的分布钢筋集中在洞口边缘补足,以保证剪力墙截面的承载力。 连梁是剪力墙中的薄弱部位,应重视连梁中开洞后的截面抗剪验算和加强措施。
8 框架 剪力墙结构设计
8.1 一般规定
8.1.1 框架-剪力墙结构、板柱-剪力墙结构的结构布置、计算分析、截面设计及构造要求除应符合本章的规定外,尚应分别符合本规程第3、5、6和7章的有关规定。
条文说明
8.1.1 本章包括框架-剪力墙结构和板柱-剪力墙结构的设计。 墨西哥地震等震害表明,板柱框架破坏严重,其板与柱的连接节点为薄弱点。因而在地震区必须加设剪力墙(或筒体)以抵抗地震作用,形成板柱-剪力墙结构。板柱-剪力墙结构受力特点与框架-剪力墙结构类似,故把这种结构纳入本章,并专门列出相关条文以规定其设计需要遵守的有关要求。除应遵守本章关于框架-剪力墙结构、板柱-剪力墙结构的结构布置、计算分析、截面设计及构造要求的规定外,还应遵守第5章计算分析的有关规定,以及第3章、第6章和第7章对框架-剪力墙结构最大适用高度、高宽比的规定和对框架、剪力墙的有关规定。
8.1.2 框架-剪力墙结构可采用下列形式:
1 框架与剪力墙(单片墙、联肢墙或较小井筒)分开布置;
2 在框架结构的若干跨内嵌人剪力墙(带边框剪力墙);
3 在单片抗侧力结构内连续分别布置框架和剪力墙;
4 上述两种或三种形式的混合。
条文说明
8.1.2 框架-剪力墙结构由框架和剪力墙组成,以其整体承担荷载和作用;其组成形式较灵活,本条仅列举了一些常用的组成形式,设计时可根据工程具体情况选择适当的组成形式和适量的框架和剪力墙。
8.1.3 抗震设计的框架-剪力墙结构,应根据在规定的水平力作用下结构底层框架部分承受的地震倾覆力矩与结构总地震倾覆力矩的比值,确定相应的设计方法,并应符合下列规定:
1 框架部分承受的地震倾覆力矩不大于结构总地震倾覆力矩的10%时,按剪力墙结构进行设计,其中的框架部分应按框架-剪力墙结构的框架进行设计;
2 当框架部分承受的地震倾覆力矩大于结构总地震倾覆力矩的10%但不大于50%时,按框架-剪力墙结构进行设计;
3 当框架部分承受的地震倾覆力矩大于结构总地震倾覆力矩的50%但不大于80%时,按框架-剪力墙结构进行设计,其最大适用高度可比框架结构适当增加,框架部分的抗震等级和轴压比限值宜按框架结构的规定采用;
4 当框架部分承受的地震倾覆力矩大于结构总地震倾覆力矩的80%时,按框架-剪力墙结构进行设计,但其最大适用高度宜按框架结构采用,框架部分的抗震等级和轴压比限值应按框架结构的规定采用。当结构的层间位移角不满足框架-剪力墙结构的规定时,可按本规程第3.11节的有关规定进行结构抗震性能分析和论证。
条文说明
8.1.3 框架-剪力墙结构在规定的水平力作用下,结构底层框架部分承受的地震倾覆力矩与结构总地震倾覆力矩的比值不尽相同,结构性能有较大的差别。本次修订对此作了较为具体的规定。在结构设计时,应据此比值确定该结构相应的适用高度和构造措施,计算模型及分析均按框架-剪力墙结构进行实际输入和计算分析。 1 当框架部分承担的倾覆力矩不大于结构总倾覆力矩的10%时,意味着结构中框架承担的地震作用较小,绝大部分均由剪力墙承担,工作性能接近于纯剪力墙结构,此时结构中的剪力墙抗震等级可按剪力墙结构的规定执行;其最大适用高度仍按框架-剪力墙结构的要求执行;其中的框架部分应按框架-剪力墙结构的框架进行设计,也就是说需要进行本规程8.1.4条的剪力调整,其侧向位移控制指标按剪力墙结构采用。 2 当框架部分承受的地震倾覆力矩大于结构总地震倾覆力矩的10%但不大于50%时,属于典型的框架-剪力墙结构,按本章有关规定进行设计。 3 当框架部分承受的倾覆力矩大于结构总倾覆力矩的50%但不大于80%时,意味着结构中剪力墙的数量偏少,框架承担较大的地震作用,此时框架部分的抗震等级和轴压比宜按框架结构的规定执行,剪力墙部分的抗震等级和轴压比按框架-剪力墙结构的规定采用;其最大适用高度不宜再按框架-剪力墙结构的要求执行,但可比框架结构的要求适当提高,提高的幅度可视剪力墙承担的地震倾覆力矩来确定。 4 当框架部分承受的倾覆力矩大于结构总倾覆力矩的80%时,意味着结构中剪力墙的数量极少,此时框架部分的抗震等级和轴压比应按框架结构的规定执行,剪力墙部分的抗震等级和轴压比按框架-剪力墙结构的规定采用;其最大适用高度宜按框架结构采用。对于这种少墙框剪结构,由于其抗震性能较差,不主张采用,以避免剪力墙受力过大、过早破坏。当不可避免时,宜采取将此种剪力墙减薄、开竖缝、开结构洞、配置少量单排钢筋等措施,减小剪力墙的作用。 在条文第3、4款规定的情况下,为避免剪力墙过早开裂或破坏,其位移相关控制指标按框架-剪力墙结构的规定采用。对第4款,如果最大层间位移角不能满足框架-剪力墙结构的限值要求,可按本规程第3.11节的有关规定,进行结构抗震性能分析论证。
8.1.4 抗震设计时,框架-剪力墙结构对应于地震作用标准值的各层框架总剪力应符合下列规定:
1 满足式(8.1.4)要求的楼层,其框架总剪力不必调整;不满足式(8.1.4)要求的楼层,其框架总剪力应按0.2V0和1.5Vf.max二者的较小值采用;
Vf≥0.2V0 (8.1.4)
式中:V0——对框架柱数量从下至上基本不变的结构,应取对应于地震作用标准值的结构底层总剪力;对框架柱数量从下至上分段有规律变化的结构,应取每段底层结构对应于地震作用标准值的总剪力;
Vf——对应于地震作用标准值且未经调整的各层(或某一段内各层)框架承担的地震总剪力;
Vfmax——对框架柱数量从下至上基本不变的结构,应取对应于地震作用标准值且未经调整的各层框架承担的地震总剪力中的最大值;对框架柱数量从下至上分段有规律变化的结构,应取每段中对应于地震作用标准值且未经调整的各层框架承担的地震总剪力中的最大值。
2 各层框架所承担的地震总剪力按本条第1款调整后,应按调整前、后总剪力的比值调整每根框架柱和与之相连框架梁的剪力及端部弯矩标准值,框架柱的轴力标准值可不予调整;
3 按振型分解反应谱法计算地震作用时,本条第1款所规定的调整可在振型组合之后、并满足本规程第4.3.12条关于楼层最小地震剪力系数的前提下进行。
条文说明
8.1.4 框架-剪力墙结构在水平地震作用下,框架部分计算所得的剪力-般都较小。按多道防线的概念设计要求,墙体是第一道防线,在设防地震、罕遇地震下先于框架破坏,由于塑性内力重分布,框架部分按侧向刚度分配的剪力会比多遇地震下加大,为保证作为第二道防线的框架具有一定的抗侧力能力,需要对框架承担的剪力予以适当的调整。随着建筑形式的多样化,框架柱的数量沿竖向有时会有较大的变化,框架柱的数量沿竖向有规律分段变化时可分段调整的规定,对框架柱数量沿竖向变化更复杂的情况,设计时应专门研究框架柱剪力的调整方法。 对有加强层的结构,框架承担的最大剪力不包含加强层及相邻上下层的剪力。
8.1.5 框架-剪力墙结构应设计成双向抗侧力体系;抗震设计时,结构两主轴方向均应布置剪力墙。 ( 自2022年4月1日起废止该条,点击查看:新规 《混凝土结构通用规范》 GB 55008-2021)
条文说明
8.1.5 框架-剪力墙结构是框架和剪力墙共同承担竖向和水平作用的结构体系,布置适量的剪力墙是其基本特点。为了发挥框架-剪力墙结构的优势,无论是否抗震设计,均应设计成双向抗侧力体系,且结构在两个主轴方向的刚度和承载力不宜相差过大;抗震设计时,框架-剪力墙结构在结构两个主轴方向均应布置剪力墙,以体现多道防线的要求。
8.1.6 框架-剪力墙结构中,主体结构构件之间除个别节点外不应采用铰接;梁与柱或柱与剪力墙的中线宜重合;框架梁、柱中心线之间有偏离时,应符合本规程第6.1.7条的有关规定。
条文说明
8.1.6 框架-剪力墙结构中,主体结构构件之间一般不宜采用铰接,但在某些具体情况下,比如采用铰接对主体结构构件受力有利时可以针对具体构件进行分析判定后,在局部位置采用铰接。
8.1.7 框架-剪力墙结构中剪力墙的布置宜符合下列规定:
1 剪力墙宜均匀布置在建筑物的周边附近、楼梯间、电梯间、平面形状变化及恒载较大的部位,剪力墙间距不宜过大;
2 平面形状凹凸较大时,宜在凸出部分的端部附近布置剪力墙;
3 纵、横剪力墙宜组成L形、T形和[形等形式;
4 单片剪力墙底部承担的水平剪力不应超过结构底部总水平剪力的30%;
5 剪力墙宜贯通建筑物的全高,宜避免刚度突变;剪力墙开洞时,洞口宜上下对齐;
6 楼、电梯间等竖井宜尽量与靠近的抗侧力结构结合布置;
7 抗震设计时,剪力墙的布置宜使结构各主轴方向的侧向刚度接近。
条文说明
8.1.7 本条主要指出框架-剪力墙结构中在结构布置时要处理好框架和剪力墙之间的关系,遵循这些要求,可使框架-剪力墙结构更好地发挥两种结构各自的作用并且使整体合理地工作。
8.1.8 长矩形平面或平面有一部分较长的建筑中,其剪力墙的布置尚宜符合下列规定:
1 横向剪力墙沿长方向的间距宜满足表8.1.8的要求,当这些剪力墙之间的楼盖有较大开洞时,剪力墙的间距应适当减小;
2 纵向剪力墙不宜集中布置在房屋的两尽端。

注:1 表中B为剪力墙之间的楼盖宽度(m);
2 装配整体式楼盖的现浇层应符合本规程第3.6.2条的有关规定;
3 现浇层厚度大于60mm的叠合楼板可作为现浇板考虑;
4 当房屋端部未布置剪力墙时,第一片剪力墙与房屋端部的距离,不宜大于表中剪力墙间距的1/2。
条文说明
8.1.8 长矩形平面或平面有一方向较长(如L形平面中有一肢较长)时,如横向剪力墙间距过大,在侧向力作用下,因不能保证楼盖平面的刚性而会增加框架的负担,故对剪力墙的最大间距作出规定。当剪力墙之间的楼板有较大开洞时,对楼盖平面刚度有所削弱,此时剪力墙的间距宜再减小。纵向剪力墙布置在平面的尽端时,会造成对楼盖两端的约束作用,楼盖中部的梁板容易因混凝土收缩和温度变化而出现裂缝,故宜避免。同时也考虑到在设计中有剪力墙布置在建筑中部,而端部无剪力墙的情况,用表注4的相应规定,可防止布置框架的楼面伸出太长,不利于地震力传递。
8.1.9 板柱-剪力墙结构的布置应符合下列规定:
1 应同时布置筒体或两主轴方向的剪力墙以形成双向抗侧力体系,并应避免结构刚度偏心,其中剪力墙或筒体应分别符合本规程第7章和第9章的有关规定,且宜在对应剪力墙或筒体的各楼层处设置暗梁。
2 抗震设计时,房屋的周边应设置边梁形成周边框架,房屋的顶层及地下室顶板宜采用梁板结构。
3 有楼、电梯间等较大开洞时,洞口周围宜设置框架梁或边梁。
4 无梁板可根据承载力和变形要求采用无柱帽(柱托)板或有柱帽(柱托)板形式。柱托板的长度和厚度应按计算确定,且每方向长度不宜小于板跨度的1/6,其厚度不宜小于板厚度的1/4。7度时宜采用有柱托板,8度时应采用有柱托板,此时托板每方向长度尚不宜小于同方向柱截面宽度和4倍板厚之和,托板总厚度尚不应小于柱纵向钢筋直径的16倍。当无柱托板且无梁板受冲切承载力不足时,可采用型钢剪力架(键),此时板的厚度并不应小于200mm。
5 双向无梁板厚度与长跨之比,不宜小于表8.1.9的规定。

条文说明
8.1.9 板柱结构由于楼盖基本没有梁,可以减小楼层高度,对使用和管道安装都较方便,因而板柱结构在工程中时有采用。但板柱结构抵抗水平力的能力差,特别是板与柱的连接点是非常薄弱的部位,对抗震尤为不利。为此,本规程规定抗震设计时,高层建筑不能单独使用板柱结构,而必须设置剪力墙(或剪力墙组成的筒体)来承担水平力。本规程除在第3章对其适用高度及高宽比严格控制外,这里尚做出结构布置的有关要求。8度设防时应采用有柱托板,托板处总厚度不小于16倍柱纵筋直径是为了保证板柱节点的抗弯刚度。当板厚不满足受冲切承载力要求而又不能设置柱托板时,建议采用型钢剪力架(键)抵抗冲切,剪力架(键)型钢应根据计算确定。型钢剪力架(键)的高度不应大于板面筋的下排钢筋和板底筋的上排钢筋之间的净距,并确保型钢具有足够的保护层厚度,据此确定板的厚度并不应小于200mm。
8.1.10 抗风设计时,板柱-剪力墙结构中各层筒体或剪力墙应能承担不小于80%相应方向该层承担的风荷载作用下的剪力;抗震设计时,应能承担各层全部相应方向该层承担的地震剪力,而各层板柱部分尚应能承担不小于20%相应方向该层承担的地震剪力,且应符合有关抗震构造要求。
条文说明
8.1.10 抗震设计时,按多道设防的原则,规定全部地震剪力应由剪力墙承担,但各层板柱部分除应符合计算要求外,仍应能承担不少于该层相应方向20%的地震剪力。另外,本条在02规程的基础上增加了抗风设计时的要求,以提高板柱-剪力墙结构在适用高度提高后抵抗水平力的性能。
8.2 截面设计及构造
8.2.1 框架-剪力墙结构、板柱,剪力墙结构中,剪力墙的竖向、水平分布钢筋的配筋率,抗震设计时均不应小于0.25%,非抗震设计时均不应小于0.20%,并应至少双排布置。各排分布筋之间应设置拉筋,拉筋的直径不应小于6mm、间距不应大于600mm。 ( 自2022年4月1日起废止该条,点击查看:新规 《混凝土结构通用规范》 GB 55008-2021)
条文说明
8.2.1 规定剪力墙竖向和水平分布钢筋的最小配筋率,理由与本规程第7.2.17条相同。框架-剪力墙结构、板柱—剪力墙结构中的剪力墙是承担水平风荷载或水平地震作用的主要受力构件,必须要保证其安全可靠。因此,四级抗震等级时剪力墙的竖向、水平分布钢筋的配筋率比本规程第7.2.17条适当提高;为了提高混凝土开裂后的性能和保证施工质量,各排分布钢筋之间应设置拉筋,其直径不应小于6mm、间距不应大于600mm。
8.2.2 带边框剪力墙的构造应符合下列规定:
1 带边框剪力墙的截面厚度应符合本规程附录D的墙体稳定计算要求,且应符合下列规定:
1)抗震设计时,一、二级剪力墙的底部加强部位不应小于200mm;
2)除本款1)项以外的其他情况下不应小于160mm。
2 剪力墙的水平钢筋应全部锚入边框柱内,锚固长度不应小于la(非抗震设计)或laE(抗震设计);
3 与剪力墙重合的框架梁可保留,亦可做成宽度与墙厚相同的暗梁,暗梁截面高度可取墙厚的2倍或与该榀框架梁截面等高,暗梁的配筋可按构造配置且应符合一般框架梁相应抗震等级的最小配筋要求;
4 剪力墙截面宜按工字形设计,其端部的纵向受力钢筋应配置在边框柱截面内;
5 边框柱截面宜与该榀框架其他柱的截面相同,边框柱应符合本规程第6章有关框架柱构造配筋规定;剪力墙底部加强部位边框柱的箍筋宜沿全高加密;当带边框剪力墙上的洞口紧邻边框柱时,边框柱的箍筋宜沿全高加密。
条文说明
8.2.2 带边框的剪力墙,边框与嵌入的剪力墙应共同承担对其的作用力,本条列出为满足此要求的有关规定。
8.2.3 板柱-剪力墙结构设计应符合下列规定:
1 结构分析中规则的板柱结构可用等代框架法,其等代梁的宽度宜采用垂直于等代框架方向两侧柱距各1/4;宜采用连续体有限元空间模型进行更准确的计算分析。
2 楼板在柱周边临界截面的冲切应力,不宜超过0.7ft,超过时应配置抗冲切钢筋或抗剪栓钉,当地震作用导致柱上板带支座弯矩反号时还应对反向作复核。板柱节点冲切承载力可按现行国家标准《混凝土结构设计规范》GB 50010的相关规定进行验算,并应考虑节点不平衡弯矩作用下产生的剪力影响。
3 沿两个主轴方向均应布置通过柱截面的板底连续钢筋,且钢筋的总截面面积应符合下式要求:
AS≥NG/fy (8.2.3)
式中:AS——通过柱截面的板底连续钢筋的总截面面积;
NG——该层楼面重力荷载代表值作用下的柱轴向压力设计值,8度时尚宜计入竖向地震影响;
fy——通过柱截面的板底连续钢筋的抗拉强度设计值。
条文说明
8.2.3 板柱-剪力墙结构设计主要考虑了下列几个方面: 1 明确了结构分析中规则的板柱结构可用等代框架法,及其等代梁宽度的取值原则。但等代框架法是近似的简化方法,尤其是对不规则布置的情况,故有条件时,建议尽量采用连续体有限元空间模型进行计算分析以获取更准确的计算结果。 2 设计无梁平板(包括有托板)的受冲切承载力时,当冲切应力大于0.7ft时,可使用箍筋承担剪力。跨越剪切裂缝的竖向钢筋(箍筋的竖向肢)能阻止裂缝开展,但是,当竖向筋有滑动时,效果有所降低。一般的箍筋,由于竖肢的上下端皆为圆弧,在竖肢受力较大接近屈服时,皆有滑动发生,此点在国外的试验中得到证实。在板柱结构中,如不设托板,柱周围之板厚度不大,再加上双向纵筋使h0减小,箍筋的竖向肢往往较短,少量滑动就能使应变减少较多,其箍筋竖肢的应力也不能达到屈服强度。因此,加拿大规范(CSA-A23.3-94)规定,只有当板厚(包括托板厚度)不小于300mm时,才允许使用箍筋。美国ACI规范要求在箍筋转角处配置较粗的水平筋以协助固定箍筋的竖肢。美国近年大量采用的“抗剪栓钉”(shear studs),能避免上述箍筋的缺点,且施工方便,既有良好的抗冲切性能,又能节约钢材。因此本规程建议尽可能采用高效能抗剪栓钉来提高抗冲切能力。在构造方面,可以参照钢结构栓钉的做法,按设计规定的直径及间距,将栓钉用自动焊接法焊在钢板上。典型布置的抗剪栓钉设置如图8所示;图9、图10分别给出了矩形柱和圆柱抗剪栓钉的不同排列示意图。



当地震作用能导致柱上板带的支座弯矩反号时,应验算如图11所示虚线界面的冲切承载力。

3 为防止无柱托板板柱结构的楼板在柱边开裂后楼板坠落,穿过柱截面板底两个方向钢筋的受拉承载力应满足该柱承担的该层楼面重力荷载代表值所产生的轴压力设计值。
8.2.4 板柱-剪力墙结构中,板的构造设计应符合下列规定:
1 抗震设计时,应在柱上板带中设置构造暗梁,暗梁宽度取柱宽及两侧各1.5倍板厚之和,暗梁支座上部钢筋截面积不宜小于柱上板带钢筋截面积的50%,并应全跨拉通,暗梁下部钢筋应不小于上部钢筋的1/2。暗梁箍筋的布置,当计算不需要时,直径不应小于8mm,间距不宜大于3h0/4,肢距不宜大于2h0;当计算需要时应按计算确定,且直径不应小于10mm,间距不宜大于h0/2,肢距不宜大于1.5h0。
2 设置柱托板时,非抗震设计时托板底部宜布置构造钢筋;抗震设计时托板底部钢筋应按计算确定,并应满足抗震锚固要求。计算柱上板带的支座钢筋时,可考虑托板厚度的有利影响。
3 无梁楼板开局部洞口时,应验算承载力及刚度要求。当未作专门分析时,在板的不同部位开单个洞的大小应符合图8.2.4的要求。若在同一部位开多个洞时,则在同一截面上各个洞宽之和不应大于该部位单个洞的允许宽度。所有洞边均应设置补强钢筋。

条文说明
8.2.4 板柱-剪力墙结构中,地震作用虽由剪力墙全部承担,但结构在整体工作时,板柱部分仍会承担一定的水平力。由柱上板带和柱组成的板柱框架中的板,受力主要集中在柱的连线附近,故抗震设计应沿柱轴线设置暗梁,目的在于加强板与柱的连接,较好地起到板柱框架的作用,此时柱上板带的钢筋应比较集中在暗梁部位。 当无梁板有局部开洞时,除满足图8.2.4的要求外,冲切计算中应考虑洞口对冲切能力的削弱,具体计算及构造应符合现行国家标准《混凝土结构设计规范》GB 50010的有关规定。
9 筒体结构设计
9.1 一般规定
9.1.1 本章适用于钢筋混凝土框架-核心筒结构和筒中筒结构,其他类型的筒体结构可参照使用。筒体结构各种构件的截面设计和构造措施除应遵守本章规定外,尚应符合本规程第6~8章的有关规定。
条文说明
9.1.1 筒体结构具有造型美观、使用灵活、受力合理,以及整体性强等优点,适用于较高的高层建筑。目前全世界最高的100幢高层建筑约有2/3采用筒体结构;国内100m以上的高层建筑约有一半采用钢筋混凝土筒体结构,所用形式大多为框架-核心筒结构和筒中筒结构,本章条文主要针对这两类筒体结构,其他类型的筒体结构可参照使用。
本条是02规程第9.1.1条和9.1.12条的合并。
9.1.2 筒中筒结构的高度不宜低于80m,高宽比不宜小于3。对高度不超过60m的框架-核心筒结构,可按框架-剪力墙结构设计。
条文说明
9.1.2 研究表明,筒中筒结构的空间受力性能与其高度和高宽比有关,当高宽比小于3时,就不能较好地发挥结构的整体空间作用;框架-核心筒结构的高度和高宽比可不受此限制。对于高度较低的框架-核心筒结构,可按框架-抗震墙结构设计,适当降低核心筒和框架的构造要求。
9.1.3 当相邻层的柱不贯通时,应设置转换梁等构件。转换构件的结构设计应符合本规程第10章的有关规定。
条文说明
9.1.3 筒体结构尤其是筒中筒结构,当建筑需要较大空间时,外周框架或框筒有时需要抽掉一部分柱,形成带转换层的筒体结构。本条取消了02规程有关转换梁的设计要求,转换层结构的设计应符合本规程第10.2节的有关规定。
9.1.4 筒体结构的楼盖外角宜设置双层双向钢筋(图9.1.4),

