Appearance
《预应力混凝土结构设计规范[附条文说明]》JGJ 369-2016
🗓️ 住房和城乡建设部 实施时间:2016-09-01
前言
中华人民共和国行业标准
预应力混凝土结构设计规范
Code for design of prestressed concrete structures
JGJ 369-2016
批准部门:中华人民共和国住房和城乡建设部
施行日期:2016年9月1日
中华人民共和国住房和城乡建设部公告
第1061号
住房城乡建设部关于发布行业标准《预应力混凝土结构设计规范》的公告
现批准《预应力混凝土结构设计规范》为行业标准,编号为JGJ 369-2016,自2016年9月1日起实施。其中,第4.1.1、4.1.6条为强制性条文,必须严格执行。
本规范由我部标准定额研究所组织中国建筑工业出版社出版发行。
中华人民共和国住房和城乡建设部
2016年3月14日
前言
根据住房和城乡建设部《关于印发<2009年工程建设标准规范制订、修订计划>的通知》(建标[2009]88号)的要求,编制组经广泛调查研究,认真总结实践经验,参考有关国际标准和国外先进标准,并在广泛征求意见的基础上,编制了本规范。
本规范的主要技术内容是:1.总则;2.术语和符号;3.材料;4.基本规定;5.承载能力极限状态计算;6.正常使用极限状态验算;7.超长结构的预应力设计;8.预应力型钢混凝土及预应力钢与混凝土组合梁设计;9.体外预应力混凝土结构设计;10.纤维增强复合材料预应力筋混凝土结构设计;11.构造规定。
本规范中以黑体字标志的条文为强制性条文,必须严格执行。
本规范由住房和城乡建设部负责管理和对强制性条文的解释,由同济大学负责具体技术内容的解释。执行过程中如有意见或建议,请寄送同济大学(地址:上海市四平路1239号,邮编:200092)。
本规范主编单位 :同济大学
上海建工七建集团有限公司
本规范参编单位 :中国建筑设计研究院
上海建筑设计研究院有限公司
华东建筑设计研究院有限公司
同济大学建筑设计研究院(集团)有限公司
北京市建筑设计研究院有限公司
北京市建筑工程研究院有限责任公司
中国京冶工程技术有限公司
上海同吉建筑工程设计有限公司
北京中建建筑科学研究院有限公司
中铁上海设计院集团有限公司
天华建筑设计有限公司
长安大学
江阴华新钢缆有限公司
中国航空规划建设发展有限公司
中信建筑设计研究总院有限公司
上海市城市建设设计研究院
本规范主要起草人员 :熊学玉 王美华 顾亚囝 任庆英 尤天直 李亚明 周建龙 郑毅敏 束伟农 李晨光 王丰 尚仁杰 吴转琴 顾炜 焦振刚 苏小卒 周建民 刘建红 谢旺兰 王步 陈华青 葛家琪 李伟兴 熊火清 陆元春 高峰
本规范主要审查人员 :娄宇 郑文忠 顾渭建 孟少平 邓华 秦士洪 章一萍 卢永成 陈宇峰 易伟建 朱万旭
条文说明
中华人民共和国行业标准
预应力混凝土结构设计规范
JGJ369-2016
条文说明
制订说明 《预应力混凝土结构设计规范》JGJ369-2016经住房和城乡建设部2016年3月14日以第1061号公告批准、发布。 本规范编制过程中,编制组进行了广泛的调查研究,总结了我国工程建设的实践经验,同时参考了国内外先进技术法规、技术标准,吸纳了许多单位和学者卓有成效的试验和研究成果,确定了各项技术指标和参数。 为便于广大设计、施工、科研、学校等单位有关人员在使用本规范时能正确理解和执行条文规定,《预应力混凝土结构设计规范》编制组按章、节、条顺序编制了本规范的条文说明,对条文规定的目的、依据以及执行中需注意的有关事项进行了说明,还着重对强制性条文的强制性理由作了解释。但是条文说明不具备与规范正文同等的效力,仅供使用者作为理解和把握规范规定的参考。
1 总则
1 总 则
1.0.1 为了在预应力混凝土结构设计中贯彻执行国家的技术经济政策,做到安全适用、技术先进、经济合理、保证质量,制定本规范。
1.0.2 本规范适用于房屋和一般构筑物的预应力混凝土结构设计。
条文说明
1.0.2本条主要规定了本规范适用范围。本规范用于轻骨料混凝土及特种预应力混凝土结构的设计时,尚应按有关规范执行。水下预应力结构宜采用有粘结预应力筋。
1.0.3 预应力混凝土结构的设计除应符合本规范外,尚应符合国家现行有关标准的规定。
2 术语和符号
2.1 术语
2 术语和符号
2.1 术 语
条文说明
术语是根据现行国家标准《工程结构设计通用符号标准》GB/T50132、《工程结构设计基本术语标准》GB/T50083并结合本规范的具体情况给出的。
2.1.1 预应力混凝土结构 prestressed concrete structure
配置受力的预应力筋,通过张拉或其他方法建立预加应力的混凝土结构。
2.1.2 先张法预应力混凝土结构 pretensioned prestressed concrete structure
在台座上张拉预应力筋后浇筑混凝土,并通过放张预应力筋由粘结传递而建立预应力的混凝土结构。
2.1.3 后张法预应力混凝土结构 post-tensioned prestressed concrete structure
在混凝土达到规定强度后,通过张拉预应力筋并在结构上锚固而建立预应力的混凝土结构。
2.1.4 无粘结预应力混凝土结构 unbonded prestressed con-crete structure
配置与混凝土之间可保持相对滑动的无粘结预应力筋的后张法预应力混凝土结构。
2.1.5 体外预应力混凝土结构 externally prestressed struc-ture
混凝土构件截面之外配置后张预应力筋的结构。
2.1.6 预应力型钢混凝土结构 prestressed steel reinforced concrete structure
预应力混凝土结构内配置轧制或焊接成型型钢的结构。
2.1.7 预应力筋 tendon
用于混凝土结构构件中施加预应力的钢丝、钢绞线和预应力螺纹钢筋和纤维增强复合塑料筋的总称。
2.1.8 填充型环氧涂层钢绞线 epoxy-coated prestressing steel strand
外层由熔融结合环氧涂层涂覆,钢丝间的空隙由熔融结合环氧涂层完全填充,防止腐蚀介质通过毛细作用力或其他流体静力侵入的预应力钢绞线。
条文说明
2.1.8填充型环氧涂层钢绞线按照表面是否嵌入砂粒分为嵌砂型环氧涂层预应力钢绞线和光滑型环氧涂层预应力钢绞线。
2.1.9 纤维增强复合材料预应力筋 FRP tendon
由多股连续芳纶纤维复合材料或碳纤维复合材料采用聚酰胺树脂、聚乙烯树脂或环氧树脂等基底材料胶合后,经过特制的模具挤压、拉拔成型的纤维增强复合塑料预应力筋,简称FRP预应力筋。
条文说明
2.1.9纤维增强复合材料预应力筋包括芳纶纤维增强复合材料预应力筋和碳纤维增强复合材料预应力筋。
2.1.10 无粘结预应力筋 unbonded tendon
表面涂防腐油脂并包护套后,与周围混凝土不粘结,靠锚具传递压力给构件或结构的一种预应力筋。
2.1.11 有粘结预应力筋 bonded tendon
张拉后直接与混凝土粘结或通过灌浆使之与混凝土粘结的一种预应力筋。
2.1.12 缓粘结预应力筋 retard-bonded prestressing steel strand
用缓凝粘合剂和高密度聚乙烯护套涂包的预应力钢绞线。
2.1.13 体外预应力筋 external tendon
布置在结构构件截面之外的预应力筋。通过与结构构件相连的锚固端块和转向块将预应力传递到结构上。
2.1.14 锚具 anchorage
后张法预应力构件或结构中,为保持预应力筋的拉力并将压力传递到构件或结构上所采用的永久性锚固装置。
2.1.15 连接器 coupler
连接预应力筋的装置。
2.1.16 锚固区 anchorage zone
在后张预应力混凝土结构构件中,承受锚具传来的预加力并使混凝土截面应力趋于均匀的部分构件区段。
条文说明
2.1.16锚固区可分为局部锚固区和整体锚固区。局部锚固区是指直接围绕预应力锚固装置及其加强钢筋的混凝土矩形截面棱柱体;整体锚固区是指后张预应力局部锚固区之外的应力尚未完全均匀化的锚固区部分。
2.1.17 转向块 deviator
在腹板、翼缘或腹板翼缘交接处设置的混凝土或钢支承块。
条文说明
2.1.17转向块是与构件整体浇筑或采用可靠连接,以控制体外束的几何形状或改变体外束方向,将预加力传至结构的装置。
2.1.18 张拉控制应力 control stress for tensioning
预应力筋张拉时在张拉端所施加的应力值。
2.1.19 预应力损失 prestressing loss
预应力筋张拉过程中和张拉后,由于材料特性、结构状态和张拉工艺等因素引起的预应力筋应力降低。
条文说明
2.1.19预应力损失包括:摩擦损失、锚固损失、弹性压缩损失、热养护损失、预应力筋应力松弛损失和混凝土收缩徐变损失等。
2.1.20 有效预应力 effective prestress
预应力损失完成后,在预应力筋中保持的应力值。
2.1.21 主内力 primary internal force
预加力对去除约束的预应力构件截面形心产生的内力。
2.1.22 综合内力 resultant internal force
预加力在后张法超静定预应力结构的构件截面上产生的内力。
2.1.23 次内力 secondary internal force
预加力对后张法超静定预应力结构在多余约束处引起的附加内力。
2.2 符号
2.2 符 号
2.2.1 材料性能
C30——立方体抗压强度标准值为30N/mm 2 的混凝土强度等级;
E a ——型钢弹性模量;
E c ——混凝土弹性模量;
E f c ——混凝土疲劳变形模量;
E p ——预应力筋弹性模量;
E s ——钢筋弹性模量;
f a 、f′ a ——型钢抗拉、抗压强度设计值;
f ak 、f′ ak ——型钢抗拉、抗压强度标准值;
f ck 、f c ——混凝土轴心抗压强度标准值、设计值;
f′ ck 、f′ tk ——施工阶段的混凝土轴心抗压、轴心抗拉强度标准值;
f′ cu ——边长为150mm的现场同等条件养护下施工阶段混凝土立方体的抗压强度;
f fpc ——纤维增强复合材料预应力筋的持久强度设计值;
f py 、f′ py ——预应力筋的抗拉、抗压强度设计值;
f stk 、f ptk ——普通钢筋、预应力筋极限强度标准值;
f tk 、f t ——混凝土轴心抗拉强度标准值、设计值;
f y 、f′ y ——普通钢筋的抗拉、抗压强度设计值;
f yk 、f pyk ——普通钢筋、预应力筋屈服强度标准值。
2.2.2 作用和作用效应
F l ——局部荷载设计值或集中反力设计值;
M——弯矩设计值;
M 2 ——由预加力在后张法预应力混凝土超静定结构中产生的次弯矩;
M k 、M q ——按荷载效应的标准组合、准永久组合计算的弯矩值;
M u ——构件的正截面受弯承载力设计值;
M cr ——受弯构件的正截面开裂弯矩值;
N——轴向力设计值;
N 2 ——由预加力在后张法预应力混凝土超静定结构中产生的次轴力;
N k 、N q ——按荷载效应的标准组合,准永久组合计算的轴向力值;
N p ——后张法构件预应力筋及普通钢筋的合力;
N p0 ——混凝土法向预应力等于零时预应力筋及普通钢筋的合力;
N u0 ——构件的截面轴心受压或轴心受拉承载力设计值;
N ux 、N uy ——轴向力作用于x轴、y轴的偏心受压或偏心受拉承载力设计值;
T——扭矩设计值;
V——剪力设计值;
V 2 ——由预加力在后张法预应力混凝土超静定结构中产生的次剪力;
V cs ——构件斜截面上混凝土和箍筋的受剪承载力设计值;
σ con ——预应力筋张拉控制应力;
σ ck 、σ cq ——荷载效应的标准组合、准永久组合下抗裂验算边缘的混凝土法向应力;
σ f c,max 、σ f c,min ——疲劳验算时受拉区或受压区边缘纤维混凝土的最大应力、最小应力;
σ l 、σ′ l ——受拉区、受压区预应力筋在相应阶段的预应力损失值;
σ p0 ——预应力筋合力点处混凝土法向应力等于零时的预应力筋应力;
σ pc ——由预加力产生的混凝土法向应力;
σ pe ——预应力筋的有效预应力;
σ pu ——无粘结预应力筋和体外预应力筋的应力设计值;
σ s 、σ p ——正载面承载力计算中纵向普通钢筋、预应力筋的应力;
σ sk ——按荷载效应的标准组合计算的纵向受拉钢筋应力或等效应力;
σ tp 、σ cp ——混凝土中的主拉应力、主压应力;
τ——混凝土的剪应力;
w max ——按荷载效应的准永久或标准组合,并考虑长期作用影响的计算最大裂缝宽度。
2.2.3 几何参数
A——构件截面面积;
A 0 ——构件换算截面面积;
A cor ——钢筋网、螺旋筋或间接钢筋内表面范围内的混凝土核心面积;
A l ——混凝土局部受压面积;
A n ——构件净截面面积;
A p 、A′ p ——受拉区、受压区纵向预应力筋的截面面积;
A s 、A′ s ——受拉区、受压区纵向普通钢筋的截面面积;
A sb 、A pb ——同一弯起平面内普通钢筋、弯起预应力筋的截面面积;
A stl ——受扭计算中取用的全部受扭纵向普通钢筋的截面面积;
A svl 、A stl ——受剪、受扭计算中单肢箍筋的截面面积;
A sv 、A sh ——同一截面内各肢竖向、水平箍筋或分布钢筋的全部截面面积;
a、a′——纵向受拉钢筋合力点、纵向受压钢筋合力点至截面近边的距离;
a p 、a′ p ——受拉区纵向预应力筋合力点、受压区纵向预应力筋合力点至截面近边的距离;
a s 、a′ s ——纵向非预应力受拉钢筋合力点、纵向非预应力受压钢筋合力点至截面近边的距离;
b——矩形截面宽度,T形,I形截面的腹板宽度;
b f 、b′ f ——T形或I形截面受拉区、受压区的翼缘宽度;
B——受弯构件的截面刚度;
c——混凝土保护层厚度;
γ c ——曲率半径;
d——钢筋直径或圆形截面的直径;
e、e′——轴向力作用点至纵向受拉钢筋合力点、纵向受压钢筋合力点的距离;
e a ——附加偏心距;
e 0 ——轴向力对截面重心的偏心距;
e i ——初始偏心距;
h——截面高度;
h f 、h′ f ——T形或I形截面受拉区、受压区的翼缘高度;
h 0 ——截面有效高度;
h p ——纵向受拉预应力筋合力点至梁截面受压边缘的有效距离;
h s ——纵向受拉普通钢筋合力点至梁截面受压边缘的有效距离;
i——截面的回转半径;
I——截面惯性矩;
I 0 ——换算截面惯性矩;
I n ——净截面惯性矩;
l a ——纵向受拉钢筋的锚固长度;
l 0 ——梁板的计算跨度或柱的计算长度;
s——沿构件轴线方向上横向钢筋的间距,螺旋筋的间距或箍筋的间距;
W——截面受拉边缘的弹性抵抗矩;
W 0 ——换算截面受拉边缘的弹性抵抗矩;
W n ——净截面受拉边缘的弹性抵抗矩;
W t ——截面受扭塑性抵抗矩;
x——混凝土受压区高度;
y 0 、y n ——换算截面重心、净截面重心至所计算纤维的距离;
z——纵向受拉钢筋合力至混凝土受压区合力点之间的距离。
2.2.4 计算系数及其他
α 1 ——受压区混凝土矩形应力图的应力值与混凝土轴心抗压强度设计值的比值;
α E ——钢筋弹性模量与混凝土弹性模量的比值;
β 1 ——矩形应力图受压区高度与中和轴到受压区边缘的距离的比值;
β c ——混凝土强度影响系数;
β l ——局部受压时的混凝土强度提高系数;
γ——混凝土构件的截面抵抗矩塑性影响系数;
η s ——偏心受压构件考虑二阶效应影响的增大系数;
θ——考虑荷载长期作用对挠度增大的影响系数;
k——考虑孔道每米长度局部偏差的摩擦系数;
λ——计算截面的剪跨比;
μ——预应力筋与孔道壁之间的摩擦系数;
ψ——裂缝间纵向受拉钢筋应变不均匀系数。
ρ——纵向受力钢筋的配筋率;
ρ sv 、ρ sh ——竖向箍筋,水平箍筋或竖向分布钢筋,水平分布钢筋的配筋率;
ρ v ——间接钢筋或箍筋的体积配筋率;
φ——轴心受压构件的稳定系数。
3 材料
3.1 混凝土及预应力钢筋
3 材 料
3.1 混凝土及预应力钢筋
3.1.1 预应力混凝土结构的混凝土强度等级不宜低于C40,且不应低于C30。
条文说明
3.1.1由于高强度低松弛预应力钢绞线及钢丝在我国的推广应用,必须采用较高强度等级的混凝土,才可充分发挥两者的作用,达到更经济的目的。所以规定了预应力结构的最低混凝土强度等级。预应力加固工程中,被加固结构的混凝土强度等级可不受此条规定限制。结构中局部采用预应力构件时,结构混凝土强度等级要求可适当降低。 对于采用钢绞线集束布置的有粘结预应力构件不应低于C45或更高。对于无粘结预应力构件不应低于C30。在实际工程中,被广泛采用的高强度低松弛钢绞线,在集束布置的有粘结预应力构件中,当混凝土强度等级采用C40时,局部受压承载力验算难以满足要求,尤其当每个集团束钢绞线根数达到9根及其以上时,在非框架柱端的部位,如预留的梁上张拉后浇带处,按照规范局部受压承载力公式计算C50往往都不满足要求。而设计者往往非常忽视局部受压承载力验算。在实际工程中,如果等到混凝土强度达到100%张拉,往往施工工期不允许,或造成模板积压严重。
3.1.2 预应力混凝土结构中预应力筋宜采用预应力钢丝、钢绞线和预应力螺纹钢筋,也可采用纤维增强复合材料预应力筋。
条文说明
3.1.2在先张预应力构件中,宜采用钢绞线、刻痕钢丝和螺旋肋钢丝。在后张预应力构件或结构中宜采用钢绞线。有特殊防腐蚀要求时,可选用镀锌钢丝、镀锌钢绞线、环氧涂层钢丝、环氧涂层钢绞线或纤维增强复合材料预应力筋。
3.1.3 预应力钢丝、钢绞线和预应力螺纹钢筋的屈服强度标准值f pyk 、极限强度标准值f ptk 抗拉强度设计值f py 及抗压强度设计值f′ py 应符合现行国家标准《混凝土结构设计规范》GB 50010的规定。
条文说明
3.1.3预应力筋的强度按国家现行标准《钢筋混凝土用钢》GB1499、《钢筋混凝土用余热处理钢筋》GB13014、《中强度预应力混凝土用钢丝》YB/T156、《预应力混凝土用螺纹钢筋》GB/T20065、《预应力混凝土用钢丝》GB/T5223、《预应力混凝土用钢绞线》GB/T5224等的规定给出,其应具有不小于95%的保证率。 预应力筋没有明显的屈服点,一般采用极限强度标志。极限强度标准值fptk相当于钢筋标准中的钢筋抗拉强度σb。在钢筋标准中一般取0.002残余应变所对应的应力σp0.2作为其条件屈服强度标准值fpyk。本条对新增的预应力螺纹钢筋及中强度预应力钢丝列出了有关的设计参数。 钢筋的强度设计值为其强度标准值除以材料分项系数γs的数值。对预应力筋,取条件屈服强度标准值除以材料分项系数γs,由于延性稍差,预应力筋γs一般取不小于1.20。对传统的预应力钢丝、钢绞线取0.85σb作为条件屈服点,材料分项系数1.2;对新增的中强度预应力钢丝和螺纹钢筋,按上述原则计算并考虑工程经验适当调整,列于表3.1.4中。 预应力筋抗压强度设计值小于抗拉强度设计值,这是由于构件中钢筋受到混凝土极限受压应变的控制,受压强度受到制约的缘故。 钢筋标准中预应力钢丝、钢绞线的强度等级繁多,对于表中未列出的强度等级可按比例换算,插值确定强度设计值。无粘结预应力筋不考虑抗压强度。预应力筋配筋位置偏离受力区较远时,应根据实际受力情况对强度设计值进行折减。 当构件中配有不同牌号和强度等级的钢筋时,可采用各自的强度设计值进行计算。因为尽管强度不同,但极限状态下各种钢筋先后均已达到屈服。
3.1.4 预应力筋的弹性模量E p 应按表3.1.4采用。
表3.1.4 预应力筋弹性模量(N/mm 2 )

注:必要时可采用实测的弹性模量。
3.1.5 预应力筋的疲劳应力幅限值△f f py 应根据预应力筋疲劳应力比值ρ f p ,按表3.1.5线性内插取值。预应力筋疲劳应力比值ρ f p 应按下式计算:

式中:σ f p,min 、σ f p,max ——构件疲劳验算时,同一层预应力筋的最小应力、最大应力(MPa)。
表3.1.5 预应力筋疲劳应力幅限值(N/mm 2 )

注:1 当ρ f p ≥0.9时,可不作钢筋疲劳验算;
2 当有充分依据时,可对表中规定的疲劳应力幅限值作适当调整。
3.1.6 预应力筋在最大力下的总伸长率δ gt 不应小于3.5%。
3.1.7 镀锌钢绞线的规格和性能应符合现行行业标准《高强度低松弛预应力热镀锌钢绞线》YB/T 152的有关规定。热镀锌钢绞线适用于体外预应力结构,不应直接与混凝土、砂浆接触。
条文说明
3.1.7预应力热镀锌钢绞线由6根镀锌钢丝螺旋紧密围绕1根中心镀锌钢丝捻制并经稳定化处理而成。由于锌是两性金属,因而不推荐在直接与混凝土、砂浆接触的预应力结构中使用。 镀锌钢绞线是从桥梁工程需要发展起来的,逐步推广应用到建筑工程中的体外索和拉索等。镀锌钢绞线的规格和力学性能应符合现行行业标准《高强度低松弛预应力热镀锌钢绞线》YB/T152的规定。
3.1.8 填充型环氧涂层钢绞线性能应符合现行行业标准《环氧涂层预应力钢绞线》JG/T 387的有关规定。
3.1.9 单丝涂覆环氧涂层预应力钢绞线性能应符合现行国家标准《单丝涂覆环氧涂层预应力钢绞线》GB/T 25823的有关规定。
3.1.10 缓粘结预应力钢绞线性能应符合现行行业标准《缓粘结预应力钢绞线》JG/T 369的有关规定;缓凝胶粘剂应符合现行行业标准《缓粘结预应力钢绞线专用粘合剂》JG/T 370的有关规定。
3.1.11 无粘结预应力筋性能应符合现行行业标准《无粘结预应力钢绞线》JG 161的有关规定。
3.2 纤维增强复合材料筋
3.2 纤维增强复合材料筋
3.2.1 纤维增强复合材料筋混凝土构件应采用碳纤维增强复合材料筋或芳纶纤维增强复合材料筋,且其纤维体积含量不应小于60%。
条文说明
3.2.1当前应用于土木工程的纤维增强复合材料筋主要有碳纤维增强复合材料筋、玻璃纤维增强复合材料筋和芳纶纤维增强复合材料筋。其中,玻璃纤维增强复合材料筋强度较低,且耐碱性差,并在长期荷载作用下较芳纶纤维增强复合材料筋和碳纤维增强复合材料筋更易发生徐变断裂,不宜用作预应力筋。因此,本条规定纤维增强复合材料预应力筋混凝土构件应选用碳纤维增强复合材料筋或芳纶纤维增强复合材料筋。
3.2.2 纤维增强复合材料预应力筋的截面面积应小于300mm 2 。
条文说明
3.2.2纤维增强复合材料筋存在剪切滞后问题,导致其抗拉强度随直径的增大而降低。因此,本条对单根纤维增强复合材料筋的截面面积进行了限制。 纤维增强复合材料筋的截面面积按名义直径即含树脂层厚度计算。
3.2.3 纤维增强复合材料预应力筋应符合下列规定:
1 纤维增强复合材料预应力筋的抗拉强度应按筋材的截面面积含树脂计算,其主要力学性能指标应满足表3.2.3的规定;
2 纤维增强复合材料预应力筋的抗拉强度标准值应具有99.87%的保证率,其弹性模量和最大力下的伸长率应取平均值;
3 不应采用光圆表面的纤维增强复合材料筋。
表3.2.3 纤维增强复合材料预应力筋的主要力学性能指标

条文说明
3.2.3考虑到纤维增强复合材料筋抗拉强度的离散度高于钢筋,本条对其抗拉强度标准值提出了更高的强度保证率要求。
3.2.4 纤维增强复合材料筋抗拉强度设计值应按下式计算:

式中:f fpd ——纤维增强复合材料预应力筋抗拉强度设计值(MPa);
f fpk ——纤维增强复合材料预应力筋抗拉强度标准值,按实测值和厂家提供的数据采用(MPa);
γ e ——环境影响系数,应按表3.2.4取值。
表3.2.4 纤维增强复合材料预应力筋的环境影响系数γ e

条文说明
3.2.4考虑到纤维增强复合材料破坏的脆性特点,参照现行国家标准《混凝土结构设计规范》GB50010中混凝土材料系数的取值,纤维增强复合材料筋的材料系数取1.4。 纤维增强复合材料在所处环境中的酸碱盐、湿度、温度和日照等因素的长期作用下,性能会发生不同程度的降低。本条针对不同环境对纤维增强复合材料劣化影响程度的差异,考虑耐久性要求,采用对应的环境系数对纤维增强复合材料筋的抗拉强度给予折减。
3.2.5 纤维增强复合材料预应力筋的持久强度设计值应按下式计算:

式中:f fpc ——纤维增强复合材料预应力筋的持久强度设计值(MPa);
γ fc ——徐变断裂折减系数,碳纤维增强复合材料筋取1.4,芳纶纤维增强复合材料筋取2.0。
条文说明
3.2.5在低于其承载力的拉力的长期作用下,纤维增强复合材料筋在一定时限后可能会突然失效,即发生徐变断裂。该时限不仅随纤维增强复合材料中长期作用拉应力的增大而降低,且会因高温、紫外线、干湿循环、冻融循环等不利环境因素而降低。如图1所示,纤维增强复合材料筋的徐变曲线一般可分为3个阶段。第一阶段为加载完成后的短期(相对于发生徐变断裂的时限而言),纤维增强复合材料筋的应变速率在该阶段持续下降。在其后的第二阶段,纤维增强复合材料筋在常值应力作用下的应变速率基本保持不变。在该阶段,尽管纤维增强复合材料筋中的某些较弱纤维可能受拉失效,但其所承担的荷载可通过摩擦作用或树脂的粘结作用传递至相邻纤维。在第三阶段,纤维增强复合材料筋的应变速率持续增大,表示纤维增强复合材料筋中的纤维已发生快速、持续的失效,该过程最终将导致纤维增强复合材料筋的断裂。 
图1纤维增强复合材料筋徐变变形的三个阶段 应当指出,当第二阶段纤维增强复合材料筋的长期作用拉应力足够低时,则可延长该阶段的时限,避免徐变断裂的发生。基于该原理和国外已有试验数据,本条规定了纤维增强复合材料筋的持久强度设计值。
3.3 预应力筋用锚具和连接器
3.3 预应力筋用锚具和连接器
3.3.1 预应力结构设计中,应根据工程环境条件、结构特点、预应力筋品种和张拉施工方法,选择锚具和连接器。常用金属预应力筋的锚具可按表3.3.1选用。
表3.3.1 锚具选用

