Appearance
《氧气站设计规范》GB 50030-2013
🗓️ 住房和城乡建设部 实施时间:2014-07-01
前言
中华人民共和国国家标准
氧气站设计规范
Code for design of oxygen station
GB 50030-2013
发布部门:中华人民共和国住房和城乡建设部
中华人民共和国国家质量监督检验检疫总局
发布日期:2013年12月19日
实施日期:2014年07月01日
1 总则
1.0.1 为使氧气站的工程设计做到技术先进,经济合理,综合利用,节约能源,保护环境,确保安全生产,制定本规范。
1.0.2 本规范适用于下列新建、改建、扩建的氧气站及其管道工程设计:
1 采用低温空气分离法生产氧、氮、氩等气态、液态产品的氧气站设计;
2 采用常温空气分离法生产氧、氮、氩等气态产品的氧气站的设计;
3 氧、氮、氩等空气分离液态产品气化站房的设计;
4 氧、氮、氩等空气分离气态产品的汇流排间设计。
1.0.3 氧气站内各类房间的火灾危险性类别及最低耐火等级,应符合本规范附录A的规定。
1.0.4 氧气站设计除应符合本规范外,尚应符合国家现行有关标准的规定。
2 术语
2.0.1 氧气站 oxygen station
采用低温法或常温法制取和供应氧、氮、氩等空气分离产品,按工艺要求设置的制氧站房、灌氧站房或压氧站房、室外工艺设备以及其他有关建筑物和构筑物的统称。
2.0.2 制氧站房 oxygen produce station
布置制取氧气和其他空气分离产品工艺设备的主要及辅助生产间的建筑物。
2.0.3 灌氧站房 oxygen pouring station
布置压缩、充灌并贮存输送氧气、氮气、氩气和其他空气分离产品工艺设备的主要及辅助生产间的建筑物。
2.0.4 氧气压缩机间 oxygen compression station
布置压缩、输送氧气和其他空气分离产品工艺设备的主要及辅助生产间的建筑物。
2.0.5 稀有气体间 rare gas room
布置稀有气体净化、提纯工艺设备的主要及辅助生产间的建筑物。
2.0.6 气化站房 gasification station
布置空气分离液态产品的储罐、气化设备为主的建筑物。
2.0.7 汇流排间 manifold room
布置输送氧、氮、氩等气体,供给用户的汇流排或气瓶集装格,并可存放一定气瓶的建筑物。
2.0.8 实瓶 full cylinder
在一定充灌压力下的气瓶,一般指水容积为40L、工作压力为12MPa~15MPa的气体钢瓶。
2.0.9 空瓶 empty cylinder
无内压或有一定残余压力的气体钢瓶。
2.0.10 钢瓶集装格 the bundle of gas cylinders
以专用框架固定,采用集气管将多只气体钢瓶接口并联组合的气体钢瓶组单元。
2.0.11 厂区管道 production area pipeline
氧气站各主要生产建筑物之间以及氧气站接至各用户之间的管道。
2.0.12 车间管道 workshop pipeline
氧气站主要生产间建筑物内部以及气体用户车间建筑物内部的管道。
2.0.13 含湿气体 wet gas
在管路输送压力、温度下,水含量达饱和或未达饱和状态的气体。
2.0.14 压力调节阀组 valve group for pressure regulating
根据工艺或使用要求,用于调节输送气体压力的调节阀及其前后、旁通切断阀、过滤器、仪表和控制系统的组合。
2.0.15 低温法空气分离装置(低温法空气分离系统) cryogenic air separation unit
采用深冷技术进行空气分离,制取氧、氮、氩等空气分离产品的装置,集精馏塔、换热器、吸附器、低温液体泵等设备,并包括系统中的各类阀门、仪表等的总称。
2.0.16 常温法空气分离装置(常温法空气分离系统) normal temperature air separation unit
在常温状态,采用变压吸附法或膜法进行空气分离制取氧气或氮气的装置,一般由吸附器组或膜组件、控制阀、仪表等组成。
2.0.17 空气净化装置 air purification equipment
去除空气中的机械杂质、水分、二氧化碳、乙炔等碳氢化合物的过滤器、吸附器、洗涤器、可逆换热器等的总称。
3 氧气站的布置
3.0.1 氧气站的布置,应按下列要求经技术经济综合比较后择优确定:
1 宜远离易产生空气污染的生产车间,布置在空气洁净的地区,并在有害气体和固体尘粒散发源的全年最小频率风向的下风侧,空气质量应符合本规范第3.0.2条的规定;
2 宜靠近最大用户处;
3 宜有扩建的可能性;
4 宜有较好的自然通风和采光;
5 有噪声和振动机组的氧气站的有关建筑,与对有噪声和振动防护要求的其他建筑之间的防护间距应符合现行国家标准《工业企业总平面设计规范》GB 50187的有关规定。
3.0.2 低温法空气分离设备的原料空气吸风口与散发乙炔、碳氢化合物等有害气体发生源之间的距离应符合下列规定:
1 空气分离设备吸风口与乙炔、碳氢化合物等发生源之间的最小水平间距应符合表3.0.2-1的规定;

注:水平间距应按吸风口与乙炔、碳氢化合物等发生源相邻面外壁或边缘的最近距离计算。
2 当空气分离设备吸风口的原料空气吸风口与乙炔、碳氢化合物等发生源之间的最小水平间距不能满足表3.0.2-1的规定时,吸风口处空气中乙炔、碳氢化合物等杂质的允许含量不得大于表3.0.2-2的规定。

3.0.3 低温法空气分离设备吸风口的高度,宜高出制氧站房或其毗连的较高建筑的屋檐,且不宜小于1m。
