Appearance
《既有建筑地基基础加固技术规范[附条文说明] 》JGJ 123-2012
🗓️ 住房和城乡建设部 实施时间:2013-06-01
前言
中华人民共和国行业标准
既有建筑地基基础加固技术规范
Technical code for improvement of soil and foundation of existing buildings
JGJ 123-2012
批准部门:中华人民共和国住房和城乡建设部
施行日期:2013年6月1日
中华人民共和国住房和城乡建设部
公 告
第1452号
住房城乡建设部关于发布行业标准《既有建筑地基基础加固技术规范》的公告
现批准《既有建筑地基基础加固技术规范》为行业标准,编号为JGJ 123-2012,自2013年6月1日起实施。其中,第3.0.2、3.0.4、3.0.8、3.0.9、3.0.11、5.3.1条为强制性条文,必须严格执行。原行业标准《既有建筑地基基础加固技术规范》JGJ 123-2000同时废止。
本规范由我部标准定额研究所组织中国建筑工业出版社出版发行。
中华人民共和国住房和城乡建设部
2012年8月23日
前 言
根据住房和城乡建设部《关于印发<2009年工程建设标准规范制订、修订计划>的通知》(建标[2009]88号)的要求,规范编制组经广泛调查研究,认真总结实践经验,参考有关国际标准和国外先进标准,并在广泛征求意见的基础上,修订了《既有建筑地基基础加固技术规范》JGJ 123-2000。
本规范的主要技术内容是:总则、术语和符号、基本规定、地基基础鉴定、地基基础计算、增层改造、纠倾加固、移位加固、托换加固、事故预防与补救、加固方法、检验与监测。
本规范修订的主要技术内容是:1.增加术语一节;2.增加既有建筑地基基础加固设计的基本要求;3.增加邻近新建建筑、深基坑开挖、新建地下工程对既有建筑产生影响时,应采取对既有建筑的保护措施;4.增加不同加固方法的承载力和变形计算方法;5.增加托换加固;6.增加地下水位变化过大引起的事故预防与补救;7.增加检验与监测;8.增加既有建筑地基承载力持载再加荷载荷试验要点;9.增加既有建筑桩基础单桩承载力持载再加荷载荷试验要点;10.增加既有建筑地基基础鉴定评价的要求;11.原规范纠倾加固和移位一章,调整为纠倾加固、移位加固两章;12.修订增层改造、事故预防和补救、加固方法等内容。
本规范中以黑体字标志的条文为强制性条文,必须严格执行。
本规范由住房和城乡建设部负责管理和对强制性条文的解释,由中国建筑科学研究院负责具体技术内容的解释。执行过程中如有意见或建议,请寄送中国建筑科学研究院(地址:北京市北三环东路30号,邮编:100013)。
本规范主编单位:中国建筑科学研究院
本规范参编单位:福建省建筑科学研究院
河南省建筑科学研究院
北京交通大学
同济大学
山东建筑大学
中国建筑技术集团有限公司
本规范主要起草人员:滕延京 张永钧 刘金波 张天宇 赵海生 崔江余 叶观宝 李湛 张鑫 李安起 冯禄
本规范主要审查人员:沈小克 顾国荣 张丙吉 康景文 柳建国 柴万先 潘凯云 滕文川 杨俊峰 袁内镇 侯伟生
条文说明
中华人民共和国行业标准
既有建筑地基基础加固技术规范
JGJ123-2012
条文说明
修订说明 《既有建筑地基基础加固技术规范》JGJ123-2012,经住房和城乡建设部2012年8月23日以第1452号公告批准、发布。 本规范是在《既有建筑地基基础加固技术规范》JGJ123-2000的基础上修订而成的,上一版的主编单位是中国建筑科学研究院,参编单位是同济大学、北方交通大学、福建省建筑科学研究院,主要起草人员是张永钧、叶书麟、唐业清、侯伟生。本次修订的主要技术内容是:1.既有建筑地基基础加固设计的基本规定;2.邻近新建建筑、深基坑开挖、新建地下工程对既有建筑产生影响时,对既有建筑采取的保护措施;3.不同加固方法的承载力和变形计算方法;4.托换加固;5.地下水位变化过大引起的事故预防与补救;6.检验与监测要求;7.既有建筑地基承载力持载再加荷载荷试验要点;8.既有建筑桩基础单桩承载力持载再加荷载荷试验要点;9.既有建筑地基基础鉴定评价要求;10.增层改造、事故预防和补救、加固方法等。 本次规范修订过程中,编制组进行了广泛的调查研究,总结了我国建筑地基基础领域的实践经验,同时参考了国外先进技术法规、技术标准,通过调研、征求意见及工程试算,对增加和修订内容的反复讨论、分析、论证,取得了重要技术参数。 为便于广大设计、施工、科研、学校等单位有关人员在使用本规范时能正确理解和执行条文规定,《既有建筑地基基础加固技术规范》编制组按章、节、条顺序编制了本规范的条文说明,对条文规定的目的、依据以及执行中需注意的有关事项进行了说明,还着重对强制性条文的强制性理由作了解释。但是,本条文说明不具备与规范正文同等的法律效力,仅供使用者作为理解和把握规范规定的参考。
1 总则
1 总 则
1.0.1 为了在既有建筑地基基础加固的设计、施工和质量检验中贯彻执行国家的技术经济政策,做到安全适用、技术先进、经济合理、确保质量、保护环境,制定本规范。
条文说明
1.0.1根据我国情况,既有建筑因各种原因需要进行地基基础加固者,从建造年代来看,除少数古建筑和新中国成立前建造的建筑外,绝大多数是新中国成立以来建造的建筑,其中又以新中国成立初期至20世纪70年代末建造的建筑占主体,改革开放以来建造的大量建筑,也有一小部分需要进行加固。就建筑类型而言,有工业建筑和构筑物,也有公用建筑和大量住宅建筑。因而,需要进行地基基础加固的既有建筑范围很广、数量很多、工程量很大、投资很高。因此,既有建筑地基基础加固的设计和施工必须认真贯彻国家的各项技术经济政策,做到技术先进、经济合理、安全适用、确保质量、保护环境。
1.0.2 本规范适用于既有建筑因勘察、设计、施工或使用不当;增加荷载、纠倾、移位、改建、古建筑保护;遭受邻近新建建筑、深基坑开挖、新建地下工程或自然灾害的影响等需对其地基和基础进行加固的设计、施工和质量检验。
条文说明
1.0.2本条规定了规范的适用范围。增加荷载包括加固改造增加的荷载以及直接增层增加的荷载;自然灾害包括地震、风灾、水灾、泥石流、海啸等。
1.0.3 既有建筑地基基础加固设计、施工和质量检验除应执行本规范外,尚应符合国家现行有关标准的规定。
2 术语和符号
2.1 术语
2 术语和符号
2.1 术 语
2.1.1 既有建筑 existing building
已实现或部分实现使用功能的建筑物。
2.1.2 地基基础加固 soil and foundation improvement
为满足建筑物使用功能和耐久性的要求,对建筑地基和基础采取加固技术措施的总称。
2.1.3 既有建筑地基承载力特征值 characteristic value of subsoil bearing capacity of existing buildings
由载荷试验测定的在既有建筑荷载作用下地基土固结压密后再加荷,压力变形曲线线性变形段内规定的变形所对应的压力值,其最大值为再加荷段的比例界限值。
2.1.4 既有建筑单桩竖向承载力特征值 characteristic value of a single pile bearing capacity of existing buildings
由单桩静载荷试验测定的在既有建筑荷载作用下桩周和桩端土固结压密后再加荷,荷载变形曲线线性变形段内规定的变形所对应的荷载值,其最大值为再加荷段的比例界限值。
2.1.5 增层改造 vertical extension
通过增加建筑物层数,提高既有建筑使用功能的方法。
2.1.6 纠倾加固 improvement for tilt rectifying
为纠正建筑物倾斜,使之满足使用要求而采取的地基基础加固技术措施的总称。
2.1.7 移位加固 improvement for building shifting
为满足建筑物移位要求,而采取的地基基础加固技术措施的总称。
2.1.8 托换加固 improvement for underpinning
通过在结构与基础间设置构件或在地基中设置构件,改变原地基和基础的受力状态,而采取托换技术进行地基基础加固的技术措施的总称。
2.2 符号
2.2 符 号
2.2.1 作用和作用效应
F k ——作用的标准组合时基础加固或增加荷载后上部结构传至基础顶面的竖向力;
G k ——基础自重和基础上的土重;
H k ——作用的标准组合时基础加固或增加荷载后桩基承台底面所受水平力;
M k ——作用的标准组合时基础加固或增加荷载后作用于基础底面的力矩;
M xk ——作用的标准组合时作用于承台底面通过桩群形心的χ轴的力矩;
M yk ——作用的标准组合时作用于承台底面通过桩群形心的y轴的力矩;
N——滑板承受的竖向作用力;
N a ——顶升支承点的荷载;
p k ——作用的标准组合时基础加固或增加荷载后基础底面处的平均压力;
p kmax ——作用的标准组合时基础加固或增加荷载后基础底面边缘的最大压力;
p kmin ——作用的标准组合时基础加固或增加荷载后基础底面边缘的最小压力;
P p ——静压桩施工设计最终压桩力;
Q——单片墙线荷载或单柱集中荷载;
Q k ——作用的标准组合时基础加固或增加荷载后桩基中轴心竖向力作用下任一单桩的竖向力。
2.2.2 材料的性能和抗力
F——水平移位总阻力;
f a ——修正后的既有建筑地基承载力特征值;
f 0 ——滑板材料抗压强度;
p s ——静压桩压桩时的比贯入阻力;
q pa ——桩端端阻力特征值;
q sia ——桩侧阻力特征值;
R a ——既有建筑单桩竖向承载力特征值;
R Ha ——既有建筑单桩水平承载力特征值;
W——基础加固或增加荷载后基础底面的抵抗矩,建筑物基底总竖向荷载;
μ——行走机构摩擦系数。
2.2.3 几何参数
A——基础底面面积;
A p ——桩底端横截面面积;
A 0 ——滑动式行走机构上下轨道滑板的水平面积;
d——设计桩径;
s——地基最终变形量;
s 0 ——地基基础加固前或增加荷载前已完成的地基变形量;
s 1 ——地基基础加固后或增加荷载后产生的地基变形量;
s 2 ——原建筑荷载下尚未完成的地基变形量;
u p ——桩身周长。
2.2.4 设计参数和计算系数
n——桩基中的桩数或顶升点数;
q——石灰桩每延米灌灰量;
η c ——充盈系数。
3 基本规定
3 基本规定
3.0.1 既有建筑地基基础加固,应根据加固目的和要求取得相关资料后,确定加固方法,并进行专业设计与施工。施工完成后,应按国家现行有关标准的要求进行施工质量检验和验收。
条文说明
3.0.1本条是对地基基础加固的设计、施工、质量检测的总体要求。既有建筑使用后地基土经压密固结作用后,其工程性质与天然地基不同,应根据既有建筑地基基础的工作性状制定设计方案和施工组织设计,精心施工,保证加固后的建筑安全使用。
3.0.2 既有建筑地基基础加固前,应对既有建筑地基基础及上部结构进行鉴定。 (自2022年4月1日起废止该条, 点击查看:新规《既有建筑鉴定与加固通用规范》GB 55021-2021 )
条文说明
3.0.2既有建筑在进行加固设计和施工之前,应先对地基、基础和上部结构进行鉴定,根据鉴定结果,确定加固的必要性和可能性,针对地基、基础和上部结构的现状分析和评价,进行加固设计,制定施工方案。
3.0.3 既有建筑地基基础加固设计与施工,应具备下列资料:
1 场地岩土工程勘察资料。当无法搜集或资料不完整,不能满足加固设计要求时,应进行重新勘察或补充勘察。
2 既有建筑结构、地基基础设计资料和图纸、隐蔽工程施工记录、竣工图等。当搜集的资料不完整,不能满足加固设计要求时,应进行补充检验。
3 既有建筑结构、基础使用现状的鉴定资料,包括沉降观测资料、裂缝、倾斜观测资料等。
4 既有建筑改扩建、纠倾、移位等对地基基础的设计要求。
5 对既有建筑可能产生影响的邻近新建建筑、深基坑开挖、降水、新建地下工程的有关勘察、设计、施工、监测资料等。
6 受保护建筑物的地基基础加固要求。
条文说明
3.0.3本条是对既有建筑地基基础加固前应取得资料的规定。
3.0.4 既有建筑地基基础加固设计,应符合下列规定:
1 应验算地基承载力。
2 应计算地基变形。
3 应验算基础抗弯、抗剪、抗冲切承载力。
4 受较大水平荷载或位于斜坡上的既有建筑物地基基础加固,以及邻近新建建筑、深基坑开挖、新建地下工程基础埋深大于既有建筑基础埋深并对既有建筑产生影响时,应进行地基稳定性验算。 (自2022年4月1日起废止该条, 点击查看:新规《既有建筑鉴定与加固通用规范》GB 55021-2021 )
条文说明
3.0.4本条是对既有建筑地基基础加固设计的要求。既有建筑地基基础加固设计,应满足地基承载力、变形和稳定性要求。既有建筑在荷载作用下地基土已固结压密,再加荷时的荷载分担、基底反力分布与直接加荷的天然地基不同,应按新老地基基础的共同作用分析结果进行地基基础加固设计。
3.0.5 邻近新建建筑、深基坑开挖、新建地下工程对既有建筑产生影响时,除应优化新建地下工程施工方案外,尚应对既有建筑采取深基坑开挖支挡、地下墙(桩)隔离地基应力和变形、地基基础或上部结构加固等保护措施。
条文说明
3.0.5邻近新建建筑、深基坑开挖、新建地下工程对既有建筑产生影响时,改变了既有建筑地基基础的设计条件,一方面应在邻近新建建筑、深基坑开挖、新建地下工程设计时对既有建筑地基基础的原设计进行复核,同时在邻近新建建筑、深基坑开挖、新建地下工程自身的结构设计时应对其长期荷载作用的荷载取值、变形条件考虑既有建筑的作用。不满足时,应优先采取调整邻近新建建筑的规划设计、新建地下工程施工方案、深基坑开挖支挡、地下墙(桩)隔离地基应力和变形等对既有建筑的保护措施,需要时应进行既有建筑地基基础或上部结构加固。
3.0.6 既有建筑地基基础加固设计,可按下列步骤进行:
1 根据加固的目的,结合地基基础和上部结构的现状,考虑上部结构、基础和地基的共同作用,选择并制定加固地基、加固基础或加强上部结构刚度和加固地基基础相结合的方案。
2 对制定的各种加固方案,应分别从预期加固效果,施工难易程度,施工可行性和安全性,施工材料来源和运输条件,以及对邻近建筑和周围环境的影响等方面进行技术经济分析和比较,优选加固方法。
3 对选定的加固方法,应通过现场试验确定具体施工工艺参数和施工可行性。
条文说明
3.0.6在选择地基基础加固方案时,本条强调应根据所列各种因素对初步选定的各种加固方案进行对比分析,选定最佳的加固方法。 大量工程实践证明,在进行地基基础设计时,采用加强上部结构刚度和承载力的方法,能减少地基的不均匀变形,取得较好的技术经济效果。因此,在选择既有建筑地基基础加固方案时,同样也应考虑上部结构、基础和地基的共同作用,采取切实可行的措施,既可降低费用,又可收到满意的效果。
3.0.7 既有建筑地基基础加固使用的材料,应符合国家现行有关标准对耐久性设计的要求。
条文说明
3.0.7地基基础加固使用的材料,包括水泥、碱液、硅酸钠以及其他胶结材料等,应符合环境保护要求,根据场地类别不同加固方法形成的增强体或基础结构应符合耐久性设计要求。
3.0.8 加固后的既有建筑地基基础使用年限,应满足加固后的既有建筑设计使用年限的要求。 (自2022年4月1日起废止该条, 点击查看:新规《既有建筑鉴定与加固通用规范》GB 55021-2021 )
条文说明
3.0.8根据现行国家标准《工程结构可靠性设计统一标准》GB50153的要求,既有建筑加固后的地基基础设计使用年限应满足加固后的建筑物设计使用年限。
3.0.9 纠倾加固、移位加固、托换加固施工过程应设置现场监测系统,监测纠倾变位、移位变位和结构的变形。 (自2022年4月1日起废止该条, 点击查看:新规《既有建筑鉴定与加固通用规范》GB 55021-2021 )
条文说明
3.0.9纠倾加固、移位加固、托换加固施工过程可能对结构产生损伤或产生安全隐患,必须设置现场监测系统,监测纠倾变位、移位变位和结构的变形,根据监测结果及时调整设计和施工方案,必要时启动应急预案,保证工程按设计完成。目前按工程建设需要,纠倾加固、移位加固、托换加固工程的设计图纸和施工组织设计,均应进行专项审查,通过审查后方可实施。
3.0.10 既有建筑地基基础的鉴定、加固设计和施工,应由具有相应资质的单位和有经验的专业人员承担。承担既有建筑地基基础加固施工的工程管理和技术人员,应掌握所承担工程的地基基础加固技术与质量要求,严格进行质量控制和工程监测。当发现异常情况时,应及时分析原因并采取有效处理措施。
条文说明
3.0.10既有建筑地基基础加固的施工,一般来说,具有技术要求高、施工难度大、场地条件差、不安全因素多、风险大等特点,本条特别强调施工人员应具备较高的素质。施工过程中除了应有专人负责质量控制外,还应有专人负责严密的监测,当出现异常情况时,应采取果断措施,以免发生安全事故。
3.0.11 既有建筑地基基础加固工程,应对建筑物在施工期间及使用期间进行沉降观测,直至沉降达到稳定为止。 (自2022年4月1日起废止该条, 点击查看:新规《既有建筑鉴定与加固通用规范》GB 55021-2021 )
条文说明
3.0.11既有建筑进行地基基础加固时,沉降观测是一项必须做的工作,它不仅是施工过程中进行监测的重要手段,而且是对地基基础加固效果进行评价和工程验收的重要依据。由于地基基础加固过程中容易引起对周围土体的扰动,因此,施工过程中对邻近建筑和地下管线也应进行监测。沉降观测终止时间应按设计要求确定,或按国家现行标准《工程测量规范》GB50026和《建筑变形测量规范》JGJ8的有关规定确定。
4 地基基础鉴定
4.1 一般规定
4 地基基础鉴定
4.1 一般规定
4.1.1 既有建筑地基基础鉴定应按下列步骤进行:
1 搜集鉴定所需要的基本资料。
2 对搜集到的资料进行初步分析,制定现场调查方案,确定现场调查的工作内容及方法。
3 结合搜集的资料和调查的情况进行分析,提出检验方法并进行现场 检验。
4 综合分析评价,作出鉴定结论和加固方法的建议。
条文说明
4.1.1既有建筑地基基础进行鉴定可采用以下步骤(图1): 
图1鉴定工作程序框图 由于现场实际情况的变化,鉴定程序可根据实际情况调整。例如:所鉴定的既有建筑基本资料严重缺失,则首先应进行现场调查,根据调查的情况分析确定现场检验方法和内容。根据现场调查及现场检验获得的资料作出分析,根据分析结果再到现场进行进一步的调查和必要的现场检验,才可能给出鉴定结论。现场调查情况与搜集的资料不符或在现场检验后发现新的问题而需要进一步的检验。
4.1.2 现场调查应包括下列内容:
1 既有建筑使用历史和现状,包括建筑物的实际荷载、变形、开裂等情况,以及前期鉴定、加固情况。
2 相邻的建筑、地下工程和管线等情况。
3 既有建筑改造及保护所涉及范围内的地基情况。
4 邻近新建建筑、深基坑开挖、新建地下工程的现状情况。
条文说明
4.1.2由于地基基础的隐蔽性,现场检验困难、复杂,不可能进行大面积的现场检验,在进行现场检验前,应首先在所掌握的基本资料基础上进行初步分析,根据初步分析的结果,确定下一步现场检验的工作重点和工作内容,并根据现场实际情况确定可以采用的现场检验方法。无论是资料搜集还是现场调查都应围绕加固的目的结合初步分析结果进行。资料搜集和现场调查过程中可能发生对初步分析结果更进一步深入的分析结果,两者应结合进行。
4.1.3 具有下列情况时,应进行现场检验:
1 基本资料无法搜集齐全时。
2 基本资料与现场实际情况不符时。
3 使用条件与设计条件不符时。
4 现有资料不能满足既有建筑地基基础加固设计和施工要求时。
4.1.4 具有下列情况时,应对既有建筑进行沉降观测:
1 既有建筑的沉降、开裂仍在发展。
2 邻近新建建筑、深基坑开挖、新建地下工程等,对既有建筑安全仍有较大影响。
条文说明
4.1.3、4.1.4当根据所搜集和调查的资料仍无法对既有建筑的地基基础作出正确评价时,应进行现场检验和沉降观测,严禁凭空推断而得出鉴定结论。 基础的沉降是反映地基基础情况的一个最直接的综合指标,而目前往往无法获得连续的、真实的沉降观测资料。当既有建筑的变形仍在发展,根据当前状况得出的鉴定结果并不能代表既有建筑以后的情况,也需要进一步进行沉降观测。 当需要了解历史沉降情况而缺乏有效的沉降资料时,也可根据设计标高结合现场调查情况依照当地经验进行估算。
4.1.5 既有建筑地基基础鉴定,应对下列内容进行分析评价:
1 既有建筑地基基础的承载力、变形、稳定性和耐久性。
2 引起既有建筑开裂、差异沉降、倾斜的原因。
3 邻近新建建筑、深基坑开挖和降水、新建地下工程或自然灾害等,对既有建筑地基基础已造成的影响或仍然存在的影响。
4 既有建筑地基基础加固的必要性,以及采用的加固方法。
5 上部结构鉴定和加固的必要性。
条文说明
4.1.5分析评价是鉴定工作的重要内容之一,需要根据所得到的资料围绕加固的目的、结合当地经验进行综合分析。除了给出既有建筑地基基础的承载力、变形、稳定性和耐久性的分析评价外,尚应根据加固目的的不同进行下列相应的分析评价: 1因勘察、设计、施工或因使用不当而进行的既有建筑地基基础加固,应在充分了解引起建筑物开裂、沉降、倾斜的原因后,才能针对原因提出合理有效的加固方法,因此,对于此类加固,应分析引起既有建筑的开裂、沉降、倾斜的原因,以便确定合理有效的加固方法。 2增加荷载、纠倾、移位、改建、古建筑保护而进行的既有建筑地基基础加固,只有在对既有建筑地基基础的实际承载力和改造、保护的要求比较后,才能确定出既有建筑的地基基础是否需要进行加固及如何加固,故此类加固应针对改造、保护的要求,结合既有建筑的地基基础的现状,来比较分析既有建筑改造、保护时地基加固的必要性。 3遭受邻近新建建筑、深基坑开挖、新建地下工程或自然灾害的影响而进行的既有建筑地基基础加固,应首先分析清楚对既有建筑地基基础已造成的影响和仍然存在的影响情况后,才能采取有效措施消除已经造成的影响和避免进一步的影响,所以对于该类地基基础加固应对既有建筑的影响情况作出分析评价。 另外,对既有建筑地基基础进行鉴定的主要目的就是为了进行既有建筑地基基础加固,因此,对既有建筑地基基础的分析评价尚应结合现场条件来分析不同地基基础加固方法的适用性和可行性,以便给出建议的地基基础加固方法;当涉及上部结构的问题时,应对上部结构鉴定和加固的必要性进行分析,必要时提出进行上部结构鉴定和加固的建议。
4.1.6 鉴定报告应包含下列内容:
1 工程名称,地点,建设、勘察、设计、监理和施工单位,基础、结构形式,层数,改造加固的设计要求,鉴定目的,鉴定日期等。
2 现场的调查情况。
3 现场检验的方法、仪器设备、过程及结果。
4 计算分析与评价结果。
5 鉴定结论及建议。
条文说明
4.1.6本条规定为鉴定报告应该包含的基本内容。为了使得鉴定报告内容完整,有针对性,报告的内容有时尚应包括必要的情况说明甚至证明材料等。 鉴定结论是鉴定报告的核心内容,必须叙述用词规范、表达内容明确。同时为了使得鉴定报告确实能够对既有建筑地基基础加固的设计和施工起到一定的指导作用,鉴定结论的内容除了给出对既有建筑地基基础的评价外,尚应给出对加固设计和施工方法的建议。 鉴定报告应包含调查资料及现场测试数据和曲线,以及必要的计算分析过程和分析评价结果,严禁鉴定报告仅有鉴定结论而无数据和分析过程。
