Appearance
《预应力混凝土异型预制桩技术规程[附条文说明]》JGJ/T 405-2017
🗓️ 住房和城乡建设部 实施时间:2017-09-01
前言
中华人民共和国行业标准
预应力混凝土异型预制桩技术规程
Technical specification for prefabricated special-shaped piles of prestressed concrete
JGJ/T 405-2017
批准部门:中华人民共和国住房和城乡建设部
施行日期:2017年9月1日
中华人民共和国住房和城乡建设部公告
第1470号
住房城乡建设部关于发布行业标准《预应力混凝土异型预制桩技术规程》的公告
现批准《预应力混凝土异型预制桩技术规程》为行业标准,编号为JGJ/T 405-2017,自2017年9月1日起实施。
本规程由我部标准定额研究所组织中国建筑工业出版社出版发行。
中华人民共和国住房和城乡建设部
2017年2月20日
前言
根据住房和城乡建设部《关于印发<2015年工程建设标准规范制订、修订计划>的通知》(建标[2014]189号)的要求,规程编制组经广泛调查研究,认真总结实践经验,参考有关国际标准和国外先进标准,并在广泛征求意见的基础上,编制了本规程。
本规程的主要技术内容是:1.总则;2.术语和符号;3.基本规定;4.类型和构造;5.设计;6.施工;7.检测与验收。
本规程由住房和城乡建设部负责管理,由江苏天海建材有限公司负责具体技术内容的解释。执行过程中如有意见或建议,请寄送江苏天海建材有限公司(地址:江苏省张家港市金港镇南沙天海工业园,邮政编码:215632)。
本规程主编单位 :江苏天海建材有限公司
宁波市建设集团股份有限公司
本规程参编单位 :中国建筑设计院有限公司
建研地基基础工程有限责任公司
浙江大学
同济大学
浙江兆弟控股有限公司
国家建筑工程质量监督检验中心
苏州混凝土水泥制品研究院有限公司
浙江省建筑设计研究院
杭州高新技术产业开发区(滨江)城建指挥部
华煜建设集团有限公司
上海岩土工程勘察设计研究院有限公司
杭州建工集团有限责任公司
福建省建筑科学研究院
安徽省建筑科学研究院
河北省建筑科学研究院
湖北省建筑科学研究院
江苏省建筑设计研究院
绍兴市水联建设工程有限责任公司
浙江祥生建设工程有限公司
北京中岩大地工程技术有限公司
浙江省交通设计研究院
新世纪建设集团有限公司
宁波市建筑设计研究院
浙江兆恒建材有限公司
浙江国丰集团有限公司
恒中达建筑有限公司
浙江万达建设集团有限公司
中铁十一局集团第五工程有限公司
本规程主要起草人员 :金伟良 周开发 苗志春 齐金良 刘佩锟 王涛 陈凡 刘兴旺 匡红杰 俞宝达 周继发 徐利红 孙继文 岳增国 柳建国 施峰 杨江涛 石振明 宋志刚 郁廷栋 毛斌 孙伯儒 郭杨 汪强 许国平 吴海明 吴刚 程世韬 魏建华 周伯成 梁耀哲 郭健 王元清 胡永富 耿鹤良 史芳明 吕舜远 赵成翔
本规程主要审查人员 :钱力航 任庆英 梁金国 顾国荣 高文生 张振栓 陈旭伟 杨成斌 李强 金如元 姚元重
条文说明
中华人民共和国行业标准
预应力混凝土异型预制桩技术规程
JGJ/T405-2017
条文说明
编制说明 《预应力混凝土异型预制桩技术规程》JGJ/T405-2017,经住房和城乡建设部2017年2月20日以第1470号公告批准、发布。 本规程编制过程中,编制组进行了广泛的调查研究,总结了我国工程建设中的实践经验,同时参考了国外先进技术法规、技术标准,通过工程实测,取得了预应力混凝土异型预制桩的重要技术参数。 为便于广大设计、施工、检测、科研、学校等单位有关人员在使用本规程时能正确理解和执行条文规定,《预应力混凝土异型预制桩技术规程》编制组按章、节、条顺序编制了本规程的条文说明,对条文规定的目的、依据以及执行中需注意的有关事项进行了说明。但是,本条文说明不具备与规程正文同等的法律效力,仅供使用者作为理解和把握规程规定的参考。
1 总则
1 总 则
1.0.1 为规范预应力混凝土异型预制桩的应用,贯彻执行国家的技术经济政策,做到安全适用、技术先进、经济合理、质量可靠、保护环境,制定本规程。
条文说明
1.0.1规定了本规程编制的目的。 预应力混凝土异型预制桩是预制成型的变截面桩结构,异型桩能够与土层更好地结合,充分发挥桩身与土体接触形成的侧摩阻力来提高桩的整体承载能力,桩身材料用量和建筑成本能得到明显降低,桩身和连接部位的防腐性能得到提升。 预应力混凝土异型预制桩主要包括异型管桩、异型方桩、六角桩、八角桩、T型桩、扩头桩等。为使预应力混凝土异型预制桩的应用规范化,制定本规程。
1.0.2 本规程适用于建筑工程中采用预应力混凝土异型预制桩的设计、施工、检测与验收。
1.0.3 预应力混凝土异型预制桩的设计、施工、检测与验收,除应符合本规程外,尚应符合国家现行有关标准的规定。
2 术语和符号
2.1 术语
2 术语和符号
2.1 术 语
2.1.1 预应力混凝土异型预制桩 prefabricated special-shaped piles of prestressed concrete
桩身横截面外轮廓为非圆形、非正方形或纵向变截面的先张法预应力混凝土预制桩,简称异型桩。
2.1.2 预应力混凝土异型管桩 special-shaped pipe piles of prestressed concrete
桩身沿轴线方向有间隔突起的圆形截面的先张法预应力混凝土预制桩,简称异型管桩。
条文说明
2.1.2异型管桩分为不带纵向肋和带纵向肋(图1和图2)。 
图1异型管桩(不带纵向肋)
图2异型管桩(带纵向肋)
2.1.3 预应力混凝土异型方桩 special-shaped square piles of prestressed concrete
桩身沿轴线方向有间隔突起的正方形截面的先张法预应力混凝土预制桩,简称异型方桩。
条文说明
2.1.3异型方桩分为空心异型方桩和实心异型方桩(图3和图4)。
图3空心异型方桩
图4实心异型方桩
2.1.4 预应力混凝土六角桩 hexagonal piles of prestressed concrete
桩身横截面外轮廓为六角形的先张法预应力混凝土预制桩,简称六角桩。
条文说明
2.1.4六角桩分为空心六角桩和实心六角桩(图5和图6)。 
图5空心六角桩
图6实心六角桩
2.1.5 预应力混凝土八角桩 octagonal piles of prestressed concrete
桩身横截面外轮廓为八角形的先张法预应力混凝土预制桩,简称八角桩。
条文说明
2.1.5八角桩分为空心八角桩和实心八角桩(图7和图8)。 
图7空心八角桩
图8实心八角桩
2.1.6 预应力混凝土T型桩 T-shaped piles of prestressed concrete
桩身横截面外轮廓为T形的先张法预应力混凝土预制桩,简称T型桩。
条文说明
2.1.6T型桩为实心异型桩(图9)。 
图9T型桩
2.1.7 预应力混凝土扩头桩 step tapered piles of prestressed concrete
一端端部直径变大的先张法预应力混凝土预制桩,简称扩头桩。
条文说明
2.1.7扩头桩为异型桩一种(图10)。 
图10扩头桩
2.1.8 异型复合桩 special-shaped composite pile
采用交叉转钻、复合重叠、高喷搅拌方法形成的水泥土桩与植入的预应力混凝土异型预制桩复合而成的桩基。
条文说明
2.1.8异型复合桩是通过干喷水泥或直接喷射水泥砂浆至土体中,经过多轴正反转叶片的钻机(带有喷浆口)将土体与水泥浆搅拌均匀后插入异型桩形成的复合桩。
2.1.9 内芯 inner core
异型复合桩桩体中心的刚性部分。
2.1.10 外芯 outer core
异型复合桩中内芯以外的部分。
2.2 符号
2.2 符 号
2.2.1 抗力和材料性能
f c ——桩身混凝土轴心抗压强度设计值;
f cu ——与桩身水泥土配比相同的室内水泥土试块(边长为70.7mm的立方体)在标准养护条件下28d龄期的立方体抗压强度平均值;
f n ——填芯混凝土与桩内壁的粘结强度设计值;
f t ——桩混凝土轴心抗拉强度设计值;
f y ——插筋的抗拉强度设计值;
f tk ——混凝土轴心抗拉强度标准值;
f py ——桩预应力钢筋的抗拉强度设计值;
f′ py ——纵向主筋抗压强度设计值;
M——异型桩弯矩设计值;
V——桩身横向剪力设计值;
q sik ——单桩第i层土的抗压极限侧阻力标准值;
q c sk ——异型复合桩复合段内芯极限侧阻力标准值;
q c sjk ——异型复合桩非复合段内芯第j土层极限侧阻力标准值;
q pk ——异型桩极限端阻力标准值;
q c pk ——异型复合桩的内芯桩端土的极限端阻力标准值;
q c cpk ——异型复合桩复合段内芯凹凸面处端阻力标准值;
R ha ——单桩水平承载力特征值;
T gk ——群桩呈整体破坏时基桩的抗拔极限承载力标准值;
T uk ——群桩呈非整体破坏时基桩的抗拔极限承载力标准值;
Q uk ——异型复合桩竖向极限承载力标准值;
G gp ——群桩基础所包围体积的桩土总自重除以总桩数,地下水位以下取浮重度;
G p ——基桩自重,地下水位以下取浮重度。
2.2.2 作用和作用效应
Q c ——荷载效应基本组合下的桩顶轴向压力设计值;
N k ——按荷载效应标准组合计算的基桩拔力;
N——荷载效应基本组合下的桩顶轴向拉力设计值;
H Eik ——地震作用效应和荷载效应标准组合下,作用于第i基桩的水平力。
2.2.3 几何参数
A——桩身横截面面积;
A j ——桩端净面积;
A m ——桩身较小截面横截面积;
A pl ——桩空心部分敞口面积;
A p ——预应力钢筋的面积;
A′ p ——纵向主筋截面面积;
A c p ——异型复合桩内芯桩身截面面积;
A s ——插筋的总面积;
r 1 、r 2 ——异型桩桩身环形截面内、外半径;
r p ——预应力钢筋所在圆周直径;
d c ——异型桩内径;
d 0 ——异型桩扣除保护层后的直径;
D——异型桩最大外径或边长;
D c ——异型复合桩最大外径或边长;
L a ——桩顶填芯混凝土深度;
l i ——桩身穿越第i层土(岩)的厚度;
l c 、l j ——分别为异型复合桩复合段长度和非复合段第j土层厚度;
t——桩壁厚;
I——异型桩截面中心轴的惯性矩;
I p ——异型桩混凝土换算截面惯性矩;
S 0 ——异型桩对中心轴的面积矩;
u l ——群桩外围周长;
u c ——异型复合桩内芯桩身周长;
u——异型复合桩复合段桩身周长;
u p ——桩身最大外直径的周长;
u pn ——桩内孔圆周长;
θ——内芯异型桩截面变化处斜面与水平面夹角;
U——桩群复合段外芯外围周长;
U c ——桩群复合段内芯外围周长;
b 0 ——桩身计算宽度。
2.2.4 其他
n——群桩的桩数;
λ——抗拔系数;
λ j ——非复合段内芯第j土层抗拔系数;
λ——异型复合桩复合段外芯抗拔系数;
λ c ——异型复合桩复合段内芯抗拔系数;
λ p ——桩端土塞效应系数;
β t ——抗拔侧阻力截面形状影响系数;
β c ——竖向抗压侧阻力截面影响系数;
β h ——受冲切承载力截面高度影响系数;
α——受压区混凝土面积和全截面面积之比;
α E ——异型桩预应力钢筋弹性模量与混凝土弹性模量之比;
α t ——受拉区纵向预应力达到屈服钢筋面积与全部预应力钢筋面积之比;
α 1 ——混凝土矩形应力图的应力值与混凝土轴心抗压强度设计值之比;
υ x ——桩顶水平位移系数;
X 0a ——桩顶允许水平位移;
ψ c ——考虑成桩工艺、混凝土残留预压应力、工作条件等影响的综合折减系数;
C——考虑异型桩纵向预应力钢筋受力不均匀等因素的折减系数;
δ——水泥土立方体抗压强度试验变异系数;
δ t ——混凝土抗拉强度变异系数调整系数;
m——地基土水平抗力系数的比例系数;
ξ si ——异型复合桩复合段水泥土第i土层侧阻力调整系数;
ξ p ——异型复合桩复合段水泥土第i土层端阻力调整系数;
EI——桩身抗弯刚度;
E p ——异型桩混凝土弹性模量;
ρ g ——异型桩纵向预应力筋配筋率。
3 基本规定
3 基本规定
3.0.1 异型桩按截面形式可分为异型管桩、异型方桩、六角桩、八角桩、T型桩、扩头桩等;按截面构造可分为实心异型桩和空心异型桩;按混凝土强度等级可分为预应力混凝土异型预制桩和预应力高强混凝土异型预制桩。
3.0.2 异型桩基础设计应根据建筑规模、功能特征、对差异变形的适应性、场地地基和建筑物体形的复杂性以及由于桩基问题可能造成建筑破坏或影响正常使用的程度,分为甲、乙、丙三个设计等级,等级的划分应符合现行行业标准《建筑桩基技术规范》JGJ 94的规定。
3.0.3 异型桩基础设计与施工,应综合考虑工程地质和水文地质条件、上部结构类型、使用功能、荷载特征、施工技术条件与环境等因素。
条文说明
3.0.3异型桩应用时应详细了解场地工程地质和水文地质条件,掌握土的工程性质,特别是穿越土层和桩端土的类别与性质,结合工程经验,进行计算分析。由于岩土工程分析中计算条件的不确定性、信息的不完全性、计算方法的局限性和各种假想边界条件的不确定性,很难十分准确计算出地基基础的承载力、沉降量、稳定性等指标,需要工程师在计算分析结果和工程经验类比的基础上综合判断。异型桩设计应在充分了解功能要求、荷载的性质与大小和掌握必要资料的基础上,先定性分析,再定量分析,从技术方法的适宜性和有效性、施工的可操作性、质量的可控制性、防腐性能指标提高以及经济性等多方面进行论证,通过比较分析,逐步完善设计与施工方案。
3.0.4 空心异型桩适用于抗震设防烈度不大于8度的地区,8度地区场地类别为Ⅲ、Ⅳ类时不宜使用。
3.0.5 异型桩连接部位应符合耐久性要求;当异型桩所处环境类别达到现行国家标准《混凝土结构设计规范》GB 50010中规定的三类及以上时,异型桩连接部位应符合国家现行标准《工业建筑防腐蚀设计规范》GB 50046和《港口工程混凝土结构设计规范》JTJ 267的规定。
条文说明
3.0.5场地的适宜性方面应重点评价:桩基稳定性、场地均匀性、承载力特性(即岩土参数)、沉桩可能性、沉桩方式以及异型桩对场地环境条件的限制性要求。
3.0.6 异型复合桩适用于处理淤泥、淤泥质土、黏性土、粉土、砂土以及人工填土等地基。
3.0.7 异型桩用于基坑支护工程时,其荷载、结构分析和稳定性验算,应符合现行行业标准《建筑基坑支护技术规程》JGJ 120的有关规定。
4 类型和构造
4.1 一般规定
4 类型和构造
4.1 一般规定
4.1.1 预应力钢筋力学性能应符合表4.1.1-1的规定,基本尺寸应符合表4.1.1-2的规定;预应力钢筋张拉控制应力σ con 应取钢筋抗拉强度标准值的0.7倍,钢筋的张拉应力及每根钢筋的张拉力应符合表4.1.1-3的规定。
表4.1.1-1 预应力钢筋的力学性能

