Appearance
《建筑节能气象参数标准[附条文说明]》JGJ/T 346-2014
🗓️ 住房和城乡建设部 实施时间:2015-06-01
前言
中华人民共和国行业标准
建筑节能气象参数标准
Standard for weather data of building energy efficiency
JGJ/T 346-2014
批准部门:中华人民共和国住房和城乡建设部
施行日期:2015年6月1日
中华人民共和国住房和城乡建设部公告
第621号
住房城乡建设部关于发布行业标准《建筑节能气象参数标准》的公告
现批准《建筑节能气象参数标准》为行业标准,编号为JGJ/T 346-2014,自2015年6月1日起实施。
本标准由我部标准定额研究所组织中国建筑工业出版社出版发行。
中华人民共和国住房和城乡建设部
2014年11月5日
前言
根据原建设部《关于印发<二〇〇四年度工程建设城建、建工行业标准制订、修订计划>的通知》(建标[2004]66号)的要求,标准编制组经广泛调查研究,认真总结实践经验,参考有关国际标准和国外先进标准,并在广泛征求意见的基础上,编制本标准。
本标准的主要技术内容是:1.总则;2.术语;3.度日数及计算采暖期参数;4.典型气象年参数。
本标准由住房和城乡建设部负责管理,由中国建筑科学研究院负责具体技术内容的解释。执行过程中如有意见或建议,请寄送中国建筑科学研究院(地址:北京市北三环东路30号;邮政编码:100013)。
本标准主编单位 :中国建筑科学研究院
本标准参编单位 :西安建筑科技大学
中国建筑业协会建筑节能专业委员会
哈尔滨工业大学
福建省建筑科学研究院
中国西南建筑设计研究院
本标准主要起草人员 :林海燕 杨柳 董宏 周辉 郎四维 刘加平 涂逢祥 方修睦 赵士怀 高庆龙 刘大龙
本标准主要审查人员 :江亿 许文发 徐影 薛德强 孙延勋 张锡虎 龙惟定 陈莉 孟庆林 莫争春
1 总则
1 总 则
1.0.1 为统一节能设计计算用气象数据,更好地执行相关建筑节能设计标准,提高节能设计质量,制定本标准。
条文说明
1.0.1我国地域辽阔,按照现行的气候分区指标,有严寒地区、寒冷地区、夏热冬冷地区、夏热冬暖地区和温和地区。建筑用能与气候关系紧密,各地气候条件差别很大,采暖与制冷的需求各有不同。在目前我国倡导节能减排、可持续发展的大背景下,国家非常重视建筑节能工作。随着建筑节能工作的开展,一系列建筑节能设计标准相继进行了修编,并陆续颁布执行。一方面,提高了节能潜力较大地区和建筑类型的节能设计目标;另一方面,对能耗计算的方法进行了修改,使之更加合理和完善。从目前颁布的各类建筑节能设计标准看,评判设计建筑是否达到标准规定要求,都采用了规定性指标和性能化方法相结合的途径。其中,采用性能化指标进行判定时,需要通过计算设计建筑和参照建筑的能耗作为判定的依据。而计算时所选用的气象参数将直接影响最终的计算结果。 由于建筑室内环境和能耗受建筑所在地气象条件的影响非常大。所以,对建筑用气象数据的研究工作很早就受到特别的重视。1987年,当时的城乡建设环境保护部就颁布实施了《建筑气象参数标准》JGJ35-87。该标准选取了209个城镇,每个城镇列出55项常用的气象参数及气候特征数据,供工业与民用建筑工程设计、施工中使用。1993年,国家技术监督局和原建设部联合发布了《建筑气候区划标准》GB50178-93,主要是为了区分我国不同地区气候条件对建筑影响的差异性,明确各气候区的建筑基本要求,并提供了203个气象台站的48项气候参数。上述两本标准给出了对建筑产生影响的气象参数数据,均是气象观测数据的长期统计值。另外,在一些设计标准、规范中,如:《民用建筑热工设计规范》GB50176、《采暖通风与空气调节设计规范》GB50019等,就相关计算需要用到的气象数据进行了规定。但是,从现行的几本建筑节能设计标准看,除了《严寒和寒冷地区居住建筑节能设计标准》JGJ26-2010外,都没有给出进行节能设计所必须的气象数据。在标准的实际实施中,各种计算软件、设计机构往往选择自己可以得到的气象数据进行节能设计计算工作。这样就不可避免地出现了由于计算基础不统一,影响计算结果,造成计算结果缺乏可比性的情况。 因此,本标准编制的主要目的就是为建筑节能设计提供统一的气象参数数据。在按照节能设计标准对设计建筑进行节能计算时,以标准的形式统一节能计算的基础条件,消除由于气象参数取值的不同而带来的计算结果差异,使不同软件、设计机构进行的节能计算结果具备可比性,便于进行方案比选、设计优化等工作,从而进一步提高节能设计质量,促进节能设计标准的顺利执行。
1.0.2 本标准适用于建筑节能设计、节能评估等相关工作。
条文说明
1.0.2本标准的编制目的是为建筑节能设计提供统一的气象参数数据。标准从建筑节能角度出发,给出了全国主要城镇的建筑节能用气象参数,涵盖了全国所有气候区的绝大多数城镇,可为全国各类民用建筑节能设计中能耗计算(稳态计算和动态计算)提供统一的气象参数数据。 凡是按照各种节能设计标准进行节能设计的各类建筑,在进行节能设计标准规定的各项计算以及进行节能评估时,参与计算的气象数据均应符合本标准的规定。现行的节能设计标准主要有《严寒和寒冷地区居住建筑节能设计标准》JGJ26、《夏热冬冷地区居住建筑节能设计标准》JGJ134、《夏热冬暖地区居住建筑节能设计标准》JGJ75、《公共建筑节能设计标准》GB50189。其他标准、规范中需要用到的气象参数,当无具体规定或可靠来源时,也可参考本标准。
1.0.3 建筑节能气象参数的选用除应符合本标准的规定外,尚应符合国家现行有关标准的规定。
条文说明