3.0.4 氧气站火灾危险性为乙类的建筑物及氧气贮罐与其他各类建筑物、构筑物之间的防火间距不应小于表3.0.4的规定。

3.0.5 氧气站的火灾危险性为乙类的建筑物,与火灾危险性为甲类的建筑物之间的最小防火间距,应按本规范表3.0.4对其他各类建筑物之间规定的间距增加2m。
3.0.6 湿式氧气贮罐与可燃液体贮罐(液化石油气储罐除外)、可燃材料堆场之间的最小防火间距,应符合表3.0.4对室外变、配电站之间规定的间距。氧气站和氧气贮罐与液化石油气储罐之间的防火间距,应符合现行国家标准《城镇燃气设计规范》GB 50028的有关规定。
3.0.7 氧气站火灾危险性为乙类的建筑物与相邻建筑物或构筑物的防火间距,应按其与相邻建筑物或构筑物的外墙、外壁、外缘的最近距离计算。两座生产建筑物相邻较高一面的外墙为无门、窗、洞的防火墙时,其防火间距不限。
3.0.8 氧气贮罐、氮气、惰性气体贮罐、室外布置的工艺设备与其制氧站房等火灾危险性为乙类的建筑物的间距,可按工艺布置要求确定。容积小于或等于50m³的氧气贮罐与其使用厂房的防火间距不限。
3.0.9 氧气贮罐之间的防火间距不应小于相邻较大罐的半径。氧气贮罐与可燃气体贮罐之间的防火间距不应小于相邻较大罐的直径。
3.0.10 制氧站房、灌氧站房、氧气压缩机间宜布置成独立建筑物,但可与不低于其耐火等级的除火灾危险性属甲、乙类的生产车间,以及无明火或散发火花作业的其他生产车间毗连建造,其毗连的墙应为无门、窗、洞的防火墙,并应设不少于一个直通室外的安全出口。
3.0.11 输氧量不超过60m³/h的氧气汇流排间、氧气压力调节阀组的阀门室可设在不低于三级耐火等级的用户厂房内靠外墙处,并应采用耐火极限不低于2.0h的不燃烧体隔墙和丙级防火门,与厂房的其他部分隔开。
3.0.12 输氧量超过60m³/h的氧气汇流排间、氧气压力调节阀组的阀门室宜布置成独立建筑物,当与用户厂房毗连时,其毗连的厂房的耐火等级不应低于二级,并应采用耐火极限不低于2.0h的不燃烧体无门、窗、洞的隔墙与该厂房隔开。
3.0.13 氧气汇流排间可与同一使用目的的可燃气体供气装置或供气站毗连建造在耐火等级不低于二级的同一建筑物中,但应以无门、窗、洞的防火墙相互隔开。
3.0.14 液氧贮罐和输送设备的液体接口下方周围5m范围内不应有可燃物,不应铺设沥青路面,在机动输送液氧设备下方的不燃材料地面不应小于车辆的全长。
3.0.15 氧气站的乙类生产场所不得设置在地下室或半地下室。
3.0.16 液氧贮罐、低温液体贮槽宜室外布置,它与各类建筑物、构筑物的防火间距应符合表3.0.4的规定,当液氧贮罐的容积不超过3m³时,与所有使用建筑的防火间距可减为10m。当液氧贮罐、低温液体贮槽确需室内布置时,宜设置在单独的房间内,且液氧贮罐的总几何容积不得超过10m³,并应符合下列规定:
1 当设置在独立的一、二级耐火等级的专用建筑物内,且与使用建筑一侧为无门、窗、洞的防火墙时,其防火间距不应小于6m;
2 当设置在一、二级耐火等级的贮罐间内,且一面贴邻使用建筑物外墙时,应采用无门、窗、洞的耐火极限不低于2.0h的不燃烧体墙分隔,并应设直通室外的出口。
3.0.17 液氧贮罐和汽化器的周围宜设围墙或栅栏,并应设明显的禁火标志。
3.0.18 低温液体的贮运及使用安全应符合现行行业标准《低温液体贮运设备 使用安全规则》JB 6898的有关规定。
4 工艺系统
4.0.1 氧气站设计时,应充分调查研究所在地区的气体供应状况,经综合分析比较后,宜采用能量消耗低和经济适用的区域集中供气方式和气体供应系统。应按下列因素进行综合分析比较:
1 供应系统的设备与建造费用;
2 气体制造及输送过程的能量消耗;
3 气体生产成本;
4 运输及其他费用。
4.0.2 氧气站工艺系统选择时,应经技术经济比较后,择优采用空气分离系统和配置节能型设备。
4.0.3 氧气站工艺系统的类型应根据下列因素选择:
1 氧气站的规模;
2 用户对气体产品纯度、压力、杂质含量的要求;
3 用户对气体、液体产品品种的要求;
4 电力和其他能源供应条件;
5 用户对投资、能耗控制的要求;
6 用户对建设进度、占地、操作、维护、管理的要求。
4.0.4 低温法空气分离系统的设备配置应符合下列规定:
1 原料空气过滤器的过滤精度应按空气压缩机类型确定。当采用离心式压缩机时,其原料空气过滤器的过滤精度当悬浮粒子的粒径小于0.5μm时,应大于或等于99%;粒径小于2μm时,应大于或等于99.8%。
2 根据工艺流程和冷箱出口氧、氮产品的压力要求,全低压空气分离设备的原料空气压力不宜大于1.0MPa。
3 除空气压缩机设有后冷却器或纯化器采用变压吸附工艺可不设空气预冷装置外,宜设置空气预冷装置。
4 空气纯化装置应采用分子筛吸附器,其纯化后的原料空气中的二氧化碳含量宜小于1.0×10-6,水分含量宜小于2.6×10-6,氧化亚氮脱除率宜大于80%。
5 空气分离装置内采用膜式主冷凝蒸发器时,宜设置液空或液氧吸附器。
4.0.5 低温法空气分离系统采用内压缩流程时,宜设置空气增压机或循环氮气压缩机。
4.0.6 利用大、中型低温法空气分离设备制取氩气宜采用全精馏制氩方法。
4.0.7 大型低温法空气分离设备氖、氦、氪、氠等稀有气体提取装置的设置应符合下列规定:
1 应根据用户需求;
2 稀有气体提取及其提纯宜集中进行;
3 提取的品种、纯度应依据技术经济比较确定。
4.0.8 离心式空气压缩机应设下列保护系统:
1 防喘振保护系统;
2 安全放散系统;
3 轴承温度、轴振动和轴位移测量、报警与停车系统;
4 入口导叶可调系统。
4.0.9 单一氧或氮气的制取,其氧气纯度低于95%或氮气纯度低于99.99%时,宜采用常温变压吸附空气分离系统;吸附剂的再生解吸宜采用常压解吸或真空解吸。
