Appearance
《建筑玻璃应用技术规程》JGJ 113-2015
🗓️ 实施时间: 2016-04-01
总 则
1 总 则
1.0.1 为使建筑玻璃在建筑工程中的应用做到安全可靠、经济合理、实用美观,制定本规程。
条文说明
1.0.1 应用于建筑物上的一切玻璃统称为建筑玻璃。为了使建筑玻璃设计、材料选用、性能要求和安装等有章可循,使建筑玻璃应用做到安全可靠、经济合理和实用美观,制定了本规程。
本规程主要参照英国BS6262、澳大利亚AS1288和日本JASS-17等国家标准,并在抗风压方面做了大量实验。编制组就建筑玻璃的应用对有关建筑设计部门及施工单位进行了调研,查阅了大量相关国家及行业标准,在此基础之上,制定适合我国国情的建筑玻璃应用规程。
本次修订是以原规程JGJ 113-2009为基础,考虑了现行有关国家标准和行业标准的有关规定,调研、总结了我国近年来建筑玻璃应用科研成果和经验而完成。
1.0.2 本规程适用于建筑玻璃的设计及安装。
条文说明
1.0.2 本条规定了本规程的适用范围,本规程适用于建筑物内外部玻璃的设计及安装。
1.0.3 建筑玻璃的设计及安装,除应符合本规程外,尚应符合国家现行有关标准的规定。
条文说明
1.0.3 由于建筑玻璃的应用要满足抗风压、防热炸裂、活荷载及有关人体冲击安全性等要求,因而对材料的性能、设计及安装都有严格的要求,除应执行本规范外,尚应符合现行国家和行业有关标准和规范的要求。
建筑玻璃装配所用的大多数材料均有国家和行业标准,必须选用符合国家和行业标准的合格产品。
术 语
2 术 语
2.0.1 建筑玻璃 architectural glass
应用于建筑物上的玻璃统称。
条文说明
2.0.1 建筑玻璃
建筑玻璃一般分为用于建筑外围护结构玻璃和内部玻璃,例如玻璃幕墙、玻璃屋面、玻璃门窗、玻璃雨篷、玻璃栏板、玻璃楼梯、玻璃地板、游泳馆水下观察窗等。建筑物采用的玻璃通常有平板玻璃以及由平板玻璃作为原片制作的深加工玻璃,如钢化玻璃、半钢化玻璃、夹层玻璃、镀膜玻璃和中空玻璃等。
2.0.2 玻璃中部强度 strength on center area of glass
荷载垂直玻璃板面,玻璃中部的断裂强度。
条文说明
2.0.2 玻璃中部强度
荷载垂直玻璃板面,玻璃中部的断裂强度。例如在风荷载等匀布荷载作用下,四边支撑矩形玻璃板最大弯曲应力位于中部,玻璃所表现出的强度称为中部强度,是玻璃强度最大位置。
2.0.3 玻璃边缘强度 strength on border area of glass
荷载垂直玻璃板面,玻璃边缘的断裂强度。
条文说明
2.0.3 玻璃边缘强度
荷载垂直玻璃板面,玻璃边缘的断裂强度。例如在风荷载等匀布荷载作用下,三边支撑或两对边支撑矩形玻璃板自由边位置,或单边支撑矩形玻璃支撑边位置,玻璃所表现出的强度称为边缘强度。
2.0.4 玻璃端面强度 strength on edge of glass
荷载垂直玻璃断面,玻璃端面的抗拉强度。
条文说明
2.0.4 玻璃端面强度
端面指玻璃切割后的横断面,荷载垂直玻璃端面,玻璃端面的抗拉强度。例如在风荷载等匀布荷载作用下,全玻璃幕墙的玻璃肋两边位置;温差应力作用下,玻璃板边部位置,玻璃所表现出的强度称为端面强度。
2.0.5 单片玻璃 single glass
平板玻璃、镀膜玻璃、着色玻璃、半钢化玻璃和钢化玻璃等的统称。
2.0.6 有框玻璃 framed glazing
被具有足够刚度的支承部件连续地包住所有边的玻璃。
2.0.7 玻璃板自由边 free edge of glass
没有被具有足够刚度支承构件包住的玻璃边。
条文说明
2.0.7 玻璃板自由边
点支式玻璃板、两边支承的四边形玻璃板、三边支承的四边形玻璃板等均存在玻璃板自由边。
2.0.8 室内饰面用玻璃 facing glass in room
固定在室内墙体上的建筑装饰玻璃。
条文说明
2.0.8 室内饰面用玻璃
在室内装修中大量使用饰面玻璃,通常采用平板玻璃、釉面玻璃、镜面玻璃、夹丝玻璃、钢化玻璃等,尤其在公共建筑中使用较多。例如将玻璃通过边框、压条与装饰木基层固定,有采用玻璃胶直接将玻璃粘接在瓷砖装饰基层上的,有采用金属钉或压条将玻璃固定在装饰木基层上的。对固定在装饰基层上的建筑装饰玻璃称为饰面玻璃。
2.0.9 屋面用玻璃 roof glass
安装在建筑物屋顶,且与水平面夹角小于等于75°的玻璃。
2.0.10 地板玻璃 floor and stairway glazing
作为地面使用的玻璃,包括玻璃地板、玻璃通道和玻璃楼梯踏板用玻璃。
2.0.11 U型玻璃墙 U glass wall
由U型玻璃构成的墙体。
2.0.12 前部余隙 front clearance
玻璃外侧表面与压条或凹槽前端竖直面之间的距离。
2.0.13 后部余隙 back clearance
玻璃内侧表面与凹槽后端竖直面之间的距离。
2.0.14 边缘间隙 edge clearance
玻璃边缘与凹槽底面之间的距离。
2.0.15 嵌入深度 edge cover
玻璃边缘到可见线之间的距离。
基本规定
3.1 荷载及其效应
3.1 荷载及其效应
3.1.1 作用在建筑玻璃上的风荷载、雪荷载和活荷载应按现行国家标准《建筑结构荷载规范》GB 50009的有关规定计算。
3.1.2 建筑玻璃承载能力极限状态,应根据荷载效应的基本组合进行荷载效应组合,按下式进行设计:

式中:γ0——结构重要性系数,取值不应小于1.0;
S——荷载效应基本组合设计值;
R——玻璃强度设计值。
条文说明
3.1.1、3.1.2 当建筑玻璃用于建筑物立面时,作用玻璃上的荷载主要是风荷载。地板玻璃和屋面玻璃除风荷载外,还可能有永久荷载、雪荷载和活荷载,这些荷载应按现行国家标准《建筑结构荷载规范》GB 50009的有关规定计算,其组合需按基本组合进行。玻璃强度设计值R,需要按不同玻璃种类、荷载类型和荷载作用部位进行选择。
3.1.3 玻璃板在荷载按标准组合作用下产生的最大挠度值应符合下式规定:

式中:df——玻璃板在荷载按标准组合作用下产生的最大挠度值;
[d]——玻璃板挠度限值。
条文说明
3.1.3 计算挠度时,荷载按标准组合。不同使用条件下,玻璃板挠度限值是不一样的,在风荷载作用下,玻璃板挠度限值一般取玻璃板跨度的1/60,但水下玻璃和地板玻璃除外。
3.1.4 当考虑地震作用时,风荷载和地震作用应按荷载效应基本组合进行荷载效应组合,且建筑玻璃的最大许用跨度可按本规程第5.2节的方法进行计算。
条文说明
3.1.4 地震作用等短期均部荷载作用与风荷载相近,可以按照风荷载进行设计计算。
3.2 设计准则
3.2 设计准则
3.2.1 建筑玻璃强度设计值应根据荷载方向、荷载类型、最大应力点位置、玻璃种类和玻璃厚度选择。
条文说明
3.2.1 根据荷载方向和最大应力位置将玻璃强度分为中部强度、边缘强度和端面强度。这三种强度数值不同,因此应用时应注意正确选用。同时玻璃在长期荷载和短期荷载作用下强度值也不同,玻璃种类和厚度都影响玻璃强度值,使用时应注意区分。
3.2.2 用于建筑外围护结构上的建筑玻璃应进行玻璃热工性能计算。玻璃传热系数计算方法可按本规程附录A执行,玻璃遮阳系数可按现行国家标准《建筑玻璃 可见光透射比、太阳光直接透射比、太阳能总透射比、紫外线透射比及有关窗玻璃参数的测定》GB/T 2680执行。
条文说明
3.2.2 用于建筑外围护结构上的玻璃与建筑节能性能密切相关,因此建筑玻璃热工性能非常重要,国家和行业相关节能设计标准和规范对玻璃热工性能都提出了规范和要求。玻璃是透明材料,其热工性能用传热系数和遮阳系数表征,为此规定用于建筑外围护结构玻璃应进行玻璃传热系数和遮阳系数的计算。
3.2.3 设计使用中空玻璃时,宜进行玻璃结露点计算,计算方法可按本规程附录B执行。
条文说明
3.2.3 如果使用单片玻璃,冬季一般都会发生结露,因此不必进行玻璃结露计算。设计使用中空玻璃,对计算玻璃结露才有意义,设计使用正确可以实现不结露。
材料及选择
4.1 玻 璃
4.1 玻 璃
4.1.1 建筑物可根据功能要求选用平板玻璃、超白浮法玻璃、中空玻璃、真空玻璃、钢化玻璃、半钢化玻璃、夹层玻璃、光伏玻璃、着色玻璃、镀膜玻璃、压花玻璃、U型玻璃和电致液晶调光玻璃等。
条文说明
4.1.1 为便于设计人员的选用,本条列出了市场上现有的大多数建筑玻璃品种。其中镀膜玻璃包括阳光控制镀膜玻璃和低辐射玻璃,阳光控制镀膜玻璃能将60%左右的太阳热能挡住,可见光透过率一般在20%~60%范围内,遮阳系数一般为0.23~0.56。低辐射玻璃有在线和离线两种生产方式,辐射率一般在0.1~0.25。
4.1.2 建筑玻璃外观、质量和性能应符合下列国家现行标准的规定:
1 《平板玻璃》GB 11614
2 《建筑用安全玻璃 第2部分:钢化玻璃》GB 15763.2
3 《建筑用安全玻璃 第3部分:夹层玻璃》GB 15763.3
4 《建筑用安全玻璃 第4部分:均质钢化玻璃》GB 15763.4
5 《半钢化玻璃》GB 17841
6 《中空玻璃》GB/T 11944
7 《镀膜玻璃 第1部分:阳光控制镀膜玻璃》GB/T 18915.1
8 《镀膜玻璃 第2部分:低辐射镀膜玻璃》GB/T 18915.2
9 《建筑用太阳能光伏夹层玻璃》GB 29551
10 《建筑用太阳能光伏中空玻璃》GB/T 29759
11 《建筑门窗幕墙用钢化玻璃》JG/T 455
12 《真空玻璃》JC/T 1079
13 《压花玻璃》JC/511
14 《建筑用U型玻璃》JC/T 867
15 《电致液晶夹层调光玻璃》JC/T 2129
16 《超白浮法玻璃》JC/T 2128
条文说明
4.1.2 常用建筑玻璃大都有相应的国家或行业标准,其质量和性能需符合现行相关标准的规定。
4.1.3 用于门窗幕墙的钢化玻璃应符合现行行业标准《建筑门窗幕墙用钢化玻璃》JG/T 455标准规定。
条文说明
4.1.3 钢化玻璃有自爆倾向,且目前在工程应用中钢化玻璃自爆比率较高,严重影响建筑安全。门窗幕墙钢化玻璃的用量最大,其自爆的危害也较大。为抑制钢化玻璃自爆,特制定了现行行业标准《建筑门窗幕墙用钢化玻璃》JG/T 455,因此建筑门窗幕墙用钢化玻璃应符合该标准。
4.1.4 建筑玻璃强度设计值可按下式计算:

