Appearance
《多高层木结构建筑技术标准》GB/T 51226-2017
🗓️ 实施时间: 2017-10-01
总 则
1 总 则
1.0.1 为规范多高层木结构建筑的设计、制作、安装、验收与维护,做到技术先进、安全适用、经济合理、确保质量、保护环境,制定本标准。
1.0.2 本标准适用于多层木结构民用建筑、高层木结构住宅建筑和办公建筑的设计、制作、安装、验收与维护。
1.0.3 多高层木结构建筑的设计、制作、安装、验收与维护,除应符合本标准外,尚应符合国家现行有关标准的规定。
术语和符号
2 术语和符号
2.1 术 语
2.1.1 多高层木结构建筑 multi-story and high rise timber buildings
大于3层的木结构建筑。采用的木结构形式分为纯木结构、木混合结构。
2.1.2 纯木结构 pure timber structure
承重构件均采用木材或木材制品制作的结构形式,包括方木原木结构、胶合木结构和轻型木结构等。
2.1.3 木混合结构 hybrid timber structure
由木结构构件与钢结构构件,钢筋混凝土结构构件混合承重,并以木结构为主要结构形式的结构体系,包括下部为钢筋混凝土结构或钢结构、上部为纯木结构的上下混合木结构以及混凝土核心筒木结构等。
2.1.4 木框架支撑结构 wood post-and-beam structure with bracing system
采用梁柱作为主要竖向承重构件,以支撑作为主要抗侧力构件的木结构,支撑材料可为木材或其他材料。
2.1.5 木框架剪力墙结构 post-and-beam srructure with wood shear wall system
采用梁柱作为主要竖向承重构件,以剪力墙作为主要抗侧力构件的木结构。剪力墙可采用轻型木结构墙体或正交胶合木墙体。
2.1.6 正交胶合木剪力墙结构 cross laminated timber shear wall structure
采用正交胶合木(CLT)剪力墙作为主要受力构件的木结构。
2.1.7 上下混合木结构 vertical hybrid timber structure
木混合结构中,下部采用混凝土结构或钢结构,上部采用纯木结构的结构体系。
2.1.8 混凝土核心筒木结构 timber structure with concrete tube
木混合结构中,主要抗侧力构件采用钢筋混凝土核心筒,其余承重构件均采用木质构件的结构体系。
2.2 符号
2.2.1 材料的力学性能
?——钢材抗弯强度设计值;
?c,90——木材横纹承压强度设计值;
?bt——普通螺栓的抗拉强度设计值。
2.2.2 作用和作用效应
Gi、Gj——分别为第i、j楼层重力荷载设计值;
Nt——螺栓轴向拉力设计值;
Rd——构件的承载力设计值;
Sd——荷载组合的效应设计值;
Vi、Vi+1——第i层和第i+1层的地震剪力标准值。
2.2.3 几何参数
Ae——螺栓的有效截面面积;
Di——第i楼层的弹性等效侧向刚度;
EJd——结构一个主轴方向的弹性等效侧向刚度;
ei——第i层质心偏移值;
hi、hi+1——第i层和第i+1层层高;
H——房屋高度;
LBi——第i层垂直于地震作用方向的建筑物长度;
ri——第i层相应质点所在楼层平面的转动半径;
n——结构计算总层数;
△i、△i+1——第i层和第i+1层在地震作用标准值作用下的层间位移。
2.2.4 系数
α——抗侧刚度之比;
β——地震作用增大系数;
γ0——结构重要性系数;
γ2——考虑层高修正的楼层侧向刚度比;
γRE——承载力抗震调整系数。
2.2.5 其他
C——根据结构构件正常使用要求规定的变形限值。
材 料
3 材 料
3.1 结构用木材
3.1.1 多高层木结构建筑采用的结构木材可分为方木、原木、规格材、层板胶合木、正交胶合木、结构复合木材、木基结构板材以及其他结构用锯材,其材质等级应符合现行国家标准《木结构设计规范》GB 50005的规定。
3.1.2 结构用木材的产品质量和强度设计指标应符合现行国家标准《木结构设计规范》GB 50005、《胶合木结构技术规范》GB/T 50708和《结构用集成材》GB/T 26899的规定。
3.1.3 结构用木材含水率应符合下列规定:
1 当方木、原木作为受拉构件连接用的木夹板时不应大于18%,其余情况下,方木、原木不应大于25%;
2 规格材、工厂目测分级的方木和其他结构用锯材不应大于19%;
3 层板胶合木和正交层板胶合木不应大于15%;
4 结构复合木材不应大于12%;
5 除方木、原木外的木材作为连接件时不应大于15%。
3.2 钢材与金属连接件
3.2.1 承重木结构中使用的钢材宜采用Q235钢、Q345钢、Q390钢或Q420钢,并应符合现行国家标准《碳素结构钢》GB/T 700和《低合金高强度结构钢》GB/T 1591的规定。
3.2.2 下列情况的承重构件或连接材料宜采用D级碳素结构钢或D级、E级低合金高强度结构钢:
1 直接承受动力荷载或振动荷载的焊接构件或连接件;
2 工作温度为-30℃及以下的构件或连接件。
3.2.3 钢材应符合现行国家标准《钢结构设计规范》GB 50017和《建筑抗震设计规范》GB 50011的规定,并应具有抗拉强度、伸长率、屈服强度和硫、磷含量的合格保证,焊接构件或连接件尚应有含碳量和冷弯试验的合格保证。
3.2.4 普通螺栓应符合现行国家标准《六角头螺栓》GB/T 5782和《六角头螺栓 C级》GB/T 5780的规定。
3.2.5 锚栓宜采用Q235钢或Q345钢。
3.2.6 高强螺栓应符合现行国家标准《钢结构用高强度大六角头螺栓》GB/T 1228、《钢结构用高强度大六角螺母》GB/T 1229、《钢结构用高强度垫圈》GB/T 1230、《钢结构用高强度大六角头螺栓、大六角头螺母、垫圈技术条件》GB/T 1231、《钢结构用扭剪型高强度螺栓连接副》GB/T 3632的规定。
3.2.7 钢钉应符合现行国家标准《钢钉》GB/T 27704的规定。
3.2.8 焊条应符合现行国家标准《非合金钢及细晶粒钢焊条》GB/T 5117和《热强钢焊条》GB/T 5118的规定,采用的焊条型号应与金属构件或金属连接件的钢材力学性能相适应。
3.2.9 金属连接件应经防腐蚀处理或采用不锈钢产品。与经防腐处理的木材直接接触的金属连接件应避免防腐剂引起的腐蚀。
3.2.10 金属齿板应由镀锌薄钢板制作。镀锌应在齿板制造前进行,镀锌层重量不低于275g/m2。钢板可采用Q235碳素结构钢和Q345低合金高强度结构钢。
3.2.11 处于外露环境并对耐腐蚀有特殊要求的或受腐蚀性气态和固态介质作用的钢构件,宜采用耐候钢,并应符合现行国家标准《耐候结构钢》GB/T 4171的规定。
3.2.12 外露的金属连接件可采取涂刷防火涂料等防火措施。
3.2.13 混凝土强度等级、受力钢筋及其性能应符合国家现行标准《混凝土结构设计规范》GB 50010的规定。
3.3 其他材料
3.3.1 建筑材料的选用应符合下列规定:
1 宜采用国家及地方主管部门推荐使用的新型建筑材料;
2 建筑材料有害物质和放射性核素限值应符合国建现行有关标准的规定;
3 宜采用热工性能良好的建筑材料;
4 宜选择耐久性好的建筑材料。
3.3.2 多高层木结构建筑宜采用岩棉、矿渣棉、玻璃棉保温材料和隔声吸声材料,也可按设计要求采用其他具有保温和隔声吸声功能的材料。
3.3.3 装饰装修材料的品种、规格和质量应符合现行国家标准《民用建筑工程室内环境污染控制规范》GB 50325、《建筑内部装修设计防火规范》GB 50222、《建筑设计防火规范》GB 50016和《建筑装饰装修工程质量验收规范》GB 50210的规定。
3.3.4 防火封堵材料应符合现行国家标准《防火封堵材料》GB 23864和《建筑用阻燃密封胶》GB/T 24267的规定。
3.3.5 多高层木结构建筑选用的产品、工程木制品等应符合国家现行相关产品标准的规定。
作 用
4 作 用
4.1 竖向荷载
4.1.1 多高层木结构建筑的楼面活荷载、屋面活荷载及屋面雪荷载等应按现行国家标准《建筑结构荷载规范》GB 50009的规定采用。
4.1.2 计算构件内力时,楼面及屋面活荷载可取为各跨满载,楼面活荷载大于4kN/m2时宜考虑楼面活荷载的不利布置。
4.2 风荷载
4.2.1 主体结构计算时,风荷载作用面积应取垂直于风向的最大投影面积,垂直于建筑物表面的单位面积风荷载标准值应按现行国家标准《建筑结构荷载规范》GB 50009的规定计算。
4.2.2 基本风压应按现行国家标准《建筑结构荷载规范》GB 50009的规定采用。对于建筑高度大于20m的木结构建筑,当采用承载力极限状态进行设计时,基本风压值应乘以1.1倍的增大系数。
条文说明
4.2.2 根据现行国家标准《建筑结构荷载规范》GB 50009的规定,考虑到多高层木结构建筑的特点,本条规定高度大于20m的木结构建筑,设计时应适当提高基本风压值,增大系数规定为1.1。
4.2.3 当多栋或群集的高层木结构相互间距较近时,宜考虑风力相互干扰的群体效应。群体效应系数可将单栋建筑的体形系数μs乘以相互干扰增大系数,该系数可通过风洞试验确定。
4.2.4 横风向振动效应或扭转风振效应明显的高层木结构建筑,应考虑横风向风振或扭转风振的影响。横风向风振或扭转风振的计算范围、方法以及顺风向与横风向效应的组合方法应符合现行国家标准《建筑结构荷载规范》GB 50009的规定。
4.2.5 多高层木结构建筑有下列情况之一时,宜进行风洞试验判断确定建筑物的风荷载:
1 平面形状或立面形状复杂;
2 立面开洞或连体建筑;
3 周围地形和环境较复杂。
4.2.6 建筑幕墙结构设计时,风荷载应按国家现行标准《建筑结构荷载规范》GB 50009、《玻璃幕墙工程技术规范》JGJ 102和《金属与石材幕墙工程技术规范》JGJ 133的规定采用。
4.3 地震作用
4.3.1 地震作用应符合现行国家标准《建筑抗震设计规范》GB 50011的规定,并应符合本节的相关规定。
4.3.2 多高层木结构建筑的抗震设防类别应符合现行国家标准《建筑工程抗震设防分类标准》GB 50223的规定。
4.3.3 地震作用计算应符合下列规定:
1 应在结构两个主轴方向分别计算水平地震作用;各方向的水平地震作用应由该方向抗侧力构件承担;对于有斜交抗侧力构件的结构,当相交角度大于15°时,应分别计算各抗侧力构件方向的水平地震作用;
2 质量与刚度分布明显不对称、不均匀的结构,应计入双向水平地震作用下的扭转影响;其他情况,应计算单向水平地震作用下的扭转影响;
3 当抗震设防烈度9度时,应计算竖向地震作用;
4 当抗震设防烈度7度(0.15g)、8度和9度时,多高层木结构建筑中的大跨度、长悬臂结构应考虑竖向地震作用。
4.3.4 多高层木结构建筑应根据不同情况采用下列地震作用计算方法:
1 多高层木结构建筑宜采用振型分解反应谱法;对质量和刚度不对称、不均匀的多高层木结构建筑应采用考虑扭转耦联振动影响的振型分解反应谱法。
2 高度不超过20m、以剪切变形为主且质量和刚度沿高度分布比较均匀的多高层木结构建筑,可采用底部剪力法。
3 对于抗震设防烈度为7度、8度和9度的多高层木结构建筑符合下列情况时,宜采用弹性时程分析法进行多遇地震下的补充计算:
1)甲类多高层木结构建筑;
2)多高层木混合结构建筑;
3)符合表4.3.4中规定的乙、丙类多高层纯木结构建筑;
4)质量沿竖向分布特别不均匀的多高层纯木结构建筑。

4.3.5 计算多遇地震下双向水平地震作用效应时,可不考虑偶然偏心的影响。计算单向地震作用效应时,应考虑偶然偏心的影响。每层质心沿垂直于地震作用方向的偏移值可按下列公式采用:
1 方形及矩形平面:

2 其他形式平面:

式中:ei——第i层质心偏移值,各楼层质心偏移方向相同;
ri——第i层相应质点所在楼层平面的转动半径;
LBi——第i层垂直于地震作用方向的建筑物长度。
4.3.6 多高层木结构建筑抗震设计时,对于纯木结构,在多遇地震验算时结构的阻尼比可取0.03,在罕遇地震验算时结构的阻尼比可取,0.05。对于混合木结构可根据位能等效原则计算结构阻尼比。
条文说明
4.3.6 影响结构阻尼比的因素很多,准确确定结构阻尼比存在一定困难。综合国内外工程实测及结构试验结果表明,木结构在微振动和较小振动下的阻尼比较小,绝大多数实测数据位于(0.02~0.04)之间;试验表明,随着木结构振动的加大,其阻尼比呈上升趋势,结构进入较大弹塑性阶段的最大阻尼比实测值超过0.1。阻尼比与木结构的结构类型有一定关系,但其差异的研究尚不深入,故暂不作出进一步的细化规定。因此,为简化设计计算,故规定对于纯木结构,其在多遇地震验算时结构的阻尼比可取0.03,在罕遇地震验算时结构的阻尼比可取0.05。对于混合木结构中上下混合木结构和混凝土核心筒木结构,按照现行国家标准《建筑抗震设计规范》GB 50011的规定,采用位能等效原则的计算方法确定阻尼比。
建筑设计
5 建筑设计
5.1 一般规定
5.1.1 多高层木结构的建筑设计除应符合本章的规定外,尚应符合现行国家标准《民用建筑设计通则》GB 50352和相关标准的规定。
5.1.2 多高层木结构建筑按层数或高度的分类应符合下列规定:
1 住宅建筑按地面上层数分类时,4层~6层为多层木结构住宅建筑;7层~9层为中高层木结构住宅建筑;大于9层的为高层木结构住宅建筑;
2 按高度分类时,建筑高度大于27m的木结构住宅建筑、建筑高度大于24m的非单层木结构公共建筑和其他民用木结构建筑为高层木结构建筑。
5.1.3 总体规划的建筑容量控制指标、建筑物定位、建筑间距、建筑高度、景观控制、场地绿地率和停车位等主要技术经济指标,应符合城市规划管理的相关规定。
5.1.4 场地规划应符合项目环境影响评估报告的要求以及室外环境质量要求,并宜通过建筑布局改善场地环境。
条文说明
5.1.4 场地规划应考虑建筑布局对建筑室外环境的影响,考虑建筑周边,建筑与建筑之间的自然、人文环境的综合设计布局。特殊情形下,可通过适当技术措施来保证场地安全状况与改善室外环境。
5.1.5 建筑的选址应选择在工程地质条件安全可靠,并能获得良好的天然采光、自然通风的地段。不利地段应采取确保场地安全的技术措施。
5.1.6 建筑设计应与当地的自然、人文环境相协调,并宜体现木结构建筑的特点。
条文说明
5.1.6 多高层木结构建筑设计需考虑建筑周边的自然与人文环境,并通过暴露木材、应用木制装饰材料等手段体现木结构建筑的特性,还应借鉴传统建筑中适应环境的设计手法、建筑形式以及构造措施,采用传统与本土适宜技术来实现具有地域特色的木结构建筑。
5.1.7 建筑总平面布置应符合下列规定;
1 应合理设置绿化用地;
2 宜合理利用地下空间;
3 住宅建筑人均居住用地指标应符台城市规划要求;
4 需考虑日照要求的建筑应按日照分析确定建筑的间距,建筑的布置不应影响相邻建筑的日照要求;
5 应避免污染物的排放对建筑自身或相邻建筑产生不利影响。
5.1.8 多高层木结构建筑应根据使用功能、建筑类型以及经济条件等因素选择合适的结构类型。
5.1.9 建筑设计时,可根据建筑美学和使用要求将木结构或木构件设计为完全可视、部分可视和完全不可视三种类型。对于完全可视或部分可视类型的木结构或木构件宜符合外观的耐久性规定。
条文说明
5.1.9 本条改写自《加拿大高层木结构建筑设计和建造技术指南》(2014年第一版)(Technical Guide for the Design and Con-struction?of Tall Wood Buildings in Canada,First Edition 2014)中的规定。
5.1.10 建筑设计宜采用被动式节能措施,应优化建筑形体、空间布局、自然采光、自然通风、围护结构保温、隔热等,并应降低建筑供暖、空调和照明系统的能耗。
5.1.11 建筑设计应符合现行国家标准《建筑模数协调标准》GB/T 50002的规定,并宜与工程木制品的规格尺寸协调。
5.1.12 多高层木结构建筑宜采用建筑、结构、设备和装饰装修一体化设计。
5.1.13 多高层木结构建筑的设备及设备管线系统的设计,宜采用完全集成或部分集成到结构体系的方式。
条文说明
5.1.11~5.1.13 本条规定的目的是提倡多高层木结构建筑采用装配式建造方式,在设计过程中,应充分考虑木结构建筑的特点及当地的技术经济条件,实现各专业协同配合。
5.1.14 建筑的气候分区应符合现行国家标准《民用建筑热工设计规范》GB 50176的规定。
5.1.15 建筑隔声设计应符合现行国家标准《民用建筑隔声设计规范》GB 50118的规定。
5.2 室外环境设计
条文说明
本节除参考现行国家标准《民用建筑设计通则》GB 50352的规定外,还参考了现行行业标准《民用建筑绿色设计规范》JGJ/T 229中的相关条款,并作原则性规定。设置本节的目的是在于通过绿色设计的技术措施,突出木结构建筑的绿色生态的性能优势。
5.2.1 居住建筑应远离噪声源,并应采取隔声降噪措施。设计时,宜根据隔声降噪措施进行噪声预测模拟分析。
条文说明
5.2.1 临近交通道路的居住建筑、学校等建筑应采取有效的隔声或降噪措施,如应用道路声屏障、低噪声路面、种植绿化屏障、提高建筑外围护结构的隔声性能等技术措施。
5.2.2 建筑布置应有利于自然通风,应避免布置不当引起风速过高,并影响人行和室外活动,宜通过对室外风环境的模拟分析调整优化总体布局。
5.2.3 多高层木结构建筑室外环境宜采用绿化种植和雨水回渗等措施。
5.2.4 多高层木结构建筑可采用垂直绿化和屋顶绿化等立体绿化方式,并应采用满足性能要求的技术措施。
5.2.5 室外活动场地、地面停车场和其他硬质铺地应选用透水性铺装材料。
5.3 建筑性能设计
5.3.1 多高层木结构建筑应根据使用功能要求选择适宜的开间和层高,并应符合下列规定:
1 公共建筑室内空间分隔宜采用可重复使用的隔墙和隔断;
2 住宅建筑户内宜采用具有空间使用功能可变性和可改造性的内隔墙;
3 内墙的设置应将防火墙与使用功能的分区相结合;
4 住宅建筑的层高不宜超过3.0m;当使用集中空调、新风或地暖系统时,住宅建筑的层高不宜超过3.2m。
5.3.2 设备层和架空层应符合下列规定:
1 纯木结构建筑的设备层宜设置在地下室;
2 对于未设置在地下室的设备层,应采取减少设备对上、下相邻层或毗邻的使用空间产生不利影响的有效措施;
3 供人员活动的架空层净高不应低于2m。
5.3.3 厕所、卫生间、盥洗室和浴室的位置、平面布置、平面尺寸以及卫生设备间距应符合现行国家标准《民用建筑设计通则》GB 50352的规定,并宜采用质量合格的集成式厨房、集成式卫浴等建筑部品。卫生间、厨房的墙体内侧应设置防潮层,楼面板应采用防水、防滑、防潮材料,以及应采取相应的构造措施。
5.3.4 多高层木结构建筑中的电梯、自动扶梯应符合下列规定:
1 电梯井道和机房不应毗邻主要使用房间,并应采取减振、隔声和防火措施;
2 自动扶梯与木构件相连接时,应采取减振措施。
5.3.5 多高层木结构建筑的墙体、楼板隔声设计时,应充分利用木质构件的组合隔声性能,并应在木构件的空隙之间填塞吸声材料。
5.3.6 木结构建筑变形缝应根据结构特性设计,并应满足变形要求;变形缝处应加强防水、防火、防老化、防腐蚀、防虫害和防脱落等措施。
5.3.7 建筑外门窗应满足节能、通风、防火、防水、防潮和隔声的要求,且应符合抗风压、水密性、气密性、耐久性要求。
5.3.8 外墙的洞口、门窗等部位应采取防水、排水、密封与防火的构造措施,并应加强檐口、窗台等部位的防水措施。
5.3.9 建筑的室内地坪设计标高宜高于室外地坪设计标高450mm。
5.3.10 高层木结构建筑的楼盖宜采用木结构楼盖上覆盖混凝土面层的混合楼盖系统。
条文说明
本节是针对多高层木结构建筑的补充,作原则性规定。
5.3.10 考虑高层木结构建筑楼盖的防火与隔声性能要求,建议采用混凝土与木结构结合的混合式楼盖系统,同时也提供了地暖等管线埋设的空间。
5.3.11 屋面应符合下列规定:
1 屋面宜采用坡屋顶,并宜根据建筑形体、高度、当地最大雨雪量、结构形式和采用的防水材料确定屋面的坡度;
2 屋面应设置满足热工设计的保温隔热层,并宜采取防结露、防水汽渗透等措施;
3 当屋面坡度较大时,应采取防止屋面材料滑落的固定措施;
4 严寒及寒冷地区的坡屋面檐口不宜外露,应采取防止冰雪融化下坠和冰坝形成的措施;
5 天沟、天窗、檐沟、檐口、水落管、泛水、变形缝和伸出屋面管道等处应加强防水构造措施。
5.3.12 管道井、烟道和通风道应符合下列规定:
1 管道井、烟道和通风道应分别独立设置,不得使用同一管道系统,应用不燃材料制作,并应与木结构脱离;
2 烟道和排风道宜伸出屋面,并应根据屋面形式、排出口周围遮挡物的高度、距离和积雪深度确定伸出高度;
3 烟道和排风道的出口应避开门窗和通风设备的进风口;
4 有噪声和振动的管道应采取隔声减振措施。
5.3.13 室内环境应符合下列规定:
1 夏季使用空调的情况下,室内热湿环境宜为温度22℃~28℃,湿度40%~65%;冬季采暖情况下,室内热湿环境宜为温度18℃~24℃,湿度30%~60%;
2 声环境设计应符合现行国家标准《声环境质量标准》GB 3096的规定;房间的室内噪声级和建筑外墙、隔墙、楼板和门窗隔声性能应符合现行国家标准《民用建筑隔声设计规范》GB 50118的规定;
3 有噪声和振动的房间应远离有安静要求的房间或场所;当相邻设置时,应采取降噪减振措施;
4 具备天然采光条件的,采光设计应符合现行国家标准《建筑采光设计标准》GB 50033的规定;不具备天然采光条件的区域应使用人工照明,照明设计应符合现行国家标准《建筑照明设计标准》GB 50034的规定;
5 室内空气应无毒、无害、无异味,室内空气质量应符合现行国家标准《室内空气质量标准》GB/T 18883和《民用建筑工程室内环境污染控制规范》GB 50325的规定;
6 室内空气流速在夏季使用空调的情况下,宜低于0.3m/s;在冬季采暖情况下宜低于0.2m/s;当采用自然通风方式时,浴室、厕所、洗衣房宜低于0.8m/s,其余房间宜低于0.5m/s。
5.4 围护结构
5.4.1 建筑物的体型系数、窗墙面积比、围护结构的热工性能、外窗的气密性能和屋顶透明部分面积比,应符合国家现行标准《民用建筑热工设计规范》GB 50176、《公共建筑节能设计标准》GB 50189、《严寒和寒冷地区居住建筑节能设计标准》JGJ 26、《夏热冬冷地区居住建筑节能设计标准》JGJ 134和《夏热冬暖地区居住建筑节能设计标准》JGJ 75的规定。
条文说明
5.4.1 建筑围护结构的节能设计是实现建筑节能的关键。不同类型的木结构建筑的节能设计应符合国家和地方相关的标准要求。条件允许时,可适当提高节能设计要求,体现木结构建筑在保温节能方面的优异性能。
5.4.2 建筑外墙设计应符合下列规定:
1 严寒、寒冷地区与夏热冬冷地区的外墙出挑构件的外保温层宜闭合;
2 夏热冬冷地区和夏热冬暖地区外墙宜采用浅色饰面材料或热反射型涂料;
3 建筑外墙宜设置通风间层。
5.4.3 夏热冬冷地区和夏热冬暖地区的屋顶设计宜采取下列保温隔热措施:
1 屋面宜选用浅色屋面;
2 平屋顶宜设置架空通风层,坡屋顶宜设置可通风的阁楼层;
3 屋面宜设置遮阳装置。
5.4.4 严寒或寒冷地区与夏热冬冷地区的外窗设计宜符合下列规定:
1 不宜设置凸窗和屋顶天窗;
2 金属窗和幕墙型材宜采取热桥隔断措施;
3 外窗或幕墙与外墙之间缝隙应采用保温材料填充,并应用密封材料嵌缝。
5.4.5 除严寒地区外,主要功能空间的外窗在夏季的热负荷较大时,应设置外遮阳设施,并应对夏季遮阳与冬季阳光利用进行综合分析。天窗和东西向外窗宜设置活动式外遮阳设施。
5.4.6 建筑围护结构设计时宜采取下列防潮措施:
1 应保证热桥部位的内表面温度不低于室内空气设计温度和湿度条件下的露点温度;
2 外墙、屋顶等部位宜设置防水透气膜。
5.4.7 建筑围护结构的气密性设计应符合下列规定:
1 气密层应完整连续,并应做好在不同构件或材料之间的连接处或接触面的局部密封处理;隔汽层必须连续,搭接处必须用密封胶带或密封剂密封;
2 柔性材料之间的连接处应密封,搭接长度不应小于100mm;
3 当采用外围护墙面板作为连续气密层时,板缝应采用胶带粘接等方式密封;
4 内墙与带有气密层的外墙、吊顶、楼板或屋面相交处,应采取保证气密层连续的措施;
5 内墙伸出吊顶或延伸成外墙处,应密封墙内空间;
6 楼盖外挑成为阳台或挑台时,应采取保证相邻墙体和楼盖气密层连续的措施;
7 门、窗、管线或管道等墙体或楼盖孔洞处,应做局部密封处理;
8 在有气密性要求的吊顶及楼地面等处开设检修孔洞时,洞口与盖板四周应设置密封条;
9 烟囱或排气口与其相邻构件之间的缝隙应采用不燃材料密封。
条文说明
5.4.7 本条提出针对木结构建筑围护结构的气密性设计要求。建筑围护结构具备完整连续的气密层,可以有效降低建筑制冷供暖的能耗。木结构建筑的气密层可由不同材料与构件组合来实现,关键在于施工过程中保证各个连接处与接触面的气密性。
5.4.8 建筑的外门窗的气密性要求不应低于现行国家标准《建筑外门窗气密、水密、抗风压性能分级及检测方法》GB/T 7106中规定的6级要求。
5.4.9 外墙宜采用防雨幕墙设计。墙面板外侧应设防水透气膜和厚度大于10mm的排水空气间层,并应在排水空气间层的上部、下部或其他适当的部位设置用于内部通风的通风口。
5.4.10 屋顶保温材料可铺设在顶棚上或屋面板的上方或下方。屋顶空间应与室外保持通风。
5.4.11 无架空层、地下室的建筑,底层地坪应做防潮、保温措施。有架空层或地下室的建筑,架空层与地下室宜采用自然通风或机械通风,其墙体及底层地面宜采取保温隔热措施,并应满足防火要求。
条文说明
5.4.11 木结构建筑的架空层或地下室多为钢筋混凝土结构,底层楼盖多为木质楼盖,所以做好地下室或架空层的墙体、底板的防水、保温措施就显得尤为重要,并且地下室、架空层应设自然通风或机械通风,保持室内空气流通,减少潮湿环境下木构件腐朽损坏以及建筑保温性能下降的不利影响。
5.4.12 多高层木结构建筑隔声构造措施宜按下列规定采用:
1 墙体和楼盖空间宜填充隔声材料,墙面宜采用低孔隙度吸声材料;
2 隔声要求较高的区域,宜采用双层墙或增加楼板厚度;
3 石膏板和墙体龙骨、楼盖搁栅间宜安装弹性金属隔声条;
4 楼面上宜加铺密度不低于30kg/m2的铺面材料或地毯类装饰材料。
结构设计
6.1 一般规定
6.1 一般规定
6.1.1 多高层木结构应采用以概率理论为基础的极限状态设计方法进行设计。
6.1.2 结构的设计基准期应为50年,结构设计使用年限和安全等级应符合现行国家标准《建筑结构可靠度设计统一标准》GB 50068的规定。
6.1.3 多高层木结构不应采用严重不规则的结构体系,并应符合下列规定:
1 结构应满足承载能力、刚度和延性要求;
2 结构的竖向布置和水平布置应使结构具有合理的刚度和承载力分布,应避免因刚度和承载力局部突变或结构扭转效应而形成薄弱部位;对薄弱部位应采取加强措施;
3 应防止部分结构或构件的破坏导致整个结构体系丧失承载能力;
4 应设置多道抗倒塌防线;
5 应防止偶然荷载等引起的连续性倒塌。
条文说明
6.1.3 本条第4款特别针对木结构提出,火灾造成构件承载力的减小或丧失,部分构件的失效不应产生连续性的倒塌。
6.1.4 结构设计时应考虑木材干缩、蠕变而产生的不均匀变形和受力偏心、应力集中等对结构或构件的不利影响,并应考虑不同材料的温度变化、基础差异沉降等非荷载效应的不利影响。
条文说明
6.1.4 参考国外高层木结构试验研究与实际项目中普遍关注的木材干缩问题,以及长期荷载作用下木构件的蠕变问题等作出相关规定。
6.1.5 结构分析模型应根据结构实际情况确定,采用的分析模型应准确反映结构构件的实际受力状态,连接的假定应符合结构实际采用的连接形式。对结构分析软件的计算结果应进行分析判断,确认其合理后,可作为工程设计依据。当无可靠的理论和依据时,宜采用试验分析方法确定。
6.1.6 结构整体计算时应按实际情况考虑楼面梁与竖向构件的偏心以及上下层竖向构件之间的偏心;当未考虑时,应采用柱端、墙附加弯矩的方法进行验算。
条文说明
6.1.6 对于设置了混凝土面层或采用正交胶合木的楼盖,计算多高层木结构的内力和变形时,可假定楼盖在其平面内为无限刚性,并应采取相应措施保证楼盖平面内的整体刚度。
6.1.7 多高层木结构建筑弹性状态下的层间位移角和弹塑性层间位移角应符合表6.1.7的规定。
条文说明
6.1.7 上海地方标准《轻型木结构建筑技术规程》DG/T J08-2059-2009第4.4.5条规定,轻型木结构的水平层间位移不得超过结构层高的1/250。考虑到多高层木结构重力二阶效应更加突出,故弹性阶段层间位移角限值取1/350,大于高层混凝土结构中框架结构的1/550,而小于高层钢结构的弹性阶段层间位移角限值1/250。同样,弹塑性阶段层间位移角限值取1/50。因为在多高层木结构中节点的连接弱于钢结构,且木结构构件属于脆性构件材料破坏,性能弱于钢结构,因此,采用1/350。
变形按其材料和结构形式确定,纯木结构按上述值确定。当纯木结构与其他材料的结构两者之间相差较大时,应考虑两者之间的柔性连接。