4.0.10 单一富氧或氮气的制取,其氮气产量不超过3000m³/h且低于99.0%时,宜采用常温空气膜法制取氧、氮系统;膜法空气分离系统应由原料空气压缩机、缓冲罐、膜分离组件和产品增压设备等组成。
4.0.11 低温法空气分离系统的流程,用氧压力大于4MPa或液体产品需求大的用户应采用内压缩流程;用氧压力小于或等于4MPa或液体产品需求量小的用户宜采用外压缩流程。
4.0.12 氧气和氮气压缩机应按气体流量和排气压力选用活塞式或离心式压缩机。单台压缩机能力大于6000m³/h时,宜采用离心式压缩机。
4.0.13 活塞式氧气压缩机应采用气缸无油润滑压缩机;当采用气缸水润滑压缩机时,应设置软水供给系统,并应设置断水报警、停车装置。
4.0.14 活塞式氧气和氮气压缩机前应设缓冲罐。活塞式氧气、氮气压缩机后,应根据用户气体用量变化情况设置压力贮罐。
4.0.15 离心式氮气压缩机的保护系统的设置应符合本规范第4.0.8条的规定。
4.0.16 离心式氧气压缩机的设置应符合下列规定:
1 应设置符合本规范第4.0.8条规定的保护系统;
2 应设置氮气或干燥空气试车系统、氮气轴封系统;
3 应设置自动快速充氮灭火系统。
4.0.17 氧气站内各类压缩机进出口管道应采取隔声、消声措施;若压缩机的噪声超标时,应设隔声罩。低温法空气分离设备的纯化装置和常温空气分离设备的吸附器的放散管均应设置消声器。
4.0.18 低温液体加压用的低温液体泵应设置入口过滤器、轴封气和加温气体入口,以及低温液体泵出口设压力报警装置、轴承温度过高报警装置。
4.0.19 低温液体产品采用水浴式汽化器时,应设置水温调节装置和出口气体温度过低报警装置。
4.0.20 常温法空气分离设备和小型低温法空气分离设备生产的空气分离产品宜采用压力气体贮罐贮存;大、中型低温法空气分离设备生产的空气分离产品,以及贮存量较大的空气分离产品宜采用低温液体贮罐贮存,亦可根据用户自身的需求,采用压力气体贮罐贮存。
4.0.21 氧气、氮气、氩气钢瓶的灌装应符合下列规定:
1 气态气体的灌装宜采用高压气体压缩机和充装台或钢瓶集装格灌装;
2 液态气体的灌装宜采用低温液体泵-汽化器-充装台灌装;
3 充装台前的气体管道上应设有紧急切断阀、安全阀、放空阀。
4.0.22 氧气站内的气体充装台和钢瓶集装格除可灌装气体外,亦可在增设气体压力调节装置后作为气体汇流排输送氧气、氮气到用户点使用。
4.0.23 氧气、氮气、氩气充装台的设置应符合下列规定:
1 氧气、氮气、氩气充装台应设有超压泄放用安全阀;
2 氧气、氮气、氩气充装台应设有吹扫放空阀,放空管应接至室外安全处;
3 应设有分组切断阀、防错装接头等;
4 应设有灌装气体压力和钢瓶内余气压力的测试仪表。
4.0.24 氧气站中氧气、氮气设备和管道中有冷凝水时,应经各自的专用疏水装置排至室外。
4.0.25 医院医用氧供应应符合下列规定:
1 医用氧气品质应符合现行国家标准《医用及航空呼吸用氧》GB 8982的有关规定;
2 应根据医用氧气数量和所在地的氧气供应状况,经综合比较选择氧气汇流排、液态氧或自设常温变压吸附制氧装置生产氧气;当采用常温变压吸附制氧装置制取氧气时,应符合现行行业标准《医用分子筛制氧设备通用技术规范》YY/T 0298的有关规定;
3 医用氧供应系统的总管应设可遥控的紧急切断阀。
5 工艺设备
5.0.1 氧气站的设计容量应根据用户的用气特点以及气体用量平衡表的昼夜小时平均用量,或工作班的小时平均用量之和,经技术经济比较后确定。氧气站空气分离设备的设计容量应计入当地海拔高度的影响。
5.0.2 氧气站空气分离设备的型号、台数、备用机组的选用应根据用户对空气分离气体产品的要求,经技术经济比较后确定,并应符合下列规定:
1 空气分离设备台数宜按大容量、少机组、统一型号的原则确定。
2 产品气体压缩机的设计压力应满足用户气体产品的使用压力,并应与产品气体压力贮罐的设计压力一致。
3 氧气站可不设置备用空气分离设备,当供气中断会造成用户较大损失时,宜设置备用空气压缩机、氧气压缩机,亦可采用其他方法调节供气。
5.0.3 氧气站气态产品贮罐容量的选择应符合下列规定:
1 调节产气量和用气量之间的不平衡宜采用气体压力贮罐。压力贮罐的设计贮气量应按空气分离设备小时产气量和用户的气体用量曲线以及设计压力和释放压力确定。
2 小型氧气站常压气态产品量和用气量之间的不平衡宜采用贮气囊,其贮气量应按产气量与用气量之间的不平衡性确定。
5.0.4 氧气站低温液体贮罐容量的选择应根据下列要求经技术经济比较后确定:
1 液体产品的用途及需求量;
2 液体产品槽车运输费用、运输距离和液体贮罐性能;
3 当液体产品仅用于空气分离设备检修时的备用气源时,其容量应按空气分离设备检修所需时间内的用气量确定。
5.0.5 氧气站的原料空气压缩机的排气压力应按空气分离设备要求确定。当所在企业压缩空气站的空气压缩机的排气压力与空气分离设备的原料空气压缩机排气压力一致时,空气压缩机可互为备用。
5.0.6 各类气体输送用压缩机的设置应符合下列规定:
1 压缩机型号、台数应按进气、排气参数和平均小时用气量选择;
2 压缩机后的气体压力贮罐容量应根据用气量变化情况确定;
3 同一品种气体、同一排气压力的压缩机宜采用同一型号,并能调节压缩机能力;
4 当采用的活塞式压缩机需要连续运行时应设备用。
5.0.7 灌装用气体压缩机的型号、排气量、台数应根据灌装介质,瓶装气体用量,充装容器的规格、数量、充装时间等条件确定,可不设备用。