式中:fg——建筑玻璃强度设计值(MPa);
c1——玻璃种类系数;
c2——玻璃强度位置系数;
c3——荷载类型系数;
c4——玻璃厚度系数;
f0——短期荷载作用下,平板玻璃中部强度设计值,取28MPa。
条文说明
4.1.4 玻璃强度与玻璃种类、玻璃厚度、受荷载部位、荷载类型等因素有关,本条文采用相应的调整系数计算。
4.1.5 玻璃种类系数应按表4.1.5取值。
条文说明
4.1.5 玻璃强度与玻璃种类有关,目前世界各国均采用玻璃种类调整系数的处理方式,本条采用的调整系数与《建筑玻璃应用技术规程》JGJ 113-2009相同。
表4.1.5 玻璃种类系数c1

4.1.6 玻璃强度位置系数应按表4.1.6取值。
条文说明
4.1.6 玻璃是脆性材料,在其表面存在大量微裂纹,玻璃强度与微裂纹尺寸、形状和密度有关,通常玻璃边部裂纹尺寸大、密度大,所以玻璃边缘强度低。在澳大利亚国家标准AS1288中规定,玻璃边缘强度取中部强度的80%,在《玻璃幕墙工程技术规范》JGJ 102-2003中取玻璃端面强度为中部的70%,本条参考这两项规定取值。
表4.1.6 玻璃强度位置系数c2

4.1.7 荷载类型系数应按表4.1.7取值。
条文说明
4.1.7 作用在玻璃上的荷载分短期荷载和长期荷载,风荷载和地震作用为短期荷载,而重力荷载和水荷载等为长期荷载。短期荷载对玻璃强度没有影响,而长期荷载将使玻璃强度下降,原因是长期荷载将加速玻璃表面微裂纹扩展,因而其强度下降。钢化玻璃表面存在压应力层,将起到抑制表面微裂纹扩张的作用,因此在长期荷载作用下,平板玻璃和钢化玻璃、半钢化玻璃强度下降值是不同的。通常钢化玻璃和半钢化玻璃在长期荷载作用下,其强度下降到原值的50%左右,而平板玻璃将下降至原值的30%左右,本条参考澳大利亚标准AS1288制定。
表4.1.7 荷载类型系数c3

4.1.8 玻璃厚度系数应按表4.1.8取值。
条文说明
4.1.8 实验结果表明,玻璃越厚,其强度越低,本条参考《玻璃幕墙工程技术规程》JGJ 102-2003制定。
表4.1.8 玻璃厚度系数c4

4.1.9 在短期荷载作用下,平板玻璃、半钢化玻璃和钢化玻璃强度设计值可按表4.1.9取值。
条文说明
4.1.9 在短期荷载和地震作用下,常用玻璃强度设计值表4.1.8是按公式(4.1.4)计算得来的,便于使用。
表4.1.9 短期荷载作用下玻璃强度设计值fg(N/mm2)

4.1.10 在长期荷载作用下,平板玻璃、半钢化玻璃和钢化玻璃强度设计值可按表4.1.10取值。
条文说明
4.1.10 在长期荷载作用下,常用玻璃的强度设计值表4.1.9是按公式(4.1.4)计算得来的,便于使用。
表4.1.10 长期荷载作用下玻璃强度设计值fg(N/mm2)

4.1.11 夹层玻璃和中空玻璃强度设计值应按采用玻璃种类确定。
条文说明
4.1.11 构成夹层玻璃和中空玻璃的玻璃板通常称其为原片,夹层玻璃和中空玻璃的强度设计值按构成其原片玻璃强度设计值取值。
4.1.12 对建筑玻璃有热工性能要求时应选用中空玻璃或真空玻璃,对玻璃热工性能要求或对中空玻璃表面变形要求较高时,可采取下列措施:
1 采用三玻两腔中空玻璃,两侧玻璃厚度不应小于4mm,厚度差不宜超过3mm,空气间隔层厚度不宜小于9mm。
2 采用低辐射镀膜玻璃,其镀膜面应位于中空玻璃空气腔中。当另外一片采用在线低辐射镀膜玻璃,其镀膜面应位于室内侧。
3 可充惰性气体,但中空玻璃间隔条应采用连续折弯且对接缝处做密封处理。
4 采用暖边间隔条。
5 当中空玻璃制作与使用地理位置有较大气压变化时,宜采用呼吸管平衡装置,且在使用地对呼吸管做封闭密封处理。
6 中空玻璃可采用毛细管技术。
条文说明
4.1.12 玻璃的导热系数是1W/(m·K),空气的导热系数是0.024W/(m·K),因此中空玻璃的保温性能优异。真空玻璃的热工性能更优异。
1 目前玻璃板面尺寸都较大,所以玻璃板不能太薄,4mm厚度应是玻璃板的极限量。中空玻璃的保温性能与空气间隔层厚度密切相关,不能太薄。
2 在线Low-E玻璃是“硬膜”,耐划伤,没有氧化问题,因此可暴露在空气中使用。根据热工节能原理,当采用一片离线Low-E玻璃,其镀膜面应位于中空玻璃空气腔中,另外一片采用在线Low-E玻璃,其镀膜面应位于室内侧,中空玻璃的保温性能最优,离线Low-E膜隔绝了中空玻璃两片玻璃之间的辐射传热,在线Low-E膜降低了玻璃室内表面换热系数,中空玻璃的传热系数极低。
3 空气的导热系数是0.024W/(m·K),氩气的导热系数是0.016W/(m·K),因此充氩气的中空玻璃传热系数更低。由于硅酮类密封胶阻隔氩气渗透性能不好,如采用硅酮类密封胶作为中空玻璃的第二层密封胶氩气容易逃逸,导致中空玻璃保温性能下降。而聚硫类密封胶阻隔氩气逃逸性能好,因此充氩气的中空玻璃第二层密封胶应采用聚硫类。
4 采用暖边中空玻璃,可以降低0.15W/(m2·℃)以上的整体门窗幕墙的综合传热系数,因此,在采用原有传统铝条中空玻璃无法满足整窗的节能指标时,采用暖边中空玻璃是性价比较佳的解决方案。
5 当中空玻璃制作地与其使用地有较大海拔高差时,中空玻璃空腔内的气压与其外部气压会有较大不同,中空玻璃腔体由于压力作用将向外膨胀或内凹,不仅给中空玻璃的两片玻璃带来应力,同时还影响中空玻璃反射影像,尤其是采用Low-E玻璃制作的中空玻璃,影像散射影响更大。因此,海拔高度不同的异地加工制作的中空玻璃,在运输、安装前应采用呼吸管,平衡中空玻璃腔体内部与环境之间的大气压力,到压力平衡后,再将呼吸管封闭密封处理。
6 中空玻璃内部是密闭腔体,气体在温度作用下,将产生膨胀和收缩现象,导致中空玻璃腔体两侧的玻璃随温度变化而向内向外变形,俗称泵效应。为减少泵效应,毛细管技术是使中空玻璃表面相对平整的办法之一,但目前应用该项技术较少。
4.1.13 光伏构件所选用的玻璃应符合下列规定:
1 面板玻璃应选用超白玻璃,超白玻璃的透光率不宜小于90%。
2 背板玻璃应选用均质钢化玻璃。
3 面板玻璃应计算确定其厚度,宜在3mm~6mm选取,其强度设计值可按本规程式(4.1.4)计算,玻璃厚度系数c4取1.0。
条文说明
4.1.13 光伏构件所用玻璃其透光率和强度是其选用的要点,其原因是:
1 为了提高光伏构件的转换效率,应严格控制面板玻璃的透光率,超白玻璃通过较少玻璃的含铁量而提高其透光率。所以应选用超白玻璃作为光伏构件的面板,这里指的超白玻璃是指超白浮法玻璃,超白钢化玻璃和超白半钢化玻璃。其他形式的超白玻璃不限制使用,但其透光率不宜小于90%。
2 光伏构件的背板采用玻璃时,应选用均质钢化玻璃以降低钢化玻璃自爆带来的损失。
3 玻璃的厚度也会影响玻璃的透光率,为了提高光伏构件光伏电池的太阳辐射量,在满足玻璃强度设计值的前提下,应采取措施减小面板玻璃厚度,一般为3mm~6mm为宜。
4.2 玻璃安装材料
4.2 玻璃安装材料
4.2.1 玻璃安装材料应符合下列国家现行标准的规定:
1 《聚氨酯建筑密封胶》JC/T 482
2 《聚硫建筑密封胶》JC/T 483
3 《丙烯酸酯建筑密封胶》JC/T 484
4 《建筑窗用弹性密封胶》JC/T 485
5 《硅酮建筑密封胶》GB/T 14683
6 《塑料门窗用密封条》GB 12002
7 《建筑用硅酮结构密封胶》GB 16776
8 《幕墙玻璃接缝用密封胶》JC/T 882
9 《建筑门窗幕墙用中空玻璃弹性密封胶》JG/T 471
10 《建筑门窗、幕墙用密封胶条》GB/T 24498
条文说明
4.2.1 常用玻璃安装材料大都有相应的国家或行业标准,故应按现行的标准规定执行。
4.2.2 支承块宜采用挤压成型PVC或邵氏A硬度为80~90的氯丁橡胶等材料制成。
4.2.3 定位块和弹性止动片宜采用有弹性的非吸附性材料制成。
4.2.4 玻璃安装材料应与玻璃及周边材料相容。
条文说明
4.2.3、4.2.4 支承块起支承玻璃的作用;定位块用于玻璃边缘,避免玻璃周边与框直接接触,并使玻璃在门窗框中正确定位;间距片通常与不凝固混合物或硫化型混合物一同使用,防止其受载时移动。所以,支承块、定位块和间距片的性能对玻璃的安装和密封材料的耐久性有一定的影响,故对其性能应有要求。
建筑玻璃抗风压设计
5.1 风荷载计算
5.1 风荷载计算
5.1.1 作用在建筑玻璃上的风荷载设计值应按下式计算:

式中:w——风荷载设计值(kPa);
wk——风荷载标准值(kPa);
γw——风荷载分项系数,取1.4。
条文说明
5.1.1 风荷载的分项系数按现行国家标准《建筑结构荷载规范》GB 50009取值。
5.1.2 当风荷载标准值的计算结果小于1.0kPa时,应按1.0kPa取值。
条文说明
5.1.2 关于建筑玻璃最小风荷载标准值各国取值不同,澳大利亚标准AS1288规定为0.5kPa;英国标准BS6262中规定为0.6kPa;日本标准JASS17中规定为1.0kPa。考虑我国具体实情,确定最小风荷载标准值取1.0kPa。它表明,当建筑玻璃受到小于1.0kPa的风荷载标准值作用时,为了安全起见,应按1.0kPa进行设计。
5.2 抗风压设计
5.2 抗风压设计
5.2.1 用于室外的建筑玻璃应进行抗风压设计,并应同时满足承载力极限状态和正常使用极限状态的要求。幕墙玻璃抗风压设计应按现行行业标准《玻璃幕墙工程技术规范》JGJ 102执行。
条文说明
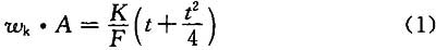
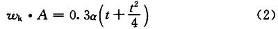
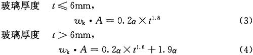
5.2.1 目前国外建筑玻璃抗风压设计多采用一种半经验公式,如澳大利亚标准和日本标准中均有相应公式,现将它们叙述如下:
日本公式:

式中:wk——风荷载标准值(N/mm2);
A——玻璃面积(m2);
t——玻璃的厚度(mm);
K——玻璃的品种系数(与抗风压调整系数有关);
F——安全因子,一般取2.50,此时对应的失效概率为1‰。
此公式的具体形式为:

式中:α——抗风压调整系数。
澳大利亚国家标准AS1288-1989版中的公式;

上述风压公式都满足wk·A=f(f)的形式,其中f(t)是玻璃厚度t的函数,确定风压公式的关键在于f(f)的函数形式及其参数系数。
在制订《建筑玻璃应用技术规程》JGJ 113-1997版时,编制组做了大量抗风压实验验证,通过分析比较,确定采用澳大利亚风压公式。在修订《建筑玻璃应用技术规程》JGJ 113-2003版时继续使用。
在公式(3)和(4)中,对于任何长宽比的矩形玻璃,都采用同一面积,这里存在着误差,因为同等面积条件下,不同长宽比的矩形玻璃,其承载力是不同的。对于平板玻璃、半钢化玻璃和钢化玻璃,仅采用抗风压调整系数处理也存在着误差,因为这三种玻璃沿玻璃断面的内应力分布是不同的,因此其承载力也不同。由于玻璃在风荷载作用下的力学性能研究试验量巨大,耗时长,因此各国在当时基本上都是采用类似的计算方法,基本能满足设计要求。
澳大利亚国家标准AS1288-2006版中采用了新的方法,考虑了矩形玻璃长宽比的影响,将原来计算玻璃板面积,改为计算不同长宽比条件下的最大跨度。考虑了不同种类玻璃的各自特性,对平板玻璃、半钢化玻璃和钢化玻璃分别采用不同的计算参数。中空玻璃由原来两片玻璃同时考虑,改为按荷载分配系数各自独立计算。同时增加了玻璃板挠度限值计算方法,其精确度比1989版的更高、更合理、更全面,因此,本标准在本次修订中参考采用。
5.2.2 除中空玻璃以外的建筑玻璃承载力极限状态设计,可采用考虑几何非线性的有限元法进行计算,且最大应力设计值不应超过短期荷载作用下玻璃强度设计值。
5.2.3 矩形建筑玻璃的最大许用跨度也可按下列方法计算:
1 最大许用跨度可按下式计算:

式中:w——风荷载设计值(kPa);
L——玻璃最大许用跨度(mm);
k1、k2、k3、k4——常数,根据玻璃的长宽比进行取值。
2 k1、k2、k3、k4的取值应符合下列规定:
1)对于四边支承和两对边支承的单片平板矩形玻璃、单片半钢化矩形玻璃、单片钢化矩形玻璃和普通夹层矩形玻璃,其k1、k2、k3、k4可按本规程附录C取值。夹层玻璃的厚度应为去除胶片后玻璃净厚度和。三边支撑可按两对边支撑取值。
2)对于压花玻璃,其k1、k2、k3、k4可按本规程附录C中平板玻璃的k1、k2、k3、k4取值。按公式(5.2.3)计算玻璃最大许用跨度时,风荷载设计值应按公式(5.1.1)的计算值除以玻璃种类系数取值。
3)对于真空玻璃,其k1、k2、k3、k4可按本规程附录C中普通夹层玻璃的k1、k2、k3、k4取值。
4)对于半钢化夹层玻璃和钢化夹层玻璃,其k1、k2、k3、k4可按本规程附录C中普通夹层玻璃的k1、k2、k3、k4取值。按本规程式(5.2.3)计算玻璃最大许用跨度时,风荷载设计值应按本规程式(5.1.1)的计算值除以玻璃种类系数取值。
5)当玻璃的长宽比超过5时,玻璃的k1、k2、k3、k4应按长宽比等于5进行取值。
6)当玻璃的长宽比不包含在本规程附录C中时,可先分别计算玻璃相邻两长宽比条件下的最大许用跨度,再采用线性插值法计算其最大许用跨度。
条文说明
5.2.3 建筑玻璃在风荷载作用下的变形非常大,已远远超出弹性力学范围,应考虑几何非线性。风荷载是短期荷载,所以玻璃强度值应按短期荷载强度值采用。工程上采用非矩形玻璃的情况很多,如菱形、梯形、三角形,不规则多变形等等,对于任何形状建筑玻璃都可采用考虑几何非线性的有限元法进行计算。
矩形建筑玻璃是工程上用量最大的,由于形状规则,除可采用有限元方法外,也可采用本规程给出的设计计算方法。对于任意尺寸的矩形玻璃,其边长分别为b和a,其长宽比为b/a,根据选择的品种,如平板、半钢化、钢化或夹层玻璃,试选其厚度,采用附录C中相应的k1、k2、k3、k4参数,可计算出最大许用跨度L,如果所设计玻璃的跨度小于最大许用跨度L,则计算通过,满足玻璃承载力极限设计条件。如果所设计玻璃的跨度大于最大许用跨度L,则需增加玻璃厚度,直至所设计玻璃的跨度小于最大许用跨度L。
由于夹层玻璃厚度按玻璃净厚度计算,中间层胶片不计算在内,真空玻璃在构造和传力方面与夹层玻璃相似,因此真空玻璃的k1、k2、k3、k4参数可采用普通夹层玻璃的。
三边支撑比两对边支撑有利,因此对于三边支撑的情况可采用两对边支撑的情况设计和取值。
由于夹丝玻璃、压花玻璃和平板玻璃同属退火玻璃,其沿玻璃厚度断面方向内应力相似,k1、k2、k3、k4参数相同,可采用风荷载设计值除以抗风压调整系数的方法,但风荷载设计值增加了。
同样道理,计算半钢化夹层玻璃和钢化夹层玻璃最大许用跨度时,可按附录C中普通夹层玻璃采用相应系数,风荷载设计值应除以抗风压调整系数,风荷载设计值降低了。
5.2.4 除中空玻璃以外的建筑玻璃正常使用极限状态设计,可采用考虑几何非线性的有限元法计算,且挠度限值[d]应取跨度的1/60。四边支承和两对边支承矩形玻璃正常使用极限状态也可按下列规定设计:
1 四边支承和两对边支承矩形玻璃单位厚度跨度限值应按下式计算:

式中:
——玻璃单位厚度跨度限值;
wk——风荷载标准值(kPa);
k5、k6、k7、k8——常数,可按本规程附录C取值。
2 设计玻璃跨度(a)除以玻璃厚度(t),不应大于玻璃单位厚度跨度限值。
条文说明
5.2.4 对于建筑玻璃正常使用极限状态的设计,目前世界各国大多采用最大挠度限值为跨度的1/60,本规程也采用这一限值。对于任何形状的建筑玻璃,都可采用考虑几何非线性的有限元法计算。
矩形建筑玻璃是工程上用量最大的,由于形状规则,除可采用有限元方法外,也可采用本规程给出的设计计算方法。玻璃正常使用极限状态设计时的挠度限值与玻璃种类无关,单位厚度玻璃的挠度限值与厚度无关,因此k5、k6、k7、k8参数对于所有矩形玻璃都是一样的。
5.2.5 作用在中空玻璃上的风荷载可按荷载分配系数分配到每片玻璃上,荷载分配系数可按下列公式计算:
1 直接承受风荷载作用的单片玻璃:

式中:ξ——荷载分配系数;
t1——外片玻璃厚度(mm);
t2——内片玻璃厚度(mm)。
2 不直接承受风荷载作用的单片玻璃:

式中:ξ2——荷载分配系数;
t1——外片玻璃厚度(mm);
t2——内片玻璃厚度(mm)。
条文说明
5.2.5 中空玻璃两片玻璃之间的传力是靠间隙层中的气体,对于风荷载这种瞬时荷载,气体也会在一定程度上被压缩,因此外片玻璃风荷载分配系数适当加大是合理的。
5.2.6 中空玻璃的承载力极限状态设计和正常使用极限状态设计,可根据分配到每片玻璃上的风荷载,采用本规程第5.2.2条、第5.2.4条的方法进行计算。
建筑玻璃防热炸裂设计与措施
6.1 防热炸裂设计
6.1 防热炸裂设计
6.1.1 当平板玻璃、着色玻璃、镀膜玻璃和压花玻璃明框安装且位于向阳面时,应进行热应力计算,且玻璃边部承受的最大应力值不应超过玻璃端面强度设计值。
条文说明
6.1.1 只有明框安装的建筑玻璃存在阳光辐照下玻璃中部与边部的温差,才需要进行玻璃热应力的计算与设计。玻璃热炸裂是由于玻璃的热应力引起,玻璃热应力最大值位于玻璃板的边部,且热应力属平面内应力,因此玻璃强度设计值取端面强度设计值。由于半钢化玻璃和钢化玻璃抗热冲击能力强,一般情况下没有发生热炸裂的可能,因此不必进行热应力计算。
半钢化玻璃和钢化玻璃可不进行热应力计算。
6.1.2 玻璃端面强度设计值可按本规程式(4.1.4)计算,也可按表6.1.2取值。
表6.1.2 玻璃端面强度设计值

注:夹层玻璃、真空玻璃和中空玻璃端面强度设计值与单片玻璃的相同。
6.1.3 在日光照射下,建筑玻璃端面应力应按下式计算:

式中:σh——玻璃端面应力(MPa);
E——玻璃弹性模量,可按0.72×105MPa取值;
α——玻璃线膨胀系数,可按10-5/℃取值;
μ1——阴影系数,按表6.1.3-1取值;
μ2——窗帘系数,按表6.1.3-2取值;
μ3——玻璃面积系数,按表6.1.3-3取值;
μ4——边缘温度系数,按表6.1.3-4取值;
Tc——玻璃中部温度,其计算方法应符合本规程附录D的规定;
Ts——窗框温度,其计算方法应符合本规程附录D的规定。
条文说明
6.1.3 一般说来,玻璃的内部热应力的大小,不仅与玻璃的吸热系数、弹性模量、线膨胀系数有关,而且还与玻璃的安装情况及使用情况有关,本条的公式就是综合考虑各种条件而定出的实用公式。
玻璃表面的阴影使玻璃板温度分布发生变化,与无阴影的玻璃相比,热应力增加,两者之间的比值用阴影系数,μ1表示。
在相同的日照量的情况下,玻璃内侧装窗帘或百叶与未装的场合相比,玻璃的热应力增加,其比值用窗帘系数μ2表示。
在相同的温度下,不同板面玻璃的热应力值与1m2面积的玻璃的热应力的比值用面积系数μ3表示。
边缘温度系数由下式定义:

式中:μ4——边缘温度系数;
Tc——玻璃中部温度(℃);
Te——玻璃边缘温度(℃);
Ts——窗框温度(℃)。
表6.1.3-4所对应的一些参考图见图1。

图1 表6.1.3-4所对应的参考图
表6.1.3-1 阴影系数

表6.1.3-2 窗帘系数

表6.1.3-3 玻璃面积系数

表6.1.3-4 边缘温度系数

6.2 防热炸裂措施
6.2 防热炸裂措施
6.2.1 建筑玻璃安装时,不得在玻璃周边造成缺陷。对于易发生热炸裂的玻璃,应对玻璃边部进行精加工。
条文说明
6.2.1 玻璃在裁切、运输、搬运过程中都容易在边部造成裂纹,这将极大地影响玻璃的端面设计强度,所以在安装时应注意玻璃周边无伤痕。
6.2.2 建筑玻璃内侧窗帘、百叶窗及其他遮蔽物与玻璃之间距离不应小于50mm。
条文说明
6.2.2 玻璃的使用和维护情况也直接影响到玻璃内部的热应力,本条是为了防止玻璃的温度升高得太高或局部温差过大。窗帘等遮蔽物如果紧挨在玻璃上,将影响玻璃热量的散发,从而使玻璃温度升高,热应力加大。
建筑玻璃防人体冲击规定
7.1 一般规定
7.1 一般规定
7.1.1 安全玻璃的最大许用面积应符合表7.1.1-1的规定;有框平板玻璃、真空玻璃和夹丝玻璃的最大许用面积应符合表7.1.1-2的规定。
条文说明
7.1.1 符合现行国家标准规定的钢化玻璃和夹层玻璃以及由它们构成的复合产品,都统称为安全玻璃。玻璃是典型的脆性材料,作用在玻璃上的外力超过允许限度,玻璃就会破碎。这些外力包括风压、地震力,人体的冲击或飞来的物体等。本章仅考虑玻璃受人体冲击的情况,所以进行玻璃选择不能仅根据本章的内容。在考虑其他外力的作用时,对玻璃的要求可能会更严格,这种情况下,应遵循更为严格的规定。为将玻璃给人体伤害降低到最小,定义钢化玻璃和夹层玻璃以及由它们构成的复合产品为安全玻璃,这是因为相比较而言,钢化玻璃和夹层玻璃一般不会给人体带来切割伤害。钢化玻璃和夹层玻璃的性能和破碎特性如下:
1)钢化玻璃
钢化玻璃的强度一般可达平板玻璃强度的3倍以上,且其韧性较平板玻璃有极大地增加,抗冲击强度一般可达平板玻璃的4倍~5倍,因此钢化玻璃在正常使用过程中不易发生破裂,这是定义钢化玻璃为安全玻璃的原因之一。其二,钢化玻璃破碎时,整块玻璃全部破碎成钝角小颗粒,一般不会给人体带来切割伤害。
2)夹层玻璃
在碎裂的情况下,夹层玻璃碎片将牢固地黏附在透明的PVB胶片上而不飞溅或落下,这是定义夹层玻璃为安全玻璃的原因之一。其二,如果冲击力不是特别强,碎片整体会短时留在框架内不外落,一般不会伤人。
减小人体冲击在玻璃上可能造成的伤害有多种方法,其中最有效的方法是避免人体撞在玻璃上,但许多情况下,从设计角度无法实现,因此,要提高玻璃的强度,适当选择玻璃。采用撞上去不至于破裂的玻璃(如10mm以上的钢化玻璃)可以从根本上消除玻璃碎片对人体的割伤和刺伤,但这并不意味着人体不会受到其他伤害。玻璃虽然不破裂,但是人体吸收了冲击的绝大部分能量,可能会受到挫伤、撞伤等伤害。因此,应允许使用受冲击后破碎,但不严重伤人的玻璃,如夹层玻璃和钢化玻璃。
如果按表7.1.1-2那样限制平板玻璃的最大许用面积,那么它破碎时对人体的伤害就会大大减小。因此,在建筑物某些特定的位置,可以使用平板玻璃和夹丝玻璃。
表7.1.1-1,表7.1.1-2的数据引自澳大利亚标准《建筑玻璃的选择》AS1288和国家标准《建筑用安全玻璃 第二部分:钢化玻璃》GB 15763.2-2005以及建材行业标准《夹丝玻璃》JC 433-1991(1996版)。
表7.1.1-1 安全玻璃最大许用面积

