Appearance
《预应力混凝土结构抗震设计标准[附条文说明]》JGJ/T 140-2019
🗓️ 住房和城乡建设部 实施时间:2020-02-01
前言
中华人民共和国行业标准
预应力混凝土结构抗震设计标准
Standard for seismic design of prestressed concrete structures
JGJ/T 140-2019
备案号 J 301-2019
批准部门:中华人民共和国住房和城乡建设部
施行日期:2 0 2 0 年 2 月 1 日
中华人民共和国住房和城乡建设部公告
2019年 第164号
住房和城乡建设部关于发布行业标准《预应力混凝土结构抗震设计标准》的公告
现批准《预应力混凝土结构抗震设计标准》为行业标准,编号为JGJ/T 140-2019,自2020年2月1日起实施。原《预应力混凝土结构抗震设计规程》JGJ 140-2004同时废止。
本标准在住房和城乡建设部门户网站(www.mohurd.gov.cn)公开,并由住房和城乡建设部标准定额研究所组织中国建筑工业出版社出版发行。
中华人民共和国住房和城乡建设部
2019年6月18日
前言
根据住房和城乡建设部《关于印发<2015年工程建设标准规范制订、修订计划>的通知》(建标[2014]189号)的要求,标准编制组经广泛调查研究,认真总结工程实践经验,参考有关国际标准和国外先进标准,并在广泛征求意见的基础上,修订了本标准。
本标准的主要技术内容是:1.总则;2.术语和符号;3.基本规定;4.现浇预应力混凝土框架和门架;5.预应力混凝土板柱结构;6.预应力装配式混凝土框架结构。
本标准修订的主要技术内容是:1.调整了建筑结构地震影响系数曲线;2.补充了结构等效阻尼比的取值方法;3.增加了板柱结构、板柱-支撑结构的设计规定;4.增加了预应力装配式混凝土框架结构的设计规定;5.调整了预应力强度比的有关规定;6.增加了无粘结预应力纤维增强复合材料筋的有关规定。
本标准由住房和城乡建设部负责管理,由中国建筑科学研究院有限公司负责具体技术内容的解释。执行过程中如有意见或建议,请寄送中国建筑科学研究院有限公司(地址:北京市北三环东路30号;邮编:100013)。
本标准主编单位: 中国建筑科学研究院有限公司
云南建投第三建设有限公司
本标准参编单位: 北京市建筑设计研究院有限公司
同济大学
合肥工业大学
建研科技股份有限公司
住房和城乡建设部标准定额研究所
北京银泰建构预应力技术股份有限公司
上海建科结构新技术工程有限公司
上海市建筑科学研究院(集团)有限公司
大连理工大学
深圳市国腾工程顾问有限公司
中国建筑设计研究院有限公司
中国中元国际工程有限公司
中国电子工程设计院有限公司
华北理工大学
东南大学
中南建筑设计院股份有限公司
天津大学
本标准主要起草人员: 徐福泉 王长录 代伟明 束伟农 薛伟辰 李东彬 姚涛 柳炳康 贾金青 罗斌 王凯 谢剑 刘英利 尤天直 翟传明 翟新民 张德锋 王霓 许曙东 孟少平 饶国祥 杨少真
本标准主要审查人员: 郑文忠 钱稼茹 邱韶光 赵君黎 于敬海 邹宏 李晨光 曾滨 郭海山 马林 朱万旭
条文说明
中华人民共和国行业标准
预应力混凝土结构抗震设计标准
JGJ/T140-2019
条文说明
编制说明 《预应力混凝土结构抗震设计标准》JGJ/T140-2019,经住房和城乡建设部2019年6月18日以第164号公告批准、发布。 本标准是在《预应力混凝土结构抗震设计规程》JGJ140-2004的基础上修订而成的,上一版的主编单位是中国建筑科学研究院,参编单位有:东南大学、中元国际工程设计研究院(原机械工业部设计研究院)、北京市建筑设计研究院和浙江泛华设计院;标准的主要起草人是陶学康、吕志涛、张维斌、胡庆昌、韦承基、陈远椿、徐福泉、黄茂智和王霓。 本标准修订过程中,编制组调查了预应力混凝土结构在抗震领域的应用现状,总结了我国预应力混凝土结构抗震工程应用的实践经验,同时参考了美国规范ACI318等国外先进技术法规、技术标准,并通过高强钢筋高强混凝土预应力结构的抗震性能试验、无粘结预应力全装配混凝土框架结构的抗震性能试验等取得了一系列重要技术参数。 为便于广大设计、施工、科研、学校等单位有关人员在使用本标准时能正确理解和执行条文规定,《预应力混凝土结构抗震设计标准》编制组按章、节、条顺序编制了本标准的条文说明,对条文规定的目的、依据以及执行中需注意的有关事项进行了说明。但是,本条文说明不具备与标准正文同等的法律效力,仅供使用者作为理解和把握标准规定的参考。
1 总则
1 总则
1.0.1 为贯彻执行国家有关建筑工程、防震减灾的法律法规,实行以预防为主的方针,使预应力混凝土结构经抗震设防后减轻地震破坏,避免人员伤亡,减少经济损失,制定本标准。
条文说明
1.0.1 本条是制定本标准的目的、指导思想和条件。制定本标准的目的,是为了减轻预应力混凝土结构的地震破坏程度,保障人员安全和生产安全。以获得更好的经济效益和社会效益。鉴于预应力混凝土结构的抗震设计问题,研究的起步比一般钢筋混凝土结构研究的起步晚,震害经验较少,技术难度也较大;本标准的科学依据只是现有的震害防治经验、研究成果和设计经验,随着预应力混凝土抗震科学水平的不断提高,本标准的内容将会得到完善和提高。
1.0.2 本标准适用于抗震设防烈度为6度至8度地区的预应力混凝土结构的抗震设计。
条文说明
1.0.2本条规定后张预应力混凝土结构适用的抗震设防烈度范围为6度、7度、8度地区。抗震设防烈度为9度的地区,地震反应强烈,需进一步积累工程经验,在设计中需针对不同的后张预应力混凝土结构类型,对其抗震性能及措施进行必要的试验或分析,并经过有关单位组织审查认可,在有充分依据并采取可靠的抗震措施后,也可以采用预应力混凝土结构。
1.0.3 预应力混凝土结构的抗震设计,除应符合本标准外,尚应符合国家现行有关标准的规定。
条文说明
1.0.3凡我国现行标准中已有明确条文规定的,本标准原则上不再重复。因此,预应力混凝土结构在设计中除应符合本标准的规定外,尚应符合国家现行标准《混凝土结构设计规范》GB50010、《建筑抗震设计规范》GB50011、《高层建筑混凝土结构技术规程》JGJ3等的规定。
2 术语和符号
2.1 术语
2 术语和符号
2.1 术语
2.1.1 预应力混凝土结构 prestressed concrete structure
配置受力的预应力筋,通过张拉或其他方法建立预加应力的混凝土结构。
2.1.2 有粘结预应力混凝土结构 post-tensioned bonded prestressed concrete structure
在混凝土达到规定的强度后,通过张拉预应力筋并锚固而建立预加应力,且在管道内灌浆实现粘结的混凝土结构,如预应力混凝土框架、门架等。
2.1.3 无粘结预应力混凝土结构 post-tensioned unbonded prestressed concrete structure
配置带有防腐润滑涂层和外包护套的无粘结预应力筋而与混凝土相互不粘结的预应力混凝土结构。
2.1.4 阻尼比 damping ratio
实际阻尼与临界阻尼的比值。
2.1.5 轴压比 ratio of axial compressive force to axial compressive ultimate capacity of section
混凝土竖向构件轴向压力与其规定的轴向承载力的比值。对预应力混凝土柱,取预应力作用参与组合的轴向压力值。
2.1.6 板柱结构 slab-column structure
由水平构件为板和竖向构件为柱所组成的结构体系,楼板可采用平板、空心板或密肋板,板柱节点可设置柱帽或托板。
2.1.7 板柱-支撑结构 slab-column-brace structure
由无梁楼板和柱组成的板柱框架与支撑组成的结构体系,支撑可采用普通钢支撑或屈曲约束支撑。
2.1.8 板柱-抗震墙结构 slab-column-wall structure
由无梁楼板和柱组成的板柱框架与抗震墙共同承受竖向和水平作用的结构体系。
2.1.9 板柱-框架结构 slab-column-frame structure
由无梁楼板和柱组成的板柱框架与有梁框架共同承受竖向和水平作用的结构体系。
2.1.10 预应力装配整体式混凝土框架结构 monolithic precast concrete frame structure assembled by prestressed prestressed tendons
预制混凝土梁柱构件通过预应力筋连接形成的装配整体式框架结构。
2.1.11 无粘结预应力全装配混凝土框架结构 precast concrete frame structure assembled by unbonded prestressed tendons with dry connections
预制混凝土梁柱构件通过无粘结预应力筋和耗能钢筋连接成整体的框架结构,其中预应力筋提供结构的变形恢复能力,耗能钢筋吸收和耗散地震能量。
2.1.12 耗能钢筋 energy-dissipating reinforcement
在无粘结预应力全装配混凝土框架结构中,通过屈服吸收和耗散地震能量并提供受弯承载力,同时满足抗震性能要求的钢筋。
2.2 符号
2.2 符号
2.2.1 材料性能
E p ——预应力筋的弹性模量;
E s ——钢筋的弹性模量;
f c ——混凝土轴心抗压强度设计值;
f ptk ——预应力筋极限强度标准值;
f py ——预应力筋抗拉强度设计值;
f stk ——钢筋极限强度标准值;
f y ——钢筋抗拉强度设计值;
f' y ——钢筋抗压强度设计值;
f yk ——钢筋屈服强度标准值;
f yv ——箍筋抗拉强度设计值;
σ p ——预应力筋的应力;
σ pe ——预应力筋的有效预应力;
σ s ——耗能钢筋的应力;
ε pu ——预应力筋应力达到0.95f ptk 时的应变。
2.2.2 作用和作用效应
F c ——结合面混凝土界面产生的压力;
N——轴向压力设计值;
N G ——在本层楼板重力荷载代表值作用下的柱轴向压力设计值;
N pe ——预应力筋的总有效预加力;
M——结合面处受弯承载力;
M p ——无粘结预应力筋在结合面处贡献的受弯承载力;
M pu ——无粘结预应力筋的极限受弯承载力;
M s ——耗能钢筋在结合面处贡献的受弯承载力;
M su —— 耗能钢筋的极限受弯承载力;
M u ——截面的极限受弯承载力;
R——结构构件承载力设计值;
S——作用组合的效应设计值;
V GK ——永久荷载标准值在结合面产生的剪力;
V j ——梁柱节点核心区组合的剪力设计值;
V QK ——可变荷载标准值在结合面产生的剪力;
V uE ——地震设计状况下接缝受剪承载力;
ΣM b ——节点左、右等代梁端截面顺时针或反时针方向组合的弯矩设计值之和;
ΣM bua ——节点左、右梁端截面反时针或顺时针方向实配的正截面抗震受弯承载力所对应的弯矩值之和;
∑M c ——节点上下柱端截面顺时针或反时针方向组合的弯矩设计值之和。
2.2.3 几何参数
A p ——预应力筋截面面积;
A s ——普通钢筋截面面积;
A sv —— 配置在同一箍筋间距内的横向钢筋全部截面面积;
A svj ——核心区有效验算宽度范围内同一截面验算方向箍筋的总截面面积;
a' s ——梁受压钢筋合力点至受压边缘的距离;
b d ——平托板或柱帽的有效宽度;
b j ——节点核心区的截面有效验算宽度;
b y 一一y向等代框架梁的计算宽度;
d b ——耗能钢筋直径;
H c ——柱的计算高度;
h b 一一梁的截面高度;
h j ——节点核心区的截面高度;
h s ——纵向受拉普通钢筋合力点至截面受压边缘的距离;
L u ——邻近结合面处,耗能钢筋无粘结长度;
L ups ——预应力筋的无粘结长度;
l ar 、l oy ——等代梁的计算跨度;
s——箍筋间距;
x——等效矩形应力图形的混凝土受压区高度;
△ s ——极限状态下耗能钢筋伸长值。
2.2.4 计算系数及其他
T——结构自振周期;
T g ——特征周期;
α——地震影响系数;
α b ——耗能钢筋应变渗透系数;
α max ——地震影响系数最大值;
β 1 ——中和轴高度调整系数;
β c ——混凝土强度影响系数;
γ 0 ——结构重要性系数;
γ RE ——承载力抗震调整系数;
λ Np ——预应力混凝土柱的轴压比;
η c ——柱端弯矩增大系数;
η j ——正交梁的约束影响系数;
μ——摩擦系数;
ψ——折减系数。
3 基本规定
3.1 一般规定
3 基本规定
3.1 一般规定
3.1.1 按本标准进行抗震设计的预应力混凝土结构,其房屋最大高度不应超过表3.1.1-1及表3.1.1-2所规定的限值。对平面和竖向均不规则的结构或跨度较大的结构,适用的最大高度宜适当降低;乙类建筑可按本地区抗震设防烈度确定适用的最大高度;超过表内高度的房屋,应进行专门研究和论证,并应采取有效的加强措施。
表3.1.1-1 现浇预应力混凝土房屋适用的最大高度(m)

注:1 房屋高度指室外地面到主要屋面板板顶的高度,不包括局部突出屋顶部分;
2 表中框架,不包括异形柱框架。
表3.1.1-2 装配式预应力混凝土房屋适用的最大高度(m)

条文说明
3.1.1对采用预应力混凝土建造的多层及高层建筑,从安全和经济等方面考虑,对其适用高度应有限制。由于高层建筑中主要在楼盖结构中采用预应力混凝土,故对建筑最大适用高度限值仍采用现行国家标准《建筑抗震设计规范》GB50011有关条款的规定。 表中的“框架”和“框架结构”有不同的含意,“框架结构”指纯框架结构,而“框架”则泛指框架结构和框架-抗震墙等结构体系中的框架。框架-抗震墙结构一般指在基本振型地震作用下,框架承受的地震倾覆力矩小于结构总地震倾覆力矩的50%,其框架部分的抗震等级可按框架-抗震墙结构的规定划分。 试验研究表明,板柱节点虽然耗能能力较弱,存在不利于抗震的弱点,但经良好设计的板柱节点具有良好的变形能力,因此本标准允许将板柱结构和板柱-框架结构用于抗震设防低烈度区的多层建筑,在高层建筑中采用板柱时,应采用板柱-抗震墙结构或板柱-支撑结构,支撑对板柱的刚度贡献虽较抗震墙小,但支撑的变形性能优于抗震墙,能够更好地与板柱共同工作,因此板柱-支撑结构的适用高度参考板柱-抗震墙结构适用高度取值并略作降低。对框架-核心筒结构,按照现行行业标准《高层建筑混凝土结构技术规程》JGJ3的规定,在该结构的周边柱间必须设置框架梁,故在这种结构体系中,带有一部分仅承受竖向荷载的板柱时,不作为板柱-抗震墙结构。 预应力装配整体式混凝土框架结构的最大适用高度参照现行行业标准《装配式混凝土结构技术规程》JGJ1的规定。 根据国内外研究成果,无粘结预应力全装配混凝土框架结构,当采用可靠的节点连接方式和合理的构造措施后,其抗震性能与装配整体式框架相当。美国旧金山的Paramount公寓采用自复位混凝土框架结构,共39层,高128m,该房屋成为目前世界上最高的无粘结预应力全装配混凝土框架结构。新西兰首都惠灵顿维多利亚大学的AlanMacDiarmidBuilding采用了无粘结预应力全装配混凝土框架结构,有效地提高了结构的抗震性能。考虑到这种结构体系首次引入我国,工程经验相对欠缺,在规定其最大适用高度时,参考板柱结构的最大适用高度进行规定。 当预应力混凝土结构的房屋高度超过最大适用高度或在抗震设防烈度为9度地区采用预应力混凝土结构时,应进行专门研究和论证,采取有效的加强措施。
3.1.2 预应力混凝土结构应根据设防类别、烈度、结构类型和房屋高度按下列规定采用不同的抗震等级,并应符合相应的计算和构造措施要求:
1 丙类建筑的抗震等级应按表3.1.2-1和表3.1.2-2确定;
2 甲、乙、丁类的建筑,应按现行国家标准《建筑工程抗震设防分类标准》GB 50223的规定确定抗震设防标准,并应按本标准表3.1.2-1和表3.1.2-2确定抗震等级;
3 接近或等于高度分界时,应结合房屋不规则程度及场地、地基条件确定抗震等级;
4 高度不超过60m的框架-核心筒结构按框架-抗震墙的要求设计时,应按本标准表3.1.2-1中框架-抗震墙结构的规定确定其抗震等级;
5 抗震墙等非预应力构件的抗震等级应按现行国家标准《建筑抗震设计规范》GB 50011中钢筋混凝土结构的规定执行。
表3.1.2-1 现浇预应力混凝土结构构件的抗震等级