5.0.8 高纯氧气、氮气、氩气的灌瓶压缩机宜采用膜式压缩机或无润滑压缩机。高纯气体灌装站房宜设有钢瓶气体置换、加热干燥和抽真空等钢瓶处理装置。
5.0.9 灌装用充装台不应少于两组,其中一组充装时,另一组倒换钢瓶。每组钢瓶的数量应按充装用气体压缩机的排气量和充装时间确定。
5.0.10 供气用汇流排的设置不应少于两组,其中一组供气时,另一组为倒换钢瓶用。每组钢瓶的数量应按用户最大小时用气量和供气时间确定。
5.0.11 各种气体钢瓶的数量应按钢瓶周转情况确定,当确定有困难时,宜按用户一昼夜用气瓶数的3倍确定。
5.0.12 制氧站房应设检修起重设备,其起吊能力应按检修设备最重部件确定。手动或电动方式按起吊重量大小和检修频率确定。
钢瓶集装格的气体灌装厂房宜采用起重设备或电瓶车运输。
5.0.13 氧气站应按安全生产以及对空气分离产品质量的要求,设置在线分析和离线分析仪器。
5.0.14 氧气站宜设置废液收集装置。
6 工艺布置
6.0.1 常温法空气分离系统和氧产量大于1500m³/h的低温法空气分离系统,除压缩机外宜采用室外布置。室外布置的装置、控制阀组等应采取防雨、防冻措施。
6.0.2 设有低温法空气分离装置的氧气站宜将原料空气压缩机和离心式氧气压缩机等集中布置在主厂房内。主厂房宜采用独立建筑,其层数、层高应按压缩机及其辅助设备特点、起重设施等确定。
6.0.3 氧气站内原料空气压缩机的布置应符合下列规定:
1 应按站房规模、压缩机及其辅助设备特点进行布置,宜采用单层布置;
2 离心式空气压缩机吸气过滤器的布置应方便定期清扫、更换;
3 当氧气站的原料空气压缩机与压缩空气站的空气压缩机互为备用时,宜布置在同一压缩机间内。
6.0.4 氧气压缩机的布置应符合下列规定:
1 活塞式氧气压缩机超过2台时,宜布置在单独的氧气压缩机间内;
2 当采用离心式氧气压缩机时,宜设防护墙或罩;宜与其他压缩机布置在同一压缩机间内;
3 氧气压缩机间应设有直接通向室外的安全出口。
6.0.5 灌氧站房的布置应符合下列规定:
1 氧气实瓶的贮量,每个防火分区不得超过1700瓶,防火分区的设置应符合现行国家标准《建筑设计防火规范》GB 50016的有关规定。
2 当氧气实瓶的贮量超过3400瓶时,宜将制氧站房或液氧气化站与灌氧站房分别设置在独立的建筑物内。
3 每个灌瓶间、实瓶间、空瓶间均应设有直接通向室外的安全出口。
6.0.6 独立氧气瓶库的气瓶贮量应根据氧气灌装量、气瓶周转量和运输条件等因素确定。独立氧气瓶库的最大贮量不应超过表6.0.6的规定。

6.0.7 在使用氧气的建筑或厂房内,氧气汇流排间的氧气实瓶贮量不宜超过24h的用氧量。
6.0.8 氧气站生产的多种空气分离产品需灌瓶和贮存时,应分别设置每种产品的灌瓶间、实瓶间和空瓶间。
6.0.9 氧气贮气囊宜布置在单独的房间内。当贮气囊总容量小于或等于100m³时,可布置在制氧间内,但贮气囊不得设置在氧气压缩机的顶部。贮气囊与设备的水平距离不应小于3m,并应设有安全和防火围护措施。
6.0.10 氧气站内的设备布置应紧凑合理、便于安装维修和操作,并应符合下列规定:
1 设备之间的净距不宜小于1.5m;设备与墙之间的净距不宜小于1m,且净距满足设备的零部件抽出检修的要求;其净距不宜小于抽出零部件的最大尺寸加0.5m;
2 设备与其附属设备之间的净距以及水泵等小型设备的布置间距可根据工艺需要适当减小;
3 设备双排布置时,两排之间的净距不宜小于2m。
6.0.11 气体灌装设施的布置应符合下列规定:
1 灌瓶间、空瓶间和实瓶间的通道净宽度应根据气瓶运输方式确定,但不宜小于1.5m;采用集装格钢瓶组时,不宜小于2.0m;
2 空瓶间、实瓶间应设置钢瓶装卸平台。平台宽度宜为2m,高度应按气瓶运输工具确定,宜高出室外地坪0.4m~1.1m;
3 灌瓶间、空瓶间和实瓶间均应设有防止瓶倒的措施。
6.0.12 采用氢气进行空气分离产品纯化时,应符合下列规定:
1 加氢催化反应炉应布置在靠外墙的单独房间内,并不得与其他房间直接相通;
2 氢气实瓶应存放在靠外墙的单独房间内,不得与其他房间直接相通。并应符合现行国家标准《氢气站设计规范》GB 50177的有关规定;
3 氢气瓶的贮放量不得超过60瓶。
6.0.13 氧气站的氧气、氮气等放散管和液氧、液氮等排放管均应引至室外安全处,放散管口距地面不得低于4.5m。
6.0.14 氧气压力调节阀组宜单独设置在专用调压阀室内。
6.0.15 氧气站内同时设有氮气压缩机和氧气压缩机时,可共同设置在同一房间内。
6.0.16 压缩机和电动机之间当采用联轴器或皮带传动时,应采取安全防护措施。
6.0.17 输送液氧的多级离心液氧泵宜单独设置在专用液氧泵间内,亦可设置防护墙或罩进行隔离。
6.0.18 氧气站内的各种气体压缩机应根据其振动特性、允许振幅等要求,除合理进行设备及管道布置外,应采取防振、隔振措施。
6.0.19 氧气站内设有各种气体压缩机的房间或作业场所应根据压缩机类型、规格或制造厂家提供的噪声声压等级,并应符合现行国家标准《工业企业噪声控制设计规范》GB 50087的有关规定确定采取相应的噪声控制措施。
7 建筑和结构
7.0.1 氧气站的生产性站房宜为单层建筑物。
7.0.2 氧气站的主要生产间的屋架下弦高度,应按设备的高度和设备检修时的起吊高度以及起重吊钩的极限高度确定,但不宜小于4.0m,灌瓶间、汇流排间等的屋架下弦高度不宜小于3.5m。
7.0.3 当制氧站房或液氧系统设施和灌氧站房布置在同一建筑物内时,应采用耐火极限不低于2.0h的不燃烧体隔墙和乙级防火门进行分隔,并应通过走廊相通。