表7.1.1-2 有框平板玻璃、超白浮法玻璃和真空玻璃的最大许用面积

7.1.2 安全玻璃暴露边不得存在锋利的边缘和尖锐的角部。
条文说明
7.1.2 未经处理的玻璃边缘非常锋利,一般情况下,玻璃边缘均被包裹在框架槽中,人体接触不到。而暴露边是人体容易接触和划碰的,锋利的边缘会造成割伤,因此,暴露边应进行如倒角、磨边等边部加工,以消除人体割伤的危险。
7.2 玻璃的选择
7.2 玻璃的选择
7.2.1 活动门玻璃、固定门玻璃和落地窗玻璃的选用应符合下列规定:
1 有框玻璃应使用符合本规程表7.1.1-1规定的安全玻璃;
2 无框玻璃应使用公称厚度不小于12mm的钢化玻璃。
条文说明
7.2.1 门和固定门是易受人体冲击的主要危险区域,因此对有框架支承时,使用安全玻璃必须限制其使用板面。无框架玻璃门如果使用夹层、夹丝或平板玻璃,一旦受冲击破裂,由于没有框架支承大块的碎片,碎片会脱落、飞散,造成人体的严重伤害。所以应采用一种撞上去不易破裂,即使破裂,碎片也不易伤人的玻璃,12mm以上厚度的钢化玻璃恰好符合要求。支承部件不符合有框玻璃要求的玻璃,称为无框玻璃。
7.2.2 室内隔断应使用安全玻璃,且最大使用面积应符合本规程表7.1.1-1的规定。
条文说明
7.2.2 室内玻璃隔断易受人体冲击,因此应采用安全玻璃。
7.2.3 人群集中的公共场所和运动场所中装配的室内隔断玻璃应符合下列规定:
1 有框玻璃应使用符合本规程表7.1.1-1的规定,且公称厚度不小于5mm的钢化玻璃或公称厚度不小于6.38mm的夹层玻璃;
2 无框玻璃应使用符合本规程表7.1.1-1的规定,且公称厚度不小于10mm的钢化玻璃。
条文说明
7.2.3 本条仅适用于人体冲击玻璃的情况,不适用于抵抗球类(如壁球)冲击的玻璃,此类玻璃应进行专门的强度核算,不属于本章的范围。
7.2.4 浴室用玻璃应符合下列规定:
1 浴室内有框玻璃应使用符合本规程表7.1.1-1的规定,且公称厚度不小于8mm的钢化玻璃;
2 浴室内无框玻璃应使用符合本规程表7.1.1-1的规定,且公称厚度不小于12mm的钢化玻璃。
条文说明
7.2.4 浴室内的地板、墙壁经常沾水,当人走动或用手扶墙时,易出现打滑现象。当人不慎滑倒后,可能会撞击与浴室有关系的玻璃窗,或淋浴隔断。这种危险在整个淋浴过程中均存在,因此应使用较厚钢化玻璃,以防冲撞玻璃后,人体受到严重伤害。
7.2.5 室内栏板用玻璃应符合下列规定:
1 设有立柱和扶手,栏板玻璃作为镶嵌面板安装在护栏系统中,栏板玻璃应使用符合本规程表7.1.1-1规定的夹层玻璃;
2 栏板玻璃固定在结构上且直接承受人体荷载的护栏系统,其栏板玻璃应符合下列规定:
1)当栏板玻璃最低点离一侧楼地面高度不大于5m时,应使用公称厚度不小于16.76mm钢化夹层玻璃。
2)当栏板玻璃最低点离一侧楼地面高度大于5m时,不得采用此类护栏系统。
条文说明
7.2.5 人体的背靠、俯靠和手的推、拉等直接作用到栏板玻璃上,对玻璃的要求非常高,其安全性要求也高,因此对使用的玻璃品种、厚度和使用高度都有严格的限制,这里高度基本上是按一个楼层高度考虑的。有些宾馆大堂楼层比较高,因此限制的高度取5m。
7.2.6 室外栏板玻璃应进行玻璃抗风压设计,对有抗震设计要求的地区,应考虑地震作用的组合效应,且应符合本规程第7.2.5条的规定。
条文说明
7.2.6 用于室外的栏板玻璃同时承受风荷载,因此用于室外的栏板玻璃除考虑人体冲击安全外,还需进行抗风压设计和地震作用。
7.2.7 室内饰面用玻璃应符合下列规定:
1 室内饰面玻璃可采用平板玻璃、釉面玻璃、镜面玻璃、钢化玻璃和夹层玻璃等,其许用面积应分别符合本规程表7.1.1-1和表7.1.1-2的规定;
2 当室内饰面玻璃最高点离楼地面高度在3m或3m以上时,应使用夹层玻璃;
3 室内饰面玻璃边部应进行精磨和倒角处理,自由边应进行抛光处理;
4 室内消防通道墙面不宜采用饰面玻璃;
5 室内饰面玻璃可采用点式幕墙和隐框幕墙安装方式。龙骨应与室内墙体或结构楼板、梁牢固连接。龙骨和结构胶应通过结构计算确定。
条文说明
7.2.7 室内饰面用玻璃
2 当玻璃位于人体头部上方时,如果发生玻璃破碎将给人带来的危险性是比较大的,因此规定在一定高度条件下必须使用夹层玻璃,避免玻璃破碎后对人体造成伤害。
3 玻璃自由边是人体容易接触的部位,边缘锋利会存在对人体造成划伤的危险,因此,对暴露的自由边应进行倒角、磨边和抛光处理,以消除对人体割伤的危险。
4 室内消防通道在特殊情况下是人员比较密集的地方,容易出现人体冲击在玻璃上,从使用角度,为了避免给人体带来伤害,因此在室内的特殊位置限制使用。
5 目前饰面玻璃做法较多,也较为混乱,有采用构造连接的,如点式、隐框干挂等;有采用玻璃胶直接粘接的,有采用镶嵌边框和金属钉固定的。考虑安全,点式和隐框干挂是可靠的。
7.3 保护措施
7.3 保护措施
7.3.1 安装在易于受到人体或物体碰撞部位的建筑玻璃,应采取保护措施。
条文说明
7.3.1 保护设施能够使人警觉有玻璃存在,又能阻挡人体对玻璃猛烈的冲击,同时又起到了装饰作用。
7.3.2 根据易发生碰撞的建筑玻璃所处的具体部位,可采取在视线高度设醒目标志或设置护栏等防碰撞措施。碰撞后可能发生高处人体或玻璃坠落的,应采用可靠护栏。
条文说明
7.3.2 防止由于人体冲击玻璃而造成的伤害,最根本最有效的方法就是避免人体对玻璃的冲击。在玻璃上做出醒目的标志以表明它的存在,或者使人不易靠近玻璃,如护栏等,就可以从一定程度上达到这种目的。
百叶窗玻璃和屋面玻璃设计
8.1 百叶窗玻璃
8.1 百叶窗玻璃
8.1.1 当风荷载标准值不大于1.0kPa时,百叶窗使用的平板玻璃最大许用跨度应符合表8.1.1的规定。
条文说明
8.1.1 百叶窗是两对边支撑,且支撑边为短边,承受的主要荷载为风荷载,为确保安全,平板玻璃可以使用,但对其应用尺寸进行严格限制。为便于应用,表8.1.1可用来直接选择玻璃。
表8.1.1 百叶窗使用的平板玻璃最大许用跨度(mm)