注:大跨度框架指跨度不小于18m的框架。
表3.1.2-2 预应力装配式混凝土结构构件的抗震等级

条文说明
3.1.2不同类型的建筑,应根据其使用功能及灾后影响,先依据现行国家标准《建筑工程抗震设防分类标准》GB50223确定设防类别及设防标准,再确定其抗震设防等级及需采用的抗震构造措施。 抗震等级是重要的设计参数,应根据设防类别、结构类型、烈度和房屋高度四个因素确定。抗震等级的划分,体现了对不同抗震设防类别、不同结构类型、不同烈度、同一烈度但不同高度的钢筋混凝土房屋结构延性要求的不同,以及同一种构件在不同结构类型中的延性要求的不同。本标准条文中,“*级框架”包括框架结构、框架-抗震墙结构、框架-核心筒结构、板柱-抗震墙结构中的框架。“*级框架结构”仅指框架结构的框架。“*级抗震墙”包括抗震墙结构、框架-抗震墙结构、筒体结构和板柱-抗震墙结构中的抗震墙。 关于框架和抗震墙组成的结构的抗震等级,设计中有三种情况:其一,个别或少量框架,此时结构属于抗震墙体系的范畴,其抗震墙的抗震等级仍按抗震墙结构确定;框架的抗震等级可参照框架-抗震墙结构的框架确定。其二,当框架-抗震墙结构有足够的抗震墙时,其框架部分是次要抗侧力构件,按本标准表3.1.2框架-抗震墙结构确定抗震等级。其三,当抗震墙很少时,即国家标准《建筑抗震设计规范》GB50011-2010规定“底层框架部分所承担的地震倾覆力矩大于结构总地震倾覆力矩的50%”,其框架部分的抗震等级应按框架结构确定。 在框架结构中设置少量抗震墙,往往是为了增大框架结构的刚度、满足层间位移角限值的要求,仍然属于框架结构范畴。
3.1.3 建筑场地为Ⅰ类时,对甲、乙类的建筑应允许按本地区抗震设防烈度的要求采取抗震构造措施;对丙类的建筑应允许按本地区抗震设防烈度降低一度的要求采取抗震构造措施,但抗震设防烈度为6度时应按本地区抗震设防烈度的要求采取抗震构造措施。在设计基本地震加速度为0.15g和0.30g的地区,当建筑场地为Ⅲ类、Ⅳ类时,宜分别按8度(0.20g)和9度(0.40g)时各类建筑的要求采取抗震构造措施。
条文说明
3.1.3抗震构造措施是指根据抗震概念设计原则,一般不需计算而对结构和非结构各部分必须采取的各种细部要求;而抗震措施是指除地震作用计算和抗力计算以外的抗震设计内容,抗震措施包括抗震计算时的内力调整措施和各种抗震构造措施。 历次大地震的经验表明,同样或相近的建筑,建造于Ⅰ类场地时震害较轻,建造于Ⅲ类、Ⅳ类场地震害较重。本标准对Ⅰ类场地,仅降低抗震构造措施,不降低抗震措施中的其他要求,如按概念设计要求的内力调整措施。对于丁类建筑,其抗震措施已降低,不再重复降低。
3.1.4 抗震等级为一级的框架、承重结构的受拉杆件及转换层大梁不应采用无粘结预应力筋;分散配置预应力筋的板类构件宜采用无粘结预应力筋;楼盖的次梁可采用无粘结预应力筋。后张预应力现浇框架、门架宜采用有粘结预应力筋,采用无粘结预应力筋时,应符合下列规定:
1 锚具应采取可靠防松措施;
2 采用无粘结预应力钢筋时,应符合本标准第3.1.5条的规定。
3.1.5 在地震作用效应和重力苘载效应组合下,当符合下列三款之一时,无粘结预应力钢筋可在抗震等级为二级、三级、四级框架梁中应用;当符合第1款或第2款时,无粘结预应力钢筋可在悬臂梁中应用。
1 框架梁端部截面及悬臂梁根部截面由非预应力钢筋承担的弯矩设计值,不应小于组合弯矩设计值的50%;
2 预应力筋仅用于满足构件的挠度和裂缝要求;
3 设有抗震墙或筒体,且在规定的水平地震作用下,底层框架承担的地震倾覆力矩应小于总地震倾覆力矩的50%。
条文说明
3.1.4、3.1.5国内外大量工程实践表明,无粘结预应力筋适用于采用分散配筋的板类结构及楼盖的次梁,不得用于屋架下弦拉杆等主要受拉的承重构件。 由于无粘结预应力筋的应力沿预应力筋全长几乎保持等同,这样预应力钢材的非弹性性能亦即构件的能量消散不能得到充分发挥。当发生大的非弹性变形时,可能导致仅产生几条宽裂缝,从而降低构件的延性性能。当采用非预应力钢筋为主的混合配筋时,可消除上述疑虑。国内外大量试验证明,配置一定数量的非预应力钢筋时,无粘结预应力框架的抗震性能较好,非预应力钢筋承担的弯矩设计值不小于65%时,其抗震性能几乎等同于钢筋混凝土框架。对于无粘结预应力筋在地震区应用的条款是参考了上述理论及试验研究,以及国外相关预应力混凝土设计规定而制定的。 框架梁采用无粘结预应力筋时,除了满足本条的规定,还应满足本标准第四章第4.2.2条~第4.2.4条的设计要求。 在抗震构件中,无粘结预应力筋采用夹片式锚具时,可能出现锚具夹片脱落现象,造成锚固失效,因此应采取可靠防松措施,通常在锚具上设置防松装置或对锚具进行可靠封闭。
3.1.6 框架柱中配置预应力筋时,对抗震等级为一级的框架柱,应采用有粘结预应力筋;对抗震等级为二级、三级的框架柱,宜采用有粘结预应力筋。
条文说明
3.1.6在框架结构中,需配置预应力筋的柱多为大偏心受压柱,柱截面拉应力较大,对于柱中预应力筋类型的选择作出规定。
3.1.7 预应力混凝土结构应进行多遇地震作用下的抗震变形验算,楼层内弹性层间位移角限值宜符合表3.1.7的规定。
表3.1.7 弹性层间位移角限值


条文说明
3.1.7根据现行国家标准《建筑抗震设计规范》GB50011所提出的抗震设防三个水准的要求。采用二阶段设计方法来实现,即:在多遇地震作用下,建筑主体结构不受损坏,非结构构件(包括围护墙、隔墙、幕墙、内外装修等)没有过重破坏并导致人员伤亡,保证建筑的正常使用功能;在罕遇地震作用下,建筑主体结构遭受破坏或严重破坏但不倒塌。根据各国规范的规定、震害经验和实验研究结果及工程实例分析,采用层间位移角作为衡量结构变形能力从而判别是否满足建筑功能要求的指标是合理的。 本标准对结构楼层内最大弹性层间位移角的规定是参考国家现行标准《建筑抗震设计规范》GB50011、《混凝土升板结构技术标准》GB/T50130和《装配式混凝土结构技术规程》JGJ1等的基础上给出的。
3.1.8 预应力混凝土结构应按现行国家标准《建筑抗震设计规范》GB 50011和本标准的规定进行罕遇地震作用下结构薄弱层或薄弱部位的弹塑性变形验算,结构薄弱层或薄弱部位弹塑性层间位移角限值宜符合表3.1.8的规定。
表3.1.8 弹塑性层间位移角限值

条文说明
3.1.8在罕遇地震作用下,结构要进入弹塑性变形状态。根据震害经验、试验研究和计算分析结果,提出以构件(梁、柱、墙)和节点达到极限变形时的层间极限位移角作为罕遇地震作用下结构弹塑性层间位移角限值的依据。 国内外许多研究结果表明,不同结构类型的不同结构构件的弹塑性变形能力是不同的,层间位移是楼层梁、柱、节点弹塑性变形的综合结果,影响结构层间极限位移角的因素很多,包括:梁柱的相对强弱关系,配箍率、轴压比、剪跨比、混凝土强度等级、配筋率等,其中轴压比和配箍率是最主要的因素。 美国对36个梁-柱组合试件试验结果表明,极限位移角的分布为1/27~1/8,我国学者对数十榀填充墙框架的试验结果表明,不开洞填充墙和开洞填充墙框架的极限位移角平均分别为1/30和1/38。本条规定框架和板柱-框架的位移角限值为1/50是留有安全储备的。 日本对176个带边框柱抗震墙的试验研究表明,抗震墙的极限位移角的分布为1/333~1/125,国内对11个带边框低矮抗震墙试验所得到的极限位移角分布为1/192~1/112。在上述试验研究结果的基础上,取1/120作为抗震墙和筒中筒结构的弹塑性层间位移角限值。考虑到框架-抗震墙结构、板柱-抗震墙和框架-核心筒结构中大部分水平地震作用由抗震墙承担,弹塑性层间位移角限值可比框架结构的框架柱严,但比抗震墙和筒中筒结构要松,故取1/100。对于板柱-支撑结构,则根据支撑类型的不同,分别参考对框架结构和框架-抗震墙结构弹塑性变形的要求,给出其楼层最大弹塑性层间位移角限值。 鉴于甲类建筑在抗震安全性上的特殊要求,其层间变位角限值应专门研究确定。
3.1.9 在框架-抗震墙结构、抗震墙结构及框架-核心筒结构中采用的预应力混凝土平板应符合下列规定:
1 柱支承预应力混凝土平板的厚度不宜小于跨度的1/45,周边支承预应力混凝土板厚度不宜小于跨度的1/50,且其厚度分别不应小于200mm及150mm;
2 在核心筒四个角部,应设置扁梁或暗梁与外柱相连接,其余外框架柱处宜设置暗梁与内筒相连接;
3 在预应力混凝土平板凹凸不规则处及开洞处,应设置钢筋混凝土暗梁或边梁;
4 柱支承预应力混凝土平板的板端截面按下式计算的预应力强度比λ不宜大于0.80。

式中:f py ——预应力筋抗拉强度设计值(N/mm 2 );对无粘结预应力混凝土平板,应取无粘结预应力筋的应力设计值,无粘结预应力筋的应力设计值应按现行行业标准《无粘结预应力混凝土结构技术规程》JGJ 92的规定计算;
A p ——预应力筋截面面积(mm 2 );
h p ——纵向受拉预应力筋合力点至截面受压边缘的距离(mm);
f y ——普通钢筋抗拉强度设计值(N/mm 2 );
A s ——普通钢筋截面面积(mm 2 );
h s ——纵向受拉普通钢筋合力点至截面受压边缘的距离(mm)。
条文说明
3.1.9根据国内外的工程设计经验,对高层建筑常用结构类型楼盖中采用预应力混凝土平板的抗震设计,从确保其传递剪力的横隔板作用等抗震性能方面作出了规定。当楼盖中配置构造预应力筋时,板厚不受此限制。
3.1.10 对多跨无粘结预应力混凝土结构,宜将无粘结预应力筋分段锚固,或增设中间锚固点,非预应力钢筋最小截面面积尚应符合现行行业标准《无粘结预应力混凝土结构技术规程》JGJ 92的有关规定。
条文说明
3.1.10在强烈地震产生的荷载作用下,若使无粘结预应力混凝土连续板或梁某一跨破坏,可能引起多跨结构中其他各跨连续破坏。为避免发生这种连续破坏现象,根据国内外规范及工程经验作出本条设计规定。
3.1.11 后张预应力筋的锚具不宜设置在梁柱节点核心区,且不宜设置在梁端箍筋加密区。当锚具设置在节点核心区时,应考虑锚具对受剪截面产生削弱的不利影响。
条文说明
3.1.11将锚具布置在梁柱节点核心区域以外,可避免该区域在剪力作用所产生较大对角拉应力的情况下,再承受锚具引起的劈裂应力。在外节点,锚具宜设置在节点核心区之外的伸出凸端上。仅当有试验依据或其他可靠的工程经验时,才可将锚具设置在节点区,此时,应在保持箍筋总量的前提下,处理好箍筋的布置问题。
3.1.12 采用无粘结预应力纤维增强复合材料筋时,其材料性能、预应力损失、承载能力极限状态计算和正常使用极限状态验算等应符合国家现行标准《无粘结预应力混凝土结构技术规程》JGJ 92和《纤维增强复合材料建设工程应用技术规范》GB 50608的相关规定。
条文说明
3.1.12无粘结预应力纤维增强复合材料筋的耐久性能很好,对处于腐蚀性环境中的建筑结构需采用预应力技术时,有其优越性。国家有关现行标准对其设计有详细规定,在有抗震设防要求的建筑结构中采用无粘结预应力纤维增强复合材料筋时,应符合本标准对无粘结预应力混凝土结构抗震设计的有关规定。
3.1.13 采用缓粘结预应力筋时,其材料性能、预应力损失、承载能力极限状态计算和正常使用极限状态验算等应符合现行行业标准《缓粘结预应力混凝土结构技术规程》JGJ 387的相关规定。
条文说明
3.1.13缓粘结预应力筋是一种新型的预应力筋材料,经多年的试验研究,已形成一整套系统的设计方法,集中反映在现行行业标准《缓粘结预应力混凝土结构技术规程》JGJ387中。在结构中采用缓粘结预应力筋时,其材料性能、预应力损失、承载能力极限状态计算和正常使用极限状态验算等应符合现行行业标准《缓粘结预应力混凝土结构技术规程》JGJ387的相关规定;对其抗震设计的要求,应符合本标准对有粘结预应力混凝土结构抗震设计的有关规定。
3.2 地震作用及结构抗震验算
3.2 地震作用及结构抗震验算
3.2.1 建筑结构的地震影响系数应根据设防烈度、场地类别、设计地震分组和结构自振周期以及阻尼比确定。水平地震影响系数最大值应按表3.2.1-1采用;特征周期应根据场地类别和设计地震分组按表3.2.1-2采用,计算罕遇地震作用时,特征周期应增加0.05s;周期大于6.0s的建筑结构所采用的地震影响系数应专门研究。
表3.2.1-1 水平地震影响系数最大值α max

表3.2.1-2 特征周期(s)

3.2.2 预应力混凝土结构部分的阻尼比可采用0.03;结构的等效阻尼比可按钢筋混凝土结构部分和预应力混凝土结构部分在整个结构总变形能所占的比例进行折算;对于框架结构,也可按表3.2.2-1的规定取值,其中ξ为预应力混凝土结构所承担竖向荷载的结构面积占总结构面积的比值,应按两个方向分别计算并取较大值;其他结构可按表3.2.2-2取值。
表3.2.2-1 框架结构的等效阻尼比

表3.2.2-2 其他结构的等效阻尼比

条文说明
3.2.2研究表明,预应力混凝土框架结构和板柱结构在弹性阶段阻尼比约为0.03;当出现裂缝后,在弹塑性阶段可取与钢筋混凝土相同的阻尼比0.05。预应力混凝土结构构件滞回曲线的环带宽度比钢筋混凝土构件的窄,能量消散能力较小,但其有较高的弹性性能,屈服后恢复能力较强,残余变形较小。 对于预应力混凝土框架结构,应根据现行国家标准《建筑抗震设计规范》GB50011,依据钢筋混凝土结构部分和预应力混凝土结构部分在整个结构总变形能所占的比例折算为等效阻尼比。根据实际工程试算总结,也可根据预应力混凝土结构所承担荷载的结构面积占总结构面积的比值ξ,采用表3.2.2-1中规定的等效阻尼比。计算ξ值时,对每个方向的预应力梁,均应取其左右两侧各1/2跨度计算其承担的荷载面积。 在框架-抗震墙、框架-核心筒、部分框支-抗震墙结构或板柱-抗震墙结构中,采用预应力混凝土平板或框架的情况,该建筑结构仍应按阻尼比取0.05进行抗震设计。 预应力装配整体式混凝土框架结构的等效阻尼比折算方法与预应力框架结构相同。
3.2.3 建筑结构地震影响系数曲线(图3.2.3)应根据阻尼比进行调整,形状参数应符合下列规定:
1 直线上升段,周期小于0.1s的区段。
2 水平段,自0.1s至特征周期区段,当阻尼比分别为0.03、0.04和0.05时,对应的地震影响系数α应分别取为1.156α max 、1.069α max 和1.0α max 。
3 曲线下降段,自特征周期至5倍特征周期区段,地震影响系数α应按下列公式计算。
1)当阻尼比为0.03时:

2)当阻尼比为0.04时:

3)当阻尼比为0.05时:

4 直线下降段,自5倍特征周期至6s区段,地震影响系数α应按下列公式计算。
1)当阻尼比为0.03时:

2)当阻尼比为0.04时:

- 当阻尼比为0.05时:

式中:α——地震影响系数;
α max ——地震影响系数最大值;
T g ——特征周期;
T——结构自振周期。

图3.2.3 地震影响系数曲线
1-直线上升段;2-水平段;3-曲线下降段;4-直线下降段
3.2.4 抗震设防烈度为8度时,大跨度和长悬臂结构应计算竖向地震作用,竖向地震作用标准值,可取其重力荷载代表值与竖向地震作用系数的乘积,竖向地震作用系数可按表3.2.4采用。高层建筑中的大跨度、长悬臂结构,7度(0.15g)、8度抗震设计时应计入竖向地震作用,竖向地震作用效应标准值宜采用时程分析方法或振型分解反应谱法进行计算,且竖向地震作用标准值不宜小于其承受的重力荷载代表值与表3.2.4所规定的竖向地震作用系数的乘积。
表3.2.4 竖向地震作用系数

条文说明
3.2.4大跨度和长悬臂结构通常指跨度大于24m屋架、悬挑长度大于2m的构件、跨度不小于18m的预应力混凝土梁和板柱结构中跨度大于9m的平板。表3.2.4给出了对多层建筑结构中需进行竖向地震作用计算时的地震作用系数取值;对高层建筑结构,竖向地震作用宜按时程分析方法或振型分解反应谱方法进行计算,同时其地震作用系数尚不应小于表3.2.4的规定。对跨度大于24m屋架,长悬臂和其他大跨度预应力混凝土结构,其竖向地震作用标准值主要采用了现行国家标准《建筑抗震设计规范》GB50011对大跨钢筋混凝土屋架的取值规定;对长悬臂和其他大跨度预应力混凝土结构,在场地类别为Ⅱ类以上的情况下,竖向地震作用系数提高约25%~30%。
3.2.5 采用时程分析法进行补充计算的预应力混凝土结构,弹性计算时阻尼比可按本标准第3.2.2条取值。
3.2.6 预应力混凝土结构构件在地震作用效应和其他荷载效应的基本组合下,进行截面抗震验算时,应计入预应力作用效应项。当预应力作用效应对结构不利时,预应力分项系数应取1.2;有利时应取1.0。
条文说明
3.2.6预应力混凝土结构构件的地震作用效应和其他荷载效应的基本组合主要按照现行国家标准《建筑抗震设计规范》GB50011的有关规定确定,并加入了预应力作用效应项,预应力作用效应包括预加力产生的次弯矩、次剪力、次轴力。当预应力作用效应对构件承载能力有利时,预应力分项系数应取1.0;不利时应取1.2,是参考国内外有关标准作出的规定。
3.2.7 各类预应力混凝土结构构件的承载力抗震调整系数γ RE ,除另有规定外,应按表3.2.7取用;当仅计算竖向地震作用时,γ RE 均应取为1.0。
表3.2.7 承载力抗震调整系数

条文说明
3.2.7预应力混凝土结构的承载力抗震调整系数仍采用现行国家标准《建筑抗震设计规范》GB50011有关对钢筋混凝土相同的规定。
3.2.8 框架节点核心区进行截面抗震验算时,可计入总有效预加力的影响;预应力筋穿过框架节点核心区时,应计入预应力孔道削弱核心区有效面积的影响。
条文说明
3.2.8由于预应力对节点的侧向约束作用,使节点混凝土处于双向受压状态,不仅可以提高节点的开裂荷载,也可以提高节点的受剪承载力。国内试验资料表明,在考虑反复荷载使有效预应力降低后,预应力作用对受剪承载力的贡献可取Vp=0.4Npe,式中Npe为作用在节点核心区预应力筋的总有效预加力。 预留孔道穿过节点,会对截面造成一定程度的削弱,进而影响节点的承载能力,特别是穿过节点的预留孔道总截面面积较大时,这种影响会更加明显。因此,在进行节点核心区抗震承载力验算时,应考虑这种削弱的影响。
3.2.9 预应力混凝土框架梁、柱的斜截面抗震受剪承载力计算应符合现行国家标准《混凝土结构设计规范》GB 50010的有关规定。
条文说明
3.2.9预应力混凝土框架梁、柱的受剪承载力,按国家标准《混凝土结构设计规范》GB50010-2010第11章有关条款进行计算时,其未计及预应力对提高构件受剪承载力的有利作用,即取预应力分项系数为0,是偏于安全的。
3.3 材料及锚具
3.3 材料及锚具
3.3.1 预应力混凝土框架构件的混凝土强度等级不宜低于C40,无粘结预应力全装配混凝土框架构件的混凝土强度等级不应低于C40,平板及其他构件的混凝土强度等级不应低于C30;抗震设防烈度为8度时,预应力混凝土结构构件的混凝土强度等级不宜超过C70。
条文说明
3.3.1预应力筋的强度很高,而且预应力混凝土结构构件承受一定的预压应力,故对混凝土强度等级提出一定的要求。参考国内外的应用经验,规定混凝土强度等级不应低于C30。对于梁、柱等构件,由于构件内平均预压应力和锚固区应力较高,出于技术和经济方面的考虑,一般采用C40或以上强度等级的混凝土;当需要控制混凝土的收缩变形或降低楼盖混凝土强度等级以方便施工时,也可采用强度等级低于C40的混凝土,但应对正常使用极限状态下构件的最大压应力和承载能力极限状态下锚固区混凝土的局部受压承载力进行验算。
3.3.2 预应力筋宜采用预应力钢绞线、预应力钢丝和预应力螺纹钢筋,也可采用无粘结预应力纤维增强复合材料筋。
条文说明
3.3.2在建筑工程中,应用最广泛的是预应力钢绞线。预应力钢绞线根据其与混凝土之间的粘结关系可分为无粘结预应力筋、有粘结预应力筋和缓粘结预应力筋。预应力钢丝和预应力螺纹钢筋在建筑工程中的应用越来越少,而无粘结预应力纤维增强复合材料筋因其良好的耐久性能,在位于恶劣环境的建筑结构中逐步得到推广。
3.3.3 非预应力纵向受力钢筋宜采用HRB400和HRB500钢筋;箍筋宜选用HRB400、HPB300和HRB500钢筋。
条文说明
3.3.3在预应力混凝土结构构件中,普通钢筋根据钢筋产品标准的修改,不再限制钢筋材料的化学成分和制作工艺,而按性能确定钢筋的牌号和强度级别,并以相应的符号表达。本次修订根据“四节-环保”的要求,提倡应用高强、高性能钢筋。根据混凝土构件对受力的性能要求,规定了各种牌号钢筋的选用原则。 1推广400MPa、500MPa级高强钢筋作为纵向受力的主导钢筋。 2箍筋用于抗剪、抗扭及抗冲切设计时,其抗拉强度设计值受到限制,不宜采用强度高于400MPa级的钢筋。当用作约束混凝土的间接钢筋(如连续螺旋配箍或封闭焊接箍)时,其高强度可以得到充分发挥,采用500MPa级钢筋具有一定的经济效益。 普通钢筋采用热轧钢筋,也有利于提高构件的延性,从抗裂的角度来说,普通钢筋采用变形钢筋比采用光面钢筋好,故宜采用变形钢筋。
3.3.4 抗震等级为一级、二级、三级的框架、斜撑构件、板柱的柱和暗梁,其非预应力纵向受力钢筋的抗震性能指标,应符合现行国家标准《建筑抗震设计规范》GB 50011的相关规定。
条文说明
3.3.4对一级、二级、三级抗震等级的框架,规定其普通纵向受力钢筋的抗拉强度实测值与屈服强度实测值的比值不应小于1.25,这是为了保证当构件某个部位出现塑性铰以后,塑性铰处有足够的转动能力与耗能能力;同时还规定了屈服强度实测值与标准值的比值,以实现强柱弱梁、强剪弱弯所规定的内力调整。根据现行国家标准《建筑抗震设计规范》GB50011的规定,要求框架梁、框架柱、框支梁、框支柱、板柱的柱和暗梁,以及伸臂桁架的斜撑、楼梯的梯段等纵向钢筋均应有足够的延性及钢筋伸长率的要求,是控制钢筋延性的重要性能指标。其取值依据国家标准《钢筋混凝土用钢第2部分:热轧带肋钢筋》GB/T1499.2-2018规定的钢筋抗震性能指标提出,凡钢筋产品标准中带E编号的钢筋,均属于符合抗震性能指标。
3.3.5 预应力筋-锚具组装件的锚固性能应符合下列规定:
1 预应力钢筋用锚具的静载锚固性能应符合现行国家标准《预应力筋用锚具、夹具和连接器》GB/T 14370的规定;无粘结预应力纤维增强复合材料筋用锚具的静载锚固性能应符合现行行业标准《无粘结预应力混凝土结构技术规程》JGJ 92的规定。
2 无粘结预应力筋-锚具组装件的抗震周期荷载试验,应符合下列规定:
1)当锚固的预应力筋为钢绞线、钢丝和无粘结预应力纤维增强复合材料筋时,试验应力上限应为预应力筋抗拉强度标准值的85%;当锚固的预应力筋为有明显屈服台阶的预应力钢材时,试验应力上限应为预应力钢材抗拉强度标准值的90%;下限均应为预应力筋抗拉强度标准值的40%;
2)试验时的加荷速度宜为100MPa/min~200MPa/min;
3)50次循环荷载后预应力筋在锚具夹持区域不得发生破断。
条文说明
3.3.5本条对需进行抗震设防结构中应用的预应力锚具的性能作出了具体规定。由于现行国家标准《预应力筋用锚具、夹具和连接器》GB/T14370中取消了锚具抗震周期性能要求。为保证无粘结预应力筋用锚具在遭受地震作用时的性能,本标准参考国家标准《预应力筋用锚具、夹具和连接器》GB/T14370历年版本和国外规范的有关规定,补充了无粘结预应力筋-锚具组装件的抗震周期荷载试验要求。
3.3.6 无粘结预应力全装配混凝土框架结构中,耗能钢筋宜采用HRB400和HRB500钢筋,其抗震性能指标应符合现行国家标准《建筑抗震设计规范》GB 50011的相关规定;预应力筋宜采用1860MPa级无粘结预应力钢绞线,其性能指标应符合现行行业标准《无粘结预应力钢绞线》JG/T 161的规定。
4 现浇预应力混凝土框架和门架
4.1 一般规定
4 现浇预应力混凝土框架和门架
4.1 一般规定
4.1.1 本章适用于现浇预应力混凝土框架结构、框架-抗震墙结构和框架-核心筒结构中的预应力混凝土框架以及预应力混凝土门架。
条文说明
4.1.1在我国,预应力混凝土框架、排架及门架等已得到较多应用,积累了丰富的工程经验,在这方面所做的研究工作也较多。预应力混凝土的其他结构形式,如巨型结构、带转换层结构等工程的应用和理论研究尚处于积累阶段,故本标准未包括这方面的内容。
4.1.2 预应力混凝土框架应具备良好变形能力和消耗地震能量能力,其组成构件应避免剪切破坏先于弯曲破坏,节点不应先于其连接构件破坏。
条文说明
4.1.2在大跨度预应力混凝土框架梁中,预应力筋的截面面积是由裂缝控制等级确定的,为了增加梁端截面延性,则需要采用混合配筋方式,配置一定数量的非预应力钢筋,这在某种程度上增加了梁的强度储备。国内外研究表明,在罕遇地震作用下,要求预应力混凝土框架梁端临界截面的屈服先于柱截面产生塑性铰,呈现梁铰侧移机制是难以实现的;若确保在边节点处的梁端出现铰、柱端不出现铰,呈现混合侧移机制时结构仍是稳定的,这将同时依靠梁铰和柱铰去耗散地震能量,其对柱端的截面延性亦有较高要求。
4.2 预应力混凝土框架梁
4.2 预应力混凝土框架梁
4.2.1 预应力混凝土框架梁的截面尺寸,宜符合下列规定:
1 截面宽度不宜小于250mm;
2 截面高宽比不宜大于4;
3 梁高宜在计算跨度的1/12~1/22内选取,净跨与截面高度之比不宜小于4。
条文说明
4.2.1预应力混凝土结构的跨度一般较大,若截面高宽比过大容易引起梁侧向失稳,故有必要对梁截面高宽比提出要求。关于梁高跨比的限制,采用梁高在(1/12~1/22)l0之间比较经济。
4.2.2 预应力混凝土框架梁端,计入纵向受压钢筋的混凝土受压区高度x应符合下列规定:
一级抗震等级:x≤0.25h 0 (4.2.2-1)
二级、三级抗震等级:x≤0.35h 0 (4.2.2-2)
纵向受拉钢筋按非预应力钢筋抗拉强度设计值换算的配筋率不宜大于2.5%,且不应大于2.75%;当梁端受拉钢筋的换算配筋率大于2.5%时,其受压钢筋的配筋截面面积不应小于受拉钢筋按抗拉强度设计值换算的配筋截面面积的一半。
条文说明
4.2.2在抗震设计中,为保证预应力混凝土框架的延性要求,梁端塑性铰应具有满意的塑性转动能力。国内外研究表明,对梁端塑性铰区域混凝土截面受压区高度和受拉钢筋配筋率加以限制是最重要的。本条是参考国外规范及国内的设计经验作出具体规定的。在计算截面配筋换算配筋率时,可计入钢筋和预应力筋位置的影响,截面配筋换算截面面积可按下式(1)进行计算。 
4.2.3 在预应力混凝土框架梁中,应采用预应力筋和非预应力钢筋混合配筋的方式,预应力筋宜穿过柱截面,框架梁端截面按本标准公式(3.1.9)计算的预应力强度比λ宜符合下列规定:
1 采用预应力钢筋时:
一级抗震等级:λ≤0.75 (4.2.3-1)
二级、三级、四级抗震等级:λ≤0.80 (4.2.3-2)
2 采用无粘结预应力纤维增强复合材料筋时:
二级、三级、四级抗震等级:λ≤0.50 (4.2.3-3)
条文说明
4.2.3采用预应力筋和非预应力普通钢筋混合配筋的部分预应力混凝土,有利于改善抗裂性能和提高能量耗散能力,可改善预应力混凝土结构的抗震性能。预应力强度比λ的表达式为: 
λ的选择需要全面考虑使用阶段和抗震性能两方面要求。从使用阶段看,λ大一些好;从抗震角度,λ不宜过大,这样可使弯矩-曲率滞回曲线的环带宽度、能量耗散能力,在屈服后卸载时的恢复能力和残余变形均介于预应力混凝土和钢筋混凝土构件的滞回曲线之间,同时具有两者的优点。参考编制组的试验研究成果,本标准要求当采用预应力钢筋时,对一级框架结构梁,λ不宜大于0.75,二、三、四级框架结构梁,λ不宜大于0.80;当采用预应力纤维增强复合材料筋时,对二、三、四级框架结构梁,λ不宜大于0.50。 在预应力强度比λ限值下,设计裂缝控制等级宜尽量采用允许出现裂缝的三级,而不是采用较严的裂缝控制等级。此外,宜将框架边跨梁端预应力筋的位置,尽可能整体下移,使梁端截面负弯矩承载力不至于超强过多,并可使梁端预应力偏心引起的弯矩尽可能小,从而使框架梁内预应力筋在柱中引起的次弯矩较小。按上述考虑设计的预应力混凝土框架梁具有良好的抗震耗能及延性性能。
4.2.4 预应力混凝土框架梁端截面的底面纵向非预应力钢筋截面面积A' s ,除按计算确定外,尚应符合下列规定:
一级抗震等级 
二级、三级抗震等级 
梁端截面底面纵向非预应力钢筋配筋率尚不应小于0.25%。
条文说明
4.2.4控制梁端截面的底面配筋截面面积A's和顶面配筋截面面积As的比值A's/As,有利于满足梁端塑性铰区的延性要求,本标准对预应力混凝土框架梁端截面A's/As面积比的具体限值的规定,是参考国内外的试验研究及钢筋混凝土框架梁的有关规定,经综合分析确定的。同时考虑到预应力作用通常在梁端截面产生正弯矩,与地震反复荷载作用效应叠加后,底部钢筋可能承受较大的拉力,因此对梁端截面的底面纵向非预应力钢筋的配筋率作出相应的规定。
4.2.5 与板整体浇筑的T形和L形预应力混凝土框架梁,当考虑板中的部分钢筋对抵抗弯矩的有利作用时,宜符合下列规定:
1 在内柱处,当横向有宽度与柱宽相近的框架梁时,宜取从柱两侧各延伸4倍板厚范围内板内钢筋;
2 在内柱处,当无横向框架梁时,宜取从柱两侧各延伸2.5倍板厚范围内板内钢筋;
3 在外柱处,当横向有宽度与柱宽相近的框架梁,而所考虑的梁中钢筋锚固在柱内时,宜取从柱两侧各延伸2倍板厚范围内板内钢筋;
4 在外柱处,当无横梁时,宜取柱宽范围内的板内钢筋;
5 在所有情况下,在考虑板中部分钢筋参加工作的梁中,受弯承载力所需的纵向钢筋至少应有75%穿过柱或锚固于柱内;当纵向钢筋由重力荷载效应组合控制时,可仅考虑地震作用组合所需纵向钢筋的75%穿过柱子或锚固于柱内。
条文说明
4.2.5 分析研究和实测表明,T形截面受弯构件当翼缘位于受拉区时,参加工作的翼缘宽度较受压翼缘宽度小一些,为了确保翼缘内纵向钢筋对框架梁端受弯承载力作出贡献,故作出不少于翼缘内部纵筋的75%应通过柱或锚固于柱内的规定。本条是借鉴新西兰《混凝土结构设计实用规范》NZS 3101作出的规定。
4.2.6 对预应力混凝土框架梁的梁端加腋处,其箍筋配置应符合下列规定:
1 当加腋长度L h ≤0.8h时,箍筋加密区长度应取加腋区及加腋区外梁高h的1.5倍;
2 当加腋长度L h >0.8h时,箍筋加密区长度应取1.5倍梁端部高度,且不应小于加腋长度L h ;
3 箍筋加密区的箍筋间距不应大于100mm,箍筋直径不应小于10mm,箍筋肢距不宜大于200mm和20倍箍筋直径中的较大值。
条文说明
4.2.6预应力混凝土框架梁端箍筋的加密区长度、箍筋最大间距和箍筋最小直径等构造要求应符合现行国家标准《建筑抗震设计规范》GB50011有关条款的要求。本条对预应力混凝土大梁加腋区端部可能出现塑性铰的区域,规定采用较密的箍筋,以改善受弯延性。
4.2.7 现浇预应力混凝土框架扁梁的跨高比l 0 /L h 不宜大于25,梁截面高度宜大于板厚度的2倍,其截面尺寸除应满足现行有关标准对挠度和裂缝宽度的要求外,尚应符合下列规定:

式中:b c ——柱截面宽度(mm);
b b 、h b ——梁截面宽度和高度(mm);
d——柱纵筋直径(mm)。
条文说明
4.2.7对扁梁截面尺寸的要求是根据国内外有关标准和资料提出的。跨高比过大,则扁梁体系太柔对抗震不利,研究表明该限值取25比较合适。
4.2.8 采用梁宽大于柱宽的预应力混凝土扁梁时,应符合下列规定:
1 扁梁不宜用于一级框架结构;扁梁中线宜与柱中线重合,且应双向布置,采用扁梁的楼、屋盖应现浇。
2 梁柱节点应符合下列规定:
1)扁梁框架的梁柱节点核心区应根据梁纵筋在柱宽范围内、外的截面面积比例,对柱宽以内和柱宽以外的范围分别验算受剪承载力;
2)按本标准公式(4.3.8-1)验算核心区剪力限值时,核心区有效宽度可取梁宽与柱宽的平均值;
3)四边有梁的约束影响系数,验算柱宽范围内核心区的受剪承载力时可取1.5,验算柱宽范围外核心区的受剪承载力时宜取1.0;
4)按本标准第4.3.8条验算核心区受剪承载力时,在柱宽范围内的核心,轴向力的取值可与一般梁柱节点轴向力的取值相同;柱宽以外的核心区,可不考虑轴向力对受剪承载力的有利作用。
3 预应力混凝土扁梁配筋构造要求:
1)扁梁端箍筋加密区长度,应取自柱边算起至梁边以外b b +h b 范围内长度和自梁边算起l aE 中的较大值;加密区的箍筋最大间距和最小直径及箍筋肢距应符合现行国家标准《建筑抗震设计规范》GB 50011的有关规定。
2)柱内节点核心区配箍量及构造要求宜与普通框架的要求相同;扁梁中柱节点柱外核心区可配置附加水平箍筋及拉筋,当核心区受剪承载力不能满足计算要求时,可配置附加腰筋;对于扁梁边柱节点核心区,也可配置附加腰筋。
3)当中柱节点和边柱节点在扁梁交角处的板面顶层纵向钢筋和横向钢筋间距较大时,应在板角处布置附加构造钢筋网片,其伸入板内的长度,不宜小于板短跨方向计算跨度的1/4,并应按受拉钢筋锚固在扁梁内。
4)预应力筋宜布置在柱宽范围内。
5)锚入柱内的梁上部普通钢筋宜大于其全部截面面积的60%。
条文说明
4.2.8为避免或减小扭转的不利影响,对扁梁的结构布置和采用整体现浇楼盖的要求,以及梁柱节点核心区受剪承载力的验算等,原则上与现行国家标准《建筑抗震设计规范》GB50011对钢筋混凝土扁梁的要求相一致,但采用预应力筋有利于节点抗剪,可按本标准提供的公式进行节点受剪承载力计算。 对于扁梁框架节点核心区受剪承载力验算,应按柱宽范围内和柱宽范围外分别计算。本条参照现行国家标准《建筑抗震设计规范》GB50011给出了具体的计算规定。 预应力混凝土扁梁框架梁柱节点的配筋构造要求、扁梁箍筋加密区长度满足抗扭钢筋延伸长度的规定等,是根据原机械工业部设计研究院所做试验研究及工程经验作出规定的。为了防止在混凝土收缩及温度作用下,在扁梁交角处板面出现裂缝,当板面顶层钢筋网间距不小于200mm时,需配置不少于ф8@100的附加构造钢筋网片。
4.2.9 扁梁框架的边梁不宜采用宽度b b 大于柱截面高度h c 的预应力混凝土扁梁。当与框架边梁相交的内部框架扁梁宽度大于柱宽时,边梁应采取配筋构造措施考虑其受扭的不利影响。
条文说明
4.2.9对于预应力混凝土框架的边梁,要求其宽度不大于柱截面高度,可避免其对垂直于该边梁方向的框架扁梁产生扭矩;当与此边梁相交的内部框架扁梁宽度大于柱宽时,也将对该边梁产生扭矩,为抵抗此扭矩,对于框架边梁应采取有效的配筋构造措施,考虑其受扭的不利作用。
4.2.10 预应力混凝土长悬臂梁的配筋构造应符合下列规定:
1 预应力混凝土悬臂梁应采用预应力筋和非预应力钢筋混合配筋的方式,其截面混凝土受压区高度应符合本标准第4.2.2条的规定,预应力强度比λ宜符合本标准第4.2.3条的规定;悬臂梁梁底非预应力钢筋截面面积尚应符合本标准第4.2.4条的规定。
2 悬臂构件加强段应取自根部算起1/4跨长、2倍截面高度及500mm三者中的较大值,按该段根部截面的弯矩设计值配置的纵向预应力筋,在加强段不得截断,且加强段的箍筋构造应满足箍筋加密区要求;对于集中荷载在支座截面所产生的剪力值占总剪力值的75%及以上时,箍筋加密区应延伸至集中荷载作用截面处,且不应小于加强段的长度。
条文说明
4.2.10工程经验表明,由悬臂构件根部截面荷载效应组合的弯矩设计值确定的纵向钢筋,在悬臂构件根部加强部位(指自根部算起1/4跨长,截面高度2h及500mm三者中的较大值)不得截断,且加强部位的箍筋应予以加密;为使悬臂构件受弯屈服限制在确定部位,本条规定了相应的配筋构造措施,使这些部位具有所需的延性和耗能能力,且要求加强段钢筋的实际截面面积与计算截面面积的比值不应大于相邻的一般部位的比值。并从配筋构造上要求在悬臂构件顶面和底面均配置抗弯的受力钢筋。 考虑到预应力作用通常在梁端截面产生正弯矩,与地震反复荷载作用效应叠加后,底部钢筋可能承受较大的拉力,因此对梁端截面的底面纵向非预应力钢筋的配筋率作出相应的规定。
4.3 预应力混凝土框架柱、节点
4.3 预应力混凝土框架柱、节点
4.3.1 预应力混凝土框架柱的剪跨比宜大于2。
条文说明
4.3.1预应力混凝土框架结构跨度较大,柱的截面尺寸亦较大,柱的净高Hco与截面高度h的比值Hco/h一般在4左右,此时剪跨比约为2。当主房框架与附房相连时,两层附房相当于一层主房框架,Hco/h将小于2,对剪跨比小于2的预应力混凝土框架柱,应进行特别设计。若柱无反弯点时,剪跨比可按Mcmax/Vcho进行计算,Mcmax为柱上下端截面组合弯矩计算结果的较大值;Vc为对应的截面组合剪力计算值。
4.3.2 在预应力混凝土框架中,与预应力混凝土梁相连接的预应力混凝土柱或钢筋混凝土柱除应符合现行国家标准《建筑抗震设计规范》GB 50011有关调整框架柱端组合的弯矩设计值的相关规定外,对一级、二级、三级、四级抗震等级的框架结构的边柱,其柱端弯矩增大系数η c 应分别取为1.7、1.7、1.5和1.3;对其他结构类型中的框架边柱,其柱端弯矩增大系数η c 应分别取为1.4、1.4、1.2和1.1。对于抗震等级为一级的框架结构的边柱,尚应符合下式规定:
ΣM c =1.2ΣM bua (4.3.2)
式中:ΣM c ——节点上、下柱端截面顺时针或反时针方向组合的弯矩设计值之和(N·mm),上、下柱端的弯矩设计值可按弹性分析分配;
ΣM bua 一—节点左右梁端截面反时针或顺时针方向实配的正截面抗震受弯承载力所对应的弯矩值之和(N·mm),根据计入梁受压钢筋和相关楼板钢筋的实配钢筋截面面积和材料强度标准值确定。
条文说明
4.3.2在预应力混凝土框架中,为避免框架边柱出现塑性铰,同时考虑预应力框架梁超强的情况,提高了二级、三级、四级抗震等级的框架边柱的柱端弯矩增大系数ηc。
4.3.3 考虑地震作用组合的预应力混凝土框架柱,按式(4.3.3)计算的轴压比宜符合表4.3.3的规定。当混凝土强度等级为C65~C70时,轴压比限值宜按表中数值减小0.05;沿柱全高采用井字复合箍,且箍筋间距不大于100mm、肢距不大于200mm、直径不小于12mm,或沿柱全高采用复合螺旋箍,且螺旋间距不大于100mm、箍筋肢距不大于200mm、直径不小于12mm,或沿柱全高采用连续复合矩形螺旋箍,且螺旋净距不大于80mm、箍筋肢距不大于200mm、直径不小于10mm时,轴压比限值均可按表4.3.3中数值增加0.10;采用上述三种箍筋时,均应按所增大的轴压比确定其最小配箍特征值。

式中:λ Np ——预应力混凝土柱的轴压比;
N——柱考虑地震作用组合的轴向压力设计值(N);
N pe ——作用于框架柱预应力筋的总有效预加力(N);
A——柱截面面积(mm 2 );
f c ——混凝土轴心抗压强度设计值(N/mm 2 )。
表4.3.3 预应力混凝土框架柱轴压比限值

条文说明
4.3.3在抗震设计中,采用预应力混凝土柱也要求呈现大偏心受压的破坏状态,使其具有一定的延性。本条应用预应力等效荷载的概念,将部分预应力混凝土偏压构件柱等效为承受预应力作用的非预应力偏心受压构件。在计算中将预应力作用按总有效预加力表示,由于将预应力考虑为外荷载,并乘以预应力分项系数1.2,故在公式中取1.2Npe为预应力作用引起的轴压力设计值。 当预应力混凝土框架的跨度很大时,为了适当控制其适用的最大高度,必要时可在节点区布置锚具,以及考虑孔道对节点核心区受剪截面的影响等因素,根据工程经验,本标准将预应力混凝土框架结构、板柱-框架结构、板柱结构和板柱-支撑结构中柱的轴压比限值加严,按比钢筋混凝土柱的轴压比限值约低10%确定。
4.3.4 对于承受较大弯矩而轴向压力小的框架顶层边柱,当采用预应力混凝土柱时,其配筋应符合下列规定:
1 纵向受力钢筋可采用非对称配置预应力筋的配筋方式,弯矩较大截面的受拉一侧应采用预应力筋和非预应力普通钢筋混合配筋,预应力强度比λ不应大于0.5,另一侧非预应力钢筋截面面积A' s 除应按计算确定外,尚应符合本标准第4.2.4条的规定;
2 柱纵向非预应力钢筋的最小配筋率应符合现行国家标准《建筑抗震设计规范》GB 50011有关钢筋混凝土受压构件纵向受力钢筋最小配筋率的规定;
3 柱中全部纵向受力钢筋按非预应力钢筋抗拉强度设计值换算的配筋率不应大于5%;
4 纵向预应力筋不宜少于两束,其孔道之间的净间距不宜小于100mm;
5 柱端箍筋加密区要求应符合现行国家标准《建筑抗震设计规范》GB 50011的有关规定。
条文说明
4.3.4对于承受较大弯矩而轴向压力小的框架顶层边柱,可以按预应力混凝土梁设计,采用非对称配筋的预应力混凝土柱,弯矩较大截面的受拉一侧采用预应力筋和非预应力普通钢筋混合配筋,另一侧仅配普通钢筋,并应符合一定的配筋构造要求。编制组的试验表明,非对称配筋大偏心受压预应力混凝土柱的耗能能力和延性都较好,有良好的抗震性能。 试验研究表明,预应力混凝土柱在高配筋率下,容易发生粘结型剪切破坏,此时,增加箍筋的效果已不显著,故对预应力混凝土框架柱的最大配筋率限值作出了规定。预应力混凝土柱尚应符合现行国家标准《混凝土结构设计规范》GB50010关于框架柱纵向非预应力钢筋最小配筋率的规定及柱端加密区配箍要求。
4.3.5 框架结构中,预应力混凝土框架所承担竖向荷载的结构面积与总结构面积的比值ξ不小于0.70时,框架柱箍筋应全高加密;ξ不小于0.25但小于0.70时,与预应力梁相交的框架柱箍筋宜全高加密。
条文说明
4.3.5国内外研究表明,在罕遇地震作用下,要求预应力混凝土框架梁端临界截面的屈服先于柱截面产生塑性铰,呈现梁铰侧移机制是难以实现的;若确保在边节点处的梁端出现铰、柱端不出现铰,呈现混合侧移机制时结构仍是稳定的,这将同时依靠梁铰和柱铰去耗散地震能量,其对柱端的截面延性亦有较高要求,箍筋宜沿柱全高加密。框架结构中,预应力混凝土框架所承担竖向荷载的结构面积占总结构面积的比值ξ不小于0.25但小于0.70时,与预应力梁相交的上下层框架柱箍筋均宜全高加密。
4.3.6 对双向预应力混凝土框架的边柱和角柱,在进行局部受压承载力计算时,可考虑纵向受力主筋和横向箍筋的有利影响。
条文说明
4.3.6试验结果表明,当混凝土处于双向局部受压时,其局压承载力高于单向局压承载力。在局部承压设计中,将框架柱中纵向受力主筋和横向箍筋兼作间接钢筋网片是根据试验研究和工程设计经验提出的。 对于只有一个方向有预应力作用的框架节点,验算非预应力梁方向节点核心区的受剪承载力时,不应考虑预应力有效顶压力的影响。
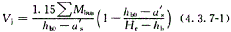
4.3.7 在预应力混凝土框架中,与预应力混凝土梁相交的梁柱节点除应符合现行国家标准《建筑抗震设计规范》GB 50011有关调整节点核心区组合的剪力设计值的相关规定外,对一级、二级、三级、四级抗震等级的框架结构的边节点,其强节点系数η jb 应分别取为1.5、1.5、1.35和1.2;对其他结构类型中的框架边节点,其强节点系数η jb 应分别取为1.35、1.35、1.2和1.1。对于抗震等级为一级的框架结构的边节点,尚应符合下列公式规定:
其他层节点: 
顶层节点: 
式中:V j ——梁柱节点核心区组合的剪力设计值(N);
ΣM bua ——节点左右梁端截面反时针或顺时针方向实配的正截面抗震受弯承载力所对应的弯矩值之和(N·mm),可根据计入梁受压钢筋的实配钢筋截面面积和材料强度标准值确定;
h b0 一一梁截面的有效高度(mm),节点两侧梁截面有效高度不等时可采用平均值;
a' s ——梁受压钢筋合力点至受压边缘的距离(mm);
H c ——柱的计算高度(mm),可采用节点上、下柱反弯点之间的距离;
h b ——梁的截面高度(mm),节点两侧梁截面高度不等时可采用平均值。
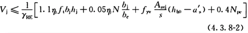
4.3.8 预应力混凝土框架梁柱节点核心区截面抗震验算,应符合下列规定:
1 框架节点核心区受剪的水平截面应符合下列条件:

式中:β c ——混凝土强度影响系数,按现行国家标准《混凝土结构设计规范》GB 50010的相关规定取值;
η j ——正交梁的约束影响系数,当楼板为现浇、梁柱中线重合、四侧各梁截面宽度不小于该侧柱截面宽度的1/2,且正交方向梁高度不小于较高框架梁高度的3/4时,可取为1.5,其他情况均取为1.0;
b j ——节点核心区的截面有效验算宽度(mm),应按现行国家标准《建筑抗震设计规范》GB 50011的相关规定取值,并应考虑预应力孔道削弱核心区截面有效面积的影响;
h j ——节点核心区的截面高度(mm),可采用验算方向的柱截面高度,并应考虑预应力孔道削弱核心区截面有效面积的影响;
γ RE ——承载力抗震调整系数,可取为0.85。
2 对正交方向有梁约束的预应力框架中间节点,当预应力筋穿过节点核心区,设置在梁截面高度中部1/3范围内时,预应力框架节点核心区的受剪承载力应按下式计算:

式中:b c ——验算方向的柱截面宽度(mm);
N——对应于考虑地震组合剪力设计值的节点上柱底部的轴向力设计值(N)。当N为压力时,取轴向压力设计值的较小值,且不应大于柱的截面面积和混凝土轴心抗压强度设计值的乘积的50%; 当N为拉力时,取为0,且不计预应力筋预加力的有利作用;
f yv ——箍筋的抗拉强度设计值(N/mm 2 );
f t ——混凝土轴心抗拉强度设计值(N/mm 2 );
A svj ——核心区有效验算宽度范围内同一截面验算方向箍筋的总截面面积(mm 2 );
s—— 箍筋间距(mm);
h b0 ——梁截面有效高度(mm),节点两侧梁截面有效高度不等时可取平均值;
α' s ——梁受压钢筋合力点至受压边缘的距离(mm);
N pe ——作用在节点核心区的预应力筋总有效预加力(N)。
3 对预应力框架的其余节点,节点核心区的受剪承载力应按下式计算:

条文说明
4.3.8由于预应力的作用,使节点混凝土处于受压状态,不仅可以提高节点的开裂荷载,也可以提高节点的受剪承载力。编制组的试验资料表明,在节点破坏时仍能保持一定的预应力,在考虑反复荷载使有效预应力降低后,取预应力作用的承剪力Vp=0.4Npe,式中Npe为作用在节点核心区预应力筋的总有效预应力。鉴于我国对预应力作用的表达方式有时列为公式右端项,并考虑承载力抗震调整系数γRE,上述Vp值约为0.5Npe。新西兰《混凝土结构设计实用规范》NZS3101中,对预应力抗剪作用取值为0.7Npe,本标准也参考了上述规范的计算规定。在计算作用在节点核心区预应力筋的总有效预应力Npe时,应考虑竖向构件及楼板等构件对有效预加力的影响。
4.4 预应力混凝土门架结构
4.4 预应力混凝土门架结构
4.4.1 预应力混凝土门架为主体结构的空旷房屋,其抗震设计除应符合本节规定外,尚应符合现行国家标准《建筑抗震设计规范》GB 50011的有关规定。
4.4.2 采用预应力混凝土门架为主体结构的空旷房屋,门架柱宜采用矩形或工字形截面;门架柱柱底至室内地坪以上500mm范围内、节点加腋边缘向下延伸2倍柱高h c 范围内、横梁自节点加腋边缘向跨中延伸2倍横梁高h范围内以及节点区域,应采用矩形截面。
条文说明
4.4.2震害调查发现,平腹杆双肢柱及薄壁开孔预制腹板工字形截面柱易发生剪切破坏,而整体浇筑的矩形、工字形截面柱震害轻微。此外,在柱子易出现塑性铰的区域,亦应使用矩形截面,且应从构造上予以加强。
4.4.3 跨度大于24m的预应力混凝土门架应考虑竖向地震作用。
条文说明
4.4.3跨度大于24m的预应力混凝土门架竖向地震作用明显,故应考虑竖向地震作用。
4.4.4 预应力混凝土门架倒“L”形构件宜通长设置折线预应力筋,当采用分段直线预应力筋时,不宜将锚具设置在转角节点区域。
条文说明
4.4.4采用通长的折线预应力筋可避免在边节点处配置过密的普通钢筋,以方便施工,并易于保证施工质量。 当采用分段直线预应力筋时,预应力筋的锚固端不应削弱节点核心区,故不允许将预应力筋直接锚固于节点核心区内。
4.4.5 预应力混凝土门架横梁箍筋加密区长度宜取1.5倍梁端部高度。加密箍筋宜按本标准第4.2.6条要求配置。
条文说明
4.4.5预应力混凝土门架梁中塑性铰是有可能发生在加腋段以外区域的,对可能出现塑性铰的区段应加密箍筋。
4.4.6 预应力混凝土门架立柱的箍筋加密区位置及箍筋配置要求应符合下列规定:
1 门架立柱箍筋加密区位置应符合下列规定:
1)柱上端区域应取截面高度、1000mm和1/4柱净高的最大值;
2)底部受约束的柱根应取下柱柱底至室内地坪以上500mm;
3)柱变位受平台等约束的部位,柱间支撑与柱连接节点,应取节点上、下各1倍柱高h c ;
4)有牛腿的门架,应取自柱顶至牛腿以下1倍柱高h c 范围。
2 加密区的箍筋间距不应大于100mm。
3 箍筋形式宜为复合箍,箍筋肢距和最小直径应符合下列规定:
1)6度和7度Ⅰ、Ⅱ类场地,箍筋肢距不应大于300mm,直径不应小于8mm;
2)7度Ⅲ、Ⅳ类场地和8度Ⅰ、Ⅱ类场地,箍筋肢距不应大于200mm,直径不应小于10mm;
3)8度Ⅲ、Ⅳ类场地,箍筋肢距不应大于200mm,直径不应小于12mm。
4.4.7 预应力混凝土门架边转角节点区域的箍筋配置不应低于立柱与横梁加密区要求。
条文说明
4.4.6、4.4.7门架宜发生梁铰的破坏机制,然而实际上难以做到真正的“强柱弱梁”,工程设计经验表明,在按照现行国家标准《建筑抗震设计规范》GB50011有关章节中框架梁、柱抗震设计方法,对门架构件内力进行调整之后进行截面设计,仍有可能在柱端发生柱铰。因此,凡是可能出现塑性铰的区段或可能发生剪切破坏区段均应加密箍筋。
5 预应力混凝土板柱结构
5.1 一般规定
5 预应力混凝土板柱结构
5.1 一般规定
5.1.1 本章适用于后张法无粘结预应力混凝土或有粘结预应力混凝土板柱-抗震墙结构、板柱-支撑结构、板柱-框架结构及板柱结构。
5.1.2 板柱-抗震墙结构、板柱-支撑结构、板柱-框架结构及板柱结构的设计应符合下列规定:
1 预应力混凝土平板的厚度不宜小于跨度的1/45,且不应小于200mm。
2 结构的周边应采用有梁框架,其配筋应满足重力荷载作用下抗扭计算的要求;箍筋间距不应大于150mm,且在离柱边2倍梁高范围内,间距不应大于100mm。
3 楼、电梯洞口周边应设置与主体结构相连的梁。
4 板柱-框架结构及板柱结构的柱箍筋应沿全高加密;板柱-支撑结构的柱箍筋宜沿全高加密。
条文说明
5.1.2设置边梁的目的是为加强板柱结构边柱节点的受冲切承载力及增加整个楼板的抗扭能力。
5.1.3 板柱-抗震墙结构的设计应符合下列规定:
1 应布置成双向抗侧力体系,两个主轴方向均应设置抗震墙;
2 屋盖及地下一层顶板,宜采用梁板结构。
5.1.4 板柱-支撑结构的设计应符合下列规定:
1 支撑宜沿建筑物的两个主轴方向布置;支撑间距不宜超过楼盖宽度的2倍;支撑宜上、下连续布置,当不能连续布置时,宜在邻跨布置。
2 支撑可采用普通钢支撑或屈曲约束支撑。普通钢支撑不应采用人字斜杆或V形斜杆,采用单斜杆时,应同时设置不同倾斜方向的两组斜杆,且每层中不同方向单斜杆的截面面积在水平方向的投影面积之差不应大于10%。
3 房屋高度大于12m或房屋层数超过3层时,底层支撑按刚度分配的地震倾覆力矩应大于结构总地震倾覆力矩的50%;房屋高度不大于12m且房屋层数不超过3层时,底层支撑按刚度分配的地震倾覆力矩应大于结构总地震倾覆力矩的30%。
条文说明
5.1.4板柱结构的侧向刚度较小,地震作用下结构变形较大,不易满足使用要求。在板柱中适当布置支撑能有效提高板柱结构抗侧刚度,减小地震下结构的变形。支撑可以采用钢支撑或屈曲约束支撑,两种支撑均采用钢材制作。屈曲约束支撑是在钢支撑的基础上设置了特殊构造,对钢支撑的受压失稳进行了约束处理,支撑受压不会失稳,拉压性能一致。标准编制单位进行了板柱等代框架-屈曲约束支撑的拟静力试验,试验结果表明,该结构体系抗震性能良好。 板柱结构中支撑沿建筑物两个主轴方向市置,避免两个方向的刚度相差过大,同时避免刚度不对称而导致结构扭转。平面布置时,支撑间距不宜过大,间距大于2倍楼盖宽度时,宜采用弹性楼板计算,并适当增加楼板厚度。支撑沿竖向连续布置有利于支撑承担剪力的上下传递;不连续布置时,上层支撑承担的剪力会通过楼板传递到下层支撑,因此下层支撑不宜距离太远,邻跨布置较好。 支撑具有较好的变形能力,能够与板柱结构更好地协同工作。试验表明,支撑先于板柱结构破坏或屈服,成为第一道防线,因此,对支撑按刚度分配的地震倾覆力矩提出明确要求。
5.1.5 板柱-框架结构的设计应符合下列规定:
1 单列柱数不得少于3根;
2 框架结构间的平板长宽比不应大于2,且长度不应大于32m;
3 在基本振型地震作用下,底层框架结构承担的地震倾覆力矩应大于结构总地震倾覆力矩的50%。
条文说明
5.1.5根据我国地震区板柱结构设计、施工经验及震害调查结果,采用无粘结预应力多层板柱结构,当增设抗震墙后,其吸收地震剪力效果显著。因此,规定板柱结构用于高层建筑时,原则上宜采用抗侧力刚度较大的板柱-抗震墙结构或板柱-支撑结构。 考虑到建造多层板柱结构的需要,为了加强其抗震能力,本标准增加了板柱-框架结构,并根据工程实践经验,作出了相关规定。
5.1.6 板柱结构及板柱-框架结构中,7度时宜采用有托板或柱帽的板柱节点,8度时应采用有托板或柱帽的板柱节点;板柱-抗震墙结构及板柱-支撑结构中,8度时宜采用有托板或柱帽的板柱节点;托板或柱帽根部的厚度不宜小于柱纵筋直径的16倍。托板或柱帽的边长不宜小于4倍板厚及柱截面相应边长之和。
条文说明
5.1.6考虑到板柱节点是地震作用下的薄弱环节,当8度设防时,板柱节点应采用托板或柱帽,托板或柱帽根部的厚度(包括板厚)不小于16倍柱纵筋直径是为了保证板柱节点的抗弯刚度。
5.1.7 预应力混凝土平板中应设置暗梁(图5.1.7)。暗梁应符合下列规定:
1 暗梁宽度应取为柱两侧各1.5倍楼板或平托板的厚度h,有柱帽时,应从柱帽边算起;
2 暗梁梁底非预应力钢筋截面面积应满足本标准公式(4.2.4-1)的要求;
3 支座处暗梁箍筋加密区长度不应小于3h,其箍筋肢距不应大于250mm,箍筋间距不应大于100mm,箍筋直径应按计算确定,但不应小于8mm;
4 暗梁支座处的1/2上部纵向钢筋应连续通长布置,截断的上部钢筋应从柱帽或平托板边计算其延伸长度。

图5.1.7 暗梁配筋要求示意
1-柱;2-连续布置的1/2上部钢筋
条文说明
5.1.7 板柱结构的节点连接构造十分重要,本次修订时,提高了暗梁下部非预应力钢筋的构造配筋要求。
5.1.8 预应力混凝土平板,柱上板带截面承载力计算中,板端混凝土受压区高度x应符合下列公式规定:
8度: x≤0.25h 0 (5.1.8-1)
6度、7度: x≤0.35h 0 (5.1.8-2)
纵向受拉钢筋按非预应力钢筋抗拉强度设计值换算配筋率不宜大于2.5%,不应大于2.75%;当梁端受拉钢筋的换算配筋率大于2.5%时,其受压钢筋的配筋截面面积不应小于受拉钢筋按抗拉强度设计值换算的配筋截面面积的一半。
5.1.9 预应力混凝土平板,柱上板带板端截面按本标准公式(3.1.9)计算的预应力强度比λ,采用预应力钢筋时,对板柱结构、板柱-框架结构和板柱-支撑结构,λ不应大于0.75,对板柱-抗震墙结构,λ不应大于0.80;采用无粘结预应力纤维增强复合材料筋时,λ不应大于0.5。
5.1.10 沿两个主轴方向通过柱截面的连续预应力筋及板底非预应力钢筋,应符合下列规定:
1 沿两个主轴方向通过柱截面的连续预应力筋及板底非预应力钢筋应符合下式规定:
f py A p +f y A s ≥N G (5.1.10)
式中:A s ——板底通过柱截面连续非预应力钢筋总截面面积(mm 2 );
A p ——板中通过柱截面连续预应力筋总截面面积(mm 2 );
f y ——非预应力钢筋的抗拉强度设计值(N/mm 2 );
f py 一一预应力筋的抗拉强度设计值(N/mm 2 ),对无粘结预应力混凝土平板,应取用无粘结预应力筋的应力设计值σ pu ;
N G ——在本层楼板重力倚载代表值作用下的柱轴向压力设计值(N),8度时宜计入竖向地震作用,重力荷载代表值的确定应按现行国家标准《建筑抗震设计规范》GB 50011的有关规定执行。
2 连续预应力筋应布置在板柱节点上部,呈下凹进入板跨中。
3 板底连续非预应力钢筋应布置在板柱节点下部及预应力筋的下方,板底连续纵向普通钢筋的连接位置,宜在距柱面1.15倍受拉钢筋锚固长度l a 与2倍板厚的较大值以外,且宜避开板底受拉区范围。受拉钢筋锚固长度l a 应按现行国家标准《混凝土结构设计规范》GB 50010的规定取用。
条文说明
5.1.10为了防止板柱结构在柱边开裂以后发生楼板脱落,穿过柱截面的后张预应力筋及板底两个方向的连续非预应力钢筋的受拉承载力应满足该层柱承担的重力荷载代表值产生的轴向压力设计值。
5.1.11 板柱-抗震墙结构、板柱-支撑结构、板柱-框架结构及板柱结构中,抗震墙、柱与支撑的抗震构造措施除应符合本章规定外,尚应符合现行国家标准《建筑抗震设计规范》GB 50011的有关规定。
5.2 计算要求
5.2 计算要求
5.2.1 在竖向荷载作用下,板柱的内力可采用等代框架法按下列规定计算:
1 等代框架的计算宽度,可取垂直于计算跨度方向的两个相邻平板中心线的间距;
2 有柱帽的等代框架的板梁、柱的线刚度可按现行行业标准《无粘结预应力混凝土结构技术规程》JGJ 92的有关规定确定;
3 纵向和横向每个方向的等代框架均应承担全部作用荷载;
4 宜考虑活荷载的不利布置。
5.2.2 板柱-抗震墙结构在地震作用下,可按多连杆联系的总抗震墙和总等代框架协同工作的计算图形或有限元法等更精确的方法计算内力和位移。
5.2.3 在地震作用下,板柱的内力及位移应沿两个主轴方向分别进行计算,地震作用产生的内力,应组合到柱上板带上。当柱网较为规则、板面无大的集中荷载和大开孔时,可采用等代框架法进行内力计算,等代梁的板宽取值宜符合本标准第5.2.4条的规定。柱网不规则或板面承受大的集中荷载和大开孔时,宜采用有限单元法进行内力和位移计算。
5.2.4 在地震作用下,等代框架梁的计算宽度宜取下列公式计算结果的较小值:

式中:b y ——y向等代框架梁的计算宽度(mm);
l ar 、l oy ——等代梁的计算跨度(mm);
b d 一一平托板或柱帽的有效宽度(mm),当无平托板时,取0。
条文说明
5.2.1~5.2.4板柱体系在竖向荷载和水平荷载作用下,受力情况与升板结构在使用状态下时相似的,内力和位移计算可按国家现行标准《混凝土升板结构技术标准》GB/T50130或《无粘结预应力混凝土结构技术规程》JGJ92规定的方法进行。本节这几条主要根据上述规范的相关规定编写的。
5.2.5 板柱-抗震墙结构抗震计算应符合下列规定:
1 房屋高度大于12m时,抗震墙应承担结构的全部地震作用;房屋高度不大于12m时,抗震墙宜承担结构的全部地震作用;
2 各层板柱和框架除应满足计算要求外,尚应能承担不少于该层相应方向地震剪力的20%。
5.2.6 板柱-支撑结构中采用普通钢支撑时,混凝土板柱部分承担的地震作用,应分别按板柱结构和板柱-支撑结构计算,配筋应取二者较大值。
条文说明
5.2.6试验表明,板柱-支撑结构中采用普通钢支撑时,支撑先于板柱结构破坏,设计时将普通钢支撑作为第一道防线,板柱结构作为第二道防线,承担全部地震剪力。因此,混凝土板柱部分承担的地震作用,应按板柱结构和板柱-支撑结构两种模型计算,配筋应取二者较大值。
5.2.7 由地震作用在板支座处产生的弯矩应与按本标准第5.2.4条所规定的等代框架梁宽度上的竖向荷载弯矩相组合,承受该弯矩所需全部钢筋应设置在该柱上板带中,且其中不少于50%的钢筋应配置在暗梁中;由弯矩传递的部分不平衡弯矩应由暗梁受弯传递。
5.2.8 板柱节点在竖向荷载和地震作用下的冲切计算,应考虑由板柱节点冲切破坏面上的剪应力传递一部分不平衡弯矩。其受冲切承载力计算中所用的等效集中反力设计值F l·ep ,应按现行国家标准《混凝土结构设计规范》GB 50010的规定执行,由地震作用的不平衡弯矩在板柱节点处引起的集中反力值应乘以增大系数,对一级、二级、三级抗震等级板柱节点,其增大系数应分别取为1.7、1.5和1.3。
5.2.9 板柱节点的受冲切承载力计算应符合现行国家标准《混凝土结构设计规范》GB 50010的有关规定;配置锚栓、型钢剪力架加强的板柱节点的受冲切承载力计算,应按现行行业标准《无粘结预应力混凝土结构技术规程》JGJ 92的有关规定执行。
条文说明
5.2.7~5.2.9参照现行行业标准《无粘结预应力混凝土结构技术规程》JGJ92的有关条款作出规定,其目的是强调在柱上板带中设置暗梁,以及为了有效地传递不平衡弯矩,除满足受冲切承载力计算要求外,板柱结构的节点连接构造亦十分重要,设计中应给予充分重视。 考虑地震作用组合时,地震作用产生的弯矩应与等代框架梁宽度范围内楼板承担的竖向荷载弯矩相组合,该竖向荷载弯矩应考虑竖向荷载作用下的总弯矩在柱上板带和跨中板带之间的分配。
5.2.10 板柱结构、板柱-框架结构及板柱-支撑结构中,底层框架柱下端截面考虑地震作用的组合弯矩设计值应乘以增大系数。对一级、二级、三级抗震等级的底层框架柱,增大系数应分别取为1.7、1.5、1.3。底层柱纵向钢筋应按上下端的不利情况配置。
5.2.11 板柱结构、板柱-框架结构及板柱-支撑结构中,柱端组合的弯矩设计值应符合下式规定:
ΣM c =η c ΣM b (5.2.11)
式中:ΣM c ——节点上、下柱端截面顺时针或反时针方向组合的弯矩设计值之和(N·mm),上、下柱端的弯距设计值可按弹性分析分配;
ΣM b ——节点左、右等代梁端截面反时针或顺时针方向组合的弯距设计值之和(N·mm);
η c ——柱端弯矩增大系数,对一级、二级、三级抗震等级的柱可分别取为1.7、1.5、1.3。
条文说明
5.2.10、5.2.11为了推迟板柱结构柱端截面出现塑性铰,故规定对柱的弯矩设计值乘以增大系数,以提高其正截面受弯承载力。
5.2.12 对板柱结构、板柱-框架结构及板柱-支撑结构,水平地震作用下的扭转偶联地震效应计算及对角柱调整后组合弯矩设计值、剪力设计值乘以增大系数的要求等均应按现行国家标准《建筑抗震设计规范》GB 50011有关规定执行。
条文说明
5.2.12地震时角柱处于复杂的受力状态,其弯矩和剪力设计值的增大系数比其他柱略有增加,以提高抗震能力。
5.2.13 板柱-抗震墙结构、板柱-支撑结构、板柱-框架结构及板柱结构应进行多遇地震作用下结构变形验算,楼层弹性层间位移角限值应符合本标准表3.1.7的规定;设防烈度为8度时的板柱结构、板柱-框架结构以及高度大于15m的板柱-抗震墙和板柱-支撑结构,应进行罕遇地震作用下的结构变形验算,验算时可采用静力弹塑性方法或弹塑性时程分析方法,楼层弹塑性层间位移角限值应符合本标准表3.1.8的规定。
条文说明
5.2.13国内外多次地震震害证实,板柱结构属抗震不利结构。因此,为保证板柱结构在大震下的结构安全,宜进行大震弹塑性变形验算。
5.2.14 板柱-抗震墙结构、板柱-支撑结构、板柱-框架结构及板柱结构中,抗震墙与柱的受剪截面要求及考虑抗震等级的剪力设计值和斜截面受剪承载力计算,应符合现行国家标准《混凝土结构设计规范》GB 50010的有关规定。
6 预应力装配式混凝土框架结构
6.1 一般规定
6 预应力装配式混凝土框架结构
6.1 一般规定
6.1.1 本章适用于预应力装配整体式混凝土框架结构和无粘结预应力全装配混凝土框架结构。
条文说明
6.1.120世纪90年代初,为提高预制装配式混凝土结构抗震性能,减轻装配混凝土结构的震害,提高装配结构施工效率及节约结构建造成本,以推动装配式混凝土结构的工业化发展,美国开始了PRESSS(PrecastPrestressedSeismicStructureSystem,即无粘结预应力全装配混凝土框架结构体系)研究计划,该计划联合了学会、科研院校、设计咨询单位、生产制造商等共同参与,进行预制抗震预应力体系的研发,其研究的重点为比传统“强连接节点”抗震性能更好的“延性连接节点”。整个PRESSS研发计划分为三期,一期计划涉及概念开发、连接节点分类和建立、分析平台开发、初步的设计建议;二期计划涉及节点试验及其计算分析;三期计划涉及多层缩尺寸整体模型的拟动力试验研究、计算分析及规范的设计建议。最终形成了试验验证标准《AcceptanceCriteriaforMomentFramesBasedonStructuralTesting》ACIT1.1-01及设计标准《SpecialHybridMomentFramesComposedofDiscretelyJointedPrecastandPost-Ten-sionedConcreteMembers》ACIT1.2-03,从研发至规范发布,整个研发周期约10年。2005年ACI修订了试验验证标准《AcceptanceCriteriaforMomentFramesBasedonStructuralTestingandCommentary》ACI374.1-05,2013年ACI发布了修订版的设计标准《DesignSpecificationforUnbondedPost-Ten-sionedPrecastConcreteSpecialMomentFramesSatisfyingACI374.1》ACI550.3-13。新西兰于2006年发布了新的混凝土结构标准《CONCRETESTRUCTURESSTANDARDPart1-TheDesignofConcreteStructures》NZS3101:Part1:2006中的附录B《APPENDIXB-SPECIALPROVISIONSFORTHESEISMICDESIGNOFDUCTIlEJOINTEDPRECASTCONCRETESTRUCTURALSYSTEMS(Normative)》。 世界上首次应用PRESSS的建筑是美国的TheParamountBuilding,该建筑位于美国加利福尼亚州旧金山市著名的MosconeCenter,是全美乃至世界最严重的地震区。该结构为39层、128m高,该结构形式就采用了“混合型”预制梁柱节点。新西兰第一个PRESSS建筑建于2010年,为地上三层、地下一层的医院建筑。该建筑一个方向为组合自复位剪力墙和框架结构,另一个方向为框架结构,该建筑经受了几次严重地震,超越了地震作用设计水平,而没有明显结构损伤。 无粘结预应力全装配混凝土框架结构(图1)采用混合连接方式将预制混凝土构件组成整体受力体系。混合连接是指预制构件同时采用后张无粘结预应力筋和耗能钢筋进行连接,其中,无粘结预应力筋提供部分受弯承载力,并保证结构的变形恢复能力;耗能钢筋提供另一部分受弯承载力,并通过其屈服来耗散地震能量。 
图1无粘结预应力全装配混凝土框架结构示意 1-无粘结预应力筋;2-带局部无粘结段的耗能钢筋;3-结合面砂浆 预应力筋采用无粘结筋,在地震中无粘结预应力筋保持弹性,由于预应力的作用,使得结构回到地震前未发生变形时的位置。结构自复位能力是通过后张拉预应力筋施加轴向压力实现的。 耗能钢筋采用满足抗震性能的普通钢筋,设置于梁顶和梁底,穿过框架节点预制柱预留孔道,填充砂浆锚固;为避免钢筋过早屈服,在靠近结合面区段内钢筋与混凝土设置为无粘结。地震作用下耗能钢筋在交替拉压的过程中发生屈服,消耗能量。 研究表明,这类结构具有与整体现浇钢筋混凝土框架类似的承载力和延性。框架梁、柱可以视为刚体不发生变形,梁端相对于梁柱结合面产生摇摆变形,后张预应力筋施加轴向预紧力使结合部缝隙闭合,地震后结构仅有微小残余变形,甚至没有残余变形。
6.1.2 除本章规定外,预应力装配整体式混凝土框架结构可按预应力现浇混凝土框架结构进行设计;无粘结预应力全装配混凝土框架结构的设计应符合本标准的有关规定。
条文说明
6.1.2根据编制组和国内外研究成果,在地震区的预应力装配整体式混凝土框架结构,当采取了可靠的节点连接方式和合理的构造措施后,其性能可等同于预应力现浇混凝土框架结构,并采用与预应力现浇混凝土框架结构相同的方法进行结构分析和设计。 本标准第4章为现浇预应力混凝土框架和门架的设计要求,无粘结预应力全装配混凝土框架结构与现浇预应力混凝土框架的构造及受力机理有差异,设计时可不遵守本标准第4章的相关规定。
6.1.3 预应力装配式混凝土框架结构中,预制柱的纵向钢筋连接宜采用套筒灌浆连接。
条文说明
6.1.3套筒灌浆连接方式在日本和欧美等发达国家应用普遍,我国也开展了较为系统的试验研究,并形成较为完善的产品体系与技术标准。当结构层数较多时,柱的纵向钢筋采用套筒灌浆连接可保证结构的安全。对于低层框架结构,柱的纵向钢筋连接也可以采用一些相对简单及造价较低的方法。
6.1.4 建筑平面应简单、规则、对称,质量与刚度分布宜均匀。结构竖向构件布置宜上下连续,应避免抗侧力构件的侧向刚度和承载力沿竖向突变。
条文说明
6.1.4装配式预应力混凝土结构的平面和竖向布置应严于普通装配式混凝土结构,竖向抗侧力构件和水平构件应连续、贯通,以便于穿连预应力筋。不规则的建筑会出现较多的非标准构件,且内力分布复杂,不适宜采用装配式预应力混凝土结构。
6.1.5 在竖向荷载和多遇地震作用下,无粘结预应力全装配混凝土框架结构可采用与现浇混凝土结构相同的方法进行内力分析,并应考虑次内力的影响。结构承载能力极限状态和正常使用极限状态的作用效应分析应采用弹性分析方法,重力荷载作用下的框架梁跨中弯矩应放大,按照梁端弯矩调整系数为0.8计算。在罕遇地震作用下,计算薄弱层或薄弱部位弹塑性变形时,可采用静力弹塑性分析方法或弹塑性时程分析法等。
条文说明
6.1.5无粘结预应力全装配混凝土框架的预制混凝土构件采用本章所给的连接方式组装,形成一个具有非线性弹性特性的无粘结后张法预应力混凝土结构体系。由于构件节点连接处接触面缝隙的张开和闭合,非弹性的特征集中在预制混凝土构件连接节点结合面处,在各种设计状况下,无粘结预应力全装配混凝土框架结构呵采用基于力的方法,也可基于位移的方法进行内力分析。结构承载能力极限状态和正常使用极限状态的作用效应分析应采用弹性分析方法。重力荷载作用下,宜考虑梁端转动刚度的降低,造成框架梁跨中弯矩的增大,按照梁端弯矩调幅系数为0.8计算。 在进行内力计算时,应考虑预应力次内力(主要是次轴力)的影响。 无粘结预应力全装配混凝土框架结构在反复荷载作用下,无粘结后张预应力筋处于非线性弹性状态,荷载-位移关系曲线见图2(a)。非预应力钢筋或其他耗能元件进入完全塑性状态,荷载-位移关系曲线见图2(b)。无粘结预应力全装配混凝土框架结构处于非线性弹性和弹塑性之间的反应状态,这种反应状态包括前者的自复位特性,以及后者的耗能特性。在水平荷载作用下的典型滞回曲线称之为“旗帜形”滞回曲线,该滞回曲线是弹性规则和耗能性能共同作用的结果(图2(c))。两者分别代表后张预应力筋的弯矩贡献值Mp以及特设钢筋或耗能元件的弯矩贡献值Ms,“旗帜形”滞回规则的特性取决于两类弯矩之间贡献的比率。 
图2无粘结预应力全装配混凝土框架结构“旗帜形”滞回曲线示意
6.1.6 无粘结预应力全装配混凝土框架结构的作用和作用组合尚应根据现行国家标准《建筑结构荷载规范》GB 50009、《建筑抗震设计规范》GB 50011等确定。
条文说明
6.1.6除本标准另有规定外,无粘结预应力全装配混凝土框架结构的承载能力极限状态和正常使用极限状态验算时,荷载和地震作用的取值及其组合均应按照国家现行相关标准确定。
6.2 预应力装配整体式混凝土框架结构
6.2 预应力装配整体式混凝土框架结构
6.2.1 预应力装配整体式混凝土框架结构中,预应力混凝土叠合梁应符合下列规定:
1 预应力混凝土叠合梁的高宽比不宜大于4;梁高宜取计算跨度的1/12~1/22,净跨与截面高度之比不应小于4。
2 预应力混凝土叠合梁的后浇混凝土叠合层厚度不宜小于150mm。
3 预应力混凝土叠合梁的纵向钢筋应伸入后浇节点区内锚固或连接,并应符合现行行业标准《装配式混凝土结构技术规程》JGJ 1的相关规定。
4 预应力筋宜采用曲线布筋形式,可采用有粘结预应力筋或部分粘结预应力筋。当采用部分粘结预应力筋时,无粘结段宜设置在节点核心区附近,无粘结段长度宜取为节点核心区及两侧梁端各1倍梁高范围;无粘结段预应力筋的外包层材料及防腐层应符合现行行业标准《无粘结预应力混凝土结构技术规程》JGJ 92的有关规定。
5 预应力混凝土叠合梁应进行施工阶段验算。
6 节点核心区的预应力孔道应与预制梁中的孔道可靠连接。
条文说明
6.2.1预应力混凝土叠合梁可采用有粘结预应力筋和部分粘结预应力筋。当采用部分粘结预应力筋时,无粘结段宜设置在节点核心区附近,无粘结段范围宜取节点核心区宽度及两侧梁端一倍梁高范围;无粘结段预应力筋的外包层材料及涂料层应符合现行行业标准《无粘结预应力混凝土结构技术规程》JGJ92的相关规定。 预应力混凝土梁的截面高度为计算跨度的1/12~1/22时比较经济。预应力叠合梁的截面高宽比过大容易引起梁侧向失稳,因此对梁截面高宽比提出要求。 编制组完成的试验和理论研究以及国内外相关研究成果均表明,当预应力筋的无粘结范围取节点区与梁端部一倍梁高范围时,能够保证预应力装配整体式混凝土框架结构具有良好的抗震性能。
6.2.2 混凝土叠合梁端竖向接缝受剪承载力应按下列公式计算:
1 持久设计状况:

2 地震设计状况:

式中:A cl ——叠合梁端截面后浇混凝土叠合层截面面积(mm 2 );
f c ——预制构件或后浇混凝土轴心抗压强度设计值较低值(N/mm 2 );
f y ——垂直穿过结合面钢筋的抗拉强度设计值(N/mm 2 );
A k ——各键槽的根部截面面积(图6.2.2)之和(mm 2 ),按后浇键槽根部截面和预制键槽根部截面分别计算,并取二者的较小值;
A sd ——垂直穿过结合面所有非预应力钢筋的截面面积(mm 2 ),包括叠合层内的纵向钢筋。

图6.2.2 叠合梁端部受剪承载力计算参数示意
1-后浇节点区;2-后浇混凝土叠合层;3-预制梁;4-预制键槽根部截面;5-后浇键槽根部截面;6-替合梁纵向钢筋
条文说明
6.2.2预应力混凝土叠合梁端结合面主要包括框架梁与节点区的结合面、梁自身连接的结合面以及次梁与主梁的结合面等几种类型。结合面的受剪承载力的组成主要包括:新旧混凝土结合面的粘结力、键槽的抗剪能力、后浇混凝土叠合层的抗剪能力、梁纵向钢筋的销栓抗剪作用、预应力筋的抗剪作用等。 本标准不考虑混凝土的自然粘结作用是偏安全的。取混凝土抗剪键槽的受剪承载力、后浇层混凝土的受剪承载力、穿过结合面的钢筋的销栓抗剪作用之和作为结合面的受剪承载力。地震往复作用下,对后浇混凝土叠合层和混凝土键槽的受剪承载力进行折减,参照混凝土斜截面受剪承载力设计方法,折减系数取0.6。 研究表明,混凝土抗剪键槽的受剪承载力一般为(0.15~0.2)fcAk,但由于混凝土抗剪键槽的受剪承载力和钢筋的销栓抗剪作用一般不会同时达到最大值,因此在计算公式中,对混凝土抗剪键槽的受剪承载力进行折减,取0.1fcAk。抗剪键槽的受剪承载力取各抗剪键槽根部受剪承载力之和;梁端抗剪键槽数量一般较少,沿高度方向一般不会超过3个,不考虑群键作用。抗剪键槽破坏时,可能沿现浇键槽或预制键槽的根部破坏,因此计算抗剪键槽受剪承载力时应按现浇键槽和预制键槽根部剪切面分别计算,并取二者的较小值。设计中,应尽量使现浇键槽和预制键槽根部剪切面面积相等。 钢筋销栓作用的受剪承载力计算公式主要参照日本的装配式框架设计标准中的规定,以及国内相关试验研究结果,同时考虑混凝土强度及钢筋强度的影响。 由于目前有关预应力叠合梁结合面抗剪性能的研究较少,因此,本标准偏于安全地考虑预应力筋的作用。
6.2.3 在地震设计状况下,预制柱底水平接缝的受剪承载力应按下列公式计算:
1 当柱受压时:

2 当柱受拉时:

式中:f c ——预制构件混凝土轴心抗压强度设计值(N/mm 2 );
f y ——垂直穿过结合面钢筋抗拉强度设计值(N/mm 2 );
N——与剪力设计值V相应的垂直于结合面的轴向力设计值(N),取绝对值进行计算;
A sd ——垂直穿过结合面所有钢筋的截面面积(mm 2 );
V uE ——地震设计状况下接缝受剪承载力(N)。
条文说明
6.2.3预制柱底结合面的受剪承载力主要由新旧混凝土结合面的粘结力、粗糙面或键槽的抗剪能力、轴压产生的摩擦力、梁纵向钢筋的销栓抗剪作用或摩擦抗剪作用等组成,其中后两者为受剪承载力的主要组成部分。 当柱受压时,计算轴压产生的摩擦力时,柱底接缝灌浆层上下表面接触的混凝土均有机糙面及键槽构造,因此摩擦系数取0.8。钢筋销栓作用的受剪承载力计算公式与本标准第6.2.2条相同。当柱受拉时,没有轴压产生的摩擦力,且由于钢筋受拉,计算钢筋销栓作用时,需要根据钢筋中的拉应力计算结果对销栓受剪承载力进行折减。
6.2.4 预应力装配整体式混凝土框架结构的其他构造设计,除应符合本标准第4章的相关规定外,尚应符合现行行业标准《装配式混凝土结构技术规程》JGJ 1的相关规定。
6.3 无粘结预应力全装配混凝土框架结构
6.3 无粘结预应力全装配混凝土框架结构
Ⅰ 计算要求
6.3.1 无粘结预应力全装配混凝土框架结构的承载力应采用下列设计表达式进行验算:
持久、短暂设计状况:γ 0 S≤R/γ Rd (6.3.1-1)
地震设计状况:γ 0 S≤R/γ RE (6.3.1-2)
式中:γ 0 ——结构重要性系数。在持久设计状况和短暂设计状况下,对安全等级为一级、二级的结构构件,应分别取不小于1.1、1.0;对地震设计状况下应取1.0。对参与组合的预应力作用效应项,当预应力作用效应对承载力有利时,结构重要性系数γ 0 应取1.0;
S——作用组合的效应设计值,对持久设计状况和短暂设计状况应按作用的基本组合计算;对地震设计状况应按作用的地震组合计算;
R——结构构件承载力设计值;
γ Rd ——结构构件的抗力模型不定性系数,静力设计应取为1.0;
γ RE ——承载力抗震调整系数,应按本标准第3.2.7条的规定取用。
6.3.2 无粘结预应力全装配混凝土框架的预制混凝土梁在梁柱结合面处受弯承载力应按下列基本假定进行计算:
1 截面变形应保持平面。
2 耗能钢筋的应力应按下列规定取用:
当0≤ε s ≤f yk /E s 时:
σ s =E s ε s (6.3.2-1)
当f yk /E s <ε s <0.075时:

式中:σ s ——耗能钢筋应变为ε s 时的拉应力(N/mm 2 );
E s ——耗能钢筋的弹性模量(N/mm 2 );
f yk ——耗能钢筋屈服强度标准值(N/mm 2 );
f stk ——耗能钢筋极限强度标准值(N/mm 2 )。
3 无粘结预应力筋的应力取值应符合下列规定:
当0≤ε p ≤0.9f ptk /E p 时:
σ p =E p ε p (6.3.2-3)
当0.9f ptk /E p <ε p <0.02时:

式中:σ p ——无粘结预应力筋应变为ε p 时的拉应力(N/mm 2 );
E p ——无粘结预应力筋的弹性模量(N/mm 2 );
f ptk ——无粘结预应力筋极限强度标准值(N/mm 2 )。
条文说明
6.3.2耗能钢筋和无粘结预应力筋的应力-应变关系采用双线性假定。耗能钢筋的最大拉应变依据现行国家标准《混凝土结构设计规范》GB50010的规定,取0.075;依据现行国家标准《预应力筋用锚具、夹具和连接器》GB/T14370的规定,无粘结预应力钢绞线用锚具效率系数应大于0.95,组装件预应力筋受力长度的总伸长率应大于2%,因此,规定无粘结预应力筋的极限应变取为0.02,极限强度取为0.95fptk。现行国家标准《预应力混凝土用钢绞线》GB/T5224-2014规定了预应力钢绞线的0.2%屈服力FP0.2值应为整根钢绞线最大力Fmax的88%~95,本标准取为0.9fptk。
6.3.3 无粘结预应力全装配混凝土框架的预制混凝土梁在梁柱结合面处受弯承载力M应按下列公式计算(图6.3.3):

式中:M s ——耗能钢筋在结合面处贡献的受弯承载力(N·mm);
M p ——无粘结预应力筋在结合面处贡献的受弯承载力(N·mm);
M——结合面处受弯承载力(N·mm);
x——等效矩形应力图形的混凝土受压区高度(mm),小于2a' s 时,应取为2a' s ;
σ p ——无粘结预应力筋的应力(N/mm 2 ),取为(σ pe +100)N/mm 2 ;
b一一预制混凝土梁截面宽度(mm);
α 1 ——系数,按现行国家标准《混凝土结构设计规范》GB 50010的规定取值;
a' s ——耗能受压钢筋到梁截面受压边缘的距离(mm);
f c ——预制构件混凝土轴心抗压强度设计值(N/mm 2 )
A s ——穿过结合面的受拉耗能钢筋面积(mm 2 );
A' s ——穿过结合面的受压耗能钢筋面积(mm 2 );
f y ——穿过结合面的耗能钢筋抗拉强度设计值(N/mm 2 );
f' y ——穿过结合面的耗能钢筋抗压强度设计值(N/mm 2 )。

图6.3.3 梁柱结合面受弯承载力计算示意
1-耗能钢筋;2-导槽;3-无粘结预应力筋
条文说明
6.3.3无粘结预应力全装配混凝土框架结构中,框架梁等效矩形应力图形的混凝土受压区高度x不宜过大,以保证该结构体系的自复位能力。
6.3.4 梁端竖向结合面受剪承载力应按下列公式计算:
1 持久设计状态:
V u =μψA p σ pe (6.3.4-1)
2 地震设计状态:
V uE =μψF c (6.3.4-2)

式中:A p ——穿过结合面的无粘结预应力筋总截面面积(mm 2 ):
F c ——结合面混凝土界面产生的压力(N);
σ pe ——无粘结预应力筋的有效预应力(N/mm 2 );
μ——摩擦系数,取为0.6;
A s ——穿过结合面的受拉耗能钢筋截面面积(mm 2 );
A' s ——穿过结合面的受压耗能钢筋截面面积(mm 2 );
f y ——穿过结合面的耗能钢筋抗拉强度设计值(N/mm 2 );
f' y ——穿过结合面的耗能钢筋抗压强度设计值(N/mm 2 );
σ p ——无粘结预应力筋的应力(N/mm 2 ),取为(σ pe +100)N/mm 2 ;
ψ——折减系数,取为0.75。
条文说明
6.3.4框架自复位能力是通过后张预应力筋施加轴向压力实现,梁端接缝处受剪承载力由张拉预应力筋产生的轴向压力提供,为满足梁端自复位能力和接缝处受剪承载力要求,预应力筋的总有效预加力应符合规定。 预压力在梁端形成的摩擦力等于轴向压力乘以摩擦系数,参照美国标准《DesignSpecificationforUnbondedPost-TensionedPrecastConcreteSpecialMomentFramesSatisfyingACI374.1》ACI550.3-13以及新西兰标准《ConcreteStructuresStandardPart1-TheDesignofConcreteStructures》NZS3101:Part1:2006,摩擦系数μ取为0.6,受剪强度折减系数ψ参照美国标准《BuildingCodeRequirementsforStructuralConcrete》ACI318-2014中第9.3.2.3的规定取0.75。 一般情况下无地震作用时,考虑永久荷载和可变荷载的效应组合小于考虑地震作用的效应组合,但是在考虑结构重要性系数和抗震承载力调整系数后,哪种组合对于构件承载力起控制作用需要通过计算比较确定,故需进行持久设计状况和地震设计状况两种效应组合验算。 接缝处混凝土界面产生的压力,由截面平衡条件导出的公式计算。计算接缝处混凝土界面产生的压力C时,后张预应力筋应力σp可取为(σpe+100)MPa。
6.3.5 预应力筋张拉控制应力应由设计确定且不应小于0.4f ptk ,预应力筋的有效预应力尚应符合下式规定:

式中:f ptk ——无粘结预应力筋极限强度标准值(N/mm 2 ):
E p ——无粘结预应力筋的弹性模量(N/mm 2 );
ε pt ——无粘结预应力筋在结合面缝隙张开时的附加应变,可按本标准第6.3.6条计算,计算时结合面转动角度θ应取为0.02。
条文说明
6.3.5为了保证在构件中建立必要的有效预应力,使得无粘结预应力全装配混凝土框架结构在地震中具有充分的预压力提供自复位能力,初始预应力应当限定一个下限值,美国混凝土学会标准《DesignSpecificationforUnbondedPost-TensionedPrecastConcreteSpecialMomentFramesSatisfyingACI374.1》ACI550.3-13认为可以低至0.4fpu,fpu为预应力筋规定抗拉强度。现行国家标准《混凝土结构设计规范》GB50010规定钢绞线的张拉控制应力值不宜小于0.4fptk(fptk为预应力钢筋极限强度标准值)。 为确保预应力筋在大震中保持在弹性范围内,始终具有自复位的功能,初始预应力应当限定一个上限值。结构的弹塑性层间位移角达到1/50时,后张预应力钢筋有效应力在叠加侧向位移产生的附加应力后,应小于预应力钢筋屈服强度,保证后张预应力钢筋不屈服。对于无明显屈服点的钢筋取条件屈服点对应的应力作为屈服强度,钢绞线的条件屈服点对应的应力约为极限抗拉强度的90%。
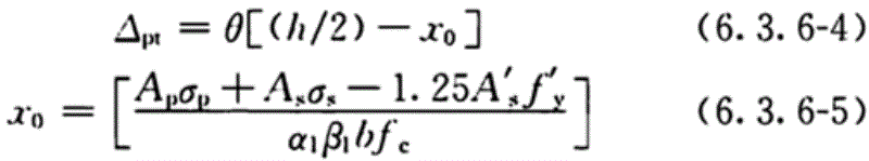
6.3.6 位移极限状态下,耗能钢筋应变ε s 和无粘结预应力筋在结合面缝隙张开时的附加应变ε pt 应根据平面变形假定按下列公式计算(图6.3.6):