表4.1.1-2 预应力钢筋的基本尺寸

表4.1.1-3 预应力钢筋的张拉应力及每根钢筋的张拉力值

条文说明
4.1.1用表格形式列出常用预应力钢筋的基本参数,准确明了。
4.1.2 混凝土强度等级不低于C65时,预应力钢筋放张时桩的混凝土抗压强度不得低于45MPa;混凝土强度等级为C40时,放张时桩的混凝土抗压强度不得低于30MPa。
4.1.3 异型桩构造应符合下列规定:
1 建(构)筑物基础用异型桩预应力钢筋混凝土保护层厚度不应小于40mm作为地基处理和临时性设施基础不应小于25mm。
2 空心异型桩预应力钢筋最小配筋率不宜低于0.5%,其中异型管桩、六角桩、八角桩预应力钢筋不应少于6根,异型方桩预应力钢筋不应少于4根,间距允许偏差应为±5mm。
3 螺旋筋的直径应符合表4.1.3的规定。异型桩两端螺旋筋加密区的长度宜为最大外径或边长的3倍~5倍;空心异型桩加密区螺旋筋的螺距应为45mm,其余部分螺旋箍筋的螺距应为80mm;实心异型桩加密区螺旋筋的螺距应为50mm,其余部分螺旋箍筋的螺距应为100mm;螺距的允许偏差均应为±5mm。
表4.1.3 螺旋筋直径

4 桩的连接可采用机械连接、端板焊接等连接方式。
条文说明
4.1.3根据《混凝土结构设计规范》GB50010-2010中的2b环境要求,异型桩的预应力钢筋保护层厚度均不得小于40mm,预应力筋保护层厚度小于40mm的异型桩仅能用于地基处理或临时工程。
4.1.4 机械连接件应符合下列规定:
1 连接件材料的机械性能应符合国家现行标准《钢筋机械连接技术规程》JGJ 107、《优质碳素结构钢》GB/T 699、《合金结构钢》GB/T 3077和《冷卷圆柱螺旋弹簧技术条件第2部分:压缩弹簧》GB/T 1239.2的规定;
2 连接件的抗拉强度不应低于预应力钢筋镦头强度,预应力钢筋镦头强度为预应力钢筋抗拉强度标准值的90%。
4.1.5 端板钢材应符合下列规定:
1 材料采用Q235B,端板制造不得采用铸造工艺,端板厚度不得有负偏差,单块端板采用对接焊接成型时,其焊接性能应符合现行国家标准《钢结构焊接规范》GB 50661的规定;
2 除焊接坡口、桩套箍连接槽、预应力钢筋挂筋孔、消除焊接应力槽、机械连接孔外,端板表面应平整,不得开槽和打孔;
3 质量应符合国家现行标准《先张法预应力混凝土管桩用端板》JC/T 947、《预应力离心混凝土空心方桩用端板》JC/T 2239和《碳素结构钢》GB/T 700的有关规定;
4 厚度应符合表4.1.5的规定:
表4.1.5 端板最小厚度

5 端板位置预应力钢筋挂筋孔内应填充环氧树脂或其他密封材料。
条文说明
4.1.5本条对端板的材质、构造、制作工艺及要求提出了详细的要求。这是结合各地的现状并借鉴部分省市的经验而专门制定的,目的是规范生产、质量管控与市场监管。目前,从部分省市的预应力桩现场施工情况看,端板的制造很不规范又缺乏监控,出现了不少问题,因此本条详细规定了端板构造的具体要求:①端板制造不得采用铸造工艺,严禁使用地条钢制造端板;②端板厚度不得有负偏差,除焊接坡口、桩套箍连接槽、预应力钢筋挂筋孔、消除焊接应力槽、机械连接孔外,端板表面应平整,不得开槽和打孔;③由于端板暴露于土中,易腐蚀,影响工程质量,因此本条规定的端板厚度比国家标准《先张法预应力混凝土管桩》GB/T13476-2009中高一个等级,并增加了不同规格钢筋所需要的端板厚度要求;④此外还要求端板位置预应力钢筋挂筋孔内应填充环氧树脂或其他密封材料,以防止接桩时由于端板焊接不严密造成土体中有害物质侵蚀桩体主筋,影响工程安全。
4.1.6 接桩密封材料环氧树脂和固化剂应符合现行国家标准《双酚A型环氧树脂》GB/T 13657和《色漆、清漆和色漆与清漆用原材料取样》GB/T 3186的规定。
4.1.7 桩尖可分为钢桩尖和混凝土桩尖,类型可分为A型(开口型钢桩尖)、B型(十字型钢桩尖)和C型(混凝土桩尖);钢桩尖的钢板材质应符合现行国家标准《碳素结构钢》GB/T 700的有关规定,材料的性能不应低于Q235钢的要求。
4.1.8 异型桩制作其他要求尚应符合现行国家标准《先张法预应力离心混凝土异型桩》GB 31039的规定。
4.2 异型管桩
4.2 异型管桩
4.2.1 异型管桩按混凝土强度等级可分为预应力混凝土异型管桩(SPC)和预应力高强混凝土异型管桩(SPHC);SPC桩混凝土强度等级不应低于C65,SPHC桩混凝土强度等级不应低于C80。
4.2.2 异型管桩按最大外径可分为300mm、350mm、400mm、450mm、500mm、550mm、600mm、650mm、700mm、800mm、900mm、1000mm、1200mm等。
条文说明
4.2.2增加了350mm、450mm、550mm、650mm等规格的异型管桩,丰富了品种,满足工程需要。
4.2.3 异型管桩按混凝土有效预压应力值可分为A型、AB型、B型和C型,其有效预应力值应分别为4MPa、6MPa、8MPa和10MPa,其计算值不应小于规定值的95%。
4.2.4 异型管桩构造、桩身配筋和力学性能应符合本规程附录A的规定。
4.3 异型方桩
4.3 异型方桩
4.3.1 空心异型方桩按混凝土强度等级可分为预应力混凝土空心异型方桩(HSPS)和预应力高强混凝土空心异型方桩(HSPHS);HSPS桩混凝土强度等级不应低于C65,HSPHS桩混凝土强度等级不应低于C80。
4.3.2 实心异型方桩按混凝土强度等级可分为预应力混凝土实心异型方桩(SPS)和预应力高强混凝土实心异型方桩(SPHS);SPS桩混凝土强度等级不应低于C40,SPHS桩混凝土强度等级不应低于C80。
4.3.3 空心异型方桩按有效预应力值的大小可分为A型、AB型、B型、C型,其有效预压应力值应符合表4.3.3的规定。
表4.3.3 空心异型方桩有效预压应力值

条文说明
4.3.3异型方桩的型号分为A型、AB型、B型和C型四种,主要是按现行行业标准《预应力混凝土空心方桩》JG197按有效预压应力值来区分的,并增加了C型桩的规定。
4.3.4 异型方桩构造、桩身配筋和力学性能应符合本规程附录B和附录C的规定。
4.4 异型复合桩
4.4 异型复合桩
4.4.1 异型复合桩按内芯长短可分为短芯异型复合桩、等芯异型复合桩和长芯异型复合桩(图4.4.1)。

图4.4.1 异型复合桩桩身构造示意图
1-外芯;2-内芯
4.4.2 异型复合桩的内芯宜为纵向变截面的异型桩。
条文说明
4.4.2纵向不等截面的异型桩,其凹凸面能分段承担各段桩身与水泥土桩的剪切力,增强了桩身摩擦力,因而彻底解决了复合桩中普通圆形或方形预制桩在承载力较大时,水泥土桩收缩,芯桩由于无凹凸而出现与水泥土桩粘结面脱离,抗压、抗拔承载力降低的现象。所以异型复合桩充分发挥了复合桩的优势,克服了普通预应力桩与水泥土粘结不牢的缺陷。
4.4.3 异型复合桩选型应符合下列规定:
1 异型复合桩中外芯最大边长或直径宜为500mm~1800mm,内芯应按本规程选用(图4.4.3),并应符合桩身承载力与裂缝控制指标的要求;
2 当内芯桩长大于外芯时,桩端应进入较硬持力层;
3 异型复合桩复合段的外芯厚度宜为150mm~250mm;
4 异型复合桩内芯与外芯之间粘合宜有凹凸面,且无凹凸面的长度不宜大于3000mm;
5 短芯异型复合桩内芯桩端以下部分的长度宜根据土层状况和工程设计要求确定。