8.1.2 当风荷载标准值大于1.0kPa时,百叶窗玻璃最大许用跨度应按本规程第5章进行验算。
条文说明
8.1.2 此条给出选择百叶窗玻璃的一般原则,即应考虑风荷载。
8.1.3 安装在易受人体冲击位置时,百叶窗玻璃除应符合本规程第8.1.1条或第8.1.2条的规定外,尚应符合本规程第7章的规定。
条文说明
8.1.3 百叶窗玻璃除符合风荷载以外,安装在可能遭受人体冲击位置时,应满足第5章人体冲击安全规定。
8.2 屋面玻璃
8.2 屋面玻璃
8.2.1 两边支承的屋面玻璃或雨棚玻璃,应支撑在玻璃的长边。
条文说明
8.2.1 支撑在长边受力合理,增加屋面玻璃和雨篷玻璃的安全性。
8.2.2 屋面玻璃或雨篷玻璃必须使用夹层玻璃或夹层中空玻璃,其胶片厚度不应小于0.76mm。
条文说明
8.2.2 屋面玻璃和雨篷玻璃对其安全性要求极高,夹层玻璃在合理使用条件下,具有安全可靠的性能,因此必须使用夹层玻璃。尽管钢化玻璃破碎后形成细小的颗粒,但也会给人体带来伤害,特别是近年来钢化玻璃自爆概率较高,因此规定必须使用夹层玻璃,且对PVB胶片的厚度做出规定,避免夹层玻璃破碎后发生坠落。
8.2.3 当夹层玻璃采用PVB胶片且有裸露边时,其自由边应作封边处理。
条文说明
8.2.3 PVB胶片遇水会开胶,因此当夹层玻璃有空气中裸用的自由边时,应对自由边进行封边处理。
8.2.4 上人屋面玻璃应按地板玻璃进行设计。
条文说明
8.2.4 地板玻璃要求的安全性比屋面玻璃高,因此上人屋面玻璃应按地板玻璃设计。
8.2.5 不上人屋面的活荷载除应符合现行国家标准《建筑结构荷载规范》GB 50009的规定外,尚应符合下列规定:
1 与水平面夹角小于30°的屋面玻璃,在玻璃板中心点直径为150mm的区域内,应能承受垂直于玻璃为1.1kN的活荷载标准值;
2 与水平面夹角大于或等于30°的屋面玻璃,在玻璃板中心直径为150mm的区域内,应能承受垂直玻璃为0.5kN的活荷载标准值。
条文说明
8.2.5 玻璃屋面与传统屋面相比较,玻璃容易破碎,也容易出现漏雨等现象,因此对屋面玻璃除要求均布活荷载符合现行国家标准《建筑结构荷载规范》GB 50009外,对维修活荷载(集中活荷载)也做出相应规定。
8.2.6 当屋面玻璃采用中空玻璃时,集中活荷载应只作用于中空玻璃上片玻璃。
条文说明
8.2.6 维修活荷载是准静荷载,中空玻璃空气腔能传递的荷载很少,原则上不予考虑,所以集中活荷载只作用于中空玻璃上片玻璃。
8.2.7 屋面玻璃或雨篷的最大应力设计值应按弹性力学计算,且最大应力不得超过长期荷载作用下的强度设计值。
8.2.8 屋面玻璃或雨篷的强度设计值可按本规程式(4.1.4)计算,也可按本规程表4.1.9取值。
条文说明
8.2.8 屋面玻璃由于承受永久荷载,因此其设计许用强度采用长期荷载作用下玻璃强度设计值。
8.2.9 屋面玻璃或雨篷玻璃应有适当的排水坡度,其自重下的挠度不应影响排水。
条文说明
8.2.9 屋面玻璃和雨篷玻璃是薄板,在自重作用下,变形较大,如果排水坡度不够,会造成集尘、积水,影响装饰效果。
地板玻璃设计
9.1 一般规定
9.1 一般规定
9.1.1 地板玻璃宜采用隐框支承或点支承。点支承地板玻璃连接件宜采用沉头式或背栓式连接件。
条文说明
9.1.1 地板玻璃为供人行走及放置家具等的地面,故不适合有凸出地面的连接件等妨碍人行的物体。
9.1.2 地板玻璃必须采用夹层玻璃,点支承地板玻璃必须采用钢化夹层玻璃。钢化玻璃必须进行均质处理。
条文说明
9.1.2 玻璃为脆性材料,易破裂,钢化玻璃有自爆现象,而且有局部破坏时整体立即爆裂的破坏特点。因此,应当考虑当有一层玻璃破坏时,地板玻璃仍然有足够的承载力,所以地板玻璃必须采用夹层玻璃。点支承地板玻璃在支撑点会产生应力集中,钢化玻璃强度较高,可减少玻璃破坏,所以点支撑地板玻璃必须采用钢化夹层玻璃。
9.1.3 楼梯踏板玻璃表面应做防滑处理。
条文说明
9.1.3 楼梯踏板玻璃应当做防滑处理,避免行人滑倒发生意外。
9.1.4 地板玻璃的孔、板边缘均应进行机械磨边和倒棱,磨边宜细磨,倒棱宽度不宜小于1mm。
条文说明
9.1.4 细磨边可消除玻璃加工过程中产生的玻璃边缘微裂缝,提高玻璃强度。
9.1.5 地板夹层玻璃的单片厚度相差不宜大于3mm,且夹层胶片厚度不应小于0.76mm。
9.1.6 框支承地板玻璃单片厚度不宜小于8mm,点支承地板玻璃单片厚度不宜小于10mm。
条文说明
9.1.6 由于对地板玻璃变形要求极严格,因此应尽量采用厚玻璃。
9.1.7 地板玻璃之间的接缝不应小于6mm,采用的密封胶的位移能力应大于玻璃板缝位移量计算值。
条文说明
9.1.7 硅酮建筑密封胶填塞的缝隙可以释放温度应力和消除装配误差。胶缝小于6mm时很难保证施工质量。胶条在人行或外力作用下有脱落的可能,因此不提倡使用普通的胶条密封。
9.1.8 地板玻璃及其连接应能够适应主体结构的变形。
9.1.9 地板玻璃承受的风荷载和活荷载应符合现行国家标准《建筑结构荷载规范》GB 50009的规定。地板玻璃不应承受冲击荷载。
条文说明
9.1.9 玻璃属于脆性材料,而且还存在整体破坏的危险。因此不应承受动荷载。动荷载是指动态作用使地板玻璃产生的加速度不可忽略不计的作用。例如较大的设备振动等。人行及人的冲击荷载对地板玻璃产生的加速度一般均可忽略不计,属于静荷载。
9.1.10 地板玻璃板面挠度不应大于其跨度的1/200。
条文说明
9.1.10 对框支承地板玻璃,跨度是指短边边长;对点支承地板玻璃,跨度是指支承点间长边边长。玻璃地板也是地板的一种,走在上面应给人以安全感,特别是玻璃地板更是如此,所以对地板玻璃挠度变形应严格限制,本条参考现行国家标准《混凝土结构设计规范》GB 50010中对屋盖、楼板及楼梯的挠度限值。
9.1.11 地板玻璃最大应力不得超过长期荷载作用下的强度设计值,玻璃在长期荷载作用下的强度设计值可按本规程式(4.1.4)计算,也可按本规程表4.1.9采用。
条文说明
9.1.11 地板玻璃由于承受永久荷载,因此其设计许用强度采用长期荷载作用下玻璃强度设计值。
9.2 框支承地板玻璃设计计算
9.2 框支承地板玻璃设计计算
9.2.1 框支承地板玻璃强度计算时,应取夹层玻璃的单片玻璃计算。
条文说明
9.2.1 夹层玻璃是由两层以上单片玻璃组合而成,因此夹层玻璃的强度取单片玻璃核算。
9.2.2 作用在夹层玻璃单片上的荷载可按下式计算:

式中:qi——分配到第i片玻璃上的荷载基本组合设计值(N/mm2);
ti——第i片玻璃的厚度(mm);
te——夹层玻璃的等效厚度(mm);
q——作用在地板玻璃上荷载基本组合设计值(N/mm2)。
条文说明
9.2.2 夹层玻璃每片玻璃的变形是完全相同的,因此荷载分配系数服从玻璃厚度三次方关系。
9.2.3 夹层玻璃的等效厚度te可按下式计算:

式中:te——夹层玻璃的等效厚度(mm);
t1,t2,…,tn——分别为各单片玻璃的厚度(mm),n夹层玻璃的层数。
条文说明
9.2.3 夹层玻璃可等效成一片单片玻璃,其厚度称为等效厚度。
9.2.4 夹层玻璃中的单片玻璃的最大应力可用有限元方法计算,也可按下式计算:

式中:σi——第i片玻璃的最大应力(N/mm2);
qi——作用于第i片地板玻璃的荷载基本组合设计值(N/mm2):
a——矩形玻璃板短边边长(mm);
ti——玻璃的厚度(mm);
m——弯矩系数,可根据玻璃板短边与长边的长度之比按表9.2.4取值。
表9.2.4 四边支承玻璃板的弯矩数m

注:a/b是玻璃板短边与长边的长度之比。
条文说明
9.2.4 由于地板玻璃变形限制很严,一般允许变形不超过玻璃板厚。此时其几何非线性效应不明显,可以按照线性方法计算,计算精度满足工程需要。
9.2.5 计算框支承地板夹层玻璃的最大挠度可按等效单片玻璃计算。计算框支承地板夹层玻璃的刚度时,应采用夹层玻璃的等效厚度。
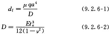
9.2.6 在垂直于玻璃平面的荷载作用下,框支承地板玻璃的单片玻璃的最大挠度,可用有限元方法计算,也可按下列公式计算:

式中:df——在垂直于地板玻璃的荷载标准组合值作用下最大挠度(mm);
q——垂直于该片地板玻璃的荷载标准组合值(N/mm2);
μ——挠度系数,可根据玻璃短边与长边的长度之比按表9.2.6选用;
D——玻璃的刚度(Nmm);
E——玻璃的弹性模量,可按0.72×105(N/mm2)取值;
v——泊松比,可按0.2取值。
表9.2.6 四边支承板的挠度系数μ

注:a/b是玻璃板短边与长边的长度之比。
9.3 四点支承地板玻璃设计计算
9.3 四点支承地板玻璃设计计算
9.3.1 四点支承地板玻璃的单片玻璃最大应力可用有限元方法计算,也可按下式计算:

式中:σi——第i片玻璃的最大应力(N/mm2);
qi——作用于第i片地板玻璃的荷载基本组合设计值(N/mm2);
b——支承点间玻璃面板长边边长(mm);
ti——玻璃的厚度(mm);
m——弯矩系数,可根据支承点间玻璃板短边与长边的长度之比按表9.3.1取值。
表9.3.1 四点支承玻璃板的弯矩系数m

注:a/b是玻璃板短边与长边的长度之比。
9.3.2 夹层玻璃的挠度可按单片玻璃计算,但在计算玻璃刚度D时,应采用等效厚度te。
9.3.3 在垂直于玻璃平面的荷载作用下,单片玻璃跨中挠度可用有限元方法计算,也可按下列公式计算:

式中:df——在垂直于该片地板玻璃的荷载标准值作用下的挠度最大值(mm);
q——垂直于该片地板玻璃的荷载标准组合值(N/mm2):
μ——挠度系数,可根据玻璃支承点间短边与长边的长度之比按表9.3.3选用;
D——玻璃的刚度(Nmm);
E——玻璃的弹性模量,可按0.72×105N/mm2取值;
v——泊松比。
表9.3.3 四点支承板的挠度系数μ