4.2 地基鉴定
4.2 地基鉴定
4.2.1 应结合既有建筑原岩土工程勘察资料,重点分析下列内容:
1 地基土层的分布及其均匀性,尤其是沟、塘、古河道、墓穴、岩溶、土洞等的分布情况。
2 地基土的物理力学性质,特别是软土、湿陷性土、液化土、膨胀土、冻土等的特殊性质。
3 地下水的水位变化及其腐蚀性的影响。
4 建造在斜坡上或相邻深基坑的建筑物场地稳定性。
5 自然灾害或环境条件变化,对地基土工程特性的影响。
条文说明
4.2.1地基基础需要加固的原因与场地工程地质、水文地质情况以及由于环境条件变化或者是地下水的变化关系密切,这种情况需结合既有建筑原岩土工程勘察报告中提供的水文、岩土数据,结合现场调查和检验的结果,进行比较分析。
4.2.2 地基的检验应符合下列规定:
1 勘探点位置或测试点位置应靠近基础,并在建筑物变形较大或基础开裂部位重点布置,条件允许时,宜直接布置在基础之下。
2 地基土承载力宜选择静载荷试验的方法进行检验,对于重要的增层、增加荷载等建筑,应按本规范附录A的规定,进行基础下载荷试验,或按本规范附录B的规定,进行地基土持载再加荷载荷试验,检测数量不宜少于3点。
3 选择井探、槽探、钻探、物探等方法进行勘探,地下水埋深较大时,优先选用人工探井的方法,采用物探方法时,应结合人工探井、钻孔等其他方法进行验证,验证数量不应少于3点。
4 选用静力触探、标准贯入、圆锥动力触探、十字板剪切或旁压试验等原位测试方法,并结合不扰动土样的室内物理力学性质试验,进行现场检验,其中每层地基土的原位测试数量不应少于3个,土样的室内试验数量不应少于6组。
条文说明
4.2.2地基检验的方法应根据加固的目的和现场条件选用,作以下几点说明: 1当有原岩土工程勘察报告且勘察报告的内容较齐全时,可补充少量代表性的勘探点和原位测试点,一方面用来验证原岩土工程勘察报告的数据,另一方面比较前后水位、岩土的物理力学参数等变化情况。 2对于一般的工程,测点在变形较大部位(如既有建筑的四个“大角”及对应建筑物的重心点位置)或其附近布置即可,而对于重要的既有建筑,应根据既有建筑的情况在中间部位增加1个~3个测点。 当仅仅需要查明局部岩土情况时,也可仅仅在需要查明的部位布置3个~5个测点。但当土层变化较大如探测原始冲沟的分布情况时,则需要根据情况增加测点。 3当条件允许时宜在基础下取不扰动土样进行室内土的物理力学性质试验。当无地下水时勘探点应尽量采用人工挖槽的方法,该方法还可以利用开挖的坑槽对基础进行现场调查和检测。坑槽的布置应分段,严禁集中布置而对基础产生影响。 4目前越来越多的物理勘探方法应用在工程测试中,但由于各种物探方法都有着这样或那样的局限,因此,实际工程中应采用物探方法与常规勘探方法相结合的方式来进行地基的检验测试,利用物探方法快速方便的优点进行大面积检测,对物探检测发现的异常点采用常规勘探方法(如开挖、钻探等)来验证物探检测结果和确定具体数据。 5对于重要的增加荷载如增层改造的建筑,应按本规范规定的方法通过现场荷载试验确定地基土的承载力特征值。
4.2.3 地基分析评价应包括下列内容:
1 地基承载力、地基变形的评价;对经常受水平荷载作用的高层建筑,以及建造在斜坡上或边坡附近的建(构)筑物,应验算地基稳定性。
2 引起既有建筑开裂、差异沉降、倾斜等的原因。
3 邻近新建建筑,深基坑开挖和降水,新建地下工程或自然灾害等,对既有建筑地基基础已造成的影响,以及仍然存在的影响。
4 地基加固的必要性,提出加固方法的建议。
5 提出地基加固设计所需的有关参数。
条文说明
4.2.3地基进行评价时地区经验很重要,应结合当地经验根据现场调查和检验结果进行综合分析评价。
4.3 基础鉴定
4.3 基础鉴定
4.3.1 基础的现场调查,应包括下列内容:
1 基础的外观质量。
2 基础的类型、尺寸及埋置深度。
3 基础的开裂、腐蚀或损坏程度。
4 基础的倾斜、弯曲、扭曲等情况。
4.3.2 基础的检验可采用下列方法:
1 基础材料的强度,可采用非破损法或钻孔取芯法检验。
2 基础中的钢筋直径、数量、位置和锈蚀情况,可通过局部凿开或非破损方法检验。
3 桩的完整性可通过低应变法、钻孔取芯法检验,桩的长度可通过开挖、钻孔取芯法或旁孔透射法等方法检验,桩的承载力可通过静载荷试验检验。
4.3.3 基础的检验应符合下列规定:
1 对具有代表性的部位进行开挖检验,检验数量不应少于3处。
2 对开挖露出的基础应进行结构尺寸、材料强度、配筋等结构检验。
3 对已开裂的或处于有腐蚀性地下水中的基础钢筋锈蚀情况应进行检验。
4 对重要的增层、增加荷载等采用桩基础的建筑,宜按本规范附录C的规定进行桩的持载再加荷载荷试验。
条文说明
4.3.1~4.3.3基础为隐蔽工程,由于现场条件的限制,其检测不可能大面积展开,因此应根据初步分析结果结合现场调查情况,确定代表性的部位进行检测,现场检测可按下述方法步骤进行: 1确定代表性的检查点位置。一般选取上部变形较大处、荷载较大处及上部结构对沉降敏感处对应的位置或附近作为代表性点,另选取2处~3处一般性代表点,一般性代表点应随机均匀布置。 2开挖目测检查基础的情况。 3根据开挖检查的结果,根据现场实际条件选用合适的检测方法对基础进行结构检测,如基础为桩基时尚需进行基桩完整性和承载力检测。 4对于重要的增加荷载如增层改造的建筑,采用桩基时应按本规范规定的方法通过现场载荷试验确定基桩的承载力特征值。
4.3.4 基础的分析评价应包括下列内容:
1 结合基础的裂缝、腐蚀或破损程度,以及基础材料的强度等,对基础结构的完整性和耐久性进行分析评价。
2 对于桩基础,应结合桩身质量检验、场地岩土的工程性质、桩的施工工艺、沉降观测记录、载荷试验资料等,结合地区经验对桩的承载力进行分析和评价。
3 进行基础结构承载力验算,分析基础加固的必要性,提出基础加固方法的建议。
条文说明
4.3.4基础结构的评价,重点是结构承载力、完整性和耐久性评价。涉及地基评价的数据包括基础尺寸、埋深等,应给出检测评价结果。 桩的承载力不但和桩周土的性质有关,而且还和桩本身的质量、桩的施工工艺等有着极大的关系,如果现场条件允许,宜通过静载试验确定既有建筑桩基中桩的承载力,当现场条件确实无法进行静载试验时,在测试确定桩身质量、桩长等情况下,应结合地质情况、施工工艺、沉降观测记录并结合地区经验综合分析后给出桩的承载力估算值。
5 地基基础计算
5.1 一般规定
5 地基基础计算
5.1 一般规定
5.1.1 既有建筑地基基础加固设计计算,应符合下列规定:
1 地基承载力、地基变形计算及基础验算,应符合现行国家标准《建筑地基基础设计规范》GB 50007的有关规定。
2 地基稳定性计算,应符合国家现行标准《建筑地基基础设计规范》GB 50007和《建筑地基处理技术规范》JGJ 79的有关规定。
3 抗震验算,应符合现行国家标准《建筑抗震设计规范》GB 50011的有关规定。
条文说明
5.1.1进行结构加固的工程或改变上部结构功能时对地基的验算是必要的,需进行地基基础加固的工程均应进行地基计算。既有建筑因勘察、设计、施工或使用不当,增加荷载,遭受邻近新建建筑、深基坑开挖、新建地下工程或自然灾害的影响等可能产生对建筑物稳定性的不利影响,应进行稳定性计算。既有建筑地基基础加固或增加荷载时,尚应对基础的抗冲、剪、弯能力进行验算。
5.1.2 既有建筑地基基础加固设计,应遵循新、旧基础,新增桩和原有桩变形协调原则,进行地基基础计算。新、旧基础的连接应采取可靠的技术措施。
条文说明
5.1.2既有建筑地基在建筑物荷载作用下,地基土经压密固结作用,承载力提高,在一定荷载作用下,变形减少,加固设计可充分利用这一特性。但扩大基础或增加桩进行加固时,新旧基础、新增加桩与原基础桩由于地基变形的差异,地基反力的分布是按变形协调的原则,新旧基础、新增加桩与原基础桩分担的荷载与天然地基时有所不同,应按变形协调的原则进行设计。扩大基础或改变基础形式时应保证新旧基础采取可靠的连接构造。
5.2 地基承载力计算
5.2 地基承载力计算
5.2.1 地基基础加固或增加荷载后,基础底面的压力,可按下列公式确定:
1 当轴心荷载作用时:

(5.2.1-1)
式中:p k ——相应于作用的标准组合时,地基基础加固或增加荷载后,基础底面的平均压力值(kPa);
F k ——相应于作用的标准组合时,地基基础加固或增加荷载后,上部结构传至基础顶面的竖向力值(kN);
G k ——基础自重和基础上的土重(kN);
A——基础底面积(m 2 )。
2 当偏心荷载作用时:

(5.2.1-2)

(5.2.1-3)
式中:p kmax ——相应于作用的标准组合时,地基基础加固或增加荷载后,基础底面边缘最大压力值(kPa);
M k ——相应于作用的标准组合时,地基基础加固或增加荷载后,作用于基础底面的力矩值(kN·m);
p kmin ——相应于作用的标准组合时,地基基础加固或增加荷载后,基础底面边缘最小压力值(kPa);
W——基础底面的抵抗矩(m 3 )。
5.2.2 既有建筑地基基础加固或增加荷载时,地基承载力计算应符合下列规定:
1 当轴心荷载作用时:
p k ≤f a (5.2.2-1)
式中:f a ——修正后的既有建筑地基承载力特征值(kPa)。
2 当偏心荷载作用时,除应符合式(5.2.2-1)要求外,尚应符合下式规定:
p kmax ≤1.2f a (5.2.2-2)
5.2.3 既有建筑地基承载力特征值的确定,应符合下列规定:
1 当不改变基础埋深及尺寸,直接增加荷载时,可按本规范附录B的方法确定。
2 当不具备持载试验条件时,可按本规范附录A的方法,并结合土工试验、其他原位试验结果以及地区经验等综合确定。
3 既有建筑外接结构地基承载力特征值,应按外接结构的地基变形允许值确定。
4 对于需要加固的地基,应采用地基处理后检验确定的地基承载力特征值。
5 对扩大基础的地基承载力特征值,宜采用原天然地基承载力特征值。
条文说明
5.2.3既有建筑地基承载力特征值的确定,应根据既有建筑地基基础的工作性状确定。既有建筑地基土的压密在荷载作用下已完成或基本完成,再加荷时地基土的“压密效应”,使其增加荷载的一部分由原地基土承担。 1本规范附录B是采用与原基础、地基条件基本相同条件下,通过持载试验确定承载力,用于不改变原基础尺寸、埋深条件直接增加荷载的设计条件。中国建筑科学研究院地基所的试验结果表明(图2),原地基土在压力下固结压密后再加荷,荷载变形曲线明显变缓,表明其承载力提高。图3的结果表明,持载7d后(粉质黏土),变形趋于稳定。 
图2直接加载模型(a)、持载后扩大基础加载模型(b)和持载后继续加载模型(c)p-s曲线对比 
图3基础板(b)和(c)在持载时位移随时间发展情况 2采用本规范附录B进行试验有困难时,可按本规范附录A的方法结合土工试验、其他原位试验结果结合地区经验综合确定。 3外接结构的地基变形允许值一般较严格,应根据场地特性和加固施工的措施,按变形允许值确定地基承载力特征值。 4加固后的地基应采用在地基处理后通过检验确定的地基承载力特征值。 5扩大基础加固或改变基础形式,再加荷时原基础仍能承担部分荷载,可采用本规范附录B的方法确定其增加值,其余增加荷载由扩大基础承担而采用原地基承载力特征值设计,相对简单。 模型试验的结果见图4。 
图4模型(b)基底下的地基反力 当附加荷载小于先前作用荷载的42.8%时,上部荷载基本上由旧基础承担。但当附加荷载增加到先前作用荷载的100%时,新旧基础开始共同承担上部荷载。此时基底反力基本上呈现平均分布状态。 但扩大基础再加荷的荷载变形曲线变形比未扩大基础时的变形大,为简化设计,本次修订建议采用扩大基础加固或改变基础形式加固时,仍采用天然地基承载力特征值设计。
5.2.4 地基基础加固或增加荷载后,既有建筑桩基础群桩中单桩桩顶竖向力和水平力,应按下列公式计算:
1 轴心竖向力作用下:

(5.2.4-1)
2 偏心竖向力作用下:

(5.2.4-2)
3 水平力作用下:

(5.2.4-3)
式中:Q k ——地基基础加固或增加荷载后,轴心竖向力作用下任一单桩的竖向力(kN);
F k ——相应于作用的标准组合时,地基基础加固或增加荷载后,作用于桩基承台顶面的竖向力(kN);
G k ——地基基础加固或增加荷载后,桩基承台自重及承台上土自重(kN);
n——桩基中的桩数;
Q ik ——地基基础加固或增加荷载后,偏心竖向力作用下第i根桩的竖向力(kN);
M xk 、M yk ——相应于作用的标准组合时,作用于承台底面通过桩群形心的χ、y轴的力矩(kN·m);
χ i 、y i ——桩i至桩群形心的y、χ轴线的距离(m);
H k ——相应于作用的标准组合时,地基基础加固或增加荷载后,作用于承台底面的水平力(kN);
H ik ——地基基础加固或增加荷载后,作用于任一单桩的水平力(kN)。
5.2.5 既有建筑单桩承载力计算,应符合下列规定:
1 轴心竖向力作用下:
Q k ≤R a (5.2.5-1)
式中:R a ——既有建筑单桩竖向承载力特征值(kN)。
2 偏心竖向力作用下,除满足公式(5.2.5-1)外,尚应满足下式要求:
Q ikmax ≤1.2R a (5.2.5-2)
式中:Q ikmax ——基础中受力最大的单桩荷载值(kN)。
3 水平荷载作用下:
H ik ≤R Ha (5.2.5-3)
式中:R Ha ——既有建筑单桩水平承载力特征值(kN)。
5.2.6 既有建筑单桩承载力特征值的确定,应符合下列规定:
1 既有建筑下原有的桩,以及新增加的桩的单桩竖向承载力特征值,应通过单桩竖向静载荷试验确定;既有建筑原有桩的单桩静载荷试验,可按本规范附录C进行;在同一条件下的试桩数量,不宜少于增加总桩数的1%,且不应少于3根;新增加桩的单桩竖向承载力特征值,应按现行国家标准《建筑地基基础设计规范》GB 50007的方法确定。
2 原有桩的单桩竖向承载力特征值,有地区经验时,可按地区经验确定。
3 新增加的桩初步设计时,单桩竖向承载力特征值可按下式估算:
R a =q pa A p +u p Σq sia l i (5.2.6-1)
式中:R a ——单桩竖向承载力特征值(kN);
q pa ,q sia ——桩端端阻力、桩侧阻力特征值(kPa),按地区经验确定;
A p ——桩底端横截面面积(m 2 );
u p ——桩身周边长度(m);
l i ——第i层岩土的厚度(m)。
4 桩端嵌入完整或较完整的硬质岩中,可按下式估算单桩竖向承载力特征值:
R a =q pa A p (5.2.6-2)
式中:q pa ——桩端岩石承载力特征值(kN)。
条文说明
5.2.6本条为既有建筑单桩承载力特征值的确定原则。 既有建筑下原有的桩以及新增加的桩单桩竖向承载力特征值应通过单桩竖向静载荷试验确定。既有建筑原有的桩单桩的静载荷试验,有条件时应在既有建筑下进行,无条件时可按本规范附录C的方法进行;既有建筑下原有的桩的单桩竖向承载力特征值,有地区经验时也可按地区经验确定。
5.2.7 在既有建筑原基础内增加桩时,宜按新增加的全部荷载,由新增加的桩承担进行承载力计算。
条文说明
5.2.7天然地基在使用荷载下持载,土层固结完成后在原基础内增加桩的试验结果,新增荷载在再加荷的初始阶段,大部分荷载由新增加的桩承担。 模型试验独立基础持载结束后在基础内植入树根桩形成桩基础再加载,在荷载达到320kN前,承台下地基土反力增加很小(表1),这说明上部结构传来的荷载几乎都由树根桩承担。随着上部结构的荷载增大,承台下地基土反力有了一定的增长,在加荷的中后期,承台下地基土分担的上部结构荷载达到30%左右。 表1桩土分担荷载 
注:①和②是指对200kN增加值。
5.2.8 对既有建筑的独立基础、条形基础进行扩大基础,并增加桩时,可按既有建筑原地基增加的承载力承担部分新增荷载、其余新增加的荷载由桩承担进行承载力计算,此时地基土承担部分新增荷载的基础面积应按原基础面积计算。
条文说明
5.2.8既有建筑原地基增加的承载力可按本规范第5.2.3条的原则确定,地基土承担部分新增荷载的基础面积应按原基础面积计算。 模型试验独立基础持载结束后扩大基础底面积并植入树根桩,基础上部结构传来的荷载由原独立基础下的地基土、扩大基础底面积下的地基土、桩共同承担(表2)。 表2桩土分担荷载 
5.2.9 既有建筑桩基础扩大基础并增加桩时,可按新增加的荷载由原基础桩和新增加桩共同承担,进行承载力计算。
条文说明
5.2.9本条原则的试验资料如下:模型试验原桩基础持载结束后扩大基础底面积并植入树根桩,桩土分担荷载见表3。可知在增加荷载量为原荷载量时,新增加桩与原桩基础桩分担的荷载虽先后不同,但几乎共同分担。 表3桩土分担荷载


5.2.10 当地基持力层范围内存在软弱下卧层时,应进行软弱下卧层地基承载力验算,验算方法应符合现行国家标准《建筑地基基础设计规范》GB 50007的有关规定。
5.2.11 对邻近新建建筑、深基坑开挖、新建地下工程改变原建筑地基基础设计条件时,原建筑地基应根据改变后的条件,按现行国家标准《建筑地基基础设计规范》GB 50007的规定进行承载力验算。
条文说明
5.2.11邻近新建建筑、深基坑开挖、新建地下工程改变既有建筑地基设计条件的复核,应包括基础侧限条件、深宽修正条件、地下水条件等。
5.3 地基变形计算
5.3 地基变形计算
5.3.1 既有建筑地基基础加固或增加荷载后,建筑物相邻柱基的沉降差、局部倾斜、整体倾斜值的允许值,应符合现行国家标准《建筑地基基础设计规范》GB 50007的有关规定。 (自2022年4月1日起废止该条, 点击查看:新规《既有建筑鉴定与加固通用规范》GB 55021-2021 )
条文说明
5.3.1加固后既有建筑的地基变形控制重要的是差异沉降和倾斜两项指标,国家标准《建筑地基基础设计规范》GB50007-2011表5.3.4中给出砌体承重结构基础的局部倾斜、工业与民用建筑相邻柱基的沉降差、桥式吊车轨面的倾斜(按不调整轨道考虑)、多层和高层建筑的整体倾斜、高耸结构基础的倾斜值是保证建筑物正常使用和结构安全的数值,工程设计应严格控制。既有建筑加固后的建筑物整体沉降控制,对于有相邻基础连接或地下管线连接时应视工程情况控制,可采取临时工程措施,包括断开、改变连接方式等,不允许时应对建筑物整体沉降控制,采用减少建筑物整体沉降的处理措施或顶升托换抬高建筑等方法。
5.3.2 对有特殊要求的保护性建筑,地基基础加固或增加荷载后的地基变形允许值,应按建筑物的保护要求确定。
条文说明
5.3.2有特殊要求的建筑物,包括古建筑、历史建筑等保护,要求保持现状;或者建筑物变形有更严格的要求时,应按建筑物的地基变形允许值,进行地基变形控制。
5.3.3 对地基基础加固或增加荷载的既有建筑,其地基最终变形量可按下式确定:
s=s 0 +s 1 +s 2 (5.3.3)
式中:s——地基最终变形量(mm);
s 0 ——地基基础加固前或增加荷载前,已完成的地基变形量,可由沉降观测资料确定,或根据当地经验估算(mm);
s 1 ——地基基础加固或增加荷载后产生的地基变形量(mm);
s 2 ——原建筑物尚未完成的地基变形量(mm),可由沉降观测结果推算,或根据地方经验估算;当原建筑物基础沉降已稳定时,此值可取零。
条文说明
5.3.3既有建筑地基变形计算,可根据既有建筑沉降稳定情况分为沉降已经稳定者和沉降尚未稳定者两种。对于沉降已经稳定的既有建筑,其地基最终变形量s包括已完成的地基变形量s0和地基基础加固后或增加荷载后产生的地基变形量s1,其中s1是通过计算确定的。计算时采用的压缩模量,对于地基基础加固的情况和增加荷载的情况是有区别的:前者是采用地基基础加固后经检测得到的压缩模量,而后者是采用增加荷载前经检验得到的压缩模量。对于原建筑沉降尚未稳定且增加荷载的既有建筑,其地基最终变形量s除了包括上述s0和s1外,尚应包括原建筑荷载下尚未完成的地基变形量s2。
5.3.4 地基基础加固或增加荷载后产生的地基变形量,可按下列规定计算:
1 天然地基不改变基础尺寸时,可按增加荷载量,采用由本规范附录B试验得到的变形模量计算。
2 扩大基础尺寸或改变基础形式时,可按增加荷载量,以及扩大后或改变后的基础面积,采用原地基压缩模量计算。
3 地基加固时,可采用加固后经检验测得的地基压缩模量或变形模量计算。
条文说明
5.3.4本条为地基基础加固或增加荷载后产生的地基变形量的计算原则: 1按本规范附录B进行试验,可按增加荷载量以及由试验得到的变形模量计算确定。 2增大基础尺寸或改变基础形式时,可按增加荷载量以及增大后的基础或改变后的基础由原地基压缩模量计算确定。 3地基加固时,应采用加固后经检验测得的地基压缩模量,按现行行业标准《建筑地基处理技术规范》JGJ79的有关原则计算确定。
5.3.5 采用增加桩进行地基基础加固的建筑物基础沉降,可按下列规定计算:
1 既有建筑不改变基础尺寸,在原基础内增加桩时,可按增加荷载量,采用桩基础沉降计算方法计算。
2 既有建筑独立基础、条形基础扩大基础增加桩时,可按新增加的桩承担的新增荷载,采用桩基础沉降计算方法计算。
3 既有建筑桩基础扩大基础增加桩时,可按新增加的荷载,由原基础桩和新增加桩共同承担荷载,采用桩基础沉降计算方法计算。
条文说明
5.3.5本条为既有建筑基础为桩基础时的基础沉降计算原则: 1按桩基础的变形计算方法,其变形为桩端下卧层的变形。 2增加的桩承担的新增荷载,为新增荷载减去原地基承载力提高承担的荷载。 3既有建筑桩基础扩大基础增加桩时,可按新增加的荷载由原基础桩和新增加桩共同承担荷载按桩基础计算确定,此时可不考虑桩间土分担荷载。
6 增层改造
6.1 一般规定
6 增层改造
6.1 一般规定
6.1.1 既有建筑增层改造后的地基承载力、地基变形和稳定性计算,以及基础结构验算,应符合本规范第5章的有关规定。采用外套结构增层时,应按新建工程的要求,确定地基承载力。
条文说明
6.1.1既有建筑增层改造的类型较多,可分为地上增层、室内增层和地下增层。地上增层又分为直接增层,外扩整体增层与外套结构增层。各类增层方式,都涉及对原地基的正确评价和新老基础协调工作问题。既有建筑直接增层时,既有建筑基础应满足现行有关规范的要求。
6.1.2 当采用新、旧结构通过构造措施相连接的增层方案时,除应满足地基承载力条件外,尚应分别对新、旧结构进行地基变形验算,并应满足新、旧结构变形协调的设计要求;当既有建筑局部增层时,应进行结构分析,并进行地基基础验算。
条文说明
6.1.2采用新旧结构通过构造措施相连接的增层方案时,地基承载力应按变形协调条件确定。
6.1.3 当既有建筑的地基承载力和地基变形,不能满足增层荷载要求时,可按本规范第11章有关方法进行加固。
6.1.4 既有建筑增层改造时,对其地基基础加固工程,应进行质量检验和评价,待隐蔽工程验收合格后,方可进行上部结构的施工。