6.1.8 进行多高层木结构内力与位移计算时,当采取了保证楼板平面内整体刚度的措施,可假定楼板平面为无限刚性进行计算;当楼板具有较明显的面内变形,计算时应考虑楼板面内变形的影响,或对按无限刚性假定方法的计算结果进行适当调整。
6.1.9 高层木结构按空间整体工作计算分析时,应考虑下列变形:
1 梁的弯曲、剪切、扭转变形,必要时考虑轴向变形;
2 柱的弯曲、剪切、轴向、扭转变形;
3 支撑的弯曲、剪切、轴向、扭转变形;
4 墙的弯曲、剪切、轴向、扭转变形。
条文说明
6.1.9 参考《高层建筑混凝土结构技术规程》JGJ 3-2010第5.1.5条和5.1.6条规定。
6.1.10 高层建筑木结构弹性分析时,应计入层间变形引起的重力二阶效应的影响。
条文说明
6.1.10 本条参考行业标准《高层建筑混凝土结构设计规程》JGJ 3-2010第5.4.1条规定:当高层建筑结构满足下列规定时,弹性计算分析时可不考虑重力二阶效应的不利影响。
1 剪力墙结构、框架-剪力墙结构、板柱剪力墙结构、简体结构:
2 框架结构:该条考虑对混凝土结构,随着结构刚度的降低,重力二阶效应的不利影响呈非线性增长,因此,对结构的弹性刚度和重力荷载作用的关系加以限制。但高层木结构与混凝土结构刚度上相差较大,直接采用上述混凝土结构设计中的相关系数不恰当。
根据行业标准《高层民用建筑钢结构技术规程》JGJ 99-2015中第6.2.2条规定:高层民用建筑钢结构弹性分析时,应计入重力二阶效应的影响。随着结构刚度的降低,重力二阶效应的不利影响将增加。
根据《加拿大高层木结构建筑设计施工指南》4.3.2.2.8关于竖向承重体系抵抗水平荷载的要求中规定:确保高层木结构竖向承重体系协调地震产生的水平变形的能力至关重要。水平位移能使结构产生附加作用力或附加弯矩,设计时必须考虑水平位移对结构产生的影响。对高层木结构建筑,竖向承重体系刚度越大,抵抗水平地震荷载的能力越强。因此高层木结构建筑结构设计时,应考虑可预期的重力二阶效应(P-δ效应)。
上述资料同样指出高层建筑木结构应考虑重力二阶效应。
由于本标准适于多高层木结构建筑,对于低层、多层木结构建筑不需考虑重力二阶效应的问题。故本条可参考行业标准《高层民用建筑钢结构技术规程》JGJ 99-2015中规定的方法考虑重力二阶效应。
6.1.11 当高层木结构建筑的高宽比不符合本标准第6.2.2条的规定时,结构的整体稳定性应符合下列规定:
1 正交胶合木剪力墙结构、木框架剪力墙结构应符合下式要求:

2 木框架支撑结构应符合下式要求:

式中:EJd——结构一个主轴方向的弹性等效侧向刚度,可按倒三角形分布荷载作用下结构顶点位移相等的原则,将结构的侧向刚度折算为竖向悬臂受弯构件的等效侧向刚度;
H——房屋高度;
Gi、Gj——分别为第i、j楼层重力荷载设计值;
hi——第i层层高;
Di——第i楼层的弹性等效侧向刚度,可取该层剪力与楼层位移的比值;
n——结构计算总层数。
条文说明
6.1.11 木结构建筑多采用平台式施工建造,结构的竖向整体性通常由竖向拉杆或节点抗弯保证,但木结构梁柱连接、柱柱连接均采用销键连接,其弯矩传递能力难以满足刚性假定,因此,考虑重力二阶效应时,结构的受力性能较钢结构更为不利,故本条规定较行业标准《高层民用建筑钢结构技术规程》JGJ 99-2015中规定的值提高了40%左右。
参考行业标准《高层民用建筑钢结构技术规程》JGJ 99-2015中第6.1.7条规定高层民用建筑钢结构的整体稳定性应符合下列规定:
1 框架结构应符合下式要求:
2 框架-支撑结构、框架-延性墙板结构、简体结构和巨型框架结构应满足下式要求:
该条文用于控制重力二阶效应不超过20%,使结构的稳定具有适宜的安全储备。
6.2 结构体系和选型
6.2 结构体系和选型
6.2.1 多高层木结构建筑的结构体系可采用纯木结构体系和木混合结构体系,并应符合下列规定:
1 当采用上下混合木结构时,底部结构应采用钢筋混凝土结构或钢结构,底部结构的层数应符合表6.2.1-1的规定。

2 当抗震设防类别为甲、乙类建筑以及高度大于24m的丙类建筑,不应采用单跨木框架结构。
3 各种乙类、丙类建筑结构体系适用的结构类型、总层数和总高度应符合表6.2.1-2的规定。甲类建筑应按本地区抗震设防烈度提高1度后符合表6.2.1-2的规定,抗震设防烈度为9度时应进行专门研究。

6.2.2 多高层木结构建筑的高宽比不宜大于表6.2.2的规定。

6.2.3 建筑平面布置宜规则、对称,并应具有良好的整体性;宜选用风作用效应较小的平面形状;楼面宜连续,楼面不宜有较大凹入或开洞。多高层木结构建筑的结构平面不规则和竖向不规则应符合现行国家标准《建筑抗震设计规范》GB 50011的规定。
6.2.4 多高层木结构建筑竖向布置应符合下列规定:
1 结构的竖向布置宜规则、均匀,不宜有过大的外挑和内收。结构的侧向刚度宜下大上小,逐渐均匀变化,结构竖向抗侧力构件宜上下连续贯通。
2 相邻楼层的侧向刚度比可按公式(6.2.4)计算,且本层与相邻上层的比值不宜小于0.7,与相邻上部三层刚度的平均值不宜小于0.80;当本层层高大于相邻上层层高的1.5倍时,该比值不宜小于1.1;底层结构与上层的比值不得小于1.5。

式中:γ2——考虑层高修正的楼层侧向刚度比;
Vi、Vi+1——第i层和第i+1层的地震剪力标准值(kN);
△i、△i+1——第i层和第i+1层在地震作用标准值作用下的层间 位移(m);
hi、hi+1——第i层和第i+1层层高。
3 楼层抗侧力结构的层间受剪承载力不宜小于相邻上一层受剪承载力的80%,不应小于65%。
4 楼层质量沿高度宜均匀分布,楼层质量不宜大于相邻下一层楼层质量的1.5倍。
5 抗震设计时,当上部楼层收进部位距离室外地面的高度H1与房屋总高度H之比大于0.2时,上部楼层收进后的宽度B1不宜小于下部楼层宽度B的75%(图6.2.4a、b);当上部楼层外挑时,上部楼层宽度B1不宜大于下部楼层宽度B的1.1倍,且水平悬挑尺寸a不宜大于3m(图6.2.4c、d)。