注:a/b是玻璃板短边与长边的长度之比。
条文说明
9.3.1~9.3.3 计算方法和要求与本规程第9.2.1条~9.2.3条相同。
水下用玻璃设计
10.1 水下用玻璃的性能要求
10.1 水下用玻璃的性能要求
10.1.1 水下用玻璃应选用夹层玻璃。
条文说明
10.1.1 水下玻璃如果发生破裂后果将非常严重,因此单片玻璃不能使用,夹层玻璃即使其中一片玻璃破裂,也不会造成灾难性事故,给人们及时更换玻璃留有时间。
10.1.2 水下用玻璃的设计应满足下式的要求:

式中:σ——水压作用产生的玻璃截面最大弯曲应力设计值(MPa);
fg——长期荷载作用下玻璃的强度设计值,可按本规程式(4.1.4)计算,也可按本规程表4.1.9采用。
条文说明
10.1.2 水下玻璃由于承受水荷载荷载,因此其设计许用强度采用长期荷载作用下玻璃强度设计值。
10.1.3 承受水压时,水下用玻璃板的挠度不得大于其跨度的1/200;安装框架的挠度不得超过其跨度的1/500。
条文说明
10.1.3 由于变形过大不仅会对玻璃周边约束产生一系列问题,如造成密封胶失效、漏水等,而且会产生观视图像变形,不能满足观看者的视觉要求,同时玻璃变形过大也给观察者以不安全感,因此对于水下用玻璃挠曲变形要求比较严格。
10.1.4 用于室外的水下玻璃除应考虑水压作用,尚应考虑风压作用与水压作用的组合效应。
10.2 水下用玻璃的设计计算
10.2 水下用玻璃的设计计算
条文说明
由于水下玻璃对挠度变形要求极为严格,玻璃变形很小,完全符合弹性力学计算理论,本节给出的计算公式是依据弹性力学理论给出的。对三边支撑的水下玻璃不仅要计算玻璃中部的应力和变形,自由边的应力和变形也要计算。
10.2.1 水下用侧面玻璃的设计计算应符合下列规定:
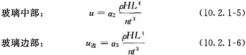
1 四边支承矩形玻璃的最大弯曲应力设计值及最大挠度应按下列公式计算(图10.2.1-1):

式中:σ——玻璃中部最大弯曲应力设计值(MPa);
u——玻璃中部最大挠度(mm);
ρ——水密度,淡水按1.00×103取值,海水按1.01×103~1.05×103取值(kg/m3);
H——水深(m);
L——跨度(m);
t——单片玻璃厚度(mm);
n——构成夹层玻璃的单片玻璃数;
β1、α1——玻璃边长比相关系数,应按表10.2.1-1及表10.2.1-2取值。

图10.2.1-1 四边支承矩形侧面玻璃
表10.2.1-1 系数β1值

注:k——长边与短边之比。
表10.2.1-2 系数α1值

注:k——长边与短边之比。
2 三边支承矩形玻璃的最大弯曲应力设计值及最大挠度应按下列公式计算(图10.2.1-2)。

图10.2.1-2 三边支承矩形侧面玻璃

式中:σ边——玻璃边缘中心处最大弯曲应力设计值(MPa);
u边——玻璃边缘中心处最大挠度(mm);
β2、β3、α2、α3——与玻璃边长比有关的系数,应按表10.2.1-3取值。
表10.2.1-3 系数β2、β3、α2、α3值

3 周边连续支承圆形玻璃板的最大弯曲应力设计值及最大挠度应按下列公式计算(图10.2.1-3)。

图10.2.1-3 周边连续支承圆形侧面玻璃

式中:L——圆形水槽玻璃的半径(m);
β4、α4——与玻璃半径有关的系数,应按表10.2.1-4取值。
表10.2.1-4 系数β4、α4值

10.2.2 水底用玻璃的设计计算应符合下列规定:
1 四边支承矩形玻璃的最大弯曲应力设计值及最大挠度应按下列公式计算(图10.2.2-1):

图10.2.2-1 四边支承水底矩形玻璃

式中:β5、α5——与玻璃边长比有关的系数,应按表10.2.2-1取值。
表10.2.2-1 系数β5、α5值

2 周边连续支承圆形玻璃的最大弯曲应力设计值及最大挠度应按下列公式计算(图10.2.2-2)。

图10.2.2-2 周边支承圆形水底玻璃

U型玻璃墙设计
11.1 一般规定
11.1 一般规定
11.1.1 用于建筑外围护结构的U型玻璃,其外观质量应符合现行行业标准《建筑用U型玻璃》JC/T 867优等品的规定,且应进行钢化处理。
条文说明
11.1.1 用于建筑外围护结构的U型玻璃质量应优选;钢化处理能增加其强度和安全性。
11.1.2 对U型玻璃墙体有热工或隔声性能要求时,应采用双排U型玻璃构造,可在双排U型玻璃之间设置保温材料。双排U型玻璃可以采用对缝布置,也可采用错缝布置。
条文说明
11.1.2 U型玻璃是半透明产品,在双排U型玻璃之间设置PC阳光板或二氧化硅气凝胶。可增加其热工性能或隔声性能,且仍具有透光性能。
11.1.3 采用U型玻璃构造曲形墙体时,对底宽260mm的U型玻璃,墙体的半径不应小于2000mm;对底宽330mm的U型玻璃,墙体的半径不应小于3200mm;对底宽500mm的U型玻璃,墙体的半径不应小于7500m。
条文说明
11.1.3 U型玻璃曲面墙体,实际上是折线墙面,有一面的开口间隙较大,需要用柔性材料先填充再注硅酮密封胶。
11.1.4 当U型玻璃墙高度超过4.5m时,应考虑其结构稳定性,并应采取相应措施。
条文说明
11.1.4 本条所指的结构稳定性主要是指安装U型玻璃的框架,它必须依附在建筑的主结构上。
11.2 U型玻璃的设计计算
11.2 U型玻璃的设计计算
11.2.1 U型玻璃用于外墙时应进行风荷载作用下的承载力计算,有抗震设计要求时尚应考虑地震作用。风荷载和地震作用及其组合应按第3章执行。
11.2.2 U型玻璃强度设计值fa应取17MPa,钢化U型玻璃强度设计值fa应取51MPa。
条文说明
11.2.2 U型玻璃是压延生产工艺,因此其强度设计值fa应取17MPa,钢化处理后,强度增加3倍,因此U型玻璃强度设计值fa应取51MPa。
11.2.3 U型玻璃的承载力可按下式计算:

式中:N——U型玻璃的轴力设计值(N);
M——U型玻璃的弯矩设计值(N·mm);
An——U型玻璃的净截面面积(mm2);
Wn——U型玻璃在弯矩作用下的净截面抵抗矩(mm3);
γ——U型玻璃截面塑性发展系数,可取1.00;
fa——U型玻璃的设计强度设计值(N/mm2)。
条文说明
11.2.3 按简支梁模型计算。
11.2.4 在风荷载标准值作用下,U型玻璃的挠度u应符合下列要求:

式中:u——U型玻璃的挠度(mm);
L——U型玻璃长度(mm)。
安 装
12.1 装配尺寸
12.1 装配尺寸
12.1.1 单片玻璃、夹层玻璃和真空玻璃的最小装配尺寸应符合表12.1.1-1的规定。中空玻璃的最小安装尺寸应符合表12.1.1-2的规定(图12.1.1)。
表12.1.1-1 单片玻璃、夹层玻璃和真空玻璃的最小装配尺寸(mm)

表12.1.1-2 中空玻璃的最小安装尺寸(mm)

注:A为气体层的厚度,其数值可取6mm、9mm、12mm、15mm、16mm。
条文说明
12.1.1 玻璃是脆性材料,不能与边框直接接触,玻璃安装尺寸的要求是保证玻璃在荷载作用下,在框架内不与边框直接接触,并保证玻璃能够适当的变形。玻璃公称厚度越大,最小安装尺寸越大,这是因为玻璃公称厚度越大,玻璃板面可能越大,因此其变形量就越大,玻璃在框架内需要的变形环境就越大。其中前部余隙和后部余隙a是为了保证玻璃在水平荷载作用下玻璃不与边框直接接触,嵌入深度b为了保证玻璃在水平荷载作用下玻璃不脱框,边缘间隙c为了保证玻璃在环境温差作用下不与边框接触,同时也保证玻璃在一定量建筑主体结构变形条件下玻璃不被挤碎。
12.1.2 凹槽宽度应等于前部余隙、玻璃公称厚度和后部余隙之和。
12.1.3 凹槽的深度应等于边缘间隙和嵌入深度之和。
条文说明
12.1.2、12.1.3 凹槽的宽度和深度与玻璃装配尺寸密切相关,这里给出了它们之间的关系。
12.1.4 幕墙玻璃的安装尺寸应按现行行业标准《玻璃幕墙工程技术规范》JGJ 102的规定执行。