图6.3.6 梁柱交界面的变形示意
1-耗能钢筋;2-导槽;3-无粘结预应力筋

式中:m——沿梁方向无粘结预应力筋长度范围内梁柱结合面开合缝隙数量;
L ups ——预应力筋的无粘结长度(mm),后张预应力筋在锚具之间均为无粘结时,L ups 可取锚具之间的距离;
θ——结合面转动角度(rad);
β 1 ——中和轴高度调整系数,混凝土强度等级不超过C50时,β 1 取为0.80;混凝土强度等级为C80时,β 1 取为0.74;其间按线性内插法确定;
△s——极限状态下耗能钢筋伸长值(mm);
L u ——邻近结合面处,耗能钢筋无粘结长度(mm);
d b ——耗能钢筋直径(mm);
α b ——耗能钢筋应变渗透系数,对HRB400和HRB500级钢筋,分别取为4.0和5.0;
x 0 ——梁截面受压区高度(mm);
h 0 ——耗能受拉钢筋到梁截面受压边缘的距离(mm);
σ p ——预应力筋的应力(N/mm 2 ),应按本标准第6.3.2条计算;
σ s ——耗能钢筋的应力(N/mm 2 ),应按本标准第6.3.2条计算。
条文说明
6.3.6由于连接处结合面缝隙张开,耗能钢筋受拉时的伸长△s可由梁柱结合面转动的几何关系求得。该伸长值由耗能钢筋无粘结区段产生,无粘结区段为耗能钢筋无粘结长度与端部无粘结的渗透长度之和。《DesignSpecificationforUnbondedPost-Ten-sionedPrecastConcreteSpecialMomentFramesSatisfyingACI374.1》ACI550.3-13规定:附加无粘结长度系数ab应由试验确定,其值应在2.0~5.5。本标准在试验研究的基础上,考虑到无粘结的渗透长度与钢筋应力水准相关,ab取为0.01fyk,fyk为钢筋屈服强度标准值。 由于预应力筋在两端锚固之间是无粘结的,后张法预应力筋无粘结的长度Lups等于锚具到锚具的距离。后张预应力钢筋在结合面预期达到的弯矩下附加伸长△prs是预应力筋达到应力水准时节点缝隙处的变形。 耗能钢筋受压应力可根据受压混凝土的变形协调和耗能钢筋应力应变关系计算,在位移极限状态下,也可取1.25f'y。
6.3.7 位移极限状态下,无粘结预应力全装配混凝土框架中,耗能钢筋应变ε s 和无粘结预应力筋的总应变ε p 应符合下列规定:

式中:ε s ——耗能钢筋的应变,按本标准第6.3.6条计算,计算时结合面转动角度θ取为0.035;
ε pu ——无粘结预应力筋应力达到0.95f stk 时的应变;
ε pt ——无粘结预应力筋在结合面缝隙张开时的附加应变,按本标准第6.3.6条计算,计算时结合面转动角度θ应取为0.035。
条文说明
6.3.7依据美国混凝土学会标准《DesignSpecificationforUnbondedPost-TensionedPrecastConcreteSpecialMomentFramesSatisfyingACI374.1》ACI550.3-13,将框架层间位移角达0.035时定义为结构的极限状态。
6.3.8 梁顶部和底部的耗能钢筋宜采用相同的强度等级和截面面积,截面面积A s 应符合下式规定:

式中:V Gk ——永久荷载标准值在结合面产生的剪力(N);
V Qk ——可变荷载标准值在结合面产生的剪力(N);
ψ——折减系数,取为0.85。
条文说明
6.3.8穿过交界面的耗能钢筋具行两个功能。第一,地震时在框架中率先消耗能量。第二,耗能钢筋穿过交界面分别锚固在柱内和梁上,若发生地震或其他原因导致后张预应力筋断裂等小概率事件时,耗能钢筋可以承受预制梁上的重力荷载,避免结构倒塌。 耗能钢筋应被有效锚固在柱和预制梁中,在结合面缝隙处钢筋的剪切屈服应力大约是拉伸屈服应力的一半。耗能钢筋受剪强度折减系数ψ参照美国混凝土协会标准《BuildingCodeRequirementsforStructuralConcrete》ACI318-2014中第9.3.4(C)的规定取0.85。耗能钢筋的钢筋截面面积和屈服强度满足下式条件时,在后张法预应力筋破坏的情况下,耗能钢筋足以阻止梁在重力荷载作用下的倒塌。 
6.3.9 极限状态下,无粘结预应力全装配混凝土框架梁柱结合面处,耗能钢筋的极限受弯承载力M su 和截面的极限受弯承载力M u 应符合下列规定:


式中:M su ——耗能钢筋的极限受弯承载力(N·mm);
M u ——截面的极限受弯承载力(N·mm);
M pu ——无粘结预应力筋的极限受弯承载力(N·mm);
σ p ——无粘结预应力筋的应力(N/mm 2 ),可按本标准第6.3.2条计算,计算时ε p 取为耗能钢筋应变达到0.075时无粘结预应力筋的应变。
条文说明
6.3.9框架自复位能力是通过后张拉预应力筋施加轴向压力实现的,在设计阶段,应通过选择适当的弯矩比值来保证框架的自复位能力。在反复荷载作用下,耗能钢筋承担的截面弯矩Ms应小于截面总弯矩的一半。 预制混凝土梁在梁柱结合面耗能钢筋受弯承载力Ms和后张预应力筋受弯承载力Mp由截面平衡条件导出。在极限状态下,计算耗能钢筋受弯承载力时,由于耗能钢筋在邻近结合面区段无粘结,钢筋周边无混凝土包裹,钢筋的应力发挥不受混凝土应变的制约,耗能钢筋的抗拉强度取极限强度标准值;耗能钢筋受压应力可根据受压混凝土的变形协调和耗能钢筋应力应变关系计算,也可取1.25f'y。计算后张预应力筋受弯承载力时,预应力筋强度值按照计算的应变值导出。
6.3.10 无粘结预应力全装配混凝土框架结构中,框架柱的承载力计算和构造要求除应符合现行行业标准《装配式混凝土结构技术规程》JGJ 1的规定外,柱端弯矩设计值和柱剪力设计值尚应符合下列公式规定:

式中:ΣM c ——节点上、下柱端截面顺时针或反时针方向组合的弯矩设计值之和(N·mm),上、下柱端的弯矩设计值,可按弹性分析分配;
ΣM u ——节点左、右梁端截面极限受弯承载力之和;
V c ——框架柱的剪力设计值(N);
M t cua 、M b cua ——框架柱上、下端按实配钢筋截面面积和材料强度标准值,且考虑承载力抗震调整系数计算的正截面抗震受弯承载力所对应的弯矩值(N·mm);
H n ——柱的净高(mm)。
条文说明
6.3.10预应力全装配混凝土框架结构柱的设计应符合现行行业标准《装配式混凝土结构技术规程》JGJ1的有关规定。本条的规定是为了保证预应力全装配混凝土框架柱具有足够的承载力。
6.3.11 无粘结预应力全装配混凝土框架结构中,框架梁的承载力计算和构造要求除应符合现行国家标准《混凝土结构设计规范》GB 50010的规定外,其考虑地震组合的梁端剪力设计值V b 尚应符合下式规定:

式中:V b ——考虑地震组合的梁端剪力设计值(N);
M l u 、M r u ——框架梁左、右端截面极限受弯承载力(N·mm);
l n ——框架梁的净跨(mm);
V Gb ——考虑地震组合时重力荷载代表值产生的剪力设计值(N),按现行国家标准《混凝土结构设计规范》GB 50010的规定计算。
6.3.12 无粘结预应力全装配混凝土框架应进行梁节点核心区抗震受剪承载力计算,节点构造措施应符合现行国家标准《建筑抗震设计规范》GB 50011的规定。在计算节点核心区截面抗震受剪承载力时,节点核心区的截面有效计算宽度b j 应扣除预留孔道的宽度,且不应计入正交梁的约束影响系数和预应力筋总有效预加力的影响。节点核心区的剪力设计值应符合下列公式规定:
其他层节点: 
顶层节点: 
式中:V j ——梁柱节点核心区组合的剪力设计值(N);
h b0 ——梁截面的有效高度(mm),节点两侧梁截面有效高度不等时可采用平均值;
a' s ——梁受压钢筋合力点至受压边缘的距离(mm);
H c ——柱的计算高度(mm),可采用节点上、下柱反弯点之间的距离;
h b ——梁的截面高度(mm),节点两侧梁截面高度不等时可采用平均值。
条文说明
6.3.12梁柱节点核心区抗震受剪承载力验算不考虑预应力对于节点的影响及正交梁的约束作用,节点核心区的截面有效验算宽度bj先按照现行国家标准《建筑抗震设计规范》GB50011的方法计算,再扣除耗能钢筋和后张预应力筋预留孔道的宽度。本条的规定是为了保证预应力全装配混凝土框架节点具有足够的承载力。
Ⅱ 构造要求
6.3.13 楼、屋面的结构布置不应对梁柱结合面处的承载力和刚度产生不利影响,且不宜在梁柱结合面处引起扭转效应。
条文说明
6.3.13需要特别处理楼板与预制梁、柱连接的细部构造,不应改变梁柱结合面的弯矩-转角关系,不应妨碍耗能钢筋在梁柱结合部屈服。可以沿着板和柱交界面放置20mm~30mm厚的可压缩填充物,仅将楼板与预制梁连接。在框架结构达到最大层间位移时,梁柱结合面应能充分转动,耗能钢筋应能屈服。 梁柱结合面处的扭矩仅依赖耗能钢筋销栓作用承担,抗扭能力较弱。楼面结构布置时,应避免传力构件与框架梁正交在梁端结合面引起扭转效应。例如,楼面结构的次梁不应以嵌固方式支承于框架的边梁,以免次梁负弯矩在边梁上引起扭转效应。
6.3.14 预制梁的配筋与构造(图6.3.14)应符合下列规定:

图6.3.14 节点构造示意
1-预埋角钢;2-耗能钢筋;3-预埋管;4-导槽;5-接缝砂浆;6-无粘结段;7-预应力孔道;8-无粘结预应力筋
1 后张无粘结预应力筋宜设置在梁截面的中心位置,单束预应力筋孔道应穿过梁的中轴线,双束预应力筋孔道应靠近并对称于梁的中轴线。
2 耗能钢筋应与预制梁钢筋搭接,并在预制梁预埋管中锚固,锚固长度l b 应满足现行国家标准《混凝土结设计规范》GB 50010规定的搭接长度,且不应小于25d b 。
3 预制梁中预埋管应与混凝土及管内灌浆料可靠锚固,其长度不宜小于1.2l b 。
4 耗能钢筋应穿过柱且锚固于框架柱内,其直径不应大于框架柱截面高度h c 的1/25。
5 后置导槽距梁边距离不应小于50mm。
条文说明
6.3.14后张无粘结预应力筋宜优先考虑设置在梁的中心位置,在侧向荷载下容易控制附加伸长,提供良好的自复位能力。耗能钢筋周边应与锚固砂浆充分包裹,满足粘结力传递要求。 耗能钢筋在结合面一侧穿过柱中预留孔道灌浆锚固,另一侧留置一定的无粘结区段,锚固在预制梁预埋管内。如预埋管采用钢管,由于钢管的约束作用,锚固长度可适当降低,预埋管内锚固长度lb可取25db;若锚固砂浆中掺入适量纤维,锚固长度lb可适当降低至20db。考虑到预埋管形式不统一,且此时尚应满足钢筋搭接要求,因此规定锚固长度lb应满足现行国家标准《混凝土结设计规范》GB50010规定的搭接长度,且不应小于25db。锚固砂浆的配合比、和易性、砂浆强度等应符合现行国家标准《水泥基灌浆材料应用技术规范》GB/T50448灌浆浆体性能指标。 耗能钢筋在柱内应粘结锚固,在梁靠近梁柱交界面附近无粘结。对于框架中柱,耗能钢筋穿过柱且锚固于框架柱内,在强震作用下,穿过中柱的耗能钢筋在柱的一侧受压,另一侧受拉,拉、压应力的转换主要依靠穿过节点区钢筋的粘结力实现。在反复荷载作用下,节点区钢筋与混凝土会发生粘结力退化,导致耗能钢筋产生滑移,良好的粘结锚固性能是确保混凝土与钢筋能够共同工作的必要条件,现行国家标准《建筑抗震设计规范》GB50011通过限制贯穿中柱的每根钢筋直径不应大于柱在该方向截面尺存的1/20来满足纵向钢筋伸入节点的握裹要求,考虑耗能钢筋通常设置5db的无粘结段,因此要求柱截面高度应大于25db,耗能钢筋锚固长度不满足要求时,也可通过调整钢筋直径降低锚固长度。 后置导槽为安装耗能钢筋的构造措施,依据实际情况设置。
6.3.15 耗能钢筋与预制梁钢筋搭接长度范围内,应在截面上下部位分别设置封闭箍筋、螺旋箍筋或焊接钢筋网片等附加横向钢筋(图6.3.15)。穿过潜在劈裂破坏面的附加横向钢筋应分别按下列公式进行计算:

图6.3.15 锚固区横向钢筋构造示意
1-附加横向钢筋;2-预应力孔道;3-耗能钢筋;4-潜在劈裂破坏面
1 上部截面:

2 下部截面:

式中:s v ——耗能钢筋范围附加横向钢筋的间距(mm);
f yk ——附加横向钢筋的屈服强度标准值(N/mm 2 );
A sv ——配置在同一箍筋间距内,穿过潜在劈裂破坏面的附加横向钢筋全部截面面积(mm 2 );
f stk 一一耗能钢筋的极限强度标准值(N/mm 2 );
l b ——耗能钢筋锚固长度(mm)。
条文说明
6.3.15穿过结合面的顶部与底部的耗能钢筋与预制梁顶部与底部钢筋搭接锚固。锚固区应沿水平和竖向布置附加约束钢筋,防止锚固区产生劈裂破坏,实现耗能钢筋的可靠锚固。附加约束钢筋应具有屈服强度Avcfyk,上部钢筋用0.7Asfstksv/lb计算,下部钢筋用0.7A'sfstksv/lb计算。
6.3.16 梁柱结合面砂浆、耗能钢筋孔道灌浆和导槽锚固砂浆应采用补偿收缩水泥基灌浆料,灌浆料的性能应符合现行国家标准《水泥基灌浆材料应用技术规范》GB/T 50448的规定。结合面接缝砂浆宜掺加0.1%体积配筋率的纤维,砂浆厚度不得超过30mm,砂浆的抗压强度应大于结合面混凝土的抗压强度,砂浆抗压强度标准试件尺寸应采用100mm×100mm×100mm。
条文说明
6.3.16梁柱结合面之间的连接效果取决于结合面上砂浆的性能,在结合面砂浆里掺加增强纤维是为了增加砂浆的韧性和极限变形能力,不发生压碎或脱落。纤维可采用钢纤维,也可采用有机合成纤维。 砂浆的抗压强度应该与预制梁混凝土的抗压强度相近。如果砂浆的强度比梁端的混凝土强度大很多,会导致在高应变下梁端部混凝土过早地压坏。
6.3.17 预制梁安装时,宜在梁底设置角钢托架,角钢托架应进行承载力验算。
条文说明
6.3.17预制梁吊装就位后,对梁柱结合部灌注砂浆,砂浆达到设计强度后张拉预应力,角钢托架可在预应力筋张拉锚固后拆除,也可作为竖向荷载作用下的第二道防线。
6.3.18 无粘结预应力筋端部锚固区的承载力、构造及锚具防护要求应符合现行行业标准《无粘结预应力混凝土结构技术规程》JGJ 92的规定。
本标准用词说明
本标准用词说明
1 为便于在执行本标准条文时区别对待,对要求严格程度不同的用词说明如下:
1)表示很严格,非这样做不可的:
正面词采用“必须”,反面词采用“严禁”;
2)表示严格,在正常情况下均应这样做的:
正面词采用“应”,反面词采用“不应”或“不得”;
3)表示允许稍有选择,在条件许可时首先应这样做的:
正面词采用“宜”,反面词采用“不宜”;
4)表示有选择,在一定条件下可以这样做的,采用“可”。
2 条文中指明应按其他有关标准执行的写法为:“应符合……的规定”或“应按……执行”。
引用标准名录
引用标准名录
1《建筑结构荷载规范》GB 50009
2《混凝土结构设计规范》GB 50010
3《建筑抗震设计规范》GB 50011
4《建筑工程抗震设防分类标准》GB 50223
5《水泥基灌浆材料应用技术规范》GB/T 50448
6《纤维增强复合材料建设工程应用技术规范》GB 50608
7《预应力筋用锚具、夹具和连接器》GB/T 14370
8《装配式混凝土结构技术规程》JGJ 1
9《无粘结预应力混凝土结构技术规程》JGJ 92
10《缓粘结预应力混凝土结构技术规程》JGJ 387
11《无粘结预应力钢绞线》JG/T 161