6.2 直接增层
6.2 直接增层
6.2.1 对沉降稳定的建筑物直接增层时,其地基承载力特征值,可根据增层工程的要求,按下列方法综合确定:
1 按基底土的载荷试验及室内土工试验结果确定:
1)按本规范附录B的规定进行载荷试验确定地基承载力;
2)在原建筑物基础下1.5倍基础宽度的深度范围内,取原状土进行室内土工试验,确定地基土的抗剪强度指标,以及土的压缩模量等参数,并结合地区经验,确定地基承载力特征值。
2 按地区经验确定:
建筑物增层时,可根据既有建筑原基底压力值、建筑使用年限、地基土的类别,并结合当地建筑物增层改造的工程经验确定,但其值不宜超过原地基承载力特征值的1.20倍。
条文说明
6.2.1确定直接增层地基承载力特征值的方法,本规范推荐了试验法和经验法。经验法是指当地的成熟经验,如没有这方面材料的积累,应采用试验法。对重要建筑物的地基承载力确定,应采用两种以上方法综合确定。直接增层时,由于受到原墙体强度和地基承载力限制,一般不宜增层太多,通常不宜超过3层。
6.2.2 直接增层需新设承重墙时,应采用调整新、旧基础底面积,增加桩基础或地基处理等方法,减少基础的沉降差。
条文说明
6.2.2直接增层需新设承重墙基础,确定新基础宽度时,应以新旧纵横墙基础能均匀下沉为前提,可按以下经验公式确定新基础宽度:
(1) 式中:b′——新基础宽度(m); F+G——作用的标准组合时单位基础长度上的线荷载(kN/m); fa——修正后的地基承载力特征值(kPa); M——增大系数,建议按M=Es2/Es1>1取值; Es1、Es2——分别为新旧基础下地基土的压缩模量。
6.2.3 直接增层时,地基基础的加固设计,应符合下列规定:
1 加大基础底面积时,加大的基础底面积宜比计算值增加10%。
2 采用桩基础承受增层荷载时,应符合本规范第5.2.8条的规定,并验算基础沉降。
3 采用锚杆静压桩加固时,当原钢筋混凝土条形基础的宽度或厚度不能满足压桩要求时,压桩前应先加宽或加厚基础。
4 采用抬梁或挑梁承受新增层结构荷载时,梁的截面尺寸及配筋应通过计算确定。
5 上部结构和基础刚度较好,持力层埋置较浅,地下水位较低,施工开挖对原结构不会产生附加下沉和开裂时,可采用加深基础或在原基础下做坑式静压桩加固。
6 施工条件允许时,可采用树根桩、旋喷桩等方法加固。
7 采用注浆法加固既有建筑地基时,对注浆加固易引起附加变形的地基,应进行现场试验,确定其适用性。
8 既有建筑为桩基础时,应检查原桩体质量及状况,实测土的物理力学性质指标,确定桩间土的压密状况,按桩土共同工作条件,提高原桩基础的承载能力。对于承台与土层脱空情况,不得考虑桩土共同工作。当桩数不足时,应补桩;对已腐烂的木桩或破损的混凝土桩,应经加固处理后,方可进行增层施工。
9 对于既有建筑无地质勘察资料或原地质勘察资料过于简单不能满足设计需要、而建筑物下有人防工程或场地条件复杂,以及地基情况与原设计发生了较大变化时,应补充进行岩土工程勘察。
10 采用扶壁柱式结构直接增层时,柱体应落在新设置的基础上,新、旧基础宜连成整体,且应满足新、旧基础变形协调条件,不满足时应进行地基加固处理。
条文说明
6.2.3直接增层时,地基基础的加固方法应根据地基基础的实际情况和增层荷载要求选用。本规范列出的部分方法都有其适用条件,还可参考各地区经验选用适合、有效的方法。 采用抬梁或挑梁承受新增层结构荷载时,梁可置于原基础或地梁下,当采用预制的抬梁时,梁、桩和基础应紧密连接,并应验算抬梁或挑梁与基础或地梁间的局部受压、受弯、受剪承载力。
6.3 外套结构增层
6.3 外套结构增层
6.3.1 采用外套结构增层,可根据土质、地下水位、新增结构类型及荷载大小选用合理的基础形式。
6.3.2 位于微风化、中风化硬质岩地基上的外套增层工程,其基础类型与埋深可与原基础不同,新、旧基础可相连在一起,也可分开设置。
6.3.3 采用外套结构增层,应评价新设基础对原基础的影响,对原基础产生超过允许值的附加沉降和倾斜时应对新设基础地基进行处理或采用桩基础。
6.3.4 外套结构的桩基施工,不得扰动原地基基础。
6.3.5 外套结构增层采用天然地基或采用由旋喷桩、搅拌桩等构成的复合地基,应考虑地基受荷后的变形,避免增层后,新、旧结构产生标高差异。
6.3.6 既有建筑有地下室,外套增层结构宜采用桩基础,桩位布置应避开原地下室挑出的底板;如需凿除部分底板时,应通过验算确定;新、旧基础不得相连。
条文说明
6.3.1~6.3.6当既有建筑增加楼层较多时常采用外套结构增层的形式。外套结构的地基基础应按新建工程设计。施工时应将新旧基础分开,互不干扰,并避免对既有建筑地基的扰动,而降低其承载力。 对位于高水位深厚软土地基上建筑物的外套结构增层,由于增层结构荷载一般较大,常采用埋置较深的桩基础。在桩基施工成孔时,易对原基础(尤其是浅埋基础)产生影响,引起基础附加下沉,造成既有建筑下沉或开裂等,因此应根据工程的具体情况,选择合理的地基处理方法和基础加固施工方案。
7 纠倾加固
7.1 一般规定
7 纠倾加固
7.1 一般规定
7.1.1 纠倾加固适用于整体倾斜值超过现行国家标准《建筑地基基础设计规范》GB 50007规定的允许值,且影响正常使用或安全的既有建筑纠倾。
条文说明
7.1.1纠倾的建筑层数多数在8层以内,构筑物高度多数在25m以内。近年来,国内已有高层建筑纠倾成功的例子,这些建筑物其整体倾斜多数超过0.7%,即超过现行行业标准《危险房屋鉴定标准》JGJ125的危险临界值,影响安全使用;也有部分虽未超过危险临界值,但已超过设计规定的允许值,影响正常使用。
7.1.2 应根据工程实际情况,选择迫降纠倾和顶升纠倾的方法,复杂建筑纠倾可采用多种纠倾方法联合进行。
条文说明
7.1.2既有建筑纠倾加固方法可分为迫降纠倾和顶升纠倾两类。 迫降纠倾是从地基入手,通过改变地基的原始应力状态,强迫建筑物下沉;顶升纠倾是从建筑结构入手,通过调整结构自身来满足纠倾的目的。因此从总体来讲,迫降纠倾要比顶升纠倾经济、施工简便,但遇到不适合采用迫降纠倾时即可采用顶升纠倾。特殊情况可综合采用多种纠倾方法。
7.1.3 既有建筑纠倾加固设计前,应进行倾斜原因分析,对纠倾施工方案进行可行性论证,并对上部结构进行安全性评估。当上部结构不能满足纠倾施工安全性要求时,应对上部结构进行加固。当可能发生再度倾斜时,应确定地基加固的必要性,并提出加固方案。
条文说明
7.1.3建筑物的倾斜多数是由于地基原因造成的,或是浅基础的变形控制欠佳,或是由于桩基和地基处理设计、施工质量问题等,建筑物纠倾施工将影响地基基础和上部结构的受力状态,因此纠倾加固设计应根据现状条件分析产生倾斜的原因,论证纠倾可行性,对上部结构进行安全评估,确保建筑物安全。如果建筑物的倾斜原因包括建筑物荷载中心偏移等,应论证地基加固的必要性,提出地基加固方法,防止再度倾斜。
7.1.4 建筑物纠倾加固设计应具备下列资料:
1 纠倾建筑物有关设计和施工资料。
2 建筑场地岩土工程勘察资料。
3 建筑物沉降观测资料。
4 建筑物倾斜现状及结构安全性评价。
5 纠倾施工过程结构安全性评价分析。
条文说明
7.1.4建筑物纠倾加固设计是指导纠倾加固施工的技术性文件,以往有些纠倾工程存在直接按经验方法施工的情况,存在一定盲目性,因此有必要明确纠倾加固前期应做的工作,使之做到经济、合理、确保安全。
7.1.5 既有建筑纠倾加固后,建筑物的整体倾斜值及各角点纠倾位移值应满足设计要求。尚未通过竣工验收的倾斜建筑物,纠倾后的验收标准,应符合有关新建工程验收标准要求。
条文说明
7.1.5由于既有建筑物各角点倾斜值与其自身原有垂直度有关,因此对于纠倾加固后的验收,规定了以设计要求控制,对于尚未通过竣工验收的建筑物规定按新建工程验收要求控制。
7.1.6 纠倾加固完成后,应立即对工作槽(孔)进行回填,对施工破损面进行修复;当上部结构因纠倾施工产生裂损时,应进行修复或加固处理。
条文说明
7.1.6施工过程中开挖的槽、孔等在工程完工后如不及时进行回填等处理将会对建筑物安全使用和人们日常生活带来安全隐患,水、电、暖等设施与日常生活有关,应予重视。 要加强对避雷设施修复后的检查与检测。当上部结构产生裂损时,应由设计单位明确加固修复处理方法。
7.2 迫降纠倾
7.2 迫降纠倾
7.2.1 迫降纠倾应根据地质条件、工程对象及当地经验,采用掏土纠倾法(基底掏土纠倾法、井式纠倾法、钻孔取土纠倾法)、堆载纠倾法、降水纠倾法、地基加固纠倾法和浸水纠倾法等方法。
条文说明
7.2.1迫降纠倾是通过人工或机械的办法来调整地基土体固有的应力状态,使建筑物原来沉降较小侧的地基土土体应力增加,迫使土体产生新的竖向变形或侧向变形,使建筑物在短时间内沉降加剧,达到纠倾的目的。
7.2.2 迫降纠倾的设计,应符合下列规定:
1 对建筑物倾斜原因,结构和基础形式、整体刚度,工程地质条件,环境条件等进行综合分析,遵循确保安全、经济合理、技术可靠、施工方便的原则,确定迫降纠倾方法。
2 迫降纠倾不应对上部结构产生结构损伤和破坏。当施工对周边建筑物、场地和管线等产生不良影响时,应采取有效技术措施。
3 纠倾后的地基承载力,地基变形和稳定性应按本规范第5章的有关规定进行验算,防止纠倾后的再度倾斜。当既有建筑的地基承载力和变形不能满足要求时,可按本规范第11章有关方法进行加固。
4 应确定各控制点的迫降纠倾量。
5 纠倾施工工艺和操作要点。
6 设置迫降的监控系统。沉降观测点纵向布置每边不应少于4点,横向每边不应少于2点,相邻测点间距不应大于6m,且建筑物角点部位应设置倾斜值观测点。
7 应根据建筑物的结构类型和刚度确定纠倾速率。迫降速率不宜大于5mm/d,迫降接近终止时,应预留一定的沉降量,以防发生过纠现象。
8 应制定出现异常情况的应急预案,以及防止过量纠倾的技术处理措施。
条文说明
7.2.2迫降纠倾与建筑物特征、地质情况、采用的迫降方法等有关,因此迫降的设计应围绕几个主要环节进行:选择合理的纠倾方法;编制详细的施工工艺;确定各个部位迫降量;设置监控系统;制定实施计划。根据选择的方法和编制的操作规程,做到有章可循,否则盲目施工往往失败或达不到预期的效果。由于纠倾施工会影响建筑物,因此强调了对主体结构不应产生损伤和破坏,对非主体结构的裂损应为可修复范围,否则应在纠倾加固前先进行加固处理。纠倾后应防止出现再次倾斜的可能性,必要时应对地基基础进行加固处理。对于纠倾过程可能存在的结构裂损、局部破坏应有加固处理预案。 纠倾加固施工过程可能出现危及安全的情况,设计时应有应急预案。过量纠倾可能会产生结构的再次损伤,应该防止其出现,设计时必须制定防止过量纠倾的技术措施。
7.2.3 迫降纠倾施工,应符合下列规定:
1 施工前,应对建筑物及现场进行详细查勘,检查纠倾施工可能影响的周边建筑物和场地设施,并应采取措施消除迫降纠倾施工的影响,或降低影响程度及影响范围,并做好查勘记录。
2 编制详细的施工技术方案和施工组织设计。
3 在施工过程中,应做到设计、施工紧密配合,严格按设计要求进行监测,及时调整迫降量及施工顺序。
条文说明
7.2.3迫降纠倾是一种动态设计信息化施工过程,因此沉降观测是极其重要的,同时观测结果应反馈给设计,以调整设计,指导施工,这就要求设计施工紧密配合。迫降纠倾施工前应做好详细的施工组织设计,并详细勘察周围场地现状,确定影响范围,做好查勘记录,采取措施防止出现对相邻建筑物和设施可能产生的影响。
7.2.4 基底掏土纠倾法可分为人工掏土法或水冲掏土法,适用于匀质黏性土、粉土、填土、淤泥质土和砂土上的浅埋基础建筑物的纠倾。当缺少地方经验时,应通过现场试验确定具体施工方法和施工参数,且应符合下列规定:
1 人工掏土法可选择分层掏土、室外开槽掏土、穿孔掏土等方法,掏土范围、沟槽位置、宽度、深度应根据建筑物迫降量、地基土性质、基础类型、上部结构荷载中心位置等,结合当地经验和现场试验综合确定。
2 掏挖时,应先从沉降量小的部位开始,逐渐过渡,依次掏挖。
3 当采用高压水冲掏土时,水冲压力、流量应根据土质条件通过现场试验确定,水冲压力宜为1.0MPa~3.0MPa,流量宜为40L/min。
4 水冲过程中,掏土槽应逐渐加深,不得超宽。
5 当出现掏土过量,或纠倾速率超出控制值时,应立即停止掏土施工。当纠倾至设计控制值可能出现过纠现象时,应立即采用砾砂、细石或卵石进行回填,确保安全。
条文说明
7.2.4基底掏土纠倾法是在基础底面以下进行掏挖土体,削弱基础下土体的承载面积迫使沉降,其特点是可在浅部进行处理,机具简单,操作方便。人工掏土法早在20世纪60年代初期就开始使用,已经处理了相当多的多层倾斜建筑。水冲掏土法则是20世纪80年代才开始应用研究,它主要利用压力水泵代替人工。该法直接在基础底面下操作,通过掏冲带出部分土体,因此对匀质土比较适用,施工时控制掏土槽的宽度及位置是非常重要的,也是掏土迫降效果好坏或成败的关键。
7.2.5 井式纠倾法适用于黏性土、粉土、砂土、淤泥、淤泥质土或填土等地基上建筑物的纠倾。井式纠倾施工,应符合下列规定:
1 取土工作井,可采用沉井或挖孔护壁等方式形成,具体应根据土质情况及当地经验确定,井壁宜采用钢筋混凝土,井的内径不宜小于800mm,井壁混凝土强度等级不得低于C15。
2 井孔施工时,应观察土层的变化,防止流砂、涌土、塌孔、突陷等意外情况出现。施工前,应制定相应的防护措施。
3 井位应设置在建筑物沉降量较小的一侧,井位可布置在室内,井位数量、深度和间距应根据建筑物的倾斜情况、基础类型、场地环境和土层性质等综合确定。
4 当采用射水施工时,应在井壁上设置射水孔与回水孔,射水孔孔径宜为150mm~200mm,回水孔孔径宜为60mm;射水孔位置,应根据地基土质情况及纠倾量进行布置,回水孔宜在射水孔下方交错布置。
5 高压射水泵工作压力、流量,宜根据土层性质,通过现场试验确定。
6 纠倾达到设计要求后,工作井及射水孔均应回填,射水孔可采用生石灰和粉煤灰拌合料回填。
条文说明
7.2.5井式纠倾法是利用工作井(孔)在基础下一定深度范围内进行排土、冲土,一般包括人工挖孔、沉井两种。井壁有钢筋混凝土壁、混凝土孔壁,为确保施工安全,对于软土或砂土地基应先试挖成井,方可大面积开挖井(孔)施工。 井式纠倾法可分为两种:一种是通过挖井(孔)排土、抽水直接迫降,这种在沿海软土地区比较适用;另一种是通过井(孔)辐射孔进行射水掏冲土迫降。可视土质情况选择。 工作井(孔)一般是设置在建筑物周边,在沉降较小侧多设置,沉降较大侧少设置或不设置。建筑的宽度比较大时,井(孔)也可设置在室内,每开间设一个井(孔),可根据不同的迫降量布置辐射孔。 为方便施工井底深度宜比射水孔位置低。 工作井可用砂土或砂石混合料分层夯实回填,也可用灰土比为2:8的灰土分层夯实回填,接近地面1m范围内的井壁应拆除。
7.2.6 钻孔取土纠倾法适用于淤泥、淤泥质土等软弱地基上建筑物的纠倾。钻孔取土纠倾施工,应符合下列规定:
1 应根据建筑物不均匀沉降情况和土层性质,确定钻孔位置和取土顺序。
2 应根据建筑物的底面尺寸和附加应力的影响范围,确定钻孔的直径及深度,取土深度不应小于3m,钻孔直径不应小于300mm。
3 钻孔顶部3m深度范围内,应设置套管或套筒,保护浅层土体不受扰动,防止地基出现局部变形过大。
条文说明
7.2.6钻孔取土纠倾法是通过机械钻孔取土成孔,依靠钻孔所形成的临空面,使土体产生侧向变形形成淤孔,反复钻孔取土使建筑物下沉。
7.2.7 堆载纠倾法适用于淤泥、淤泥质土和松散填土等软弱地基上体量较小且纠倾量不大的浅埋基础建筑物的纠倾。堆载纠倾施工,应符合下列规定:
1 应根据工程规模、基底附加压力的大小及土质条件,确定堆载纠倾施加的荷载量、荷载分布位置和分级加载速率。
2 应评价地基土的整体稳定,控制加载速率;施工过程中,应进行沉降观测。
条文说明
7.2.7堆载纠倾法适用于小型工程且地基承载力比较低的土层条件,对大型工程项目一般不适用,此法常与其他方法联合使用。 沉降观测应及时绘制荷载-沉降-时间关系曲线,及时调整堆载量,防止过纠,保证施工安全。
7.2.8 降水纠倾法适用于渗透系数大于10 -4 cm/s的地基土层的浅埋基础建筑物的纠倾。设计施工前,应论证施工对周边建筑物及环境的影响,并采取必要的隔水措施。降水施工,应符合下列规定:
1 人工降水的井点布置、井深设计及施工方法,应按抽水试验或地区经验确定。
2 纠倾时,应根据建筑物的纠倾量来确定抽水量大小及水位下降深度,并应设置水位观测孔,随时记录所产生的水力坡降,与沉降实测值比较,调整纠倾水位降深。
3 人工降水时,应采取措施防止对邻近建筑地基造成影响,且应在邻近建筑附近设置水位观测井和回灌井;降水对邻近建筑产生的附加沉降超过允许值时,可采取设置地下隔水墙等保护措施。
4 建筑物纠倾接近设计值时,应预留纠倾值的1/10~1/12作为滞后回倾值,并停止降水,防止建筑物过纠。
条文说明
7.2.8降水纠倾法适用的地基土主要取决于降水的方法,当采用真空法或电渗法时,也适用于淤泥土,但在既有建筑邻近使用应慎重,若有当地成功经验时也可采用。采用人工降水时应注意对水资源保护以及对环境影响。
7.2.9 地基加固纠倾法适用于淤泥、淤泥质土等软弱地基上沉降尚未稳定、整体刚度较好且倾斜量不大的既有建筑物的纠倾。应根据结构现况和地区经验确定适用性。地基加固纠倾施工,应符合下列规定:
1 优先选择托换加固地基的方法。
2 先对建筑物沉降较大一侧的地基进行加固,使该侧的建筑物沉降减少;根据监测结果,再对建筑物沉降较小一侧的地基进行加固,迫使建筑物倾斜纠正,沉降稳定。
3 对注浆等可能产生增大地基变形的加固方法,应通过现场试验确定其适用性。
条文说明
7.2.9加固纠倾法,实际上是对沉降大的部分采用地基托换补强,使其沉降减少;而沉降小的一侧仍继续下沉,这样慢慢地调整原来的差异沉降。这种方法一般用于差异沉降不大且沉降未稳定尚有一定沉降量的建筑物纠倾。使用该方法时,由于建筑物沉降未稳定,应对上部结构变形的适应能力进行评价,必要时应采取临时支撑或采取结构加固措施。
7.2.10 浸水纠倾法适用于湿陷性黄土地基上整体刚度较大的建筑物的纠倾。当缺少当地经验时,应通过现场试验,确定其适用性。浸水纠倾施工,应符合下列规定:
1 根据建筑结构类型和场地条件,可选用注水孔、坑或槽等方式注水纠倾。注水孔、注水坑(槽)应布置在建筑物沉降量较小的一侧。
2 浸水纠倾前,应通过现场注水试验,确定渗透半径、浸水量与渗透速度的关系。当采用注水孔(坑)浸水时,应确定注水孔(坑)布置、孔径或坑的平面尺寸、孔(坑)深度、孔(坑)间距及注水量;当采用注水槽浸水时,应确定槽宽、槽深及分隔段的注水量;工程设计,应明确水量控制和计量系统。
3 浸水纠倾前,应设置严密的监测系统及防护措施。应根据基础类型、地基土层参数、现场试验数据等估算注水后的后期纠倾值,防止过纠的发生;设置限位桩;对注水流入沉降较大一侧地基采取防护措施。
4 当浸水纠倾的速率过快时,应立即停止注水,并回填生石灰料或采取其他有效的措施;当浸水纠倾速率较慢时,可与其他纠倾方法联合使用。
条文说明
7.2.10浸水纠倾法是利用湿陷性黄土遇水湿陷的特性对建筑物进行纠倾的,为了确保纠倾安全,必须通过系统的现场试验确定各项设计、施工参数,施工过程中应设置水量控制计量系统以及监测系统,确保浸水量准确,应有必要的防护措施,如预设限沉的桩基等,当水量过量时可采用生石灰吸收。
7.2.11 当纠倾速率较小,或原纠倾方法无法满足纠倾要求时,可结合掏土、降水、堆载等方法综合使用进行纠倾。
7.3 顶升纠倾
7.3 顶升纠倾
7.3.1 顶升纠倾适用于建筑物的整体沉降及不均匀沉降较大,以及倾斜建筑物基础为桩基础等不适用采用迫降纠倾的建筑纠倾。
条文说明
7.3.1顶升纠倾是通过钢筋混凝土或砌体的结构托换加固技术,将建筑物的基础和上部结构沿某一特定的位置进行分离,采用钢筋混凝土进行加固、分段托换、形成全封闭的顶升托换梁(柱)体系。设置能支承整个建筑物的若干个支承点,通过这些支承点的顶升设备的启动,使建筑物沿某一直线(点)作平面转动,即可使倾斜建筑物得到纠正。若大幅度调整各支承点的顶高量,即可提高建筑物的标高。 顶升纠倾过程是一种基础沉降差异快速逆补偿过程,当地基土的固结度达80%以上,基础沉降接近稳定时,可通过顶升纠倾来调整剩余不均匀沉降。 顶升纠倾法仅对沉降较大处顶升,而沉降小处则仅作分离及同步转动,其目的是将已倾斜的建筑物纠正,该法适用于各类倾斜建筑物。
7.3.2 顶升纠倾,可根据建筑物基础类型和纠倾要求,选用整体顶升纠倾、局部顶升纠倾。顶升纠倾的最大顶升高度不宜超过800mm;采用局部顶升纠倾,应进行顶升过程结构的内力分析,对结构产生裂缝等损伤,应采取结构加固措施。
条文说明
7.3.2顶升纠倾早期在福建、浙江、广东等省应用较多,现在国内应用已较普遍,这足以证明顶升纠倾技术是一种可靠的技术,但如何正确使用却是问题的关键。某工程公司承接了一栋三层住宅的顶升纠倾,由于施工未能遵循一般的规律,顶升施工作用与反作用力,即基础梁与托换梁这对关系不具备,顶升机具没有足够的安全储备和承托垫块无法提供稳定性等原因造成重大的工程事故。从理论上顶升高度是没有限值的,但为确保顶升的稳定性,本规范规定顶升纠倾最大顶升高度不宜超过80cm。因为当一次顶升高度达到80cm时,其顶升的建筑物整体稳定性存在较大风险,目前国内虽已有顶升240cm的成功例子,但实际是分多次顶升施工的。 整体顶升也可应用于建筑物竖向抬升,提高其空间使用功能。
7.3.3 顶升纠倾的设计,应符合下列规定:
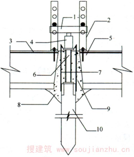
1 通过上部钢筋混凝土顶升梁与下部基础梁组成上、下受力梁系,中间采用千斤顶顶升,受力梁系平面上应连续闭合,且应进行承载力及变形等验算(图7.3.3-1)。
2 顶升梁应通过托换加固形成,顶升托换梁宜设置在地面以上500mm位置,当基础梁埋深较大时,可在基础梁上增设钢筋混凝土千斤顶底座,并与基础连成整体。顶升梁、千斤顶、底座应形成稳固的整体(图7.3.3-2)。
3 对砌体结构建筑,可根据墙体线荷载分布布置顶升点,顶升点间距不宜大于1.5m,且应避开门窗洞及薄弱承重构件位置;对框架结构建筑,应根据柱荷载大小布置。单片墙或单柱下顶升点数量,可按下式估算:

图7.3.3-1 千斤顶平面布置图
1—基础;2—千斤顶;3—托换梁;4—连系梁;5—后置牛腿

图7.3.3-2 顶升梁、千斤顶、底座布置
1—墙体;2—钢筋混凝土顶升梁;3—钢垫板;4—千斤顶;5—钢筋混凝土基础梁;
6—垫块(底座);7—框架梁;8—框架柱;9—托换牛腿;10—连系梁;11—原基础

(7.3.3)
式中:n——顶升点数(个);
Q——相应于作用的标准组合时,单片墙总荷载或单柱集中荷载(kN);
N a ——顶升支承点千斤顶的工作荷载设计值(kN),可取千斤顶额定工作荷载的0.8;
K——安全系数,可取2.0。
4 顶升量可根据建筑物的倾斜值、使用要求以及设计过纠量确定。纠倾后,倾斜值应符合现行国家标准《建筑地基基础设计规范》GB 50007的要求。