单层单向配筋率不宜小于0.3%,钢筋的直径不应小于8mm,间距不应大于150mm,配筋范围不宜小于外框架(或外筒)至内筒外墙中距的1/3和3m。
条文说明
9.1.4 筒体结构的双向楼板在竖向荷载作用下,四周外角要上翘;但受到剪力墙的约束,加上楼板混凝土的自身收缩和温度变化影响,使楼板外角可能产生斜裂缝。为防止这类裂缝出现,楼板外角顶面和底面配置双向钢筋网,适当加强。
9.1. 5 核心筒或内筒的外墙与外框柱间的中距,非抗震设计大于15m、抗震设计大于12m时,宜采取增设内柱等措施。
条文说明
9.1.5 筒体结构中筒体墙与外周框架之间的距离不宜过大,否则楼盖结构的设计较困难。根据近年来的工程经验,适当放松了核心筒或内筒外墙与外框柱之间的距离要求,非抗震设计和抗震设计分别由02规程的12m、10m调整为15m、12m。
9.1.6 核心筒或内筒中剪力墙截面形状宜简单;截面形状复杂的墙体可按应力进行截面设计校核。
9.1.7 筒体结构核心筒或内筒设计应符合下列规定:
1 墙肢宜均匀、对称布置;
2 筒体角部附近不宜开洞,当不可避免时,筒角内壁至洞口的距离不应小于500mm和开洞墙截面厚度的较大值;
3 筒体墙应按本规程附录D验算墙体稳定,且外墙厚度不应小于200mm,内墙厚度不应小于160mm,必要时可设置扶壁柱或扶壁墙;
4 筒体墙的水平、竖向配筋不应少于两排,其最小配筋率应符合本规程第7.2.17条的规定;
5 抗震设计时,核心筒、内筒的连梁宜配置对角斜向钢筋或交叉暗撑;
6 筒体墙的加强部位高度、轴压比限值、边缘构件设置以及截面设计,应符合本规程第7章的有关规定。
条文说明
9.1.7 本条规定了筒体结构核心筒、内筒设计的基本要求。第3款墙体厚度是最低要求,同时要求所有筒体墙应按本规程附录D验算墙体稳定,必要时可增设扶壁柱或扶壁墙以增强墙体的稳定性;第5款对连梁的要求主要目的是提高其抗震延性。
9.1.8 核心筒或内筒的外墙不宜在水平方向连续开洞,洞间墙肢的截面高度不宜小于1.2m;当洞间墙肢的截面高度与厚度之比小于4时,宜按框架柱进行截面设计。
条文说明
9.1.8 为防止核心筒或内筒中出现小墙肢等薄弱环节,墙面应尽量避免连续开洞,对个别无法避免的小墙肢,应控制最小截面高度,并按柱的抗震构造要求配置箍筋和纵向钢筋,以加强其抗震能力。
9.1.9 抗震设计时,框筒柱和框架柱的轴压比限值可按框架-剪力墙结构的规定采用。
条文说明
9.1.9 在筒体结构中,大部分水平剪力由核心筒或内筒承担,框架柱或框筒柱所受剪力远小于框架结构中的柱剪力,剪跨比明显增大,因此其轴压比限值可比框架结构适当放松,可按框架-剪力墙结构的要求控制柱轴压比。
9.1.10 楼盖主梁不宜搁置在核心筒或内筒的连梁上。
条文说明
9.1.10 楼盖主梁搁置在核心筒的连梁上,会使连梁产生较大剪力和扭矩,容易产生脆性破坏,应尽量避免。
9.1.11 抗震设计时,筒体结构的框架部分按侧向刚度分配的楼层地震剪力标准值应符合下列规定:
1 框架部分分配的楼层地震剪力标准值的最大值不宜小于结构底部总地震剪力标准值的10%。
2 当框架部分分配的地震剪力标准值的最大值小于结构底部总地震剪力标准值的10%时,各层框架部分承担的地震剪力标准值应增大到结构底部总地震剪力标准值的15%;此时,各层核心筒墙体的地震剪力标准值宜乘以增大系数1.1,但可不大于结构底部总地震剪力标准值,墙体的抗震构造措施应按抗震等级提高一级后采用,已为特一级的可不再提高。
3 当框架部分分配的地震剪力标准值小于结构底部总地震剪力标准值的20%,但其最大值不小于结构底部总地震剪力标准值的10%时,应按结构底部总地震剪力标准值的20%和框架部分楼层地震剪力标准值中最大值的1.5倍二者的较小值进行调整。
按本条第2款或第3款调整框架柱的地震剪力后,框架柱端弯矩及与之相连的框架梁端弯矩、剪力应进行相应调整。有加强层时,本条框架部分分配的楼层地震剪力标准值的最大值不应包括加强层及其上、下层的框架剪力。
条文说明
9.1.11 对框架-核心筒结构和筒中筒结构,如果各层框架承担的地震剪力不小于结构底部总地震剪力的20%,则框架地震剪力可不进行调整;否则,应按本条的规定调整框架柱及与之相连的框架梁的剪力和弯矩。
设计恰当时,框架-核心筒结构可以形成外周框架与核心筒协同工作的双重抗侧力结构体系。实际工程中,由于外周框架柱的柱距过大、梁高过小,造成其刚度过低、核心筒刚度过高,结构底部剪力主要由核心筒承担。这种情况,在强烈地震作用下,核心筒墙体可能损伤严重,经内力重分布后,外周框架会承担较大的地震作用。因此,本条第1款对外周框架按弹性刚度分配的地震剪力作了基本要求;对本规程规定的房屋最大适用高度范围的筒体结构,经过合理设计,多数情况应该可以达到此要求。一般情况下,房屋高度越高时,越不容易满足本条第1款的要求,通常,筒体结构外周框架剪力调整的方法与本规程第8章框架-剪力墙结构相同,即本条第3款的规定。当框架部分分配的地震剪力不满足本条第1款的要求,即小于结构底部总地震剪力的10%时,意味着筒体结构的外周框架刚度过弱,框架总剪力如果仍按第3款进行调整,框架部分承担的剪力最大值的1.5倍可能过小,因此要求按第2款执行,即各层框架剪力按结构底部总地震剪力的15%进行调整,同时要求对核心筒的设计剪力和抗震构造措施予以加强。
对带加强层的筒体结构,框架部分最大楼层地震剪力可不包括加强层及其相邻上、下楼层的框架剪力。
9.2 框架 核心筒结构
9.2.1 核心筒宜贯通建筑物全高。核心筒的宽度不宜小于筒体总高的1/12,当筒体结构设置角筒、剪力墙或增强结构整体刚度的构件时,核心筒的宽度可适当减小。
条文说明
9.2.1 核心筒是框架-核心筒结构的主要抗侧力结构,应尽量贯通建筑物全高。一般来讲,当核心筒的宽度不小于筒体总高度的1/12时,筒体结构的层间位移就能满足规定。
9.2.2 抗震设计时,核心筒墙体设计尚应符合下列规定:
1 底部加强部位主要墙体的水平和竖向分布钢筋的配筋率均不宜小于0.30%;
2 底部加强部位角部墙体约束边缘构件沿墙肢的长度宜取墙肢截面高度的1/4,约束边缘构件范围内应主要采用箍筋;
3 底部加强部位以上角部墙体宜按本规程7.2.15条的规定设置约束边缘构件。
条文说明
9.2.2 抗震设计时,核心筒为框架-核心筒结构的主要抗侧力构件,本条对其底部加强部位水平和竖向分布钢筋的配筋率、边缘构件设置提出了比一般剪力墙结构更高的要求。 约束边缘构件通常需要一个沿周边的大箍,再加上各个小箍或拉筋,而小箍是无法勾住大箍的,会造成大箍的长边无支长度过大,起不到应有的约束作用。因此,第2款将02规程“约束边缘构件范围内全部采用箍筋”的规定改为主要采用箍筋,即采用箍筋与拉筋相结合的配箍方法。
9.2.3 框架-核心筒结构的周边柱间必须设置框架梁。 ( 自2022年4月1日起废止该条,点击查看:新规 《混凝土结构通用规范》 GB 55008-2021)
条文说明
9.2.3 由于框架-核心筒结构外周框架的柱距较大,为了保证其整体性,外周框架柱间必须要设置框架梁,形成周边框架。实践证明,纯无梁楼盖会影响框架-核心筒结构的整体刚度和抗震性能,尤其是板柱节点的抗震性能较差。因此,在采用无梁楼盖时,更应在各层楼盖沿周边框架柱设置框架梁。
9.2.4 核心筒连梁的受剪截面应符合本规程第9.3.6条的要求,其构造设计应符合本规程第9.3.7、9.3.8条的有关规定。
9.2.5 对内筒偏置的框架-筒体结构,应控制结构在考虑偶然偏心影响的规定地震力作用下,最大楼层水平位移和层间位移不应大于该楼层平均值的1.4倍,结构扭转为主的第一自振周期Tt与平动为主的第一自振周期Tl之比不应大于0.85,且Tl的扭转成分不宜大于30%。
条文说明
9.2.5 内筒偏置的框架-筒体结构,其质心与刚心的偏心距较大,导致结构在地震作用下的扭转反应增大。对这类结构,应特别关注结构的扭转特性,控制结构的扭转反应。本条要求对该类结构的位移比和周期比均按B级高度高层建筑从严控制。内筒偏置时,结构的第一自振周期T1中会含有较大的扭转成分,为了改善结构抗震的基本性能,除控制结构扭转为主的第一自振周期Tt与平动为主的第一自振周期Tl之比不应大于0.85外,尚需控制Tl的扭转成分不宜大于平动成分之半。
9.2.6 当内筒偏置、长宽比大于2时,宜采用框架-双筒结构。
9.2.7 当框架-双筒结构的双筒间楼板开洞时,其有效楼板宽度不宜小于楼板典型宽度的50%,洞口附近楼板应加厚,并应采用双层双向配筋,每层单向配筋率不应小于0.25%;双筒间楼板宜按弹性板进行细化分析。
条文说明
9.2.6、9.2.7 内筒采用双筒可增强结构的扭转刚度,减小结构在水平地震作用下的扭转效应。考虑到双筒间的楼板因传递双筒间的力偶会产生较大的平面剪力,第9.2.7条对双筒间开洞楼板的构造作了具体规定,并建议按弹性板进行细化分析。
9.3 筒中筒结构
9.3.1 筒中筒结构的平面外形宜选用圆形、正多边形、椭圆形或矩形等,内筒宜居中。
9.3.2 矩形平面的长宽比不宜大于2。
9.3.3 内筒的宽度可为高度的1/12~1/15,如有另外的角筒或剪力墙时,内筒平面尺寸可适当减小。内筒宜贯通建筑物全高,竖向刚度宜均匀变化。
9.3.4 三角形平面宜切角,外筒的切角长度不宜小于相应边长的1/8,其角部可设置刚度较大的角柱或角筒;内筒的切角长度不宜小于相应边长的1/10,切角处的筒壁宜适当加厚。
9.3.5 外框筒应符合下列规定:
1 柱距不宜大于4m,框筒柱的截面长边应沿筒壁方向布置,必要时可采用T形截面;
2 洞口面积不宜大于墙面面积的60%,洞口高宽比宜与层高和柱距之比值相近;
3 外框筒梁的截面高度可取柱净距的1/4;
4 角柱截面面积可取中柱的1~2倍。
条文说明
9.3.1~9.3.5 研究表明,筒中筒结构的空间受力性能与其平面形状和构件尺寸等因素有关,选用圆形和正多边形等平面,能减小外框筒的“剪力滞后”现象,使结构更好地发挥空间作用,矩形和三角形平面的“剪力滞后”现象相对较严重,矩形平面的长宽比大于2时,外框筒的“剪力滞后”更突出,应尽量避免;三角形平面切角后,空间受力性质会相应改善。 除平面形状外,外框筒的空间作用的大小还与柱距、墙面开洞率,以及洞口高宽比与层高和柱距之比等有关,矩形平面框筒的柱距越接近层高、墙面开洞率越小,洞口高宽比与层高和柱距之比越接近,外框筒的空间作用越强;在第9.3.5条中给出了矩形平面的柱距,以及墙面开洞率的最大限值。由于外框筒在侧向荷载作用下的“剪力滞后”现象,角柱的轴向力约为邻柱的1~2倍,为了减小各层楼盖的翘曲,角柱的截面可适当放大,必要时可采用L形角墙或角筒。
9.3.6 外框筒梁和内筒连梁的截面尺寸应符合下列规定:
1 持久、短暂设计状况

2 地震设计状况
1)跨高比大于2.5时

2)跨高比不大于2.5时

9.3.7 外框筒梁和内筒连梁的构造配筋应符合下列要求:
1 非抗震设计时,箍筋直径不应小于8mm;抗震设计时,箍筋直径不应小于10mm。
2 非抗震设计时,箍筋间距不应大于150mm;抗震设计时,箍筋间距沿梁长不变,且不应大于100mm,当梁内设置交叉暗撑时,箍筋间距不应大于200mm。
3 框筒梁上、下纵向钢筋的直径均不应小于16mm,腰筋的直径不应小于10mm,腰筋间距不应大于200mm。 ( 自2022年4月1日起废止该条,点击查看:新规 《混凝土结构通用规范》 GB 55008-2021)
条文说明
9.3.7 在水平地震作用下,框筒梁和内筒连梁的端部反复承受正、负弯矩和剪力,而一般的弯起钢筋无法承担正、负剪力,必须要加强箍筋配筋构造要求;对框筒梁,由于梁高较大、跨度较小,对其纵向钢筋、腰筋的配置也提出了最低要求。跨高比较小的框筒梁和内筒连梁宜增配对角斜向钢筋或设置交叉暗撑;当梁内设置交叉暗撑时,全部剪力可由暗撑承担,抗震设计时箍筋的间距可由100mm放宽至200mm。
9.3.8 跨高比不大于2的框筒梁和内筒连梁宜增配对角斜向钢筋。跨高比不大于1的框筒梁和内筒连梁宜采用交叉暗撑(图9.3.8),且应符合下列规定:
1 梁的截面宽度不宜小于400mm;
2 全部剪力应由暗撑承担,每根暗撑应由不少于4根纵向钢筋组成,纵筋直径不应小于14mm,其总面积AS应按下列公式计算:
1) 持久、短暂设计状况

2) 地震设计状况


3 两个方向暗撑的纵向钢筋应采用矩形箍筋或螺旋箍筋绑成一体,箍筋直径不应小于8mm,箍筋间距不应大于150mm;
4 纵筋伸入竖向构件的长度不应小于lal,非抗震设计时lal可取la,抗震设计时lal宜取1.15la;
5 梁内普通箍筋的配置应符合本规程第9.3.7条的构造要求。
条文说明
9.3.8 研究表明,在跨高比较小的框筒梁和内筒连梁增设交叉暗撑对提高其抗震性能有较好的作用,但交叉暗撑的施工有一定难度。本条对交叉暗撑的适用范围和构造作了调整:对跨高比不大于2的框筒梁和内筒连梁,宜增配对角斜向钢筋,具体要求可参照现行国家标准《混凝土结构设计规范》GB 50010的有关规定;对跨高比不大于1的框筒梁和内筒连梁,宜设置交叉暗撑。 为方便施工,交叉暗撑的箍筋不再设加密区。
10 复杂高层建筑结构设计
10.1 一般规定
10.1.1 本章对复杂高层建筑结构的规定适用于带转换层的结构、带加强层的结构、错层结构、连体结构以及竖向体型收进、悬挑结构。
条文说明
10.1.1 为适应体型、结构布置比较复杂的高层建筑发展的需要,并使其结构设计质量、安全得到基本保证,02规程增加了复杂高层建筑结构设计内容,包括带转换层的结构、带加强层的结构、错层结构、连体结构和多塔楼结构等。本次修订增加了竖向体型收进、悬挑结构,并将多塔楼结构并入其中,因为这三种结构的刚度和质量沿竖向变化的情况有一定的共性。
10.1.2 9度抗震设计时不应采用带转换层的结构、带加强层的结构、错层结构和连体结构。 ( 自2022年4月1日起废止该条,点击查看:新规 《混凝土结构通用规范》 GB 55008-2021)
条文说明
10.1.2 带转换层的结构、带加强层的结构、错层结构、连体结构等,在地震作用下受力复杂,容易形成抗震薄弱部位。9度抗震设计时,这些结构目前尚缺乏研究和工程实践经验,为了确保安全,因此规定不应采用。
10.1.3 7度和8度抗震设计时,剪力墙结构错层高层建筑的房屋高度分别不宜大于80m和60m;框架-剪力墙结构错层高层建筑的房屋高度分别不应大于80m和60m。抗震设计时,B级高度高层建筑不宜采用连体结构;底部带转换层的B级高度筒中筒结构,当外筒框支层以上采用由剪力墙构成的壁式框架时,其最大适用高度应比本规程表3.3.1—2规定的数值适当降低。
条文说明
10.1.3 本规程涉及的错层结构,一般包含框架结构、框架-剪力墙结构和剪力墙结构。筒体结构因建筑上一般无错层要求,本规程也没有对其作出相应的规定。错层结构受力复杂,地震作用下易形成多处薄弱部位,目前寸错层结构的研究和工程实践经验较少,需对其适用高度加以适当限制,因此规定了7度、8度抗震设计时,剪力墙结构错层高层建筑的房屋高度分别不宜大于80m、60m;框架-剪力墙结构错层高层建筑的房屋高度分别不应大于80m、60m。连体结构的连接体部位易产生严重震害,房屋高度越高,震害加重,因此B级高度高层建筑不宜采用连体结构。抗震设计时,底部带转换 层的筒中筒结构B级高度高层建筑,当外筒框支层以上采用壁式框架时,其抗震性能比密柱框架更为不利,因此其最大适用高度应比本规程表3.3.1—2规定的数值适当降低。 字
10.1.4 7度和8度抗震设计的高层建筑不宜同时采用超过两种本规程第10.1.1条所规定的复杂高层建筑结构。
条文说明
10.1.4 本章所指的各类复杂高层建筑结构均属不规则结构。在同一个工程中采用两种以上这类复杂结构,在地震作用下易形成多处薄弱部位。为保证结构设计的安全性,规定7度、8度抗震设计的高层建筑不宜同时采用两种以上本章所指的复杂结构。
10.1.5 复杂高层建筑结构的计算分析应符合本规程第5章的有关规定。复杂高层建筑结构中的受力复杂部位,尚宜进行应力分析,并按应力进行配筋设计校核。
条文说明
10.1.5 复杂高层建筑结构的计算分析应符合本规程第5章的有关规定,并按本规程有关规定进行截面承载力设计与配筋构造。 对于复杂高层建筑结构,必要时,对其中某些受力复杂部位尚宜采用有限元法等方法进行详细的应力分析,了解应力分布情况,并按应力进行配筋校核。
10.2 带转换层高层建筑结构
10.2.1 在高层建筑结构的底部,当上部楼层部分竖向构件(剪力墙、框架柱)不能直接连续贯通落地时,应设置结构转换层,形成带转换层高层建筑结构。本节对带托墙转换层的剪力墙结构(部分框支剪力墙结构)及带托柱转换层的筒体结构的设计作出规定。
条文说明
10.2.1 本节的设计规定主要用于底部带托墙转换层的剪力墙结构(部分框支剪力墙结构)以及底部带托柱转换层的筒体结构,即框架-核心筒、筒中筒结构中的外框架(外筒体)密柱在房屋底部通过托柱转换层转变为稀柱框架的筒体结构。这两种带转换层结构的设计有其相同之处也有其特殊性。为表述清楚,本节将这两种带转换层结构相同的设计要求以及大部分要求相同、仅部分设计要求不同的设计规定在若干条文中作出规定,对仅适用于某一种带转换层结构的设计要求在专门条文中规定,如第10.2.5条、第10.2.16~10.2.25条是专门针对部分框支剪力墙结构的设计规定,第10.2.26条及第10.2.27条是专门针对底部带托柱转换层的筒体结构的设计规定。 本节的设计规定可供在房屋高处设置转换层的结构设计参考。对仅有个别结构构件进行转换的结构,如剪力墙结构或框架-剪力墙结构中存在的个别墙或柱在底部进行转换的结构,可参照本节中有关转换构件和转换柱的设计要求进行构件设计。
10.2.2 带转换层的高层建筑结构,其剪力墙底部加强部位的高度应从地下室顶板算起,宜取至转换层以上两层且不宜小于房屋高度的1/10。
条文说明
10.2.2 由于转换层位置的增高,结构传力路径复杂、内力变化较大,规定剪力墙底部加强范围亦增大,可取转换层加上转换层以上两层的高度或房屋总高度的1/10二者的较大值。这里的剪力墙包括落地剪力墙和转换构件上部的剪力墙。相比于02规程,将墙肢总高度的1/8改为房屋总高度的1/10。
10.2.3 转换层上部结构与下部结构的侧向刚度变化应符合本规程附录E的规定。
条文说明
10.2.3 在水平荷载作用下,当转换层上、下部楼层的结构侧向刚度相差较大时,会导致转换层上、下部结构构件内力突变,促使部分构件提前破坏;当转换层位置相对较高时,这种内力突变会进一步加剧。因此本条规定,控制转换层上、下层结构等效刚度比满足本规程附录E的要求,以缓解构件内力和变形的突变现象。带转换层结构当转换层设置在1、2层时,应满足第E.0.1条等效剪切刚度比的要求;当转换层设置在2层以上时,应满足第E.0.2、E.0.3条规定的楼层侧向刚度比要求。当采用本规程附录第E.0.3条的规定时,要强调转换层上、下两个计算模型的高度宜相等或接近的要求,且上部计算模型的高度不大于下部计算模型的高度。本规程第E.0.2条的规定与美国规范IBC 2006关于严重不规则结构的规定是一致的。
10.2.4 转换结构构件可采用转换梁、桁架、空腹桁架、箱形结构、斜撑等,非抗震设计和6度抗震设计时可采用厚板,7、8度抗震设计时地下室的转换结构构件可采用厚板。特一、一、二级转换结构构件的水平地震作用计算内力应分别乘以增大系数1.9、1.6、1.3;转换结构构件应按本规程第4.3.2条的规定考虑竖向地震作用。
条文说明
10.2.4 底部带转换层的高层建筑设置的水平转换构件,近年来除转换梁外,转换桁架、空腹桁架、箱形结构、斜撑、厚板等均已采用,并积累了一定设计经验,故本章增加了一般可采用的各种转换构件设计的条文。由于转换厚板在地震区使用经验较少,本条文规定仅在非地震区和6度设防的地震区采用。对于大空间地下室,因周围有约束作用,地震反应不明显,故7、8度抗震设计时可采用厚板转换层。 带转换层的高层建筑,本条取消了02规程“其薄弱层的地震剪力应按本规程第5.1.14条的规定乘以1.15的增大系数”这一段重复的文字,本规程第3.5.8条已有相关的规定,并将增大系数由1.15提高为1.25。为保证转换构件的设计安全度并具有良好的抗震性能,本条规定特一、一、二级转换构件在水平地震作用下的计算内力应分别乘以增大系数1.9、1.6、1.3,并应按本规程第4.3.2条考虑竖向地震作用。
10.2.5 部分框支剪力墙结构在地面以上设置转换层的位置,8度时不宜超过3层,7度时不宜超过5层,6度时可适当提高。
条文说明
10.2.5 带转换层的底层大空间剪力墙结构于20世纪80年代中开始采用,90年代初《钢筋混凝土高层建筑结构设计与施工规程》JGJ 3—91列入该结构体系及抗震设计有关规定。近几十年,底部带转换层的大空间剪力墙结构迅速发展,在地震区许多工程的转换层位置已较高,一般做到3~6层,有的工程转换层位于7~10层。中国建筑科学研究院在原有研究的基础上,研究了转换层高度对框支剪力墙结构抗震性能的影响,研究得出,转换层位置较高时,更易使框支剪力墙结构在转换层附近的刚度、内力发生突变,并易形成薄弱层,其抗震设计概念与底层框支剪力墙结构有一定差别。转换层位置较高时,转换层下部的落地剪力墙及框支结构易于开裂和屈服,转换层上部几层墙体易于破坏。转换层位置较高的高层建筑不利于抗震,规定7度、8度地区可以采用,但限制部分框支剪力墙结构转换层设置位置:7度区不宜超过第5层,8度区不宜超过第3层。如转换层位置超过上述规定时,应作专门分析研究并采取有效措施,避免框支层破坏。对托柱转换层结构,考虑到其刚度变化、受力情况同框支剪力墙结构不同,对转换层位置未作限制。
10.2.6 带转换层的高层建筑结构,其抗震等级应符合本规程第3.9节的有关规定,带托柱转换层的筒体结构,其转换柱和转换梁的抗震等级按部分框支剪力墙结构中的框支框架采纳。对部分框支剪力墙结构,当转换层的位置设置在3层及3层以上时,其框支柱、剪力墙底部加强部位的抗震等级宜按本规程表3.9.3和表3.9.4的规定提高一级采用,已为特一级时可不提高。
条文说明
10.2.6 对部分框支剪力墙结构,高位转换对结构抗震不利,因此规定部分框支剪力墙结构转换层的位置设置在3层及3层以上时,其框支柱、落地剪力墙的底部加强部位的抗震等级宜按本规程表3.9.3、表3.9.4的规定提高一级采用(已经为特一级时可不再提高),提高其抗震构造措施。而对于托柱转换结构,因其受力情况和抗震性能比部分框支剪力墙结构有利,故未要求根据转换层设置高度采取更严格的措施。
10.2.7 转换梁设计应符合下列要求:
1 转换梁上、下部纵向钢筋的最小配筋率,非抗震设计时均不应小于0.30%;抗震设计时,特一、一、和二级分别不应小于0.60%、0.50%和0.40%。
2 离柱边1.5倍梁截面高度范围内的梁箍筋应加密,加密区箍筋直径不应小于10mm、间距不应大于100mm。加密区箍筋的最小面积配筋率,非抗震设计时不应小于0.9ft/fyv;抗震设计时,特一、一和二级分别不应小于1.3ft/fyv、1.2ft/fyv和1.1ft/fyv。
3 偏心受拉的转换梁的支座上部纵向钢筋至少应有50%沿梁全长贯通,下部纵向钢筋应全部直通到柱内;沿梁腹板高度应配置间距不大于200mm、直径不小于16mm的腰筋。 ( 自2022年4月1日起废止该条,点击查看:新规 《混凝土结构通用规范》 GB 55008-2021)
条文说明
10.2.7 本次修订将“框支梁”改为更广义的“转换梁”。转换梁包括部分框支剪力墙结构中的框支梁以及上面托柱的框架梁,是带转换层结构中应用最为广泛的转换结构构件。结构分析和试验研究表明,转换梁受力复杂,而且十分重要,因此本条第1、2款分别对其纵向钢筋、梁端加密区箍筋的最小构造配筋提出了比一般框架梁更高的要求。 本条第3款针对偏心受拉的转换梁(一般为框支梁)顶面纵向钢筋及腰筋的配置提出了更高要求。研究表明,偏心受拉的转换梁(如框支梁),截面受拉区域较大,甚至全截面受拉,因此除了按结构分析配置钢筋外,加强梁跨中区段顶面纵向钢筋以及两侧面腰筋的最低构造配筋要求是非常必要的。非偏心受拉转换梁的腰筋设置应符合本规程第10.2.8条的有关规定。
10.2.8 转换梁设计尚应符合下列规定:
1 转换梁与转换柱截面中线宜重合。
2 转换梁截面高度不宜小于计算跨度的1/8。托柱转换梁截面宽度不应小于其上所托柱在梁宽方向的截面宽度。框支梁截面宽度不宜大于框支柱相应方向的截面宽度,且不宜小于其上墙体截面厚度的2倍和400mm的较大值。
3 转换梁截面组合的剪力设计值应符合下列规定:

4 托柱转换梁应沿腹板高度配置腰筋,其直径不宜小于12mm、间距不宜大于200mm。
5 转换梁纵向钢筋接头宜采用机械连接,同一连接区段内接头钢筋截面面积不宜超过全部纵筋截面面积的50%,接头位置应避开上部墙体开洞部位、梁上托柱部位及受力较大部位。
6 转换梁不宜开洞。若必须开洞时,洞口边离开支座柱边的距离不宜小于梁截面高度;被洞口削弱的截面应进行承载力计算,因开洞形成的上、下弦杆应加强纵向钢筋和抗剪箍筋的配置。
7 对托柱转换梁的托柱部位和框支梁上部的墙体开洞部位,梁的箍筋应加密配置,加密区范围可取梁上托柱边或墙边两侧各1.5倍转换梁高度;箍筋直径、间距及面积配筋率应符合本规程第10.2.7条第2款的规定。
8 框支剪力墙结构中的框支梁上、下纵向钢筋和腰筋(图10.2.8)应在节点区可靠锚固,水平段应伸至柱边,且非抗震设计时不应小于0.4lab,抗震设计时不应小于0.4labE,梁上部第一排纵向钢筋应向柱内弯折锚固,且应延伸过梁底不小于la(非抗震设计)或laE(抗震设计);当梁上部配置多排纵向钢筋时,其内排钢筋锚入柱内的长度可适当减小,但水平段长度和弯下段长度之和不应小于钢筋锚固长度la(非抗震设计)或laE(抗震设计)。
9 托柱转换梁在转换层宜在托柱位置设置正交方向的框架梁或楼面梁。

条文说明
10.2.8 转换梁受力较复杂,为保证转换梁安全可靠,分别对框支梁和托柱转换梁的截面尺寸及配筋构造等,提出了具体要求。 转换梁承受较大的剪力,开洞会对转换梁的受力造成很大影响,尤其是转换梁端部剪力最大的部位开洞的影响更加不利,因此对转换梁上开洞进行了限制,并规定梁上洞口避开转换梁端部,开洞部位要加强配筋构造。 研究表明,托柱转换梁在托柱部位承受较大的剪力和弯矩,其箍筋应加密配置(图12a)。框支梁多数情况下为偏心受拉构件,并承受较大的剪力;框支梁上墙体开有边门洞时,往往形成小墙肢,此小墙肢的应力集中尤为突出,而边门洞部位框支梁应力急剧加大。在水平荷载作用下,上部有边门洞框支梁的弯矩约为上部无边门洞框支梁弯矩的3倍,剪力也约为3倍,因此除小墙肢应加强外,边门洞墙边部位对应的框支梁的抗剪能力也应加强,箍筋应加密配置(图12b)。当洞口靠近梁端且剪压比不满足规定时,也可采用梁端加腋提高其抗剪承载力,并加密配箍。