图4.4.3 异型复合桩示意
1-外芯;2-内芯;D c -外芯直径或边长
4.4.4 异型复合桩其他构造要求应符合现行行业标准《劲性复合桩技术规程》JGJ/T 327的规定。
4.5 其他异型桩
4.5 其他异型桩
条文说明
其他异型桩本规程中主要是指六角桩、八角桩、T型桩和扩头桩等。随着技术的发展和市场需求,将不断有新的异型桩出现。
4.5.1 空心六角、八角桩按混凝土强度等级可分为预应力混凝土空心六角、八角桩(混凝土强度等级不应低于C65)和预应力高强混凝土空心六角、八角桩(混凝土强度等级不应低于C80)。
4.5.2 实心六角、八角桩按混凝土强度等级可分为预应力混凝土实心六角、八角桩(混凝土强度等级不应低于C40)和预应力高强混凝土实心六角、八角桩(混凝土强度等级不应低于C80)。
4.5.3 六角桩和八角桩预应力钢筋应沿环向均匀布置。
4.5.4 T型桩构造应符合下列规定:
1 T型桩桩身翼缘厚度不宜小于120mm,宽度不宜小于1200mm;腹板高度不宜小于500mm;
2 T型桩混凝土强度等级不应低于C40;
3 T型桩桩与桩之间的连接方式可采用L形槽(图4.5.4);
4 T型桩桩间的缝宽宜为5mm~20mm;

图4.5.4 T型桩示意
5 墙后原土层或回填土为细颗粒土回填时,T型桩桩与桩之间的接缝应采取防漏土措施。
条文说明
4.5.4T型桩为实心异型桩,适用于基坑支护工程。T型桩直接压入土中,起到挡土、挡水的作用,为基坑内施工创造条件。
5 设计
5.1 一般规定
5 议 计
5.1 一般规定
5.1.1 异型桩基础承载能力计算应符合下列规定:
1 桩基竖向承载力和水平承载力计算应根据桩基使用功能和受力特征确定;
2 桩身和承台结构应进行承载力计算;对于桩侧土为可液化土或不排水抗剪强度小于10kPa且长径比大于50的桩,应进行异型桩桩身压屈验算;异型桩桩身应进行吊装、运输和锤击作用承载力验算;
3 当桩端平面以下存在软弱下卧层时,应进行软弱下卧层承载力验算;
4 对于承受拔力的桩基,应进行基桩和群桩的抗拔承载力计算;
5 对于抗震设防区的基桩,应进行抗震承载力验算。
5.1.2 下列情况应进行沉降计算:
1 设计等级为甲级的桩基;
2 设计等级为乙级且建筑物体形复杂、荷载分布显著不均匀或桩端平面以下存在软弱土层的桩基;
3 异型桩或异型复合桩作为复合地基增强体时。
5.1.3 异型桩基础设计时,所采用的荷载效应组合和相应的抗力与变形限值应符合国家现行标准《建筑地基基础设计规范》GB 50007和《建筑桩基技术规范》JGJ 94的有关规定。
5.1.4 异型桩基础设计应具备下列基本资料:
1 岩土工程勘察报告;
2 建筑场地与环境条件资料;
3 建筑物的总平面布置图;建筑物的结构类型、荷载,建筑物的使用条件和设备对基础竖向及水平位移的要求;建筑结构的安全等级;
4 施工条件资料;
5 供设计比选用的有关桩型及实施可行性的资料。
5.1.5 异型桩的选用应综合分析下列因素:
1 建筑场地条件,包括地上及地下管线、地下原有基础的情况、地形地貌和地质情况;
2 周边环境条件,包括周边的建筑、道路、市政管网等;
3 沉桩过程中的振动、挤土可能产生的负面影响;
4 拟建建筑物上部结构体系、层数及荷载、基础沉降及水平位移的要求,抗震设防要求;
5 沉桩设备性能及其对场地条件的适应性;
6 桩的规格、单节长度、接头数及供应条件。
5.1.6 异型桩的选型应符合下列规定:
1 基础设计等级为甲级的桩基础不宜选用A型桩,不应选用最大外径或边长为400mm以下的异型桩;
2 抗震设防烈度8度时,与基础连接的首节桩不应选用A型桩;
3 当用于端承型桩且需穿过一定厚度较硬土层时,不宜选用A型桩;
4 中等腐蚀场地采用异型桩时,应选用AB型、B型、C型桩,且桩身合缝和端头不得有漏浆的异型桩,并应采取相应的防腐措施;
5 抗拔桩宜选用AB型、B型、C型桩;
6 异型桩用于围护结构时,应选用实心异型桩或T型桩,且不应选用A型桩。
5.1.7 异型桩的平面布置应符合下列规定:
1 相邻桩的最小中心距不应小于表5.1.7的规定;当采用减少挤土效应的措施时,相邻桩的中心距可适当减少,但不得小于3.0倍桩最大外径或边长;
表5.1.7 桩的最小中心距

注:1 D为异型桩的最大外径或边长;
2 D c 为异型复合桩外芯直径或边长。
2 采用多桩或群桩时,宜使桩群形心与其上部结构竖向永久荷载的重心相重合,减少偏心;
3 同一结构单元不应采用不同类型的桩。
条文说明
5.1.7异型桩的最小中心距是根据现行行业规程《建筑桩基技术规范》JGJ94的相关规定确定,异型复合桩的最小中心距是根据现行行业规程《水泥土复合管桩基础技术规程》JGJ/T330的相关规定确定。
5.1.8 桩端持力层的选择及桩端全截面进入深度应符合下列规定:
1 桩端持力层应选择坚硬、密实土层;
2 桩端全截面(不包括桩尖部分)进入持力层的深度,对于黏性土、粉土不宜小于2倍桩最大外径或边长,砂土、全风化、强风化软质岩等不宜小于1.5倍桩最大外径或边长,碎石土、强风化硬质岩等不宜小于1.0倍的桩身最大外径或边长。当存在软弱下卧层时,桩端以下持力层厚度不宜小于3倍桩最大外径或边长。
条文说明
5.1.8桩端进入较坚硬、较密实的土层,是提高单桩承载力特征值、减少沉降的重要手段。
5.1.9 异型桩的长径比应符合下列规定:
1 摩擦型桩长径比不宜大于100;
2 端承型桩长径比不宜大于80;
3 当桩身穿过较厚的淤泥和淤泥质软弱土层、可液化土层、回填土层时,应分析桩的稳定性及对桩身承载力的影响。
条文说明
5.1.9规定了异型桩长径比的要求。对于异型复合桩,桩径按照异型复合桩外芯最小截面处直径或边长计算,长径比要求宜比直接打、压入式异型桩要求严格,摩擦型桩长径比不宜大于90,端承型桩长径比不宜大于70。
5.1.10 抗震设防烈度为8度,高度超过60m的建(构)筑物采用空心异型桩时,宜设置地下室;高度超过100m的建(构)筑物采用空心异型桩时,应设置地下室,且异型管桩、空心六角桩、空心八角桩的最大外径或边长不应小于600mm,空心异型方桩的最大边长不应小于550mm。
5.1.11 承台设计应符合国家现行标准《建筑地基基础设计规范》GB 50007和《建筑桩基技术规范》JGJ 94的规定。
5.1.12 下列地质条件下,异型桩施工不宜采用锤击法或静压法:
1 土层中夹有难以清除且影响桩基施工的孤石、障碍物;
2 坚硬黏性土、密实的砂类土、碎石土、塑性指数大于25的黏性土;
3 桩基施工可能影响邻近建筑物、地下管线的正常使用和安全时;
4 土层含水量小于20%;
5 常年地下水位偏低地区、常年缺水干旱地区。
条文说明
5.1.12锤击法或静压法施工异型桩一般不宜用于含孤石或障碍物较多且不易清除的土层,也不宜用于桩端以上存在难以穿透的坚硬黏性土、密实的砂土、碎石土层的场地。异型桩存在挤土效应,当桩基施工可能影响邻近建筑物、地下管线的正常使用和安全时,也不宜采用锤击法或静压法施工。常年地下水位偏低地区、常年缺水干旱地区锤击法或静压法施工异型桩可能会导致异型桩与土体不能紧密接触,承载力得不到发挥。 采用种植法可解决以上问题,但异型复合桩用于塑性指数大于25的黏性土时应通过试验确定其适用性。异型桩也可配合引孔辅助法沉桩,引孔法是减轻挤土效应一种常用的有效方法,也可以采用引孔法穿越上部坚硬夹层,使桩长符合设计要求。
5.1.13 异型桩用于基坑支护时,不宜用于下列工程:
1 深厚淤泥等超深软土基坑工程;
2 开挖深度大于10m的膨胀性土或填土基坑工程;
3 造成异型桩挠曲变形大的基坑工程。
5.2 异型桩计算
5.2 异型桩计算
5.2.1 异型桩基础桩顶作用效应和竖向承载力验算应符合现行行业标准《建筑桩基技术规范》JGJ 94的规定,抗震验算尚应符合现行国家标准《建筑抗震设计规范》GB 50011的规定。
5.2.2 单桩竖向极限承载力标准值的确定应符合下列规定:
1 设计等级为甲级的建筑桩基,应通过单桩竖向静载试验确定,单桩竖向静载试验应按现行行业标准《建筑基桩检测技术规范》JGJ 106执行;
2 设计等级为乙级的桩基,当地质条件简单时,可按地质条件相同的试桩资料,结合静力触探等原位测试和经验参数综合确定;其余均应通过单桩静载试验确定;
3 设计等级为丙级的建筑桩基,可根据原位测试和经验参数确定;
4 初步设计时,可根据土的物理指标与承载力参数之间的经验关系确定。
5.2.3 根据土的物理指标与承载力参数之间的经验关系确定异型桩单桩竖向抗压极限承载力标准值时,可按下列公式估算:

式中:u p ——桩身按最大外径或边长计算的周长(m);
q sik ——桩侧第i层土的极限侧阻力标准值(kPa),无当地经验时,可按现行行业标准《建筑桩基技术规范》JGJ 94规定的混凝土预制桩极限侧阻力标准值取值;
l i ——桩身穿越第i层土(岩)的厚度(m);
l——桩身总长度(m);
q pk ——桩极限端阻力标准值(kPa),无当地经验时,可按现行行业标准《建筑桩基技术规范》JGJ 94规定的混凝土预制桩极限端阻力标准值取值;
A j ——桩端净面积(m 2 );
λ p ——桩端土塞效应系数,对于闭口桩λ p =1;对于开口桩:当h b /D<5时,λ p =0.16h b /D;当h b /D≥5时,λ p =0.8(h b 为桩端进入持力层的深度,D为桩最大外径或边长);
A pl ——桩端的空心部分面积(m 2 );
β c ——竖向抗压侧阻力截面影响系数,宜按地区经验取值;无地区经验时,对于纵向不变截面异型桩β c =1.0;对于纵向变截面异型桩,可按表5.2.3取值。
表5.2.3 纵向变截面异型桩竖向抗压侧阻力截面影响系数

条文说明
5.2.3当异型桩纵向不变截面时,异型桩在竖向荷载作用下的工作机理与普通管桩、方桩的工作机理相似,异型桩承担的荷载通过异型桩-土界面传递至桩侧土。所以对纵向不变截面异型桩其竖向极限承载力估算公式仍按现行行业标准《建筑桩基技术规范》JGJ94混凝土空心桩经验关系计算公式采用,侧阻力截面影响系数βc取1.0。 当异型桩纵向变截面时,异型桩在竖向荷载作用下的工作机理与普通管桩、方桩的工作机理有所不同,异型桩承担的竖向荷载一部分通过异型桩-土界面侧阻力传递至桩侧土,还有一部分通过截面凹凸处的端阻力传递至桩侧土(类似于嵌固作用)。由于土层厚度、凹凸面分布位置、桩长、桩径、土的物理性质等众多因素都对凹凸截面处的端阻力有影响,现有的试验条件和数据,难以进行准确计算。因此,本规程编制中对23个工程的151根试桩的工程检测资料进行统计分析,以现行行业标准《建筑桩基技术规范》JGJ94混凝土空心桩经验关系计算公式为标准进行对比,提出了平均侧摩阻力系数的概念,统计分析得到纵向变截面异型桩的侧阻力截面形状影响系数与平均侧摩阻力系数的关系(图11)。对按公式(5.2.3-1)计算统计151个样本的极 
图11异型桩平均侧摩阻力-截面形状影响系数关系 限承载力Quk,将151个试桩的极限承载力实测值Q′uk与计算值Quk比较,η=Q′uk/Quk,将统计得到的η按0.1分位与其频数之间的关系,Q′uk/Quk平均值及均方差Sn分别表示于图12中。 
图12异型桩极限承载力计算/买测频数分布
5.2.4 承受上拔力的基桩,群桩基础呈整体破坏和呈非整体破坏时基桩的抗拔承载力验算应符合现行行业标准《建筑桩基技术规范》JGJ 94的有关规定。
5.2.5 单桩竖向抗拔极限承载力标准值的确定应符合下列规定:
1 对于设计等级为甲级和乙级建筑桩基,基桩的抗拔极限承载力应通过单桩竖向抗拔静载试验确定。单桩竖向抗拔静载试验可按现行行业标准《建筑基桩检测技术规范》JGJ 106执行。
2 群桩基础和设计等级为丙级建筑桩基,无当地经验初步设计时,基桩的抗拔极限承载力取值可按下列规定计算:
1)单桩或群桩呈非整体破坏时,基桩的抗拔极限承载力标准值可按下式计算:

式中:T uk ——单桩或群桩呈非整体破坏时基桩的抗拔极限承载力标准值(kN);
λ i ——抗拔系数,按表5.2.5选用;
q sik ——单桩第i层土的抗压极限侧阻力标准值(kPa),无当地经验时,可按现行行业标准《建筑桩基技术规范》JGJ 94规定的混凝土预制桩极限侧阻力标准值取值;
l i ——桩身穿越第i层土(岩)的厚度(m);
u p ——桩身按最大外径或边长计算的周长(m);
β t ——竖向抗拔侧阻力截面影响系数,宜按地区经验取值。无地区经验时,对于纵向不变截面异型桩β t =1.0;对于纵向变截面异型桩,可按本规程表5.2.3选用。
2)群桩呈整体破坏时:

式中:u l ——群桩外围周长(m);
n——群桩的数量;
λ i ——抗拔系数可按表5.2.5取值。
表5.2.5 抗拔系数λ

注:桩长l与桩边长或桩径比小于20时,λ取小值。
条文说明
5.2.5当异型桩纵向不变截面时,异型桩在竖向上拔荷载作用下的工作机理与普通管桩、方桩的工作机理相似,异型桩承担的荷载通过异型桩-土界面传递至桩侧土。所以对纵向不变截面异型桩其竖向抗拔极限承载力估算公式仍按现行行业标准《建筑桩基技术规范》JGJ94混凝土空心桩经验关系计算公式采用,侧阻力截面影响系数βt取1.0。 当异型桩纵向变截面时,异型桩在竖向上拔荷载作用下的工作机理与普通管桩、方桩的工作机理有所不同,异型桩承担的竖向荷载一部分通过异型桩-土界面侧阻力传递至桩侧土,还有一部分通过截面凹凸处的端阻力传递至桩侧土(类似于嵌固作用)。本标准编制中对13个工程的37根试桩的工程检测资料进行统计分析,以现行行业标准《建筑桩基技术规范》JGJ94桩基抗拔承载力经验关系计算公式为标准进行对比,统计分析得到纵向变截面异型桩的侧阻力截面形状影响系数。统计表明竖向抗拔侧阻力截面影响系数βt较竖向抗压侧阻力截面影响系数βc大,由于数据较少,此处偏于安全取与竖向抗压侧阻力截面影响系数相同数值。
5.2.6 桩周土沉降可能引起桩侧负摩阻力时,应根据工程具体情况考虑负摩阻力对桩基承载力和沉降的影响。对于纵向变截面异型桩尚应考虑桩身外形的不利影响。桩侧负摩阻力的计算应符合现行行业标准《建筑桩基技术规范》JGJ 94的规定。
条文说明
5.2.6对纵向变截面异型桩,桩周土沉降可能引起桩侧负摩阻力时,由于桩身凹凸桩侧负摩阻力会增大,设计时可参考本规程第5.2.3条乘以竖向抗压侧阻力截面影响系数βc以考虑其不利影响。
5.2.7 单桩水平承载力特征值的确定和验算应符合现行行业标准《建筑桩基技术规范》JGJ 94的规定。
5.2.8 桩身竖向承载力应符合下列规定:
1 桩身轴心受压时,荷载效应基本组合下的桩顶轴向压力设计值应满足下式要求:

式中:Q c ——荷载效应基本组合下的桩顶轴向压力设计值(kN);
f c ——桩身混凝土轴心抗压强度设计值(kPa);
ψ c ——考虑成桩工艺、混凝土残留预压应力、工作条件等影响的综合折减系数,当采用抱压式或锤击式施工时,取ψ c =0.70;当采用顶压式施工时,取ψ c =0.80;当采用种植式(异型复合桩)施工时,取ψ c =0.85:
A m ——桩身最小截面处横截面面积(m 2 )。
2 桩身轴心受拉承载力验算:

式中:Q ct ——荷载效应基本组合下的桩顶轴向拉力设计值(kN);
f py ——预应力钢筋的抗拉强度设计值(kPa);
A p ——预应力钢筋的面积(m 2 );
C——考虑异型桩纵向预应力钢筋受力不均匀等因素的折减系数,可取0.85。
条文说明
5.2.8桩身结构强度验算不同于一般的轴心受压构件的强度验算,一方面需考虑桩在制作、运输、沉桩、接桩或水下作业等施工过程中,多种不确定因素对桩身材料的削弱影响;另一方面也需考虑桩在地基土中实际受力状态与理想的轴心受压状态之间的差异在长期荷载作用下可能产生的不利影响。国内外工程界多数是通过成桩工艺系数或工作条件系数来综合考虑上述二方面因素的影响。因此,按桩身混凝土强度计算桩的承载力时,应按成桩工艺的不同将混凝土的轴心抗压强度设计值乘以综合折减系数ψc后按本条规定计算。当桩顶以下5倍桩身直径范围内螺旋式箍筋间距不大于100mm且钢筋耐久性得到保证,可适当计入桩身纵向钢筋的抗压作用。 行业标准《建筑桩基技术规范》JGJ94-2008中的预应力桩成桩工艺系数取为0.85,国家标准《建筑地基基础设计规范》GB50007-2011中预应力桩取为0.55~0.65,国家标准图集《预应力混凝土管桩》10G409中规定ψc=0.70。可见目前各规范关于预应力桩桩身强度的计算和成桩工艺系数取值上还存在一些差异,计算得到的数值差别较大。部分规范成桩工艺系数取值不高的原因主要是基于当前预应力桩应用中存在的一些问题:如部分工程预应力桩不到龄期便开始沉桩,部分工程受土层条件(硬土或基岩)或沉桩方式(锤击)的影响,导致桩身沉桩过程中混凝土受损。因此,预应力桩工艺系数取值应关注桩身出厂质量,并考虑场地条件、施工方式等因素。考虑到异型桩采用工厂化制作,桩身质量比灌注桩有保证,并结合工程实践,当采用抱压式或锤击法施工时,取ψc=0.70,当采用顶压式施工时,取ψc=0.80,总体上强调在桩基施工中应根据各专项标准的要求严格施工、加强现场管理和监理。对于采用种植法或中掘法施工的异型桩,桩身完整性受施工因素的影响较小,将ψc提高至0.85。
5.2.9 异型桩桩身压屈计算应符合现行行业标准《建筑桩基技术规范》JGJ 94的规定。
5.2.10 异型桩桩身受弯、受剪承载力应取桩身最小截面处计算,并应符合现行国家标准《混凝土结构设计规范》GB 50010的相关规定。
条文说明
5.2.10异型桩截面尺寸变化,其桩身受弯、受剪性能计算应取最不利截面处,因此应取其最小截面处。
5.2.11 桩身的裂缝控制计算应符合下列规定:
1 非腐蚀环境中的抗压桩和抗拔桩,裂缝控制等级为二级,并应按下式验算:

2 腐蚀环境中的抗拔桩和受水平力或弯矩较大的桩,裂缝控制等级为一级,并应按下式验算:

式中:σ ck ——荷载标准组合下抗裂验算边缘的混凝土法向应力(kPa);
σ pc ——扣除全部预应力损失后混凝土的预压应力(kPa);
f tk ——混凝土轴心抗拉强度标准值(kPa)。
5.2.12 桩基础沉降计算应符合现行行业标准《建筑桩基技术规范》JGJ 94的规定。
5.3 异型复合桩计算
5.3 异型复合桩计算
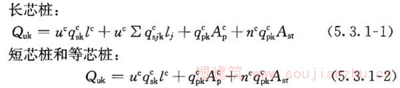
5.3.1 异型复合桩单桩竖向抗压极限承载力标准值应符合下列规定:
1 异型复合桩单桩竖向抗压极限承载力标准值应根据单桩竖向抗压静载试验确定。
2 初步设计时,可按式(5.3.1-1)~式(5.3.1-7)估算并取其中的小值:
1)异型复合桩桩侧破坏面位于内、外芯界面时,基桩竖向抗压极限承载力标准值可按下列公式估算:

式中:Q uk ——异型复合桩单桩竖向抗压极限承载力标准值(kN);
u c ——异型复合桩内芯桩身周长(m);
l c 、l j ——分别为异型复合桩复合段长度和非复合段第j土层厚度(m);
A c p ——异型复合桩内芯桩身截面面积(m);
q c sk ——异型复合桩复合段内芯极限侧阻力标准值(kPa),宜按地区经验取值;无地区经验时,宜取室内相同配比水泥土试块在标准条件下28d龄期的立方体(边长70.7mm)无侧限抗压强度的(0.08~0.16)倍,当内芯为异型桩或外芯水泥土桩采用干法施工时宜取较高值;
q c sjk ——异型复合桩非复合段异型桩第j土层极限侧阻力标准值(kPa),可按地区经验取值;无当地经验时,可根据内芯桩型按现行行业标准《建筑桩基技术规范》JGJ 94取值;
q c pk ——异型复合桩内芯的端阻力标准值(kPa),宜按地区经验取值;对长芯桩与等芯桩也可根据内芯桩型按现行行业标准《建筑桩基技术规范》JGJ 94取值;对短芯异型复合桩可取4000kPa~6000kPa;
n c ——内芯桩身位于外芯桩段内的凸出面个数;
A st ——内芯桩身凸出部分截面面积(m 2 )。
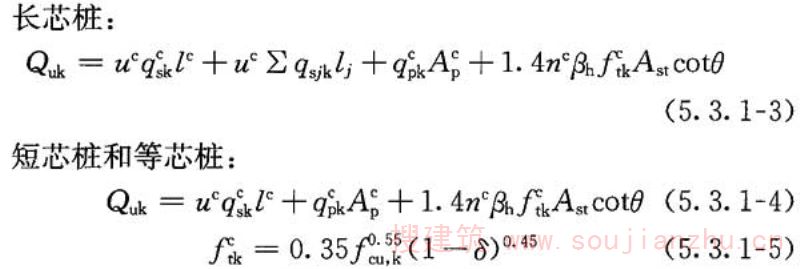
2)异型复合桩桩侧破坏面为外芯水泥土冲切破坏时,基桩竖向抗压极限承载力标准值可按下列公式估算:

式中:β h ——受冲切承载力截面高度影响系数,外芯厚度不大于800mm时,β h 取1.0;
f c tk ——外芯的抗拉强度标准值(kPa);
θ——内芯截面变化处斜面与水平面夹角(°),当截面变化面为水平时,忽略冲切影响;
f cu,k ——水泥土立方体抗压强度标准值(kPa);
δ——水泥土立方体抗压强度试验变异系数。
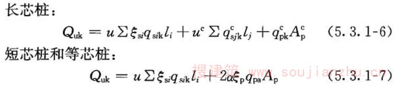
3)异型复合桩桩侧破坏面位于外芯和桩周土的界面时,基桩竖向抗压极限承载力标准值可按下列公式估算:

式中:u——异型复合桩复合段桩身周长(m);
l i ——异型复合桩复合段第i土层厚度(m);
A p ——异型复合桩桩身截面面积(m 2 ),当内芯比外芯长时,应取内芯桩身截面面积;
q sik ——异型复合桩复合段水泥土第i土层极限侧阻力标准值(kPa),宜按地区经验取值;无经验时,可按现行行业标准《建筑桩基技术规范》JGJ 94规定的泥浆护壁钻(冲)孔桩极限侧阻力标准值取值;
q pa ——异型复合桩极限端阻力特征值(kPa),宜按地区经验取值;也可取桩端地基土未经修正的承载力特征值;
α——异型复合桩桩端天然地基土承载力折减系数,可取0.7~0.9;
ξ si 、ξ p ——分别为异型复合桩复合段外芯第i土层极限侧阻力调整系数、端阻力调整系数,宜按地区经验取值。无经验时,可按表5.3.1取值;非复合段阻力调整系数、端阻力调整系数均取1.0;表5.3.1中,当异型复合桩中外芯为干法搅拌桩和水泥砂浆搅拌桩时,取高值;外芯为湿法搅拌桩和旋喷桩时,取低值;内芯为异型桩时,取高值;内、外芯截面积比值大的,取高值。
表5.3.1 异型复合桩复合段外芯侧阻力调整系数ξ si 、端阻力调整系数ξ p

