Appearance
《钢筋混凝土筒仓设计标准[附条文说明]》GB 50077-2017
🗓️ 住房和城乡建设部 实施时间:2018-08-01
前言
中华人民共和国国家标准
钢筋混凝土筒仓设计标准
Standard for design of reinforced concrete silos
GB 50077-2017
主编部门:中国煤炭建设协会
批准部门:中华人民共和国住房和城乡建设部
实施日期:2018年8月1日
中华人民共和国住房和城乡建设部公告
第1742号
住房城乡建设部关于发布国家标准《钢筋混凝土筒仓设计标准》的公告
现批准《钢筋混凝土筒仓设计标准》为国家标准,编号为GB 50077-2017,自2018年8月1日起实施。其中,第3.1.4、3.1.5(1、2、3),3.1.7、5.1.1、5.4.3、6.1.1(1、3、4)、6.1.3、6.1.12、6.8.5、6.8.7条(款)为强制性条文,必须严格执行。原国家标准《钢筋混凝土筒仓设计规范》GB 50077-2003同时废止。
本标准在住房城乡建设部门户网站公开,并由我部标准定额研究所组织中国计划出版社出版发行。
中华人民共和国住房和城乡建设部
2017年11月20日
前 言
根据住房城乡建设部《关于印发2011年工程建设标准规范制订、修订计划通知》(建标〔2011〕17号)的要求,标准编制组经广泛调查研究,认真总结实践经验,参考有关国际标准和国外先进标准,并在广泛征求意见的基础上,修订本标准。
本标准共分8章和9个附录,主要内容包括:总则、术语和符号、布置原则及结构选型、结构上的作用、结构计算、构造、堆料仓、槽仓等。
本次修订的主要内容是:
(1)对《钢筋混凝土筒仓设计规范》GB 50077-2003(以下简称原标准)表达不明确的条文内容进行了修订,并在条文说明中做了进一步的阐述;
(2)对深仓、浅仓的分类做了必要的调整;
(3)对小型浅仓和大型圆形浅仓贮料压力计算方法的区别增加了新规定;
(4)根据筒仓薄壳结构的特性,增加了适用于筒仓的预应力设计内容;
(5)增加了直径大于30m的圆形筒仓温度作用的计算及设计内容;
(6)根据筒仓使用功能及结构特性的要求,对本标准的条文内容与其他相关规范的规定相左之处,进行了明确界定,并在条文说明中进行了必要的解释;
(7)本次修订增加了堆料仓的设计内容,并将堆料仓增编为本标准的第7章;将原标准附录A的槽仓改编为本标准的第8章,原附录B的名称改为圆形筒仓仓侧大偏心卸料荷载,附录C的名称改为大型圆形浅仓贮料压力计算公式;对原标准附录G的设计内容进行了较大的调整和增补,改为本标准的附录K;增加了附录F框架支承式钢筋混凝土矩形筒仓的侧移刚度;
(8)将第2章术语和符号中的外语专用名词,按国际标准化组织(ISO)的规定及近年来国外通用的专业用词进行了修改;第3章增加了筒仓的设计使用年限、抗震类别、结构安全等级及筒仓的使用条件,明确了筒仓结构使用高强钢筋HRB400、HRB500的条件和规定;第4章(结构上的荷载)改为结构上的作用。
本标准以黑体字标志强制性条文,必须严格执行。
本标准由住房城乡建设部负责管理和对强制性条文的解释。由中国煤炭建设协会负责日常管理工作,由中煤科工集团北京华宇工程有限公司负责具体技术内容的解释。本标准在执行过程中,如发现需要修改和补充之处,请将意见和建议寄交中煤科工集团北京华宇工程有限公司《钢筋混凝土筒仓标准组》(地址:北京市西城区安德路67号,邮政编码:100120),以供今后修订时参考。
本标准主编单位、参编单位、参加单位、主要起草人和主要审查人:
主编单位:中煤科工集团北京华宇工程有限公司
参编单位:中国电力工程顾问集团华北电力设计院有限公司
中国电力工程顾问集团东北电力设计院有限公司
中国电力工程顾问集团西北电力设计院有限公司
天津水泥工业设计研究院有限公司
中国中材国际工程股份有限公司
中煤邯郸设计工程有限责任公司
中煤西安设计工程有限责任公司
中冶长天国际工程有限责任公司
长沙有色冶金设计研究院有限公司
河南工大设计研究院
国贸工程设计院
江苏新筑预应力工程有限公司
河南工业大学土木建筑学院
参加单位:中国煤炭建设协会勘察设计委员会
主要起草人:崔元瑞 陈玉欣 田树桐 连艳红 杨眉 林娜 欧阳俊 司马德义 邵一谋 姬海清 李胜利 肖玉银 李寿明 袁海龙 郭呈周 鲁明玉 周先财 原方 刘海燕
主要审查人:王志杰 龚佳 郝汝青 周丽琼 王振清 徐晖 王宗祥 刘跃生 郑捷
1 总则
1 总 则
1.0.1 为在钢筋混凝土筒仓设计中贯彻执行国家的技术经济政策,做到安全适用、经济合理、技术先进、节约资源、确保质量,制定本标准。
1.0.2 本标准适用于贮存散料及压缩空气调匀混合粉料且平面形状为圆形或矩形的现浇钢筋混凝土筒仓设计。不适用于贮存青饲料及纤维状散料和湿法搅拌物料的筒仓设计。
条文说明
1.0.2 本标准适用于贮存散料的钢筋混凝土及预应力混凝土筒仓,其散料的粒径、颗粒组成、含水量及其他物理力学特性均应符合散体理论的要求。对于平均粒径大于200mm且小于1000mm的粗块状散体,不适用于深仓,只适用于低壁浅仓或斗仓。在冶金工业矿山工程中出现大块散料的概率较大,对仓体的破坏也较严重。其他行业的贮料一般都可控制在200mm粒径或以下,对于粒径更大的块体贮料,其物理力学特性已超出散体力学的涵盖范围,在冶金及矿山工程中,也有釆用矿车直接倒入浅仓或斗仓的装仓方式,在此条件下,其工艺设计应设置破碎、篦子等设备控制物料的粒径。对于体积超大的贮料,既不适用于本标准的深仓,也不适用于浅仓或斗仓。国内使用压缩空气混合粉料调匀仓逐渐减少,但国外设计的筒仓工程仍在使用这种生产工艺,釆用压缩空气装、卸料的筒仓仍可釆用本标准的方法进行设计。槽仓属于平面外形为矩形的筒仓,在我国的工程建设中经常釆用。本次修订仍保留有关槽仓的内容。在修订原规范时,由于受到当时工程实践和技术条件之限,国内建成的最大筒仓仓径为40m,原规范在此基础上制定了筒仓温度应力的有关规定。但近年来直径100m左右及更大直径的筒仓不断出现,原规范中温度应力的有关规定已不能完全适应这类超大型筒仓温度应力的计算。预应力混凝土筒仓及抗震设计的内容将需作适当的调整。本次修订后的抗震要求,除按本标准的规定执行外,尚应符合现行国家标准《构筑物抗震设计规范》GB 50191的有关规定。近年来,预应力混凝土筒仓在我国煤炭、水泥及电力等行业有了很大发展。尤其是对于直径较大的筒仓,使用更为广泛。本次修订除原有的内容外,借鉴国外及近年来国内预应力混凝土筒仓设计及施工经验,增加了有关预应力筒仓设计的内容。近年来,虽然钢纤维混凝土筒仓在国内也有建造,但设计及工程实践经验尚少,青饲料和湿法搅拌贮料的筒仓,其贮料的物理力学特性已不属于散体力学的范畴,本标准将不涉及这方面的内容。对于平面为多边形的筒仓、用壁板连成的群仓、设有内隔板的筒仓及筒中筒的筒仓等,虽然国外有这类筒仓工程,有些部门也反映希望列入这方面的内容,但在我国的工程实践经验尚少,在圆形筒仓中设置隔板,会造成轴对称旋转薄壳结构的内力计算及构造复杂,并增加施工难度,且对料流产生不利影响,贮料及其流动对筒仓的作用力也不明确。故本标准为了筒仓的安全运行,对仓内设置筒中筒、在仓壁上设螺旋溜槽等影响物料流动的设施及由此对仓壁出现的荷载效应提出了必要的限制。对上述几种筒仓设计细则的规定,均不纳入本标准修订的内容。修订后的本标准不仅增加了预应力混凝土筒仓、堆料仓、槽仓的内容,调整了附录的顺序,还根据中华人民共和国住房和城乡建设部的规定,将原规范的名称改为《钢筋混凝土筒仓设计标准》,对原规范中已发现的差错,在本次修订中进行了改正。
1.0.3 钢筋混凝土筒仓设计除应符合本标准外,尚应符合国家现行有关标准的规定。
2 术语和符号
2.1 术语
2 术语和符号
2.1 术 语
条文说明
为了统一筒仓设计用语,也是为了广大设计人员在阅读有关国外筒仓资料时,理解专用术语的含义,本标准保留了原规范的专用术语及符号,并增加和修订了原规范中没有列入的术语。所列术语的英文名称是参照国外有关规范的常用词语编写的。筒仓专用术语的外语用词,国际上并不统一,即使英语国家,如美国、英国、澳大利亚还有对外使用英语的印度等国也是如此。如贮料就有:solid、bulk solid、stored solid、stored bulk material等,因此本标准对类似专用术语的英文名称不再修改。
2.1.1 筒仓 silo
平面为圆形、矩形的贮存散料的直立容器。
条文说明
2.1.1 对于筒仓的术语,如hopper、bunker、bin等单词来自英语,silo来自法语。国际标准化组织(ISO)将hopper、bunker、bin统称为silo,即我们所说的筒仓。本标准采纳国际标准化组织的规定,不再使用除silo以外的英文用词。本条中的直立容器,是指由柱或筒壁支承并由直立式仓壁封围的贮存贮料的容器,构成该容器的总体称为筒仓,其与仓体的长、高尺寸及其比值无关。这与中文中筒子的概念有所区别。也就是说,高度不大于横向尺寸的筒体也可以称为筒仓,其平面也不限定为圆形。这样,平面为其他几何形状包括槽仓在内的贮仓也可称为筒仓。但由于平面形状更复杂的筒仓,如六角形、八角形还有其他几何形状的筒仓,在我国较少使用,故本标准编制的内容中只限于平面为圆形或矩形的筒仓。 近年来出现了直径达100m左右的大型储煤及储料场,有人也把它称为筒仓,事实上这种构筑物与本标准所涉及的筒仓完全不同。储煤场及储料场,虽然在外观上可能与大型筒仓或圆形浅仓相似,但最大的区别是储煤及储料场的料堆并不与其周边的围墙接触,也就是说,煤堆或料堆对其围墙没有直接作用力,其围墙不作为仓壁承受贮料压力,只作为围护结构或承受其顶盖传来的荷载。但筒仓除承受结构自重外,正好与其相反。故不能认为储煤场及储料场就是筒仓,其受力状况、设计、计算及构造原理完全不同,是两种不同结构形式的构筑物。
2.1.2 仓上建筑物 building above the top of silo
按散料入仓的工艺要求,建在仓顶上的建筑。
条文说明
2.1.2 筒仓贮料仓壁顶面以上的建筑都可称为仓上建筑物,按各种不同的贮料工艺设计,所釆用的建筑结构形式也各不相同。
2.1.3 仓顶 top of silo
封闭仓体顶面的结构。
2.1.4 仓壁 wall of silo
仓体与贮料接触且承受贮料侧压力的竖壁。
2.1.5 仓下支承结构 supporting structure of silo bottom
筒仓基础以上支承上部仓体的结构,包括筒壁、有扶壁柱的筒壁及支柱等。
2.1.6 筒壁 supporting wall
平面与上部仓体相同的支承其上部仓体的竖壁。
2.1.7 斜壁 inclined wall
构成漏斗的倾斜壁板。
2.1.8 漏斗 hopper
仓体下部用以卸出贮料的容器。
2.1.9 深仓 slender silo
贮料侧压力计算时,计入其对仓壁摩擦作用的筒仓。
2.1.10 浅仓 shallow bin
贮料侧压力计算时,不计入其对仓壁摩擦作用的筒仓。
2.1.11 大型圆形浅仓 squat silo
平面为圆形,直径等于或大于25m、仓壁或筒壁落地的圆形浅仓。
条文说明
2.1.9~2.1.11 在多数国外文献中,bin的英文原意为英国早期燃煤蒸汽机轮船使用的煤箱。现代欧洲筒仓规范已不再使用deep bin,而使用slender silo,其定义与我国规范的深仓概念相同,故本标准将原规范中深仓的英译改为slender silo。浅仓仍使用shallow bin,大型圆形浅仓实际上更像高径比较小的有盖圆池。法国规范称其为magasins de stockage或silo-reservoirs(圆形浅仓),澳大利亚规范Load on Bulk Solids Containers称其为squat container(圆形容器)。国际标准化组织(ISO)目前还没有圆形浅仓的确切用语,故本标准釆用现行欧洲筒仓规范的术语“squat silo”(大型圆形浅仓)。“squat”作为形容词,应为矮胖的意思,但将squat silo译为“矮仓”并不确切。矮的中文含义是高的反义词,矮的物体并不一定胖。而“浅”除与高对应之外,还有宽胖的意思,也就是说,此类物体既矮又胖。对筒仓来说,“squat silo”译为“大型圆形浅仓”,并将原规范中的“浅圆仓”也改为“大型圆形浅仓”,其用词更为严谨。
2.1.12 单仓 single silo
不与其他建、构筑物联成整体的单体筒仓。
2.1.13 排仓 silos in line
按单线排列并联为整体的筒仓。
2.1.14 群仓 group silos
三个或多于三个非单线排列且联为整体的筒仓。
条文说明
2.1.14 为区别于排仓,群仓应多于三个且不排在一条直线上。本标准中的群仓相互间的连接方式均认定为仓壁相连,不包括釆用壁板连接的群仓;其仓间形成的空间仓体称为星仓;连体筒仓有外壁相切、仓壁中线相切的连接方式,前者计算及施工简单,连接部位为构造配筋,可按单仓计算。后者计算、施工都很复杂,不宜釆用。
2.1.15 仓群 grouping silos
三个或多于三个非单线排列且不连接为整体的筒仓。
2.1.16 星仓 interstice silos
三个及多于三个联为整体的筒仓间形成的封闭空间。
2.1.17 槽仓 trough bunker
仓格由纵向矩形板和横向隔板组成,由柱支承的矩形仓。纵向板件(竖壁、斜壁及底板)的长短边之比等于或大于2.0。
条文说明
2.1.17 槽仓最早出现在苏联及德国文献中,在英美文献中对这种结构的称谓也不统一,结构专业通常称槽仓为trough bunker,工艺专业称槽仓为wedge-shaped hopper及slotted hopper。本标准釆用结构专业的英文用词。
2.1.18 堆料仓 stacking tubes
卸料洞口沿仓壁高度上下层90°交错并对称布置,在仓内外具有卸、堆料功能的圆形独立筒仓。
条文说明
2.1.18 堆料仓在美国的筒仓规范中的英文名称为“STACKING TUBES”,“STACKING TUBES”的中文名称,若按英文直译,应译为堆料管或堆料筒。但考虑到这种构筑物并非只起堆料的作用,还有支承上部结构及储料仓的作用,本次又将其纳入本标准的内容,若再将其直译为堆料管显然不妥。 堆料仓“STACKING TUBES”在我国煤炭工业系统中叫作落煤塔,实际上Stacking tube不只是为了卸料,还有堆存的功能,今后也不会仅限于煤炭行业使用。作为通用术语,在本标准的条文中出现“塔”的名词也不恰当,译为堆料仓还是比较合理的。 堆料仓这种构筑物,作为大型储料场输送机胶带通廊的支承结构,近年来我国建造了很多,但多数设计文件很少有严格的计算依据。 堆料仓“STACKING TUBES”在美国规范中已有相关的技术规定。早在美国规范发布有关“STACKING TUBES”的内容前,美国学者S.Safarian和E.C.Harris在 Bulk Solids Handling Volume 5,Number 2,April 1985先后发表了“Stacking lubes”的两篇研究论文,我们曾将其翻译成中文,并先后刊登在《煤矿设计》1988年第10-11期上。由于受当时的出版条件所限(方块铅字排版),出版后的译文中,有些公式的外文符号印刷有误,本标准在本次修订时做了改正,若使用时有其他不明确、不理解的问题,还可参考以上原文或译文。本标准所列堆料仓的条文比美国规范条文的内容更多一些。
2.1.19 填料 filler
用于仓底构成卸料斜坡的填充材料。
2.1.20 内衬 liner
用于仓底、漏斗及部分仓壁的保护、抗磨耗且有利于贮料流动的衬砌。
2.1.21 散料 granular material
其特性符合散体力学理论的散状贮料。
条文说明
2.1.21 散料的英文用词各国规范并不统一,如granular material、bulk、solid、bulk material等。Granular具有颗粒较细的意思,bulk为颗较粗或块状的物料,solid区别于液体的固体物料,在不同的国外资料中,也有筒仓贮料的意思。本标准仍采用美国规范的用词granular material。
2.1.22 贮料 stored material
贮存于筒仓中的散料。
2.1.23 贮料压力 stored material pressure
贮料作用于仓壁上的压力。
2.1.24 贮料静压力 static stored material pressure
贮料作用于仓壁上的静态压力。
2.1.25 卸料压力 emptying pressure
筒仓卸料时贮料作用于仓壁上的压力。
2.1.26 装料压力 filling pressure
筒仓装料时贮料作用于仓壁上的压力。
2.1.27 整体流动 mass flow
在卸料过程中仓内贮料的水平截面呈平面状态向下的流动。
2.1.28 管状流动 funnel flow
在卸料过程中仓内贮料的表面呈漏斗状态向下的流动。
条文说明
2.1.27、2.1.28 贮料除气力输送外,其入仓及出仓都是依靠贮料的重力流动完成的,在这种流动状态及流动过程中贮料对仓壁产生的压力为重力流动压力,区别于贮料对仓壁产生的静压力,尤其是在卸料过程中,其值远大于贮料的静态压力;国际标准化组织(ISO)将筒仓贮料的流动状态分为整体流动(mass flow或core flow)、漏斗状流动(funnel flow)、管状流动(pipe flow)及扩张流动(expanded flow),并将除整体流动以外的流动总称为漏斗状流动。事实上真正形似管子的流动状态很少出现。将funnel flow译为汉语,既不应是漏斗也不是真正的管子,多数是上大下小长形喇叭状的管状流动较为确切,本标准简称为管状流动。在卸料过程中,仓内贮料颗粒间的相对位置不变,贮料按先进先出顺序靠重力卸出的流动称为整体流动。
2.1.29 中心卸料 concentric discharge
在卸料过程中贮料相对于仓体几何中心对称向下的流动。
条文说明
2.1.29 筒仓的卸料方式很多。中心卸料是指仓内没有促流装置依靠重力且没有几何、力学及结构造成的非正常方式的卸料。
2.1.30 偏心卸料 eccentric discharge
在卸料过程中贮料相对于仓体几何中心不对称向下的流动。
条文说明
2.1.30 有些国外规范对仓内及仓下设有促流装置、仓下结构及漏斗卸料口非几何对称的筒仓卸料,称为非正常卸料或非中心卸料,本标准称为偏心卸料。
2.1.31 防爆措施 anti-explosive measure
釆取除尘、通风及泄爆方法防止易爆物爆炸的措施。
2.1.32 人孔 manhole
检查仓内设施设置的入仓孔。
2.1.33 变形缝 deformation joint
为减轻沉降、温度、地震作用对筒仓本体及其构件、筒仓本体与其相连接的建、构筑物之间的不利影响,而预先设置的结构间相对变形的间隙(沉降缝、伸缩缝及防震缝的总称)。
条文说明
2.1.33 在《工程结构设计基本术语标准》GB/T 50083-2014中,已将变形缝术语删除,分别以防震缝、温度缝、沉降缝等术语替代。筒仓属于贮存物料的构筑物,当筒仓存在多种工况时,为减轻、协调或消除多种作用对结构变形的影响,经常需要设置能符合多于一种功况要求的结构变形间隙,即釆用一个缝同时能满足多个缝的功能。实践表明,在实际工程中,当釆用同一个预留间隙 (缝),可以同时符合多种预留缝的要求时,只有釆用变形缝术语对这种缝的表述才更确切。中国工程建设标准化协会编制的《贮藏构筑物常用术语标准》CECS 11:89对变形缝术语有明确的定义,本标准保留变形缝术语是非常必要的。
2.2 符号
2.2 符 号
2.2.1 几何参数:
a——矩形筒仓仓壁的长边;
b——矩形筒仓仓壁的短边、正方形筒仓仓壁的边长;
a n ——矩形筒仓仓壁长边内边缘的边长;
b n ——矩形筒仓仓壁短边内边缘的边长;
d n ——圆形筒仓仓壁的内径;
h——仓壁高度;
h n ——贮料计算高度;
h h ——漏斗高度;
r——圆形筒仓的半径;
t——仓壁或筒壁厚度;
α——漏斗壁与水平面的夹角;
ρ——筒仓水平净截面的水力半径。
2.2.2 计算系数:
C h ——深仓贮料水平压力修正系数;
C v ——深仓贮料竖向压力修正系数;
C f ——贮料流态化参数;
k——侧压力系数;
α l ——仓壁材料的线膨胀系数;
μ——贮料与仓壁的摩擦系数;
φ——贮料的内摩擦角;
φ w ——贮料的外摩擦角;
β——贮料的安息角,主动体与不动体的边角。
2.2.3 作用:
F——作用于矩形筒仓仓壁上的集中荷载,预应力作用于仓壁上的压力,环线轴力;
p l ——贮料作用于计算截面以上仓壁单位周长上的总竖向摩擦力;
p h ——贮料作用于仓壁单位面积上的水平压力;
p n ——贮料作用于漏斗斜壁单位面积上的法向压力;
p v ——贮料作用于仓底或漏斗顶面处单位面积上的竖向压力,贮料顶面或贮料锥体重心以下距离h处单位面积上的竖向力;
p ec ——偏心卸料作用于仓壁上的水平压力;
p p ——气力输送贮料作用于仓壁及仓底上流化层的装料压力;
p te ——因外界温差作用于仓壁上的水平压力;
p t ——漏斗壁切向力;
p y ——均化仓仓壁上的水平压力。
2.2.4 作用效应:
N h ——矩形浅仓仓壁的水平拉力,角锥形漏斗壁的水平拉力;
N v ——矩形浅仓仓壁的竖向力;
N inc ——角锥形漏斗壁的斜向力;
N——角锥形漏斗壁交角顶部的斜向拉力。
2.2.5 其他:
E r ——矩形筒仓偏心卸料压力系数;
E c ——圆形筒仓偏心卸料压力系数,混凝土弹性模量;
E m ——贮料的弹性模量;
e——偏心卸料口中心与仓中心的距离;
h r ——以小时为单位的时间计量符号;
s——贮料顶面或贮料锥体重心至所计算截面处的距离;
V f ——贮料流态化流动速度;
γ——贮料的重力密度;
μ m —一贮料的泊松比;
μ c ——混凝土的泊松比;
△T——仓壁或筒壁的壁面温差。
注:本章未列出或在其他条文及公式中出现重复使用的符号,均在有关条文或公式中另加注释。
3 布置原则及结构选型
3.1 一般规定
3 布置原则及结构选型
3.1 一般规定
3.1.1 筒仓工程应按下列基本原则进行设计:
1 圆形筒仓深、浅仓的划分应符合下列规定:
1)圆形筒仓的高径比h n /d n 大于或等于1.5时,应为圆形深仓;
2)圆形筒仓的高径比h n /d n 大于0.4且小于或等于1.0时,应为圆形浅仓。
2 矩形筒仓深、浅仓的划分应符合下列规定:
1)矩形筒仓的高宽比h n /b n 大于或等于1.5时,应为矩形深仓;
2)矩形浅仓包括低壁浅仓、高壁浅仓及无竖壁的漏斗仓;
3)矩形筒仓的高宽比h n /b n 小于0.4时,应为低壁矩形浅仓,等于0.4时,应为高壁矩形浅仓。
3 当圆形筒仓的高径比h n /d n 大于1.0且小于1.5、矩形筒仓的高宽比h n /b n 大于0.4且小于1.5时,应根据有利于其可靠性的要求,分别按浅仓或深仓进行设计。
4 钢筋混凝土筒仓的设计使用年限应为50年。
5 抗震设防类别无特殊要求时,应按丙类设计。
6 结构安全等级应为二级。
7 当筒仓与其他建筑连为一体时,不应降低其安全等级、抗震设防类别及地基基础的设计等级。
8 筒仓设计应明确所储物料的特性及装、储、运使用条件的限制,未经技术鉴定和设计许可的筒仓,不应改变筒仓原设计的用途及使用条件。
注:筒仓使用行业有特殊要求时,筒仓结构的安全等级、抗震设防类别应符合专业规定的要求。
条文说明
3.1.1 深、浅仓的分类是为了简化计算,人为设定的。国外大多数筒仓设计规范也如此划分,但并不完全统一。人们按贮料对仓壁作用力的变化来划定一个界限。由于贮料在仓壁上产生的摩擦力对其水平侧压力的影响,使贮料作用于仓壁上侧压力的分布规律出现线性与非线性之别。贮料深度越大,摩擦力的影响也就越大。作用于仓壁上侧压力的分布也就越接近非线性,反之接近线性但不等于线性(图1)。 
筒仓贮料作用力的计算,世界各国的筒仓规范大多数釆用Janssen理论。其贮料作用于仓壁任意高度处,单位面积上水平压力的变化为曲线,如图1所示。 由图1可以看出,在侧壁围成的有限空间中,散体物料对侧壁的作用与在无限长壁上的作用特性完全不同。后者属于散体力学的平面问题,可按平面挡墙计算,如槽仓或小型矩形浅仓。但筒仓的受力状态,即使对于槽仓或小型矩形浅仓,无疑也是属于散体力学有限空间理论的范畴,釆用库仑或兰金理论进行计算,也是一种简化方法,但可以符合工程设计的要求。 有些国家(如美国)的筒仓规范,计算贮料的作用时,从来不分深、浅仓,完全按Janssen公式计算仓壁任意高度处的贮料压力。按散体力学的原理,物料在仓壁上的作用也没有深、浅仓之分。实践表明,工程设计不能脱离理论,但又不完全等于纯理论。在不违背以上原则并确保结构安全且便于计算钢筋用量及配置的前提下,将筒仓划分为深仓和浅仓,是完全必要的,也是可行的。各国对深仓、浅仓的划分方法通常有: (1)按平面为圆形的筒仓仓壁的高度与其直径之比或平面为矩形的筒仓的仓壁高度与其短边之比来划分。根据国内近年来广大设计者对原规范深仓、浅仓的划分提出的建议,按散体物料在有限空间中对筒仓作用力的分析,参考欧标(Eurocode)及其他国外筒仓设计规范,修订为:h
n /b n 小于或等于0.4为矩形浅仓,h n /d n 大于0.4小于或等于1.0为圆形浅仓。h n /d n 大于1.0且小于1.5的圆形筒仓及h n /b n 大于0.4且小于1.5的矩形筒仓,是介于浅仓及深仓之间仓型,由于所储物料的物理力学参数不同,若按本标准的计算方法,物料对筒仓的作用力,在某些情况下,按浅仓计算对结构的安全有利,在另一些条件下可能按深仓计算有利,为此遇到这类仓型时,可能得出完全不同的结果。筒仓工程设计以保证工程绝对安全为终极目标,故对于这种仓型的筒仓,应釆用两种计算结果中的最大值。
对于h n /d n 小于0.4且底部为固定端的圆形筒仓,贮料对仓壁的作用与挡墙或小型矩形浅仓的作用无异。但仓壁的基础对仓壁无约束作用时,筒仓设计则可能以环向应力为控制值。
对于h n /b n 大于0.4的矩形筒仓,可按贮料的破裂面划分深仓及浅仓。
无论哪一种划分方法,总有一个突变界面,总要由贮料压力的不连续函数代替连续函数,在其临界点处,仓壁压力的计算值总会发生突变,因此只能取其计算的不利值,作为深仓或浅仓物料压力的设计值。
(2)另一种划分方法,是按贮料的破裂面来划分,当贮料破裂面与贮料顶面相交时为浅仓,贮料破裂面与仓壁相交时为深仓(图2)。


式中:θ——贮料破裂角;
φ——贮料内摩擦角。
对于小型筒仓及大型圆形浅仓,选择破裂面的划分方法更为简便,但设计者应考虑到破裂面可能有不同的起始点,从漏斗的顶部或底部作为起始点会有不同的结果,对小型筒仓可按图2的规定进行计算。仓壁落地的大型圆形浅仓只能从仓壁与底板的交接处作为起始点。
综上所述,本标准釆用的划分方法可以满足上述压力的分布原则,与其他的方法相比更为简便,同时也能满足筒仓设计的需要。多年来我国的实践表明,选择第一种划分法是适宜的。本次修订只对限定条件的具体数值做了调整,深仓、浅仓的划分原则没有改变。
本标准系根据现行国家标准《工程结构可靠性设计统一标准》GB 50153和《建筑结构可靠度设计统一标准》GB 50068的基本原则编制的。根据这两个标准,本标准制定了第3.1.1条~第3.1.5条的规定。一般情况下,钢筋混凝土筒仓不作为临时建筑,也不是容易更换的建筑结构。筒仓具有不同物料储、装、运的使用功能,设计使用年限及相应的设计基准期均为50年。50年的使用年限是与我国现行相关标准的规定相一致的,也是根据我国现有的技术条件(材料特性、材料的各种计算参数及施工质量等综合技术指标协调后)确定的。50年的使用年限系指设计者必须承担的法定技术负责的年限,超过50年的有效期后,不管工程出现任何问题,设计者将不再承担设计责任。钢筋混凝土筒仓并非是只要超过50年,结构就会立即破坏或倒塌。也就是说,使用50年后,只要未遭到不可抗拒的自然及人为地破坏,筒仓仍可能具有继续使用的价值和能力。但当其储存与原设计不同的贮料或改变原筒仓的设计使用功能时,就必须确定继续使用的技术条件和新的执行标准,并经有资质的鉴定单位进行必要的鉴定认可后方能继续使用。否则会因使用条件及设计基准期的改变造成工程事故,严重者使其破坏或倒塌;本标准为国家钢筋混凝土筒仓设计的通用标准,并非某行业的行业标准,其适用范围在总则第1.0.2条中有明确限定。50年的设计使用年限,也可能不满足个别行业、个别工程的要求,但本标准必须符合我国建设标准的统一性,对使用年限超过50年的筒仓,设计者可按特殊工程处理;筒仓结构在工业建筑中,不是一个孤立的构筑物,是工业企业贮运系统的一部分,贮存原料及成品的筒仓,其结构的破坏有可能给整个工业生产带来严重的后果。按照现行国家标准《工程结构可靠性设计统一标准》GB 50153-2008第A.1.1条的规定,筒仓的安全等级不应低于二级。用于对国计民生有严重影响的工业企业的筒仓,可根据具体情况调整其工程设计的安全等级,但也不应低于二级。筒仓结构通常都与其他生产工艺的工业建筑组合或连接在一起。不管所连建筑的等级如何,筒仓设计仍按本条规定的等级执行。
3.1.2 钢筋混凝土筒仓的耐火等级不应低于二级。
3.1.3 筒仓的地基基础设计等级应为乙级。对严重影响生命线工程的筒仓,其地基基础的设计等级可提高一级。
条文说明
3.1.3 生命线工程(lifeline engineering)系指维持城市生存功能系统和国计民生有重大影响的工程。包括供水、排水、电力、燃气及石油管线等能源供给系统的工程;电话、广播电视及情报通讯系统的工程;大型医疗、公路、铁路交通系统的重要工程等。筒仓作为单独构筑物不能算作生命线工程,但会是生命线工程系统中重要环节的组成部分,其工程质量的优劣能严重影响生命线工程的运行。如与人们生活密切相关的大型供热、热电联产工程等。为确保其在各种灾害出现时满足安全运行的要求,必须建造大型储煤筒仓,目前这种筒仓的最大直径已达一百多米。这种大型圆形浅仓贮料的重力荷载是由地基直接承受的,其对地基条件重要性的要求不亚于对其仓壁承载能力的要求。现行国家标准《建筑地基基础设计规范》GB 50007-2011第3.0.2条、《湿陷性黄土地区建筑规范》GB 50025-2004第6.1.1条对设计等级为甲、乙级建筑物的地基,均有不同的明确规定。因此上述影响生命线工程中筒仓的地基设计,应比非生命线工程的筒仓地基提高一级,这也是本标准制定本条规定必须遵守的原则和依据。
3.1.4 贮存有粉尘、含有害气体及其他易爆贮料且具有爆炸危险的筒仓,相关工艺专业应根据不同的贮料特性分别设置防爆、泄爆、防静电、防明火及防雷电等设施。
条文说明
3.1.4 筒仓的贮料不应包括易爆物料,筒仓的爆炸源主要是易爆气体及粉尘,当其浓度到达起爆条件时便会产生爆炸。因此,贮料工艺设计应釆取必要的防尘、通风设施。在此条件下,对不可控的有害气体、粉尘易爆的危害性及对筒仓结构设计的要求,应由相关工艺设计专业提供。筒仓必须釆取防爆、泄爆措施时,可按工艺专业提供的泄爆要求在仓壁的顶部开洞,洞口宜釆用易破裂的材料封闭,以便在爆炸产生时能及时泄爆,使爆炸能量得到释放,从而减少爆炸对结构的破坏作用。除发生爆炸频繁的筒仓外,对发生爆炸概率很小的筒仓,筒仓设计完全没有必要按爆炸力的大小计算筒仓承载力,若工艺专业所提供的爆炸力不准确,反而给工程带来隐患或浪费。设计提前设置好泄爆设施,比没有把握的计算更可靠;有些地区的煤仓,由于卸料不通畅,竟釆用雷管在仓内进行爆破,致使仓壁破裂或倒塌。这种粗放的管理也是筒仓爆炸的原因之一,应该绝对避免。为了避免以上原因造成的工程损坏及人员的伤亡,本条作为强制性条文,必须严格执行。
3.1.5 筒仓防雷应符合下列规定:
1 筒仓防雷严禁利用筒仓的钢筋作为避雷引下线;
2 防雷应专设外引下线,其埋件严禁与筒仓的钢筋连接;
3 符合本标准第3.1.4条的筒仓,其防雷保护不应低于二类;
4 其他筒仓可按三类设计。
条文说明
3.1.5 建筑物防雷保护按年平均雷暴日的大小和建筑物的高度划分为三类。筒仓的贮料种类繁多,特性复杂,不同地区的雷暴日各不相同,且差异很大,过细的定量分类很难确定。为此本条规定,存储具有粉尘、含毒害气体及其他易爆贮料且具有爆炸危险的筒仓,其防雷保护不应低于二类,其他筒仓可按三类防雷保护设计。 圆形筒仓施工时,由于沿筒仓仓壁圆周布置的纵向受力钢筋外形相同或相似,釆用筒仓受力钢筋作为避雷引下线时,在混凝土分层浇注后,无法再找到原已施焊的钢筋继续施焊。 未施焊的钢筋在混凝土振捣过程中极易错位,利用错位不连续施焊的钢筋作避雷引下线无法保证良好的导电性。众所周知,钢筋混凝土通常被认为是耐久性良好,是重要建筑结构必用的重要材料之一,其耐久性有时甚至超过了钢结构。但很多钢筋混凝土建筑结构在远没有达到设计使用年限之前就开始破坏了,混凝土结构破坏后的修复比钢结构还要困难。原国家建委组织的对重庆、南京、无锡等地一些使用三十多年的建筑物调查表明,C18混凝土碳化深度一般达20mm~50mm。有些工程使用3年~7年后,C38混凝土碳化深度达10mm,C28达15mm,C18达25mm。1995年~1998年间,煤炭系统对全国煤矿44项50年代~80年代后期建成的工程调查表明,碳化厚度为10mm~73mm。设计界以往釆用的办法是加厚钢筋的保护层,然而混凝土的碳化主要是在外因条件影响下,内部发生变化造成的。混凝土碳化前,初始的pH值一般大于12,呈弱碱性,混凝土中所有化学反应都是带电离子的电化反应,钢筋表面会形成一种稳定、致密钝化的保护膜(难溶于水的Fe
2 O 3 和Fe 3 O 4 ),可有效抑制电位差造成的电化学反应。当将钢筋焊接连通作为避雷引下线后,将形成电子通路,避雷引下线(导线)中的电流将改变钢筋钝化膜的电位差,无疑将会加速电化学反应。混凝土的不 均匀性,成千上万相互贯通的微细孔隙,造成CO 2 和SO 2 等酸性气体或酸性软水如酸雨等进入混凝土内,与混凝土内的空隙溶液氢氧化钙[Ca(OH) 2 ]发生化学反应,生成中性的盐和水,方程如下:
CO 2 +Ca(OH) 2 →CaCO 3 ↓+H 2 O
SO 2 +Ca(OH) 2 →CaSO 3 ↓+H 2 O
当弱碱性的pH值降到临界值后,钢筋表面的钝化膜将消失,钢筋开始锈蚀、膨胀,致使保护层脱落,达到一定程度后,使结构承载能力退化直至失效,甚至造成筒仓的崩裂、破坏和倒塌,从而大大缩短结构的使用年限。
混凝土碳化理论的研究表明,虽然碳化后可以提高混凝土的抗压强度,但直接利用结构的受力钢筋作为避雷引下线,又是促使混凝土碳化的重要原因之一。故本标准规定,严禁使用受力钢筋作为避雷引下线,并作为强制性规定。筒仓避雷设计可釆用外置专用引下线的传统做法,引下线的预埋件不应与仓内的钢筋连接。本条第1款、第2款和第3款为强制性条款,必须严格执行。本条规定与其他标准规范有矛盾时,筒仓设计应按本标准执行。
3.1.6 筒仓仓壁的面层应符合下列规定:
1 应设置符合贮料、防腐、防混凝土碳化、耐久性要求的面层及涂层;
2 受冲击、磨损部位的面层应设置抗冲击、耐磨损的内衬面层;
3 不应做砂浆抹面的面层。
条文说明
3.1.6 实践表明,在仓壁内、外增加抹面,容易掩盖混凝土的施工缺陷,影响工程质量的验收。抹面往往不能与仓壁混凝土牢固连接,脱落后不易发现且不易修复。这种面层对混凝土也不能起到有效的保护作用,而且还会给施工带来麻烦,没有特殊的理由,不应再设抹面层。
3.1.7 贮存谷物及其他粮食筒仓的混凝土仓壁、与储物直接接触的筒仓构件的混凝土中,严禁掺入对储物有污染的添加剂及壁面涂层。 ( 自2022年4月1日起废止该条,详见新规 《混凝土结构通用规范》 GB 55008-2021)
条文说明
3.1.7 为了提高混凝土早期强度、钢筋防锈及防止混凝土碳化后严重影响混凝土结构设计使用年限等原因,掺入混凝土的各种添加剂及涂层的使用必须符合环保要求,对于食品工业使用的筒仓尤为重要。筒仓结构设计者若需要在混凝土内加入添加剂或涂料时,除应保证不影响筒仓设计使用年限外,还应得到相关工艺专业的认可。本条为强制性条文,必须严格执行。
3.1.8 筒仓仓上建筑物及仓下作业场所人工照明的最小照度不宜低于15勒克斯。
3.1.9 筒仓与毗邻建筑物、构筑物之间或群仓地基的压缩性有显著差异时,应釆取防止不均匀沉降的措施,控制筒仓结构的变形。
条文说明
3.1.9 筒仓与一般建筑结构相比,通常荷载大且比较集中,在软弱地基上筒仓沉降较大。与相邻建构筑物的沉降差,设计时应根据荷载及地基参数严格控制。投产后应将按本标准第3.1.11条的要求设置的观测点的实测资料与设计值进行比较,以便釆取措施控制变形。所谓防止不均匀沉降的措施,主要是指两个方面的措施,一个措施是预留沉降缝,另一个措施是对两个建(构)筑物之间的连接结构釆用简支结构或悬臂结构,使之适应因地基变形对其产生的影响,或增加地基处理措施,减少或控制地基的不均匀变形。
3.1.10 筒仓基础不应布置在发震断层、古河道、易液化土层、不稳定的釆空区及地下溶岩等对抗震不利的地基上。
条文说明
3.1.10 一般工程地质钻探深度,除特殊要求外,通常只涉及地表以下30m左右地质特性;在我国广大矿区及西南地区,经常会遇到釆空区及各种溶洞等地质特征,这些溶洞及釆空区的深度往往超过一般工程地质控制的范围。因此在筒仓工程的选址时,除必须了解基础的地基持力层及下卧层之外,还应特别注意其下层包括古墓、古河道等有害地质。这些地质的稳定与否并不完全取决于地表工程的附加荷载,经常是自身的地质构造在其自然环境改变时造成的局部或大面积塌陷,由此将严重影响甚至造成地面建筑物的损坏和倒塌。在我国由此出现的工程事故屡见不鲜,这是筒仓工程设计者不应忽视的问题。
3.1.11 筒仓观测点的设置应符合下列规定:
1 变形缝两侧应设置观测点;
2 除稳定的硬质岩地基外,每个不与其他筒仓连成整体的独立筒仓,其沉降观测点的设置不应少于4个;
3 群仓、排仓及仓群中的大型圆形浅仓,其观测点的间距不应大于25m,且观测点的设置不应少于4个。
条文说明
3.1.11 一般情况下,筒仓工程都是工业建筑的特种构筑物,结构设计必须控制筒仓的变形,不能影响投产后的使用。为了监测、控制投产后的实际变形或沉降,应设沉降观测点。群仓及仓群各组群的沉降观测点应单独设置。
3.1.12 筒仓结构的钢筋混凝土应符合下列规定:
1 筒仓结构的钢筋混凝土应符合筒仓的耐久性要求;
2 筒仓结构的混凝土强度等级不应低于C30;
3 筒仓结构的预应力混凝土的强度等级不应低于C40;
4 筒仓结构按承载能力极限状态控制配筋时,宜釆用HRB400、HRB500钢筋;
5 筒仓结构按正常使用极限状态控制配筋时,不宜釆用HRB400、HRB500钢筋。
条文说明
3.1.12 《混凝土结构设计规范》GB 50010-2010第4.2.1条第1款规定,提倡釆用高强、高性能钢筋。在构件按承载能力极限状态控制配筋时,采用HRB400、HRB500可发挥高强钢筋的高性能作用,从而减少用量。但对于按正常使用极限状态控制配筋时,高强、高性能钢筋并不能起到应有的作用。如对某构件的裂缝控制在0.213mm时,要配置5根直径φ22的HRB335或HRB400钢筋。并不能因为配置了高强、高性能的HRB400钢筋而减少钢筋的用量,反而由于釆用高强钢筋增加了工程造价。因此在筒仓设计中,若按正常使用极限状态控制配筋时,不宜使用HRB400、HRB500钢筋,要根据构件的使用功能选择钢筋。
3.2 布置原则
3.2 布置原则
3.2.1 筒仓的布置应根据生产工艺、地形、工程地质和施工等条件,经技术经济比较后择优确定。
3.2.2 筒仓的平面布置方式应符合下列规定:
1 群仓宜采用多排行列式或斜交式布置(图3.2.2);