需要注意的是,对托柱转换梁,在转换层尚宜设置承担正交方向柱底弯矩的楼面梁或框架梁,避免转换梁承受过大的扭矩作用。 与02规程相比,第2款梁截面高度由原来的不应小于计算跨度的1/6改为不宜小于计算跨度的1/8;第4款对托柱转换梁的腰筋配置提出要求;图10.2.8中钢筋锚固作了调整。
10.2.9 转换层上部的竖向抗侧力构件:(墙、柱)宜直接落在转换层的主要转换构件上。
条文说明
10.2.9 带转换层的高层建筑,当上部平面布置复杂而采用框支主梁承托剪力墙并承托转换次梁及其上剪力墙时,这种多次转换传力路径长,框支主梁将承受较大的剪力、扭矩和弯矩,一般不宜采用。中国建筑科学研究院抗震所进行的试验表明,框支主梁易产生受剪破坏,应进行应力分析,按应力校核配筋,并加强配筋构造措施;条件许可时,可采用箱形转换层。
10.2.10 转换柱设计应符合下列要求:
1 柱内全部纵向钢筋配筋率应符合本规程第6.4.3条中框支柱的规定;
2 抗震设计时,转换柱箍筋应采用复合螺旋箍或井字复合箍,并应沿柱全高加密,箍筋直径不应小于10mm,箍筋间距不应大于100mm和6倍纵向钢筋直径的较小值;
3 抗震设计时,转换柱的箍筋配箍特征值应比普通框架柱要求的数值增加0.02采用,且箍筋体积配箍率不应小于1.5%。 ( 自2022年4月1日起废止该条,点击查看:新规 《混凝土结构通用规范》 GB 55008-2021)
条文说明
10.2.10 本次修订将“框支柱”改为“转换柱”。转换柱包括部分框支剪力墙结构中的框支柱和框架-核心筒、框架-剪力墙结构中支承托柱转换梁的柱,是带转换层结构重要构件,受力性能与普通框架大致相同,但受力大,破坏后果严重。计算分析和试验研究表明,随着地震作用的增大,落地剪力墙逐渐开裂、刚度降低,转换柱承受的地震作用逐渐增大。因此,除了在内力调整方面对转换柱作了规定外,本条对转换柱的构造配筋提出了比普通框架柱更高的要求。 本条第3款中提到的普通框架柱的箍筋最小配箍特征值要求,见本规程第6.4.7条的有关规定,转换柱的箍筋最小配箍特征值应比本规程表6.4.7的规定提高0.02采用。
10.2.11 转换柱设计尚应符合下列规定:
1 柱截面宽度,非抗震设计时不宜小于400mm,抗震设计时不应小于450mm;柱截面高度,非抗震设计时不宜小于转换梁跨度的1/15,抗震设计时不宜小于转换梁跨度的1/12。
2 一、二级转换柱由地震作用产生的轴力应分别乘以增大系数1.5、1.2,但计算柱轴压比时可不考虑该增大系数。
3 与转换构件相连的一、二级转换柱的上端和底层柱下端截面的弯矩组合值应分别乘以增大系数1.5、1.3,其他层转换柱柱端弯矩设计值应符合本规程第6.2.1条的规定。
4 一、二级柱端截面的剪力设计值应符合本规程第6.2.3条的有关规定。
5 转换角柱的弯矩设计值和剪力设计值应分别在本条第3、4款的基础上乘以增大系数1.1。
6 柱截面的组合剪力设计值应符合下列规定:

7 纵向钢筋间距均不应小于80mm,且抗震设计时不宜大于200mm,非抗震设计时不宜大于250mm;抗震设计时,柱内全部纵向钢筋配筋率不宜大于4.0%。
8 非抗震设计时,转换柱宜采用复合螺旋箍或井字复合箍,其箍筋体积配箍率不宜小于0.8%,箍筋直径不宜小于10mm,箍筋间距不宜大于150mm。
9 部分框支剪力墙结构中的框支柱在上部墙体范围内的纵向钢筋应伸入上部墙体内不少于一层,其余柱纵筋应锚入转换层梁内或板内;从柱边算起,锚入梁内、板内的钢筋长度,抗震设计时不应小于laE,非抗震设计时不应小于la。
条文说明
10.2.11 抗震设计时,转换柱截面主要由轴压比控制并要满足剪压比的要求。为增大转换柱的安全性,有地震作用组合时,一、二级转换柱由地震作用引起的轴力值应分别乘以增大系数1.5、1.2,但计算柱轴压比时可不考虑该增大系数。同时为推迟转换柱的屈服,以免影响整个结构的变形能力,规定一、二级转换柱与转换构件相连的柱上端和底层柱下端截面的弯矩组合值应分别乘以1.5、1.3,剪力设计值也应按规定调整。由于转换柱为重要受力构件,本条对柱截面尺寸、柱内竖向钢筋总配筋率、箍筋配置等提出了相应的要求。
10.2.12 抗震设计时,转换梁、柱的节点核心区应进行抗震验算,节点应符合构造措施的要求。转换梁、柱的节点核心区应按本规程第6.4.10条的规定设置水平箍筋。
条文说明
10.2.12 因转换构件节点区受力非常大,本条强调了对转换梁柱节点核心区的要求。
10.2.13 箱形转换结构上、下楼板厚度均不宜小于180mm,应根据转换柱的布置和建筑功能要求设置双向横隔板;上、下板配筋设计应同时考虑板局部弯曲和箱形转换层整体弯曲的影响,横隔板宜按深梁设计。
条文说明
10.2.13 箱形转换构件设计时要保证其整体受力作用,因此规定箱形转换结构上、下楼板(即顶、底板)厚度不宜小于180mm,并应设置横隔板。箱形转换层的顶、底板,除产生局部弯曲外,还会产生因箱形结构整体变形引起的整体弯曲,截面承载力设计时应该同时考虑这两种弯曲变形在截面内产生的拉应力、压应力。
10.2.14 厚板设计应符合下列规定:
1 转换厚板的厚度可由抗弯、抗剪、抗冲切截面验算确定。
2 转换厚板可局部做成薄板,薄板与厚板交界处可加腋;转换厚板亦可局部做成夹心板。
3 转换厚板宜按整体计算时所划分的主要交叉梁系的剪力和弯矩设计值进行截面设计并按有限元法分析结果进行配筋校核;受弯纵向钢筋可沿转换板上、下部双层双向配置,每一方向总配筋率不宜小于0.6%;转换板内暗梁的抗剪箍筋面积配筋率不宜小于0.45%。
4 厚板外周边宜配置钢筋骨架网。
5 转换厚板上、下部的剪力墙、柱的纵向钢筋均应在转换厚板内可靠锚固。
6 转换厚板上、下一层的楼板应适当加强,楼板厚度不宜小于150mm。
条文说明
10.2.14 根据中国建筑科学研究院进行的厚板试验、计算分析以及厚板转换工程的设计经验,规定了本条关于厚板的设计原则和基本要求。
10.2.15 采用空腹桁架转换层时,空腹桁架宜满层设置,应有足够的刚度。空腹桁架的上、下弦杆宜考虑楼板作用,并应加强上、下弦杆与框架柱的锚固连接构造;竖腹杆应按强剪弱弯进行配筋设计,并加强箍筋配置以及与上、下弦杆的连接构造措施。
条文说明
10.2.15 根据已有设计经验,空腹桁架作转换层时,一定要保证其整体作用,根据桁架各杆件的不同受力特点进行相应的设计构造,上、下弦杆应考虑轴向变形的影响。
10.2.16 部分框支剪力墙结构的布置应符合下列规定:
1 落地剪力墙和筒体底部墙体应加厚;
2 框支柱周围楼板不应错层布置;
3 落地剪力墙和筒体的洞口宜布置在墙体的中部;
4 框支梁上一层墙体内不宜设置边门洞,也不宜在框支中柱上方设置门洞;
5 落地剪力墙的间距l应符合下列规定:
1)非抗震设计时,l不宜大于3B和36m;
2)抗震设计时,当底部框支层为1~2层时,l不宜大于2B和24m;当底部框支层为3层及3层以上时,l不宜大于1.5B和20m;此处,B为落地墙之间楼盖的平均宽度。
6 框支柱与相邻落地剪力墙的距离,1~2层框支层时不宜大于12m,3层及3层以上框支层时不宜大于10m;
7 框支框架承担的地震倾覆力矩应小于结构总地震倾覆力矩的50%;
8 当框支梁承托剪力墙并承托转换次梁及其上剪力墙时,应进行应力分析,按应力校核配筋,并加强构造措施。B级高度部分框支剪力墙高层建筑的结构转换层,不宜采用框支主、次梁方案。
条文说明
10.2.16 关于部分框支剪力墙结构布置和设计的基本要求是根据中国建筑科学研究院结构所等进行的底层大空间剪力墙结构12层模型拟动力试验和底部为3~6层大空间剪力墙结构的振动台试验研究、清华大学土木系的振动台试验研究、近年来工程设计经验及计算分析研究成果而提出来的,满足这些设计要求,可以满足8度及8度以下抗震设计要求。 由于转换层位置不同,对建筑中落地剪力墙间距作了不同的规定;并规定了框支柱与相邻的落地剪力墙距离,以满足底部大空间层楼板的刚度要求,使转换层上部的剪力能有效地传递给落地剪力墙,框支柱只承受较小的剪力。 相比于02规程,此条有两处修改:一是将原来的规定范围限定为部分框支剪力墙结构;二是增加第7款对框支框架承担的倾覆力矩的限制,防止落地剪力墙过少。
10.2.17 部分框支剪力墙结构框支柱承受的水平地震剪力标准值应按下列规定采用:
1 每层框支柱的数目不多于10根时,当底部框支层为1~2层时,每根柱所受的剪力应至少取结构基底剪力的2%;当底部框支层为3层及3层以上时,每根柱所受的剪力应至少取结构基底剪力的3%。
2 每层框支柱的数目多于10根时,当底部框支层为1~2层时,每层框支柱承受剪力之和应至少取结构基底剪力的20%;当框支层为3层及3层以上时,每层框支柱承受剪力之和应至少取结构基底剪力的30%。
框支柱剪力调整后,应相应调整框支柱的弯矩及柱端框架梁的剪力和弯矩,但框支梁的剪力、弯矩、框支柱的轴力可不调整。
条文说明
10.2.17 对于部分框支剪力墙结构,在转换层以下,一般落地剪力墙的刚度远远大于框支柱的刚度,落地剪力墙几乎承受全部地震剪力,框支柱的剪力非常小。考虑到在实际工程中转换层楼面会有显著的面内变形,从而使框支柱的剪力显著增加。12层底层大空间剪力墙住宅模型试验表明:实测框支柱的剪力为按楼板刚度无限大假定计算值的6~8倍;且落地剪力墙出现裂缝后刚度下降,也导致框支柱剪力增加。所以按转换层位置的不同以及框支柱数目的多少,对框支柱剪力的调整增大作了不同的规定。
10.2.18 部分框支剪力墙结构中,特一、一、二、三级落地剪力墙底部加强部位的弯矩设计值应按墙底截面有地震作用组合的弯矩值乘以增大系数1.8、1.5、1.3、1.1采用;其剪力设计值应按本规程第3.10.5条、第7.2.6条的规定进行调整。落地剪力墙墙肢不宜出现偏心受拉。
条文说明
10.2.18 部分框支剪力墙结构设计时,为加强落地剪力墙的底部加强部位,规定特一、一、二、三级落地剪力墙底部加强部位的弯矩设计值应分别按墙底截面有地震作用组合的弯矩值乘以增大系数1.8、1.5、1.3、1.1采用;其剪力设计值应按规定进行强剪弱弯调整。
10.2.19 部分框支剪力墙结构中,剪力墙底部加强部位墙体的水平和竖向分布钢筋的最小配筋率,抗震设计时不应小于0.3%,非抗震设计时不应小于0.25%;抗震设计时钢筋间距不应大于200mm,钢筋直径不应小于8mm。 ( 自2022年4月1日起废止该条,点击查看:新规 《混凝土结构通用规范》 GB 55008-2021)
条文说明
10.2.19 部分框支剪力墙结构中,剪力墙底部加强部位是指房屋高度的1/10以及地下室顶板至转换层以上两层高度二者的较大值。落地剪力墙是框支层以下最主要的抗侧力构件,受力很大,破坏后果严重,十分重要;框支层上部两层剪力墙直接与转换构件相连,相当于一般剪力墙的底部加强部位,且其承受的竖向力和水平力要通过转换构件传递至框支层竖向构件。因此,本条对部分框支剪力墙底部加强部位剪力墙的分布钢筋最低构造,提出了比普通剪力墙底部加强部位更高的要求。
10.2.20 部分框支剪力墙结构的剪力墙底部加强部位,墙体两端宜设置翼墙或端柱,抗震设计时尚应按本规程第7.2.15条的规定设置约束边缘构件。
条文说明
10.2.20 部分框支剪力墙结构中,抗震设计时应在墙体两端设置约束边缘构件,对非抗震设计的框支剪力墙结构,也规定了剪力墙底部加强部位的增强措施。
10.2.21 部分框支剪力墙结构的落地剪力墙基础应有良好的整体性和抗转动的能力。
条文说明
10.2.21 当地基土较弱或基础刚度和整体性较差时,在地震作用下剪力墙基础可能产生较大的转动,对框支剪力墙结构的内力和位移均会产生不利影响。因此落地剪力墙基础应有良好的整体性和抗转动的能力。
10.2.22 部分框支剪力墙结构框支 梁上部墙体的构造应符合下列规定:
1 当梁上部的墙体开有边门洞时(图10.2.22),洞边墙体宜设置翼墙、端柱或加厚,并应按本规程第7.2.15条约束边缘构件的要求进行配筋设计;当洞口靠近梁端部且梁的受剪承载力不满足要求时,可采取框支梁加腋或增大框支墙洞口连梁刚度等措施。

2 框支梁上部墙体竖向钢筋在梁内的锚固长度,抗震设计时不应小于laE,非抗震设计时不应小于la。
3 框支梁上部一层墙体的配筋宜按下列规定进行校核:

4 框支梁与其上部墙体的水平施工缝处宜按本规程第7.2.12条的规定验算抗滑移能力。
条文说明
10.2.22 根据中国建筑科学研究院结构所等单位的试验及有限元分析,在竖向及水平荷载作用下,框支梁上部的墙体在多个部位会出现较大的应力集中,这些部位的剪力墙容易发生破坏,因此对这些部位的剪力墙规定了多项加强措施。
10.2.23 部分框支剪力墙结构中,框支转换层楼板厚度不宜小于180mm,应双层双向配筋,且每层每方向的配筋率不宜小于0.25%,楼板中钢筋应锚固在边梁或墙体内;落地剪力墙和筒体外围的楼板不宜开洞。楼板边缘和较大洞口周边应设置边梁,其宽度不宜小于板厚的2倍,全截面纵向钢筋配筋率不应小于1.0%。与转换层相邻楼层的楼板也应适当加强。
10.2.24 部分框支剪力墙结构中,抗震设计的矩形平面建筑框支转换层楼板,其截面剪力设计值应符合下列要求:

10.2.25 部分框支剪力墙结构中,抗震设计的矩形平面建筑框支转换层楼板,当平面较长或不规则以及各剪力墙内力相差较大时,可采用简化方法验算楼板平面内受弯承载力。
条文说明
10.2.23~10.2.25 部分框支剪力墙结构中,框支转换层楼板是重要的传力构件,不落地剪力墙的剪力需要通过转换层楼板传递到落地剪力墙,为保证楼板能可靠传递面内相当大的剪力(弯矩),规定了转换层楼板截面尺寸要求、抗剪截面验算、楼板平面内受弯承载力验算以及构造配筋要求。
10.2.26 抗震设计时,带托柱转换层的筒体结构的外围转换柱与内筒、核心筒外墙的中距不宜大于12m。
条文说明
10.2.26 试验表明,带托柱转换层的筒体结构,外围框架柱与内筒的距离不宜过大,否则难以保证转换层上部外框架(框筒)的剪力能可靠地传递到筒体。
10.2.27 托柱转换层结构,转换构件采用桁架时,转换桁架斜腹杆的交点、空腹桁架的竖腹杆宜与上部密柱的位置重合;转换桁架的节点应加强配筋及构造措施。
条文说明
10.2.27 托柱转换层结构采用转换桁架时,本条规定可保障上部密柱构件内力传递。此外,桁架节点非常重要,应引起重视。
10.3 带加强层高层建筑结构
10.3.1 当框架-核心筒、筒中筒结构的侧向刚度不能满足要求时,可利用建筑避难层、设备层空间,设置适宜刚度的水平伸臂构件,形成带加强层的高层建筑结构。必要时,加强层也可同时设置周边水平环带构件。水平伸臂构件、周边环带构件可采用斜腹杆桁架、实体梁、箱形梁、空腹桁架等形式。
条文说明
10.3.1 根据近年来高层建筑的设计经验及理论分析研究,当框架-核心筒结构的侧向刚度不能满足设计要求时,可以设置加强层以加强核心筒与周边框架的联系,提高结构整体刚度,控制结构位移。本节规定了设置加强层的要求及加强层构件的类型。
10.3.2 带加强层高层建筑结构设计应符合下列规定:
1 应合理设计加强层的数量、刚度和设置位置。当布置1个加强层时,可设置在0.6倍房屋高度附近;当布置2个加强层时,可分别设置在顶层和0.5倍房屋高度附近;当布置多个加强层时,宜沿竖向从顶层向下均匀布置。
2 加强层水平伸臂构件宜贯通核心筒,其平面布置宜位于核心筒的转角、T字节点处;水平伸臂构件与周边框架的连接宜采用铰接或半刚接;结构内力和位移计算中,设置水平伸臂桁架的楼层宜考虑楼板平面内的变形。
3 加强层及其相邻层的框架柱、核心筒应加强配筋构造。
4 加强层及其相邻层楼盖的刚度和配筋应加强。
5 在施工程序及连接构造上应采取减小结构竖向温度变形及轴向压缩差的措施,结构分析模型应能反映施工措施的影响。
条文说明
10.3.2 根据中国建研院等单位的理论分析,带加强层的高层建筑,加强层的设置位置和数量如果比较合理,则有利于减少结构的侧移。本条第1款的规定供设计人员参考。 结构模型振动台试验及研究分析表明:由于加强层的设置,结构刚度突变,伴随着结构内力的突变,以及整体结构传力途径的改变,从而使结构在地震作用下,其破坏和位移容易集中在加强层附近,形成薄弱层,因此规定了在加强层及相邻层的竖向构件需要加强。伸臂桁架会造成核心筒墙体承受很大的剪力,上下弦杆的拉力也需要可靠地传递到核心筒上,所以要求伸臂构件贯通核心筒。 加强层的上下层楼面结构承担着协调内筒和外框架的作用,存在很大的面内应力,因此本条规定的带加强层结构设计的原则中,对设置水平伸臂构件的楼层在计算时宜考虑楼板平面内的变形,并注意加强层及相邻层的结构构件的配筋加强措施,加强各构件的连接锚固。 由于加强层的伸臂构件强化了内筒与周边框架的联系,内筒与周边框架的竖向变形差将产生很大的次应力,因此需要采取有效的措施减小这些变形差(如伸臂桁架斜腹杆的滞后连接等),而且在结构分析时就应该进行合理的模拟,反映这些措施的影响。
10.3.3 抗震设计时,带加强层高层建筑结构应符合下列要求:
1 加强层及其相邻层的框架柱、核心筒剪力墙的抗震等级应提高一级采用,一级应提高至特一级,但抗震等级已经为特一级时应允许不再提高;
2 加强层及其相邻层的框架柱,箍筋应全柱段加密配置,轴压比限值应按其他楼层框架柱的数值减小0.05采用;
3 加强层及其相邻层核心筒剪力墙应设置约束边缘构件。 ( 自2022年4月1日起废止该条,点击查看:新规 《混凝土结构通用规范》 GB 55008-2021)
条文说明
10.3.3 带加强层的高层建筑结构,加强层刚度和承载力较大,与其上、下相邻楼层相比有突变,加强层相邻楼层往往成为抗震薄弱层;与加强层水平伸臂结构相连接部位的核心筒剪力墙以及外围框架柱受力大且集中。因此,为了提高加强层及其相邻楼层与加强层水平伸臂结构相连接的核心筒墙体及外围框架柱的抗震承载力和延性,本条规定应对此部位结构构件的抗震等级提高一级采用(已经为特一级者可不提高);框架柱箍筋应全柱段加密,轴压比从严(减小0.05)控制;剪力墙应设置约束边缘构件。 本条第3款为本次修订新增加内容。
10.4 错层结构
10.4.1 抗震设计时,高层建筑沿竖向宜避免错层布置。当房屋不同部位因功能不同而使楼层错层时,宜采用防震缝划分为独立的结构单元。
条文说明
10.4.1 中国建筑科学研究院抗震所等单位对错层剪力墙结构做了两个模型振动台试验。试验研究表明,平面规则的错层剪力墙结构使剪力墙形成错洞墙,结构竖向刚度不规则,对抗震不利,但错层对抗震性能的影响不十分严重;平面布置不规则、扭转效应显著的错层剪力墙结构破坏严重;错层框架结构或框架-剪力墙结构尚未见试验研究资料,但从计算分析表明,这些结构的抗震性能要比错层剪力墙结构更差。因此,高层建筑宜避免错层。 相邻楼盖结构高差超过梁高范围的,宜按错层结构考虑。结构中仅局部存在错层构件的不属于错层结构,但这些错层构件宜参考本节的规定进行设计。
10.4.2 错层两侧宜采用结构布置和侧向刚度相近的结构体系。
条文说明
10.4.2 错层结构应尽量减少扭转效应,错层两侧宜采用侧向刚度和变形性能相近的结构方案,以减小错层处墙、柱内力,避免错层处结构形成薄弱部位。
10.4.3 错层结构中,错开的楼层不应归并为一个刚性楼板,计算分析模型应能反映错层影响。
条文说明
10.4.3 当采用错层结构时,为了保证结构分析的可靠性,相邻错开的楼层不应归并为一个刚性楼层计算。
10.4.4 抗震设计时,错层处框架柱应符合下列要求:
1 截面高度不应小于600mm,混凝土强度等级不应低于C30,箍筋应全柱段加密配置;
2 抗震等级应提高一级采用,一级应提高至特一级,但抗震等级已经为特一级时应允许不再提高。 ( 自2022年4月1日起废止该条,点击查看:新规 《混凝土结构通用规范》 GB 55008-2021)
条文说明
10.4.4 错层结构属于竖向布置不规则结构,错层部位的竖向抗侧力构件受力复杂,容易形成多处应力集中部位。框架错层更为不利,容易形成长、短柱沿竖向交替出现的不规则体系。因此,规定抗震设计时错层处柱的抗震等级应提高一级采用(特一级时允许不再提高),截面高度不应过小,箍筋应全柱段加密配置,以提高其抗震承载力和延性。 和02规程相比,本次修订明确了本条规定是针对抗震设计的错层结构。
10.4.5 在设防烈度地震作用下,错层处框架柱的截面承载力宜符合本规程公式(3.11.3—2)的要求。
条文说明
10.4.5 本条为新增条文。错层结构错层处的框架柱受力复杂,易发生短柱受剪破坏,因此要求其满足设防烈度地震(中震)作用下性能水准2的设计要求。
10.4.6 错层处平面外受力的剪力墙的截面厚度,非抗震设计时不应小于200mm,抗震设计时不应小于250mm,并均应设置与之垂直的墙肢或扶壁柱;抗震设计时,其抗震等级应提高一级采用。错层处剪力墙的混凝土强度等级不应低于C30,水平和竖向分布钢筋的配筋率,非抗震设计时不应小于0.3%,抗震设计时不应小于0.5%。
条文说明
10.4.6 错层结构在错层处的构件(图13)要采取加强措施。 本规程第10.4.4条和本条规定了错层处柱截面高度、剪力墙截面厚度以及剪力墙分布钢筋的最小配筋率要求,并规定平面外受力的剪力墙应设置与其垂直的墙肢或扶壁柱,抗震设计时,错层处框架柱和平面外受力的剪力墙的抗震等级应提高一级采用,以免该类构件先于其他构件破坏。如果错层处混凝土构件不能满足设计要求,则需采取有效措施。框架柱采用型钢混凝土柱或钢管混凝土柱,剪力墙内设置型钢,可改善构件的抗震性能。

10.5 连体结构
10.5.1 连体结构各独立部分宜有相同或相近的体型、平面布置和刚度;宜采用双轴对称的平面形式。7度、8度抗震设计时,层数和刚度相差悬殊的建筑不宜采用连体结构。
条文说明
10.5.1 连体结构各独立部分宜有相同或相近的体型、平面和刚度,宜采用双轴对称的平面形式,否则在地震中将出现复杂的X、Y、θ相互耦联的振动,扭转影响大,对抗震不利。 1995年日本阪神地震和1999年我国台湾集集地震的震害表明,连体结构破坏严重,连接体本身塌落的情况较多,伺时使主体结构中与连接体相连的部分结构严重破坏,尤其当两个主体结构层数和刚度相差较大时,采用连体结构更为不利,因此规定7、8度抗震时层数和刚度相差悬殊的不宜采用连体结构。
10.5.2 7度(0.15g)和8度抗震设计时,连体结构的连接体应考虑竖向地震的影响。 ( 自2022年4月1日起废止该条,点击查看:新规 《混凝土结构通用规范》 GB 55008-2021)
条文说明
10.5.2 连体结构的连接体一般跨度较大、位置较高,对竖向地震的反应比较敏感,放大效应明显,因此抗震设计时高烈度区应考虑竖向地震的不利影响。本次修订增加了7度设计基本地震加速度为0.15g抗震设防区考虑竖向地震影响的规定,与本规程第4.3.2条的规定保持一致。
10.5.3 6度和7度(0.10g)抗震设计时,高位连体结构的连接体宜考虑竖向地震的影响。
条文说明
10.5.3 计算分析表明,高层建筑中连体结构连接体的竖向地震作用受连体跨度、所处位置以及主体结构刚度等多方面因素的影响,6度和7度0.10g抗震设计时,对于高位连体结构(如连体位置高度超过80m时)宜考虑其影响。
10.5.4 连接体结构与主体结构宜采用刚性连接。刚性连接时,连接体结构的主要结构构件应至少伸入主体结构一跨并可靠连接;必要时可延伸至主体部分的内筒,并与内筒可靠连接。
当连接体结构与主体结构采用滑动连接时,支座滑移量应能满足两个方向在罕遇地震作用下的位移要求,并应采取防坠落、撞击措施。罕遇地震作用下的位移要求,应采用时程分析方法进行计算复核。
10.5.5 刚性连接的连接体结构可设置钢梁、钢桁架、型钢混凝土梁,型钢应伸入主体结构至少一跨并可靠锚固。连接体结构的边梁截面宜加大;楼板厚度不宜小于150mm,宜采用双层双向钢筋网,每层每方向钢筋网的配筋率不宜小于0.25%。
当连接体结构包含多个楼层时,应特别加强其最下面一个楼层及顶层的构造设计。
条文说明
10.5.4、10.5.5 连体结构的连体部位受力复杂,连体部分的跨度一般也较大,采用刚性连接的结构分析和构造上更容易把握,因此推荐采用刚性连接的连体形式。刚性连接体既要承受很大的竖向重力荷载和地震作用,又要在水平地震作用下协调两侧结构的变形,因此要保证连体部分与两侧主体结构的可靠连接,这两条规定了连体结构与主体结构连接的要求,并强调了连体部位楼板的要求。 根据具体项目的特点分析后,也可采用滑动连接方式。震害表明,当采用滑动连接时,连接体往往由于滑移量较大致使支座发生破坏,因此增加了对采用滑动连接时的防坠落措施要求和需采用时程分析方法进行复核计算的要求。
10.5.6 抗震设计时,连接体及与连接体相连的结构构件应符合下列要求:
1 连接体及与连接体相连的结构构件在连接体高度范围及其上、下层,抗震等级应提高一级采用,一级提高至特一级,但抗震等级已经为特一级时应允许不再提高;
2 与连接体相连的框架柱在连接体高度范围及其上、下层,箍筋应全柱段加密配置,轴压比限值应按其他楼层框架柱的数值减小0.05采用;
3 与连接体相连的剪力墙在连接体高度范围及其上、下层应设置约束边缘构件。 ( 自2022年4月1日起废止该条,点击查看:新规 《混凝土结构通用规范》 GB 55008-2021)
条文说明
10.5.6 中国建筑科学研究院等单位对连体结构的计算分析及振动台试验研究说明,连体结构自振振型较为复杂,前几个振型与单体建筑有明显不同,除顺向振型外,还出现反向振型;连体结构抗扭转性能较差,扭转振型丰富,当第一扭转频率与场地卓越频率接近时,容易引起较大的扭转反应,易造成结构破坏。因此,连体结构的连接体及与连接体相连的结构构件受力复杂,易形成薄弱部位,抗震设计时必须予以加强,以提高其抗震承载力和延性。 本条第2、3两款为本次修订新增内容。
10.5.7 连体结构的计算应符合下列规定:
1 刚性连接的连接体楼板应按本规程第10.2.24条进行受剪截面和承载力验算;
2 刚性连接的连接体楼板较薄弱时,宜补充分塔楼模型计算分析。
条文说明
10.5.7 刚性连接的连体部分结构在地震作用下需要协调两侧塔楼的变形,因此需要进行连体部分楼板的验算,楼板的受剪截面和受剪承载力按转换层楼板的计算方法进行验算,计算剪力可取连体楼板承担的两侧塔楼楼层地震作用力之和的较小值。当连体部分楼板较弱时,在强烈地震作用下可能发生破坏,因此建议补充两侧分塔楼的计算分析,确保连体部分失效后两侧塔楼可以独立承担地震作用不致发生严重破坏或倒塌。
10.6 竖向体型收进、悬挑结构
10.6.1 多塔楼结构以及体型收进、悬挑程度超过本规程第3.5.5条限值的竖向不规则高层建筑结构应遵守本节的规定。
条文说明
10.6.1 将02规程多塔楼结构的内容与新增的体型收进、悬挑结构的相关内容合并,统称为“竖向体型收进、悬挑结构”。对于多塔楼结构、竖向体型收进和悬挑结构,其共同的特点就是结构侧向刚度沿竖向发生剧烈变化,往往在变化的部位产生结构的薄弱部位,因此本节对其统一进行规定。
10.6.2 多塔楼结构以及体型收进、悬挑结构,竖向体型突变部位的楼板宜加强,楼板厚度不宜小于150mm,宜双层双向配筋,每层每方向钢筋网的配筋率不宜小于0.25%。体型突变部位上、下层结构的楼板也应加强构造措施。
条文说明
10.6.2 竖向体型收进、悬挑结构在体型突变的部位,楼板承担着很大的面内应力,为保证上部结构的地震作用可靠地传递到下部结构,体型突变部位的楼板应加厚并加强配筋,板面负弯矩配筋宜贯通。体型突变部位上、下层结构的楼板也应加强构造措施。
10.6.3 抗震设计时,多塔楼高层建筑结构应符合下列规定:
1 各塔楼的层数、平面和刚度宜接近;塔楼对底盘宜对称布置;上部塔楼结构的综合质心与底盘结构质心的距离不宜大于底盘相应边长的20%。
2 转换层不宜设置在底盘屋面的上层塔楼内。
3 塔楼中与裙房相连的外围柱、剪力墙,从固定端至裙房屋面上一层的高度范围内,柱纵向钢筋的最小配筋率宜适当提高,剪力墙宜按本规程第7.2.15条的规定设置约束边缘构件,柱箍筋宜在裙楼屋面上、下层的范围内全高加密;当塔楼结构相对于底盘结构偏心收进时,应加强底盘周边竖向构件的配筋构造措施。
4 大底盘多塔楼结构,可按本规程第5.1.14条规定的整体和分塔楼计算模型分别验算整体结构和各塔楼结构扭转为主的第一周期与平动为主的第一周期的比值,并应符合本规程第3.4.5条的有关要求。
条文说明
10.6.3 中国建筑科学研究院结构所等单位的试验研究和计算分析表明,多塔楼结构振型复杂,且高振型对结构内力的影响大,当各塔楼质量和刚度分布不均匀时,结构扭转振动反应大,高振型对内力的影响更为突出。因此本条规定多塔楼结构各塔楼的层数、平面和刚度宜接近;塔楼对底盘宜对称布置,减小塔楼和底盘的刚度偏心。大底盘单塔楼结构的设计,也应符合本条关于塔楼与底盘的规定。
震害和计算分析表明,转换层宜设置在底盘楼层范围内,不宜设置在底盘以上的塔楼内(图14)。若转换层设置在底盘屋面的上层塔楼内时,易形成结构薄弱部位,不利于结构抗震,应尽量避免;否则应采取有效的抗震措施,包括增大构件内力、提高抗震等级等。