1.0.3本标准对节能设计计算中需要用到的气象数据作出了规定,是一个基础性数据标准。但建筑节能设计所涉及的专业及内容很多,完成一个建筑的节能设计尚须执行其他相关标准、规范。因此,在进行民用建筑节能设计时,除应符合本标准的规定外,尚应符合国家现行有关标准、规范的规定。
2 术语
2 术 语
2.0.1 采暖度日数 heating degree-day
从需要采暖的强度和需要采暖的天数两个方面反映一地气候寒冷程度的指标。一年中,当室外日平均温度低于冬季采暖室内计算温度时,将日平均温度与冬季采暖室内计算温度差的绝对值累加,得到一年的采暖度日数。本标准中冬季采暖室内计算温度采用18℃,以HDD18表示。
条文说明
2.0.1采暖度日数是一个从需要采暖的强度和需要采暖的天数两个方面反映某地气候寒冷程度的指标。一年中最冷月的平均温度比较直接地反映了当地寒冷的程度,但是采暖的需求除了温度的高低这个因素外,还与低温持续的时间长短有着密切的关系。采暖度日数指标包含了冷的程度和持续冷的时间长度两个因素,用它更可能反映该地区采暖需求的大小。同样,空调度日数也是反映该地区空调需求的重要指标。 与积温概念相似,这两个指标可以℃为单位,有时也以℃·d表示。
2.0.2 空调度日数 cooling degree-day
从需要空调降温的强度和需要空调降温的天数两个方面反映一地气候炎热程度的指标。一年中,当室外日平均温度高于夏季空调室内计算温度时,将日平均温度与夏季空调室内计算温度差的绝对值累加,得到一年的空调度日数。本标准中夏季空调室内计算温度采用26℃,以CDD26表示。
2.0.3 计算采暖期 heating period for calculation
采用滑动平均法计算出的累年日平均温度低于或等于采暖室外临界温度的时段。
2.0.4 积日 day of year
从历年的第一天起连续累计的日数,数值在1到366之间。
2.0.5 典型气象月 typical meteorological month(TMM)
在累年的时间跨度内,依据气象观测数据的月平均值而选取的某年的某个月,该年该月气象观测数据的月平均值与累年对应月份气象观测数据的平均值最接近。
2.0.6 典型气象年 typical meteorological year(TMY)
由12个逐月的典型气象月构成的一个假想年。典型气象年的气象数据取自于这12个典型气象月,并对月间的逐时气象参数进行平滑处理。典型气象年的逐时气象数据主要用于建筑物的能耗模拟。
2.0.7 水平面太阳总辐射照度 horizontal global solar irradia-tion
到达水平地面上的太阳直射辐射照度和散射辐射照度之和。
2.0.8 水平面太阳散射辐射照度 horizontal diffuse solar irra-diation
由于大气对太阳辐射的散射作用,从半球天空到达水平地面的那部分太阳辐射照度。
2.0.9 法向太阳直射辐射照度 direct normal irradiation
在与太阳直射辐射方向相垂直的平面上接收到的太阳的直射辐射照度。
3 度日数及计算采暖期参数
3.1 全国主要城镇的度日数
3 度日数及计算采暖期参数
3.1 全国主要城镇的度日数
3.1.1 全国主要城镇的采暖度日数、空调度日数的数值应根据本标准附录A确定。
条文说明
3.1.1采暖度日数、空调度日数反映了该地区建筑采暖、空调需求的大小,虽然不直接参与节能计算,但这两项指标对确定建筑围护结构热工性能要求非常重要,欧洲和北美大部分国家的建筑节能规范都是依据采暖度日数作为分区指标。 现行行业标准《严寒和寒冷地区居住建筑节能设计标准》JGJ26、《夏热冬冷地区居住建筑节能设计标准》JGJ134中曾给出我国部分地区、部分城镇的采暖度日数和空调度日数。本标准在原有基础研究上进行拓展,给出全国450个主要城镇的采暖度日数、空调度日数。 目前,我国有些省市的地方节能设计标准中给出当地的采暖度日数和空调度日数,可能会与本标准中所给数值不完全相同。产生这一差异的原因比较复杂,其中一个主要原因是二者统计原始数据的年份不完全相同。本标准给出全国各个地区采暖度日数和空调度日数的计算方法,同时也给出相应数值。主要目的是为全国建筑节能进行建筑能耗计算时提供一套相对完整、统一、可比较的数据平台。 各地方开展建筑节能工作时以本标准所提供气象参数为基础,在此基础上按照标准提供的统一计算方法进行扩展,补充更多的城镇气象数据。 在我国,30年前的气象观测数据多为手工记录,原始数据中缺漏测现象较普遍,数据质量较差,真正具有完整30年原始数据可统计价值的台站数量较少。因此,编制本标准中450个站点的采暖度日数、空调度日数统计值时,所采用有原始观测数据的年份数n为10年(1995~2004年)。
3.1.2 采暖度日数、空调度日数的计算宜采用逐时干球温度观测值或至少每日四次定时观测值。
条文说明
3.1.2为保证采暖度日数、空调度日数统计值的准确性,地面气象观测数据最好采用逐时观测值。考虑我国目前有逐时观测值台站的台站数量和年份数不是非常普遍,也可采用每日四次、六次或八次定时观测值。观测值能够反映当地逐日气温的最高值、最低值和平均值。观测时使用的气象观测仪器性能和制定的观测方法要满足相关气象观测规范规定的准确度要求,且观测记录有代表性,能真实地反映实际气象状况。地面气象观测在观测时间、观测仪器、观测方法和数据处理等方面能够保持统一。同一个气象台站在不同时间观测的同一气象要素值能进行比较,从而能分别表示出气象要素的地区分布特征和随时间的变化特点。 原始数据需经过气候学界限值、气候极值、逻辑、内部一致性、时间一致性检查,保证地面观测记录的非实时质量控制。
3.1.3 采暖度日数(HDD18)应按下列方法进行计算:
1 选择连续n年(n≥10)的逐日日平均干球温度t m,i (1≤m≤n,1≤i≤365),形成下式所示的n个数列:

式中:日平均干球温度采用逐时干球温度观测值或每日四次定时观测值的算术平均值。
2 在第m年中,当日平均干球温度低于18℃时,计算日平均干球温度与18℃的差值,并将此差值累加,得到第m年的采暖度日数t hdd m :

3 将t hdd m 形成下式所示的数列:

4 计算n年采暖度日数t hdd m 的平均值,得到该地方的采暖度日数(HDD18)值:

条文说明
3.1.3在以前的标准规范中,有些建筑节能计算参数的计算方法不完全统一,所以目前需统一确定这些指标的计算方法。 另外有标准中提出过计算采暖期度日数。本标准所提供的采暖度日数与计算采暖期度日数在统计方法和数值上有明显区别。本标准所提供的采暖度日数是统计连续10年逐日的日平均气温;而计算采暖期度日数则是统计计算采暖期内的日平均气温,其统计时间长度会随所在城镇的计算采暖期天数变化而变化。在数值上,本标准所提供的采暖度日数应大于等于计算采暖期度日数。为了统一术语,本标准不再提计算采暖期度日数,但这项参数可从本标准附录B中给出的计算采暖期天数、计算采暖期室外平均温度计算得到。
3.1.4 空调度日数(CDD26)应按下列方法计算:
1 选择连续n年(n≥10)的逐日日平均干球温度t m,i (1≤m≤n,1≤i≤365),形成下式所示的n个数列:

式中:日平均干球温度采用逐时干球温度观测值或每日四次定时观测值的算术平均值。
2 在第m年中,当日平均干球温度高于260℃时,计算日平均干球温度与26℃的差值,并将此差值累加,得到第m年的空调度日数t cdd m :

3 将t cdd m 形成下式所示数列:

4 计算n年空调度日数t cdd m 的平均值,得到该地方的空调度日数(CDD26)值:

3.2 计算采暖期参数
3.2 计算采暖期参数
3.2.1 按现行行业标准《严寒和寒冷地区居住建筑节能设计标准》JGJ 26计算建筑物耗热量指标时,计算采暖期室外气象参数的数值应根据本标准附录B确定。
条文说明
3.2.1按照现行节能设计标准的规定,严寒和寒冷地区居住建筑节能设计应将采暖能耗控制在规定的范围内,建筑的节能性能是否符合标准要求则以建筑耗热量指标为判据。该标准中规定的耗热量指标计算方法是以一维稳态传热为基础的。因此,在计算中需要用到建筑所在地冬季的室外气象参数。本条对进行节能设计计算所需要用到的冬季室外气象参数,如计算采暖期天数、计算采暖期室外平均温度以及计算采暖期各朝向平均太阳总辐射照度数值进行了规定,以统一计算的基础。 由于我国幅员辽阔,各地计算采暖期天数不一,计算采暖期天数是根据当地多年的平均气象条件计算出来的,仅供建筑节能设计计算时使用。它可以从气候角度反映采暖建筑物消耗能量的高低,是进行技术经济分析与比较等不可缺少的数据,并不指具体某地方的实际采暖期。当地的法定采暖日期是根据当地的气象条件从行政的角度确定的。两者有一定的联系,但计算采暖期天数和当地法定的采暖天数不一定相等。 目前,我国有些省市的地方节能设计标准中给出当地的计算采暖期天数或计算采暖期室外平均温度,可能会与本标准中所给数值不完全相同。产生这一差异的原因比较复杂,其中一个原因是二者统计原始数据的年份不完全相同。本标准给出全国各个地区计算采暖天数和计算采暖期室外平均温度的计算方法,同时也给出相应数值。主要目的是为全国建筑节能进行建筑能耗计算时提供一套相对完整、统一、可比较的数据平台。 各地方开展建筑节能工作时以本标准所提供气象参数为基础,在此基础上按照标准提供的统一计算方法进行扩展,补充更多城镇的气象数据。
3.2.2 计算采暖期参数的计算宜采用逐时气象参数观测值。干球温度、露点温度、云量等观测数据至少应为每日四次定时观测值。水平面太阳总辐射照度、水平面太阳散射辐射照度观测值可采用日总值。
条文说明
3.2.2本条文对温度参数的观测数据要求与第3.1.2条相同,同时还增加了露点温度、风速、风向、云量等观测数据的要求。原始观测数据精度和单位要求:干球温度、露点温度为0.1℃,云量为1成,风速为0.1m/s,风向1°。 观测数据中若存在缺测、漏测、异常数据时,应首先进行缺测记录的处理和不完整记录的统计。
3.2.3 计算采暖期应按下列步骤确定:
1 选择连续n年(n≥10)的逐日日平均干球温度t m,i (1≤m≤n,1≤i≤365),形成下式所示的n个数列:

式中:日平均干球温度采用逐时干球温度观测值或每日四次定时观测值的算术平均值。
2 计算n年逐日日平均干球温度的平均值t dny i :

式中:t m,i 为第m年第i天的日平均干球温度。
将t dny i 形成下式所示数列:

3 计算每日起连续5日时间段内t any i 的滑动平均值t 5dny i :

式中:i 1 表示被除数是365时,(i+4)的余函数值。
将t 5dny i 形成下式所示数列:

4 将式(3.2.3-4)所示数列以积日数183为起始重新排列成式(3.2.3-6),将第一个数值小于或等于5℃(采暖室外临界温度)的日期作为采暖期开始日,其积日数记为N hps ;最后一个数值小于或等于5℃的日期之后第4日作为采暖期结束日,其积日数记为N hpe 。

N hps 、N hpe 应满足以下三个条件之一:
1)183≤N hps ≤365且1≤N hpe <183;
2)1≤N hps <N hpe <183;
3)183≤N hps <N hpe ≤365。
5 从确定的采暖期开始日(积日数N hps )到结束日(积日数N hpe )之间的时段即为计算采暖期,计算采暖期天数Z应按下式确定:

条文说明
3.2.3计算采暖期是一个日平均温度稳定低于或等于采暖室外临界温度5℃的连续时间段。对于某确定年而言,确定计算采暖期比较麻烦,因为不同年份日平均温度稳定低于或等于5℃的连续时间段长度可能差别较大,所以确定计算采暖期天数时本标准采用了滑动平均和“先平均再计算”的方法。先将多年逐日的5天日平均温度的滑动平均值组成一个“日历年”,再将其变成“采暖年”,可以滤掉气象数据中频繁的随机起伏,显示出平缓的变化趋势。以“采暖年”内第一个数值小于或等于5℃的日期作为采暖期开始日,最后一个数值小于或等于5℃的日期之后第4日作为采暖期结束日。
3.2.4 计算采暖期室外平均温度应按下列步骤确定:
1 选择连续n年(n≥10)每年的计算采暖期的日平均干球温度,形成下式所示数列:

2 计算逐年采暖期室外平均温度t hp m :

3 计算n年采暖期室外平均温度的平均值,得到计算采暖期室外平均温度:

条文说明
3.2.4计算采暖期室外平均温度与供暖城市实际采暖期室外温度不同,它是从气象观测数据中统计计算得到的,与选用的气象观测数据的时段、时长等因素有关。确定计算采暖期是先计算逐年采暖期天数,再确定累年平均值。 需要说明,求算采暖期终日时,取第一个5日滑动平均大于等于5℃的第4天。这种方法,对于青海、西藏这些常年都很冷的地区,会出现计算出来的采暖期偏短的现象。因此在判断采暖终日时,针对上述地区附加了一个判据:在第一个5日滑动平均大于等于5℃后,要29个5日滑动平均大于等于5℃,才视为终日。
3.2.5 计算采暖期各朝向太阳辐射照度计算应按下列步骤确定:
1 根据逐时实测值或逐时太阳辐射模型计算水平面太阳总辐射照度、水平面太阳散射辐射照度和法向直射辐射照度。
2 将逐时法向直射辐射照度和散射辐射照度投影到各朝向,计算出各朝向太阳总辐射照度逐时值。
3 对计算采暖期时段内的各朝向太阳总辐射照度逐时值进行累年平均。
条文说明
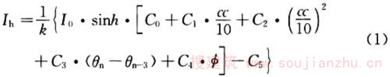
3.2.5受太阳辐射观测台站数量的限制,截至1996年,我国仅有部分台站有太阳辐射观测值,大部分气象观测台站都没有太阳辐射的观测数据。在能够进行辐射观测的台站中,能观测逐时直射、散射辐射台站的数量更少。因此,在实际太阳辐射观测数据大范围缺少的前提下,对于没有太阳辐射观测值或太阳辐射观测值不全的台站,本标准中给出的太阳辐射值是根据太阳辐射模型计算得到的。本标准中各朝向太阳总辐射计算方法如下: 1水平面太阳总辐射照度逐时值按公式(1)计算: 
式中:C0~C5,k——常数。 Ih——太阳总辐射照度(W/m2); I0——太阳常数(W/m2); h——太阳高度角(°); cc——云量(成),范围:0~10; θn——某时刻气温(℃); θn-3——3h前的气温(℃);
——相对湿度(%)。 2太阳辐射中法向直射辐射照度和散射辐射照度按公式(2)计算: 
式中:A1=—0.1556sin2h+0.1028sinh+1.3748; A2=0.7973sin2h+0.1509sinh+3.035; A3=5.4307sinh+7.2182; A4=2.990; IN——法向太阳直射辐射照度(W/m2); Id——太阳散射辐射照度(W/m2)。 3各朝向太阳总辐射照度应按公式(3)~(6)计算: 
式中:Is——南向太阳总辐射照度(W/m2); In——北向太阳总辐射照度(W/m2); Ie——东向太阳总辐射照度(W/m2); Iw——西向太阳总辐射照度(W/m2); γs——太阳方位角(°)。 其中,水平面太阳总辐射瞬时值采用“张-黄”模型计算;水平面总辐射的直散分离采用了Gompertz函数型直散分离模型;各朝向太阳总辐射值的计算引入了不等灰度天空模型。在总辐射瞬时值的计算公式中,有一些通过观测数据拟合出来的系数。理论上讲,这些系数每个地区应当不同,没有观测数据的地区是无法得到本地区系数值的。因此,未知系数地区太阳辐射的计算参照了相邻已知地区的系数。使得各地区太阳辐射值之间的相对关系基本正确,这样也保证了按照这些气象参数计算出的建筑能耗之间相对关系基本符合通常的认识。
3.2.6 本标准附录B中未涉及的目标城镇,宜根据本标准附录C确定参考城镇,目标城镇的室外气象参数可按参考城镇的室外气象参数选取。当参考其他城镇气象参数时,应注明被参考城镇的名称。
条文说明
