Appearance
《钢框架内填墙板结构技术标准[附条文说明]》JGJ/T 490-2021
🗓️ 住房和城乡建设部 实施时间:2021-10-01
前言
中华人民共和国行业标准
钢框架内填墙板结构技术标准
Technical standard for steel frames filling with wall
JGJ/T 490-2021
备案号 J 1632-2021
批准部门:中华人民共和国住房和城乡建设部
施行日期:2 0 2 1 年 1 0 月 1 日
中华人民共和国住房和城乡建设部公告
2021年 第110号
住房和城乡建设部关于发布行业标准《钢框架内填墙板结构技术标准》的公告
现批准《钢框架内填墙板结构技术标准》为行业标准,编号为JGJ/T 490-2021,自2021年10月1日起实施。
本标准在住房和城乡建设部门户网站(www.mohurd.gov.cn)公开,并由住房和城乡建设部标准定额研究所组织中国建筑出版传媒有限公司出版发行。
中华人民共和国住房和城乡建设部
2021年6月30日
前言
根据《住房城乡建设部关于印发2014年工程建设标准规范制订修订计划的通知》(建标[2013]169号)的要求,标准编制组经广泛调查研究,认真总结实践经验,参考有关国际标准和国外先进标准,在广泛征求意见的基础上,编制了本标准。
本标准主要技术内容是:1.总则;2.术语和符号;3.设计基本规定;4.材料;5.结构布置和结构分析;6.构件设计和刚度计算;7.连接设计;8.构件的加工制作与施工;9.钢结构防护;10.验收。
本标准由住房和城乡建设部负责管理,由中国建筑标准设计研究院有限公司负责具体技术内容的解释。执行过程中如有意见和建议,请寄送:中国建筑标准设计研究院有限公司(地址:北京市海淀区首体南路9号主语国际2号楼,邮编:100048)。
本标准主编单位: 中国建筑标准设计研究院有限公司
本标准参编单位: 广西五鸿建设集团有限公司
浙江大学
苏州科技大学
清华大学
杭萧钢构股份有限公司
陕西建工机械施工集团有限公司
广东海龙建筑科技有限公司
贵州省交通规划勘察设计研究院股份有限公司
北京艺成园装修设计有限公司
本标准主要起草人员: 郁银泉 顾强 童根树 郭彦林 王喆 孙国华 杨强跃 李存良 张宗军 陈雨嘉 蔡立宗 王琼 赵宝军 韦勇群 王念恋 赵凤杰 李梦凡
本标准主要审查人员: 范重 李国强 章一萍 牟在根 张惠江 祝磊 黄锐 田春雨 梁佶
1 总则
1 总则
1.0.1 为了在多高层建筑中合理应用钢框架内填墙板结构,做到技术先进、安全适用、经济合理、确保质量,制定本标准。
条文说明
1.0.1 本条是多高层民用建筑工程中合理应用内填墙板结构必须遵循的总方针。
1.0.2 本标准适用于多高层钢框架内填钢筋混凝土墙板及多高层钢框架内填竖缝钢筋混凝土墙板结构的设计、加工制作、施工与验收。
本标准不适用于建造在危险地段以及发震断裂最小避让距离内的钢框架内填墙板结构。
条文说明
1.0.2 钢框架内填墙板结构适用于6度~9度地震地区,不同类型的内填墙板结构适用于不同的高度,设计时应按本标准规定执行。 本条还规定,本标准不适用于建造在危险地段及发震断裂最小避让距离之内的建筑。大量地震震害及其他自然灾害表明,在危险地段及发震断裂最小避让距离之内建造房屋和构筑物较难幸免灾祸;我国也没有在危险地段和发震断裂的最小避让距离内建造建筑的工程实践经验和相应的研究成果,本标准也没有专门条款。发震断裂的最小避让距离应符合现行国家标准《建筑抗震设计规范》GB 50011的有关规定。
1.0.3 钢框架内填墙板结构的设计、加工制作、施工与验收除应符合本标准外,尚应符合国家现行有关标准的规定。
2 术语和符号
2.1 术语
2 术语和符号
条文说明
“钢框架内填墙板结构”是在钢框架的梁柱平面内填充抗侧力的混凝土墙板,墙板可以预制,也可以现浇。钢框架具有较好的延性和自恢复能力,预制混凝土墙板具有较大的抗侧刚度和合适的抗侧承载力,形成一类新的结构体系。墙板仅承受水平力。适合用于住宅等钢结构建筑。
2.1 术语
2.1.1 钢框架内填混凝土墙板结构 steel frame filling with reinforced concrete wall
由钢梁与钢柱(或钢管混凝土柱)组成钢框架,并在钢框架面内设置作为抗侧力构件的混凝土墙板而形成的结构,能够承担弯矩、竖向轴力和水平剪力,通过连接构造使墙板仅承受水平力。墙板与钢框架梁由界面抗剪键连接,墙板与钢柱可通过抗剪连接键连接或不连接。
2.1.2 钢筋混凝土预制墙板 precast concrete wall
在工厂或现场预先制作的钢筋混凝土墙。
2.1.3 带竖缝混凝土墙 reinforced concrete shear wall with slits
带有局部竖缝的钢筋混凝土墙板,通过竖缝段的弯剪屈服提供抗剪承载力,相比剪切破坏,具有较好延性。
2.1.4 界面抗剪键 interfacial shear connector
将内填墙与钢框架的梁或柱连接起来,使两者之间能够传递内力并共同工作的零件,一般为栓钉。
2.1.5 剪切膜单元 shear membrane element
只承受剪力的单元,在整体模型中四个角点必须与梁柱构件相连。
2.1.6 拉压刚度折减单元 element with reduced tension and compression stiffness
为了模拟墙板不承受或少量承受竖向轴力和弯矩,对正常的各向同性的平面应力单元的物理矩阵中的两个相互垂直方向上的拉压刚度乘以小于1的折减系数,这样得到的平面应力单元。
2.1.7 自复位能力 resilient capability
在一定的变形范围内,水平力作用后结构整体恢复到原先位置的能力。
2.1.8 边缘加强带 strengthened interface
为了保证界面抗剪键能够得到混凝土良好的包裹作用,保证界面抗剪强度,对界面抗剪键附近的混凝土增配钢筋和加密箍筋所形成的边缘带。
2.2 符号
2.2 符号
2.2.1 作用及作用效应
G i ——第i层重力荷载设计值;
G j ——第j层的重力荷载代表值;
M——内填墙板所承受的设计弯矩;
M pR ——半刚性连接的塑性抗弯承载力;
N——钢柱轴向压力设计值;
N 1 ——缝间墙宽度传给钢梁腹板的竖向力;
N t c ——单个栓钉抗拉承载力;
N v ——栓钉所受剪力设计值;
N v c ——单个栓钉抗剪承载力;
∑N v c ——角部加强板预埋在混凝土墙内栓钉提供的抗剪能力;
R d ——结构抗力;
S d ——不考虑地震作用时,荷载组合的效应设计值;
S E ——考虑多遇地震作用时,荷载和地震作用组合的效应设计值;
S k ——荷载效应组合标准值;
V——剪力设计值;
V 1 ——单肢缝间墙板的剪力设计值;
V b,FEM ——结构内力分析墙板采用不承担竖向荷载的剪切膜单元时框架梁的剪力;
V d ——墙肢拼接竖缝抗剪承载力设计值;
V Eki ——第i层对应于水平地震作用标准值的楼层剪力;
V Gv ——重力产生的梁端剪力设计值;
V h ——墙板-钢柱界面剪力;
V j ——梁柱连接的竖向抗剪承载力;
V k ——墙板剪切承载力标准值;
V s ——墙板的水平剪力设计值;
V u1 ——单肢缝间墙弯曲破坏时最大抗剪承载力;
V w ——内嵌墙水平抗剪承载力的标准值;
V y1 ——分缝间墙受拉纵筋屈服时的抗剪承载力。
2.2.2 材料性能及抗力
B 1 ——缝间墙抗弯刚度;
EI b ——钢梁抗弯刚度;
E c ——混凝土弹性模量;
EJ d ——结构一个主轴方向的弹性等效侧向刚度;
f c ——混凝土轴心抗压强度设计值;
f ck ——混凝土抗压强度标准值;
f shyk ——水平横向钢筋强度标准值;
f t ——混凝土抗拉强度设计值;
f tk ——混凝土抗拉强度标准值;
f v ——梁腹板或加强板钢材的抗剪强度设计值;
f y ——纵向受拉钢筋强度设计值;
f yb ——钢梁钢材的屈服强度;
f yc ——柱钢材的屈服强度;
f yk ——纵向受拉钢筋强度标准值;
f yv ——钢筋抗拉强度设计值;
f yvk ——水平钢筋抗拉强度标准值;
K 0 ——半刚性连接的初始转动刚度;
K u ——缝间墙达到弯曲最大承载力时墙板的整体抗侧移刚度;
K y ——缝间墙纵筋屈服时墙板的整体抗侧移刚度。
2.2.3 几何参数
A c ——抵抗剪力的混凝土截面积;
A g ——墙板毛截面面积;
A s ——缝间墙所配纵向受拉钢筋截面积;
A sh ——配置在同一水平截面内的水平分布钢筋的全部截面面积;
A sv ——配置在同一截面箍筋各肢的全部截面积;
a 1 ——墙肢内受拉钢筋截面形心至缝间墙边缘的距离;
b——墙板宽度;
b v ——梁柱节点部角部加强板的宽度;
c——高强螺栓中心到连接件边缘的距离;
d 0 ——高强螺栓孔径;
e w 、e f ——高强螺栓中心到连接件或工字形梁腹板和翼缘的垂直距离;
H——房屋高度;
h——层间墙高度;
h 0 ——墙截面有效高度;
h 1 ——竖缝的高度;
h bw ——钢梁腹板的高度;
h sol ——实体墙部分的高度;
h v1 、h v2 ——用于加强梁端截面抗剪强度的角部抗剪加强板的高度;
l n ——框架梁净跨;
l 1 ——竖缝墙墙肢宽度,含缝宽;
l 0 ——单肢缝间墙的净宽;
L——跨度,是柱形心轴到柱形心轴的距离;
L b ——钢梁跨度;
L w ——墙板的净宽;竖缝时扣除缝宽;
l c ——槽钢长度;
l n ——钢梁净跨度;
s——沿竖缝墙高度方向的箍筋间距;
s v ——水平分布钢筋的竖向间距;
t——墙板厚度;
t bw ——钢梁腹板厚度;
t c ——混凝土墙厚度;
t eq ——竖缝墙等效成同强度等级的实体墙的厚度;
t v ——梁柱节点角部加强板的厚度;
t w ——钢梁腹板厚度;
W pc 、W pb ——柱、梁截面塑性模量;
ω b ——承受竖向力的腹板宽度;
x——缝间墙缝根截面混凝土的受压区高度;
x 1 ——轴力最大连接件到中和轴的距离;
x i ——第i个连接件到中和轴的距离;
△u e ——多遇地震作用标准值或风荷载标准值产生的侧移;
θ——层间侧移角。
2.2.4 计算系数及其他
[C]——结构或构件达到正常使用要求的变形容许值;
k s ——竖向约束力对实体墙斜截面抗剪承载力影响系数;
n——结构计算总层数;
n 1 ——墙肢的数量;
n s ——钢梁与墙板连接栓钉的数量;
β——增强系数;
γ——抗剪栓钉抗拉强度最小值与屈服强度之比;
γ 0 ——结构重要性系数;
γ RE ——墙板的承载力抗震调整系数;
ξ——考虑剪切变形影响的刚度修正系数;
η——强柱系数;
η j 、η w ——超强系数;
η v ——剪力设计值调整系数;
λ——剪跨比;
λ s ——剪应力不均匀修正系数;
μ——摩擦系数;
ρ——缝间墙受拉纵向钢筋的配筋率;
ρ 1 ——截面配筋系数,是单侧纵筋抗拉强度设计值与截面混凝土抗压强度设计值的比值;
ρ sh ——墙板水平横向钢筋配筋率;
ψ 1 ——栓钉在循环荷载作用下的强度折减系数;
φ——稳定系数。
3 设计基本规定
3.1 一般规定
3 设计基本规定
3.1 一般规定
3.1.1 钢框架内填墙板结构的安全等级和设计使用年限应符合现行国家标准《建筑结构可靠性设计统一标准》GB 50068和《工程结构可靠性设计统一标准》GB 50153的规定。
3.1.2 钢框架内填墙板结构应按现行国家标准《建筑工程抗震设防分类标准》GB 50223的规定确定其抗震设防类别。
条文说明
3.1.1、3.1.2 本条是钢框架内填墙板结构构件承载力设计的原则规定,采用了以概率理论为基础、以可靠指标度量结构可靠度、以分项系数表达的设计方法。本条针对持久设计状况、短暂设计状况和地震设计状况下构件的承载力极限状态设计,与现行国家标准《工程结构可靠性设计统一标准》GB 50153和《建筑抗震设计规范》GB 50011保持一致。 结构构件作用组合的效应设计值应符合相关标准的规定。由于内填墙板结构的安全等级一般不低于二级,因此结构重要性系数的取值不应小于1.0。按照现行国家标准《工程结构可靠性设计统一标准》GB 50153的规定,结构重要性系数不再考虑结构设计使用年限的影响。 本标准中的甲类建筑、乙类建筑、丙类建筑分别为现行国家标准《建筑工程抗震设防分类标准》GB 50223中的特殊设防类、重点设防类、标准设防类的简称。
3.1.3 钢框架内填墙板结构承载能力应满足下列公式要求:
不考虑地震作用时:

考虑多遇地震作用时:

式中:γ 0 ——结构重要性系数;
S d ——不考虑地震作用时,承载力极限状况下作用组合的效应设计值;
S E ——考虑多遇地震作用时,承载力极限状况下地震作用组合的效应设计值;
R d ——结构抗力;
γ RE ——承载力抗震调整系数,应按现行国家标准《建筑抗震设计规范》GB 50011的有关规定取值。
3.1.4 钢框架内填墙板结构正常使用极限状态应满足下式规定:

式中:[C]——结构或构件达到正常使用要求的变形容许值;
S k ——荷载作用组合的效应标准值。
3.1.5 在风荷载或多遇地震标准值作用下,考虑本标准第5.3节规定的刚度折减后,钢框架内填墙板结构的弹性层间位移角限值宜按表3.1.5采用。

条文说明
3.1.5 混凝土会出现开裂和徐变,它们的影响难以得到精确考虑,因此钢筋混凝土结构以较严的侧移指标进行设计。李宏男等在建筑结构学报,2004,25(5)上发表了“钢筋混凝土剪力墙抗震恢复力模型及试验研究”一文,文中给出了9个试件的初始刚度,9个试件的轴压比分别是0.1,0.2,0.3;剪跨比分别是1,1.5,2;采用规范规定的混凝土弹性模量及换算的剪切模量,试件截面是700mm×100mm,C30混凝土,按照弯剪型悬臂构件计算其顶部侧移的抗侧刚度,表1给出其比值。可见,钢筋混凝土剪力墙的刚度很难确定。 
本条确定,在既存在钢构件,又存在混凝土剪力墙的情况下,对混凝土墙板的刚度,在名义值的基础上进行较大幅度的折减,这样算出的侧移较大,相应的侧移限值也参考钢结构确定。竖缝墙结构的侧移限值与现行行业标准《高层民用建筑钢结构技术规程》JGJ 99保持一致,混凝土实体墙板部分根据本标准第6章的要求考虑了刚度折减后比纯弯结构仍然要严,但比钢筋混凝土结构已经较大幅度放宽。
3.1.6 在罕遇地震作用下,钢框架内填墙板结构的弹塑性层间位移角限值宜按表3.1.6采用。

3.1.7 钢框架内填墙板结构的整体稳定性应满足下式要求:

式中:G i ——第i楼层重力荷载设计值(kN);
H——房屋高度(mm);
EJ d ——结构一个主轴方向的弹性等效侧向刚度(kN·mm 2 ),可按倒三角形分布荷载作用下结构顶点位移相等的原则,将结构的侧向刚度折算为竖向悬臂受弯构件的等效侧向刚度。
条文说明
3.1.7 本条用于控制重力P-△效应不超过20%,使结构的稳定具有适宜的安全储备。综合考虑了钢框架的特点和混凝土刚度退化因素。在水平力作用下,钢框架内填墙板结构的稳定应满足本条的规定,不应放松要求。如不满足本条的规定,应调整并增大结构的侧向刚度。 为了便于广大设计人员理解和应用,本条表达采用了行业标准《高层建筑混凝土结构技术规程》JGJ 3-2010第5.4.4条相同的形式。钢框架内填墙板结构的恒活组合下的整体屈曲因子不应小于5。
3.2 荷载效应
3.2 荷载效应
3.2.1 钢框架内填墙板结构的荷载标准值、荷载分项系数、荷载组合及组合值系数应按现行国家标准《建筑结构荷载规范》GB 50009的规定执行。
3.2.2 结构的承载能力极限状态设计应采用荷载的基本组合,正常使用极限状态设计应采用荷载的标准组合进行计算。
条文说明
3.2.2 本条是钢框架内填墙板结构极限状态设计时作用组合效应的基本要求,主要根据现行国家标准《工程结构可靠性设计统一标准》GB 50153、《建筑结构荷载规范》GB 50009、《建筑抗震设计规范》GB 50011的有关规定制订。结构的承载能力验算应包括构件和连接的强度、结构和构件的稳定性的验算。
3.2.3 钢框架内填墙板结构抗震计算时的阻尼比,在多遇地震下可取0.04,在罕遇地震下可取0.05。
3.2.4 结构按多遇地震进行抗震变形验算时,可不计入与风荷载效应的组合;进行罕遇地震作用验算时竖向荷载宜取重力荷载代表值,且不应计入风荷载效应的组合。
3.2.5 当结构质量和刚度的分布基本对称时,可沿结构的两个主轴方向分别计算水平地震作用,各方向的水平地震作用应由该方向抗侧力构件承担。
3.2.6 质量和刚度分布明显不对称的结构,应计算双向水平地震作用并计入扭转的影响。
3.2.7 钢框架内填墙板结构在多遇地震作用下任一楼层的水平地震剪力应符合下式要求:

式中:V Eki ——第i层对应于水平地震作用标准值的楼层剪力(kN);
λ——剪力系数,应按现行国家标准《建筑抗震设计规范》GB 50011的规定执行;
G j ——第j层的重力荷载代表值(kN);
n——结构计算总层数。
3.2.8 地震作用及抗震计算除应符合本标准外,尚应符合现行国家标准《建筑抗震设计规范》GB 50011的规定。
3.3 抗震等级
3.3 抗震等级
3.3.1 钢框架内填墙板结构的抗震措施应符合现行国家标准《建筑工程抗震设防分类标准》GB 50223和《建筑抗震设计规范》GB 50011的有关规定。
3.3.2 当建筑场地为Ⅲ、Ⅳ类时,对设计基本地震加速度为0.15g和0.30g的地区,宜分别按抗震设防烈度8度(0.2g)和9度时的要求采取抗震构造措施。
3.3.3 抗震设计时,钢框架内填墙板结构中的钢框架梁柱构件应根据抗震设防分类、地震烈度和房屋高度采用不同的抗震等级,并应符合相应的计算和构造措施要求。丙类建筑中的钢框架梁柱构件的抗震等级应与按现行国家标准《建筑抗震设计规范》GB 50011的有关规定确定的房屋抗震等级相同。对甲类建筑和房屋高度超过50m的乙类建筑,应按本地区抗震设防烈度提高一度的要求加强其抗震措施,抗震设防烈度为9度时应按比9度更高的要求采取抗震措施。内填墙板的抗震等级按表3.3.3确定,并符合现行国家标准《建筑抗震设计规范》GB 50011的有关规定。

条文说明
3.3.3 关于墙板的抗震等级:混凝土墙板内填在钢框架内,因为钢框架的限制作用,钢梁钢柱又能够独自承担重力荷载,墙板受到的轴力处于很小的范围,在这个很小范围内的少量轴力,既有利于延性,也有利于抗剪强度。内填墙板的斜裂缝是散布开来的,大幅度改进了墙板的延性,图1所示是孙国华博士的试验研究揭示的实体墙板裂缝分布发展情况,墙板的承载力也不退化。在正常使用极限状态,因为水平力持续很短时间,在自身弹性恢复力和钢框架的弹性恢复力作用下微裂缝会很快闭合。 