2 群仓、排仓、仓群之间的距离,群仓、排仓、仓群与其他筒仓之间的距离,仓群各单仓之间的距离,应符合生产工艺的要求;
3 筒仓之间的距离应符合现行国家标准《建筑设计防火规范》GB 50016的规定。
条文说明
3.2.2 图3.2.2为排仓、群仓及仓群的布置方式示意图,在具体布置时,每组仓的组合个数可根据仓体的大小及变形缝区间的划分进行组合,不一定受该图表示个数的限制。图3.2.2(a)、图3.2.2(c)给出了圆形群仓正交及斜交的布置形式。筒仓间按其中心线非90°交角的错位布置为斜交布置,其偏角可根据具体工程条件确定。斜交布置的优点是,在其平面受到工程条件限制时可以缩小一个方向的尺寸。缺点是在仓数不变的条件下加大了另一方向的尺寸,星仓的容积也将减小;钢筋混凝土筒仓结构的材质通常可以满足耐火要求,但仓内、外的胶带机设备及仓上建筑物的轻钢结构,应釆取防火措施;在原规范中,由于没有提出仓间距应满足防火间距的要求,致使一些已建成的筒仓在出现火灾事故时,严重影响灭火的效率。为此,本次修订增加了对群仓、排仓及组成仓群的各单仓之间的间距应满足现行国家标准《建筑设计防火规范》GB 50016的规定。
3.2.3 筒仓的平面形状宜釆用圆形。圆形群仓应釆用仓壁或筒壁外圆相切的连接方式。直径大于或等于18m的圆形筒仓,宜釆用单仓或仓群的布置形式。
条文说明
3.2.3 筒仓的平面形状有圆形、方形、矩形等,国内已建筒仓的实践证明,平面为圆形的轴对称旋转薄壳筒仓与方形、矩形筒仓相比,具有空间薄壁构件的性能,体形合理、仓体结构受力明确、计算和构造简单、更便于滑模施工、仓内死料少、有效贮存率高等优点,因此经济效果显著。以煤仓为例,圆形筒仓吨煤的钢材、水泥耗材指标约为方形或矩形筒仓的一半。圆形群仓仓壁有外圆相切、中线相切两种常用的连接方式。外圆相切的布置方式,在其连接部位,仅釆用构造配筋,计算也与单仓无异,也有利于群仓分组施工和钢筋的配置。本标准规定,应釆用外圆相切布置的方式。 当筒仓与平面为矩形的其他车间或厂房合并布置时,筒仓的平面形状是否釆用圆形,可视厂房的布置条件确定。直径大于18m的圆形筒仓组成的群仓或排仓,尤其是深仓,其容积通常都较大,对地基的承载力要求较高,其施工难度、地基不均匀变形及沉降的控制都很复杂且费用较高。这种由直径大于18m的圆形筒仓组成的排仓或群仓,目前国内成熟的工程实践并不很多,故本标准推荐釆用独立布置的筒仓或仓群。但随着筒仓施工条件的改进和发展,在地基条件、工程费用允许的条件下,直径大于18m的筒仓也有可能组成群仓或排仓。国外还有以壁板或多个单仓连接或围成的筒仓群。这种形式的筒仓随着我国经济建设的发展,今后也有可能出现,故本标准对这种大直径筒仓的布置不做严格限制。
3.2.4 圆形筒仓的内径应符合下列规定:
1 当圆形筒仓的内径小于或等于12m时,宜釆用2.0m的倍数;
2 圆形筒仓的内径大于25m时,宜釆用5.0m的倍数;
3 其他筒仓的内径宜釆用3.0m的倍数。
条文说明
3.2.4 本条规定圆形筒仓直径的模数,是为筒仓设计走向定型化、装配化的基本条件之一,直径按模数确定后,有利于施工模具定型化和重复使用,也有利于提高设计套用率。本标准釆用的模数,是以我国多年来已建筒仓的直径为依据的。
3.2.5 筒仓变形缝的设置应符合下列规定:
1 在非坚硬岩石的地基条件下,群仓变形缝区段的长度与其宽度、高度之比不应大于2.0;
2 仓壁和筒壁外圆相切的圆形群仓,总长度不超过50m或柱支承的矩形群仓的总长度不超过36m时,可不设变形缝;
3 排仓变形缝区段的总长不应大于50m,其长度与其高度之比不应大于3.0;
4 温差较大的地区,上述变形缝区段的规定宜减小。
注:当有可靠实践经验时,可不受以上规定的限制。
条文说明
3.2.5 筒仓温度区段的划分是一个非常复杂的问题。我国地处北半球,自北纬20度~50度的范围内,地势为西高东低的山地、丘陵及比较崎岖的高原,占全国面积的三分之二。自海拔8848m的珠峰和青藏高原,形成我国地势的第一级阶梯。其向北及东北方向,迅速下降为海拔2000m~1000m的浩瀚高原和盆地,形成了我国地势的第二阶梯。海拔1000m~200m以下的广大平原地区为我国地势的第三阶梯。全国大陆地区的气候跨越热带和温带,大部分地区属东亚季风气候。由于各地的海拔高度、距海远近的差异和各种地形错综分布的影响,形成了全国气候复杂多样的特点。每年10月至次年3月~4月间盛行冬季季风,全国大多地区寒冷干燥,南北温差达40℃以上,与世界同纬度地区相比,冬季的气温偏低5℃~18℃。每年4月~9月,大兴安岭、阴山、贺兰山、巴彦喀拉山东侧一线的广大地区,受到从海洋吹来的暖湿气流的影响,气温普遍升高,盛夏季节有些地区的气温可达40℃~50℃甚至更高。有些地区的极端季节温差可达80℃以上。即使同一纬度同一地区,温度变化的差异也很大。筒仓这种构筑物在全国各地都有,除这种特殊地理条件形成的季节温度变化外,还有水泥的水化热,也会使混凝土的收缩明显加大,造成筒仓出现裂缝。这将直接影响尤其是大型及超大型筒仓的使用安全。要准确地定量确定各地筒仓的温度区段实属不易,本次修订将筒仓温度区段的划分做了适当调整,修改的内容适用于筒壁支承的圆形筒仓。对于柱支承的尤其是方仓或矩形筒仓,更接近于框架结构;槽仓、排仓和高壁浅仓类似于框架剪力墙结构。仓上建筑物的温度区段,除与仓壁连通的圆筒形结构外,不必釆用其下部筒仓的温度区段,可视其结构特性釆用相关标准规范的规定。筒仓设计时,还要注意收集当地的气象资料及可靠的当地实践经验,并对超长的筒仓配置一定的温度构造筋。即使有一些温度作用的计算软件,对不同地区的单仓、排仓或不同组合的群仓,其计算结果能否真实准确地反映筒仓温度作用的实际状况,仍是不能作为唯一可靠的 依据。为此将温度区段适当减小,使温度作用得到释放,虽然给设计、施工增加了工作量,但仍是可选择的最佳措施。
3.2.6 跨铁路布置的筒仓应控制筒仓地基变形。变形后的筒仓结构应符合铁路建筑接近限界的要求。
条文说明
3.2.6 一般碎石类、坚硬黏土类地基的压缩变形较小,但上部筒仓荷载较大时,尤其是在筒仓的变形会影响到其下部建筑及上部建筑的使用时,如跨线仓下的铁路限界、地下通道及其设备的运行及仓上建筑物结构与通廊或胶带机栈桥的连接,对其他建筑物的影响,仍需视其具体土层的压缩模量及其他物理力学特性,确定是否需要验算并控制地基变形。
3.2.7 筒仓底层跨线铁路的布置应符合下列规定:
1 仓下洞口的边缘、支承柱的边缘距铁道中心线的距离不应小于2.0m;
2 其他尺寸应符合现行国家标准《标准轨距铁路建筑限界》GB 146.2的基本建筑限界“限界-2”的规定;
3 仓下应具有设置躲避所的空间。
条文说明
3.2.7 对于跨双股道的圆形筒仓,当洞口或柱的边缘距铁道中心线的距离大于2m时,筒仓的洞口将加大。又由于筒仓外边缘受到其他股道限界的限制,仓的下部与仓外股道的间距及整个铁路站场的占地面积将要加大,这将影响工业场地总平面布置的合理性。对于直径在15m及以下并处于抗震设防区的筒仓,由于仓下开洞太大,筒壁有效支承面积太小将无法使用。事实上,调车作业在釆用自动信号及列车限速的条件下,执行现行国家标准《标准轨距铁路建筑限界》GB 146.2中基本建筑限界“限界-2”的规定是可行的。否则将因此加大占地面积,浪费国家有限的土地资源,增加主体工业不必要的投资。“限界-2”规定:适用于新建及改建使用蒸汽及内燃机车、车辆的车库门、转车盘、洗车架、专用煤水线、洗罐线、加冰线、机车行走线上各种建筑物……列车到发线及超限货车不进入的线路上的雨篷……也适用于电力机车的上述建筑物。“限界-2”规定,自轨道中心各侧的最大尺寸为2.0m,自轨面高为5.0m,电力机车的高度应根据具体车型确定。
3.2.8 靠近筒仓周边的场地不宜设置堆料场。当必须设置时,应验算、控制堆载对筒仓结构及地基的不利影响。
条文说明
3.2.8 靠近筒仓堆放散料或其他物料时,这部分荷载会引起地基不均匀下沉,致使筒仓倾斜,尤其是对建在非坚硬黏土地基上的筒仓,情况更为严重,甚至会使筒仓与相邻建筑物相互脱离或挤压,从而造成破坏事故。例如徐州某矿和江苏某矿的原煤筒仓,在其一侧堆放原煤,引起地基不均匀下沉,支承在仓顶的走廊与筒仓之间明显脱离。因此,当必须在靠近筒仓的某侧设置堆料场时,不应忽略堆料对地基及筒仓结构的不利影响及附加荷载。如计算因地基下沉引起筒仓的倾斜率及其变形时,应使其限制在生产工艺、筒仓稳定允许的范围内,并计算倾斜、下沉变形对仓下支承结构产生的附加作用力。
3.2.9 圆形筒仓的仓上建筑应符合下列规定:
1 直径大于或等于12m的圆形筒仓的仓上建筑,不应设置具有筛分振动设备的厂房;
2 直径小于12m的圆形筒仓的仓上建筑,设置具有筛分振动设备的厂房时,筒仓的仓上及与其相连接的下部结构,均应进行动负荷作用的分析及验算。
条文说明
3.2.9 本条的规定与现行国家标准《构筑物抗震设计规范》GB 50191-2012第9.1.2条的规定不一致。《构筑物抗震设计规范》GB 50191-2012强调的是对抗震有利的结构形体,结构刚度的一致性,以满足结构整体的抗震要求,并不强调在仓上可否设置筛分动力车间;地震作用是短暂或瞬时的,动力设备的强振频率与地震频率发生共振的概率及由此对结构产生的危害可以忽略不计;在20世纪早期年代,我国的筒仓设计大多数是属于矩形仓,尤其是煤炭系统的煤仓,几乎没有采用圆形筒仓的工程,并且矩形煤仓的仓上、仓下建筑多为框架结构形式,且跨度不大,一般不超过7.0m。在这种筒仓结构上加设筛分震动设备厂房时有发生,其上下结构的刚度基本没有太大变化,且未改变筒仓按框架结构的构造、承载能力、内力传递的计算方式。因此,以此为依据,形成了一种煤仓的布置习惯。然而多年来,随着圆形筒仓尤其是大型、超大型圆形筒仓在我国工业界的不断发展,其特性与当年的小型矩形筒仓几乎没有可比性。在其上部加设筛分震动设备厂房,对其下部支承结构的受力状态、整体结构刚度的变化之大,更没有任何相似之处。内力的计算、传递、结构的构造都没有非常成熟的经验。对于在薄壁空间壳体结构体系上加设的动力厂房设备的动扰力,其长期作用的影响及力的传递也与框架结构截然不同,复杂且不明确。在直径大于或等于12m的筒仓上,设置有振动设备的厂房时,仓上建筑物需要增加复杂的构件,才能形成厂房的支承体系。这些构件支承在仓壁上时,使薄壁壳体的受力更加复杂。本标准强调的是后者,根据各有关设计行业的实践和要求,本次修订将原规范本条中的“不宜”改为“不应”。
3.2.10 筒仓安全疏散出口的设计应符合下列规定:
1 地道及其安全疏散出口的净空高度不应小于2.2m;
2 排仓、大型圆形浅仓、群仓、仓群的地下部分、存在易燃、易爆危险的地道,其安全疏散出口的设置应不少于2个,地道安全疏散出口间的距离不应大于40m,大于40m时应增设出口;
3 仓顶安全疏散出口的设置应符合相关工艺专业及其建筑防火的技术要求;
4 设有水幕且与仓体相连的通廊、栈桥通向地面的安全出口,可兼作筒仓的安全疏散出口;
5 无易燃、无易爆危险的筒仓仓底、仓下地道安全疏散出口的间距不应大于100m;
6 圆形排仓、群仓宜利用两仓连接处的剩余有限空间(图3.2.10),设置具有分段休息平台的半螺旋钢梯作为筒仓仓顶、仓上建筑楼层与筒仓室外地面直接连通的竖向安全通道;

7 不应在圆形筒仓的外壁上沿仓周设置地面至仓顶的螺旋环绕上升式楼梯;
8 在不影响仓壁结构安全及扩大占地面积的条件下,可选用竖向钢制外挂式电梯,作为仓上工作人员直通地面的通行设施,但不应作为仓上大型设备的运输工具。
条文说明
3.2.10 外圆相切后的圆形筒仓之间,将形成一个很大的无用空间(图3.2.10),利用该空间设置无中心柱的平面非整圆的分段半螺旋楼梯,是最有效的节约土地的平面设计。我国已投入使用筒仓的实践证明,这种布置方式是科学的。若设置平行楼梯,将影响筒仓外侧的平面布置形式,并加大占地面积。尤其是铁路跨线筒仓的平行楼梯,将影响筒仓与铁路的建限,从而影响工业场地的总平面布置。 按图3.2.10所示,可控制半螺旋钢梯的平台、半螺旋钢梯的平面及其沿筒仓高度平台间的垂直距离,从而确定半螺旋钢梯的垂高、弧长、踏步的几何尺寸,这些尺寸的确定是相互制约又相互协调的。螺旋梯的坡度不宜大于45°。沿仓高的各段螺旋楼梯,应釆用同一标准尺寸。分段后剩余的非标准尺寸,应在仓底起步端调整。螺旋梯的内侧可选用槽钢,以增加抗扭刚度。螺旋梯平台的铺板、踏步板宜选用冷拉伸钢板网,有利于防滑、防积雪。由于行人是在两仓间上下行走,如同室内楼梯,没有设置在筒仓外侧平行楼梯的远眺、眩晕感。螺旋楼梯比平行楼梯的侧移刚度大,行走时没有左右摇晃感。在寒冷地区可设置外挂防护。 当筒仓高度较高且仓上工作人员又无与地面的简洁通道时,可采用近年来城市老居住房屋改造使用的外挂式电梯,作为仓上工作人员与地面的通行设施,但不应作为仓上重型设备的运输电梯。在设置这类电梯时,不应影响仓壁结构的安全受力条件,对局部连接点应加强构造筋的配置。连接点受力较大、应力集中时,还应对连接仓壁进行验算。应利用筒仓间的有效剩余空间,不应为此增加占地面积。
3.2.11 筒仓定位轴线的设置应符合下列规定:
1 柱支承或筒壁支承的矩形筒仓应以支承柱或筒壁中心线作为筒仓的定位轴线;
2 筒壁支承的圆形筒仓应以筒壁外径的切线或圆形筒仓的中心线作为筒仓的定位轴线。
条文说明
3.2.11 本条规定的定位轴线表示法,在圆形筒仓工程制图及施工定位时,都是最简便的。单仓可釆用筒仓中线定位,排仓、群仓及仓群应釆用筒壁外表面的相切点作为定位轴线。
3.2.12 筒仓主要通道的设置应符合下列规定:
1 通道的净空高度不应小于2.2m;
2 筒仓的仓上建筑、仓下支承结构的室内主要通道的宽度不应小于1.5m;
3 设备维护通道的宽度不应小于0.7m。
注:本条规定不包括铁路跨线仓仓下穿越铁道的洞口,其洞口应符合本标准第3.2.6条、第3.2.7条的规定。
3.2.13 筒仓仓顶应设置通向仓内的人孔,人孔及附属设施的设置应符合下列规定:
1 人孔尺寸不应小于600mm×700mm,并应布置在不影响设备安装、运行及通行的位置;
2 通向仓内的爬梯无法保证永久性防腐、防冲击损坏及确保检修人员通行安全时,不应设置永久性的固定爬梯。
条文说明
3.2.13 筒仓仓内的永久性爬梯,以往均为圆钢制作,因使用不频繁,故对其经常检修的机会极少。工作人员因误用已锈蚀、被物料冲击及磨损的铁爬梯时,造成的伤亡事故屡见不鲜。若设计或使用不能达到本标准的要求时,在使用中釆用经安全部门检查通过的临时设施,反而对人身安全更有保障。
3.2.14 仓顶及楼面所有通向仓内洞孔的四周应设置不小于100mm×100mm的钢筋混凝土挡水台。无固定设备通过的洞孔应设置盖板或防护栏杆。
3.2.15 筒仓底层地面的设计应符合下列规定:
1 筒仓底层承受并传递特殊荷载时,地面的垫层厚度应根据使用荷载计算确定;
2 底层地面的最小厚度不应小于120mm,垫层混凝土的强度等级不应低于C20;
3 筒仓底层室内地面面层的标高应高出室外地坪的标高,其高差不应小于150mm;
4 有特殊生产使用要求的地面及地基有预估下沉量的筒仓底层的地面,应符合使用功能特性的要求;
5 筒仓的地面设计还应符合现行国家标准《建筑地面设计规范》GB 50037的有关规定。
条文说明
3.2.15
筒仓的使用范围很广,仓下室内地面的用途各不相同,但作为工业建筑物的地面应包括面层、承受并传递荷载且与岩土接触的垫层。有些地面还需在垫层上增设防液体或地下水、潮气渗透及防腐蚀的构造层。故无论哪一种工业筒仓的室内地面,都应与一般民用建筑的地面有所区别。本条中的最小厚度是为满足承受并传递荷载,并作为地面结构层与岩土接触的垫层的要求。
3.2.16 非坚硬岩石地基上的排仓、大型圆形浅仓、群仓及仓群之间的连接通道或地道,在筒仓与地道的连接部位应设沉降缝。有地表渗水及永久地下水时,地道应有防水措施。
条文说明
3.2.16 仓内地面下的地道是否设置变形缝,还应按其受力条件及仓内地道下的地基条件确定。
3.3 结构选型
3.3 结构选型
3.3.1 筒仓结构应由仓上建筑物、仓顶、仓壁、仓底、仓下支承结构(筒壁或支柱)及基础等六部分组成(图3.3.1)。

条文说明
3.3.1 筒仓结构六部分的划分,是为了在设计中进行技术比较时,有一个统一的技术口径。仓上建筑物是指仓顶平台以上的建筑,包括单层或两层及以上的厂房。仓顶是指仓顶平台或仓顶平台及与仓壁整体连接的钢筋混凝土梁板结构、用于大直径筒仓或仓壁落地的圆形筒仓的截锥壳或截球壳、大跨钢结构及大跨空间结构。仓壁是指直接承受贮料水平压力的竖壁。仓底是指直接承受贮料竖向压力的结构,是由平板、梁板式结构加填料及各种壳体形成的漏斗等结构。仓下支承结构是指仓底以下的筒壁、柱或墙壁,它是仓壁、仓底和基础之间起承上启下作用的支承结构。基础是指落地仓壁、筒壁、柱或墙壁以下的部分。图3.3.1只代表筒仓结构仓型划分的示意,未包括所有行业某种特定的仓型。
3.3.2 筒仓的仓壁、筒壁及角锥形漏斗壁宜采用等厚截面,其厚度除应按式(3.3.2)估算外,还应符合正常使用极限状态计算的下列规定:
1 直径小于30m的圆形筒仓仓壁的厚度可按下式估算:

式中:t——仓壁厚度(mm);
d n ——圆形筒仓的内径(mm)。
注:釆用式(3.3.2)估算直径30m~50m的大型圆形筒仓的仓壁厚度时,公式右侧第二项(100)宜改为50。直径大于50m的筒仓壁厚估算,还应符合本标准第6.8.21条的规定。
2 当圆形筒仓沿其高度必须改变壁厚时,不应多于两次,且只能改变外径;
3 矩形筒仓仓壁厚度可采用短边跨度的1/20~1/30;
4 角锥形漏斗壁厚度可釆用短边跨度的1/20~1/30。
条文说明
3.3.2 式(3.3.2)是选定圆形筒仓仓壁厚度的经验公式,按此公式计算的壁厚,与我国已建成的直径在15m及以下筒仓的实际壁厚基本相符,可以满足设计要求。直径大于15m的筒仓应按公式的附注进行调整。直径大于30m或贮料重力密度较大的圆形筒仓或大型圆形浅仓,在初设阶段可按本条附注的规定进行估算,在此基础上经过验算后,再最终确定施工图设计阶段的筒仓壁厚。
3.3.3 圆锥及角锥形漏斗壁(相邻斜壁的交线)与平面的夹角或漏斗壁的坡度,应由相关工艺专业按贮料的流动特性确定。
3.3.4 常用筒仓的仓底和仓下支承结构,可选用图3.3.4所示的结构形式。筒仓仓底结构的选型应符合下列规定:
1 卸料通畅;
2 作用传递途径明确,结构受力合理;
3 造型简单,施工方便;
4 填料较少。