条文说明
3.3.1工程设计人员为某种结构选用锚具或连接器时,可根据工程环境条件、结构的要求、预应力筋的品种、产品的技术性能、张拉施工方法和经济合理等因素进行综合分析比较后加以确定。表3.3.1是锚具选用表,这里仅推荐不同预应力筋适用的张拉端锚具和固定端锚具。
3.3.2 金属预应力筋用锚具和连接器的性能应符合国家现行标准《预应力筋用锚具、夹具和连接器》GB/T 14370、《预应力筋用锚具、夹具和连接器应用技术规程》JGJ 85和《无粘结预应力混凝土结构技术规程》JGJ 92的规定。
条文说明
3.3.2预应力筋-锚具组装件的静载和疲劳锚固性能,是根据现行国家标准《预应力筋用锚具、夹具和连接器》GB/T14370对锚具的锚固性能要求制定的。对于主要承受较大动荷载的预应力混凝土结构,要求所选锚具能承受的应力幅度可适当增加,具体数值可由工程设计单位根据需要确定。 预应力筋-锚具组装件的静载锚固性能应符合现行行业标准《预应力筋用锚具、夹具和连接器应用技术规程》JGJ85的规定。 用于主要承受动荷载、有抗震要求的重要工程,当设计提出要求时,应按现行国家标准《预应力筋用锚具、夹具和连接器》GB/T14370的规定进行疲劳性能、周期荷载性能试验。
3.3.3 承受低应力或动荷载的夹片式锚具应采取防松措施。
条文说明
3.3.3承受低应力或动荷载的夹片式锚具可能出现锚具夹片脱落现象,造成预应力失效,产生工程质量事故,因此要求承受低应力或动荷载的夹片式锚具具有防松性能。
3.3.4 当锚具使用环境温度低于-50℃时,锚具的低温锚固性能应符合现行国家标准《预应力筋用锚具、夹具和连接器》GB/T 14370的规定。
条文说明
3.3.4环境温度低于-50℃的工程通常是指储存液态气体(如液化天然气LNG等)的预应力混凝土储存罐等构筑物,采用常规材料生产的锚具受力性能会发生明显变化,造成锚固性能降低,甚至破坏,因此对应用于低温环境的锚具应进行低温性能检验,保证锚具的可靠锚固性能。
3.3.5 纤维增强复合材料预应力筋可采用机械夹持式、粘结型和组合式锚具,并应保证组装件的破坏模式为锚具外纤维增强复合材料筋拉断。
条文说明
3.3.5适用于纤维增强复合材料预应力筋的锚具从其锚固受力原理上可分为机械夹持式、粘结型和组合式。机械夹持式锚具包括夹片式锚具、锥塞式锚具、压铸管夹片式锚具;粘结型锚具包括套筒灌胶式锚具、杯口封装式锚具;组合式锚具包括夹片-粘结型锚具、夹片-套筒型锚具。部分可供参考的纤维增强复合材料预应力筋锚具如图2所示。 以夹片式锚具为例,纤维增强复合材料预应力筋-锚具组装件的破坏模式可分为锚固体系失效和锚具外纤维增强复合材料筋拉断两大类。其中,锚固体系失效包括四种模式:纤维增强复合材料筋滑移、纤维增强复合材料筋及其护套整体滑移、夹片相对于锚环滑移以及纤维增强复合材料筋在锚具内因高应力集中而断裂。上述任何一种锚固体系失效模式的发生均会显著影响纤维增强复合材料筋抗拉性能的正常发挥。因此,所采用的锚具应保证其与纤维增强复合材料预应力筋组装件的设计破坏模式为锚具外纤维增强复合材料筋拉断。 
图2纤维增强复合材料预应力筋锚具 1-纤维增强复合材料预应力筋;2-锚环;3-夹片;4-锥塞;5-套筒;6-树脂
3.3.6 纤维增强复合材料预应力筋应与其配套的锚具共同使用;与其他锚具配套使用时,应根据现行行业标准《预应力筋用锚具、夹具和连接器应用技术规程》JGJ 85进行试验验证。
条文说明
3.3.6因纤维增强复合材料预应力筋缺乏统一的产品标准,各厂商生产的纤维增强复合材料预应力筋性能的发挥就取决于为其特别研发的配套锚具。当采用其他未经配套试验验证的锚具时,可能会导致纤维增强复合材料预应力筋的性能无法充分发挥。
3.3.7 配套锚具的耐久性能和疲劳性能不应小于纤维增强复合材料预应力筋的相应指标。
条文说明
3.3.7纤维增强复合材料预应力筋-锚具组装件在结构使用年限内应具有足够的耐久性,特别应避免纤维增强复合材料筋与锚具间(二者在材料方面可能存在较大差异)、锚具与周围介质间的腐蚀反应,以确保锚具的服役期超过纤维增强复合材料筋的服役期(即构件的设计使用年限)。 不同种类纤维增强复合材料筋的疲劳性能存在较大差别,要求其配套锚具在承受疲劳荷载方面与之具有相应性能。
3.4 孔道与灌浆材料
3.4 孔道与灌浆材料
3.4.1 孔道材料应符合下列规定:
1 金属波纹管性能应符合现行行业标准《预应力混凝土用金属波纹管》JG/T 3013的有关规定;
2 塑料波纹管性能应符合现行行业标准《预应力混凝土桥梁用塑料波纹管》JT/T 529的有关规定。
条文说明
3.4.1后张预应力构件预埋制孔用管材分为金属波纹管、钢管和塑料波纹管。梁类等构件宜采用圆形波纹管,板类构件宜采用扁形波纹管,施工周期较长时应选用镀锌金属或塑料波纹管。塑料波纹管宜用于曲率半径小的孔道及对密封要求高的孔道。预埋钢管宜用于竖向超长孔道。抽芯制孔用管材有钢管和夹布胶管。
3.4.2 灌浆材料应符合现行国家标准《水泥基灌浆材料应用技术规范》GB/T 50448的有关规定。
条文说明
3.4.2对孔道灌浆用水泥和外加剂用量较少的一般工程,当有可靠依据时,可不做材料性能的进场复验。
4 基本规定
4.1 一般规定
4 基本规定
4.1 一般规定
4.1.1 预应力结构设计应符合现行国家标准《混凝土结构设计规范》GB 50010、《建筑结构荷载规范》GB 50009、《建筑抗震设计规范》GB 50011的规定。 ( 自2022年4月1日起废止该条,点击查看:新规《混凝土结构通用规范》GB 55008-2021)
4.1.2 预应力混凝土结构构件的承载能力极限状态计算和正常使用极限状态及施工阶段验算应符合现行国家标准《混凝土结构设计规范》GB 50010的规定。
条文说明
4.1.2混凝土结构极限状态的分类系根据现行国家标准《工程结构可靠性设计统一标准》GB50153确定。极限状态仍分为承载能力极限状态和正常使用极限状态两类。承载能力极限状态:结构或结构构件达到最大承载力、出现疲劳破坏、发生不适于继续承载的变形或因结构局部破坏而引发的连续倒塌;正常使用极限状态:结构或结构构件达到正常使用的某项规定限值或耐久性能的某种规定状态。预应力混凝土结构除进行两类极限状态验算外,还需进行施工阶段的设计验算。施工阶段的验算应保证构件在制作、运输、安装等阶段的承载能力、应力、变形及裂缝宽度的计算值不超过限值。
4.1.3 预应力混凝土结构分析,可根据结构类型、材料性能和受力特点等,选择弹性分析方法、塑性内力重分布分析方法、弹塑性分析方法、塑性极限分析方法、试验分析方法进行分析计算。
条文说明
4.1.3弹性分析方法是最基本和最成熟的结构分析方法,也是其他分析方法的基础和特例。它适用于分析一般结构。大部分混凝土结构的设计均基于此法。结构内力的弹性分析和截面承载力的极限状态设计相结合,实用上简易可行。按此设计的结构,其承载力一般偏于安全。少数结构因混凝土开裂部分的刚度减小而发生内力重分布,可能影响其他部分的开裂和变形状况。考虑到混凝土结构开裂后刚度的减小,对梁、柱构件可分别取用不同的刚度折减值,且不再考虑刚度随作用效应而变化。在此基础上,结构的内力和变形仍可采用弹性方法进行分析。 考虑塑性内力重分布的分析方法可用于超静定混凝土结构设计。该方法具有充分发挥结构潜力,节约材料,简化设计和方便施工等优点。但应注意到,抗弯能力调低部位的变形和裂缝可能相应增大。 参照现行国家标准《混凝士结构设计规范》GB50010-2010第10.1.8条,考虑塑性内力重分布分析方法的条件为:①允许出现裂缝的梁;②重力荷载作用下;③截面相对受压区高度在0.1~0.3之间。
4.1.4 复杂约束结构应通过计算或试验确定施加预应力对整体结构的影响。其中结构次内力的计算,应考虑空间效应进行整体分析。
4.1.5 预应力混凝土结构设计应采取调整结构布置,特殊节点作法,调整施工顺序等措施减少竖向构件或相邻结构对施加预应力构件的约束作用。
条文说明
4.1.4、4.1.5复杂约束指复杂受力结构体系中构件布置形成的强约束和相邻约束间变化较大的结构,其特征表现为构件间的复杂约束及其分布导致的预应力结构体系中次内力的复杂分布与集中。其有关预应力混凝土结构的内力计算主要是基于预应力混凝土连续梁结构的工作原理建立起来的,主要考虑预应力次弯矩的影响,对于预应力混凝土框架结构、板柱结构、框剪结构、框筒结构等存在竖向构件侧向约束的结构不适用或存在隐患。预应力结构体系中复杂约束与分布表现为预应力效应的复杂内力分布,其本质体现为次内力的复杂分布。在复杂约束体系下可能来自平面内过大的侧向约束、相邻大小跨的约束分布的变化、结构转换等都可能获得与常规结构规律不一致的内力分布。空间结构体系整体分析时,由于各榀框架的竖向位移通过次梁等结构构件相互影响,预应力梁次弯矩分布形式与按平面框架结构计算所得到的结果差异很大,会影响设计弯矩值,故空间效应的影响是复杂约束的一种重要体现。对于施工周期较长、约束复杂的大型预应力工程,还应进行结构施工全过程分析。
4.1.6 预应力混凝土结构设计应计入预应力作用效应;对超静定结构,相应的次弯矩、次剪力及次轴力等应参与组合计算。并应符合下列规定:
1 对承载能力极限状态,当预应力作用效应对结构有利时,预应力作用分项系数γ p 应取1.0,不利时γ p 应取1.2;对正常使用极限状态,预应力作用分项系数γ p 应取1.0。
2 对参与组合的预应力作用效应项,当预应力作用效应对承载力有利时,结构重要性系数γ 0 应取1.0。当预应力作用效应 对承载力不利时,结构重要性系数γ 0 在持久设计状况和短暂设计状况下,对安全等级为一级的结构构件不应小于1.1;对安全等级为二级的结构构件不应小于1.0;对安全等级为三级的结构构件不应小于0.9。对地震设计状况下应取1.0。 ( 自2022年4月1日起废止该条,点击查看:新规《混凝土结构通用规范》GB 55008-2021)
条文说明
4.1.6根据现行国家标准《工程结构可靠性设计统一标准》GB50153的有关规定,当进行预应力混凝土构件承载能力极限状态及正常使用极限状态的荷载组合时,应计算预应力作用效应并参与组合,对后张法预应力混凝土超静定结构,预应力效应包括预应力产生的次弯矩、次剪力和次轴力。在承载能力极限状态下,预应力作用分项系数γp应按预应力作用的有利或不利分别取1.0或1.2。当不利时,如后张法预应力混凝土构件锚头局压区的张拉控制力,预应力作用分项系数γp应取1.2。在正常使用极限状态下,预应力作用分项系数γp通常取1.0。当按承载能力极限状态计算时,预应力筋超出有效预应力值达到强度设计值之间的应力增量仍为结构抗力部分。
4.1.7 预应力混凝土结构设计应分别按荷载效应的标准组合与准永久组合并考虑长期作用影响的效应对正常使用极限状态的结构构件进行验算,控制应力、变形、裂缝等计算值不应超过相应的规定限值。荷载效应的标准组合与准永久组合应按现行国家标准《建筑结构荷载规范》GB 50009规定计算。
条文说明
4.1.7温度作用按可变作用考虑,其荷载分项系数可按现行国家标准《建筑结构荷载规范》GB50009-2012第9.1.3条取用。混凝土结构分析时,考虑温度作用的结构刚度折减以及混凝土材料的徐变和收缩作用等,可参考有关资料考虑,如现行行业标准《公路桥涵设计通用规范》JTGD60及《公路钢筋混凝土及预应力混凝土桥涵设计规范》JTGD62等。 施工阶段荷载组合的效应设计值应符合现行国家标准《混凝土结构工程施工规范》GB50666的有关规定。
4.1.8 预应力构件截面尺寸的确定,应考虑结构荷载,建筑净高,预应力束及锚具的布置及张拉施工操作距离等影响因素。
4.1.9 预应力筋的张拉控制应力σ con 应符合下列规定:

式中:f ptk ——预应力筋极限强度标准值(MPa);
f pyk ——预应力螺纹钢筋屈服强度标准值(MPa)。
当符合下列情况之一时,上述张拉控制应力限值可相应提高0.05f ptk 或0.05f pyk :
1)要求提高构件在施工阶段的抗裂性能而在使用阶段受压区内设置的预应力筋;
2)要求部分抵消由于应力松弛、摩擦、钢筋分批张拉以及预应力筋与张拉台座之间的温差等因素产生的预应力损失。
消除应力钢丝、钢绞线、中强度预应力钢丝的张拉控制应力值不应小于0.4f ptk ;预应力螺纹钢筋的张拉应力控制值不宜小于0.5f pyk 。
条文说明
4.1.9本条引用了现行国家标准《混凝土结构设计规范》GB50010的规定。
4.1.10 混凝土保护层厚度可按现行国家标准《混凝土结构设计规范》GB 50010确定。
4.2 结构内力分析
4.2 结构内力分析
4.2.1 预应力结构应按最不利作用的组合进行内力分析。作用的组合应考虑全部荷载作用工况,包括预加力作用、温度作用、收缩徐变作用、约束作用和地基不均匀沉陷作用以及由于荷载偏心所产生的扭转和横向均匀分布荷载等因素。复杂约束结构尚应考虑施工路径影响。
条文说明
4.2.1混凝土的收缩、徐变以及温度变化等间接作用在结构中产生的作用效应可能危及结构的安全或正常使用时,宜进行间接作用效应的分析,并应采取相应的构造措施和施工措施。当地基与结构的相互作用对结构的内力和变形有显著影响时,结构分析中宜考虑地基与结构相互作用的影响。对于复杂约束结构,需要考虑施工路径即施工过程的不同,对最终作用效应的影响,已有研究表明,由于施工路径的不同,预应力效应差别最大可达30%。
4.2.2 施工和正常使用极限状态的各种校核,应将预加力作为荷载计算其效应。
条文说明
4.2.2为确保预应力混凝土结构在施工阶段的安全,在施工阶段除应进行承载能力极限状态验算外,还要进行正常使用极限状态的各种验算。
4.2.3 正常使用极限状态内力分析应符合下列规定:
1 在确定内力与变形时应按弹性理论值分析。由预加力引起的内力和变形可采用约束次内力法计算,常用线型布筋形式下预应力混凝土框架的约束次内力应按附录A计算。当采用等效荷载法计算时,次剪力宜根据结构构件各截面次弯矩分布按结构力学方法计算。
2 构件截面或板单元宽度的几何特征可按毛截面(不计钢筋)计算。
条文说明
4.2.3预应力筋由于布置上的几何偏心引起的主弯矩Npepn以M1表示。由该弯矩对构件赘余支座引起的支座反力称为次反力,由次反力对构件引起的弯矩称为次弯矩M2。在预应力混凝土超静定构件中,由预加力对任一截面引起的综合弯矩Mr为主弯矩M1与次弯矩M2之和,即Mr=M1+M2。次剪力可根据结构构件各截面次弯矩分布按力学分析方法计算。
4.3 预应力损失值计算
4.3 预应力损失值计算
4.3.1 预应力筋中的预应力损失值可按表4.3.1的规定计算。
表4.3.1 预应力损失值(N/mm 2 )


4.3.2 当按本规范4.3.1条计算求得的预应力总损失值小于下列数值时,应按下列数值取用:
1 先张构件 100N/mm 2 ;
2 后张构件 80N/mm 2 。
4.3.3 预应力构件在各阶段的预应力损失值宜按表4.3.3的规定进行组合。
表4.3.3 各阶段预应力损失值的组合

注:先张构件由于钢筋应力松弛引起的损失值在第一批和第二批损失中所占的比例,可根据实际情况确定。
条文说明
4.3.1~4.3.3预应力损失计算在现行国家标准《混凝土结构设计规范》GB50010规定基础上增加了混凝土弹性压缩损失值计算。
4.3.4 预应力直线筋由于锚具变形和预应力筋内缩引起的预应力损失值σ l1 可按下式计算:

式中:a——张拉端锚具变形和预应力筋内缩值(mm),可按表4.3.4采用;
l——张拉端至锚固端之间的距离(mm)。
表4.3.4 锚具变形和预应力筋内缩值a(mm)

注:1 表中的锚具变形和预应力筋内缩值也可根据实测数据确定;
2 其他类型的锚具变形和预应力筋内缩值应根据实测数据确定。块体拼成的结构,其预应力损失尚应计块体间填缝的预压变形。当采用混凝土或砂浆为填缝材料时,每条填缝的预压变形值可取为1mm。
条文说明
4.3.4表中的锚具变形和预应力筋内缩值也可根据实测数据确定;其他类型的锚具变形和预应力筋内缩值应根据实测数据确定。 块体拼成的结构,其预应力损失尚应计及块体间填缝的预压变形。当采用混凝土或砂浆为填缝材料时,每条填缝的预压变形值可取为1mm。 不同品种的锚具和张拉机具的回缩值会有所不同,设计中应根据锚具的参数和张拉施工的条件按实际情况采用。
4.3.5 后张构件预应力曲线筋或折线筋由于锚具变形和预应力筋内缩引起的预应力损失值σ l1 ,应根据曲线预应力筋或折线预应力筋与孔道壁之间反向摩擦影响长度l f 范围内的预应力筋变形值等于锚具变形和预应力筋内缩值的条件确定,反向摩擦系数可按本规范表4.3.6-1中的数值采用。并应符合下列规定:
1 抛物线形预应力筋可按圆弧形曲线预应力筋考虑。当其对应的圆心角θ小于等于30°时(图4.3.5-1),预应力损失值σ l1 可按下列公式计算:


图4.3.5-1 圆弧形曲线预应力筋的预应力损失σ l1
式中:l f ——反向摩擦影响长度(m);
r c ——圆弧形曲线预应力筋的曲率半径(m);
x——张拉端至计算截面的距离(m);
a——张拉端锚具变形和钢筋内缩值(mm),按本规范表4.3.4采用;
k——考虑孔道每米长度局部偏差的摩擦系数(1/m),可按本规范表4.3.6-1采用;
μ——预应力筋与孔道壁之间的摩擦系数(1/rad),可按本规范表4.3.6-1采用。
E s ——预应力筋弹性模量(MPa)。
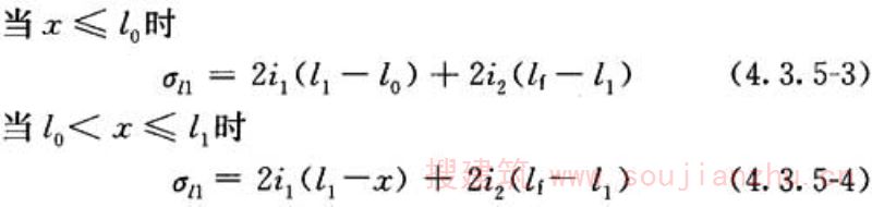
2 端部为直线,直线长度为l 0 ,而后由两条圆弧形曲线组成的预应力筋(图4.3.5-2),当圆弧对应的圆心角θ小于等于30°时,由于锚具变形和钢筋内缩,在反向摩擦影响长度l f 范围内的预应力损失值σ l1 可按下列公式计算:


图4.3.5-2 两条圆弧形曲线组成的预应力筋的预应力损失σ l1

式中:l 0 ——预应力筋端部直线段长度(m);
l 1 ——预应力筋张拉端起点至反弯点的水平投影长度(m);
i 1 、i 2 ——第一、二段圆弧形曲线预应力筋中应力近似直线变化的斜率;
r c1 、r c2 ——第一、二段圆弧形曲线预应力筋的曲率半径(m);
σ a 、σ b ——预应力筋在a、b点的应力(MPa)。
3 当折线形预应力筋的锚固损失消失于折点c之外时(图4.3.5-3),由于锚具变形和钢筋内缩,在反向摩擦影响长度l f 范围内的预应力损失值σ l1 可按下列公式计算:

图4.3.5-3 折线形预应力筋的预应力损失σ l1

式中:i 1 ——预应力筋在bc段中应力近似直线变化的斜率;
i 2 ——预应力筋在折点c以外应力近似直线变化的斜率;
l 1 ——张拉端起点至预应力筋折点c的水平投影长度(m)。
条文说明
4.3.5当工程中现场实测的预应力筋摩擦损失系数与本条文给出的摩擦损失系数差异较大时,应分析具体情况并综合确定该参数。
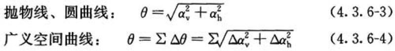
4.3.6 预应力筋与孔道壁之间的摩擦引起的预应力损失值σ l2 (图4.3.6),宜按下列公式计算:

式中:θ——张拉端至计算截面曲线孔道部分切线的夹角(rad);
k——考虑孔道每米长度局部偏差的摩擦系数(1/m),可按表4.3.6-1采用;
μ——预应力筋与孔道壁之间的摩擦系数(1/rad),可按表4.3.6-1采用。

图4.3.6 预应力摩擦损失计算
1-张拉端;2-计算截面
表4.3.6-1 预应力筋与孔道壁的摩擦系数

注:表中系数宜根据实测数据确定。
1 公式(4.3.6-1)和(4.3.6-2)中,对按抛物线、圆曲线变化的空间曲线及可采用分段后叠加的广义空间曲线,夹角之和θ可按下列近似公式计算:

式中:a v 、a h ——按抛物线、圆曲线变化的预应力空间曲线钢筋在竖直向、水平向投影所形成抛物线、圆曲线的弯转角(rad);
△α v 、△α h ——预应力广义空间曲线钢筋在竖直向、水平向投影所形成分段曲线的弯转角增量(rad)。
2 体外预应力结构中当体外预应力筋与转向块鞍座处接触长度可忽略时,体外预应力筋转向装置处的摩擦损失值σ l2 可按下式计算:

式中:θ——体外束在转向块处的弯折转角(rad);
μ——体外束在转向块处的摩擦系数(1/rad),可按表4.3.6-2采用。
表4.3.6-2 转向块处的摩擦系数

注:表中系数也可根据实测数据确定;当孔道采用不同材料时,应分别考虑,分段计算。
条文说明
4.3.6预应力筋与孔道壁之间的摩擦引起的预应力损失,包括沿孔道长度上局部位置偏移和曲线弯道摩擦影响两部分。在计算公式中,x值为从张拉端至计算截面的孔道长度,但在实际工程中,构件的高度和长度相比常很小,为简化计算,可近似取该段孔道在纵轴上的投影长度代替孔道长度;θ值应取从张拉端至计算截面的长度上预应力筋弯起角(以弧度计)之和。 研究表明,孔道局部偏差的摩擦系数k值与下列因素有关:预应力筋的表面形状;孔道成型的质量状况;预应力筋接头的外形;预应力筋与孔壁的接触程度(孔道的尺寸,预应力钢筋与孔壁之间的间隙数值和预应力钢筋在孔道中的偏心距数值情况)等。在曲线预应力筋摩擦损失中,预应力筋与曲线弯道之间摩擦引起的损失是控制因素。 根据现行国家标准《混凝土结构设计规范》GB50010的规定,给出了摩擦影响系数。当有可靠的试验数据时,系数值可根据实测数据确定。 由于体外预应力筋仅在与转向块与锚固处与混凝土构件相连系,因此刮碰作用影响一般可以忽略不计,仅考虑力筋与转向块间的摩擦作用。参考《建筑工程预应力施工规程》CECS180的规定,给出了摩擦系数。
4.3.7 预应力筋的应力松弛引起的预应力损失σ l4 宜按下列公式计算:
1 消除应力钢丝、钢绞线
普通松弛:

条文说明
4.3.7预应力混凝土用钢丝、钢绞线的应力松弛试验表明,应力松弛损失值与钢丝的初始应力值和极限强度有关。式(4.3.7-1)~式(4.3.7-3)是按现行国家标准《预应力混凝土用钢丝》GB/T5223和《预应力混凝土用钢绞线》GB/T5224中规定的数值综合成统一的公式,以便于应用。当σcon/fptk≤0.5时,实际的松弛损失值已很小,为简化计算取松弛损失值为零。
4.3.8 由于混凝土收缩和徐变引起的预应力筋应力损失值σ l5 ,可按下列公式计算:
1 对一般结构构件


式中:σ pc 、σ′ pc ——受拉区、受压区预应力筋合力点处的混凝土法向压应力(MPa);
f′ cu ——施加预应力时的混凝土立方体抗压强度(MPa);
ρ、ρ′——受拉区、受压区预应力筋和普通钢筋的配筋率,对于对称配置预应力筋和普通钢筋的构件,配筋率ρ、ρ′应按钢筋总截面面积的一半计算。
受拉区、受压区预应力筋合力点处的混凝土法向压应力σ pc 、σ′ pc 按本规范第5.1.10条计算时,预应力损失值仅考虑混凝土预压前(前一批)的损失,普通钢筋中的应力σ l5 、σ′ l5 值应取为零;σ pc 、σ′ pc 值不得大于0.5f′ cu ;当σ′ pc 为拉应力时,公式(4.3.8-2)、(4.3.8-6)中的σ′ pc 应取为零。计算混凝土法向应力σ pc 、σ′ pc 时,可根据构件制作情况考虑自重的影响。
当结构处于年平均相对湿度低于40%的环境下,σ l5 及σ′ l5 值应增加30%。
2 对重要的结构构件,当考虑与时间相关的混凝土收缩、徐变及钢筋应力松弛预应力损失值时,可按现行国家标准《混凝土结构设计规范》GB 50010进行计算。
3 当采用泵送混凝土时,宜根据实际情况考虑混凝土收缩、徐变引起预应力损失值的增大。
条文说明
4.3.8国内对混凝土收缩、徐变的试验研究表明,应考虑预应力筋和普通钢筋配筋率对σl5值的影响,其影响可通过构件的总配筋率ρ(ρ=ρp+ρs)反映。公式分别给出先张法和后张法两类构件受拉区及受压区预应力筋处的混凝土收缩和徐变引起的预应力损失。
4.3.9 混凝土弹性压缩引起的预应力损失σ l7 宜按下列方法确定:


式中:m——预应力筋张拉的总批数;
n p ——预应力筋弹性模量与混凝土弹性模量之比E p /E c ;
σ c ——在代表截面的全部预应力筋形心处混凝土的预压应力,预应力筋的预拉应力按控制应力扣除相应的预应力损失后算得(MPa);
N p ——后张法构件的预加力(N);
A n ——净截面面积,即扣除孔道、凹槽等削弱部分以外的混凝土全部截面面积及纵向普通钢筋截面面积换算成混凝土的截面面积之和;对由不同混凝土强度等级组成的截面,应根据混凝土弹性模量比值换算成同一混凝土强度等级的截面面积(mm 2 );
I n ——净截面惯性矩(mm 4 );
e p ——预应力筋截面形心至换算截面形心的距离(mm)。
4.4 施工阶段验算
4.4 施工阶段验算
4.4.1 预应力混凝土结构构件,应对其张拉、运输及安装等施工阶段进行承载力极限状态和正常使用极限状态验算。
条文说明
4.4.1为确保预应力混凝土结构构件在张拉、运输及安装阶段的安全,应对其施工阶段进行验算。
4.4.2 对于后张预应力构件,施工阶段应进行局部承压验算、预应力束弯折处曲率半径验算及防崩裂验算。混凝土强度应按张拉时的实际强度确定。
条文说明
4.4.2施工阶段由于混凝土强度未达到设计值,且由于外部环境、材料等因素也会对构件混凝土强度有一定的影响,所以为防止预应力构件端部及预拉区的裂缝,混凝土强度按张拉时的实际强度参照现行国家标准《混凝土结构设计规范》GB50010要求,进行局部承压验算、预应力束弯折处曲率半径验算及防崩裂验算。
4.4.3 进行构件施工阶段的验算时,应考虑构件自重、施工荷载和施工路径对预加力的影响等。预制构件的吊装验算,应将构件自重乘以动力系数,动力系数可取1.5,但可根据构件吊装的受力情况作适当增减。
条文说明
4.4.3在施工阶段计算中应当尽可能全面地考虑到各种荷载。预应力构件吊装验算时,构件自重应乘以动力系数。预应力常常是在不同龄期加上的,则应计算不同的有效预应力值。当施工过程发生体系转换时,应考虑体系转换对内力的影响。预加力宜考虑施工路径的影响。
4.4.4 对荷载分批施加的预应力混凝土构件,应根据不同的张拉工况分别进行施工验算。
条文说明
4.4.4对荷载分批施加的预应力混凝土转换梁等构件,宜根据荷载的施加程度分批张拉预应力筋,使施工过程中转换梁的变形和应力控制在合理范围内。
4.4.5 施工阶段计入构件自重后的应力限值应按表4.4.5采用。
表4.4.5 施工阶段的应力限值

条文说明
4.4.5在施工阶段预应力张拉时,混凝土强度可能未达到设计值,且在施加预应力时,长期损失还未产生,而结构的使用荷载一般都没有完全加上,有可能使预压区出现过大的压应力或预拉区出现过大的拉应力,应对施工阶段的应力加以限制。表4.4.5是综合国内有关规范得到的。
4.4.6 施工阶段预拉区不允许出现裂缝的构件,预拉区纵向配筋率(A′ s +A′ p )/A不应小于0.20%,对后张法构件不应计入A′ p 。其中,A为梁毛截面面积;A′ s 为受压区纵向普通钢筋的截面面积;A′ p 为受压区预应力筋的截面面积。
施工阶段允许出现裂缝的构件,当名义拉应力σ ct 等于2.0f tk 时,纵向非预应力筋的配筋率不应小于0.4%。当σ ct 大于1.0f tk 但小于2.0f tk 时,在0.20%与0.40%间按直线内插。
4.4.7 缓粘结预应力混凝土构件施工阶段的验算应按无粘结预应力混凝土构件计算。
条文说明
4.4.7缓粘结预应力混凝土构件作为一种特殊施工方式构件,尚应符合有关专门规定。
4.5 抗震设计
4.5 抗震设计
4.5.1 预应力混凝土结构构件的抗震设计应按国家现行标准《建筑抗震设计规范》GB 50011及《预应力混凝土结构抗震设计规程》JGJ 140执行。
条文说明
4.5.1我国现行规范中已有明确条文规定的,本规范原则上不再重复。因此,在设计与施工中除符合本规范的要求外,还应满足我国现行强制性规范和规程的有关规定。无粘结预应力混凝土结构的抗震设计,应按国家现行标准《建筑抗震设计规范》GB50011及《预应力混凝土结构抗震设计规程》JGJ140执行。
4.5.2 预应力混凝土结构自身的阻尼比可采用0.03,并可按钢筋混凝土结构部分和预应力混凝土结构部分在整个结构总变形能所占的比例折算为等效阻尼比。
条文说明
4.5.2本款引自现行国家标准《建筑抗震设计规范》GB50011-2010第C.0.6条。
4.5.3 考虑地震作用组合的预应力混凝土框架节点核芯区抗震受剪承载力,应按国家现行标准《建筑抗震设计规范》GB 50011及《预应力混凝土结构抗震设计规程》JGJ 140有关条款计算;预应力混凝土框架梁、柱的斜截面抗震受剪承载力计算应符合现行国家标准《混凝土结构设计规范》GB 50010有关条款的规定。
条文说明
4.5.3预应力混凝土框架节点核心区抗震受剪承载力,按《混凝土结构设计规范》GB50010-2010第11章有关条款进行计算时,其未计及预应力对提高构件受剪承载力的有利作用,是偏于安全的。
4.5.4 在预应力混凝土框架梁中,应采用预应力筋和普通钢筋混合配筋的方式,梁端截面配筋宜符合下式规定:

式中:f py ——预应力筋的抗拉强度设计值(MPa);对无粘结预应力混凝土结构,预应力筋的应力设计值应取σ pu 。
对二、三级抗震等级的框架-剪力墙、框架-核心筒结构中的后张有粘结预应力混凝土框架,式(4.5.4)右端系数1/3可改为1/4。
4.6 耐久性规定
4.6 耐久性规定
4.6.1 预应力混凝土结构的耐久性设计应包括下列内容:
1 确定结构所处的环境类别;
2 提出对混凝土材料的耐久性基本要求;
3 确定构件中钢筋的混凝土保护层厚度;
4 不同环境条件下的耐久性技术措施;
5 提出结构使用阶段的维护与检测要求。
注:对临时性的预应力混凝土结构,可不考虑混凝土的耐久性要求。
4.6.2 混凝土结构暴露的环境类别应按现行国家标准《混凝土结构设计规范》GB 50010的要求划分。
4.6.3 设计使用年限为50年的预应力混凝土结构,其混凝土材料应符合表4.6.3的规定。
表4.6.3 结构混凝土材料的耐久性基本要求