条文说明
5.3.1本条在估算异型复合桩的承载力时,考虑了四种可能破坏模式,即内芯桩与外芯之间接触面的破坏、外芯水泥土冲切破坏、桩周土的破坏以及桩身材料受压破坏。 本条提供的外芯侧阻力调整系数、端阻力调整系数按现行行业标准《劲性复合桩技术规程》JGJ/T327取值。 当内芯预制桩为异型桩时,内芯与外芯之间除存在侧阻力外,还存在表面凹凸处外芯对内芯桩的端阻力,由于外芯材质相对较均匀,端阻力可取一定值,计算时可计入其有利作用。 外芯水泥土对内芯异型桩的端阻力垂直于凹凸面,因此当凹凸面为斜面时,内芯异型桩在竖向力作用下在凹凸面处对外芯水泥土产生局部水平推力,水平力可能造成外芯水泥土冲切破坏(图13)。 
图13外芯水泥土冲切破坏示意
按现行行业标准《水泥土复合管桩基础技术规程》JGJ/T330收集到的39组单桩竖向抗压静载试验及内力测试资料,统计不同土层对应的水泥土复合管桩极限侧阻力标准值,与岩土工程勘察报告或现行行业标准《建筑桩基技术规范》JGJ94规定的泥浆护壁钻孔桩极限侧阻力标准值对比,前者约为后者的1.5倍~1.6倍,本标准也按此结果取值。 现行行业标准《水泥土复合管桩基础技术规程》JGJ/T330采用室内大型剪切试验,测试了管桩与粉质黏土、砂土、粉土等拌制的水泥土界面之间的粘结强度。测试结果表明,管桩-水泥土界面极限侧阻力标准值与对应位置水泥土立方体抗压强度平均值之比一般为0.16~0.19,为偏于安全,计算时取0.16。本标准编制时按此结果取值。 工程实践表明,当复合桩内芯采用非异型桩时,由于外芯水泥土的收缩变形较大而内芯收缩变形极小,外芯水泥土与内芯之间出现间隙而接触不够紧密,且随着时间推移内芯、外芯之间裂缝会加大,导致内芯承受的荷载不能有效向外芯传递,复合桩质量存在隐患。而异型桩由于表面的凹凸避免了内芯、外芯之间出现裂缝后桩身荷载不能有效传递。 现场进行单桩静载试验时,加载初期的某级荷载作用下,荷载-沉降曲线可能会出现一小段陡降(外芯水泥土收缩而可能与内芯接触不够紧密),但瞬时沉降量不超过20mm且陡降后继续加载沉降稳定,下级荷载沉降量未超过本级荷载沉降量的2倍,可继续进行单桩静载试验。
5.3.2 异型复合桩桩基软弱下卧层承载力验算应符合下列规定:
1 对异型复合桩,为长芯或等芯复合桩时,宜按异型桩桩底平面验算;
2 为短芯复合桩时,宜按复合段桩底平面和非复合段桩底平面验算。
5.3.3 异型桩桩基沉降计算应从异型桩桩底平面起算并应符合现行国家标准《建筑地基基础设计规范》GB 50007的规定;异型桩桩底下非复合桩体的压缩模量应符合现行国家标准《复合地基技术规范》GB/T 50783的规定。
5.3.4 异型复合桩用于抗拔桩时,应采用长芯或等芯复合桩。单桩竖向抗拔极限承载力标准值的确定应符合下列规定;
1 单桩竖向抗拔极限承载力标准值应根据单桩竖向抗拔静载试验确定。
2 初步设计时,可按式(5.3.4-1)~式(5.3.4-4)估算,并取其中的小值;
1)群桩呈非整体破坏,且破坏面位于内、外芯界面时,单桩竖向抗拔极限承载力标准值可按下式估算:

式中:T uk ——群桩呈非整体破坏时异型复合桩单桩竖向抗拔极限承载力标准值(kN);
λ c ——异型复合桩复合段内芯抗拔系数,宜按地区经验取值;无地区经验时,可取0.70~0.90;
λ j ——非复合段内芯第j土层抗拔系数,宜按地区经验取值;无地区经验时可根据土的类别按表5.3.4取值。
2)群桩呈非整体破坏,且破坏面位于外芯冲切破坏时,单桩竖向抗拔极限承载力标准值可按下式估算:

3)群桩呈非整体破坏,且破坏面位于外芯和桩周土的界面时,单桩竖向抗拔极限承载力标准值可按下式估算:

式中:λ——异型复合桩复合段复合段外芯抗拔系数,宜按地区经验取值;无地区经验时,可根据土的类别按表5.3.4取值。
4)群桩呈整体破坏时,单桩竖向抗拔极限承载力标准值可按下式估算:

式中:T gk ——群桩呈整体破坏时异型复合桩单桩竖向抗拔极限承载力标准值(kN);
U、U c ——分别为桩群复合段外芯外围周长和桩群复合段内芯外围周长(m);
n——群桩的桩数。
表5.3.4 抗拔系数

条文说明
5.3.4本条规定了异型复合桩单桩竖向抗拔极限承载力标准值的确定方法。 异型复合桩承受竖向上拔荷载时可能有四种破坏模式:异型复合桩从地基中拔出、内芯异型桩从水泥土桩中拔出、内芯异型桩材料破坏以及外芯水泥土冲切破坏。因此单桩或群桩呈非整体破坏时,单桩竖向抗拔极限承载力标准值应按式(5.3.4-1)~式(5.3.4-3)分别计算总极限侧阻力标准值。计算单桩竖向抗拔极限承载力时不考虑无内芯异型桩段水泥土桩的自重。 对于内芯异型桩为纵向变截面的情况,水泥土与内芯桩之间除存在界面侧阻力外,还存在变截面处水泥土对内芯异型桩的端阻力。当异型桩变截面处与水平面存在夹角时,内芯异型桩还会对外芯水泥土施加水平力,造成外芯水泥土可能的冲切破坏,其受到冲切力与第5.3.1条相类似。
5.3.5 异型复合桩的水平承载力特征值的确定应符合现行行业标准《水泥土复合管桩基础技术规程》JGJ/T 330的规定。
5.3.6 异型复合桩作为复合地基的设计计算应符合现行行业标准《劲性复合桩技术规程》JGJ/T 327的规定。
5.3.7 异型复合桩其他要求应符合现行行业标准《劲性复合桩技术规程》JGJ/T 327和《水泥土复合管桩基础技术规程》JGJ/T 330的规定。
5.4 构造要求
5.4 构造要求
5.4.1 空心异型桩顶部填芯混凝土应符合下列规定:
1 对承压桩,抗震设防烈度不大于7度时,填芯长度不宜小于桩的最大外径或边长的3倍~5倍,且不得小于1.5m;抗震设防烈度8度时,填芯长度不宜小于桩的最大外径或边长的6倍~8倍;
2 对抗拔桩和桩顶承担较大水平力的桩,填芯部分内壁浮浆应清理干净,严禁有水残留时进行填芯,填芯长度应按计算确定且不得小于3.0m;
3 填芯混凝土应采用掺膨胀剂的补偿收缩混凝土,强度等级可取与承台相同且不应低于C30。填芯混凝土应灌注饱满,振捣密实,下封层不得漏浆。
5.4.2 桩与承台连接应符合下列规定:
1 当桩外径小于800mm时,桩顶嵌入承台深度不宜小于50mm;当桩外径不小于800mm时,桩顶嵌入承台深度不宜小于100mm。
2 桩顶应设置连接钢筋,可采用下列方式:
1)宜采用螺栓连接将桩身预应力钢筋与连接钢筋连接成整体并锚入承台内;
2)当空心异型桩施工中桩端部损坏时,可在桩孔内另加插筋锚入承台内;
3)直接将桩身预应力钢筋锚入承台内。
3 当采用螺栓连接方式时,对于抗压桩,连接钢筋不应少于4根,最大外径或边长大于500mm时不应少于6根,钢筋直径不宜小于12mm,锚固长度不应小于35倍钢筋直径;对抗拔桩,连接钢筋的根数应与桩身预应力钢筋的根数相同,钢筋直径和锚固长度应按计算确定。
4 当采用另加插筋连接时,对于抗压桩,插筋不应少于4根,最大外径或边长大于500mm时不应少于6根,插筋直径不宜小于12mm,锚固长度不应小于35倍插筋直径;对于抗拔桩,插筋插入桩内的长度应与桩顶填芯混凝土深度相同,插筋直径和锚固长度应按计算确定。
5 当采用桩的预应力钢筋直接锚固时,预应力钢筋锚入承台内的长度,对于抗压桩不应小于45倍钢筋直径,对于抗拔桩不应小于50倍钢筋直径。
条文说明
5.4.1、5.4.2预应力混凝土空心异型桩顶部填芯混凝土是桩基础设计与施工的重要环节。桩顶与承台连接部位,受力较大且较复杂,采用端板焊接连接时锚固钢筋和预应力钢筋难以对齐锚入承台,需要另行设置插筋连接,本规程推荐机械连接可保证预应力钢筋有效锚入承台,为了工程安全,此处仍规定需要填芯插筋连接,增强桩顶抗弯、抗剪能力。 填芯混凝土应采用掺膨胀剂的补偿收缩混凝土浇筑密实,以提高填芯部分与桩身的整体性。关于补偿收缩混凝土的具体要求,应按照现行国家标准《混凝土外加剂应用技术规范》GB50119的规定执行。
5.4.3 当采用螺栓连接时,抗拔桩的桩顶连接钢筋的总面积应按下式验算:

式中:N——荷载效应基本组合下的桩顶轴向拉力设计值(kN);
f y ——桩顶连接钢筋的抗拉强度设计值(kPa);
A s ——桩顶连接钢筋的总面积(m 2 )(连接钢筋的根数应与桩身预应力钢筋的根数相同)。
5.4.4 当采用另加插筋连接时,抗拔桩的桩顶填芯混凝土深度和插筋的总面积应按下列公式计算:

式中:L a ——桩顶填芯混凝土深度,按计算确定且不得小于3.0m;
N——荷载效应基本组合下的桩顶轴向拉力设计值(kN);
f n ——填芯混凝土与桩孔内壁的粘结强度设计值,宜由现场试验确定;当缺乏试验资料时,可采用强度等级不低于C30的微膨胀混凝土填芯,f n 可取300kPa~350kPa;
u pn ——桩内孔圆周长(m);
A s ——插筋的总面积(m 2 );
f y ——插筋的抗拉强度设计值(kPa)。
5.4.5 桩的接头应符合下列规定:
1 抗压桩采用焊接时每根桩的接头数量不宜超过3个,采用机械连接时每根桩的接头数量不宜超过4个;
2 抗拔桩宜采用机械连接,每根桩的接头数量不宜超过3个;
3 桩的接头处抗弯性能不应低于桩身的抗弯性能,接头处抗拉强度不应低于桩身抗拉强度。
5.4.6 单根桩采用二节或多节桩时,最上一节桩不宜选用短桩。
5.4.7 当异型桩处于腐蚀环境中时,采取防腐蚀措施应符合下列规定:
1 异型桩预应力钢筋的内外保护层厚度均不应小于40mm;桩身混凝土抗渗等级不应低于P10;空心异型桩宜采用闭口型桩尖;强腐蚀环境下,宜采用免蒸压工艺的异型桩。
2 在弱腐蚀环境下,桩身可不防护。
3 在中腐蚀环境下,桩身防护应符合下列规定:
1)硫酸盐腐蚀环境下桩身混凝土可采用抗硫酸盐水泥、掺入抗硫酸盐的外加剂、矿物掺合料提高桩身混凝土的耐腐蚀性能;氯离子腐蚀环境下可掺入钢筋阻锈剂(不得采用亚盐酸类的阻锈剂)、矿物掺合料提高桩身混凝土的耐腐蚀性能;pH值腐蚀环境下应采取混凝土表面涂刷防腐蚀涂层的措施;
2)当桩身混凝土采用或掺入耐腐蚀材料后不能满足防腐蚀性能要求时,可采用混凝土表面涂刷防腐蚀涂层的措施,防腐涂层的厚度不应小于300μm;
3)宜采用机械连接接桩,接缝处采用添加固化剂的环氧树脂密封;
4)当采用焊接连接时,应减少接头数量,宜采用单节异型桩;当需要接桩时,接头宜设置于弱腐蚀土中,接头焊缝坡口应满焊封闭,接头钢零部件应涂防腐蚀耐磨涂层或增加焊缝厚度,其腐蚀余量不应小于2mm。
4 在强腐蚀环境下,桩身防护应符合下列规定:
1)硫酸盐腐蚀环境下桩身混凝土可采用抗硫酸盐水泥、掺入抗硫酸盐的外加剂、矿物掺合料提高桩身混凝土的耐腐蚀性能;氯离子腐蚀环境下可掺入钢筋阻锈剂(不得采用亚盐酸类的阻锈剂)、矿物掺合料提高桩身混凝土的耐腐蚀性能;pH值腐蚀环境下应采取混凝土表面涂刷防腐蚀涂层的措施;
2)当桩身混凝土采用或掺入耐腐蚀材料后不能满足防腐蚀性能要求时,可采用混凝土表面涂刷防腐蚀涂层的措施,防腐涂层的厚度不应小于500μm;
3)应采用机械连接接桩,接头钢零部件不得外漏,接缝处采用添加固化剂的环氧树脂密封。
条文说明
5.4.7对于腐蚀环境中的桩,应采取有效的防腐蚀措施以确保桩基的耐久性。桩连接部位的防腐性能尤其重要,为保证工程质量此处规定了接头位置的防腐性能要求。在弱腐蚀、中腐蚀的环境中,可采用异型桩,但桩身钢筋的内外保护层厚度均不应小于40mm,钢筋直径不应小于9.0mm,桩尖宜采用封口型,桩底宜采用C30填充,用膨胀混凝土封底,高度为1.5m~2.0m。
5.4.8 异型桩用于基坑支护时,宜采用实心异型桩,其配筋率和保护层厚度均应符合国家现行标准《混凝土结构设计规范》GB 50010和《建筑基坑支护技术规程》JGJ 120的规定,并应符合下列规定:
1 实心异型方桩边长不宜小于400mm;对边长不小于700mm的实心异型方桩,应考虑施工对周边环境的不利影响。
2 T型桩翼缘和腹板厚度应由计算确定,但翼缘厚度不宜小于120mm,腹板厚度不宜小于200mm。
3 与地下室结构的钢筋连接可采用在桩内预埋钢筋连接螺母的方式,连接钢筋宜采用HRB400级钢筋,直径大于20mm时,宜采用接驳器连接。
4 桩顶部应设冠梁,冠梁宽度(水平方向)不宜小于该方向桩身横截面宽度,冠梁高度(竖直方向)不宜小于400mm;排桩与冠梁的混凝土强度等级宜大于C25;当冠梁作为连系梁时可按构造配筋。
5 基坑开挖后,桩间土应采用钢丝网混凝土护面、砖砌或桩体互设卡口连接等处理方法,当桩间渗水时,应在护面设泄水孔。当基坑面在实际地下水位以上且土质较好,暴露时间较短时,可不对桩间土进行防护处理。
6 施工
6.1 一般规定
6 施 工
6.1 一般规定
6.1.1 采用异型桩基础的场地,应进行下列评价工作:
1 场地的交通运输条件;
2 建筑场地中孤石、坚硬夹层、岩溶、土洞、液化土层和构造断裂等不良地质现象和岩面坡度对桩基稳定性的影响;
3 沉桩对周边环境的影响。
6.1.2 异型桩基础施工前应做好下列准备工作:
1 经审查批准的施工图设计文件,并应组织有关单位会审图纸,形成图纸会审记录;
2 场地完成三通一平、排水畅通,并满足沉桩所需的地面承载力;
3 处理场内影响异型桩施工的高空和地下障碍物;
4 根据工程具体情况编制施工组织设计或施工方案;
5 设置高程控制点和轴线定位点并应采取保护措施,施工中应定期复核;
6 场地平整,地基土表面处理应满足桩机稳定的要求;
7 沉桩设备性能应满足设计要求;
8 查验设备的工作性能;
9 对桩基施工作业人员进行技术和安全交底;
10 异型桩及所需材料应按计划分批进场且验收合格。
条文说明
6.1.2异型桩基础施工前,应具备的文件和资料一般包括: 1经审查批准的施工图设计文件; 2拟建场地的工程地质、水文地质资料; 3拟建场地周边相邻区域建(构)筑物、道路和地下各类管线、地下构筑物和架空线路等有关的调查资料; 4现场的试桩资料或附近类似桩基工程的经验资料; 5异型桩的产品合格证和说明书; 6沉桩机械控制系统合格证书、生产厂家设备与部件的产品说明书、桩机相关技术参数等。
6.1.3 初步设计阶段对于静载试验桩以外的各设计等级的异型桩基础工程,在正式开工前均应试打桩。试打桩数不宜少于工程桩总数的1%且不得少于3根,并应符合下列规定:
1 利用工程桩位置试打桩,试后作工程桩使用;
2 试打桩的位置、地质条件及其规格、长度具有代表性;
3 选择在控制性勘探孔附近;
4 施打工艺与工程桩一致。
6.1.4 当桩基施工影响邻近建筑物、地下管线的正常使用和安全时,应合理安排沉桩施工顺序,并可采用以下一种或多种辅助措施:
1 锤击沉桩时,可采用“重锤轻击”法施工;
2 在施工场地与被保护对象间开挖缓冲沟,根据挤土情况可反复在缓冲沟内采用螺杆取土;
3 全部或部分桩采用引孔沉桩;
4 在饱和软土地区设置砂井或塑料排水板,以消除部分孔隙水压力;
5 采用种植法、中掘法等方法施工;
6 控制沉桩的速率;
7 对被保护建筑物进行加固处理。
6.1.5 当桩基施工毗邻边坡或在边坡上施工时,应监测施工对边坡的影响;在邻近湖、塘的施工场区,应防止由于水位的升降及施工时挤土效应影响而产生桩位偏移和倾斜。
6.1.6 异型桩桩位控制应符合下列规定:
1 桩点测放应根据桩位平面图、建筑红线和主要基轴线确定,桩位误差应符合设计要求;
2 沉桩时桩机定位应准确、平稳,确保在施工中不会发生倾斜、移动。
6.1.7 截桩应采用锯桩器切割,并应保证截桩后桩的质量不会下降,纵向预应力钢筋预留长度应大于工程桩所需要的尺寸;严禁采用大锤横向敲击或强行扳拉方式截桩。
6.2 桩起吊、运输和堆放
6.2 桩起吊、运输和堆放
6.2.1 异型桩吊运除应符合现行行业标准《建筑桩基技术规范》JGJ 94外,尚应符合下列规定:
1 异型桩吊装宜采用两支点法。两支点法的两吊点位置距离桩端宜为0.21L,吊索与桩段水平夹角不得小于45°。大直径长桩吊装应增加支点。
2 采用加托盘的吊装方法时,吊点位置可不作要求。
3 在运输过程中的支承点应对称放置(图6.2.1),且应绑扎牢固。

图6.2.1 两支点法位置(注:L为异型桩长度)
条文说明
6.2.1桩起吊可采用专用吊钩钩住桩两端内壁进行水平起吊,吊绳与桩夹角应大于45°(图14)。 
图14桩吊点位置
6.2.2 异型桩现场堆放和取桩除应符合现行行业标准《建筑桩基技术规范》JGJ 94外,尚应符合下列规定:
1 异型桩堆放场地应有排水措施;
2 异型桩应按不同规格、长度和施工流程分类堆放,严禁混堆;
3 场地许可时宜单层堆放,需叠层堆放时,底层最外缘异型桩的垫木处应用木楔塞紧;
4 异型桩堆放层数应符合表6.2.2的规定:
表6.2.2 异型桩堆放层数

5 取桩时应保证桩的完整性,不得磕撞,严禁滚桩。
6.3 桩连接
6.3 桩连接
6.3.1 上、下节桩拼接成整桩时,可采用机械连接或端板焊接等方式。
6.3.2 桩连接接头必须确保锤击回弹时无缝隙。
6.3.3 机械连接接头应符合下列规定:
1 接桩前检查桩端尺寸偏差和连接件,确定无受损后方可起吊;
2 接桩时,卸除上下节桩两端的保护装置后,应清理接头残留物,并保持端部和接头清洁、干燥,然后涂抹专用密封材料;
3 连接后,密封材料宜溢出接口,接口应无缝隙,在确认上下桩完全连接、专用密封材料完全凝固后方可压桩。
6.3.4 焊接接桩除应符合现行国家标准《钢结构工程施工质量验收规范》GB 50205和《钢结构焊接规范》GB 50661中的有关规定外,尚应符合下列规定:
1 下节桩的桩头处宜设置导向箍或其他导向措施。接桩时上、下节桩段应保持顺直,错位不超过2mm;逐节接桩时,节点弯曲矢高不得大于1/1000桩长,且不得大于20mm;
2 上、下节桩接头端板坡口应用钢丝刷清刷干净并保持干燥,焊接处应刷至露出金属光泽;
3 焊接时宜先在坡口圆周上对称点焊4点~6点,待上、下节桩固定后拆除导向箍再分层对称施焊;
4 焊接可采用手工焊或二氧化碳气体保护焊,焊接层数宜为3层,内层焊渣必须清理干净后方能施焊外层,焊缝应饱满连续,且根部必须焊透;
5 焊接接头应自然冷却后才可继续施工,冷却时间不宜少于8min,不得用水冷却或焊完立即施工。
6.3.5 接桩时,下节桩的桩头宜高出地面或平台面0.8m~1.2m。
条文说明
6.3.5 接桩时,为施工准确便捷,下节桩施工桩长高出自然地面的高度与人的操作高度相当为宜。
6.4 沉桩施工
6.4 沉桩施工
6.4.1 异型桩的沉桩施工应符合下列规定:
1 施工时严禁单点起吊,桩下端不得直接在地面上拖拉;
2 两点抬吊不能实施时,桩下端应安装拖桩专用板;
3 沉桩时桩身应垂直,垂直度偏差不得超过0.5%,首节沉桩插入地面时的垂直度偏差不得超过0.3%;
4 应在距桩机不受影响范围内成90°方向各设置一台经纬仪校准;
5 送桩时应一次连续打(压)到位,接桩、送桩应连续进行,减少中间停歇时间;当桩顶标高低于自然地面时,施工至最后一节桩露出自然地面约500mm时,应复核桩顶定位偏差并记录;
6 沉桩时,出现贯入度反常、桩身倾斜、位移、桩身或桩顶破损等异常情况时,应停止沉桩,待查明原因并取得确实有效的处理方案后方可施工;
7 异型桩应控制打桩速率和日打桩量,24h内休止时间不应小于8h;
8 出现偏差或垂直度超出规定时,不得强行扳桩纠偏以防桩身开裂,禁止沉桩时采用将上下节桩端面形成夹角的方法调整上节桩的垂直度;
9 严禁采用工程桩代替送桩杆进行送桩。
6.4.2 终压后的异型桩应采取有效措施封盖住管口;送桩遗留的孔洞,应立即回填或覆盖。
6.4.3 静压法沉桩时,除应符合现行行业标准《建筑桩基技术规范》JGJ 94的规定外,尚应符合下列规定:
1 顶压式沉桩最大施压力应满足下列公式要求:

式中:P′ max ——顶压式桩机送桩时的最大施压力(kN);
f cu,k ——边长为150mm的桩身混凝土立方体抗压强度标准值(kPa);
σ pc ——桩身截面混凝土有效预压应力(kPa);
A m ——桩身最小截面处横截面面积(m 2 )。
2 抱压式沉桩桩身最大抱压力应满足下列公式要求:

式中:P″ max ——抱压式桩机送桩时的桩身最大抱压力(kN)。
3 顶压式桩机桩帽或送桩器与桩之间应加设弹性衬垫;抱压式桩机夹持机构中夹具应避开桩身纵向肋位置,夹具面必须与桩身外表面形状体征相一致,严禁夹具面因夹带螺钉铁件等原因造成夹具面不平整。
4 静力压桩机的最大压桩力,应小于桩机的自重和配重之和的0.9倍。
6.4.4 锤击法沉桩时,除应符合现行行业标准《建筑桩基技术规范》JGJ 94的规定外,尚应符合下列规定:
1 根据设计要求和工程地质勘察报告或根据试桩资料选择合适的锤重,在没有规定和没有资料时,宜按本规程附录E选择锤重;
2 混凝土等级不大于C65的异型桩不宜超过2000击,最后1m的锤击数不宜超过200击;
3 混凝土等级为C80的异型桩不宜超过2500击,最后1m的锤击数不宜超过250击;
4 当贯入度已达到要求而桩端未达设计标高时,应与勘察、设计、监理、施工等单位共同商定。
6.4.5 引孔辅助法沉桩时,应符合下列规定:
1 引孔辅助沉桩法时应采取防塌孔措施,钻孔直径不宜超过桩直径的2/3,深度不宜超过桩长的2/3;
2 钻孔宜采用长螺旋钻机钻孔,垂直偏差不宜大于0.3%;
3 钻孔作业和沉桩作业应连续进行,间隔时间不宜大于12h;软土地基不宜大于6h。
6.4.6 异型复合桩施工时,应符合下列规定:
1 沉桩适用于桩端持力层为一般黏性土层、粉土层、砂土层、碎石类土层、强风化基岩和软质岩层,开岩桩钻头应根据岩石硬度配置;
2 施工机械包括整体式与组合式,宜采用整体式施工机械,施工机械应具有高压喷射、注压泵、机械搅拌等功能,并应具有性能良好的自动化控制系统;
3 异型复合桩在搅拌施工中应一次性搅拌成型;
4 异型复合桩施工不宜对速率、日打桩量和休息时间有限制要求;
5 施工工艺应结合现场场地、地质条件和施工设备综合确定。
条文说明
6.4.6采用整体式施工机械时,可采用多轴钻杆(图15)。 
图15 整体式施工机械 1-正钻转杆;2-反钻转杆 施工工艺确定一般应考虑下列因素: 1根据施工图定位放线,填写放线记录,并经复核确认后施工机具就位、桩机调平中心点对准钻头误差控制在10mm; 2制备水泥浆; 3调整钻头转速以及混合材料用量,搅拌钻杆提升速度应按工程成桩质量要求确定; 4通过转杆叶片和高压注喷气体将土体打碎,并采用高压喷射水泥浆和化工材料,通过高压泵均匀地喷射搅拌在土中,形成水泥土桩; 5钻机驱动速度应根据设计要求和水泥土桩外形尺寸调整; 6下、上宜各一次喷浆成型,复搅复喷应根据地质和实际情况确定; 7关闭高喷搅拌、注浆泵设备后,应及时采取水或气冲清除管道内的水泥浆等; 8采用整体式施工机械时,在施工完成拌合桩后,异型桩应再次定位;采用组合式施工机械时,首先移走水泥土桩施工机具,然后异型桩施工机具就位并定位调直,再次放线定位桩中心位,误差控制在10mm以内; 9在水泥土初凝前,必须完成异型桩的种植,异型桩沉桩、接桩、送桩杆均应采用带有振动器的装置; 10桩机移位,进行下一根桩施工。 11异型复合桩采用植入法施工,与采用锤击法、静压法施工相比,植入法施工速率对桩身应力影响很小,所以不宜对异型复合桩施工速率、日打桩量、时间进行限制。
6.4.7 采用异型复合桩作为围护桩施工时,应符合下列规定:
1 搅拌墙施工应符合下列规定:
1)根据轴线基准点、围护平面布置图,放出围护桩边线和控制线,设立临时控制标记,做好技术复核;
2)开挖槽沟并清除地下障碍物,挖出土体及时处理,以保障搅拌桩正常施工,当槽沟深度过大时应及时回填土体,达到满足工程所需要的标高为止;
3)桩机应平稳、平正,应用线坠对龙门立柱垂直定位观测并经常校核;
4)开机前应按照要求进行水泥浆液的搅制,将配制好的水泥浆或水泥砂浆送入储浆桶内备用,待桩机启动,用空压机送浆至搅拌机钻头;水泥浆和水灰比应设计合理,宜使异型桩靠自重插入水泥土;水泥掺入比设计应确保水泥土强度满足要求,应降低土体置换率,减轻施工对环境的不利影响;
5)异型复合桩钻进搅拌可采用跳槽复搅式连接方法;
6)涌土应及时清理出沟槽。
2 采用异型管桩、异型方桩、六角桩和八角桩等作为芯桩施工应符合下列规定:
1)可采用静压法、种植法等,不应采用锤击方法;
2)桩位偏差不应大于50mm,垂直度偏差不应大于1/100,桩底标高应符合设计要求;
3)接桩宜采用机械连接或焊接后再套箍螺栓连接方法;
4)插入芯桩宜在水泥土搅拌桩完成后9h~12h内完成作业;
5)插入芯桩的直径或边长应小于水泥土桩墙的厚度,且芯桩边缘至水泥土桩墙外侧最小距离不小于100mm,芯桩间隔应符合设计要求,偏差不应大于50mm。
3 采用T型桩作为桩芯施工应符合下列规定:
1)可采用静压法、种植法等,不应采用锤击方法;
2)桩顶在设计标高处的平面位置,垂直于T型桩墙轴线方向(水平方向)允许偏差不应大于50mm;垂直T型桩墙轴线方向(垂直度)的允许偏差不应大于20mm;
3)T型桩宜采用单根依次插入的方法,不得出现脱榫现象;
4)T型桩墙轴线不得出现明显弯折,当板桩偏离轴线产生平面扭转时,应在后沉板桩中逐根纠正;
5)对混凝土T型桩的榫槽竖向空腔处理应符合设计要求;当设计无要求时,应采用混凝土或砂浆填塞,混凝土和砂浆的强度不宜低于20MPa;填塞前,应清除空腔中的泥土和杂物。
条文说明
6.4.7搅拌墙钻进搅拌施工宜采用跳槽复搅式连接方法。施工时先施工第1单元,然后施工第2单元。第3单元的A轴及C轴分别插入到第1单元的C轴孔及第2单元的A轴孔中,完成套接施工。依次类推,施工第4单元和套接的第5单元,形成连续墙,如图16(a)所示;当施工场地受限制时可采用单侧挤压式连接方式,如墙体转角处或施工间断的情况下,施工顺序如图16(b)所示,先施工第1单元,第2单元的A轴插入第1单元的C轴中,边孔套接施工,依次类推,施工完成水泥土种植围护桩的搅拌墙体。 水泥搅拌桩在下沉和提升过程中均应注入水泥浆,喷浆下沉速度应为0.5m/min~1.0m/min,提升速度应为1.0m/min~2.0m/min,桩底部分适当持续搅拌注浆,做到匀速下沉和提升,使水泥土和原地基土充分搅拌。 
图16 水泥土搅拌墙施工顺序 水泥土搅拌桩施工完毕后,吊机应立即就位,准备吊放异型桩。异型桩插入宜在搅拌桩施工结束后9h~12h内进行,插入前应检查其规格型号、长度、垂直度等,以满足设计要求。异型桩插入应采用牢固的定位导向架,先固定插入异型桩的平面位置,然后起吊异型桩,将异型桩底部中心对正桩位中心并沿定位导向架徐徐垂直插入水泥土搅拌桩体内。必要时可采用经纬仪校核异型桩插入时的垂直度,异型桩插入到位后用悬挂物件控制异型桩顶标高。异型桩插入宜依靠自重插入,也可借助带有液压钳的振动锤等辅助手段下沉到位,严禁采用多次重复起吊异型桩并松钩下落的插入方法。 由于水泥浆液的定量注入搅拌和异型桩插入,一部分水泥土被置换出沟槽,采用挖土机将沟槽内的水泥土清理,保持沟槽沿边的整洁,确保桩体硬化成型和下道工序的继续。被清理的水泥土将在24h后开始硬化,随日后基坑开挖一起运出场地。
6.4.8 基坑开挖与承台施工应符合现行行业标准《建筑桩基技术规范》JGJ 94的规定。
6.4.9 沉桩施工过程记录表应符合本规程附录F~附录H的规定。
6.5 施工安全和环境保护
6.5 施工安全和环境保护
6.5.1 施工安全应符合下列规定:
1 施工单位应建立项目安全管理组织机构、现场安全管理制度和保证体系;
2 施工人员应经过安全生产教育培训,熟悉安全技术操作规程,并应自觉遵守;
3 应经常检查机械及防护设施;
4 施工前应对高压泵、空压机等设备和供水、供气、供浆管路系统进行检查;
5 遇到暴风、暴雨、雷电时,应暂停施工并切断电源;
6 施工完成后应在桩位孔口设置防护措施。
6.5.2 环境保护应符合下列规定:
1 应采取措施降低施工噪声;
2 水泥运输、水泥浆搅拌应采取覆盖、封闭等防尘措施;
3 废弃水泥浆应集中处理;
4 应及时清理返浆并集中堆放。
条文说明
6.5.2应因地制宜地制定现场环境保护措施,达到降低噪声、防止扬尘和废水处理等目的。
7 检测与验收
7.1 一般规定
7 检测与验收
7.1 一般规定
7.1.1 异型桩基础工程质量检测应包括施工前检测、施工过程检测和施工后检测。
7.1.2 施工前质量检测内容应包括桩长、桩径、桩身质量和预应力钢筋质量等。
条文说明
7.1.2现行国家标准《建筑地基基础工程施工质量验收规范》GB50202和现行行业标准《建筑基桩检测技术规范》JGJ106规定应对桩身完整性进行检验。桩身质量与基桩承载力密切相关,桩身质量会严重影响基桩承载力。桩身质量检测抽样率较高,费用较低,通过检测可减少桩基安全隐患,并可为判定基桩承载力提供参考。
7.1.3 施工过程检测内容应包括桩位定位、桩身垂直度、沉桩记录和周边环境监测等。
7.1.4 施工后检测内容应包括检验桩顶平面位置的偏差、单桩承载力检验和桩身质量检验等。
7.1.5 异型复合桩施工质量检验应符合现行行业标准《水泥土复合管桩基础技术规程》JGJ/T 330的有关规定。
7.2 施工前检测
7.2 施工前检测
7.2.1 异型桩进入施工现场后,应进行下列检测:
1 核查异型桩规格、型号和合格证;
2 抽检异型桩尺寸偏差、外观质量;
3 抽检异型桩结构钢筋;
4 检查异型桩堆放和桩身破损等。
条文说明
7.2.1异型桩在吊运过程中,可能发生损坏。因此施工前,必须进行逐节检查,检查方法主要采用目测、丈量等方法。检查中特别注意桩身是否产生微小裂缝,对受损异型桩一概不准使用。列出工地用桩所作检查和检测的内容,便于施工单位自检,监理、质监、业主等单位检查验收。
7.2.2 进场的异型桩的混凝土强度应达到设计强度,并应满足沉桩要求。
7.2.3 进场异型桩的质量检验应分出厂检验和型式检验。检验条件、项目、抽样与判定规则等应符合国家现行标准《先张法预应力离心混凝土异型桩》GB 31039和《预应力混凝土空心方桩》JG 197的规定。
7.2.4 进场的异型桩应有产品合格证,桩身应有标记,标记内容应包括生产日期、异型桩类型、异型桩型号、外径或边长、(内径)、混凝土强度等级和单节长度等。
7.2.5 出厂检验的批量和抽样应符合下列规定:
1 外观质量与尺寸偏差:以同品种、同规格、同型号的异型桩连续生产100km为一批,但在3个月内生产总数不足100km时仍应作为一批,随机抽取10根检验;
2 抗裂性能:在外观质量和尺寸偏差检验合格的产品中随机抽取2根检验抗裂性能。
7.2.6 出厂检验时,混凝土强度检验评定应符合下列规定:
1 检验混凝土龄期。
2 混凝土质量检验试件留置,应符合下列规定:
1)当混凝土配合比调整或原材料发生变更时,应制作3组试件;
2)每拌制1000盘或一个工作班拌制的同配合比混凝土不足1000盘时,应制作3组试件。其中一组试件检验预应力钢筋放张时混凝土抗压强度,一组试件检验28d的混凝土抗压强度(采用压蒸养护工艺时,检验出釜后1d的混凝土抗压强度),另一组备用或检验异型桩出厂时的混凝土抗压强度。
3 混凝土强度检验评定应符合现行国家标准《混凝土强度检验评定标准》GB/T 50107的规定。
4 端板处混凝土密实程度检测可采用敲击听声的方法。
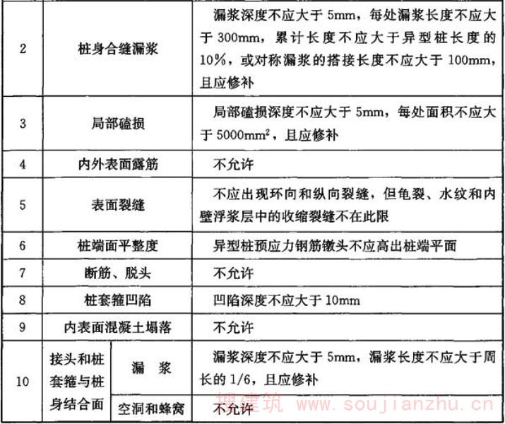
7.2.7 异型桩外观质量应符合表7.2.7的规定。
表7.2.7 异型桩外观质量