条文说明
3.3.4 如何选择适当的仓底形式,是筒仓设计的重要环节之一。根据煤炭系统多年来建成筒仓的统计表明,圆形筒仓仓底结构的钢材消耗约占整个筒仓钢材消耗的17%~35%,平均约为30%,而且在直径、贮量相同条件下,由于仓底结构选型的差异,材料消耗指标变化幅度很大。仓底结构的布置合理与否,仓底与仓壁的不同的连接方式,对于保证滑模施工的连续性以及对计算工作量的简化程度均有直接的影响。此外,仓底是否合理,对于卸料畅通与否的影响也很大。 仓底选型的四项原则是基于上述几个方面的情况,从筒仓设计经验中总结出来的,对筒仓设计具有指导意义。图3.3.4只是几种常用的仓底形式,是结合国内外筒仓设计的实践经验,技术上比较成熟、行之有效及技术经济指标比较合理的常用普通仓底形式,它既有推荐的性质,同时又未做硬性规定,以利于今后设计中推陈出新。对于仓底与仓壁的连接方式,在建材、水泥及电力等工业部门,为适应特殊卸料设备的需要,还有其他的仓底结构形式,在这些工业部门也是行之有效的。图3.3.4并不能代表各行业现有筒仓的全部仓型,本标准也未能全部列出。仓底与仓壁的连接方式一般有两种: (1)整体连接:仓底结构与仓壁整体浇注,结构变形互有影响,在连接范围内,仓壁和仓底不仅有薄膜内力,而且还存在弯矩和剪力。对于小直径筒仓,多釆用这种连接方式,其优点是整体性好,缺点是不便于滑模施工,计算也比较复杂。漏斗与仓壁整体连接点的内力如图3所示。 图3是一个最简单的漏斗与仓壁的整体连接,只有将其连接部位各构件间的内力求解后,各构件才能按静定结构进行计算,而且这些内力还要传递一定的范围后,才能忽略其对薄膜应力的影响;下部筒壁由于受漏斗及环梁的影响,尤其是滑模施工时,施工至此必须停工,待漏斗及环梁施工完毕后,才能重新组装模板,重新开始滑模。
(2)非整体连接:仓底通过边梁或环梁简支于筒壁壁柱上,或与筒壁完全脱开。由于没有其他构件的约束,仓壁只产生薄膜内力,减少了因薄壁筒壳刚度突变而产生的附加内力。这种连接的主要优点是便于滑模施工并简化了计算过程。正是由于有了滑模施工技术,圆形筒仓这种结构形式的构筑物才得以迅速发展,得到工程界的普遍欢迎。在国外目前普遍釆用这种连接方式,我国近年来在煤炭及其他行业的筒仓设计中也大量釆用。直径15m以上的大型筒仓,釆用非整体连接方式,施工后效果较好,深受施工单位的欢迎。
3.3.5 圆形筒仓仓下支承结构的设计应符合下列规定:
1 圆形筒仓的仓下支承结构可选用柱支承、筒壁支承、筒壁与内柱共同支承等结构体系(图3.3.4),仓下支承结构的选型应根据仓底形式、基础类别和工艺要求综合分析确定;
2 直径等于或大于15m的深仓宜选用筒壁与内柱共同支承的结构形式。
条文说明
3.3.5 筒仓仓底结构和基础所耗的钢材、水泥通常占整个筒仓钢材、水泥指标的60%以上,因此选用合理的仓底结构和基础形式,是体现筒仓设计经济合理的重要环节。当筒仓直径在15m及以上时,如工艺允许,应优先考虑设内柱,以减少仓底和基础的结构跨度。
3.3.6 当筒仓之间或筒仓与其相邻的建、构筑物之间相隔一定距离,根据工艺要求又必须空间连接时,其连接构件的支承长度应符合结构变形及防坠措施的要求。
条文说明
3.3.6 筒仓之间或筒仓与其他建(构)筑物之间相互搭接的连接构件或建筑结构,其连接形式釆用简支形式的支座,受力最明确,有利于结构的计算和施工。地震区应按防震要求设计抗震支座,以适应地震作用产生位移及防止因地震振动使连接构件脱落。
3.3.7 筒仓的基础选型应符合下列规定:
1 筒仓的基础形式应根据地基条件、上部荷载和上部结构的形式综合分析确定;
2 当圆形筒仓按本标准第3.2.5条规定设置变形缝时,基础间的缝宽应符合沉降缝的要求,在抗震设防区还应符合防震缝的要求。
3.3.8 圆形筒仓的仓顶设计应符合下列规定:
1 直径小于21m且具有现场浇筑混凝土施工条件的圆形筒仓的仓顶可采用整体钢筋混凝土梁板结构。
2 直径大于或等于21m的圆形筒仓的仓顶可釆用钢、混凝土组合结构。
3 直径大于30m的大型圆形筒仓的仓顶结构应符合下列规定:
1)仓顶结构与仓壁的连接应釆用简支体系;
2)仓顶结构可釆用钢筋混凝土整体、装配整体正截锥壳、正截球壳;
3)仓顶结构可釆用具有整体稳定体系的钢网格(网壳)结构。
4 当仓顶设有水平带式输送机大跨度通廊时,宜利用通廊作为仓顶结构体系的受力构件。
5 通廊或栈桥的带式输送机头部的单一仓上建筑宜釆用轻钢结构。
6 直径大于21m的排仓、群仓、大型圆形浅仓及仓群,有跨越仓顶的带式胶带机通廊时,应利用通廊结构作为仓顶屋面的承重构件。
条文说明
3.3.8 当筒仓直径较小时,仓顶结构一般釆用钢筋混凝土梁板结构。对于大型圆形浅仓,再釆用普通梁板结构既不可能也不经济。本条所列大直径筒仓仓顶的结构形式,是近年来我国大直径筒仓仓顶结构设计中普遍釆用的结构形式。用于筒仓仓顶由杆件为受力主体、薄壁面层为辅助材料组成的空间壳体或网架构成的空间结构,应防止出现机动体系或瞬间可变体系的空间结构,保证结构的整体稳定性。钢构杆件应验算其受力平面内、外的稳定性。对于直径较大的普通筒仓的仓顶结构,采用整体浇筑的截锥壳体,由于计算、施工都很复杂,在国外的筒仓设计中基本不再釆用。在国内,凡设计理念合理的筒仓,也以其他简便的结构形式代替这种繁杂的截锥壳仓顶。
3.3.9 带式输送机通廊、栈桥及其他结构与筒仓仓顶结构及仓上建筑物连接并支承于其上时,支承点应釆用简支方式。
3.3.10 直径等于或大于21m的仓壁、圆锥形漏斗的配筋,不能符合正常使用极限状态的设计要求时,应釆用预应力混凝土结构。
条文说明
3.3.10 多年来的实践证明,直径大于或等于21m,尤其是贮料重力密度大并按裂缝控制配筋的筒仓,釆用普通钢筋混凝土结构,设计和施工很难满足正常使用极限状态的要求。故本条规定,在设计时应根据不同贮料的工艺对裂缝控制的要求,釆用全预应力或部分预应力结构。
3.3.11 直径小于或等于10m圆形筒仓的仓顶建筑物的布置应符合下列规定:
1 仓顶设有筛分设备的厂房时,其楼面、屋面结构宜支承在与仓壁等厚的钢筋混凝土圆形筒壁上;
2 釆用钢筋混凝土或钢框架结构的仓顶厂房时,其框架柱应直接支承于仓壁顶部的环梁上,并应在柱脚的环梁处设置纵、横连系梁。
条文说明
3.3.11 在仓顶设置有厂房框架柱时,支柱应直接作用于仓壁顶部的环梁上,有利于支柱通过环梁将集中荷载分布在仓壁上,避免应力集中。本条规定是通过总结多年来我国筒仓设计的经验确定的。
3.3.12 抗震设防区的筒仓结构选型,除应符合现行国家标准《构筑物抗震设计规范》GB 50191的规定外,还应符合下列规定:
1 仓顶除设置输送贮料入仓的专用建筑外,不应设置与此无关的其他仓上建筑物。
2 仓上建筑应符合下列规定:
1)宜选用钢筋混凝土框架结构、钢结构;
2)其围护结构宜选用轻质材料,并应符合耐火极限的要求;
3)抗震设防烈度7度及以上的地区,不应釆用砌体结构。
3 圆形筒仓的仓下支承结构宜选用筒壁支承或筒壁与内柱共同支承的结构形式。
条文说明
3.3.12 筒仓的抗震能力主要取决于仓下的支承结构。海城、唐山及近年来我国发生的大地震,对煤炭、冶金及建材等系统筒仓震害的资料表明,柱承式方仓震害严重,筒壁支承的圆形筒仓最轻。其中唐山地区柱支承筒仓的倒塌及严重损害率,在9烈度区约为22.2%,10烈度~11烈度区约为46.6%。其震害破坏部位大都在柱与其上部仓壁或与其基础的连接部位。筒壁支承的圆形筒仓的倒塌几乎没有。由此可见筒壁支承或筒壁与内柱共同支承的仓下结构形式,其抗震性能优于柱支承的仓下结构形式。从结构特征上分析,圆形筒仓的筒壁因其为空间轴对称旋转壳体结构,刚度较大,抗变形适应能力强,抗扭转性能也较好。地震时刚度大的结构耗能明显加大,对地震作用效应的消能作用有明显的效果。国内外研究表明,筒壁支承的筒仓,其可靠度比柱支承的筒仓大,是震害较轻的原因之一。另外,上部仓体与仓下支承结构连接处,筒壁支承的筒仓与柱支承的筒仓相比,截面变化缓和,不像柱支承筒仓那样发生巨大的刚度突变,从而消除了应力集中,减少地震作用效应对结构的破坏。此外,筒壁支承或筒壁与内柱共同支承的筒仓,一般釆用条形、环形或筏形基础,基础与地基接触面较大,相应的阻尼也大,筒仓整体稳定性好,这也都是筒壁支承抗震性能优于柱支承的有利条件。1976年唐山地震前,在唐山地区设计的筒仓是没有抗震设防的,震后的筒壁支承筒仓的破坏,如上所述是最轻的。由此可见筒壁支承的圆形筒仓的可靠度是相当大的。 对于柱支承的筒仓,其结构形式是典型的上大下小、上重下轻的鸡腿结构,造成仓下支柱的轴压比较大,且大多数工程釆用单独基础,仓体稳定性差。上部仓体与仓底支柱的连接处,其刚度往往有较大的突变,使支柱的延性较差。在排仓或群仓贮料不对称时,地震效应的扭转作用将会加剧筒仓的破坏。虽然柱承式筒仓的抗震能力差,但由于工艺设计的需要,在抗震设防区也无法完全避免建造柱承式筒仓。即使是筒壁支承的圆形筒仓,当仓下筒壁开洞过大时,也会影响筒仓的抗震能力。因此对这类筒仓,应釆取措施满足抗震要求。 仓顶建筑物在地震荷载作用下,受鞭梢效应的影响,有动力放大的作用,从实际震害中可以看到。在辽南地震中,建在7、8烈度设防区内的筒仓,不论釆用何种材料,仓顶建筑物只要设计合理,绝大多数均未倒塌。在唐山地震中,由于地震烈度高至9、10烈度甚至更高,仓顶建筑物绝大多数倒塌,其中砌体结构破坏更为突出,而钢筋混凝土框架结构,特别是钢结构承重、轻质围护墙的仓顶建筑物,破坏程度明显减轻,有的还相当完好,因此仓顶建筑物应尽量采用轻质且耐火的建筑结构,是制订本条规定的依据。 有些工业的生产系统设计时,经常将筒仓仓顶作为工业场地制高点设置与筒仓功能无关附属建筑、构筑物,如水塔、给排水设施、避雷塔架等构筑物,对筒仓安全运行非常不利。因此本条规定不应在仓顶设置与筒仓无关的建、构筑物。
3.3.13 筒仓装、卸料应符合下列规定:
1 向仓内装料不应以抛物线形式将贮料直接砸向仓壁;
2 宜减少偏心装料;
3 当采用多点装料时,装料口宜对称均匀布置;
4 筒仓宜避免单侧卸料,不可避免时,应符合偏心荷载作用效应的要求。
条文说明
3.3.13 近年来,为了装料通畅,有些设计在输送机头部不加挡板及溜槽,造成物料呈抛物线形式直接砸向仓壁,尤其是块状物料,致使仓壁开裂破坏,严重者造成仓壁大面积崩塌。因此筒仓装料应防止采用抛物及不均匀的装料方式。至于偏心装料,只要偏心距(e)不大于临界值,可忽略其影响。
3.3.14 大直径筒仓不宜在仓内设置支承仓顶结构的内筒(筒中筒)或支架。不可避免时,对这类构件应设置抗冲击、抗磨损措施,还应符合在装、卸料过程中荷载效应的要求。
条文说明
3.3.14 有些大直径筒仓,为了支撑大跨度仓顶结构,在仓内设置立柱、支架或筒形支柱。在有限空间中,料流对这些构件的作用力很不明确,对这些构件的磨损、撞击造成的破坏也不易发现,形成安全隐患。这些构件还将严重影响贮料的重力流动,甚至造成堵仓,设计不应顾此失彼。为确保筒仓安全运行、设计合理,应按本条的规定执行。
3.3.15 仓壁内侧的壁面不应附着、设置影响物料流动、影响结构安全的构件及设施。
条文说明
3.3.15 由于圆形筒仓设计充分利用了薄壁筒壳的结构优越性,使这种筒仓得到大量的推广和使用。其壁厚与筒径之比几乎与鸡蛋皮相似。因此在筒壁或仓壁内侧壁面上设置吊挂构件、螺旋溜槽及其他影响物料流动的设施,将使轴对称旋转薄壳结构的受力非常不明确:作用力不对称、不均匀及应力集中,这种受力状态对薄壁结构非常不利;若干年前,国外曾在较小的筒仓的仓壁内侧设置过固定在仓壁上的螺旋溜槽,其使用效果并不理想。正是由于以上原因,这种设计已被淘汰。我国的筒仓设计者不应把已经过时的设计理念作为新发现。我们的工艺设计者应汲取别人的教训,不应再顾此失彼。
3.3.16 预应力仓壁上埋件的设置应符合下列规定:
1 埋件应釆用预埋,不应釆用后锚入;
2 预应力仓壁预埋件的锚件不应釆用膨胀螺栓。
条文说明
3.3.16 预应力仓壁上需要设置埋件时,应釆用预埋。若施工后再设置埋件,其埋件的锚筋必然要经过钻孔后埋置,钻孔将会影响伤及预应力筋,这将会影响预应力仓壁的局部甚至整体结构的安全。为此必须明确这种后置埋件的施工要求。
4 结构上的作用
4.1 作用分类及荷载效应组合
4 结构上的作用
4.1 作用分类及荷载效应组合
条文说明
根据现行国家标准《建筑结构可靠度设计统一标准》GB 50068及《工程结构可靠性设计统一标准》GB 50153的规定,由各种原因在结构上产生的内力、变形、裂缝及位移等称为结构上的效应。能使结构产生效应的各种原因称为结构上的作用(action),施加在结构上的集中力或分布力为直接作用也称荷载。引起结构外加变形或约束变形的原因为间接作用,如温度变化、材料的收缩及徐变、地基变形及地面运动等,过去也统称为荷载。因为间接作用并不是以力的形式出现,统称为荷载后,使两种不同的作用等于没有区别。现行国家标准《建筑结构荷载规范》GB 50009只限于直接作用(荷载)和间接作用的内容,本标准中对于施工中可能出现的短暂作用未做规定,应由相关施工规范考虑。
4.1.1 筒仓结构上的作用应分为下列三类:
1 永久荷载:结构自重、其他构件及固定设备施加在仓体上的恒定作用力、预应力、土压力、填料及温度作用等;
2 可变荷载:贮料荷载、楼面活荷载、屋面活荷载、雪荷载、风荷载、可移动设备荷载、固定设备中的物料荷载及设备安装荷载、积灰荷载、筒仓外部地面的堆料荷载及管道输送产生的正、负压力等;
3 地震作用。
条文说明
4.1.1 永久荷载中的其他构件作用力,是指搭接在筒仓上的建(构)筑物,如胶带输送机栈桥及通廊等传来的荷载。以往在我国煤炭、电力系统的筒仓设计中,由于温度作用的因素和计算比较复杂,温度作用对小型筒仓又不是主要控制值,为了简化计算,原规范将温度作用效应折算为环拉力;筒仓的环境温度作用,包括季节温差、仓内外温差(包括贮料的温度作用)和日照温差;我国地域辽阔,地形复杂,各种大气环境下的温差变化各异,即使在同一地区,也有悬殊的温差。季节温差虽然每年都有一些变化,但总体是稳定的,只要工艺生产系统维持正常运行,贮料的温度作用效应也是长期存在的。人们不可能按小时或分秒计算随机的温度变化作用,这种复杂温度作用工况及其各种参数的取值,目前还没有完全相同的构筑物可借鉴,只能按起控制作用的不利工况,计算其对结构的最大及最不利作用。季节及筒仓的内外温差作用是主要的也是长期存在的,其温度作用的效应也不容忽视,尤其是大型及超大型筒仓,还影响到结构安全及配筋。由此可见,虽然温度随时间变化的幅度是可变的,但年温度变化幅度基本是稳定的,本标准将温度作用划为永久荷载是合理的。对于认定短期的温度作用为筒仓设计的控制值时,可不受本条规定的限制。 对温差变化较大、工况复杂的大型或超大型筒仓,应根据具体温度条件和实践经验,进行温度作用效应的验算;近年来大量建造的直径大于30m的大型及超大型筒仓,原规范对温度作用效应的规定已不能满足设计要求,本次修订除将原规范第4.1.1条“注”中的内容保留并改为条文外,对直径大于30m的大型及超大型筒仓,增加了第4.3.1条~第4.3.11条温度应力计算的内容。 可变荷载中的设备荷载,除竖向作用的荷载外,尚应考虑作用于筒仓上的水平力,如带式输送机或强力带式输送机等对筒仓的拉力。 筒仓结构只是一种供特定生产工艺使用的构筑物,不同的工艺设计有不同的贮料、生产系统及专用的设施、设备,因此这些设施及设备的荷载,只能由工艺专业提供资料,才能作为结构设计的依据。筒仓结构的设计者,不是生产工艺及其系统的专职设计人员,不属于同一种专业。为此,筒仓结构设计者所釆用的与其存贮功能、设施及设备有关的资料,必须由工艺专业的设计者提供或认可,才能进行结构设计。在此条件下设计的筒仓结构,才能确保系统的安全运行。
4.1.2 筒仓结构的荷载代表值应符合下列规定:
1 筒仓结构设计时,不同荷载应采用不同的代表值;
2 永久荷载应釆用标准值;
3 可变荷载应根据设计要求,采用标准值或组合值;
4 地震作用应采用标准值。
4.1.3 筒仓结构按承载能力极限状态设计时,荷载组合效应的基本组合应符合下式的规定:
γ 0 S d ≤R d (4.1.3)
式中:γ 0 ——结构重要性系数,应不小于1.0;
S d ——荷载组合的效应设计值;
R d ——结构构件抗力的设计值。
注:安全等级为一级、特殊用途的筒仓,γ 0 取值应不小于1.1。
条文说明
4.1.3 筒仓是以贮料荷载为主的特种结构,荷载组合应区别于一般建筑物,因此本标准对荷载组合做了必要的规定和简化,对现行国家标准《建筑结构荷载规范》GB 50009通用公式中,对筒仓设计不可能出现的荷载工况,本标准进行了必要的省略,但基本组合原则是一致的。 由于筒仓的用途广泛,贮料种类繁多,应根据贮料的特性及用途确定荷载组合。可能严重影响环境、民生、国防及使用年限要求超过50年的筒仓,都可算作特殊用途的筒仓。
4.1.4 筒仓荷载效应基本组合的各种取值应符合下列规定:
1 永久荷载控制的组合,永久荷载与可变荷载应取全部;
2 可变荷载效应控制的组合,永久荷载及可变荷载效应中起控制作用的可变荷载应取全部。
条文说明
4.1.4 筒仓起控制作用的永久荷载主要是筒仓的自重,起控制作用的可变荷载主要是贮料。故在筒仓结构按承载能力极限状态计算的荷载效应组合中,需着重体现起控制作用的荷载。 可变荷载效应控制的组合中,筒仓的高度与外径之比(H/D)大于或等于10且有台风作用的地区,应考虑风的作用,其他条件下可不计。
4.1.5 基本组合永久荷载分项系数的取值应符合下列规定:
1 永久荷载效应对结构不利时,分项系数应取1.2,仓上、仓下的其他平台的分项系数应取1.35;
2 永久荷载效应对结构有利时,分项系数不应大于1.0;
3 堆料仓的永久荷载效应对结构有利时,分项系数应取0.9;
4 温度作用的分项系数宜取1.2。
4.1.6 基本组合可变荷载分项系数的取值应符合下列规定:
1 贮料荷载分项系数应取1.3;
2 其他可变荷载效应分项系数宜取1.4,标准值大于4.0kN/m 2 的楼面活荷载分项系数应取1.3。
条文说明
4.1.5、4.1.6 在本次对原规范修订之前,我们曾向全国煤炭、冶金、建材、电力及粮食行业的筒仓设计、使用及施工近百多个单位发出函调,从函调反馈的意见可以得出肯定的结论,按原规范设计的筒仓,经过多年的实践经验证明其可靠度是适当的。影响筒仓使用安全的主要控制荷载是筒仓构件的重力及其贮料荷载。
4.1.7 筒仓可变荷载组合值系数的取值应符合下列规定:
1 筒仓楼面活荷载及其他可变荷载组合系数值应符合下列规定:
1)按等效均布荷载取值时,组合值系数可取0.5~0.7;
2)按实际荷载取值时,组合值系数应取1.0;
3)屋面雪荷载组合系数值不应小于0.7。
2 筒仓无顶盖且贮料重按实际重量取值时,贮料荷载组合值系数应取1.0,有顶盖时可取0.9。
条文说明
4.1.7 当筒仓有顶盖时,筒仓的仓容比会受到顶盖的影响,无顶盖筒仓仓壁顶面以上,根据不同的设备及贮料特性,可能存在不同的贮料容量,故应区别对待。
4.1.8 计算筒仓水平地震作用及其自振周期时,可取贮料总重的80%作为贮料重力荷载的代表值,重心应取其总重的中心。
条文说明
4.1.8 计算贮料水平地震作用时,由于贮料是散体,地震时颗粒之间及颗粒与仓壁的运动和摩擦,消耗一部分地震能量,使地震作用减少。但由于此种能量的损失是受贮料的物理特性、地震烈度、筒仓几何形状等多种因素的影响,现在还不能就各种因素得出准确的定量分析,因此为了设计上的简便,釆用折减贮料质量的方法降低地震作用效应。考虑到贮料的种类繁多,只能近似地选取一个系数,参考国内外有关资料,将此影响系数取0.9。同时考虑到地震时贮料未必满仓,折减系数取0.9,因此,这两次折减的结果为:0.9×0.9≈0.8,即贮料总重力的80%。 鉴于我国现行国家标准《建筑抗震设计规范》GB 50011关于地震水平力的计算公式中,含有结构基本自振周期水平地震影响系数,计算该系数用的自振周期多由计算求得。因此,为了设计方便,在周期计算中的质量取值也用0.8折减。当然,这样计算的周期与实测数值是有差异的,只是一个近似值,但考虑到最终计算地震荷载的综合结果,并不折减很多,还是可以釆用的。 地震对于筒仓的作用,国内外的研究尚无完全统一的定论。有关的国外资料多数是将贮料及自重乘以地震系数,这种方法虽然简单,但不一定代表地震的真正作用机理。在发生地震时非压密的贮料在仓内运动状态对仓体的作用效应是不同的。日本科学家以煤作为贮料进行的试验认为,地震时散体煤在仓内的运动对仓体的地震效应有一定的阻尼作用,其等效黏滞阻尼效应可达40%。由散体煤产生的仓体底部剪力的75%~80%由仓壁承受。这一结果在某种程度上与本标准所取的折减系数相吻合。日本科学家M.Sakai.H.Matsumara1985年10月发表在Baulk Solids Handling的“Study on the Dynamic Behavior of Coal Silos Earthquakes”实验结论还认为,地震输入的加速度越高,圆形筒仓仓壁承受的单位输入加速度的基底剪力值越小。贮料粒径及力学特性的改变,对仓底剪力变化的不利影响可忽略不计。对预应力混凝土筒仓,地震产生的裂缝在震后基本可以再闭合。1976年我国唐山地震后,筒仓的破坏调查也说明贮料具有阻尼作用。为此本标准取贮料总重的80%为有效重力。对于其他不同的贮料,如有更精确的实验及实践经验,可不受此限。
4.1.9 筒仓构件只考虑全部荷载代表值和水平地震作用效应的抗震验算时,构件的地震作用效应和其他荷载效应的基本组合应符合下列规定:
1 计算重力荷载代表值的作用效应时,除贮料荷载外,其他重力荷载的分项系数可取1.2;
2 当重力荷载对构件承载能力有利时,其分项系数不应大于1.0;
3 在计算水平地震作用效应时,地震作用分项系数应取1.3。水平地震作用的标准值应乘以相应的增大系数或调整系数。
条文说明
4.1.9 筒仓结构虽然高大,但按其高径比远没有烟囱等高耸建筑或构筑物大,故其破坏仍为第一振型。竖向地震破坏不是主要的,当需要验算时可参照现行国家标准《构筑物抗震设计规范》GB 50191的有关规定计算。
4.1.10 筒仓结构按正常使用极限状态设计时,应根据各种筒仓的使用要求,釆用荷载效应的标准组合或准永久组合,并应符合下列荷载组合效应表达式的规定:
S d ≤C (4.1.10)
式中:S d ——荷载标准组合或准永久组合的效应设计值;
C——结构或结构构件符合正常使用要求的变形、裂缝、应力、振幅及加速度的控制值。
注:1 荷载标准组合或准永久组合的效应设计值应符合本标准及筒仓使用相关专业的要求;
2 可变荷载的准永久值应为可变荷载标准值乘以准永久值系数0.8。
条文说明
4.1.10 直接作用于各平台梁板构件上的动力荷载应按本条及工艺设计的要求进行验算;按正常使用极限状态验算时,贮料的准永久系数可取0.8。
4.1.11 筒仓进行倾覆、滑移稳定计算时,各系数的取值应符合下列规定:
1 圆形筒仓的高径比、矩形筒仓的高宽比小于1.5时,抗倾覆安全系数应取1.3;
2 圆形筒仓的高径比、矩形筒仓的高宽比大于或等于1.5时,抗倾覆安全系数应取1.5;
3 堆料仓的抗倾覆安全系数应取1.6;
4 筒仓的抗滑移安全系数应取1.3。
注:本条规定中的高为筒仓的总高度,径应为圆形筒仓的外径,宽应为矩形筒仓的短边。
条文说明
4.1.11 筒仓一般可不进行稳定计算。只有高径比大、地基条件不良、空仓及又处于特大台风作用地区或地面塌陷地区的筒仓,可按本条规定进行验算。但因为筒仓总是与相关的通廊、栈桥或其他建筑物相连接,因此筒仓倾斜变形虽然对筒仓的稳定性没有太大的影响,但与其连接的建筑物可能造成挤压或拉伸,设计时必须预留满足稳定变形的空间要求。堆料仓几乎与支挡结构相同,故应增大其稳定性的控制。
4.2 贮料压力
4.2 贮料压力
4.2.1 贮料物理特性参数的确定应符合下列规定:
1 贮料物理特性参数应由工艺专业提供;
2 贮料物理特性参数应通过试验分析确定;
3 根据实践经验确定的贮料物理特性参数应得到工艺专业的认可;
4 当无试验资料时,在工艺专业认可的条件下,可按本标准附录A所列数值选用;
5 本标准附录A未包括的贮料,其特性参数应由工艺专业提供。
条文说明
4.2.1 散料特性参数如重力密度、内摩擦角及贮料与仓壁之间的摩擦系数等釆用的正确与否,对贮料压力的计算有决定性的影响。然而,影响散料特性参数的因素很多,即使同一种散料,由于颗粒级配、颗粒形状、含水量、装卸条件、外界温度和湿度以及贮存时间长短等条件的不同,散料的物理特性参数也有差异,因此,在选用各种参数时,必须慎重。 煤炭、冶金工业的各种散体贮料种类繁多,且随着各种矿石的品位和开釆条件的变化,其变异性很大,贮料的各种参数应通过试验并考虑各种变化因素综合分析确定。
4.2.2 深仓贮料重力流动压力的计算应符合下列规定:
1 贮料顶面、贮料顶部锥形体重心以下,距离s(m)处的水平截面上,贮料作用于仓壁单位面积上的水平压力p h (kPa)(图4.2.2)应按下列公式计算:



式中:C h ——深仓贮料水平压力修正系数;
γ——贮料的重力密度(kN/m 3 );
ρ——筒仓水平净截面的水力半径(m);
e——自然对数的底;
s——贮料顶面或贮料锥体重心至计算截面的距离(m);
μ——贮料对仓壁的摩擦系数;
k——侧压力系数;
φ——贮料的内摩擦角(°)。
2 贮料作用于仓底或漏斗顶面处单位面积上的竖向压力p v (kPa)应按下式计算:

式中:C v ——深仓贮料竖向压力修正系数;
h n ——贮料计算高度(m)。
注:当按上式计算的p v 值大于γh n 时,应采用γh n 值。γh n 应为浅仓的竖向压力。
3 贮料顶面或贮料锥体重心下,距离s(m)处的计算截面以上,仓壁单位周长上总竖向摩擦力p f (kN/m)应按下式计算:

4 漏斗斜壁贮料的切向力应按下式计算:

5 当仓壁设有偏心卸料口或仓底设有多个漏斗又不同步卸料,其偏心距e小于0.1d n (b n )时,可不计算贮料偏心压力对仓壁的影响,偏心距e大于或等于0.1d n (b n )时,应计算偏心压力对仓壁的不利影响。偏心压力的计算应符合下列规定:
1)偏心卸料作用于矩形筒仓仓壁上的水平压力应按下列公式计算:


2)偏心卸料作用于圆形筒仓仓壁上的水平压力应按下列公式计算:


式中:e——偏心卸料口中心与仓中心间的距离(m);
E r 、E ec ——矩形、圆形筒仓偏心卸料压力系数。
6 圆形筒仓仓壁上开设卸料洞口形成仓侧大偏心卸料时,卸料压力的计算应符合本标准附录B的要求。
条文说明
4.2.2 关于贮料压力的计算问题,国内外已进行了长期和大量的研究工作,早在1895年,德国学者杨森(Janssen)提出,取筒仓内贮料的微厚元静力平衡条件,求得仓内贮料作用在仓壁上的压力。然而人们在筒仓卸料过程中发现,贮料在仓内的应力场及作用于仓壁上的压力与杨森的假定并不一致。国际上曾有Reimbert,Pieper,Walker,Jenike等学者在筒仓的贮料压力的研究方面做的很多实验都证明,杨森公式算出的仓壁压力不能代表筒仓在卸料过程中贮料作用于仓壁上的实际压力。正如许多筒仓学者所指出的,杨森公式假定在任一横截面上料层的垂直压力是均匀分布的,而事实上由于贮料与仓壁之间存在摩擦力,垂直压力并非均匀。又如公式中的侧压力系数k值的确定,直接釆用了兰金(Rankine)公式而未考虑与仓壁接触贮料的屈服条件。由于散体理论本身的不完整性,各国在采用杨森(Janssen)公式的同时对其进行修正,所釆用的修正系数也各不相同。目前国外各有关筒仓规范对贮料压力的计算仍釆用各自修正后的杨森公式。这主要是使用该公式进行设计时比其他方法简便。我们曾对我国除西藏、海南之外的各省的煤炭、电力、冶金、建材及粮食等行业的已投入使用的筒仓进行了书面调查,严格按本标准规定设计的筒仓未发现问题。故本次修订仍釆用原规范贮料压力的表达公式,对表达式的解释表述如下: (1)由杨森(Janssen)公式求得的贮料水平压力,只是基本上符合贮料静态时的压力,并没有考虑在使用过程中可能会出现的各种不利因素,因此计算贮料水平压力时应乘以修正系数Ch,该系数主要考虑卸料时的动态压力、贮料的崩塌以及不可预见的其他因素等。但在一般情况下,这些最不利因素不可能同时出现,因此该系数应是多种因素的综合修正系数,而非超压系数。 如何确定较合理的Ch值是一项困难和复杂的任务,同时也是关系着筒仓结构是否安全可靠和经济合理的重要问题。本标准规定的Ch值乃是在总结国内大量筒仓实践经验的基础上,吸取了国内外筒仓的试验研究成果,并参考了各国的筒仓规范,经过综合分析而确定的。现分几个方面说明如下: 1)卸料时的动态压力:贮料的流动压力是确定修正系数Ch值的主要因素。贮料流动压力问题,既超出了一般散体静力学的课题,又不同于浆体流动,而是属于散体流动力学的范畴,它涉及的因素繁多,抽象出具有普遍意义的力学数学模型相当困难,是迄今为止在世界范围尚属未彻底解决的研究课题。概括起来,目前各国的筒仓研究者对流动压力的机理、分布及定量分析均存在不同的认识,简介和分析如下: 贮料的流动形态归纳起来可分为两种类型,一种属于整体流动,即卸料时整个贮料随之而动;另一种属于管状流动或称为漏斗状流动,即卸料时贮料从其内部形成的流动腔中流动。 筒仓卸料时,在筒仓的不同区段也有可能同时出现上述两种流动状态。各区段的范围视不同散料的特性和筒仓的几何形状而定。通常粉状或具有黏性的贮料,管状流动腔向上扩大,甚至整个筒仓均形成管状流动。而颗粒均匀的块状贮料,管状流动腔向下缩小,即整体流动范围扩大。 贮料处于管状流动时,所产生的流动压力要远小于整体流动时的压力。美国规范特别提到,所规定的超压系数值仅适用于管状流动状态,而苏联规范和德国规范中均未明确分开。我们考虑到大多数筒仓中的贮料流型很难明确划分,同时还要考虑筒仓在使用期间可能产生的其他种种压力增大因素,因此,本标准也采用不以流动型态划分的综合修正系数值。 流动压力的机理:对贮料处于流动状态时水平压力增大的事实,已被大家所承认。但是对其增大的机理,则有各种不同的见解,有的认为是贮料特性的改变,有的认为是贮料内部不断形成动力拱。目前欧美较为流行的一种看法,是美国学者詹尼克(Jenike)的观点,他认为是由于贮料内部应力场的改变。装料时贮料内部的主应力线接近于竖直方向即主动压力状态,卸料时由于贮料失去支持力,主应力线改变为接近水平方向即被动压力状态,并且在流动腔断面缩小处,产生很大的集中压力或称为转换力。 詹尼克根据上述基本假定,创建了一套计算水平压力的理论,该理论仍借助散体静力学极限平衡的原理来描述流动压力状态,因而也是十分粗略的。但是他的基本观点还是可以被接受的。根据詹尼克的理论,就可以得出结论,即越是易流动的散体,流动压力越大,整体流动的压力要大于管状流动,这些结论已被许多测试资料所证实。 2)动态压力的分布:多年来,随着测试技术的发展,对贮料流动压力的分布又有了新的认识,很多筒仓研究者一致认为,贮料在流动时压力沿筒仓截面和仓壁高度都呈不均匀分布状态。引起不均匀压力分布的因素很多,诸如贮料本身的不均匀、装卸料不均匀、筒仓结构本身的不均匀以及外界温湿度变化引起的不均匀等。因此,严格地说任何一座筒仓都存在压力不均匀的现象。 由于不均匀压力的存在,使仓壁结构不仅要承受轴向拉力,而且还要承受弯矩,在苏联规范中,已有这样的规定。但是,由于这种不均匀压力分布的变化错综复杂并具有随机性,目前我们所掌握的资料不足,很难给出确切的数字,故本标准未能对此做出具体规定,只是将这种不利影响包括在综合修正系数Ch范围内。 (2)从国外资料看贮料的竖向压力,一般都认为静态时贮料的竖向压力与杨森公式计算值基本相符。当贮料处于流动状态时,对竖向压力值应如何估算,则有不同的认识。一种认为竖向压力要减小,理由是由于卸料时水平压力要加大,假定摩擦系数不变的条件下,则传至仓壁上的总摩擦力将更加增大,因而使传至仓底的竖向压力减小。另一种观点认为,竖向压力基本上与静态时相同。根据我们所做的测试结果和对各种资料的分析,支持后一种观点,即贮料在静动态时仓底的竖向压力无太大的变化。但是考虑到料拱的崩塌及贮料特性的不利变化等因素,仍应乘以竖向压力增大的修正系数Cv,本标准的Cv值是参考国内外有关规范确定的,见表1。
对于贮存粮食的混凝土筒仓的仓底,按我国多年来的实践经验并参考苏联规范的规定,Cv值取1.0。 此外,按我国筒仓设计经验并参考美国和德国规范的规定,仓底的总竖向压力不应大于贮料的总重,即pv≤γhn。 (3)偏心卸料是一个较普遍存在于筒仓设计中的问题。偏心卸料的贮料压力在20世纪60年代以前未引起人们的重视。此后,其重要性逐渐才被人们认识,并反映到各国规范中,法国规范称其为非正常卸料,也是一种贮料的不对称流动。在有多个卸料口的筒仓中,打开不同的卸料闸门卸料及筒仓仓形的几何不对称时,都会造成不对称或偏心卸料。有的筒仓为了不堵仓,根据工艺需要专门设计成有偏心卸料功能的仓。 在偏心卸料时,贮料压力对筒仓的不利影响,实质上仍属于压力不均匀分布的范畴,但是,它要比一般的贮料不均匀情况严重,会对仓壁产生较大的附加侧压力,难以将此影响包括在综合修正系数Ch内,故本标准规定应予以考虑。本次修订,偏心卸料产生的附加压力计算公式不变。 各国学者虽一致认为偏心卸料问题不容忽视,但处理方法各不相同,各国规范对此也有不同的计算方法。最早研究偏心卸料问题的是德国的皮珀教授,他根据在各种小型模型仓上所做的试验,提出了计算方法,并首先在德国规范中采用。我们认为,美国规范提出的经验公式,规定了仓壁下部壁高等于dn的范围内,压力增值为一常量,这条规定使hn/dn较小的筒仓仓壁配筋量增加过大,很不合理。在综合分析比较了美国、德国规范的基础上,建议当hn/dn<1.5或偏心值e<0.1dn时,可不考虑偏心卸料的影响。偏心卸料时,仓底压力增值为:△ph=0.25eph/r,在贮料计算高度下部hn/3范围内,△ph为一常数,其上至贮料计算高度的上端按直线变化渐减到零,并假定△ph是沿圆周均匀分布的,当然这些假定也是有一定的局限性的。 我们对不同的计算方法进行比较后,认为Theimer的近似计算法是较为简捷实用的计算,故作为本条釆用的依据。设计者可根据具体情况对仓壁进行验算。 仓侧卸料的深仓与仓内单或多漏斗偏心卸料的工况不同,作用在仓壁上的压力也不同。本条第5款的规定,是对仓内漏斗卸料偏心压力计算的规定。本次修订,参考欧洲规范,将仓侧偏心卸料压力计算的规定增添到本标准的附录B中。 (4)仓壁单位周长上总的竖向摩擦力,与国外规范釆用同样的公式,按此计算的结果与我们所做的测试基本相符。由于贮料处于静态或动态时的摩擦力变化不大,故不必乘以修正系数。 hn值确定的正确与否,对贮料压力有很大影响。以往有些设计者,为了简化计算又要偏于安全,往往将贮料顶面高度算至仓顶层的楼面,而不考虑扣除一部分无法装料的无效高度,对高径比大的小直径筒仓,这样处理尚无不可,但对一些大直径筒仓以及用单点或条形装料方式的筒仓,显然会造成很大的误差,因此,本标准规定了贮料计算高度hn的上下端的位置。在下端,一般分三种情况,一种是无填料的漏斗或平板仓底,贮料压力作用在整个仓壁上,因此计算高度hn应算至仓壁底部。另一种是有填料的情况,尽管填料可以由各种材料组成,但由于它们具有一定强度,本身可以承受贮料压力,故应考虑填料的有利影响,将计算高度hn算至填料的表面。在筒仓中,填料表面与仓壁的交线往往不在同一水平上,为了计算简单,规定算至此交线的最低点处。第三种是钢筋混凝土单漏斗,可算至漏斗顶面。对于大型圆形浅仓可按本标准附录C的公式计算。
4.2.3 贮料计算高度h n (m)的确定应符合下列规定:
1 上端的确定应符合下列规定:
1)贮料顶面为水平面时,应按贮料的顶面计算;
2)贮料顶面为斜面时,应按贮料锥体的重心计算。
2 下端的确定应符合下列规定:
1)仓底为钢筋混凝土或钢制锥形漏斗时,应按漏斗顶面计算;
2)仓底为平板无填料时,应按仓底顶面计算;
3)仓底形成填料漏斗时,应按填料表面与仓壁内表面交线的最低点计算。
4.2.4 筒仓仓壁水平任意净截面,圆形筒仓、矩形筒仓、星仓水平任意净截面的水力半径ρ(m),应按下列公式计算:




式中:A——筒仓水平截面的净面积(m 2 );
U——净截面的周长(m);
A 1 ——对称星仓水平截面的净面积(m 2 )。
条文说明
4.2.4 水力半径是筒仓深仓贮料压力杨森计算公式中的重要参数,水力半径是流体力学专用术语,其物理意义是ρ=A/U,A是流体通道的横截面,U是通道横截面与流体接触的周边长度,称为湿周,由于筒仓是直立容器,因此物料与仓壁的接触面就是筒仓水平截面的周长。群仓星仓的水力半径是
,式中的A为群仓的对称星仓水平净截面的面积。该公式的推导,是将星仓复杂的水平截面的净面积,以比较简单的当量正方形或当量圆形的面积等量代换,再除以其当量正方形的湿周总长或当量圆面积的湿圆周长求得。具体推导过程可参见美国Design and Construction of Silos and bunkers(Sargis S.Safarian)及美国Structural Engineering Handbook(Edwin H.Gaylord)。其推导过程严谨,公式简明非常适用。
4.2.5 深仓贮料水平侧压力修正系数C h 、竖向压力修正系数C v 的取值应符合下列规定:
1 深仓贮料水平侧压力修正系数C h 应按表4.2.5-1取值;

2 群仓的内仓、星仓及边长不大于4.0m的方仓的修正系数C h 、C v 等于1.0;
3 有特殊促流装置的筒仓,应将表4.2.5-2贮料竖向压力修正系数C v 乘以1.1~1.2。

条文说明
4.2.5 本标准对杨森公式的修正,具体体现在表4.2.5-1、表4.2.5-2中。以下是本标准确定修正系数值需要考虑的主要因素(图4)。 
图4的右侧为散体物料在有限空间侧壁上水平压力的示意图。杨森(Janssen)公式的计算结果符合散体力学原理。从图4中可以看出,散体在有限的空间中的作用,其水平压力不是呈线性变化,而是接近抛物线。也就是说,水平压力值随着深度的增大接近常数。为简化计算,在仓壁深Sh范围内,曲线的变化可近似地用斜直线ac代替,而其下部可用直线cd代替。 杨森(Janssen)公式计算仓壁不同深度处的贮料压力函数,按连续曲线表示是正确的。但钢筋的截面选择及排列布置只能沿仓壁高度在一定的区段内按同一直径的钢筋等距分段布放,钢筋用量的图示只能是阶梯形的包络图形,绝不可能是一条连续曲线。事实上,在仓壁2/3高度以上的部分,其曲线接近直线。这就是本标准釆用简化计算的依据。 流动压力沿仓壁高度分布的大小与贮料的流动腔密切相关。根据国内外的资料介绍,最大的流动压力发生在流动腔与仓壁相交处,该处位置的高低与贮料和筒仓特性有关,一般情况下最大流动压力大致位于仓壁的中部或下部,在仓壁上段约1/3高度范围内,则影响不大且衰减较快。因此,本标准规定的修正系数,在下段2/3仓壁高度范围内均取大值,上段1/3高度范围内取小值。 关于流动压力大于杨森理论值的论点,各国筒仓规范已经没有分歧了,但流动压力的增大值却存在不同的估算值。最早的测试资料提供的数据为1.3倍~4.0倍。从近几十年的测试资料来看,个别点可达十几倍,当然这种小面积上出现的压力峰值有可能是瞬间的,我们并不认为是必须考虑的数值。近来一些筒仓研究者更多地注意到整个筒仓中压力的变化规律,综合分析对仓壁内力的影响,以此来确定相应的增大值。 现将国内外当前确定流动压力增大值的情况综述如下: 20世纪,苏联在很多年间釆用的最大修正系数值一直为2.0,对贮煤筒仓规定为1.0。但是,对适用于粮食的筒仓规范,改变了单一修正系数的方法,根据不同类型和贮料的筒仓,给出了不同的系数,折算后的修正系数最大可达2.5左右。美国规范规定对适用于管状流动的最小超压系数值为1.65~1.86。德国规范的卸料压力是通过改变散料物理特性参数而得到的,如将此折算为修正系数值,则上部约为2.5,中部约为1.5,下部接近杨森理论值,形成上大下小的不合理状态。在该规范后来的修订稿中,已改为采用超压系数的办法,对于不同的贮料釆用不同的系数,如小麦为1.5。此外,在计算基本贮料压力时,将侧压力系数改为采用
。日本在小麦筒仓设计中修正系数取3.0,我国在《钢筋混凝土筒仓设计规范》GBJ 77-85实施以前的筒仓设计中,大多数的筒仓所采用的修正系数为2.0。水泥和煤炭工业部门曾经釆用过小于2.0的系数。如水泥工业部门曾取为1.5~2.0。煤炭工业部门历来无统一规定,因人而异,取值范围为1.0~2.0。本标准规定的基本修正系数Ch值为2.0,其理由阐述如下: 国内的实践经验表明,在《钢筋混凝土筒仓设计规范》GBJ 77-85实施之前,筒仓建设在我国已有几十年的历史,建成了各种类型筒仓,在此基础上总结这些筒仓设计、建设及使用经验是很有必要的,也是本标准确定修正系数值的重要依据之一。据不完全统计,这些筒仓达数百座之多,遍布全国各地,其使用基本正常,并未发生过严重破坏事故,但是其中有相当一部分筒仓在仓壁上出现不同程度的裂缝,裂缝大致出现在仓壁的中部或下部,有多座筒仓的裂缝宽度超过规范允许值,其中以水泥和煤炭工业的筒仓为多。当然,造成裂缝的因素很多,修正系数取值偏小是主要因素之一,我们曾对几座出现裂缝的圆形煤筒仓进行分析,按其实际配筋量折算的修正系数值都小于2.0,个别筒仓只有1.13。为了保证筒仓使用,提高其耐久性,《钢筋混凝土筒仓设计规范》GBJ 77-85规定的基本修正系数之值不宜小于2.0。 使用实物和模型筒仓测试分析,也是确定修正系数值的方法一。原国家煤炭部自20世纪70年代~80年代对贮煤实物圆形筒仓和模型筒仓进行过压力测试,测试结果表明,卸料时的贮料压力要比杨森理论值大1.5倍~3.5倍。最大动压力往往发生在1/2的仓壁高度以下,并且作用时间较长。沿仓壁高度和水平截面周边呈不均匀分布,颗粒均匀的块煤要比含有末煤的混合煤的压力大。综合分析以上结果,在正常使用情况下,仓壁不仅要承受轴向力,而且还要承受弯矩,根据Ch值为2.0反算,各种筒仓能承担弯矩的能力为:M
max =(0.01~0.017)p h r 2 。 该值与苏联规范修订后的规定是比较接近的,但是与实测资料相比,显然还是偏小,这说明使用Ch值取2.0并不是很富裕。
从国外资料分析看,德国规范求得的贮料压力,在仓壁的中、下段偏小,按此设计的粮食筒仓,建成使用后曾发生多起破坏事故,因此,在该规范后来的修订稿中做了修改,釆用了乘以超压系数的方法,增加了仓壁的配筋。美国以往的筒仓设计,忽略了贮料流动压力的影响,造成一些筒仓的崩塌和裂缝事故。美国制定的规范,虽然提供了最小的超压系数值,但是仅限于管状流动,筒仓的流动形态很难预先确定,因此在设计中往往釆用大于规范规定的数值。20世纪80年代,美国为我国设计的贮煤筒仓,超压系数取为3.0。苏联是研究流动压力最早的国家之一,在粮食、水泥筒仓等方面具有多年的实践经验,多年来修正系数值一直釆用2.0。其修订的新规范也改变了单一考虑修正系数的办法,增加了考虑弯矩的因素,这样就使贮料压力与壁厚发生了关系,更趋合理。按此规范规定计算的仓壁配筋,与其修订前的规范相比,高径比大于3.0的筒仓,钢筋要有较大的增加;高径比小的筒仓,则基本与修订前规范接近。至于苏联规范对贮煤筒仓的修正系数规定为1.0是无法理解的。查阅历年的技术资料,苏联在贮煤圆形筒仓方面的实践经验并不多,且缺乏研究。由此可见,将贮煤筒仓压力计算的修正系数确定为1.0是不正确的。
筒仓的种类繁多,不论何种筒仓,均釆用同一个修正系数值,显然是不恰当的。近来在各国新的规范或正在修订的规范中,分别按筒仓的高径比和贮料品种给出不同的修正系数值。高径比大的要比小的流动压力影响大,应取大值。易流动的贮料要比不易流动的贮料的流动压力要大,也应取大值。由于我们的试验和研究工作做得不多,尚不能分门别类给出确切数据,只能大致考虑这些影响,故本标准规定hn/dn大于3.0时,Ch应乘以系数1.1,而对流动性能较差的贮料,则应乘以系数0.9。
仓壁上部hn/3范围内,修正系数的取值,苏联规范取值为1.0,以往我国各工业部门设计深仓时也都釆用此值,近年来发现某些筒仓仓壁上出现裂缝。参考近期的国外规范的规定,对该区段的修正系数都有所提高。考虑到实际存在的流动压力和热贮料引起的温度作用,本标准规定该区段的修正系数值取为1.0~2.0。
对水泥工业贮存热贮料筒仓的温度影响,在装有贮料的部分,由于水泥或水泥熟料导热性能较差,通过贮料传导至仓壁上的热量较小,对仓壁影响不大。参照美国规范说明中建议的方法,按贮料温度为100℃、室外最低计算温度为—20℃的条件计算。因贮料温度应力需要增加的仓壁配筋量在仓壁下段影响相对较大,一般约为杨森压力计算所需配筋量的5%~10%。但由于仓壁上段的贮料压力甚小,且已考虑了修正系数1.0~2.0,故在此条件下,可将贮料温度的影响包括在修正系数Ch内。
对于筒仓最上端没有散料的空仓部分,可求出仓壁内外表面的温差,按《冶金工业厂房钢筋混凝土结构抗热设计规程》YS 12-79验算其温度影响,计算结果表明,当贮料温度与室外最低计算温度之差为100℃时,为了保证裂缝不超过容许宽度所需的配筋量,均超过了按本标准所规定的最小配筋率所算得的配筋量。在上述温度条件下,当仓壁的水平钢筋单侧的配筋率增加到0.2%,即全截面总配筋率为0.4%时,就基本上满足裂缝开展宽度不大于0.2mm的要求。但设计还是应对具体工况进行分析,甚至包括仓顶楼板构件进行验算。
由于对冶金或其他工业部门的热贮料缺乏分析、研究,故本标准未包括水泥工业以外的特殊热贮料筒仓。
本次修订新增了有关温度应力的计算内容,设计时也可按本标准的有关规定进行温度作用所需的配筋计算。
近年来,为了贮料卸料通畅、防止贮料起拱堵仓,往往在仓底设置多个吹气喷嘴的促流装置,或称空气炮,国外称为“Air Blaster”,正确的名称应为空气喷射器。这种设备国内已有生产,但将其英文的译名定为“Air Cannon”,在对外交流时,釆用这种译名非常不妥,这实际上变成了战争使用的平射“加农炮”?对外设计文件还是应该使用原文“Air Blaster”。由此误导有些筒仓尤其是煤仓,在卸料不畅时,竟敢在仓内釆用炸药爆破的方法解决堵仓问题,致使仓壁崩塌。
实践表明,这种促流装置对筒仓的影响范围是局部的,对贮料压力的影响也不大,故计算贮料压力时,可不单独考虑由此破拱产生的空气压力。但是,对于在某些筒仓中设置的特殊促流装置,如用于单向长达列车(uni-train)筒仓的破拱帽、拥有震动卸料能力的计量漏斗、活化振动给料机等,可使筒仓高速卸料,甚至卸料可达5000t/h~6000t/h,仓内贮料出现高速整体流动状态,卸料时筒仓仓体出现振动现象。对这种卸料条件,本标准规定的贮料压力修正参数显然偏小,我们对其影响尚缺乏深入的研究,设计时釆用的修正系数需另行考虑,设计者可根据具体情况适当加大。
近年来欧洲规范、国际标准ISO都有一些有关筒仓的新内容,但划分烦琐过细,对设计并不简便,本次修订只汲取其对我国筒仓设计较实用的有关内容。
本次修订前,标准编制组对我国各行业近年来按原规范设计的筒仓工程进行了调研。实践表明,凡是严格按原规范规定设计的筒仓,是安全可靠的。故本标准对本条规定不再修改。
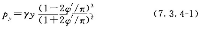
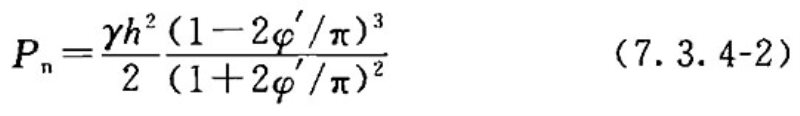
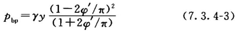
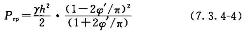
4.2.6 平面为圆形、矩形的浅仓,贮料压力的计算(图4.2.6)应符合下列规定:

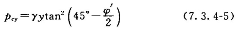
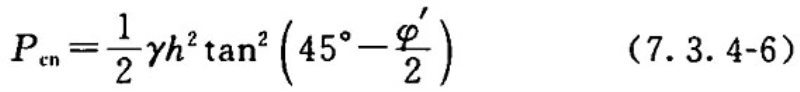
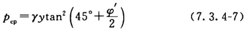
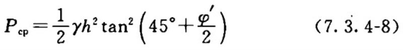
1 贮料顶面、贮料顶部锥形体重心以下,距离s(m)处的水平截面上,作用于仓壁单位面积上的水平压力p h (kPa)(图4.2.6)应按下式计算:

2 筒仓的贮料计算高度h n 与其内径d n 的比大于1.0且小于1.5、矩形平面的短边b n 的比大于0.4且小于1.5时,除按式(4.2.6-1)计算外,还应按式(4.2.2-1)计算贮料压力,取其二者计算结果的最大值。
3 贮料顶面、贮料锥形顶重心以下距离s(m)处,单位面积上的竖向压力p v (kPa)应按下式计算:

4 漏斗壁贮料的切向压力应按下式计算:

5 大型圆形浅仓仓壁贮料侧压力p h (kPa)的计算应计入仓壁顶面以上的堆料作用,仓壁贮料侧压力的计算应符合本标准附录C的要求。
6 由卡车、火车等将贮料直接卸入浅仓时,应计入贮料的瞬间撞击效应,撞击系数宜符合本标准第8.3.6条的要求。
条文说明
4.2.6 本标准对深、浅仓釆用不同的计算公式;当hn/dn=1.5时,按深、浅仓计算所得的贮料水平压力出现不衔接的现象,其比值可用下列公式来表达: 
由此可见,只要釆用深仓、浅仓的划分方法,就必定会出现一个深仓、浅仓划分的临界值,由于不是连续函数,其所得计算数值在临界点处必然有一个不相等的突变值,式(2)中的C值就是两突变差值的倍数。考虑修正系数后,深仓的计算压力要大于浅仓。因此大型圆形浅仓如按本条的浅仓公式计算贮料的水平压力,就不一定安全可靠。此外,仓壁达到一定高度的浅仓,贮料对仓壁的摩擦荷载也不应忽视,故仍需按本条的规定计算。 本条所示浅仓贮料压力的计算公式,适用于直径较小的圆形或矩形浅仓。大型圆形浅仓的顶部,为了不增加仓壁的高度,即使可以采用平顶结构,当仓顶釆用单点甚至多点装料时,仓顶还是需要设计成穹顶或其他结构体系扩大上部的有效空间,增加仓容,以适应在仓壁顶面以上按贮料安息角形成的大体积料堆;对于小型筒仓,这种料堆不会太大,其荷载可以简化计算。但贮料压力按散体空间作用原理设计的大型或超大型圆形浅仓,釆用简化方法计算料堆超载压力的误差较大,本条的计算公式并不完全符合大型或超大型圆形浅仓的实际工况,故应按本标准附录C的贮料压力公式进行计算。
4.2.7 作用于漏斗斜壁上的单位面积法向压力p n (kPa)应按下式计算:

式中:ξ——本标准附录D的计算系数。
条文说明
4.2.7 深仓中漏斗壁上的贮料法向压力,在国内外资料中有多种计算方法,假定随深度增加压力加大,呈上小下大的梯形分布;有的则假定随水力半径的减小而减小,呈上大下小的梯形分布;美国规范则釆用上下均等的压力分布图形。我们综合比较了上述各种计算方法后认为,美国规范的规定比较合理,且计算简便,故本标准釆用此规定。
4.2.8 贮料作用于仓底或漏斗壁顶面处的单位面积竖向压力p v (kPa)的计算应符合下列规定:
1 深仓,在漏斗高度范围内均应釆用漏斗顶面的贮料压力值;
2 浅仓,在漏斗顶面、漏斗底面的贮料压力应按下列公式计算:


式中:h h ——漏斗高度(m)。
4.2.9 仓内贮料为流态的均化仓仓壁上的贮料水平压力p y (kPa)可按以下液态压力公式计算:

式中:γ——贮料的重力密度(kN/m 3 );
h n ——贮料的计算高度(m);
0.6——液态压力的折减系数。
条文说明
4.2.9 本标准参考美国、法国及澳大利亚规范,增加了装有细颗粒物料且形成流态的筒仓压力计算公式。当物料在仓内流动状态不畅时,公式中贮料的重力密度应结合工艺专业所提参数进行调整。
4.2.10 当向仓内压入空气或其他气体,釆用气动输料、机械通风及风力清仓,但对贮料不形成均化或流态时,除贮料压力外还应计算作用于仓壁及仓底的过剩气压,其值应由相关工艺设计专业提供。
条文说明
4.2.10 气力输送产生的过剩气压,不但对仓底及仓壁产生压力,在筒仓设计时还应考虑其对仓顶构件产生的压力。
4.2.11 在高速气力输送贮料的条件下,作用于筒仓仓壁及仓底上的流态化料层的装料压力p p (kPa)应按下式计算:

式中:γ——贮料的重力密度(kN/m 3 );
C f ——贮料流态化参数(h r );
V f ——贮料流态化流动速度(m/h r )。
4.2.12 几种主要贮料的流态化参数C f 、V f 值可按表4.2.12选用。

4.3 温度作用
4.3 温度作用
条文说明
为解决单体筒仓温度作用效应的设计问题,本次修订增加了第4.3.1条~第4.3.11条。但对于群仓的温度作用,目前仍没有一种简单易行且准确可靠的计算方法,只能以设置温度缝的办法释放温度作用,减少其对群仓结构的温度效应。 沿筒仓高度的温差假定是不变的,实际是有变化的,但不一定很大。若筒体上下温差值的变化确实很大并严重影响计算结果时,则应按具体情况分段计算。条文中给出的各种温度条件,设计时应根据不同的工况进行组合。众所周知,温度作用会使构件产生伸长或压缩变形,当这些变形不受任何约束时,构件是不会产生应力的,反之将出现拉、压应力,约束越大应力也就越大;钢筋混凝土筒仓结构不可能是理想的弹性体,又因其几何特性,对温度变形总是存在约束条件,但又不可能将变形完全约束。因此,可能出现一些微细裂缝。在环境温度变化的条件下,只要出现裂缝甚至是很小的裂缝变形,都会改变其约束条件,从而使温度变化产生的温度应力变小。本节条文中的公式完全是按弹性理论建立的,各种结构计算程序也是按弹性理论原理编制的,若不考虑钢筋混凝土的材质并非完全弹性,而是有限弹性体的特性,将导致错误的计算结果并误导设计者。为此在实际工程计算时,必须根据具体工况,将其计算结果乘以本条提供的刚度折减系数,对计算结果进行修正。由于圆柱形筒壳结构的几何特性,有内外温差时,壁面的温度梯度可按式(4.3.4-1)计算。筒仓温度作用是按仓壁的壁面温度而非筒仓周边的环境温度计算的,因此应根据热工专业提供的热工参数,通过温度梯度(图4.3.4-1)求得筒仓的壁面温差进行筒仓温度作用的计算;圆形筒仓壁面的低温侧总是受拉的,反之受压。
4.3.1 钢筋混凝土筒仓温度应力的计算结果均应乘以刚度折减系数。折减系数的取值应符合下列规定:
1 构件不出现裂缝时,刚度折减系数宜为0.85;
2 构件出现裂缝时,应按裂缝的开展宽度进行刚度折减;
3 季节温差产生的温度应力,刚度折减系数宜为0.20~0.50;
4 仓壁或筒壁内外温差产生的温度应力,刚度折减系数宜为0.65。
4.3.2 筒仓的环境温差有季节温差、仓壁或筒壁内外温差及日照温差等(图4.3.2)。

4.3.3 仓壁或筒壁壁面的内外季节温差相同时,单位仓壁或筒壁中面的温度作用力p c (kN/m)应按下式计算:

式中:α t ——仓壁或筒壁的线膨胀系数;
E——仓壁或筒壁的弹性模量;
h——仓壁或筒壁的壁厚。
注:仓壁或筒壁建成时壁面温差、极端(升温或降温)温差产生的中面最大作用力p c 应根据每个部位的几何尺寸及约束条件按式(4.3.3)计算。
4.3.4 仓壁或筒壁内外壁面温差的计算应符合下列规定:
1 仓壁或筒壁内外不平衡温度场热传导形成的温度梯度(图4.3.4-1)应按下列公式计算:


式中:T D ——热流量传导形成的温度梯度;
R 0 ——总热阻(
);
R n ——第n区段热阻;
α、α k ——吸热、散热传导系数;
λ 1 、λ 2 ——贮料、仓壁热传导系数。

2 仓壁或筒壁内外壁面的单位环向、竖向应力的最大值σ θmax 、σ zmax (图4.3.4-2)应按下列公式计算:


式中:μ c ——材料的泊松比。

4.3.5 温度作用效应的计算应符合下列规定:
1 当仓壁或筒壁的内、外侧壁面同时具有不同的温度作用时,可按工况分别计算温差及平均温差作用的温度效应(图4.3.5);

2 不同温差共同作用的总效应应为各温差作用效应的叠加值;
3 仓壁或筒壁应按温度作用的总效应验算仓壁或筒壁的承载力,钢筋配置也应符合温度作用的要求。
条文说明
4.3.3~4.3.5 当筒仓的内外温差相同时,仓壁或筒壁的温度作用如同均匀气压的作用,只产生壳体的中面温度应力,可按式(4.3.3)计算。但内外温差不同时,仓壁或筒壁的内外表面将出现不同的温度应力及变形,可按图4.3.4-1及式(4.3.4-3)计算,并可按第4.3.5条的规定进行效应叠加;太阳的辐射或日照对筒仓仓壁或其直射面(阳面)及阴面与季节大气温差产生的温度作用是有区别的,辐射温度往往大于大气的环境温度,对筒仓的温度作用也是不可忽略的因素。
4.3.6 仓壁或筒壁内外壁面不同温度作用产生的单位竖向及相应的单位环向弯矩(图4.3.6)应按下列公式计算:



式中:M z ——仓壁或筒壁的竖向(经向)弯矩;
M θ ——仓壁或筒壁的环向(纬向)弯矩;
σ zmax ——仓壁或筒壁的最大温度应力。
注:钢筋混凝土筒仓的仓壁或筒壁,计算纬向弯矩M θ 时,除筒壳边界约束影响区段外,可忽略泊松比的影响,令纬向弯矩M θ 等于经向弯矩M r ,并应按式(4.3.6-1)进行计算。
条文说明
4.3.6 当仓壁或筒壁出现内外温差时,仓壁或筒壁在其竖向或横向(经向或纬向)可能出现弯曲。其弯矩值可按式(4.3.6-1)及式(4.3.6-2)计算。公式的推导及来源可参见Theory of Plates and Shells(S.Timoshenko,1959,New York:McGraw-Hill Book Company)及《特种结构》(2012年第1期)。这两个公式计算的都是按轴对称圆柱形弹性薄壳在温度作用下,仓壁或筒壁竖向及横向截面上产生的弯矩。由于壳体是空间结构,在一个方向发生弯曲时,另一方向必然也有弯曲,其差值就是按泊松比的影响确定的。在计算仓壁或筒壁的弯曲温度应力时,同一点竖向及横向的温度状态应该是相同的,按横向计算的弯矩值对竖向及按竖向计算的弯矩值对横向,同一种材料的筒仓,都需乘以同样的泊松比μ。因此可按本条的附注进行计算,可参见Thin Shell Concrete Structures(David P.Billington,1982,New York:McGraw-Hill Book Company)。
4.3.7 圆形筒仓的向阳面、背阴面日照温度的变化(图4.3.7)应按下式计算:


式中: t φ ——仓壁或筒壁向阳面任意点的日照温差;
△T a ——仓壁或筒壁向阳面a点的日照温差。
条文说明
4.3.7 对高纬度地区的大型圆形浅仓,阳面与阴面的日照及辐射温差较大,对筒仓温度作用力的影响应依据当地气象资料进行设计。
4.3.8 外界气温变化的温差大于30℃且仓内有密实贮料时,单位仓壁上产生的水平温度收缩压力p te 应按下式计算:

式中:α t ——仓壁的线膨胀系数;
E m ——贮料的弹性模量;
△T——仓壁或筒壁的壁面温差(℃);
n——E m /E c ;
E c ——混凝土的弹性模量;
μ m ——贮料的泊松比(可取0.3)。
注:沿筒仓圆周及高度的温度收缩水平压力p te 不均匀分布时,应分区段计算。
4.3.9 贮料的弹性模量E m 应由工艺设计专业提供。当无法得到工艺设计专业的确切资料时,温度作用对结构不利效应的计算应釆用贮料的卸荷弹性模量E ms 代替贮料的弹性模量E m 。贮料卸荷的弹性模量可按下列公式计算:


式中:f v ——筒仓卸料时,任意高度横截面上贮料的竖向压力;
χ——贮料的压实系数:细小颗粒的矿产品可选用100,粗硬大颗粒矿产品可选用150,干燥的粮食可选用70;
γ——贮料的重力密度(kN/m 3 )。
注:1 贮料卸料时的弹性模量比装料时的弹性模量大,设计应釆用卸荷弹性模量E ms ;
2 E m 是贮料在加荷及卸荷时弹性模量的总称;
3 粮食筒仓经工艺专业认可后,贮粮加荷及卸荷的弹性模量也可采用表4.3.9的E m 值。

条文说明
4.3.9 贮料的弹性模量应由工艺专业通过实验确定。在没有可供设计参考的资料时,可按本条的公式进行计算;贮料的弹性模量有装、卸料之分,由于卸料的弹性模量对结构计算是不利的,故作为计算釆用值。
4.3.10 筒仓内表面的控制温度不应大于200℃,按温度作用效应配置的钢筋、混凝土的强度等级的设计值及其弹性模量等参数的折减,应符合本标准附录E的规定。
条文说明
4.3.10 我国建材行业的水泥熟料,自出窑后经过一系列的传送设备、设施到达贮料筒仓,入仓温度应控制在200℃以下,这是我国水泥工业生产系统对筒仓设计的要求。在正常情况下,贮料入仓的温度在150℃左右,非正常情况则超过200℃。据现场生产工作人员的反映,瞬间峰值温度可达350℃以上。这种温度工况与烟囱相似,但电厂的高温烟气自锅炉排放后,经各种除尘设备、引风机及较长的烟道进入烟囱,已经有一个很长的降温过程。因此,烟囱的烟气温度是可控的。即使超温,烟囱筒壁的内侧都设置有耐火砖、空气隔热层,可有效地进一步降低传至烟囱内壁面的温度。烟囱设计是由于烟气温度大于150℃时,烟囱的底部、基础在烟气温度、混凝土收缩、蠕变及其他复杂因素影响下,形成裂缝,为符合正常使用极限状态下不出现裂缝的要求,确定烟气的允许温度为150℃。但该值并不是工程设计应该计算的最不利设计值;钢筋混凝土水泥熟料简仓仓壁的内表面,除温度作用外,还有贮料对仓壁的侧压力、摩擦力及装料时贮料撞击仓壁的作用力等,虽然筒仓的温度作用看似与烟囱相同,但其使用功能完全不同,两种构筑物没有可比性。筒仓不具备设置与烟囱相同的内隔热层的条件,如要将贮料入仓允许温度控制在150℃以下,势必要将现有水泥工业生产系统的工艺流程、设备、设施进行系列改造,这显然是不可行的事。为此,在高温条件下,筒仓结构釆用受热钢筋混凝土是解决热贮料问题的最易行的办法。按受控最高温度不大于200℃的最不利值进行设计,而不是与之相反,才能确保水泥熟料筒仓在符合正常使用极限状态下安全运行的要求。钢筋混凝土筒仓结构能否承受不大于200℃的温度作用,只要了解了我国有关 的科研部门以大量的科学检测、试验及工程实践调查为依据确定的钢筋混凝土在高温作用下的物理力学特征及国际、国内有关设计资料,就能得到满意的答复。 钢筋混凝土在高温作用下的物理力学特征: (1)混凝土的临界温度达到580℃后,其表面会产生大量裂缝,并发生爆裂和露筋现象。冷却后的构件出现爆裂和露筋,说明构件截面的温度梯度变化很大。 混凝土在高温作用下及高温冷却后的力学性能基本上是随温度的升高而降低。混凝土的强度随温度的变化与混凝土的强度等级、骨料品种、温度持续时间及冷却方式等因素有关,但随着温度的升高,这些因素的影响并不明显,总的趋向是强度随着温度的升高而下降。温度升至100℃时,混凝土空隙中的游离水开始大量蒸发,混凝土内的微观结构基本未受到大的影响,混凝土的力学性能稍有下降,但没有太大的改变。当温度升到200℃~300℃时,混凝土中的物理化学结合水逐步排出并气化逸出,水泥石有一定的收缩而骨料却无大的膨胀,虽然造成了一部分微观破坏,但由于内部水分大量的逸出,需要提供相应的热能,从而使混凝土内的热应力的作用减少。同时,混凝土水泥石中未反应的水泥残存熟料重新加速水化,使混凝土强度减小的因素小于使混凝土强度增大的因素。因此,在此温度作用范围内,混凝土的强度不但没有减小反而会出现略高于在正常温度下的强度这一有趣的现象。当温度升到400℃后,混凝土中的水泥石产生相反的变形——膨胀,因此,在骨料与水泥石界面之间引起变形差异,混凝土的内应力在骨料与水泥石之间的胶结面上产生,混凝土的力学性能进一步的下降。随着温度的升高,达到500℃以后,由于水泥石中的氢氧化钙等水化物的脱水、分解导致水泥石破坏,水泥石与骨料之间的变形增大,裂缝由此产生。在此温度下混凝土的抗压强度下降约1/3,在高温冷却后的强度下降1/2,其中水冷却比自然冷却的抗压强度下降得更大。当温度达到700℃~800℃以后,骨料的热膨胀加剧,开始分解,使骨料与水泥石的热变形差异剧增,混凝土的粘结力破坏,接触界面裂缝进一步发展,混凝土在此温度作用下的抗压强度降低约2/3,在自然冷却后的抗压强度降低也约为2/3,在水冷却后的抗压强度下降得更大。这就是高温作用下混凝土折减系数制订的依据。 (2)钢筋在高温和冷却后的强度折减系数由于各种钢筋所含成分、制造工艺的不同,在高温作用下其抗拉强度的变化也略有不同。普通热轧低碳钢筋在温度大于200℃时屈服消失,出现强化显现。各种钢筋在温度小于400℃时强度下降不明显,温度大于400℃后强度下降显著。温度达到600℃后,各种钢筋抗拉强度下降的趋势相同,说明钢筋已达到变态点温度。而钢筋冷却后其屈服点及抗拉强度与常温相比降低有限,其延伸率也是如此。 (3)混凝土在高温作用后,其弹性模量及混凝土与钢筋间的粘结强度随温度的升高而降低。温度达到400℃以后,混凝土弹性模量Ec下降的速度比混凝土抗压强度降低的速率更为迅速,下降约60%左右。在此温度下,由于混凝土与钢筋间的粘结强度的降低,HPB23级钢筋与HRB33级钢筋本身的摩阻力和咬合力不同,因而在高温作用后粘结强度的下降程度也有所不同。HPB235级钢筋在500℃以后粘结强度下降50%,HRB335级钢筋下降不到20%。温度达到700%~800℃以后,混凝土的弹性模量几乎为零,此时,混凝土与HPB235级钢筋间的粘结强度已全部丧失,HRB335级钢筋也丧失了60%。 这就是在高温作用下,混凝土及钢筋各折减系数制订的依据。混凝土高温作用下的抗压强度折减系数、混凝土高温自然冷却后抗压强度折减系数、混凝土高温水冷却后抗压强度折减系数、高温冷却后混凝土弹性模量折减系数、高温冷却后混凝土与钢筋粘结强度折减系数、高温作用下钢筋强度折减系数和HRB335钢筋高温冷却后强度折减系数见表2~表8。 






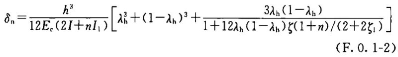
综上所述,按以上论证可以确定,筒仓热贮料的控制温度不大于200℃,对钢筋混凝土结构几乎没有影响。因此本标准结合我国多年来水泥筒仓设计的实践经验,参考《冶金工业厂房钢筋混凝土结构抗热设计规程》YS 12-79、《火灾后建筑结构鉴定标准》CECS 252:2009、国际混凝土协会《混凝土结构设计》《法国筒仓设计与计算》、欧洲筒仓规范(Eurocode EN-1992-3)“(104)This code is valid for stored materials which are permanently at a temperature between —40℃and+200℃”的规定及本标准附录E规定的受热钢筋混凝土的设计参数等,釆用控制温度不大于200℃设计热贮料的筒仓,完全是可行的,且能达到安全运行的要求。
4.3.11 仓壁内外温差小于100℃时,温度作用效应的配筋应符合下列规定:
1 直径12m~30m的筒仓,当无法得到准确计算的温度效应又无实践经验时,可釆用贮料6.0%~8.0%的最大环向拉力作为相应的温度作用力配置钢筋;
2 对直径大于30m的筒仓,应按本标准第4.3.1条~第4.3.10条的规定进行温度应力计算。
3 仓壁或筒壁温差作用的低温侧应为受拉区。
5 结构计算
5.1 一般规定
5 结构计算
5.1 一般规定
5.1.1 筒仓结构按承载能力极限状态设计时,所有结构构件均应进行承载力计算。对薄壁构件的水平、竖向及其安全控制部位的承载力使用软件计算时,应按筒仓结构的受力特性进行复核分析,确认其合理性、可靠性后,方可作为工程设计的依据。 ( 自2022年4月1日起废止该条,详见新规 《混凝土结构通用规范》 GB 55008-2021)
条文说明
5.1.1 筒仓的仓体是由多种部、构件组成的,包括基础在内直至筒仓的仓顶及以上建筑,都应该是筒仓仓体的一部分。构成筒仓的每一部分都具有自身功能特性的要求,对一个完整的物体而言,仓体包括筒仓的全部更符合“整体”的概念。筒仓的仓顶、仓壁、仓底及筒壁等构件都是薄壁结构,但由于筒仓贮料荷载首先作用于仓壁部分,该部分与一般的梁板构件的计算有原则的区别,故原规范强调仓体贮存贮料的部分作为仓体进行计算也是允许的。其他荷载经常可能在不同方向作用于这些薄壁构件上,考虑到这种受力特性,故在承载能力极限状态计算时,应与一般的混凝土梁板构件有所不同,即应对构件的水平、竖向和需要控制的截面进行强度计算,按各种不同的作用效应控制截面。其他非薄壁构件可按一般钢筋混凝土构件进行计算。 壳体结构多为空间受力体,当其厚度与中面最小曲率半径之比小于1/20时,按薄壳计算。平板结构,当其厚度与最小支承间的长度之比小于1/5时,按薄板计算,其挠度值与板厚之比小于1/5时,按小挠度理论计算。这是薄壁结构区别于厚壁、厚壳、厚板及大挠度弹性理论计算的基本原则,简仓属于薄壁结构,其计算应属于前者。 近年来出现了一些筒仓设计软件,由于筒仓结构形式变化较多,薄壁壳体具有不同的边界条件,设计者在使用软件时,一定要考核所釆用的软件是否与自己设计的筒仓结构相适应,否则可能导致错误的计算结果。本条为强制性条文,必须严格执行。
5.1.2 筒仓基础边缘的地基压力计算应符合下列规定:
1 不符合本标准第5.4.2条的规定时,应釆用荷载效应的设计值验算筒仓的整体抗倾覆稳定;
2 多遇地震作用时,抗倾覆稳定系数不宜小于1.2。
5.1.3 筒仓按承载能力极限状态设计时,其荷载、材料强度等级应釆用设计值。
5.1.4 筒仓结构按正常使用极限状态设计时,应符合下列规定:
1 筒仓结构应具有可靠的承载能力;
2 应根据使用要求控制筒仓的整体变形;
3 仓壁、漏斗壁的厚度符合本标准第3.3.2条的要求时,可不进行挠度验算;
4 筒仓的其他构件应进行抗裂、裂缝宽度及受弯构件的挠度验算。
条文说明
5.1.4 对于小型圆形筒仓的仓壁和圆锥形漏斗壁,其环向刚度较大,受力后变形很小,故可不进行变形验算。对于矩形浅仓,其形式、容积的大小及散料的重力等,都是影响仓壁及漏斗壁变形的主要因素。当其壁厚符合本标准第3.3.2条的规定时,其变形值很小,故可不进行变形验算。不满足以上条件时,仍需按正常使用极限状态的要求,进行必要的验算。 对仓顶、平台及仓底梁板等构件,还应根据不同的工艺设计及其设备的运行要求,确定筒仓的正常使用极限状态条件,进行变形验算。
5.1.5 筒仓结构按正常使用极限状态设计时,其荷载效应除应符合本标准第5.1.4条的要求外,还应符合下列规定:
1 筒仓设计,应控制仓壁、仓底构件的裂缝宽度;
2 对于干旱少雨,年降水量少于蒸发量,相对湿度小于10%的地区,且贮料的含水量小于10%时,筒仓最大裂缝宽度ω max 的允许值应为0.3mm;
3 其他条件时,筒仓最大裂缝宽度ω max 的允许值应为0.2mm;
4 对于受人为或自然侵蚀性物质严重影响的筒仓,应按不出现裂缝的构件计算;
5 裂缝宽度的计算应符合现行国家标准《混凝土结构设计规范》GB 50010的规定。
条文说明
5.1.5 钢筋混凝土筒仓的使用范围非常广泛,所处环境也非常复杂,各种工艺的使用要求也各不相同。因此不能对筒仓构件裂缝宽度的控制采用同一个标准。本条根据我国的不同地理环境及贮料条件做了不同的规定。裂缝宽度的计算方法按现行国家标准《混凝土结构设计规范》GB 50010执行。
5.1.6 筒仓抗震应符合下列规定:
1 筒仓的水平地震作用可按底部剪力法进行计算;
2 建筑抗震设防分类,除应符合本标准第3.1.1条的规定外,还应符合筒仓的使用功能及工艺专业的技术规定;
3 圆形筒仓的仓壁与仓底结构整体连接且符合本标准第5.4.4条的规定时,仓壁、仓底可不进行抗震验算;
4 仓下支承结构为柱支承时,可按单质点结构体系简化计算;
5 筒壁支承的仓上建筑物的地震作用增大系数可釆用4.0;
6 仓上建筑物增大的地震作用效应,可不向下部结构传递;
7 柱支承的仓上建筑物的地震作用增大系数,可根据仓上建筑物计算层的侧移刚度与其支承结构的侧移刚度比k及仓体与仓上建筑物计算层的质量比M按表5.1.6选用。

条文说明
5.1.6 在我国的震害调查中,筒壁落地的筒仓,无论是圆形还是矩形,筒仓的仓壁和仓底几乎没有破坏或破坏轻微,破坏较严重者多为柱支承筒仓的支承机构。因此,除后者外的筒仓,对仓壁和仓底可不进行抗震验算。对于筒仓这样的特种结构,地震作用的效应是很复杂的,目前尚无法用一个简单的表达式来表示。对震害较严重的柱承式筒仓,建议按单质点方法计算,亦可参照现行国家标准《构筑物抗震设计规范》GB 50191的有关规定进行设计。
5.1.7 钢筋混凝土筒仓支承柱的抗震计算应符合下列规定:
1 筒仓仓下的支承柱应按框架结构计算;
2 支承柱的框架刚度应按本标准附录F的公式计算;
3 因筒仓的几何外形及荷载不对称性产生的柱端层间扭矩、弯矩的计算,应釆用表5.1.7-1、表5.1.7-2的地震作用增大系数。


条文说明
5.1.7 筒仓结构本体的几何不对称性及排仓、群仓不均匀的贮料,在地震时都可能使仓下支承柱产生扭转及弯曲。连接在一起的3个~6个筒仓的扭转增大系数,可按表5.1.7-1选用1.10~1.25。柱端弯矩增大系数,可根据抗震设防烈度(7度~9度)选用1.15~1.60,有实验依据时,可不受该系数值的限制。
5.1.8 筒仓的抗震设计除应符合本标准的规定外,还应符合现行国家标准《构筑物抗震设计规范》GB 50191的有关规定。
条文说明
5.1.8 本标准有关地震的条文内容,可能与现行国家标准《构筑物抗震设计规范》GB 50191有部分重复,但在条文解释部分,本标准的条文解释可能更详细些,为此本次修订时,仍保留了本章的内容。
5.2 仓顶、仓壁及仓底结构
5.2 仓顶、仓壁及仓底结构
5.2.1 圆形筒仓的仓顶、仓壁及仓底结构的计算应符合下列规定:
1 圆形群仓除应按单仓计算外,还可在空仓、满仓不同荷载条件下,使用程序或本标准附录G的计算公式进行验算。
2 圆形筒仓、大型圆形浅仓的薄壳结构计算应符合下列规定:
1)均应计算其薄膜内力;
2)当仓顶采用正截锥壳、正截球壳或其他形式的薄壳与仓壁整体连接、仓壁与仓底整体连接时,相连各壳体应验算其边缘效应对薄膜内力的影响;
3)圆形筒仓的各轴对称旋转薄壳,在轴对称荷载作用下的薄膜内力及边缘效应影响可按本标准附录H的公式进行计算。
3 柱承式圆形筒仓的仓壁应计算其竖向荷载作用下产生的内力,并可使用程序或按平面深梁简化计算。
4 当圆锥形或其他形状的漏斗与仓壁非整体连接,且漏斗顶部的环梁支承在扶壁柱或内框架的柱顶上时,环梁可忽略与漏斗壁的共同受力作用,可按独立曲梁或内柱框架计算各构件的轴向力、剪力、弯矩和扭矩。
5 圆形筒仓的仓壁、筒壁及大型圆形浅仓的仓壁上的洞口计算应符合下列规定:
1)洞口边长大于1.0m的方洞、短边大于1.0m的矩形洞口,除应计算洞口边缘的应力外,还必须验算洞口角点的集中应力,集中应力可釆用3倍~4倍的洞口边缘应力;
2)洞口应力可使用程序精确计算或选用本标准附录G的参数简化计算;
3)直径大于1.0m的圆形洞口,应验算洞口周边的应力。
6 仓壁直接落地的圆形筒仓、大型圆形浅仓,当其筒壁、仓壁与基础整体连接时,筒壁、仓壁除应按薄壁筒壳的薄膜理论计算外,还应计算其与基础连接部位对仓壁约束的边界效应。
7 仓壁直接落地的圆形筒仓、大型圆形浅仓在贮料侧压力作用下,基础对仓壁固端约束的边界效应(图5.2.1-1)应按下列公式计算:








式中:M y ——仓壁任意高度的竖向弯矩;
V y ——仓壁任意高度的剪力;
M 0 ——仓底弯矩;
V 0 ——仓底剪力;
C——参数;
β——参数;
ζ——函数ζ(β·y);
θ——函数θ(β·y);
p——任意高度贮料水平侧压力;
p 0 ——仓底贮料水平侧压力;
r——筒仓(内)半径;
t——仓壁厚度;
h——贮料总高度。
注:1 仓顶为铰接时,可按本标准第6.8.20条的规定计算;
2 函数ζ、θ见本标准附录E;
3 函数的y坐标原点O为仓壁底部的固端点。
8 仓壁落地的圆形筒仓、大型圆形浅仓的仓下输料地道、人行通道的计算应符合下列规定:
1)仓下输料地道、人行通道的结构应按闭口框架进行内力分析及计算;
2)贮料高度与地道横截面宽度之比小于1.5时,地道顶部贮料产生的竖向单位静荷载p v 应按贮料浅层竖向静压的计算方法进行计算;
3)贮料高度与地道横截面宽度之比等于1.5或大于1.5时,地道顶部贮料产生的竖向单位静荷载p v 宜按深层贮料压力的计算方法进行计算(图5.2.1-2);
4)贮料高度H与地道卸载拱高度h g 之比小于或等于5.0时,地道顶面的贮料竖向静荷载p v 应按浅层贮料压力的计算方法进行计算。贮料高度H与地道卸载拱高度h g 之比大于5.0时,地道顶面贮料竖向静压力p v 宜符合深层卸载拱(图5.2.1-2)的要求,并应按下列公式计算:

p v =γ·h g (5.2.1-8)
h g =0.5·l g /f (5.2.1-9)
式中:γ——贮料的重力密度;
h g ——卸载拱的矢高;
l g ——卸载拱的跨度;
f——贮料的内摩擦系数。
5)地道侧壁上水平荷载的计算(图5.2.1-2),除应计算地道两侧土压力的作用力外,还应计算其两侧上部贮料堆载、地道地基作用力产生的附加荷载。
注:1 本条第4款应为贮料深层压力卸载拱形成的必要条件;
2 本条第5款应为形成稳定卸载拱的可靠条件;
3 贮料浅层竖向静压计算方法可采用本标准第4.2.6条式(4.2.6-2)进行计算;
4 按卸载拱压力计算方法计算时(图5.2.1-2),可不乘深仓贮料压力的修正系数C v 值;
5 当地道顶面的贮料压力,不采用式(5.2.1-8)计算地道顶面卸载拱下的压力时,贮料的探层压力可按图5.2.1-2中5倍h g (o 1 ~d)阴影部分的压力进行计算。
条文说明
5.2.1 圆形筒仓的仓顶、仓壁及仓底结构的计算: 1 仓壁相连的小直径圆形群仓及排仓,较多的设计部门一直按单仓计算,若连接部非外圆相切,联系钢筋非构造放置时,在其连接处的应力与按单个筒仓计算时所得结果显然不同。通过计算表明,将群仓简化为单仓计算,不能反映筒仓的实际受力状态。在《钢筋混凝土筒仓设计规范》GBJ 77-85编制时,由于排仓和群仓的仓径都不大,对于较小仓径的排仓和群仓,在仓壁连接部位,设计时首先又必须满足结构的构造要求,按单仓计算的群仓或排仓,实践表明,还是可以满足使用要求的,故对其没有提出明确的规定。随着群仓和排仓仓径加大,在其连接处,与单仓相比,仓壁的刚度发生了很大的变化,对仓壁的变形产生了约束,按单仓计算已不能代表连接处的受力状态。本标准对国外几种不同资料的对比后,选择了本标准附录G的计算公式。 2 薄壳结构从理论上讲都是有矩的,然而由于薄壁壳体厚径比很小,弯曲应力可忽略不计时,可按无矩理论的薄膜内力计算。但在各壳体的连接处,由于刚度突变,对各壳体的近端将产生弯矩,对壳体远端有一定的影响,但影响是有限的,这种影响称为边缘效应。以往设计筒仓时,大部分圆形筒仓仓壁或圆锥形漏斗仓底均是按薄膜理论计算其内力的,这是一种近似计算方法。但随着筒仓使用范围越来越广泛,直径也越来越大,若完全不考虑边缘效应,则计算出来的内力与在边缘附近的实际内力会相差很大。因此在设计大型圆形筒仓时,均应考虑边缘效应。国外一些规范及资料也提出要在筒仓设计中考虑边缘效应对筒仓内力的影响。从我们计算圆形贮煤筒仓的事例来看,无论是仓顶、仓壁或仓底,当考虑边缘效应时,在边缘附近由于有经向(竖向)弯曲,仓壁的竖向钢筋及圆锥形漏斗壁的斜向钢筋均比只按薄膜内力所配置的钢筋要多。设计时,只要注意到需要验算此处的内力,即可满足结构的安全要求。在本标准第3.3.4条的条文说明的配图(图3)中,可明显看到在多个构件的交汇处,由于节点的刚度与各构件的刚度差别很大,节点出现了超静定内力,而且将影响构件的薄膜内力状态。此处的薄壁构件将要承受薄膜内力与其他内力的组合值。 3 柱支承筒仓仓壁的竖向内力可近似按平面深梁或曲面深梁计算,对于大直径圆形筒仓的仓壁或筒壁,由于其曲率半径较大,其承受弯曲的曲面深梁可近似按平面深梁计算,亦可参见本标准附录K给出的图表进行计算。 4 圆形筒仓的仓下支承结构,当由环梁与内柱组合成内框架体系时,可按框架结构体系计算。 5 在仓壁上开方洞,将会在洞口的角点处产生应力集中,当洞口边长小于1.0m时,可按构造配筋。对于较大的洞口,仅按构造配筋不能满足要求。当无法进行精确计算时,可近似按本条及本标准附录G的规定进行设计。 从图5(洞口周边应力等值图)中可以看出,当洞口在一个方向的两侧受力时,洞口周边出现的等应力值分布曲线。洞口的四个角点是应力最集中的部位,也是应力绝对值最大的部位。这就是本标准设置本条及附录G的依据。其他部位的应力不一定都发生在洞口的洞边,这也是设计者在配筋时应注意的事项。
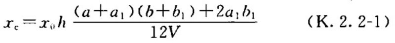
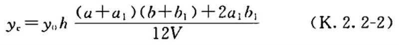
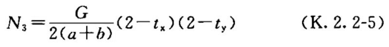
7 地道还应计算贮料在其侧壁上产生的作用力,贮料作用力根据筒仓地道沿长度方向截条的受力状况,可参考本标准附录G的表格及附录K的K.1.10条按闭口框架计算。
5.2.2 矩形筒仓仓壁及仓底结构的计算应符合下列规定:
1 矩形筒仓仓壁及角锥形漏斗壁的内力计算应符合本标准附录K的要求;
2 矩形群仓仓壁的内力应按单仓及空、满仓不同荷载条件下的工况进行计算。
条文说明
5.2.2 矩形筒仓是空间结构,仓壁及仓底的边界条件非常复杂,使用程序计算时,程序编制者必须按结构的实际受力特性完整地体现在程序中,否则结构计算的结果将不会反映组成结构的各板件的实际受力状况。在本标准修订前,广大的筒仓设计者曾多次反映,希望筒仓编制组给出既能保证结构安全又能快捷简便的筒仓计算方法,增加矩形筒仓设计内容的条款。为满足以上要求,本标准在本次修订时,提供了筒仓的各种简易计算法,其计算结果实用且安全,分述如下: 当矩形筒仓的仓壁、漏斗壁及边梁整体连接时,实际上是一种由薄板及杆件组合为一个整体的空间结构。在贮料的荷载作用下,各相邻构件通过变形协调而共同受力,因而各构件需考虑相邻构件对其变形的约束而引起的内力变化。 以往设计矩形筒仓时,一般采用近似的计算方法,将筒仓各构件分解成单独的板、梁,按平面构件进行内力分析,较少考虑各构件间的共同受力作用。通过对一些矩形筒仓内力的初步分析表明,按空间结构整体计算与按平面构件计算相比较,二者的内力值相差较大并影响到构件的配筋。但由于筒仓的结构形式较多,目前尚无一套简单、实用的按空间结构整体计算的方法。又由于各种条件的限制,直接利用计算程序对筒仓按整体空间结构进行内力分析,也还存在一定的难度,况且各构件边界条件的随机性较大,其假定若不与实际状况相吻合,则计算可能导致错误的结果。由于按平面假定计算空间体时,都是将可能出现的不利边界条件作为计算依据且偏于保守,为此还需要经过按平面计算的方法校核后,才可放心使用。以往矩形筒仓的设计,大多按平面构件方法计算,实践表明是可行的,也是安全可靠的,故本标准仍首先釆用按平面构件计算。在本标准附录K中列出了多种简化计算方法,可供设计者釆用。
5.2.3 仓壁落地及非仓壁落地的钢筋混凝土大型圆形浅仓、混凝土-钢构组合的大型圆形浅仓的设计应符合下列规定:
1 非仓壁落地混凝土大型圆形浅仓、混凝土-钢构组合的大型圆形浅仓(薄壁)仓壁的仓下支承结构体系应计算对称卸料、非对称卸料、大偏心卸料、地基不均匀变形的荷载效应;
2 仓顶结构采用大跨度轴对称圆形穹顶时,穹顶应设计成非瞬间机动、整体及局部稳定的结构体系,并应进行对称、非对称荷载效应的计算;
3 混凝土-钢构组合的大型圆形浅仓的薄壁仓体的结构体系应计算最不利工况条件下的荷载效应,除应控制承载力外,还应严格控制结构体系的整体及各构件的整体及局部稳定性;
4 仓下支承结构体系,釆用型钢混凝土、钢管混凝土作为受力构件时,应具有与钢筋混凝土支承体系荷载效应特征的当量等代作用;
5 混凝土-钢构组合的大型圆形浅仓的仓顶与(薄壁)仓壁、(薄壁)仓壁与筒壁、(薄壁)仓壁与仓下支承结构的连接宜釆用无矩铰支节点;
6 混凝土-钢构组合的大型圆形浅仓,在各种不利工况条件下,所有连接节点的计算及构造均应确保结构体系节点的荷载效应及其传递作用的可靠性;
7 型钢混凝土、钢管混凝土作为仓下支承结构体系的构件时,其构件连接节点的构造应确保钢构与混凝土两种不同材料具有共同受力的整体性效应,并应严格符合同等钢筋混凝土节点受力特性的要求;
8 大型圆形浅仓的基础设计、地基计算应符合本条第3款荷载条件的要求;
9 大型圆形浅仓基础的计算及构造应确保基础对仓下支承构件具有固端约束作用。
条文说明
5.2.3 近年来大型圆形浅仓尤其是架空式的大型圆形浅仓的倒塌事故已发生多起。对于下部为钢筋混凝土(多漏斗的)支承结构,上部仓体为薄壁钢结构的大直径圆形筒仓,发生事故的可能性更大。因为这种仓型实际上是混凝土与薄壁钢结构的混合结构体,它既不完全属于混凝土的筒仓仓型,也不属于钢结构的筒仓仓型,目前还没有这种仓型的专业标准规范可供设计者使用。两种不同特性结构材料构成的筒仓结构体系,绝不是将两种不同材料结构简单叠加。其计算、构造都应具有特殊的要求及规定。无论是简化计算还是利用已有程序计算、结构的构造措施,都应体现不同材料的结构构件及其共同构成的整体结构体系的实际受力状态。否则,其计算将会产生与实际受力工况完全不同的效果,从而出现结构倒塌的事故。钢筋混凝土虽然也是两种不同材料的混合体,但是无论是单独构件还是由其构成的结构体系,是近百年来人类经过不断的实践使其成为技术完善的结构理论,并被现代工程广泛利用。钢结构作为一种单一材料及其结构的技术特性,也同样更为成熟。型钢混凝土、钢管混凝土作为一种单一构件,人们也做了不少的试验研究,但将其与钢筋混凝土结构相比,其技术理论还不能具有同等水平,更不能与钢结构体系相比。尤其是由其构成的整体结构体系的计算、结构的构造措施,应该具有更深入的研究。在此条件下,为确保筒仓结构的安全使用,本条对其作了必要的限定。
5.3 筒仓仓壁预应力
5.3 筒仓仓壁预应力
5.3.1 预应力混凝土筒仓在进行承载能力极限状态和正常使用极限状态计算时,应对其施加预应力的附加荷载进行验算。
条文说明
5.3.1 在本标准第4.1.1条第1款中已明确规定,将预应力作为永久荷载,故在结构验算时,不应忽略预应力的作用。圆形筒仓施加预应力,是因为采用普通钢筋混凝土结构时,筒仓已不能满足荷载效应的要求。荷载效应是荷载在结构上作用的结果,比如筒仓结构的裂缝及变形等。要根据出现在结构中的荷载效应持续的时长,作为釆用预应力的依据。
5.3.2 预应力混凝土筒仓的仓壁在正常使用极限状态下进行裂缝控制验算时,应根据使用条件及不同工况的要求施加预应力,按其大小分别釆用全预应力、有限预应力或部分预应力进行计算,并应符合下列规定:
1 全预应力(按一级裂缝控制)混凝土筒仓仓壁应符合下列规定:
1)在正常使用极限状态条件下严格要求不出现裂缝,混凝土的受拉边缘不应出现拉应力时,应根据筒仓的具体条件,选择适宜的预应力强度比(预应力度)λ值;
2)全预应力计算应采用标准组合值。
2 有限预应力(按二级裂缝控制)混凝土筒仓仓壁应符合下列规定:
1)在正常使用极限状态条件下,仓壁可不出现裂缝;
2)允许混凝土的边缘纤维产生有限的拉应力,但其值不应大于混凝土轴心抗拉强度的标准值;
3)应根据筒仓的具体条件选择适宜的预应力强度比(预应力度)λ值;
4)有限预应力计算应釆用标准组合值。
3 部分预应力(按三级裂缝控制)混凝土筒仓仓壁应符合下列规定:
1)在正常使用极限状态条件下,宜釆用长期荷载效应的标准组合,允许其受拉区出现控制裂缝,裂缝的最大允许宽度应根据使用要求确定;
2)应选择适宜的预应力强度比(预应力度)λ值。
条文说明
5.3.2 对于大容量且贮料重力密度又较大的筒仓,釆用普通钢筋混凝土结构已无法满足使用要求。施加预应力可以解决筒仓设计时非预应力筋不能满足仓壁抗裂及裂缝的控制问题。由于使用条件不同,对于裂缝的控制要求也不同,不同的荷载作用产生不同的荷载效应,故设计者可以根据不同的使用条件及不同的荷载效应,选用不同级别的预应力。预应力分为全预应力、有限预应力及部分预应力。全预应力设计可保证在全部荷载作用下混凝土不受拉、不裂缝,与部分预应力结构相比,具有抗裂性好、抗疲劳性强、结构刚度大、设计计算简单等优点。但也有一些严重的缺点,如结构的延性差,对抗震不利,有些部位的裂缝并不能完全消失且工程造价高。为此,在具体工程设计时,应按生产工艺不同的使用要求选用不同级别预应力。
5.3.3 部分预应力(按三级裂缝控制)混凝土筒仓仓壁,按基本组合计算时,应符合下列规定:
1 在可变荷载效应控制条件下,仓壁混凝土中不应出现拉应力;
2 按基本组合荷载效应控制的最不利条件下,仓壁混凝土中可出现拉应力。
条文说明
5.3.3 当筒仓釆用不同的组合设计时,对部分预应力会有不同的要求,本标准第5.3.2条第3款的规定,明确了部分预应力的适用条件。本条强调的是,在最不利组合荷载效应的条件下,宜允许混凝土出现一定的拉力及裂缝。
5.3.4 预应力混凝土筒仓仓壁的预应力强度比(预应力度)λ应根据仓壁的受力条件、结构特点、贮料特性、使用工况、裂缝控制等级及抗震设防烈度要求选择,预应力强度比(预应力度)λ应按下式计算:

式中:λ——预应力强度比(预应力度);
A p 一一受拉区预应力筋截面面积;
A s ——受拉区非预应力筋截面面积;
f py ——预应力筋的抗拉强度设计值;
f y ——非预应力筋的抗拉强度设计值。
条文说明
5.3.4 预应力度为预应力筋的有效总拉力值与总预应力筋及非预应力筋拉力之和的比。环向预应力筋配置较大时,其仓壁外侧竖向裂缝将完全消失,同时有可能引起仓壁横向弯曲,并由此产生内侧附加环向拉力。附加环向拉力的出现,对竖向内力也有一定的影响,从而需要加大内侧非预应力筋的配置。为此在工程设计时,有效地控制预应力度,并协调预应力筋、非预应力筋的合理配置是非常必要的。近年来在建材、电力、煤炭等部门,建造了容量较大的预应力混凝土筒仓,本条是根据这些筒仓的设计经验编写的。
5.3.5 预应力强度比(预应力度)λ宜控制在0.50~0.65,且不宜大于0.75,仓壁自上至下的不同区段宜釆用不同的预应力度。
条文说明
5.3.5 本条给出的预应力度的控制幅度,是根据国内外不同筒仓的使用经验,对预应力度进行必要的控制参数,也就是在筒仓设计时,要根据本标准第5.3.2条的要求,根据不同筒仓的使用工况,对预应力度进行必要的控制。预应力度过大,会造成相应的非预应力筋无为地增大,故应对其有所限定。同时,在筒仓的不同高度处,预应力强度比(预应力度)也应有不同的控制要求。设计时应分段试算,以确保各段的预应力筋及非预应力筋的合理配置。
5.4 仓下支承结构及基础
5.4 仓下支承结构及基础
5.4.1 仓下支承结构的计算应符合下列规定:
1 当仓下支承结构釆用筒壁、带扶壁柱的筒壁按承载能力极限状态设计时,应符合下列规定:
1)应验算其水平截面的承载力;
2)验算带扶壁柱筒壁的水平截面承载力时,扶壁柱顶端承受的集中荷载可按45°扩散角向两边的筒壁扩散;
3)应验算扶壁柱顶面的局部受压承载力。
2 在筒壁或仓壁落地的大型圆形浅仓的仓壁上开有宽度大于1.0m的洞口时,洞口上下的筒壁或仓壁应计算其在竖向荷载作用下洞口角点部位的内力,并应验算其集中应力,其计算方法应符合本标准第5.2.1条的规定。
3 当洞口间筒壁的宽度小于或等于5倍壁厚时,筒壁应按支承柱进行计算,其计算长度可取洞高的1.25倍。
4 对柱承式筒仓,应计算基础不均匀沉降引起仓体的倾斜对支承结构产生的附加作用力。
条文说明
5.4.1 仓下支承结构的计算:
1 壁柱顶面承受集中荷载时,由于壁柱与筒壁连成一个整体而共同受力,因而壁柱顶面的集中力可向筒壁两边扩散。其扩散角是参考钢筋混凝土基础的刚性角确定的。
3 本款是参考国外有关规范而定的,目的是保证两洞口间狭窄筒壁在荷载作用下有足够的强度和稳定性。 洞口间宽度不大于5.0倍壁厚的筒壁按柱计算时,其计算高度的确是一个复杂的问题。此处是假定狭窄筒壁底端为固定、上端为可动铰,可取其计算高度为洞高的1.25倍。
4 筒仓是重心较高、荷载大的构筑物,当基础不均匀沉降引起仓体倾斜时,对于柱支承的筒仓,由于重心偏移必然给仓下支承柱一个附加弯矩和轴力,设计时应做验算。 对于筒壁支承的筒仓,由于其强度储备较大,故可不考虑此项附加内力。
5.4.2 筒仓基础设计时,基础底面下的地基,在承载能力极限状态、正常使用极限状态下的作用效应及其相应抗力值的计算,应符合现行国家标准《建筑地基基础设计规范》GB 50007的规定;筒仓基础按承载能力极限状态设计时,承载力计算应符合下列规定:
1 基础计算应采用基本组合;
2 整体相连的群仓、排仓基础应采用空仓、满仓的荷载效应组合;
3 基底边缘处地基的最小应力不应出现拉应力;
4 筒仓基础计算可不计散料的撞击荷载效应;
5 同一组排仓、群仓基础的地基条件应相同,无法满足此条件时,应对其进行处理,使其符合相同地基条件的要求。
条文说明
5.4.2 筒仓基础的设计与筒仓基础上部仓下结构的布置、基础底面以下的地基条件及其一定深度、周边的地质条件有关。基础的形式、布置方式可有多种选择,设计时应总体考虑、择优选取。基础底面以下地基抗力的计算不包括在本标准的规定内,设计时应符合现行国家标准《建筑地基基础设计规范》GB 50007的有关规定。按承载能力极限状态设计筒仓基础时,应符合下列规定:
(1)整体相连的群仓各仓的充容度各不相同,将直接影响到整体基础的地基承载力及不均匀沉陷,设计必须进行不同的荷载不利组合,对地基进行验算。
(2)筒仓结构由于其高径比通常不是很大,一般不属于高耸构筑物的范围。但基础底面与地基土的脱离,原则上仍是不允许的,即在一般情况下,必须保证pmin不小于零,基底应都是受压区。若不能满足此规定,则应验算并控制筒仓的整体稳定性。
(3)由于动力作用在仓底,经过仓下支承结构传至基础时,已被仓底及仓下支承结构所吸收,基础不直接承受散料冲击所产生的动压力,因此可不考虑散料对基础的冲击作用。当筒仓的基础同时也是仓底结构时,则应考虑大粒径贮料对基础的直接冲击作用。
5.4.3 按正常使用极限状态设计筒仓基础时,应符合下列规定:
1 基础计算应釆用标准组合;
2 筒仓的平均沉降量不应大于200mm,倾斜率不应大于0.004;
3 地基的均匀及不均匀变形、筒仓的沉降、侧移值还应严格符合工艺设计的技术规定;
4 筒仓的地基变形验算、人工处理后软地基的验算,应符合上述要求,还应符合现行国家标准《建筑地基基础设计规范》GB 50007的规定;
5 筒仓建成后、投入运营前,不应再利用贮料的重力荷载进行分阶段的预压地基。 ( 自2022年4月1日起废止该条,详见新规 《混凝土结构通用规范》 GB 55008-2021)
条文说明
5.4.3 本条为强制性条文,必须严格执行。一般高耸构筑物的基础倾斜率为:构筑物高度h小于或等于20m时,斜率小于或等于0.008;高度大于20m小于或等于50m时,斜率小于或等于0.006;高度大于50m小于或等于100m时,斜率小于或等于0.005。目前尚无高度超过100m的筒仓。斜率本应釆用不小于0.006的限制值,但考虑到筒仓与其他高耸构筑物如水塔、桅杆及烟囱等有所不同,就筒仓的整体稳定性而言,倾斜率控制在0.004以下是可以接受的。但由于筒仓的高径比小于其他高耸构筑物,倾斜为线性变形。也就是说,基础的倾斜率与筒仓本体的斜率相同。在工业生产系统中,几乎所有的筒仓都不是完全独立的,它与邻近的建、构筑物有联系。虽然0.004的斜率控制稳定没有问题,但其上部因倾斜造成的变形位移过大时,势必造成与其相连接的建、构筑物及相关设备的运行带来难以克服的难题。为此筒仓结构的设计,必须首先满足工艺设计的要求,严格控制变形后的位移及沉降值。由于筒仓的荷载较大,允许出现较大的倾斜率将会给筒仓的支承结构带来较大的附加内力,因此基础的倾斜率也不宜超过0.004。 利用现代施工技术完全可以处理各种不达标的软弱岩土地基,使其满足设计要求。也就是说处理后的地基已经能够保证结构的安全使用时,就不应该再利用贮料预压作为处理地基的手段,否则将造成极大的浪费,其中包括压仓物料的来源、供应及压仓完成后物料的处理措施等。又由于釆用贮料压仓,势必延长筒仓的正常投产日期,在市场经济条件下,这种做法既不科学也不经济,更不会受到业主的欢迎。 由于筒仓的自重很大,施工到投产通常有一定的时间间隔,在此期间,除贮料以外的各种荷载对地基的压缩将促使岩土尽快固结,在计算地基变形时,应将岩土固结已完成的压缩变形计入总控制变形中。
5.4.4 筒壁开洞应符合下列规定:
1 在7度及以上抗震设防区,筒壁作为仓体支承结构时,其同一水平截面的开洞面积不应大于其总面积的50%;
2 最大洞孔的圆心角不应大于70°;
3 相邻洞口间的筒壁宽度不应小于5.0倍壁厚。
条文说明
5.4.4 当仓壁与仓底为整体连接时,它们的刚度较大,在地震时贮料振动对它们所产生的动应力不大,不是筒仓的薄弱环节。在震害调查中,也极少有仓壁与仓底结构破坏的情况,因此,本标准不要求对整体相连的仓壁和仓底做抗震验算。同时,仓下筒壁的开洞面积不应过大,应限制在本条规定的范围内。
5.4.5 筒仓的地基计算应符合下列规定:
1 承载力的取值可不计宽度修正系数;
2 群仓、排仓的地基持力层、下卧层的计算及验算,应计入空仓、满仓的不利荷载及仓体附近大面积堆载的附加荷载。
5.4.6 建在黏土及软岩地基上的筒仓,在施工期间及投产前,因筒仓自重及其他荷载使岩土固结产生的地基沉降量,应计入筒仓投运后总变形的控制值。
6 构造
6.1 圆形筒仓仓壁和筒壁
6 构 造
6.1 圆形筒仓仓壁和筒壁
6.1.1 筒仓混凝土的密实性、耐久性应符合下列规定:
1 筒仓应増强混凝土的密实性、耐久性; ( 自2022年4月1日起废止该条,详见新规 《混凝土结构通用规范》 GB 55008-2021)
2 筒仓混凝土的密实性、耐久性应符合现行国家标准《混凝土结构设计规范》GB 50010及《混凝土结构耐久性设计规范》GB/T 50476的规定;
3 严禁釆用掺加氯化物添加剂的混凝土; ( 自2022年4月1日起废止该条,详见新规 《混凝土结构通用规范》 GB 55008-2021)
4 筒仓钢筋保护层的厚度不应小于30mm。 ( 自2022年4月1日起废止该条,详见新规 《混凝土结构通用规范》 GB 55008-2021)
条文说明
6.1.1 混凝土的碳化是严重影响结构的设计使用年限的重要因素,促使混凝土碳化的重要原因之一,是大气中的酸性物质进入混凝土后,逐渐破坏水泥水化过程中附着在钢筋上的碱性保护膜,从而使钢筋在酸性状态下腐蚀生锈。目前最简单的处理办法,除减小混凝土的水灰比、提高混凝土的强度外,就是加大混凝土的保护层,故将其定为不小于30mm。施工中为了提高混凝土的早期强度及钢筋防锈而加的添加剂,严禁使用能促使混凝土碳化的添加剂。这本应是筒仓的施工验收规范中编写的内容,但为保证结构的设计使用年限,本标准做了明确的规定,同时也符合现行国家标准《工业建筑防腐蚀设计规范》GB 50046及预应力有关规范的规定。对使用条件较好的筒仓、结构使用年限较短的筒仓,可根据工艺要求或专业规范的规定确定混凝土的强度等级、保护层厚度及仓壁的厚度。 由于筒仓是暴露在大气中的构筑物,周围环境优劣对筒仓结构的安全使用有巨大的影响。本条的规定是为了增加筒仓结构的耐久性,从而有效延长筒仓结构的使用年限。众所周知,影响混凝土耐久性的因素很多,水灰比只是其中之一。在控制对混凝土有害掺合物的前提下,提高混凝土的强度等级是增强混凝土耐久性的重要条件。水灰比的大小也是影响混凝土强度等级的重要因素之一。按现行国家标准《混凝土结构耐久性设计规范》GB/T 50476-2008的规定,水胶比(water to binder ratio)的定义为:混凝土拌合物中用水量与胶凝材料总量的重量比。胶凝材料(cementitious material,or binder):混凝土原材料中具有胶结作用的硅酸盐水泥和粉煤灰、硅灰、磨细矿渣等矿物掺合料与混合料的总称。从对胶凝材料的论述可知,说到底混凝土中的胶凝材料就是加入其他材料或不加其他胶凝材料的水泥,因此所谓水胶比,也就是水和有添加剂水泥的重量水灰比。本标准认为,没有必要把国内普遍使用的技术术语再做修改。而且新品牌的水泥,根据市场需要,在出厂前要添加的其他胶凝材料已加入到了水泥中,成为专用品牌水泥;商品混凝土厂一般拥有精密的计量设备,可以临时调整添加剂的用量。对于远离城市的筒仓施工工地,现场严格控制添加剂的计量是不现实的,但可以购买满足质量要求的专用水泥,对这种专用水泥仍应是以控制水灰比来保证混凝土的质量,此时再强调水胶比术语已无意义。本条第1款、第3款和第4款为强制性条款,必须严格执行。
6.1.2 仓壁和筒壁的厚度及其配筋应符合下列规定:
1 壁厚不宜小于150mm;
2 当釆用滑模施工时,壁厚不应小于160mm;
3 直径大于或等于6.0m的筒仓,仓壁及筒壁的内、外侧各应配置双向(水平、竖向)钢筋。
6.1.3 筒仓的配筋应符合下列规定:
1 筒仓的仓壁、筒壁在同一区段的受力主筋,应双向、对称、均匀布置在仓壁、筒壁的内外侧;
2 除深梁的集中配筋、工作平台楼板梁的配筋外,筒仓的仓壁、筒壁严禁釆用并筋的形式配置受力主筋。 ( 自2022年4月1日起废止该条,详见新规 《混凝土结构通用规范》 GB 55008-2021)
条文说明
6.1.3 本条为强制性条文,必须严格执行薄壁壳体是人类利用仿生学的概念将其应用在现代工程中的成功范例,在我们的日常生活中,到处都有它的存在,如飞机的蒙皮,船舶、潜艇、火箭的外壳以及矿泉水瓶,小孩玩具的气球等。建筑工程领域中的拱形桥,大跨度壳体屋面结构、圆形筒仓、圆形水池、核电反应堆的围护结构等。 自1800年前后,科学家建立了以固体弹性力学为基础的薄壳结构,但给施工带来了极大的困难。 圆形筒仓的仓壁及筒壁,无论其壁厚的尺寸有多大,其厚径比都是很小的,均属于薄壁筒壳结构。对于薄壁构件的配筋,应力求分散、均匀。圆形筒仓这种结构形式,属于轴对称旋转薄壁筒壳结构,人类早期就会利用这种理念制作生活器具,如陶罐、碗钵等。 固体弹性力学最基本的要求是材料必须匀质且具有弹性特征。混凝土虽具有一定弹性,但与钢筋相比相差太多,钢筋混凝土弥补了这种固体材料的部分缺陷,因此才被大量应用在薄壁筒壳结构中,圆形筒仓就是很典型的工程实践。对圆形筒仓的计算、配筋要有明确、严格的要求。混凝土及钢筋的强度等级、混凝土的浇筑质量及钢筋配置的匀质性是影响结构安全的重要因素,只有在设计符合承载能力极限状态及正常使用极限状态的前提下,钢筋混凝土筒仓才能是名副其实的、匀质的、厚径比类似鸡蛋壳、空间承载能力达到极致、结构变形符合小挠度理论要求、真正发挥薄壳结构独有特性的构筑物。达到上述要求的筒仓,才能真正做到仓壁厚度最薄、容积最大的效果。不符合以上要求时,筒仓就是最脆弱的结构。近年来筒仓大量倒塌、破坏的事例屡见不鲜,无不与此有关。 现行国家标准《混凝土结构设计规范》GB 50010-2010使用并筋方式配筋的建议,不符合薄壳、薄壁结构的受力原理,对筒仓仓壁或筒壁的配筋,釆用并筋方式配置钢筋是不合理的。近年来有些筒仓工程出现了严重的裂缝,釆用预应力补强也无济于事,其原因就是,当筒仓内外层钢筋布置太密无法配筋时,釆用了并筋,严重破坏了薄壁构件的匀质性所致。故本标准规定严禁使用并筋。否则将可能导致筒仓的裂缝严重扩大、破坏甚至倒塌;按薄膜理论设计的圆形筒仓,其理想的配筋方式,理应放置在仓壁的中面,早期的圆形筒仓就是这样布置钢筋的,但实践结果否定了这种设计的正确性。这种筒仓的壁面出现了大量的裂缝,致使筒仓过早的破坏,退出了使用功能。事实上,无论圆形筒仓的仓壁有多薄,总是有一定厚度的,不可能像塑料薄膜气球那样,因此,仓壁并非纯粹的无矩,只是在计算时认为其弯曲应力不足以影响总配筋量,并将钢筋按构造要求配置在壁厚的两侧,这就既满足了按薄膜应力中面配筋的需要,同时也符合了弯曲应力的要求。当人们认识到如此配筋的合理性后,才出现了现代筒仓的配筋方式。这就是本条作为强制性标准,严禁圆形筒仓仓壁的配筋使用并筋方式配筋的依据。
6.1.4 筒仓水平钢筋的直径及间距的选择应符合下列规定:
1 水平钢筋的直径不宜小于10mm,且不宜大于25mm;
2 水平钢筋的间距不应大于200mm,钢筋净距不应小于50mm;
3 不符合以上规定时,应调整仓壁或筒壁截面的几何尺寸,或采用预应力混凝土结构。
条文说明
6.1.4 对于圆形筒仓,水平钢筋的直径上限控制为25mm,是因为当钢筋直径超过25mm后,钢筋成型比较困难,尤其在滑模施工时,常常由于成型困难而影响施工速度。其次是控制水平钢筋的直径也意味着,当筒仓直径较大,所需水平钢筋大于25mm时,釆用普通钢筋混凝土结构的规定就不尽合理了。
6.1.5 筒仓水平钢筋的接头应符合下列规定:
1 水平钢筋的接头,在施工能确保质量的前提下,可釆用焊接或机械连接;
2 当釆用绑扎接头时,搭接长度不应小于50倍钢筋直径,接头位置应错开布置。错开的距离应符合下列规定:
1)水平方向不应小于一个搭接长度,也不应小于1.0m;
2)在同一竖向截面上每隔三根钢筋可有一个接头。
注:确保施工质量的前提之一是,应符合本标准第6.1.12条的规定。
条文说明
6.1.5 当水平钢筋釆用绑扎接头时,接头长度与现行国家标准《混凝土结构设计规范》GB 50010的规定不同,这是因为筒仓结构与一般的混凝土梁板结构及框架结构有所不同。普通梁板结构受其截面几何外形的限制,钢筋的搭接长度容易控制。对圆形筒仓,水平钢筋沿环向移动的可能性非常大,在圆周方向没有限制条件,钢筋搭接长度的可变性与普通梁板构件相比最不易控制。为此适当增加搭接长度,以弥补在施工过程中由于水平钢筋沿环向可能出现的移动而使钢筋的接头一端搭接过长,另一端却不满足搭接长度所造成的误差。苏联筒仓规范、美国筒仓规范及其他国家的规范,对此也都有增加搭接长度的规定。但搭接长度的增加值,各国也不统一,我们规定的数值是与钢筋直径有关,直径越大,增加的搭接长度也越大。这是因为我国的现行国家标准《混凝土结构设计规范规》GB 50010规定钢筋的搭接长度以直径的倍数来表示,这样与该规范保持一致使用上也比较习惯。其次钢筋直径的大小通常与内力成正比,所以按钢筋直径增加的搭接长度实际上也考虑了内力大小的因素。50倍钢筋直径的数值是以总结我国筒仓建设中的实践经验为基础确定的。 水平钢筋接头釆用焊接连接可以节省大量钢筋。但由于焊接数量太大,施工质量及其检测很难保证,故对釆用焊接钢筋及其焊接接头没有釆用强制性用语。 虽然机械连接可提高效率,但对于薄壁结构将会影响到保护层的厚度,因为机械连接钢筋的保护层首先是要保护连接器,连接器的外径要比所连钢筋的直径大,从而需要为此加大筒仓的壁厚。
6.1.6 筒壁支承的筒仓,当仓底与仓壁非整体连接时,应将仓壁底部的水平钢筋延续配置到仓底结构顶面以下的筒壁区段内,其延续配置高度不应小于6.0倍仓壁厚度(图6.1.6)。

条文说明
6.1.6 当仓底与仓壁非整体连接时,考虑到仓壁与筒壁的连续性,仓壁的环拉力不会在仓底突然消失,因此需将仓壁底部的水平钢筋延续到仓底以下一定高度。延续6.0倍仓壁厚度的规定,是参照国外资料确定的。这一规定也符合因结构刚度突变产生约束效应的要求,是除按计算配置钢筋外必要的构造措施。
6.1.7 筒仓的仓壁、筒壁水平钢筋的配筋率应符合下列规定:
1 筒壁水平钢筋的最小总配筋率不应小于0.25%。
2 按温度作用的最小总配筋率应符合下列规定:
1)贮料入仓的温度应由相关工艺设计专业提供;
2)按温度作用计算配筋时,应按混凝土、钢筋的设计强度及钢筋弹性模量的温度折减系数进行计算;
3)温度作用不宜釆用冷拉钢筋,不可避免时应按贮料温度作用下的钢筋强度折减系数进行强度折减;
4)贮存热贮料且其贮料温度与室外最低计算温度的温差小于100℃的水泥工业筒仓,仓壁水平钢筋的最小总配筋率应为0.4%;
5)温差大于100℃的水泥工业筒仓,仓壁、仓顶及仓底构件应按实际出现的温度效应进行配筋计算。
3 贮存其他贮料筒仓仓壁的水平钢筋最小总配筋率应为0.3%。
条文说明
6.1.7 筒仓仓壁和筒壁水平钢筋的最小配筋率,国外的规范规定的也不完全统一,美国规范仅对仓壁有规定,苏联规范未作规定。仓壁在计算上是假定按中心受拉考虑的,实际上因为贮料压力分布不均匀及偏心卸料等影响,理想的中心受拉严格地讲是不存在的。现行国家标准《混凝土结构设计规范》GB 50010规定的最小配筋率比该规范修订前有所提高。从煤炭系统筒仓的统计中,仓壁和筒壁全截面水平钢筋的平均配筋率分别为0.356%和0.329%,我们按照现行国家标准《混凝土结构设计规范》GB 50010和设计实践为基础,除了贮存热贮料的水泥工业筒仓外,对其他筒仓的仓壁定为全截面的0.3%,筒壁取全截面的0.25%。原规范的规定是合理的,故本标准仍按原规范的规定执行。 圆形筒仓的仓壁、筒壁都属于薄壳结构,壳体的受力概念与一般的梁板等平面构件的受力有原则区别,故本标准除环向配筋外,竖向钢筋配筋率的规定也与现行国家标准《混凝土结构设计规范》GB 50010的规定有区别。 贮料对筒仓的配筋除按本条的规定外,对冷拉钢筋尚应依据贮料温度作用下钢筋强度的折减系数进行调整。 当温差大于100℃时,筒仓的仓壁、仓顶及仓底的结构构件,除按本条规定外,还应按实际出现的温度效应计算配筋。在温度作用下按温度效应计算配筋时,应考虑混凝土、钢筋的设计强度及其弹性模量的折减系数。贮料入仓后的温度应由工艺专业确定。
6.1.8 仓壁或筒壁的竖向钢筋直径不宜小于10mm。钢筋间距应符合下列规定:
1 外仓仓壁不应少于每米3根;
2 群仓的内仓仓壁不应少于每米2根;
3 筒壁不应少于每米3根;
4 仓壁落地的筒仓,仓壁与底板整体连接时,应按固端约束条件配置钢筋。
条文说明
6.1.8 对于仓壁落地的筒仓,仓壁的计算及配筋应考虑其与底板或基础的固端约束。
6.1.9 仓壁、筒壁的竖向钢筋的最小总配筋率,除应符合本标准第6.1.7条及第6.1.8条的规定外,还应符合下列规定:
1 外仓仓壁,在仓底(漏斗)以上1/6仓壁贮料计算高度范围内应为0.4%,1/6仓壁贮料计算高度以上区段的仓壁宜为0.3%(图6.1.9);

2 群仓的内仓仓壁应为0.2%;
3 筒壁应为0.4%。
条文说明
6.1.9 仓壁在仓底以上1/6高度范围内,因仓壁所受荷载或支承条件的改变产生竖向弯矩,故其最小配筋率按压弯构件控制。其以上按分布钢筋并考虑施工需要布放,筒壁按偏心或中心受压考虑。故本标准规定仓壁的1/6高度范围内的最小总配筋率,为全面截面的0.4%,其上部为0.3%,筒壁为0.4%。
6.1.10 竖向钢筋的接头应符合下列规定:
1 钢筋的接头位置应错开布置,在同一水平截面上每隔3根可有1个接头;
2 在施工确保质量的前提下,可釆用焊接或机械连接;
3 当釆用绑扎接头时,光面钢筋不应加弯钩,钢筋搭接长度不应小于40倍钢筋直径。变形钢筋的搭接长度不应小于35倍钢筋直径。
注:确保施工质量的前提之一是,应符合本标准第6.1.12条的规定。
6.1.11 焊接骨架筋、内外钢筋连系筋的设置应符合下列规定:
1 仓壁或筒壁的全部高度范围内的环向,每隔2.0m~4.0m应设置一个两侧平行的焊接骨架(图6.1.11-1);

2 骨架水平筋的直径不应小于10mm,间距应与仓壁、筒壁水平钢筋的间距相同;
3 骨架竖向筋的直径不应小于仓壁、筒壁相同位置竖向筋的直径;
4 骨架可替代相同位置的竖向筋;
5 在仓壁全高范围内,应在水平和竖向两个方向内外两层的钢筋之间,每隔500mm~700mm设置一根直径4.0mm~6.0mm的连系筋(图6.1.11-2)。

条文说明
6.1.10、6.1.11 筒仓的仓壁及筒壁属薄壁结构,施工时保持结构截面及钢筋位置的准确度非常重要。为此,仓底与仓壁整体连接或非整体连接时,除了每隔2.0m~4.0m设置一个两侧平行的焊接骨架外,在仓壁底部还必须在两层钢筋间加连系筋。1/6仓壁高度是参考国外资料确定的。
6.1.12 筒仓钢筋的连接形式应符合下列规定:
1 筒仓钢筋的焊接点不应因施焊削弱钢筋的有效截面;
2 筒仓钢筋的焊接点应确保提供95%以上的焊点不出现削弱钢筋截面的检测报告及保证书;
3 不符合以上要求时,筒仓的水平钢筋与竖向钢筋的交叉节点应采用绑扎连接,严禁采用焊接连接;
4 不应在钢筋上焊接其他附件。 ( 自2022年4月1日起废止该条,详见新规 《混凝土结构通用规范》 GB 55008-2021)
条文说明
6.1.12 当竖向钢筋与水平钢筋的交叉点绑扎不牢或不绑扎时,钢筋常易错位,所以需要强调在钢筋的交叉点需要绑扎的必要性。在钢筋的交叉点及主筋搭接处,因普通电弧焊极易削弱主筋截面而无法确保设计要求,故不得釆用焊接代替绑扎。由于圆形筒仓钢筋工程量太大,上述要求很难达到,又必须严格限制,为此将本条作为强制性条文。
6.1.13 群仓、排仓的仓壁、筒壁,在外圆或中线相切的连接区段内的钢筋配置应符合下列规定:
1 连接区段的两侧应配置附加水平连系筋,其直径不宜小于10mm,间距应与连接仓壁、筒壁的水平钢筋相同;
2 附加水平连系筋应延伸到两侧接仓壁、筒壁的内侧,其锚固长度不应小于35倍附加连系筋的直径(图6.1.13)。

6.2 矩形筒仓仓壁
6.2 矩形筒仓仓壁
6.2.1 仓壁的最小厚度不应小于150mm。钢筋应内、外侧双向配置。钢筋保护层厚度不应小于30mm。
条文说明
6.2.1 由于钢筋混凝土筒仓均为外露结构,使用环境复杂,为保证结构使用年限,加强对钢筋的保护是必要的。本标准对筒仓的混凝土强度等级及钢筋保护层的厚度与原规范的规定保持不变。对工艺使用及环境条件要求不严,又有实践经验并对受力钢筋有特殊保护措施时,可适当减小保护层的厚度,但不应小于25mm。混凝土强度等级也不应小于C30。
6.2.2 仓下支承柱不延伸至仓顶时,仓壁四角可加腋。仓下支承柱延伸至仓顶时,仓壁四角可不加腋。
条文说明
6.2.2 矩形筒仓的仓壁及漏斗壁的设计,有些部门习惯在仓壁及漏斗壁的相交处釆用加腋的连接方式。如筒仓截面能满足设计计算要求时,也可采用不加腋的连接,加腋会给施工带来不必要的麻烦。
6.2.3 仓壁内侧支承柱的柱边及阳角应增设防止大块物料撞击的保护设施。
6.2.4 当仓下支承柱延伸到仓顶时,仓壁中心线与支承柱的中心线宜重合布置。当仓壁中心线与支承柱的中心线不重合时,外侧仓壁的任何一边距支承柱外侧边的距离不应小于50mm(图6.2.4)。