3.2.6本标准附录B以及附录D所列城镇的气象参数均是以气象观测数据为基础通过一定的统计计算方法计算出来的。受所掌握气象观测资料的限制,本标准最多仅能提供表中所列450个城镇的节能计算用气象参数。而在我国的行政区划中,至2009年底,全国31个省级行政区中(不包括港、澳、台地区),有333个地级行政区划单位,2858个县级行政区划单位。从城市数量看,截至2009年,我国城市数量达到654个(其中:4个直辖市、283个地级市、367个县级市)。因此,本标准所给出的城镇数量远远不及实际城镇的数量,更无法覆盖全部行政区。 在标准未涉及的地区进行节能计算,所需要用到的气象参数可以通过两种方式解决:当能够获得满足要求的气象观测数据时,可依照本标准条文及条文说明中的方法,通过计算得到该地区的节能计算用气象参数。这种方式首先要获得可靠的、足够参数和数量的气象观测数据,其次还需要对原始数据进行预处理,并在掌握气象参数(特别是典型气象年)统计计算方法的基础上,计算出所需参数。更为重要的是,对于制作出的计算用气象参数必须得到建设主管部门的批准,方可用于节能设计计算,以保证本标准编制的基本目标。另一种方式是按照本条文的规定,选用已有临近地点的气象参数作为替代,以弥补气象数据缺乏的问题。 按照《建筑气象参数标准》JGJ35-87中的规定,当建设地点与拟引用数据的气象台站水平距离在50km以内,海拔高度差在100m以内时可以直接引用。附录C中给出了附录B和附录D中未涉及的我国县级以上城镇的地理信息,以及与之距离最近的已知气象数据地点的列表。从表中可以看到,未知城市与参考地点之间符合《建筑气象参数标准》JGJ35-87中关于数据直接引用的规定。考虑到本标准编制的目的主要是为建筑节能设计计算提供统一的计算参数平台,而节能设计标准中进行节能计算的目的是为了评价建筑围护结构是否满足标准要求,或对设计进行优化,而并不是为了准确计算建筑负荷进行采暖空调设计。因此,统一的计算参数显然更为重要。特别是考虑到已有气象数据地点的数量少,而我国地域广大的现实情况。所以,本条文规定了可以按照附录C确定未知城镇的气象参数。 条文用词为“宜”,意即在标准执行中,推荐按照本条文的规定,为无气象数据城镇选取气象数据。主要是考虑这样做首先较为简单,其次也便于执行统一标准,有利于节能设计标准的贯彻执行。 计算目标城镇与参考城镇之间的球面距离宜采用本标准附录C条文说明中给出的高斯平均引数反算公式。
4 典型气象年参数
4 典型气象年参数
4.0.1 按现行行业标准《夏热冬冷地区居住建筑节能设计标准》JGJ 134、《夏热冬暖地区居住建筑节能设计标准》JGJ 75进行建筑节能设计的综合评价以及按现行国家标准《公共建筑节能设计标准》GB 50189进行围护结构热工性能的权衡判断计算时,全国主要城镇的典型气象年参数应根据本标准附录D确定。
条文说明
4.0.1按照现行节能设计标准的要求,夏热冬冷、夏热冬暖地区居住建筑以及全部气候区的公共建筑以全年采暖空调能耗作为建筑围护结构是否满足节能设计标准要求的判据。全年采暖空调能耗要求采用动态逐时模拟的方法计算,计算需要逐时典型气象年数据。本标准提供450个城镇的典型气象年参数,以统一计算的基础,用于这些城镇所在区域的节能设计。
4.0.2 确定典型气象年(TMY)宜采用逐时气象参数观测值。干球温度、露点温度、风速、风向、云量等观测数据至少应为每日四次定时观测值,水平面太阳总辐射照度可采用逐时观测值或逐时太阳辐射模型计算值。
条文说明
4.0.2本标准挑选典型气象年(TMY)时,采用的数据源为中国气象局686个基本、基准地面气象观测站1987~2004年间的观测数据。作为统计室外气象参数和生成典型气象年数据的基础资料,本标准对上述的观测数据进行预处理,剔除观测数据缺漏测严重的站点,保证有完整观测数据的年份不少于7年,最终实际选出其中的450个站点。气象观测值主要包括干球温度、露点温度、气压、风速、风向、云量、地面温度、日照等气象观测要素,有条件时还包括太阳总辐射、散射辐射。观测值的采集频率为(4~8)次/d。 关于450个台站的原始数据代表性,按照现行行业标准《地面气候资料30年整编常规项目及其统计方法》QX/T22的有关规定,统计累年值的原始数据一般不少于10年。但最新气象学研究也表明,统计资料的原始数据可放宽至不少于7年。本标准附录C所给出的450个站点中,有7年~10年原始观测数据的台站数为68个,有10年以上原始观测数据的台站数为382个,可见绝大多数的台站的原始数据年份数能够满足气象学统计的要求。虽然有68个台站的原始数据少于10年,但考虑到这些数据毕竟是真实测量值,同时考虑到各地建筑节能工作的实际需要,气象参数有胜于无,所以本标准中仍将原始数据少于10年的台站列出(表1)。 表1有不同原始数据年份数的站点统计
关于本标准用作统计资料的原始数据观测时间不足传统意义上的30年,这主要受所能取得的原始数据条件所限。而长期气象观测表明,近10年间,全球气温变化明显,目前我国很多城市的气候与30年前相比有一定差异,因此以近年数据作为建筑节能室外气象参数的统计基础,更能反映当前我国建筑节能需求。
4.0.3 本标准附录D典型气象年(TMY)数据中的8项逐时气象参数、单位、精度应符合表4.0.3的规定。
表4.0.3 典型气象年(TMY)参数构成