条文说明
7.3.3顶升纠倾设计必须遵循下列原则: 1顶升应通过钢筋混凝土组成的一对上、下受力梁系实施,虽然在实际工程中已出现类似利用锚杆静压桩、原有基础或地基作为反力基座来进行顶升纠倾,其应用主要为较小型建筑物,且实际工程不多,尚缺乏普遍性,并存在一定的不确定因素和危险性,因此规范仍强调应由上、下梁系受力。 2原规范采用荷载设计值,荷载分项系数约为1.35,本次修订改为采用荷载标准组合值,安全系数调整为2.0,以保持安全储备与原规范一致。 3托换梁(柱)体系应是一套封闭式的钢筋混凝土结构体系。 4顶升是在钢筋混凝土梁柱之间进行,因此顶升梁及底座都应该是钢筋混凝土的整体结构。 5顶升的支托垫块必须是钢板混凝土块或钢垫块,具有足够的承载力及平整度,且是组合装配的工具式垫块,可抵抗水平力。顶升过程中保证上下顶升梁及千斤顶、垫块有不少于30%支点可连成一整体。 顶升量的确定应包括三个方面: 1)纠正建筑物倾斜所需各点的顶升量,可根据不同倾斜率及距离计算。 2)使用要求需要的整体顶升量。 3)过纠量。考虑纠正以后建筑物沉降尚未稳定还有少量的倾斜,则可通过超量的纠正来调整最终的垂直度。这个量应通过沉降计算确定,要求超过的纠倾量或最终稳定的倾斜值应满足现行国家标准《建筑地基基础设计规范》GB50007的要求,当计算不能满足时,则应进行地基基础加固。
7.3.4 砌体结构建筑的顶升梁系,可按倒置在弹性地基上的墙梁设计,并应符合下列规定:
1 顶升梁设计时,计算跨度应取相邻三个支承点中两边缘支点间的距离,并进行顶升梁的截面承载力及配筋设计。
2 当既有建筑的墙体承载力验算不能满足墙梁的要求时,可调整支承点的间距或对墙体进行加固补强。
条文说明
7.3.4砌体结构建筑的荷载是通过砌体传递的。根据顶升的技术特点,顶升时砌体结构的受力特点相当于墙梁作用体系或将托换梁上的墙体视为弹性地基,托换梁按支座反力作用下的弹性地基梁设计。考虑协同工作的差异,顶升梁的支座计算距离可按图5所示选取。有地区经验时也可加大顶升梁的刚度,不考虑墙体的刚度,按连续梁进行顶升梁设计。 
图5计算跨度示意
7.3.5 框架结构建筑的顶升梁系的设置,应为有效支承结构荷载和约束框架柱的体系。顶升梁系包含顶升牛腿及连系梁两个部分,牛腿应按后设置牛腿设计,并应符合下列规定:
1 计算分析截断前、后柱端的抗压,抗弯和抗剪承载力是否满足顶升要求。
2 后设置牛腿,应符合现行国家标准《混凝土结构设计规范》GB 50010的规定,并验算牛腿的正截面受弯承载力,局部受压承载力及斜截面的受剪承载力。
3 后设置牛腿设计时,钢筋的布置、焊接长度及(植筋)锚固应符合现行国家标准《混凝土结构设计规范》GB 50010和《混凝土结构加固设计规范》GB 50367的有关规定。
条文说明
7.3.5框架结构荷载是通过框架柱传递的,顶升力应作用于框架柱下,但是要将框架柱切断,首先必须增设一个能支承整体框架柱的结构体系,这个结构托换体系就是后设置的牛腿及连系梁共同组成的。连系梁应能约束框架柱间的变位及调整差异顶升量。 纠倾前建筑已出现倾斜,结构的内力有不同程度的变化,断柱时结构的内力又将发生改变,因此设计时应对各种状态下的结构内力进行验算。
7.3.6 顶升纠倾的施工,应按下列步骤进行:
1 顶升梁系的托换施工。
2 设置千斤顶底座及顶升标尺,确定各点顶升值。
3 对每个千斤顶进行检验,安放千斤顶。
4 顶升前两天内,应设置完成监测测量系统,对尚存在连接的墙、柱等结构,以及水、电、暖气和燃气等进行截断处理。
5 实施顶升施工。
6 顶升到位后,应及时进行结构连接和回填。
条文说明
7.3.6 顶升纠倾一般分为顶升梁系托换,千斤顶设置与检验,测量监测系统设置,统一指挥系统设置、整体顶升、结构连接修复等步骤。
7.3.7 顶升纠倾的施工,应符合下列规定:
1 砌体结构建筑的顶升梁应分段施工,梁分段长度不应大于1.5m,且不应大于开间墙段的1/3,并应间隔进行施工。主筋应预留搭接或焊接长度,相邻分段混凝土接头处,应按混凝土施工缝做法进行处理。当上部砌体无法满足托换施工要求,可在各段设置支承芯垫,其间距应视实际情况确定。
2 框架结构建筑的顶升梁、牛腿施工,宜按柱间隔进行,并应设置必要的辅助措施(如支撑等)。当在原柱中钻孔植筋时,应分批(次)进行,每批(次)钻孔削弱后的柱净截面,应满足柱承载力计算要求。
3 顶升的千斤顶上、下应设置应力扩散的钢垫块,顶升过程应均匀分布,且应有不少于30%的千斤顶保持与顶升梁、垫块、基础梁连成一体。
4 顶升前,应对顶升点进行承载力试验。试验荷载应为设计荷载的1.5倍,试验数量不应少于总数的20%,试验合格后,方可正式顶升。
5 顶升时,应设置水准仪和经纬仪观测站。顶升标尺应设置在每个支承点上,每次顶升量不宜超过10mm。各点顶升量的偏差,应小于结构的允许变形。
6 顶升应设统一的监测系统,并应保证千斤顶按设计要求同步顶升和稳固。
7 千斤顶回程时,相邻千斤顶不得同时进行;回程前,应先用楔形垫块进行保护,或采用备用千斤顶支顶进行保护,并保证千斤顶底座平稳。楔形垫块及千斤顶底座垫块,应采用外包钢板的混凝土垫块或钢垫块。垫块使用前,应进行强度检验。
8 顶升达到设计高度后,应立即在墙体交叉点或主要受力部位增设垫块支承,并迅速进行结构连接。顶升高度较大时,应设置安全保护措施。千斤顶应待结构连接达到设计强度后,方可分批分期拆除。
9 结构的连接处应不低于原结构的强度,纠倾施工受到削弱时,应进行结构加固补强。
条文说明
7.3.7砌体结构进行顶升托换梁施工前,必须对墙体按平面进行分段,其分段长度不应大于1.5m,应根据砌体质量考虑在分段长度内每0.5m~0.6m先开凿一个竖槽,设置一个芯垫(芯垫埋入托换梁不取出,应不影响托换梁的承载力、钢筋绑扎及混凝土浇筑施工),用高强度等级水泥砂浆塞紧。预留搭接钢筋向两边凿槽外伸,且相邻墙段应间隔进行,并每段长不超过开间段的1/3,门窗洞口位置保证连续不得中断。 框架结构建筑的施工应先进行后设置牛腿、连系梁及千斤顶下支座的施工。由于凿除结构柱的保护层,露出部分主筋,因此一定要间隔进行,待托换梁(柱)体系达到强度后再进行相邻柱施工。当全部托换完成并经过试顶后确定承载力满足设计要求,方可进行断柱施工。 顶升前应对顶升点进行试顶试验,试验的抽检数量不少于20%,试验荷载为设计值的1.5倍,可分五级施工,每级历时1min~2min并观测顶升梁的变形情况。 每次顶升最大值不超过10mm,主要考虑到位置的先后对结构的影响,按结构允许变形(0.003~0.005)l来限制顶升量。 若千斤顶的最大间距为1.2m,则结构允许变形差为(0.003~0.005)×1200=3.6mm~6.0mm。 当顶升到位的先后误差为30%时,变形差3mm<3.6mm。 基于上述原因,力求协调一致,因此强调统一指挥系统,千斤顶同步工作。当有条件采用电气自动化控制全液压机械顶升,则可靠度更高。 顶升到位后应立即进行连接,因为此时整体建筑靠支承点支承着,若是有地震等的影响会出现危险,所以应尽量缩短这种不利时间。
8 移位加固
8.1 一般规定
8 移位加固
8.1 一般规定
8.1.1 建筑物移位加固适用于既有建筑物需保留而改变其平面位置的整体移位。
条文说明
8.1.1由于城市改造、市政道路扩建、规划变更、场地用途改变、兴建地下建筑等需要建筑物搬迁移位或转动一定的角度,有时为了更好地保护古建、文物建筑,减少拆除重建,均可采用移位加固技术。目前移位技术在国内已得到广泛应用,已有十二层建筑物移位的成功经验。但一般多用于多层建筑的同一水平面移位,对大幅度改变其标高的工程未见实例。
8.1.2 建筑物移位,按移动方法可分为滚动移位和滑动移位两种,应优先采用滚动移位方法;滑动移位方法适用于小型建筑物。
条文说明
8.1.2由于移位滚动摩阻小于移位滑动摩阻,且滚动移位的施工精度要求相对滑动移位要低些。在实际工程中一般多数采用滚动方法,滑动方法仅在小型建筑物有应用,在大型建筑物应用应慎重。
8.1.3 建筑物移位加固设计前,应具备下列资料:
1 移位总平面布置。
2 场地及移位路线的岩土工程勘察资料。
3 既有建筑物相关设计和施工资料,以及检测鉴定报告。
4 既有建筑物结构现状分析。
5 移位施工对周边建筑物、场地、地下管线的影响分析。
条文说明
8.1.3移位所涉及的建筑结构及地基基础问题专业技术性强,要求在移位方案确定前应先通过搜集资料、补充计算验算、补充勘察等取得有关资料。
8.1.4 建筑物移位加固,应对上部结构进行安全性评估。当上部结构不能满足移位施工要求时,应对上部结构进行加固或采取有效的支撑措施。
条文说明
8.1.4建筑物移位时对原结构有一定影响,在移位过程中建筑物将处于运动状态和受力不稳定状态,相对于移位前有许多不利因素,因此应对移位的建筑物进行必要的安全性评估。评估的主要内容为建筑物的结构整体性、抵抗竖向及水平向变形的能力。
8.1.5 建筑物移位加固设计时,应对移位建筑的地基承载力和变形进行验算。当不满足移位要求时,应对地基基础进行加固。
条文说明
8.1.5建筑移位将改变原地基基础的受力状态,经验算后若不能满足移位过程或移位后的要求,则应进行地基基础加固,可选用本规范第11章有关加固方法。
8.1.6 建筑移位就位后,应对建筑物轴线、垂直度进行测量,其水平位置偏差应为±40mm,垂直度位移增量应为±10mm。
条文说明
8.1.6建筑物移位后的验收主要包含建筑物轴线偏差和垂直度偏差,由于建筑物移位过程不可避免存在偏位,因此,轴线偏差控制在±40mm以内认为是适宜的,对垂直度允许误差在±10mm。
8.1.7 移位工程完成后,应立即对工作槽(孔)进行回填、回灌,当上部结构因移位施工产生裂损时,应进行修复或加固处理。
8.2 设计
8.2 设 计
8.2.1 设计前,应调查核实作用在结构上的实际荷载,并对建筑物轴线及构件的实际尺寸进行现场测量核对,并对结构或构件的材料强度、实际配筋进行抽检。
条文说明
8.2.1一般情况下建筑物经多年使用后,其使用功能均可能存在一定程度变化,对使用较久的建筑设计前应调查核实其现状。
8.2.2 移位加固设计,应考虑恒荷载、活荷载及风荷载的组合,恒荷载及活荷载应按实际荷载取值,当无可靠依据时,活荷载标准值及基本风压值应符合现行国家标准《建筑结构荷载规范》GB 50009的规定;移位施工期间的基本风压,可按当地10年一遇的风压值采用。
条文说明
8.2.2考虑到移位加固施工是一个短期过程,移位过程建筑物已停止使用。为使设计更为合理,建议恒荷载和活荷载按实际荷载取值,基本风压按当地10年一遇的风压采用。 由于移位加固工程的复杂性和不确定因素较多,设计时应注重概念设计,应尽量全面地考虑到各种不利因素,按最不利情况设计,从而确保建筑物安全。
8.2.3 建筑物移位加固设计,应包括托换结构梁系、移位地基基础、移动装置、施力系统和结构连接等设计内容。
8.2.4 托换结构梁系的设计,应符合下列规定:
1 托换梁系由上轨道梁、托换梁及连系梁组成(图8.2.4)。托换梁系应考虑移位过程中,上部结构竖向荷载和水平荷载的分布和传递,以及移位时的最不利组合,可按承载能力极限状态进行设计。荷载分项系数,应符合现行国家标准《建筑结构荷载规范》GB 50009的规定。

图8.2.4 托换梁系构件组成示意
1—托换梁;2—连系梁;3—上轨道梁;4—轨道基础;5—墙(柱);6—移动装置
2 托换梁可按简支梁、连续梁设计。对砌体结构,当上部砌体及托换梁符合现行国家标准《砌体结构设计规范》GB 50003的要求时,可按简支墙梁、连续墙梁设计。
3 上轨道梁应根据地基承载力、上部荷载及上部结构形式,选用连续上轨道梁或悬挑上轨道梁。连续上轨道梁可按无翼缘的柱(墙)下条形基础梁设计。悬挑上轨道梁宜用于柱构件下,且应以柱中线对称布置,按悬挑梁或牛腿设计。上轨道梁线刚度,应满足梁底反力直线分布假定。
4 根据上部结构的整体性、刚度、平移路线地基情况,以及水平移位类型等情况对托换梁系的平面内、外刚度进行设计。
条文说明
8.2.4托换梁系设计应遵循的原则: 1托换梁系由上轨道梁、托换梁或连系梁组成,与顶升纠倾托换一样,托换梁系是通过托换方式形成的一个梁系,其设计应考虑上部结构竖向荷载受力和移位时水平荷载的传递,根据最不利组合按承载能力极限状态设计,其荷载分项系数按现行国家标准《建筑结构荷载规范》GB50009采用。 2托换梁是以上轨道梁为支座,可按简支梁或连续梁设计,托换梁的作用与转换梁相同,用于传递不连续的竖向荷载,由于一般需通过分段托换施工形成,故称为托换梁。对砌体结构当满足条件时其托换梁可按简支墙梁或连续墙梁设计。 3上轨道梁可分成连续和悬挑两种类型,一般连续式上轨道梁用于砌体结构,而悬挑式上轨道梁用于框架结构或砌体结构中的柱构件。 4在移位过程中,托换梁系平面内不可避免产生一定的不平衡力或力矩,因此造成偏位或对旋转轴心产生拉力。各下轨道基础(指抬梁式下轨道基础)也有可能存在不均匀的沉降变形,所以在进行托换梁系的设计时应充分考虑平移路线地基情况、水平移位类型、上部结构的整体性和刚度等,对托换梁系的平面内和平面外刚度进行设计。
8.2.5 移位加固地基基础设计,应包括轨道地基基础及新址地基基础,且应符合下列规定:
1 轨道地基设计时,原地基承载力特征值或单桩承载力特征值可乘以系数1.20;轨道基础应按永久性工程设计,荷载分项系数按现行国家标准《混凝土结构设计规范》GB 50010的规定采用。当验算不满足移位要求时,地基基础加固方法可按本规范第11章选用。
2 新址地基基础应符合新建工程的要求,且应考虑移位过程中的荷载不利布置,以及就位后的结构布置,进行地基基础的设计;当就位地基基础由新、旧两部分组成时,应考虑新、旧基础的变形协调条件。
3 轨道基础,可根据荷载传递方式分为抬梁式、直承式及复合式。设计时,应根据场地地质条件,以及建筑物原基础形式选择轨道基础形式。
4 抬梁式轨道基础由下轨道梁及集中布置的桩基础或独立基础组成。下轨道梁应考虑移位过程荷载的不利布置,按连续梁进行正截面受弯承载力及斜截面承载力计算,其梁高不得小于梁跨度的1/6。当下轨道梁直接支承于桩上时,其构造尚应满足承台梁的构造要求。
5 直承式轨道基础以天然地基为基础持力层,可采用无筋扩展基础或扩展基础。当辊轴均匀分布时,按墙下条形基础设计。当辊轴集中分布时,按柱下条形基础设计,基础梁高不小于辊轴集中分布区中心间距的1/6。
6 复合式轨道基础为抬梁式与直承式复合基础,当采用复合基础时,应按桩土共同作用进行计算分析。
7 应对轨道基础进行沉降验算,并应进行平移偏位时的抗扭验算。
条文说明
8.2.5移位地基基础包括移位过程中轨道地基基础和就位后新址地基基础,其设计原则如下: 1轨道地基应满足建筑物行进过程中不出现过大沉降或不均匀沉降,其地基承载力特征值可考虑乘以1.20的系数采用。轨道基础设计的荷载分项系数应按现行国家标准《混凝土结构设计规范》GB50010采用。当有可靠工程经验时,当轨道基础利用建筑物原基础时,考虑长期荷载作用效应,原地基承载力特征值或单桩承载力特征值可提高20%。 2新址地基基础按新建工程设计,但应注意移位加固的特点,考虑移位就位时的荷载不利布置和一次性加载效应。 3轨道基础形式是根据上部结构荷载传递与场地地质条件确定的,应综合考虑经济性和可靠性。 7移位过程中的轨道地基基础沉降差和沉降量将直接影响移位施工,由于移位过程中不可避免会出现偏位,因此应对其进行抗扭计算。特别在抬梁式轨道基础设计中,应考虑偏位产生的对小直径桩的偏心作用,并保证轨道基础梁有一定的抗扭刚度。
8.2.6 移动装置可分为滚动式及滑动式两种,设计应符合下列规定:
1 滚动式移动装置(图8.2.6)上、下承压板宜采用钢板,厚度应根据荷载大小计算确定,且不宜小于20mm。辊轴可采用直径不小于50mm的实心钢棒或直径不小于100mm的厚壁钢管混凝土棒,辊轴间距应根据计算确定,且不宜大于200mm。辊轴的径向承压力宜通过试验确定,也可用下式计算实心钢辊轴的径向承压力设计值P i :

(8.2.6-1)
式中:k p ——经验系数,由试验或施工经验确定,一般可取0.6;
d——辊轴直径(mm);
l——辊轴有效承压长度(mm),取上、下承压长度的较小值;
f——辊轴的抗压强度设计值(N/mm 2 );
E——钢材的弹性模量(N/mm 2 )。

图8.2.6 水平移位辊轴均匀分布构造示意
1—墙;2—托换梁;3—连续上轨道梁;4—移动装置;5—轨道基础;6—墙(柱);7—悬挑上轨道梁;8—连系梁
2 滑动式行走机构上、下轨道滑板的水平面积A 0 ,应根据滑板的耐压性能,按下式计算:
A 0 ≥N/f 0 (8.2.6-2)
式中:N——滑板承受的竖向作用力设计值(N);
f 0 ——滑板材料抗压强度设计值(N/mm 2 )。
条文说明
8.2.6滚动式移动装置主要由上、下承压板与钢辊轴组成,在实际工程中,承压板一般为钢板,主要起扩散滚轴径向压应力的作用,避免轨道基础混凝土产生局部承压破坏,其扩散面积与钢板厚度有关。规范建议采用的钢板厚度不宜小于20mm。地基较好,轨道梁刚度较大,移位时钢板变形小时可适当减少厚度。国内工程应用中有采用10mm钢板成功的实例。辊轴的直径过小移动较慢,过大易产生偏位,规范建议控制声50mm较为合适。式(8.2.6-1)为经验公式,参考国家标准《钢结构设计规范》GB50017-2003式(7.6.2),引入经验系数kp以综合考虑平移过程减小摩擦阻力的要求以及辊轴受力的不均匀性。
8.2.7 施力系统设计,应符合下列规定:
1 移位动力的施加可采用牵引、顶推和牵引顶推组合三种施力方式。牵引式适用于重量较小的建筑物移位,顶推式及牵引顶推组合方式适用于重量较大的建筑物移位。当建筑物旋转移位时,应优先选用牵引式或牵引顶推组合方式。
2 移位设计时,水平移位总阻力F可按下式计算:
F=k s (iW+μW) (8.2.7-1)
式中:k s ——经验系数,由试验或施工经验确定,可取1.5~3.0;
i——移位路线下轨道坡度;
W——作用的标准组合时建筑物基底总竖向荷载(kN);
μ——行走机构摩擦系数,应根据试验确定。
3 施力点应根据荷载分布均匀布置,施力点的竖向位置应靠近上轨道底面,施力点的数量可按下式估算:
n=k G (F/T) (8.2.7-2)
式中:n——施力点数量(个);
k G ——经验系数,当采用滚动式行走机构时取1.5,当采用滑行式行走机构时取2.0;
F——水平移位总阻力,按本规范式(8.2.7-1)计算;
T——施力点额定工作荷载值(kN)。
条文说明
8.2.7根据实际情况和工程经验选择牵引式、顶推式或牵引顶推组合式施力系统,施力点的竖向位置在满足局部承压或偏心受拉的条件下,应尽量靠近托换梁系底面,其目的是为了尽量减小反力支座的弯曲。行走机构摩擦系数,其经验值对钢材滚动摩擦系数可取0.05~0.1,聚四氟乙烯与不锈钢板的滑动摩擦系数可取0.05~0.07。
8.2.8 建筑物移位就位后,应进行上部结构与新址地基基础的连接设计,连接设计应符合下列规定:
1 连接构件应按国家有关标准的要求进行承载力和变形计算。
2 砌体结构建筑移位就位后,上部构造柱纵筋应与新址基础中预埋构造柱纵筋连接,连接区段箍筋间距应加密,且不大于100mm,托换梁系与基础间的空隙采用细石混凝土填充密实。
3 框架结构柱的连接应按计算确定。新址基础应预埋柱筋与上部框架柱纵筋连接,连接区段箍筋间距应加密,且不应大于100mm。柱连接区段采用细石混凝土灌注,连接区段宜采用外包钢筋混凝土套、外包型钢法等进行加固。
4 对于特殊建筑,当抗震设计要求无法满足时,可结合移位加固采用减震、隔震技术连接。
条文说明
8.2.8建筑物就位后的连接关系到建筑物后期使用安全,因此要保证不改变原有结构受力状态,连接可靠性不低于原有标准。对于框架结构而言,由于框柱主筋一般在同一平面切断,因此,要求对此区域进行加强。 结合移位加固对建筑物采用隔震、减震措施进行抗震加固可节省较多费用。因此建筑物移位且需抗震加固时应综合考虑进行设计与施工。
8.3 施工
8.3 施 工
8.3.1 移位加固施工前,应编制详细的施工技术方案和施工组织设计。
条文说明
8.3.1移位加固施工具有特殊性,应编制专项的施工技术方案和施工组织设计方案,并应通过专项论证后实施。
8.3.2 托换梁施工,除应符合本规范第7.3.7条的规定外,尚应符合下列规定:
1 施工前,应设置水平标高控制线,上轨道梁底面标高应保证在同一水平面上。
2 上轨道梁施工时,可分段置入上承压板,并保证其在同一水平面上,上承压板宜可靠固定在上轨道梁底面,板端部应设置防翘曲构造措施。
3 当设计需要双向移位时,其上承压板可在托换施工时,进行双向预埋;也可先进行单向预埋,另一方向可在换向时进行置换。
条文说明
8.3.2托换梁系中的上轨道梁的施工质量将直接影响到移位加固实施,其关键点在于上轨道梁底标高是否水平,及各上轨道梁底标高是否在同一水平面。
8.3.3 移位加固地基基础施工,应符合下列规定:
1 轨道基础顶面标高应保证在同一水平面上,其表面应平整。
2 轨道地基基础和新址地基基础施工后,经检验达到设计要求时,方可进行移位施工。
条文说明
8.3.3移位地基基础施工应严格按统一的水平标高控制线施工,保证其顶面标高在同一水平面上。其控制措施可在其地基基础顶面采用高强度材料进行补平,对局部超高区域可采用机械打磨修整。
8.3.4 移动装置施工,应符合下列规定:
1 移动装置包括上、下承压板,滚动支座或滑动支座,可在托换施工时,分段预先安装;也可在托换施工完成后,采取整体顶升后,一次性安装。
2 当采用滚动移位时,可采用直径不小于50mm的钢辊轴作为滚动支座;采用滑动移位时,可采用合适的橡胶支座作为滑动支座,其规格、型号等应统一。
3 当采用工具式下承压板时,每根承压板长度宜为2000mm,相互间连接构件应根据移位反力,按钢结构设计进行计算。
4 当移位距离较长时,宜采用可移动、可重复使用、易拆装的工具式下承压板,并与反力支座结合。
条文说明
8.3.4移位装置包含上承压板、下承压板、滚动或滑行支座,其型号、材质等应统一,防止产生变形差。托换施工时预先安装其优点是节省费用,但施工要求较高;采用后期整体顶升后一次性安装其优点是水平控制较易调整,但增加费用。 工具式下承压板由槽钢、钢板、混凝土加工制作而成,其大样示意图见图6,其优点是可移动、可拆装、可重复使用,使用方便,节省费用。 
图6组合式下轨道板 1—槽钢;2—封底钢板;3—连接钢板;4—ф20孔;5—细石混凝土;6—ф6@200
8.3.5 移位施工,应符合下列规定:
1 移位前,应对上托换梁系和移位地基基础等进行施工质量检验及验收。
2 移位前,应对移动装置、反力装置、施力系统、控制系统、监测系统、应急措施等进行检验与检查。
3 正式移位前,应进行试验性移位,检验各装置与系统的工作状态和安全可靠性能,并测读各移位轨道推力,当推力与设计值有较大差异时,应分析其原因。
4 移动施工时,动力施加应遵循均匀、分级、缓慢、同步的原则,动力系统应有测读装置,移动速度不宜大于50mm/min,应设置限制滚动装置,及时纠正移位中产生的偏移。