7.2.8 异型桩尺寸允许偏差应符合表7.2.8的规定。
表7.2.8 异型桩尺寸允许偏差(mm)


注:L为桩长,D为异型桩最大外径或边长,t为桩壁厚。
7.2.9 异型桩的外观质量和尺寸偏差抽查应符合按表7.2.7和表7.2.8的规定。抽查数量不得少于2%的桩节数,且不得少于10节。当抽检结果出现一根桩节不符合质量要求时,应加倍复验,仍有不合格的异型桩,该批异型桩不准使用并必须撤离现场。
7.2.10 施工现场应检验预应力钢筋的数量和直径,螺旋筋的直径、间距和加密区的长度,以及钢筋的混凝土保护层厚度,抽检桩节数宜为2节~3节。
7.2.11 在异型桩起吊就位前,应检查异型桩在运输、装卸过程中是否产生裂缝,严禁使用有裂缝的异型桩。
7.3 施工过程检测
7.3 施工过程检测
7.3.1 沉桩施工过程中应进行下列检测:
1 桩的定位和压桩就位前的复测;
2 打(压)桩机具的检查;
3 桩身垂直度检测;
4 桩接头承插件连接的质量检测;
5 收锤(终压)监控;
6 沉桩记录的审核;
7 桩挤土效应监测;
8 沉桩对周围环境影响的监测;
9 基坑开挖和截桩头的监督等。
条文说明
7.3.1列出沉桩过程中工程质量检测的主要内容,供施工单位自检,监理、业主、质监、设计等单位检查和检测。
7.3.2 桩位经放线定位后,打桩应对桩位复核。在沉桩过程中,应随时检查桩位标记的保护,防止桩位标记发生错乱和移位。对于大承台群桩基础四周边缘的基桩,宜待承台内其他桩全部打完后重新定位施工。
条文说明
7.3.2放线定位和桩位标记保护工作很重要,不注意也会造成工程桩的质量事故,尤其是桩位的偏差值。借鉴江苏省应用空心方桩的经验,对于大承台群桩基础,宜先打承台内的桩,承台四周边缘的桩位待承台内其他桩全部打完后再重新测定,这样施打后的基桩,整个群桩基础的外围形状不变,承台模板和混凝土施工既方便又节约材料。
7.3.3 桩身垂直度检测应符合下列规定:
1 应符合本规程第6.4节的有关规定;
2 测量桩身垂直度可用吊线坠法,送桩的异型桩桩身垂直度可采用送桩前桩头露出自然地面1.0m~1.5m时测得的桩身垂直度;但深基坑内的基桩,桩身垂直度应待深基坑土方开挖后再次量测;
3 沉桩后的最终桩身垂直度允许偏差应为±1%。
条文说明
7.3.3第一节桩垂直度的控制直接影响到整根桩的垂直度,因此对底桩垂直度控制要严格一些,不得大于0.5%。送桩以后桩身垂直度偏差不易测量,故在送桩前进行测量。一般情况下,送桩前后的桩身垂直度不会有大的变化,但在基坑内的基桩,有时由于基坑土方开挖不当会引起桩身倾斜,故在基坑土方开挖后,需再次测量桩身垂直度。
7.3.4 沉桩记录应齐全、真实、清晰,经相关人员签字确认后,方可作为有效的施工记录。
7.3.5 桩挤土穿过或进入密实的砂土、密实的粉土或超固结黏性土可能产生挤土效应造成桩身上浮时,应监测全部工程桩沉桩完成后的桩顶标高。
7.3.6 沉桩施工中周围环境监测应符合下列规定:
1 沉桩过程中,沉桩顺序监控应符合本规程6.4.1条的规定和施工组织设计要求;
2 沉桩挤土可能危及四周的建筑物、道路、市政设施时,应监测周边建(构)筑物和现场土体的变化;
3 大面积群桩基础或挤土效应明显的异型桩基础工程,应监测打桩对周边建(构)筑物和地下工程的影响。
7.3.7 沉桩完成后,应检查基桩管口和送桩遗留孔洞的封盖情况。
7.4 施工后检测
7.4 施工后检测
7.4.1 截桩后桩顶的实际标高与设计标高的允许偏差应为±10mm。
7.4.2 设计标高处桩顶平面位置的允许偏差应符合表7.4.2的规定。
表7.4.2 异型桩桩顶平面位置的允许偏差

注:D为异型桩最大外径或边长。
7.4.3 异型复合桩可不检测桩身完整性。
条文说明
7.4.3异型复合桩中芯桩采用种植法施工,一般依靠自重即可自行沉桩,桩身质量没有损伤,桩身完整性能满足设计承载要求所以不需要检测;据多项工程经验总结,采用低应变等方法检测异型复合桩桩身质量时,因异型桩与水泥土桩直径变化,检测结果不可靠。
7.4.4 异型桩承载力和桩身质量检验尚应符合国家现行标准《建筑地基基础工程施工质量验收规范》GB 50202、《建筑桩基技术规范》JGJ 94和《建筑基桩检测技术规范》JGJ 106的规定。
7.5 工程质量验收
7.5 工程质量验收
7.5.1 当桩顶设计标高与打桩作业面标高基本相同时,桩基工程的质量验收应待打桩完毕后进行。
7.5.2 当桩顶设计标高低于打桩作业面标高,需送桩时,在每一根桩的桩顶沉至打桩作业面标高时应进行中间检查后再送桩,待全部桩基施工完毕,并开挖到设计标高后方能进行质量检验。
7.5.3 桩基工程验收时应提交下列资料:
1 异型桩的出厂合格证、产品检验报告;
2 异型桩进场验收记录;
3 桩位测量放线图,包括桩位复核签证单;
4 工程地质勘察报告;
5 图纸会审记录和设计变更单;
6 经批准的施工组织设计或异型桩施工专项方案和技术交底资料;
7 沉桩施工记录汇总,包括桩位编号图;
8 沉桩完成时桩顶标高、复打(压)后桩顶标高和开挖完成后桩顶标高;
9 异型桩接桩隐蔽验收记录;
10 沉桩工程竣工图(桩位实测偏位情况、补桩位置、试桩位置);
11 质量事故处理记录;
12 试沉桩记录;
13 桩身完整性检测和承载力检测报告;
14 异型桩施工记录,包括孔内混凝土灌实深度、配筋或插筋数量、混凝土试块强度等记录;异型桩桩头与承台的锚筋,边桩离承台边缘距离等记录。
附录A异型管桩构造、桩身配筋和力学性能
附录A 异型管桩构造、桩身配筋和力学性能
A.0.1 异型管桩的结构形式应符合下列规定(图A.0.1)。

图A.0.1 异型管桩的结构形式(一)

图A.0.1 异型管桩的结构形式(二)
1-预应力钢筋;2-螺旋箍筋;
D-最大外径;D 1 -最小外径;D p -预应力钢筋分布圆直径;
L-桩长;t-最小壁厚;a-箍筋加密区长度;b-最小外径处截面凹进深度
A.0.2 异型管桩桩身配筋和力学性能应符合表A.0.2-1和表A.0.2-2的规定。
表A.0.2-1 异型管桩的配筋和力学性能(混凝土强度等级C80)















注:根据供需双方协议,也可生产其他规格、壁厚、形式的异型桩。
表A.0.2-2 异型管桩的配筋和力学性能(混凝土强度等级C65)















注:根据供需双方协议,也可生产其他规格、壁厚、形式的异型桩。
附录B空心异型方桩构造、桩身配筋和力学性能
附录B 空心异型方桩构造、桩身配筋和力学性能
B.0.1 空心异型方桩的结构形式应符合下列规定(图B.0.1)。

图B.0.1 空心异型方桩构造
1-预应力钢筋;2-螺旋箍筋;
D-最大边长;D 1 -最小边长;D p -预应力钢筋分布边长;
L-桩长;R-圆弧半径;d-内径;a-箍筋加密区长度;b-最小边长处截面凹进深度
B.0.2 空心异型方桩桩身配筋和力学性能应符合表B.0.2-1和表B.0.2-2的规定。
表B.0.2-1 空心异型方桩的配筋和力学性能(混凝土强度等级C80)



注:根据供需双方协议,也可生产其他规格、壁厚、形式的异型桩。
表B.0.2-2 空心异型方桩的配筋和力学性能(混凝土强度等级C65)



注:根据供需双方协议,也可生产其他规格、壁厚、形式的异型桩。
附录C实心异型方桩构造、桩身配筋和力学性能
附录C 实心异型方桩构造、桩身配筋和力学性能
C.0.1 实心异型方桩的结构形式应符合下列规定(图C.0.1)。

图C.0.1 实心异型方桩的结构形式
1-预应力钢筋;2-螺旋箍筋;D-最大边长;
D 1 -最小边长;D p -预应力钢筋分布边长;
L-桩长;R-圆弧半径;a-箍筋加密区长度;b-最小边长处截面凹进深度
C.0.2 实心异型方桩桩身配筋和力学性能应符合表C.0.2-1、表C.0.2-2和表C.0.2-3的规定。
表C.0.2-1 实心异型方桩的配筋和力学性能(混凝土强度等级C80)



注:根据供需双方协议,也可生产其他规格、壁厚、形式的异型桩。
表C.0.2-2 实心异型方桩的配筋和力学性能(混凝土强度等级C65)



注:根据供需双方协议,也可生产其他规格、壁厚、形式的异型桩。
表C.0.2-3 实心异型方桩的配筋和力学性能(混凝土强度等级C40)


注:根据供需双方协议,也可生产其他规格、壁厚、形式的异型桩。
附录D静压桩机型号选择表
附录D 静压桩机型号选择表
表D 静压桩机型号选择表

附录E柴油锤重选择表
附录E 柴油锤重选择表
表E 柴油锤重选择表

注:1 本表仅供选锤用,选择时宜重锤低击。
2 本表适用于桩长16m~60m,且桩端进入硬土层有一定深度。
3 N为桩端持力层标准贯入击数。
附录F静压沉桩施工记录表
附录F 静压沉桩施工记录表
表F 静压沉桩施工记录表

附录G锤击沉桩施工记录表
附录G 锤击沉桩施工记录表
表G 锤击沉桩施工记录表

附录H异型复合桩施工记录表
附录H 异型复合桩施工记录表
表H 异型复合桩施工记录表


本规程用词说明
本规程用词说明
1 为便于在执行本规程条文时区别对待,对要求严格程度不同的用词说明如下:
1)表示很严格,非这样做不可的:
正面词采用“必须”,反面词采用“严禁”;
2)表示严格,在正常情况下均应这样做的:
正面词采用“应”,反面词采用“不应”或“不得”;
3)表示允许稍有选择,在条件许可时首先应这样做的:
正面词采用“宜”,反面词采用“不宜”;
4)表示有选择,在一定条件下可以这样做的,采用“可”。
2 本条文中指明应按其他有关标准执行的写法为:“应符合……的规定”或“应按……执行”。
引用标准名录
引用标准名录
1 《建筑地基基础设计规范》GB 50007
2 《混凝土结构设计规范》GB 50010
3 《建筑抗震设计规范》GB 50011
4 《工业建筑防腐蚀设计规范》GB 50046
5 《混凝土强度检验评定标准》GB/T 50107
6 《建筑地基基础工程施工质量验收规范》GB 50202
7 《钢结构工程施工质量验收规范》GB 50205
8 《钢结构焊接规范》GB 50661
9 《复合地基技术规范》GB/T 50783
10 《优质碳素结构钢》GB/T 699
11 《碳素结构钢》GB/T 700
12 《冷卷圆柱螺旋弹簧技术条件 第2部分:压缩弹簧》GB/T 1239.2
13 《合金结构钢》GB/T 3077
14 《色漆、清漆和色漆与清漆用原材料取样》GB/T 3186
15 《双酚A型环氧树脂》GB/T 13657
16 《先张法预应力离心混凝土异型桩》GB 31039
17 《建筑桩基技术规范》JGJ 94
18 《建筑基桩检测技术规范》JGJ 106
19 《钢筋机械连接技术规程》JGJ 107
20 《建筑基坑支护技术规程》JGJ 120
21 《劲性复合桩技术规程》JGJ/T 327
22 《水泥土复合管桩基础技术规程》JGJ/T 330
23 《先张法预应力混凝土管桩用端板》JC/T 947
24 《预应力离心混凝土空心方桩用端板》JC/T 2239
25 《预应力混凝土空心方桩》JG 197
26 《港口工程混凝土结构设计规范》JTJ 267