注:1 有可靠工程经验时,二类环境中的最低混凝土强度等级可降低一个等级;
2 处于严寒和寒冷地区二b、三a类环境中混凝土应使用引气剂,可采用括号中的有关参数;
3 当使用非碱活性骨料时,对混凝土中的碱含量可不作限制。
4.6.4 设计使用年限为100年的预应力混凝土结构,应按相应环境及用途将环境等级提高一级进行设计。
设计使用年限为25年的预应力混凝土结构,可按相应环境及用途将环境等级降低一级进行设计,但混凝土强度不应低于C30。
4.6.5 预应力筋可根据工程的具体情况采取表面防护、管道灌浆、加大混凝土保护层厚度等措施;预应力筋外露锚固端应采取封锚和混凝土表面处理等有效措施;需要更换预应力筋的可采用可更换的预应力体系。
4.6.6 后张预应力混凝土外露金属锚具,应采取防腐及防火措施,并应符合下列规定:
1 无粘结预应力筋外露锚具应采用注有防腐油脂的塑料帽封闭锚具端头,并应采用无收缩砂浆或细石混凝土封闭;
2 对处于二b、三a、三b类环境条件下的无粘结预应力锚固系统,应采用全封闭的防腐蚀体系,其封锚端及各连接部位应能承受10kPa的静水压力而不得透水;
3 采用混凝土封闭时,其强度等级宜与构件混凝土强度等级一致,且不应低于C30。封锚混凝土与构件混凝土应可靠粘结,锚具在封闭前应将周围混凝土界面凿毛并冲洗干净,且宜配置(1~2)片钢筋网,钢筋网应与构件混凝土拉结;
4 采用无收缩砂浆或混凝土封闭保护时,其锚具及预应力筋端部的保护层厚度不应小于表4.6.6的规定:
表4.6.6 锚具及预应力筋端部的最小保护层厚度

条文说明
4.6.1~4.6.6预应力混凝土结构的耐久性按正常使用极限状态控制,特点是随时间发展因材料劣化而引起性能衰减。耐久性极限状态表现为:预应力筋开始锈蚀;结构表面混凝土出现可见的耐久性损伤(酥裂、粉化等)。材料劣化进一步发展还可能引起构件承载力问题,甚至发生破坏。 由于影响混凝土结构材料性能劣化的因素比较复杂,其规律不确定性很大,一般建筑结构的耐久性设计只能采用经验性的定性方法解决。参考现行国家标准《混凝土结构耐久性设计规范》GB/T50476和《混凝土结构设计规范》GB50010的规定,根据调查研究及我国国情,并考虑房屋建筑混凝土结构的特点加以简化和调整,本规范规定了预应力混凝土结构耐久性定性设计的基本内容。 在氯化物等严重环境作用下,封锚混凝土中宜外加阻锈剂或采用水泥基聚合物混凝土,并外覆塑料密封罩。对于桥梁等室外预应力构件,应采取构造措施,防止雨水或渗漏水直接作用或流过锚固封堵端的外表面。
4.6.7 后张预应力混凝土结构除应满足钢筋混凝土结构的耐久性要求外,尚应根据结构所处环境类别和作用等级对预应力体系采取相应的多重防护措施。
条文说明
4.6.7预应力混凝土结构由混凝土和预应力体系两部分组成。预应力混凝土结构中的预应力施加方式有先张法和后张法两类。后张法还分为有粘结预应力体系、无粘结预应力体系、体外预应力体系等。先张预应力筋的张拉和混凝土的浇筑、养护以及放张多在预制工厂条件下完成。相对来说,质量较易保证。后张法预应力构件的制作则多在施工现场完成,涉及的工序多而复杂,质量控制的难度大。工程实践表明,后张预应力体系的耐久性往往成为工程中最为薄弱的环节,并对结构安全构成严重威胁。所以需要专门针对后张法预应力体系的钢筋与锚固端提出防护措施与工艺、构造要求。
4.6.8 预应力钢绞线、钢丝的耐久性能可通过材料表面处理、预应力套管、预应力套管填充、混凝土保护层和结构构造措施等环节提供保证。预应力筋的耐久性防护和多重防护措施应按现行国家标准《混凝土结构耐久性设计规范》GB/T 50476规定选用。
条文说明
4.6.8现行国家标准《混凝土结构耐久性设计规范》GB/T50476中规定的预应力筋防护措施,适用于体内和体外后张预应力体系。预应力筋主要指对锈蚀敏感的钢绞线和钢丝,不包括热轧高强粗钢筋。《混凝土结构耐久性设计规范》GB/T50476给出预应力筋在不同环境作用等级条件下耐久性综合防护的最低要求,设计人员可以根据具体的结构环境、结构重要性和设计使用年限适当提高防护要求。
4.6.9 预应力锚固端的耐久性应通过锚头组件材料、锚头封罩、封罩填充、锚固区封填和混凝土表面处理等环节提供保证。锚固端的防护工艺和多重防护措施应按现行国家标准《混凝土结构耐久性设计规范》GB/T 50476规定选用。
条文说明
4.6.9现行国家标准《混凝土结构耐久性设计规范》GB/T50476中规定的预应力锚固端防护措施,包括了埋入式锚头和暴露式锚头,是预应力锚头在不同环境作用等级条件下耐久性综合防护的最低要求,设计人员可以根据具体的结构环境、结构重要性和设计使用年限适当提高防护要求。
4.6.10 当环境类别为三a、三b时,后张预应力体系中的管道应采用高密度聚乙烯套管或聚丙烯塑料套管。
4.6.11 高密度聚乙烯和聚丙烯预应力套管应能承受不小于1N/mm 2 的内压力。采用体内预应力体系时,套管的厚度不应小于2mm。采用体外预应力体系时,套管的厚度不应小于4mm。
条文说明
4.6.11本条规定的套管应能承受的工作内压,参照了欧盟技术核准协会(EOTA)对后张法预应力体系组件的要求。对高密度聚乙烯和聚丙烯套管的其他技术要求可参见现行行业标准《预应力混凝土桥梁用塑料波纹管》JT/T529的有关规定。
4.6.12 用水泥基浆体填充后张预应力管道时,浆体的流动度、泌水率、体积稳定性和强度等指标应符合现行国家标准《水泥基灌浆材料应用技术规范》GB/T 50448的规定。在冰冻环境中灌浆,灌入的浆料必须在10℃~15℃环境温度中至少保存24h。
条文说明
4.6.12水泥基浆体的压浆工艺对管道内预应力筋的耐久性有重要影响,具体压浆工艺和性能要求可参见现行国家标准《水泥基灌浆材料应用技术规范》GB/T50448的相关条文。
5 承载能力极限状态计算
5.1 一般规定
5 承载能力极限状态计算
5.1 一般规定
5.1.1 超静定结构中,预应力混凝土构件承载能力极限状态计算应考虑次内力作用的影响。
条文说明
5.1.1实际应用的后张超静定预应力混凝土结构中,除连续梁等结构形式外,绝大部分结构为有侧向约束的预应力混凝土结构。对于约束较小的结构,约束对有效预压力的影响而引起的误差可以忽略;而对约束较大的结构,其影响不可忽略。因此,在本设计规范中规定考虑约束影响的设计方法。
5.1.2 正截面承载力应按下列基本假定进行计算:
1 截面应变保持平面;
2 不考虑混凝土的抗拉强度;
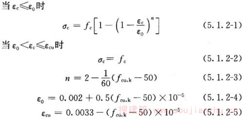
3 混凝土受压的应力与应变关系应按下列规定取用:

式中:σ c ——混凝土压应变为ε c 时的混凝土压应力(MPa);
ε 0 ——混凝土压应力刚达到f c 时的混凝土压应变,当计算的ε 0 值小于0.002时,取为0.002;
ε cu ——正截面的混凝土极限压应变,当处于非均匀受压时,按公式(5.1.2-5)计算,如计算值大于0.0033,取为0.0033;当处于轴心受压时取为ε 0 ;
n——系数,当计算的n值大于2.0时,取为2.0。
4 纵向钢筋的应力应取等于钢筋应变与其弹性模量的乘积,但其绝对值不应大于其相应的强度设计值。
5 纵向受拉钢筋的极限拉应变取为0.01。
5.1.3 在确定中和轴位置时,对双向受弯构件,其内、外弯矩作用平面应相互重合;对双向偏心受力构件,其轴向力作用点、混凝土和受压钢筋的合力点以及受拉钢筋、预应力筋的合力点应在同一条直线上。当不符合上述条件时,尚应考虑扭转的影响。
5.1.4 弯矩作用平面内截面对称的偏心受压构件,当同一主轴方向的杆端弯矩比M 1 /M 2 不大于0.9且设计轴压比不大于0.9时,当构件的长细比满足(5.1.4)式要求,可不考虑该方向构件自身挠曲产生的附加弯矩影响;否则应根据本规范第5.1.5条的规定,按截面的两个主轴方向分别考虑构件自身挠曲产生的附加弯矩影响。

式中:M 1 ,M 2 ——分别为已经考虑侧移影响的偏心受压构件两端截面弹性分析确定的,对同一主轴的组合弯矩设计值(kN·m),绝对值较大端为M 2 ,绝对值较小端为M 1 ;当构件单向弯曲时M 1 /M 2 取正值,否则取负值;
l c ——构件的计算长度(mm),可取偏心受压构件相应主轴方向两支撑点之间的距离;
i——偏心方向的截面回转半径(mm)。
5.1.5 除排架结构柱外,其他偏心受压构件考虑轴向压力在挠曲杆件中产生的二阶效应后控制截面的弯矩设计值,应按下列公式计算:


式中:C m ——构件端截面偏心距调节系数,当小于0.7时取0.7;
η ns ——弯矩增大系数;
N——与弯矩设计值M 2 相应的轴向压力设计值(N);
e a ——附加偏心距(mm),按本规范5.1.6条确定;
ξ c ——截面曲率修正系数,当计算值大于1.0时取1.0;
h——截面高度(mm);对于环形截面,取外直径;对于圆形截面,取直径;
h 0 ——截面有效高度(mm);
A——构件截面面积(mm 2 )。
5.1.6 偏心受压构件的正截面承载力计算时,应计入轴向压力在偏心方向存在的附加偏心距e a ,其值应取20mm和偏心方向截面最大尺寸的1/30两者中的较大值。
5.1.7 受弯构件、偏心受力构件正截面受压区混凝土的应力图形可简化为等效的矩形应力图,并应符合下列规定:
1 矩形应力图的受压区高度x可取等于按截面应变保持平面的假定所确定的中和轴高度乘以系数β 1 。当混凝土强度等级不超过C50时,β 1 取为0.8,当混凝土强度等级为C80时,β 1 取为0.74,其间按线性内插法确定。
2 矩形应力图的应力值取为混凝土轴心抗压强度设计值f c 乘以系数α 1 。当混凝土强度等级不超过C50时,α 1 取为1.0,当混凝土强度等级为C80时,α 1 取为0.94,其间按线性内插法确定。
5.1.8 纵向受拉钢筋屈服与受压区混凝土破坏同时发生时的相对界限受压区高度ξ b 应按下式计算:

式中:ξ b ——相对界限受压区高度:ξ b =x b /h 0 ;
x b ——界限受压区高度(mm);
h 0 ——截面有效高度(mm),指纵向受拉钢筋合力点至截面受压边缘的距离;
f py ——预应力筋抗拉强度设计值(MPa),对于无粘结和体外预应力混凝土,预应力筋的应力设计值应取σ pu ;
E s ——钢筋弹性模量(MPa),按本规范表3.1.5采用;
σ p0 ——受拉区纵向预应力筋合力点处混凝土法向应力等于零时的预应力筋应力(MPa),按本规范公式(5.1.10-3)或公式(5.1.10-6)计算;
ε cu ——非均匀受压时的混凝土极限压应变,按本规范公式(5.1.2-5)计算;
β 1 ——系数,按本规范第5.1.7条的规定计算。
条文说明
5.1.8当截面受拉区内配置有不同种类或不同预应力值的钢筋时,受弯构件的相对界限受压区高度应分别计算,并取其较小值。
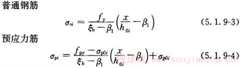
5.1.9 纵向钢筋应力宜按下列规定确定:
1 纵向钢筋应力宜按下列公式计算:

2 纵向钢筋应力也可按下列近似公式计算:

3 按公式(5.1.9-1)至公式(5.1.9-4)计算的纵向钢筋应力应符合下列公式要求:

式中:h 0i ——第i层纵向钢筋截面重心至截面受压边缘的距离(mm);
x——等效矩形应力图形的混凝土受压区高度(mm);
σ si 、σ pi ——第i层纵向普通钢筋、预应力筋的应力(MPa),正值代表拉应力,负值代表压应力;
f′ y 、f′ py ——纵向普通钢筋、预应力筋的抗压强度设计值(MPa);
σ p0i ——第i层纵向预应力筋截面重心处混凝土法向应力等于零时的预应力筋应力(MPa)。
条文说明
5.1.9当计算的σsi为拉应力且其值大于fy时,取σsi=fy;当σsi为压应力且其绝对值大于f′y时,取σsi=f′y;当计算的σpi为拉应力且其值大于fpy时,取σpi=fpy;当σpi为压应力且其绝对值大于(σp0i—f′py)的绝对值时,取σpi=σp0i—f′py。
5.1.10 由预加力产生的混凝土法向应力及相应阶段预应力筋的应力,可分别按下列公式计算:
1 先张法构件

2 后张法构件

式中:A n ——净截面面积(mm 2 ),即扣除孔道、凹槽等削弱部分以外的混凝土全部截面面积及纵向非预应力筋截面面积换算成混凝土的截面面积之和;对由不同混凝土强度等级组成的截面,应根据混凝土弹性模量比值换算成同一混凝土强度等级的截面面积;
A 0 ——换算截面面积(mm 2 ):包括净截面面积以及全部纵向预应力筋截面面积换算成混凝土的截面面积;
I 0 、I n ——换算截面惯性矩、净截面惯性矩(mm 4 );
e p0 、e pn ——换算截面重心、净截面重心至预应力筋及非预应力筋合力点的距离(mm),按本规范第5.1.11条的规定计算;
y 0 、y n ——换算截面重心、净截面重心至所计算纤维处的距离(mm);
σ l ——相应阶段的预应力损失值(MPa),按本规范第4.3.1条至4.3.9条的规定计算;
α E ——钢筋弹性模量与混凝土弹性模量的比值;
N p0 、N p ——先张法构件、后张法构件的预应力筋及非预应力筋的合力(N),按本规范第5.1.11条计算;
σ p2 ——由预应力次内力引起的混凝土截面法向应力(MPa)。
条文说明
5.1.10式(5.1.10-1)、式(5.1.10-4)中,右边第二项与第一项的应力方向相同时取加号,相反时取减号;式(5.1.10-2)、式(5.1.10-6)适用于σpc为压应力的情况,当σpc为拉应力时,应以负值代入。
5.1.11 预加力及其作用点的偏心距(图5.1.11)宜按下列公式计算:

图5.1.11 预加力作用点位置
1-换算截面重心轴;2-净截面重心轴
1 先张法构件

2 后张法构件

式中:σ p0 、σ′ p0 ——受拉区、受压区预应力筋合力点处混凝土法向应力等于零时的预应力筋应力(MPa);
σ pe 、σ′ pe ——受拉区、受压区预应力筋的有效预应力(MPa);
A p 、A′ p ——受拉区、受压区纵向预应力筋的截面面积(mm 2 );
A s 、A′ s ——受拉区、受压区纵向普通钢筋的截面面积(mm 2 );
y p 、y′ p ——受拉区、受压区预应力合力点至换算截面重心的距离(mm);
y s 、y′ s ——受拉区、受压区普通钢筋重心至换算截面重心的距离(mm);
σ l5 、σ′ l5 ——受拉区、受压区预应力筋在各自合力点处混凝土收缩和徐变引起的预应力损失值(MPa),按本规范第4.3.8条的规定计算;
y pn 、y′ pn ——受拉区、受压区预应力合力点至净截面重心的距离(mm);
y sn 、y′ sn ——受拉区、受压区非预应力筋重心至净截面重心的距离(mm)。
条文说明
5.1.11当式(5.1.11-1)~式(5.1.11-4)中的A′p=0时,可取式中σ′l5=0;当计算次内力时,式(5.1.11-3)、式(5.1.11-4)中的σl5和σ′l5可近似取零。
5.1.12 先张法和后张法预应力混凝土结构构件,在承载力和裂缝宽度计算中,所用的混凝土法向预应力等于零时的预应力筋及钢筋合力N p0 及相应的合力点的偏心距e p0 ,均应按本规范公式(5.1.11-1)及(5.1.11-2)计算,此时,先张法和后张法构件预应力筋的应力σ p0 、σ′ p0 均应按本规范第5.1.10条的规定计算。
5.2 正截面受弯承载力计算
5.2 正截面受弯承载力计算
5.2.1 矩形截面或翼缘位于受拉边的倒T形截面受弯构件,其正截面受弯承载力(图5.2.1)应符合下列公式规定:

2 对强约束的后张法预应力混凝土超静定结构,应计及预应力次内力对混凝土受压区高度的影响。
3 混凝土受压区高度尚应符合下列条件:

图5.2.1 矩形截面受弯构件正截面受弯承载力计算
式中:M——弯矩设计值(N·mm);
α 1 ——系数,按本规范第5.1.7条的规定计算;
A s 、A′ s ——受拉区、受压区纵向普通钢筋的截面面积(mm 2 );
A p 、A′ p ——受拉区、受压区纵向预应力筋的截面面积(mm 2 );
σ′ p0 ——受压区纵向预应力筋合力点处混凝土法向应力等于零时的预应力筋应力(MPa);
b——矩形截面的宽度或倒T形截面的腹板宽度(mm);
h 0 ——截面有效高度(mm);
a′ s 、a′ p ——受压区纵向普通钢筋合力点、预应力筋合力点至截面受压边缘的距离(mm);
a′——受压区全部纵向钢筋合力点至截面受压边缘的距离(mm),当受压区未配置纵向预应力筋或受压区纵向预应力筋应力(σ′ p0 —f′ py )为拉应力时,公式(5.2.1-4)中的a′用a′ s 代替。
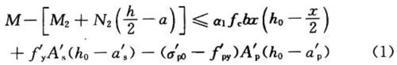
对预应力混凝土静定结构,M为荷载基本组合值;对一般的后张法预应力混凝土超静定结构,次弯矩M 2 应参与弯矩设计值的组合计算;对强约束的后张法预应力混凝土超静定结构,次弯矩M 2 、次轴力N 2 均应参与弯矩设计值的组合计算,(5.2.1-1)式左端应取M—[M 2 +N 2 (y 2 —a)],(5.2.1-2)式左端应取α 1 f c bx—N 2 ;计算N 2 时,压力为正值,拉力为负值。
5.2.2 翼缘位于受压区的T形、I形截面受弯构件(图5.2.2),其正截面受弯承载力应分别符合下列规定:


式中:h′ f ——T形、I形截面受压区翼缘高度(mm);
b′ f ——T形、I形截面受压区的翼缘计算宽度(mm),按本规范第5.2.3条的规定确定。

图5.2.2 T形、I形截面受弯构件受压区高度位置
按公式(5.2.2-1~5.2.2-3)计算T形、I形截面受弯构件时,混凝土受压区高度仍应符合本规范公式(5.2.1-3)和公式(5.2.1-4)的要求。
条文说明
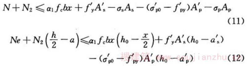
5.2.1、5.2.2竖向构件有抗侧刚度,当水平构件在预压力作用下发生轴向变形时,竖向构件约束水平构件发生轴向变形,从而在水平构件中产生次轴力。因此约束影响实质就是超静定预应力混凝土结构包含由约束引起的次轴力,次轴力减小了预应力作用的效应。 次轴力并不等于预应力损失。次轴力是由于约束产生的,作用在截面的重心位置,而预加力作用在预应力筋的位置,两者的位置不同。将次轴力当作预应力损失,在考虑轴向作用时不会有影响,但是考虑抗弯时,无论是有粘结或是无粘结预应力结构均不能合理计算,将次轴力认为预应力损失就会低估梁的极限承载力,结构设计偏不安全。 本规范中规定,次轴力是多余约束在后张超静定预应力结构构件上产生的轴向力,设计计算时直接用N2进行计算。对一般的后张法预应力混凝土超静定结构,次轴力N2对其影响小,可仅考虑次弯矩M2参与弯矩设计值的组合计算。对强约束的后张法预应力混凝土超静定结构,次弯矩M2、次轴力N2均应参与弯矩设计值的组合计算,此时截面计算如图3所示。 
图3矩形截面受弯构件正截面受弯承载力计算 对强约束的后张法预应力混凝土超静定结构,正截面受弯承载力计算公式为: 
计及预应力次轴力的混凝土受压区高度可按下式确定: 
5.2.3 T形、I形及倒L形截面受弯构件位于受压区的翼缘计算宽度b′ f 可按表5.2.3所列情况中的最小值取用。
表5.2.3 T形、I形及倒L形截面受弯构件翼缘计算宽度b′ f

注:1 表中b为腹板宽度;
2 肋形梁在梁跨内设有间距小于纵肋间距的横肋时,可不考虑表中情况3的规定;
3 独立梁受压区的翼缘板在荷载作用下经验算沿纵肋方向可能产生裂缝时,其计算宽度应取腹板宽度b。
5.2.4 受弯构件正截面受弯承载力的计算,应符合本规范公式(5.2.1-3)的要求。当由构造要求或按正常使用极限状态验算要求配置的纵向受拉钢筋截面面积大于受弯承载力要求的配筋面积时,按本规范公式(5.2.1-2)或公式(5.2.2-3)计算的混凝土受压区高度x,可仅计入受弯承载力条件所需的纵向受拉钢筋截面面积。
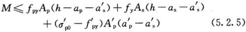
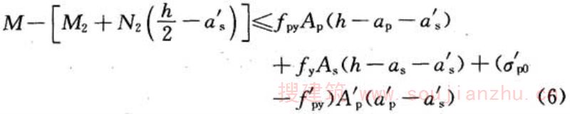
5.2.5 当计算中计入纵向普通受压钢筋时,应满足本规范公式(5.2.1-4)的条件;当不满足此条件时,正截面受弯承载力应符合下列规定:

式中:M——弯矩设计值(N·mm);
a s 、a p ——受拉区纵向普通钢筋、预应力筋至受拉边缘的距离(mm)。
对预应力混凝土静定结构,M为荷载基本组合值;对一般的后张法预应力混凝土超静定结构,次弯矩M 2 应参与弯矩设计值的组合计算;对强约束的后张法预应力混凝土超静定结构,次弯矩M 2 、次轴力N 2 均应参与弯矩设计值的组合计算,本规范公式(5.2.5)左端应取 
。
条文说明
5.2.5强约束的后张法预应力混凝土超静定结构,当计算中计入纵向普通受压钢筋时不满足公式(5.2.1-4)的条件,正截面受弯承载力计算公式应为: 
5.2.6 无粘结预应力筋的应力设计值σ pu 宜按下列公式计算:

式中:σ pe ——扣除全部预应力损失后,无粘结预应力筋中的有效预应力(MPa);
△σ p ——无粘结预应力筋中的应力增量(MPa),对于跨数不小于3跨的连续梁、连续单向板及连续双向板,△σ p 取值不应小于50N/mm 2 ;
ξ p ——综合配筋指标,不宜大于0.4;
l 0 ——受弯构件计算跨度(mm);
h——受弯构件截面高度(mm);
h p ——无粘结预应力筋合力点至截面受压边缘的距离(mm);
l 1 ——联系无粘结预应力筋两个锚固端间的总长度(mm);
l 2 ——与l 1 相关的由活荷载最不利布置图确定的荷载跨长度之和(mm)。
对翼缘位于受压区的T形、I形截面受弯构件,当受压区高度大于翼缘高度时,综合配筋指标ξ p 可按下式计算:

式中:h′ f ——T形、I形截面受压区的翼缘高度(mm);
b′ f ——T形、I形截面受压区的翼缘计算宽度(mm)。
5.3 正截面受拉承载力计算
5.3 正截面受拉承载力计算
5.3.1 轴心受拉构件的正截面受拉承载力应符合下式规定:

式中:N——轴向拉力设计值(N);
A s 、A p ——纵向普通钢筋、预应力筋的全部截面面积(mm 2 )。
对预应力混凝土静定结构和一般的后张法预应力混凝土超静定结构,N为荷载基本组合值;对强约束的后张法预应力混凝土超静定结构,次轴力设计值N 2 均应参与轴力设计值的组合计算,本规范公式(5.3.1-1)左端应取N—N 2 ,计算N 2 时,压力取正值,拉力取负值。
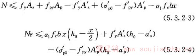
5.3.2 矩形截面偏心受拉构件的正截面受拉承载力应符合下列规定:
1 小偏心受拉构件
当轴向拉力作用在钢筋A s 与A p 的合力点和A′ s 与A′ p 的合力点之间时(图5.3.2a):

图5.3.2 矩形截面偏心受拉构件正截面受拉承载力计算

式中:e,e′——轴向拉力作用点至纵向受拉或受压钢筋合力点的距离。对强约束的后张法预应力混凝土超静定结构,尚应计及预应力次轴力对e、e′的影响(mm)。
2 大偏心受拉构件
当轴向拉力不作用在钢筋A s 与A p 的合力点和A′ s 与A′ p 的合力点之间时(图5.3.2b):

对强约束的后张法预应力混凝土超静定结构,尚应计入预应力次轴力对e的影响。
混凝土受压区的高度应满足本规范公式(5.2.1-3)的要求。当计算中计入纵向普通受压钢筋时,尚应满足本规范公式(5.2.1-4)的条件;当不满足时,可按本规范公式(5.3.2-2)计算。
3 对称配筋的矩形截面偏心受拉构件,不论大、小偏心受拉情况,均可按本规范公式(5.3.2-2)计算。
条文说明
5.3.1、5.3.2本规范中给出了考虑次轴力影响的预应力正截面受拉构件承载力计算方法。对强约束的后张法预应力混凝土超静定结构,矩形截面偏心受拉构件设计时尚应计及预应力次轴力N2对轴向拉力作用点偏心距的影响。此时截面计算如图4所示。 相应的小偏心受拉构件计算公式为: 

图4矩形截面偏心受拉构件正截面受拉承载力计算 
5.4 正截面受压承载力计算
5.4 正截面受压承载力计算
5.4.1 轴心受压构件正截面受压承载力应符合下式规定:

式中:N——轴向压力设计值(N);
φ——钢筋混凝土构件的稳定系数,按表5.4.1采用;
f c ——混凝土轴心抗压强度设计值(MPa);
A——构件截面面积(mm 2 );
A′ s ——全部纵向钢筋的截面面积(mm 2 )。
当纵向钢筋配筋率大于3%时,公式(5.4.1)中的A应改用(A-A′ s )代替。
对预应力混凝土静定结构和一般的后张法预应力混凝土超静定结构,N为荷载基本组合值;对强约束的后张法预应力混凝土超静定结构,次轴力设计值N 2 均应参与轴力设计值的组合计算,本规范公式(5.4.1)左端应取N+N 2 ,计算N 2 时,压力取正值,拉力取负值。
表5.4.1 钢筋混凝土轴心受压构件的稳定系数

注:表中l 0 为构件的计算长度;b为矩形截面的短边尺寸;d为圆形截面的直径;i为截面的最小回转半径。
5.4.2 矩形截面偏心受压构件正截面受压承载力应符合下列公式规定(图5.4.2):

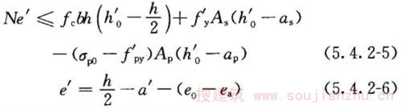
图5.4.2 矩形截面偏心受压构件正截面受压承载力计算


式中:e——轴向压力作用点至纵向普通受拉钢筋和预应力受拉钢筋的合力点的距离(mm)。对强约束的后张法预应力混凝土超静定结构,应计及预应力次轴力N 2 对e的影响。
σ s 、σ p ——受拉边或受压较小边的纵向普通钢筋、预应力筋的应力(MPa)。
e i ——初始偏心距(mm)。
a——纵向普通受拉钢筋和预应力受拉钢筋的合力点至截面近边缘的距离(mm)。
e 0 ——轴向压力对截面重心的偏心距(mm):e 0 =M/N;当需要考虑二阶效应时,M为本规范5.1.4条确定的弯矩设计值。
e a ——附加偏心距,按本规范第5.1.6条确定(mm)。
在按上述规定计算时,尚应符合下列要求:
1 钢筋的应力σ s 、σ p 可按下列情况计算:
(1)当ξ不大于ξ b 时为大偏心受压构件,取σ s 等于f y 、σ p 等于f py 。此处,ξ为相对受压区高度,取为x/h 0 ;
(2)当ξ大于ξ b 时为小偏心受压构件,σ s 、σ p 按本规范第5.1.9条的规定进行计算。
2 当计算中计入纵向普通受压钢筋时,受压区高度应满足本规范公式(5.2.1-4)的条件;当不满足此条件时,其正截面受压承载力可按本规范第5.2.5条的规定进行计算,此时,应将公式(5.2.5)中的M以Ne′ s 代替,此处,e′ s 为轴向压力作用点至受压区纵向普通钢筋合力点的距离;在计算中应计入偏心距增大系数,初始偏心距应按公式(5.4.2-4)确定。
3 矩形截面非对称配筋的小偏心受压构件,当N>f c bh时,尚应按下列公式进行验算:

式中:e′——轴向压力作用点至受压区纵向普通钢筋和预应力筋的合力距离(mm);
h′ 0 ——纵向受压钢筋合力点至截面远边的距离(mm)。
条文说明
5.4.1、5.4.2本规范中给出了考虑次轴力影响的预应力正截面受压构件承载力计算方法。对强约束的后张法预应力混凝土超静定结构,矩形截面偏心受压构件设计时尚应计及预应力次轴力N2对轴向压力作用点偏心距的影响。此时截面计算如图5所示。 
图5矩形截面偏心受压构件正截面受压承载力计算 相应的偏心受压构件计算公式为: 
5.4.3 对截面具有两个互相垂直的对称轴的钢筋混凝土双向偏心受压构件,其正截面受压承载力可采用下式进行计算:

N u0 ——构件的截面轴心受压承载力设计值(N),可按本规范公式(5.4.1)计算,但应取等号,将N以N u0 代替,且不考虑稳定系数φ及系数0.9;
N ux ——轴向压力作用于x轴并考虑相应的计算偏心距e tx 后,按全部纵向普通钢筋计算的构件偏心受压承载力设计值(N),可按本规范第5.4.2条的规定进行计算,但应取等号,将N以N ux 代替;
N uy ——轴向压力作用于y轴并考虑相应的计算偏心距e ty 后,按全部纵向普通钢筋计算的构件偏心受压承载力设计值(N),可按本规范第5.4.2条的规定进行计算,但应取等号,将N以N uy 代替。
5.5 斜截面承载力计算
5.5 斜截面承载力计算
5.5.1 矩形、T形和I形截面的预应力混凝土受弯构件,应符合下列规定:
1 其受剪截面应符合下列条件:


当4<h w /b<6时,按线性内插法确定。
式中:V——构件斜截面上的最大剪力设计值(N),包括预应力次剪力设计值V 2 ,其中当参与组合的次剪力对结构不利时,预应力分项系数应取1.2,有利时应取1.0;
β c ——混凝土强度影响系数:当混凝土强度等级不超过C50时,取β c =1.0;当混凝土强度等级为C80时,取β c =0.8;其间按线性内插法确定;
f c ——混凝土轴心抗压强度设计值(MPa);
b——矩形截面的宽度,T形截面或I形截面的腹板宽度(mm);
h 0 ——截面的有效高度(mm);
h w ——截面的腹板高度(mm):对矩形截面,取有效高度;对T形截面,取有效高度减去翼缘高度;对I形截面,取腹板净高。
2 对T形或I形截面的简支受弯构件,当有实践经验时,公式(5.5.1-1)中的系数可改用0.3。
3 对受拉边倾斜的构件,当有实践经验时,其受剪截面的控制条件可适当放宽。
条文说明
5.5.1考虑高强混凝土的特点,引入随混凝土强度提高对受剪截面限制值降低的折减系数βc。 规定受弯构件的截面限制条件,其目的首先是防止发生斜压破坏(或腹板压坏),其次是限制在使用阶段的斜裂缝宽度,同时也是斜截面受剪破坏的最大配箍率条件。 本规范给出了划分普通构件与薄腹构件截面限制条件的界限,以及两个截面限制条件的过渡办法。
5.5.2 在计算斜截面的受剪承载力时,其剪力设计值的计算截面应选取下列截面计算:
1 支座边缘处的截面(图5.5.2a、b截面1-1);
2 受拉区弯起钢筋弯起点处的截面(图5.5.2a截面2-2、3-3);
3 箍筋截面面积或间距改变处的截面(图5.5.2b截面4-4);
4 腹板宽度改变处的截面;
5 对受拉边倾斜的受弯构件,尚应包括梁的高度开始变化处、集中荷载作用处和其他不利的截面。

图5.5.2 斜截面受剪承载力剪力设计值的计算截面
1-1 支座边缘处的斜截面;2-2、3-3 受拉区弯起钢筋弯起点的斜截面;4-4 箍筋截面面积或间距改变处的斜截面
条文说明
5.5.2本条所指的剪力设计值的计算截面,在一般情况下是较易发生斜截面破坏的位置,它与箍筋和弯起钢筋的布置有关。
5.5.3 当仅配置箍筋时,矩形、T形和I形截面的预应力受弯构件,斜截面的受剪承载力应符合下列公式规定:

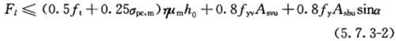
式中:V cs ——构件斜截面上混凝土和箍筋的受剪承载力设计值(N);
V p ——由预加力所提高的构件受剪承载力设计值(N);
α cv ——斜截面混凝土受剪承载力系数,对于一般受弯构件取0.7;对集中荷载作用下,包括作用有多种荷载,其中集中荷载对支座截面或节点边缘所产生的剪力值占总剪力值的75%以上情况的独立梁,取α cv 为 
,λ为计算截面的剪跨比,可取λ等于a/h 0 ,当λ小于1.5时,取1.5,当λ大于3时,取3,a取集中荷载作用点至支座截面或节点边缘的距离;
A sv ——配置在同一截面内箍筋各肢的全部截面面积(mm 2 ):A sv =nA sv1 ,此处,n为在同一截面内箍筋的肢数,A sv1 为单肢箍筋的截面面积;
s——沿构件长度方向的箍筋间距(mm);
f yv ——箍筋抗拉强度设计值(MPa);
N p0 ——计算截面上混凝土法向预应力等于零时的预加力(N);当N p0 大于0.3f c A 0 时,取0.3f c A 0 ,此处,A 0 为构件的换算截面面积。
对合力N p0 引起的截面弯矩与外弯矩方向相同的情况,以及预应力混凝土连续梁和允许出现裂缝的预应力混凝土简支梁,均应取V p 为0;对先张法预应力混凝土构件,在计算合力N p0 时,应考虑预应力筋传递长度的影响。
条文说明
5.5.3预应力对构件的受剪承载力起有利作用,这主要是预压应力能阻滞斜裂缝的出现和开展、增加了混凝土剪压区高度,从而提高了混凝土剪压区所承担的剪力。预应力混凝土梁受剪承载力的提高主要与预加力的大小及其作用点的位置有关。预加力对梁受剪承载力的提高作用应给予限制。 预应力混凝土梁受剪承载力的计算,可在非预应力梁计算公式的基础上,加上一项施加预应力所提高的受剪承载力设计值Vp=0.05Np0,且当Np0大于0.3fcA0时只取0.3fcA0,以达到限制的目的。同时,它仅适用于预应力混凝土简支梁,且只有当Np0对梁产生的弯矩与外弯矩相反时才能予以考虑。对于预应力混凝土连续梁,尚未作深入研究;此外,对允许出现裂缝的预应力混凝土简支梁,考虑到构件达到承载力时,预应力可能消失,在未有充分试验依据之前,暂不考虑预应力的有利作用。 公式(5.5.3-2)适用的独立梁为不与楼板整体浇筑的梁。应当指出,当框架结构承受水平荷载(如风荷载)时,由其产生的框架独立梁剪力值也归属于集中荷载作用产生的剪力值。
5.5.4 矩形、T形和I形截面的预应力受弯构件,当配置箍筋和弯起钢筋时,其斜截面的受剪承载力应符合下式的规定:

式中:V——配置弯起钢筋处的剪力设计值(N),按本规范第5.5.5条的规定取用;
V p ——由预加力所提高的构件的受剪承载力设计值(N),按本规范公式(5.5.3-3)计算,但计算合力N p0 时不考虑预应力弯起钢筋的作用;
A sb 、A pb ——同一弯起平面内的非预应力弯起钢筋、预应力弯起钢筋的截面面积(mm 2 );
α s 、α p ——斜截面上非预应力弯起钢筋、预应力弯起钢筋的切线与构件纵向轴线的夹角(°)。
5.5.5 计算弯起钢筋时,其剪力设计值宜符合下列规定(图5.5.2a):
1 计算支座的第一排弯起钢筋时,取支座边缘处的剪力值;
2 计算以后的每一排弯起钢筋时,取支座前一排弯起钢筋弯起点处的剪力值。
条文说明
5.5.4、5.5.5除垂直于构件轴线的箍筋外,弯起钢筋也可以作为构件的抗剪钢筋。公式(5.5.4)给出了箍筋和弯起钢筋并用时,斜截面受剪承载力的计算公式。考虑到弯起钢筋与斜截面相交位置的不定性,其应力可能达不到屈服强度,在公式(5.5.4)中引入了弯起钢筋应力不均匀系数0.8。
5.5.6 矩形、T形和I形截面的预应力受弯构件,当符合下式的规定时,可不进行斜截面的受剪承载力计算,而仅需按构造要求配置箍筋。

条文说明
5.5.6试验表明,箍筋能抑制斜裂缝的发展,在不配置箍筋的梁中,斜裂缝突然形成可能导致脆性的斜拉破坏。因此,本规范规定当剪力设计值小于无腹筋梁的受剪承载力时,要求配置最小用量的箍筋;这些箍筋还能提高构件抵抗超载和承受由于变形所引起应力的能力。
5.5.7 受拉边倾斜的矩形、T形和I形截面的预应力受弯构件,其斜截面受剪承载力应符合下列公式规定(图5.5.7):

图5.5.7 受拉边倾斜的受弯构件斜截面受剪承载力计算
式中:V——构件斜截面上的最大剪力设计值(N);
M——构件斜截面受压区末端的弯矩设计值(N·mm);
V cs ——构件斜截面上预应力混凝土和箍筋的受剪承载力设计值(N),按本规范公式(5.5.3-2)或公式(5.5.3-4)计算,其中,h 0 取斜截面受拉区始端的垂直截面有效高度;
V sp ——构件截面上受拉边倾斜的纵向非预应力和预应力受拉钢筋合力的设计值在垂直方向的投影(N);
z sv ——同一截面内箍筋的合力至斜截面受压区合力点的距离(mm);
z sb ——同一弯起平面内的弯起钢筋的合力至斜截面受压区合力点的距离(mm);
z——斜截面受拉区始端处纵向受拉钢筋合力的水平分力至斜截面受压区合力点的距离(mm),可近似取z=0.9h 0 ;
β——斜截面受拉区始端处倾斜的纵向受拉钢筋的倾角(°);
c——斜截面的水平投影长度(mm),可近似取c=h 0 。
条文说明
5.5.7在梁截面高度开始变化处,斜截面的受剪承载力应按等截面高度梁和变截面高度梁的有关公式分别计算,并应按其中不利者配置箍筋和弯起钢筋。 受拉边倾斜的受弯构件,其受剪破坏的形态与等高度的受弯构件相似;但在受剪破坏时,其倾斜受拉钢筋的应力可能发挥得比较高,它在受剪承载力值中占有相当的比例。根据试验结果的分析,提出了公式(5.5.7-2),并与等高度的受弯构件受剪承载力公式相匹配,给出了公式(5.5.7-1)。
5.5.8 受弯构件斜截面的受弯承载力应符合下列规定(图5.5.8):

图5.5.8 受弯构件斜截面受弯承载力计算

式中:V——斜截面受压区末端的剪力设计值(N);
z——纵向非预应力和预应力受拉钢筋的合力至受压区合力点的距离(mm),可近似取z=0.9h 0 ;
z sb 、z pb ——同一弯起平面内的非预应力弯起钢筋、预应力弯起钢筋的合力至斜截面受压区合力点的距离(mm);
z sv ——同一斜截面上箍筋的合力至斜截面受压区合力点的距离(mm)。
在计算先张法预应力混凝土构件端部锚固区的斜截面受弯承载力时,公式中的f py 应按下列规定确定:锚固区内的纵向预应力筋抗拉强度设计值在锚固起点外应取为零,在锚固终点处应取为f py ,在两点之间可按线性内插法确定。
条文说明
5.5.8受弯构件斜截面的受弯承载力计算是在受拉区纵向受力钢筋达到屈服强度的前提下给出的,此时,在公式(5.5.8-1)中所需的斜截面水平投影长度c,可由公式(5.5.8-2)确定。 当遵守规范相关构造规定时,即可满足第5.5.8条的计算要求,因此可不进行斜截面受弯承载力计算。
5.6 扭曲截面承载力计算
5.6 扭曲截面承载力计算
5.6.1 在弯矩、剪力和扭矩共同作用下的构件,当符合下列公式规定时,可不进行构件受剪扭承载力计算,但应按构造要求配置纵向钢筋和箍筋。

式中:N p0 ——计算截面上混凝土法向预应力等于零时的预加力(N),应按本规范公式(5.1.11-1)及(5.1.11-2)计算,当N p0 大于0.3f c A 0 时,取0.3f c A 0 ,此处A 0 为构件的换算截面面积;
T——扭矩设计值(N·mm);
b——矩形截面的宽度(mm),T形或I形截面取腹板宽度,箱形截面取两侧壁总厚度2t w ;
W t ——受扭构件的截面受扭塑性抵抗矩(mm 3 ),与普通混凝土结构构件相同,矩形截面按式(5.6.1-2)计算。
条文说明
5.6.1混凝土扭曲截面承载力计算的截面限制条件是以hw/b不大于6的试验为依据的。当构件的内力满足本条公式的规定时,混凝土构件的剪扭承载力一般足以保证,但为了防止脆性破坏,仍需按构造要求配置纵向钢筋和箍筋。
5.6.2 矩形截面纯扭构件的受扭承载力应符合下列公式规定:

式中:A stl ——受扭计算中取对称布置的全部纵向普通钢筋截面面积(mm 2 );
A st1 ——受扭计算中沿截面周边配置的箍筋单肢截面面积(mm 2 );
f yv ——受扭箍筋的抗拉强度设计值(MPa);
A cor ——截面核心部分的面积(mm 2 ),取为b cor h cor ,此处,b cor ,h cor 分别为箍筋内表面范围内截面核心部分的短边、长边尺寸;
u cor ——截面核心部分的周长(mm),取2(b cor +h cor );
ζ——受扭的纵向普通钢筋与箍筋的配筋强度比值,当计算的ζ值不小于1.7时,取1.7。
当计算的ζ值小于1.7或当偏心距e p0 不应大于h/6,不应考虑预加力影响项,而应按钢筋混凝土纯扭构件计算。
条文说明
5.6.2公式(5.6.2-1)是根据试验统计分析后取用试验数据的偏低值给出的。经过对高强混凝土纯扭构件的试验验证,该公式仍然适用。 试验表明,当ζ值在0.5~2.0范围内,钢筋混凝土受扭构件破坏时,其纵筋和箍筋基本能达到屈服强度。为稳妥起见,取限制条件为0.6≤ζ≤1.7。当ζ>1.7时取1.7。当ζ接近1.2时为钢筋达到屈服的最佳值。因截面内力平衡的需要,对不对称配置纵向钢筋截面面积的情况,在计算中只取对称布置的纵向钢筋截面面积。 预应力混凝土纯扭构件的试验研究表明,预应力可提高构件受扭承载力的前提是纵向钢筋不能屈服,当预加力产生的混凝土法向压应力不超过规定的限值时,纯扭构件受扭承载力可提高
。考虑到实际上应力分布不均匀性等不利影响,在条文中该提高值取为
,且仅限于偏心距ep0≤h/6且ζ不小于1.7的情况;在计算ζ时,不考虑预应力筋的作用。 试验研究还表明,对预应力的有利作用应有所限制:当Np0大于0.3fcA0时,取0.3fcA0。
5.6.3 在剪力和扭矩共同作用下的矩形截面剪扭构件,其受剪扭承载力应符合下列规定:
1 一般剪扭构件
1)受剪承载力

式中:A sv ——受剪承载力所需的箍筋截面面积(mm 2 );
β t ——一般剪扭构件混凝土受扭承载力降低系数:当β t 小于0.5时,取0.5;当β t 大于1.0时,取1.0。

式中:λ——计算截面的剪跨比;可取λ等于a/h 0 ;当λ小于1.5时,取1.5,当λ大于3时,取3,a取集中荷载作用点至支座截面或节点边缘的距离;
β t ——集中荷载作用下剪扭构件混凝土受扭承载力降低系数:当β t 小于0.5时,取0.5;当β t 大于1.0时,取1.0。
2)受扭承载力仍应按公式(5.6.3-3)计算,但式中的β t 应按(5.6.3-5)计算。
条文说明
5.6.3本条公式是以有腹筋构件的剪扭承载力为四分之一圆的相关曲线作为校正线,采用混凝土部分相关、钢筋部分不相关的原则获得的近似拟合公式。此时,可找到剪扭构件混凝土受扭承载力降低系数βt,其值略大于无腹筋构件的试验结果,但采用此βt值后与有腹筋构件的四分之一圆相关曲线较为接近。 经分析表明,在计算预应力混凝土构件的βt时,可近似取与非预应力构件相同的计算公式,而不考虑预应力合力Np0的影响。
5.7 受冲切承载力计算
5.7 受冲切承载力计算
5.7.1 在局部荷载或集中反力作用下不配置箍筋或弯起钢筋的板,其受冲切承载力应符合下列规定(图5.7.1):


图5.7.1 板受冲切承载力计算
1-冲切破坏锥体的斜截面;2-计算截面;3-计算截面周长;4-冲切锥体的底面线
式中:F l ——局部荷载设计值或集中反力设计值(N);对板柱结构的节点,取柱所承受的轴向压力设计值的层间差值减去冲切破坏锥体范围内板所承受的荷载设计值;当有不平衡弯矩时,应按本规范第5.7.4条的规定确定;
β h ——截面高度影响系数:当h≤800mm时,取β h =1.0;当h≥2000mm时,取β h =0.9,其间按线性内插法取用;
f t ——混凝土轴心抗拉强度设计值(MPa);
σ pc,m ——计算截面周长上两个方向混凝土有效预压应力按长度的加权平均值(MPa),其值宜控制在1.0MPa~3.5MPa;
u m ——计算截面的周长(mm):距离局部荷载或集中反力作用面积周边h 0 /2处板垂直截面的最不利周长;
h 0 ——截面有效高度(mm),取两个配筋方向的截面有效高度的平均值;
η 1 ——局部荷载或集中反力作用面积形状的影响系数;
η 2 ——计算截面周长与板截面有效高度之比的影响系数;
β s ——局部荷载或集中反力作用面积为矩形时的长边与短边尺寸的比值,β s 不宜大于4;当β s <2时,取β s =2;当面积为圆形时,取β s =2;
α s ——板柱结构中柱类型的影响系数:对中柱,取α s =40;对边柱,取α s =30;对角柱,取α s =20。
条文说明
5.7.1本条具体规定的考虑因素如下: 1截面高度的尺寸效应。截面高度的增大对受冲切承载力起削弱作用,为此,在公式(5.7.1-1)中引入了截面尺寸效应系数βh,以考虑这种不利影响。 2预应力对受冲切承载力的影响。试验研究表明,双向预应力对板柱节点的冲切承载力起有利作用,主要是由于预应力的存在阻滞了斜裂缝的出现和开展,增加了混凝土剪压区的高度。公式(5.7.1-1)主要是参考我国的科研成果及美国ACI318规范,将板中两个方向按长度加权平均有效预压应力的有利作用增大为0.25σpc,m,但仍偏安全地未计及在板柱节点处预应力竖向分量的有利作用。 对单向预应力板,由于缺少试验数据,暂不考虑预应力的有利作用。 3参考美国ACI318等有关规范的规定,给出了两个调整系数η1、η2的计算式(5.7.1-2)、式(5.7.1-3)。对矩形形状的加载面积边长之比作了限制,因为边长之比大于2后,剪力主要集中于角隅,将不能形成严格意义上的冲切极限状态的破坏,使受冲切承载力达不到预期的效果,为此,引入了调整系数η1,且基于稳妥的考虑,对加载面积边长之比作了不宜大于4的限制;此外,当临界截面相对周长um/h0过大时,同样会引起受冲切承载力的降低。有必要指出,公式(5.7.1-2)是在美国ACI规范的取值基础上略作调整后给出的。公式(5.7.1-1)的系数η只能取η1、η2中的较小值,以确保安全。 本条中所指的临界截面是为了简明表述而设定的截面,它是冲切最不利的破坏锥体底面线与顶面线之间的平均周长um处板的垂直截面。板的垂直截面,对等厚板为垂直于板中心平面的截面,对变高度板为垂直于板受拉面的截面。 对非矩形截面柱(异形截面柱)的临界截面周长,选取周长um的形状要呈凸形折线,其折角不能大于180°,由此可得到最小的周长,此时在局部周长区段离柱边的距离允许大于h0/2。
5.7.2 当板开有孔洞且孔洞至局部荷载或集中反力作用面积边缘的距离不大于6h 0 时,受冲切承载力计算中取用的计算截面周长u m ,应扣除局部荷载或集中反力作用面积中心至开孔外边画出两条切线之间所包含的长度(图5.7.2),当l 1 大于l 2 时,孔洞边长l 2 应用 
代替。

图5.7.2 邻近孔洞时的计算截面周长
1-局部荷载或集中力作用面;2-计算截面周长;3-孔洞;4-应扣除的长度
条文说明
5.7.2为满足设备或管道布置要求,有时要在柱边附近板上开孔。板中开孔会减小冲切的最不利周长,从而降低板的受冲切承载力。在参考了国外规范的基础上给出了本条的规定。
5.7.3 在局部荷载或集中反力作用下,当受冲切承载力不满足本规范第5.7.1条的要求且板厚受到限制时,可配置箍筋或弯起钢筋。受冲切截面及受冲切承载力应符合下列规定:


式中:A svu ——与呈45°冲切破坏锥体斜截面相交的全部箍筋截面面积(mm 2 );
A sbu ——与呈45°冲切破坏锥体斜截面相交的全部弯起钢筋截面面积(mm 2 );
α——弯起钢筋与板底面的夹角(°)。
条文说明
5.7.3当混凝土板的厚度不足以保证受冲切承载力时,可配置抗冲切钢筋。设计可同时配置箍筋和弯起钢筋,也可分别配置箍筋或弯起钢筋作为抗冲切钢筋。试验表明,配有冲切钢筋的钢筋混凝土板,其破坏形态和受力特性与有腹筋梁相类似,当抗冲切钢筋的数量达到一定程度时,板的受冲切承载力几乎不再增加。为了使抗冲切箍筋或弯起钢筋能够充分发挥作用,本条规定了板的受冲切截面限制条件,即公式(5.7.3-1),实际上是对抗冲切箍筋或弯起钢筋数量的限制,以避免其不能充分发挥作用和使用阶段在局部荷载附近的斜裂缝过大。本规范参考现行国家标准《混凝土结构设计规范》GB50010规定,将系数取值放宽至1.2。 钢筋混凝土板配置抗冲切钢筋后,在混凝土与抗冲切钢筋共同作用下,混凝土项的抗冲切承载力V′c与无抗冲切钢筋板的承载力Vc的关系,各国规范取法并不一致,如我国现行国家标准《混凝土结构设计规范》GB50010、美国及加拿大规范取V′c=0.5Vc,CEB-FIPMC90规范及欧洲规范EN1992-2取V′c=0.75Vc,英国规范BS8110及俄罗斯规范取V′c=Vc。我国的试验及理论分析表明,在混凝土与抗冲切钢筋共同作用下,现行国家标准《混凝土结构设计规范》GB50010取混凝土所能提供的承载力是无抗冲切钢筋板承载力的50%,取值偏低。根据国内外的试验研究,并考虑混凝土开裂后骨料咬合、配筋剪切摩擦有利作用等,在抗冲切钢筋配置区,本次修订将混凝土所能承担的承载力V′c适当提高,取无抗冲切钢筋板承载力Vc的约70%。与试验结果比较,本条给出的受冲切承载力计算公式是偏于安全的。 本条提及的其他形式的抗冲切钢筋,包括但不限于工字钢、槽钢、抗剪栓钉、扁钢U形箍等。
5.7.4 板柱结构在竖向荷载、水平荷载作用下,当考虑板柱节点计算截面上的剪应力传递不平衡弯矩、并按本规范第5.7.1条或第5.7.3条进行受冲切承载力计算时,其集中反力设计值F l 应以等效集中反力设计值F l,eq 代替,F l,eq 可按现行国家标准《混凝土结构设计规范》GB 50010的规定计算。
条文说明
5.7.4对板柱节点存在不平衡弯矩时的受冲切承载力计算,由于板柱节点传递不平衡弯矩时,其受力特性及破坏形态更为复杂。为安全起见,对板柱节点存在不平衡弯矩时的受冲切承载力计算,借鉴了美国ACI318规范和我国的《无粘结预应力混凝土结构技术规程》JGJ92-93的有关规定,在本条中提出了原则规定。
5.8 局部受压承载力计算及锚固区设计
5.8 局部受压承载力计算及锚固区设计
5.8.1 对后张预应力混凝土构件的端部锚固区,应按下列规定配置间接钢筋:
1 在预应力筋锚具及张拉设备支承处,应设置预埋承压钢垫板,承压钢垫板应满足混凝土局部承压面积的要求,垫板厚度可取14mm~30mm,刚性扩散角应取45°;钢板后面应按本规范规定进行混凝土局部受压承载力计算并配置间接钢筋,其体积配筋率不应小于0.5%,局部受压区间接钢筋的计算,可按本规范第5.8.2条~第5.8.4条进行。
2 在局部受压间接钢筋配置区以外,在构件端部长度l不小于3e、但不大于1.2h,高度为2e的附加配筋区范围内,应均匀配置附加箍筋、钢筋网片或螺旋筋,配筋面积应符合下式规定:

式中:P——作用在构件端部截面重心线上部或下部预应力筋的合力设计值(N);
l 1 、l b ——分别为沿构件高度方向A 1 、A b 的边长或直径(mm),A 1 、A b 按本规范第5.8.2条确定;
f yv ——附加抗劈裂钢筋的抗拉强度设计值(MPa);
e——截面重心线上部或下部预应力筋的合力点至邻近边缘的距离(mm);
h——构件端部截面高度(mm)。
3 当构件端部预应力筋需集中布置在截面下部或集中布置在上部和下部时,应在构件端部0.2h范围内设置附加竖向防端面裂缝构造钢筋,其截面面积应符合下列公式规定:

式中:T s ——锚固端端面拉力(N);
e——截面重心线上部或下部预应力筋的合力点至截面近边缘的距离(mm);
h——构件端部截面高度(mm)。
1)当e>0.2h时,可根据实际情况配置构造钢筋。竖向防端面裂缝构造钢筋宜靠近端面配置,可采用焊接钢筋网、封闭式箍筋及其他形式,且宜采用带肋钢筋。
2)当端部界面上部和下部均有预应力筋时,附加竖向钢筋的总截面面积应按上部和下部的预应力合力分别计算的较大值采用。
3)在构件端面横向也应按本规范公式(5.8.1-2)计算抗端面裂缝钢筋,并与上述竖向钢筋形成网片筋配置。
4 当采用铸造锚垫板时,应根据产品的技术参数要求选用配套的锚垫板和螺旋筋,并确定锚垫板间距、到构件边缘距离、局压加强钢筋及张拉时混凝土强度,局部受压区的设计应符合现行行业标准《预应力筋用锚具、夹具和连接器应用技术规程》JGJ 85的规定。
5 在配筋稠密的梁柱节点处,当该节点原配筋能起到钢筋网片或螺旋箍筋的等效作用时,则可少配或不配钢筋网片或螺旋筋,有利于该节点处混凝土浇捣密实。
6 当构件在端部有局部凹进时,应增设折线构造钢筋(图5.8.1)或其他有效的构造钢筋。

图5.8.1 端部凹进处构造配筋
1-折线构造钢筋;2-竖向构造钢筋
局部受压承载力计算时,局部压力设计值对有粘结预应力混凝土构件取1.2倍张拉控制力,对无粘结预应力混凝土取1.2倍张拉控制力和(f ptk A p )中的较大值。
条文说明
5.8.1本条引自现行国家标准《混凝土结构设计规范》GB50010,对配置间接钢筋的混凝土结构构件局部受压区截面尺寸规定了限制条件: 后张预应力混凝土构件端部锚固区和构件端面在预应力筋张拉后常出现两类裂缝:其一是局部承压区承压垫板后面的纵向劈裂裂缝;其二是当预应力束在构件端部偏心布置,且偏心距较大时,在构件端面附近会产生较高的沿竖向的拉应力,故产生位于截面高度中部的纵向水平端面裂缝。为确保安全可靠地将张拉力通过锚具和垫板传递给混凝土构件,并控制这些裂缝的发生和开展,在试验研究的基础上,在条文中作出了加强配筋的具体规定。为防止第一类劈裂裂缝,规范给出了配置附加钢筋的位置和配筋面积计算公式;为防止第二类端面裂缝,要求合理布置预应力筋,尽量使锚具能沿构件端部均匀布置,以减少横向拉力。当难于做到均匀布置时,为防止端面出现宽度过大的裂缝,根据理论分析和试验结果,本条提出了限制这类裂缝的竖向附加钢筋截面面积的计算公式以及相应的构造措施,并允许采用强度较高的热轧带肋钢筋。 对局部承压加强钢筋,提出当垫板采用普通钢板开穿筋孔的制作方式时,可按《混凝土结构设计规范》GB50010-2010第6.6节的规定执行,采用有关局部受压承载力计算公式确定应配置的间接钢筋;而当采用整体铸造的带有二次翼缘的垫板时,本规范局部受压公式不再适用,需通过专门的试验确认其传力性能,所以应选用经按有关规范标准验证的产品,并配置规定的加强钢筋,同时满足锚具布置对间距和边距要求。所述要求可按现行行业标准《预应力筋用锚具、夹具和连接器应用技术规程》JGJ85的有关规定执行。 以上规定主要是针对后张法预制构件及现浇结构中的悬臂梁等构件的端部锚固区及梁中间开槽锚固的情况提出的。 为保证端面有局部凹进的后张预应力混凝土构件端部锚固区的强度和裂缝控制性能,根据试验和工程经验,规定了增设折线构造钢筋的防裂措施。
5.8.2 配置间接钢筋的混凝土结构构件,其局部受压区的截面尺寸应符合下列公式规定:

式中:F l ——局部受压面上作用的局部荷载或局部压力设计值(N);
f c ——混凝土轴心抗压强度设计值(MPa);
β c ——混凝土强度影响系数,按本规范第5.5.1条的规定取用;
β l ——混凝土局部受压时的强度提高系数;
A l ——混凝土局部受压面积(mm 2 );
A 1n ——混凝土局部受压净面积(mm 2 );对后张法构件,应在混凝土局部受压面积中扣除孔道、凹槽部分的面积;
A b ——局部受压的计算底面积(mm 2 ),按本规范第5.8.3条确定。
后张法预应力混凝土构件的张拉阶段验算中,局部压力设计值F l 应取1.2倍张拉控制力,混凝土轴心抗压强度设计值f c 应根据相应阶段的混凝土立方体抗压强度f′ cu 值以线性内插法确定;正常使用阶段验算中,F l 应取预应力筋的抗拉强度标准值f ptk 进行计算,f ptk 按本规范表3.1.5的规定取用。
5.8.3 局部受压的计算面积A b ,可由局部受压面积与计算底面积按同心、对称的原则确定;常用情况,可按图5.8.3取用。

图5.8.3 局部受压的计算底面积
条文说明
5.8.3计算底面积Ab的取值采用了“同心、对称”的原则。要求计算底面积Ab与局压面积A1具有相同的重心位置,并呈对称;沿A1各边向外扩大的有效距离不超过受压短边尺寸b(对圆形承压板,可沿周边扩大一倍d),此法便于记忆。 对各类型垫板的局压试件的试验表明,试验值与计算值符合较好,且偏于安全。试验还表明,当构件处于边角局压时,β1值在1.0上下波动且离散性较大,考虑使用简便、形式统一和保证安全(温度、混凝土的收缩、水平力对边角局压承载力的影响较大),取边角局压时的β1=1.0是适当的。
5.8.4 当配置方格网式或螺旋式间接钢筋且其核心面积A cor 不小于A l 时(图5.8.4),局部受压承载力应符合下列公式规定:

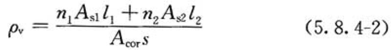
1 当为方格网式配筋时(图5.8.4a),其体积配筋率ρ v 应按下式计算:

此时,钢筋网两个方向上单位长度内钢筋截面面积的比值不宜大于1.5。
2 当为螺旋式配筋时(图5.8.4b),其体积配筋率ρ v 应按下式计算:


图5.8.4 局部受压区的间接钢筋
式中:β cor ——配置间接钢筋的局部受压承载力提高系数,仍按本规范公式(5.8.2-2)计算,但A b 以A cor 代替,当A cor 大于A b 时,应取A cor =A b ;当A cor 不大于混凝土局部受压面积A 1 的1.25倍时,β cor 取1.0;
f y ——钢筋抗拉强度设计值(MPa);
α——间接钢筋对混凝土约束的折减系数;
A cor ——方格网式或螺旋式间接钢筋内表面范围内的混凝土核心面积(mm 2 ),其重心应与A 1 的重心重合,计算中仍按同心、对称的原则取值;
ρ v ——间接钢筋的体积配筋率;
n 1 、A s1 ——方格网沿l 1 方向的钢筋根数、单根钢筋的截面面积(mm 2 );
n 2 、A s2 ——方格网沿l 2 方向的钢筋根数、单根钢筋的截面面积(mm 2 );
A ss1 ——单根螺旋式间接钢筋的截面面积(mm 2 );
d cor ——螺旋式间接钢筋内表面范围内的混凝土截面直径(mm);
s——方格网式或螺旋式间接钢筋的间距(mm),宜取30mm~80mm。
间接钢筋应配置在图5.8.4所规定的高度h范围内,对方格网式钢筋,不应少于4片;对螺旋式钢筋,不应少于4圈。对柱接头,h尚不应小于15d,d为柱的纵向钢筋直径。
条文说明
5.8.4配置方格网式或螺旋式的间接钢筋的局部受压承载力可由混凝土项承载力和间接钢筋项承载力之和组成。间接钢筋项承载力与其体积配筋率有关;且随混凝土强度等级的提高,该项承载力有降低的趋势,为了反映这个特性,公式中引入了系数α。 本条还规定了Acor>Ab时,在计算中只能取Acor=Ab的要求。此规定用以保证充分发挥间接钢筋的作用。且能确保安全。
5.8.5 采用梁端部加宽锚固、梁端局部加腋及沿构件凹面布置曲线预应力束时,应在梁加宽长度范围、加腋处钢筋预应力水平弯折及凹面范围内加配防崩钢筋,防崩钢筋的设计应符合现行国家标准《混凝土结构设计规范》GB 50010的规定。
5.9 疲劳验算
5.9 疲劳验算
5.9.1 预应力受弯构件的正截面疲劳应力验算时,可采用下列基本假定:
1 截面应变保持平面;
2 受压区混凝土的法向应力图形取为三角形;
3 对要求不出现裂缝的预应力混凝土构件,受拉区混凝土的法向应力图形取为三角形;
4 采用换算截面计算。
条文说明
5.9.1本条的基本假定为试验所证实,并作为建立预应力混凝土受弯构件正截面疲劳应力公式的依据。
5.9.2 在疲劳验算中,荷载应取用标准值;对吊车荷载应乘以动力系数,并应符合现行国家标准《建筑结构荷载规范》GB 50009的规定。对跨度不大于12m的吊车梁,可取用一台最大吊车荷载。
条文说明
5.9.2本条是根据吊车出现在跨度不大于12m的吊车梁上的可能情况而作出的规定。
5.9.3 预应力混凝土受弯构件疲劳验算时,应计算下列部位的应力:
1 正截面受拉区和受压区边缘纤维的混凝土应力及受拉区纵向预应力筋、普通钢筋的疲劳应力幅;
2 截面重心及截面宽度改变处的混凝土主拉应力。
条文说明
5.9.3受压区纵向钢筋可不进行疲劳验算;一级裂缝控制等级的预应力混凝土构件的钢筋可不进行疲劳验算。
5.9.4 预应力混凝土受弯构件正截面的疲劳应力应符合下列公式规定:
1 受压区边缘纤维的混凝土压应力

式中:σ f cc,max ——受压区边缘纤维混凝土的最大压应力(MPa),按本规范公式(5.9.5-1)或公式(5.9.5-2)计算确定;
σ f ct,max ——受拉区边缘纤维混凝土的最大拉应力(MPa),按本规范公式(5.9.5-1)或公式(5.9.5-2)计算确定;
△σ f p ——受拉区纵向预应力筋的应力幅(MPa),按本规范公式(5.9.5-3)计算;
△f f py ——预应力筋疲劳应力幅限值(MPa);
△σ f s ——受拉区纵向普通钢筋的应力幅(MPa),按本规范公式(5.9.5-6)计算;
△f f y ——普通钢筋疲劳应力幅限值(MPa)。
条文说明
5.9.4国内外试验研究表明,影响钢筋疲劳强度的重要因素为应力幅,即(σmax—σmin),所以在本节中涉及钢筋的疲劳应力时均应按应力幅计算。当纵向受拉钢筋为同一钢种时,可仅验算最外层钢筋的应力幅。
5.9.5 对要求不出现裂缝的预应力混凝土受弯构件,其正截面的混凝土、纵向预应力筋和普通钢筋的最小、最大应力和应力幅应按下列公式计算:


式中:σ f c,min 、σ f c,max ——疲劳验算时受拉区或受压区边缘纤维混凝土的最小、最大应力(MPa),最小、最大应力以其绝对值进行判别;
σ pc ——扣除全部预应力损失后,由预加力在受拉区或受压区边缘纤维处产生的混凝土法向应力(MPa);
M f max 、M f min ——疲劳验算时同一截面上在相应荷载组合下产生的最大、最小弯矩值(N·mm);
α pE ——预应力筋弹性模量与混凝土弹性模量的比值:α pE =E s /E c ;
I 0 ——换算截面的惯性矩(mm 4 );
y 0 ——受拉区边缘或受压区边缘至换算截面重心的距离(mm);
σ f p,min 、σ f p,max ——疲劳验算时所计算的受拉区一层预应力筋的最小、最大应力(MPa);
△σ f p ——疲劳验算时所计算的受拉区一层预应力筋的应力幅(MPa);
σ pe ——扣除全部预应力损失后所计算的受拉区一层预应力筋的有效预应力(MPa);
y 0s 、y 0p ——所计算的受拉区一层普通非预应力钢筋、预应力筋截面重心至换算截面重心的距离(mm);
σ f s,min 、σ f s,max ——疲劳验算时所计算的受拉区一层普通钢筋的最小、最大应力(MPa);
△σ f s ——疲劳验算时所计算的受拉区一层普通钢筋的应力幅(MPa);
σ se ——消压弯矩M p0 作用下所计算的受拉区一层普通钢筋中产生的应力(MPa);此处,M p0 为受拉区一层普通钢筋截面重心处的混凝土法向预应力等于零时的相应弯矩值。
5.9.6 预应力混凝土受弯构件斜截面混凝土的主拉应力应符合下式规定:

式中:σ f tp ——预应力混凝土受弯构件斜截面疲劳验算纤维处的混凝土主拉应力(MPa),对于吊车荷载,尚应计入动力系数。
条文说明
5.9.5、5.9.6式(5.9.5-1)、式(5.9.5-2)中的σpc、(Mfmin/I0)y0、(Mfmax/I0)y0,当为拉应力时以正值代入;当为压力时以负值代入;式(5.9.5-7)、式(5.9.5-8)中的σse以负值代入。 按公式计算的混凝土应力σfc,min和σfc,max,是指在截面同一纤维计算点处一次循环过程中的最小应力和最大应力,其最小、最大以其绝对值进行判别,且拉应力为正、压应力为负;在计算ρfc=σfc,min/σfc,max中,应注意应力的正负号及最大、最小应力的取值。
6 正常使用极限状态验算
6.1 应力验算
6 正常使用极限状态验算
6.1 应力验算
6.1.1 正常使用极限状态验算时,预加力应作为荷载计算其效应,应力按弹性分析计算。
6.1.2 对先张法预应力混凝土构件端部进行正截面、斜截面抗裂验算时,应考虑预应力筋在其预应力传递长度l tr 范围内实际应力值的变化。预应力筋的实际应力可考虑为线性分布,在构件端部取为零,在其预应力传递长度的末端取有效预应力值σ pe ,先张法构件预应力筋的预应力传递长度l tr 应按下式计算:

式中:σ pe ——放张时预应力筋的有效预应力(MPa);
d——预应力筋的公称直径(mm);
α——预应力筋的外形系数,按表6.1.2取用;
f′ tk ——与放张时混凝土立方体抗压强度相应的轴心抗拉强度标准值(MPa)。
当采用骤然放松预应力筋的施工工艺时,l tr 的起点应从离末端0.25l tr 处算起。
表6.1.2 预应力筋的外形系数

条文说明
6.1.2表6.1.2中不同钢筋的外形系数α是经对各类钢筋进行系统粘结锚固试验研究及可靠度分析得出的。 当采用骤然放松预应力筋的施工工艺时,其锚固长度起点应考虑端部受损的可能性,内移0.25ltr。
6.1.3 预应力构件由预加力N p 及荷载效应产生的正截面应力可按弹性计算。N p 为扣除相应阶段预应力损失后的有效预加力,截面几何特征可按混凝土毛截面计算。
条文说明
6.1.3计算构件截面应力时,后张法构件在预应力筋管道内注浆前采用净截面,在建立了钢筋与混凝土间的粘结力后,采用换算截面。在通常的配筋情况下,特别对翼缘较宽的T型截面梁,毛截面、净截面和换算截面相差不大,为简化计算,本规范规定在计算截面应力时可按毛截面计算。应当注意的是,当构件的配筋接近容许最大配筋面积时,会带来一定误差,此时仍宜用净截面和换算截面分别计算。在正常使用极限状态下,预应力混凝土构件处于不开裂或微开裂状态,研究表明,该阶段构件仍符合截面保持平面和材料处于弹性状态的假定,因此,仍可采用弹性计算。
6.1.4 预应力混凝土受弯构件的混凝土主拉应力σ tp 和主压应力σ cp 应按下列公式计算:

式中:σ x ——由预加力和弯矩值M k 在计算纤维处产生的混凝土法向应力(MPa),当为拉应力时,以正值代入;当为压应力时,以负值代入;
σ y ——由集中荷载标准值F k 产生的混凝土竖向应力(MPa),当为拉应力时,以正值代入;当为压应力时,以负值代入;
τ——由剪力值V k 和预应力弯起钢筋的预加力在计算纤维处产生的混凝土剪应力(MPa);当计算截面上有扭矩作用时,尚应计入扭矩引起的剪应力;对后张法预应力混凝土超静定结构构件,在计算剪应力时,尚应计入预加力引起的次剪力;
σ pc ——扣除全部预应力损失后,在计算纤维处由预加力产生的混凝土法向应力(MPa),当为拉应力时,以正值代入,当为压应力时,以负值代入;
y 0 ——换算截面重心至计算纤维处的距离(mm);
I 0 ——换算截面惯性矩(mm 4 );
V k ——按荷载效应的标准组合计算的剪力值(N);
S 0 ——计算纤维以上部分的换算截面面积对构件换算截面重心的面积矩(mm 3 );
σ pe ——预应力弯起钢筋的有效预应力(MPa);
A pb ——计算截面上同一弯起平面内的预应力弯起钢筋的截面面积(mm 2 );
α p ——计算截面上预应力弯起钢筋的切线与构件纵向轴线的夹角。
条文说明
6.1.4本条提供了混凝土主拉应力和主压应力的计算方法。
6.1.5 对预应力混凝土吊车梁在集中力作用点两侧各0.6h的长度范围内,由集中荷载标准值F k 产生的混凝土竖向压应力和剪应力的简化分布(图6.1.5),其应力的最大值应按下列公式计算:

式中:F k ——集中荷载标准值(N);
τ l 、τ r ——位于集中荷载标准值F k 作用点左侧、右侧0.6h处截面上的剪应力(MPa);
τ F ——集中荷载标准值F k 作用截面上的剪应力(MPa);
V l k 、V r k ——集中荷载标准值F k 作用点左侧、右侧截面上的剪力标准值(N);
b r ——腹板宽度(mm)。

图6.1.5 预应力混凝土吊车梁在集中力作用点附近的应力分布
条文说明
6.1.5本条提供了考虑集中荷载产生的混凝土竖向压应力及对剪应力分布影响的实用方法,这是依据弹性理论分析加以简化并经试验验证后给出的。
6.1.6 预应力混凝土受弯构件应分别对截面上的混凝土主拉应力和主压应力进行验算,并应符合下列公式规定:
1 混凝土主拉应力
1)裂缝控制等级为一级的构件:

2 混凝土主压应力
对裂缝控制等级为一级和二级的构件:

式中:σ tp 、σ cp ——混凝土的主拉应力、主压应力(MPa),按本规范第6.1.5条确定。
应选择跨度内不利位置的截面,对该截面的换算截面重心处和截面宽度改变处进行验算。
条文说明
6.1.6从裂缝控制要求对预应力混凝土受弯构件的斜截面混凝土主拉应力进行验算,是为了避免斜裂缝的出现,同时按裂缝等级不同予以区别对待;对混凝土主压应力的验算,是为了避免过大的压应力导致混凝土抗拉强度过大地降低和裂缝过早地出现。
6.1.7 在分段施工的建筑结构中,承受剪切的横向接缝应按下式验算:

式中:V——作用在结构上的荷载在接缝中产生的剪力(N);
N p ——由预应力筋扣除预应力损失引起的挤压力(N);
μ——计算摩擦系数,混凝土与混凝土之间或混凝土与砂浆之间的摩擦系数采用0.4。
6.2 受弯构件挠度验算
6.2 受弯构件挠度验算
6.2.1 预应力混凝土受弯构件在正常使用极限状态下的挠度,可根据构件的刚度用结构力学方法计算。
在等截面构件中,可假定各同号弯矩区段内的刚度相等,并取用该区段内最大弯矩处的刚度。当计算跨度内的支座截面刚度不大于跨中截面刚度的2倍或不小于跨中截面刚度的1/2时,该跨也可按等刚度构件进行计算,其构件刚度可取跨中最大弯矩截面的刚度。
受弯构件的挠度应按荷载效应标准组合并考虑荷载长期作用影响的刚度B进行计算,所求得的挠度计算值不应超过本规范6.2.6条规定的限值。
条文说明
6.2.1在正常使用极限状态下混凝土受弯构件的挠度,主要取决于构件的刚度。规范假定在等截面构件中,可假定各同号弯矩区段内的刚度相等,并取用该区段内最大弯矩处的刚度。当计算跨度内的支座截面刚度不大于跨中截面刚度的2倍或不小于跨中截面刚度的1/2时,该跨也可按等刚度构件进行计算,其构件刚度可取跨中最大弯矩截面的刚度;对于允许出现裂缝的构件,这样做偏于安全。 预应力受弯构件的挠度值为受荷作用的挠度减去受预应力作用的反拱挠度。预应力混凝土受弯构件在使用阶段的预加力反拱值,可用结构力学方法按刚度EcI0进行计算,并应考虑预压应力长期作用的影响,计算中预应力筋的应力应扣除全部预应力损失。简化计算时,可将计算的反拱值乘以增大系数2.0。 对重要的或特殊的预应力混凝土受弯构件的长期反拱值,可根据专门的试验分析确定或根据配筋情况采用考虑收缩、徐变影响的计算方法分析确定。
6.2.2 矩形、T形、倒T形和I形截面受弯构件的刚度B,可按下式计算:

式中:M k ——按荷载效应的标准组合计算的弯矩(N·mm),取计算区段内的最大弯矩值;
M q ——按荷载效应的准永久组合计算的弯矩(N·mm),取计算区段内的最大弯矩值;
B s ——荷载效应的标准组合作用下受弯构件的短期刚度(N·mm 2 ),按本规范第6.2.3条的公式计算;
θ——考虑荷载长期作用对挠度增大的影响系数,可取2.0。
条文说明
6.2.2在受弯构件短期刚度Bs基础上,考虑荷载效应准永久组合的长期作用对挠度增大的影响。
6.2.3 在荷载效应的标准组合作用下,预应力混凝土受弯构件的短期刚度B s 可按下列公式计算:

式中:α E ——钢筋弹性模量与混凝土弹性模量的比值;
ρ——纵向受拉钢筋配筋率,ρ=(α 1 A p +A s )/(bh 0 );对灌浆的后张预应力筋,取α 1 =1.0,对无粘结后张预应力筋,取α 1 =0.3;
I 0 ——换算截面惯性矩(mm 4 );
γ f ——受拉翼缘截面面积与腹板有效截面面积的比值;b f 、h f 受拉区翼缘的宽度、高度;
k cr ——预应力混凝土受弯构件正截面的开裂弯矩M cr 与弯矩M k 的比值,当k cr >1.0时,取k cr =1.0;
σ pc ——扣除全部预应力损失后,由预加力在抗裂验算边缘产生的混凝土预压应力(MPa);
γ——混凝土构件的截面抵抗矩塑性影响系数,按本规范第6.2.4条确定。
对预压时预拉区出现裂缝的构件,B s 应降低10%。
6.2.4 混凝土构件的截面抵抗矩塑性影响系数γ可按下式计算:

式中:γ m ——混凝土构件的截面抵抗矩塑性影响系数基本值,可按正截面应变保持平面的假定,并取受拉区混凝土应力图形为梯形、受拉边缘混凝土极限拉应变为2f tk /E c 确定;对常用的截面形状,γ m 值可按表6.2.4取用;
h——截面高度(mm):当h<400时,取h=400;当h>1600时,取h=1600;对圆形、环形截面,取h=2r,此处,r为圆形截面半径或环形截面的外环半径。
表6.2.4 截面抵抗矩塑性影响系数基本值γ m

注:1 对b′ f >b f 的I形截面,可按项次2与项次3之间的数值采用;对b′ f <b f 的I形截面,可按项次3与项次4之间的数值采用;
2 对于箱形截面,b系指各肋宽度的总和;
3 r 1 为环形截面的内环半径,对圆形截面取r 1 为零。
条文说明
6.2.4计算混凝土截面抵抗矩塑性影响系数γ的基本假定取受拉区混凝土应力图形为梯形。
6.2.5 预应力混凝土受弯构件在使用阶段的预加力反拱值,可用结构力学方法按刚度E c I 0 进行计算,并应考虑预压应力长期作用的影响,将计算求得的预加力反拱值乘以增大系数2.0;在计算中,预应力筋的应力应扣除全部预应力损失。
对重要的或特殊的预应力混凝土受弯构件的长期反拱值,可根据专门的试验分析确定或采用合理的收缩、徐变计算方法经分析确定;对恒载较小的构件,应考虑反拱过大对使用的不利影响。
条文说明
6.2.5预应力混凝土受弯构件在使用阶段的反拱计算中,短期反拱值的计算以及考虑预加力长期作用对反拱增大的影响系数取为2.0。由于它未能反映混凝土收缩、徐变损失以及配筋率等因素的影响,因此,对长期反拱值,如有专门的试验分析或根据收缩、徐变理论进行计算分析,可不遵守条文的规定。
6.2.6 预应力混凝土受弯构件的最大挠度应按荷载的标准组合,并考虑荷载长期作用的影响进行计算,其计算值不应超过表6.2.6的挠度限值。
表6.2.6 受弯构件的挠度限值

注:1 当构件制作时预先起拱,且使用上也允许,则在验算挠度时,可将计算所得的挠度值减去起拱和预加力所产生的反拱值;
2 表中括号内的数值适用于使用上对挠度要求较高的构件;
3 l为计算跨度;
4 悬臂构件的容许值按表中相应数值乘以系数2.0取用。
条文说明
6.2.6构件变形挠度的限值应以不影响结构使用功能、外观及与其他构件的连接要求等为目的。
6.3 裂缝控制验算
6.3 裂缝控制验算
6.3.1 预应力混凝土结构构件正截面的受力裂缝控制等级分为三级,等级划分及要求应符合下列规定:
一级——严格要求不出现裂缝的构件,按荷载标准组合计算时,构件受拉边缘混凝土不应产生拉应力;
二级——一般要求不出现裂缝的构件,按荷载标准组合计算时,构件受拉边缘混凝土拉应力不应大于混凝土抗拉强度的标准值;
三级——允许出现裂缝的构件,按荷载标准组合并考虑长期作用的影响计算时,构件的最大裂缝宽度不应超过本规范第6.3.2条规定的最大裂缝宽度限值;对二a类环境的预应力混凝土构件,尚应按荷载准永久组合计算,且构件受拉边缘混凝土的拉应力不应大于混凝土的抗拉强度标准值。
6.3.2 预应力混凝土结构构件应根据本规范第4.6.2条规定的环境类别,按表6.3.2的规定选用不同的裂缝控制等级及最大裂缝宽度限值w lim 。
表6.3.2 预应力混凝土结构构件的裂缝控制等级及最大裂缝宽度限值(mm)

注:1 表中的规定适用于采用预应力钢丝钢绞线及热处理钢筋的预应力混凝土构件;当采用其他类别的钢丝时其裂缝控制要求可按专门标准确定;
2 在一类环境下,对预应力混凝土屋架、托架及双向板体系,应按二级裂缝控制等级进行验算;对一类环境下预应力混凝土屋面梁、托梁、单向屋面板,按表中二a环境等级的要求进行验算;在一类和二类a环境下需作疲劳验算的预应力混凝土吊车梁,应按裂缝控制等级不低于二级的构件进行验算;
3 表中规定的构件裂缝控制等级和最大裂缝宽度限值仅适用于正截面的验算;
4 对于处于四五类环境下的结构构件,其裂缝控制要求应符合专门标准的有关规定;
5 表中的最大裂缝宽度限值为用于验算荷载作用引起的最大裂缝宽度。
6.3.3 预应力混凝土构件,应根据本规范第6.3.2条的规定按所处环境类别确定相应的裂缝控制等级及最大裂缝宽度限值并应按下列规定进行受拉边缘应力或正截面裂缝宽度验算:

条文说明
6.3.1~6.3.3本规范参考现行国家标准《混凝土结构设计规范》GB50010将裂缝控制等级划分为一级、二级和三级,设计人员需根据具体情况选用不同的裂缝控制等级。预应力混凝土构件裂缝控制等级的划分是根据结构的功能要求、环境类别和荷载作用的时间等因素来考虑的。
6.3.4 在矩形、T形、倒T形和I形截面的预应力混凝土轴心受拉和受弯构件中,按荷载效应的标准组合并考虑长期作用影响的最大裂缝宽度(mm)可按下列公式计算:

式中:α cr ——构件受力特征系数,按表6.3.4-1采用;
ψ——裂缝间纵向受拉钢筋应变不均匀系数;当ψ<0.2时,取ψ=0.2;当ψ>1.0时,取ψ=1.0;对直接承受重复荷载的构件,取ψ=1.0;
σ sk ——按荷载效应的标准组合计算的预应力混凝土构件纵向受拉钢筋的等效应力(MPa),按本规范第6.3.5条计算;
E s ——钢筋弹性模量(MPa);
c——最外层纵向受拉钢筋外边缘至受拉区底边的距离(mm);当c<20时,取c=20;当c>65时,取c=65;
ρ te ——按有效受拉混凝土截面面积计算的纵向受拉钢筋配筋率;对无粘结后张构件,仅取纵向受拉普通钢筋计算配筋率;在最大裂缝宽度计算中,当ρ te <0.01时,取ρ te =0.01;
A te ——有效受拉混凝土截面面积(mm 2 ):对轴心受拉构件,取构件截面面积;对受弯、偏心受压和偏心受拉构件,取A te =0.5bh+(b f —b)h f ,此处b f 、h f 为受拉翼缘的宽度、高度;
d eq ——受拉区纵向钢筋的等效直径(mm);对无粘结后张构件,仅为受拉区纵向受拉钢筋的等效直径(mm);对于有粘结预应力钢绞线束的直径取为 
,其中d p1 为单根钢绞线的公称直径,n 1 为单束钢绞线根数;
d i ——受拉区第i种纵向钢筋的公称直径(mm);
n i ——受拉区第i种纵向钢筋的根数;对于有粘结预应力钢绞线,取为钢绞线束数;
v i ——受拉区第i种纵向钢筋的相对粘结特性系数,按表6.3.4-2采用。
对承受吊车荷载但不需作疲劳验算的受弯构件,可将计算求得的最大裂缝宽度乘以系数0.85。
表6.3.4-1 构件受力特征系数

表6.3.4-2 钢筋的相对粘结特性系数

注:对环氧树脂涂层带肋钢筋,其相对粘结特性系数应按表中系数的80%取用。
6.3.5 在荷载效应的标准组合下,预应力混凝土构件受拉区纵向钢筋的等效应力可按下列公式计算:


式中:A p ——受拉区纵向预应力筋截面面积(mm 2 ):对轴心受拉构件,取全部纵向预应力筋截面面积;对受弯构件,取受拉区纵向预应力筋截面面积;
z——受拉区纵向普通钢筋和预应力筋合力点至截面受压区合力点的距离(mm);
e——轴向压力作用点至纵向受拉钢筋合力点的距离(mm);
e p ——混凝土法向预应力等于零时全部纵向预应力筋和普通钢筋的合力N p0 的作用点至受拉区纵向预应力筋和普通钢筋合力点的距离(mm);
M 2 ——由预加力在后张法预应力混凝土超静定结构中产生的次弯矩(N·mm);
N 2 ——由预加力在后张法预应力混凝土超静定结构中产生的次轴力(N);
γ′ f ——受压翼缘截面面积与腹板有效截面面积的比值;
b′ f 、h′ f ——受压翼缘的宽度、高度(mm),在公式(6.3.5-5)中,当h′ f >0.2h 0 时,取h′ f =0.2h 0 。
条文说明
6.3.4、6.3.5参考现行国家规范规定,具体给出了预应力混凝土构件最大裂缝宽度计算公式和预应力混凝土构件受拉区纵向钢筋的等效应力计算公式。在式(6.3.5-2)、式(6.3.5-4)、式(6.3.5-6)、式(6.3.5-7)、式(6.3.5-8)、式(6.3.5-9)、式(6.3.5-10)中,当M2与Mk的作用方向相同时取加号;当M2与Mk的作用方向相反时取减号。
6.3.6 对先张法预应力混凝土构件端部进行正截面、斜截面抗裂验算时,应考虑预应力筋在其传递长度l tr 范围内实际应力值的变化。预应力筋在其传递长度l tr 范围内实际应力值的变化应按本规范第4.3.5条确定。
条文说明
6.3.6先张法预应力构件端部预应力传递长度范围内进行正截面、斜截面抗裂验算时,采用本条对传递长度范围内有效预应力按近似的线性变化规律的假定后,利于简化计算。
7 超长结构的预应力设计
7.1 一般规定
7 超长结构的预应力设计
7.1 一般规定
7.1.1 当钢筋混凝土结构长度大于现行国家标准《混凝土结构设计规范》GB 50010的钢筋混凝土结构最大伸缩缝间距时应为超长结构。当钢筋混凝土结构单体长度小于现行国家标准《混凝土结构设计规范》GB 50010规定,由于结构约束较强,导致荷载和混凝土收缩、徐变、温差等间接作用下,构件受力超过设计限值时,该结构应为广义超长结构。
条文说明
7.1.1本条与现行国家标准《混凝土结构设计规范》GB50010一致。 不同国家和学者对于设缝间距存在分歧。如我国《混凝土结构设计规范》GB50010规定的设缝间距主要考虑了结构类型、环境条件两方面影响,加以区分。美国混凝土协会《混凝土施工中的接缝》ACI224.3R-2008中列举了欧美部分规定,如表1所示。
表1 ACI224伸缩缝间距 
美国联邦建设局(SCC)下属的结构工程常设委员会(SCSE)在理论研究和实测数据的基础上制定一个准则供政府部门使用,由美国国家科学院于1974年公布如图6(b)所示;而在此之前,大多采用图6(a)的准则。 
图6建筑结构最大不设缝长度 据已有研究可知,作用在建筑结构上的温度、收缩徐变等属间接作用,其大小与结构自由变形的能力直接相关。以结构温差作用为例,可自由变形的结构不受力,固定结构温差内力最大且与结构几何尺寸无关,弹性约束的结构温差内力介于二者之间。结构的“超长”来自于跨度不变时结构长度的增加造成竖向构件抗侧刚度的累积,即约束程度的不断增加。以结构的约束程度来定义“超长结构”是更科学、合理的方式。通过建立约束的概念,可以将现有的结构尺寸、结构体系、配筋、预应力、后浇带等超长结构中的重要因素用一个量化指标统一起来,使各因素之间具可比性。
7.1.2 超长结构的预应力设计除应考虑常规荷载工况下作用的效应以外,尚应计入混凝土收缩、徐变和温度等间接作用在结构中产生的效应。
7.1.3 超长结构的预应力设计应考虑结构对预应力的约束效应,结构约束的强弱可用约束系数η表示。
7.1.4 超长结构的预应力设计时,宜考虑施工过程的时间效应和路径效应对预应力效应的影响;可采取监测技术确定预应力的张拉顺序、张拉时间等参数。
条文说明
7.1.3采用预应力技术设计超长结构主要目的是在结构构件中建立预压应力,抵御间接作用产生的混凝土拉应力。目前国内绝大部分采用后张法预应力,在结构构件均浇筑完成,达到一定强度水平后张拉预应力筋,建立预应力。此时不仅是设计的预应力构件(主要是梁),其他相邻结构构件均会受到预应力作用,这种效应统称为预应力约束效应。该效应通常会降低预应力构件中实际建立的有效预压应力,对结构抗侧力构件增加附加的预应力荷载。实践表明,该效应一定情况下会严重影响设计,因此需在设计中加以考虑。 约束系数η系采用简化的平面杆件模型推导得出,系数值表达了弹性结构温度作用和完全约束结构温度作用的比例关系。当η=1,即完全约束状态;当η=0,即无约束自由变形状态;当η是介于0和1之间的常数,即一般结构的部分约束状态。 离散约束结构(多跨框架等)不动点的约束系数可用下式求得 
式中:m——多跨框架边跨至不动点间的柱根数; xi——第i根柱距框架不动点的距离; Dci——第i根柱抗侧刚度; EBAB——框架梁轴向刚度,可采用结构中主要框架梁截面尺寸与材料特性,同时需考虑翼缘宽度的影响。 连续约束结构(墙等)不动点的约束系数可用下式求得 
式中:k——连续结构单位长度上的约束刚度; L——连续结构末端距结构不动点的距离; EBAB——连续结构轴向刚度。 对于一般结构的部分约束状态,温度应力σB=EBαTη,取混凝土应力达到材料抗拉强度设计值为界限 
当η大于表2对应值时,可认为该结构为约束较强的结构。
表2混凝土受拉开裂临界约束系数(二级) 
7.1.5 超长结构应加强混凝土养护,并宜采取留设施工后浇带、加强带、分段施工等有效措施,防止混凝土开裂;宜进行混凝土配合比及外加剂的合理设计。
条文说明
7.1.5超长预应力混凝土结构的施工过程涉及三个方面:结构分块浇筑混凝土,在不同的施工阶段形成不同的子结构,各子结构张拉预应力后实际建立的预应力效应不同;超长结构的施工周期较长,在不同的施工阶段浇筑的混凝土具有不同的初始温度,对应一个具体的环境温度有不同的温差反应;不同的施工阶段浇筑的混凝土具有不同的龄期,对应一个具体的时间点具有不同的收缩、徐变效应。 大型工程施工时,预应力张拉施工过程中穿插结构体系变化,施工过程的分析中将产生“路径效应”,即同一结构,不同施工顺序等,其最终力学状态不同,施工过程分析结果和结构一次性分析结果也不同。 混凝土的收缩、徐变和预应力筋的松弛特性可以归结为材料非线性。收缩仅是时间的函数。徐变和松弛特性可称为率相关本构关系,即应变与应力水平和应力对时间的微分相关。在同时考虑混凝土时随特性、预应力和温差作用的结构施工过程计算中,即使其他条件均不发生变化,结构力学状态也将随时间推移缓慢改变,即“时间效应”。由于超长结构工程量大,施工周期长达数月至数年,在施工期间其时间效应不可忽略。必要时,宜考虑合拢时间对预应力及结构效应的影响。 实际工程的施工过程分析是时间效应与路径效应耦合作用的力学分析过程,每个可能的结构施工过程都对应不同的结构反应历程和最终反应。
7.2 计算分析
7.2 计算分析
7.2.1 超长结构进行间接作用效应的分析,可采用考虑混凝土收缩徐变效应和预应力钢筋松弛效应的分析方法。结构基本构件计算模型宜按下列原则确定:
1 梁、柱、支撑等杆系构件可简化为一维单元,墙、板等构件可简化为二维单元,复杂混凝土结构、大体积混凝土结构、结构节点或局部区域需做精细分析时,宜采用三维块体单元;
2 分析模型中宜实际建立弹性楼板单元,并均匀、规则划分,单元数量应根据工程整体规模进行控制;
3 预应力筋计算模型宜采用可考虑预应力损失、分批分期张拉施工过程的索单元,或转化为具同等效果的等效荷载作用;
4 可采用按配筋率调整构件单元等效刚度的方式考虑混凝土中普通钢筋对结构的影响;
5 计算模型应能体现施工过程对结构受力的影响。
条文说明
7.2.1结构构件的计算模型以及离散尺度应该根据实际情况以及计算精度的要求确定。一般建筑上部结构主要由梁、柱、墙、板等构件组成,一维和二维单元可满足计算需求;大体积混凝土,如筏板基础水化热和早期收缩计算时,可采用三维单元建立模型。 在工程实践中,超长结构楼板开裂问题比较突出,因此计算时不宜采用刚性楼板假定,应实际建立楼板单元,与梁、柱、墙进行整体计算。板单元划分不宜过小,大型工程中板柱结构的板单元尺寸可按柱网间距的1/2~1/4控制,框架(框剪)结构的板单元可依次梁划分,避免计算规模过大和局部应力畸变。 预应力损失、分批张拉过程会显著影响实际建立的预应力效应,在大型工程中尤为突出,需要在计算模型中得到反映。按索单元建立预应力筋最精确,也便于考虑上述因素,但建模难度大;采用等效荷载作用可有效降低模型规模。
7.2.2 超长结构中混凝土、普通钢筋、预应力筋等材料的收缩、徐变、松弛效应关系宜通过试验分析确定,也可按现行国家标准《混凝土结构设计规范》GB 50010中相关规定采用;当采用弹性方法分析超长结构在间接作用下的内力时,计算模型中的单元刚度应考虑裂缝、收缩、徐变的影响。
条文说明
7.2.2 工程实测证明,超长混凝土结构中的实际温度应力比未作调整的弹性温度应力计算结果有大幅降低。据分析,其主要原因是混凝土徐变和肉眼不可见的微裂缝引起温度应力松弛和重分布。因此在采用简化弹性分析时必须考虑裂缝、徐变对单元刚度的折减作用。
7.3 设计原则
7.3 设计原则
7.3.1 超长结构平面形状宜简单规则,平面变化处宜平缓,避免出现急剧凹入、蜂腰、开大洞口等情况。结构立面布置宜规则。
条文说明
7.3.1提出有利于避免超长结构平面应力集中的建筑布置要求。结构立面布置宜规则,可适当提高底层层高以降低约束效应。结构刚度分布宜均匀、连续,核心筒、剪力墙等抗侧刚度较大构件宜避免布置在结构角部。
7.3.2 混凝土的收缩变形采用收缩当量温降△T′。当量温降的取值可根据收缩应变经验公式计算或实验实测的混凝土凝结硬化收缩应变ε(T),并应采用下式进行计算。