6 当本条第1款~第5款中任意一款不符合时,相应的地震剪力标准值应乘以1.3倍的增大系数。
7 当结构顶层取消部分墙、柱或支撑形成空旷房屋时,宜采用弹性或弹塑性时程反应分析方法进行补充计算,并应采取有效的构造措施。
6.2.5 不规则高层木结构建筑应进行水平地震作用的计算和内力调整,应对薄弱部位采取有效的抗震构造措施,并应符合下列规定:
1 平面不规则而竖向规则的建筑应采用空间结构计算模型,并应符合下列规定:
1)扭转不规则时,应计入扭转影响;在具有偶然偏心的规定水平力作用下,楼层两端抗侧力构件弹性水平位移或层间位移的最大值与平均值的比值不宜大于1.5;当最大层间位移远小于本标准第6.1.7条的规定时,该比值不宜大于1.7;
2)凹凸不规则或楼板局部不连续时,采用的计算模型应符合楼板平面内实际刚度的变化;抗震设防烈度9度或严重不规则的结构宜计入楼板局部变形的影响;
3)平面不对称且凹凸不规则或局部不连续时,可根据实际情况分块计算扭转位移比;对扭转较大的部位应增大局部内力。
2 平面规则而竖向不规则的建筑,除应采用空间结构计算模型计算外,尚应进行弹塑性变形分析,并应符合下列规定:
1)地震作用的剪力标准值应乘以不小于1.3的增大系数;
2)竖向抗侧力构件不连续时,该构件传递给水平转换构件的地震内力应根据抗震设防烈度和水平转换构件的类型、受力情况和几何尺寸等,乘以1.3~2.0的增大系数;
3)侧向刚度不规则时,相邻层的侧向刚度比应符合其结构类型的相关规定;
4)楼层承载力突变时,薄弱层抗侧力结构的受剪承载力不应小于相邻上一楼层的65%。
3 平面、竖向均不规则的建筑,根据不规则类型的数量和程度,应采取不低于本条第1、2款规定的加强措施。对于特别不规则的建筑,应进行专门分析研究,并应采取更有效的加强措施或对薄弱部位进行抗震性能化设计。
条文说明
6.2.5 本条参考《高层建筑混凝土结构技术规程》JGJ 3-2010第3.4.5条“在考虑偶然偏心影响的规定水平地震力作用下,楼层竖向构件最大的水平位移和层间位移,A级高度高层建筑不宜大于该楼层平均值的1.2倍,不应大于该楼层平均值的1.5倍”,和《高层民用建筑钢结构设计规程》JGJ 99-2015第3.3.3条“楼层的最大水平位移与平均位移的比值不应大于1.5”。鉴于混凝土和钢结构关于位移比的要求是一致的,本规范也采纳该值。
6.2.6 结构平面布置应减少扭转的影响,以结构扭转为主的第一自振周期Tt与平动为主的第一自振周期T1之比不应大于0.9。
条文说明
6.2.6 如果第一振型是扭转振型,则个别竖向构件或因变形过大而产生节点变形过大或应力集中。为确保结构整体受力安全,在没有深入研究前,建议保守一点。
6.3 结构分析
6.3 结构分析
6.3.1 当采用振型分解反应谱法时,考虑组合所有模态的参与质量不应小于建筑两个正交水平方向90%的有效总质量。
6.3.2 当进行高层木结构的弹塑性地震反应分析时,恢复力模型应根据试验确定。
6.3.3 木结构连接设计时,应考虑强度和刚度退化的影响。
6.3.4 体型复杂、结构布置复杂以及特别不规则的多高层木结构,应采用至少两个不同结构分析软件进行整体计算。对结构分析软件的分析结果,应进行分析判断,确认其合理、有效后方可作为设计依据。
6.3.5 在竖向荷载、风荷载以及多遇地震作用下,多高层木结构的内力和变形可采用弹性方法计算;罕遇地震作用下,多高层木结构的弹塑性变形可采用弹塑性时程分析法或静力弹塑性分析法计算。高层木结构弹性分析时,考虑的变形应符合本标准第6.1.9条的规定。
6.3.6 高层木结构进行弹塑性计算分析时,可根据实际工程情况采用静力或动力时程分析方法,并应符合下列规定:
1 梁、柱、斜撑、剪力墙、楼板等结构构件,应根据实际情况和分析精度要求采用合适的简化模型;
2 应合理采用木材、连接件的力学性能指标及本构关系;
3 应对计算结果的合理性进行分析和判断。
条文说明
6.3.6 本条参照行业标准《高层建筑混凝土结构技术规程》JGJ 3-2010第5.5.1条中相关规定。
6.3.7 在预估的罕遇地震作用下,高层建筑结构薄弱层或薄弱部位的弹塑性变形计算可采用下列方法进行计算:
1 各层侧向刚度无突变的木框架结构可采用简化计算方法;
2 除本条第1款规定的结构以外,其他结构可采用弹塑性静力或动力分析方法。
条文说明
6.3.7 本条规定参照行业标准《高层建筑混凝土结构技术规程》JGJ 3-2010第5.5.2条规定。对于弹塑性层间位移的简化计算方法可参照该规程的相关规定执行。
6.3.8 高层建筑结构进行风作用效应计算时,应按两个方向计算;体系复杂的高层建筑,应考虑风向角的不利影响。
6.3.9 在结构平面的两个主轴方向分别计算水平地震效应时,对角柱和两个方向的支撑或剪力墙所共有的柱构件,其水平地震作用引起的构件内力应增大1.3倍。
6.3.10 结构计算时不宜计入非结构构件对结构承载力和刚度的有利作用。
6.3.11 多高层木结构抗侧力构件承受的剪力,可按面积分配法和刚度分配法进行分配。对于柔性楼盖、屋盖,抗侧力构件承受的剪力宜按面积分配法进行分配;对于刚性楼盖、屋盖,抗侧力构件承受的剪力宜按抗侧力构件等效刚度的比例进行分配。
6.3.12 多高层纯木结构体系中木框架支撑结构的设计应符合下列规定:
1 木框架支撑体系应设计成双向抗侧力体系;
2 木框架支撑体系不宜采用单跨或局部单跨框架结构;
3 角柱应按本标准第6.3.9条的规定设计;
4 木框架支撑结构的填充墙及隔墙宜采用轻质墙体。当采用刚性、质量较重的填充墙时,其布置应避免上、下层刚度变化过大,并应减少因抗侧刚度偏心所造成的扭转;
5 填充墙体与梁柱连接时,应保证自身稳定性要求,外墙应考虑风荷载作用;
6 计算结构自振周期,应考虑非承重填充墙体的影响对其予以折减。当非承重墙体为木骨架墙体或外挂墙板时,周期折减系数可取0.9~1.0;
7 木框架支撑结构的支撑斜杆两端宜按铰接计算;当实际构造为刚接时,可按刚接计算;
8 木框架支撑体系在地震作用标准值作用下,总框架各层所承担的地震剪力不得小于结构底部总剪力的25%与地震作用下的各层框架中地震剪力最大值的1.8倍两者中的较小值。
6.3.13 纯木结构体系中正交胶合木剪力墙结构的设计应符合下列规定:
1 多高层正交胶合木结构的抗震设计,可采用底部剪力法,或采用直接位移法以及简化的直接位移法;
2 正交胶合木剪力墙的剪力分配,可按刚性楼板或柔性楼板的假定进行分配;
3 正交胶合木剪力墙验算时,应进行剪力墙平面内的承载力验算,纵横剪力墙宜按两个方向单独进行验算。
6.3.14 多高层纯木结构体系中木框架剪力墙结构的设计应符合下列规定:
1 抗震设计时,结构的两主轴方向均应布置剪力墙;
2 主体结构构件之间不应采用铰接,梁与柱或柱与剪力墙的中线宜重合;
3 在地震作用标准值作用下,各层框架所承担的地震剪力不得小于结构底部总剪力的25%与地震作用下的各层框架中地震剪力最大值的1.8倍两者中的较小值。
6.3.15 多高层木混合结构体系中,下部为混凝土结构,上部为木框架剪力墙结构或正交胶合木剪力墙结构进行地震力计算时,应按结构刚度比进行计算。对于该类平面规则的上下混合木结构,当下部为混凝土结构,上部为4层及4层以下的木结构时,应按下列规定计算地震作用:
1 下部平均抗侧刚度与相邻上部木结构的平均抗侧刚度之比不大于4时,上下混合木结构可按整体结构采用底部剪力法进行计算;
2 下部平均抗侧刚度与相邻上部木结构的平均抗侧刚度之比大于4时,上部木结构和下部混凝土结构可分开单独进行计算;当上下部分分开单独计算时,上部木结构可按底部剪力法计算,并应乘以增大系数β,β应按下式计算:

式中:α——底层平均抗侧刚度与相邻上部木结构的平均抗侧刚度之比。
6.3.16 多高层木混合结构体系中,下部为混凝土结构,上都为轻型木结构进行地震力计算时,上部结构的水平地震作用增大系数应根据下部与上部刚度比按下列规定确定:
1 对于下部混凝土结构高度大于10m、上部为1层轻型木结构,当下部与上部结构刚度比为(6~12)时,上部木结构的水平地震作用增大系数宜取3.0;当下部与上部结构刚度比不小于24时,增大系数宜取2.5;中间值可采用线性插值法确定。
2 对于符合下列规定的上下混合木结构,上下结构宜分开采用底部剪力法进行抗震设计;当下部与上部结构刚度比为(6~12)时,上部木结构的地震作用增大系数宜取2.5;当下部与上部结构刚度比不小于24时,增大系数宜取1.9;中间值可采用线性插值法确定。
1)下部混凝土结构高度小于10m、上部为1层轻型木结构;
2)下部混凝土结构高度大于10m、上部为2层或2层以上轻型木结构。
3 对于不符合本条第1、2款的7层及7层以下的上下混合木结构,上下结构宜分开采用底部剪力法进行抗震设计;当下部与上部结构刚度比为(6-12)时,上部术结构的地震作用增大系数宜取2.0,当下部与上部结构刚度比不小于30时,增大系数宜取1.7,中间值可采用线性插值法确定。
6.3.17 多高层木混合结构体系中混凝土核心筒木结构设计应符合下列规定:
1 竖向荷载作用计算时,宜考虑木柱与钢筋混凝土核心筒之间的竖向变形差引起的结构附加内力;计算竖向变形差时,宜考虑混凝土收缩、徐变、沉降、施工调整以及木材蠕变等因素的影响;
2 对于预先施工的钢筋混凝土筒体,应验算施工阶段的混凝土简体在风荷载及其他荷载作用下的不利状态的极限承载力;
3 钢筋混凝土核心筒体应承担100%的水平荷载,木结构竖向构件应仅承受竖向荷载作用;
4 建筑平面外围的木结构竖向构件,验算承载力时应考虑风荷载的作用。
6.4 构件设计
6.4 构件设计
6.4.1 多高层木结构建筑构件的承载力应采用下列公式验算:
1 持久设计状况、短暂设计状况:

2 地震设计状况:

式中:γ0——结构重要性系数,按现行国家标准《建筑结构可靠度设计统一标准》GB 50068相关规定确定;
γRE——承载力抗震调整系数,按本标准第6.4.3条确定;
Sd——承载能力极限状态的荷载组合的效应设计值,按现行国家标准《建筑结构荷载规范》GB 50009进行计算;
Rd——构件的承载力设计值。
6.4.2 对正常使用极限状态,结构构件应按荷载效应的标准组合,并应采用下式验算:

式中:Sd——正常使用极限状态荷载组合的效应设计值;
C——根据结构构件正常使用要求规定的变形限值。
6.4.3 多高层木结构建筑进行构件抗震验算时,承载力抗震调整系数γRE应符合表6.4.3的规定。当仅计算竖向地震作用时,各类构件的承载力抗震调整系数γRE应取为1.0。