为保证结构底盘与塔楼的整体作用,裙房屋面板应加厚并加强配筋,板面负弯矩配筋宜贯通;裙房屋面上、下层结构的楼板也应加强构造措施。
为保证多塔楼建筑中塔楼与底盘整体工作,塔楼之间裙房连接体的屋面梁以及塔楼中与裙房连接体相连的外围柱、墙,从固定端至出裙房屋面上一层的高度范围内,在构造上应予以特别加强(图15)。

10.6.4 悬挑结构设计应符合下列规定:
1 悬挑部位应采取降低结构自重的措施。
2 悬挑部位结构宜采用冗余度较高的结构形式。
3 结构内力和位移计算中,悬挑部位的楼层宜考虑楼板平面内的变形,结构分析模型应能反映水平地震对悬挑部位可能产生的竖向振动效应。
4 7度(0.15g)和8、9度抗震设计时,悬挑结构应考虑竖向地震的影响;6、7度抗震设计时,悬挑结构宜考虑竖向地震的影响。
5 抗震设计时,悬挑结构的关键构件以及与之相邻的主体结构关键构件的抗震等级宜提高一级采用,一级提高至特一级,抗震等级已经为特一级时,允许不再提高。
6 在预估罕遇地震作用下,悬挑结构关键构件的截面承载力宜符合本规程公式(3.11.3—3)的要求。
条文说明
10.6.4 本条为新增条文,对悬挑结构提出了明确要求。
悬挑部分的结构一般竖向刚度较差、结构的冗余度不高,因此需要采取措施降低结构自重、增加结构冗余度,并进行竖向地震作用的验算,且应提高悬挑关键构件的承载力和抗震措施,防止相关部位在竖向地震作用下发生结构的倒塌。
悬挑结构上下层楼板承受较大的面内作用,因此在结构分析时应考虑楼板面内的变形,分析模型应包含竖向振动的质量,保证分析结果可以反映结构的竖向振动反应。
10.6.5 体型收进高层建筑结构、底盘高度超过房屋高度20%的多塔楼结构的设计应符合下列规定:
1 体型收进处宜采取措施减小结构刚度的变化,上部收进结构的底部楼层层间位移角不宜大于相邻下部区段最大层间位移角的1.15倍;
2 抗震设计时,体型收进部位上、下各2层塔楼周边竖向结构构件的抗震等级宜提高一级采用,一级提高至特一级,抗震等级已经为特一级时,允许不再提高;
3 结构偏心收进时,应加强收进部位以下2层结构周边竖向构件的配筋构造措施。
条文说明
10.6.5 本条为新增条文,对体型收进结构提出了明确要求。大量地震震害以及相关的试验研究和分析表明,结构体型收进较多或收进位置较高时,因上部结构刚度突然降低,其收进部位形成薄弱部位,因此规定在收进的相邻部位采取更高的抗震措施。当结构偏心收进时,受结构整体扭转效应的影响,下部结构的周边竖向构件内力增加较多,应予以加强。图16中表示了应该加强的结构部位。
收进程度过大、上部结构刚度过小时,结构的层间位移角增加较多,收进部位成为薄弱部位,对结构抗震不利,因此限制上部楼层层间位移角不大于下部结构层间位移角的1.15倍,当结构分段收进时,控制收进部位底部楼层的层间位移角和下部相邻区段楼层的最大层间位移角之间的比例(图17)。


11 混合结构设计
11.1 一般规定
11.1.1 本章规定的混合结构,系指由外围钢框架或型钢混凝土、钢管混凝土框架与钢筋混凝土核心筒所组成的框架-核心筒结构,以及由外围钢框筒或型钢混凝土、钢管混凝土框筒与钢筋混凝土核心筒所组成的筒中筒结构。
条文说明
11.1.1 钢和混凝土混合结构体系是近年来在我国迅速发展的一种新型结构体系,由于其在降低结构自重、减少结构断面尺寸、加快施工进度等方面的明显优点,已引起工程界和投资商的广泛关注,目前已经建成了一批高度在150m~200m的建筑,如上海森茂大厦、国际航运大厦、世界金融大厦、新金桥大厦、深圳发展中心、北京京广中心等,还有一些高度超过300m的高层建筑也采用或部分采用了混合结构。除设防烈度为7度的地区外,8度区也已开始建造。考虑到近几年来采用筒中筒体系的混合结构建筑日趋增多,如上海环球金融中心、广州西塔、北京国贸三期、大连世贸等,故本次修订增加了混合结构筒中筒体系。另外,钢管混凝土结构因其良好的承载能力及延性,在高层建筑中越来越多地被采用,故而将钢管混凝土结构也一并列入。尽管采用型钢混凝土(钢管混凝土)构件与钢筋混凝土、钢构件组成的结构均可称为混合结构,构件的组合方式多种多样,所构成的结构类型会很多,但工程实际中使用最多的还是框架-核心筒及筒中筒混合结构体系,故本规程仅列出上述两种结构体系。 型钢混凝土(钢管混凝土)框架可以是型钢混凝土梁与型钢混凝土柱(钢管混凝土柱)组成的框架,也可以是钢梁与型钢混凝土柱(钢管混凝土柱)组成的框架,外周的筒体可以是框筒、桁架筒或交叉网格筒。外周的钢筒体可以是钢框筒、桁架筒或交叉网格筒。为减少柱子尺寸或增加延性而在混凝土柱中设置构造型钢,而框架梁仍为钢筋混凝土梁时,该体系不宜视为混合结构;此外对于体系中局部构件(如框支梁柱)采用型钢梁柱(型钢混凝土梁柱)也不应视为混合结构。 钢筋混凝土核心筒的某些部位,可按本章的有关规定或根据工程实际需要配置型钢或钢板,形成型钢混凝土剪力墙或钢板混凝土剪力墙。
11.1.2 混合结构高层建筑适用的最大高度应符合表11.1.2的规定。

条文说明
11.1.2 混合结构房屋适用的最大适用高度主要是依据已有的工程经验并参照现行行业标准《型钢混凝土组合结构技术规程》JGJ 138偏安全地确定的。近年来的试验和计算分析,对混合结构中钢结构部分应承担的最小地震作用有些新的认识,如果混合结构中钢框架承担的地震剪力过少,则混凝土核心筒的受力状态和地震下的表现与普通钢筋混凝土结构几乎没有差别,甚至混凝土墙体更容易破坏,因此对钢框架-核心筒结构体系适用的最大高度较B级高度的混凝土框架-核心筒体系适用的最大高度适当减少。
11.1.3 混合结构高层建筑的高宽比不宜大于表11.1.3的规定。

条文说明
11.1.3 高层建筑的高宽比是对结构刚度、整体稳定、承载能力和经济合理性的宏观控制。钢(型钢混凝土)框架-钢筋混凝土筒体混合结构体系高层建筑,其主要抗侧力体系仍然是钢筋混凝土筒体,因此其高宽比的限值和层间位移限值均取钢筋混凝土结构体系的同一数值,而筒中筒体系混合结构,外周筒体抗侧刚度较大,承担水平力也较多,钢筋混凝土内筒分担的水平力相应减小,且外筒体延性相对较好,故高宽比要求适当放宽。
11.1.4 抗震设计时,混合结构房屋应根据设防类别、烈度、结构类型和房屋高度采用不同的抗震等级,并应符合相应的计算和构造措施要求。丙类建筑混合结构的抗震等级应按表11.1.4确定。 ( 自2022年4月1日起废止该条,点击查看:新规 《混凝土结构通用规范》 GB 55008-2021)

条文说明
11.1.4 试验表明,在地震作用下,钢框架-混凝土筒体结构的破坏首先出现在混凝土筒体,应对该筒体采取较混凝土结构中的筒体更为严格的构造措施,以提高其延性,因此对其抗震等级适当提高。型钢混凝土柱-混凝土筒体及筒中筒体系的最大适用高度已较B级高度的钢筋混凝土结构略高,对其抗震等级要求也适当提高。 本次修订增加了筒中筒结构体系中构件的抗震等级规定。考虑到型钢混凝土构件节点的复杂性,且构件的承载力和延性可通过提高型钢的含钢率实现,故型钢混凝土构件仍不出现特一级。 钢结构构件抗震等级的划分主要依据现行国家标准《建筑抗震设计规范》GB 50011的相关规定。
11.1.5 混合结构在风荷载及多遇地震作用下,按弹性方法计算的最大层间位移与层高的比值应符合本规程第3.7.3条的有关规定;在罕遇地震作用下,结构的弹塑性层间位移应符合本规程第3.7.5条的有关规定。
条文说明
11.1.5 补充了混合结构在预估罕遇地震下弹塑性层间位移的规定。
11.1.6 棍合结构框架所承担的地震剪力应符合本规程第9.1.11条的规定。
条文说明
11.1.6 在地震作用下,钢—混凝土混合结构体系中,由于钢筋混凝土核心筒抗侧刚度较钢框架大很多,因而承担了绝大部分的地震力,而钢筋混凝土核心筒墙体在达到本规程限定的变形时,有些部位的墙体已经开裂,此时钢框架尚处于弹性阶段,地震作用在核心筒墙体和钢框架之间会进行再分配,钢框架承受的地震力会增加,而且钢框架是重要的承重构件,它的破坏和竖向承载力降低将会危及房屋的安全,因此有必要对钢框架承受的地震力进行调整,以使钢框架能适应强地震时大变形且保有一定的安全度。本规程第9.1.11条已规定了各层框架部分承担的最大地震剪力不宜小于结构底部地震剪力的10%;小于10%时应调整到结构底部地震剪力的15%。一般情况下,15%的结构底部剪力较钢框架分配的楼层最大剪力的1.5倍大,故钢框架承担的地震剪力可采用与型钢混凝土框架相同的方式进行调整。
11.1.7 地震设计状况下,型钢(钢管)混凝土构件和钢构件的承载力抗震调整系数γRE可分别按表11.1.7—1和表11.1.7—2采用。


条文说明
11.1.7 根据现行国家标准《建筑抗震设计规范》GB 50011的有关规定,修改了钢柱的承载力抗震调整系数。
11.1.8 当采用压型钢板混凝土组合楼板时,楼板混凝土可采用轻质混凝土,其强度等级不应低于LC25;高层建筑钢-混凝土混合结构的内部隔墙应采用轻质隔墙。
条文说明
11.1.8 高层建筑层数较多,减轻结构构件及填充墙的自重是减轻结构重量、改善结构抗震性能的有效措施。其他材料的相关规定见本规程第3.2节。随着高性能钢材和混凝土技术的发展,在高层建筑中采用高性能钢材和混凝土成为首选,对于提高结构效率,增加经济性大有益处。
11.2 结构布置
11.2.1 混合结构房屋的结构布置除应符合本节的规定外,尚应符合本规程第3.4、3.5节的有关规定。
条文说明
11.2.2 从抗震的角度提出了建筑的平面应简单、规则、对称的要求,从方便制作、减少构件类型的角度提出了开间及进深宜尽量统一的要求。考虑到混合结构多属B级高度高层建筑,故位移比及周期比按照B类高度高层建筑进行控制。 框筒结构中,将强轴布置在框筒平面内时,主要是为了增加框筒平面内的刚度,减少剪力滞后。角柱为双向受力构件,采用方形、十字形等主要是为了方便连接,且受力合理。 减小横风向风振可采取平面角部柔化、沿竖向退台或呈锥形、改变截面形状、设置扰流部件、立面开洞等措施。 楼面梁使连梁受扭,对连梁受力非常不利,应予避免;如必须设置时,可设置型钢混凝土连梁或沿核心筒外周设置宽度大于墙厚的环向楼面梁。
11.2.2 混合结构的平面布置应符合下列规定:
1 平面宜简单、规则、对称、具有足够的整体抗扭刚度,平面宜采用方形、矩形、多边形、圆形、椭圆形等规则平面,建筑的开间、进深宜统一;
2 筒中筒结构体系中,当外围钢框架柱采用H形截面柱时,宜将柱截面强轴方向布置在外围筒体平面内;角柱宜采用十字形、方形或圆形截面;
3 楼盖主梁不宜搁置在核心筒或内筒的连梁上。
条文说明
11.2.2 从抗震的角度提出了建筑的平面应简单、规则、对称的要求,从方便制作、减少构件类型的角度提出了开间及进深宜尽量统一的要求。考虑到混合结构多属B级高度高层建筑,故位移比及周期比按照B类高度高层建筑进行控制。 框筒结构中,将强轴布置在框筒平面内时,主要是为了增加框筒平面内的刚度,减少剪力滞后。角柱为双向受力构件,采用方形、十字形等主要是为了方便连接,且受力合理。 减小横风向风振可采取平面角部柔化、沿竖向退台或呈锥形、改变截面形状、设置扰流部件、立面开洞等措施。 楼面梁使连梁受扭,对连梁受力非常不利,应予避免;如必须设置时,可设置型钢混凝土连梁或沿核心筒外周设置宽度大于墙厚的环向楼面梁。
11.2.3 混合结构的竖向布置应符合下列规定:
1 结构的侧向刚度和承载力沿竖向宜均匀变化、无突变,构件截面宜由下至上逐渐减小。
2 混合结构的外围框架柱沿高度宜采用同类结构构件;当采用不同类型结构构件时,应设置过渡层,且单柱的抗弯刚度变化不宜超过30%。
3 对于刚度变化较大的楼层,应采取可靠的过渡加强措施。
4 钢框架部分采用支撑时,宜采用偏心支撑和耗能支撑,支撑宜双向连续布置;框架支撑宜延伸至基础。
条文说明
11.2.3 国内外的震害表明,结构沿竖向刚度或抗侧力承载力变化过大,会导致薄弱层的变形和构件应力过于集中,造成严重震害。刚度变化较大的楼层,是指上、下层侧向刚度变化明显的楼层,如转换层、加强层、空旷的顶层、顶部突出部分、型钢混凝土框架与钢框架的交接层及邻近楼层等。竖向刚度变化较大时,不但刚度变化的楼层受力增大,而且其上、下邻近楼层的内力也会增大,所以采取加强措施应包括相邻楼层在内。 对于型钢钢筋混凝土与钢筋混凝土交接的楼层及相邻楼层的柱子,应设置剪力栓钉,加强连接;另外,钢-混凝土混合结构的顶层型钢混凝土柱也需设置栓钉,因为一般来说,顶层柱子的弯矩较大。
11.2.4 8、9度抗震设计时,应在楼面钢梁或型钢混凝土梁与混凝土筒体交接处及混凝土筒体四角墙内设置型钢柱;7度抗震设计时,宜在楼面钢梁或型钢混凝土梁与混凝土筒体交接处及混凝土筒体四角墙内设置型钢柱。
条文说明
11.2.4 本条是在02规程第11 2.4条基础上修改完成的。钢(型钢混凝土)框架-混凝土筒体结构体系中的混凝土筒体在底部一般均承担了85%以上的水平剪力及大部分的倾覆力矩,所以必须保证混凝土筒体具有足够的延性,配置了型钢的混凝土筒体墙在弯曲时,能避免发生平面外的错断及筒体角部混凝土的压溃,同时也能减少钢柱与混凝土筒体之间的竖向变形差异产生的不利影响。而筒中筒体系的混合结构,结构底部内筒承担的剪力及倾覆力矩的比例有所减少,但考虑到此种体系的高度均很高,在大震作用下很有可能出现角部受拉,为延缓核心筒弯曲铰及剪切铰的出现,筒体的角部也宜布置型钢。 型钢柱可设置在核心筒的四角、核心筒剪力墙的大开口两侧及楼面钢梁与核心筒的连接处。试验表明,钢梁与核心筒的连接处,存在部分弯矩及轴力,而核心筒剪力墙的平面外刚度又较小,很容易出现裂缝,因此楼面梁与核心筒剪力墙刚接时,在筒体剪力墙中宜设置型钢柱,同时也能方便钢结构的安装;楼面梁与核心筒剪力墙铰接时,应采取措施保证墙上的预埋件不被拔出。混凝土筒体的四角受力较大,设置型钢柱后核心筒剪力墙开裂后的承载力下降不多,能防止结构的迅速破坏。因为核心筒剪力墙的塑性铰一般出现在高度的1/10范围内,所以在此范围内,核心筒剪力墙四角的型钢柱宜设置栓钉。
11.2.5 混合结构中,外围框架平面内梁与柱应采用刚性连接;楼面梁与钢筋混凝土筒体及外围框架柱的连接可采用刚接或铰接。
条文说明
11.2.5 外框架平面内采用梁柱刚接,能提高其刚度及抵抗水平荷载的能力。如在混凝土筒体墙中设置型钢并需要增加整体结构刚度时,可采用楼面钢梁与混凝土筒体刚接;当混凝土筒体墙中无型钢柱时,宜采用铰接。刚度发生突变的楼层,梁柱、梁墙采用刚接可以增加结构的空间刚度,使层间变形有效减小。
11.2.6 楼盖体系应具有良好的水平刚度和整体性,其布置应符合下列规定:
1 楼面宜采用压型钢板现浇混凝土组合楼板、现浇混凝土楼板或预应力混凝土叠合楼板,楼板与钢梁应可靠连接;
2 机房设备层、避难层及外伸臂桁架上下弦杆所在楼层的楼板宜采用钢筋混凝土楼板,并应采取加强措施;
3 对于建筑物楼面有较大开洞或为转换楼层时,应采用现浇混凝土楼板;对楼板大开洞部位宜采取设置刚性水平支撑等加强措施。
条文说明
11.2.6 本条是02规程第11.2.10、11.2.11条的合并修改。为了使整个抗侧力结构在任意方向水平荷载作用下能协同工作,楼盖结构具有必要的面内刚度和整体性是基本要求。 高层建筑混合结构楼盖宜采用压型钢板组合楼盖,以方便施工并加快施工进度;压型钢板与钢梁连接宜采用剪力栓钉等措施保证其可靠连接和共同工作,栓钉数量应通过计算或按构造要求确定。设备层楼板进行加强,一方面是因为设备层荷重较大,另一方面也是隔声的需要。伸臂桁架上、下弦杆所在楼层,楼板平面内受力较大且受力复杂,故这些楼层也应进行加强。
11.2.7 当侧向刚度不足时,混合结构可设置刚度适宜的加强层。加强层宜采用伸臂桁架,必要时可配合布置周边带状桁架。加强层设计应符合下列规定:
1 伸臂桁架和周边带状桁架宜采用钢桁架。
2 伸臂桁架应与核心筒墙体刚接,上、下弦杆均应延伸至墙体内且贯通,墙体内宜设置斜腹杆或暗撑;外伸臂桁架与外围框架柱宜采用铰接或半刚接,周边带状桁架与外框架柱的连接宜采用刚性连接。
3 核心筒墙体与伸臂桁架连接处宜设置构造型钢柱,型钢柱宜至少延伸至伸臂桁架高度范围以外上、下各一层。
4 当布置有外伸桁架加强层时,应采取有效措施减少由于外框柱与混凝土筒体竖向变形差异引起的桁架杆件内力。
条文说明
11.2.7 本条是根据02规程第11.2.9条修改而来,明确了外伸臂桁架深入墙体内弦杆和腹杆的具体要求。采用伸臂桁架主要是将筒体剪力墙的弯曲变形转换成框架柱的轴向变形以减小水平荷载下结构的侧移,所以必须保证伸臂桁架与剪力墙刚接。为增强伸臂桁架的抗侧力效果,必要时,周边可配合布置带状桁架。布置周边带状桁架,除了可增大结构侧向刚度外,还可增强加强层结构的整体性,同时也可减少周边柱子的竖向变形差异。外柱承受的轴向力要能够传至基础,故外柱必须上、下连续,不得中断。由于外柱与混凝土内筒轴向变形往往不一致,会使伸臂桁架产生很大的附加内力,因而伸臂桁架宜分段拼装。在设置多道伸臂桁架时,下层伸臂桁架可在施工上层伸臂桁架时予以封闭;仅设一道伸臂桁架时,可在主体结构完成后再进行封闭,形成整体。在施工期间,可采取斜杆上设长圆孔、斜杆后装等措施使伸臂桁架的杆件能适应外围构件与内筒在施工期间的竖向变形差异。 在高设防烈度区,当在较高的不规则高层建筑中设置加强层时,还宜采取进一步的性能设计要求和措施。为保证在中震或大震作用下的安全,可以要求其杆件和相邻杆件在中震下不屈服,或者选择更高的性能设计要求。结构抗震性能设计可按本规程第3.11节的规定执行。
11.3 结构计算
11.3.1 弹性分析时,宜考虑钢梁与现浇混凝土楼板的共同作用,梁的刚度可取钢梁刚度的1.5~2.0倍,但应保证钢梁与楼板有可靠连接。弹塑性分析时,可不考虑楼板与梁的共同作用。
条文说明
11.3.1 在弹性阶段,楼板对钢梁刚度的加强作用不可忽视。从国内外工程经验看,作为主要抗侧力构件的框架梁支座处尽管有负弯矩,但由于楼板钢筋的作用,其刚度增大作用仍然很大,故在整体结构计算时宜考虑楼板对钢梁刚度的加强作用。框架梁承载力设计时一般不按照组合梁设计。次梁设计一般由变形要求控制,其承载力有较大富余,故一般也不按照组合梁设计,但次梁及楼板作为直接受力构件的设计应有足够的安全储备,以适应不同使用功能的要求,其设计采用的活载宜适当放大。
11.3.2 结构弹性阶段的内力和位移计算时,构件刚度取值应符合下列规定:
1 型钢混凝土构件、钢管混凝土柱的刚度可按下列公式计算:

2 无端柱型钢混凝土剪力墙可近似按相同截面的混凝土剪力墙计算其轴向、抗弯和抗剪刚度,可不计端部型钢对截面刚度的提高作用;
3 有端柱型钢混凝土剪力墙可按H形混凝土截面计算其轴向和抗弯刚度,端柱内型钢可折算为等效混凝土面积计入H形截面的翼缘面积,墙的抗剪刚度可不计入型钢作用;
4 钢板混凝土剪力墙可将钢板折算为等效混凝土面积计算其轴向、抗弯和抗剪刚度。
条文说明
11.3.2 在进行结构整体内力和变形分析时,型钢混凝土梁、柱及钢管混凝土柱的轴向、抗弯、抗剪刚度都可按照型钢与混凝土两部分刚度叠加方法计算。
11.3.3 竖向荷载作用计算时,宜考虑钢柱、型钢混凝土(钢管混凝土)柱与钢筋混凝土核心筒竖向变形差异引起的结构附加内力,计算竖向变形差异时宜考虑混凝土收缩、徐变、沉降及施工调整等因素的影响。
条文说明
11.3.3 外柱与内筒的竖向变形差异宜根据实际的施工工况进行计算。在施工阶段,宜考虑施工过程中已对这些差异的逐层进行调整的有利因素,也可考虑采取外伸臂桁架延迟封闭、楼面梁与外周柱及内筒体采用铰接等措施减小差异变形的影响。在伸臂桁架永久封闭以后,后期的差异变形会对伸臂桁架或楼面梁产生附加内力,伸臂桁架及楼面梁的设计时应考虑这些不利影响。
11.3.4 当混凝土筒体先于外围框架结构施工时,应考虑施工阶段混凝土筒体在风力及其他荷载作用下的不利受力状态;应验算在浇筑混凝土之前外围型钢结构在施工荷载及可能的风载作用下的承载力、稳定及变形,并据此确定钢结构安装与浇筑楼层混凝土的间隔层数。
条文说明
11.3.4 混凝土筒体先于钢框架施工时,必须控制混凝土筒体超前钢框架安装的层次,否则在风荷载及其他施工荷载作用下,会使混凝土筒体产生较大的变形和应力。根据以往的经验,一般核心筒提前钢框架施工不宜超过14层,楼板混凝土浇筑迟于钢框架安装不宜超过5层。
11.3.5 混合结构在多遇地震作用下的阻尼比可取为0.04。风荷载作用下楼层位移验算和构件设计时,阻尼比可取为0.02~0.04。
条文说明
11.3.5 影响结构阻尼比的因素很多,因此准确确定结构的阻尼比是一件非常困难的事情。试验研究及工程实践表明,一般带填充墙的高层钢结构的阻尼比为0.02左右,钢筋混凝土结构的阻尼比为0.05左右,且随着建筑高度的增加,阻尼比有不断减小的趋势。钢-混凝土混合结构的阻尼比应介于两者之间,考虑到钢-混凝土混合结构抗侧刚度主要来自混凝土核心筒,故阻尼比取为0.04,偏向于混凝土结构。风荷载作用下,结构的塑性变形一般较设防烈度地震作用下为小,故抗风设计时的阻尼比应比抗震设计时为小,阻尼比可根据房屋高度和结构形式选取不同的值;结构高度越高阻尼比越小,采用的风荷载回归期越短,其阻尼比取值越小。一般情况下,风荷载作用时结构楼层位移和承载力验算时的阻尼比可取为0.02~0.04,结构顶部加速度验算时的阻尼比可取为0.01~0.015。
11.3.6 结构内力和位移计算时,设置伸臂桁架的楼层以及楼板开大洞的楼层应考虑楼板平面内变形的不利影响。
条文说明
11.3.6 对于设置伸臂桁架的楼层或楼板开大洞的楼层,如果采用楼板平面内刚度无限大的假定,就无法得到桁架弦杆或洞口周边构件的轴力和变形,对结构设计偏于不安全。
11.4 构件设计
11.4.1 型钢混凝土构件中型钢板件(图11.4.1)的宽厚比不宜超过表11.4.1的规定。