式中:ε(T)——混凝土的收缩应变;
α——混凝土的线膨胀系数(1/℃)。
条文说明
7.3.2本条参照《建筑结构荷载规范》GB50009中的计算方法,将混凝土的收缩应变折算成当量温差加上季节温差对结构进行整体计算。现行行业标准《水工混凝土结构设计规范》SL191中规定,初估混凝土干缩变形时可将其影响折算为10℃~15℃的温降。在现行行业标准《铁路桥涵设计基本规范》TB10002.1中规定,混凝土收缩的影响可按降低温度的方法来计算,对整体浇筑的混凝土和钢筋混凝土结构分别相当于降低温度20℃和15℃。
7.3.3 温度作用的计算可采用季节温差△T k ,应按下式计算:
1 对结构最大温升的工况:

式中:T s,max 、T 0,min ——结构最高平均温度和结构最低初始温度(℃);
2 对结构最大温降的工况:

式中:T s,min 、T 0,max ——结构最低平均温度和结构最高初始温度(℃)。
条文说明
7.3.3季节温差为结构混凝土初始温度与正常使用阶段结构温度极值的差值。
7.3.4 结构最高平均温度T s,max 和最低平均温度T s,min 应分别根据基本气温T max 和T min 确定,并应符合下列规定:
1 对暴露于环境气温下的室外结构:

2 对于有围护的室内结构,结构平均温度应考虑室内外温差的影响。暴露于室外的结构或施工期间的结构,尚应依据结构的朝向和表面吸热性质考虑太阳辐射的影响。
3 地下室与地下结构的室外温度应考虑离地表面深度的影响。从地下室顶板往下逐层可考虑不同的温度值。当地下室顶板离地表面深度达到10m以下时,按下式计算:

式中:T avg ——累年年平均气温(℃)。
条文说明
7.3.4根据实验实测、理论研究和数值模拟,年温差作用下,结构温度变化幅值与气温变化幅值基本相等,相位无滞后,建筑的构造做法对此无显著影响。日温差对混凝土结构的力学作用不显著。基于这两点理由得出推论:在结构设计基准期T内,将结构温度日均值与环境温度的日均值视为随机过程,二者具有相同的概率特征。
7.3.5 结构的最高初始温度T 0,max 和最低初始温度T 0,min 应采用施工时可能出现的实际合拢温度按不利情况确定。
条文说明
7.3.5混凝土结构的合拢温度一般可取后浇带封闭时的月平均气温。结构设计时,往往不能准确确定施工工期,因此,结构合拢温度通常是一个区间值。这个区间值应包括施工可能出现的合拢温度,即应考虑施工的可行性。参照国外有关规范并考虑基本气温定义差别的调整,当无法确定时,可根据不同的结构工况近似取T0,min=0.7Tmin+0.3Tmax,T0,max=0.3Tmin+0.7Tmax。
7.3.6 采用弹性方法分析超长结构时可综合考虑混凝土收缩和季节温差△T的作用,采用综合等效温差来计算,综合等效温差△T st 可按下式确定。

7.3.7 混凝土徐变的作用可采用徐变应力折减系数法近似考虑,可将弹性方法分析结果乘以徐变应力折减系数确定,徐变应力折减系数可根据工程经验确定。
条文说明
7.3.7根据以往工程经验,折减系数可取为0.3~0.5。
7.3.8 超长结构预应力设计可采用间接作用效应参与荷载效应组合的极限状态设计方法,也可采用建立等效预压应力的简化设计方法。
7.3.9 采用间接作用效应参与荷载效应组合的极限状态设计方法时,以综合等效温差代表的间接作用效应按可变荷载,参与正常使用极限状态和承载能力极限状态的荷载组合,并应符合下列规定:
1 水平构件(梁、板)进行正截面抗裂验算时,间接作用的荷载效应组合值系数可取0.6,准永久值系数可取0.4。间接作用的荷载效应分项系数可取为1.0。二类环境中预应力混凝土构件正截面抗裂验算时,其裂缝控制等级可取为二级。
2 抗侧力构件(柱、墙)进行极限承载能力验算时,间接作用的荷载效应组合值系数可取0.6。间接作用的荷载效应分项系数可取为1.2。
条文说明
7.3.9参考现行国家标准《建筑结构荷载规范》GB50009,温度作用的组合值系数、频遇值系数和准永久值系数可分别取0.6、0.5和0.4。 1正常使用极限状态下,梁、板等楼(屋)盖水平构件未开裂或裂缝宽度受严格限制,受力接近弹性状态,因此超长结构设计中考虑间接作用参与该阶段的裂缝控制验算。承载能力极限状态下,梁、板的主要受力破坏模式为正截面受弯或斜截面受剪,间接作用产生的主要为轴向拉压力,组合后对设计配筋影响较小;同时该阶段构件开裂后将有显著的刚度和应力降低,因此间接作用荷载不参与组合,以此提高设计合理性; 2柱、墙等竖向抗侧力构件在轴压比符合规定的情况下不进行裂缝控制验算。以往工程经验表明,对超长结构的底层边柱、端墙,承载能力极限状态下残余的间接作用荷载效应(剪力、弯矩)仍可能成为其设计的控制因素,因此规定竖向抗侧力构件承载能力极限状态设计中需考虑间接作用。 依上述两条进行超长结构设计也符合承载能力极限状态“强柱弱梁”的设计原则。
7.3.10 超长结构的承载能力极限状态和正常使用极限状态验算,设计荷载组合工况中应增加按本节规定的间接作用参与荷载组合工况。间接作用参与荷载组合工况中,地震、风、雪和偶然荷载(爆炸、撞击)等不应参与组合。
7.3.11 超长结构预应力设计采用建立等效预压应力的简化方法时,应在框架梁、次梁或板内均匀布置直线或曲线预应力筋,经计算得到的楼板等效预压应力不宜小于1.0MPa。
7.4 构造措施及施工要求
7.4 构造措施及施工要求
7.4.1 超长结构楼板钢筋宜采用双层双向连续布置方式,根据计算局部增设附加受力钢筋。可沿板厚中部均匀水平布置无粘结筋。
条文说明
7.4.1一般建筑结构中楼板构件厚度较小,在受到温度、收缩应力时易出现裂缝,影响使用性能。采用双层双向连续布置楼板钢筋的形式,可以利用受力筋起到抵御一定温度、收缩应力的作用。多项实际工程计算表明,超长结构楼板的拉应力超限现象普遍,一些情况下甚至大大超出混凝土受拉强度,此时除适当加强贯通的普通钢筋配筋量,沿板厚方向中部均匀水平布置无粘结筋建立预压应力可以有效抵御混凝土拉应力。
7.4.2 超长预应力结构宜采用摩擦系数较小且刚度较好的波纹管,并宜采取有效措施减小张拉阶段预应力筋与孔壁的摩阻力。超长预应力结构分段施工时,每段长度大于50m时,其孔道摩阻系数宜通过现场测试确定。
7.4.3 在超长框架结构中,当长度超过50m或跨数较多时宜采用分段张拉方式。采用分段张拉时,预应力筋的连接方法可采用对接法、搭接法和分离法,这三种方法也可同时采用。
条文说明
7.4.3跨越施工后浇带时一般采用分离法,可配置无粘结预应力筋以提高抗裂性能;分段张拉大多采用搭接法,在建筑工程中采用最多;而对接法大多用于长度很长且采用分段流水施工方式的工程,在桥梁工程中应用较为普遍。跨越施工缝也可采用部分预应力钢筋断开锚固,部分预应力钢筋连续通过,后续张拉的方式。对接法、搭接法和分离法的工程实例图分别如7(a)、7(b)、7(c)所示: 
图7预应力筋连接实例(一) 
图7预应力筋连接实例(二)
7.4.4 超长预应力结构留设施工后浇带时,每段的长度不宜超过50m,对于水平弧梁的预应力筋,其长度宜更小。在相邻两条后浇带之间可留设施工缝。
7.4.5 超长预应力结构的后浇带封堵时间不宜少于60d,施工缝的留设时间不宜少于21d,有可靠措施时可适当放宽该限制条件。
条文说明
7.4.5混凝土收缩作用的大小随时间变化,总体上呈前期增长快,中后期增速逐渐递减的趋势。采用留设后浇带和施工缝的工程措施时,需保证留设时间,否则无法取得实际效果。 本条中的“有可靠措施”,不应简单地理解为“已经有了未发现问题的工程实例”。由于环境条件不同,不能盲目照搬。应对具体工程中各种有利和不利因素的影响方式和程度,作出有科学依据的分析和判断。
7.4.6 在超长预应力结构中,当预应力筋张拉端设在后浇带位置时,后浇带的宽度应满足两边预应力张拉的操作空间要求。
条文说明
7.4.6预应力筋张拉的操作空间包括张拉机具摆放空间和人员工作空间。对于预应力筋张拉端集中布设的情况,也可在张拉端位置局部预留较大空间,其余部分后浇带留设距离同普通混凝土结构。
7.4.7 超长结构不宜采用C60及以上的高强混凝土,封闭后浇带的混凝土宜采用补偿收缩混凝土。超长结构合拢段的混凝土浇注时间宜选在工程施工期内气温较低的季节。
条文说明
7.4.7实验表明,高强混凝土一般收缩应变较大,且材料脆性显著,易开裂。混凝土强度提高对结构抗裂效果不明显,因此超长结构中混凝土强度等级不宜过高。此外,封闭后浇带的混凝土可选用膨胀率不大但后期收缩小的产品,如补偿收缩混凝土等。超长结构中一般温降工况为设计的控制工况,在较冷季节浇筑混凝土可以有效降低结构的初始温度,进而降低设计温差取值。
7.4.8 施工后浇带处的波纹管应采取措施予以保护,后浇带两侧宜设置灌浆孔,保证后续的张拉灌浆施工能顺利进行。
条文说明
7.4.8后浇带的预留孔暴露约2个月的时间,为保证孔道完整,对后浇带内的预留孔道宜采用镀锌波纹管并适当增加管道钢带的厚度以增强波纹管抵抗破坏的能力,受到轻微损害的波纹管应采用防水胶带缠绕修补。
7.4.9 超长混凝土结构可采用填充墙与框架柱、梁脱开方法。填充墙与框架柱、梁脱开的方法宜符合下列规定:
1 填充墙两端与框架柱、填充墙顶面与框架梁之间宜留出20mm的间隙;
2 填充墙两端与框架柱之间宜用钢筋拉结;
3 填充墙长度超过5m或墙长大于2倍层高时,中间应加设构造柱,墙体高厚比大于现行国家标准《砌体结构设计规范》GB 50003中规定或墙高度超过4m时宜在墙高中部设置与柱连通的水平系梁,水平系梁的截面高度不小于60mm;
4 填充墙与框架柱、梁的间隙可采用聚苯乙烯泡沫塑料板条或聚氨酯发泡充填,并用硅酮胶或其他弹性密封材料封缝。
条文说明
7.4.9本条参考《砌体结构设计规范》GB50003-2011第6.5.7条、《混凝土小型空心砌块建筑技术规程》JGJ/T14-2011第5.10.3~5.10.4条。本条提出填充墙与框架柱、梁脱开的方法,是为在温差作用下,减小填充墙对抗侧力构件的位移限制,避免在非结构构件中产生裂缝。但为了保证填充墙平面外的稳定性,在填充墙中应设构造柱和水平系梁,并在与主体结构连接处留20mm缝隙用聚苯泡沫材料填充。
8 预应力型钢混凝土及预应力钢与混凝土组合梁设计
8.1 一般规定
8 预应力型钢混凝土及预应力钢与混凝土组合梁设计
8.1 一般规定
8.1.1 预应力型钢混凝土梁的型钢,宜采用实腹型钢,型钢的一侧翼缘宜位于受压区,另一侧翼缘位于受拉区(图8.1.1)。当梁截面高度较高时,可采用空腹式型钢。预应力型钢混凝土框架梁的含钢率不应小于2%,不应超过15%。

图8.1.1 预应力型钢混凝土梁的截面配筋形式
条文说明
8.1.1为提高预应力型钢混凝土结构构件的承载力和刚度,预应力型钢混凝土框架梁的型钢配置,宜采用充满型宽翼缘实腹型钢。充满型实腹型钢,是指型钢上翼缘处于截面受压区,下翼缘处于截面受拉区,即设计中应考虑在满足预应力型钢混凝土保护层要求和便于施工的前提下,型钢的上翼缘和下翼缘尽量靠近混凝土截面边缘。关于型钢混凝土构件的最小和最大型钢含钢率,目前没有统一的认识,日本规范建议最大型钢含钢率定为8%,欧洲组合结构统一规范建议最大型钢含钢率为13.3%~35.3%,我国在现行行业标准《型钢混凝土组合结构技术规程》JGJ138中建议的型钢含钢率范围为2%~15%,较为合理的含钢率为5%~8%。
8.1.2 预应力钢与混凝土组合梁适用于不直接承受动力荷载的情况。混凝土板可按现行国家标准《混凝土结构设计规范》GB 50010的规定进行设计,并应按现行行业标准《型钢混凝土组合结构技术规程》JGJ 138的规定进行抗剪验算。
条文说明
8.1.2本条规定了适用的范围,1)常规跨度的简支梁或者连续梁;2)不直接承受动力荷载;3)钢梁与混凝土板完全连接;4)可布置有粘结(混凝土体内)或无粘结(体外)预应力筋。 按本规范进行设计的组合梁,承载能力按照塑性分析方法进行计算,钢梁受压板件的宽厚比应满足塑性设计的要求。 按本规范进行设计的预应力组合梁,预应力布置一般系指在负弯矩区混凝土体内布置有粘结预应力筋或在体外连续布置无粘结筋。
8.1.3 在进行结构内力和变形计算时,预应力型钢混凝土结构构件的截面抗弯刚度、轴向刚度和抗剪刚度,可按下列公式计算:

式中:EI、EA、GA——构件截面抗弯刚度(N·mm 2 )、轴向刚度(N)、抗剪刚度(N);
E c I c 、E c A c 、G c A c ——钢筋混凝土部分的截面抗弯刚度(N·mm 2 )、轴向刚度(N)、抗剪刚度(N);
E a I a 、E a A a 、G a A a ——型钢或钢管部分的截面抗弯刚度(N·mm 2 )、轴向刚度(N)、抗剪刚度(N)。
条文说明
8.1.3在进行弹性阶段的内力和位移计算中,除了需要构件的截面弹性抗弯刚度外,在考虑构件的剪切变形、轴向变形时,还需要截面剪切刚度和轴向刚度。计算中采用了钢筋混凝土的截面刚度和型钢截面刚度叠加的方法。
8.1.4 预应力钢与混凝土组合梁体外预应力筋的强度设计值σ pu 可按本规范9.2.3条计算。
条文说明
8.1.4材料的力学性能指标,包括强度设计值等,均与现行国家标准《混凝土结构设计规范》GB50010一致。其中体外预应力强度设计值按本规范第9.2.3条计算。
8.1.5 预应力钢与混凝土组合梁的计算应符合下列规定:
1 混凝土翼缘板的有效宽度,应按国家现行标准《钢结构设计规范》GB 50017及《型钢混凝土组合结构技术规程》JGJ 138的规定进行计算。计算预应力效应时,轴向力引起的效应可按全宽计算;预弯矩引起的应力可按有效宽度计算。
2 组合梁的挠度应按现行国家标准《钢结构设计规范》GB 50017的规定,考虑混凝土翼板和钢梁之间的滑移效应对抗弯刚度进行折减。对于连续组合梁,在距中间支座两侧各0.15l范围内,不计受拉区混凝土对刚度的影响,但宜计入翼板有效宽度b e 范围内纵向钢筋的作用,其余区段仍取折减刚度。
3 组合梁进行挠度及开裂分析时,应考虑混凝土收缩徐变的影响。计算换算截面特性时,可将混凝土板的宽度根据弹性模量比折算成钢截面宽度后进行计算。对荷载的准永久组合应采用有效弹性模量比。收缩应变及徐变系数取值,按现行国家标准《混凝土结构设计规范》GB 50010规定进行计算。
4 组合梁按塑性设计计算截面承载能力时,未与混凝土板可靠连接的钢结构受压板件的宽厚比应符合现行国家标准《钢结构设计规范》GB 50017中塑性设计的相关规定。
5 施工过程中,当组合梁的混凝土板尚未与钢梁可靠连接时,应按现行国家标准《钢结构设计规范》GB 50017的相关要求验算施工过程中钢梁的强度及稳定性。变形及应力计算时应考虑施工过程进行分别计算后相叠加。
6 当计算组合梁由于混凝土收缩徐变因素引起的预应力损失时,应考虑钢结构对混凝土的约束作用。
7 抗剪连接件的计算及布置,可按现行国家标准《钢结构设计规范》GB 50017中完全抗剪连接的要求进行设计。
条文说明
8.1.51考虑剪滞效应简化计算的有效宽度,各规范相关规定不尽相同。本规范按照现行国家标准《钢结构设计规范》GB50017及《型钢混凝土组合结构技术规程》JGJ138的规定选用。在塑性阶段,这样的规定也是偏于安全的。 有预应力作用时,一般认为对于轴向力有效宽度可按照全宽,对于预弯矩可采用有效宽度。这样的取用也是偏安全的。 2对于连续组合梁,负弯矩混凝土板开裂后会形成变截面的梁而导致挠度增加。通常的简化方法是在一定区段范围内(中支点两侧各0.15l,l为一个跨间的跨度)对刚度进行折减。折减计算时,不计混凝土,计入钢筋及预应力筋。 当计算混凝土板的应力时,需要计入收缩的作用及徐变的影响。即,收缩作用的效应(会增加中支点区域拉应力),徐变对重力效应应力的影响(会减小中支点区域拉应力),徐变对预应力效应的影响(会降低中支点区域的低压应力储备)。 3混凝土徐变影响、收缩、梯度温度等作用会引起组合梁截面的应力重分布,从而导致混凝土及钢梁中的应力变化,对于超静定结构还会由此引起次效应。计算作用与徐变影响的效应时,可采用混凝土模量折减的方法来进行截面换算,即按有效弹性模量比将混凝土换算成钢的截面进行应力计算。 按照欧洲规范,可采用时随的有效弹性模量比来进行t时刻的截面换算,有效弹性模量比的公式为: 
4钢梁构件受压钢板件稳定与塑性发展的关系,可分为四类: 第一类截面,全截面达到塑性,并可形成塑性铰(结构形成内力重分布);第二类截面,全截面可达到塑性,但不能形成塑性铰,稳定问题先于塑性铰出现;第三类截面,截面边缘达到塑性,稳定问题先于全截面塑性出现;第四类截面,稳定问题先于塑性出现,即承载能力完全由局部稳定控制。 第一类、第二类截面可采用塑性设计截面抗弯承载力,第三类截面可采用弹塑性计算截面承载力,第四类截面一般设计上是不允许采用的。现行国家标准《钢结构设计规范》GB50017采用的宽厚比规定保证了截面是第一类,与欧洲规范一致。 组合梁受压翼缘与混凝土板可靠连接时,一般能保证不出现稳定问题。 5弹性计算时,由于施工方法不同,结构的应力及变形有较大的不同。组合梁混凝土硬结后才能发挥组合截面的作用。 6混凝土板中有粘结预应力筋,预应力损失由于组合梁钢梁的约束作用,与混凝土梁有较大的不同。混凝土的收缩徐变应变,需要考虑钢梁对混凝土的约束作用而引起的变化。 简化的计算方法可根据预应力重心处由于收缩徐变作用引起的应力重分布后的应力增量(应变增量)来计算相应的预应力损失。 7现行国家标准《钢结构设计规范》GB50017中给出了连接件的形式,主要包括栓钉连接件、型钢连接件、弯筋连接件,同时也给出各自抗剪承载能力。 根据现行国家标准《钢结构设计规范》GB50017,剪力件的布置以剪跨区分段(以弯矩绝对值最大点、弯矩零点为界),按照完全抗剪连接的要求计算连接件数量(一个剪跨区内的连接件承载能力不小于被连接部件的承载力)。一个剪跨区段的连接件,考虑连接件的变形,可均匀布置。
8.1.6 预应力型钢混凝土结构中构造要求应按现行行业标准《型钢混凝土组合结构技术规程》JGJ 138执行。预应力钢与混凝土组合梁的构造设计可按现行国家标准《钢结构设计规范》GB 50017的相关规定进行。
8.2 承载能力极限状态计算
8.2 承载能力极限状态计算
8.2.1 预应力型钢混凝土梁,其正截面受弯承载力应按下列基本假定进行计算:
1 截面应保持平面;
2 不考虑混凝土的抗拉强度;
3 受压边缘混凝土极限压应变ε cu 取0.003;
4 由于混凝土对型钢的嵌固和约束作用,承载力极限阶段不考虑型钢的屈曲;
5 钢筋应力等于钢筋应变与其弹性模量的乘积,但其绝对值不应大于其相应的强度设计值;
6 纵向受拉钢筋和型钢受拉翼缘的极限拉应变ε su 取0.01。
条文说明
8.2.1预应力型钢混凝土受弯构件试验表明,受弯构件在外荷载作用下,截面的混凝土、钢筋、型钢的应变保持平面,受压极限变形接近于0.003、破坏形态以型钢上翼缘以上混凝土突然压碎、型钢翼缘达到屈服为标志,其基本性能与钢筋混凝土受弯构件相似,由此,建立了预应力型钢混凝土框架梁和转换梁的正截面受弯承载力计算的基本假定。
8.2.2 取普通钢筋、预应力筋和型钢下翼缘屈服时受压区高度的最小值为预应力型钢混凝土梁的截面界限受压区高度(图8.2.2)。普通钢筋、预应力筋和型钢下翼缘屈服时,受压区高度分别为x s 、x p 、x a ,应按下列公式计算:


式中:x s 、x p 、x a ——普通钢筋、预应力筋和型钢下翼缘屈服时框架梁截面受压区高度(mm);
h s 、h p 、h a ——普通钢筋、预应力筋和型钢下翼缘至梁截面受压区边缘的距离(mm);
f a ——型钢受拉强度设计值(MPa);
E a ——型钢弹性模量(MPa)。
8.2.3 型钢截面为实腹型钢的预应力型钢混凝土梁,其正截面受弯承载力应按下列公式计算(图8.2.3):

对强约束的后张法预应力混凝土超静定结构,应计及预应力次内力对混凝土受压区高度的影响。


式中:M——弯矩设计值(N·mm);
α 1 ——系数,当混凝土强度等级不超过C50时,α 1 取为1.0,当混凝土强度等级为C80时,α 1 取为0.94,其间按线性内插法确定;
β 1 ——系数,当混凝土强度等级不超过C50时,β 1 取为0.8,当混凝土强度等级为C80时,β 1 取为0.74,其间按线性内插法确定;
f c ——混凝土轴心抗压强度设计值(MPa);
ξ——相对受压区高度,ξ=x/h 0 ;
ξ b ——相对界限受压区高度,ξ b =x b /h 0 ;
x b ——界限受压区高度(mm);
δ 1 ——型钢腹板上端至截面上边距离与h 0 的比值;
δ 2 ——型钢腹板下端至截面上边距离与h 0 的比值;
M aw ——型钢腹板承受的轴向合力对型钢受拉翼缘和纵向受拉钢筋合力点的力矩(N·mm);
N aw ——型钢腹板承受的轴向合力(N);
t w ——型钢腹板厚度(mm);
t′ f ——型钢受压翼缘厚度(mm);
h w ——型钢腹板高度(mm);
h 0 ——型钢受拉翼缘、纵向受拉钢筋和预应力筋合力点至混凝土受压边缘距离(mm);
a 0 ——型钢受拉翼缘、纵向受拉钢筋和预应力筋合力点至混凝土受拉边缘距离(mm);
A′ af 、A a ——型钢受压、受拉翼缘截面积(mm 2 )。
对预应力混凝土静定结构,M为荷载基本组合值;对一般的后张法预应力混凝土超静定结构,次弯矩M 2 应参与弯矩设计值的组合计算;对强约束的后张法预应力混凝土超静定结构,次弯矩M 2 、次轴力N 2 均应参与弯矩设计值的组合计算,(8.2.3-1)式左端应取 
,(8.2.3-2)式左端应取α 1 f c bx—N 2 ;计算N 2 时,压力为正值,拉力为负值。
条文说明
8.2.2、8.2.3配置充满型实腹型钢的预应力型钢混凝土梁的正截面受弯承载力计算,是把型钢翼缘也作为纵向受力钢筋的一部分,在平衡式中增加了型钢腹板受弯承载力项Maw和型钢腹板轴向承载力项Naw。Maw、Naw的确定是通过对型钢腹板应力分布积分,再做一定的简化得出的。根据平截面假定提出了判断适筋梁的相对界限受压区高度ξb的计算公式。 对强约束的后张法预应力型钢混凝土梁,次弯矩M2、次轴力N2均应参与弯矩设计值的组合计算,此时截面计算如图8所示。 
图8预应力型钢混凝土构件正截面受弯承载力计算 对强约束的后张法预应力混凝土超静定结构,正截面受弯承载力计算公式为: 
式中:N2压力为正值,拉力为负值。
8.2.4 型钢截面为充满型实腹型钢的预应力型钢混凝土梁,其斜截面受剪承载力应按下式计算:

式中:α cv ——斜截面混凝土受剪承载力系数,对于一般受弯构件取0.7;对集中荷载作用下(包括作用有多种荷载,其中集中荷载对支座截面或节点边缘所产生的剪力值占总剪力的75%以上的情况)的独立梁,取α cv 为 
,λ为计算截面的剪跨比,可取λ等于a/h 0 ,当λ小于1.5时,取1.5,当λ大于3时,取3,a取集中荷载作用点至支座截面或节点边缘的距离;
f yv ——箍筋强度设计值(MPa);
A sv ——配置在同一截面内箍筋各肢的全部截面面积(mm 2 );
s——沿构件长度方向上箍筋的间距(mm);
f t ——混凝土抗拉强度设计值(MPa)。
条文说明
8.2.4预应力型钢混凝土梁受剪承载力计算公式是参考现行行业标准《型钢混凝土组合结构技术规程》JGJ138中,预应力型钢混凝土梁受剪承载力计算公式并考虑预应力对抗剪的有利作用。
8.2.5 对于无粘结预应力型钢混凝土构件,承载力、裂缝宽度和挠度的计算公式中预应力筋的抗拉设计值的取值f py 应取无粘结预应力筋的应力设计值σ pu ,σ pu 应按本规范5.2.6条计算。
8.2.6 预应力钢与混凝土组合梁的抗弯承载力应按下列公式计算:
1 正弯矩作用区段
1)塑性中和轴在混凝土板内(图8.2.6-1),即A c f c ≥A d f d +A p σ pu 时:

式中:M——正弯矩设计值(N·mm);
A c ——混凝土板的截面面积(mm 2 );
A d ——钢梁的截面面积(mm 2 );
A p ——体外预应力筋面积(mm 2 );
x——混凝土翼缘受压区高度(mm);
y 1 ——混凝土板受压区截面形心至钢梁受拉区截面形心的距离(mm);
y 2 ——无粘结预应力筋的截面形心至钢梁受拉区截面形心的距离(mm);
f c ——混凝土抗压强度设计值(MPa);
f d ——钢梁抗拉强度设计值(MPa);
σ pu ——无粘结预应力筋的应力设计值(MPa),按本规范5.2.6条计算;
b c ——混凝土板的有效宽度(mm);
h c ——混凝土板的厚度(mm)。

图8.2.6-1 塑性中和轴在混凝土板内时的组合梁截面及应力图形
1-塑性中和轴
2)塑性中和轴在钢梁截面内(图8.2.6-2),即A c f c ≤A d f d +A p σ pu 时:

式中:A dc ——钢梁受压区截面面积(mm 2 );
y 3 ——钢梁受压区截面形心至钢梁受拉区截面形心的距离(mm)。

图8.2.6-2 塑性中和轴在钢梁内时的组合梁截面及应力图形
1-塑性中和轴
2 负弯矩作用区段(图8.2.6-3)

式中:A s ——混凝土板有效宽度内普通钢筋的面积(mm 2 );
A d1 ——钢梁受拉区截面面积(mm 2 );
f y ——普通钢筋的抗拉强度设计值(MPa);
y 4 ——无粘结预应力筋的截面形心至钢梁受压区截面形心的距离(mm);
y 5 ——普通钢筋的截面形心至钢梁受压区截面形心的距离(mm)。
8.2.7 预应力钢与混凝土组合梁的抗剪承载力应按下式计算:


图8.2.6-3 负弯矩作用时的组合梁截面及应力图形
1-塑性中和轴
式中:h w ——钢梁腹板高度(mm);
t w ——钢梁腹板厚度(mm);
f v ——钢材抗剪强度设计值(MPa)。
8.3 裂缝宽度验算
8.3 裂缝宽度验算
8.3.1 预应力型钢混凝土框架梁应验算裂缝宽度;最大裂缝宽度应按荷载的标准组合并考虑长期效应组合的影响进行计算。
8.3.2 考虑裂缝宽度分布的不均匀性和荷载长期效应组合影响的最大裂缝宽度应按下列公式计算(图8.3.2),所求得的最大裂缝宽度不应大于预应力混凝土结构规定的限值。


式中:M k ——按荷载标准组合计算的弯矩值(N·mm);
M cr ——框架梁截面开裂弯矩(N·mm);计算可按本规范8.3.3条执行;
α cr ——构件受力特征系数取α cr =1.7;
c s ——纵向受拉钢筋的混凝土保护层厚度(mm);
ψ——考虑型钢翼缘作用的钢筋应变不均匀系数;当ψ<0.4时,取ψ=0.4;当ψ>1.0时,取ψ=1.0;
k——型钢腹板影响系数,其值取梁受拉侧1/4梁高范围中腹板高度与整个腹板高度的比值;
v i ——为受拉区第i种纵向钢筋的相对粘结特性系数,型钢的相对粘结特性系数为0.45×0.7=0.315;
n——纵向受拉钢筋数量;
b f 、t f ——受拉翼缘宽度、厚度(mm);
d e 、ρ te ——考虑型钢受拉翼缘与部分腹板及受拉钢筋的有效直径、有效配筋率;
σ sk ——考虑型钢受拉翼缘与部分腹板及受拉钢筋的等效钢筋应力值(MPa);
A s 、A af ——纵向受拉钢筋、型钢受拉翼缘面积(mm 2 );
A aw 、h aw ——型钢腹板面积、高度(mm);
h 0s 、h 0af 、h 0p ——纵向受拉钢筋、型钢受拉翼缘、预应力筋重心至混凝土截面受压边缘的距离(mm);
u——纵向受拉钢筋和型钢受拉翼缘与部分腹板周长之和(mm);
e p ——预应力筋作用重心到截面重心轴的距离(mm);
e——轴向压力作用点至纵向受拉筋合力点的距离(mm)。
8.3.3 预应力型钢混凝土框架梁的开裂弯矩计算应考虑框架结构次轴力影响,并应按下列公式计算:

式中:α pc ——扣除全部预应力损失后预应力在抗裂验算边缘的混凝土法向应力(MPa);
I 0 ,W 0 ,y 0 ——换算截面的惯性矩(mm 4 )、弹性抵抗矩(mm 3 )、换算截面重心至所计算纤维处的距离(mm);
γ——混凝土构件的截面抵抗矩塑性影响系数,对于预应力型钢混凝土梁,由于型钢的存在,混凝土的收缩和徐变会使构件混凝土中产生拉应力,降低构件的抗裂能力,取γ=1.0。
条文说明
8.3.1~8.3.3预应力型钢混凝土梁的裂缝宽度计算公式是基于把型钢翼缘作为纵向受力钢筋,且考虑部分型钢腹板的影响,按现行国家标准《混凝土结构设计规范》GB50010的有关裂缝宽度计算公式的形式,建立了预应力型钢混凝土梁在短期效应组合作用下并考虑长期效应组合影响的最大裂缝宽度计算公式。 所进行的2榀试验框架梁的梁端与跨中,短期荷载作用下的裂缝宽度的计算值与试验值之比的平均值为1.08,均方差为0.103。 与文献预应力型钢混凝土简支梁实验值对比,裂缝宽度计算值与试验值比值的平均值为1.09,标准差为0.058,说明理论公式具有较高的精度,可用于计算正常使用阶段预应力型钢混凝土简支梁的最大裂缝宽度。
8.3.4 预应力钢与混凝土组合梁裂缝宽度应按下列规定验算:
1 组合梁负弯矩区开裂的混凝土板应按本规范第6.3.4条计算混凝土轴心受拉构件的裂缝宽度。并按本规范第6.3.3条的规定进行设计。
2 组合梁由于效应设计值引起的开裂截面的混凝土板的钢筋应力应按下列规定进行计算。
1)钢筋混凝土板中普通钢筋的应力应按下式计算

式中:N q 、M q ——按照荷载准永久组合计算的轴向力值(N)、弯矩值(N·mm);
I cr 、A cr ——开裂截面由纵向普通钢筋与钢梁组成的惯性矩(mm 4 )及面积(mm 2 );
y s ——钢筋截面形心至组合梁开裂截面中和轴的距离(mm)。
2)预应力混凝土板应按下式计算

式中:N k 、M k ——按照荷载标准组合计算的轴向力值(N)、弯矩值(N·mm);
N p 、M p ——考虑应力损失后的预应力筋的合力(N)及预弯矩(N·mm)。对于超静定结构,应计入次内力的影响;
I cr 、A cr ——开裂截面由纵向普通钢筋及预应力筋与钢梁组成的惯性矩(mm 4 )及面积(mm 2 );
y s ——钢筋截面形心至组合梁开裂截面中和轴的距离(mm)。
3 体外预应力筋引起的效应,可按等效荷载作用效应计入相应的组合,组合系数1.0。
条文说明
8.3.41组合梁的负弯矩区的混凝土板受力,接近轴心受拉。开裂截面按照前面所述的定义,即荷载标准组合下混凝土板受拉边缘应力大于0.75ftk。 2按式8.3.4-1计算得到钢筋平均应力后,可按本规范轴心受拉构件的公式计算裂缝宽度。体外束的效应可计入Nq、Mq或Nk、Mk中。 3体外束产生的截面应力,与结构体系有关。可采用等效荷载的方法计入效应组合,体外束应力可采用永存应力,并含体外束的二次效应。
8.4 挠度验算
8.4 挠度验算
8.4.1 预应力型钢混凝土框架梁在正常使用极限状态下的挠度,可根据构件的刚度用结构力学的方法计算。在等截面构件中,可假定各同号弯矩区段内的刚度相等,并取用该区段内最大弯矩处的刚度。
8.4.2 预应力型钢混凝土受弯构件的挠度由使用荷载产生的下挠度f 1 和预应力引起的上挠度f 2 两部分组成,预应力型钢混凝土框架跨中的总挠度为:f=f 1 -f 2 。受弯构件的挠度应按荷载短期效应组合并考虑荷载长期效应组合影响的长期刚度B l 进行计算,挠度计算值f不应大于本规范第6.2.6条规定的限值。
8.4.3 当预应力型钢混凝土框架梁的纵向受拉钢筋配筋率为0.3%~1.5%时,其荷载短期效应和长期效应组合作用下的短期刚度B s 和长期刚度B l ,可按下列公式计算:

式中:E c ——混凝土的弹性模量(MPa);
E a ——型钢的弹性模量(MPa);
I 0 ——扣除型钢的换算截面的抗弯惯性矩(mm 4 );
I a ——型钢截面对换算截面形心的抗弯惯性矩(mm 4 );
M cr ——梁的正截面开裂弯矩值(N·mm),由抗裂承载力计算求得;
M k ——按荷载短期效应组合计算的弯矩值(N·mm);
α s ——钢筋弹性模量与混凝土弹性模量的比值;
ρ——纵向受拉钢筋、型钢受拉翼缘腹板和预应力筋配筋率;
γ f ——受拉翼缘截面面积与腹板有效截面面积的比值;
b f 、h f ——受拉区翼缘的宽度、高度(mm);
A af 、A aw ——型钢受拉翼缘、腹板的截面面积(mm 2 );
k——型钢腹板影响系数,为梁受拉侧1/4梁高范围内腹板高度与整个腹板高度的比值。
条文说明
8.4.1~8.4.3试验表明,预应力型钢混凝土梁在加载过程中截面平均应变符合平截面假定,且型钢与混凝土截面变形的平均曲率相同,因此,截面抗弯刚度可以采用钢筋混凝土截面抗弯刚度和型钢截面抗弯刚度叠加的原则来处理。 
长期荷载作用下,由于压区混凝土的徐变、钢筋与混凝土之间的粘结滑移徐变,混凝土收缩等使梁截面刚度下降,根据现行国家标准《混凝土结构设计规范》GB50010的有关规定,引进了荷载长期效应组合对挠度的增大系数θ,规定了长期刚度的计算公式。
8.4.4 预应力钢与混凝土组合梁挠度应按下列规定验算:
1 组合梁的挠度应分别按荷载的标准组合和准永久组合进行计算,以其中的较大值作为依据。
2 挠度可按结构力学方法进行计算,仅受正弯矩作用的组合梁,其抗弯刚度应取考虑滑移效应的折减刚度,连续组合梁应按变截面刚度梁进行计算。在荷载的标准组合和准永久组合中,组合梁应各取其相应的折减刚度。
3 预应力筋引起的效应,可按等效荷载作用计入相应的组合,组合系数1.0。
9 体外预应力混凝土结构设计
9.1 一般规定
9 体外预应力混凝土结构设计
9.1 一般规定
9.1.1 体外预应力束主体应包括:单根无粘结筋束、多根有粘结束或无粘结束、无粘结钢绞线多层防护束、多层防护的热挤聚乙烯成品体外预应力束、工厂加工制作的成品束、双层涂塑多根无粘结筋带状束等。
条文说明
9.1.1体外预应力结构体系主要依据束主体类型确定,配套选用对应的转向、锚固、减震设备。其选用应综合考虑结构类型、环境条件、有无索力调整和换索要求、有无防火要求等因素,选择技术可靠且经济指标合理的体系。 工厂加工制作的成品束包括热挤聚乙烯高强钢丝拉索,热挤聚乙烯钢绞线拉索等。
9.1.2 体外预应力束可采用直线、双折线、多折线或其他布置方式,且其布置应使结构受力合理。对矩形或工字形截面梁,体外束宜对称布置在梁腹板的两侧;对箱形截面梁,体外束宜对称布置在梁腹板的内侧。
条文说明
9.1.2本条规定了体外预应力束的布置原则。 体外预应力束布置应使结构受力合理系指由体外预应力束产生的综合内力与荷载效应方向相反、形状相符。
9.1.3 体外预应力束设计应符合下列规定:
1 体外预应力束锚固区和转向块的设置应根据体外束的设计线型确定,锚固区一般设置于支座两端或刚度较大的端部隔梁等有利于传力的部位;对多折线体外束,转向块宜布置在距梁端1/4~1/8跨度的范围内,必要时可增设中间定位用转向块,对多跨连续梁采用多折线体外束时,可在中间支座或其他部位增设锚固块。
2 体外预应力束的锚固块与转向块之间或两个转向块间的自由段长度不宜大于12m,超过该长度宜设置减振装置。
3 体外预应力束在每个转向块处的弯曲角度不宜大于15°;用于制作体外束的钢绞线,应按偏斜拉伸试验方法确定其力学性能。
4 体外预应力束的锚固区锚固块应进行局部受压承载力计算及抗剪设计与验算。
5 转向块应根据体外束产生的作用力进行设计,并应考虑转向块的作用力对局部受力及结构整体的效应,保证转向块将预应力可靠地传递至结构主体。
条文说明
9.1.3体外束可通过设在两端锚具之间不同位置的转向块与混凝土构件相连接(如跨中,四分点或三分点),以达到设计要求的平衡荷载或调整内力的效果。体外束的锚固点与弯折点之间或两个弯折点之间的自由段长度不宜太长,否则宜设置防振动装置,以避免微振磨损。 国内外规范对于体外束自由长度规定差异较大,如美国AASHTOLRFD(2005修订版)规定为7.5m;德国交通建设住宅部《体外预应力混凝土桥准则》(1999)中规定为避免诱发振动,体外束固定间隔小于35m;我国《无粘结预应力混凝土结构技术规程》JGJ92规定为8m;英国BS5400:part4:1990的修正案BD58/94建议:为了避免由预应力筋固定点之间的梁体变形引起的二次效应,预应力筋应受到趋向于混凝土横截面中心的横向约束,预应力筋固定点之间的距离不应超过梁体最小高度的12倍。 随着体外束的无侧向支承的自由长度lt增大,其自振频率迅速减小,当lt>20m后,自振频率变化趋平稳。据研究,体外束的自由长度在20m以下可使得体外束的自振频率和一般梁桥的自振频率的数值不接近。在实际工程应用中建议lt不应过大,可控制在12m之内,这样混凝土梁和体外束的自振频率相互错开,以避免共振现象产生。当lt超过12m时,可采取安装阻尼减振装置的措施。体外束自由段长度的改变可通过转向块位置设计或转向块间增设减振装置将束与混凝土梁固定起来的办法实现。采用振动理论计算固有频率时,为安全起见,应放大梁和体外束的频率差范围;对重要或复杂的结构,应进行测试。 由于体外束通过转向块进行弯折转向,体外束弯折转向时,在体外索与转向块的接触区域内,摩擦和横向挤压力的作用和体外索弯折后产生的内应力将会造成体外预应力筋的强度降低。CEB-FIP模式规范给出了相应的限制:力筋(体外索)弯折点的转角小于15°,曲率半径应满足R>αφnN/n,当不满足以上条件时要求通过试验确定力筋(体外索)的强度。我国的现行国家标准《预应力混凝土用钢绞线》GB/T5224规定可采用预应力筋偏斜拉伸试验来测定力筋(体外索)的强度值。
9.1.4 体外预应力束与转向块之间的摩擦系数,可按表9.1.4取值。
表9.1.4 转向块处摩擦系数

注:k为考虑孔道每米长度局部偏差的摩擦系数,μ为预应力筋与孔道之间的摩擦系数。
9.1.5 体外预应力束的预应力筋力学性能应符合本规范第3.1节规定。体外预应力束的选用应根据结构受力特点、环境条件和施工方法等确定,体外预应力束的预应力筋可采用预应力钢绞线、预应力螺纹钢筋,且宜采用涂层预应力筋或二次加工预应力筋。
9.1.6 体外预应力筋宜选用外包裹高密度聚乙烯护套的钢绞线或钢丝束,护套层厚度宜为1.8mm~2.4mm,护套料的物理性能应符合现行行业标准《塑料护套半平行钢丝拉索》CJ 3058中的规定,体外预应力筋转向弯折处应衬垫聚乙烯板片,板片厚度不应小于2mm。
9.2 承载能力极限状态计算
9.2 承载能力极限状态计算
9.2.1 体外预应力混凝土结构的次内力可采用约束次内力法计算,常见线型布置及次内力计算公式可按本规范附录B执行。
条文说明
9.2.1本条给出了次内力的一种简化计算方法,可应用于次内力的手工计算和电算。
9.2.2 体外预应力筋张拉控制应力值σ con 应根据预应力筋品种和设计条件等取用,当采用钢绞线时σ con 不应超过0.6f ptk ,且不宜小于0.4f ptk ;当要求部分抵消由于应力松弛、摩擦、分批张拉等因素产生的预应力损失时,张拉控制应力限值可以提高0.05f ptk 。
条文说明
9.2.2体外预应力筋的张拉控制应力值要比体内布置的预应力筋张拉控制应力略低,参考国家现行标准《无粘结预应力混凝土结构技术规程》JGJ92和《建筑结构体外预应力加固技术规程》JGJ/T279,对于预应力钢丝和钢绞线不宜超过0.6fptk,且不应小于0.4fptk。
9.2.3 体外预应力受弯构件的正截面受弯承载力计算方法可按本规范第5.2节无粘结预应力构件的方法,其中体外预应力束的应力设计值σ pu 宜按下列公式计算:

条文说明
9.2.3体外预应力筋在承载能力极限状态下的应力增量是体外预应力混凝土梁的承载能力设计中的一个重要指标。体外预应力混凝土梁的相关试验表明:在混凝土开裂之前,体外预应力筋的应力增量很小;在混凝土开裂后,预应力筋应力增加较快;直至破坏阶段,体外预应力筋的极限应力很少能达到预应力筋极限强度。体外预应力筋的极限应力与有效预应力、预应力筋和有粘结非预应力筋的配筋率、梁的高跨比、钢筋和混凝土的材料特性、荷载形式、预应力筋摩擦力等因素有关。 由于体外预应力与无粘结预应力在应力增量问题上的相似性,已有无粘结预应力结构的研究成果可供参考。针对无粘结筋的应力增量,各国提出了不同的计算公式,其中美国ACI318规范早期版本和德国DIN1045规范对应力增量直接规定一确定值(ACI318-63为105MPa,DIN1045-1:2001-07为100MPa),是偏于安全的做法。同时搜集公开发表的体外预应力混凝土梁抗弯极限承载力实验结果共117个,样本包括了国内外不同研究机构完成的实验,涵盖了简支或连续梁,不同配筋率,不同跨高比,有无转向块,节段或整体施工,体内/体外混合配筋等多种情况,实验梁破坏形式主要为受弯破坏或弯剪破坏。经统计分析,当假设样本服从正态分布时,应力增量超越100MPa的概率略大于95%。因此本规范中采用的应力增量为100MPa。对于悬臂受弯构件,预应力增量明显减小,对于只有一段直线预应力筋的体外预应力束,总的应力增量也很小,因此,参照工程经验,悬臂构件和预应力螺纹钢筋的应力增量按50MPa计算。
9.3 正常使用极限状态验算
9.3 正常使用极限状态验算
9.3.1 体外预应力混凝土受弯构件在正常使用极限状态下的短期刚度B s 可按本规范第6.2.3条的规定计算,此时纵向受拉钢筋配筋率应按下式计算:

条文说明
9.3.1国家规范《混凝土结构设计规范》GB50010为实现无粘结与有粘结预应力混凝土受弯构件刚度及裂缝宽度计算方法的协调,提出了受弯构件中无粘结筋等效折减系数的概念。本规范借鉴此做法,通过对体外预应力构件试验的体外索和体内普通钢筋的应力增量之比进行拟合分析,提出体外索等效折减系数为0.20,采用与有粘结预应力构件形式相统一的短期刚度和裂缝宽度计算公式。
9.3.2 对于跨高比较大(L/h>12)的受弯构件,应考虑体外预应力二次效应的作用,体外预应力混凝土受弯构件短期刚度可用下列公式计算:

式中:E s 、E p ——分别为受拉钢筋、体外预应力筋的弹性模量(MPa);
A s 、A p ——分别为受拉钢筋、体外预应力筋的面积(mm 2 );
h 0 ——截面有效高度(mm);
φ——纵向受拉钢筋应变不均匀系数;
α E ——钢筋弹性模量与混凝土弹性模量之比;
ρ——纵向受拉钢筋配筋率,可按本规范公式9.3.1计算;
γ f ——受拉区翼缘加强系数;
△——对应截面处预应力筋的相对位移(mm);
M——梁的跨中弯矩(N·mm);
L——梁的跨度(mm);
E c ——混凝土弹性模量(MPa);
I e ——梁截面的等效惯性矩(mm 4 );
e p ——体外预应力筋在梁端的偏心距(mm);
k 1 、k 2 ——和荷载形式、支承条件有关的荷载效应系数,可按表9.3.2的值确定。
表9.3.2 系数k 1 、k 2

注:α为索中间水平段长度与梁全长的比值。
条文说明
9.3.2对于跨高比较大的受弯构件,给出常用线型布置下体外预应力筋的相对位移,以考虑二次效应对混凝土受弯构件刚度的影响。
9.3.3 体外预应力混凝土轴心受拉和受弯构件中,按荷载效应的标准组合并考虑长期作用影响的最大裂缝宽度可按本规范第6.3.4条的规定计算,其中ρ te 和σ sk 应按下列公式计算:

条文说明
9.3.3采用体外预应力筋等效面积折减系数0.2,考虑体外预应力筋对混凝土受弯构件最大裂缝宽度的影响。
9.3.4 体外预应力结构构件的裂缝控制等级及最大裂缝宽度限值可按本规范第6.3.1条及6.3.2条的规定执行。
9.4 构造要求
9.4 构造要求
9.4.1 体外预应力束的外套管应符合下列规定:
1 保护套管应能抵抗运输、安装和使用过程中的各种作用力,不得损坏。
2 采用水泥基灌浆料时,套管应能承受1.0N/mm 2 的内压,孔道的内径宜比预应力束外径大6mm~15mm,且孔道的截面积宜为穿入预应力筋截面积的3倍~4倍。
3 采用专用防腐油脂等防腐化合物填充管道时,除应符合有关规定的温度和内压外,在管道和防腐化合物之间,因温度变化发生的效应不得对钢绞线产生腐蚀作用。
4 镀锌钢管的壁厚不宜小于管径的1/40,且不应小于2mm;高密度聚乙烯管的壁厚宜为2mm~5mm,且应具有抗紫外线功能和耐老化性能,并应允许在必要时进行更换。
5 普通钢套管应具有可靠的防腐蚀措施,在使用一定时期后应重新涂刷防腐蚀涂层。
9.4.2 体外预应力束的防腐蚀防护材料应符合下列规定:
1 水泥基灌浆料、专用防腐油脂应能填满外套管和连续包裹预应力筋的全长,并应避免产生气泡。
2 体外束采用工厂预制时,其防腐蚀材料在加工、运输、安装及张拉过程中,应能保证具有稳定性、柔性和不产生裂缝,并应在所要求的温度范围内不流淌。
3 防腐蚀材料的耐久性能应与体外束所属的环境类别和设计使用年限的要求相一致。
9.4.3 体外预应力束的锚固体系应按使用环境类别和结构部位等设计要求进行选用。对于有整体调束要求的钢绞线夹片锚固体系,可采用外螺母支撑承力方式调束;对处于低应力状态下的体外束,对锚具夹片应设防松装置;对可更换的体外束,应采用体外束专用锚固体系,且应在锚具外预留钢丝束的张拉工作长度。
9.4.4 体外束锚固区和转向块的构造宜符合下列规定:
1 体外束的锚固区宜设置在梁端混凝土端部、牛腿处或设置在承力钢件部位,应保证传力可靠且变形符合设计要求。
2 在混凝土矩形、工字形或箱形梁中,转向块可设在结构体外或箱形梁的箱体内。转向块的钢套管鞍座应预先弯曲成型,埋入混凝土中。外体束的弯折也可采用通过隔梁、肋梁等形式。
3 当锚固区采用钢托件锚固预应力筋时,其与钢筋混凝土梁之间应采用套箍、螺栓固定等可靠的连接构造措施。
4 对可更换的体外束,在锚固端和转向块处,与结构相连接的鞍座套管应与体外束的外套管分离,以方便更换体外束。
5 体外束在每个转向块处的弯曲角度不应大于15°,转向块鞍座处最小曲率半径宜按表9.4.4取用。用于制作体外束的钢绞线,应按偏斜拉伸试验方法确定其力学性能。
表9.4.4 体外束最小曲率半径(m)

注:钢绞线根数为列表数值的中间时,可按线性内插法确定。
条文说明
9.4.4一般的可靠构造链接包括套箍、螺栓固定等。
9.4.5 体外预应力结构采用钢制转向块、锚固块时,除应符合现行国家标准《钢结构设计规范》GB 50017对转向块、锚固块进行承载能力极限状态和正常使用极限状态验算外,尚应对转向块、锚固块与混凝土结构的连接进行验算。
9.4.6 按承载能力极限状态设计钢制转向块、锚固块及连接时,预应力等效荷载标准值应按预应力筋极限强度标准值计算得出。按正常使用极限状态设计钢制转向块、锚固块及连接时,预应力等效荷载标准值应按预应力筋最大容许张拉力计算得出。
条文说明
9.4.6锚固区和转向块的设计应符合传力可靠和变形较小的原则,取体外束的破断荷载为标准荷载进行相应节点的验算。
9.4.7 与转向块、锚固块连接处的结构混凝土应依据现行国家标准《混凝土结构设计规范》GB 50010进行受冲切承载力和局部受压承载力计算。在预应力张拉阶段验算中,局部压力设计值应取1.2倍张拉控制力进行计算;在正常使用阶段验算中,局部压力设计值应取预应力筋极限强度标准值进行计算。
9.4.8 体外预应力结构的耐火等级,不应低于结构整体的耐火等级。用于受弯构件、桁架的体外预应力体系耐火极限应符合表9.4.8的规定。当低于规定要求时,应采取外包覆不燃烧体或其他防火隔热的措施。
表9.4.8 体外预应力体系耐火极限(h)

9.4.9 体外预应力体系的防火措施应符合下列规定:
1 在要求的耐火极限内应能够有效保护体外预应力筋、转向块、锚固块及锚具等受力部分;
2 防火材料应易与体外预应力体系结合,并不应产生对体外预应力体系的有害影响;
3 当钢构件受火产生允许变形时,防火保护材料不应发生结构性破坏,应仍能保持原有的保护作用直至规定的耐火时间;
4 当防火措施达不到耐火极限要求时,体外预应力筋应按可更换设计,并应验算体外预应力筋失效后结构不会塌落;
5 防火保护材料不应对人体有毒害;
6 应选用施工方便、易于保障施工质量的防火措施。
9.4.10 当体外预应力体系采用防火涂料防火时,耐火极限大于1.5h应选用非膨胀型钢结构防火涂料;耐火极限不大于1.5h可选用膨胀型钢结构防火涂料。防火涂料保护层厚度应依据现行国家标准《钢结构防火涂料》GB 14907确定。
9.4.11 体外束的锚具应设置全密封防护罩(图9.4.11),对不要求更换的体外束,可在防护罩内灌注环氧砂浆或其他防腐蚀材料;对可更换的体外束,应保留满足张拉要求的预应力筋长度,在防护罩内灌注专用防腐油脂或其他可清洗的防腐材料。

图9.4.11 锚具防护罩
1-体外预应力筋;2-承压板;3-锚具;4-锚具防护罩;5-防腐蚀材料;6-锚具外预应力筋
9.4.12 钢制转向块和钢制锚固块应采取防锈措施,并应按防腐蚀年限进行定期维护。钢材的防锈和防腐蚀采用的涂料、钢材表面的除锈等级以及防腐蚀对钢材的构造要求等,应符合现行国家标准《工业设计防腐蚀设计规范》GB 50046及《涂装前钢材表面锈蚀等级和除锈等级》GB/T 8923的规定。在设计文件中应注明所要求的钢材除锈等级和所要用的涂料或镀层厚度。
10 纤维增强复合材料预应力筋混凝土结构设计
10.1 一般规定
10 纤维增强复合材料预应力筋混凝土结构设计
10.1 一般规定
10.1.1 本章适用于纤维增强复合材料预应力筋混凝土梁、板受弯构件;不适用于以纤维增强复合材料预应力筋作为支座负筋的多跨连续受弯构件及需要进行抗震设计的框架结构的受弯构件。
条文说明
10.1.1目前,关于纤维增强复合材料预应力筋混凝土结构的研究仍不充分,其工程实践主要集中于桥梁结构。因此,规定本章仅适用于纤维增强复合材料预应力筋混凝土梁和单向板受弯构件。考虑到纤维增强复合材料具有脆性破坏的特点,本章适用范围限定为单跨或支座负筋为钢筋的多跨连续受弯构件;暂不考虑基于结构延性变形能力的混凝土框架抗震设计情况。 纤维增强复合材料预应力筋混凝土构件指预应力筋采用纤维增强复合材料筋、同时采用纤维增强复合材料筋或防腐钢筋作为纵筋和箍筋的构件。 试验表明,纤维增强复合塑料筋受压强度显著低于其受拉强度,且并不可靠。因此,纤维增强复合塑料筋只应被设计为承受拉力,不能被设计为承受压力。
10.1.2 纤维增强复合材料预应力筋应采用后张法施工工艺,其张拉控制应力限值应符合表10.1.2的规定。
表10.1.2 纤维增强复合材料预应力筋的张拉控制应力限值