7.0.4 氧气贮气囊间、氧气压缩机间、氧气灌瓶间、氧气实瓶间、氧气贮罐间、液氧贮罐间、氧气汇流排间、氧气调压阀间等房间相互之间应采用耐火极限不低于2.0h的不燃烧体隔墙和乙级防火门窗进行分隔。
7.0.5 氧气压缩机间、氧气灌瓶间、氧气贮气囊间、氧气实瓶间、氧气贮罐间、液氧贮罐间、氧气汇流排间、氧气调压阀间等与其他毗连房间之间应采用耐火极限不低于2.0h的不燃烧体隔墙和乙级防火门窗进行分隔。
7.0.6 氧气站的主要生产间,其围护结构上的门窗应向外开启,并不得采用木质等可燃材料制作。
7.0.7 灌瓶间、实瓶间、汇流排间和贮气囊间的窗玻璃宜采用磨砂玻璃或涂白漆等措施,防止阳光直接照射。
7.0.8 灌瓶间的充灌台应设置高度不小于2m、厚度大于或等于200mm的钢筋混凝土防护墙。气瓶装卸平台应设置大于平台宽度的雨篷,雨篷和支撑应采用不燃烧体。
7.0.9 灌瓶间、汇流排间、空瓶间、实瓶间的地坪应平整、耐磨和防滑。
7.0.10 低温法空气分离设备的冷箱基础应采取防冻措施。
大型平底圆柱形液态气体贮槽采用珠光砂绝热时,应采用高架式基础,其基础顶部应采用泡沫玻璃隔热,厚度宜为1000mm。
7.0.11 氧气站内的氢气瓶间应设置在靠外墙,且有直接通向室外的安全出口的专用房间内,氢气瓶间与相邻的房间应采用不低于2.0h耐火极限的无门、窗、洞的不燃烧体墙体分隔;氢气瓶间设计应符合现行国家标准《氢气站设计规范》GB 50177的有关规定。
8 电气和仪表
8.0.1 氧气站的供电负荷分级应符合现行国家标准《供配电系统设计规范》GB 50052的有关规定,除中断供气将造成较大损失者外,宜为三级负荷。
8.0.2 有爆炸危险、火灾危险的房间或区域内的电气设施应符合现行国家标准《爆炸和火灾危险环境电力装置设计规范》GB50058的有关规定。催化反应炉部分和氢气瓶间应为1区爆炸危险区,离心式氧气压缩机间、液氧系统设施、氧气调压阀组间应为21区火灾危险区,氧气灌瓶间、氧气贮罐间、氧气贮气囊间等应为22区火灾危险区。
8.0.3 氧气站的照明除中断供气将造成较大损失者外,可不设继续工作用的事故照明,仪表集中处宜设局部照明。
8.0.4 设有高压油开关的房间内,其贮油量不应大于25kg。
8.0.5 空气分离产品压缩机间与灌瓶间、贮气囊或气体贮罐间之间宜设置联系信号。灌瓶间应设置压缩机紧急停车按钮。
8.0.6 氧气站应设置成本核算所需的用电、用水等计量仪表,以及输出空气分离产品的计量、遥测、记录仪表。
8.0.7 与氧气接触的仪表必须无油脂。
8.0.8 积聚液氧、液体空气的各类设备、氧气压缩机、氧气灌充台和氧气管道应设导除静电的接地装置,接地电阻不应大于10Ω。
8.0.9 氧气站和露天布置的氧气贮罐、液氧贮罐等的防雷设计应符合现行国家标准《建筑物防雷设计规范》GB 50057的有关规定。
8.0.10 氧气站应根据气体生产、储存、输送和灌装的需要设置下列分析仪器:
1 原料空气纯化装置出口二氧化碳含量连续在线分析;
2 空气分离装置主冷凝蒸发器液氧中乙炔、碳氢化合物含量连续在线分析;
3 空气分离装置出口空气分离产品的纯度分析;
4 高纯空气分离产品中杂质含量分析;
5 制氧间、氧气压缩机间、氧气贮罐间、氧气灌瓶间等的空气中氧含量定期检测;
6 制氮间、氮气压缩机间、氮气贮罐间、氮气灌瓶间等的空气中氧含量定期检测。
8.0.11 氧气站内,除各类设备配备的各种测量和控制装置外,尚应装设下列参数测量和控制装置:
1 站房出口各种空气分离产品的压力测试和调节;
2 输送用气体压缩机的进气、排气压力测量和纯度检测、流量调节装置;
3 气体贮罐压力遥测、记录;
4 制气设备出口压力、温度遥测、记录;
5 各单体设备运行状态显示、记录。
8.0.12 氧气站内宜设置下列报警连锁控制装置:
1 原料空气纯化装置出口二氧化碳超标报警;
2 空气分离装置主冷凝蒸发器液氧中乙炔、碳氢化合物超标报警;
3 空气分离装置出口产品纯度不合格报警;
4 压缩机润滑油系统,设置油压过高、过低与油温过高的报警和连锁控制;
5 灌瓶压缩机间与灌瓶间应设置联系信号报警和连锁控制装置。
9 给水、排水和消防
9.0.1 氧气站的生产用水,除不能中断生产用气外,宜采用一路供水。
9.0.2 压缩机等设备用冷却水应循环使用,其水压宜为0.15MPa~0.50MPa;循环冷却水水质应符合现行国家标准《工业循环冷却水处理设计规范》GB50050的有关规定。
9.0.3 氧气站设备的给水和排水系统应能放尽存水。
压缩机的循环冷却水的管道上应装设水流观察装置或排水漏斗,并宜装设断水报警装置。
9.0.4 氧气站的消防用水设施应符合现行国家标准《建筑设计防火规范》GB50016的有关规定。
9.0.5 制氧间、氧气贮罐间、液氧储罐间、氢气瓶间等有火灾危险、爆炸危险的房间,其灭火器的配置类型、规格、数量及其位置应符合现行国家标准《建筑灭火器配置设计规范》GB50140的有关规定。
10 采暖和通风
10.0.1 制氧站房、灌氧站房、氧气压缩机间、氧气储罐间、液氧储罐间、氢气瓶间、液氧系统和氧气汇流排间等严禁采用明火或电加热散热器采暖。
10.0.2 采用集中采暖时,室内采暖计算温度应符合下列规定:
1 气体贮罐间、低温液体贮罐间等不宜低于5℃;
2 空瓶间、实瓶间不宜低于10℃;
3 办公室、生活间等生产辅助房间应符合现行国家标准《采暖通风与空气调节设计规范》GB 50019的有关规定;
4 除上述各房间外的生产房间不宜低于15℃。
10.0.3 气体贮罐间、贮气囊间、低温液体贮罐间、实瓶间、空瓶间、灌瓶间的散热器应采取局部隔热措施。