6.4.4 多高层木结构采用的木构件、木楼盖、木屋盖以及木剪力墙,应按现行国家标准《木结构设计规范》GB 50005的规定进行验算。
6.4.5 大于3层的轻型木结构的楼盖、屋盖以及剪力墙应按国家标准《木结构设计规范》GB 50005的规定进行抗侧力验算。
条文说明
6.4.5 对3层及3层以下轻型木结构楼盖、屋盖以及剪力墙的抗侧力(即在平面内水平荷载作用下的承载能力),按现行国家标准《木结构设计规范》GB 50005的规定,应根据建筑物规模、结构布置以及所受水平荷载或作用的大小等,按构造要求进行设计(构造设计方法),或按抗侧力验算进行设计(工程设计方法)。但3层以上超出了按构造要求进行设计的范围,因此,均应按抗侧力验算进行设计。
6.4.6 轻型木结构的墙骨柱计算应符合下列规定:
1 墙骨柱在竖向及墙体平面外荷载作用下时,宜按两端铰接构件设计;
2 墙骨柱在竖向荷载作用下,在墙体平面外弯曲方向的偏心距可取0.05倍墙骨柱截面高度;
3 当墙骨柱两侧布置木基结构板或石膏板等覆面板时,可不进行墙体平面内的侧向稳定性验算;
4 外墙骨柱应考虑风荷载效应的组合;当外墙围护材料较重时,应考虑其引起的墙骨柱平面外的地震作用,外墙面上墙体顶梁板、底梁板与墙骨柱的连接应进行墙体平面外承载力验算。
条文说明
6.4.6 尽管轻型木剪力墙抗侧力设计分工程设计和构造设计两种方法设计,但在竖向荷载及平面外荷载作用下,均需通过计算保证其安全性。
楼屋面竖向荷载通过墙体顶梁板传递到墙骨柱上,总会产生一定偏心,按统计取0.05倍墙骨柱截面高度的偏心距。
6.4.7 当剪力墙和楼屋盖采用正交胶合木时,板式构件在平面内可假定为刚性板。
6.4.8 正交胶合木构件单位长度的抗侧承载力应根据试验论证确定。构件计算时应考虑板构件开孔的影响。
6.4.9 正交胶合木剪力墙的高宽比不应大于4;当高宽比小于1时,墙体宜分成两段,中间应用耗能金属件连接。
条文说明
6.4.9 正交胶合木剪力墙高宽比较小时难以保证板件的刚性假定。
6.4.10 当正交胶合木剪力墙自重不足以抵抗倾覆力矩时,应设置抗拔连接件。
6.4.11 正交胶合木构件的验算应按本标准附录A的规定执行。
6.4.12 木混合结构中的钢构件或混凝土构件的设计应符合国家标准《钢结构设计规范》GB 50017或《混凝土结构设计规范》GB 50010的规定。
6.5 连接设计
6.5 连接设计
6.5.1 多高层木结构的构件连接,可根据木结构材料、结构体系和受力部位采用不同连接形式。销轴类紧固件连接的主要连接形式可分为钢插板、钢夹板和钢贴板。
6.5.2 连接设计应遵循下列原则:
1 连接构造应便于制作、安装,并应使结构受力简单、传力明确;
2 连接件宜对称排列;
3 连接处应避免木构件出现横纹受拉破坏;
4 连接应有足够的强度;
5 连接应具有一定的延性。
6.5.3 销轴类紧固件连接和齿板连接应符合现行国家标准《木结构设计规范》GB 50005的规定。
6.5.4 当构件连接进行抗震验算时,承载力抗震调整系数γRE应取0.9。
6.5.5 承压螺栓和钢垫板应符合下列规定:
1 钢垫板厚度不应小于0.3d,d为螺栓直径。
2 正方形垫板的边长不应小于3.5d,圆形垫板的直径不应小于4d,d为螺栓直径。
3 螺栓的截面面积应按下式验算:

式中:Nt——螺栓轴向拉力设计值(N);
Ae——螺栓的有效截面面积(mm2);
?bt——普通螺栓的抗拉强度设计值(N/mm2)。
4 钢垫板的面积及厚度应按下列公式计算:
垫板面积:

方形垫板厚度:

式中:?e,90——木材横纹承压强度设计值(N/mm2);
?——钢材抗弯强度设计值(N/mm2)。
6.5.6 当木剪力墙边界构件出现上拔力时,边界构件与下层剪力墙的边界构件或下部基础应采用抗拔锚固件连接,抗拔锚固件应按剪力墙边界构件的拉力设计值进行设计。
6.5.7 木框架梁和柱的安装单元划分应按构件运输和安装条件确定,中间层梁柱拼接点宜设于梁柱交汇处,可采用钢节点连接。
条文说明
6.5.7 钢节点连接安装方便,传力明确。连接节点的钢板插入梁端、柱端应用钢销固定。图1所示的节点为常用节点之一。

6.5.8 木框架柱与基础应保持紧密接触,并应可靠锚固。柱与基础可采用预埋钢板用螺栓连接,钢板材料、尺寸以及螺栓数量、直径应按计算确定。同一连接部位螺栓不应少于两个,螺栓直径不应小于12mm。
6.5.9 正交胶合木剪力墙和楼屋盖与相邻构件、板件及基础等连接,应符合延性和变形协调的要求。
6.5.10 正交胶合木剪力墙与下部基础或楼面的连接应满足抗剪承载力和抗拔承载力的要求。
6.5.11 多高层木混合结构中,木结构与其他结构形式进行水平混合时,连接部位应考虑不同材料的竖向构件的压缩变形差异性,宜采用竖向可滑移的连接装置。
6.6 构造措施
6.6 构造措施
6.6.1 多高层木结构建筑的构造除应符合本节的有关规定外,尚应符合现行国家标准《木结构设计规范》GB 50005和《胶合木结构技术规范》GB/T 50708的规定。
6.6.2 多高层木结构的设计应考虑构件因含水率变化所引起的构件尺寸的变化.应避免使用中因木材湿涨干缩、蠕变和局部应力过大引起的局部破坏。
6.6.3 木构件连接中多个紧固件不宜沿顺纹方向布置成单排。
6.6.4 胶合木框架支撑结构的中心支撑体系宜采用十字交叉斜杆(图6.6.4a)、单斜杆(图6.6.4b)、人字形斜杆(图6.6.4c)或V形斜杆体系。中心支撑斜杆的轴线应交汇于框架梁柱的轴线所在平面内,不得采用K形斜杆体系和受拉单斜杆体系。

6.6.5 中心支撑斜杆设计应符合下列规定:
1 中心支撑斜杆的长细比应符合国家现行标准《木结构设计规范》GB 50005、《胶合木结构技术规范》GB/T 50708和《高层民用建筑钢结构技术规程》JGJ 99的相关规定;
2 中心支撑斜杆宜采用双轴对称截面。
6.6.6 V形和人字形支撑框架设计应符合下列规定:
1 与支撑相交的横梁,在柱间应保持连续;
2 确定支撑跨的横梁截面时,不应考虑支撑在跨中的支承作用;
3 横梁除承受竖向荷载之外,尚应承受跨中节点处两根支撑斜杆分别受拉、受压所引起的不平衡竖向分力的作用;
4 当竖向不平衡力使横梁的截面过大时,可采用跨层的X形支撑或采用拉链柱。
条文说明
6.6.6 采用V形和人字形支撑的框架横梁,应考虑跨中节点处两根支撑斜杆所引起的不平衡竖向分力对梁的影响。当采用钢支撑时,钢支撑的受压力和受拉力应分别按0.3φ Afy 及Afy 确定。
6.6.7 抗震设防烈度为9度的多高层木结构,可以采用带有耗能装置的中心支撑体系。支撑斜杆的承载力应为耗能装置滑动或屈服时承载力的1.5倍。
防火设计
7.1 一般规定
7.1 一般规定
7.1.1 本章的规定适用于4层和5层的木结构住宅和办公建筑。除本节的规定外,木结构建筑的其他防火设计应符合现行国家标准《建筑设计防火规范》GB 50016有关四级耐火等级建筑的规定。对于6层及6层以上的木结构建筑的防火设计应经论证确定。
条文说明
7.1.1 本条规定了木结构建筑的最高允许层数和适用的建筑使用类型。本条是在充分调研美国、加拿大、欧洲等国家的相关标准规定基础上确定的。美国《国际建筑规范》规定,当木结构建筑采用方木原木结构、胶合木结构时,办公建筑最高允许层数为5层,居住建筑为4层。当采用轻型木结构建造时,办公和居住建筑的最高允许层数为3层。2015年版的加拿大国家建筑规范将木结构建筑的最高允许层数确定为6层。除瑞典、挪威和丹麦等少数国家对木结构建筑的层数没有限制外,欧洲大部分国家的标准将木结构建筑的最高允许层数限定为5层。综合国外相关国家的规定,本条将木结构建筑的最高允许层数确定为5层,建筑使用类型为住宅和办公。
对于3层及3层以下的木结构建筑防火设计应符台现行国家标准《建筑设计防火规范》GB 50016的规定。
7.1.2 当建筑的首层设置商业服务设施时,应符合下列规定:
1 首层的承重结构和楼板应采用钢筋混凝土结构或其他不燃材料的结构;
2 楼板的耐火极限不应低于1.50h;
3 建筑总层数不应大于5层;
4 首层的开口部位与上层开口之间应设置高度不小于1.2m的实墙,或设置挑出宽度不小于1.0m、长度不小于开口宽度的防火挑檐。
条文说明
7.1.2 本条规定了木结构建筑下部设置商业服务设施时应满足的要求。条文明确了商业服务设施只能设置在首层,且建筑的总层数不能大干5层,并要求首层商业服务设施的围护结构要求、与上部木结构部分的分隔以及防火挑檐的设置要求。
7.2 防火要求
7.2 防火要求
7.2.1 建筑构件的燃烧性能和耐火极限应符合表7.2.1的规定。
条文说明
7.2.1 本条规定了木结构建筑主要构件的燃烧性能和耐火极限。表7.2.1中电梯井的墙、非承重外墙、疏散走道两侧的隔墙、承重柱、梁、楼板、屋顶承重构件及吊顶的燃烧性能和耐火极限的定性与定量要求,主要根据我国对主要木结构构件的耐火试验数据以及相关标准对木结构建筑主要构件燃烧性能和耐火极限的规定确定的,本条中主要木结构构件的燃烧性能和耐火极限要求,充分考虑了与现行国家相关标准的协调,力求做到科学、合理、可行。考虑到电梯井内敷设电线电缆,具有较大的火灾危险性,因此将电梯井壁的燃烧性能确定为不燃性,并要求达到1.00h的耐火极限。


7.2.2 木结构建筑防火墙间的允许建筑长度不应大于60m,防火墙间每层的最大允许建筑面积应符合表7.2.2的规定。当木结构建筑全部设置自动喷水灭火系统时,防火墙间的每层最大允许建筑面积可按表7.2.2的规定值增大1.0倍。
条文说明
7.2.2 本条从木结构建筑防火墙间的允许建筑长度和防火墙间的每层允许建筑面积两方面对木结构建筑的规模进行控制。防火墙间的每层允许建筑面积指位于防火墙之间区域的建筑面积。如果只建一层,则其建筑面积最大可为1800m2;如果需要建5层,则每层最大只允许360m2,五层之和不应大于1800m2。因为该五层位于相同防火分区内,层与层之间楼板的燃烧性能和耐火极限达到本标准表7.2.1的规定即可。

7.2.3 木结构建筑之间及其与其他民用建筑之间的防火间距不应小于表7.2.3的规定,与其他建筑的防火间距应按四级耐火等级建筑和国家现行有关标准的规定确定。
条文说明
7.2.3 相邻两座木结构建筑之间以及木结构建筑与其他结构或耐火等级的建筑的防火间距,是在充分分析了国内外相关建筑法规基础上,根据木结构和其他结构建筑的耐火等级等情况确定的。应当注意的是,不管木结构建筑的外墙上有无开口,也不管其开口比例如何,木结构建筑之间及木结构建筑与其他建筑之间的防火间距都不能减少。