条文说明
10.1.2本条关于纤维增强复合材料预应力筋的张拉控制应力的上限值是借鉴美国ACI440委员会颁布的《预应力纤维增强复合材料筋混凝土结构》ACI440.4R-04确定。张拉控制应力的下限值是在与预应力筋相协调,并考虑不同类型纤维增强复合材料筋的性能特点的基础上确定。
10.1.3 应由可靠依据确定纤维增强复合材料预应力筋混凝土构件长期使用的环境温度,且该温度不应高于纤维增强复合材料筋基体树脂的热变形温度。
条文说明
10.1.3热变形温度是指在负荷下,材料失去其物理机械强度而发生形变的温度。纤维增强复合塑料预应力筋基体树脂的热变形温度可采用材料供应商提供的数值。
10.1.4 对需进行疲劳验算的纤维增强复合材料预应力筋混凝土构件,应进行专项设计。
条文说明
10.1.4纤维增强复合材料预应力筋混凝土构件的疲劳性能受纤维增强复合材料筋生产工艺、环境条件、疲劳荷载类型等多种因素的影响,相关研究尚不充分,且主要集中于纤维增强复合材料筋的抗疲劳方面。因此,本条要求对需进行疲劳验算的纤维增强复合材料预应力筋混凝土构件,应进行专项设计。
10.2 预应力损失
10.2 预应力损失
10.2.1 预应力的损失σ l1 ,σ l2 ,σ l5 ,σ l7 可按照本规范4.3节的规定计算,但对相应计算公式应进行下列修正:
1 应采用纤维增强复合材料预应力筋的弹性模量值E f ;
2 应根据实测数据确定张拉端锚具变形和纤维增强复合材料预应力筋内缩值a;
3 应根据实测数据确定考虑孔道每米长度局部偏差的摩擦系数k和纤维增强复合材料预应力筋与孔道壁之间的摩擦系数μ;
4 计算受拉区预应力钢筋和非预应力钢筋的配筋率ρ时,应将纤维增强复合材料预应力筋截面面积乘以折算系数E f /E s 以替换原公式中的相应值。
条文说明
10.2.1σl1、σl2和σl5的计算可采用与预应力钢筋混凝土结构相同的方法,但应根据纤维增强复合材料筋与预应力钢筋的差异,重新确定相关的计算参数,以反映纤维增强复合材料预应力筋混凝土结构的受力特性。σl1的计算应以纤维增强复合材料预应力筋的弹性模量值Efp替换计算公式中预应力筋的弹性模量值Es;并考虑到目前不同厂商所提供的纤维增强复合材料预应力筋锚具缺乏统一标准,要求根据实测数据确定张拉端锚具变形和纤维增强复合材料筋内缩值a。σl1、σl2计算中所涉及的孔道每米长度局部偏差的摩擦系数k和纤维增强复合材料预应力筋与孔道壁之间的摩擦系数μ,也应根据实测数据确定。σl5的计算应考虑纤维增强复合材料筋弹性模量与钢筋具有显著差异的影响,对本标准中的相应公式进行修正。 因纤维增强复合材料的弹性模量显著低于钢材,纤维增强复合材料预应力筋混凝土构件的预应力损失σl1、σl5要小于预应力钢筋混凝土构件的相应值。
10.2.2 纤维增强复合材料预应力筋的应力松弛损失σ l4 可按下列公式计算:

式中:φ——应力松弛损失率;
a,b——系数;无实测数据时,对于碳纤维增强复合材料筋,可取a=0.231,b=0.345;对于芳纶纤维增强复合材料筋,可取a=3.38,b=2.88;
t——时间(d)。
10.2.3 因季节温差造成的预应力变化σ l8 应按下式计算:

式中:△T——年平均最高(或最低)温度与预应力筋张拉锚固时的温差(℃);
α f ——纤维增强复合材料筋的轴向温度膨胀系数(1/℃);
α c ——混凝土的温度线膨胀系数(1/℃)。
条文说明
10.2.3不同于与混凝土具有相近温度线膨胀系数的钢筋,纤维增强复合材料筋的温度膨胀系数与混凝土存在显著差异,且可能为负值。对于纤维增强复合材料预应力筋混凝土结构,本条要求考虑因季节温差造成的预应力变化σl7,并应根据△T是升温或降温来确定纤维增强复合材料预应力筋考虑σl8后的应力情况。
10.3 承载能力极限状态验算
10.3 承载能力极限状态验算
10.3.1 纤维增强复合材料预应力筋混凝土受弯构件的正截面受弯承载力应按本规范第5.1.2条的规定和下列基本假定进行计算:
1 不考虑纤维增强复合塑料筋的抗压强度;
2 纵向受拉纤维增强复合材料筋的应力等于纤维增强复合材料筋应变与其弹性模量的乘积,且不应大于按本规范第3.2.4条规定计算的纤维增强复合材料筋抗拉强度设计值。
条文说明
10.3.1在纤维增强复合材料筋与混凝土之间存在良好粘结的前提下,纤维增强复合材料预应力筋混凝土受弯构件的截面应变分布仍可采用平截面假定。本条关于纤维增强复合材料筋预应力筋混凝土构件正截面受弯承载力计算的基本假定,是在本规范有关规定的基础上,考虑纤维增强复合材料筋特性提出的。
10.3.2 纵向非预应力受拉钢筋屈服与受压区混凝土破坏同时发生时的相对界限受压区高度,应按下式计算:

式中:ξ b ——相对界限受压区高度;
β 1 ——混凝土受压区高度折算系数,按本规范第5.1.7条的规定计算;
ε cu ——正截面混凝土极限压应变,按本规范第5.1.2条的规定计算;
E s ——纵向受拉钢筋的弹性模量(MPa);
f y ——纵向受拉钢筋的抗拉强度设计值(MPa)。
10.3.3 纵向纤维增强复合材料预应力筋达到设计强度与受压区混凝土破坏同时发生的相对平衡受压区高度应按下式计算:

式中:ξ fp,b ——相对平衡受压区高度;
σ fp0 ——纤维增强复合材料预应力筋合力点处混凝土法向应力等于零时的纤维增强复合材料预应力筋的应力(MPa),按本规范第10.3.6条规定进行计算;
f fpd ——纤维增强复合材料预应力筋的抗拉强度设计值(MPa),按本规范第3.2.4条的规定计算,其中f fk 取为纤维增强复合材料预应力筋的抗拉强度标准值。
条文说明
10.3.2、10.3.3ξb和亭ξfp,b之间的大小关系受到预应力大小的影响。当预应力较小而纤维增强复合材料筋的极限延伸率较高时,平衡相对受压区高度ξfp,b小于受压区高度ξb,纤维增强复合材料筋在钢筋屈服之后达到与其抗拉强度设计值ffpd相应的极限拉应变;当预应力较大而纤维增强复合材料筋的极限延伸率又较低时,ξfp,b大于ξb,纤维增强复合材料筋达到极限拉应变发生在钢筋屈服之前。 纤维增强复合材料预应力筋混凝土受弯构件应满足ξfp,b<ξb,保证纤维增强复合材料筋达到极限拉应变时钢筋已屈服。
10.3.4 同时配有纤维增强复合材料预应力筋和普通钢筋的混凝土受弯构件的正截面受弯承载力应符合下列公式规定:


图10.3.4-1 受弯构件正截面受弯承载力计算

3 对于矩形截面,取b′ f 等于b;对于T形截面,首先取b等于b′ f 进行计算,当计算所得的x>h′ f 时,用实际的b、b′ f 重新计算。
4 当按式(10.3.4-2)和式(10.3.4-3)计算所得x<ξ fp,b h 0fp 时(图10.3.4-2),混凝土实际受压区高度x c 应重新按式(10.3.4-6)~式(10.3.4-11)计算确定,正截面受弯承载力应按式(10.3.4-12)确定:


式中:M——弯矩设计值(N·mm);
α 1 、β 1 ——系数,当ξ fp,b h 0fp ≤x<ξ b h 0 时,按本规范第5.1.7条的规定计算,当x<ξ fp,b h 0fp 时,按式(10.3.4-8)~式(10.3.4-11)计算;
f c ——混凝土轴心抗压强度设计值(MPa);
A s ——受拉区所配钢筋的截面面积(mm 2 );
f′ y ——受压区钢筋的抗拉强度设计值(MPa);
A′ s ——受压区所配钢筋的截面面积(mm 2 );
E fp ——纤维增强复合材料预应力筋的弹性模量(MPa);
A fp ——纤维增强复合材料预应力筋横截面面积(mm 2 );
σ fp ——纤维增强复合材料预应力筋的应力(MPa),σ fp =E fp ε fp ;其中,ε fp 为纤维增强复合材料预应力筋的轴向拉应变;
h 0 ——钢筋合力点距构件顶面的距离(mm);
b——构件截面宽度(mm);
h′ f ——T形、I形截面的受压区的翼缘高度(mm);
b′ f ——T形、I形截面的受压区的翼缘计算宽度(mm),按本规范第5.2.3条的规定计算;
h 0fp ——纤维增强复合材料预应力筋合力点距构件顶面的距离(mm);
a′ s ——受压区纵向钢筋合力点至截面受压边缘的距离(mm)。

图10.3.4-2 受弯构件正截面受弯承载力计算
10.3.5 同时配有纤维增强复合材料预应力筋和非纤维增强复合材料预应力筋的混凝土受弯构件,应按第5.1.2条的基本假定进行计算。承载能力极限状态计算时,非纤维增强复合材料预应力筋的拉应力σ f 应小于纤维增强复合材料筋抗拉强度设计值f fd 。
条文说明
10.3.5本条中纤维增强复合材料预应力筋混凝土构件的受弯承载力计算公式与本规范预应力筋混凝土构件受弯承载力计算的有关规定是协调的,其关键是确定在受弯承载力极限状态下纤维增强复合材料预应力筋的拉应力值。因纤维增强复合材料不存在屈服台阶,承载能力极限状态下纤维增强复合材料预应力筋混凝土受弯构件的破坏可分为受压破坏和受拉破坏两类形态,因此要求设计计算时加以区分。当混凝土受压区高度x大于ξfp,bh0fp时,在纤维增强复合材料筋达到其抗拉强度设计值ffpd前,截面受压边缘混凝土首先达到极限压应变,该破坏形态即为受压破坏。在该极限状态下,纤维增强复合材料预应力筋的拉应力值未知,需根据平截面假定确定。当混凝土受压区高度x小于等于ξfp,bh0,fp时,承载能力极限状态下纤维增强复合材料预应力筋的拉应力于截面受压区混凝土失效前达到其抗拉强度设计值,该现象对应于受拉破坏情况。
10.3.6 对于后张法构件,纤维增强复合材料预应力筋合力点处混凝土法向应力等于零时的纤维增强复合材料预应力筋应力σ fp0 应按下式计算。

式中:σ con ——纤维增强复合材料预应力筋的张拉控制应力(MPa);
σ l ——纤维增强复合材料预应力筋在相应阶段的预应力损失值(MPa);
σ pc ——由预加力在纤维增强复合材料预应力筋合力点处产生的混凝土法向应力(MPa)。
10.3.7 纤维增强复合材料预应力筋混凝土受弯构件的斜截面受剪承载力计算应根据本规范第5.5节条文规定的计算原则进行。
当采用纤维增强复合材料筋作为箍筋时,其考虑弯曲影响的抗拉强度设计值应按下列公式计算,且不应大于0.004E fp 。

式中:f tb ——纤维增强复合材料箍筋考虑弯曲影响的抗拉强度设计值(MPa);
φ bend ——纤维增强复合材料箍筋考虑弯曲影响的强度折减系数;
r——纤维增强复合材料箍筋转角处的弯曲半径(mm);
d b ——纤维增强复合材料箍筋的直径(mm)。
条文说明
10.3.7不同于钢筋,除采用热塑性树脂作为基体材料的纤维增强复合塑料筋能够在加热和加压下改变其形状外,一般直线纤维增强复合塑料筋产品不能在施工现场进行弯折。纤维增强复合塑料筋用作箍筋时,其弯折应在生产过程中完成,但应考虑因纤维弯曲和应力集中而导致其弯折部分抗拉强度的下降。本条根据美国ACI440委员会颁布的《预应力纤维增强复合材料筋混凝土结构》ACI440.4R-04给出了纤维增强复合塑料箍筋考虑弯曲影响的强度折减系数。
10.4 正常使用极限状态验算
10.4 正常使用极限状态验算
10.4.1 荷载效应准永久组合下,纤维增强复合材料预应力筋的拉应力应符合下式规定:

式中:σ fp,s ——按荷载效应的准永久组合计算的纤维增强复合材料筋拉应力(MPa);
f fpc ——纤维增强复合材料筋的持久强度设计值(MPa),应按本规范第3.2.5条的规定计算。
条文说明
10.4.1为避免纤维增强复合材料筋在设计服役期内发生徐变断裂,其长期承受的拉应力应小于本规范第3.2.5条所规定纤维增强复合材料筋的持久强度设计值。
10.4.2 纤维增强复合材料预应力筋混凝土受弯构件的挠度限值和裂缝控制要求应分别符合本规范表6.2.6、表6.3.2的规定。
10.4.3 正常使用极限状态下,纤维增强复合材料预应力筋混凝土受弯构件的裂缝宽度和变形验算可根据本规范第6章的有关规定进行,但对相应计算公式应进行下列修正:
1 对于裂缝控制验算,应将纤维增强复合材料筋的截面面积折算为A f E f /E s ,其中,A f 为受拉区纤维增强复合材料筋的截面面积;并应根据实测数据确定纤维增强复合材料筋的相对粘结特性系数v i ;
2 对于挠度验算,应采用纤维增强复合材料筋的弹性模量值E f 。
条文说明
10.4.3因纤维增强复合材料筋弹性模量与钢筋有较大差异,在按照本规范第6章的有关规定进行纤维增强复合材料筋混凝土受弯构件的裂缝宽度和变形验算时,应根据纤维增强复合材料筋与钢筋的弹性模量比,将纤维增强复合材料筋的截面面积修正为等效钢筋截面面积。
10.5 构造要求
10.5 构造要求
10.5.1 曲线纤维增强复合材料预应力筋的曲率半径应大于5m,且大于100倍的孔道直径。纤维增强复合材料预应力筋的净间距应大于其孔道直径。
条文说明
10.5.1孔道曲率半径应保证孔道内的纤维增强复合材料预应力筋的强度不会因为筋的弯折而下降。
10.5.2 纤维增强复合材料预应力筋混凝土构件中的纵向受拉非纤维增强复合材料预应力筋应符合下列规定:
1 其间距和混凝土保护层厚度应按现行国家标准《混凝土结构设计规范》GB 50010关于纵向受力钢筋的有关规定执行。
2 其锚固长度应通过试验确定。当锚固长度不足时,应采用可靠的机械锚固措施。
3 其搭接连接应按现行国家标准《混凝土结构设计规范》GB 50010关于纵向受力钢筋的相关规定执行。
条文说明
10.5.2本条对纤维增强复合材料预应力筋混凝土结构中的普通钢筋构造作了规定。
10.5.3 纤维增强复合材料箍筋应有锚固段。锚固可采用90°的弯钩,其弯折半径r与复合材料筋直径d b 的比值不应小于3,且应保证弯钩端头平直段长度不小于12d b 。
11 构造规定
11.1 一般规定
11 构造规定
11.1 一般规定
11.1.1 主要承重构件和有抗震要求的构件宜采用有粘结预应力,板类构件宜采用无粘结预应力。大偏心受压的框架顶层边柱可采用有粘结预应力。
条文说明
11.1.1主要承重构件和抵抗地震作用的构件一般包括框架梁、门架、转换层大梁等,板类构件一般是指扁梁和次梁。
11.1.2 预应力柱应符合下列规定:
1 柱的预应力筋宜采用直线或局部曲线过渡的折线布置(图11.1.2)。

图11.1.2 柱预应力筋束形
2 预应力束长度不宜小于顶层层高,并宜延伸至下层柱柱中,延伸长度范围为h 1 /3~h 1 /2。
3 柱受拉边采用普通钢筋和预应力筋混合配筋,受压边只配普通钢筋,柱箍筋宜全高加密。
4 折线配筋的构件,预应力筋弯折处的曲率半径r p 不宜小于4m。
5 柱顶预应力筋矢高e 1 、柱底预应力筋束距柱同侧边缘的距离e 2 均不宜小于100mm,并应满足锚固体系所要求的最小尺寸;预应力张拉端节点宜避让框架梁柱节点核心区。
6 当柱中预应力筋采用局部曲线过渡的折线布置时,中间直线段预应力筋的起、止点距最近梁表面的距离宜为500mm。
11.1.3 预应力混凝土单向板应符合下列规定:
1 预应力筋沿连续平板受力方向宜采用多波连续抛物线布置;
2 预应力筋沿板宽单根或并筋均匀布置,每束预应力筋不宜超过4根,间距不宜大于1200mm;
3 预应力筋垂直方向需配置非预应力筋,配筋率不宜小于0.2%。
11.1.4 预应力混凝土双向板应符合下列规定:
1 预应力筋宜采用抛物线布置或折线布置,抛物线的参数取值应考虑双向普通钢筋及预应力筋交叉编网的影响;
2 双向均沿板宽单根或并筋应均匀布筋,每束预应力筋不宜超过4根,间距不宜大于1200mm;
3 预应力筋和普通钢筋在跨中布置位置关系应为预应力筋布置于普通钢筋位置偏板的内部区域,且短向的预应力筋应布置于双向预应力钢筋网的外侧(图11.1.4)。

图11.1.4 预应力筋与普通钢筋的位置关系
1-板底短向普通钢筋;2-板底长向普通钢筋;3-板底短向预应力筋;4-板底长向预应力筋;5-板顶短向普通钢筋;6-板顶长向普通钢筋;7-板顶短向预应力筋;8-板顶长向预应力筋
11.2 先张构件
11.2 先张构件
11.2.1 先张预应力混凝土构件宜采用有肋纹的预应力筋,以保证钢筋与混凝土之间有可靠的粘结力。当采用光面钢丝作预应力筋时,应保证钢丝在混凝土中可靠地锚固,防止钢丝与混凝土粘结力不足而造成钢丝滑动。
受拉预应力筋的基本锚固长度应按下式计算:

式中:l ab ——受拉钢筋的基本锚固长度(mm);
f py ——预应力筋的抗拉强度设计值(MPa);
f t ——混凝土轴心抗拉强度设计值(MPa),当混凝土强度等级高于C60时,按C60取用;
d——锚固钢筋的直径(mm);
α——钢筋的外形系数,可按本规范表6.1.2取值。
条文说明
11.2.1基本锚固长度lab取决于钢筋强度fy及混凝土抗拉强度ft,并与锚固钢筋的直径及外形有关。公式(11.2.1)为计算基本锚固长度lab的通式,其中分母项反映了混凝土对粘结锚固强度的影响,用混凝土的抗拉强度表达。预应力螺纹钢筋通常采用后张法端部专用螺母锚固,故未列入锚固长度的计算方法。
11.2.2 先张预应力筋的净间距应根据浇筑混凝土、施加预应力及钢筋锚固等要求确定。预应力筋之间的净间距不应小于其公称直径的2.50倍和混凝土粗骨料的1.25倍,且应符合下列规定:
1 热处理钢筋及钢丝,不应小于15mm;
2 三股钢绞线,不应小于20mm;
3 七股钢绞线,不应小于25mm;
4 当混凝土振捣密实性具有可靠保证时,净间距可放宽为最大粗骨料粒径的1.0倍。
条文说明
11.2.2根据先张法预应力筋的锚固及预应力传递性能,提出了配筋净间距的要求,其数值是根据试验研究及工程经验确定的。
11.2.3 先张预应力混凝土构件端部宜采用下列加强措施:
1 单根配置的预应力筋,其端部宜设置长度不小于150mm且不小于4圈的螺旋筋;当有可靠经验时,也可利用支座垫板上的插筋代替螺旋筋,插筋数量不应小于4根,其长度不宜小于120mm。
2 分散布置的多根预应力筋,在构件端部10d,且不小于100mm范围内应设置(3~5)片与预应力筋垂直的钢筋网。
3 采用预应力钢丝配筋的薄板,在板端100mm范围内适当加密横向钢筋网。
4 槽形板类构件,应在构件端部100mm范围内沿构件板面设置附加横向钢筋,其数量不应少于2根。
条文说明
11.2.3先张法预应力传递长度范围内局部挤压造成的环向拉应力容易导致构件端部混凝土出现劈裂裂缝。因此端部应采取构造措施,以保证自锚端的局部承载力。所提出的措施为长期工程经验和试验研究结果的总结。 d为预应力筋的公称直径。
11.2.4 预制肋形板,宜设置加强其整体性和横向刚度的横肋。端横肋的受力钢筋应弯入纵肋内。当采用先张长线法生产有端横肋的预应力混凝土肋形板时,应在设计和制作上采取防止放张预应力时端横肋产生裂缝的有效措施。
11.2.5 对预应力筋在构件端部全部弯起的受弯构件或直线配筋的先张构件,当构件端部与下部支承结构焊接时,应考虑混凝土收缩、徐变及温度变化所产生的不利影响,宜在构件端部可能产生裂缝的部位设置足够的非预应力纵向构造钢筋。
条文说明
11.2.4、11.2.5为防止预应力构件端部及预拉区的裂缝,对肋形板提出了配置防裂钢筋的措施。
11.3 后张构件
11.3 后张构件
11.3.1 T形或I形截面的受弯构件,上下腋脚之间的腹板高度,当腹板内有竖向预应力筋时,不宜大于腹板厚度20倍;当无竖向预应力筋时,不宜大于腹板厚度的15倍;腹板厚度不应小于140mm。
条文说明
11.3.1本条参照《公路钢筋混凝土及预应力混凝土桥涵设计规范》JTGD62中T形和I形截面梁,在与腹板相连处的翼缘厚度,不小于梁高的1/10。当有承托时,可计入承托加厚部分厚度。
11.3.2 预应力钢丝束、钢绞线束的预留孔道应符合下列规定:
1 预制构件中孔道之间的水平净距不宜小于1倍孔道直径,粗骨料粒径的1.25倍,和50mm中的较大值,一排孔道难以布下全部预应力筋时可布置多排孔道;孔道至构件边缘的净间距不宜小于30mm,且不宜小于孔道直径的50%。
2 现浇混凝土梁中预留孔道在竖直方向的净间距不应小于孔道外径,水平方向的净间距不应小于1.5倍孔道外径,且不应小于粗骨料粒径的1.25倍;使用插入式震动器捣实混凝土时,水平净距不宜小于80mm。
3 裂缝控制等级为一、二级的梁,从孔道外壁至构件边缘的净间距,梁底不宜小于50mm,梁侧不宜小于40mm;裂缝控制等级为三级的梁,梁底、梁侧分别不宜小于60mm和50mm。
4 预留孔道的内径应比预应力束外径及需穿过孔道的连接器外径大10mm~20mm,且孔道的截面积宜为穿入预应力束截面积的(3.0~4.0)倍。
5 当有可靠经验并能保证混凝土浇筑质量时,预留孔道可水平并列贴紧布置,但并排的数量不应超过2束。
6 梁端预应力筋孔道的间距应根据锚具尺寸,千斤顶尺寸,预应力筋布置及局部承压等因素确定。锚具下的承压垫板净距应不小于20mm;锚具下承压钢板边缘至构件边缘距离应不小于40mm。
7 在现浇楼板中采用扁形锚具体系时,穿过每个预留孔道的预应力筋数量宜为3~5根;在常用荷载情况下,孔道在水平方向的净间距不应超过8倍板厚及1.5m中的较大值。
8 凡制作时需要预先起拱的构件,预留孔道宜随构件同时起拱。
条文说明
11.3.2规定了后张预应力筋配置及孔道布置的要求。由于对预制构件预应力筋孔道间距的控制比现浇结构构件更容易,且混凝土浇筑质量更容易保证,故对预制构件预应力筋孔道间距的规定比现浇结构构件的小。要求孔道的竖向净间距不应小于孔道直径,主要考虑曲线孔道张拉预应力筋时出现的局部挤压应力不致造成孔道间混凝土的剪切破坏。而对三级裂缝控制等级的梁提出更厚的保护层厚度要求,主要是考虑其裂缝状态下的耐久性。预留孔道的截面积宜为穿入预应力筋截面积的(3.0~4.0)倍,是根据工程经验提出的。有关预应力孔道的并列贴紧布置,是为方便截面较小的梁类构件的预应力筋配置。 板中单根无粘结预应力筋、带状束及梁中集束无粘结预应力筋的布置要求,是根据国内推广应用无粘结预应力混凝土的工程经验作出规定的。
11.3.3 后张预应力混凝土构件中,曲线预应力束的曲率半径r p 宜按下式确定,但孔道外径为50mm~70mm时不宜小于4m,孔道外径为75mm~95mm时不宜小于5m。曲线预应力筋的端头,应有与之相切的直线段,直线段长度不应小于300mm。

式中:P——预应力束的合力设计值(N),可按本规范第5.8.1条的规定确定;
r p ——预应力束的曲率半径(m);
d p ——预应力束孔道的外径(mm);
f c ——混凝土轴心抗压强度设计值(MPa);当验算张拉阶段曲率半径时,可取与施工阶段混凝土立方体抗压强度f′ cu 对应的抗压强度设计值f′ c ,按现行国家标准《混凝土结构设计规范》GB 50010-2010中表4.1.4-1以线性内插法确定。
当曲率半径r p 不满足公式11.3.3时,可在预应力束弯折处内侧设置钢筋网片或螺旋筋加强。对于折线配筋的构件,预应力束弯折处的曲率半径r p 可适当减小,并宜采用圆弧过渡。
条文说明
11.3.3盐线预应力束最小曲率半径rp的计算公式是按《混凝土结构设计规范》GB50010-2010附录D有关素混凝土构件局部受压承载力公式推导得出,并与国外规范公式对比后确定的。105以下常用曲线预应力钢丝束、钢绞线束的曲率半径不宜小于4m是根据工程羟验给出的。当后张预应力束曲线段的曲率半径过小时,在局部挤压力作用下可能导致混凝土局部破坏,故应配置局部加强钢筋,加强钢筋可采用网片筋或螺旋筋,其数量可按本规范有关配置间接钢筋局部受压承载力的计算规定确定。
11.3.4 后张有粘结预应力筋孔道两端应设排气孔。单跨梁的灌浆孔宜设置在跨中处,也可设置在梁端,多跨连续梁宜在中支座处增设。灌浆孔间距对抽拔管不宜大于12m,对波纹管不宜大于30m。曲线孔道高差大于0.5m时,应在孔道的每个峰顶处设置泌水管,泌水管伸出梁面高度不宜小于0.5m。泌水管可兼作灌浆管使用。
11.3.5 连续多跨预应力混凝土梁在选用预应力体系和布置预应力筋时,可采用下列措施减小摩擦损失:
1 在整根梁上布置通长曲线形预应力筋时,可结合梁的受力情况变化梁高,使预应力筋尽量平缓;
2 可在预应力筋反弯段处设置较长的钢筋重叠段,避免一根预应力筋形成多个S形曲线。
附录A常用线型布筋形式下预应力混凝土框架的约束次内力计算公式
附录A 常用线型布筋形式下预应力混凝土框架的约束次内力计算公式
表A 常用线型布筋形式下预应力混凝土框架的约束次内力计算公式


附录B常用体外预应力线型布置及次内力计算
附录B 常用体外预应力线型布置及次内力计算
B.0.1 一跨内常用预应力线型布置可分为单段直线、多段直线和折线等(图B.0.1),不同约束条件下的体外预应力受弯构件,可按表B.0.1-1~表B.0.1-3计算单跨构件主弯矩作用下的杆端约束次弯矩,再根据刚度方程或弯矩分配法求解结构次内力。

图B.0.1 体外预应力筋线型布置图
表B.0.1-1 一端固定一端铰支时的约束次内力计算公式

表B.0.1-2 两端固定时的约束次内力计算公式

表B.0.1-3 一端固定一端滑动支座时的约束次内力计算公式

本规范用词说明
本规范用词说明
1 为便于在执行本规范条文时区别对待,对要求严格程度不同的用词说明如下:
1)表示很严格,非这样做不可的用词:
正面词采用“必须”,反面词采用“严禁”;
2)表示严格,在正常情况下均应这样做的用词:
正面词采用“应”,反面词采用“不应”或“不得”;
3)表示允许稍有选择,在条件许可时首先应这样做的用词:
正面词采用“宜”,反面词采用“不宜”;
4)表示有选择,在一定条件下可以这样做的,采用“可”。
2 条文中指明应按其他有关标准执行的写法为:“应符合……的规定”或“应按……执行”。
引用标准名录
引用标准名录
1 《砌体结构设计规范》GB 50003
2 《建筑结构荷载规范》GB 50009
3 《混凝土结构设计规范》GB 50010
4 《建筑抗震设计规范》GB 50011
5 《钢结构设计规范》GB 50017
6 《工业设计防腐蚀设计规范》GB 50046
7 《水泥基灌浆材料应用技术规范》GB/T 50448
8 《混凝土结构耐久性设计规范》GB/T 50476
9 《涂装前钢材表面锈蚀等级和除锈等级》GB/T 8923
10 《预应力筋用锚具、夹具和连接器》GB/T 14370
11 《单丝涂覆环氧涂层预应力钢绞线》GB/T 25823
12 《预应力筋用锚具、夹具和连接器应用技术规程》JGJ 85
13 《无粘结预应力混凝土结构技术规程》JGJ 92
14 《型钢混凝土组合结构技术规程》JGJ 138
15 《预应力混凝土结构抗震设计规程》JGJ 140
16 《无粘结预应力钢绞线》JG 161
17 《缓粘结预应力钢绞线》JG/T 369
18 《缓粘结预应力钢绞线专用粘合剂》JG/T 370
19 《环氧涂层预应力钢绞线》JG/T 387
20 《预应力混凝土用金属波纹管》JG/T 3013
21 《预应力混凝土桥梁用塑料波纹管》JT/T 529
22 《塑料护套半平行钢丝拉索》CJ 3058
23 《高强度低松弛预应力热镀锌钢绞线》YB/T 152
24 《钢结构防火涂料》GB 14907
自2022年4月1日起废止的条文