10.0.4 催化反应炉部分、氢气瓶间、氮气压缩机间、氮气压力调节阀间、惰性气体贮气罐间和液体贮罐间等的自然通风换气次数,每小时不应少于3次;事故换气应采用机械通风,其换气次数不应少于12次。排风中有氢气的氢气瓶间等的事故排风机的选型应符合现行国家标准《氢气站设计规范》GB 50177的有关规定。
10.0.5 氧气站的集中控制室宜采用分体式空调机组降温。
11 氧气管道
11.0.1 氧气管道宜采用架空敷设。当架空敷设有困难时,可采用不通行地沟敷设或直接埋地敷设。
11.0.2 厂区管道架空敷设时,应符合下列规定:
1 氧气管道应敷设在不燃烧体的支架上;
2 除氧气管道专用的导电线路外,其他导电线路不得与氧气管道敷设在同一支架上;
3 当沿建筑物的外墙或屋顶上敷设时,该建筑物应为一、二级耐火等级,并应是与氧气生产或使用有关的车间建筑物;
4 氧气管道、管架与建筑物、构筑物、铁路、道路等之间的最小净距应符合本规范附录B的规定;
5 氧气管道与其他气体、液体管道共架敷设时,宜布置在其他管道外侧,并宜布置在燃油管道的上面。各种管线之间的最小净距应符合本规范附录C的规定;
6 氧气管道上设有阀门时,应设置操作平台;
7 寒冷地区的含湿气体管道应采取防护措施。
11.0.3 厂区管道直接埋地敷设或采用不通行地沟敷设时,应符合下列规定:
1 氧气管道严禁埋设在不使用氧气的建筑物、构筑物或露天堆场下面或穿过烟道;
2 氧气管道采用不通行地沟敷设时,沟上应设防止可燃物料、火花和雨水侵入的不燃烧体盖板;严禁氧气管道与油品管道、腐蚀性介质管道和各种导电线路敷设在同一地沟内,并不得与该类管线地沟相通;
3 直接埋地或不通行地沟敷设的氧气管道上不应装设阀门或法兰连接点,当必须设阀门时,应设独立阀门井;
4 氧气管道不应与燃气管道同沟敷设,当氧气管道与同一使用目的燃气管道同沟敷设时,沟内应填满沙子,并严禁与其他地沟直接相通;
5 埋地深度应根据地面上的荷载决定。管顶距地面不宜小于0.7m;含湿气体管道应敷设在冻土层以下,并应在最低点设排水装置。管道穿过铁路和道路时应设套管,其交叉角不宜小于45°;
6 氧气管道与建筑物、构筑物及其他埋地管线之间的最小净距应符合本规范附录D的规定;
7 直接埋地管道应根据埋设地带土壤的腐蚀等级采取相应的防腐蚀措施。
8 当氧气管道与其他不燃气体或水管同沟敷设时,氧气管道应布置在上面,地沟应能排除积水。
11.0.4 车间内氧气管道的敷设应符合下列规定:
1 氧气管道不得穿过生活间、办公室;
2 车间内氧气管道宜沿墙、柱或专设的支架架空敷设,其高度应不妨碍交通和便于检修;
3 氧气管道与其他管线共架敷设时,应符合本规范第11.0.2条第5款的规定;
4 当不能架空敷设时,可采用不通行地沟敷设,但应符合本规范第11.0.3条第2款~第4款和第8款的规定;
5 进入用户车间的氧气主管应在车间入口处装设切断阀、压力表,并宜在适当位置设放散管;
6 氧气管道的放散管应引至室外,并应高出附近操作面4m以上的无明火场所;
7 氧气管道不得穿过高温作业及火焰区域。当必须穿过时,应在该管段增设隔热措施,其管壁温度不应超过70℃;
8 穿过墙壁、楼板的氧气管道应敷设在套管内;套管内不得有焊缝,管子与套管间的间隙应采用不燃烧的软质材料填实;
9 氧气管道不应穿过不使用氧气的房间。当必须通过不使用氧气的房间时,其在房间内的管段上不得设有阀门、法兰和螺纹连接,并应采取防止氧气泄漏的措施;
10 供切割、焊接用氧的管道与切割、焊接工具或设备用软管连接时,供氧嘴头及切断阀应设置在用不燃烧材料制作的保护箱内。
11.0.5 通往氧气压缩机的氧气管道以及装有压力、流量调节阀的氧气管道上,应在靠近机器入口处或压力、流量调节阀的上游侧装设过滤器,过滤器的材料应为不锈钢、镍铜合金、铜、铜基合金。
11.0.6 氮气和氩气与各类其他管道、建筑物、构筑物等之间的间距宜符合现行国家标准《压缩空气站设计规范》GB 50029的有关规定。
11.0.7 氧气、氮气、氩气管道敷设在通行地沟或半通行地沟时,必须设有可靠的通风安全措施。
11.0.8 氧气管道的管径应按下列条件计算确定:
1 计算流量应采用该管系最低工作压力、最高工作温度时的实际流量;
2 流速应为工作压力下的管内氧气实际流速,氧气管道内的最高流速不得超过表11.0.8的规定。
表11.0.8 氧气管道内的最高流速

11.0.9 氧气管道材质选用应符合表11.0.9的规定。
表11.0.9 氧气管道材质选用



注:1 “√”表示允许采用,“×”表示不允许采用。
2 碳钢钢板卷焊管只宜用于工作压力小于0.1MPa,且管径超过现有焊接钢管、无缝钢管产品管径的情况下。
3 表中阀指干管阀门、供一个系统的支管阀门、车间入口阀门。
4 不锈钢板卷焊管,内壁焊缝磨光条件下,允许使用在压力不高于5MPa的一般场所。
5 工作压力大于3.0MPa的铜合金管不包括铝钢合金。
6 铜基合金:钢的含量超过55%(重量)的紫铜、黄铜(含锌铜合金)、青铜(含铝、硅、镁、锡、铅等的铜合金),白铜(含镍铜合金)的总称。青铜类合金中铝含量不超过2.5%(重量)。
7 镍基合金:通常镍的含量不少于50%(重量)的镍200、镍铜(蒙乃尔-400和蒙乃尔-500)、镍铬(因科镍合金600和因科镍合金X-750)、镍铬钼(哈司特镍合金C-275和因科镍合金625)等的总称。
11.0.10 氧气管道的阀门应符合下列规定:
1 设计压力大于0.1MPa的氧气管道上,不得采用闸阀;
2 设计压力大于或等于1.0MPa且公称直径大于或等于150mm的氧气管道上的手动阀门,宜设旁通阀;
3 设计压力大于1.0MPa,公称直径大于或等于150mm的氧气管道上经常操作的阀门,宜采用气动阀门;
4 阀门材料选用应符合表11.0.10的规定。