注:云量单位“成”是指“云遮蔽天空视野的成数”。
条文说明
4.0.3气象参数的观测数据中存在缺测、漏测、异常的数据,应参考现行行业标准《地面气象观测规范第21部分:缺损记录的处理和不完整记录的统计》QX/T65规定进行记录的处理统计。本标准按照以下方法进行数据的预处理: 1温度采用调和分析的方法插补; 2风速、云量采用直线内插的方法插补; 3风向采用重复上一时刻的方法插补; 4水平面太阳总辐射照度和法向直射辐射照度采用本标准第3.2.5条条文说明中所给出的公式计算。
4.0.4 典型气象年(TMY)数据宜按下列步骤确定:
1 选择n年(n≥10)气象资料中的干球温度、露点温度、风速的日平均值。
2 计算n年的逐日干球温度(最高、最低、平均值)、逐日露点温度(最高、最低、平均值)、逐日风速(最高、平均值)、逐日太阳总辐射照度9种气象要素的长期累积分布函数值(CDF l )和月累积分布函数值(CDF m ),然后计算上述9种气象要素逐年各分析月的Finkelstein-Schafer(FS)统计值:

式中:δ i ——各气象要素的长期累计分布值CDF l 与逐年各分析月累积分布值CDF l 之间差值;
n——所选择月的天数(如1月,n=31)。
3 将上述各气象要素逐日值的FS统计值与相应加权系数W i 相乘并汇总成一个加权平均值WS,再将每年分析月份的加权平均值WS按升序排列,挑选出WS值最小的年份所对应的月份即为典型气象月(TMM)。加权平均值(WS)按下式计算:

式中:WS——参数的加权平均值;
W k ——第k个指标的权重系数;
FS k ——第k个指标的FS统计值。
4 各典型气象月(TMM)的逐时气象数据组成典型气象年(TMY)初步数据。
5 对典型气象年(TMY)初步数据中的温度、湿度值进行月间平滑处理。
6 用平滑处理后的温、湿度值,取代原始温、湿度,得到典型气象年(TMY)8760h数据。
条文说明
4.0.4典型气象年具有以下特征:其太阳辐射、空气温度与风速等气象数据发生频率分布与过去多年的长期分布相似;其气象参数与过去多年的参数具有相似的日参数标准连续性;其气象参数与过去多年的参数具有不同参数间的关联相似性。 国内外有很多关于计算典型气象年的文献,其中挑选典型月的方法不完全相同,最普遍的方法是构建气象参数的累积分布函数(CumulativeDistributionFunctions)法,利用Filkenstein-Schafer(FilkensteinandSchafer,1971)统计法计算FS值,从过去多年的气象数据中计算选择出12个典型月气象数据组成典型气象年。这一方法是1978年最先由Hall等人提出,后人称之为SandiaMothed。该方法适用于类似于气象、生物种群这类样本总体分布规律未知的数理统计。后来有关典型气象年的研究成果都遵循了SandiaMothed的基本思路,只是在构建累积分布函数和挑选典型气象月(TMM)判据时略有区别。本标准所构建的累积分布函数按下式计算:
例如,在某一年给定月份的日均值被称为“短期”日均值,而若干年给定月份某一天的日均值的平均被称为“长期”日均值。设n是给定月份中的天数,对于给定的参数,在一个月我们有n个值。因此,某参数值在任何给定日出现的概率是1/n。在CDFj计算中第一步是将数据进行升序排序,然后按上述公式计算给定参数在给定月份参数的累积分布函数CDFj值。本标准中长期累积分布函数值(CDFl)为18年的累积分布函数CDFj值;而月累积分布函数值(CDFm)为给定月份的累积分布函数CDFj值。 本标准中不同参数所采用权重系数Wk采用美国国家可再生能源实验室(NationalRenewableEnergyLaborary)的技术报告中给出的TMY权重系数取值,见表2。 表2不同参数所采用权重系数Wk参数表
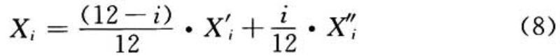
另外,本标准对TMY初步数据中的温度、湿度值进行月间平滑处理,采用的计算方法是将相邻月间的前后各6h的干球温度、露点温度进行平滑连接。其计算公式如下:
式中:Xi——平滑处理后的i时刻数据; X′i——前一天的i时刻数据; X″i——后一天的i时刻数据; i——从前一天18时起,i=0;到后一天6时止,i=12。
4.0.5 本标准附录D中未涉及的目标城镇,宜根据本标准附录C确定参考城镇,目标城镇的典型年气象参数可按参考城镇选取。当参考其他城镇气象参数时,应注明被参考城镇的名称。
附录A全国主要城镇采暖度日数和空调度日数表
附录A 全国主要城镇采暖度日数和空调度日数表
表A 全国主要城镇采暖度日数(HDD18)和空调度日数(CDD26)



















附录B严寒、寒冷地区计算采暖期参数表
附录B 严寒、寒冷地区计算采暖期参数表
表B 严寒、寒冷地区计算采暖期参数表










附录C参考城镇表
附录C 参考城镇表
条文说明
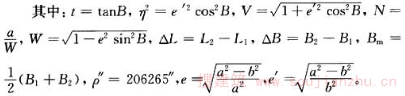
表C中计算目标城镇与参考城镇间的距离(即椭球面上两点间的最短程曲线)采用了高斯平均引数反算公式,该公式可用于球面距离200km以下的计算。计算步骤如下: 已知椭球面上两点经度分别为L1、L2,纬度分别为B1、B2。设M点是两点之间的中点,则Am、Bm、Lm、ηm、tm、Nm、Vm都是M点的参数。
大地坐标系参数:a——长半轴6378140m; b——短半轴6356755.288157m; e——椭圆第一偏心率; e′——椭圆第二偏心率; e′2=0.00673950181947; e2=0.00669438499959。 
式中:S——大地线长度(m); L——经度(°); B——纬度(°); A——大地方位角(°)。 
表C 参考城镇表








附录D全国主要城镇典型气象年(TMY)参数
附录D 全国主要城镇典型气象年(TMY)参数
D.0.1 全国主要城镇典型气象年(TMY)数据应按本标准所附光盘选取。
本标准用词说明
本标准用词说明
1 为便于在执行本标准条文时区别对待,对要求严格程度不同的用词说明如下:
1)表示很严格,非这样做不可的:
正面词采用“必须”,反面词采用“严禁”;
2)表示严格,在正常情况下均应这样做的:
正面词采用“应”,反面词采用“不应”或“不得”;
3)表示允许稍有选择,在条件许可时首先应这样做的:
正面词采用“宜”,反面词采用“不宜”;
4)表示有选择,在一定条件下可以这样做的,采用“可”。
2 条文中指明应按其他有关标准执行的写法为:“应符合……的规定”或“应按……执行”。
引用标准名录
引用标准名录
1 《公共建筑节能设计标准》GB 50189
2 《严寒和寒冷地区居住建筑节能设计标准》JGJ 26
3 《夏热冬暖地区居住建筑节能设计标准》JGJ 75
4 《夏热冬冷地区居住建筑节能设计标准》JGJ 134