本标准对墙板抗震等级的划分,参考了现行行业标准《高层建筑混凝土结构技术规程》JGJ 3的有关规定,相应抗震措施应符合现行国家标准《建筑抗震设计规范》GB 50011的有关规定。
4 材料
4.1 钢材
4 材料
4.1 钢材
4.1.1 钢材的选用应综合考虑构件的重要性和荷载特征、结构形式和连接方法、应力状态、工作环境以及钢材品种和厚度等因素,合理地选用钢材牌号、质量等级及其性能要求,并应在设计文件中完整地注明对钢材的技术要求。
条文说明
4.1.1 工程经验表明,以民用建筑钢结构为代表的现代钢结构对钢材的品种、质量和性能有着更高的要求,同时也要求在设计选材中更要做好优化比选工作。本条依据相关设计规范和工程经验并结合多高层民用建筑钢结构的用钢特点,提出了选材时应综合考虑的诸要素。其中应力状态指弹性或塑性工作状态和附加应力(约束应力、残余应力)情况;工作环境指高温、低温或露天等环境条件;钢材品种指轧制钢材、冷弯钢材或铸钢件;钢材厚度主要指厚板、厚壁钢材。为了保证结构构件的承载力、延性和韧性并防止脆性断裂,工程设计中应综合考虑上述要素,正确合理的选用钢材牌号、质量等级和性能要求。同时由于钢结构工程中钢材费用约可占到工程总费用的60%左右,故选材还应充分考虑到工程的经济性,选用性价比较高的钢材,例如Q355~Q460钢材。此外作为工程重要依据,在设计文件中应完整的注明对钢材和连接材料的技术要求,包括牌号、型号、质量等级、力学性能和化学成分、附加保证性能和复验要求,以及应遵循的技术标准等。
4.1.2 钢材的牌号和质量等级应符合下列规定:
1 主要承重构件所用钢材的牌号宜选用Q355钢或更高强度级别的钢材,也可选用Q235钢材。一般构件宜选用Q355钢或Q235钢,其材质和材料性能应分别符合现行国家标准《低合金高强度结构钢》GB/T 1591或《碳素结构钢》GB/T 700的规定。
2 主要承重构件所用板材厚度大于60mm时,宜选用高性能建筑用GJ钢板,其材质和材料性能应符合现行国家标准《建筑结构用钢板》GB/T 19879的规定。
3 承重构件所用钢材的质量等级不宜低于B级;承重构件中厚度不小于40mm的受拉板件,当其工作温度低于-20℃时,宜适当提高其所用钢材的质量等级。
4.1.3 承重构件所用钢材应具有屈服强度、抗拉强度、伸长率等力学性能和冷弯试验的合格保证;同时应具有碳、硫、磷等化学成分的合格保证。焊接结构所用钢材尚应具有良好的焊接性能,其碳当量或焊接裂纹敏感性指数应符合设计要求及相关标准的规定。
4.1.4 钢框架构件的钢材性能要求尚应符合国家现行标准《建筑抗震设计规范》GB 50011、《钢结构设计标准》GB 50017及《高层民用建筑钢结构技术规程》JGJ 99的有关规定。
4.1.5 钢结构楼盖采用压型钢板组合楼板时,宜采用闭口型压型钢板,其材质和材料性能应符合现行国家标准《建筑用压型钢板》GB/T 12755的相关规定。
4.2 混凝土和钢筋
4.2 混凝土和钢筋
4.2.1 墙板的混凝土强度等级不应低于C30,不宜高于C50,采用钢管混凝土柱时,柱中填充的混凝土强度等级不应低于C30,且填充的混凝土强度等级应与钢管钢材强度等级匹配。混凝土材料的力学性能、强度标准值应符合现行国家标准《混凝土结构设计规范》GB 50010的规定。
条文说明
4.2.1 填充的混凝土强度等级应与钢管钢材强度等级相匹配:对Q235钢管柱,宜填充C30~C45级的混凝土;对Q355钢管柱,宜填充C35~C60级的混凝土;对Q390、Q420钢管柱,宜填充C40~C80级的混凝土。墙板混凝土的强度等级宜采用C30~C40。
4.2.2 结构中的受力钢筋及其性能应符合现行国家标准《混凝土结构设计规范》GB 50010的有关规定。内填墙板中的受力钢筋尚应符合下列规定:
1 钢筋的抗拉强度实测值与屈服强度实测值的比值不应小于1.25;
2 钢筋的屈服强度实测值与名义屈服强度的比值不应大于1.30;
3 钢筋最大拉力下的总伸长率实测值不应小于9%。
4.3 连接材料
4.3 连接材料
4.3.1 钢结构所用焊接材料的选用应符合下列规定:
1 手工焊焊条或自动焊焊丝和焊剂的性能应与构件钢材性能相匹配,其熔敷金属的力学性能不应低于母材的性能。当两种强度级别的钢材焊接时,宜选用与强度较低钢材相匹配的焊接材料。
2 焊条的材质和性能应符合现行国家标准《非合金钢及细晶粒钢焊条》GB/T 5117、《热强钢焊条》GB/T 5118的有关规定。框架梁柱刚接节点的焊缝宜采用低氢型焊条。
3 焊丝的材质和性能应符合现行国家标准《熔化焊用钢丝》GB/T 14957、《熔化极气体保护电弧焊用非合金钢及细晶粒钢实心焊丝》GB/T 8110、《非合金钢及细晶粒钢药芯焊丝》GB/T 10045及《热强钢药芯焊丝》GB/T 17493的有关规定。
4 埋弧焊用焊丝和焊剂的材质和性能应符合现行国家标准《埋弧焊用非合金钢及细晶粒钢实心焊丝、药芯焊丝和焊丝-焊剂组合分类要求》GB/T 5293、《埋弧焊用热强钢实心焊丝、药芯焊丝和焊丝-焊剂组合分类要求》GB/T 12470的有关规定。
4.3.2 钢结构用螺栓紧固件材料的选用应符合下列规定:
1 普通螺栓宜采用4.6或4.8级C级螺栓,其性能与尺寸规格应符合现行国家标准《紧固件机械性能 螺栓、螺钉和螺柱》GB/T 3098.1、《六角头螺栓 C级》GB/T 5780和《六角头螺栓》GB/T 5782的规定。
2 钢结构承重构件的高强度螺栓连接应采用摩擦型连接,其螺栓可选用大六角高强度螺栓或扭剪型高强度螺栓。高强度螺栓的材质、材料性能、级别和规格应分别符合现行国家标准《钢结构用高强度大六角头螺栓》GB/T 1228、《钢结构用高强度大六角螺母》GB/T 1229、《钢结构用高强度垫圈》GB/T 1230、《钢结构用高强度大六角螺栓、大六角螺母、垫圈技术条件》GB/T 1231和《钢结构用扭剪型高强度螺栓连接副》GB/T 3632的规定。
3 锚栓钢材可采用现行国家标准《碳素结构钢》GB/T 700规定的Q235钢,《低合金高强度结构钢》GB/T 1591中规定的Q355钢、Q390钢。
4.3.3 圆柱头焊钉(栓钉)连接件的材料应符合现行国家标准《电弧螺柱焊用圆柱头焊钉》GB/T 10433的规定。其屈服强度不应小于320N/mm 2 ,抗拉强度不应小于400N/mm 2 ,伸长率不应小于14%。
条文说明
4.3.1~4.3.3 与现行行业标准《高层民用建筑钢结构技术规程》JGJ 99保持一致。
5 结构布置和结构分析
5.1 一般规定
5 结构布置和结构分析
5.1 一般规定
5.1.1 钢框架内填墙板结构的建筑设计应根据抗震概念设计的要求明确建筑形体的规则性;不规则的建筑方案应按规定采取加强措施;特别不规则的建筑方案应进行专门研究和论证。结构布置规则性的判断,应按现行行业标准《高层民用建筑钢结构技术规程》JGJ 99的有关规定执行。
5.1.2 钢框架内填墙板结构的内填墙板宜双向布置,并使结构两个主轴方向的侧向刚度接近。梁与内填墙板的中线应重合;框架梁、柱中心线之间有偏离时,应考虑其不利影响。
5.1.3 在钢框架内填墙板结构中,内填墙板的布置应遵循“均匀、分散、对称、周边”的原则。同一楼层同方向宜采用同一类型的内填墙板。
条文说明
5.1.3 “均匀、分散、对称、周边”原则中,“均匀、分散”是指内填墙板的片数宜较多,均匀、分散布置在建筑平面上。“对称”是指内填墙板在结构单元的平面上应尽可能对称布置。使水平力作用线尽可能靠近刚度中心,避免产生过大的扭矩。“周边”是指内填墙板应尽可能布置在建筑平面周边,以加大其抗扭转的力臂,提高其抵抗扭转的能力,同时在端部附近设内填墙板可以避免端部楼板外挑长度过大。一般情况下,内填墙板宜布置在结构平面中平面形状变化较大的角隅部位、建筑物端部附近以及楼梯、电梯间。
5.1.4 在抗震设防的钢框架内填墙板结构中,内填墙板竖向宜连续布置,并延伸至基础。
条文说明
5.1.4 内填墙板在地下室可用现浇墙代替。此条规定与行业标准《高层民用建筑钢结构技术规程》JGJ 99-2015第3.3.2条一致并加以补充。楼、电梯间等竖井的设置,宜尽量与其附近的框架或内填墙板的布置相结合,使之形成连续、完整的抗侧力结构。
5.1.5 不宜在需要开洞的部位布置内填墙板;内填墙板开洞时,洞口上下宜对齐,且洞口高度或宽度不宜大于墙高或墙宽的1/3。如同一跨内布置门洞,门洞上部的钢梁设计应按现行行业标准《高层民用建筑钢结构技术规程》JGJ 99中有关偏心支撑框架消能连梁段的要求设计。
条文说明
5.1.5 墙板开大洞时,会改变结构体系,使得一片剪力墙变成连肢剪力墙;对此本条提出了相关注意事项。
5.2 结构体系、选型和布置
5.2 结构体系、选型和布置
5.2.1 内填墙板可采用预制钢筋混凝土墙板、现浇钢筋混凝土墙板或带竖缝钢筋混凝土墙板,墙板与钢框架的连接应符合下列规定:
1 当采用现浇混凝土墙板时,钢框架的梁和柱与钢筋混凝土墙板之间应采用抗剪键连接;
2 采用预制混凝土墙板及带竖缝钢筋混凝土墙板时,可预先在墙板周边预埋钢连接件,现场直接与钢框架的梁和柱焊接或螺栓连接。
5.2.2 抗震设防烈度为6度至9度的丙类钢框架内填墙板结构适用的最大高度宜符合表5.2.2的规定。

条文说明
5.2.2 虽然钢筋混凝土实体墙呈现出良好的延性,本条仍对实体墙的高度进行较严格的限制,期待积累一定应用后再放宽;竖缝剪力墙同现行行业标准《高层民用建筑钢结构技术规程》JGJ 99-2015的有关规定。
5.2.3 钢框架内填墙板结构的高宽比应符合现行行业标准《高层民用建筑钢结构技术规程》JGJ 99的规定。
5.2.4 钢框架的梁柱宜采用刚性连接。钢框架内填墙板跨的梁柱可采用刚性连接或半刚性连接,半刚性连接时,内填墙板与钢柱连接部位应通高布置抗剪键。
条文说明
5.2.4 虽然钢框架内嵌混凝土墙板后,对内填跨的钢梁与钢柱的连接节点的要求已经大幅度下降,但是采用刚接能够增强钢框架的恢复力,在不增加安装制作复杂度的情况下,仍宜采用刚接。
5.2.5 内填混凝土墙板需要开洞时,洞口周边应布置加强钢筋。需要设置门洞等大的洞口时,洞口边的墙板在自由边需设置边缘构件。
5.2.6 内填混凝土墙板需要在现场进行拼接时,可将内置墙体的钢筋布置成双层,单个预制墙板在连接缝处将双侧钢筋预留出来,在缝隙处实施钢筋连接后填充无收缩混凝土,使整片预制墙板成为一体。
5.2.7 内填墙板跨的框架梁和柱,应按能够独立承担包括墙体自重在内的全部重力荷载设计,框架柱计算长度取层高。
条文说明
5.2.7 内填墙板结构,上下层墙板的竖向钢筋不连续,这样就基本上切断了墙板的整体抗弯能力。钢梁上下表面的栓钉,只有在腹板正对位置有栓钉的情况下才可以传递拉力(图2),且传递的程度有限。明确要求传递拉力的栓钉,总长度不应小于8倍栓钉直径。 
本条要求框架梁能够独立承担竖向重力荷载,类似于人字支撑架中钢梁的设计不能考虑人字撑交点的支座作用。这是内填跨的混凝土墙板不被考虑用于承受竖向荷载的委婉表达。 实际上,使用阶段墙板会承受一定的竖向荷载,这种竖向压应力对混凝土墙板的水平抗剪承载力和延性都是有利的。本条的要求意味着:
1 横梁应按承受全部竖向荷载设计,不能因为墙承受一定的竖向荷载而减小梁截面。
2 两侧的立柱要承受其从属面积内的全部竖向荷载。这意味着柱子截面会比墙板承担竖向荷载时大。 上述两条,增大了钢框架梁柱的截面,增大了钢部分的恢复力,改善了整个结构的抗震性能。
3 为达到上述目的,内力分析时,墙板应按照不承担竖向荷载的剪切膜单元进行分析。 虽然实际上墙板会承担竖向荷载,但是注意到上下层的墙板是断开的,竖向抗压刚度并不连续,在钢梁腹板部位,其刚度变为钢梁腹板的刚度,因此传递竖向压力的能力要打折扣;其次混凝土有徐变和收缩,这两种效应会促使竖向压力部分转移到两侧的钢柱上。尽管如此,仍然应根据具体项目具体分析,竖向压力过大时(例如达到抗压强度设计值的0.5倍),可以采取后固定的措施。例如一个三十层的结构,墙板可以先安装,此时结构已经具有一定的抵抗施工阶段水平风力的能力。但是与楼板交接部位的浇筑在第20层的楼板浇筑完毕后再从第2层开始补上。这样在上部10层的安装过程中补上第2层~第20层的楼板墙板交接部位,基本不影响整体工期,又释放了大约40%的竖向力。
5.3 结构分析模型与要求
5.3 结构分析模型与要求
5.3.1 钢框架内填墙板结构内力分析时梁和柱可采用梁单元,墙板可采用平面单元。整体分析时梁与柱的半刚性连接可以简化为铰接。
条文说明
5.3.1 为了保证计算结果的准确性,梁柱宜采用考虑剪切变形影响的单元,实体墙板采用平面应力单元。钢框架内填墙板在分析模型中主要承担水平荷载,不参与整体抗弯。
5.3.2 钢框架内填墙板结构的内力与变形计算可采用线弹性分析方法或考虑几何非线性的弹性分析方法。
5.3.3 按弹性方法分析内力和变形时,墙单元的拉压弹性模量应乘以0.1的折减系数;混凝土的弹性剪切模量应乘以折减系数,折减系数的取值应符合下列规定:
1 钢柱与墙板通过连续分布的抗剪键连接时取0.5;
2 钢柱与墙板间留有缝隙时取0.4;
3 墙板分布钢筋的配筋率不小于0.7%时,上述折减系数可增加0.05;墙板分布钢筋的配筋率不超过最小配筋率的1.1倍时,上述折减系数应减小0.05。
条文说明
5.3.3 按弹性方法分析内力和变形时,墙单元可以采用平面应力单元,也可以采用剪切膜单元。
1 普通的平面应力单元,在推导单元刚度矩阵时采用的物理矩阵是: 
在用于分析内填钢筋混凝土墙板时,对物理矩阵进行修正: 
式中,
,
,μc=0.2。 即可以获得主要用于抗剪的矩阵。其中矩阵前的系数0.1对拉压刚度进行折减,经过0.1系数的折减,墙板的刚度下降,分担的力也下降,钢框架部分承担的水平力增加,钢框架截面增大,有利于改善整个结构的抗震性能,也极大地提高了震后整个结构的自恢复能力。结构工程师应注意有限度的混凝土开裂是可以恢复的。 кw=0.5或0.4对抗剪刚度进行折减。кw=0.5基本接近孙国华博士对实体墙的试验数据,0.4则接近武藤清对竖缝墙的试验数据。实际上,混凝土剪力墙的试验中很少有报告剪力墙试件的抗侧刚度的数据。李宏男教授做过剪跨比是1、1.5和2,轴压比分别是0.1、0.2和0.3的9个剪力墙试验,其初始抗侧刚度,与按照窄矩形截面的剪切型深梁理论,假设是各向同性弹性材料,弹性模量取混凝土的弹性模量,计算其抗侧刚度,发现试验值与理论值的比,对剪跨比为1、1.5和2的试件,仅为0.042、0.09和0.12。对混凝土的刚度进行折减,是国际上对组合结构的通行做法。这是混凝土的性质决定的(混凝土抗拉抗剪强度小、易开裂,有收缩和徐变,而钢结构则没有)。
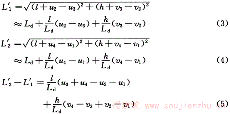
2 也可以采用剪切膜单元,这种单元在ANSYS里面就是SHELL28单元。单元刚度矩阵推导如下: 