表11.0.10 阀门材料选用
| 设计压力P(MPa) | 材 料 |
| <0.6 | 阀体、阀盖采用可锻铸铁、球墨铸铁或铸钢,阀杆采用碳钢或不锈钢,阀瓣采用不锈钢 |
| 0.6~10 | 采用全不锈钢、铜基合金或不锈钢与铜基合金组合、镍及镍基合金 |
| >10 | 采用铜基合金、镍及镍基合金 |
注:1 设计压力大于或等于0.1MPa管道上的压力或流量调节阀的材料,应采用不锈钢或铜基合金或以上两种材料的组合。
2 阀门的密封填料宜采用聚四氟乙烯或柔性石墨材料。
11.0.11 氧气管道上的法兰、紧固件应按国家现行标准选用,氧气管道法兰用垫片应符合表11.0.11的规定。
表11.0.11 氧气管道法兰用垫片
| 设计压力P(MPa) | 垫 片 |
| <0.6 | 聚四氟乙烯垫片、柔性石墨复合垫片 |
| 0.6~3.0 | 缠绕式垫片、聚四氟乙烯垫片、柔性石墨复合垫片 |
| 3.0~10 | 缠绕式垫片、退火软化铜垫片、镍及镍基合金片 |
| >10.0 | 退火软化铜垫片、镍及镍基合金片 |
11.0.12 氧气管道上的弯头应符合下列规定:
1 氧气管道严禁采用折皱弯头;
2 采用冷弯或热弯弯制碳钢弯头时,弯曲半径不应小于公称直径的5倍;
3 采用标准的对焊无缝碳钢弯头时,应采用长半径弯头;
4 采用铜镍合金、铜或铜基合金无缝弯头时,可采用短半径弯头;
5 设计压力小于或等于0.1MPa的卷焊钢管可采用斜接弯头,斜接弯头制作和使用应符合现行国家标准《工业金属管道设计规范》GB 50316的有关规定。
11.0.13 氧气管道的异径接头、分岔头应符合下列规定:
1 异径接头宜采用标准的钢制对焊无缝异径接头。当焊接制作时,变径部分长度不应小于两端管外径差值的3倍,其内壁应平滑,无锐边、毛刺及焊瘤;
2 分岔头宜采用标准的钢制对焊无缝三通。当焊接制作时,应按设计图纸预制,并加工到无锐边、突出部及焊瘤。不得在安装时开孔插接。
11.0.14 输送含湿气体或需做水压试验的管道应设不小于0.003的坡度,并在管道最低点设排水装置。
11.0.15 氧气管道因温度变化产生的应力宜采用自然补偿。
11.0.16 氧气管道的连接应采用焊接,但与设备、阀门连接处可采用法兰或螺纹连接。螺纹连接处应采用聚四氟乙烯带作为填料,不得采用涂铅红的麻或棉丝,或其他含油脂的材料。
11.0.17 氧气管道应设置导除静电的接地装置,并应符合下列规定:
1 厂区架空或地沟敷设管道,在分岔处或无分支管道每隔80m~100m处,以及与架空电力电缆交叉处应设接地装置;
2 进、出车间或用户建筑物处应设接地装置;
3 直接埋地敷设管道应在埋地之前及出地后各接地一次;
4 车间或用户建筑物内部管道应与建筑物的静电接地干线相连接;
5 每对法兰或螺纹接头间应设跨接导线,电阻值应小于0.03Ω。
11.0.18 氧气管道的弯头、分岔头不得紧接安装在阀门的出口侧,其间宜设长度不小于5倍管道公称直径且不应小于1.5m的直管段。
11.0.19 氧气管道施工验收应符合下列规定:
1 氧气管道、阀门及管件应无裂缝、鳞皮、夹渣等。接触氧气的表面必须彻底去除毛刺、焊瘤、焊渣、粘砂、铁锈和其他可燃物等,保持内壁光滑清洁。管道内、外表面除锈应进行到出现本色为止;
2 管道、阀门、管件、仪表、垫片及与氧气直接接触的其他附件的脱脂应符合现行行业标准《脱脂工程施工及验收规范》HG 20202或施工设计文件的规定。脱脂合格后的氧气管道应封闭管口,并宜充入干燥氮气;
3 碳钢材质的氧气管道的焊接应采用氩弧焊打底。不锈钢管道的焊接应采用氩弧焊;
4 氧气管道焊缝质量应采用射线照相检验。对液氧管道及氧气管道设计压力大于4.0MPa时,应进行100%的射线照相检验,其质量等级不得低于Ⅱ级;氧气管道设计压力1.0MPa~4.0MPa时,可抽样检验。抽检比例固定焊口宜为40%,转动焊口宜为15%,其质量等级不得低于Ⅱ级;氧气管道设计压力小于1.0MPa时,抽检比例不得低于5%,其质量等级不得低于Ⅲ级;
5 氧气管道的试验介质及试验压力应符合表11.0.19的规定;
表11.0.19 氧气管道的试验介质及试验压力
| 管道设计压力P | 强度试验 | 严密性试验 | ||
| 试验介质 | 试验压力(MPa) | 试验介质 | 试验压力(MPa) | |
| <0.1 | 空气或氮气 | 0.1 | 空气或氮气 | 1.0P |
| 0.1~4.0 | 1.15P | 1.0P | ||
| >4.0 | 水 | 1.5P | 1.0P | |
注:1 空气或氮气必须是无油脂和干燥的。
2 水应为无油和干净的。对于奥氏体不锈钢管,试验水中的氯离子含量不得超过25×10-6。
3 以气体介质做强度试验时,应制订有效的安全措施,并经有关安全部门批准后进行。
4 P为管道设计压力。
6 强度及严密性试验的检验应符合下列规定:
1)用空气或氮气做强度试验时,当达到试验压力且稳压5min后,应无变形,无泄漏。用水做强度试验时,当达到试验压力且稳压10min后,应无变形,无泄漏。
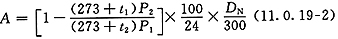
2)严密性试验达到试验压力后持续24h,室内及地沟管道的平均小时泄漏率不应超过0.25%;室外管道的平均小时泄漏率不应超过0.5%。平均小时泄漏率应按下列公式计算:
当管道公称直径小于300mm时:

当管道公称直径大于或等于300mm时:

式中:A——平均小时泄漏率;
P1、P2——试验开始、终了时的绝对压力(MPa);
t1、t2——试验开始、终了时的温度(℃);
DN——管道公称直径(mm)。