5 移位施工时,应避免建筑物长时间处于新、旧基础交接处,减少不均匀沉降对移位施工的影响。
6 移位施工过程中,应对上部建筑结构进行实时监测。出现异常时,应立即停止移位施工,待查明原因,消除隐患后,方可继续施工。
7 当折线、曲线移位施工过程需进行换向,或建筑物移位完成后。需置换或拆除移动装置时,可采用整体顶升方法,顶升施工应符合本规范第7.3.7条的规定。
条文说明
8.3.5移位实施前应对托换梁系和移位地基基础等进行验收,对移位装置、反力装置、施力系统、控制系统、监测系统、指挥系统、应急措施等进行检验和检查。确认合格后,方可实施移位施工。 正式移位前的试验性移位,主要是检测各装置与系统间的工作状态和安全可靠性能,测试各施力点推力与理论计算值差异,以便复核与调整。 移位过程中应控制移动速度并应及时调整偏位,其偏位宜采用辊轴角度来调整。对于建筑物长时间处于新旧基础交接处时应考虑不均匀沉降对上部结构及后续移位产生的不利影响,对上部结构应进行实时监测,确保上部结构安全。 建筑物移位加固近年来得到了较大发展,其技术也日趋完善与成熟,从早期小型、低层、手动千斤顶或卷扬机外加动力,发展到日前多层或高层、液压千斤顶外加动力系统。在施力系统、控制系统、监测系统、指挥系统等方面尚可应用现代科技技术,增加自动化程度。
9 托换加固
9.1 一般规定
9 托换加固
9.1 一般规定
9.1.1 发生下列情况时,可采用托换技术进行既有建筑地基基础加固:
1 地基不均匀变形引起建筑物倾斜、裂缝。
2 地震、地下洞穴及采空区土体移动,软土地基沉陷等引起建筑物损害。
3 建筑功能改变,结构承重体系改变,基础形式改变。
4 新建地下工程,邻近新建建筑,深基坑开挖,降水等引起建筑物损害。
5 地铁及地下工程穿越既有建筑,对既有建筑地基影响较大时。
6 古建筑保护。
7 其他需采用基础托换的工程。
条文说明
9.1.1“托换技术”是指对结构荷载传递路径改变的结构加固或地基加固的通称,在地基基础加固工程中广泛应用。本节所指“托换加固”,是对采用托换技术所需进行的地基基础加固措施的总称。在纠倾工程、移位工程中采用的“托换技术”尚应符合第7章、第8章的有关规定。
9.1.2 托换加固设计,应根据工程的结构类型、基础形式、荷载情况以及场地地基情况进行方案比选,分别采用整体托换、局部托换或托换与加强建筑物整体刚度相结合的设计方案。
条文说明
9.1.2托换加固工程的设计应根据工程的结构类型、基础形式、荷载情况以及场地地基情况进行方案比选,选择设计可靠、施工技术可行且安全的方案。
9.1.3 托换加固设计,应满足下列规定:
1 按上部结构、基础、地基变形协调原则进行承载力、变形验算。
2 当既有建筑基础沉降、倾斜、变形、开裂超过国家有关标准规定的控制指标时,应在原因分析的基础上,进行地基基础加固设计。
条文说明
9.1.3托换加固是在原有受力体系下进行,其实施应按上部结构、基础、地基共同作用,按托换地基与原地基变形协调原则进行承载力、变形验算。为保证工程安全,当既有建筑沉降、倾斜、变形、开裂已出现超过国家现行有关标准规定的控制指标时,应采取相应处理措施,或制定适用于该托换工程的质量控制标准。
9.1.4 托换加固施工前,应制定施工方案;施工过程中,应对既有建筑结构变形、裂缝、基础沉降进行监测;工程需要时,尚应进行应力(或应变)监测。
条文说明
9.1.4托换加固工程对既有建筑结构变形、裂缝、基础沉降进行监测,是保证工程安全、校核设计符合性的重要手段,必须严格执行。
9.2 设计
9.2 设 计
9.2.1 整体托换加固的设计,应符合下列规定:
1 对于砌体结构,应在承重墙与基础梁间设置托换梁,对于框架结构,应在承重柱与基础间设置托换梁。
2 砌体结构的托换梁,可按连续梁计算。框架结构的托换梁,可按倒置的牛腿计算。
3 基础梁应进行地基承载力和变形验算;原基础梁刚度不满足时,应增大截面尺寸;地基承载力和变形验算不满足要求时,可按本规范第11章的方法进行地基加固。
4 按托换过程中最不利工况,进行上部结构内力复核。
5 分析评价进行上部结构加固的必要性及采取的保护措施。
条文说明
9.2.1本条为既有建筑整体托换加固设计的要求。整体托换加固,应在上部结构满足整体托换要求条件下进行,并进行必要的计算分析。
9.2.2 局部托换加固的设计,应符合下列规定:
1 进行上部结构的受力分析,确定局部托换加固的范围,明确局部托换的变形控制标准。
2 进行局部托换加固的地基承载力和变形验算。
3 进行局部托换基础或基础梁的内力验算。
4 按局部托换最不利工况,进行上部结构的内力、变形复核。
5 分析评价进行上部结构加固的必要性及采取的保护措施。
条文说明
9.2.2局部托换加固的受力分析难度较大,确定局部托换加固的范围以及局部托换的位移控制标准应考虑既有建筑的变形适应能力。
9.2.3 地基承载力和变形不满足设计要求时,应进行地基基础加固。加固方法可按本规范第11章的规定采用锚杆静压桩、树根桩、加大基础底面积或采用抬墙梁、坑(墩)式托换,以及采用复合地基、桩基相结合的托换方式,并对地基加固后的基础内力进行验算,必要时,应采取基础加固措施。
9.2.4 新建地铁或地下工程穿越建筑物时,地基基础托换加固设计应符合下列规定:
1 应进行穿越工程对既有建筑物影响的分析评价,计算既有建筑的内力和变形。影响较小时,可采用加强建筑物基础刚度和结构刚度,或采用隔断防护措施的方法;可能引起既有建筑裂缝和正常使用时,可采用地基加固和基础、上部结构加固相结合的方法;穿越施工既有建筑存在安全隐患时,应采用加强上部结构的刚度、局部改变结构承重体系和加固地基基础的方法。
2 需切断建筑物桩体或在桩端下穿越时,应采用桩梁式托换、桩筏式托换以及增加基础整体刚度、扩大基础的荷载托换体系,必要时,应采用整体托换技术。
3 穿越天然地基、复合地基的建筑物托换加固,应采用桩梁式托换、桩筏式托换或地基注浆加固的方法。
条文说明
9.2.4这是近年工程中产生的新的问题。穿越工程的评价分析方法,采用的托换技术,以及采用桩梁式托换、桩筏式托换以及增加基础整体刚度、扩大基础的荷载托换体系等,应根据工程情况具体分析确定。
9.2.5 既有建筑功能改造,改变上部结构承重体系或基础形式,地基基础托换加固设计,可采用下列方法:
1 建筑物需增加层高或因建筑物沉降量过大,需抬升时,可采用整体托换。
2 建筑物改变平面尺寸,增大开间或使用面积,改变承重体系时,可采用局部托换。
3 建筑物增加地下室,宜采用桩基进行整体托换。
条文说明
9.2.5既有建筑功能改造,改变上部结构承重体系或基础形式,地基基础托换加固设计方案应结合工程经验、施工技术水平综合分析后确定。
9.2.6 因地震、地下洞穴及采空区土体移动、软土地基变形、地下水位变化、湿陷等造成地基基础损害时,地基基础托换加固,可采用下列方法:
1 建筑物不能正常使用时,可采用整体托换加固,也可采用改变基础形式的方法进行处理。
2 结构(包括基础)构件损害,不能满足设计要求时,可采用局部托换及结构构件加固相结合的方法。
3 地基承载力和变形不满足要求时,应进行地基加固。
条文说明
9.2.6针对因地震、地下洞穴及采空区土体移动、软土地基变形、地下水变化、湿陷等造成地基基础损害,提出地基基础托换加固可采用的方法。
9.2.7 采用抬墙法托换,应符合下列规定:
1 抬墙梁应根据其受力特点,按现行国家标准《混凝土结构设计规范》GB 50010的规定进行结构设计。
2 抬墙梁的位置,应避开一层门窗洞口,当不能避开时,应对抬墙梁上方的门窗洞口采取加强措施。
3 当抬墙梁与上部墙体材料不同时,抬墙梁处的墙体,应进行局部承压验算。
9.2.8 采用桩式托换,应满足下列规定:
1 当有地下洞穴、采空区影响时,应进行成桩的可行性分析。
2 评估托换桩的施工对原基础的影响。对产生影响的基础采取加固处理后,方可进行托换桩的施工。
3 布桩时,托换桩与新建地下工程、采空区、地下洞穴净距不应小于1.0m,托换桩端进入地下工程、采空区、地下洞穴底面以下土层的深度不应少于1.0m。
4 采取减少托换桩与原基础沉降差的措施。
9.3 施工
9.3 施 工
9.3.1 采用钢筋混凝土坑(墩)式托换时,应在既有基础基底部位采用膨胀混凝土、分次浇筑、排气等措施充填密实;当既有基础两侧土体存在高度差时,应采取防止基础侧移的措施。
9.3.2 采用桩式托换时,应采用对地基土扰动较小的成桩方法进行施工。
条文说明
9.3.1、9.3.2托换加固施工中可能对持力土层产生扰动,基础侧移等情况,应采取必要的工程措施。
10 事故预防与补救
10.1 一般规定
10 事故预防与补救
10.1 一般规定
10.1.1 当既有建筑因外部条件改变,可能引起的地基基础变形影响其正常使用或危及安全时,应遵循预防为主的原则,采取必要措施,确保既有建筑的安全。
条文说明
10.1.1对于既有建筑,地基基础出现工程事故,轻则需加固处理,且加固处理一般比较困难;重则造成既有建筑的破坏,出现人员伤亡和重大经济损失。因此,对于既有建筑地基基础工程事故应采取预防为主的原则,避免事故发生。
10.1.2 既有建筑地基基础出现工程事故时的补救,应符合下列原则:
1 分析判断造成工程事故的原因。
2 分析判断事故对整体结构安全及建筑物正常使用的影响。
3 分析判断事故对周围建筑物、道路、管线的影响。
4 采取安全、快速、施工方便、经济的补救方案。
条文说明
10.1.2本条为地基基础事故补救的一般原则。对于地基基础工程事故处理应遵循的原则首先应保证相关人员的安全,其次应分析事故原因,避免事故进一步扩大。采取的加固措施应具备安全、施工速度快、经济的特点。
10.1.3 当重要的既有建筑物地基存在液化土时,或软土地区建筑物因地震可能产生震陷时,应按现行国家标准《建筑抗震设计规范》GB 50011的规定进行地基、基础或上部结构加固。
条文说明
10.1.320世纪五六十年代甚至更早的一些建筑,在勘察、设计阶段未进行抗震设防。当地震发生时由于液化和震陷造成建筑物的破坏。如我国的邢台地震、唐山地震、日本的阪神地震都有类似报道。采用天然地基的建筑物,液化常常造成建筑物的倾斜或整体倾覆。对于坡地岸边采用桩基的建筑物,可能会造成桩头部位混凝土受到剪压破坏。在软土地区采用天然地基的建筑,地震可能造成震陷,如1976年唐山地震影响到天津,天津汉沽的一些建筑震陷超过600mm。因此,对于一些重要的既有建筑物,可能存在液化或震陷问题时,应按现行国家标准《建筑抗震设计规范》GB50011进行鉴定和加固。
10.2 地基不均匀变形过大引起事故的补救
10.2 地基不均匀变形过大引起事故的补救
10.2.1 对于建造在软土地基上出现损坏的建筑,可采取下列补救措施:
1 对于建筑体型复杂或荷载差异较大引起的不均匀沉降,或造成建筑物损坏时,可根据损坏程度采用局部卸载,增加上部结构或基础刚度,加深基础,锚杆静压桩,树根桩加固等补救措施。
2 对于局部软弱土层或暗塘、暗沟等引起差异沉降较大,造成建筑物损坏时,可采用锚杆静压桩、树根桩等加固补救措施。
3 对于基础承受荷载过大或加荷速率过快,引起较大沉降或不均匀沉降,造成建筑物损坏时,可采用卸除部分荷载、加大基础底面积或加深基础等减小基底附加压力的措施。
4 对于大面积地面荷载或大面积填土引起柱基、墙基不均匀沉降,地面大量凹陷,或柱身、墙身断裂时,可采用锚杆静压桩或树根桩等加固。
5 对于地质条件复杂或荷载分布不均,引起建筑物倾斜较大时,可按本规范第7章有关规定选用纠倾加固措施。
条文说明
10.2.1软土地基系指主要由淤泥、淤泥质土或其他高压缩性土层构成的地基。这类地基土具有压缩性高、强度低、渗透性弱等特点,因此这类地基的变形特征除了建筑物沉降和不均匀沉降大以外,沉降稳定历时长,所以在选用补救措施时,尚应考虑加固后地基变形问题。此外,由于我国沿海地区的淤泥和淤泥质土一般厚度都较大,因此在采用本条的补救措施时,尚需考虑加固深度以下地基的变形。
10.2.2 对于建造在湿陷性黄土地基上出现损坏的建筑,可采取下列补救措施:
1 对非自重湿陷性黄土场地,当湿陷性土层较薄,湿陷变形已趋稳定或估计再次浸水湿陷量较小时,可选用上部结构加固措施;当湿陷性土层较厚,湿陷变形较大或估计再次浸水湿陷量较大时,可选用石灰桩、灰土挤密桩、坑式静压桩、锚杆静压桩、树根桩、硅化法或碱液法等进行加固,加固深度宜达到基础压缩层下限。
2 对自重湿陷性黄土场地,可选用灰土挤密桩、坑式静压桩、锚杆静压桩、树根桩或灌注桩等进行加固。加固深度宜穿透全部湿陷性土层。
条文说明
10.2.2湿陷性黄土地基的变形特征是在受水浸湿部位出现湿陷变形,一般变形量较大且发展迅速。在考虑选用补救措施时,首先应估计有无再次浸水的可能性,以及场地湿陷类型和等级,选择相应的措施。在确定加固深度时,对非自重湿陷性黄土场地,宜达到基础压缩层下限;对自重湿陷性黄土场地,宜穿透全部湿陷性土层。
10.2.3 对于建造在人工填土地基上出现损坏的建筑,可采取下列补救措施:
1 对于素填土地基,由于浸水引起较大的不均匀沉降而造成建筑物损坏时,可采用锚杆静压桩、树根桩、灌注桩、坑式静压桩、石灰桩或注浆等进行加固。加固深度应穿透素填土层。
2 对于杂填土地基上损坏的建筑,可根据损坏程度,采用加强上部结构或基础刚度,并进行锚杆静压桩、灌注桩、旋喷桩、石灰桩或注浆等加固。
3 对于冲填土地基上损坏的建筑,可采用本规范第10.2.1条的规定进行加固。
条文说明
10.2.3人工填土地基中最常见的地基事故是发生在以黏性土为填料的素填土地基中。这种地基如堆填时间较短,又未经充分压实,一般比较疏松,承载力较低,压缩性高且不均匀,一旦遇水具有较强湿陷性,造成建筑物因大量沉降和不均匀沉降而开裂损坏,所以在采用各种补救措施时,加固深度均应穿透素填土层。
10.2.4 对于建造在膨胀土地基上出现损坏的建筑,可采取下列补救措施:
1 对建筑物损坏轻微,且膨胀等级为Ⅰ级的膨胀土地基,可采用设置宽散水及在周围种植草皮等保护措施。
2 对于建筑物损坏程度中等,且膨胀等级为Ⅰ、Ⅱ级的膨胀土地基,可采用加强结构刚度和设置宽散水等处理措施。
3 对于建筑物损坏程度较严重或膨胀等级为Ⅲ级的膨胀土地基,可采用锚杆静压桩、树根桩、坑式静压桩或加深基础等加固方法。桩端应埋置在非膨胀土层中或伸到大气影响深度以下的土层中。
4 建造在坡地上的损坏建筑物,除应对地基或基础加固外,尚应在坡地周围采取保湿措施,防止多向失水造成的危害。
条文说明
10.2.4膨胀土是指土中黏粒成分主要由亲水性矿物组成,同时具有显著的吸水膨胀和失水收缩两种变形特性的黏性土。由于膨胀土的胀缩变形是可逆的,随着季节气候的变化,反复失水吸水,使地基不断产生反复升降变形,而导致建筑物开裂损坏。 目前采用胀缩等级来反映胀缩变形的大小,所以在选用补救措施时,应以建筑物损坏程度和胀缩等级作为主要依据。此外,对于建造在坡地上的损坏建筑,要贯彻“先治坡,后治房”的方针,才能取得预期的效果。
10.2.5 对于建造在土岩组合地基上,因差异沉降造成建筑物损坏,可根据损坏程度,采用局部加深基础、锚杆静压桩、树根桩、坑式静压桩或旋喷桩等加固措施。
条文说明
10.2.5土岩组合地基上损坏的建筑主要是由于土层与基岩压缩性相差悬殊,而造成建筑物在土岩交界部位出现不均匀沉降而引起裂缝或损坏。由于土岩组合地基情况较为复杂,所以首先应详细探明地质情况,选用切合实际的补救措施。
10.2.6 对于建造在局部软弱地基上,因差异沉降过大造成建筑物损坏,可根据损坏程度,采用局部加深基础或桩基加固等措施。
10.2.7 对于基底下局部基岩出露或存在大块孤石,造成建筑物损坏,可将局部基岩或孤石凿去,铺设褥垫层或采用在土层部位加深基础或桩基加固等。
10.3 邻近建筑施工引起事故的预防与补救
10.3 邻近建筑施工引起事故的预防与补救
10.3.1 当邻近工程的施工对既有建筑可能产生影响时,应查明既有建筑的结构和基础形式、结构状态、建成年代和使用情况等,根据邻近工程的结构类型、荷载大小、基础埋深、间隔距离以及土质情况等因素,分析可能产生的影响程度,并提出相应的预防措施。
条文说明
10.3.1目前城市用地越来越紧张,建筑物密度也越来越大,相邻建筑施工的影响应引起高度重视,对邻近建筑、道路或管线可能造成影响的施工,主要有桩基施工、基槽开挖、降水等。主要事故有沉降、不均匀沉降、局部裂损,局部倾斜或整体倾斜等。施工前应分析可能产生的影响采用必要的预防措施,当出现事故后应采取补救措施。
10.3.2 当软土地基上采用有挤土效应的桩基,对邻近既有建筑有影响时,可在邻近既有建筑一侧设置砂井、排水板、应力释放孔或开挖隔离沟,减小沉桩引起的孔隙水压力和挤土效应。对重要建筑,可设地下挡墙。
条文说明
10.3.2在软土地基中进行挤土桩的施工,由于桩的挤土效应,土体产生超静孔隙水压力造成土体侧向挤出,出现地面隆起,可能对邻近既有建筑造成影响时,可以采用排水法(塑料排水板、砂桩或砂井等)、应力释放孔法或隔离沟等来预防对邻近既有建筑的影响,对重要的建筑可设地下挡墙阻挡挤土产生的影响。
10.3.3 遇有振动效应的地基处理或桩基施工时,可采用开挖隔振沟,减少振动波传递。
10.3.4 当邻近建筑开挖基槽、人工降低地下水或迫降纠倾施工等,可能造成土体侧向变形或产生附加应力时,可对既有建筑进行地基基础局部加固,减小该侧地基附加应力,控制基础沉降。
10.3.5 在邻近既有建筑进行人工挖孔桩或钻孔灌注桩时,应防止地下水的流失及土的侧向变形,可采用回灌、截水措施或跳挖、套管护壁等施工方法等,并进行沉降观测,防止既有建筑出现不均匀沉降而造成裂损。
条文说明
10.3.5 人工挖孔桩是一种既简便又经济的桩基施工方法,被广泛地采用,但人工挖孔桩施工对周围影响较大,主要表现在降低地下水位后出现流砂、土的侧向变形等,应分析可能造成的影响并采取相应预防措施。
10.3.6 当邻近工程施工造成既有建筑裂损或倾斜时,应根据既有建筑的结构特点、结构损害程度和地基土层条件,采用本规范第7章、第9章和第11章的方法对既有建筑地基基础进行加固。
10.4 深基坑工程引起事故的预防与补救
10.4 深基坑工程引起事故的预防与补救
10.4.1 当既有建筑周围进行新建工程基坑施工时,应分析新建工程基坑支护施工过程、基坑支护体系变形、基坑降水、基坑失稳等对既有建筑地基基础安全的影响,并采取有效的预防措施。
条文说明
10.4.1基坑支护施工过程、基坑支护体系变形、基坑降水、基坑失稳都可能对既有建筑地基基础造成破坏,特别是在深厚淤泥、淤泥质土、饱和黏性土或饱和粉细砂等地层中开挖基坑,极易发生事故,对这类场地和深基坑必须充分重视,对可能发生的危害事故应有分析、有准备、预先做好危害事故的预防措施。
10.4.2 基坑支护工程对既有建筑地基基础的保护设计,应包括下列内容:
1 查清既有建筑的地基基础和上部结构现状,分析基坑土方开挖对既有建筑的影响。
2 查清基坑支护工程周围管线的位置、尺寸和埋深以及采取的保护措施。
3 当地下水位较高需要降水时,应采用帷幕截水、回灌等技术措施,避免由于地下水位下降影响邻近既有建筑和周围管线的安全。
4 基坑采用锚杆支护结构时,避免采用对邻近既有建筑地基稳定和基础安全有影响的锚杆施工工艺。
5 应在既有建筑上和深基坑周边设置水平变形和竖向变形观测点。当水平或竖向变形速率超过规定时,应立即停止施工,分析原因,并采取相应的技术措施。
6 对可能发生的基坑工程事故,应制定应急处理方案。
条文说明
10.4.2本条为基坑支护设计对既有建筑的保护措施: 2近年来的一些基坑支护事故表明,如化粪池、污水井、给水排水管线的漏水均能造成基坑的破坏,影响既有建筑的安全。原因一是化粪池、污水井、给水排水管线原来就存在渗漏水现象,周围土体含水量高、强度低,如采用土钉墙支护会造成局部失稳;原因二是基坑水平变形过大,造成管线开裂,水渗透到基坑造成基坑破坏。这些基坑事故都可能危害既有建筑的安全。 3我国每年都有基坑支护降水造成既有建筑、道路、管线开裂的报道,因此,地下水位较高时,宜避免采用开敞式降水方案,当既有建筑为天然地基时,支护结构应采用帷幕止水方案。 4锚杆或土钉下穿既有建筑基础时,施工过程对基底土的扰动及浆液凝固前都可能产生沉降,如锚杆的倾斜角偏大则会出现建筑物的倾斜,应尽量避免下穿既有建筑基础。当无法解决锚杆对邻近建筑物的安全造成的影响时,应变更基坑支护方案。 5基坑工程事故,影响到周边建筑物、构筑物及地下管线,工程损失很大。为了确保基坑及其周边既有建筑的安全,首先要有安全可靠的支护结构方案,其次要重视信息化施工,掌握基坑受力和变形状态,及时发现问题,迅速妥善处理。
10.4.3 当基坑内降水开挖,造成邻近既有建筑或地下管线发生沉降、倾斜或裂损时,应立刻停止坑内降水,查出事故原因,并采取有效加固措施。应在基坑截水墙外侧,靠近邻近既有建筑附近设置水位观测井和回灌井。
条文说明
10.4.3基坑降水常引发基坑周边建筑物倾斜、地面或路面下陷开裂等事故,防止的关键在于保持基坑外水位的降深,一般可采取设置回灌井和有效的止水墙等措施。反之,不设回灌井,忽视对水位和邻近建筑物的观测或止水墙工程粗糙漏水,必然导致严重后果。因此,在地下水位较高的场地,地下水处理是保证基坑工程安全的重要技术措施。
10.4.4 当邻近既有建筑为桩基础或新建建筑采用打入式桩基础时,新建基坑支护结构外缘与邻近既有建筑的距离不应小于基坑开挖深度的1.5倍。无法满足最小安全距离时,应采用隔振沟或钢筋混凝土地下连续墙等保护既有建筑安全的基坑支护形式。
条文说明
10.4.4在既有建筑附近进行打入式桩基础施工对既有建筑地基基础影响较大,应采取有效措施,保证既有建筑安全。
10.4.5 当既有建筑临近基坑时,该侧基坑周边不得搭建临时施工建筑和库房,不得堆放建筑材料和弃土,不得停放大型施工机械和车辆。基坑周边地面应做护面和排水沟,使地面水流向坑外,并防止雨水、施工用水渗入地下或坑内。
条文说明
10.4.5基坑周边不准修建临时工棚,因为场地坑边的临建工棚对环境卫生、工地施工安全、特别是对基坑安全会造成很大威胁。地表水或雨水渗漏对基坑安全不利,应采取疏导措施。
10.4.6 当既有建筑或地下管线因深基坑施工而出现倾斜、裂缝或损坏时,应根据既有建筑的上部结构特点、结构损害程度和地基土层条件,采用本规范第7章、第9章和第11章的方法对既有建筑地基基础进行加固或对地下管线采取保护措施。
10.5 地下工程施工引起事故的预防与补救
10.5 地下工程施工引起事故的预防与补救
10.5.1 当地下工程施工对既有建筑、地下管线或道路造成影响时,可采用隔断墙将既有建筑、地下管线或道路隔开或对既有建筑地基进行加固。隔断墙可采用钢板桩、树根桩、深层搅拌桩、注浆加固或地下连续墙等;对既有建筑地基加固,可采用锚杆静压桩、树根桩或注浆加固等方法,加固深度应大于地下工程底面深度。
条文说明