条文说明
6.2.4 柱支承的矩形筒仓,有支承柱延伸到仓顶和不伸到仓顶两种布置方式,设计中多数釆用伸到仓顶的布置方式。为了使仓壁的水平钢筋与柱内纵向钢筋不相碰撞,故要求在平面布置上,仓壁边缘离柱边的距离不小于50mm。
6.2.5 柱承式低壁浅仓的仓壁配筋应符合下列规定:
1 按平面内弯曲计算的仓壁,其支座、跨中钢筋的配置应符合下列规定:
1)支座钢筋、跨中纵向钢筋及竖向钢筋均应按普通梁的构造配置;
2)当仓底漏斗与仓壁整体连接时,配置在仓壁底部的纵向钢筋不宜少于两根,直径宜为20mm~25mm(图6.2.5-1)。

2 仓壁内外侧钢筋的配置应符合下列规定:
1)仓壁内外层的竖向钢筋、水平钢筋的直径不应小于10mm,间距不应大于200mm,且不应小于70mm;
2)当仓下支承柱不延伸到仓顶时,仓壁的水平钢筋应按图6.2.5-2的规定配置。

3 矩形筒仓钢筋的锚固长度、连接长度、弯钩和机械锚固的技术要求应符合现行国家标准《混凝土结构设计规范》GB 50010的有关规定。
条文说明
6.2.5 对于支承柱不直接延伸入仓壁的矩形筒仓,图6.2.5-2的配筋图是构件受力最合理的配筋形式。图中的1、4号外侧筋,伸入临壁后应进入其内侧;2号筋配置必不可少。配筋设置时,应统一考虑钢筋的间距,防止疏密不均。这种配筋形式有效避免了拉弯构件钢筋的内折角,类似于连续梁支座的配筋方式。
6.2.6 柱承式高壁浅仓、深仓的仓壁配筋应符合下列规定:
1 仓壁内外层水平钢筋的直径不宜小于10mm,竖向钢筋的直径不宜小于10mm,钢筋间距不应大于200mm,且不应小于70mm;
2 按平面内弯曲计算的纵向(横向)受力钢筋应符合下列规定:
1)选用深梁的分散配筋形式(图6.2.6-1);

2)选用深梁的集中配筋形式(图6.2.6-2);
3)当仓壁为单跨简支且选用深梁的集中配筋形式配置钢筋时,跨中纵向受力筋应全部伸入支座,其伸入长度应符合钢筋锚固长度的要求(图6.2.6-2)。

条文说明
6.2.6 本条规定的矩形筒仓仓壁的配筋方式是多年来国内外通用的配筋形式。柱支承的矩形筒仓,由于仓壁与一般民用建筑深梁的受力条件不同,配筋方式也不同。故筒仓设计仍应釆用本标准的规定作为仓壁深梁配筋的依据。
6.2.7 矩形排仓、矩形群仓的水平钢筋应根据空、满仓贮料作用的工况配置受力主筋。矩形排仓、群仓(加腋)仓壁相交处水平附加筋的构造形式(图6.2.7)应符合下列规定:
1 在仓壁加腋处,应配置附加套筋;
2 弯折受拉筋不应釆用内折角;
3 套筋附加筋及弯折附加筋伸入相邻仓壁的长度应符合受拉筋的锚固要求。


6.3 洞口
6.3 洞 口
6.3.1 除仓壁落地的大型圆形浅仓外,在仓壁上开设的洞口宽度及高度均不宜大于1.0m。洞口四周配置的附加构造钢筋应符合下列规定:
1 洞口上下每边附加的水平钢筋面积不应小于被洞口切断的水平钢筋面积的60%。洞口左右边每侧附加竖向钢筋的面积不应小于被洞口切断的竖向钢筋面积的50%。
2 洞口附加钢筋的配置范围应符合下列规定:
1)水平钢筋应为仓壁厚度的1.0倍~1.5倍;
2)竖向钢筋应为仓壁厚度的1.0倍;
3)配置在洞口各边的第一排钢筋数量不应少于3根[图6.3.1(a)]。
3 洞口附加钢筋的锚固长度应符合下列规定:
1)水平钢筋自洞边伸入仓壁的长度不应小于50倍钢筋直径,也不应小于洞口高度;
2)竖向钢筋自洞口边伸入仓壁的长度不应小于35倍钢筋直径。
4 在洞口四角处的仓壁内外层,各应配置1根直径不小于16mm的斜向钢筋,其伸入仓壁两边的锚固长度各应为40倍钢筋直径。
5 当采用封闭钢边框代替洞口的附加构造筋时,洞口每边被切断的水平和竖向钢筋均应与钢边框有可靠的连接[图6.3.1(b)]。

条文说明
6.3.1 本条是参考国内外筒仓洞口的设计资料,对筒仓仓壁上开设洞口时的规定。洞口尺寸过大,对薄壁构件的受力极为不利。故本条规定,除仓壁落地的大型圆形浅仓的仓壁外,不宜在仓壁上开设大洞口。在洞口四周配置的附加钢筋的面积、钢筋配置范围、锚固长度等构造措施,是在总结我国筒仓建设实践经验的基础上,参照国外有关资料确定的。为了使洞口高度范围内的环向力能传给洞口上下附加的水平钢筋,水平钢筋的锚固长度除满足50倍钢筋直径外,还与洞高有关,洞口越高锚固长度就越大。
6.3.2 在筒壁或仓壁上开设洞口时,洞口四周配置的附加构造钢筋应符合下列规定:
1 当洞口宽度小于1.0m,且在洞顶上部等于洞宽的高度范围内无集中和均布荷载(不包括自重)作用时,洞口每边附加钢筋的数量不应少于2根,直径不应小于16mm;
2 当筒壁或大型圆形浅仓仓壁的洞口宽度大于1.0m且小于4.0m时,应按洞口的计算内力配置洞口钢筋;
3 每边配置的附加构造钢筋不应少于2根,直径不应小于16mm;
4 洞口周边配筋及四角配置的斜向钢筋应符合本标准第6.3.1条的规定;
5 仓底以下设置的通过车辆或带式输送机的洞口,应符合下列规定:
1)当其宽度大于或等于3.0m,且不符合本标准第6.3.1条的规定时,宜在洞口两侧设扶壁柱;
2)扶壁柱的上端应延伸到洞口以上,延伸长度不应小于1.0m;
3)扶壁柱截面不宜小于400mm×600mm(图6.3.2);

4)扶壁柱的配筋应符合钢筋混凝土柱的构造要求。
6 当洞口通过计算符合设计要求,且洞口的周边筒壁只需釆用构造配筋时,可不设置扶壁柱,但应符合本节其他洞口的规定配置钢筋。
条文说明
6.3.2 筒壁洞口设扶壁柱的目的是为了增加宽度大于3.0m的洞口两侧筒壁的稳定性。 洞口是否需要设置扶壁柱,圆形浅仓或仓壁直接落地的筒仓仓壁或筒壁的截面,若按洞口应力计算并能满足设计及工艺要求时,也可不设扶壁柱。因为扶壁柱的设置将会使仓壁或筒壁的应力集中到刚度较大的扶壁柱上,从而造成扶壁柱的配筋量过大。国外一些较大的筒仓很少设置洞口扶壁柱。但在筒仓设计使用程序计算有困难时,为简化计算,加设扶壁柱仍是一种简单的处理办法,也是对筒壁洞口消弱截面的补偿。
6.3.3 相邻洞口间的狭窄筒壁应符合下列规定:
1 相邻洞口间狭窄筒壁的宽度,不宜小于5.0倍壁厚,也不应小于500mm;
2 当相邻洞口间狭窄筒壁的宽度l 1 小于或等于5.0倍壁厚(图6.3.3)时,狭窄筒壁的配筋量应按计算确定;

3 相邻洞口间狭窄筒壁的受力主筋的配筋应符合支承柱的构造要求;
4 相邻洞口间狭窄筒壁的箍筋直径及间距不应小于φ8@200。
条文说明
6.3.3 为保证狭窄筒壁的结构稳定性,洞口间的筒壁最小尺寸不应小于本条规定的尺寸。
6.4 漏斗
6.4 漏 斗
6.4.1 漏斗壁混凝土的强度等级应符合本标准第3.1.12条的规定,受力钢筋的混凝土保护层不应小于30mm。
6.4.2 漏斗壁的厚度不应小于150mm,应在壁厚的内外侧双向、均匀地配置钢筋。受力钢筋的直径不应小于10mm,间距不应大于200mm,也不应小于70mm。
6.4.3 漏斗的配筋率应符合下列规定:
1 圆锥形漏斗的环(纬)向、竖(经)向钢筋、角锥形漏斗的水平及斜(竖)向钢筋的最小总配筋率均不应小于0.3%;
2 贮存60℃~100℃热贮料漏斗仓仓壁的最小总配筋率不宜小于0.4%。
6.4.4 圆锥形、角锥形漏斗的配筋应符合下列规定:
1 竖(经)向受力纵筋应伸入到漏斗顶部环梁或仓壁内,受力纵筋不应釆用绑扎搭接;
2 受力纵筋伸入环梁、仓壁的锚固长度不应小于50倍钢筋直径(图6.4.4);

3 当环(纬)向钢筋釆用绑扎接头时,搭接长度及接头位置应符合本标准第6.1.5条的规定。
6.4.5 角锥形漏斗的分离式配筋应符合下列规定:
1 漏斗的斜(竖)向钢筋应伸入漏斗顶部边梁或顶部的仓壁内(图6.4.4),其锚固长度不应小于50倍钢筋直径;
2 漏斗口框架(边)梁(阴影)范围内壁板斜(竖)向内、外侧钢筋的下端应锚固在漏斗口的框架(边)梁内(图6.4.5、图6.4.6);
3 漏斗口框架(边)梁(阴影)范围外壁板的内、外侧斜(竖)钢筋的下端均应延伸到相邻斜壁板的外侧(图6.4.5)。

条文说明
6.4.5 角锥形漏斗示意图中,阴影部分以外壁板的竖向钢筋均无法直通漏斗的底部,必须在与其他壁板的相交处切断,但内侧竖筋必须延伸到相交壁板的外侧,才能将其承受的荷载传递到漏斗的其他壁板上,形成空间结构的受力体系。
6.4.6 角锥形漏斗四角吊挂骨架筋(图6.4.6)的设置应符合下列规定:
1 角锥形漏斗四角吊挂骨架筋的直径不应小于18mm;
2 角锥形漏斗四角吊挂骨架筋的上端应锚入漏斗的支承柱、上边梁或顶部的仓壁内,其锚固长度不应小于50倍吊挂骨架筋的直径;
3 角锥形漏斗四角吊挂骨架筋应布放在漏斗外侧棱角附加套筋弯折角的内侧(图6.4.6),并应与各层附加套筋绑扎固定,其下端应锚固在漏斗下端的框架(边)梁内;
4 角锥形漏斗的荷载由其顶部仓壁承受时,其四角吊挂骨架筋可按构造设置;

5 由支承柱直接承受漏斗荷载时,四角吊挂骨架筋应计算确定,并应符合本标准附录K的规定。
条文说明
6.4.6 由于角锥型漏斗的钢筋在锥板交接处都必须切断,伸入锚固区的长度往往不能满足设计要求,为此必须架设四角吊挂筋(骨架筋)。当漏斗顶部设有坚固的上边梁或深梁(竖壁)时,由于漏斗斜壁的吊挂力是通过其顶部边梁或深梁(竖壁)整体而非各斜壁板单独直接传到柱顶上,故漏斗四角的吊挂筋(骨架筋)可按构造设置。反之则应参照本标准附录K的规定通过计算确定。
6.4.7 非对称(偏心)角锥形漏斗的壁板、漏斗口(图6.4.7)各构件的设计应符合下列规定:

1 非对称(偏心)角锥形漏斗壁板内、外侧的上下水平边线应沿漏斗周边形成垂高统一的连续封闭的平行线;
2 在符合上述要求的条件下,各构件的其他相应尺寸应根据漏斗的偏心距、非对称荷载的特性进行调整。
条文说明
6.4.7 为保证角锥形漏斗各壁板在同一水平面上的水平筋形成闭口筋,设计时应严格执行本条的规定。
6.4.8 漏 斗口框架(边)梁(图6.4.6)的最小宽度不应小于200mm,其水平钢筋的搭接长度不应小于35倍钢筋直径,可采用焊接闭口筋。
6.4.9 钢漏斗与混凝土仓壁的连接可按图6.4.9所示的构造形式进行设计。

条文说明
6.4.9 钢筋混凝土筒仓的漏斗,除釆用混凝土结构外,还大量釆用钢漏斗。本条选用较安全的连接形式(图6.4.9),作为本标准钢漏斗与仓壁连接规定,但不仅局限于此。图6.4.9中的预埋筋的锚固长度应计算确定,其与预埋钢板的连接必须釆用塞焊,组合环梁的截面尺寸应通过计算确定。
6.4.10 钢漏斗在筒仓上的埋件应确保安全,并应符合下列规定:
1 锚筋不应采用冷加工钢筋;
2 不应采用焊接U形、L形锚筋;
3 当采用直锚筋与弯折锚筋共同承受剪力时,弯折筋与锚板之间的夹角不宜大于30°;
4 单锚筋或埋件的计算,应乘以1.2~1.5的受力不均匀系数;
5 受撞击的焊缝或螺栓的计算,应乘以撞击系数;
6 外露的螺栓及焊缝应釆取防止腐蚀及磨损的措施。
条文说明
6.4.10 因漏斗的埋件处理不当,曾不止一次产生严重事故,为此本次修订增加了本条内容。
6.5 柱和环梁
6.5 柱和环梁
6.5.1 仓下支承柱纵向钢筋的总配筋率不宜大于2.0%,也不应大于4.0%。
条文说明
6.5.1 当筒仓满载时,仓下钢筋混凝土支承柱的混凝土产生蠕变,使其应力有所降低,相应的荷载将转给钢筋来承担。当贮料瞬时卸空后,钢筋产生弹性恢复,此时混凝土可能处于受拉状态,从而导致仓下钢筋混凝土柱出现水平裂缝。此外当卸料过程中,如果钢筋与混凝土之间的粘结力很强,则同时会产生竖向裂缝,而且这种情况更加危险。因此控制仓下钢筋混凝土支承柱的最大配筋率是十分必要的。当出现其他作用组合时,原规范配筋率的上限偏小,本次修订将配筋率的上限提高到4%,若仅有受压作用控制配筋量时,配筋率的上限也可适当减小。
6.5.2 仓底吊挂漏斗应符合下列规定:
1 当仓底选用单个吊挂圆锥形漏斗,仓下支承结构为筒壁支承时,漏斗顶部钢筋混凝土环梁的高度可采用筒仓直径的6%~10%;
2 环梁内侧环向钢筋的总配筋率不应小于环梁计算截面的0.4%,环向钢筋应沿梁截面周边均匀配置(图6.5.2);

3 当仓下结构为支承柱时,柱顶应设环梁,其截面及配筋量应由计算确定。
条文说明
6.5.2 当漏斗与仓壁非整体连接时,环梁的配筋应计算确定。
6.6 内衬
6.6 内 衬
6.6.1 仓体内表面应根据贮料的容重、温度、粒径、硬度、落料高度、进出料方式及对漏斗壁光滑度的要求,设置相应的耐磨、助滑、隔热及防撞击层。几种常用内衬(图6.6.1)可根据具体情况选用。

条文说明
6.6.1 对筒仓内衬使用情况的调查表明,装储不同散料的筒仓以及在同一筒仓内的不同部位,筒仓内表面的磨损程度是不相同的。这主要与贮料的重力密度、粒径、硬度、落料高差、进出料方式以及贮料的运动状态等因素有关。筒仓内衬的构造很多,本标准仅列举了各行业较常用的构造形式,并不只限于图示的做法。内衬设计应根据具体情况,釆用不同的防火、耐热、耐磨、助滑、防冲击及无毒的材料。设计时应根据具体条件选用。对于防冲击的内衬,在内衬的抗冲击面层与筒仓结构层之间必须设置弹性缓冲层,以减少冲击力对基层结构的破坏。 对无特殊要求的块材内衬,还有其他可选建材。但无论选用哪一种内衬块材,必须符合具体生产工艺对上述内衬性能的要求。国外也有釆用不锈钢作内衬的,但在无特殊要求的条件下,在我国釆用不锈钢内衬显然是不太现实的,而且不锈钢内衬也不是一般的不锈钢,也要符合工艺设计的要求。对一般散体贮料,由于以往没有既经济又实用的建材作内衬,筒仓内衬曾大量使用过铸石板。近年来,在煤炭行业的矸石仓、储煤仓、翻车机房及选煤厂设备的耐磨内衬,火力发电厂的高温干灰仓、煤斗、炉前仓、干煤仓、卸煤沟,钢铁行业的高炉料仓、烧结料仓、冲渣沟及各种磨耗大、易腐蚀的工业设备等,逐渐以压延微晶板材取代了铸石内衬。经调查,其规格、品种、密实度、耐磨及抗渗等性能均超过铸石板材,以其作内衬的多部门反应,使用效果良好。
压延微晶板材是利用矿渣为主的材料经高温熔化、压延、晶化及退火而成的板材,化学稳定性好且耐高温。由于釆用先进的压延生产工艺,与一般浇注的板材相比,其规格尺寸更有保证。耐磨性能比锰钢高7倍~8倍,耐腐蚀性比不锈钢高10倍~25倍。
压延微晶板材的磨耗量:优等品级小于或等于0.03g/cm 2 ;一等品级大于0.03g/cm 2 小于或等于0.06g/cm 2 ;合格品级大于0.06g/cm 2 小于或等于0.088g/cm 2 。
冲击韧性优等品级大于或等于5.5kJ/m 2 ,一等品级大于或等于3.0kJ/m 2 小于5.5kJ/m 2 ,合格品级大于或等于1.8kJ/m 2 小于3.0kJ/m 2 。
体积密度:2.6g/cm 3 ~2.8g/cm 3 。
吸水率:小于或等于0.1%。
弯曲强度大于或等于70.0MPa,压力强度大于或等于620MPa,热膨胀系数1×10 —6 /℃(30℃~300℃)。最高使用温度不宜大于350℃,在气体介质中不大于200℃。在选用 时,其他参数不应低于相关的企业标准。板材内衬施工应釆用优良可靠的粘贴材料,基面必须平整,否则容易脱落。为使物料卸料时流畅,基板必须平整,粘贴后的内衬不出现高低不平的表面,其误差应控制在0.3mm以内。具体指标可参见现行行业标准《工业用微晶板材》JC/T 2097的有关规定。
对于未经严格科学检测并未经大量工业使用验证,且不能确保筒仓内衬促流、抗磨、抗冲击、耐高温、不脱落及其他内衬功能质量要求的其他材料,不宜选作筒仓内衬。釆用其他 板材时,应采用具有行业标准的工业产品,不应只靠一些检测部门出具的试验报告,作为使用内衬的依据。
大块物料对筒仓的撞击经常造成筒仓的破坏。虽然钢轨抗物料的撞击具有优越性,但钢轨属弹性材料,具有一定的弹性变形能力,然而其下的混凝土壁板的变形,却不可能与钢轨的变形协调一致,因此往往是钢轨未坏,混凝土仓壁板却破碎空鼓。为此增加弹性抗冲击缓冲层,对保护钢轨下的混凝土结构的抗冲击效果会更好。因此对原规范图6.6.1进行了修改。
对于冶金、水泥及一些装储高温物料的筒仓,本次修订增加了但不局限于锰钢板材内衬和连接钢板两种隔热内衬的构造做法,并应做好接缝处的热桥处理。内衬设计时也可釆用具有成熟经验的其他材料。
为了将先进的科技成果尽早转化为工业产品,应优先采用具有专利权的材料作为筒仓的内衬。
6.6.2 各种内衬材料应釆用符合现行国家标准、行业标准及具有专利权且符合本标准第6.6.1条要求的工业产品,不应釆用仅有各种试验性检测报告为依据的产品。
6.6.3 仓壁或仓底受贮料撞击、磨损轻微的部位可将混凝土受力钢筋的保护层加厚20mm兼作内衬。
条文说明
6.6.3 本条主要根据仓壁内侧耐磨层的实践经验制订。这样做便于施工,面层与结构层混凝土结合也好,但也只能适用于对耐磨要求不高的筒仓设计。
6.6.4 仓壁或仓底内衬的选用应符合下列规定:
1 直接受撞击的部位不应以结构的面层代替内衬,应釆用抗撞击、耐磨性材料作内衬;
2 仓壁或仓底受贮料撞击、磨损严重的内衬应根据使用工况,选用钢轨、废旧钢轨、锰钢板、与仓壁粘结牢固且粘贴平整的压延微晶板、铸石板、陶瓷衬板等内衬;
3 抗强烈撞击、冲击的内衬应设置弹性缓冲层;
4 当使用条件允许时,仓底宜釆用静止不动的贮料(死料)作为内衬;
5 卸料口应选用易于更换的内衬;
6 不应釆用耐热性差、易燃、易爆及易脱落的内衬。
条文说明
6.6.4 我国最早设计的钢筋混凝土筒仓,基本没有专设的内衬,通常是在仓内抹一层砂浆作为内衬。但砂浆的强度等级远没有混凝土高,且由于结合不好,用不了多久就会脱落,不但起不到内衬的作用,反而带来更多的麻烦。 可作内衬的建材种类很多,但不一定都是适宜的。20世纪80年代,美国给我国设计的贮煤筒仓,采用的是不锈钢内衬。这种做法在美国现在还有使用,但在我国,无论是当时还是现在都不可能釆用。有些设计曾釆用过金刚砂、石英砂、铁矿砂及近年来兴起的超高分子聚乙烯板材等,都有不成功的教训。前几种建材已逐渐淘汰,超高分子量聚乙烯板材(UHMW-PE)曾有人使用。这种材料早期在纺织、造纸及食品等行业,后扩张到冶金、煤炭及电力等众多行业使用。当其分子量达到150万~170万时,其较小的摩擦系数、较高的耐磨性及抗冲击性和化学稳定性才能体现。然而这种材料的缺点,在用作不同的工业筒仓的内衬时却明显暴露。其线膨胀系数为2×10
—4 ,是钢材的16倍,混凝土的20倍。在常温下,若气温变化10℃,这种内衬板就会伸长或缩短2.0mm/m,而实际工程中的温差远大于10℃。由于内衬与结构材料变形的不协调,衬板极易大面积脱落。该材料是一种可燃物,用普通打火机就可点燃。实验表明,在相同贮料条件下,其摩擦系数都低于铸石、玻璃及瓷板,用小刀就可划 出裂痕。可见其耐磨性并不可靠。在我国很多使用该材料作内衬的筒仓,都出现过火灾、大面积脱落的事故,由此造成严重的不可挽回的经济损失。为此,本条规定,筒仓设计不应再使用这种材料作内衬,但不是所有的筒仓都不能使用。对以上性能无要求的筒仓,本标准不做限定。对于无阻燃、不耐火且其光洁度又能符合料流要求的板材,设计者可根据具体筒仓使用功能的工艺要求选用。
死料作内衬是使仓底免受直接冲击作用的有效措施之一,有时也是一种最廉价的内衬材 料,故当条件允许时,优先考虑以死料作为内衬。这种做法在铁矿石等贮仓中釆用较多。根据调查,仓顶进料口处的梁板结构易受贮料的冲磨作用,大块的矿石对进料口处梁板的冲磨更为严重,甚至由此而导致结构的破坏。比较有效的办法是加大进料口或将洞口梁外移,否则应对梁板表面采取防护措施。
6.7 抗震构造措施
6.7 抗震构造措施
6.7.1 仓下支承柱纵向配筋的最小总配筋率应符合表6.7.1的规定。

条文说明
6.7.1 柱支承的筒仓受地震破坏的主要原因是柱截面强度不足,支承柱受破坏的主要部位是柱顶。受应力集中的影响,对震害实例的验算也发现实际震害的裂缝比计算的要大。为了提高柱的抗震能力,本条的规定是参考美国、日本及有关规范制订的。
6.7.2 当仓下支承结构为柱支承时,柱箍筋应全高加密,并应符合下列规定:
1 抗震设防烈度为7度时,箍筋直径不应小于8.0mm;
2 抗震设防烈度为8度、9度时,箍筋直径不应小于10mm。
条文说明
6.7.2 震害调查表明,柱支承的筒仓倒塌,都是在柱头部位折断。在7烈度设防区的筒仓,在此部位出现水平裂缝。8烈度设防区,水平裂缝明显,甚至有压酥现象。9烈度设防区,出现混凝土明显压酥,挤碎、碎块脱落,钢筋被压弯呈灯笼状。在唐山地震的10烈度和11烈度地区,该部位绝大部分为严重破坏甚至导致倒塌。柱底与基础交接处的破坏,一般较柱头稍轻,但也不可忽视。因此抗震设计中,对支承柱的柱头、柱脚这两个重要部位,除按本条规定外,予以加强是十分重要的。 为了提高混凝土的抗压能力,改善其延性,必须控制仓下支承柱的轴压比,避免轴压比过大导致延性太差,保证结构具有较好的变形能力。在控制仓下支承柱的轴压比时,可参照现行国家标准《建筑抗震设计规范》GB 50011的框架结构或现行国家标准《构筑物抗震设计规范》GB 50191的有关规定,但应比一般框架结构的轴压比小些。为此,设计可采取增加柱的个数或截面面积,但不应形成短柱,短柱将改变柱的刚度,更易改变柱的柔性。 从构造上可釆取配置附加横向封闭钢箍,形成有约束的混凝土,提高由此形成的核芯混凝土强度和极限压应变,从而使混凝土三向受力,阻止纵向钢筋的压屈。同时采用加密加粗箍筋的办法提高节点的强度和延性,封闭箍筋的体积配筋率应选用较高值。 在地震力作用下,仓下支承柱承受较大的轴向力、剪力和弯矩。在地震力的反复作用下,应力变化较为复杂,提高仓下支柱的抗震能力是十分必要的。为此,支承柱的纵向筋均应对称配置。
6.7.3 仓下支承结构为筒壁时,筒壁的配筋应符合下列规定:
1 筒壁内、外侧应釆用双向(竖向、水平)配筋,其最小配筋率均不宜小于0.4%;
2 筒壁洞口扶壁柱的最小总配筋率不宜小于0.6%。
条文说明
6.7.3 通过调查,筒壁支承的筒仓地震破坏比较轻微。但是单层配筋筒壁支承的筒仓,比双层配筋筒壁支承的筒仓,其震后的破坏状况明显严重,因此本标准规定筒壁应釆用内外侧双层配筋。
6.7.4 筒壁、柱支承筒仓的防震缝应符合下列规定:
1 防震缝的宽度不应小于100mm,柱支承的筒仓应按框架结构的要求设置防震缝;
2 防震缝还应符合结构地震动侧移变形的要求。
6.7.5 作用在岩石地基上的筒仓基础,当筒仓的竖向自振周期与岩石层竖向主震周期(0.05s~0.10s)发生共振作用时,应釆取缓冲减振措施。
6.7.6 筒仓基础的地基液化层的处理应符合下列规定:
1 地基液化的处理应按不同的抗震类别,采用消除地基液化的可靠措施;
2 液化层的厚度大于摩擦桩桩长的30%时,应增加桩的长度;
3 桩的承台应埋入地面下。
6.8 预应力混凝土筒仓仓壁
6.8 预应力混凝土筒仓仓壁
6.8.1 圆形混凝土筒仓仓壁的预应力设计应符合薄壁壳体结构的受力特性。预应力筋的配置可采用无粘结后张拉预应力、有粘结后张拉预应力及缓粘结预应力。
条文说明
6.8.1 圆形筒仓的仓壁属轴对称薄壁筒壳,其特征是:仓壁的材料必须是匀质的,沿同一半径圆周的壁厚必须是相等的。在符合上述条件的要求下,筒仓才能达到仓壁最薄、容积最大的充分优化的结构形式。对这种结构施加预应力,必然与普通梁板构件的预应力有不同的要求。为此,本标准对筒仓预应力设计作了较多的规定。 预应力混凝土筒仓在20世纪80年代在煤炭行业的筒仓设计中就已釆用。但当时的筒仓容积并不大,预应力技术也不高。在筒仓上釆用钢丝缠绕非常困难,釆用预应力粗钢筋在筒仓上施工受设备及其他条件的限制也有不便,甚至釆用热张法预加应力,还要在预应力筋的外部再喷涂一层保护层。因此这种预应力混凝土筒仓设计没有得到推广。近年来,煤炭、电力及建材等行业建造了很多大容量的预应力混凝土筒仓。原规范在总结各行业预应力混凝土筒仓设计施工经验的基础上制订了本节规定。本次修订新增了缓粘结预应力的设计规定。 预应力的发展过程是先有先张法,后有后张法。后张法则是先有有粘结预应力,后发展到无粘结预应力及缓粘结预应力。从发展过程看,有粘结预应力在预留孔道、二次灌浆、孔道堵塞及灌浆质量检测上对施工技术要求较高,一旦有问题不易处理。对无粘结预应力,不存在预留孔道、二次灌浆等问题,防锈防腐隔离层使得预应力筋不与混凝土粘结,使张拉摩擦损失减小,因此后张无粘结预应力适用于包角大的预应力混凝土筒仓结构。设计可减少壁柱数量和张拉次数。目前在筒仓设计中这两种方法都在釆用,大多釆用无粘结预应力,选用哪种方法本条不做强制规定。 入仓贮料温度大于100℃,采用无粘结预应力筋不能满足要求时,可选择其他预应力筋。其钢筋的强度及预应力的损失值均应考虑温度影响进行调整。
6.8.2 混凝土筒仓仓壁预应力筋及非预应力筋的配置应符合下列规定:
1 预应力筋应按预应力张拉、偏心及非偏心进出料、温湿度变化、混凝土的收缩徐变、仓壁开孔、风荷载、设备荷载的影响、全预应力、有限预应力或部分预应力的作用配置;
2 与预应力筋相匹配的环向及竖向非预应力钢筋,其最小配筋率均不应小于0.4%,间距不应大于300mm。
6.8.3 仓壁有粘结预应力筋的孔道灌浆应符合下列规定:
1 预应力的孔道灌浆宜釆用压力灌浆或真空辅助灌浆;
2 预应力的孔道灌浆宜釆用强度等级不低于42.5级普通硅酸盐水泥或复合水泥拌制的水泥浆,其水灰比不应大于0.42,拌制后3h的泌水率不宜大于2.0%,且不应大于3.0%;泌水应在24h内全部被水泥浆吸收;
3 需要改善浆体的和易性减少泌水和收缩时,可适量掺入对混凝土、对钢材无害的掺合料;
4 锚固区应釆用后浇微膨胀混凝土或无收缩砂浆。
条文说明
6.8.3 掺和料除应符合本条规定外,还应满足本标准第6.1.1条的规定。
6.8.4 预应力筋的选择应符合下列规定:
1 预应力筋的强度除应符合本标准附录E的规定外,宜釆用高强度低松弛的钢绞线或消除了应力的钢丝束;
2 钢绞线的性能还应符合现行国家标准《预应力混凝土用钢绞线》GB/T 5224的规定;
3 钢绞线制作的无粘结预应力筋的质量应符合现行行业标准《无粘结预应力钢绞线》JG 161及《无粘结预应力筋专用防腐油脂》JG/T 430的规定;
4 釆用钢绞线制作的缓粘结预应力筋的质量(涂层材料、厚度及粘结时间等)应符合本标准第6.8.8条第3款的要求。
6.8.5 预应力混凝土锚固区的后浇混凝土、砂浆及有粘结后张拉预应力混凝土孔道的灌浆,严禁使用含有氯离子及对预应力筋、锚具及其包层或涂料有腐蚀作用的外加剂。 ( 自2022年4月1日起废止该条,详见新规 《混凝土结构通用规范》 GB 55008-2021)
条文说明
6.8.5 氯离子对钢筋及预应力筋的腐蚀极其严重,故应禁止使用。本条为强制性条文,必须严格执行。
6.8.6 预应力混凝土仓壁的厚度、保护层应符合下列规定:
1 仓壁的厚度不应小于350mm;
2 预应力筋的保护层不应小于50mm;
3 后张拉有粘结预应力筋的保护层应由其孔道壁外边缘算起;
4 后张拉无粘结预应力筋的保护层应由预应力筋的外边缘算起;
5 预应力筋的位置宜设置在距仓壁外侧1/3壁厚处,并应符合本标准图6.8.17-3的要求。
条文说明
6.8.6 圆形筒仓属薄壁筒壳,仓壁在环向理论上可认为是中心受力,但实际上还是外侧受力较大,为此预应力筋应偏外侧布置。
6.8.7 预应力筋釆用的钢丝(钢丝束)或钢绞线不应有曲率突变局部硬弯的弯折点,当出现时应切断。每根预应力钢丝(束)或钢绞线应是通长的,严禁使用有接头的预应力筋。 ( 自2022年4月1日起废止该条,详见新规 《混凝土结构通用规范》 GB 55008-2021)
条文说明
6.8.7 预应力钢丝束或钢绞线都属于高强钢,出现死弯时,在张拉过程中肯定断裂,对于这种钢筋必须剔除;接头后的预应力筋也很难保证连接质量,设计时必须明示,严格限定不应采用有接头的预应力筋。预应力筋一旦断裂,将会造成严重的工程事故及不可挽回的生命、财产的损失。本条为强制性条文,必须严格执行。 本条中:“死弯”是预应力行业内人员常用的俗语,简洁明了也好理解,但不是标准术语,本标准为此做了修改,但很难完全准确地替代“死弯”这一俗语。对本条修改的规定如不理解,可参考本条说明,以免误导。
6.8.8 无粘结预应力筋专用防腐涂料层和外包层的质量除应符合其专用技术标准外,其性能还应符合下列规定:
1 无粘结预应力筋应符合下列规定:
1)在—20℃~+70℃范围内,低温不脆化,高温化学稳定;
2)必须符合韧性、抗破损性的要求;
3)对周围材料(混凝土、钢材)应符合无侵蚀作用、防水性、不吸湿、防腐油脂润滑性及摩阻力小的要求。
2 外包材料应釆用挤塑型高密度聚乙烯树脂,不应釆用聚氯乙烯。
3 缓粘结钢绞线预应力筋及粘结剂应符合现行行业标准《缓粘结预应力钢绞线》JG/T 369和《缓粘结预应力钢绞线专用粘合剂》JG/T 370的有关规定。
条文说明
6.8.8 筒仓设计时能否采用后张无粘结预应力,选择好预应力筋的外涂料是重要条件之一。为减少混凝土弹性压缩引起的预应力损失,预应力筋张拉时应错开一定的间距自下而上地隔根张拉;设计者应在设计文件中明确标明釆用涂料的技术要求。
6.8.9 有粘结预应力筋的长度超过25m时,宜两端张拉,超过50m时,宜分段张拉和锚固。当有工程经验时,无粘结预应力筋的分段长度可适当增加。
6.8.10 筒仓仓壁预应力筋的预留孔道应符合下列规定:
1 预留孔道宜釆用金属波纹管或塑料波纹管。其规格和性能应符合现行行业标准《预应力混凝土用金属波纹管》JG 225及《预应力混凝土桥梁用塑料波纹管》JT/T 529的规定;
2 预留孔道的内径应比预应力钢丝束或钢绞线的外径及需穿过孔道连接器的外径大10mm~15mm;
3 预应力筋的孔道面积宜采用预应力筋净面积的3.5倍~4.0倍;
4 在预应力筋张拉的两端(张拉端、锚固端)及预应力筋长度的中部,应设置灌浆孔或排气孔。当釆用压力灌浆时,其孔距不宜大于30m。
6.8.11 无粘结预应力筋应符合下列规定:
1 混凝土浇筑前,无粘结预应力筋、预应力筋套管应严格固定,固定点的水平距离不宜大于1.0m,确保在混凝土振捣时不位移、不变形;
2 预应力筋张拉时,混凝土强度等级应达到设计值的100%;
3 张拉控制应力σ con 不宜大于0.75f ptk ,且不应大于0.80f ptk 小于0.40f ptk ;
4 扣除第一批预应力损失后的混凝土压应力不应大于0.60f ck ;
5 同一水平的整圈预应力筋应同步张拉;
6 预应力筋应自下而上在一定范围内隔圈张拉;隔圈张拉后,应自上而下补齐隔圈张拉时未张拉的预应力筋;
7 仓壁预应力筋张拉时,应符合仓底板、仓顶结构及与仓壁连接构件连续性要求,釆用合理的施工顺序及其相应的技术措施。
6.8.12 预应力筋张拉应符合下列规定:
1 预应力筋应釆用张拉应力和张拉伸长变形值校核的双控制;其实测张拉伸长值与计算值的误差应控制在±6.0%以内;张拉初应力宜采用张拉控制应力的10%~20%;
2 单根穿入孔道的钢绞线应在正式张拉前调整钢绞线的初始应力,确保钢绞线受力均匀;
3 有粘结预应力筋应使用符合吨位要求的穿心式千斤顶进行整束张拉;集束配置的无粘结预应力筋可釆用前卡型千斤顶单根张拉。
6.8.13 筒仓预应力筋的锚具应符合下列规定:
1 锚具应根据预应力筋的规格型号配套选用;对钢绞线预应力筋,张拉端宜釆用夹片式锚具,固定端可釆用挤压式锚具;其性能应符合现行国家标准《预应力混凝土用锚具、夹具和连接器》GB/T 14370的规定;
2 锚垫板及螺旋筋应根据锚具型号配套使用,且应进行锚固区局部承载力验算;集束配置的无粘结预应力筋宜釆用钢板锚垫板;当釆用配套群锚锚具时,钢板锚垫板的孔位应与所选锚具一一对应。
6.8.14 无粘结预应力筋的锚具应符合下列规定:
1 无粘结预应力筋的锚具效率系数应大于或等于0.95,极限拉力作用的总应变应大于或等于2.0%;
2 锚具的疲劳性能应通过200万次循环试验;
3 夹片锚具(图6.8.14)的组件应具有符合其化学成分及机械性能的产品质量证明书,其凸出或凹进混凝土表面的构造预应力筋的全长、锚具及其连接的其他部位的外包材料,均应符合连续、封闭及防水的要求。