条文说明
11.4.1 试验表明,由于混凝土及箍筋、腰筋对型钢的约束作用,在型钢混凝土中的型钢截面的宽厚比可较纯钢结构适当放宽。型钢混凝土中,型钢翼缘的宽厚比取为纯钢结构的1.5倍,腹板取为纯钢结构的2倍,填充式箱形钢管混凝土可取为纯钢结构的1.5~1.7倍。本次修订增加了Q390级钢材型钢钢板的宽厚比要求,是在Q235级钢材规定数值的基础上乘以
得到。
11.4.2 型钢混凝土梁应满足下列构造要求:
1 混凝土粗骨料最大直径不宜大于25mm,型钢宜采用Q235及Q345级钢材,也可采用Q390或其他符合结构性能要求的钢材。
2 型钢混凝土梁的最小配筋率不宜小于0.30%,梁的纵向钢筋宜避免穿过柱中型钢的翼缘。梁的纵向的受力钢筋不宜超过两排;配置两排钢筋时,第二排钢筋宜配置在型钢截面外侧。当梁的腹板高度大于450mm时,在梁的两侧面应沿梁高度配置纵向构造钢筋,纵向构造钢筋的间距不宜大于200mm。
3 型钢混凝土梁中型钢的混凝土保护层厚度不宜小于100mm,梁纵向钢筋净间距及梁纵向钢筋与型钢骨架的最小净距不应小于30mm,且不小于粗骨料最大粒径的1.5倍及梁纵向钢筋直径的1.5倍。
4 型钢混凝土梁中的纵向受力钢筋宜采用机械连接。如纵向钢筋需贯穿型钢柱腹板并以90°弯折固定在柱截面内时,抗震设计的弯折前直段长度不应小于钢筋抗震基本锚固长度labE的40%,弯折直段长度不应小于15倍纵向钢筋直径;非抗震设计的弯折前直段长度不应小于钢筋基本锚固长度lab的40%,弯折直段长度不应小于12倍纵向钢筋直径。
5 梁上开洞不宜大于梁截面总高的40%,且不宜大于内含型钢截面高度的70%,并应位于梁高及型钢高度的中间区域。
6 型钢混凝土悬臂梁自由端的纵向受力钢筋应设置专门的锚固件,型钢梁的上翼缘宜设置栓钉;型钢混凝土转换梁在型钢上翼缘宜设置栓钉。栓钉的最大间距不宜大于200mm,栓钉的最小间距沿梁轴线方向不应小于6倍的栓钉杆直径,垂直梁方向的间距不应小于4倍的栓钉杆直径,且栓钉中心至型钢板件边缘的距离不应小于50mm。栓钉顶面的混凝土保护层厚度不应小于15mm。
条文说明
11.4.2 本条是对型钢混凝土梁的基本构造要求。 第1款规定型钢混凝土梁的强度等级和粗骨料的最大直径,主要是为了保证外包混凝土与型钢有较好的粘结强度和方便混凝土的浇筑。 第2款规定型钢混凝土梁纵向钢筋不宜超过两排,因为超过两排时,钢筋绑扎及混凝土浇筑将产生困难。 第3款规定了型钢的保护层厚度,主要是为了保证型钢混凝土构件的耐久性以及保证型钢与混凝土的粘结性能,同时也是为了方便混凝土的浇筑。 第4款提出了纵向钢筋的连接锚固要求。由于型钢混凝土梁中钢筋直径一般较大,如果钢筋穿越梁柱节点,将对柱翼缘有较大削弱,所以原则上不希望钢筋穿过柱翼缘;如果需锚固在柱中,为满足.锚固长度,钢筋应伸过柱中心线并弯折在柱内。 第5款对型钢混凝土梁上开洞提出要求。开洞高度按梁截面高度和型钢尺寸双重控制,对钢梁开洞超过0.7倍钢梁高度时,抗剪能力会急剧下降,对一般混凝土梁则同样限制开洞高度为混凝土梁高的0.3倍。 第6款对型钢混凝土悬臂梁及转换梁提出钢筋锚固、设置抗剪栓钉要求。型钢混凝土悬臂梁端无约束,而且挠度较大;转换梁受力大且复杂。为保证混凝土与型钢的共同变形,应设置栓钉以抵抗混凝土与型钢之间的纵向剪力。
11.4.3 型钢混凝土梁的箍筋应符合下列规定:
1 箍筋的最小面积配筋率应符合本规程第6.3.4条第4款和第6.3.5条第1款的规定,且不应小于0.15%。
2 抗震设计时,梁端箍筋应加密配置。加密区范围,一级取梁截面高度的2.0倍,二、三、四级取梁截面高度的1.5倍;
当梁净跨小于梁截面高度的4倍时,梁箍筋应全跨加密配置。
3 型钢混凝土梁应采用具有135°弯钩的封闭式箍筋,弯钩的直段长度不应小于8倍箍筋直径。非抗震设计时,梁箍筋直径不应小于8mm,箍筋间距不应大于250mm;抗震设计时,梁箍筋的直径和间距应符合表11.4.3的要求。

条文说明
11.4.3 箍筋的最低配置要求主要是为了增强混凝土部分的抗剪能力及加强对箍筋内部混凝土的约束,防止型钢失稳和主筋压曲。当梁中箍筋采用335MPa、400MPa级钢筋时,箍筋末端要求135°施工有困难时,箍筋末端可采用90°直钩加焊接的方式。
11.4.4 抗震设计时,混合结构中型钢筋混凝土的轴压比不宜大于表11.4.4的限值,轴压比可按下式计算:


条文说明
11.4.4 型钢混凝土柱的轴向力大于柱子的轴向承载力的50%时,柱子的延性将显著下降。型钢混凝土柱有其特殊性,在一定轴力的长期作用下,随着轴向塑性的发展以及长期荷载作用下混凝土的徐变收缩会产生内力重分布,钢筋混凝土部分承担的轴力逐渐向型钢部分转移。根据型钢混凝土柱的试验结果,考虑长期荷载下徐变的影响,一、二、三抗震等级的型钢混凝土框架柱的轴压比限制分别取为0.7、0.8、0.9。计算轴压比时,可计入型钢的作用。
11.4.5 型钢混凝土柱设计应符合下列构造要求:
1 型钢混凝土柱的长细比不宜大于80。
2 房屋的底层、顶层以及型钢混凝土与钢筋混凝土交接层的型钢混凝土柱宜设置栓钉,型钢截面为箱形的柱子也宜设置栓钉,栓钉水平间距不宜大于250mm。
3 混凝土粗骨料的最大直径不宜大于25mm。型钢柱中型钢的保护厚度不宜小于150mm;柱纵向钢筋净间距不宜小于50mm,且不应小于柱纵向钢筋直径的1.5倍;柱纵向钢筋与型钢的最小净距不应小于30mm,且不应小于粗骨料最大粒径的1.5倍。
4 型钢混凝土柱的纵向钢筋最小配筋率不宜小于0.8%,且在四角应各配置一根直径不小于16mm的纵向钢筋。
5 柱中纵向受力钢筋的间距不宜大于300mm;当间距大于300mm时,宜附加配置直径不小于14mm的纵向构造钢筋。
6 型钢混凝土柱的型钢含钢率不宜小于4%。
条文说明
11.4.5 本条第1款对柱长细比提出要求,长细比λ可取为l0/i,l0为柱的计算长度,i为柱截面的回转半径。第2、3款主要是考虑型钢混凝土柱的耐久性、防火性、良好的粘结锚固及方便混凝土浇筑。 第6款规定了型钢的最小含钢率。试验表明,当柱子的型钢含钢率小于4%时,其承载力和延性与钢筋混凝土柱相比,没有明显提高。根据我国的钢结构发展水平及型钢混凝土构件的浇筑施工可行性,一般型钢混凝土构件的总含钢率也不宜大于8%,一般来说比较常用的含钢率为4%~8%。
11.4.6 型钢混凝土柱箍筋的构造设计应符合下列规定:
1 非抗震设计时,箍筋直径不应小于8mm,箍筋间距不应大于200mm。
2 抗震设计时,箍筋应做成135°弯钩,箍筋弯钩直段长度不应小于10倍箍筋直径。
3 抗震设计时,柱端箍筋应加密,加密区范围应取矩形截面柱长边尺寸(或圆形截面柱直径)、柱净高的1/6和500mm三者的最大值;对剪跨比不大于2的柱,其箍筋均应全高加密,箍筋间距不应大于100mm。
4 抗震设计时,柱箍筋的直径和间距应符合表11.4.6的规定,加密区箍筋最小体积配箍率尚应符合式(11.4.6)的要求,非加密区箍筋最小体积配箍率不应小于加密区箍筋最小体积配箍率的一半;对剪跨比不大于2的柱,其箍筋体积配箍率尚不应小于1.0%,9度抗震设计时尚不应小于1.3%。


条文说明
11.4.6 柱箍筋的最低配置要求主要是为了增强混凝土部分的抗剪能力及加强对箍筋内部混凝土的约束,防止型钢失稳和主筋压曲。从型钢混凝土柱的受力性能来看,不配箍筋或少配箍筋的型钢混凝土柱在大多数情况下,出现型钢与混凝土之间的粘结破坏,特别是型钢高强混凝土构件,更应配置足够数量的箍筋,并宜采用高强度箍筋,以保证箍筋有足够的约束能力。 箍筋末端做成135°弯钩且直段长度取10倍箍筋直径,主要是满足抗震要求。在某些情况下,箍筋直段取10倍箍筋直径会与内置型钢相碰,或者当柱中箍筋采用335MPa级以上钢筋而使箍筋末端的135°弯钩施工有困难时,箍筋末端可采用90°直钩加焊接的方式。 型钢混凝土柱中钢骨提供了较强的抗震能力,其配箍要求可比混凝土构件适当降低;同时由于钢骨的存在,箍筋的设置有一定的困难,考虑到施工的可行性,实际配置的箍筋不可能太多,本条规定的最小配箍要求是根据国内外试验研究,并考虑抗震等级的差别确定的。
11.4.7 型钢混凝土梁柱节点应符合下列构造要求:
1 型钢柱在梁水平翼缘处应设置加劲肋,其构造不应影响混凝土浇筑密实;
2 箍筋间距不宜大于柱端加密区间距的1.5倍,箍筋直径不宜小于柱端箍筋加密区的箍筋直径;
3 梁中钢筋穿过梁柱节点时,不宜穿过柱型钢翼缘;需穿过柱腹板时,柱腹板截面损失率不宜大于25%,当超过25%时,则需进行补强;梁中主筋不得与柱型钢直接焊接。
条文说明
11.4.7 规定节点箍筋的间距,一方面是为了不使钢梁腹板开洞削弱过大,另一方面也是为了方便施工。一般情况下可在柱中型钢腹板上开孔使梁纵筋贯通;翼缘上的孔对柱抗弯十分不利,因此应避免在柱型钢翼缘开梁纵筋贯通孔。也不能直接将钢筋焊在翼缘上;梁纵筋遇柱型钢翼缘时,可采用翼缘上预先焊接钢筋套筒、设置水平加劲板等方式与梁中钢筋进行连接。
11.4.8 圆形钢管混凝土构件及节点可按本规程附录F进行设计。
11.4.9 圆形钢管混凝土柱尚应符合下列构造要求:
1 钢管直径不宜小于400mm。
2 钢管壁厚不宜小于8mm。

7 钢管混凝土柱与框架梁刚性连接时,柱内或柱外应设置与梁上、下翼缘位置对应的加劲肋;加劲肋设置于柱内时,应留孔以利混凝土浇筑;加劲肋设置于柱外时,应形成加劲环板。
8 直径大于2m的圆形钢管混凝土构件应采取有效措施减小钢管内混凝土收缩对构件受力性能的影响。
条文说明
11.4.9 高层混合结构,柱的截面不会太小,因此圆形钢管的直径不应过小,以保证结构基本安全要求。圆形钢管混凝土柱一般采用薄壁钢管,但钢管壁不宜太薄,以避免钢管壁屈曲。套箍指标是圆形钢管混凝土柱的一个重要参数,反映薄钢管对管内混凝土的约束程度。若套箍指标过小,则不能有效地提高钢管内混凝土的轴心抗压强度和变形能力;若套箍指标过大,则对进一步提高钢管内混凝土的轴心抗压强度和变形能力的作用不大。 当钢管直径过大时,管内混凝土收缩会造成钢管与混凝土脱开,影响钢管与混凝土的共同受力,因此需要采取有效措施减少混凝土收缩的影响。 长细比λ取l0/i,其中l0为柱的计算长度,i为柱截面的回转半径。
11.4.10 矩形钢管混凝土柱应符合下列构造要求:
1 钢管截面短边尺寸不宜小于400mm;
2 钢管壁厚不宜小于8mm;
3 钢管截面的高宽比不宜大于2,当矩形钢管混凝土柱截面最大边尺寸不小于800mm时,宜采取在柱子内壁上焊接栓钉、纵向加劲肋等构造措施;

5 柱的长细比不宜大于80;
6 矩形钢管混凝土柱的轴压比应按本规程公式(11.4.4)计算,并不宜大于表11.4.10的限值。

条文说明
11.4.10 为保证钢管与混凝土共同工作,矩形钢管截面边长之比不宜过大。为避免矩形钢管混凝土柱在丧失整体承载能力之前钢管壁板件局部屈曲,并保证钢管全截面有效,钢管壁板件的边长与其厚度的比值不宜过大。 矩形钢管混凝土柱的延性与轴压比、长细比、含钢率、钢材屈服强度、混凝土抗压强度等因素有关。本规程对矩形钢管混凝土柱的轴压比提出了具体要求,以保证其延性。
11.4.11 当核心筒墙体承受的弯矩、剪力和轴力均较大时,核心筒墙体可采用型钢混凝土剪力墙或钢板混凝土剪力墙。钢板混凝土剪力墙的受剪截面及受剪承载力应符合本规程第11.4.12、11.4.13条的规定,其构造设计应符合本规程第11.4.14、11.4.15条的规定。
条文说明
11.4.11 钢板混凝土剪力墙是指两端设置型钢暗柱、上下有型钢暗梁,中间设置钢板,形成的钢—混凝土组合剪力墙。
11.4.12 钢板混凝土剪力墙的受剪截面应符合下列规定:
1 持久、短暂设计状况

2 地震设计状况


条文说明
11.4.12 试验研究表明,两端设置型钢、内藏钢板的混凝土组合剪力墙可以提供良好的耗能能力,其受剪截面限制条件可以考虑两端型钢和内藏钢板的作用,扣除两端型钢和内藏钢板发挥的抗剪作用后,控制钢筋混凝土部分承担的平均剪应力水平。
11.4.13 钢板混凝土剪力墙偏心受压时的斜截面受剪承载力,应按下列公式进行验算:
1 持久、短暂设计状况

2 地震设计状况

条文说明
11.4.13 试验研究表明,两端设置型钢、内藏钢板的混凝土组合剪力墙,在满足本规程第11.4.14、11.4.15条规定的构造要求时,其型钢和钢板可以充分发挥抗剪作用,因此截面受剪承载力公式中包含了两端型钢和内藏钢板对应的受剪承载力。
11.4.14 型钢混凝土剪力墙、钢板混凝土剪力墙符合下列构造要求:
1 抗震设计时,一、二级抗震等级的型钢混凝土剪力墙、钢板混凝土剪力墙底部加强部位,其重力荷载代表值作用下墙肢的轴压比不宜超过本规程表7.2.13的限值,其轴压比可按下式计算:

2 型钢混凝土剪力墙、钢板混凝土剪力墙在楼层标高处宜设置暗梁。
3 端部配置型钢的混凝土剪力墙,型钢的保护层厚度宜大于100mm;水平分布钢筋应绕过或穿过墙端型钢,且应满足钢筋锚固长度要求。
4 周边有型钢混凝土柱和梁的现浇钢筋混凝土剪力墙,剪力墙的水平分布钢筋应绕过或穿过周边柱型钢,且应满足钢筋锚固长度要求;当采用间隔穿过时,宜另加补强钢筋。周边柱的型钢、纵向钢筋、箍筋配置应符合型钢混凝土柱的设计要求。
条文说明
11.4.14 试验研究表明,内藏钢板的钢板混凝土组合剪力墙可以提供良好的耗能能力,在计算轴压比时,可以考虑内藏钢板的有利作用。
11.4.15 钢板混凝土剪力墙尚应符合下列构造要求:
1 钢板混凝土剪力墙体中的钢板厚度不宜小于10mm,也不宜大于墙厚的1/15;
2 钢板混凝土剪力墙的墙身分布钢筋配筋率不宜小于0.4%,分布钢筋间距不宜大于200mm,且应与钢板可靠连接;
3 钢板与周围型钢构件宜采用焊接;
4 钢板与混凝土墙体之间连接件的构造要求可按照现行国家标准《钢结构设计规范》GB 50017中关于组合梁抗剪连接件构造要求执行,栓钉间距不宜大于300mm;
5 在钢板墙角部1/5板跨且不小于1000mm范围内,钢筋混凝土墙体分布钢筋、抗剪栓钉间距宜适当加密。
条文说明
11.4.15 在墙身中加入薄钢板,对于墙体承载力和破坏形态会产生显著影响,而钢板与周围构件的连接关系对于承载力和破坏形态的影响至关重要。从试验情况来看,钢板与周围构件的连接越强,则承载力越大。四周焊接的钢板组合剪力墙可显著提高剪力墙受剪承载能力,并具有与普通钢筋混凝土剪力墙基本相当或略高的延性系数。这对于承受很大剪力的剪力墙设计具有十分突出的优势。为充分发挥钢板的强度,建议钢板四周采用焊接的连接形式。 对于钢板混凝土剪力墙,为使钢筋混凝土墙有足够的刚度,对墙身钢板形成有效的侧向约束,从而使钢板与混凝土能协同工作,应控制内置钢板的厚度不宜过大;同时,为了达到钢板剪力墙应用的性能和便于施工,内置钢板的厚度也不宜过小。 对于墙身分布筋,考虑到以下两方面的要求:1)钢筋混凝土墙与钢板共同工作,混凝土部分的承载力不宜太低,宜适当提高混凝土部分的承载力,使钢筋混凝土与钢板两者协调,提高整个墙体的承载力;2)钢板组合墙的优势是可以充分发挥钢和混凝土的优点,混凝土可以防止钢板的屈曲失稳,为满足这一要求,宜适当提高墙身配筋,因此钢筋混凝土墙体的分布筋配筋率不宜太小。本规程建议对于钢板组合墙的墙身分布钢筋配筋率不宜小于0.4%。
11.4.16 钢梁或型钢混凝土梁与混凝土筒体应有可靠连接,应能传递竖向剪力及水平力。当钢梁或型钢混凝土梁通过埋件与混凝土筒体连接时,预埋件应有足够的锚固长度,连接做法可按图11.4.16采用。

11.4.17 抗震设计时,混合结构中的钢柱及型钢混凝土柱、钢管混凝土柱宜采用埋入式柱脚。采用埋入式柱脚时,应符合下列规定:
1 埋入深度应通过计算确定,且不宜小于型钢柱截面长边尺寸的2.5倍;
2 在柱脚部位和柱脚向上延伸一层的范围内宜设置栓钉,其直径不宜小于19mm,其竖向及水平间距不宜大于200mm。
注:当有可靠依据时,可通过计算确定栓钉数量。
条文说明
11.4.17 日本阪神地震的震害经验表明:非埋入式柱脚、特别在地面以上的非埋入式柱脚在地震区容易产生破坏,因此钢柱或型钢混凝土柱宜采用埋入式柱脚。若存在刚度较大的多层地下室,当有可靠的措施时,型钢混凝土柱也可考虑采用非埋入式柱脚。根据新的研究成果,埋入柱脚型钢的最小埋置深度修改为型钢截面长边的2.5倍。
11.4.18 钢筋混凝土核心筒、内筒的设计,除应符合本规程第9.1.7条的规定外,尚应符合下列规定:
1 抗震设计时,钢框架-钢筋混凝土核心筒结构的筒体底部加强部位分布钢筋的最小配筋率不宜小于0.35%,筒体其他部位的分布筋不宜小于0.30%;
2 抗震设计时,框架-钢筋混凝土核心筒混合结构的筒体底部加强部位约束边缘构件沿墙肢的长度宜取墙肢截面高度的1/4,筒体底部加强部位以上墙体宜按本规程第7.2.15条的规定设置约束边缘构件;
3 当连梁抗剪截面不足时,可采取在连梁中设置型钢或钢板等措施。
条文说明
11.4.18 考虑到钢框架-钢筋混凝土核心筒中核心筒的重要性,其墙体配筋较钢筋混凝土框架-核心筒中核心筒的配筋率适当提高,提高其构造承载力和延性要求。
11.4.19 混合结构中结构构件的设计,尚应符合国家现行标准《钢结构设计规范》GB 50017、《混凝土结构设计规范》GB50010、《高层民用建筑钢结构技术规程》JGJ 99、《型钢混凝土组合结构技术规程》JGJ 138的有关规定。
12 地下室和基础设计
12.1 一般规定
12.1.1 高层建筑宜设地下室。
条文说明
12.1.1 震害调查表明,有地下室的高层建筑的破坏比较轻,而且有地下室对提高地基的承载力有利,对结构抗倾覆有利。另外,现代高层建筑设置地下室也往往是建筑功能所要求的。
12.1.2 高层建筑的基础设计,应综合考虑建筑场地的工程地质和水文地质状况、上部结构的类型和房屋高度、施工技术和经济条件等因素,使建筑物不致发生过量沉降或倾斜,满足建筑物正常使用要求;还应了解邻近地下构筑物及各项地下设施的位置和标高等,减少与相邻建筑的相互影响。
条文说明
12.1.2 本条是基础设计的原则规定。高层建筑基础设计应因地制宜,做到技术先进、安全合理、经济适用。高层建筑基础设计时,对相邻建筑的相互影响应有足够的重视,并了解掌握邻近地下构筑物及各类地下设施的位置和标高,以便设计时合理确定基础方案及提出施工时保证安全的必要措施。
12.1.3 在地震区,高层建筑宜避开对抗震不利的地段;当条件不允许避开不利地段时,应采取可靠措施,使建筑物在地震时不致由于地基失效而破坏,或者产生过量下沉或倾斜。
条文说明
12.1.3 在地震区建造高层建筑,宜选择有利地段,避开不利地段,这不仅关系到建造时采取必要措施的费用,而且由于地震不确定性,一旦发生地震可能带来不可预计的震害损失。
12.1.4 基础设计宜采用当地成熟可靠的技术;宜考虑基础与上部结构相互作用的影响。施工期间需要降低地下水位的,应采取避免影响邻近建筑物、构筑物、地下设施等安全和正常使用的有效措施;同时还应注意施工降水的时间要求,避免停止降水后水位过早上升而引起建筑物上浮等问题。
条文说明
12.1.4 高层建筑的基础设计,根据上部结构和地质状况,从概念设计上考虑地基基础与上部结构相互影响是必要的。高层建筑深基坑施工期间的防水及护坡,既要保证本身的安全,同时必须注意对临近建筑物、构筑物、地下设施的正常使用和安全的影响。
12.1.5 高层建筑应采用整体性好、能满足地基承载力和建筑物容许变形要求并能调节不均匀沉降的基础形式;宜采用筏形基础 或带桩基的筏形基础,必要时可采用箱形基础。当地质条件好且能满足地基承载力和变形要求时,也可采用交叉梁式基础或其他形式基础;当地基承载力或变形不满足设计要求时,可采用桩基或复合地基。
条文说明
12.1.5 高层建筑采用天然地基上的筏形基础比较经济。当采用天然地基而承载力和沉降不能完全满足需要时,可采用复合地基。目前国内在高层建筑中采用复合地基已经有比较成熟的经验,可根据需要把地基承载力特征值提高到(300~500)kPa,满足一般高层建筑的需要。 现在多数高层建筑的地下室,用作汽车库、机电用房等大空间,采用整体性好和刚度大的筏形基础是比较方便的;在没有特殊要求时,没有必要强调采用箱形基础。
当地质条件好、荷载小、且能满足地基承载力和变形要求时,高层建筑采用交叉梁基础、独立柱基也是可以的。地下室外墙一般均为钢筋混凝土,因此,交叉梁基础的整体性和刚度也是比较好的。
12.1.6 高层建筑主体结构基础底面形心宜与永久作用重力荷载重心重合;当采用桩基础时,桩基的竖向刚度中心宜与高层建筑主体结构永久重力荷载重心重合。
条文说明
12.1.6 高层建筑由于质心高、荷载重,对基础底面一般难免有偏心。建筑物在沉降的过程中,其总重量对基础底面形心将产生新的倾覆力矩增量,而此倾覆力矩增量又产生新的倾斜增量,倾斜可能随之增长,直至地基变形稳定为止。因此,为减少基础产生倾斜,应尽量使结构竖向荷载重心与基础底面形心相重合。本条删去了02规程中偏心距计算公式及其要求,但并不是放松要求,而是因为实际工程平面形状复杂时,偏心距及其限值难以准确计算。
12.1.7 在重力荷载与水平荷载标准值或重力荷载代表值与多遇水平地震标准值共同作用下,高宽比大于4的高层建筑,基础底面不宜出现零应力区;高宽比不大于4的高层建筑,基础底面与地基之间零应力区面积不应超过基础底面面积的15%。质量偏心较大的裙楼与主楼可分别计算基底应力。
条文说明
12.1.7 为使高层建筑结构在水平力和竖向荷载作用下,其地基压应力不致过于集中,对基础底面压应力较小一端的应力状态作了限制。同时,满足本条规定时,高层建筑结构的抗倾覆能力具有足够的安全储备,不需再验算结构的整体倾覆。
对裙房和主楼质量偏心较大的高层建筑,裙房和主楼可分别进行基底应力验算。
12.1.8 基础应有一定的埋置深度。在确定埋置深度时,应综合考虑建筑物的高度、体型、地基土质、抗震设防烈度等因素。基础埋置深度可从室外地坪算至基础底面,并宜符合下列规定:
1 天然地基或复合地基,可取房屋高度的1/15;
2 桩基础,不计桩长,可取房屋高度的1/18。
当建筑物采用岩石地基或采取有效措施时,在满足地基承载力、稳定性要求及本规程第12.1.7条规定的前提下,基础埋深可比本条第1、2两款的规定适当放松。
当地基可能产生滑移时,应采取有效的抗滑移措施。
条文说明
12.1.8 地震作用下结构的动力效应与基础埋置深度关系比较大,软弱土层时更为明显,因此,高层建筑的基础应有一定的埋置深度;当抗震设防烈度高、场地差时,宜用较大埋置深度,以抗倾覆和滑移,确保建筑物的安全。
根据我国高层建筑发展情况,层数越来越多,高度不断增高,按原来的经验规定天然地基和桩基的埋置深度分别不小于房屋高度的1/12和1/15,对一些较高的高层建筑而使用功能又无地下室时,对施工不便且不经济。因此,本条对基础埋置深度作了调整。同时,在满足承载力、变形、稳定以及上部结构抗倾覆要求的前提下,埋置深度的限值可适当放松。基础位于岩石地基上,可能产生滑移时,还应验算地基的滑移。
12.1.9 高层建筑的基础和与其相连的裙房的基础,设置沉降缝时,应考虑高层主楼基础有可靠的侧向约束及有效埋深;不设沉降缝时,应采取有效措施减少差异沉降及其影响。
条文说明
12.1.9 带裙房的大底盘高层建筑,现在全国各地应用较普遍,高层主楼与裙房之间根据使用功能要求多数不设永久沉降缝。我国从20世纪80年代以来,对多栋带有裙房的高层建筑沉降观测表明,地基沉降曲线在高低层连接处是连续的,未出现突变。高层主楼地基下沉,由于土的剪切传递,高层主楼以外的地基随之下沉,其影响范围随土质而异。因此,裙房与主楼连接处不会发生突变的差异沉降,而是在裙房若干跨内产生连续的差异沉降。
高层建筑主楼基础与其相连的裙房基础,若采取有效措施的,或经过计算差异沉降引起的内力满足承载力要求的,裙房与主楼连接处可以不设沉降缝。
12.1.10 高层建筑基础的混凝土强度等级不宜低于C25。当有防水要求时,混凝土抗渗等级应根据基础埋置深度按表12.1.10采用,必要时可设置架空排水层。