7.2.4 木结构建筑的疏散楼梯间应采用封闭楼梯间。当楼梯间不能自然通风或自然通风不满足要求时,应设置机械加压送风系统或采用防烟楼梯间。
条文说明
7.2.4 本条规定主要用于防止火灾在木结构建筑内的竖向蔓延。
7.2.5 木结构建筑的安全出口和房间疏散门的设置,除应符合现行国家标准《建筑设计防火规范》GB 50016的相关规定外,尚应符合下列规定:
1 木结构建筑中位于两个安全出口之间的疏散门至最近的安全出口的直线距离不应大于25m;位于袋形走道两侧或尽端的疏散门至最近安全出口的直线距离不应大于15m;当建筑内全部设置自动喷水灭火系统时,该距离可分别增加25%;
2 木结构建筑中房间内任一点至该房间直通疏散走道的疏散门的直线距离不应大于15m;
3 建筑内疏散走道、安全出口、疏散楼梯和房间疏散门等各自的最小净宽度,应按所在区域的疏散人数按每100人不小于1.25m计算确定。
条文说明
7.2.5 本条明确了木结构住宅和办公建筑的安全疏散距离和疏散宽度计算指标。最大安全疏散距离主要依据《建筑设计防火规范》GB 50016-2014第5章表5.5.17关于其他建筑中单、多层四级耐火等级建筑的安全疏散距离确定的。
7.2.6 木结构住宅建筑和办公建筑内应全部设置自动喷水灭火系统。
条文说明
7.2.6 条是指大于3层的木结构住宅和办公建筑。
7.2.7 木结构住宅建筑的公共部位应设置火灾自动报警系统,户内应设置家用火灾自动报警装置。木结构办公建筑内应全部设置火灾自动报警系统。
7.2.8 木结构建筑应设置室内、室外消火栓系统。木结构建筑首层商业服务设施的消防设施的设置应符合现行国家标准《建筑设计防火规范》GB 50016的规定。
7.3 防火构造
7.3 防火构造
7.3.1 管道、电气线路敷设在墙体内或穿过楼板、墙体时,应采取防火保护措施,与墙体、楼板之间的缝隙和孔口应采用防火封堵材料填塞密实。
条文说明
7.3.1 木结构墙体、楼板内的龙骨为木质,属于可燃材料。电线电缆穿过时,存在较大火灾隐患。因此,要求相关电线电缆和管道采取相应的防火保护措施,以降低其引发火灾的危险性。同时,对管线穿透处进行防火封堵是为了防止火焰和烟气从一个空间通过管道孔洞或管线蔓延到其他空间。
7.3.2 设置在木结构建筑内的锅炉房、发电机房、变配电室、厨房及其他可能使用明火或高温的部位,应采用耐火极限不低于2.00h的防火隔墙与其他部位分隔。木结构建筑内的排油烟管道应采用防火膈热措施。
条文说明
7.3.2 规定了建筑内火灾危险性较大部位的防火分隔要求,对因使用需要等要求开设的门窗洞口,应考虑采取相应的防火保护措施,以限制火灾在建筑内的蔓延。
7.3.3 木结构墙体、楼板及封闭吊顶或屋顶下的密闭空间内应采取防火分隔措施,且水平分隔的长度或宽度均不应大于20m,建筑面积不应大于300m;墙体竖向分隔的高度不应大于3m。轻型木结构建筑的每层楼梯梁处应采取防火分隔措施。
条文说明
7.3.3 轻型木结构建筑中的框架构件与面板之间存在许多空腔。如果墙体、楼板及封闭吊顶或屋顶下的密闭空间内没有采取防火分隔措施,一旦构件内某处着火,火焰、高温气体以及烟气会迅速蔓延传播。因此,要在这些密闭空间内的空腔之间增设防火分隔构造。
轻型木结构建筑中的水平防火分隔,主要用于限制火焰、高温气体以及烟气在水平构件中的蔓延。水平防火构造的设置,一般根据空间的长度、宽度及面积来确定。这些空间需要按照这样的防火分隔要求划分为更小的空间,即每一空间的面积不大于300m2,每一空间的长度或宽度不大于20m。
当顶棚材料安装在龙骨上时,要注意在双向龙骨形成的空间内增加水平防火分隔构件。采用实木锯材或工字搁栅的楼板和屋顶盖,搁栅之间的支撑通常可用作水平防火分隔构件,一般不需要增加额外的水平防火分隔构件,但当空间的长度或宽度大于20m时,需要在沿搁栅平行方向增加防火分隔构件。
墙体的竖向防火分隔主要用于阻挡火焰、高温气体及烟气通过构件上的开孔蔓延,或通过墙体中的竖向通道在不同构件之间蔓延。在多数轻型木结构墙体中,墙体的顶梁板和底梁板为主要的防火分隔构件。
对于弧形转角吊顶,下沉式吊顶或局部下沉式吊顶,在构件的竖向空间与横向空间的交汇处,要采取防火分隔构造措施,但是在其他大多数情况下,墙体的顶梁板、楼板中的端部桁架及端部支撑可视作防火分隔构件。
当水平密闭空间与竖向密闭空间连在一起时,在两者变汇处要采取防火分隔措施。
此外,轻型木结构建筑的楼梯梁与楼板交接的最后一级踏步处也要设置防火分隔挡板,以防止火焰和高温气体通过楼梯梁的空隙向外蔓延。
7.3.4 木结构建筑外墙内外保温材料的燃烧性能不应低于B1级,建筑外保温的其他防火要求应符合现行国家标准《建筑设计防火规范》GB 50016的规定。
条文说明
7.3.4 本条要求木结构建筑外墙内、外保温材料的燃烧性能不应低于B1级,建筑外保温的其他防火要求应符合现行国家标准《建筑设计防火规范》GB 50016的规定。
7.3.5 木结构建筑外饰面材料的燃烧性能不应低于B1级。建筑其他装修装饰材料的燃烧性能宜符合下列规定:
1 设置中央空调系统的办公建筑,其顶棚装修材料的燃烧性能应为A级;其余办公建筑可为B1级;
2 办公建筑的墙面、地面装修材料的燃烧性能宜为B1级。
条文说明
7.3.5 近年来,建筑外墙可燃性装饰材料引发的火灾时常发生,火灾沿外立面蔓延至多个楼层,造成严重的火灾危害。木结构建筑构件虽然具有良好的耐火性能,但构件本身存在参与燃烧的潜在危险。为确保火灾不会沿建筑外立面发生快速的竖向蔓延,以致烧穿外墙或通过外墙开口蔓延至室内,本条对木结构住宅和办公建筑外饰面材料的燃烧性能做了一定限制。办公建筑如果设置中央空调系统,其顶棚内敷设多种管线,增加了其火灾危险性,因此要求其顶棚装修材料的燃烧性能应为A级。
7.4 施工现场防火措施
7.4 施工现场防火措施
7.4.1 施工现场应设置灭火器、临时消防给水系统和应急照明等临时消防设施,并应符合现行国家标准《建设工程施工现场消防安全技术规范》GB 50720的规定。灭火器的设置应符合现行国家标准《建筑灭火器配置设计规范》GB 50140的规定。
条文说明
7.4.1 灭火器、临时消防给水系统和应急照明是施工现场常用、有效的临时消防器材和设施。
7.4.2 临时消防设施应与在建工程的施工同步设置,并应与在建工程主体结构施工进度相同。
条文说明
7.4.2 施工现场的临时消防设施指设置在建设工程施工现场,用于扑救施工现场初起火灾的器材、设施和设备。常见的有手提式或推车式灭火器、临时消防给水系统、消火栓、消防应急照明、疏散指示标识,灭火毯等。
7.4.3 施工现场或其附近应设置消防水源和加压设施,并应满足施工现场临时消防用水的水压和水量要求。
条文说明
7.4.3 消防水源是临时消防给水系统的主要组成之一,确保消防给水系统发挥作用的基本保证。
7.4.4 建筑高度大于15m的木结构工程,应设置临时室内消防给水系统。
7.4.5 木构件应放置在通风良好的堆场或仓库内,并应符合下列规定:
1 堆放场地应平整、坚实,并应配备临时灭火器材和临时消防应急照明等消防设施,灭火器的数量不应少于2具;
2 堆场或仓库内不应明火作业;
3 堆场或仓库内不应使用高热灯具,使用普通灯具与木构件距离不宜小于300mm;
4 堆场或仓库内应设置疏散通道,疏散通道的净宽度不应小于1.0m;双面堆放时,疏散走道的净宽度不应小于1.5m。
条文说明
7.4.5 木材受到高热灯具近距离照射时,有发生火灾的风险,应予以重视。
7.4.6 施工阶段木结构工程的每个楼层均应至少设置一个安全出口。临时疏散通道的设置应符合现行国家标准《建设工程施工现场消防安全技术规范》GB 50720的规定。
条文说明
7.4.6 由于施工现场环境复杂、不安全因素多、疏散条件差,凡是能用于或满足人员安全撤离危险区域,并到达安全地点或安全地带的路径、设施,均可视为临时疏散通道。
7.4.7 施工现场动火作业应实行动火许可证制度,动火现场应配置专人监护。动火作业后1h内,应对现场进行监护;动火作业4h后,应再检查一次现场,并应在确认无火灾危险后离开。
条文说明
7.4.7 由于木材是可燃材料,须加强动火后的现场安全管理和检查。
7.4.8 焊接、切割、烘烤或加热等动火作业前,应对作业现场及其附近无法移走的可燃物采用不燃材料进行覆盖或隔离。
7.4.9 构件加工和施工产生的可燃、易燃建筑垃圾或余料,应及时清运。
条文说明
7.4.8、7.4.9 消除火源,隔离可燃物是防火工作的基本措施。木结构施工现场存在油漆稀料、可燃装修材料等易燃、可燃材料,因此,要加强动火使用前后的现场安全管理和检查,对进场的易燃可燃物进行覆盖,对产生的易燃可燃垃圾及余料予以及时清理。
防护设计
8.1 一般规定
8.1 一般规定
8.1.1 多高层木结构建筑防水、防潮和防生物危害设计应符合现行国家标准《木结构设计规范》GB 50005的相关规定。
8.1.2 多高层木结构建筑使用环境分类可按现行国家标准《木结构工程施工质量验收规范》GB 50206的相关规定划分。
8.1.3 多高层木结构建筑应采取防止木构件腐朽或被虫蛀的措施,并应确保木结构建筑能够达到设计使用年限。
8.1.4 多高层木结构建筑使用的木构件需要进行防腐、防虫处理时,应根据使用环境按现行国家标准《木结构工程施工质量验收规范》GB 50206的规定处理。
8.1.5 防腐防生物危害施工可按现行国家标准《木结构工程施工规范》GB/T 50772的规定执行。
8.1.6 设计图纸中应规定木结构构件的防腐、防虫措施,并应规定设计施工注意事项。
8.1.7 多高层木结构建筑防雷分区的划分和防雷设计应符合现行国家标准《建筑物防雷设计规范》GB 50007的相关规定,并应符合下列规定:
1 建筑高度大于15m的纯木结构应采取相应的防雷措施;
2 应设置防直击雷和防雷电感应的装置;
3 应有效防止雷击时所产生的接触电压、跨步电压和对各种架空线路的危害;
4 每座建筑应单独接地,引下线不低于两根,接地电阻不小于10欧姆,其间距沿周长计算不宜大于18m。
条文说明
8.1.7 特别针对15m以上的多高层木结构提出,应进行防雷分区的划分和防雷设计。
8.2 防护要求
8.2 防护要求
8.2.1 木结构构件加工、运输、施工和使用过程中应采取防水防潮措施。
条文说明
8.2.1 针对木材易吸湿的特性,提出木结构构件加工、运输、施工和使用过程中应采取防水防潮措施。
8.2.2 当木构件用于下列情况时,应采用经防腐防虫处理的木材及木产品:
1 直接暴露在户外的木构件;
2 与混凝土构件、砌体直接接触的木构件和支座垫木;
3 其他可能发生腐朽或遭白蚁侵害的木构件。
条文说明
8.2.2 对于木材易腐朽、易虫蛀的特性,提出在规定的特殊情况下应对木材及产品进行防腐防虫处理。
8.2.3 防腐、防虫药剂配方及技术指标应符合现行国家标准《木材防腐剂》GB/T 27654的规定。采用的防腐剂、防虫剂不得危及人畜安全,不得污染环境。
8.2.4 防腐木材的使用分类和要求应满足现行国家标准《防腐木材的使用分类和要求》GB/T 27651的规定。
8.2.5 木构件的防腐采用药剂加压处理时,药剂在木材中的载药量和透入度应符合现行国家标准《防腐木材的使用分类和要求》GB/T 27651的规定。
8.2.6 外墙连接处以及门窗与墙体、墙体与屋面之间的连接处均应采取防水措施。高层木结构建筑墙体与屋面之间连接处,应采取防止雨水逆流入墙体的措施。
条文说明
8.2.6 特别针对高层木结构外墙提出,由于风荷载影响而造成雨水垂直墙面甚至局部沿墙面向上运动时,雨水易沿泛水板等空隙处进入墙体。为避免此种情况发生,应采取防止雨水反向渗透措施避免水进入墙体。
8.2.7 木结构构件和连接节点应处于通风良好和干燥的环境中。
8.2.8 混凝土基础与木构件之间应设置防潮层和通气层,并应采取防水处理措施。
8.2.9 当混凝土基础上设有设备管道贯通口时,应安装管道防蚁圈(图8.2.9),管道周围应使用防虫网、树脂等将孔隙进行封闭处理。
8.2.10 屋盖出檐部分及墙体上部设置换气口时,应使用防虫网或树脂等进行空隙的封闭处理。
8.2.11 白蚁的预防措施应符合国家现行标准《房屋白蚁预防技术规程》JGJ/T 245的规定。
8.2.12 在房屋建设施工过程中,建筑施工单位应及时清除建筑场地遗留的旧木质材料和其他含有纤维素的废弃物。对于难以拆除的基础木模板和木板等,应在填埋告知白蚁防治单位进行药物处理。
条文说明
8.2.12 本条参照《房屋白蚁预防技术规程》JGJ/T 245-2011第3.3.2条规定。
8.2.13 木构件应在加工成型后,涂刷防腐剂或涂料前,采用涂刷法、喷洒法或浸泡法进行药物处理。当经过药物处理后的木构件在安装施工中被裁切或刨削时,应对切面重新进行药物处理。
条文说明
8.2.13 本条参照《房屋白蚁预防技术规程》JGJ/T 245-2011第5.3.8条规定。
制作、安装与验收
9.1 一般规定
9.1 一般规定
9.1.1 多高层木结构建筑施工除应符合本标准外,尚应符合现行国家标准《木结构工程施工规范》GB/T 50772的规定。
9.1.2 胶合木构件加工制作时,应对加工区、胶合区以及储存区的空气温度和相对湿度采用自动记录仪进行连续监测;构件生产区域的最低温度不应低于15℃,相对湿度应满足所使用胶粘剂的技术要求。
9.1.3 多高层木结构建筑工程应在干作业环境下施工。施工质量应符合设计文件的要求,并应符合现行国家标准《木结构工程施工质量验收规范》GB 50206的规定。
9.1.4 工程中使用的承重结构用材应按现行国家标准《木结构设计规范》GB 50005、《木结构工程施工质量验收规范》GB 50206和《结构用集成材》GB/T 26899的规定进行材料强度、层板指接强度和胶缝完整性检验。用于受弯构件的层板胶合木,尚应进行足尺构件抗弯性能检验,其强度等级、胶缝完整性和抗弯性能应符合设计文件和现行国家相关标准的规定。
9.2 构件制作
9.2 构件制作
9.2.1 多高层木结构建筑主要的承重构件宜采用针叶材;当采用阔叶材、速生材以及功能改性材等新利用木材做承重结构时,应通过试验验证。
9.2.2 制作构件时,木材含水率应符合设计的规定。
9.2.3 层板胶合木的制作应符合现行国家标准《胶合木结构技术规范》GB/T 50708和《结构用集成材》GB/T 26899的规定;正交胶合木构件制作应符合设计文件的规定。加工完成的构件保存时,端部与切口处均应采取密封措施。
9.2.4 正交胶合木用胶宜采用苯酚基胶粘剂和单组份聚氨酯胶粘剂;当采用新型胶粘剂时,应按现行国家标准《木结构工程施工质量验收规范》GB 50206和《结构用集成材》GB/T 26899的规定进行指接强度、胶合强度、木破率和胶缝完整性的试验。当采用含有甲醛的胶粘剂制作正交胶合木时,应进行甲醛释放的检测,并应符合设计要求。
9 2.5 正交胶合木用木材层板厚度不应小于15mm,且不宜大于45mm;层板数量不得少于3层。当正交胶合木层数为3层时,中间横纹层板的最大厚度可为60mm。
9.2.6 正交胶合木构件的厚度不宜大于500mm,尺寸误差应符合表9.2.6的规定。