在有限元的实现上,等效剪切板作为一个单元,四个角点(图3)的位移记为u
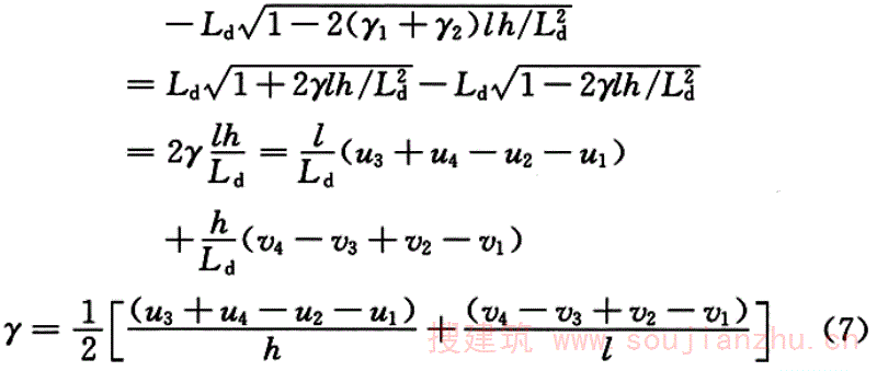
i 、v i (i=1,2,3,4),从这些位移中计算出剪切板的剪应变。整个墙区块的变形包括剪切变形、弯曲变形和伸缩变形,变形示意图分别见图4(b)~图4(d),由于弯曲变形和伸缩变形中节点域两对角线的长度保持相等,所以两对角线长度差仅由剪切变形引起,因此可以通过两对角线变形后的长度差来计算等效剪切板的剪切角。记剪切变形为γ,L d 为变形前墙对角线的长度,L′ 1 和L′ 2 为变形后墙两对角线的长度,h和l分别为墙板的层高和跨度(梁形心到梁形心,柱形心到柱形心),变形后对角线的长度差为:

而如果剪切板单纯发生剪切变形,则由

式中:
。略去高阶微量,得到剪切角为

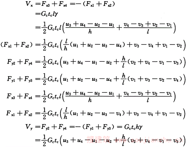
节点力和剪切膜内的剪力的关系是:

令F x1 =F x2 ,F x3 =F x4 ,F y2 =F y4 ,F y1 =F y3 ,则得到剪切膜的刚度矩阵是(引入混凝土刚度折减系数к w )

值得注意的是,剪切膜的单元刚度矩阵必须与其他单元一起使用,即四个角点必须与其他有轴压刚度和抗弯刚度的单元相连。接近方形的墙板只用一个单元,宽度(跨度)大的墙板采用(2~4)个单元。
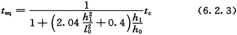
5.3.4 带竖缝钢筋混凝土墙可等效成相同强度等级的普通墙进行内力分析,等效厚度应按本标准第6.2.3条执行,且在按实体单元进行内力分析时,墙体拉压刚度应乘以折减系数0.1。
5.3.5 钢框架内填墙板结构进行罕遇地震作用下的位移验算时,可采用考虑几何非线性和材料非线性的弹塑性全过程分析方法,墙板的弹塑性计算要求应符合本标准第6.1节和第6.2节的规定。
5.3.6 不规则布置的钢框架内填墙板结构应按下列要求进行水平地震作用计算和内力调整,并应对薄弱部位采取下列的抗震构造措施:
1 平面不规则而竖向规则的建筑,应采用空间结构计算模型,并应符合下列规定:
1)扭转不规则时,应计入扭转影响,在规定的水平力及偶然偏心作用下,楼层两端弹性水平位移(或层间位移)的最大值与其平均值的比值不宜大于1.5,当最大层间位移角远小于本标准限值时,可适当放宽。
2)凹凸不规则或楼板局部不连续时,应采用符合楼板平面内实际刚度变化的计算模型;抗震设防烈度高或不规则程度较大时,宜计入楼板局部变形的影响。
3)平面不对称且凹凸不规则或局部不连续时,可根据实际情况分块计算扭转位移比,对扭转较大的部位应采用局部的内力增大。
2 平面规则而竖向不规则的建筑,应采用空间结构计算模型;侧向刚度不规则、竖向抗侧力构件不连续、楼层承载力突变的楼层,其对应于地震作用标准值的剪力应乘以不小于1.15的增大系数;按本标准有关规定进行弹塑性变形分析,并应符合下列规定:
1)竖向抗侧力构件不连续时,该构件传递给水平转换构件的地震内力应根据抗震设防烈度高低和水平转换构件的类型、受力情况、几何尺寸等,乘以1.25~2.0增大系数。
2)侧向刚度不规则时,相邻楼层的侧向刚度比应符合现行行业标准《高层民用建筑钢结构技术规程》JGJ 99的有关规定。
3)楼层承载力突变时,薄弱层抗侧力结构的受剪承载力不应小于相邻上一层的65%。
3 平面不规则且竖向不规则的建筑,应根据不规则类型的数量和程度,有针对性的采取不低于本条1、2款要求的各项抗震措施。特别不规则时,应经专门研究,采取更有效的加强措施或对薄弱部位采用相应的抗震性能化设计方法。抗震性能化设计方法可按现行行业标准《高层民用建筑钢结构技术规程》JGJ 99的有关规定执行。
5.3.7 结构内力分析可采用一阶弹性分析、二阶弹性分析或直接分析。当最大二阶效应系数θ Ⅱ i,max ≤0.1时,可采用一阶弹性分析;当0.1<θ Ⅱ i,max ≤0.25时,宜采用二阶弹性分析或采用直接分析,并应符合下列规定:
1 框架结构的二阶效应系数可按下式计算:

式中:θ Ⅱ i ——i层的二阶效应系数,不应大于0.25;
∑N ki ——所计算i楼层各柱轴心压力设计值之和(kN);
∑H ki ——产生层间侧移△u i 的计算楼层及以上各层的水平力设计值之和(kN);
h i ——所计算i楼层的层高(mm);
△u i ——∑H ki 作用下按一阶弹性分析求得的i层的层间侧移(mm)。
2 其他结构的二阶效应系数可按下式计算:

式中:η cr ——整体结构最低阶弹性临界荷载与荷载设计值的比值。
3 二阶效应系数也可按下式计算:
框架结构 
带墙板结构 
式中:α i ——结构的刚重比,可按现行行业标准《高层建筑混凝土结构技术规程》JGJ 9的规定计算。
5.3.8 二阶弹性分析应施加假想水平力,假想水平力H ni 应按下式计算:

式中:W i ——第i楼层的总重力荷载设计值(kN);
n——结构计算总层数。
5.3.9 框架部分按刚度分配计算得到的地震层剪力应乘以调整系数,达到不小于结构底部总地震剪力的20%。
条文说明
5.3.9 因为墙板不承担弯矩,所以弯矩分担率无需作要求,但是剪力分担率仍然需要给出要求。 提出框架剪力分担率要求的出发点是:支撑、剪力墙的结构达到极限状态的侧移小于框架,变形继续增大,它们的承载力退化,但是此时的框架仍处在承载力上升的状态,如果框架达到一定的占比,框架部分剪力的增大,将能够弥补支撑、剪力墙的承载力的下降。一般认为,框架承载力的占比大于25%时,可以弥补支撑、剪力墙承载力的退化。当框架按照纯框架计算的层抗剪承载力V
Fu 与混凝土墙板的抗剪承载力V uk 的比值V Fu /V uk 小于33% 时(比如是0.26),应按照墙板抗剪承载力的1/3除以该比值 (即0.333/0.26=1.28),得到放大系数(1.28),对框架截面进行调整。这样调整后,框架的承载力占总承载力的比值不小于25%。
考虑到本标准是内填墙板,竖向力不大,抗剪承载力退化小,框架部分的承载力的占比可以略微放松,并且采用按刚度分配的比例来替代,以简化软件的实现。
6 构件设计和刚度计算
6.1 预制和现浇钢筋混凝土墙板
6 构件设计和刚度计算
6.1 预制和现浇钢筋混凝土墙板
6.1.1 内填预制和现浇钢筋混凝土墙板的厚度,一级、二级、三级、四级时分别不应小于150mm、140mm、130mm和120mm,且不应小于层高的1/25。钢柱与墙板之间留缝时,最小厚度宜增加10mm。
条文说明
6.1.1 墙板厚度系参考现行行业标准《高层建筑混凝土结构技术规程》JGJ 3的有关规定并适当放宽,放宽的依据是:1)本标准的墙板均受剪,稳定性比纯混凝土墙好;2)有钢梁钢柱约束。
6.1.2 内填钢筋混凝土墙板的高宽比不宜大于2。
6.1.3 墙板与钢框架梁柱的连接应符合下列规定:
1 现浇钢筋混凝土墙板周边宜采用栓钉与钢框架梁柱连接;预制钢筋混凝土墙板与钢梁的连接应采用释放竖向变形仅承受水平荷载的构造做法(图6.1.3);抗剪连接件可采用栓钉、短槽钢及U形筋等。

2 预制钢筋混凝土墙板与钢柱可以采用连续分布的抗剪键连接,抗剪连接件可采用栓钉、型钢及U形锚筋等;也可以留有缝隙,并在受力需要时采用集中布置的抗剪键。
3 集中布置的抗剪件应验算抗剪键部位混凝土预埋件的承载力。
6.1.4 预制和现浇钢筋混凝土墙板的受剪截面应符合下列规定:
1 无地震作用组合时:

2 有地震作用组合时:

式中:V——剪力设计值(kN):
t c ——混凝土墙板厚度(mm);
L w ——墙板的净宽(mm);
f c ——混凝土轴心抗压强度设计值(kN/mm 2 );
γ RE ——墙板的承载力抗震调整系数,取γ RE =0.85。
条文说明
6.1.4 公式(6.1.4-1)、公式(6.1.4-2)源于《混凝土结构设计规范》GB 50010中矩形截面钢筋混凝土墙受剪截面要求。内填墙承载力退化不严重,所以抗震部分公式用的高一点。
6.1.5 钢筋混凝土墙板的斜截面受剪承载力应符合下列规定:
1 无地震作用组合时:

2 有地震作用组合时:

式中:ρ sh ——水平分布钢筋配筋率,ρ sh =A sh /s v t c ;
A sh ——配置在同一水平截面内的水平分布钢筋的全部截面面积(mm 2 );
s v ——水平分布钢筋的竖向间距(mm);
f yv ——钢筋抗拉强度设计值(kN/mm 2 );
f t ——混凝土抗拉强度设计值(kN/mm 2 );
η c ——系数,钢柱与墙板留有间隙时取1.0,钢柱与墙板间设有不间断的抗剪连接件时取1.2;
γ RE ——墙板的承载力抗震调整系数,取γ RE =0.85。
条文说明
6.1.5 对内填墙的试验数据进行分析发现,采用传统的抗剪强度公式,结果低于试验结果的下限10%~30%。因此对内填墙,此处引入ηc系数。该系数可以解释为因为内填,混凝土斜裂缝开展后竖向膨胀得到约束(产生竖向压力)而使得混凝土的抗剪强度得到提高的比例。
6.1.6 预制钢筋混凝土墙板可水平方向分块,墙体拼接竖缝所受剪力V j 可按下式计算(图6.1.6):

式中:V j ——墙板拼接竖缝所受剪力设计值(kN);
V s ——墙板的水平剪力设计值(kN);
h——墙板高度(mm);
b——墙板总宽度(mm)。

6.1.7 预制钢筋混凝土墙板拼接竖缝应符合下列规定:
1 预制钢筋混凝土墙板拼接竖缝的抗剪承载力应按下列公式计算:

式中:V d ——墙肢拼接竖缝抗剪承载力设计值(kN);
A sh,f 、f y ——分别为拼接缝内水平横向钢筋的总截面积(mm 2 )和抗拉强度设计值(kN/mm 2 );
A c ——抵抗剪力的混凝土截面积(mm 2 );
f c ——混凝土抗压强度设计值(kN/mm 2 );
μ——界面系数,当普通混凝土拼接界面做粗糙化处理,使其全幅面凹凸约为8mm,拼缝内横向配筋沿剪切面均匀布置,并通过在两侧混凝土中的埋置长度、弯钩或焊接实现锚固,使钢筋能达到屈服强度时,取μ=1.0;对在拼接表面未做粗糙处理的已硬化混凝土上浇筑的普通混凝土,μ取0.6。
2 预制钢筋混凝土墙板拼接竖缝的拼接构造(图6.1.7),环状水平钢筋与两侧伸出的半环状水平钢筋应焊接,且满足受拉搭接焊长度的要求。