条文说明
12.1.10 本条参照现行国家标准《地下工程防水技术规程》GB 50108修改了混凝土的抗渗等级要求;考虑全国的实际情况,修改了混凝土强度等级要求,由C30改为C25。
12.1.11 基础及地下室的外墙、底板,当采用粉煤灰混凝土时,可采用60d或90d龄期的强度指标作为其混凝土设计强度。
条文说明
12.1.11 本条依据现行国家标准《粉煤灰混凝土应用技术规范》GB 50146的有关规定制定。充分利用粉煤灰混凝土的后期强度,有利于减小水泥用量和混凝土收缩影响。
12.1.12 抗震设计时,独立基础宜沿两个主轴方向设置基础系梁;剪力墙基础应具有良好的抗转动能力。
条文说明
12.1.12 本条系考虑抗震设计的要求而增加的。
12.2 地下室设计
12.2.1 高层建筑地下室顶板作为上部结构的嵌固部位时,应符合下列规定:
1 地下室顶板应避免开设大洞口,其混凝土强度等级应符合本规程第3.2.2条的有关规定,楼盖设计应符合本规程第3.6.3条的有关规定;
2 地下一层与相邻上层的侧向刚度比应符合本规程第5.3.7条的规定;
3 地下室顶板对应于地上框架柱的梁柱节点设计应符合下列要求之一,
1)地下一层柱截面每侧的纵向钢筋面积除应符合计算要求外,不应少于地上一层对应柱每侧纵向钢筋面积的1.1倍;地下一层梁端顶面和底面的纵向钢筋应比计算值增大10%采用。
2)地下一层柱每侧的纵向钢筋面积不小于地上一层对应柱每侧纵向钢筋面积的1.1倍且地下室顶板梁柱节点左右梁端截面与下柱上端同一方向实配的受弯承载力之和不小于地上一层对应柱下端实配的受弯承载力的1.3倍。
4 地下室与上部对应的剪力墙墙肢端部边缘构件的纵向钢筋截面面积不应小于地上一层对应的剪力墙墙肢边缘构件的纵向钢筋截面面积。
条文说明
12.2.1 本条是在02规程第4.8.5条基础上修改补充的。当地下室顶板作为上部结构的嵌固部位时,地下室顶板及其下层竖向结构构件的设计应适当加强,以符合作为嵌固部位的要求。梁端截面实配的受弯承载力应根据实配钢筋面积(计入受压筋)和材料强度标准值等确定;柱端实配的受弯承载力应根据轴力设计值、实配钢筋面积和材料强度标准值等确定。
12.2.2 高层建筑地下室设计,应综合考虑上部荷载、岩土侧压力及地下水的不利作用影响。地下室应满足整体抗浮要求,可采取排水、加配重或设置抗拔锚桩(杆)等措施。当地下水具有腐蚀性时,地下室外墙及底板应采取相应的防腐蚀措施。
条文说明
12.2.2 本条明确规定地下室应注意满足抗浮及防腐蚀的要求。
12.2.3 高层建筑地下室不宜设置变形缝。当地下室长度超过伸缩缝最大间距时,可考虑利用混凝土后期强度,降低水泥用量;也可每隔30m~40m设置贯通顶板、底部及墙板的施工后浇带。后浇带可设置在柱距三等分的中间范围内以及剪力墙附近,其方向宜与梁正交,沿竖向应在结构同跨内;底板及外墙的后浇带宜增设附加防水层;后浇带封闭时间宜滞后45d以上,其混凝土强度等级宜提高一级,并宜采用无收缩混凝土,低温入模。
条文说明
12.2.3 考虑到地下室周边嵌固以及使用功能要求,提出地下室不宜设永久变形缝,并进一步根据全国行之有效的经验提出针对性技术措施。
12.2.4 高层建筑主体结构地下室底板与扩大地下室底板交界处,其截面厚度和配筋应适当加强。
条文说明
12.2.4 主体结构厚底板与扩大地下室薄底板交界处应力较为集中,该过渡区适当予以加强是十分必要的。
12.2.5 高层建筑地下室外墙设计应满足水土压力及地面荷载侧压作用下承载力要求,其竖向和水平分布钢筋应双层双向布置,间距不宜大于150mm,配筋率不宜小于0.3%。
条文说明
12.2.5 根据工程经验,提出外墙竖向、水平分布钢筋的设计要求。
12.2.6 高层建筑地下室外周回填土应采用级配砂石、砂土或灰土,并应分层夯实。
条文说明
12.2.6 控制和提高高层建筑地下室周边回填土质量,对室外地面建筑工程质量及地下室嵌固、结构抗震和抗倾覆均较为有利。
12.2.7 有窗井的地下室,应设外挡土墙,挡土墙与地下室外墙之间应有可靠连接。
条文说明
12.2.7 有窗井的地下室,窗井外墙实为地下室外墙一部分,窗井外墙应计入侧向土压和水压影响进行设计;挡土墙与地下室外墙之间应有可靠连接、支撑,以保证结构的有效埋深。
12.3 基础设计
12.3.1 高层建筑基础设计应以减小长期重力荷载作用下地基变形、差异变形为主。计算地基变形时,传至基础底面的荷载效应采用正常使用极限状态下荷载效应的准永久组合,不计入风荷载和地震作用;按地基承载力确定基础底面积及埋深或按桩基承载力确定桩数时,传至基础或承台底面的荷载效应采用正常使用状态下荷载效应的标准组合,相应的抗力采用地基承载力特征值或桩基承载力特征值;风荷载组合效应下,最大基底反力不应大于承载力特征值的1.2倍,平均基底反力不应大于承载力特征值;地震作用组合效应下,地基承载力验算应按现行国家标准《建筑抗震设计规范》GB 50011的规定执行。
条文说明
12.3.1 目前国内高层建筑基础设计较多为直接采用电算程序得到的各种荷载效应的标准组合和同一地基或桩基承载力特征值进行设计,风荷载和地震作用主要引起高层建筑边角竖向结构较大轴力,将此短期效应与永久效应同等对待,加大了边角竖向结构的基础,相应重力荷载长期作用下中部竖向结构基础未得以增强,导致某些国内高层建筑出现地下室底部横向墙体八字裂缝、典型盆式差异沉降等现象。
12.3.2 高层建筑结构基础嵌入硬质岩石时,可在基础周边及底面设置砂质或其他材质褥垫层,垫层厚度可取50mm~100mm;不宜采用肥槽填充混凝土做法。
条文说明
12.3.2 本条系参照重庆、深圳、厦门及国外工程实践经验教训提出,以利于避免和减小基础及外墙裂缝。
12.3.3 筏形基础的平面尺寸应根据地基土的承载力、上部结构的布置及其荷载的分布等因素确定。
12.3.4 平板式筏基的板厚可根据受冲切承载力计算确定,板厚不宜小于400mm。冲切计算时,应考虑作用在冲切临界截面重心上的不平衡弯矩所产生的附加剪力。当筏板在个别柱位不满足受冲切承载力要求时,可将该柱下的筏形局部加厚或配置抗冲切钢筋。
条文说明
12.3.4 筏形基础的板厚度,应满足受冲切承载力的要求;计算时应考虑不平衡弯矩作用在冲切面上的附加剪力。
12.3.5 当地基比较均匀、上部结构刚度较好、上部结构柱间距及柱荷载的变化不超过20%时,高层建筑的筏形基础可仅考虑局部弯曲作用,按倒楼盖法计算。当不符合上述条件时,宜按弹性地基板计算。
条文说明
12.3.5 按本条倒楼盖法计算时,地基反力可视为均布,其值应扣除底板及其地面自重,并可仅考虑局部弯曲作用。当地基、上部结构刚度较差,或柱荷载及柱间距变化较大时,筏板内力宜按弹性地基板分析。
12.3.6 筏形基础应采用双向钢筋网片分别配置在板的顶面和底面,受力钢筋直径不宜小于12mm,钢筋间距不宜小于150mm,也不宜大于300mm。
12.3.7 当梁板式筏基的肋梁宽度小于柱宽时,肋梁可在柱边加腋,并应满足相应的构造要求。墙、柱的纵向钢筋应穿过肋梁,并应满足钢筋锚固长度要求。
条文说明
12.3.7 上部墙、柱纵向钢筋的锚固长度,可从筏板梁的顶面算起。
12.3.8 梁板式筏基的梁高取值应包括底板厚度在内,梁高不宜小于平均柱距的1/6。确定梁高时,应综合考虑荷载大小、柱距、地质条件等因素,并应满足承载力要求。
条文说明
12.3.8 梁板式筏基的梁截面,应满足正截面受弯及斜截面受剪承载力计算要求;必要时应验算基础梁顶面柱下局部受压承载力。
12.3.9 当满足地基承载力要求时,筏形基础的周边不宜向外有较大的伸挑、扩大。当需要外挑时,有肋梁的筏基宜将梁一同挑出。
条文说明
12.3.9 筏板基础,当周边或内部有钢筋混凝土墙时,墙下可不再设基础梁,墙一般按深梁进行截面设计。周边有墙时,当基础底面已满足地基承载力要求,筏板可不外伸,有利减小盆式差异沉降,有利于外包防水施工。当需要外伸扩大时,应注意满足其刚度和承载力要求。
12.3.10 桩基可采用钢筋混凝土预制桩、灌注桩或钢桩。桩基承台可采用柱下单独承台、双向交叉梁、筏形承台、箱形承台。桩基选择和承台设计应根据上部结构类型、荷载大小、桩穿越的土层、桩端持力层土质、地下水位、施工条件和经验、制桩材料供应条件等因素综合考虑。
条文说明
12.3.10 桩基的设计应因地制宜,各地区对桩的选型、成桩工艺、承载力取值有各自的成熟经验。当工程所在地有地区性地基设计规范时,可依据该地区规范进行桩基设计。
12.3.11 桩基的竖向承载力、水平承载力和抗拔承载力设计,应符合现行行业标准《建筑桩基技术规范》JGJ 94的有关规定。
12.3.12 桩的布置应符合下列要求:
1 等直径桩的中心距不应小于3倍桩横截面的边长或直径;扩底桩中心距不应小于扩底直径的1.5倍,且两个扩大头间的净距不宜小于1m。
2 布桩时,宜使各桩承台承载力合力点与相应竖向永久荷载合力作用点重合,并使桩基在水平力产生的力矩较大方向有较大的抵抗矩。
3 平板式桩筏基础,桩宜布置在柱下或墙下,必要时可满堂布置,核心筒下可适当加密布桩;梁板式桩筏基础,桩宜布置在基础梁下或柱下;桩箱基础,宜将桩布置在墙下。直径不小于800mm的大直径桩可采用一柱一桩。
4 应选择较硬土层作为桩端持力层。桩径为d的桩端全截面进入持力层的深度,对于黏性土、粉土不宜小于2d;砂土不宜小于1.5d;碎石类土不宜小于1d。当存在软弱下卧层时,桩端下部硬持力层厚度不宜小于4d。
抗震设计时,桩进入碎石土、砾砂、粗砂、中砂、密实粉土、坚硬黏性土的深度尚不应小于0.5m,对其他非岩石类土尚不应小于1.5m。
12.3.13 对沉降有严格要求的建筑的桩基础以及采用摩擦型桩的桩基础,应进行沉降计算。受较大永久水平作用或对水平变位要求严格的建筑桩基,应验算其水平变位。
按正常使用极限状态验算桩基沉降时,荷载效应应采用准永久组合;验算桩基的横向变位、抗裂、裂缝宽度时,根据使用要求和裂缝控制等级分别采用荷载的标准组合、准永久组合,并考虑长期作用影响。
12.3.14 钢桩应符合下列规定:
1 钢桩可采用管形或H形,其材质应符合国家现行有关标准的规定;
2 钢桩的分段长度不宜超过15m,焊接结构应采用等强连接;
3 钢桩防腐处理可采用增加腐蚀余量措施;当钢管桩内壁同外界隔绝时,可不采用内壁防腐。钢桩的防腐速率无实测资料时,如桩顶在地下水位以下且地下水无腐蚀性,可取每年0.03mm,且腐蚀预留量不应小于2mm。
12.3.15 桩与承台的连接应符合下列规定:
1 桩顶嵌入承台的长度,对大直径桩不宜小于100mm,对中、小直径的桩不宜小于50mm;
2 混凝土桩的桩顶纵筋应伸入承台内,其锚固长度应符合现行国家标准《混凝土结构设计规范》GB 50010的有关规定。
条文说明
12.3.15 为保证桩与承台的整体性及水平力和弯矩可靠传递,桩顶嵌入承台应有一定深度,桩纵向钢筋应可靠地锚固在承台内。
12.3.16 箱形基础的平面尺寸应根据地基土承载力和上部结构布置以及荷载大小等因素确定。外墙宜沿建筑物周边布置,内墙应沿上部结构的柱网或剪力墙位置纵横均匀布置,墙体水平截面总面积不宜小于箱形基础外墙外包尺寸的水平投影面积的1/10。
对基础平面长宽比大于4的箱形基础,其纵墙水平截面面积不应小于箱基外墙外包尺寸水平投影面积的1/18。
12.3.17 箱形基础的高度应满足结构的承载力、刚度及建筑使用功能要求,一般不宜小于箱基长度的1/20,且不宜小于3m。
此处,箱基长度不计墙外悬挑板部分。
12.3.18 箱形基础的顶板、底板及墙体的厚度,应根据受力情况、整体刚度和防水要求确定。无人防设计要求的箱基,基础底板不应小于300mm,外墙厚度不应小于250mm,内墙的厚度不应小于200mm,顶板厚度不应小于200mm。
12.3.19 与高层主楼相连的裙房基础若采用外挑箱基墙或箱基梁的方法,则外挑部分的基底应采取有效措施,使其具有适应差异沉降变形的能力。
12.3.20 箱形基础墙体的门洞宜设在柱间居中的部位,洞口上、下过梁应进行承载力计算。
12.3.21 当地基压缩层深度范围内的土层在竖向和水平力方向皆较均匀,且上部结构为平立面布置较规则的框架、剪力墙、框架-剪力墙结构时,箱形基础的顶、底板可仅考虑局部弯曲进行计算;计算时,底板反力应扣除板的自重及其上面层和填土的自重,顶板荷载应按实际情况考虑。整体弯曲的影响可在构造上加以考虑。
箱形基础的顶板和底板钢筋配置除符合计算要求外,纵横方向支座钢筋尚应有1/3~1/2贯通配置,跨中钢筋应按实际计算的配筋全部贯通。钢筋宜采用机械连接;采用搭接时,搭接长度应按受拉钢筋考虑。
条文说明
12.3.21 当箱形基础的土层及上部结构符合本条件所列诸条件时,底板反力可假定为均布,可仅考虑局部弯曲作用计算内力,整体弯曲的影响在构造上加以考虑。本规定主要依据工程实际观测数据及有关研究成果。
12.3.22 箱形基础的顶板、底板及墙体均应采用双层双向配筋。
墙体的竖向和水平钢筋直径均不应小于10mm,间距均不应大于200mm。除上部为剪力墙外,内、外墙的墙顶处宜配置两根直径不小于20mm的通长构造钢筋。
12.3.23 上部结构底层柱纵向钢筋伸入箱形基础墙体的长度应符合下列规定:
1 柱下三面或四面有箱形基础墙的内柱,除柱四角纵向钢筋直通到基底外,其余钢筋可伸入顶板底面以下40倍纵向钢筋直径处;
2 外柱、与剪力墙相连的柱及其他内柱的纵向钢筋应直通到基底。
13 高层建筑结构施工
13.1 一般规定
13.1.1 承担高层、超高层建筑结构施工的单位应具备相应的资质。
条文说明
13.1.1 高层建筑结构施工技术难度大,涉及深基础、钢结构等特殊专业施工要求,施工单位应具备相应的施工总承包和专业施工承包的技术能力和相应资质。
13.1.2 施工单位应认真熟悉图纸,参加设计交底和图纸会审。
条文说明
13.1.2 施工单位应认真熟悉图纸,参加建设(监理)单位组织的设计交底,并结合施工情况提出合理建议。
13.1.3 施工前,施工单位应根据工程特点和施工条件,按有关规定编制施工组织设计和施工方案,并进行技术交底。
条文说明
13.1.3 高层建筑施工组织设计和施工方案十分重要。施工前,应针对高层建筑施工特点和施工条件,认真做好施工组织设计的策划和施工方案的优选,并向有关人员进行技术交底。
13.1.4 编制施工方案时,应根据施工方法、附墙爬升设备、垂直运输设备及当地的温度、风力等自然条件对结构及构件受力的影响,进行相应的施工工况模拟和受力分析。
条文说明
13.1.4 高层建筑施工过程中,不同的施工方法可能对结构的受力产生不同的影响,某些施工工况下甚至与设计计算工况存在较大不同;大型机械设备使用量大,且多数要与结构连接并对结构受力产生影响;超高层建筑高空施工时的温度、风力等自然条件与天气预报和地面环境也会有较大差异。因此,应根据有关情况进行必要的施工模拟、计算。
13.1.5 冬期施工应符合《建筑工程冬期施工规程》JGJ 104的规定。雨期、高温及干热气候条件下,应编制专门的施工方案。
条文说明
13.1.5 提出季节性施工应遵循的标准和一般要求。
13.2 施工测量
13.2.1 施工测量应符合现行国家标准《工程测量规范》GB50026的有关规定,并应根据建筑物的平面、体形、层数、高度、场地状况和施工要求,编制施工测量方案。
条文说明
13.2.1 高层建筑混凝土结构施工测量方案应根据实际情况确定,一般应包括以下内容:
1)工程概况;
2)任务要求;
3)测量依据、方法和技术要求;
4)起始依据点校测;
5)建筑物定位放线、验线与基础施工测量;
6)±0.000以上结构施工测量;
7)安全、质量保证措施;
8)沉降、变形观测;
9)成果资料整理与提交。
建筑小区工程、大型复杂建筑物、特殊工程的施工测量方案,除以上内容外,还可根据工程的实际情况,增加场地准备测量、场区控制网测量、装饰与安装测量、竣工测量与变形测量等。
13.2.2 高层建筑施工采用的测量器具,应按国家计量部门的有关规定进行检定、校准,合格后方可使用。测量仪器的精度应满足下列规定;
1 在场地平面控制测量中,宜使用测距精度不低于±(3mm+2×10-6×D)、测角精度不低于±5″级的全站仪或测距仪(D为测距,以毫米为单位);
2 在场地标高测量中,宜使用精度不低于DSZ3的自动安平水准仪;
3 在轴线竖向投测中,宜使用±2″级激光经纬仪或激光自动铅直仪。
条文说明
13.2.2 高层建筑施工测量仪器的精度及准确性对施工质量、结构安全的影响大,应及时进行检定、校准和标定,且应在标定有效期内使用。本条还对主要测量仪器的精度提出了要求。
13.2.3 大中型高层建筑施工项目,应先建立场区平面控制网,再分别建立建筑物平面控制网;小规模或精度高的独立施工项目,可直接布设建筑物平面控制网。控制网应根据复核后的建筑红线桩或城市测量控制点准确定位测量,并应作好桩位保护。
1 场区平面控制网,可根据场区的地形条件和建筑物的布置情况,布设成建筑方格网、导线网、三角网、边角网或GPS网。建筑方格网的主要技术要求应符合表13.2.3—1的规定。

2 建筑物平面控制网宜布设成矩形,特殊时也可布设成十字形主轴线或平行于建筑外廓的多边形。其主要技术要求应符合表13.2.3-2的规定。

条文说明
13.2.3 本条要求及所列两种常用方格网的主要技术指标与现行国家标准《工程测量规范》GB 50026中有关规定一致。如采用其他形式的控制网,亦应符合现行国家标准《工程测量规范》GB 50026的相关规定。
13.2.4 应根据建筑平面控制网向混凝土底板垫层上投测建筑物外廓轴线,经闭合校测合格后,再放出细部轴线及有关边界线。基础外廓轴线允许偏差应符合表13.2.4的规定。

条文说明
13.2.4 表13.2.4基础放线尺寸的允许偏差是根据成熟施工经验并参照现行国家标准《砌体工程施工质量验收规范》GB50203的有关规定制定的。
13.2.5 高层建筑结构施工可采用内控法或外控法进行轴线竖向投测。首层放线验收后,应根据测量方案设置内控点或将控制轴线引测至结构外立面上,并作为各施工层主轴线竖向投测的基准。轴线的竖向投测,应以建筑物轴线控制桩为测站。竖向投测的允许偏差应符合表13.2.5的规定。

条文说明
13.2.5 高层建筑结构施工,要逐层向上投测轴线,尤其是对结构四廓轴线的投测直接影响结构的竖向偏差。根据目前国内高层建筑施工已达到的水平,本条的规定可以达到。竖向投测前,应对建筑物轴线控制桩事先进行校测,确保其位置准确。
竖向投测的方法,当建筑高度在50m以下时,宜使用在建筑物外部施测的外控法;当建筑高度高于50m时,宜使用在建筑物内部施测的内控法,内控法宜使用激光经纬仪或激光铅直仪。
13.2.6 控制轴线投测至施工层后,应进行闭合校验。控制轴线应包括;
1 建筑物外轮廓轴线;
2 伸缩缝、沉降缝两侧轴线;
3 电梯间、楼梯间两侧轴线;
4 单元、施工流水段分界轴线。
施工层放线时,应先在结构平面上校核投测轴线,再测设细部轴线和墙、柱、梁、门窗洞口等边线,放线的允许偏差应符合表13.2.6的规定。

13.2.7 场地标高控制网应根据复核后的水准点或已知标高点引测,引测标高宜采用附合测法,其闭合差不应超过±6
mm(n为测站数)或±20
mm(L为测线长度,以千米为单位)。
条文说明
13.2.7 附合测法是根据一个已知标高点引测到场地后,再与另一个已知标高点复核、校核,以保证引测标高的准确性。
13.2.8 标高的竖向传递,应从首层起始标高线竖直量取,且每栋建筑应由三处分别向上传递。当三个点的标高差值小于3mm时,应取其平均值;否则应重新引测。标高的允许偏差应符合表13.2.8的规定。