6.8.15 预应力筋张拉完毕后应及时釆取可靠的防腐及防火措施对锚固区进行保护。对夹片式锚具,可先切除外露无粘结预应力筋的多余长度,在锚具及承压板外表面应涂以防水涂料。
6.8.16 圆形筒仓预应力筋的各种预应力损失值应符合现行国家标准《混凝土结构设计规范》GB 50010的规定。釆用分批张拉时,应计入后批张拉对先批张拉的影响。可将先批张拉控制预应力值σ con 增加0.05f ptk 或将a E 乘以σ pc 。
注:a E 为预应力筋弹性模量与混凝土弹性模量之比,σ pc 为混凝土的法向压应力。
6.8.17 圆形筒仓预应力筋的布置应符合下列规定:
1 圆形筒仓预应力筋的平面布置(图6.8.17-1)可釆用每一圆周水平截面二束(段)~四束(段)预应力筋;
2 锚固点的数量及预应力筋的平面包角应根据筒仓直径的大小确定,包角不宜小于180°或120°,锚固点宜采用3个~8个;
3 壁柱或壁龛式(无壁柱)锚固点(图6.8.17-1、图6.8.17-4)可按60°分角布置,并应符合图6.8.17-1~图6.8.17-5的要求;
4 预应力束(筋)的竖向间距不宜小于150mm,也不宜大于3.0倍壁厚或1.0m;有粘结预应力束(筋)的间距不宜小于4.0倍孔道直径(图6.8.17-3);
5 壁柱或壁龛式锚固点预应力筋的封头应采用等强度微膨胀细石混凝土。






条文说明
6.8.17 多年来,筒仓预应力多用于单仓。随着工艺设计要求的变化,单仓设计已逐渐不能满足要求,为此本条给出了排仓和群仓的预应力布置方式。同时新增了图6.8.17-3(b),给出了预应力筋在仓壁厚度范围内的布置要求。 筒仓预应力也可做成无壁柱的布置形式,无壁柱的筒仓外观整齐,但施工时须釆用埋入式的接头,锚具应釆用游动锚具、壁龛预留槽(图6.8.17-4)。变角千斤顶由锚板、工作夹片、限位板、偏转器、过度块、延长筒等组成。偏转器组成的偏转角或圆弧的中心角为40°,半径为500mm,施工时可以向仓壁的内侧或外侧偏转,在仓壁的内外侧均可施加预应力。
6.8.18 壁柱、无壁柱(壁龛)预应力筋的锚固应符合下列规定:
1 壁柱、无壁柱(壁龛)预应力筋的锚具应符合锚固点的布置、张拉设备及预应力筋交叉空间尺寸的要求;
2 壁柱、无壁柱(壁龛)应配置相应的间接钢筋和附加构造钢筋;
3 锚固端应验算抗裂及局部承压;
4 同一水平面上的预应力筋锚固点的上下距离不应小于70mm;
5 锚固点预应力筋的直线段应根据锚具要求确定,且不应小于400mm。
6.8.19 预应力筋(钢丝)在张拉过程中发生滑脱或断裂时,应减低张拉应力,并应符合下列规定:
1 预应力筋(钢丝)滑脱及断裂的数量不得超过同一截面预应力筋的2.0%;
2 一根钢丝束的断裂钢丝不应超过一根。
条文说明
6.8.19 无论釆用哪种预应力,圆形筒仓预应力的作用,与其他平面构件预应力的作用是不同的。例如:普通梁板、大跨度的桥梁、斜拉桥的预拉钢索等,都是由直线预应力筋(索)产生的预压力直接抵消构件受拉区的拉应力。其张拉方式多以构件两端作为张拉、锚固点。而圆形筒仓虽然可沿圆周同一水平面分段设置张拉、锚固点,但同一水平环向(筒壳的纬向)的张拉必须同时进行,每一锚固、张拉点的预张力的作用方向是相反的,其作用相当于无极张拉,即沿着筒仓圆周任意一点进行的整体张拉。预张力在筒仓圆周产生的均布向心分力,使筒仓直径缩小、圆周收缩,从而减小贮料压力对仓壁的膨胀作用效应。筒仓贮料压力的膨胀,不但在水平环向,同时在相应的竖向也会膨胀(图6.8.20)。因此:沿其圆周的竖向产生变向弯曲并向远端循环波及、扩散,从而影响筒仓不同区段的内、外侧竖向非预应力筋的配置及验算。为使次应力值沿仓壁高度一定的区段内保持不变,就要调整二次施加的预应力筋的张拉力形成的次应力,这就必须经过试算进行调整预应力筋的张拉力及其间距。
6.8.20 后张预应力在圆形筒仓仓壁上的非预应力筋的配置应符合下列规定:
1 筒仓仓壁非预应力筋的配置应符合非预应力筒仓仓壁配筋的构造要求;
2 仓壁非预应力筋的配置应按预应力筋张拉后在仓壁上生成的次应力验算确定;
3 预应力筋张拉后在仓壁竖向π/2β范围内产生的次弯矩M y 、次剪力V y (图6.8.20)应按下列公式进行计算:




式中:r——圆形筒仓的半径;
F——预应力筋张拉锚固后作用于仓壁环向(圆周)单位弧长上的径向均布压力[图6.8.20(a)];
D——预应力筋内侧圆的直径;
N p ——预应力筋张拉锚固后仓壁横截面上的法向拉力;
μ c 一一混凝土的泊松比;
t——壁厚。
注:函数ψ(β·y)、θ(β·y)的计算数值见本标准附录E;

条文说明
6.8.20 筒仓仓壁在预应力作用下,其受力状况如同弹性地基梁,预应力可在仓壁上沿其高度方向在环向产生附加弯矩和剪力,这将会影响筒仓非预应力筋的配置及预应力筋的布放间距。为使筒仓仓壁在施加预应力时受力均匀,预应力筋的布置,应在施工前按本条规定进行试算。本次修订对原规范中图6.8.20的差错进行了修改;预应力筋施加于仓壁圆周上的径向压力F(图6.8.20)必须是沿圆周均匀分布。否则所施加的预应力不但对仓壁起不到预期的效果,反而可能对仓壁造成损害,甚至使仓壁失去薄壁筒壳的受力特性,以致崩裂、倒塌。
6.8.21 圆形预应力筒仓仓壁不含钢筋保护层的壁厚,除应符合非预应力筒仓的要求外,还应符合下式的计算结果:

式中:t——不含钢筋保护层的壁厚;
d n ——筒仓内径;
p h ——贮料作用在单位仓壁上的水平压力;
σ po ——预应力筋的平均初始预应力(扣除混凝土预压前的损失);
σ pe ——预应力筋的有效预应力;
f c ——预应力作用点处混凝土抗压强度。
条文说明
6.8.21 为使设计者在筒仓仓壁预应力设计之前确定仓壁厚度,本条参考国外规范,给出了验算公式。设计时还须根据其他设计条件进行调整。
6.8.22 圆形筒仓在仓壁高度范围内配置预应力筋时,应按预应力对洞口周边的仓壁及有关构件的影响配置构造加强筋,其配置范围不宜小于1.5倍的仓壁厚度。
6.8.23 预应力筒仓的设计文件中,应明确预应力施工单位的专业承包资质不应低于专业承包二级的要求。
7 堆料仓
7.1 布置原则
7 堆料仓
7.1 布置原则
7.1.1 堆料仓的布置应符合本标准第3.1.10条的有关规定。
7.1.2 堆料仓不应作为代用水塔、深仓筒中筒的卸料设施。
7.2.3 堆料仓的仓顶不应附设与堆料生产系统无关的建筑物。
7.1.4 堆料仓的底部应与基础整体固结,基础应具有对上部结构的嵌固作用。
7.1.5 堆料仓底部的仓下地道与仓壁整体连接时,支承仓体的地道结构应具有对仓体的嵌固作用。
7.2 作用分类
7.2 作用分类
7.2.1 堆料仓荷载(图7.2.1)可分为下列三类:
1 永久荷载:包括堆料仓结构自重、仓顶带式输送机、其他设备及仓顶建筑设施的自重等。
2 可变荷载:
1)包括仓内贮料、仓外堆料、带式输送机上的物料重力;
2)仓顶带式输送机通廊或栈桥支座的水平推力、带式输送机传动装置在仓顶上的作用;
3)风荷载。
注:仓顶带式输送机通廊或栈桥的支座,当无缓冲措施又无资料时,因其温度作用出现的水平作用力应不小于带式输送机系统作用在仓顶总荷载的10%。
3 地震作用:堆料仓在计算地震作用力时,仓内的贮料可作为永久荷载计算。

7.3 荷载计算
7.3 荷载计算
7.3.1 风荷载及地震作用的计算应符合下列规定:
1 露天堆料仓的内、外均无物料时,风荷载应按仓体的全高计算。
2 带式输送机通廊作用在堆料仓仓顶上的水平力应与同方向的风荷载叠加计算。
3 仓外有堆料时,部分外露仓体的风荷载计算应符合下列规定:
1)仓外堆料面以上仓体外露部分的风荷载应按仓体的实际外露高度计算;
2)仓体的迎风面有堆料背风面无堆料且带式输送机水平作用力与堆料、风荷载的作用同向时,应作为堆料仓水平作用的最不利工况。
4 地震作用计算应符合下列规定:
1)地震烈度为7度及以上时,应按地震作用效应计算结构的极限承载力;
2)地震烈度为8度及以上时,应釆用竖向和水平地震作用效应的叠加值;
3)对于多遇地震,当不验算结构变形时,可分别选用竖向或水平方向的不利工况验算结构的极限承载力;
4)竖向地震影响系数的最大值可釆用水平地震最大影响系数a max 值的65%;
5)按多遇地震计算竖向地震的作用效应时,应乘以效应增大系数1.5~2.5。
5 地震作用的组合应符合下列规定:
1)重力荷载的代表值应釆用结构自重及物料重力的标准值;
2)仓顶楼面活荷载应釆用组合值,组合系数可取0.5;
3)风荷载应釆用组合值,组合系数应取0.3。
注:堆料仓的地震作用计算还应符合现行国家标准《构筑物抗震设计规范》GB 50191的有关规定。
7.3.2 堆料仓应计算风荷载产生的弯矩及仓底剪力。圆形仓壁的剪应力、风压作用的分布应符合图7.3.2的要求。

7.3.3 贮料荷载计算应符合下列规定:
1 当仓内贮料满载、仓外无料堆时,堆料仓贮料的荷载计算应符合深仓或浅仓贮料压力计算的规定。
2 当仓壁外侧堆料均布满载,仓内无贮料或不满载时,仓壁可按环向受压计算。
3 仓壁的环向内力计算应符合下列规定:
1)当仓内贮料、仓外堆料均满载时,应按仓内贮料及仓外堆料的压力差计算仓壁的环向内力;
2)当仓外堆料对仓壁的压力值大于仓内按深仓贮料压力计算的贮料压力值时,阻挡仓壁向内侧变位的仓内贮料压力可按贮料的被动侧压力计算,但被动侧压力值不应大于主动侧压力值的两倍。
4 仓壁竖向贮料荷载的计算应包括仓内贮料、仓外堆料作用在仓壁上的摩擦力。
c5 堆料仓内的贮料满载或卸空且仓外有1/6的外部料堆或在60°扇形范围内的堆料被运走时,应验算堆料仓的倾覆稳定性(图7.3.3)。


7.3.4 仓壁外侧堆料作用的水平侧压力计算应符合下列规定:
1 仓壁外侧堆料的水平侧压力可按挡土墙理论计算;
2 堆料表面的倾角应采用堆料的安息角;
3 在堆料仓深度y处,仓壁单位线宽的水平压力及仓壁底部的总主动及被动压力宜选用下列方法及公式计算:
1)堆料仓的深度y处,水平主动压力宜按下式计算:

2)堆料仓仓底的主动总压力宜按下式计算:

3)堆料仓深度y处水平被动压力宜按下式计算:

4)堆料仓仓底的被动总压力宜按下式计算:

5)堆料仓深度y处按库仑公式计算的水平主动压力应按下式计算:

6)堆料仓的仓底按库仑公式计算的主动总压力应按下式计算:

7)堆料仓深度y处按库仑公式计算的水平被动压力应按下式计算:

8)堆料仓的仓底按库仑公式计算的被动总压力应按下式计算:

式中:
——堆料或贮料的内摩擦角(可采用安息角);
h——堆料的料堆计算高度。
注:1 以上两种计算方法的计算结果,主动压力取其两者中的大值,被动压力取其两者的小值;
2 采用库仑公式计算的堆料压力结果时,应符合本标准第7.3.3条第3款的规定;
3 公式中的计算单位应由设计所采用的原始计算参数的单位确定。
7.3.5 物料对仓壁外表面的摩擦力可按物料与仓壁间的摩擦角
进行计算。深度y处仓壁单位面积上的摩擦力应按下式计算:

式中:p n ——贮料滑动主动体对仓壁的法向作用力。
7.3.6 大直径堆料仓的仓内贮料产生的摩擦力可按有限空间内散体极限静力平衡的杨森(Janssen)公式计算。小直径堆料仓的仓内贮料产生的摩擦力可按内部贮料重量的75%计算。
注:无法判定直径的大小时,可采用两种计算结果的不利值。
7.4 稳定验算
7.4 稳定验算
7.4.1 堆料仓应釆用其荷载作用(图7.2.1)及其荷载工况(图7.3.3)进行结构的稳定性验算。
7.4.2 计算倾覆力矩时,堆料的压力计算应符合下列规定:
1 堆料60°扇形面的楔形体总重应按下列公式计算:



2 堆料地震安息角应按下式计算:

式中:q——导致倾覆的堆料主动体的总重;
d o ——堆料仓外径;
p n ——贮料主动体产生的水平力;
β——半主动体与不动体的边角;
θ——主动体的破裂角;

——不动体物料的内摩擦角;
A s ——△BFC的面积。
注:1 楔形体重力作用点在△BFC的重心;
2 地震安息角的影响参数:7烈度时,ε等于1°25 ' ;8烈度时,ε等于3°;9烈度时,ε等于6°。
7.4.3 仓体的稳定性计算,应验算所有不利作用产生的倾覆力矩(图7.4.3),倾覆力矩应按下式计算:

M=E 1 h+E 2 h 1 +E 3 h 2 (7.4.3)
式中:M——倾覆力矩;
E 1 ——仓顶外力或仓顶荷载的地震作用力;
E 2 ——仓中全部贮料产生的作用力或地震作用力;
E 3 ——仓外堆料作用力或仓外物料的地震作用力。
注:1 堆料的单位作用力应乘以仓体的外径;
2 在料堆缺失1/4扇形体的条件下,贮料或堆料产生的水平地震作用是结构稳定的最不利工况。
7.5 结构计算
7.5 结构计算
7.5.1 地震作用按基底剪力法计算时,抗震烈度8度及以上的地区应加强仓体底部的抗震承载力。
7.5.2 地震作用按振型分析法计算时,应符合下列规定:
1 应釆用前三种振型;
2 堆料仓可简化为单质点计算;
3 质点的中心位置应釆用质心的位置,并应接近结构刚度的中心。
7.5.3 堆料仓仓体结构水平地震釆用多振型计算的地震总效应,应釆用各振型地震作用效应平方和的平方根。
7.5.4 堆料仓的结构自振周期T应釆用有洞口圆形筒壳的计算公式。
条文说明
7.5.1~7.5.4 堆料仓在地震区时还应考虑仓顶荷载及料堆产生的地震作用。条文给岀的规定是一种简化计算,对于圆柱面筒壳结构的地震作用效应,在频遇地震作用下,应主要应验算倾覆稳定及极限承载力。在罕遇地震作用下,虽然筒体结构具有较强的抗震性能,但由于仓体开洞削弱了结构的有效截面,从而降低了筒仓的有效极限承载力。在地面交替振动状况下,结构将从弹性转变到弹塑性振动状态,结构的恢复能力及其滞后回线将逐渐由直线转变为曲线。竖向或水平向的地震作用对结构造成的残余变形是 相互重复叠加并逐渐增大的结果,结构将经过开裂、钢筋屈服滑动、截面局部压酥直到整体崩溃而倒塌,这是工程设计不能忽略问题。在仓体的底部及开洞部位,应提高结构弹塑性而非弹性变形后的截面承载力及抗震构造措施。 堆料仓的高径比与一般的筒仓及高耸构筑物不同。对于较高的仓型,釆用多振型验算是必要的,但不应超过1、2、3振型。 按振型分析法,在j振型的i质点,按反应谱确定的水平地震作用力F
ji 是最大值,在其作用下,结构地震作用效应S j 也应是最大值,但各振型的F ji 及S j 并不同时出现。水平地震产生的总效应应为:

式中:Sj——J振型(1、2、3、…、m)的水平地震作用效应(结构的弯矩、剪力、轴力及变形)。
结构的地震作用效应,采用时程分析法最能体现地震过程中结构的动态,但对具体工程而言,通常是不具有建筑物所在地区地震波的历史记录及有关时程设计的计算参数,若借用其他假想地区地震波的特征值进行时程计算,就没有实际意义了。为此,本标准从实用目的出发采用简化计算法。
7.5.5 堆料仓的水平地震作用应符合下列规定:
1 堆料仓的水平地震作用应为有效贮料、堆料及仓体总重力与地震影响系数的乘积;
2 抗震烈度为8度及以上的竖向地震作用,可简化为20%结构总重的当量作用进行计算;
3 堆料仓的地震作用效应还应符合本标准第4章的有关规定。
7.5.6 堆料仓仓壁底部的验算应符合下列规定:
1 应验算仓壁底部第一洞口处仓壁净截面的承载力;
2 上下交错对称布置的洞口,其竖向距离小于洞高或1/2筒体周长时,应按一组四个洞口消减后的仓壁净截面验算仓壁的承载力。
7.6 构造
7.6 构 造
7.6.1 堆料仓的仓壁应符合下列规定:
1 堆料仓的壁厚应统一,且不应小于150mm;
2 堆料仓仓壁距地面3.0m~5.0m或自基础顶面至第一卸料口底部的高度范围内,应在仓壁外侧附加25mm厚的保护层;
3 受物料撞击、磨损严重的仓壁应选用抗撞击、抗磨损的保护层。
7.6.2 堆料仓仓壁的内、外侧均应配置双向钢筋,最小配筋率不应小于0.3%。
7.6.3 堆料仓底部的配筋应符合下列规定:
1 堆料仓仓壁底部与基础整体连接的插筋应与仓壁的竖向配筋相同;
2 堆料仓基础中埋置插筋的深度应与其相对应的仓壁竖向钢筋的搭接长度相同;
3 堆料仓的仓壁支承在下部地道上时,地道结构应保证对仓壁的固结作用。地道与仓壁的连接筋应与其上部仓壁底部的受力筋等强配置。
7.6.4 仓壁卸料洞口应水平对称、上下交错布置。洞口的竖向距离不应小于洞口的高度(图7.6.4)。

7.6.5 卸料洞口周边的设施应符合下列规定:
1 卸料洞口周边应设置加固洞口的槽钢边框;
2 洞口宜设置铠装织物、氯丁橡胶及防腐蚀的金属防尘帘;
3 防尘帘的顶部应与洞口铰接;
4 防尘帘应保证在洞内物料压力的作用下可自由摆动(图7.6.4)。
7.6.6 洞口周边的构造配筋应符合下列构造规定:
1 洞口周边的构造配筋量应为被洞口切断钢筋的1.2倍;
2 洞口周边增补的构造筋还应符合洞口周边承载力的要求;
3 洞口周边增补的构造配筋应平均配置在被切断钢筋的相应洞口的周边;
4 洞口周边增补构造配筋锚入相应洞边的长度应符合钢筋锚固长度的要求。
8 槽仓
8.1 布置和形式
8 槽 仓
8.1 布置和形式
8.1.1 槽仓的仓型应符合下列规定:
1 槽仓仓型应由矩形平板构件组成;
2 单格槽仓的纵向长度a应大于仓体的横向宽度b;
3 组成槽仓的竖壁、斜壁及底板等纵向板件的长宽比,均应符合大于或等于2.0的单向板的受力条件的要求(图8.1.1)。

条文说明
8.1.1 槽仓是由矩形平板构件组成的,各构件均应按平面对称性布置较为合理,其构件的长宽比均应符合本条的规定。 按本条规定构成的槽仓,具有良好的卸料功能且计算简便、构造简单、构件钢筋的计算、设置没有复杂的构造筋问题。自20世纪50年代由苏联的工程设计引进我国以来,在冶金、煤炭等行业已经使用半个多世纪了,在其他行业也有应用。利用地形布置仓位在使用过程中能起到更加合理的效果。我国设计工作者对苏联设计建造的槽仓工程出现的仓壁裂缝等问题进行了分析研究,对槽仓设计计算、仓形几何尺寸的选定及构造进行了改进。本标准槽仓的条文是依据我国冶金系统多年来的实际工程设计及使用的实践经验为基础总结编写的,可供槽仓设计使用。 本标准不包括壁板支承、半地下槽仓的设计,但本标准的槽仓设计原则仍可适用于这些槽仓。
8.1.2 槽仓的纵向板件的跨距可大于或等于12m,宜以3.0m长为模数。槽仓最大变形缝的间距不宜超过48m。
8.1.3 槽仓仓格的组成应符合下列规定:
1 槽仓仓格的支承点应设置中间隔板或端板;
2 仓体的各纵向板件应支承在同一横向平面内(图8.1.1);
3 横向框架、中间隔板或端板均应设置在同一平面内。
8.1.4 上扩式槽仓的仓型应符合下列规定:
1 上扩式槽仓的横剖面应符合图8.1.4的规定;
2 上扩式槽仓仓体的宽度b应大于其支承框架柱的横向柱距b 1 ;
3 上扩式槽仓的全部中间隔板(壁)及端板(壁)均应在支承柱的两外侧向外悬挑;
4 上扩式槽仓的悬挑部分应支承在与其相连接的纵向壁板上。

8.1.5 槽仓仓底的斜板与仓底平板间的内夹角β应大于70°小于160°,β应按下式计算:
β=180°-α 1 (8.1.5)
8.1.6 槽仓壁板的布置应符合下列规定:
1 槽仓的端板可按图8.1.6(a)或图8.1.6(b)的形式进行设计;
2 中间隔板可按图8.1.6(a)、图8.1.6(b)或图8.1.6(c)的形式进行设计;
3 当只釆用图8.1.6(a)或图8.1.6(c)的形式进行设计时,柱内侧隔板底面的高度应符合使用要求;

4 当中间隔板采用图8.1.6(c)的形式且在隔板上设置洞口时,洞口高度应符合仓顶结构构件对洞口高度的要求;
5 槽仓最大变形缝的间距不宜超过48m。
8.2 结构计算
8.2 结构计算
8.2.1 槽仓壁板平面内的作用力的计算应符合下列规定:
1 槽仓在贮料侧压力、贮料和结构重力作用下,槽仓横剖面各壁板的荷载(图8.2.1-1、图8.2.1-2)应按下列公式计算:

q AB =G 1 +T B tana+q c (8.2.1-1)
q BC =G 2 /sina-T B /cosa (8.2.1-2)
q CC =G 2 cota+T c (8.2.1-3)
式中:G 1 、G 2 ——贮料、结构重力,在不计各壁板连续性条件下的计算值;

T B 、T C ——在不计各壁板连续性条件下,贮料在B点、C点的水平压力;
q AB ——竖板上的荷载(kN/m);
q BC ——斜板上的荷载(kN/m);
q CC ——底板上的荷载(kN/m);
q c ——楼面传来的荷载设计值。
2 槽仓横剖面各壁板在贮料顶面下深度S处壁板的纵向拉力N s 应按下式计算:
N s =p n b s /2 (8.2.1-4)
式中:p n ——深度S处的法向压力;
b s ——隔板或端板的宽度。
条文说明
8.2.1 槽仓虽然是空间结构,但可以简化为平面构件进行计算。其壁板的横向可简化为折板构件计算。实践证明按简化计算设计的槽仓工程是安全可靠的。
8.2.2 槽仓纵向壁板在法向力作用下的平面外弯曲,可选择图8.2.2中的计算单元之一进行计算,并应符合下列规定:
1 选择洞口、卸料口的单元计算时,可按二跨连续板进行分析[图8.2.2(a)];
2 选择非洞口、非卸料口的单元计算时,可按五跨连续板或采用对称性进行分析[图8.2.2(b)];

3 槽仓竖壁的跨中可按下式进行纵向配筋计算:

4 槽仓斜壁的跨中可按下式进行纵向配筋计算:

8.2.3 槽仓壁板平面内的弯曲计算应符合下列规定:
1 槽仓壁板构件在其平面内的弯曲内力分析应符合下列规定:
1)竖壁和斜壁组成的壁板可简化为由竖壁和斜壁组成的折板计算;
2)壁板的折缝可按折板的无矩理论计算;
3)由竖壁和斜壁组成的折板,在竖壁荷载q AB 、斜壁荷载q BC 作用下,折缝B处的竖壁、斜壁平面内(图8.2.1-2)的剪力T B 、轴向力N 1 及N 2 、弯矩M 1 及M 2 应按下列公式计算:





式中:
——竖壁(AB)跨中弯矩;
A 1 ——竖壁(AB)截面面积;
W 1 ——竖壁(AB)截面系数;

——斜壁(BC)跨中弯矩;
A 2 ——斜壁(BC)截面面积;
W 2 ——斜壁(BC)截面系数。
2 底板卸料口的四周应釆用闭合水平框架对洞口进行加强,框架应按拉力q C C 进行配筋计算。
3 中间隔板、端板的内力计算应符合下列规定:
1)中间隔板、端板的底部及顶部应承受斜壁传来的作用效应及上部平台传来的荷载;
2)中间隔板、端板平面内的内力分析应按平面深梁计算;
3)中间隔板、端板在平面外的内力分析应按贮料侧压力的工况进行平面外的弯曲计算;
4)中间隔板应按单侧有贮料、两侧有贮料两种工况进行计算并应取其不利者核算配筋。
4 当洞口框梁的刚度小于斜板与底板的刚度且不影响斜板、底板的计算配筋时,斜板与底板宜按有洞口单元铰结计算。
5 当洞口框梁的刚度大于斜板、底板的刚度并能影响斜板、底板的计算配筋时,斜板与底板宜按非洞口单元刚结计算。
8.3 构造
8.3 构 造
8.3.1 槽仓壁板的厚度应符合下列规定:
1 槽仓竖壁的厚度宜釆用其计算跨度的1/15~1/20,且不应小于200mm;
2 斜壁的厚度宜采用其计算跨度的1/10~1/18,且不应小于200mm;
3 底板的厚度不应小于斜壁的厚度并宜比斜壁大50mm;
4 中间隔板或端板的厚度宜釆用横向柱距的1/20~1/25,并应符合深梁构造尺寸的要求。
8.3.2 中间隔板、端板的外边缘宜比仓体外轮廓线大50mm(图8.1.6)。
8.3.3 槽仓的横向筋不得采用绑扎接头,横向钢筋在底板卸料口处,应将其锚固在卸料口的加强框架中。
8.3.4 卸料口洞口四角吊挂骨架筋应按本标准第6.4.6条的要求设置。
8.3.5 当槽仓的横向支承框架柱延伸到仓顶平台时,隔板或端板的水平筋可按本标准第6.4.6条的规定锚固在横向支撑框架柱中。
8.3.6 当槽仓或其他贮仓釆用大型车辆直接装料且车辆的容积小于贮仓容积的1/5时,可按表8.3.6选用贮料对仓壁的撞击系数。

附录A贮料的物理特性参数
附录A 贮料的物理特性参数
A.0.1 筒仓应将贮料的物理特性参数作为结构安全设计的依据,并应由相关工艺设计专业提供;在征得工艺设计专业认可的条件下,可釆用表A.0.1提供的数据进行结构计算。


条文说明
A.0.1 对贮料(散料)的物理特性参数值,原规范主要是在总结多年来我国筒仓设计经验的基础上,参考了国内外有关资料并进行了一些必要的试验而制订的,本次修订仍继续釆用。实际上筒仓贮料的品种达数百种之多,表A.0.1不可能将所有贮料的物理力学参数全部列出。即使同一种贮料,同地区或不同地区的产品都可能有不同的参数。不同的物理力学参数将会给计算带来不同的结果。有些散料,如煤炭等,其物理特性参数值的可变性比较大,如颗粒级配、粒径和外在含水量等的不同,其参数值也随之而异。因此,表A.0.1中给出的某些散料参数值有一定的幅度,结构设计者在无法取得实际物料的参数进行设计时,应选用与实际物料特性相近的参数,并应得到相关工艺专业的认可。 对于有黏性的散料,其凝聚力对散料的内摩擦角φ值有很大的影响,釆用时应通过试验验证。 附录A提供的品种只是常见散料的一部分,结构设计者釆用时,仍应以工艺设计提供的试验测定值为准。
A.0.2 筒仓贮料的计算高度h n 大于或等于10m时,矿渣粉、粉煤灰、水泥厂的生料、水泥及其他矿产粉料的重力密度应乘以修正系数ζ g 。修正系数ζ g 应按下式计算:

附录B圆形筒仓仓侧大偏心卸料荷载
附录B 圆形筒仓仓侧大偏心卸料荷载
B.0.1 仓侧卸料应符合下列规定:
1 流动腔与仓壁相交,偏心距e e 大于或等于0.25d n 时,仓壁环向贮料的偏心荷载宜按管状流动计算(图B.0.1)。
2 仓侧卸料的偏心距e e 大于或等于0.25d n 时,应验算筒仓的稳定性及其竖向的承载能力。

条文说明
B.0.1 本次修订增加了圆形筒仓大偏心卸料荷载的内容,即特殊情况下,在仓侧卸料时,贮料流动腔与仓壁接触的偏心卸料荷载。本附录的规定不包括本标准第4.2.2条第4款所述的内容。由于工况不同,这种偏心荷载的计算结果比第4.2.2条第4款的计算值偏大。本标准第4.2.2条第4款是指仓内漏斗而不是仓侧卸料的偏心荷载,两种偏心荷载的作用是不同的,也不宜相互替代。按本附录计算时,由于贮料重力的大偏心作用,筒仓的竖向稳定性不应忽视。
B.0.2 贮料对仓壁的外摩擦系数μ应釆用最小值,贮料内摩擦角φ应采用最大值(图B.0.2)。
B.0.3 贮料流动腔与仓壁接触点的中心角θ c (图B.0.2)应按下式计算:

式中:e c ——流动腔的偏心距;
r——筒仓的半径;
r c ——流动腔的半径。

B.0.4 仓侧偏心卸料流动参数U w 应按下式计算:
U w =2·θ c ·r (B.0.4)
B.0.5 待流未动区的贮料参数U s 应按下列公式计算:


式中:ψ——流动腔的中心角[图B.0.2(a)]。
B.0.6 流动腔横截面的面积A c 应按下式计算:

B.0.7 仓侧偏心卸料流动腔的半径r c 随物料的流动变化时,偏心卸料管状流动腔的偏心距e c 应按下列公式计算:



式中:μ——贮料的外摩擦系数;
φ——贮料的内摩擦角;
η——外、内摩擦系数之比;
n——流动腔半径与筒仓半径之比。
注:η应小于或等于1.0。
B.0.8 当仓侧流动腔的平面尺寸随贮料的流动变化时,流动腔半径的计算应符合下列规定:
1 流动腔的计算半径r c 不应小于r c1 ~r c3 (图B.0.2);
2 r c1 等于k 1 r,r c2 等于k 2 r,r c3 等于k 3 r;
3 系数k 1 、k 2 、k 3 分别釆用0.25、0.4及0.6。
注:r等于d n /2。
B.0.9 仓侧卸料的流动腔只有一侧与仓壁接触,且流动腔的半径r c 随贮料流动的变化不大时,θ c 可按35°计算(图B.0.2)。
B.0.10 θ c 按35°计算时,仓侧偏心卸料流动腔内的贮料在仓壁上的水平压力p hc 可简化为零计算。贮料待流未动区深度z处,仓壁、流动腔腔壁上的贮料压力计算应符合下列规定:
1 仓壁与流动腔接触区,相邻仓壁上贮料的水平局部高压P ha (图B.0.2)应按下式计算:
p ha =2p hf (B.0.10-1)
2 流动腔局部高压区贮料对仓壁的摩擦力p wal 应按下式计算:
p wal =2p wf (B.0.10-2)
式中:p wal ——流动腔相邻仓壁上贮料对仓壁的摩擦力;
p hf ——待流未动区贮料对仓壁的水平静压力;
p wf ——待流未动区贮料对仓壁的摩擦力。
B.0.11 流动腔内仓壁区段的流动贮料水平压力P hc 大于零时,流动区贮料顶面至深度z oc 处贮料压力的计算应符合下列规定:
1 P hc 应按下列公式计算:


2 流动腔内贮料对仓壁的摩擦力p wc 的计算应符合下列规定:
1)按浅仓规定计算贮料对仓壁的摩擦力时,应按下式计算:
p wc =μ·p hc (B.0.11-3)
2)按深仓规定计算贮料对仓壁的摩擦力时,应按下列公式计算:


式中:A c ——流动腔面积;
K——贮料侧压力系数;
U w ——仓侧偏心卸料流动参数;
U s ——待流未动区的贮料参数;
γ——流动腔中流动贮料的重力密度;
z o ——贮料顶面至卸料口的深度。
3 流动腔相邻仓壁上贮料的局部高压p ha 应按下式计算:
p ha =2p hf -p hc (B.0.11-6)
式中:p hc ——流动腔内贮料的水平压力。
4 流动腔相邻仓壁上待流未动局部高压区,贮料仓壁的摩擦力p wa 应按下式计算:
p wa =μ·p ha (B.0.11-7)
式中:μ小于或等于tanφ。
注:1 流动腔的偏心距e c 是可变的,应小于装料偏心距e f,cr ;
2 流动腔的位置及其半径应根据流动腔内贮料对其圆周边最小的总摩擦阻力估算,并可假定流动腔与仓壁相交的曲面为圆拱形。
B.0.12 贮料水平压力的计算值应选用本附录第B.0.10条及第B.0.11条计算结果的最大值。
附录C大型圆形浅仓贮料压力计算公式
C.1贮料压力的计算规定
附录C 大型圆形浅仓贮料压力计算公式
C.1 贮料压力的计算规定
C.1.1 贮料作用于大型圆形浅仓仓壁上的侧压力计算应符合下列规定:
1 当计算贮料作用于仓壁上的最大水平侧压力时,可不计入贮料对仓壁的外摩擦力;
2 当计算筒仓的竖向荷载及地基承载力时,应计入贮料对仓壁的外摩擦力f;
3 按浅仓规定贮料对仓壁的外摩擦力f应按下式计算:
f=Etanφ w (C.1.1)
条文说明
C.1.1 大型圆形浅仓或大直径筒仓,由于其直径较大,仓顶结构已不可能再使用普通的梁板构件,通常都采用大跨度空间格构或壳体结构。在仓壁顶面至装料点的高度范围内,将会形成较大的有用空间。这种筒仓大多是在仓顶中心单点装料,因此在仓壁顶面至装料点,将形成较大的圆锥料堆。这种贮料工况与一般的小型浅仓对仓壁产生的贮料压力显然不同。因此不能再使用小型浅仓贮料压力的计算方法。为此,本附录根据可能出现的贮料工况,给出了简便的计算公式;各种物料除具有不同的内摩擦外,也具有与其他不同物体的外摩擦,如物料对混凝土、砌体、钢铁等构件的摩擦(外摩擦)。这种摩擦不属于物料自身之间摩擦(内摩擦),与其相接触构件的刚性,光滑或粗糙程度及物料本身的粒径组成及粘结特性有关。若贮料的外摩擦大于内摩擦,则在卸料过程中将有大量的贮料粘贴在仓壁上,同时还将影响贮料对仓壁侧压力水平分力的大小。因此,为得到筒仓设计最不利贮料荷载,也就是说,在计算筒仓环向拉力时,假定外摩擦为零,忽略外摩擦的作用,才能得到贮料对仓壁压力的最大的水平力。当筒仓需要计算竖向作用效应时,外摩擦对仓壁产生的摩擦力就不应忽略,可以很简单地将最大水平力作为作用在仓壁上的法向力乘以外摩擦系数,即可得到相应的摩擦力。这也是支挡结构设计时经常采用的简化方法,它有利于提高结构的可靠度。大型圆形浅仓的仓壁实际上也是一种支挡结构。
C.1.2 圆形浅仓贮料压力的计算应按其作用的不同工况,釆用本附录相应的计算公式进行计算。
条文说明
C.1.2 小型浅仓贮料压力的计算,以往近似的采用挡土墙主动土压力理论。墙背假定是光滑直立的墙面,这种计算是库仑理论的平面问题,在小型浅仓设计时,尤其是对于矩形浅仓,基本可以符合或满足设计要求,追求过细的精确计算结果对实际工程意义不大。但对于大型圆形浅仓,再采用这种计算方法就与实际受力条件不符;圆形浅仓及圆形深仓的仓壁是轴对称旋转薄壁筒壳,其曲率半径再大也是有限的,贮料滑动体对仓壁产生的侧压力应属于散体结构力学的空间问题,应建立贮料在半无限空间中滑动微元体极限平衡力系的微分方程,且令其导数等于零的理论计算。作用在仓壁单位曲面上贮料滑动微元体的力系如图6所示。 
散体的半无限空间理论在土力学中被广泛引用。库仑在1773年、朗金在1875年创立的土力学经典理论,就是以散体的半无限空间理论为基础建立的,在支挡结构的设计中使用至今。筒仓的仓壁虽不同于平面挡墙,但也是支挡结构。要将散体的空间受力状态转化为平面问题,并应用在筒仓工程中,了解散体半无限空间理论的原理是非常必要的。 散体半无限空间理论的原理为:在半无限空间体系中,散体物料的变形常数E和横向变形系数μ(泊松比)及其他物理参数是同性的,应力与变形是线性关系,空间中同一深度处的荷载是相同的。在此条件下,散体空间某点单元体ZOXY的应力与其他各个单元体相应各点的应力状况也是相同的。单元体ZOXY散体的应力分量σz、σy、τ(区别于固体力学)不取决于线性变形半空间体的变形常数E和μ。在此条件下,才可以认定单元体ZOXY上的应力及变形与其相邻单元体上的应力及变形是无关的。 散体半无限空间理论在大量的建筑工程设计中得到了广泛的应用,如挡土墙、条形基础及路基等,可沿其长度方向(边缘地段除外)的任何位置处,用两个平行剖面划分出建筑的一个部分的计算结果,可代表整个建筑的受力状态,如图7中表示的其长度远大于宽度的条形基础、挡土墙及各种路基,均可取其长度方向单位截条ZOXY的计算值代表整体结构的计算结果。 挡墙设计理论是散体力学的一部分,即散体力学的平面问题,也就是假定挡墙为无限长时,可取其中间的某一单元,在以其平面投影为矩形的楔形滑动体极限平衡状态下,求得代表整体挡墙的压力。通常情况下,在设计挡墙时,为了得到最不利的水平荷载,经常假定直立挡墙是刚性光滑的(忽略外摩擦)。当然在计算竖向荷载时,可以考虑把土体对挡墙的外摩擦力计入;对于大型圆形浅仓,直接使用库仓挡墙理论计算贮料压力显然偏大,而且筒仓仓壁的水平面也不是无限长的直线墙体。筒仓中的贮料虽然属于空间问题,但因其圆周是闭合的,因此可以认为是无边界的,故图7中贮料微元体的极限平衡力系按半无限空间理论计算也是正确的。挡土墙背的土体滑动体与筒仓的贮料不同,前者的平面投影是矩形,后者是扇形。在筒仓按薄壁筒壳样条理论计算内力时,利用仓壁单位弧长上贮料压力的计算结果,同样可以代表筒仓结构的计算。这就是建立大型圆形浅仓贮料压力计算模型的理论依据。按上述原则,图7中微元体极限平衡力系微分方程的导数令其等于零,即可得到最大的贮料压力,并取其与同工况挡墙主动土压的比值,即可得到本标准附录C中的修正系数η及侧压系数λkn。这样我们就可极其简便地利用《铁路工程设计手册》同类工况平面挡土墙主动土压力的计算公式,进行大型圆形浅仓贮料压力的计算。有人认为,还要在单元体上增加垂直于两侧面的作用力,按散体半无限空间理论,显然是多余的。 
要想得到更精确的解答,确实牵涉复杂的散体力学的很多理论问题,这不是一般设计人员急切需要解决的问题。况且,各种精确理论也都是在某些假定条件下建立的,其精确程度也是相对的。 在工程设计时,利用前人的科技成果,解决新出现的问题,是编制本标准附录的目的。我国地质条件的复杂程度,在世界上是独一无二的。我国铁路科技工作者为了克服铁路工程的地质灾害,利用库仑理论推导的各种工况的平面挡墙计算公式,是经过大量工程实践验证的,也是可信、严谨及正确无误的。利用其适用于筒仓工况的公式,将其修正转化后,成为本标准附录C第2、3种工况(C.2.2条、C.2.3条)圆形浅仓贮料压力的计算公式是可行的。 至于本标准附录C的第1种工况(C.2.1条),由于《铁路工程设计技术手册——路基》(中国铁道出版社,1992年)没有相应的公式可借用,为此必须直接推导计算公式,为了取得最大水平贮料压力值,工程界经常假定仓壁是直立、刚性及光滑的,也就是说,忽略贮料的外摩擦对筒仓环向力的计算是有利的。当然,可以将仓壁法向最大水平力乘以贮料的外摩擦系数,即可得到贮料对仓壁的竖向压力。当计入外摩擦的作用时,则可能得到不同的破裂角θ值。不同的破裂角,反过来又会影响滑动体体积及其重力的大小,从而又影响到破裂面及仓壁对滑动体重力极限平衡力系的调整,包括破裂面上的阻力及仓壁对滑动体的阻力。如前所述,影响本标准附录C工况1的因素很多也很复杂,不能只用调整破裂角大小的方法作为本标准附录C工况1是否存在的唯一理由。 附录中各工况中的安息角β不等于贮料的内摩擦角φ,即β≠φ,而且应该小于内摩擦角,即β<φ。这是《铁路工程设计技术手册——路基》(中国铁道出版社,1992年)公式中的限定条件,否则不能套用该附录的计算公式。至于安息角是否一定比内摩擦角小,各种文件及资料有不同的看法。要了解什么是安息角,什么是内摩擦角,安息角与内摩擦角的关系,需要查看散体力学的有关论述。
C.1.3 高径比大于1.0且小于1.5的圆形浅仓的贮料压力,应釆用圆形浅仓和深仓两种计算结果的较大值。
C.1.4 沿仓壁高度单位面积上贮料压力的计算应符合下列规定:
1 贮料压力呈线性分布,与其深度成正比;
2 贮料与仓壁的摩擦系数应为常数。
C.2大型圆形浅仓的贮料工况
C.2 大型圆形浅仓的贮料工况
C.2.1 圆形浅仓仓壁顶面以上的贮料为锥体且破裂面通过筒仓中线(图C.2.1)时,贮料作用于圆形浅仓仓壁上的侧压力应按下列公式计算:






条文说明
C.2.1 圆形浅仓或大直径筒仓,贮料滑动体的破裂面过中心时,沿筒仓圆周形成的破裂面在上部料堆体的中心相互交叉,交叉面以上的部分与筒仓中线是对称关系。当以筒仓中心为界计算贮料对仓壁的压力时,其对称部分的贮料不能重复计算,这种工况如图C.2.1所示。在此条件下,当筒仓高径比hn/dn大于1.0小于1.5时,对某些不同特性的物料,图C.2.1所示的工况也可能不存在。但由于筒仓贮料品种繁多,也不能因此忽略这种工况存在的可能性。因此,贮料压力的计算,可能既不符合浅仓也不完全符合深仓的假定。在两种仓型假定条件的临界范围内,应该使用两种不同的计算方法进行试算,并釆用两者中的大值。这也是工程设计中经常使用的一种有效的简化办法。为此本次修订仍保留了原规范附录C的内容,并按有关理论进一步详细解释了编制的依据。
C.2.2 当需要计入贮料对仓壁的外摩擦力时,贮料侧压力应按下列公式计算:





C.2.3 当仓壁顶面以上贮料为截锥体,破裂面不通过仓中线时(图C.2.3),贮料作用于仓壁上的侧压力应按下列公式计算:
A s =0.5(a+h) 2 (C.2.3-1)
B s =0.5·a·b (C.2.3-2)










C.2.4 当仓壁顶面以上贮料为锥体,破裂面不通过仓中线时(图C.2.4),贮料作用于仓壁上的侧压力应按下列公式计算:





当θ≤θ 0 时:

θ 0 应按下列公式计算:
cotθ 0 =2δ+tanβ (C.2.4-6)
E=0.5·γ·h 2 ·λ k3 ·η 2 (C.2.4-7)
p h =γ·h·λ k3 ·η 2 (C.2.4-8)
式中:E——不计贮料仓壁摩擦力的水平侧压力;
E h ——计入贮料仓壁摩擦力的贮料侧压力的水平分力;
E n ——计入贮料仓壁摩擦力的贮料总侧压力;
a、b——仓壁顶面以上贮料锥体的尺寸;
β——安息角(β<φ,β≠φ);
φ w ——贮料对仓壁的外摩擦角;
θ——贮料的破裂角;
θ 0 ——破裂面交于仓顶贮料锥体顶点时的破裂角;
λ k ——贮料作用于仓壁上的侧压力系数;
δ——大型圆形浅仓的高径比;
η——贮料侧压力修正系数。
附录D系数ξ=cos2α+ksin2α,k=tan2(45°-φ/2)及λ=(1-e—μks/ρ)的值
附录D 系数ξ=cos 2 α+ksin 2 α,k=tan 2 (45°-φ/2)及λ=(1-e —μks/ρ )的值
D.0.1 系数ξ可按表D.0.1取值,亦可按不同的参数按表D.0.1所示公式计算。


D.0.2 对于不同的系数,λ可按表D.0.2取值。



附录E温度作用下混凝土及钢筋强度折减系数、预应力筋强度、摩擦系数;仓壁直接落地的圆形筒仓及大型圆形浅仓在贮料水平侧压力作用下,基础对仓壁固端约束的边界效应、筒仓预应力张拉的次弯矩、次剪力函数的计算值
附录E 温度作用下混凝土及钢筋强度折减系数、预应力筋强度、摩擦系数;仓壁直接落地的圆形筒仓及大型圆形浅仓在贮料水平侧压力作用下,基础对仓壁固端约束的边界效应、筒仓预应力张拉的次弯矩、次剪力函数的计算值
条文说明
对原规范中的贮料撞击系数,在本次修订时,将其列入本标准第8章的条文中。 根据原冶金部《钢筋混凝土结构抗热设计规程》YS 12-79(该规程至今没有更新),对温度作用下混凝土、钢筋强度计算值的折减系数进行了调整;现行国家标准《烟囱设计规范》GB 50051-2013中,在温度作用下混凝土强度折减系数的分类复杂,且筒仓与烟囱的温度作用工况完全不同,没有可比性;本标准第4.3.10条的条文说明中,对混凝土、钢筋的温度作用,认为温度200℃属于常温作用。实际上,对钢筋混凝土结构真正有严重影响的是,当温度达到400℃以后,混凝土与钢筋间的粘结强度随温度的升高迅速降低,结构将很快达到破坏状态。本附录补充了温度200℃以下钢筋混凝土的温度折减系数。
E.0.1 温度作用下混凝土强度设计值的折减系数应符合表E.0.1的规定。

E.0.2 温度作用下混凝土弹性模量E c 的折减系数β h 应符合表E.0.2的规定。

E.0.3 温度作用下钢筋强度设计值折减系数γ g 应符合表E.0.3的规定。

E.0.4 温度作用下钢筋弹性模量的折减系数β g ,应符合表E.0.4的规定。

E.0.5 预应力筋强度标准值应符合表E.0.5的规定。

E.0.6 预应力筋强度设计值应符合表E.0.6的规定。

E.0.7 预应力筋孔道每米长度局部偏差的摩擦系数k和预应力筋与孔道壁之间的摩擦系数μ应符合表E.0.7的规定。

E.0.8 仓壁直接落地的圆形筒仓、大型圆形浅仓在贮料水平侧压力作用下,基础对仓壁固端约束的边界效应、筒仓预应力筋张拉后的次弯矩、次剪力函数ψ(β·y)、θ(β·y)、ζ(β·y)的表达形式,应为下列公式:




E.0.9 函数ψ(β·y)、θ(β·y)、ζ(β·y)的计算值应符合表E.0.9的要求。


附录F框架支承式钢筋混凝土矩形筒仓的侧移刚度
附录F 框架支承式钢筋混凝土矩形筒仓的侧移刚度
F.0.1 框架支承式钢筋混凝土矩形筒仓的侧移刚度(图F.0.1)应按下列公式计算:






式中:K——矩形筒仓的侧移刚度;
m——柱列数;
δ n ——单个柱列在单位水平力作用下,柱顶的水平位移;
h——支承柱全高;
h 1 ——横梁以上的柱高;
h 2 ——横梁以下的柱高;
l——梁的跨度;
λ h ——梁的位置参数;
ζ——梁与边柱的线刚度比;
ζ 1 ——梁与中柱的线刚度比;
n——单个柱列中支柱的根数;
E c ——柱的混凝土弹性模量;
I——边柱截面的惯性矩;
I 1 ——中柱截面的惯性矩;
I L ——梁截面的惯性矩。
附录G星仓仓壁及洞口应力计算
附录G 星仓仓壁及洞口应力计算
G.0.1 二列式圆形群仓星仓(图G.0.1)仓壁的内力应按下列公式计算:

M A =p(d n +2t)(d n +t)sinθ(1-sinθ/θ)/4 (G.0.1-1)
M B =p(d n +2t)(d n +t)sinθ(cosθ-sinθ/θ)/4 (G.0.1-2)
M C =p(d n +2t)(d n +t)sinθ(cosα 1 -sinθ/θ)/4 (G.0.1-3)
F A =p(d n +2t)(1-sinθ)/2 (G.0.1-4)
F B =p(d n +2t)(1-sinθcosθ)/2 (G.0.1-5)
F C =p(d n +2t)(1-sinθcosα 1 )/2 (G.0.1-6)
式中:M A 、M B 、M C ——图G.0.1中各点的弯矩;
F A 、F B 、F C ——图G.0.1中各点的环向轴力;
p——贮料侧压力。
条文说明
G.0.1 当釆用多列筒仓连接在一起的布置时,在圆形筒仓间就会形成星仓。星仓这个空间,除了用来贮存散料外,还可以用作楼梯间、电梯井、管道井及提升机井道等。星仓可以是曲线的、直线的,也可作为直线曲线组合的仓型。原规范受当时条件所限,未能列出有关星仓计算的规定。 由于星仓仓壁改变了单个筒仓仓壁的刚度,在不同的装料情况下,星仓仓壁将有不同的受力状态。如周边筒仓满仓将引起内壁受拉及弯曲,周边筒仓是空仓而星仓是满仓时,星仓曲线仓壁的两端可视作固定端,从而形成承受压力、弯曲和剪切的相似拱。筒仓和星仓都满仓时,若星仓仓壁为直壁,将产生最大的拉力,但弯曲和剪力相对要小些。 星仓的计算方法很多,由于受力条件复杂,各国学者都以不同的假定条件提出不同的计算方法,其计算结果也各不相同,几种主要计算方法的计算结果对比见表9。
由表9中可知,Timm法由于允许支座切向力可移动,故相应支座处轴力为零,弯矩值就很大。Ciesielsk法切向力位移是与周边条件相关的值,因此计算出的内力接近实际受力条件,而且弯矩也要比Timm法的计算结果少一半多,但比起Kellner方法还是要大。而Kellner法与苏联粮仓规范的计算结果相比仍然偏大,但其给出的内力要比苏联粮仓规范给出的内力全面些。表9中两本规范给出的公式虽然较粗糙,但已付诸实际使用,若其计算内力增大太多,会给设计带来不少的问题,而Kellner公式的计算结果要比表9中两规范给出的计算结果偏大,但差值幅度并不太大,给出的内力也较完全,操作应用也很简单,故本标准选择该公式作为星仓计算公式。
G.0.2 三列式圆形群仓星仓(图G.0.2)仓壁的内力应按下列公式计算:
M A =—0.0352p(d n +t) (G.0.2-1)
M B =(0.3183-0.3535cosθ)p(d n +t) (G.0.2-2)
M C =(0.3183-0.3535cosα 1 )p(d n +t) (G.0.2-3)
M D =0.0683p(d n +t) (G.0.2-4)
F A =—0.7071p (G.0.2-5)
F B =—0.7071pcosθ (G.0.2-6)
F C =—0.7071pcosα 1 (G.0.2-7)
F D =—0.5p (G.0.2-8)
V A =0 (G.0.2-9)
V B =0.7071psinθ (G.0.2-10)
V C =0.7071psinα 1 (G.0.2-11)
V D =0.5p (G.0.2-12)
式中:M A 、M B 、M C 、M D ——图G.0.2中各点的弯矩;
F A 、F B 、F C 、F D ——图G.0.2中各点的环向轴力;
V A 、V B 、V C 、V D ——图G.0.2中各点的切力。

G.0.3 仓壁上正方形、矩形洞口的周边(图G.0.3),在拉、压力p作用下的洞口应力应按表G.0.3-1~表G.0.3-3中的参数计算。




条文说明
G.0.3 将圆形筒仓仓壁上被大洞口切断的纵横钢筋,釆用在仓壁上处理小洞口的方法,以钢筋补偿的方式将其配置在洞口相应的各边上。但由于切断的钢筋数量太多而不可能这样处理,同时也不符合洞口的受力状态。圆形筒仓的仓壁是一个圆柱曲面,在贮料压力作用下,仓壁在其环向承受拉力,对于筒壁落地的大直径筒仓或圆形浅仓仓壁上开设的大洞口,虽然尺寸较大,但其与仓壁的展开面积相比仍是相对较小的。在这种受力条件下,可近似地将其视为开有洞口的平面受力体。为此,可按弹性力学的方法,利用复变函数及包角变换,求解无限平面上洞口应力的微分方程及其应力函数。微分方程应力函数的解为边界收敛的幂级数,级数的取项越多,洞口周边的应力值就越精确。由于级数收敛得很快,因此,在实际工程计算中只取级数的有限项即可得到满意的效果。由计算及本附录各表中的数值分析可知,洞口周边的应力扰动区只发生在矩形或方形洞口角点的有限范围内。因此,工程设计时,按本附录各表求得的洞口应力值及其分布规律而不是釆用补偿方法合理配置洞口周边的钢筋,更符合大洞口的实际受力状态。由于筒仓仓壁上的洞口大多数为矩形或方形,因此,按上述方法将筒仓设计中几种常用边比的洞口应力与作用力的比值列入本条。至于洞口周边出现的其他作用力,可利用力的叠加原理进行处理,洞口周边的等值应力图见本标准第5.2.1条第5款的。
附录H轴对称旋转壳体在对称荷载作用下的内力计算
附录H 轴对称旋转壳体在对称荷载作用下的内力计算
条文说明
圆形筒仓整体连接的仓底结构,需要按本标准的规定,釆用简化计算时,本附录H.0.1~H.0.4所有表格提供的图标及计算公式都可满足其计算要求。在本标准第3.3.4条的条文说明中的图3,就是一种典型的整体连接方式,对圆形筒仓也同样适用。也就是说,仓底结构按整体连接,并釆用简化设计计算时,可以利用本附录提供的计算公式完成计算工作。本附录H.0.1仅提供了圆形筒仓各轴对称旋转壳体在对称荷载作用下,薄膜应力的计算公式。 众所周知,这种圆形筒仓的仓底结构,其整体连接构件的计算,除应验算薄膜应力外,在各壳体的约束端还存在各构件的边缘效应,包括各构件的固端约束力。在此条件下,只验算构件的薄膜应力显然是不安全的。利用本附录H.0.2~H.0.4提供的图标及计算公式,可以顺利地解决壳体固端各种约束应力(边缘效应)的计算。正确的计算应该是,薄膜应力与协调后的固端约束应力(边缘效应)之和才是圆形筒仓仓底整体结构构件的完整计算,从而才能保证筒仓结构的使用安全。 本附录H.0.1~H.0.4的表格都是本标准第一版(《钢筋混凝土筒仓设计规范》GBJ 77-1985)编制时推导的,但其只列入了H.0.1的内容,固端约束应力(边缘效应)的计算公式未被列入,对圆形筒仓仓底结构构件的内力计算,仅有H.0.1是不完整的。本标准本次修订时,为此增补了H.0.2~H.0.4,包括了轴对称旋转壳体构成的圆形筒仓仓底各构件脱离体的固端作用(边缘效应)的内力计算公式,使其计算表格更为完整。由于所有轴对称旋转壳体,几乎都是球壳特征的延伸,故本附录给出的锥壳、筒壳对类似壳体,具有一定的代表性,其他类似壳体可近似釆用本附录的公式,为筒仓设计者釆用简化计算、程序编制提供了便利条件。 筒仓计算程序的编制,除釆用有限元之外,将本附录列出的公式,编织成简单的计算程序,可能使计算更快捷。 弹性协调后的固端效应,除短壳外,固端效应对壳体远端的影响收敛较快,影响范围是有限的,可根据条件忽略不计。对于短壳,应将近、远端的固端效应叠加后进行计算。其理论依据可参看《壳体结构分析(Structural Analysis of Shells.E.H.Baker.McGraw Hill Book Company,New York,1972)。
H.0.1 轴对称旋转壳体在对称荷载作用下的薄膜内力可按表H.0.1计算。



H.0.2 轴对称旋转壳体的边缘效应可按表H.0.2计算,表中公式的参数,应按下列公式计算:








H.0.3 轴对称旋转壳体的边缘刚度可按表H.0.3计算。

H.0.4 轴对称旋转壳在贮料、自重作用下的固端弯矩(M F )、固端水平力(H F )可按表H.0.4计算,表中公式的参数应按下列公式计算:









附录K矩形筒仓按平面构件的内力计算
K.1对称布置的矩形筒仓的内力计算
附录K 矩形筒仓按平面构件的内力计算
K.1 对称布置的矩形筒仓的内力计算
K.1.1 矩形筒仓的内力可简化为平面构件计算。对称布置的矩形筒仓,其仓壁、角锥形漏斗壁(图K.1.1-1)在贮料水平压力、法向压力、漏斗壁自重及其附加荷载作用下,相邻壁板水平拉力的(图K.1.1-2)计算应符合下列规定:


1 矩形高壁浅仓、深仓贮料在A、B仓壁任意水平截面上,其相邻仓壁的单位水平拉力N hal 、N hbl (kN/m)应按下列公式计算:
N hal =p h b n /2 (K.1.1-1)
N hbl =p h a n /2 (K.1.1-2)
2 矩形低壁浅仓在仓壁底边与角锥形漏斗壁顶边的交接面上,贮料对角锥形漏斗斜壁板单位宽度上的水平作用力N R (kN/m)的计算应符合下列规定:
1)当仓壁顶部有楼板时,应按下式计算:
N R =2p h1 h n /5 (K.1.1-3)
2)当仓壁顶部无楼板时,应按下式计算:
N R cp h1 h n /2 (K.1.1-4)
式中:h n ——贮料压力的计算高度(m);
p h1 ——仓壁底部单位宽度的贮料压力(kN/m)。
3 矩形低壁浅仓贮料在A、B仓壁底边与其角锥形漏斗壁顶边交接面处,相邻壁板的水平拉力N ha 、N hb (kN)应按下列公式计算:
N ha =N R b n /2 (K.1.1-5)
N hb =N R a n /2 (K.1.1-6)
4 角锥形漏斗A、B壁板任一高度处,相邻壁板沿其斜长的单位水平拉力S a 、S b (kN/m)应按下列公式计算:


式中:p h ——计算截面处,贮料作用于仓壁上的水平压力(kPa);
p na 、p nb ——计算截面处,贮料作用于角锥形漏斗A、B壁板上的法向压力(kPa);
q a 、q b ——角锥漏斗A、B壁板单位面积自重(kPa);
a n 、b n ——A、B仓壁的内侧宽度(m);
a nh 、b nh 一一计算截面处,角锥形漏斗A、B壁板的内侧宽度(m)。
5 角锥形漏斗A、B壁板的计算截面处,单位面积上的法向压力p ns (kPa)的计算应符合下列规定:
1)应计算结构自重及其他附加荷载法向压力p sa 、p sb 与贮料法向压力p na 、p nb 之和;
2)贮料的法向压力p na 、p nb 应按本标准第4.2.7条的式(4.2.7)计算;
3)结构自重及其他附加荷载产生的法向压力应按下式计算:
p sa =gcosα b (K.1.1-9)
式中:g——结构自重及其他附加荷载;
α a ——A壁板的倾角;
α b ——B壁板的倾角。
注:计算B壁板的p sb 时,应采用cosα a 。
K.1.2 对称布置的矩形筒仓的仓壁、角锥形漏斗壁在贮料、筒仓结构及设备自重等竖向荷载作用下,竖向力N va 、N vb (图K.1.2-1)、斜向力N inc.b 、N inc.a (图K.1.2-2)的计算应符合下列规定:


1 仓壁A、B底部或角锥形漏斗壁顶部(图K.1.2-1),壁板单位宽度上的竖向力N va 、N vb (kN/m)应按下式计算:
N va =N vb =G 1 /2(a+b) (K.1.2-1)
2 角锥形漏斗壁A、B壁板(图K.1.2-2)任一水平截面单位宽度上的斜向力N inc.a 、N inc.b (kN/m)应按下列公式计算:
N inc.a =G 2 /2(a h +b h )sinα a (K.1.2-2)
N inc.b =G 2 /2(a h +b h )sinα b (K.1.2-3)
式中:G 1 ——仓壁底部所承受的全部竖向荷载(kN),包括全部贮料荷载、漏斗结构自重及附加在漏斗上的设备重及其他荷载;
G 2 ——计算截面以下,漏斗壁所承受的全部竖向荷载(kN)。
注:1 浅仓漏斗壁任意计算截面处的斜向力计算时,图K.1.2-2中阴影部分的G应按G 2 计算,G 2 应为计算截面处贮料重、计算截面以下漏斗结构自重及其附加设备重;
2 按深仓计算时,G 2 应为计算截面处的贮料竖向压力、计算截面以下漏斗内的贮料重、漏斗结构自重及附设在其上的设备重等(kN)。
K.1.3 矩形筒仓仓壁平面外的弯曲计算应符合下列规定:
1 矩形仓壁板的高宽比小于或等于0.5时,可按单向板计算,大于0.5或小于2.0时,可按双向板计算。
2 仓壁板周边的支承条件应根据仓壁与相邻壁板、周边构件的刚度比确定:
1)与相邻构件的相对刚度比小于20%时,可简化为简支板壁计算;
2)大于20%时,可按弹性固定板壁计算。
3 仓壁与相邻壁板、构件相交处的不平衡弯矩(壁板或构件的端弯矩差)值的调整(图K.1.10),应符合下列规定:
1)不平衡弯矩值的调整,可按相邻壁板或构件的刚度比(弯矩分配系数)进行一次性弯矩分配;
2)不平衡弯矩值小于壁板、构件端弯矩20%时,可不进行调整,并宜采用大值。
K.1.4 柱支承的矩形仓的仓壁、角锥形漏斗(斜)壁板的平面内的弯曲计算应符合下列规定:
1 低壁浅仓的仓壁与竖向投影高度为2/5跨长的漏斗斜壁的平面内弯曲按共同受力计算时,可简化为符合平截面假定要求的梁计算。
2 高壁浅仓仓壁的平面内弯曲计算可不计与角锥形漏斗壁的共同受力作用,按平面深梁计算。平面深梁的弯曲应力可按分散配筋和集中配筋方式简化计算。
3 角锥形漏斗(斜)壁板的平面内弯曲应符合下列规定:
1)角锥形漏斗(斜)壁板的平面内弯曲可简化为符合平截面假定要求的单独三角形深梁计算,其计算高度可釆用1/2跨长;
2)当漏斗壁的高度小于1/2跨长时,应按实际高度计算;
3)深梁下部的应力值可按延伸到三角形顶点计算,并应按应力的线性变化规律递减至零(图K.1.4-1)。

4 柱支承对称布置的角锥形漏斗,在贮料、漏斗自重及其他附加荷载作用下,其相邻斜壁板边棱顶部的斜向拉力
应按下式计算:

式中:c——荷载分配系数;
N inc.a 、N inc.b ——角锥形漏斗A、B斜壁板顶部单位宽度上的斜向拉力(kN/m)。
注:荷载分配系数c可按图K.1.4-2选用。

K.1.5 角锥形漏斗(斜)壁板平面外弯曲的计算应符合本标准附录K第K.1.1条的规定及下列规定:
1 壁板的高宽比小于或等于0.5时,可简化为单向板计算,大于0.5或小于2.0时,可按双向板计算;
2 壁板底边与顶边的边宽比小于或等于0.25时的梯形板,可将两斜边延长相交后,按三角形板计算;
3 壁板底边与顶边的边宽比大于0.25且小于0.5时,可按梯形板计算。其他条件的壁板可折算为矩形板或圆形板计算。
K.1.6 梯形板、三角形板的平面外弯曲除应符合本标准附录K第K.1.5条的规定外,均可按当量矩形板等代换算(图K.1.6),当量矩形板换算面积的计算应符合下列规定:

1 三角形板当量矩形板的换算面积可按下式计算:
A eq =(2a/3)(h-a/6) (K.1.6-1)
2 梯形板当量矩形板的换算面积可按下列公式计算:



K.1.7 当角锥形漏斗梯形壁板ABCD(图K.1.7)可包络在面积为A的等边三角形ABE内时,壁板的平面外弯曲可按半径为r eq 的当量圆形板等量换算。当量圆形板的半径r eq 、平面外弯矩应按下列公式计算:





式中:p n ——梯形板的平均法向压力;
M 0 ——梯形板的边界简支时,换算板的跨中弯矩;
M sEd ——梯形板的边界固定时,换算板的跨中弯矩;
M eEd 一一梯形板的边界固定时,换算板的支座弯矩。
K.1.8 角锥形(楔形)漏斗三边固定的直角三角形壁板平面外的弯曲(图K.1.8)可按下列公式计算,式中系数η x 、η y 可按表K.1.8计算:





K.1.9 角锥形漏斗壁板按各种简化等代板转换后,可釆用代换板的静力计算确定漏斗壁板的应力,并以此验算壁板平面外弯曲的承载力。
K.1.10 仓壁平面外的不平衡弯矩(图K.1.10)应按下列公式计算:





式中:t a 、t b ——壁板A、B的厚度;

——壁板A、B的跨中弯矩;
M — ——壁板的支座负弯矩。
K.1.11 壁板的支座、跨中各控制点的配筋可按各简化方法的计算值,分别釆用支座、跨中三段控制点应力的最大值配置钢筋。
条文说明
K.1.1~K.1.11 相同条件下的圆形筒仓与矩形筒仓相比,前者具有明显的优越性,因此被近代筒仓工程大量釆用,得到了巨大的发展,但矩形筒仓并未被淘汰,至今在很多工业部门仍然被广泛采用。根据众多工程界人员的反映,原规范有关矩形仓的设计内容偏少,需要充实。为此,本次修订,对矩形筒仓的设计要求,在附录K中做了大量的补充,尤其是对角锥形漏斗壁板的平面内、外弯曲的计算,给出了大量实用的简化方法及便捷的计算公式,从而为设计人员解决了复杂的空间结构计算问题。众所周知,建、构筑物多为空间结构体系,把复杂的空间结构简化为平面结构计算,是工程界普遍釆用的实用方法。一般来说,合理的简化结算结果,通常要比精确计算的结果可靠度更高,但并非排斥釆用实用程序计算。 本附录所釆用的简化计算方法及计算公式,均釆用欧洲筒仓规范Eurocode Actions on Structurers Silos and Tanks、美国结构工程师手册Structural Engineering Handbook(Mc Graw-Hill Book Company)等资料。
K.2非对称布置的矩形筒仓的内力计算
K.2 非对称布置的矩形筒仓的内力计算
K.2.1 非对称布置矩形筒仓的内力计算,除应符合本节的规定外,还应符合本标准附录K第K.1节对称布置矩形筒仓内力计算的要求。
K.2.2 非对称角锥形漏斗(图K.2.2-1)各种参数的计算应符合下列规定:

1 非对称角锥形漏斗口的偏心距(图K.2.2-1)应按下列公式计算:


式中:V——漏斗的体积(m 3 );
h——漏斗的垂高(m)。
2 非对称角锥形漏斗的高壁、低壁浅仓,仓壁底部的竖向作用力(图K.2.2-2)(kN/m)应按下列公式计算:







3 顶部无仓壁的非对称角锥形漏斗,在自重、贮料及其他附加荷载作用下,对支承柱顶面的竖向作用力N v (图K.2.2-3)(kN)应按下列公式计算:





式中:G——漏斗自重、贮料、设备重及其他附加荷载(kN);
t x 、t y ——见式(K.2.2-7)、式(K.2.2-8)。
4 顶部无仓壁的对称、非对称角锥形漏斗,在自重、贮料及其他附加荷载作用下,相邻壁(斜)板交接边棱的轴向拉力t p (图K.2.2-4)应按下列公式计算:






式中:N v ——支承柱顶面的竖向作用力(kN);
t p ——四角相邻壁(斜)板交接边的轴向拉力(kN)。
注:漏斗顶部无仓壁仅有边梁的对称、非对称角锥形漏斗相邻壁(斜)板交接边棱的轴向拉力t p ,适用于漏斗四角吊挂骨架筋的截面计算。
K.2.3 矩形深仓仓壁平面外的弯曲计算应符合本标准附录K第K.1.3条的要求;壁板支承条件为弹性固定时,可简化为平面框架计算;平面内的弯曲可按平面深梁计算。
K.2.4 矩形筒仓仓壁平面内的弯曲,按分散配筋方法计算时,两端固定的平面深梁的内力计算应符合下列规定:
1 均布荷载作用在深梁底边时(图K.2.4-1),深梁各点的内力计算参数应符合表K.2.4-1的规定。


2 均布荷载作用在深梁的顶边时(图K.2.4-2),深梁各点的内力计算参数应符合表K.2.4-2的规定。


3 集中荷载作用下(图K.2.4-3),两端固定深梁各点的内力计算参数应符合表K.2.4-3的规定。


K.2.5 矩形筒仓仓壁平面内的弯曲,按集中配筋方法计算时,平面深梁的内力计算应符合下列规定:
1 均布荷载作用下连续深梁(图K.2.5-1)及内力的计算参数应符合表K.2.5-1的规定。



2 当深梁的高跨比(h/2l)大于0.4时,深梁的剪应力τ应按下式计算:

式中:V——深梁的梁端剪力;
f t ——混凝土的抗拉设计强度;
t——仓壁厚度。
注:h l =0.5h,l=0.5a或l=0.5b。
3 集中荷载或局部均布荷载作用下(图K.2.5-2),多跨深梁的内力计算参数应符合表K.2.5-2的规定。


条文说明
K.2.1~K.2.5 本次修订应各方要求,增加了非对称漏斗卸料口的计算公式。 由于顶部通常不设边梁的漏斗仓,在漏斗四块斜板的交角处,钢筋的锚固长度往往不能满足要求,因此漏斗的整体性将受到严重影响。对于不通过漏斗边梁,而是将漏斗斜板上的吊挂力,依靠漏斗斜板的交边棱,直接吊挂或支承在柱顶上的漏斗仓,其交边棱的吊挂筋(骨架筋)不能完全依靠构造配置,应该通过计算确定。 对于普通浅梁的受剪承载力,是以验算斜截面拉应力为特征的计算。当斜拉应力的向量越来越趋向于水平时,就接近深梁剪应力的分布特征了,这时按浅梁配筋方式配置的竖向箍筋,对约束深梁的竖向裂缝就不起作用了。在我国前后三版的《混凝土结构设计规范》GB 50010中,都有相关的规定:
(1)在“89版”规范中,深梁的受剪承载力公式(7.6.6),由混凝土承担的部分为0.12f c bh,而浅梁的(4.2.3-2)公式中,由混凝土承担的部分为0.07f c bh,两者相比,相当于在深梁中的允许剪应力提高了1.7倍。
(2)在“2002版”规范中,深梁斜截面受剪承载力公式(10.7.5-1)中,由混凝土承当的部分是0.7f t bh 0 (8—l 0 /h)/3,而浅梁斜截面受剪承载力公式(7.5.4-2)中,由混凝土承担的部分 是0.7f 1 bh 0 。二者相比,相当于在深梁中承载力提高了(8—l 0 /h)/3,即2倍~2.66倍。
(3)在“2010版”规范中,斜截面受剪(包括简支深梁)的承载力公式(6.3.3-1)中,混凝土承担的部分是0.7β h f t bh 0 =0.7·0.795f t bh=0.55f t bh 0 ,而在浅梁斜截面受剪承载力公式中,由混凝土承担的部分是0.7f t bh 0 。二者相比,相当于将深梁的承载力提高了1.82倍。
(4)在本标准中,筒仓中的深梁与现行国家标准《混凝土结构设计规范》GB 50010中的深梁或墙梁不同。筒仓中的深梁除承受其平面内的荷载外,还有平面外的荷载作用。深梁四 周的边界都有构件约束,在构造上,深梁的支座都是与柱嵌固在一起的,柱深入梁的全高范围内。深梁的支座不但不会发生外压现象,而且按照Dring等人所做的“钢筋混凝土墙梁的承载能力”的实验(1956年10月),柱伸入深梁的高度区后,改变了荷载的传递路线,与完全简支的深梁相比,大大提高了承载力。
在现行国家标准《混凝土结构设计规范》GB 50010的条文说明中,对于剪切破坏的解释,是“由于混凝土受弯构件受剪破坏的影响因素众多,破坏形态复杂,对混凝土构件受剪 破坏机理的认识尚不足,至今未能像正截面承载力计算一样建立一套较完整的理论体系”。由此可见,对深梁受剪承载能力的规定,改变了三次,由1.7倍改为2倍、2.66倍,又再改为1.85倍。其修改的理由也没有充足的说服力。若按该规范的规定,设计筒仓深梁,岂不是无论按哪一个版本,都不符合同一本规范另一版本的规定。
(5)多年来的工程实践证明,在筒仓深梁设计时,按本标准多年来使用的受剪公式是可靠的。
(6)K.2.4-1~K.2.4-3的连续深梁的计算图表,是按弹性理论将深梁以普通浅梁的计算形 式表述的,但并不是浅梁的计算结果。当设计矩形浅仓及深仓时,利用这些表格可非常有效地提高设计效率。在K.2.4-3的表格中,给出了连续深梁跨中及支座的内应力图,并给出了内应力图面积的合力F的值及其位置。设计 者可利用该值,釆用集中配筋的方式配置钢筋;深梁的应力分析是很复杂的问题,与其深梁的高跨比、支承条件、外力作用的特性和作用的位置及结构材料的特性有关。深梁按弹性理论分析时,可求得梁内各单元体的σ y 、σ x 、τ xy 及其主应力,并以此配置钢筋。当单元体的划分非常细密时,钢筋必须分区段而不是按每个单元 体配筋。为此深梁的配筋,就出现了分散配筋及集中配筋的方法;对于矩形浅仓或深仓的仓壁,在其平面内可视为深梁计算,在平面外,则应按各种不同支承条件下的薄板,计算各点的内应力,并按此配置平面外仓壁的内外层钢筋。因此,筒仓仓壁作为深梁设计时,与现行国家标准《混凝土结构设计规范》GB 50010中深梁的受力、变形有差异。筒仓中的深梁,不可能是理想的简支梁,经常是嵌固在周边的构件上的,因此,其内力的分布就与理想的简支梁完全不同。为此,规定按近似简支梁的设计时,可釆用ε=1/2,且梁的跨间尺寸是从支座的内侧算起的。
本节中各种荷载作用及支承条件下,平面深梁的内应力是深梁中面的内应力,其计算表是按深梁的单位厚度编制的。也就是说,是按深梁厚度为1.0编制的。采用深梁计算表时,应将表中内应力的数值乘以具体工程深梁的板厚,并以此配置钢筋。
这些表格虽然在其他中文资料中可以查得,但抝误及差错亦不少见,其原始资料应该是来自乌利斯基编制的俄文版《钢筋混凝土结构》( 
,1959)中的表格,参阅原文最为准确。
本标准用词说明
本标准用词说明
1 为便于在执行本标准条文时区别对待,对要求严格程度不同的用词说明如下:
1)表示很严格,非这样做不可的:
正面词采用“必须”,反面词釆用“严禁”;
2)表示严格,在正常情况下均应这样做的:
正面词釆用“应”,反面词釆用“不应”或“不得”;
3)表示允许稍有选择,在条件许可时首先应这样做的:
正面词釆用“宜”,反面词采用“不宜”;
4)表示有选择,在一定条件下可以这样做的,釆用“可”。
2 条文中指明应按其他有关标准执行的写法为:“应符合……的规定”或“应按……执行”。
引用标准名录
引用标准名录
《建筑地基基础设计规范》GB 50007
《建筑结构荷载规范》GB 50009
《混凝土结构设计规范》GB 50010
《建筑设计防火规范》GB 50016
《建筑地面设计规范》GB 50037
《构筑物抗震设计规范》GB 50191
《混凝土结构耐久性设计规范》GB/T 50476
《标准轨距铁路建筑限界》GB 146.2
《预应力混凝土用钢绞线》GB/T 5224
《预应力混凝土用锚具、夹具和连接器》GB/T 14370
《无粘结预应力钢绞线》JG 161
《预应力混凝土用金属波纹管》JG 225
《缓粘结预应力钢绞线》JG/T 369
《缓粘结预应力钢绞线专用粘合剂》JG/T 370
《无粘结预应力筋专用防腐油脂》JG/T 430
《预应力混凝土桥梁用塑料波纹管》JT/T 529
自2022年4月1日起废止的条文