10.5.1隔断法是在既有建筑附近进行地下工程施工时,为避免或减少土体位移与变形对建筑物的影响,而在既有建筑与施工地面间设置隔断墙(如钢板桩、地下连续墙、树根桩或深层搅拌桩等墙体)予以保护的方法,国外称侧向托换(lateralunderpinning)。墙体主要承受地下工程施工引起的侧向土压力,减少地基差异变形。上海市延安东路外滩天文台由于越江隧道经过其一侧时,就是采用树根桩进行隔断法加固的。 当地下工程施工时,会产生影响范围内的地面建筑物或地下管线的位移和变形,可在施工前对既有建筑的地基基础进行加固,其加固深度应大于地下工程的底面埋置深度,则既有建筑的荷载可直接传递至地下工程的埋置深度以下。
10.5.2 应对地下工程施工影响范围内的通信电 缆、高压、易燃和易爆管道等管线采取预防保护措施。
10.5.3 应对地下工程施工影响范围内的既有建筑和地下管线的沉降和水平位移进行监测。
条文说明
10.5.3在地下工程施工过程中,为了及时掌握邻近建筑物和地下管线的沉降和水平位移情况,必须及时进行相应的监测。首先需在待测的邻近建筑或地下管线上设置观测点,其数量和位置的确定应能正确反映邻近建筑或地下管线关键点的沉降和位移情况,进行信息化施工。
10.6 地下水位变化过大引起事故的预防与补救
10.6 地下水位变化过大引起事故的预防与补救
10.6.1 对于建造在天然地基上的既有建筑,当地下水位降低幅度超出设计条件时,应评价地下水位降低引起的附加沉降对既有建筑的影响,当附加沉降值超过允许值时应对既有建筑地基采取加固处理措施;当地下水位升高幅度超出设计条件时,应对既有建筑采取增加荷载、增设抗浮桩等加固处理措施。
条文说明
10.6.1地下水位降低会增大建筑物沉降,造成道路、设备管线的开裂,因此在既有建筑周围大面积降水时,对既有建筑应采取保护措施。当地下水位的上升可能超过抗浮设防水位时,应重新进行抗浮设计验算,必要时应进行抗浮加固。
10.6.2 对于采用桩基或刚性桩复合地基的既有建筑物,应计算因地下水位降低引起既有建筑基础产生的附加沉降。
条文说明
10.6.2地下水位下降造成桩周土的沉降,对桩产生负摩阻力,相当于增大了桩身轴力,会增大沉降。
10.6.3 对于建造在湿陷性黄土、膨胀土、冻胀土及回填土地基上的既有建筑,地下水位变化过大引起事故的预防与补救措施应符合下列规定:
1 对于建造在湿陷性黄土地基上的既有建筑,应分析地下水位升高产生的湿陷对既有建筑地基变形的影响。当既有建筑地基湿陷沉降量超过现行国家标准《湿陷性黄土地区建筑规范》GB 50025的要求时,应按本规范第10.2.2条的规定,对既有建筑采取加固处理措施。
2 对于建造在膨胀土或冻胀土上的既有建筑,应分析地下水位升高产生的膨胀或冻胀对既有建筑基础的影响,不满足正常使用要求时可按本规范第10.2.4条的规定采取补救措施。
3 对建造在回填土上的既有建筑,当地下水位升高,造成既有建筑的地基附加变形超过允许值时,可按照本规范第10.2.3条的规定,对既有建筑采取加固处理措施。
条文说明
10.6.3对于一些特殊土,如湿陷性黄土、膨胀土、回填土,地下水位上升都能造成地基变形,应采取预防措施。
11 加固方法
11.1 一般规定
11 加固方法
11.1 一般规定
11.1.1 确定地基基础加固施工方案时,应分析评价施工工艺和方法对既有建筑附加变形的影响。
条文说明
11.1.1既有建筑地基基础进行加固时,应分析评价由于施工扰动所产生的对既有建筑物附加变形的影响。由于既有建筑物在长期使用下,变形已处于稳定状态,对地基基础进行加固时,必然要改变已有的受力状态,通过加固处理会使新旧地基基础受力重新分配。首先应对既有建筑原有受力体系分析,然后根据加固的措施重新考虑加固后的受力体系。通常可借助于计算机对各种过程进行模拟,而且能对各种工况进行分析计算,对复杂的受力体系有定量的、较全面的了解。这个工作也是最近几年随着电子计算机的广泛应用才得以实现的。 对于有地区经验,可按地区经验评价。
11.1.2 对既有建筑地基基础加固采取的施工方法,应保证新、旧基础可靠连接,导坑回填应达到设计密实度要求。
条文说明
11.1.2既有地基基础加固对象是已投入使用的建筑物,在不影响正常使用的前提下达到加固改造目的。新建基础与既有基础连接的变形协调,各种地基基础加固方法的地基变形协调,应在设计要求的条件下通过严格的施工质量控制实现。导坑回填施工应达到设计要求的密实度,保证地基基础工作条件。 锚杆静压桩加固,当采用钢筋混凝土方桩时,顶进至设计深度后即可取出千斤顶,再用C30微膨胀早强混凝土将桩与原基础浇筑成整体。当控制变形严格,需施加预应力封桩时,可采用型钢支架托换,而后浇筑混凝土。对钢管桩,应根据工程要求,在钢管内浇筑C20微膨胀早强混凝土,最后用C30混凝土将桩与原基础浇筑成整体。 抬墙梁法施工,穿过原建筑物的地圈梁,支承于砖砌、毛石或混凝土新基础上。基础下的垫层应与原基础采用同一材料,并且做在同一标高上。浇筑抬墙梁时,应充分振捣密实,使其与地圈梁底紧密结合。若抬墙梁采用微膨胀混凝土,其与地圈梁挤密效果更佳。抬墙梁必须达到设计强度,才能拆除模板和墙体。 树根桩在既有基础上钻孔施工,树根桩完成后,在套管与孔之间采用非收缩的水泥浆注满。为了增强套管与水泥浆体之间的荷载传递能力,在套管置入之前,在钢套管上焊上一定间距的钢筋剪力环。树根桩在既有基础上钻孔施工,树根桩完成后,在套管与孔之间采用非收缩的水泥浆注满。
11.1.3 当选用钢管桩等进行既有建筑地基基础加固时,应采取有效的防腐或增加钢管腐蚀量壁厚的技术保护措施。
条文说明
11.1.3钢管桩表面应进行防腐处理,但实施的效果难于检验,采用增加钢管桩腐蚀量壁厚,较易实施。
11.2 基础补强注浆加固
11.2 基础补强注浆加固
11.2.1 基础补强注浆加固适用于因不均匀沉降、冻胀或其他原因引起的基础裂损的加固。
11.2.2 基础补强注浆加固施工,应符合下列规定:
1 在原基础裂损处钻孔,注浆管直径可为25mm,钻孔与水平面的倾角不应小于30°,钻孔孔径不应小于注浆管的直径,钻孔孔距可为0.5m~1.0m。
2 浆液材料可采用水泥浆或改性环氧树脂等,注浆压力可取0.1MPa~0.3MPa。如果浆液不下沉,可逐渐加大压力至0.6MPa,浆液在10min~15min内不再下沉,可停止注浆。
3 对单独基础每边钻孔不应少于2个;对条形基础应沿基础纵向分段施工,每段长度可取1.5m~2.0m。
条文说明
11.2.1、11.2.2基础补强注浆加固法的特点是:施工方便,可以加强基础的刚度与整体性。但是,注浆的压力一定要控制,压力不足,会造成基础裂缝不能充满,压力过高,会造成基础裂缝加大。实际施工时应进行试验性补强注浆,结合原基础材料强度和粘结强度,确定注浆施工参数。 注浆施工时的钻孔倾角是指钻孔中心线与地平面的夹角,倾角不应小于30°,以免钻孔困难。注浆孔布置应在基础损伤检测结果基础上进行,间距不宜超过2.0m。 封闭注浆孔,对混凝土基础,采用的水泥砂浆强度不应低于基础混凝土强度;对砌体基础,水泥砂浆强度不应低于原基础砂浆强度。
11.3 扩大基础
11.3 扩大基础
11.3.1 扩大基础加固包括加大基础底面积法、加深基础法和抬墙梁法等。
11.3.2 加大基础底面积法适用于当既有建筑物荷载增加、地基承载力或基础底面积尺寸不满足设计要求,且基础埋置较浅,基础具有扩大条件时的加固,可采用混凝土套或钢筋混凝土套扩大基础底面积。设计时,应采取有效措施,保证新、旧基础的连接牢固和变形协调。
11.3.3 加大基础底面积法的设计和施工,应符合下列规定:
1 当基础承受偏心受压荷载时,可采用不对称加宽基础;当承受中心受压荷载时,可采用对称加宽基础。
2 在灌注混凝土前,应将原基础凿毛和刷洗干净,刷一层高强度等级水泥浆或涂混凝土界面剂,增加新、老混凝土基础的粘结力。
3 对基础加宽部分,地基上应铺设厚度和材料与原基础垫层相同的夯实垫层。
4 当采用混凝土套加固时,基础每边加宽后的外形尺寸应符合现行国家标准《建筑地基基础设计规范》GB 50007中有关无筋扩展基础或刚性基础台阶宽高比允许值的规定,沿基础高度隔一定距离应设置锚固钢筋。
5 当采用钢筋混凝土套加固时,基础加宽部分的主筋应与原基础内主筋焊接连接。
6 对条形基础加宽时,应按长度1.5m~2.0m划分单独区段,并采用分批、分段、间隔施工的方法。
条文说明
11.3.2、11.3.3扩大基础底面积加固的特点是:1.经济;2.加强基础刚度与整体性;3.减少基底压力;4.减少基础不均匀沉降。 对条形基础应按长度1.5m~2.0m划分成单独区段,分批、分段、间隔分别进行施工。绝不能在基础全长上挖成连续的坑槽或使坑槽内地基土暴露过久而使原基础产生或加剧不均匀沉降。沿基础高度隔一定距离应设置锚固钢筋,可使加固的新浇混凝土与原有基础混凝土紧密结合成为整体。 当既有建筑的基础开裂或地基基础不满足设计要求时,可采用混凝土套或钢筋混凝土套加大基础底面积,以满足地基承载力和变形的设计要求。 当基础承受偏心受压时,可采用不对称加宽;当承受中心受压时,可采用对称加宽。原则上应保持新旧基础的结合,形成整体。 对加套混凝土或钢筋混凝土的加宽部分,应采用与原基础垫层的材料及厚度相同的夯实垫层,可使加套后的基础与原基础的基底标高和应力扩散条件相同和变形协调。
11.3.4 当不宜采用混凝土套或钢筋混凝土套加大基础底面积时,可将原独立基础改成条形基础;将原条形基础改成十字交叉条形基础或筏形基础;将原筏形基础改成箱形基础。
条文说明
11.3.4采用混凝土或钢筋混凝土套加大基础底面积尚不能满足地基承载力和变形等的设计要求时,可将原独立基础改成条形基础;将原条形基础改成十字交叉条形基础或筏形基础;将原筏形基础改成箱形基础。这样更能扩大基底面积,用以满足地基承载力和变形的设计要求;另外,由于加强了基础的刚度,也可减少地基的不均匀变形。
11.3.5 加深基础法适用于浅层地基土层可作为持力层,且地下水位较低的基础加固。可将原基础埋置深度加深,使基础支承在较好的持力层上。当地下水位较高时,应采取相应的降水或排水措施,同时应分析评价降排水对建筑物的影响。设计时,应考虑原基础能否满足施工要求,必要时,应进行基础加固。
11.3.6 基础加深的混凝土墩可以设计成间断的或连续的。施工时,应先设置间断的混凝土墩,并在挖掉墩间土后,灌注混凝土形成连续墩式基础。基础加深的施工,应按下列步骤进行:
1 先在贴近既有建筑基础的一侧分批、分段、间隔开挖长约1.2m、宽约0.9m的竖坑,对坑壁不能直立的砂土或软弱地基,应进行坑壁支护,竖坑底面埋深应大于原基础底面埋深1.5m。
2 在原基础底面下,沿横向开挖与基础同宽,且深度达到设计持力层深度的基坑。
3 基础下的坑体,应采用现浇混凝土灌注,并在距原基础底面下200mm处停止灌注,待养护一天后,用掺入膨胀剂和速凝剂的干稠水泥砂浆填入基底空隙,并挤实填筑的砂浆。
条文说明
11.3.5、11.3.6加深基础法加固的特点是:1.经济;2.有效减少基础沉降;3.不得连续或集中施工;4.可以是间断墩式也可以是连续墩式。 加深基础法是直接在基础下挖槽坑,再在坑内浇筑混凝土,以增大原基础的埋置深度,使基础直接支承在较好的持力层上,用以满足设计对地基承载力和变形的要求。其适用范围必须在浅层有较好的持力层,不然会因采用人工挖坑而费工费时又不经济;另外,场地的地下水位必须较低才合适,不然人工挖土时会造成邻近土的流失,即使采取相应的降水或排水措施,在施工上也会带来困难,而降水亦会导致对既有建筑产生附加不均匀沉降的隐患。 所浇筑的混凝土墩可以是间断的或连续的,主要取决于被托换的既有建筑的荷载大小和墩下地基土的承载能力及其变形性能。 鉴于施工是采用挖槽坑的方法,所以国外对基础加深法称坑式托换(pitunderpinning);亦因在坑内要浇筑混凝土,故国外对这种施工方法亦有称墩式托换(pierunderpinning)。
11.3.7 当基础为承重的砖石砌体、钢筋混凝土基础梁时,墙基应跨越两墩之间,如原基础强度不能满足两墩间的跨越,应在坑间设置过梁。
条文说明
11.3.7如果加固的基础跨越较大时,应验算两墩之间能否满足承载力和变形的要求,如计算强度和变形不满足既有建筑原设计的要求,应采取设置过梁措施或采取托换措施,以保证施工中建筑物的安全。
11.3.8 对较大的柱基用基础加深法加固时,应将柱基面积划分为几个单元进行加固,一次加固不宜超过基础总面积的20%,施工顺序,应先从角端处开始。
11.3.9 抬墙梁法可采用预制的钢筋混凝土梁或钢梁,穿过原房屋基础梁下,置于基础两侧预先做好的钢筋混凝土桩或墩上。抬墙梁的平面位置应避开一层门窗洞口。
条文说明
11.3.9抬墙梁法类似于结构的“托梁换柱法”,因此在采用这种方法时,必须掌握结构的形式和结构荷载的分布,合理地设置梁下桩的位置,同时还要考虑桩与原基础的受力及变形协调。抬墙梁的平面位置应避开一层门窗洞口,不能避开时,应对抬墙梁上的门窗洞口采取加强措施,并应验算梁支承处砖墙的局部承压强度。
11.4 锚杆静压桩
11.4 锚杆静压桩
11.4.1 锚杆静压桩法适用于淤泥、淤泥质土、黏性土、粉土、人工填土、湿陷性黄土等地基加固。
条文说明
11.4.1锚杆静压桩是锚杆和静压桩结合形成的桩基施工工艺。它是通过在基础上埋设锚杆固定压桩架,以既有建筑的自重荷载作为压桩反力,用千斤顶将桩段从基础中预留或开凿的压桩孔内逐段压入土中,再将桩与基础连接在一起,从而达到提高基础承载力和控制沉降的目的。
11.4.2 锚杆静压桩设计,应符合下列规定:
1 锚杆静压桩的单桩竖向承载力可通过单桩载荷试验确定;当无试验资料时,可按地区经验确定,也可按国家现行标准《建筑地基基础设计规范》GB 50007和《建筑桩基技术规范》JGJ 94有关规定估算。
2 压桩孔应布置在墙体的内外两侧或柱子四周。设计桩数应由上部结构荷载及单桩竖向承载力计算确定;施工时,压桩力不得大于该加固部分的结构自重荷载。压桩孔可预留,或在扩大基础上由人工或机械开凿,压桩孔的截面形状,可做成上小下大的截头锥形,压桩孔洞口的底板、板面应设保护附加钢筋,其孔口每边不宜小于桩截面边长的50mm~100mm。
3 当既有建筑基础承载力和刚度不满足压桩要求时,应对基础进行加固补强,或采用新浇筑钢筋混凝土挑梁或抬梁作为压桩承台。
4 桩身制作除应满足现行行业标准《建筑桩基技术规范》JGJ 94的规定外,尚应符合下列规定:
1)桩身可采用钢筋混凝土桩、钢管桩、预制管桩、型钢等;
2)钢筋混凝土桩宜采用方形,其边长宜为200mm~350mm;钢管桩直径宜为100mm~600mm,壁厚宜为5mm~10mm;预制管桩直径宜为400mm~600mm,壁厚不宜小于10mm;
3)每段桩节长度,应根据施工净空高度及机具条件确定,每段桩节长度宜为1.0m~3.0m;
4)钢筋混凝土桩的主筋配置应按计算确定,且应满足最小配筋率要求。当方桩截面边长为200mm时,配筋不宜少于4 ф 10;当边长为250mm时,配筋不宜少于4 ф 12;当边长为300mm时,配筋不宜少于4 ф 14;当边长为350mm时,配筋不宜少于4 ф 16;抗拔桩主筋由计算确定;
5)钢筋宜选用HRB335级以上,桩身混凝土强度等级不应小于C30级;
6)当单桩承载力设计值大于1500kN时,宜选用直径不小于 ф 400mm的钢管桩;
7)当桩身承受拉应力时,桩节的连接应采用焊接接头;其他情况下,桩节的连接可采用硫磺胶泥或其他方式连接。当采用硫磺胶泥接头连接时,桩节两端连接处,应设置焊接钢筋网片,一端应预埋插筋,另一端应预留插筋孔和吊装孔;当采用焊接接头时,桩节的两端均应设置预埋连接件。
5 原基础承台除应满足承载力要求外,尚应符合下列规定:
1)承台周边至边桩的净距不宜小于300mm;
2)承台厚度不宜小于400mm;
3)桩顶嵌入承台内长度应为50mm~100mm;当桩承受拉力或有特殊要求时,应在桩顶四角增设锚固筋,锚固筋伸入承台内的锚固长度,应满足钢筋锚固要求;
4)压桩孔内应采用混凝土强度等级为C30或不低于基础强度等级的微膨胀早强混凝土浇筑密实;
5)当原基础厚度小于350mm时,压桩孔应采用2 ф 16钢筋交叉焊接于锚杆上,并应在浇筑压桩孔混凝土时,在桩孔顶面以上浇筑桩帽,厚度不得小于150mm。
6 锚杆应根据压桩力大小通过计算确定。锚杆可采用带螺纹锚杆、端头带镦粗锚杆或带爪肢锚杆,并应符合下列规定:
1)当压桩力小于400kN时,可采用M24锚杆;当压桩力为400kN~500kN时,可采用M27锚杆;
2)锚杆螺栓的锚固深度可采用12倍~15倍螺栓直径,且不应小于300mm,锚杆露出承台顶面长度应满足压桩机具要求,且不应小于120mm;
3)锚杆螺栓在锚杆孔内的胶粘剂可采用植筋胶、环氧砂浆或硫磺胶泥等;
4)锚杆与压桩孔、周围结构及承台边缘的距离不应小于200mm。
11.4.3 锚杆静压桩施工应符合下列规定:
1 锚杆静压桩施工前,应做好下列准备工作:
1)清理压桩孔和锚杆孔施工工作面;
2)制作锚杆螺栓和桩节;
3)开凿压桩孔,孔壁凿毛;将原承台钢筋割断后弯起,待压桩后再焊接;
4)开凿锚杆孔,应确保锚杆孔内清洁干燥后再埋设锚杆,并以胶粘剂加以封固。
2 压桩施工应符合下列规定:
1)压桩架应保持竖直,锚固螺栓的螺母或锚具应均衡紧固,压桩过程中,应随时拧紧松动的螺母;
2)就位的桩节应保持竖直,使千斤顶、桩节及压桩孔轴线重合,不得采用偏心加压;压桩时,应垫钢板或桩垫,套上钢桩帽后再进行压桩。桩位允许偏差应为±20mm,桩节垂直度允许偏差应为桩节长度的±1.0%;钢管桩平整度允许偏差应为±2mm,接桩处的坡口应为45°,焊缝应饱满、无气孔、无杂质,焊缝高度应为h=t+1(mm,t为壁厚);
3)桩应一次连续压到设计标高。当必须中途停压时,桩端应停留在软弱土层中,且停压的间隔时间不宜超过24h;
4)压桩施工应对称进行,在同一个独立基础上,不应数台压桩机同时加压施工;
5)焊接接桩前,应对准上、下节桩的垂直轴线,且应清除焊面铁锈后,方可进行满焊施工;
6)采用硫磺胶泥接桩时,其操作施工应按现行国家标准《建筑地基基础工程施工质量验收规范》GB 50202的规定执行;
7)可根据静力触探资料,预估最大压桩力选择压桩设备。最大压桩力P p(z) 和设计最终压桩力P p 可分别按式(11.4.3-1)和式(11.4.3-2)计算:
P p(z) =K s ·p s(z) (11.4.3-1)
P p =K p ·R d (11.4.3-2)
式中:P p(z) ——桩入土深度为z时的最大压桩力(kN);
K s ——换算系数(m 2 ),可根据当地经验确定;
p s(z) ——桩入土深度为z时的最大比贯入阻力(kPa);
P p ——设计最终压桩力(kN);
K p ——压桩力系数,可根据当地经验确定,且不宜小于2.0;
R d ——单桩竖向承载力特征值(kN)。
8)桩尖应达到设计深度,且压桩力不小于设计单桩承载力1.5倍时的持续时间不少于5min时,可终止压桩;
9)封桩前,应凿毛和刷洗干净桩顶桩侧表面,并涂混凝土界面剂,压桩孔内封桩应采用C30或C35微膨胀混凝土,封桩可采用不施加预应力的方法或施加预应力的方法。
条文说明
11.4.2、11.4.3当既有建筑基础承载力不满足压桩所需的反力时,则应对基础进行加固补强;也可采用新浇筑的钢筋混凝土挑梁或抬梁作为压桩的承台。 封桩是锚杆静压桩技术的关键工序,封桩可分别采用不施加预应力的方法及施加预应力的方法。 不施加预应力的方法封桩工序(图7)为: 
图7锚杆静压桩封桩节点示意 1—锚固筋(下端与桩焊接,上端弯折后与交叉钢筋焊接);2—交叉钢筋; 3—锚杆(与交叉钢筋焊接);4—基础;5—C30微膨胀混凝土;6—钢筋混凝土桩 清除压桩孔周围桩帽梁区域内的泥土-将桩帽梁区域内基础混凝土表面清洗干净-清洗压桩孔壁-清除压桩孔内的泥水-焊接交叉钢筋-检查-浇捣C30或C35微膨胀混凝土-检查封桩孔有无渗水。锚固筋不宜少于414。 对沉降敏感的建筑物或要求加固后制止沉降起到立竿见影效果的建筑物(如古建筑、沉降缝两侧等部位),其封桩可采用预加预应力的方法(图8)。通过预加反力封桩,附加沉降可以减少,收到良好的效果。 
图8预加反力封桩示意 1—反力架;2—压桩架;3—板面钢筋;4—千斤顶;5—锚杆; 6—预加反力钢杆(槽钢或钢管);7—锚固筋;8—C30微膨胀混凝土;9—压桩孔;10—钢筋混凝土桩 具体做法:在桩顶上预加反力(预加反力值一般为1.2倍单桩承载力),此时底板上保留了一个相反的上拔力,由此减少了基底反力,在桩顶预加反力作用下,桩身即形成了一个预加反力区,然后将桩与基础底板浇捣微膨胀混凝土,形成整体,待封桩混凝土硬结后拆除桩顶上千斤顶,桩身有很大的回弹力,从而减少基础的拖带沉降,起到减少沉降的作用。 常用的预加反力装置为一种用特制短反力架,通过特制的预加反力短柱,使千斤顶和桩顶起到传递荷载的作用,然后当千斤顶施加要求的反力后,立即浇捣C30或C35微膨胀早强混凝土,当封桩混凝土强度达到设计要求后,拆除千斤顶和反力架。 1)锚杆静压桩对工程地质勘察除常规要求外,应补充进行静力触探试验。 2)压桩施工时不宜数台压桩机同时在一个独立柱基上施工,压桩施工应一次到位。 3)条形基础桩位靠近基础两侧,减少基础的弯矩。独立柱基围绕柱子对称布置,板基、筏基靠近荷载大的部位及基础边缘,尤其角的部位,适应马鞍形基底接触应力分布。 大型锚杆静压桩法可用于新建高层建筑桩基工程中经常遇到的类似断桩、缩径、偏斜、接头脱开等质量事故工程,以及既有高层建筑的使用功能改变或裙房区的加层等基础托换加固工程。 在加固工程中硫磺胶泥是一种常用的连接材料,下面对硫磺胶泥的配合比和主要物理力学性能指标简单介绍。 1硫磺胶泥的重量配合比为:硫磺:水泥:砂:聚硫橡胶(44:11:44:1)。 2硫磺胶泥的主要物理性能如下: 1)热变性:硫磺胶泥的强度与温度的关系:在60℃以内强度无明显影响;120℃时变液态且随着温度的继续升高,由稠变稀;到140℃~145℃时,密度最大且和易性最好;170℃时开始沸腾;超过180℃开始焦化,且遇明火即燃烧。 2)重度:22.8kN/m3~23.2kN/m3。 3)吸水率:硫磺胶泥的吸水率与胶泥制作质量、重度及试件表面的平整度有关,一般为0.12%~0.24%。 4)弹性模量:5×104MPa。 5)耐酸性:在常温下耐盐酸、硫酸、磷酸、40%以下的硝酸、25%以下的铬酸、中等浓度乳酸和醋酸。 3硫磺胶泥的主要力学性能要求如下: 1)抗拉强度:4MPa; 2)抗压强度:40MPa; 3)抗折强度:10MPa; 4)握裹强度:与螺纹钢筋为11MPa;与螺纹孔混凝土为4MPa; 5)疲劳强度:参照混凝土的试验方法,当疲劳应力比ρ为0.38时,疲劳强度修正系数为γp>0.8。
11.4.4 锚杆静压桩质量检验,应符合下列规定:
1 最终压桩力与桩压入深度,应符合设计要求。
2 桩帽梁、交叉钢筋及焊接质量,应符合设计要求。
3 桩位允许偏差应为±20mm。
4 桩节垂直度允许偏差不应大于桩节长度的1.0%。
5 钢管桩平整度允许偏差应为±2mm,接桩处的坡口应为45°,接桩处焊缝应饱满、无气孔、无杂质,焊缝高度应为h=t+1(mm,t为壁厚)。
6 桩身试块强度和封桩混凝土试块强度,应符合设计要求。