条文说明
13.2.8 标高竖向传递可采用钢尺直接量取,或采用测距仪量测。施工层抄平之前,应先校测由首层传递上来的三个标高点,当其标高差值小于3mm时,以其平均点作为标高引测水平线;抄平时,宜将水准仪安置在测点范围的中心位置。
建筑物下沉与地层土质、基础构造、建筑高度等有关,下沉量一般在基础设计中有预估值,若能在基础施工中预留下沉量(即提高基础标高),有利于工程竣工后建筑与市政工程标高的衔接。
13.2.9 建筑物围护结构封闭前,应将外控轴线引测至结构内部,作为室内装饰与设备安装放线的依据。
13.2.10 高层建筑应按设计要求进行沉降、变形观测,并应符合国家现行标准《建筑地基基础设计规范》GB 50007及《建筑变形测量规程》JGJ 8的有关规定。
条文说明
13.2.10 设计单位根据建筑高度、结构形式、地质情况等因素和相关标准的规定,对高层建筑沉降、变形观测提出要求。观测 工作一般由建设单位委托第三方进行。施工期间,施工单位应做好相关工作,并及时掌握情况,如有异常,应配合相关单位采取相应措施。
13.3 基础施工
13.3.1 基础施工前,应根据施工图、地质勘察资料和现场施工条件,制定地下水控制、基坑支护、支护结构拆除和基础结构的施工方案;深基坑支护方案宜进行专门论证。
条文说明
13.3.1 深基础施工影响整个工程质量和安全,应全面、详细地掌握地下水文地质资料、场地环境,按照设计图纸和有关规范要求,调查研究,进行方案比较,确定地下施工方案,并按照国家的有关规定,经审查通过后实施。
13.3.2 深基础施工,应符合国家现行标准《高层建筑箱形与筏形基础技术规范》JGJ 6、《建筑桩基技术规范》JGJ 94、《建筑基坑支护技术规程》JGJ 120、《建筑施工土石方工程安全技术规范》JGJ 180、《锚杆喷射混凝土支护技术规范》GB 50086、《建筑地基基础工程施工质量验收规范》GB 50202、《建筑基坑工程监测技术规范》GB 50497等的有关规定。
条文说明
13.3.2 列举了深基础施工应符合的有关标准。
13.3.3 基坑和基础施工时,应采取降水、回灌、止水帷幕等措施防止地下水对施工和环境的影响。可根据土质和地下水状态、不同的降水深度,采用集水明排、单级井点、多级井点、喷射井点或管井等降水方案;停止降水时间应符合设计要求。
条文说明
13.3.3 土方开挖前应采取降低水位措施,将地下水降到低于基底设计标高500mm以下。当含水丰富、降水困难时,或满足节约地下水资源、减少对环境的影响等要求时,宜采用止水帷幕等截水措施。停止降水时间应符合设计要求,以防水位过早上升使建筑物发生上浮等问题。
13.3.4 基础工程可采用放坡开挖顺作法、有支护顺作法、逆作法或半逆作法施工。
条文说明
13.3.4 列举了基础工程施工时针对不同土质条件可采用的不同施工方法。
13.3.5 支护结构可选用土钉墙、排桩、钢板桩、地下连续墙、逆作拱墙等方法,并考虑支护结构的空间作用及与永久结构的结合。当不能采用悬臂式结构时,可选用土层锚杆、水平内支撑、斜支撑、环梁支护等锚拉或内支撑体系。
条文说明
13.3.5 列举了深基坑支护结构的选型原则和施工时针对不同土质条件应采用不同的施工方法和要求。
13.3.6 地基处理可采用挤密桩、压力注浆、深层搅拌等方法。
条文说明
13.3.6 指明了地基处理可采取的土体加固措施。
13.3.7 基坑施工时应加强周边建(构)筑物和地下管线的全过程安全监测和信息反馈,并制定保护措施和应急预案。
13.3.8 支护拆除应按照支护施工的相反顺序进行,并监测拆除过程中护坡的变化情况,制定应急预案。
条文说明
13.3.7、13.3.8 深基坑支护及支护拆除时,施工单位应依据监测方案进行监测。对可能受影响的相邻建筑物、构筑物、道路、地下管线等应作重点监测。
13.3.9 工程桩质量检验可采用高应变、低应变、静载试验或钻芯取样等方法检测桩身缺陷、承载力及桩身完整性。
13.4 垂直运输
13.4.1 垂直运输设备应有合格证书,其质量、安全性能应符合国家相关标准的要求,并应按有关规定进行验收。
13.4.2 高层建筑施工所选用的起重设备、混凝土泵送设备和施工升降机等,其验收、安装、使用和拆除应分别符合国家现行标准《起重机械安全规程》GB 6067、《塔式起重机》GB/T5031、《塔式起重机安全规程》GB 5144、《混凝土泵》GB/T13333、《施工升降机标准》GB/T 10054、《施工升降机安全规程》GB 10055、《混凝土泵送施工技术规程》JGJ/T 10、《建筑机械使用安全技术规程》JGJ 33、《施工现场机械设备检查技术规程》JGJ 160等的有关规定。
13.4.3 垂直运输设备的配置应根据结构平面布局、运输量、单件吊重及尺寸、设备参数和工期要求等因素确定。垂直运输设备的安装、使用、拆除应编制专项施工方案。
13.4.4 塔式起重机的配备、安装和使用应符合下列规定:
1 应根据起重机的技术要求,对地基基础和工程结构进行承载力、稳定性和变形验算;当塔式起重机布置在基坑槽边时,应满足基坑支护安全的要求。
2 采用多台塔式起重机时,应有防碰撞措施。
3 作业前,应对索具、机具进行检查,每次使用后应按规定对各设施进行维修和保养。
4 当风速大于五级时,塔式起重机不得进行顶升、接高或拆除作业。
5 附着式塔式起重机与建筑物结构进行附着时,应满足其技术要求,附着点最大间距不宜大于25m,附着点的埋件设置应经过设计单位同意。
13.4.5 混凝土输送泵配备、安装和使用应符合下列规定:
1 混凝土泵的选型和配备台数,应根据混凝土最大输送高度、水平距离、输出量及浇筑量确定。
2 编制泵送混凝土专项方案时应进行配管设计;季节性施工时,应根据需要对输送管道采取隔热或保温措施。
3.采用接力泵进行混凝土泵送时,上、下泵的输送能力应匹配;设置接力泵的楼面应验算其结构承载能力。
13.4.6 施工升降机配备和安装应符合下列规定:
1 建筑高度超高15层或40m时,应设置施工电梯,并应选择具有可靠防坠落升降系统的产品;
2 施工升降机的选择,应根据建筑物体型、建筑面积、运输总量、工期要求以及供货条件等确定;
3 施工升降机位置的确定,应方便安装以及人员和物料的集散;
4 施工升降机安装前应对其基础和附墙锚固装置进行设计,并在基础周围设置排水设施。
13.5 脚手架及模板支架
13.5.1 脚手架与模板支架应编制施工方案,经审批后实施。高、大脚手架及模板支架施工方案宜进行专门论证。
条文说明
13.5.1 脚手架和模板支架的搭设对安全性要求高,应进行专项设计。高、大模板支架和脚手架工程施工方案应按住房与城乡建设部《危险性较大的分项工程安全管理办法》[建质(2009)87号]的要求进行专家论证。
13.5.2 脚手架及模板支架的荷载取值及组合、计算方法及架体构造和施工要求应满足国家现行行业标准《建筑施工安全检查标准》JGJ 59、《建筑施工扣件式钢管脚手架安全技术规范》JGJ130、《建筑施工门式钢管脚手架安全技术规范》JGJ 128、《建筑施工碗扣式钢管脚手架安全技术规范》JGJ 166、《建筑施工模板安全技术规范》JGJ 162等有关规定。
条文说明
13.5.2 列举了脚手架及模板支架施工应遵守的标准规范。
13.5.3 外脚手架应根据建筑物的高度选择合理的形式:
1 低于50m的建筑,宜采用落地脚手架或悬挑脚手架;
2 高于50m的建筑,宜采用附着式升降脚手架、悬挑脚手架。
条文说明
13.5.3 基于脚手架的安全性要求和经验做法,作此规定。
13.5.4 落地脚手架宜采用双排扣件式钢管脚手架、门式钢管脚手架、承插式钢管脚手架。
13.5.5 悬挑脚手架应符合下列规定;
1 悬挑构件宜采用工字钢,架体宜采用双排扣件式钢管脚手架或碗扣式、承插式钢管脚手架;
2 分段搭设的脚手架,每段高度不得超过20m;
3 悬挑构件可采用预埋件固定,预埋件应采用未经冷处理的钢材加工;
4 当悬挑支架放置在阳台、悬挑梁或大跨度梁等部位时,应对其安全性进行验算。
条文说明
13.5.5 工字钢的抗侧向弯曲性能优于槽钢,故推荐采用工字钢作为悬挑支架。
13.5.6 卸料平台应符合下列规定:
1 应对卸料平台结构进行设计和验算,并编制专项施工方案;
2 卸料平台应与外脚手架脱开;
3 卸料平台严禁超载使用。
条文说明
13.5.6 卸料平台应经过有关安全或技术人员的验收合格后使用,转运时不得站人,以防发生安全事故。
13.5.7 模板支架宜采用工具式支架,并应符合相关标准的规定。
条文说明
13.5.7 采用定型工具式的模板支架有利于提高施工效率,利于周转、降低成本。
13.6 模板工程
13.6.1 模板工程应进行专项设计,并编制施工方案。模板方案应根据平面形状、结构形式和施工条件确定。对模板及其支架应进行承载力、刚度和稳定性计算。
条文说明
13.6.1 强调模板工程应进行专项设计,以满足强度、刚度和稳定性要求。
13.6.2 模板的设计、制作和安装应符合国家现行标准《混凝土结构工程施工质量验收规范》GB 50204、《组合钢模板技术规范》GB 50214、《滑动模板工程技术规范》GB 50113、《钢框胶合板模板技术规程》JGJ 96、《清水混凝土应用技术规程》JGJ 169等的有关规定。
条文说明
13.6.2 列举了模板工程应符合的有关标准和对模板的基本要求。
13.6.3 模板选型应符合下列规定:
1 墙体宜选用大模板、倒模、滑动模板和爬升模板等工具式模板施工;
2 柱模宜采用定型模板。圆柱模板可采用玻璃钢或钢板成型;
3 梁、板模板宜选用钢框胶合板、组合钢模板或不带框胶合板等,采用整体或分片预制安装;
4 楼板模板可选用飞模(台模、桌模)、密助楼板模壳、永久性模板等;
5 电梯井筒内模宜选用铰接式筒形大模板,核心筒宜采用爬升模板;
6 清水混凝土、装饰混凝土模板应满足设计对混凝土造型及观感的要求。
条文说明
13.6.3 对现浇梁、板、柱、墙模板的选型提出基本要求。现浇混凝土宜优先选用工具式模板,但不排除选用组合式、永久式模板。为提高工效,模板宜整体或分片预制安装和脱模。作为永久性模板的混凝土薄板,一般包括预应力混凝土板、双钢筋混凝土板和冷轧扭钢筋混凝土板。清水混凝土模板应满足混凝土的设计效果。
13.6.4 现浇楼板模板宜采用早拆模板体系。后浇带应与其两侧梁、板结构的模板及支架分开设置。
条文说明
13.6.4 现浇楼板模板选用早拆模板体系,可加速模板的周转,节约投资。后浇带模架应设计为可独立支拆的体系,避免在顶板拆模时对后浇带部位进行二次支模与回顶。
13.6.5 大模板板面可采用整块薄钢板,也可选用钢框胶合板或加边框的钢板、胶合板拼装。挂装三角架支承上层外模荷载时,现浇外墙混凝土强度应达到7.5MPa。大模板拆除和吊运时,严禁挤撞墙体。
大模板的安装允许偏差应符合表13.6.5的规定。

13.6.6 滑动模板及其操作平台应进行整体的承载力、刚度和稳定性设计,并应满足建筑造型要求。滑升模板施工前应按连续施工要求,统筹安排提升机具和配件等。劳动力配备、工序协调、垂直运输和水平运输能力均应与滑升速度相适应。模板应有上口小、下口大的倾斜度,其单面倾斜度宜取为模板高度的1/1000~2/1000。混凝土出模强度应达到出模后混凝土不塌、不裂。支承杆的选用应与千斤顶的构造相适应,长度宜为4m~6m,相邻支撑杆的接头位置应至少错开500mm,同一截面高度内接头不宜超过总数的25%。宜选用额定起重量为60kN以上的大吨位千斤顶及与之配套的钢管支撑杆。
滑模装置组装的允许偏差应符合表13.6.6的规定。

13.6.7 爬升模板宜采用由钢框胶合板等组合而成的大模板。其高度应为标准层层高加100mm~300mm。模板及爬架背面应附有爬升装置。爬架可由型钢组成,高度应为3.0~3.5个标准层高度,其立柱宜采取标准节分段组合,并用法兰盘连接;其底座固定于下层墙体时,穿墙螺栓不应少于4个,底部应设有操作平台和防护设施。爬升装置可选用液压穿心千斤顶、电动设备、捌链等。爬升工艺可选用模板与爬架互爬、模板与模板互爬、爬架与爬架互爬及整体爬升等。各部件安装后,应对所有连接螺栓和穿墙螺栓进行紧固检查,并应试爬升和验收。爬升时,穿墙螺栓受力处的混凝土强度不应小于10MPa;应稳起、稳落和平稳就位,不应被其他构件卡住;每个单元的爬升,应在一个工作台班内完成,爬升完毕应及时固定。
爬升模板组装允许偏差应符合表13.6.7的规定。穿墙螺栓的紧固扭矩为40N•m~50N•m时,可采用扭力扳手检测。

条文说明
13.6.5~13.6.7 分别阐述大模板、滑动模板和爬升模板的适用范围和施工要点。模板制作、安装允许偏差参照了相关标准的规定。
13.6.8 现浇空心楼板模板施工时,应采取防止混凝土浇筑时预制芯管及钢筋上浮的措施。
条文说明
13.6.8 空心混凝土楼板浇筑混凝土时,易发生预制芯管和钢筋上浮,防止上浮的有效措施是将芯管或钢筋骨架与模板进行拉结,在模板施工时就应综合考虑。
13.6.9 模板拆除应符合下列规定:
1 常温施工时,柱混凝土拆模强度不应低于1.5MPa,墙体拆模强度不应低于1.2MPa;
2 冬期拆模与保温应满足混凝土抗冻临界强度的要求;
3 梁、板底模拆模时,跨度不大于8m时混凝土强度应达到设计强度的75%,跨度大于8m时混凝土强度应达到设计强度的100%;
4 悬挑构件拆模时,混凝土强度应达到设计强度的100%;
5 后浇带拆模时,混凝土强度应达到设计强度的100%。
条文说明
13.6.9 规定模板拆除时混凝土应满足的强度要求。
13.7 钢筋工程
13.7.1 钢筋工程的原材料、加工、连接、安装和验收,应符合现行国家标准混凝土结构工程施工质量验收规范》GB 50204的有关规定。
条文说明
13.7.1 指出钢筋的原材料、加工、安装应符合的有关标准。
13.7.2 高层混凝土结构宜采用高强钢筋。钢筋数量、规格、型号和物理力学性能应符合设计要求。
条文说明
13.7.2 高层建筑宜推广应用高强钢筋,可以节约大量钢材。设计单位综合考虑钢筋性能、结构抗震要求等因素,对不同部位、构件采用的钢筋作出明确规定。施工中,钢筋的品种、规格、性能应符合设计要求。
13.7.3 粗直径钢筋宜采用机械连接。机械连接可采用直螺纹套筒连接、套筒挤压连接等方法。焊接时可采用电渣压力焊等方法。钢筋连接应符合现行行业标准《钢筋机械连接技术规程》JGJ107、《钢筋焊接及验收规程》JGJ 18和《钢筋焊接接头试验方法》JGJ 27等的有关规定。
条文说明
13.7.3 本条提出粗直径钢筋接头应优先采用机械连接。列举了钢筋连接应符合的有关现行标准。锥螺纹接头现已基本不使用,故取消了原规程中的有关内容。
13.7.4 采用点焊钢筋网片时,应符合现行行业标准《钢筋焊接网混凝土结构技术规程》JGJ 114的有关规定。
条文说明
13.7.4 指出采用点焊钢筋网片应符合的有关标准。
13.7.5 采用冷轧带肋钢筋和预应力用钢丝、钢绞线时,应符合现行行业标准《冷轧带肋钢筋混凝土结构技术规程》JGJ 95和《钢绞线、钢丝束无粘结预应力筋》JG 3006等的有关规定。
条文说明
13.7.5 指出采用新品种钢筋应符合的有关标准。
13.7.6 框架梁、柱交叉处,梁纵向受力钢筋应置于柱纵向钢筋内侧;次梁钢筋宜放在主梁钢筋内侧。当双向均为主梁时,钢筋位置应按设计要求摆放。
条文说明
13.7.6 梁柱、梁梁相交部位钢筋位置及相互关系比较复杂,施工中容易出错,本条规定对基本要求进行了明确。
13.7.7 箍筋的弯曲半径、内径尺寸、弯钩平直长度、绑扎间距与位置等构造做法应符合设计规定。采用开口箍筋时,开口方向应置于受压区,并错开布置。采用螺旋箍等新型箍筋时,应符合设计及工艺要求。
条文说明
13.7.7 提出了箍筋的基本要求。螺旋箍有利于抗震性能的提高,已得到越来越多的使用,施工中应按照设计及工艺要求,保证质量。
13.7.8 压型钢板-混凝土组合楼板施工时,应保证钢筋位置及保护层厚度准确。可采用在工厂加工钢筋桁架,并与压型钢板焊接成一体的钢筋桁架模板系统。
条文说明
13.7.8 高层建筑中,压型钢板-混凝土组合楼板已十分常见,其钢筋位置及保护层厚度影响组合楼板的受力性能和使用安全,应严格保证。
13.7.9 梁、板、墙、柱的钢筋宜采用预制安装方法。钢筋骨架、钢筋网在运输和安装过程中,应采取加固等保护措施。
条文说明
13.7.9 现场钢筋施工宜采用预制安装,对预制安装钢筋骨架和网片大小和运输提出要求,以保证质量,提高效率。
13.8 混凝土工程
13.8.1 高层建筑宜采用预拌混凝土或有自动计量装置、可靠质量控制的搅拌站供应的混凝土,预拌混凝土应符合现行国家标准《预拌混凝土》GB/T 14902的规定。混凝土浇灌宜采用泵送入模、连续施工,并应符合现行行业标准《混凝土泵送施工技术规程》JGJ/T 10的规定。
条文说明
13.8.1 高层建筑基础深、层数多,需要混凝土质量高、数量大,应尽量采用预拌泵送混凝土。
13.8.2 混凝土工程的原材料、配合比设计、施工和验收,应符合现行国家标准《混凝土质量控制标准》GB 50164、《混凝土外加剂应用技术规范》GB 50119、《粉煤灰混凝土应用技术规范》GB 50146和《混凝土强度检验评定标准》GB/T 50107、《清水混凝土应用技术规程》JGJ 169等的有关规定。
条文说明
13.8.2 列举了混凝土工程应符合的主要标准。
13.8. 3 高层建筑宜根据不同工程需要,选用特定的高性能混凝土。采用高强混凝土时,应优选水泥、粗细骨料、外掺合料和外加剂,并应作好配制、浇筑与养护。
条文说明
13.8.3 高性能混凝土以耐久性、工作性、适当高强度为基本要求,并根据不同用途强化某些性能,形成补偿收缩混凝土、自密实免振混凝土等。
- 8.4 预拌混凝土运至浇筑地点,应进行坍落度检查,其允许偏差应符合表13.8.4的规定。

13.8.5 混凝土浇筑高度应保证混凝土不发生离析。混凝土自高处倾落的自由高度不应大于2m;柱、墙模板内的混凝土倾落高度应满足表13.8.5的规定;当不能满足表13.8.5的规定时,宜加设串通、溜槽、溜管等装置。

13.8.6 混凝土浇筑过程中,应设专人对模板支架、钢筋、预埋件和预留孔洞的变形、移位进行观测,发现问题及时采取措施。
条文说明
13.8.4~13.8.6 增加对混凝土坍落度、浇筑、振捣的要求。强调了对混凝土浇筑过程中模板支架安全性的监控。
13.8.7 混凝土浇筑后应及时进行养护。根据不同的地区、季节和工程特点,可选用浇水、综合蓄热、电热、远红外线、蒸汽等养护方法,以塑料布、保温材料或涂刷薄膜等覆盖。
条文说明
13.8.7 强调了混凝土应及时有效养护及养护覆盖的主要方法。
13.8.8 预应力混凝土结构施工,应符合国家现行标准《预应力筋用锚具、夹具和连接器》GB/T 14370和《无粘结预应力混凝土结构技术规程》JGJ 92等的有关规定。
条文说明
13.8.8 列举了现浇预应力混凝土应符合的技术规程。
13.8.9 结构柱、墙混凝土设计强度等级高于梁、板混凝土设计强度等级时,应在交界区域采取分隔措施。分隔位置应在低强度等级的构件中,且与高强度等级构件边缘的距离不宜小于500mm。应先浇筑高强度等级混凝土,后浇筑低强度等级混凝土。
条文说明
13.8.9 提出对柱、墙与梁、板混凝土强度不同时的混凝土浇筑要求。施工中,当强度相差不超过两个等级时,已有采用较低强度等级的梁板混凝土浇筑核心区(直接浇筑或采取必要加强措施)的实践,但必须经设计和有关单位协商认可。
13.8.10 混凝土施工缝宜留置在结构受力较小且便于施工的位置。
条文说明
13.8.10 混凝土施工缝留置的具体位置和浇筑应符合本规程和有关现行国家标准的规定。
13.8.11 后浇带应按设计要求预留,并按规定时间浇筑混凝土,进行覆盖养护。当设计对混凝土无特殊要求时,后浇带混凝土应高于其相邻结构一个强度等级。
条文说明
13.8.11 后浇带留置及不同类型后浇带的混凝土浇筑时间,应符合设计要求。提高后浇带混凝土一个强度等级是出于对该部位的加强,也是目前的通常做法。
13.8.12 现浇混凝土结构的允许偏差应符合表13.8.12的规定。

条文说明
13.8.12 混凝土结构允许偏差主要根据现行国家标准《混凝土结构工程施工质量验收规范》GB 50204的有关规定,其中截面尺寸和表面平整的抹灰部分系指采用中、小型模板的允许偏差,不抹灰部分系指采用大模板及爬模工艺的允许偏差。
13.9 大体积混凝土施工
13.9.1 大体积与超长结构混凝土施工前应编制专项施工方案,并进行大体积混凝土温控计算,必要时可设置抗裂钢筋(丝)网。
条文说明
13.9.1 大体积混凝土指混凝土结构物实体最小尺寸不小于1m的大体量混凝土,或预计会因混凝土中胶凝材料水化引起的温度变化和收缩而导致有害裂缝产生的混凝土。高层建筑底板、转换层及梁柱构件中,属于大体积混凝土范畴的很多,因此本规程将大体积混凝土施工单独成节,以明确其主要要求。
超长结构目前没有明确定义。本节所述超长结构,通常指平面尺寸大于本规程第3.4.12条规定的伸缩缝间距的结构。
本条强调大体积混凝土与超长结构混凝土施工前应编制专项施工方案,施工方案应进行必要的温控计算,并明确控制大体积混凝土裂缝的措施。
13.9.2 大体积混凝土施工应符合现行国家标准《大体积混凝土施工规范》GB 50496的规定。
13.9.3 大体积基础底板及地下室外墙混凝土,当采用粉煤灰混凝土时,可利用60d或90d强度进行配合比设计和施工。
条文说明
13.9.3 大体积混凝土由于水化热产生的内外温差和混凝土收缩变形大,易产生裂缝。预防大体积混凝土裂缝应从设计构造、原材料、混凝土配合比、浇筑等方面采取综合措施。大体积基础底板、外墙混凝土可采用混凝土60d或90d强度,并采用相应的配合比,延缓混凝土水化热的释放,减少混凝土温度应力裂缝,但应由设计单位认可,并满足施工荷载的要求。
13.9.4 大体积与超长结构混凝土配合比应经过试配确定。原材料应符合相关标准的要求,宜选用中低水化热低碱水泥,掺入适量的粉煤灰和缓凝型外加剂,并控制水泥用量。
条文说明
13.9.4 对大体积混凝土与超长结构混凝土原材料及配合比提出要求。
13.9.5 大体积混凝土浇筑、振捣应满足下列规定:
1 宜避免高温施工;当必须暑期高温施工时,应采取措施降低混凝土拌合物和混凝土内部温度。
2 根据面积、厚度等因素,宜采取整体分层连续浇筑或推移式连续浇筑法;混凝土供应速度应大于混凝土初凝速度,下层混凝土初凝前应进行第二层混凝土浇筑。
3 分层设置水平施工缝时,除应符合设计要求外,尚应根据混凝土浇筑过程中温度裂缝控制的要求、混凝土的供应能力、钢筋工程的施工、预埋管件安装等因素确定其位置及间隔时间。
4 宜采用二次振捣工艺,浇筑面应及时进行二次抹压处理。
条文说明
13.9.5 对大体积混凝土浇筑、振捣提出相关要求。
13.9.6 大体积混凝土养护、测温应符合下列规定:
1 大体积混凝土浇筑后,应在12h内采取保湿、控温措施。混凝土浇筑体的里表温差不宜大于25℃,混凝土浇筑体表面与大气温差不宜大于20℃;
2 宜采用自动测温系统测量温度,并设专人负责;测温点布置应具有代表性,测温频次应符合相关标准的规定。
条文说明
13.9.6 对大体积混凝土养护、测温提出相关要求。养护、测温的根本目的是控制混凝土内外温差。养护方法应考虑季节性特点。测温可采用人工测量、记录,目前很多工程已成功采用预埋温度电偶并利用计算机进行自动测温记录。测温结果应及时向有关技术人员报告,温差超出规定范围时应采取相应措施。
13.9. 7 超长大体积混凝土施工可采取留置变形缝、后浇带施工或跳仓法施工。
条文说明
13.9.7 在超长结构混凝土施工中,采用留后浇带或跳仓法施工是防止和控制混凝土裂缝的主要措施之一。跳仓浇筑间隔时间不宜少于7d。
13.10 混合结构施工
13.10.1 混合结构施工应满足国家现行标准《混凝土结构工程施工质量验收规范》GB 50204、《钢结构工程施工质量验收规范》GB 50205、《型钢混凝土组合结构技术规程》JGJ 138等的有关要求。
条文说明
13.10.1 列举出混合结构的钢结构、混凝土结构、型钢混凝土结构等施工应符合的有关标准规范。
13.10.2 施工中应加强钢筋混凝土结构与钢结构施工的协调与配合,根据结构特点编制施工组织设计,确定施工顺序、流水段划分、工艺流程及资源配置。
条文说明
13.10.2 混合结构具有工序多、流程复杂、协同作业要求高等特点,施工中应加强各专业之间的协调与配合。
13.10.3 钢结构制作前应进行深化设计。
条文说明
13.10.3 钢结构深化设计图是在工程施工图的基础上,考虑制作安装因素,将各专业所需要的埋件及孔洞,集中反映到构件加工详图上的技术文件。
钢结构深化设计应在钢结构施工图完成之后进行,根据施工图提供的构件位置、节点构造、构件安装内力及其他影响等,为满足加工要求形成构件加工图,并提交原设计单位确认。
13.10.4 混合结构应遵照先钢结构安装,后钢筋混凝土施工的原则组织施工。
13.10.5 核心筒应先于钢框架或型钢混凝土框架施工,高差宜控制在4~8层,并应满足施工工序的穿插要求。
13.10.6 型钢混凝土竖向构件应按照钢结构、钢筋、模板、混凝土的顺序组织施工,型钢安装应先于混凝土施工至少一个安装节。
条文说明
13.10.4~13.10.6 明确了混合结构及其构件的施工顺序。
13.10.7 钢框架-钢筋混凝土筒体结构施工时,应考虑内外结构的竖向变形差异控制。
条文说明
13.10.7 对钢框架-钢筋混凝土筒体结构施工提出进行结构时变分析要求,并控制变形差。
13.10.8 钢管混凝土结构浇筑应符合下列规定:
1 宜采用自密实混凝土,管内混凝土浇筑可选用管顶向下普通浇筑法、泵送顶升浇筑法和高位抛落法等。
2 采用从管顶向下浇筑时,应加强底部管壁排气孔观察,确认浆体流出和浇筑密实后封堵排气孔。
3 采用泵送顶升浇筑法时,应合理选择顶升浇筑设备,控制混凝土顶升速度,钢管直径宜不小于泵管直径的两倍。
4 采用高位抛落免振法浇筑混凝土时,混凝土技术参数宜通过试验确定;对于抛落高度不足4m的区段,应配合人工振捣;混凝土一次抛落量应控制在0.7m3左右。
5 混凝土浇筑面与尚待焊接部位焊缝的距离不应小于600mm。
6 钢管内混凝土浇灌接近顶面时,应测定混凝土浮浆厚度,计算与原混凝土相同级配的石子量并投入和振捣密实。
7 管内混凝土的浇灌质量,可采用管外敲击法、超声波检测法或钻芯取样法检测;对不密实的部位,应采用钻孔压浆法进行补强。
13.10.9 型钢混凝土柱的箍筋宜采用封闭箍,不宜将箍筋直接焊在钢柱上。梁柱节点部位柱的箍筋可分段焊接。
13.10.10 当利用型钢梁钢骨架吊挂梁模板时,应对其承载力和变形进行核算。
13.10.11 压型钢板楼面混凝土施工时,应根据压型钢板的刚度适当设置支撑系统。
13.10.12 型钢剪力墙、钢板剪力墙、暗支撑剪力墙混凝土施工时,应在型钢翼缘处留置排气孔,必要时可在墙体模板侧面留设浇筑孔。
13.10.13 型钢混凝土梁柱接头处和型钢翼缘下部,宜预留排气孔和混凝土浇筑孔。钢筋密集时,可采用自密实混凝土浇筑。
条文说明
13.10.8~13.10.13 提出了钢管混凝土、型钢混凝土框架-钢筋混凝土筒体结构施工应注意的重点环节。
13.11 复杂混凝土结构施工
13.11.1 混凝土转换层、加强层、连体结构、大底盘多塔楼结构等复杂结构应编制专项施工方案。
条文说明
13.11.1 为保证复杂混凝土结构工程质量和施工安全,应编制专项施工方案。
13.11.2 混凝土结构转换层、加强层施工应符合下列规定:
1 当转换层梁或板混凝土支撑体系利用下层楼板或其他结构传递荷载时,应通过计算确定,必要时应采取力口固措施;
2 混凝土桁架、空腹钢架等斜向构件的模板和支架应进行荷载分析及水平推力计算。
条文说明
13.11.2 提出了混凝土结构转换层、加强层的施工要求。需要注意的是,应根据转换层、加强层自重大的特点,对支撑体系设计和荷载传递路径等关键环节进行重点控制。
13.11.3 悬挑结构施工应符合下列规定:
1 悬挑构件的模板支架可采用钢管支撑、型钢支撑和悬挑桁架等,模板起拱值宜为悬挑长度的0.2%~0.3%;
2 当采用悬挂支模时,应对钢架或骨架的承载力和变形进行计算;
3 应有控制上部受力钢筋保护层厚度的措施。
13.11.4 大底盘多塔楼结构,塔楼间施工顺序和施工高差、后浇带设置及混凝土浇筑时间应满足设计要求。
13.11.5 塔楼连接体施工应符合下列规定:
1 应在塔楼主体施工前确定连接体施工或吊装方案;
2 应根据施工方案,对主体结构局部和整体受力进行验算,必要时应采取加强措施;
3 塔楼主体施工时应按连接体施工安装方案的要求设置预埋件或预留洞。
条文说明
13.11.3~13.11.5 提出了悬挑结构、大底盘多塔楼结构、塔楼连接体的施工要求。
13.12 施工安全
13.12.1 高层建筑结构施工应符合现行行业标准《建筑施工高处作业安全技术规范》JGJ 80、《建筑机械使用安全技术规程》JGJ33、《施工现场临时用电安全技术规范》JGJ 46、《建筑施工门式钢管脚手架安全技术规程》JGJ 128、《建筑施工扣件式钢管脚手架安全技术规范》JGJ 130和《液压滑动模板施工安全技术规程》JGJ 65等的有关规定。
条文说明
13.12.1 列出高层建筑施工安全应遵守的技术规范、规程。
13.12.2 附着式整体爬升脚手架应经鉴定,并有产品合格证、使用证和准用证。
条文说明
13.12.2 附着式整体爬升脚手架应采用经住房和城乡建设部组织鉴定并发放生产和使用证的产品,并具有当地建筑安全监督管理部门发放的产品准用证。
13.12.3 施工现场应设立可靠的避雷装置。
条文说明
13.12.3 高层建筑施工现场避雷要求高,避雷系统应覆盖整个施工现场。
13.12.4 建筑物的出入口、楼梯口、洞口、基坑和每层建筑的周边均应设置防护设施。
条文说明
13.12.4 高层建筑施工应严防高空坠落。安全网除应随施工楼层架设外,尚应在首层和每隔四层各设一道。
13.12.5 钢模板施工时,应有防漏电措施。
条文说明
13.12.5 钢模板的吊装、运输、装拆、存放,必须稳固。模板安装就位后,应注意接地。
13.12.6 采用自动提升、顶升脚手架或工作平台施工时,应严格执行操作规程,并经验收后实施。
条文说明
13.12.6 提出脚手架和工作平台施工安全要求。
13.12.7 高层建筑施工,应采取上、下通信联系措施。
条文说明
13.12.7 提出高层建筑施工中上、下楼层通信联系要求。
13.12.8 高层建筑施工应有消防系统,消防供水系统应满足楼层防火要求。
条文说明
13.12.8 提出施工现场防止火灾的消防设施要求。
13.12.9 施工用油漆和涂料应妥善保管,并远离火源。
条文说明
13.12.9 对油漆和涂料的施工提出防火要求。
13.13 绿色施工
13.13.1 高层建筑施工组织设计和施工方案应符合绿色施工的要求,并应进行绿色施工教育和培训。
条文说明
13.13.1 对高层建筑施工组织设计和方案提出绿色施工及其培训的要求。
13.13.2 应控制混凝土中碱、氯、氨等有害物质含量。
条文说明
13.13.2 提出了混凝土耐久性和环保要求。
13.13.3 施工中应采用下列节能与能源利用措施:
1 制定措施提高各种机械的使用率和满载率;
2 采用节能设备和施工节能照明工具,使用节能型的用电器具;
3 对设备进行定期维护保养。
13.13.4 施工中应采用下列节水及水资源利用措施:
1 施工过程中对水资源进行管理;
2 采用施工节水工艺、节水设施并安装计量装置;
3 深基坑施工时,应采取地下水的控制措施;
4 有条件的工地宜建立水网,实施水资源的循环使用。
13.13.5 施工中应采用下列节材及材料利用措施:
1 采用节材与材料资源合理利用的新技术、新工艺、新材料和新设备;
2 宜采用可循环利用材料;
3 废弃物应分类回收,并进行再生利用。
13.13.6 施工中应采取下列节地措施:
1 合理布置施工总平面;
2 节约施工用地及临时设施用地,避免或减少二次搬运;
3 组织分段流水施工,进行劳动力平衡,减少临时设施和周转材料数量。
13.13.7 施工中的环境保护应符合下列规定:
1 对施工过程中的环境因素进行分析,制定环境保护措施;
2 现场采取降尘措施;
3 现场采取降噪措施;
4 采用环保建筑材料;
5 采取防光污染措施;
6 现场污水排放应符合相关规定,进出现场车辆应进行清洗;
7 施工现场垃圾应按规定进行分类和排放;
8 油漆、机油等应妥善保存,不得遗洒。
条文说明
13.13.3~13.13.7 针对高层建筑施工,提出“四节一环保”要求。第13.13.7条的降尘措施如洒水、地面硬化、围档、密网覆盖、封闭等;降噪措施包括:尽量使用低噪声机具,对噪声大的机械合理安排位置,采用吸声、消声、隔声、隔振等措施等。
附录A 楼盖结构竖向振动加速度计算
A.0.1 楼盖结构的竖向振动加速度宜采用时程分析方法计算。
A.0.2 人行走引起的楼盖振动峰值加速度可按下列公式近似计算:


注:1 表中阻尼比用于钢筋混凝土楼盖结构和钢-混凝土组合楼盖结构;
2 对住宅、办公、教堂建筑,阻尼比0.02可用于无家具和非结构构件情况,如无纸化电子办公区、开敞办公区和教堂;阻尼比0.03可用于有家具、非结构构件,带少量可拆卸隔断的情况;阻尼比0.05可用于含全高填充墙的情况;
3 对室内人行天桥,阻尼比0.02可用于天桥带干挂吊顶的情况。
A.0.3 楼盖结构的阻抗有效重量w可按下列公式计算:

附录B 风荷载体型系数
B.0.1 风荷载体型系数应根据建筑物平面形状按下列规定采用:
1 矩形平面

2 L形平面

3 槽型平面

4 正多边形平面、圆形平面

5 扇形平面

6 梭形平面

7 十字形平面

8 井字形平面

9 x形平面

10 卄形平面

11 六角形平面


12 Y形平面


附录C 结构水平地震作用计算的底部剪力法
C.0.1 采用底部剪力法计算高层建筑结构的水平地震作用时,各楼层在计算方向可仅考虑一个自由度(图C),并应符合下列规定:

1 结构总水平地震作用标准值应按下列公式计算:

2 质点i的水品地震作用标准值可按下式计算:



3 主体结构顶层附加水平地震作用标准值可按下式计算:

C.0.3 高层建筑采用底部剪力法计算水平地震作用时,突出屋面房屋(楼梯间、电梯间、水箱间等)宜作为一个质点参加计算,计算求得的水平地震作用标准值应增大,增大系数βn可按表C.0.3采用。增大后的地震作用仅用于突出屋面房屋自身以及与其直接连接的主体结构构件的设计。

附录D 墙体稳定验算
D.0.1 剪力墙墙肢应满足下式的稳定要求:

D.0.2 剪力墙墙肢计算长度应按下式计算:

D.0.3 墙肢计算长度系数β应根据墙肢的支撑条件按下列规定采用:
1 单片独立墙肢按两边支撑板计算,取β等于1.0。
2 T形、L形、槽型和工字型剪力墙的翼缘(图D),采用三边支撑板按式(D.1.3-1)计算;当β计算值小于0.25时,取0.25。

3 T形剪力墙的腹板(图D)也按三边支撑板计算,但应将公式(D.0.3-1)中的bf代以bw。

4 槽形和工字形剪力墙的腹板(图D),采用四边支撑板按式(D.0.3-2)计算;当β计算值小于0.2时,取0.2。

D.0.4 当T形、L形、槽型、工字形剪力墙的翼缘截面高度或T形、L形剪力墙的腹板截面高度与翼缘截面厚度之和小于截面厚度的2倍和800mm时,尚宜按下式验算剪力墙的整体稳定:

条文说明
根据国内研究成果并与德国《混凝土与钢筋混凝土结构设计和施工规范》DIN 1045的比较表明,对不同支承条件弹性墙肢的临界荷载,可表达为统一形式:

当剪力墙的截面高度或宽度较小且层高较大时,其整体失稳可能先于各墙肢局部失稳,因此本附录第D.0.4条规定,对截面高度或宽度小于截面厚度的2倍和800mm的T形、L形、槽形和工字形剪力墙,除按第D.0.1~D.0.3条规定验算墙肢局部稳定外,尚宜验算剪力墙的整体稳定性。
附录E 转换层上、下结构侧向刚度规定
E.0.1 当转换层设置在1、2层时,可近似采用转换层与其相邻上层结构的等效剪切刚度比γe1表示转换层上、下层结构刚度的变化,γe1宜接近1,非抗震设计时γe1不应小于0.4,抗震设计时γe1不应小于0.5。γe1可按下列公式计算:

E.0.2 当转换层设置在第2层以上时,按本规程式(3.5.2—1)计算的转换层与其相邻上层的侧向刚度比不应小于0.6。
E.0.3 当转换层设置在第2层以上时,尚宜采用图E所示的计算模型按公式(E.0.3)计算转换层下部结构与上部结构的等效侧向刚度比γe2。γe2宜接近1,非抗震设计时γe2不应小于0.5,抗震设计时γe2不应小于0.8。


附录F 圆形钢管混凝土构件设计
F.1 构件设计
F.1.1 钢管混凝土单肢柱的轴向受压承载力应满足下列公式规定:
持久、短暂设计状况 N≤Nu (F.1.1—1)
地震设计状况 N≤Nu/γRE (F.1.1—2)
式中:N——轴向压力设计值;
Nu——钢管混凝土单肢柱的轴向受压承载力设计值。
条文说明
F.1.1 本规程对圆型钢管混凝土柱承载力的计算采用基于实验的极限平衡理论,参见蔡绍怀著《现代钢管混凝土结构》(人民交通出版社,北京,2003),其主要特点是: 1)不以柱的某一临界截面作为考察对象,而以整长的钢管混凝土柱,即所谓单元柱,作为考察对象,视之为结构体系的基本元件。 2)应用极限平衡理论中的广义应力和广义应变概念,在试验观察的基础上,直接探讨单元柱在轴力N和柱端弯矩M这两个广义力共同作用下的广义屈服条件。 本规程将长径比L/D不大于4的钢管混凝土柱定义为短柱,可忽略其受压极限状态的压曲效应(即P-δ效应)影响,其轴心受压的破坏荷载(最大荷载)记为N0,是钢管混凝土柱承载力计算的基础。 短柱轴心受压极限承载力凡的计算公式(F.1.2—2)、(F.1.2—3)系在总结国内外约480个试验资料的基础上,用极限平衡法导得的。试验结果和理论分析表明,该公式对于(a)钢管与核心混凝土同时受载,(b)仅核心混凝土直接受载,(c)钢管在弹性极限内预先受载,然后再与核心混凝土共同受载等加载方式均适用。 公式(F.1.2—2)、(F.1.2—3)右端的系数0.9,是参照现行国家标准《混凝土结构设计规范》GB 50010,为提高包括螺旋箍筋柱在内的各种钢筋混凝土受压构件的安全度而引入的附加系数。 公式(F.1.2—1)的双系数乘积规律是根据中国建筑科学研究院的系列试验结果确定的。经用国内外大量试验结果(约360个)复核,证明该公式与试验结果符合良好。在压弯柱的承载力计算中,采用该公式后,可避免求解M—N相关方程,从而使计算大为简化,用双系数表达的承载力变化规律也更为直观。值得强调指出,套箍效应使钢管混凝土柱的承载力较普通钢筋混凝土柱有大幅度提高(可达30%~50%),相应地,在使用荷载下的材料使用应力也有同样幅度的提高。经试验观察和理论分析证明,在规程规定的套箍指标θ不大于3和规程所设置的安全度水平内,钢管混凝土柱在使用荷载下仍然处于弹性工作阶段,符合极限状态设计原则的基本要求,不会影响其使用质量。
F.1.2 钢管混凝土单肢柱的轴向受压承载力设计值应按下列公式计算:




F.1.3 钢管混凝土柱考虑偏心率影响的承载力折减系数 φ e,按下列公式计算:

条文说明
F.1.3 由极限平衡理论可知,钢管混凝土标准单元柱在轴力N和端弯矩M共同作用下的广义屈服条件,在M—N直角坐标系中是一条外凸曲线,并可足够精确地简化为两条直线AB和BC(图18)。其中A为轴心受压;C为纯弯受力状态,由试验数据




F.1.4 钢管混凝土柱考虑长细比影响的承载力折减系数 φ l,按下列公式计算:


条文说明
F.1.4 规程公式(F.1.4—1)是总结国内外大量试验结果(约340个)得出的经验公式。对于普通混凝土,L0/D≤50在的范围内,对于高强混凝土,在L0/D≤20的范围内,该公式的计算值与试验实测值均符合良好(图22、23)。从现有的试验数据看,钢管径厚比D/t,钢材品种以及混凝土强度等级或套箍指标等的变化,对φl值的影响无明显规律,其变化幅度都在试验结果的离散程度以内,故公式中对这些因素都不予考虑。为合理地发挥钢管混凝土抗压承载能力的优势,本规程对柱的长径比作了


F.1.5 柱的等效计算长度应按下列公式计算:

F.1.6 钢管混凝土柱考虑柱身弯矩分布梯度影响的等效长度系数k,应按下列公式计算:



条文说明
F.1.5、F.1.6 本条的等效计算长度考虑了柱端约束条件(转动和侧移)和沿柱身弯矩分布梯度等因素对柱承载力的影响。 柱端约束条件的影响,借引入“计算长度”的办法予以考虑,与现行国家标准《钢结构设计规范》GB 50017所采用的办法完全相同。 为考虑沿柱身弯矩分布梯度的影响,在实用上可采用等效标准单元柱的办法予以考虑。即将各种一次弯矩分布图不为矩形的两端铰支柱以及悬臂柱等非标准柱转换为具有相同承载力的一次弯矩分布图呈矩形的等效标准柱。我国现行国家标准《钢结构设计规范》GB 50017和国外的一些结构设计规范,例如美国ACI混凝土结构规范,采用的是等效弯矩法,即将非标准柱的较大端弯矩予以缩减,取等效弯矩系数c不大于1,相应的柱长保持不变(图24a);本规程采用的则是等效长度法,即将非标准柱的长度予以缩减,取等效长度系数k不大于1,相应的柱端较大弯矩M2保持不变(图24b)。两种处理办法的效果应该是相同的。 本规程采用等效长度法,在概念上更为直观,对于在实验中观察到的双曲压弯下的零挠度点漂移现象,更易于解释。

本条所列的等效长度系数公式,是根据中国建筑科学研究院专门的试验结果建立的经验公式。
F.1.7 钢管混凝土单肢柱的拉弯承载力应满足下列规定:

条文说明
F.1.7 虽然钢管混凝土柱的优势在抗压,只宜作受压构件,但在个别特殊工况下,钢管混凝土柱也可能有处于拉弯状态的时候。为验算这种工况下的安全性,本规程假定钢管混凝土柱的N—M曲线在拉弯区为直线,给出了以钢管混凝土纯弯状态和轴心受拉状态时的承载力为基础的相关公式,其中纯弯承载力与压弯公式中的纯弯承载力相同,轴心受拉承载力仅考虑钢管的作用。
F.1.8 当钢管混凝土单肢柱的剪跨a(横向集中荷载作用点至支座节点边缘的距离)小于柱子直径D的2倍时,柱的横向受剪承载力应符合下式规定:

F.1.9 钢管混凝土单肢柱的横向受剪承载力设计值应按下列公式计算:

条文说明
F.1.8、F.1.9 钢管混凝土中的钢管,是一种特殊形式的配筋,系三维连续的配筋场,既是纵筋,又是横向箍筋,无论构件受到压、拉、弯、剪、扭等何种作用,钢管均可随着应变场的变化而自行调节变换其配筋功能。一般情况下,钢管混凝土柱主要受压弯作用,在按压弯构件确定了柱的钢管规格和套箍指标后,其抗剪配筋场亦相应确定,无须像普通钢筋混凝土构件那样另做抗剪配筋设计。以往的试验观察表明,钢管混凝土柱在剪跨柱径比a/D大于2时,都是弯曲型破坏。在一般建筑工程中的钢管混凝土框架柱,其高度与柱径之比(即剪跨柱径比)大都在3以上,横向抗剪问题不突出。在某些情况下,例如钢管混凝土柱之间设有斜撑的节点处,大跨重载梁的梁柱节点区等,仍可能出现影响设计的钢管混凝土小剪跨抗剪问题。为解决这一问题,中国建筑科学研究院进行了专门的抗剪试验研究,本条的计算公式(F.1.9—1)和(F.1.9—2)即系根据这批试验结果提出的,适用于横向剪力以压力方式作用于钢管外壁的情况。
F.1.10 钢管混凝土局部受压应符合下式规定:

F.1.11 钢管混凝土柱在中央部位受压时(图F.1.11),局部受压承载力设计值应按下式计算:


F.1.12 钢管混凝土柱在其组合界面附近受压时(图F.1.12),局部受压承载力设计值应按下式计算:


条文说明
F.1.10~F.1.12 众所周知,对混凝土配置螺旋箍筋或横向方格钢筋网片,形成所谓套箍混凝土,可显著提高混凝土的局部承压强度。钢管混凝土是一种特殊形式的套箍混凝土,其钢管具有类似螺旋箍筋的功能,显然也应具有较高的局部承压强度。钢管混凝土的局部承压可分为中央部位的局部承压和组合界面附近的局部承压两类。中国建筑科学研究院的试验研究表明,在上述两类局部承压下的钢管混凝土强度提高系数亦服从与面积比的平方根成线性关系的规律。 第F.1.12条的公式可用于抗剪连接件的承载力计算,其中所指的柔性抗剪连接件包括节点构造中采用的内加强环、环形隔板、钢筋环和焊钉等。至于内衬管段和穿心牛腿(承重销)则应视为刚性抗剪连接件。 当局压强度不足时,可将局压区段管壁加厚予以补强,这比局部配置螺旋箍筋更简便些。局压区段的长度可取为钢管直径的1.5倍。
F.2 连接设计
F.2.1 钢管混凝土柱的直径较小时,钢梁与钢管混凝土柱之间可采用外加强环连接(图F.2.1—1),外加强环应是环绕钢管混凝土柱的封闭的满环(图F.2.1—2)。外加强环与钢管外壁应采用全熔透焊缝连接,外加强环与钢梁应采用栓焊连接。外加强环的厚度不应小于钢梁翼缘的厚度,最小宽度c不应小于钢梁翼缘宽度的70%。


条文说明
F.2.1 外加强环可以拼接,拼接处的对接焊缝必须与母材等强。
F.2.2 钢管混凝土柱的直径较大时,钢梁与钢管混凝土柱之间可采用内加强环连接。内加强环与钢管内壁应采用全熔透坡口焊缝连接。梁与柱可采用现场直接连接,也可与带有悬臂梁段的柱在现场进行梁的拼接。悬臂梁段可采用等截面(图F.2.2—1)或变截面(图F.2.2—2、图F.2.2—3);采用变截面梁段时,其坡度不宜大于1/6。


条文说明
F.2.2 采用内加强环连接时,梁与柱之间最好通过悬臂梁段连接。悬臂梁段在工厂与钢管采用全焊连接,即梁翼缘与钢管壁采用全熔透坡口焊缝连接、梁腹板与为钢管壁采用角焊缝连接;悬臂梁段在现场与梁拼接,可以采用栓焊连接,也可以采用全螺栓连接。采用不等截面悬臂梁段,即翼缘端部加宽或腹板加腋或同时翼缘端部加宽和腹板加腋,可以有效转移塑性铰,避免悬臂梁段与钢管的连接破坏。
F.2.3 钢筋混凝土梁与钢管混凝土柱的连接构造应同时满足管外剪力传递及弯矩传递的要求。
条文说明
F.2.3 本规程中钢筋混凝土梁与钢管混凝土柱的连接方式分别针对管外剪力传递和管外弯矩传递两个方面做了具体规定,在相应条文的图示中只针对剪力传递或弯矩传递的一个方面做了表示,工程中的连接节点可以根据工程特点采用不同的剪力和弯矩传递方式进行组合。
F.2.4 钢筋混凝土梁与钢管混凝土柱连接时,钢管外剪力传递可采用环形牛腿或承重销;钢筋混凝土无梁楼板或井式密肋楼板与钢管混凝土柱连接时,钢管外剪力传递可采用台锥式环形深牛腿。也可采用其他符合计算受力要求的连接方式传递管外剪力。
F.2.5 环形牛腿、台锥式环形深牛腿可由呈放射状均匀分布的肋板和上、下加强环组成(图F.2.5)。肋板应与钢管壁外表面及上、下加强环采用角焊缝焊接,上、下加强环可分别与钢管壁外表面采用角焊缝焊接。环形牛腿的上、下加强环以及台锥式深牛腿的下加强环应预留直径不小于50mm的排气孔。

台锥式环形深牛腿下加强环的直径可由楼板的冲切承载力计算确定。
F.2.6 钢管混凝土柱的外径不小于600mm时,可采用承重销传递剪力。由穿心腹板和上、下翼缘板组成的承重销(图F.2.6),其截面高度宜取框架梁截面高度的50%,其平面位置应根据框架梁的位置确定。翼缘板在穿过钢管壁不少于50mm后可逐渐收窄。钢管与翼缘板之间、钢管与穿心腹板之间应采用全熔透坡口焊缝焊接,穿心腹板与对面的钢管壁之间(图F.2.6a)或与另一方向的穿心腹板之间(图F.2.6b)应采用角焊缝焊接。

F.2.7 钢筋混凝土梁与钢管混凝土柱的管外弯矩传递可采用井式双梁、环梁、穿筋单梁和变宽度梁,也可采用其他符合受力分析要求的连接方式。
F.2.8 井式双梁的纵向钢筋钢筋可从钢管侧面平行通过,并宜增设斜向构造钢筋(图F.2.8);井式双梁与钢管之间应浇筑混凝土。

条文说明
F.2.8 井字双梁与钢管之间浇筑混凝土,是为了确保节点上各梁端的不平衡弯矩能传递给柱。
F.2.9 钢筋混凝土梁(图F.2.9)的配筋应由计算确定。环梁的构造应符合下列规定:
1 环梁截面高度宜比框架粱高50mm;
2 环梁的截面宽度宜不小于框架粱宽度;
3 框架梁的纵向钢筋在环梁内的锚固长度应满足现行国家标准《混凝土结构设计规范》GB 50010的规定;
4 环梁上、下环筋的截面积,应分别不小于框架梁上、下纵筋截面积的70%;
5 环梁内、外侧应设置环向腰筋,腰筋直径不宜小于16mm,间距不宜大于150mm;
6 环梁按构造设置的箍筋直径不宜小于10mm,外侧间距不宜大于150mm。
条文说明
F.2.9 规定了钢筋混凝土环梁的构造要求,目的是使框架梁端弯矩能平稳地传递给钢管混凝土柱,并使环梁不先于框架梁端出现塑性铰。
F.2.10 采用穿筋单梁构造(图F.2.10)时,在钢管开孔的区段应采用内衬管段或外套管段与钢管壁紧贴焊接,衬(套)管的壁厚不应小于钢管的壁厚,穿筋孔的环向净矩s不应小于孔的长径b,衬(套)管端面至孔边的净距w不应小于孔长径b的2.5倍。宜采用双筋并股穿孔(图F.2.10)。

条文说明
F.2.10 “穿筋单梁”节点增设内衬管或外套管,是为了弥补钢管开孔所造成的管壁削弱。穿筋后,孔与筋的间隙可以补焊。条件许可时,框架梁端可水平加腋,并令梁的部分纵筋从柱侧绕过,以减少穿筋的数量。
F.2.11 钢管直径较小或梁宽较大时,可采用梁端加宽的变宽度梁传递管外弯矩的构造方式(图F.2.11)。变宽度梁一个方向的2根纵向钢筋可穿过钢管,其余纵向钢筋可连续绕过钢管,绕筋的斜度不应大于1/6,并应在梁变宽度处设置附加箍筋。

本规程用词说明
1 为便于在执行本规程条文时区别对待,对于要求严格程度不同的用词说明如下:
1)表示很严格,非这样做不可的:
正面词采用“必须”,反面词采用“严禁”;
2)表示严格,在正常情况下均应这样做的:
正面词采用“应”,反面词采用“不应”或“不得”;
3)表示允许稍有选择,在条件许可时首先应这样做的:
正面词采用“宜”,反面词采用“不宜”;
4)表示有选择,在一定条件下可以这样做的,采用“可”。
2 条文中指明应按其他标准执行的写法为:“应符合……的规定”或“应按……执行”。
引用标准名录
1 《建筑地基基础设计规范》GB 50007
2 《建筑结构荷载规范》GB 50009
3 《混凝土结构设计规范》GB 50010
4 《建筑抗震设计规范》GB 50011
5 《钢结构设计规范》GB 50017
6 《工程测量规范》GB 50026
7 《锚杆喷射混凝土支护技术规范》GB 50086
8 《地下工程防水技术规范》GB 50108
9 《滑动模板工程技术规范》GB 50113
10 《混凝土外加剂应用技术规范》GB 50119
11 《粉煤灰混凝土应用技术现范》GB 50146
12 《混凝土质量控制标准》GB 50164
13 《建筑地基基础工程施工质量验收规范》GB 50202
14 《混凝土结构工程施工质量验收规范》GB 50204
15 《钢结构工程施工质量验收规范》GB 50205
16 《组合钢模板技术规范》GB 50214
17 《建筑工程抗震设防分类标准》GB 50223
18 《大体积混凝土施工规范》GB 50496
19 《建筑基坑工程监测技术规范》GB 50497
20 《塔式起重机安全规程》GB 5144
21 《起重机械安全规程》GB 6067
22 《施工升降机安全规程》GB 10055
23 《塔式起重机》GB/T 5031
24 《施工升降机标准》GB/T 10054
25 《混凝土泵》GB/T 13333
26 《预应力筋用锚具、夹具和连接器》GB/T 14370
27 《预拌混凝土》GB/T 14902
28 《混凝土强度检验评定标准》GB/T 50107
29 《高层建筑箱形与筏形基础技术规范》JGJ 6
30 《建筑变形测量规程》JGJ 8
31 《钢筋焊接及验收规程》JGJ 18
32 《钢筋焊接接头试验方法》JGJ 27
33 《建筑机械使用安全技术规程》JGJ 33
34 《施工现场临时用电安全技术规范》JGJ 46
35 《建筑施工安全检查标准》JGJ 59
36 《液压滑动模板施工安全技术规程》JGJ 65
37 《建筑施工高处作业安全技术规范》JGJ 80
38 《无粘结预应力混凝土结构技术规程》JGJ 92
39 《建筑桩基技术规范》JGJ 94
40 《冷轧带肋钢筋混凝土结构技术规程》JGJ 95
41 《钢框胶合板模板技术规程》JGJ 96
42 《高层民用建筑钢结构技术规程》JGJ 99
43 《玻璃幕墙工程技术规范》JGJ 102
44 《建筑工程冬期施工规程》JGJ 104
45 《钢筋机械连接技术规程》JGJ 107
46 《钢筋焊接网混凝土结构技术规程》JGJ 114
47 《建筑基坑支护技术规程》JGJ 120
48 《建筑施工门式钢管脚手架安全技术规范》JGJ 128
49 《建筑施工扣件式钢管脚手架安全技术规范》JGJ 130
50 《金属与石材幕墙工程技术规范》JGJ 133
51 《型钢混凝土组合结构技术规程》JGJ 138
52 《施工现场机械设备检查技术规程》JGJ 160
53 《建筑施工模板安全技术规范》JGJ 162
54 《建筑施工碗扣式钢管脚手架安全技术规范》JGJ 166
55 《清水混凝土应用技术规程》JGJ 169
56 《建筑施工土石方工程安全技术规范》JGJ 180
57 《混凝土泵送施工技术规程》JGJ/T 10
58 《钢绞线、钢丝束无粘结预应力筋》JG 3006