11.0.20 严密性试验合格的管道应采用无油、干燥的空气或氮气以不小于20m/s,且不低于氧气设计流速的速度吹扫,直至出口无铁锈、焊渣及其他杂物为止。
11.0.21 输送高纯氧气的管道,其管材、阀门、附件等的选择应按现行国家标准《洁净厂房设计规范》GB 50073的有关规定执行。
附录A氧气站内各类房间的火灾危险性类别及最低耐火等级
表A 氧气站内各类房间的火灾危险性类别及最低耐火等级

注:1 液氧系统设施包括液氧贮罐、液氧泵、汽化器和阀门室;
2 氧气灌瓶站房包括氧气灌瓶间,氧气空、实瓶间以及相应轴助生产间;
3 氮气、氩气灌瓶间包括氮气和氩气空、实瓶间以及相应辅助生产间;
4 氧气贮罐间包括气态氧压力贮罐或液氧贮罐;
5 氮气贮罐间包括气态氮压力贮罐或液氮贮罐。
附录B厂区架空氧气管道、管架与建筑物、构筑物、铁路、道路等之间的最小净距
表B 厂区架空氧气管道、管架与建筑物、构筑物、铁路、道路等之间的最小净距(m)

注:1 表中水平距离:管架从最外边线算起;道路为城市型时,自路面边缘算起;道路为公路型时,自路肩边缘算起;铁路自轨外侧或按建筑界限算起;人行道自外沿算起。
2 表中垂直距离:管线自防护设施的外缘算起,管架自最低部分算起,铁路自轨面算起,道路自路拱算起,人行道自路面算起。
3 当有大件运输要求或在检修期间有大型起吊设施通过的道路,其最小垂直净距应根据需要确定。
4 表中与建筑物的最小水平净距的规定,不适用于沿氧气生产车间或氧气用户车间建筑物外墙敷设的管道。
5 与架空电力线路的距离应符合现行国家标准《66kV及以下架空电力线路设计规范》GB 50061的有关规定。
附录C厂区及车间架空氧气管道与其他架空管线之间的最小净距
表C 厂区及车间架空氧气管道与其他架空管线之间的最小净距(m)

注:1 氧气管道与同一使用目的的燃气管道平行敷设时,最小平行净距可减小到0.25m。
2 氧气管道的阀门及管件接头与燃气、燃油管道上的阀门及管件接头,应沿管道轴线方向错开一定距离;当必须设置在一处时,则应适当扩大管道之间的净距。
3 电气设备与氧气的引出口不能满足上述距离要求时,可将两者安装在同一柱子的相对侧面;当为空腹柱子时,应在柱子上装设不燃烧体隔板局部隔开。
4 公称直径小于或等于80mm的氧气管道,与不燃介质管道的最小平行净距可小于0.25m,但不得小于0.15m。
5 与滑触线的净距系指氧气管在其下方时的要求,此时在氧气管及滑触线之间宜设隔离网。
附录D厂区地下氧气管道与建筑物、构筑物及其他地下管线之间的最小净距
表D 厂区地下氧气管道与建筑物、构筑物等及其他地下管线之间的最小净距(m)

注:1 氧气管道与同一使用目的的燃气管道在同一水平敷设时,管道间水平净距可减少到0.25m,但在从沟底起直至管顶以上300mm高的范围内,应用松散的土或砂填实后再回填土。
2 氧气管道与穿管的电缆交叉时,交叉净距可减少到0.25m。
3 本表建筑物基础的最小水平净距是指埋地管道与同一标高或其上的基础最外侧的最小水平净距。
4 敷设在铁路及不便开挖的道路下面的管段,其加设的套管两端伸出铁路路基或道路路边不应小于1m;路基或路边有排水沟时,应延伸出水沟沟边1m。套管内的管道应无焊缝。
5 表中水平净距:管线均自管壁、沟壁或防护设施的外沿或最外一根电缆算起;道路为城市型时,自路面边缘算起;道路为公路型时,自路肩边缘算起;铁路自轨外侧算起。
6 表中管道、电缆和电缆沟最小垂直净距的规定,均指下面管道或管沟外顶与上面管道管底或管沟基础底之间的净距。铁路钢轨和道路垂直净距的规定,铁路自轨底算至管顶,道路自路面结构层底算至管顶。
本规范用词说明
1 为便于在执行本规范条文时区别对待,对要求严格程度不同的用词说明如下:
1)表示很严格,非这样做不可的:
正面词采用“必须”,反面词采用“严禁”;
2)表示严格,在正常情况下均应这样做的:
正面词采用“应”,反面词采用“不应”或“不得”;
3)表示允许稍有选择,在条件许可时首先应这样做的:
正面词采用“宜”,反面词采用“不宜”;
4)表示有选择,在一定条件下可以这样做的,采用“可”。
2 条文中指明应按其他有关标准执行的写法为:“应符合……的规定”或“应按……执行”。
引用标准名录
《建筑设计防火规范》GB 50016
《采暖通风与空气调节设计规范》GB 50019
《城镇燃气设计规范》GB 50028
《压缩空气站设计规范》GB 50029
《工业循环冷却水处理设计规范》GB 50050
《供配电系统设计规范》GB 50052
《建筑物防雷设计规范》GB 50057
《爆炸和火灾危险环境电力装置设计规范》GB 50058
《66kV及以下架空电力线路设计规范》GB 50061
《洁净厂房设计规范》GB 50073
《工业企业噪声控制设计规范》GB 50087
《建筑灭火器配置设计规范》GB 50140
《氢气站设计规范》GB 50177
《工业企业总平面设计规范》GB 50187
《工业金属管道设计规范》GB 50316
《低中压锅炉用无缝钢管》GB 3087
《低压流体输送用焊接钢管》GB 3091
《高压锅炉用无缝钢管》GB 5310
《医用及航空呼吸用氧》GB 8982
《输送流体用不锈钢焊接钢管》GB 12771
《铜及铜合金拉制管》GB/T 1527
《输送流体用无缝钢管》GB/T 8163
《输送流体用不锈钢无缝钢管》GB/T 14976
《低温液体贮运设备 使用安全规则》JB 6898
《脱脂工程施工及验收规范》HG 20202
《石油化工钢管尺寸系列》SH 3405
《铜及铜合金挤制管》YS/T 662
《医用分子筛制氧设备通用技术规范》YY/T 0298