11.5 树根桩
11.5 树根桩
11.5.1 树根桩适用于淤泥、淤泥质土、黏性土、粉土、砂土、碎石土及人工填土等地基加固。
条文说明
11.5.1树根桩也称为微型桩或小桩,树根桩适用于各种不同的土质条件,对既有建筑的修复、增层、地下铁道的穿越以及增加边坡稳定性等托换加固都可应用,其适用性非常广泛。
11.5.2 树根桩设计,应符合下列规定:
1 树根桩的直径宜为150mm~400mm,桩长不宜超过30m,桩的布置可采用直桩或网状结构斜桩。
2 树根桩的单桩竖向承载力可通过单桩载荷试验确定;当无试验资料时,也可按现行国家标准《建筑地基基础设计规范》GB 50007的有关规定估算。
3 桩身混凝土强度等级不应小于C20;混凝土细石骨料粒径宜为10mm~25mm;钢筋笼外径宜小于设计桩径的40mm~60mm;主筋直径宜为12mm~18mm;箍筋直径宜为6mm~8mm,间距宜为150mm~250mm;主筋不得少于3根;桩承受压力作用时,主筋长度不得小于桩长的2/3;桩承受拉力作用时,桩身应通长配筋;对直径小于200mm树根桩,宜注水泥砂浆,砂粒粒径不宜大于0.5mm。
4 有经验地区,可用钢管代替树根桩中的钢筋笼,并采用压力注浆提高承载力。
5 树根桩设计时,应对既有建筑的基础进行承载力的验算。当基础不满足承载力要求时,应对原基础进行加固或增设新的桩承台。
6 网状结构树根桩设计时,可将桩及周围土体视作整体结构进行整体验算,并应对网状结构中的单根树根桩进行内力分析和计算。
7 网状结构树根桩的整体稳定性计算,可采用假定滑动面不通过网状结构树根桩的加固体进行计算,有地区经验时,可按圆弧滑动法,考虑树根桩的抗滑力进行计算。
条文说明
11.5.2树根桩设计时,应对既有建筑的基础进行有关承载力的验算。当不满足要求时,应先对原基础进行加固或增设新的桩承台。树根桩的单桩竖向承载力可按载荷试验得到,也可按国家现行标准《建筑地基基础设计规范》GB50007有关规定结合地区经验估算,但应考虑既有建筑的地基变形条件的限制和考虑桩身材料强度的要求。设计人员要根据被加固建筑物的具体条件,预估既有建筑所能承受的最大沉降量。在载荷试验中,可由荷载-沉降曲线上求出相应允许沉降量的单桩竖向承载力。
11.5.3 树根桩施工,应符合下列规定:
1 桩位允许偏差应为±20mm;直桩垂直度和斜桩倾斜度允许偏差不应大于1%。
2 可采用钻机成孔,穿过原基础混凝土。在土层中钻孔时,应采用清水或天然地基泥浆护壁;可在孔口附近下一段套管;作为端承桩使用时,钻孔应全桩长下套管。钻孔到设计标高后,清孔至孔口泛清水为止;当土层中有地下水,且成孔困难时,可采用套管跟进成孔或利用套管替代钢筋笼一次成桩。
3 钢筋笼宜整根吊放。当分节吊放时,节间钢筋搭接焊缝采用双面焊时,搭接长度不得小于5倍钢筋直径;采用单面焊时,搭接长度不得小于10倍钢筋直径。注浆管应直插到孔底,需二次注浆的树根桩应插两根注浆管,施工时,应缩短吊放和焊接时间。
4 当采用碎石和细石填料时,填料应经清洗,投入量不应小于计算桩孔体积的90%。填灌时,应同时采用注浆管注水清孔。
5 注浆材料可采用水泥浆、水泥砂浆或细石混凝土,当采用碎石填灌时,注浆应采用水泥浆。
6 当采用一次注浆时,泵的最大工作压力不应低于1.5MPa。注浆时,起始注浆压力不应小于1.0MPa,待浆液经注浆管从孔底压出后,注浆压力可调整为0.1MPa~0.3MPa,浆液泛出孔口时,应停止注浆。
当采用二次注浆时,泵的最大工作压力不宜低于4.0MPa,且待第一次注浆的浆液初凝时,方可进行第二次注浆。浆液的初凝时间根据水泥品种和外加剂掺量确定,且宜为45min~100min。第二次注浆压力宜为1.0MPa~3.0MPa,二次注浆不宜采用水泥砂浆和细石混凝土;
7 注浆施工时,应采用间隔施工、间歇施工或增加速凝剂掺量等技术措施,防止出现相邻桩冒浆和窜孔现象。
8 树根桩施工,桩身不得出现缩颈和塌孔。
9 拔管后,应立即在桩顶填充碎石,并在桩顶1m~2m范围内补充注浆。
条文说明
11.5.3树根桩的施工由于采用了注浆成桩的工艺,根据上海经验通常有50%以上的水泥浆液注入周围土层,从而增大了桩侧摩阻力。树根桩施工可采用二次注浆工艺。采用二次注浆可提高桩极限摩阻力的30%~50%。由于二次注浆通常在某一深度范围内进行,极限摩阻力的提高仅对该土层范围而言。 如采用二次注浆,则需待第一次注浆的浆液初凝时方可进行。第二次注浆压力必须克服初凝浆液的凝聚力并剪裂周围土体,从而产生劈裂现象。浆液的初凝时间一般控制在45min~60min范围,而第二次注浆的最大压力一般不大于4MPa。 拔管后孔内混凝土和浆液面会下降,当表层土质松散时会出现浆液流失现象,通常的做法是立即在桩顶填充碎石和补充注浆。
11.5.4 树根桩质量检验,应符合下列规定:
1 每3根~6根桩,应留一组试块,并测定试块抗压强度。
2 应采用载荷试验检验树根桩的竖向承载力,有经验时,可采用动测法检验桩身质量。
条文说明
11.5.4树根桩试块取自成桩后的桩顶混凝土,按现行国家标准《混凝土结构设计规范》GB50010,试块尺寸为150mm立方体,其强度等级由28d龄期的用标准试验方法测得的抗压强度值确定。树根桩静载荷试验可参照混凝土灌注桩试验方法进行。
11.6 坑式静压桩
11.6 坑式静压桩
11.6.1 坑式静压桩适用于淤泥、淤泥质土、黏性土、粉土、湿陷性黄土和人工填土且地下水位较低的地基加固。
条文说明
11.6.1坑式静压桩是采用既有建筑自重做反力,用千斤顶将桩段逐段压入土中的施工方法。千斤顶上的反力梁可利用原有基础下的基础梁或基础板,对无基础梁或基础板的既有建筑,则可将底层墙体加固后再进行坑式静压桩施工。这种对既有建筑地基的加固方法,国外称压入桩(jackedpiles)。 当地基土中含有较多的大块石、坚硬黏性土或密实的砂土夹层时,由于桩压入时难度较大,需要根据现场试验确定其适用与否。
11.6.2 坑式静压桩设计,应符合下列规定:
1 坑式静压桩的单桩承载力,可按现行国家标准《建筑地基基础设计规范》GB 50007的有关规定估算。
2 桩身可采用直径为100mm~600mm的开口钢管,或边长为150mm~350mm的预制钢筋混凝土方桩,每节桩长可按既有建筑基础下坑的净空高度和千斤顶的行程确定。
3 钢管桩管内应满灌混凝土,桩管外宜做防腐处理,桩段之间的连接宜用焊接连接;钢筋混凝土预制桩,上、下桩节之间宜用预埋插筋并采用硫磺胶泥接桩,或采用上、下桩节预埋铁件焊接成桩。
4 桩的平面布置,应根据既有建筑的墙体和基础形式及荷载大小确定,可采用一字形、三角形、正方形或梅花形等布置方式,应避开门窗等墙体薄弱部位,且应设置在结构受力节点位置。
5 当既有建筑基础承载力不能满足压桩反力时,应对原基础进行加固,增设钢筋混凝土地梁、型钢梁或钢筋混凝土垫块,加强基础结构的承载力和刚度。
条文说明
11.6.2国内坑式静压桩的桩身多数采用边长为150mm~250mm的预制钢筋混凝土方桩,亦有采用桩身直径为100mm~600mm开口钢管,国外一般不采用闭口的或实体的桩,因为后者顶进时属挤土桩,会扰动桩周的土,从而使桩周土的强度降低;另外,当桩端下遇到障碍时,则桩身就无法顶进。开口钢管桩的顶进对桩周土的扰动影响相对较小,国外使用钢管的直径一般为300mm~450mm,如遇漂石,亦可用锤击破碎或用冲击钻头钻除,但一般不采用爆破方法。 桩的平面布置都是按基础或墙体中心轴线布置的,同一个施工坑内可布置1~3根桩,绝大部分工程都是采用单桩和双桩。只有在纵横墙相交部位的施工坑内,横墙布置1根和纵墙2根形成三角的3根静压桩。
11.6.3 坑式静压桩施工,应符合下列规定:
1 施工时,先在贴近被加固建筑物的一侧开挖竖向工作坑,对砂土或软弱土等地基应进行坑壁支护,并在基础梁、承台梁或直接在基础底面下开挖竖向工作坑。
2 压桩施工时,应在第一节桩桩顶上安置千斤顶及测力传感器,再驱动千斤顶压桩,每压入下一节桩后,再接上一节桩。
3 钢管桩各节的连接处可采用套管接头;当钢管桩较长或土中有障碍物时,需采用焊接接头,整个焊口(包括套管接头)应为满焊;预制钢筋混凝土方桩,桩尖可将主筋合拢焊在桩尖辅助钢筋上,在密实砂和碎石类土中,可在桩尖处包以钢板桩靴,桩与桩间接头,可采用焊接或硫磺胶泥接头。
4 桩位允许偏差应为±20mm;桩节垂直度允许偏差不应大于桩节长度的1%。
5 桩尖到达设计深度后,压桩力不得小于单桩竖向承载力特征值的2倍,且持续时间不应少于5min。
6 封桩可采用预应力法或非预应力法施工:
1)对钢筋混凝土方桩,压桩达到设计深度后,应采用C30微膨胀早强混凝土将桩与原基础浇筑成整体;
2)当施加预应力封桩时,可采用型钢支架托换,再浇筑混凝土;对钢管桩,应根据工程要求,在钢管内浇筑微膨胀早强混凝土,最后用混凝土将桩与原基础浇筑成整体。
条文说明
11.6.3由于压桩过程中是动摩擦力,因此压桩力达2倍设计单桩竖向承载力特征值相应的深度土层内,对于细粒土一般能满足静载荷试验时安全系数为2的要求;遇有碎石土,卵石土粒径较大的夹层,压入困难时,应采取掏土、振动等技术措施,保证单桩承载力。 对于静压桩与基础梁(或板)的连接,一般采用木模或临时砖模,再在模内浇灌C30混凝土,防止混凝土干缩与基础脱离。 为了消除静压桩顶进至设计深度后,取出千斤顶时桩身的卸载回弹,可采用克服或消除这种卸载回弹的预应力方法。其做法是预先在桩顶上安装钢制托换支架,在支架上设置两台并排的同吨位千斤顶,垫好垫块后同步压至压桩终止压力后,将已截好的钢管或工字钢的钢柱塞入桩顶与原基础底面间,并打入钢楔挤紧后,千斤顶同步卸荷至零,取出千斤顶,拆除托换支架,对填塞钢柱的上下两端周边应焊牢,最后用C30混凝土将其与原基础浇筑成整体。 封桩可根据要求采用预应力法或非预应力法施工。施工工艺可参考第11.4节锚杆静压桩封桩方法。
11.6.4 坑式静压桩质量检验,应符合下列规定:
1 最终压桩力与压桩深度,应符合设计要求。
2 桩材试块强度,应符合设计要求。
11.7 注浆加固
11.7 注浆加固
11.7.1 注浆加固适用于砂土、粉土、黏性土和人工填土等地基加固。
条文说明
11.7.1注浆加固(grouting)亦称灌浆法,是指利用液压、气压或电化学原理,通过注浆管把浆液注入地层中,浆液以填充、渗透和挤密等方式,将土颗粒或岩石裂隙中的水分和空气排除后占据其位置,经一定时间后,浆液将原来松散的土粒或裂隙胶结成一个整体,形成一个结构新、强度大、防水性能高和化学稳定性良好的“结石体”。 注浆加固的应用范围有: 1提高地基土的承载力、减少地基变形和不均匀变形。 2进行托换技术,对古建筑的地基加固常用。 3用以纠倾和抬升建筑。 4用以减少地铁施工时的地面沉降,限制地下水的流动和控制施工现场土体的位移等。
11.7.2 注浆加固设计前,宜进行室内浆液配比试验和现场注浆试验,确定设计参数和检验施工方法及设备;有地区经验时,可按地区经验确定设计参数。
条文说明
11.7.2注浆加固的效果与注浆材料、地基土性质、地下水性质关系密切,应通过现场试验确定加固效果,施工参数,注浆材料配比、外加剂等,有经验的地区应结合工程经验进行设计。注浆加固设计依加固目的,应满足土的强度、渗透性、抗剪强度等要求,加固后的地基满足均匀性要求。
11.7.3 注浆加固设计,应符合下列规定:
1 劈裂注浆加固地基的浆液材料可选用以水泥为主剂的悬浊液,或选用水泥和水玻璃的双液型混合液。防渗堵漏注浆的浆液可选用水玻璃、水玻璃与水泥的混合液或化学浆液,不宜采用对环境有污染的化学浆液。对有地下水流动的地基土层加固,不宜采用单液水泥浆,宜采用双液注浆或其他初凝时间短的速凝配方。压密注浆可选用低坍落度的水泥砂浆,并应设置排水通道。
2 注浆孔间距应根据现场试验确定,宜为1.2m~2.0m;注浆孔可布置在基础内、外侧或基础内,基础内注浆后,应采取措施对基础进行封孔。
3 浆液的初凝时间,应根据地基土质条件和注浆目的确定,砂土地基中宜为5min~20min,黏性土地基中宜为1h~2h。
4 注浆量和注浆有效范围的初步设计,可按经验公式确定。施工图设计前,应通过现场注浆试验确定。在黏性土地基中,浆液注入率宜为15%~20%。注浆点上的覆盖土厚度不应小于2.0m。
5 劈裂注浆的注浆压力,在砂土中宜为0.2MPa~0.5MPa,在黏性土中宜为0.2MPa~0.3MPa;对压密注浆,水泥砂浆浆液坍落度宜为25mm~75mm,注浆压力宜为1.0MPa~7.0MPa。当采用水泥-水玻璃双液快凝浆液时,注浆压力不应大于1MPa。
条文说明
11.7.3浆液材料可分为下列几类(图9): 注浆按工艺性质分类可分为单液注浆和双液注浆。在有地下水流动的情况下,不应采用单液水泥浆,而应采用双液注浆,及时凝结,以免流失。 初凝时间是指在一定温度条件下,浆液混合剂到丧失流动性的这一段时间。在调整初凝时间时必须考虑气温、水温和液温的影响。单液注浆适合于凝固时间长,双液注浆适合于凝固时间短。 假定软土的孔隙率n=50%,充填率α=40%,故浆液注入率约为20%。 若注浆点上覆盖土厚度小于2m,则较难避免在注浆初期产生“冒浆”现象。 
图9浆液材料 按浆液在土中流动的方式,可将注浆法分为三类: 1渗透注浆 浆液在很小的压力下,克服地下水压、土粒孔隙间的阻力和本身流动的阻力,渗入土体的天然孔隙,并与土粒骨架产生固化反应,在土层结构基本不受扰动和破坏的情况下达到加固的目的。 渗透注浆适用于渗透系数k>10-4cm/s的砂性土。 2劈裂注浆 当土的渗透系数k<10-4cm/s,应采用劈裂注浆,在劈裂注浆中,注浆管出口的浆液对周围地层施加了附加压应力,使土体产生剪切裂缝,而浆液则沿裂缝面劈裂。当周围土体是非匀质体时,浆液首先劈入强度最低的部分土体。当浆液的劈裂压力增大到一定程度时,再劈入另一部分强度较高的部分土体,这样劈入土体中的浆液便形成了加固土体的网络或骨架。 从实际加固地基开挖情况看,浆液的劈裂途径有竖向的、斜向的和水平向的。竖向劈裂是由土体受到扰动而产生的竖向裂缝;斜向的和水平向的劈裂是浆液沿软弱的或夹砂的土层劈裂而形成的。 3压密注浆 压密注浆是指通过钻孔在土中灌入极浓的浆液,在注浆点使土体压密,在注浆管端部附近形成“浆泡”,当浆泡的直径较小时,灌浆压力基本上沿钻孔的径向扩展。随着浆泡尺寸的逐渐增大,便产生较大的上抬力而使地面抬动。浆泡的形状一般为球形或圆柱形。浆泡的最后尺寸取决于土的密度、湿度、力学条件、地表约束条件、灌浆压力和注浆速率等因素。离浆泡界面0.3m~2.0m内的土体都能受到明显的加密。评价浆液稠度的指标通常是浆液的坍落度。如采用水泥砂浆浆液,则坍落度一般为25mm~75mm,注浆压力为1MPa~7MPa。当坍落度较小时,注浆压力可取上限值。 渗透、劈裂和压密一般都会在注浆过程中同时出现。 “注浆压力”是指浆液在注浆孔口的压力,注浆压力的大小取决于以上三种注浆方式的不同、土性的不同和加固设计要求的不同。 由于土层的上部压力小,下部压力大,浆液就有向上抬高的趋势。灌注深度大,上抬不明显,而灌注深度浅,则上抬较多,甚至溢到地面上来,此时可用多孔间歇注浆法,亦即让一定数量的浆液灌注入上层孔隙大的土中后,暂停工作让浆液凝固,这样就可把上抬的通道堵死;或者加快浆液的凝固时间,使浆液(双液)出注浆管就凝固。
11.7.4 注浆加固施工,应符合下列规定:
1 施工场地应预先平整,并沿钻孔位置开挖沟槽和集水坑。
2 注浆施工时,宜采用自动流量和压力记录仪,并应及时对资料进行整理分析。
3 注浆孔的孔径宜为70mm~110mm,垂直度偏差不应大于1%。
4 花管注浆施工,可按下列步骤进行:
1)钻机与注浆设备就位;
2)钻孔或采用振动法将花管置入土层;
3)当采用钻孔法时,应从钻杆内注入封闭泥浆,插入孔径为50mm的金属花管;
4)待封闭泥浆凝固后,移动花管自下向上或自上向下进行注浆。
5 塑料阀管注浆施工,可按下列步骤进行:
1)钻机与灌浆设备就位;
2)钻孔;
3)当钻孔钻到设计深度后,从钻杆内灌入封闭泥浆,或直接采用封闭泥浆钻孔;
4)插入塑料单向阀管到设计深度。当注浆孔较深时,阀管中应加入水,以减小阀管插入土层时的弯曲;
5)待封闭泥浆凝固后,在塑料阀管中插入双向密封注浆芯管,再进行注浆,注浆时,应在设计注浆深度范围内自下而上(或自上而下)移动注浆芯管;
6)当使用同一塑料阀管进行反复注浆时,每次注浆完毕后,应用清水冲洗塑料阀管中的残留浆液。对于不宜采用清水冲洗的场地,宜用陶土浆灌满阀管内。
6 注浆管注浆施工,可按下列步骤进行:
1)钻机与灌浆设备就位;
2)钻孔或采用振动法将金属注浆管压入土层;
3)当采用钻孔法时,应从钻杆内灌入封闭泥浆,然后插入金属注浆管;
4)待封闭泥浆凝固后(采用钻孔法时),捅去金属管的活络堵头进行注浆,注浆时,应在设计注浆深度范围内,自下而上移动注浆管。
7 低坍落度砂浆压密注浆施工,可按下列步骤进行:
1)钻机与灌浆设备就位;
2)钻孔或采用振动法将金属注浆管置入土层;
3)向底层注入低坍落度水泥砂浆,应在设计注浆深度范围内,自下而上移动注浆管。
8 封闭泥浆的7d立方体试块的抗压强度应为0.3MPa~0.5MPa,浆液黏度应为80″~90″。
9 注浆用水泥的强度等级不宜小于32.5级。
10 注浆时可掺用粉煤灰,掺入量可为水泥重量的20%~50%。
11 根据工程需要,浆液拌制时,可根据下列情况加入外加剂:
1)加速浆体凝固的水玻璃,其模数应为3.0~3.3。水玻璃掺量应通过试验确定,宜为水泥用量的0.5%~3%;
2)为提高浆液扩散能力和可泵性,可掺加表面活性剂(或减水剂),其掺加量应通过试验确定;
3)为提高浆液均匀性和稳定性,防止固体颗粒离析和沉淀,可掺加膨润土,膨润土掺加量不宜大于水泥用量的5%;
4)可掺加早强剂、微膨胀剂、抗冻剂、缓凝剂等,其掺加量应分别通过试验确定。
12 注浆用水不得采用pH值小于4的酸性水或工业废水。
13 水泥浆的水灰比宜为0.6~2.0,常用水灰比为1.0。
14 劈裂注浆的流量宜为7L/min~15L/min。充填型灌浆的流量不宜大于20L/min。压密注浆的流量宜为10L/min~40L/min。
15 注浆管上拔时,宜使用拔管机。塑料阀管注浆时,注浆芯管每次上拔高度应与阀管开孔间距一致,且宜为330mm;花管或注浆管注浆时,每次上拔或下钻高度宜为300mm~500mm;采用砂浆压密注浆,每次上拔高度宜为400mm~600mm。
16 浆体应经过搅拌机充分搅拌均匀后,方可开始压注。注浆过程中,应不停缓慢搅拌,搅拌时间不应大于浆液初凝时间。浆液在泵送前,应经过筛网过滤。
17 在日平均温度低于5℃或最低温度低于-3℃的条件下注浆时,应在施工现场采取保温措施,确保浆液不冻结。
18 浆液水温不得超过35℃,且不得将盛浆桶和注浆管路在注浆体静止状态暴露于阳光下,防止浆液凝固。
19 注浆顺序应根据地基土质条件、现场环境、周边排水条件及注浆目的等确定,并应符合下列规定:
1)注浆应采用先外围后内部的跳孔间隔的注浆施工,不得采用单向推进的压注方式;
2)对有地下水流动的土层注浆,应自水头高的一端开始注浆;
3)对注浆范围以外有边界约束条件时,可采用从边界约束远侧往近侧推进的注浆的方式,深度方向宜由下向上进行注浆;
4)对渗透系数相近的土层注浆,应先注浆封顶,再由下至上进行注浆。
20 既有建筑地基注浆时,应对既有建筑及其邻近建筑、地下管线和地面的沉降、倾斜、位移和裂缝进行监测,且应采用多孔间隔注浆和缩短浆液凝固时间等技术措施,减少既有建筑基础、地下管线和地面因注浆而产生的附加沉降。
条文说明
11.7.4注浆压力和流量是施工中的两个重要参数,任何注浆方式均应有压力和流量的记录。自动流量和压力记录仪能随时记录并打印出注浆过程中的流量和压力值。 在注浆过程中,对注浆的流量、压力和注浆总流量中,可分析地层的空隙、确定注浆的结束条件、预测注浆的效果。 注浆施工方法较多,以上海地区而论最为常用的是花管注浆和单向阀管注浆两种施工方法。对一般工程的注浆加固,还是以花管注浆作为注浆工艺的主体。 花管注浆的注浆管在头部1m~2m范围内侧壁开孔,孔眼为梅花形布置,孔眼直径一般为3mm~4mm。注浆管的直径一般比锥尖的直径小1mm~2mm。有时为防止孔眼堵塞,可在开口的孔眼外再包一圈橡皮环。 为防止浆液沿管壁上冒,可加一些速凝剂或压浆后间歇数小时,使在加固层表面形成一层封闭层。如在地表有混凝土之类的硬壳覆盖的情况,也可将注浆管一次压到设计深度,再由下而上分段施工。 花管注浆工艺虽简单,成本低廉,但其存在的缺点是:1遇卵石或块石层时沉管困难;2不能进行二次注浆;3注浆时易于冒浆;4注浆深度不及塑料单向阀管。 注浆时可采用粉煤灰代替部分水泥的原因是: 1粉煤灰颗粒的细度比水泥还细,及其占优势的球形颗粒,使比仅含有水泥和砂的浆液更容易泵送,用粉煤灰代替部分水泥或砂,可保持浆体的悬浮状态,以免发生离析和减少沉积来改善可泵性和可灌性。 2粉煤灰具有火山灰活性,当加入到水泥中可增加胶结性,这种反应产生的粘结力比水泥砂浆间的粘结更为坚固。 3粉煤灰含有一定量的水溶性硫酸盐,增强了水泥浆的抗硫酸盐性。 4粉煤灰掺入水泥的浆液比一般水泥浆液用的水少,而通常浆液的强度与水灰比有关,它随水的减少而增加。 5使用粉煤灰可达到变废为宝,具有社会效益,并节约工程成本。 每段注浆的终止条件为吸浆量小于1L/min~2L/min。当某段注浆量超过设计值的1倍~1.5倍时,应停止注浆,间歇数小时后再注,以防浆液扩到加固段以外。 为防止邻孔串浆,注浆顺序应按跳孔间隔注浆方式进行,并宜采用先外围后内部的注浆施工方法,以防浆液流失。当地下水流速较大时,应考虑浆液在水流中的迁移效应,应从水头高的一端开始注浆。 在浆液进行劈裂的过程中,产生超孔隙水压力,孔隙水压力的消散使土体固结和劈裂浆体的凝结,从而提高土的强度和刚度。但土层的固结要引起土体的沉降和位移。因此,土体加固的效应与土体扰动的效应是同时发展的过程,其结果是导致加固土体的效应和某种程度土体的变形,这就是单液注浆的初期会产生地基附加沉降的原因。而多孔间隔注浆和缩短浆液凝固时间等措施,能尽量减少既有建筑基础因注浆而产生的附加沉降。
11.7.5 注浆加固地基的质量检验,应符合下列规定:
1 注浆检验时间应在注浆施工结束28d后进行。质量检测方法可用标准贯入试验、静力触探试验、轻便触探试验或静载荷试验对加固地层进行检测。对注浆效果的评定,应注重注浆前后数据的比较,并结合建筑物沉降观测结果综合评价注浆效果。
2 应在加固土的全部深度范围内,每间隔1.0m取样进行室内试验,测定其压缩性、强度或渗透性。
3 注浆检验点应设在注浆孔之间,检测数量应为注浆孔数的2%~5%。当检验点合格率小于或等于80%,或虽大于80%但检验点的平均值达不到强度或防渗的设计要求时,应对不合格的注浆区实施重复注浆。
4 应对注浆凝固体试块进行强度试验。
条文说明