9.2.7 当正交胶合木层板厚度大于40mm时,层板宜采用顺纹开槽的措施。开槽深度不应大于层板厚度的0.9倍,槽宽不应大于4mm(图9.2.7),槽间距不应小于40mm,开槽位置距离层板边沿不应小于40mm。

9.2.8 正交胶合木外层层板拼宽时,层板间应采用结构胶胶合。其余各层层板可不进行胶合拼宽,未胶合的层板间拼接缝不应大于6mm。层板宽度不宜大于250mm。三层正交胶合木组坯示意见图9.2.8。

9.2.9 正交胶合木单个构件长度不宜大于16m,宽度不宜大于3m,可采用指接进行构件接长。
9.2.10 正交胶合木的层板指接前以及指接后,应按层板的分等分级规格分别堆放。
9.2.11 正交胶合木构件用木材的预处理应符合下列规定:
1 对油脂等抽提物含量多的木材应预先采取脱脂处理,脱脂宜采用高温干燥工艺;
2 有防腐要求的层板胶合木和正交胶合木宜采用先防腐处理后胶合的工艺,防腐剂应选用水载防腐剂;
3 当采用固着型水载防腐剂进行真空加压浸渍时,木材的含水率不应高于30%;当木材的液体可渗透性不足以达到防腐要求时,可对木材采取刻痕或辊压浸注预处理措施。
条文说明
9.2.11 采用辊压预处理时,木材应为饱水状态,木材的压缩率宜控制在20%以内,辊压次数不宜高于3次,当辊压次数多于1次时,在上一次辊压结束后,板材应迅速进行下一次辊压处理。经过刻痕的规格材,再进行真空加压浸渍处理。并达到表1的规定。

9.2.12 正交胶合木的层板接长采用指接胶合时,应沿齿长方向均匀施压,不应使木材发生劈裂或压缩破坏。
条文说明
9.2.12 规格材纵向接头采用指接接头,指接可按图2加工。指接剖面尺寸宜按表2制作。指接后进入指接板养护工序,直至接头处胶粘剂充分固化,指接达到最终胶合强度。


9.2.13 正交胶合木的层板宜采用刨削加工方式,表面应平整、光洁。
9.2.14 制作正交胶合木构件时,涂胶应符合下列规定:
1 刨光后的木材应在24h内完成胶合,对于油脂等抽提物含量较高的不易胶合的木材,应在刨光后6h内完成胶合;
2 当采用机械淋胶方式进行涂胶时,层板进给速度应按设备、胶粘剂黏度和环境温度等确定,宜控制在18m/min~60m/min;
3 层板胶合面均应均匀、充足涂胶,用胶量应按胶粘剂供应商的操作指南确定,并宜采用高频电加热或微波加热固化。
9.2.15 正交胶合木构件的加压和养护应符合下列规定:
1 加压时间应按构件尺寸、环境条件和胶粘剂类型确定,并应满足胶粘剂的技术要求;当无成熟的技术经验时,应按试验确定;
2 层板之间胶合时应均匀加压;加压可从构件任意位置开始逐步延伸至端部,压力值范围宜为0.5MPa~1.5MPa;构件中层板间界面粘结性能应符合现行国家标准《木结构工程施工质量验收规范》GB 50206的规定;
3 胶缝厚度应均匀,宜为0.1mm~0.3mm厚;当局部有厚度超过0.3mm的胶缝时,胶缝长度不应大于300mm,且最厚处不应大于1.0mm;胶缝局部未粘结长度不应大于150mm;承受剪力较大的区域未粘结长度不应大于75mm;未粘结胶缝不应贯通整个构件截面的宽度;相邻未粘结区段间的净距不应小于600mm。
9.2.16 正交胶合木的胶合强度应符合下列规定:
1 横向拼宽的剪切强度不应小于1.25MPa,且每个胶层的剪切强度不应小于1MPa;
2 厚度方向的剪切强度不应小于3.5MPa,当某一胶层的剪切强度不足2MPa时,木破率应达到100%。
9.2.17 胶合木构件宜采用数控加工设备进行制作,宜采用铣刀开槽,槽的深度的余量不应大于+5mm,宽度的余量不应大于+1.5mm。
9.2.18 正交胶合木的最外层层板不应有松软节和空隙。当对外观有较高要求时,对直径大于30mm的孔洞和宽度大于3mm、侧边裂缝长度40mm~100mm的缺陷,应采用同质木料进行修补。
9.2.19 木构件存储和运输时,应采用使其符合含水率要求的措施,并应有防止碰损的保护层包装。
9.2.20 构件存放场地应避雨、遮阳,且通风良好;对于板材和规格材,应纵向平行堆垛、顶部压重存放。
9.3 安装
9.3 安装
9.3.1 多高层木结构建筑安装应制定施工方案,并应经监理单位核定后施工。
9.3.2 结构的主要受力构件、节点宜在构件出厂前进行预拼装。
9.3.3 构件吊装时应符合下列规定:
1 对于已进行拼装的构件,吊点应按结构形式和跨度确定,并应经试吊证明结构具有足够的刚度方可开始吊装;
2 对刚度较差的构件,应根据其在提升时的受力情况采用可靠的临时加固措施;
3 构件吊装就位时,应使其拼装部位对准预设部位垂直落下;应校正构件安装轴线位置和垂直度,并应紧固连接节点;
4 正交胶合木墙板吊装时,宜采用专用吊绳和固定装置,移动时宜采用锁扣扣紧。
9.3.4 柱的安装应符合设计要求。调整柱垂直度的缆风绳或支撑夹板,应在柱起吊前在地面绑扎好。
9.3.5 安装柱与柱之间的主梁构件时,应监测柱的垂直度。除应监测梁的两端柱子外,尚应监测相邻各柱垂直度。
9.3.6 多高层木结构建筑结构安装中应考虑竖向构件的压缩变形,可滑动的连接装置应在主体压缩变形稳定后,再进行连接固定。
9.3.7 木梁支承长度除应符合设计文件的规定外,尚不应小于梁宽和120mm的较大值,其允许偏差应为±3mm。梁的间距允许偏差应为±6mm,水平度偏差不应大于跨度的1/200,梁顶标高允许偏差应为±5mm,不应在梁底切口调整标高。
9.3.8 木结构螺栓节点连接,应符合下列规定:
1 木结构的构件结合处应密合,未贴紧的局部间隙不得超过5mm,不得有通透缝隙,不得用木楔、金属板等塞填接头的不密合处。
2 用木夹板连接接头钻孔时应将各部分定位并临时固定一次钻通。当采用钢夹板不能一次钻通时应采取保证各部件对应孔的位置、大小一致的措施。
3 螺帽拧紧后,螺杆外露长度不宜小于螺栓直径的0.8倍。
4 螺栓中心位置在进孔处的偏差不应大于螺栓直径的0.2倍,在出孔处沿顺纹方向不应大于螺栓直径的1.0倍,沿横纹方向不应大于螺栓直径的0.5倍,且均不应大于连接板宽度的1/25。螺帽拧紧后各构件应紧密结合,局部缝隙不应大于1mm。
5 钻头直径应与螺杆或拉杆的直径配套。受剪螺栓的孔径偏差不应大于1mm,不受剪螺栓的孔径不应大于2mm。
6 混凝土结构与木结构之间宜采用金属连接件临时连接。施工时,混凝土中宜预埋便于调整安装位置的定位螺杆。
9.3.9 剪板连接螺栓或螺钉孔的直径与剪板螺栓孔偏差不应大于1.5mm。
9.3.10 木构件安装完毕后,应对木构件表面有破损的部位进行现场二次涂刷,涂刷应采用与构件制作相同的涂料和涂刷工艺。
9.4 验收
9.4 验收
9.4.1多高层木结构建筑验收除应符合本标准要求外,尚应符合现行国家标准《木结构工程施工质量验收规范》GB 50206的规定。
9.4.2 多高层木结构建筑中混凝土结构子分部工程和钢结构子分部工程的验收应符合现行国家标准《混凝土结构工程施工质量验收规范》GB 50204和《钢结构工程施工质量验收规范》GB 50205的规定。
9.4.3 饰面工程验收应符合现行国家标准《建筑装饰装修工程质量验收规范》GB 50210的规定。
9.4.4 木结构子分部工程应由木结构制作安装与木结构防护两分项工程组成,并应在分项工程皆验收合格后,再进行子分部工程的验收。
9.4.5 施工现场的材料、构配件,应按现行国家标准《木结构工程施工质量验收规范》GB 50206的规定做进场验收和见证检验,并应在检验合格后方可使用。施工过程中工序交接时尚应进行交接检验。
9.4.6 竣工验收应提供下列文件:
1 结构施工图和设计变更文件应在施工图中注明修改内容;
2 结构安装过程中,业主、设计单位、构件制作单位、施工安装单位达成协议的技术文件;
3 结构中采用的工程木构件、金属连接件的产品合格证,以及符合验收要求的检测报告等质量证明文件;
4 结构安装时的测量检查记录,变形监测记录;
5 试验报告和技术资料;
6 隐蔽工程分段验收记录。
9.4.7 多高层木结构工程施工质量主控项目验收应符合本标准第9.4.8条~第9.4.12条的规定。
9.4.8 结构用木材的材质等级应符合设计文件的规定,并应有产品质量合格证书。
检验数量:检验批全数。
检验方法:实物与设计文件对照,检查质量合格证书、标识。
9.4.9 木结构的结构形式、结构布置和构件截面尺寸应符合设计文件的规定。
检验数量:检验批全数。
检验方法:实物与设计文件对照、尺量。
9.4.10 安装构件所需的预埋件,连接件的位置、数量及连接方式应符合设计要求。
检验数量:检验批全数。
检验方法:目测,尺量。
9.4.11 连接节点的位置、连接件的种类、规格及数量应符合设计文件的规定。
检验数量:检验批全数。
检验方法:实物与设计文件对照、尺量。
9.4.12 正交胶合木结构的承重墙、剪力墙、柱、楼盖、屋盖布置、抗倾覆措施及屋盖抗掀起措施等,应符合设计文件的规定。
检验数量:检验批全数。
检验方法:实物与设计文件对照。
9.4.13 多高层木结构工程施工质量一般项目验收应符合本标准第9.4.14条~第9.4.17条的规定。
9.4.14 螺栓连接预留孔尺寸应符合设计文件的规定。
检验数量:检验批全数。
检验方法:目测,尺量。
9.4.15 木结构建筑混凝土基础平整度应符合设计文件的规定。
检验数量:检验批全数。
检验方法:目测,尺量。
9.4.16 预制墙体、楼盖、屋盖组件内填充材料应符合设计文件的规定。
检验数量:检验批全数。
检验方法:目测,实物与设计文件对照,检查质量合格证书。
9.4.17 外墙接缝处的防水性能应符合设计要求。
检验数量:按批检验。每1000m2或不足1000m2外墙面积划分为一个检验批,每个检验批每100m2应至少抽查一处,每处不得少于10m2。
检验方法:检查现场淋水试验报告。
使用和维护
10.1 一般规定
10.1 一般规定
10.1 一般规定
10.1.1 多高层木结构建筑使用前应制定明确的检查和维护制度。
10.1.2 使用过程中应详细准确记录检查和维修的情况,并应建立检查和维修的技术档案。
10.1.3 当发现木构件有腐蚀或虫害的迹象时,应根据腐蚀的程度、虫害的性质和损坏程度制定处理方案,并应及时进行补强加固或更换。
10.1.4 多高层木结构建筑的日常使用应符合下列规定:
1 木结构墙体应避免受到猛烈撞击和与锐器接触;
2 纸面石膏板墙面应避免长时间接近超过50℃的高温;
3 木构件、钢构件和石膏板应避免遭受水的浸泡;
4 室内外的消防设备不得随意更改或取消。
10.1.5 多高层木结构建筑设计时应采取方便使用期间检测和维护的措施。
10.1.6 多高层木结构建筑应每半年对防雷装置进行检查,检查应包括下列项目:
1 防雷装置的引线、连接件和固定装置的松动变形情况;
2 金属导体腐蚀情况;
3 防雷装置的接地情况。
10.2 检查和监测
10.2 检查和监测
10.2.1 多高层木结构建筑应每年对屋面防水系统和屋面排水系统进行检查。
10.2.2 多高层木结构建筑的常规检查宜采用非破坏性检查方法进行。常规检查应符合下列规定:
1 工程竣工使用1年时,应对木结构工程进行一次全面检查;此后,应根据当地气候特点,宜每隔3年~5年进行一次常规检查。
2 常规检查应按下列项目进行:
1)木结构墙面变形、开裂和损坏的情况;
2)结构构件之间的连接松动情况,以及连接件破损或缺失情况;
3)木结构墙体面板受潮情况;
4)木结构外墙上门窗边框的密封胶或密封条开裂、脱落、老化等损坏现象;
5)木结构墙体面板的固定螺钉松动和脱落情况;
6)消防设备有效性和可操控性。
10.2.3 对于目测观察或手动检查无法完成的部位或检查项目,宜组织专业检测单位进行检测。
10.2.4 对多高层木结构建筑进行短期测试时,测试项目宜包括下列内容:
1 门窗组件的气密性测试;
2 墙体、楼面的隔声性能测试;
3 楼面的振动性能测试;
4 建筑围护结构的传热系数的测试;
5 利用环境振动测试法测试建筑物的固有频率、振型和阻尼比。
10.2.5 对多高层木结构建筑通过安装仪器设备进行长期监测时,测试项目宜包括下列内容:
1 环境相对湿度、环境温度和木材含水率等木构件耐久性测试;
2 结构和关键构件水平位移、竖向位移和长期蠕变测试;
3 结构和关键构件应变和应力测试;
4 风荷载产生的横向振动加速度时程测试;
5 电力、天然气和其他能源消耗的建筑节能监测。
10.2.6 当连续监测的结果与设计差异较大时,应评估鉴定结构的安全性,并应采取保证结构正常使用的措施。
10.3 维护要求
10.3 维护要求
10.3.1 对于常规检查项目中不符合要求的内容,应负责组织实施一般维修。一般维修应包括下列内容:
1 修复异常连接件;
2 修复受损木结构屋盖板,并清理屋面排水系统;
3 修复受损墙面、顶棚;
4 修复外墙围护结构渗水;
5 更换或修复已损坏或已老化零部件;
6 处理和修复室内卫生间、厨房的渗漏水和受潮;
7 更换异常消防设备。
10.3.2 对于一般维修无法完成的项目,宜组织专业维修单位进行维修、加固和修复。
附录A 正交胶合木构件设计规定
附录A 正交胶合木构件设计规定
条文说明
正交胶合木(CLT)由于其强度高、耐火性能好,在国外已被广泛应用于多高层木结构建筑。国家标准《木结构设计规范》GB 50005最新修订时,增加了对正交胶合木构件的抗弯设计方法,对于正交胶合木作为墙体构件没有作出相应的计算方法的规定。本标准补充了正交胶合木剪力墙的设计计算方法,为在多高层木结构建筑中采用正交胶合木提供了基本的技术支持。
正交胶合木剪力墙的计算方法参考了美国编制的《正交胶合木手册》(Cross-Laminated Timber Handbook)中关于CLT剪力墙的计算方法。
A.0.1 正交胶合木构件的应力分布和有效刚度,宜根据各层木板的强度设计值按线性弹性理论进行计算。刚度计算时应只考虑顺纹方向的层板参与计算。
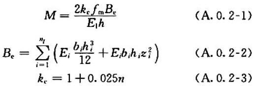
A.0.2 当正交胶合木受弯构件的跨度大于构件截面高度h的10倍时,构件在平面外荷载作用下的抗弯承载力设计值可按下列公式计算:

式中:?m——构件最外层顺纹层板的抗弯强度设计值(N/mm2);
Be——构件截面等效抗弯刚度(N·mm2);
nl——参加刚度计算的顺纹层板层数;构件横纹层板不参加刚度计算;
E1——构件最外层层板的弹性模量(N/mm2);
Ei——参加刚度计算的第i层顺纹层板的弹性模量(N/mm2);
ke——构件最外层顺纹层板抗弯强度组合系数,且ke≤1.2;
n——构件最外层顺纹层板并排配置的板材数量;
h——构件的截面总高度(mm);
hi——参加刚度计算的第i层顺纹层板的截面高度(mm);
bi——参加刚度计算的第i层顺纹层板的宽度(mm);
zi——参加刚度计算的第i层顺纹层板的中心到构件截面中和轴的距离(图A.0.2)。

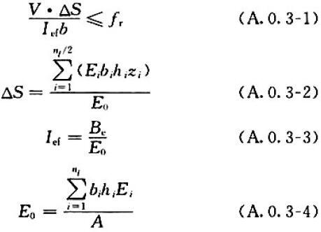
A.0.3 正交胶合木受弯构件应按下列公式验算构件的滚剪承载能力(图A.0.3):

式中:V——受弯构件剪力设计值(N);
b——构件的截面宽度(mm);
nl——参加刚度计算的顺纹层板层数;
Be——构件截面等效抗弯刚度(N·mm2);
E0——构件的有效弹性模量(N/mm2);
?r——构件的滚剪强度设计值(N/mm2),按本规范第A.0.4条规定取值;
A——参加计算的各层顺纹层板的截面总面积(mm2);
nl/2——表示仅计算构件截面对称轴以上部分或对称轴以下部分的顺纹层板层数。

A.0.4 正交胶合木受弯构件的滚剪强度设计值应按下列规定取值:
1 当构件施加的胶合压力不小于0.3MPa,构件截面宽度不小于4倍高度,并且层板上无开槽时,滚剪强度设计值应取最外侧层板的顺纹抗剪强度设计值的0.38倍;
2 当不满足本条第1款的规定,且构件施加的胶合压力大于0.07MPa时,滚剪强度设计值应取最外侧层板的顺纹抗剪强度设计值的0.22倍。
A.0.5 正交胶合木受弯构件挠度计算时,构件截面抗弯刚度EI应采用截面等效抗弯刚度Be进行计算。
A.0.6 正交胶合木构件在竖向荷载作用下的受压承载力设计值应按下式计算:

式中:Np——作用在正交胶合木构件上的竖向压力设计值(N);
?'c——构件与荷载作用反向平行的抗压强度设计值(N/mm2);
Ap——构件木纹方向与荷载作用方向平行的层板截面面积之和(mm2)。
A.0.7 正交胶合木构件在竖向荷载作用下的受拉承载力设计值应按下式计算:

式中:Np——作用在正交胶合木构件上的竖向拉力设计值(N);
?'t——构件与荷载作用方向平行的抗拉强度设计值(N/mm2);
Ap——构件木纹方向与荷载作用方向平行的层板截面面积之和(mm2)。
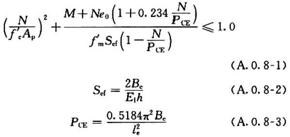
A.0.8 正交胶合木构件在平面外弯矩和竖向荷载共同作用下应符合下列公式的要求:

式中:N——作用在正交胶合木构件平面内的轴向压力设计值(N);
M——作用在正交胶合木构件平面外的弯矩设计值(N·mm);
e0——轴向荷载偏心距,为版面在垂直于版面方向的位移(mm);
Sef——构件等效截面抵抗矩(mm3);
PCE——临界屈曲荷载(N);
ιe——等效计算长度(mm);
Be——构件截面等效抗弯刚度(N·mm2);
E1——构件最外层层板的弹性模量(N/mm2);
h——构件的截面总高度(mm);
?'c——构件与荷载作用方向平行的抗压强度设计值(N/mm2);
?'m——构件的抗弯强度设计值(N/mm2)。
A.0.9 正交胶合木板构件承压强度应符合下列规定:
1 构件横纹层板的承压承载力设计值应按下式计算:

2 构件顺纹层板上的承压强度设计值可按下式计算:

式中:Np——作用在正交胶合木构件上的竖向压力设计值(N);
?e,90——构件横纹层板的横纹承压强度设计值(N/mm2);
Ac——构件横纹层板的截面面积之和(mm2);
?c——构件顺纹层板的抗压强度设计值(N/mm2);
Ap——构件顺纹层板的截面面积之和(mm2)。
本标准用词说明
本标准用词说明
1 为便于在执行本标准条文时区别对待,对要求严格程度不同的用词说明如下:
1)表示很严格,非这样做不可的:
正面词采用“必须”,反面词采用“严禁”;
2)表示严格,在正常情况下均应这样做的:
正面词采用“应”,反面词采用“不应”或“不得”;
3)表示允许稍有选择,在条件许可时首先应这样做的:
正面词采用“宜”,反面词采用“不宜”;
4)表示有选择,在一定条件下可以这样做的,采用“可”。
2 条文中指明应按其他有关标准执行的写法为:“应符合……规定”或“应按……执行”。
引用标准名录
引用标准名录
1 《建筑模数协调标准》GB/T 50002
2 《木结构设计规范》GB 50005
3 《建筑结构荷载规范》 GB 50009
4 《混凝土结构设计规范》GB 50010
5 《建筑抗震设计规范> GB 50011
6 《建筑设计防火规范》GB 50016
7 《钢结构设计规范》 GB 50017
8 《建筑采光设计标准》GB 50033
9 《建筑照明设计标准》GB 50034
10 《建筑物防雷设计规范》GB 50057
11 《建筑结构可靠度设计统一标准》GB 50068
12 《民用建筑隔声设计规范》GB 50118
13 《建筑灭火器配置设计规范》GB 50140
14 《民用建筑热工设计规范》GB 50176
15 《公共建筑节能设计标准》GB 50189
16 《混凝土结构工程施工质量验收规范》GB 50204
17 《钢结构工程施工质量验收规范》GB 50205
18 《木结构工程施工质量验收规范》GB 50206
19 《建筑装饰装修工程质量验收规范》GB 50210
20 《建筑内部装修设计防火规范》GB 50222
21 《建筑工程抗震设防分类标准》GB 50223
22 《民用建筑工程室内环境污染控制规范》GB 50325
23 《民用建筑设计通则》GB 50352
24 《胶合木结构技术规范》GB/T 50708
25 《建设工程施工现场消防安全技术规范》GB 50720
26 《木结构工程施工规范》GB/T 50772
27 《碳素结构钢》GB/T 700
28 《钢结构用高强度大六角头螺栓》GB/T 1228
29 《钢结构用高强度大六角螺母》GB/T 1229
30 《钢结构用高强度垫圈》GB/T 1230
31 《钢结构用高强度大六角头螺栓、大六角头螺母、垫圈技术条件》GB/T 1231
32 《低合金高强度结构钢》GB/T 1591
33 《声环境质量标准》GB 3096
34 《钢结构用扭剪型高强度螺栓连接副》GB/T 3632
35 《耐候结构钢》GB/T 4171
36 《非合金钢及细晶粒钢焊条》GB/T 5117
37 《热强钢焊条》GB/T 5118
38《六角头螺栓 C级》GB/T 5780
39 《六角头螺栓》GB/T 5782
40 《建筑外门窗气密、水密、抗风压性能分级及检测方法》GB/T 7106
41 《室内空气质量标准》GB/T 18883
42 《防火封堵材料》GB 23864
43 《建筑用阻燃密封胶》GB/T 24267
44 《结构用集成材》GB/T 26899
45 《防腐木材的使用分类和要求》GB/T 27651
46 《木材防腐剂》GB/T 27654
47 《钢钉》GB/T 27704
48 《严寒和寒冷地区居住建筑节能设计标准》JGJ 26
49 《夏热冬暖地区居住建筑节能设计标准》JGJ 75
50 《高层民用建筑钢结构技术规程》JGJ 99
51 《玻璃幕墙工程技术规范》JGJ 102
52 《金属与石材幕墙工程技术规范》JGJ 133
53 《夏热冬冷地区居住建筑节能设计标准》JGJ 134
54 《房屋白蚁预防技术规程》JGJ/T 245