条文说明
6.1.7 美国钢筋混凝土规范(ACI318-11)规定:фVn
≥V u ,V u 为设计剪力,ф=0.75。当剪摩擦配筋与剪切平面垂直时,V n =μA vf f y ,式中A vf 、f y 分别为剪摩擦配筋总截面积(要求横向钢筋焊接连接,不间断)和屈服强度。
需要的剪摩擦配筋截面积A vf =V u /фf y μ,在将其表面有意识做粗糙的已硬化混凝土上浇 筑的普通混凝土μ=1.0,剪力传递面应清洁且无浮渣,对于普通混凝土假定μ=1.0时,界面应做粗糙化处理,并使其凹凸全幅度约为7mm。剪摩擦配筋应沿剪切面恰当布置,并应通过在两侧混凝土中的埋置长度、弯钩或焊接来实现锚固,以发挥f y 。其表面未有意识做粗糙的已硬化混凝土上浇筑的普通混凝土μ=0.6。
表面有意识做粗糙的已硬化普通混凝土,V n 不应超过0.2f′ c A c 、(480+0.08f′ c )A c 和1600A c 三者之间的最小值。在其他情况下,V n 不应超过0.2f′ c A c 和800A c 两者之间的较小 值。如果不同强度的混凝土浇筑在一块,用于计算V n 的f′ c 应为较小强度混凝土的V n 值。A c 为抵抗剪力的混凝土截面积。文献《美国规定的混凝土抗压强度与中国混凝土强度等级的比较》给出:
,f cu,k 为混凝土立方体抗压强度标准值。代入f ck =1.4f c 、f y =1.1f,量纲转换后得出:0.75V n =0.75×1.1μA s f≤min[0.25f c A c ,(2.5+0.1f c )A c ,8.3A c ],混凝土强度等级低于C70情况下,8.3A c 项不控制。
6.1.8 采用抗剪连接件时,现浇或预制的钢筋混凝土墙板的两侧及上边,应设置边缘加强带(图6.1.8)。边缘加强带内配筋不小于4ф10,边缘加强宽度覆盖栓钉高度,加强带内的纵筋垂直方向的分布筋的所有交点处都应拉结,分布筋之间的间距如大于100mm,则应增加封闭箍,使封闭箍与封闭箍或封闭箍与分布筋的间距小于100mm。纵筋和横向钢筋在端部应采用U形钢筋配筋或U形弯头。

条文说明
6.1.8 钢梁钢柱与墙板的界面设置加强带,是因为墙板采用栓钉作为抗剪键的情况下,栓钉的边距较小,加强带主要增加墙板厚度方向的拉结,避免栓钉附近的混凝土受挤压而发生侧面爆裂。加强带内箍筋和分布筋,平均间距不宜大于80,不应大于100。
6.1.9 混凝土墙板竖向和水平分布钢筋宜采用双层钢筋,水平和竖向分布钢筋的配筋率,一级、二级、三级和四级时分别不应小于0.35%、0.3%、0.25%和0.2%;分布筋的间距分别不应大于100mm、150mm、200mm和250mm,直径不应小于8mm,且不宜大于墙厚的l/10。双层钢筋间拉筋的间距不应大于400mm,直径不应小于6mm。水平和竖向分布筋配筋率均不宜大于1.0%。
6.1.10 墙板开洞时,应在洞口边缘设置暗柱、暗梁,构造配筋应满足现行国家标准《混凝土结构设计规范》GB 50010的要求。当设有门洞等较大的洞口时,洞口宜布置钢构件或钢管混凝土构件作为边缘构件。
6.1.11 内填钢筋混凝土墙板进行非线性推覆分析时,采用层间抗侧弹簧模型,侧向荷载-位移关系曲线见图6.1.11。

条文说明
6.1.11 混凝土层间墙板侧向荷载位移关系图的形状参考了国外文献,并根据苏州科技大学11个钢框架内填混凝土墙板试验数据确定图中各参数取值。各试件墙板对应屈服荷载的侧移角约为1/250,因此图6.1.11中与计算承载力对应的屈服位移角取为1/300;试件的开裂侧移角平均为1/1423,图6.1.11中取为1/1500;试验荷载峰值侧移角平均为1/97.8,图5取1/100(峰值荷载大于屈服荷载,本模型中没有反映出来,偏于安全);试验对应85%荷 载峰值的侧移角平均为1/59.1,图6.1.11取1/50; 本条文的实际应用可以采用等效成交叉支撑(图5)。 这个分析模型的应用是: 

式中:α——斜支撑与水平梁的夹角;
E——弹性模量;
Ab——等效面积。
斜支撑的内力是: 
侧向力是: 
这样,斜支撑的非线性的拉压力与斜支撑的轴向伸长量的关系仍然类似与图6.1.11,各个点的量是: 
6.1.12 墙板剪切承载力标准值,应按下式计算:

式中:V k ——墙板剪切承载力标准值(kN);
A sh ——配置在同一水平截面内的水平分布钢筋的全部截面面积(mm 2 );
s v ——水平分布钢筋的竖向间距(mm);
f yvk ——水平钢筋抗拉强度标准值(kN/mm 2 );
f tk ——混凝土抗拉强度标准值(kN/mm 2 );
t c ——混凝土墙厚度(mm);
L w ——墙截面净宽(mm)。
6.1.13 墙板的推覆分析采用膜单元时,拉压弹性模量应折减至0.1倍,剪切应力与剪切应变的关系见图6.1.13并按下列公式确定:
当τ≤0.5τ uk 时



式中:G c ——墙板的剪切模量(kN/mm 2 )
к w ——折减系数,按本标准第5.3节取值;
τ——墙板的剪切应力(kN/mm 2 )
γ——墙板的剪切应变。
条文说明
6.1.13 采用膜单元进行弹塑性分析时,采用本条的规定,其中剪切模量的弹性阶段的折减系数取与弹性内力分析时的相同。 墙板的层抗侧刚度,是墙板在本层的抗弯柔度与剪切柔度综合作用的结果,在内力分析模型中对拉压刚度进行了折减,相当于间接地折减了层抗侧刚度;而对剪切刚度的折减,则直接地折减了层抗侧刚度。综合下来,按照本条进行弹塑性分析,结果与采用本标准第6.1.11条是类似的。
6.1.14 内填墙板跨内的钢梁截面不宜小于类似跨度的普通钢框架梁截面。
6.1.15 当内填钢筋混凝土墙板的钢框架梁柱节点采用半刚性连接时,初始转动刚度K 0 及抗弯承载力宜满足下列公式的要求:

式中:K 0 ——半刚性连接的初始转动刚度(kN·mm);
EI b ——钢梁抗弯刚度(kN·mm 2 );
L b ——钢梁跨度(mm);
M pR ——半刚性连接的塑性抗弯承载力(Nmm);
W pb ——梁端截面的塑性抗弯模量(mm 3 );
f yb ——钢梁钢材的屈服强度(kN/mm 2 )。
条文说明
6.1.15 限制半刚性节点初始转动刚度和抗弯承载力的下限,是使半刚性连接的性能位于本标准图6.1.11的斜线区域,目的是出于二道防线考虑。
6.1.16 钢柱沿全高与墙板连接时,应验算钢柱在墙板平面外的稳定;当柱与墙板不连接时需验算柱在平面内、外的稳定。
6.1.17 内填墙板跨的梁柱节点处梁与柱的抗弯承载力应满足等强要求;其他部位的抗震承载力应满足现行国家标准《建筑抗震设计规范》GB 50011关于强柱弱梁的要求;当框架梁柱采用半刚性连接时,应满足下式要求:

式中:W pc 、W pb ——分别为柱、梁截面塑性模量(mm 2 );
N——钢柱轴向压力设计值(kN);
A c ——钢柱截面面积(mm 2 );
f yc 、f yb ——分别为柱、梁钢材的屈服强度(kN/mm 2 );
η——强柱系数,一级取1.15,二级取1.10,三级取1.05,四级取1.0。
条文说明
6.1.17 内填跨的梁的塑性弯矩,可以仅取该梁塑性弯矩的0.5倍参与节点域抗剪强度的计算。
6.1.18 内填墙板钢框架结构的梁柱节点域应按现行行业标准《高层民用建筑钢结构技术规程》JGJ 99的有关规定进行承载力和稳定验算。内填墙板跨柱的节点域的抗剪承载力应按下式计算:

式中:η pan ——边柱0.85,中柱0.75;
M p1 ——钢柱非内填跨一侧的钢梁的塑性弯矩标准值(kN·mm);
V p ——节点域的体积(mm 3 );
M pint ——内填跨的钢梁的塑性弯矩标准值(kN·mm);
f yv ——钢材抗剪强度标准值(kN/mm 2 );
χ——墙板与柱采用抗剪键连续连接时,取值χ=0.5,钢柱与墙板留缝时,取值为χ=1.0。
6.1.19 内填墙板钢框架梁柱板件宽厚比限值应按表6.1.19采用:

6.1.20 内填墙板跨内钢梁离柱外皮1倍梁高处应设置与梁等宽的加劲肋。
6.2 带竖缝钢筋混凝土墙板
6.2 带竖缝钢筋混凝土墙板
6.2.1 带竖缝钢筋混凝土墙板应按承受水平荷载、不承受竖向荷载的原则进行设计。墙板的高宽比不宜大于1.0;墙板厚度不宜小于100mm。
6.2.2 带竖缝混凝土墙板的几何尺寸(图6.2.2)确定应符合下列规定:
1 墙板总尺寸应满足建筑和结构设计要求;
2 竖缝的数量及尺寸应满足下列公式要求:

式中:h 0 ——每层混凝土墙板的净高度(mm);
h 1 ——竖缝的高度(mm);
h sol ——实体墙部分的高度(mm);
l 1 ——竖缝墙墙肢的宽度,包括缝宽(mm)。

3 墙板厚度t c 应满足下列公式要求:

式中:k s ——竖向约束力对实体墙斜截面抗剪承载力影响系数;
η v ——剪力设计值调整系数,取η v =1.2;
f c ——混凝土抗压强度设计值(kN/mm 2 );
λ s ——剪应力不均匀修正系数;
n 1 ——墙肢的数量;
V 1 ——单肢缝间墙板的剪力设计值(kN);
l 0 ——单肢缝间墙的净宽(mm),l 0 =l 1 -缝宽,缝宽一般取10mm;
a 1 ——墙肢内受拉钢筋截面形心至缝间墙边缘的距离(mm)。
条文说明
6.2.2 本条第3款要求的目的,一是增强梁端竖向抗剪能力;二是增强框架梁与墙板之间的传力,避免墙板与钢梁连接面成为薄弱环节。
6.2.3 采用剪切膜单元进行弹性内力分析时,其等效的无缝混凝土墙厚度可按下式计算:

式中:h 1 ——竖缝的高度(mm);
h 0 ——混凝土墙高度,包含竖缝部分和实体墙部分的高度(mm);
l 0 ——竖缝墙一个墙肢的宽度(扣除缝宽)(mm);
条文说明
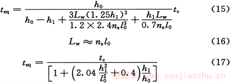
6.2.3 钢筋混凝土墙板的真实的刚度还与配筋率有关,本条计算等效厚度的公式,适合竖缝墙肢的单侧纵向钢筋的配筋率为0.55%~1.0%之间的情况,如果配筋率更小,等效厚度还应减小。竖缝墙部分的抗侧刚度(不包含实体墙部分)与配筋率的关系近似是 
竖缝墙的等效剪切膜单元厚度为: 
式中右边分母的第一项是竖缝墙的实体墙部分的剪切变形,第二项是竖缝墙肢的弯曲变形,其跨度考虑混凝土连梁的规定伸入实体墙的一部分作为墙肢的有效高度;第3项是竖缝墙的剪切变形。注意在第2项对弹性模量引入了1/3这个折减系数,而对剪切模量,引入了0.7折减系数,对实体墙部分的剪切模量不做折减,这一项本身影响小,弹性阶段应力水平相对也小。 上式进一步简化得到: 
式中:Ec——混凝土的弹性模量;
Gc——混凝土的剪切模量;
l0——墙肢的净宽;
h0——混凝土的高;
tc——墙板厚度;
Lw——混凝土墙的宽度;
ns——竖缝墙肢的数量。 按照本条确定的等效厚度,计算出的抗侧刚度,与本标准第6.2.21条的抗侧刚度很接近。但是当竖缝墙单侧纵向钢筋的配筋率小于0.5%时,等效厚度偏大。
6.2.4 缝间墙两侧的纵向钢筋应按对称配筋偏心受压构件计算确定,且应符合下列规定。
1 缝根截面内力应按下列公式计算:

式中:V 1 ——单肢缝间墙剪力设计值(kN);
f y ——缝间墙纵向钢筋抗拉强度设计值(kN/mm 2 );
A s ——缝间墙所配纵向受拉钢筋截面积(mm 2 );
f c ——混凝土抗压强度设计值(kN/mm 2 );
ρ 1 ——缝间墙截面单侧纵筋强度与混凝土强度的比值。
2 ρ 1 值宜控制在0.075~0.185之间,且实配钢筋面积不应超过计算所需面积的5%。
条文说明
6.2.4
ρ 1 若超出0.075~0.185范围过多,将使得剪切破坏先出现。应重新调整缝间墙肢数n 1 、缝间墙尺寸l 1 、h 1 及a 1 (墙肢内受拉钢筋截面形心至缝间墙边缘的距离)、f c 、f y 的值,使ρ 1 尽可能控制在上述范围内。
6.2.5 缝间墙斜截面受剪承载力应符合下列公式要求

式中:λ——偏心受压构件计算截面的剪跨比,λ=h 1 /2l 0 ;
s——沿竖缝墙高度方向的箍筋间距(mm);
A sv ——配置在同一截面箍筋各肢的全部截面积(mm 2 );
f yv ——箍筋抗拉强度设计值(kN/mm 2 );
f t ——混凝土抗拉强度设计值(kN/mm 2 );
V s ——竖缝墙的抗剪承载力设计值(kN)。
条文说明
6.2.5 本条公式考虑了膨胀压力对抗剪强度的贡献。
6.2.6 缝间墙弯曲破坏时的最大抗剪承载力V b 应满足下列公式要求:


式中:x——缝间墙缝根截面混凝土受压区高度(mm);
A sv ——缝间墙所配纵向受拉钢筋截面面积(mm 2 );
f y ——纵向受拉钢筋强度设计值(kN/mm 2 );
f c ——混凝土抗压强度设计值(kN/mm 2 );
V b ——竖缝墙弯曲破坏对应的抗剪承载力(kN)。
条文说明
6.2.6 缝间墙受弯破坏的承载力计算简图如图6所示。 
6.2.7 竖缝墙与上部钢梁下翼缘的连接边应设边缘加强带,连接构造满足本标准第6.1节的要求。
6.2.8 竖缝墙的截面及配筋应满足下式要求:

条文说明
6.2.8 公式(6.2.8)是为了保证缝间墙先发生延性较好的压弯破坏。
6.2.9 墙肢中水平横向钢筋配置应满足下列公式要求:

式中:s——水平横向钢筋的竖向间距(mm);
A sh ——同一高度处水平横向钢筋总截面积(mm 2 );
f shyk ——水平横向钢筋强度标准值(kN/mm 2 );
V y1 、V u1 ——分别为缝间墙受拉纵筋屈服时的水平剪力和缝间墙弯曲破坏时的抗剪承载力(kN),按本标准公式(6.2.21-1)和公式(6.2.22-1)计算;
ρ sh ——墙板水平横向钢筋配筋率,其值不宜小于0.3%。
6.2.10 缝两端实体墙中应配置边缘横向钢筋,其数量不应少于缝间墙一侧的纵向钢筋配筋量(图6.2.10)。

条文说明
6.2.10 竖缝上下端的实体墙内的横向加强钢筋,可以阻止斜裂缝从竖缝根部向实体墙扩展,确保竖缝部分为整体结构提供耗能。
6.2.11 内填带竖缝墙板跨的钢框架梁柱节点应采用刚性连接。
条文说明
6.2.11 内填跨框架的梁柱刚接,可以增加钢结构部分的刚度,使得中小地震后框架恢复到竖直位置的能力增强。
6.2.12 内填带竖缝墙板钢框架的梁、柱强度计算应满足现行国家标准《钢结构设计标准》GB 50017和《建筑抗震设计规范》GB 50011的相关规定。
6.2.13 当柱与墙板留有间隙时,应计算柱在平面内、外的稳定。
6.2.14 内填竖缝墙板钢框架梁柱连接应满足现行国家标准《建筑抗震设计规范》GB 50011关于强柱弱梁的要求。
6.2.15 内填竖缝墙板钢框架梁柱连接节点域应符合现行行业标准《高层民用建筑钢结构技术规程》JGJ 99的有关规定。
6.2.16 内填竖缝墙板钢框架的梁柱板件宽厚比限值应符合本标准第6.1.19条的规定。
6.2.17 内填竖缝墙板钢框架的梁腹板在竖缝墙膨胀力挤压下的稳定计算应符合下式规定,当不满足时,应设置梁腹板横向加劲肋,每片缝间墙对应位置至少设置1道加劲肋,其中每两道加劲肋中设一道腹板全高加劲肋。

式中:N 1 ——缝间墙宽度l 1 传给钢梁腹板的竖向力(kN),按公式(6.2.4-2)计算;
φ——稳定系数,按现行国家标准《钢结构设计标准》GB 50017的柱子稳定系数b曲线计算,采用蜂窝梁时长细比λ=0.7√3h w /t w ,采用实腹梁时长细比λ=√3h w /t w ;
ω b ——承受竖向力N 1 的腹板宽度(mm),对蜂窝梁取墩腰处的最小截面,对实腹梁取l 1 ;
t w ——钢梁腹板厚度(mm);
f——梁腹板钢材抗压强度设计值(kN/mm 2 )。
条文说明
6.2.17 因竖缝墙会产生挤压力,钢梁腹板受挤压会失去稳定性,故验算腹板挤压稳定承载力按式(6.2.17)计算。
6.2.18 预制竖缝墙板与顶部、底部框架梁连接,可采用与预制钢筋混凝土墙板相同的构造,栓钉、焊缝、高强螺栓应能传递1.2倍的墙板设计剪力。高强螺栓应按摩擦型设计,墙板顶部与梁连接的高强螺栓除端部外宜采用竖向椭圆孔,端部及梁柱节点角部抗剪加强板的高强螺栓应采用圆孔。
6.2.19 当竖缝墙较宽,影响运输或吊装时,可水平方向分块,拼接缝两侧采用预埋钢板,钢板厚度不宜小于12mm,可按图6.2.19现场焊接连成整体。

6.2.20 带竖缝墙板推覆分析的侧向力-层间侧移曲线见图6.2.20。

条文说明
6.2.20 本条的应用方法参见本标准第6.1.11条的解说。
6.2.21 缝间墙纵筋屈服时的受剪承载力V y1 和墙板的整体侧移u y 可按下列公式计算:


式中:A s ——缝间墙受拉纵筋截面积(mm 2 );
f yk ——缝间墙受拉钢筋强度标准值(kN/mm 2 );
K y ——缝间墙纵筋屈服时墙板的整体抗侧移刚度(kNmm 2 );
ξ——考虑剪切变形影响的刚度修正系数;
B 1 ——缝间墙抗弯刚度(kN mm 2 );
ρ——缝间墙受拉纵向钢筋的配筋率;
t——墙板厚度(mm);
ρ 1 ——截面单侧纵筋强度与混凝土强度的比值;
h 0 ——混凝土墙高度(mm)。
弹塑性分析时,n s 片墙肢的抗剪承载力和刚度应叠加。
6.2.22 缝间墙弯曲破坏时的最大抗剪承载力V u1 和对应的墙板侧移u u 可按下列公式计算:

式中:K u ——缝间墙达到弯曲最大承载力时墙板的整体抗侧刚度(kN·mm 2 );
x——缝间墙缝根截面混凝土的受压区高度(mm);
f ck ——混凝土抗压强度标准值(kN/mm 2 );
A s ——缝间墙受拉纵筋的截面面积(mm 2 );
f yk ——纵向受拉钢筋强度标准值(kN/mm 2 )。
7 连接设计
7.1 一般规定
7 连接设计
7.1 一般规定
7.1.1 节点应构造简单、整体性好、传力明确、安全可靠、节约材料和施工方便。
条文说明
7.1.1 节点应做到构造合理,使节点具有必要的延性,能保证焊接质量,并避免出现应力集中和过大约束应力。
7.1.2 混凝土保护层厚度,应符合现行国家标准《混凝土结构设计规范》GB 50010和《建筑抗震设计规范》GB 50011的规定。
7.1.3 内填墙板跨的梁柱连接节点,尚应根据本标准要求进行抗剪加强验算。
条文说明
7.1.3 如果钢柱和墙板之间留有缝隙,则梁端的竖向抗剪能力与需要墙板的水平抗剪能力相匹配,当墙板比较宽时不一定做得到。根据需要,本条建议了抗剪加强的节点。 当内填墙板与柱子之间留缝时构造见图7(a);现浇墙板构造见图7(b);抗剪加强也可用加厚钢梁端部腹板的方式。 
该抗剪加强的节点尚有如下好处:它也加强了钢梁下翼缘界面的抗剪能力,使得界面破坏模式得以避免。 本节设计内填墙板跨的钢梁与钢柱的连接和钢梁钢柱与混凝土墙板的抗剪键计算。其中界面抗剪键的设计要求做到强界面,弱墙体的要求,超强系数是1.2;而钢梁与钢柱的连接要求,比其他部位的梁柱节点要求略低。
7.1.4 混凝土墙板应设置边缘加强带,并满足本标准第6.1.8条的要求。
7.1.5 混凝土墙板与框架相连的抗剪连接键采用圆柱头栓钉时,单个焊接圆柱头栓钉的抗剪承载力可按下式计算:
抗剪承载力设计值: 
抗剪承载力标准值: 
式中:A s ——栓钉横截面面积(mm 2 );
f——栓钉抗拉强度设计值(kN/mm 2 );
f y ——栓钉屈服强度(kN/mm 2 );
γ——抗剪栓钉抗拉强度最小值与屈服强度之比,当栓钉材料性能为4.6级时,取f=215N/mm 2 ,f y =240N/mm 2 ,γ=1.67;
E c ——混凝土弹性模量(kN/mm 2 );
f c ——混凝土抗压强度设计值(kN/mm 2 );
f ck ——混凝土抗压强度标准值(kN/mm 2 )。
7.1.6 当栓钉同时承受拉力和剪力时,承载力应按下列公式计算:
单个栓钉抗拉承载力 
单个栓钉拉、剪组合承载力 

式中:A s ——栓钉截面面积(mm 2 );
f——栓钉抗拉强度设计值(kN/mm 2 );
l s ——栓钉长度(mm);
D s ——栓钉钉头直径(mm);
f t ——混凝土抗拉强度设计值(kN/mm 2 );
N t ——栓钉所受拉力设计值(kN);
N v ——栓钉所受剪力设计值(kN);
N t c ——单个栓钉抗拉承载力(kN);
N v c ——单个栓钉抗剪承载力(kN)。
条文说明
7.1.6 文献“Headed steel stud anchors in composite structures,PartⅡ:Tension and interaction,Journal of Constructional Steel Research,2010,(66):213-228”,拉剪组合承载力采用了椭圆曲线: 
栓钉受拉时,栓钉的长度不应小于8d。
7.1.7 单个槽钢连接件抗剪承载力可按下式计算:

式中:N v c ——单个短槽钢连接件的抗剪承载力(kN);
E c ——混凝土弹性模量(kN/mm 2 );
f c ——混凝土抗压强度设计值(kN/mm 2 );
f ck ——混凝土抗压强度标准值(kN/mm 2 );
t w ——槽钢腹板厚度(mm);
t——槽钢翼缘平均厚度(mm);
l c ——槽钢长度(mm)。
7.1.8 栓钉间距和直径应符合现行国家标准《钢结构设计标准》GB 50017的有关规定。在满足本标准第6.1.8条构造要求时,栓钉中心距墙板表面的最小距离可为3倍栓钉直径。栓钉的总长度不应小于5倍栓钉直径。受拉栓钉的总长度不应小于8倍栓钉直径。
7.1.9 混凝土墙板与柱及梁相连的抗剪连接键规格和间距相同时,可不再进行墙板与柱竖向界面的抗剪验算。
7.2 内填墙板跨的梁墙界面和梁柱界面连接计算
7.2 内填墙板跨的梁墙界面和梁柱界面连接计算
7.2.1 当结构内力分析模型未考虑预制墙板与框架柱留有间隙时,应按下式补充计算墙板水平剪力引起的竖向界面剪力。如梁腹板抗剪强度不满足要求,应在梁端上下部位墙板与柱间增设抗剪加强连接板,必要时墙板竖向中部增设抗剪连接键,与钢梁共同承受界面竖向剪力。

式中;V v ——钢柱与墙板的界面剪力设计值(kN);
V w ——混凝土墙板水平剪力设计值(kN);
V g ——钢梁承受的重力荷载剪力设计值(kN);
h——墙板的高度(mm);
l 0 ——框架梁净跨(mm)。
条文说明
7.2.1 剪切膜单元模型无法反映内填竖缝墙与柱间隙长度内框架梁端存在的较大剪力,本条可保证梁端抗剪强度得到满足。
7.2.2 内填墙板跨钢框架的梁柱刚性连接应符合下列规定;
1 在内填墙板与柱子间留缝时,梁柱刚性连接的抗剪承载力应满足下式要求:

式中:V uj ——钢柱与墙板界面(含梁柱连接、抗剪加强板等)的竖向抗剪承载力标准值(kN);
V wy ——内嵌墙水平抗剪承载力的标准值(kN),竖缝剪力墙时,V wy =∑V u1 ;实体剪力墙时,V wy =V k ,V k 应按本标准公式(6.1.12)计算;
V u1 ——单肢缝间墙弯曲破坏时最大抗剪承载力(kN),按本标准公式(6.2.22-1)计算;
η w ——超强系数,取1.1;
h——墙板的高度(mm);
l n ——钢梁的净跨(mm);
V gk ——重力产生的梁端剪力标准值(kN)。
2 内填墙板与柱子之间留缝时,抗弯承载力应满足强柱弱梁要求,节点系数可取1.15;不留缝时,节点系数可取1.0。半刚性连接应满足公式本标准(6.1.17)的要求。
7.2.3 钢柱与墙板界面连接的抗剪强度应按下列公式计算:
钢柱与墙板的界面连接的抗剪强度设计值:

钢柱与墙板界面连接的抗剪强度标准值:

式中:V j 、V u ——分别为钢柱与墙板的界面连接的抗剪强度设计值(kN)和钢柱与墙板的界面连接的抗剪强度标准值(kN);
h bw 、t bw ——分别为钢梁腹板的高度(mm)和厚度(mm);
f v ——梁腹板或加强板钢材的抗剪强度设计值(kN/mm 2 );
f vy ——梁腹板或加强板钢材的抗剪强度标准值(kN/mm 2 );
h v1 、h v2 ——图7.2.3所示用于柱墙界面抗剪加强板的高度(mm);
t v ——抗剪加强板的厚度(mm);
V s ——角部连接板预埋在混凝土墙内栓钉提供的抗剪承载力设计值(kN),可按V s =∑N v c 计算。
V s,k ——角部连接板预埋在混凝土墙内栓钉提供的抗剪承载力标准值(kN)V s,k =∑N v,k c 。
к——折减系数,当界面抗剪加强板与钢梁焊接成整体时,к取1.0,分离时к取0.8。

条文说明
7.2.3 角部加强板可为竖缝墙板的安装提供固定,使墙板就位;帮助框架梁抵抗本标准公式(7.2.2)的梁端剪力;加强梁下翼缘与墙板连接面的水平抗剪强度。
7.2.4 钢梁与竖缝墙的连接可采用栓钉连接,钢梁与墙板连接栓钉的数量n s 、梁柱节点下部抗剪加强板截面应满足下式要求:

式中:n s ——钢梁与墙板连接栓钉的数量;
N v c ——单个栓钉抗剪承载力设计值(kN);
b v ——梁柱节点部角部加强板的宽度(mm);
t v ——梁柱节点角部加强板的厚度(mm);
f v ——加强板钢材抗剪强度设计值(kN/mm 2 );
V w ——混凝土墙板水平剪力设计值(kN/mm 2 )。
7.2.5 在极限状态下,钢梁与墙板连接栓钉的数量n s 、梁柱节点下部抗剪加强板截面应满足下式要求:

式中:f yv ——加强板钢材抗剪屈服强度标准值(kN/mm 2 );
n s ——钢梁墙板连接栓钉数量;
N v,k c ——单个栓钉抗剪承载力的标准值(kN/mm 2 );
b v ——梁柱节点部角部加强板宽度(mm);
t v ——梁柱节点部角部加强板厚度(mm);
V wy ——内嵌墙板水平抗剪承载力的标准值(kN),按本标准第7.2.2条计算。
7.2.6 如钢梁与墙板间的水平界面上采用其他连接方式传递剪力(图7.2.6),任一水平界面上的抗剪承载力均应满足下列公式要求:

式中:V hk ——界面连接件的抗剪承载力标准值(kN);
V vk ——竖向界面抗剪承载力标准值(kN);
τ uk ——按本标准公式(6.1.13-9)计算;
L w ——墙板净宽(mm);
h——墙板高度(mm);
t c ——墙厚(mm)。

7.2.7 有楼板时,预制墙板底部与钢梁连接可采用齿槽栓钉连接(图7.2.7),栓钉应能传递1.0倍的墙板设计水平剪力。无楼板时,可按墙板上部与钢梁下翼缘的连接要求设计。

7.2.8 钢梁下翼缘与预制墙板可以整体制作,下翼缘与钢梁腹板可采用现场焊接或螺栓连接(图7.2.8)。

7.2.9 梁柱半刚性连接应符合下列规定:
1 与柱通过半刚性节点连接的梁,梁高不宜小于跨度的1/20,两端截面高度宜与汇交于同一节点其他梁高相同。
2 双角钢型半刚性连接(图7.2.9a)的翼板厚度应符合下列规定:
1)无加劲肋: 
2)有加劲肋: 

式中:f——钢材的强度设计值(kN/mm 2 )
t p ——半刚性连接的翼板厚度(mm)
N t ——颗螺栓的抗拉承载力,取为0.8P,P为高强螺栓预拉力(kN);
e w 、e f ——高强螺栓中心到连接件或工字形梁腹板和翼缘的垂直距离(mm);
c、d——高强螺栓中心到连接件边缘的距离(mm);
d 0 ——高强螺栓孔径(mm)。

3 角钢或T形连接件与梁上下翼缘的连接[图7.2.9(b)、图7.2.9(c)]宜采用现场焊接,焊缝按与螺栓抗拉极限承载力等强设计。

8 构件的加工制作与施工
8.1 一般规定
8 构件的加工制作与施工
8.1 一般规定
8.1.1 钢框架内填墙板结构构件加工制作前应根据设计文件和深化设计施工图的要求、制作厂的工装设备、运输及吊装起重设备等条件编制制作工艺文件。
条文说明
8.1.1 钢结构框架的施工详图,应由承担制作的钢结构制作单位负责绘制且应具有钢结构工程施工资质。编制施工详图时,设计人员应详细了解并熟悉最新的工程规范,以及工厂制作和工地安装的专业技术。 施工详图审批认可后,由于材料代用、工艺或其他原因,可能需要进行修改。修改时应向原设计单位申报,并签署文件后才能生效,作为施工的依据。
8.1.2 钢材、焊接材料、高强度螺栓等应具有质量合格证明文件,并应符合设计和现行国家相关标准的要求。根据现行国家标准《钢结构工程施工质量验收标准》GB 50205的要求需见证取样、送样的材料尚需进行复验。
8.1.3 混凝土原材料、配合比设计和混凝土施工应符合国家现行标准《混凝土结构工程施工规范》GB 50666、《普通混凝土配合比设计规程》JGJ 55和《高强混凝土应用技术规程》JGJ/T 281等的有关规定。并应按照现行国家标准《混凝土结构工程施工质量验收规范》GB 50204的规定进行见证取样和复验。
8.1.4 钢筋的加工、连接与安装应符合设计和现行国家标准《混凝土结构工程施工规范》GB 50666和《混凝土结构工程施工质量验收规范》GB 50204等的有关规定。
8.1.5 钢框架内填墙板结构的施工应符合环境保护、劳动保护和安全技术方面国家现行有关法规和标准的规定。
8.2 构件的加工制作和运输
8.2 构件的加工制作和运输
8.2.1 钢结构构件的加工制作和运输应符合国家现行标准《钢结构工程施工规范》GB 50755、《钢结构焊接规范》GB 50661、《钢结构工程施工质量验收标准》GB 50205和《高层民用建筑钢结构技术规程》JGJ 99的有关规规定。
8.2.2 预制墙板的模具、模具尺寸和检验方法、预埋件加工的允许偏差,固定在模具上的预埋件、预留孔洞中心位置的允许偏差等,应满足现行行业标准《装配式混凝土结构技术规程》JGJ 1的有关要求。
8.2.3 模具选用的隔离剂应不影响构件的结构性能。
8.2.4 预制墙板在混凝土浇筑前应进行预制构件的隐蔽工程检查,检查项目应包括下列内容:
1 钢筋的牌号、规格、数量、位置、间距等;
2 钢板的牌号、规格、焊缝质量、孔洞位置和数量尺寸等;
3 钢筋的连接方式、接头位置、接头质量、接头面积百分率、搭接长度等;
4 预埋件、吊环、插筋的规格、数量、位置等;
5 钢筋的混凝土保护层厚度。
8.2.5 预制墙板应根据混凝土的品种、工作性等因素,制定合理的振掏成型操作规程。混凝土应采用强制式搅拌机搅拌,并宜采用机械振捣。
8.2.6 预制墙板的混凝土采用洒水、覆盖等方式进行常温养护时,应符合现行国家标准《混凝土结构工程施工规范》GB 50666的有关规定;采用加热养护时,应制定养护制度对静停、升温、恒温和降温时间进行控制,宜在常温下静停2h~6h,升温、降温速度不应超过20℃/h,最高养护温度不宜超过70℃,预制构件出池的表面温度与环境温度的差值不宜超过25℃。
8.2.7 预制墙板脱模起吊时,其混凝土立方体抗压强度应满足设计要求,且不应小于15N/mm 2 。
8.2.8 采用后浇混凝土或砂浆、灌浆料连接的预制墙结合面,制作时应按设计要求进行粗糙面处理。设计无具体要求时,可采用化学处理、拉毛或凿毛等方法制作粗糙面。
8.2.9 预制墙板的运输和堆放,应满足现行行业标准《装配式混凝土结构技术规程》JGJ 1的有关要求。
8.3 施工和安装
8.3 施工和安装
8.3.1 钢结构构件的安装应符合国家现行标准《钢结构工程施工规范》GB 50755、《钢结构焊接规范》GB 50661、《钢结构工程施工质量验收标准》GB 50205和《高层民用建筑钢结构技术规程》JGJ 99的有关规定。
8.3.2 现浇钢筋混凝土墙板的施工应满足国家现行标准《混凝土结构工程施工规范》GB 50666、《高层建筑混凝土结构技术规程》JGJ 3的有关规定。
8.3.3 预制墙板宜合理安排工期,采用后固定法施工。
条文说明
8.3.3 根据施工组织方案确定安装墙板的时机。当未安装墙板时,结构应有可靠构件保证结构的侧向刚度。
8.3.4 预制墙板进场后,宜集中堆放,且应符合下列规定:
1 根据预制墙板安装进度计划编制零部件进场计划;
2 构件进场后及时清理内部积水、污物;
3 构件堆放应按安装逆顺序进行堆放,中间加垫木,并交错堆放;
4 构件堆放时,编号和标识应外露。
8.3.5 预制墙板宜对称安装。
8.3.6 预制墙板单元吊装就位后应采取临时固定措施。
8.3.7 预制墙板施工过程中,应检测与其相连框架梁的水平度和框架柱的垂直度。
8.3.8 同层内预制墙板同时采用高强螺栓和焊接连接时,应先进行高强螺栓施工,再进行焊接施工。
8.3.9 预制墙板与钢框架采用焊接连接时,现场焊接应符合下列规定:
1 整体焊接时,竖向应自下而上焊接,平面上应以中心单元为基点,向两侧逐块焊接;
2 单个单元焊接时,应先焊接立焊缝再焊接横焊缝。
8.3.10 预制墙板与钢框架采用焊接连接时,焊缝变形控制措施应符合下列规定:
1 应控制焊接线能量输入和焊接坡口间隙;
2 宜采用分段焊或间断焊工艺;
3 可采用刚性固定法或增加约束度,也可采取反变形措施。
8.3.11 预制墙板与钢框架采用焊接连接时,焊缝的端部、角部以及间距较小的焊缝和加劲肋焊缝,施焊时宜留应力释放孔。
8.3.12 预制墙板与钢框架之间连接部位后浇混凝土的施工应符合下列规定:
1 预制构件结合面疏松部分的混凝土应剔除并清理干净;
2 模板应保证后浇混凝土部分形状、尺寸和位置准确,并应防止漏浆;
3 在浇筑混凝土前应洒水湿润结合面,混凝土应振捣密实。
8.3.13 预制墙板与钢框架之间连接部位后浇混凝土及灌浆料的强度达到设计要求后,方可拆除临时固定措施。
9 钢结构防护
9.1 一般规定
9 钢结构防护
9.1 一般规定
9.1.1 钢构件的防腐和防火涂装,除应符合本标准的规定外,尚应符合国家现行有关标准的规定。
条文说明
9.1.1 参照现行国家标准《钢结构工程施工质量验收标准》GB 50205和《钢结构工程施工规范》GB 50755的规定制定。
9.1.2 钢构件防腐和防火涂装前应根据设计文件和深化设计施工图的要求,编制施工工艺文件。
9.1.3 防腐涂料和防火涂料,应具有质量合格证明文件,并应符合设计和现行国家相关标准的要求。根据现行国家标准《钢结构工程施工质量验收标准》GB 50205的要求,需见证取样、送样的材料尚需进行复验。
9.2 防腐涂装
9.2 防腐涂装
9.2.1 钢构件的防腐涂装施工应符合现行国家标准《钢结构工程施工规范》GB 50755的规定。
9.2.2 钢构件必须采取有效的防腐蚀措施,构造上应考虑便于检查、清刷、油漆及避免积水,闭口截面构件沿全长和端部均应焊接封闭。
9.2.3 钢构件应根据其使用条件和所处环境,按侵蚀作用分类选择相应的表面处理方法和防腐措施。
9.2.4 钢构件应根据具体情况选用下列相适应的防腐措施:
1 金属保护层。
2 防腐涂料:
1)无侵蚀性或弱侵蚀性条件下,可采用油性漆、酚醛漆或醇酸漆等;
2)中等侵蚀性条件下,宜采用环氧漆、环氧脂漆、过氧乙烯漆、氯化橡胶漆或氯醋漆等;
3)防腐涂料的底漆和面漆应相互配套,具有相容性。
3 复合保护:
1)用镀锌钢板制作的构件,涂装前应进行除油、磷化、钝化处理或除油后涂磷化底漆;
2)表面合金化镀锌钢板、镀铝锌钢板的表面不宜涂红丹防锈漆,宜涂H06-2锌黄环氧酯底漆或其他专用涂料进行防护。
9.2.5 当采用防腐涂料时,钢构件应按设计要求进行表面处理。除锈方法和除锈等级应符合现行国家标准《涂覆涂料前钢材表面处理 表面清洁度的目视评定 第1部分:未涂覆过的钢材表面和全面清除原有涂层后的钢材表面的锈蚀等级和处理等级》GB 8923.1的规定。
9.2.6 钢构件采用化学除锈方法时,应选用具备除锈、磷化、钝化中两个以上功能的处理液,其质量应符合现行国家标准《多功能钢铁表面处理液通用技术条件》GB/T 12612的规定。
9.2.7 钢构件采用的涂装材料,应具有出厂质量证明书,并应符合设计要求。涂覆方法可采用手刷或机械喷涂。
9.2.8 在设计涂料、涂装遍数、涂层厚度时应符合工程招标要求,当工程招标或工程承包合同无明确要求时,应符合现行国家标准《钢结构工程施工规范》GB 50755的规定。
9.2.9 涂装时的环境温度和相对湿度应符合涂料产品说明书的要求,当产品说明书无要求时,环境温度宜在5℃~38℃之间,相对湿度不应大于85%;结构表面有结露时不得涂装,涂装后4h内不得搬运,不得淋雨。
条文说明
9.2.9 本条规定涂装时温度以5℃~38℃为宜,该规定只适合室内无阳光直接照射的情况,一般来说钢材表面温度比气温高2℃~3℃。如果在阳光直接照射下,钢材表面温度比气温高8℃~12℃,涂装时漆膜耐热性只能在40℃以下,当超过43℃时,漆膜容易产生气泡而局部鼓起,降低附着力。低于0℃时,漆膜容易冻结而不易固化。湿度超过85%时,钢材表面有露点凝结,漆膜附着力差。
9.2.10 钢构件目测涂装质量应均匀、细致、无明显色差、无流挂、失光、起皱、针孔、气饱、裂纹、脱落、脏物粘附、漏涂等,必须附着良好。漆膜干透后,应用干膜测厚仪测出干膜厚度,不符合厚度的应补涂。
9.2.11 钢构件的防腐处理应符合下列要求:
1 钢材表面处理后宜4h内及时涂刷防腐涂料,在室内或湿度较低的晴天不应超过12h;
2 施工图中注明不涂装的部位不得涂装,安装焊缝处应留出两侧各100mm暂不涂装;
3 钢构件安装就位后,应对在运输、吊装过程中漆膜脱落部位以及安装焊缝两侧未涂油漆部位补涂油漆,使之不低于相邻部位的防护等级;
4 钢构件外包、埋入混凝土的钢结构部位可不做涂装;
5 易淋雨或积水的构件且不易再次油漆维护的部位,应采取措施密封。
9.2.12 钢构件在使用期间应对防腐涂料定期进行检查与维护。维护年限可根据结构的使用条件、表面处理方法、涂料品种及漆膜厚度分别按国家现行有关标准的规定执行。
9.2.13 当环境侵蚀作用分类为弱侵蚀和中等侵蚀时,室内外钢结构漆膜总厚度分别不宜小于125μm和150μm,位于室外和有特殊要求的部位,宜增加涂层厚度(20~40)μm,其中室内钢结构底漆厚度不宜小于50μm,室外钢结构底漆厚度不宜小于75μm。
9.2.14 防腐工程的施工,应符合国家有关法律法规对环境保护的要求,并采取妥善的安全和环境保护措施。
9.2.15 钢构件的防腐涂装和维修时,重新涂装的质量应符合现行国家标准《钢结构工程施工质量验收标准》GB 50205的规定。
9.3 防火涂装
9.3 防火涂装
9.3.1 对钢构件喷涂防火涂料施工时,应符合现行国家标准《钢结构防火涂料》GB 14907和《钢结构工程施工规范》GB 50755的规定。
条文说明
9.3.1 钢结构都要用防火涂层,因此钢结构加工厂在构件制作时只作防锈处理,用防锈涂层刷两道,不涂刷面层。但构件的接头,不论是焊接还是螺栓连接,一般是不刷油漆和各种涂料的,所以钢结构安装完成后,要补刷这些部位的涂层。钢结构安装后补刷涂层的部位,包括焊缝周围、高强度螺栓及摩擦面外露部分,以及构件在运输安装时涂层被擦伤的部位。
9.3.2 防火涂料涂装前钢材表面处理及防锈底漆应符合现行国家相关标准的规定。
9.3.3 钢构件防火涂料的粘结强度、抗压强度应符合现行国家相关标准要求,检验方法应符合现行国家标准《建筑构件耐火试验方法》GB/T 9978.1~9978.9的规定。
9.3.4 对于采用涂装防腐的钢构件使用防火涂料时,应采用与防腐涂料具有相容性的防火涂料。
9.3.5 防火涂料涂装基层不应有油污、灰尘、泥沙等污垢。
条文说明
9.3.5 灰尘、杂质、飞溅等会影响油漆与钢材的粘接强度,影响耐久性。涂装前必须彻底清除。
9.3.6 防火涂料目测涂装质量不应有误涂、漏涂,涂层应闭合无脱层、空鼓、明显凹陷、粉化松散和浮浆等外观缺陷,乳突已剔除。
9.3.7 膨胀型防火涂料涂层表面裂纹宽度不应大于0.5mm;非膨胀型防火涂料涂层表面裂纹宽度不应大于1.0mm。
9.3.8 膨胀型防火涂料的涂层厚度应符合有关耐火极限的设计要求。非膨胀型防火涂料涂层的厚度,80%及以上面积应符合有关耐火极限的设计要求,且最薄处厚度不应低于设计要求的85%。厚度的测量方法应按现行国家标准《钢结构工程施工质量验收标准》GB 50205的规定执行。
9.3.9 钢构件在使用期间应定期对防火涂料进行检查与维护,维护年限可根据结构的使用条件、表面处理方法、涂料品种及厚度考虑。
9.3.10 钢构件的防火涂装和维修时重新涂装的质量应符合现行国家标准《钢结构工程施工质量验收标准》GB 50205的规定。
9.3.11 钢构件也可采用防火板的措施以满足防火设计需要,防火板产品应符合相关国家现行标准的规定。
10 验收
10.1 一般规定
10 验收
10.1 一般规定
10.1.1 钢框架内填墙板结构应按钢结构子分部工程进行验收,除满足本标准相关规定外,尚应符合现行国家标准《建筑工程施工质量验收统一标准》GB 50300和《钢结构工程施工质量验收标准》GB 50205的有关规定。检验批可按钢结构制作工程检验批的划分原则划分为一个或若干个检验批。
10.1.2 钢构件制作和安装中的原材料及成品,焊接、栓钉焊接,普通螺栓、扭剪型高强度螺栓、高强度大六角头螺栓连接,涂装等各分项工程的验收应符合现行国家标准《钢结构工程施工质量验收标准》GB 50205等的有关规定。
10.1.3 预制墙板的进场验收应符合现行国家标准《混凝土结构工程施工质量验收规范》GB 50204的有关规定。
10.1.4 预制墙板的外观质量,除满足本标准相关规定外,尚应符合现行国家标准《钢结构工程施工质量验收标准》GB 50205和《混凝土结构工程施工质量验收规范》GB 50204的有关规定。
10.1.5 钢框架内填墙板结构验收时,除应按现行国家标准《钢结构工程施工质量验收标准》GB 50205和《混凝土结构工程施工质量验收规范》GB 50204的要求提供文件和记录外,尚应提供以下文件和记录:
1 预制墙板的制作和安装的深化设计图;
2 预制墙板的质量证明文件、进场验收记录、抽样复验报告;
3 预制墙板的安装施工记录和质量验收记录。
条文说明
10.1.5 钢框架内填墙板结构验收时,应满足现行国家标准《钢结构工程施工质量验收标准》GB 50205和《混凝土结构工程施工质量验收规范》的相关要求。 本章只规定了混凝土墙板相关的验收要求,其余钢结构框架的验收要求详见相关标准的规定。
10.2 主控项目
10.2 主控项目
10.2.1 预制墙板外形尺寸主控项目的允许偏差应符合表10.2.1的规定。
检查数量:全数检查。
检验方法:用钢尺、直角尺、塞尺、拉线等检查。