11.7.5注浆施工质量高不等于注浆效果好,因此,在设计和施工中,除应明确规定某些质量指标外,还应规定所要达到的注浆效果及检查方法。 1计算灌浆量,可利用注浆过程中的流量和压力曲线进行分析,从而判断注浆效果。 2由于浆液注入地层的不均匀性,采用地球物理检测方法,实际上存在难以定量和直接反映的缺点。标准贯入、轻型动力触探和静力触探的检测方法,简单实用,但它存在仅能反映取样点的加固效果的特点,因此对地基注浆加固效果评价的检查数量应满足统计要求,检验标准应通过现场试验对比校核使用。 3检验点的数量和合格的标准除应按规范条文执行外,对不足20孔的注浆工程,至少应检测3个点。
11.8 石灰桩
11.8 石灰桩
11.8.1 石灰桩适用于加固地下水位以下的黏性土、粉土、松散粉细砂、淤泥、淤泥质土、杂填土或饱和黄土等地基加固,对重要工程或地质条件复杂而又缺乏经验的地区,施工前,应通过现场试验确定其适用性。
条文说明
11.8.1石灰桩是由生石灰和粉煤灰(火山灰或其他掺合料)组成的加固体。石灰桩对环境具有一定的污染,在使用时应充分论证对环境要求的可行性和必要性。 石灰桩对软弱土的加固作用主要有以下几个方面: 1成孔挤密:其挤密作用与土的性质有关。在杂填土中,由于其粗颗粒较多,故挤密效果较好;黏性土中,渗透系数小的,挤密效果较差。 2吸水作用:实践证明,1kg纯氧化钙消化成为熟石灰可吸水0.32kg。对石灰桩桩体,在一般压力下吸水量约为桩体体积的65%~70%。根据石灰桩吸水总量等于桩间土降低的水总量,可得出软土含水量的降低值。 3膨胀挤密:生石灰具有吸水膨胀作用,在压力50kPa~100kPa时,膨胀量为20%~30%,膨胀的结果使桩周土挤密。 4发热脱水:1kg氧化钙在水化时可产生280cal热量,桩身温度可达200℃~300℃,使土产生一定的气化脱水,从而导致土中含水量下降、孔隙比减小、土颗粒靠拢挤密,在所加固区的地下水位也有一定的下降,并促使某些化学反应形成,如水化硅酸钙的形成。 5离子交换:软土中钠离子与石灰中的钙离子发生置换,改善了桩间土的性质,并在石灰桩表层形成一个强度很高的硬层。 以上这些作用,使桩间土的强度提高、对饱和粉土和粉细砂还改善了其抗液化性能。 6置换作用:软土为强度较高的石灰桩所代替,从而增加了复合地基承载力,其复合地基承载力的大小,取决于桩身强度与置换率大小。
11.8.2 石灰桩加固设计,应符合下列规定:
1 石灰桩桩身材料宜采用生石灰和粉煤灰(火山灰或其他掺合料)。生石灰氧化钙含量不得低于70%,含粉量不得超过10%,最大块径不得大于50mm。
2 石灰桩的配合比(体积比)宜为生石灰:粉煤灰=1:1、1:1.5或1:2。为提高桩身强度,可掺入适量水泥、砂或石屑。
3 石灰桩桩径应由成孔机具确定。桩距宜为2.5倍~3.5倍桩径,桩的布置可按三角形或正方形布置。石灰桩地基处理的范围应比基础的宽度加宽1排~2排桩,且不小于加固深度的一半。石灰桩桩长应由加固目的和地基土质等决定。
4 成桩时,石灰桩材料的干密度ρ d 不应小于1.1t/m 3 ,石灰桩每延米灌灰量可按下式估算:
q=η c (πd 2 /4) (11.8.2)
式中:q——石灰桩每延米灌灰量(m 3 /m);
η c ——充盈系数,可取1.4~1.8。振动管外投料成桩取高值;螺旋钻成桩取低值;
d——设计桩径(m)。
5 在石灰桩顶部宜铺设200mm~300mm厚的石屑或碎石垫层。
6 复合地基承载力和变形计算,应符合现行行业标准《建筑地基处理技术规范》JGJ 79的有关规定。
条文说明
11.8.2石灰桩桩径主要取决于成孔机具,目前使用的桩管常用的有直径325mm和425mm两种;用人工洛阳铲成孔的一般为200mm~300mm,机动洛阳铲成孔的直径可达400mm~600mm。 石灰桩的桩距确定,与原地基土的承载力和设计要求的复合地基承载力有关,一般采用2.5倍~3.5倍桩径。根据山西省的经验,采用桩距3.0倍~3.5倍桩径的,地基承载力可提高0.7倍~1.0倍;采用桩距2.5倍~3.0倍桩径的,地基承载力可提高1.0倍~1.5倍。 桩的布置可采用三角形或正方形,而采用等边三角形布置更为合理,它使桩周土的加固较为均匀。 桩的长度确定,应根据地质情况而定,当软弱土层厚度不大时,桩长宜穿过软弱土层,也可先假定桩长,再对软弱下卧层强度和地基变形进行验算后确定。 石灰桩处理范围一般要超出基础轮廓线外围1排~2排,是基底压力向外扩散的需要,另外考虑基础边桩的挤密效果较差。
11.8.3 石灰桩施工,应符合下列规定:
1 根据加固设计要求、土质条件、现场条件和机具供应情况,可选用振动成桩法(分管内填料成桩和管外填料成桩)、锤击成桩法、螺旋钻成桩法或洛阳铲成桩工艺等。桩位中心点的允许偏差不应超过桩距设计值的8%,桩的垂直度允许偏差不应大于桩长的1.5%。
2 采用振动成桩法和锤击成桩法施工时,应符合下列规定:
1)采用振动管内填料成桩法时,为防止生石灰膨胀堵住桩管,应加压缩空气装置及空中加料装置;管外填料成桩,应控制每次填料数量及沉管的深度;采用锤击成桩法时,应根据锤击的能量,控制分段的填料量和成桩长度;
2)桩顶上部空孔部分,应采用3:7灰土或素土填孔封顶。
3 采用螺旋钻成桩法施工时,应符合下列规定:
1)根据成孔时电流大小和土质情况,检验场地情况与原勘察报告和设计要求是否相符;
2)钻杆达设计要求深度后,提钻检查成孔质量,清除钻杆上泥土;
3)施工过程中,将钻杆沉入孔底,钻杆反转,叶片将填料边搅拌边压入孔底,钻杆被压密的填料逐渐顶起,钻尖升至离地面1.0m~1.5m或预定标高后停止填料,用3:7灰土或素土封顶。
4 洛阳铲成桩法适用于施工场地狭窄的地基加固工程。洛阳铲成桩直径可为200mm~300mm,每层回填料厚度不宜大于300mm,用杆状重锤分层夯实。
5 施工过程中,应设专人监测成孔及回填料的质量,并做好施工记录。如发现地基土质与勘察资料不符时,应查明情况并采取有效处理措施后,方可继续施工。
6 当地基土含水量很高时,石灰桩应由外向内或沿地下水流方向施打,且宜采用间隔跳打施工。
11.8.4 石灰桩质量检验,应符合下列规定:
1 施工时,应及时检查施工记录。当发现回填料不足,缩径严重时,应立即采取补救处理措施。
2 施工过程中,应检查施工现场有无地面隆起异常及漏桩现象;并应按设计要求,抽查桩位、桩距,详细记录,对不符合质量要求的石灰桩,应采取补救处理措施。
3 质量检验可在施工结束28d后进行。检验方法可采用标准贯入、静力触探以及钻孔取样室内试验等测试方法,检测项目应包括桩体和桩间土强度,验算复合地基承载力。
4 对重要或大型工程,应进行复合地基载荷试验。
5 石灰桩的检验数量不应少于总桩数的2%,且不得少于3根。
条文说明
11.8.4石灰桩施工记录是评估施工质量的重要依据,结合抽检结果可作出质量检验评价。 通过现场原位测试的标准贯入、静力触探以及钻孔取样进行室内试验,检测石灰桩施工质量及其周围土的加固效果。桩周土的测试点应布置在等边三角形或正方形的中心,因为该处挤密效果较差。
11.9 其他地基加固方法
11.9 其他地基加固方法
11.9.1 旋喷桩适用于处理淤泥、淤泥质土、黏性土、粉土、砂土、黄土、素填土和碎石土等地基。对于砾石粒径过大,含量过多及淤泥、淤泥质土有大量纤维质的腐殖土等,应通过现场试验确定其适用性。
条文说明
11.9.1旋喷桩是利用钻机钻进至土层的预定位置后,以高压设备通过带有喷嘴的注浆管使浆液以20MPa~40MPa的高压射流从喷嘴中喷射出来,冲击破坏土体,同时钻杆以一定速度渐渐向上提升,将浆液与土粒强制搅拌混合,浆液凝固后,在土中形成固结加固体。 固结加固体形状与喷射流移动方向有关。一般分为旋转喷射(简称旋喷)、定向喷射(简称定喷)和摆动喷射(简称摆喷)三种形式。托换加固中一般采用旋转喷射,即旋喷桩。当前,高压喷射注浆法的基本工艺类型有:单管法、二重管法、三重管法和多重管法等四种方法。 旋喷固结体的直径大小与土的种类和密实程度有较密切的关系。对黏性土地基加固,单管旋喷注浆加固体直径一般为0.3m~0.8m;三重管旋喷注浆加固体直径可达0.7m~1.8m;二重管旋喷注浆加固体直径介于上述二者之间。多重管旋喷直径为2.0m~4.0m。 一般在黏性土和黄土中的固结体,其抗压强度可达5MPa~10MPa,砂类土和砂砾层中的固结体其抗压强度可达8MPa~20MPa。
11.9.2 灰土挤密桩适用于处理地下水位以上的粉土、黏性土、素填土、杂填土和湿陷性黄土等地基。
条文说明
11.9.2灰土挤密桩适应于无地下水的情况下,其特点是:1经济;2灵活性、机动性强;3施工简单,施工作业面小等。灰土挤密桩法施作时一定要对称施工,不得使用生石灰与土拌合,应采用消解后的石灰,以防灰料膨胀不均匀造成基础拉裂。
11.9.3 水泥土搅拌桩适用于处理正常固结的淤泥与淤泥质土、素填土、软-可塑黏性土、松散-中密粉细砂、稍密-中密粉土、松散-稍密中粗砂、饱和黄土等地基。
条文说明
11.9.3水泥土搅拌桩由于设备较大,一般不用于既有建筑物基础下的地基加固。在相邻建筑施工时,要考虑其挤土效应对相邻基础的影响。
11.9.4 硅化注浆可分双液硅化法和单液硅化法。当地基土为渗透系数大于2.0m/d的粗颗粒土时,可采用双液硅化法(水玻璃和氯化钙);当地基的渗透系数为0.1m/d~2.0m/d的湿陷性黄土时,可采用单液硅化法(水玻璃);对自重湿陷性黄土,宜采用无压力单液硅化法。
条文说明
11.9.4化学灌浆的特点是适应性比较强,施工作业面小,加固效果比较快。但是,这种方法对地下水有一定的污染,当施工场地位于饮水源、河流、湖泊、鱼池等附近时,对注浆材料和浆液配比要严格控制。
11.9.5 碱液注浆适用于处理非自重湿陷性黄土地基。
11.9.6 人工挖孔混凝土灌注桩适用于地基变形过大或地基承载力不足等情况的基础托换加固。
条文说明
11.9.6人工挖孔混凝土灌注桩的特点就是能提供较大的承载能力,同时易于检查持力层的土质情况是否符合设计要求。缺点是施工作业面要求大,施工过程容易扰动周边的土。该方法应在保证安全的条件下实施。
11.9.7 旋喷桩、灰土挤密桩、水泥土搅拌桩、硅化注浆、碱液注浆的设计与施工应符合现行行业标准《建筑地基处理技术规范》JGJ 79的有关规定。人工挖孔混凝土灌注桩的设计与施工应符合现行行业标准《建筑桩基技术规范》JGJ 94的有关规定。
12 检验与监测
12.1 一般规定
12 检验与监测
12.1 一般规定
12.1.1 既有建筑地基基础加固工程,应按设计要求及现行国家标准《建筑地基基础工程施工质量验收规范》GB 50202的规定进行质量检验。
条文说明
12.1.1地基基础加固施工后,应按设计要求及现行国家标准《建筑地基基础工程施工质量验收规范》GB50202的规定进行施工质量检验。对于有特殊要求或国家标准没有具体要求的,可按设计要求或专门制定针对加固项目的检验标准及方法进行检验。
12.1.2 对既有建筑地基基础加固工程,当监测数据出现异常时,应立即停止施工,分析原因,必要时采取调整既有建筑地基基础加固设计或施工方案的技术措施。
条文说明
12.1.2地基基础加固工程应在施工期间进行监测,根据监测结果采取调整既有建筑地基基础加固设计或施工方案的技术措施。
12.2 检验
12.2 检 验
12.2.1 既有建筑地基基础加固施工,基槽开挖后,应进行地基检验。当发现与勘察报告和设计文件不一致,或遇到异常情况时,应结合地质条件,提出处理意见;对加固设计参数取值、施工方案实施影响大时,应进行补充勘察。
条文说明
12.2.1基槽检验是重要的施工检验程序,应按隐蔽工程要求进行。
12.2.2 应对新、旧基础结构连接构件进行检验,并提供隐蔽工程检验报告。
条文说明
12.2.2新旧结构构件的连接构造应进行检验,提供隐蔽工程检验报告。
12.2.3 基础补强注浆加固基础,应在基础补强后,对基础钻芯取样进行检验。
条文说明
12.2.3对基础钻芯取样,可采用目测方法检验浆液的扩散半径、浆液对基础裂缝的填充效果;尚应进行抗压强度试验测定注浆后基础的强度。钻芯取样数量,对条形基础宜每隔5m~10m,或每边不少于3个,对独立柱基础,取样数可取1个~2个,取样孔宜布置在两个注浆孔中间的位置。
12.2.4 采用锚杆静压桩、坑式静压桩,应进行下列检验:
1 桩节的连接质量。
2 桩顶标高、桩位偏差等。
3 最终压桩力及压入深度。
12.2.5 采用现浇混凝土施工的树根桩、混凝土灌注桩,应进行下列检验:
1 提供经确认的原材料力学性能检验报告,混凝土试件留置数量及制作养护方法、混凝土抗压强度试验报告,钢筋笼制作质量检验报告等。
2 桩顶标高、桩位偏差等。
3 对桩的承载力应进行静载荷试验检验。
12.2.6 注浆加固施工后,应进行下列检验:
1 采用钻孔取样检验,室内试验测定加固土体的抗剪强度、压缩模量等,检验地基土加固土层的均匀性。
2 加固后地基土承载力的静载荷试验;有地区经验时,可采用标准贯入试验、静力触探试验,并结合地区经验进行加固后地基土承载力检验。
12.2.7 复合地基加固施工后,应对地基处理的施工质量进行检验:
1 桩顶标高、桩位偏差等。
2 增强体的密实度或强度。
3 复合地基承载力的静载荷试验,增强体承载力和桩身完整性检验。
条文说明
12.2.7复合地基加固可在原基础上开孔并对既有建筑基础下地基进行加固,也可用于扩大基础加固中既有建筑基础外的地基加固,或两者联合使用。但在原基础内实施难度较大,目前实际工程不多。对于扩大基础加固施工质量的检验,可根据场地条件按《建筑地基处理技术规范》JGJ79的要求确定检验方法。
12.2.8 纠倾加固和移位加固施工,应对顶升梁或托换梁的施工质量进行检验。
12.2.9 托换加固施工,应对托换结构以及连接构造进行检验,并提供隐蔽工程检验报告。
12.3 监测
12.3 监 测
12.3.1 既有建筑地基基础加固施工时,应对影响范围内的周边建筑物、地下管线等市政设施的沉降和位移进行监测。
12.3.2 既有建筑地基基础加固施工降水对周边环境有影响时,应对有影响的建筑物及地下管线、道路进行沉降监测,对地下水位的变化进行监测。
条文说明
12.3.1、12.3.2基槽开挖和施工降水等可能对周边环境造成影响,为保证周边环境的安全和正常使用,应对周边建筑物、管线的变形及地下水位的变化等进行监测。
12.3.3 外套结构增层,应对外套结构新增荷载引起的既有建筑附加沉降进行监测。
12.3.4 迫降纠倾施工,应在施工过程中对建筑物的沉降、倾斜值及结构构件的变形、裂缝进行监测,直到纠倾施工结束,监测周期应根据纠倾速率确定。
12.3.5 顶升纠倾施工,应在施工过程中对建筑物的倾斜值,结构构件的变形、裂缝以及千斤顶的工作状态进行监测,必要时,应对结构的内力进行监测。
条文说明
12.3.4、12.3.5纠倾加固施工,当各点的顶升量和迫降量不一致时,可能造成结构产生新的裂损,应对结构的变形和裂缝进行监测,根据监测结果进行施工控制。
12.3.6 移位施工过程中,应对建筑物结构构件的变形、裂缝以及施力系统的工作状态进行实时监测,必要时,应对结构的内力进行监测。
条文说明
12.3.6移位施工过程中,当建筑物处于新旧基础交接处时,由于新旧基础的地基变形不同,可能造成建筑物产生新的损害,因此应对建筑物的变形、裂缝等进行监测。
12.3.7 托换加固施工,应对建筑的沉降、倾斜、裂缝进行监测,必要时,应对建筑的水平移位或结构内力(或应变)进行监测。
条文说明
12.3.7托换加固要改变结构或地基的受力状态,施工时应对建筑的沉降、倾斜、开裂进行监测。
12.3.8 注浆加固施工,应对施工引起的建筑物附加沉降进行监测。
条文说明
12.3.8注浆加固施工会引起建筑物附加沉降,应在施工期间进行建筑物沉降监测。视沉降发展速率,施工后的一段时间也应进行沉降监测。
12.3.9 采用加大基础底面积、加深基础进行基础加固时,应对开挖施工槽段内结构的变形和裂缝情况进行监测。
条文说明
12.3.9采用加大基础底面积加固法、加深基础加固法对基础进行加固时,当开挖施工槽段内结构在加固前已产生裂缝或加固施工时产生裂缝或变形时,应对开挖施工槽段内结构的变形和裂缝情况进行监测,确保安全。
附录A既有建筑基础下地基土载荷试验要点
附录A 既有建筑基础下地基土载荷试验要点
A.0.1 本试验要点适用于测定地下水位以上既有建筑地基的承载力和变形模量。
A.0.2 试验压板面积宜取0.25m 2 ~0.50m 2 ,基坑宽度不应小于压板宽度或压板直径的3倍。试验时,应保持试验土层的原状结构和天然湿度。在试压土层的表面,宜铺不大于20mm厚的中、粗砂层找平。
A.0.3 试验位置应在承重墙的基础下,加载反力可利用建筑物的自重,使千斤顶上的测力计直接与基础下钢板接触(图A.0.3)。钢板大小和厚度,可根据基础材料强度和加载大小确定。

图A.0.3 载荷试验示意
1—建筑物基础;2—钢板;3—测力计;4—百分表;5—千斤顶;6—试验压板;7—试坑壁;8—室外地坪
A.0.4 在含水量较大或松散的地基土中挖试验坑时,应采取坑壁支护措施。
A.0.5 加载分级、稳定标准、终止加载条件和承载力取值,应按现行国家标准《建筑地基基础设计规范》GB 50007的规定执行。
A.0.6 在试验挖坑时,可同时取土样检验其物理力学性质,并对地基承载力取值和地基变形进行综合分析。
A.0.7 当既有建筑基础下有垫层时,试验压板应埋置在垫层下的原土层上。
A.0.8 试验结束后,应及时采用低强度等级混凝土将基坑回填密实。
附录B既有建筑地基承载力持载再加荷载荷试验要点
附录B 既有建筑地基承载力持载再加荷载荷试验要点
B.0.1 本试验要点适用于测定既有建筑基础再增加荷载时的地基承载力和变形模量。
B.0.2 试验压板可取方形或圆形。压板宽度或压板直径,对独立基础、条形基础应取基础宽度。对基础宽度大,试验条件不满足时,应考虑尺寸效应对检测结果的影响,并结合结构和基础形式以及地基条件综合分析,确定地基承载力和地基变形模量;当场地地基无软弱下卧层时,可用小尺寸压板的试验确定,但试验压板的面积不宜小于2.0m 2 。
B.0.3 试验位置应在与原建筑物地基条件相同的场地进行,并应尽量靠近既有建筑物。试验压板的底标高应与原建筑物基础底标高相同。试验时,应保持试验土层的原状结构和天然湿度。
B.0.4 在试压土层的表面,宜铺不大于20mm厚的中、粗砂层找平。基坑宽度不应小于压板宽度或压板直径的3倍。
B.0.5 试验使用的荷载稳压设备稳压偏差允许值不应大于施加荷载的±1%;沉降观测仪表24h的漂移值不应大于0.2mm。
B.0.6 加载分级、稳定标准、终止加载条件应按现行国家标准《建筑地基基础设计规范》GB 50007的规定执行。试验加荷至原基底使用荷载压力时应进行持载。持载时,应继续进行沉降观测。持载时间不得少于7d。然后再继续分级加载,直至试验完成。
B.0.7 在含水量较大或松散的地基土中挖试验坑时,应采取坑壁支护措施。
B.0.8 既有建筑再加荷地基承载力特征值的确定,应符合下列规定:
1 当再加荷压力-沉降曲线上有比例界限时,取该比例界限所对应的荷载值。
2 当极限荷载小于对应比例界限的荷载值的2倍时,取极限荷载值的一半。
3 当不能按上述两款要求确定时,可取再加荷压力-沉降曲线上s/b=0.006或s/d=0.006所对应的荷载,但其值不应大于最大加载量的一半。
4 取建筑物地基的允许变形值对应的荷载值。
注:s为载荷板沉降值;b、d分别为载荷板的宽度或直径。
B.0.9 同一土层参加统计的试验点不应少于3点,各试验实测值的极差不得超过其平均值的30%,取平均值作为该土层的既有建筑再加荷的地基承载力特征值。既有建筑再加荷的地基变形模量,可按比例界限所对应的荷载值和变形进行计算,或按规定的变形对应的荷载值进行计算。
附录C既有建筑桩基础单桩承载力持载再加荷载荷试验要点
附录C 既有建筑桩基础单桩承载力持载再加荷载荷试验要点
C.0.1 本试验要点适用于测定既有建筑桩基础再增加荷载时的单桩承载力。
C.0.2 试验桩应在与原建筑物地基条件相同的场地,并应尽量靠近既有建筑物,按原设计的尺寸、长度、施工工艺制作。开始试验的时间:桩在砂土中入土7d后;黏性土不得少于15d;对于饱和软黏土不得少于25d;灌注桩应在桩身混凝土达到设计强度后,方能进行。
C.0.3 加载反力装置,试桩、锚桩和基准桩之间的中心距离,加载分级,稳定标准,终止加载条件,卸载观测应按现行国家标准《建筑地基基础设计规范》GB 50007的规定执行。试验加荷至原基桩使用荷载时,应进行持载。持载时,应继续进行沉降观测。持载时间不得少于7d。然后再继续分级加载,直至试验完成。
C.0.4 试验使用的荷载稳压设备稳压偏差允许值不应大于施加荷载的±1%;沉降观测仪表24h的漂移值不应大于0.2mm。
C.0.5 既有建筑再加荷的单桩竖向极限承载力确定,应符合下列规定:
1 作再加荷的荷载-沉降(Q-s)曲线和其他辅助分析所需的曲线。
2 当曲线陡降段明显时,取相应于陡降段起点的荷载值。
3 当出现(Δs n +1)/Δs n ≥2且经24h尚未达到稳定而终止试验时,取终止试验的前一级荷载值。
4 Q-s曲线呈缓变型时,取桩顶总沉降量s为40mm所对应的荷载值。
5 按上述方法判断有困难时,可结合其他辅助分析方法综合判定。对桩基沉降有特殊要求时,应根据具体情况选取。
6 参加统计的试桩,当满足其极差不超过平均值的30%时,可取其平均值作为单桩竖向极限承载力。极差超过平均值的30%时,宜增加试桩数量,并分析离差过大的原因,结合工程具体情况,确定极限承载力。对桩数为3根及3根以下的柱下桩台,取最小值。
C.0.6 再加荷的单桩竖向承载力特征值的确定,应符合下列规定:
1 当再加荷压力-沉降曲线上有比例界限时,取该比例界限所对应的荷载值。
2 当极限荷载小于对应比例界限荷载值的2倍时,取极限荷载值的一半。
3 当按既有建筑单桩允许变形进行设计时,应按Q-s曲线上允许变形对应的荷载确定。
本规范用词说明
本规范用词说明
1 为便于在执行本规范条文时区别对待,对要求严格程度不同的用词说明如下:
1)表示很严格,非这样做不可的:
正面词采用“必须”,反面词采用“严禁”;
2)表示严格,在正常情况下均应这样做的:
正面词采用“应”,反面词采用“不应”或“不得”;
3)表示允许稍有选择,在条件许可时首先应这样做的:
正面词采用“宜”,反面词采用“不宜”;
4)表示有选择,在一定条件可以这样做的,采用“可”。
2 条文中指明应按其他有关标准执行的写法为:“应按……执行”或“应符合……的规定”。
引用标准名录
引用标准名录
1 《砌体结构设计规范》GB 50003
2 《建筑地基基础设计规范》GB 50007
3 《建筑结构荷载规范》GB 50009
4 《混凝土结构设计规范》GB 50010
5 《建筑抗震设计规范》GB 50011
6 《湿陷性黄土地区建筑规范》GB 50025
7 《建筑地基基础工程施工质量验收规范》GB 50202
8 《混凝土结构加固设计规范》GB 50367
9 《建筑变形测量规范》JGJ 8
10 《建筑地基处理技术规范》JGJ 79
11 《建筑桩基技术规范》JGJ 94
自2022年4月1日起废止的条文