10.2.2 预制墙板安装允许偏差应符合表10.2.2的规定。
检查数量:按预制墙板数量抽查10%,且不应少于3个单元。
检验方法:用全站仪或激光经纬仪和用钢尺、直角尺、塞尺、拉线等检查。

条文说明
10.2.1、10.2.2 预制混凝土墙板属于预制构件,其构件的允许偏差应满足表10.2.1的规定和现行行业标准《装配式混凝土结构技术规程》JGJ 1的有关要求。
10.3 一般项目
10.3 一般项目
10.3.1 预制墙板的中心线及标高基准点等标记要齐全。
检查数量:按构件数抽查10%,且不应少于3个。
检验方法:观察检查。
10.3.2 预制墙板外形尺寸一般项目的允许偏差应符合表10.3.2的规定。
检查数量:按构件数抽查10%,且不应少于3件。
检验方法:用钢尺、直角尺、塞尺、拉线等检查。

条文说明
10.3.1、10.3.2 预制混凝土墙板属于预制构件,验收时除符合本节规定外,还应符合现行行业标准《装配式混凝土结构技术规程》JGJ 1的有关要求。
本标准用词说明
本标准用词说明
1 为便于在执行本标准条文时区别对待,对于要求严格程度不同的用词说明如下:
1)表示很严格,非这样做不可的:
正面词采用“必须”,反面词采用“严禁”;
2)表示严格,在正常情况下均应这样做的:
正面词采用“应”,反面词采用“不应”或“不得”;
3)表示允许稍有选择,在条件许可时首先应这样做的:
正面词采用“宜”,反面词采用“不宜”;
4)表示有选择,在一定条件下可以这样做的,采用“可”。
2 条文中指明应按其他标准执行的写法为:“应符合……的规定”或“应按……执行”。
引用标准名录
引用标准名录
1 《建筑结构荷载规范》GB 50009
2 《混凝土结构设计规范》GB 50010
3 《建筑抗震设计规范》GB 50011
4 《钢结构设计标准》GB 50017
5 《建筑结构可靠性设计统一标准》GB 50068
6 《工程结构可靠性设计统一标准》GB 50153
7 《混凝土结构工程施工质量验收规范》GB 50204
8 《钢结构工程施工质量验收标准》GB 50205
9 《建筑工程抗震设防分类标准》GB 50223
10 《建筑工程施工质量验收统一标准》GB 50300
11 《钢结构焊接规范》GB 50661
12 《混凝土结构工程施工规范》GB 50666
13 《钢结构工程施工规范》GB 50755
14 《碳素结构钢》GB/T 700
15 《钢结构用高强度大六角头螺栓》GB/T 1228
16 《钢结构用高强度大六角螺母》GB/T 1229
17 《钢结构用高强度垫圈》GB/T 1230
18 《钢结构用高强度大六角螺栓、大六角螺母、垫圈技术条件》GB/T 1231
19 《低合金高强度结构钢》GB/T 1591
20 《紧固件机械性能 螺栓、螺钉和螺柱》GB/T 3098.1
21 《钢结构用扭剪型高强度螺栓连接副》GB/T 3632
22 《非合金钢及细晶粒钢焊条》GB/T 5117
23 《热强钢焊条》GB/T 5118
24 《埋弧焊用非合金钢及细晶粒钢实心焊丝、药芯焊丝和焊丝-焊剂组合分类要求》GB/T 5293
25 《六角头螺栓 C级》GB/T 5780
26 《六角头螺栓》GB/T 5782
27 《熔化极气体保护电弧焊用非合金钢及细晶粒钢实心焊丝》GB/T 8110
28 《涂覆涂料前钢材表面处理 表面清洁度的目视评定第1部分:未涂覆过的钢材表面和全面清除原有涂层后的钢材表面的锈蚀等级和处理等级》GB/T 8923.1
29 《建筑构件耐火试验方法》GB/T 9978.1~9978.9
30 《非合金钢及细晶粒钢药芯焊丝》GB/T 10045
31 《电弧螺柱焊用圆柱头焊钉》GB/T 10433
32 《埋弧焊用热强钢实心焊丝、药芯焊丝和焊丝-焊剂组合分类要求》GB/T 12470
33 《多功能钢铁表面处理液通用技术条件》GB/T 12612
34 《建筑用压型钢板》GB/T 12755
35 《钢结构防火涂料》GB 14907
36 《熔化焊用钢丝》GB/T 14957
37 《热强钢药芯焊丝》GB/T 17493
38 《建筑结构用钢板》GB/T 19879
39 《装配式混凝土结构技术规程》JGJ 1
40 《高层建筑混凝土结构技术规程》JGJ 3
41 《普通混凝土配合比设计规程》JGJ 55
42 《高层民用建筑钢结构技术规程》JGJ 99
43 《高强混凝土应用技术规程》JGJ/T 281