图12.1.1 玻璃安装尺寸
12.2 安装材料
12.2 安装材料
12.2.1 玻璃安装材料应与接触材料相容,安装材料的选用,应通过相容性试验确定。
条文说明
12.2.1 玻璃安装材料如果与相关材料彼此不相容,可能造成材料的变性,使安装材料失效。
12.2.2 支承块的尺寸应符合下列规定:
1 每块最小长度不得小于50mm;
2 宽度应等于玻璃的公称厚度加上前部余隙和后部余隙;
3 厚度应等于边缘间隙。
条文说明
12.2.2 支承块不承受风荷载,只承受玻璃的重量,支承块的最小宽度应等于玻璃的厚度加上2a(a为玻璃前后余隙之和),保证玻璃下部支承完整。为了取得良好支承情况,支承块的长度可根据玻璃板面的大小和厚度适当增加长度,增加长度可减小玻璃边部支承点的边部应力,增加支承块的承载能力。
12.2.3 定位块的尺寸应符合下列规定:
1 长度不应小于25mm;
2 宽度应等于玻璃的厚度加上前部余隙和后部余隙;
3 厚度应等于边缘间隙。
条文说明
12.2.3 定位块用于玻璃的边缘与框架之间,防止玻璃在框架内的滑动,定位块一般不承受其他外力的荷载,所以其长度要求小于支承块,但其厚度和宽度要求均与支承块相同。
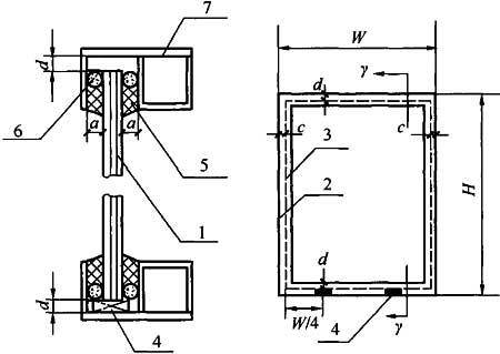
12.2.4 支承块与定位块的位置应符合下列规定(图12.2.4):
1 采用固定安装方式时,支承块和定位块的安装位置应距离槽角为(1/10)~(1/4)边长位置之间;
2 采用可开启安装方式时,支承块和定位块的安装位置距槽角不应小于30mm。当安装在窗框架上的铰链位于槽角部30mm和距槽角1/4边长点之间时,支承块和定位块的安装位置应与铰链安装的位置一致;
3 支承块、定位块不得堵塞泄水孔。

图12.2.4 支承块和定位块安装位置
1-定位块;2-玻璃;3-框架;4-支承块
条文说明
12.2.4 支承块不一定只位于玻璃的一条边缘,应根据具体情况,确定使用支承块的位置(图12.2.4)。例如,水平旋转窗,可开启角度在90°~180°之间的情况,玻璃的上、下两边均应布置支承块。
12.2.5 弹性止动片的尺寸应符合下列规定:
1 长度不应小于25mm;
2 高度应比凹槽深度小3mm;
3 厚度应等于前部余隙或后部余隙。
条文说明
12.2.5 弹性止动片的使用是为了保证玻璃在水平荷载作用下玻璃不与边框直接接触。
12.2.6 弹性止动片位置应符合下列规定:
1 弹性止动片应安装在玻璃相对的两侧,弹性止动片之间的间距不应大于300mm;
2 弹性止动片安装的位置不应与支承块和定位块的位置相同。
12.2.7 密封胶的应用应符合下列规定:
1 对于多孔表面的框材,框材表面应涂底漆。当密封胶用于塑料门窗安装时,应确定其适用性和相容性;
2 用密封胶安装时,应使用支承块、定位块、弹性止动片;
3 密封胶上表面不应低于槽口,并应做成斜面;下表面应低于槽口3mm。
12.2.8 胶条材料的应用应符合下列规定:
1 对于多孔表面的框材,框材表面应涂底漆。胶条材料用于塑料门窗时,应确定其适用性和相容性;
2 胶条材料用于玻璃两侧与槽口内壁之间时,应使用支承块和定位块。
条文说明
12.2.7、12.2.8 使用密封胶安装时应使用弹性止动片,使用胶条安装时可不使用弹性止动片,因为胶条已起到弹性止动片的作用。
12.3 U型玻璃安装
12.3 U型玻璃安装
12.3.1 U型玻璃墙四周结构框体可采用铝型材或钢型材,并应与主体结构可靠固定。
12.3.2 U型玻璃下端应各自独立支撑在均匀弹性的衬垫上。
条文说明
12.3.2、12.3.5 U型玻璃是脆性材料,不能与其他材料硬接触。
12.3.3 U型玻璃与周边的金属件、混凝土和砌体之间不应硬性接触。
12.3.4 在U型玻璃的上端与建筑构件之间应留有不小于25mm缝隙。
12.3.5 U型玻璃之间和U型玻璃墙周边应采用弹性密封材料密封。
12.4 玻璃抗侧移的安装
12.4 玻璃抗侧移的安装
12.4.1 玻璃的四边应留有间隙,框架允许水平变形量应大于因楼层变形引起的框架变形量。
条文说明
12.4.1 玻璃的抗剪切变形性能较差,在玻璃破坏之前,其本身的平面内变形是非常小的。由于楼层之间的变形而使框架变形时,框架和玻璃在间隙内的活动可以“吸收”变形,如果一点间隙都没有,即使楼层变形很小,也会使玻璃破坏,如图2所示。

图2
1-玻璃;2-框架槽底;3-玻璃边缘;4-支承块;5-弹性密封材料;6-衬垫材料;7-框架
12.4.2 框架允许水平变形量应按下式计算:

式中:△u——框架允许水平变形量(mm);
d——玻璃与框架纵向间隙(mm);
c——玻璃与框架横向间隙(mm);
H——框架槽内高度(mm);
W——框架槽内宽度(mm);
S——误差,可取2mm~3mm。
条文说明
12.4.2 图3表明了本规程中公式(12.4.2)的意义。当楼层产生层间位移时,框架变形为平行四边形,当平行四边形对角线中短的一方长度和玻璃的对角线长度相等时,玻璃会被框架挤压,可能造成玻璃破裂。因此,边缘间隙越大,框架的允许变形量就越大,在抗震上就越有效。

图3 窗框的变形与玻璃的关系
12.4.3 玻璃安装采用的密封胶的位移能力级别不应小于20HM。
条文说明
12.4.3 地震引起的楼层变形所造成的框架变形,会将外力传递到玻璃上,所以应选用弹性密封材料以吸收这种外力。
附录A 玻璃传热系数值的计算方法
附录A 玻璃传热系数值的计算方法
A.0.1 单片玻璃和夹层玻璃传热系数应按下式计算:
1 玻璃热导应按下式计算:

式中:ht——玻璃热导[W/(m2·K)];
λ——玻璃导热系数[W/(m·K)];
d——玻璃厚度,夹层玻璃为除去胶片后玻璃的净厚度(m)。
2 单片玻璃和夹层玻璃传热系数应按下式计算:

式中:U——玻璃传热系数[W/(m2·K)];
he——室外表面换热系数[W/(m2·K)];
ht——玻璃热导[W/(m2·K)];
hi——室内表面换热系数[W/(m2·K)]。
A.0.2 中空玻璃和真空玻璃传热系数应按下式计算:
1 玻璃系统热导应按下式计算:

式中:ht——玻璃系统热导[W/(m2·K)];
hs——中空玻璃气体间隙层或真空玻璃间隙层热导[W/(m2·K)];
N——中空玻璃气体层数量(层);
λ——玻璃导热系数[W/(m·K)];
d——组成玻璃系统各单片玻璃厚度之和(m)。
2 中空玻璃气体间隙层热导应按下式计算:

式中:hg——中空玻璃气体间隙层气体热导(包括导热和对流)[W/(m·K)];
hr——中空玻璃气体间隙层内两片玻璃之间辐射热导[W/(m·K)]。
3 中空玻璃气体间隙层气体热导应按下式计算:

式中:s——气体层的厚度(m);
λ——气体导热系数[W/(m·K)];
Nu——努塞尔准数。
4 努塞尔准数应按下式计算:

式中:A——常数;
Gr——格拉晓夫准数;
Pr——普朗特准数;
n——幂指数。
当Nu<1,则将Nu取为1。
5 格拉晓夫准数应按下式计算:

6 普朗特准数应按下式计算:

式中:△T——中空玻璃气体间隙层两玻璃内表面的温度差(K);
ρ——气体密度(kg/m3);
μ——气体动态黏度[kg/(m·s)];
c——气体比热[J/(kg·K)];
Tm——玻璃平均温度(K);
垂直玻璃:A=0.035,n=0.38;
水平玻璃:A=0.16,n=0.28;
倾斜45度玻璃:A=0.10,n=0.31。
7 真空玻璃间隙层热导应按下式计算:

式中:hs——真空玻璃间隙层热导[W/(m·K)];
hc——真空玻璃残余气体热导[W/(m·K)];
hz——真空玻璃支撑物热导[W/(m·K)];
hr——真空玻璃间隙层内两片玻璃之间辐射热导[W/(m·K)]。
8 真空玻璃残余气体热导应按下式计算:

式中:P——真空玻璃中残余气体压强(Pa)。
9 真空玻璃中支撑物热导应按下式计算:

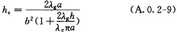
式中:λg——玻璃导热系数[W/(m·K)];
h——支撑物高度(m);
a——支撑物与玻璃接触区域半径(m);
b——支撑物方阵间距(m);
λz——支撑物材料导热系数[W/(m·K)]。
10 中空玻璃气体间隙层内两片玻璃之间辐射热导和真空玻璃间隙层两片玻璃之间辐射热导应按下式计算:

式中:ε1和ε2——中空玻璃气体间隙层或真空玻璃间隙层两片玻璃内表面在平均绝对温度Tm下的校正发射率。
11 中空玻璃和真空玻璃传热系数应按下式计算:

式中:U——中空玻璃和真空玻璃传热系数[W/(m2·K)];
he——室外表面换热系数[W/(m2·K)];
ht——玻璃系统热导[W/(m2·K)];
hi——室内表面换热系数[W/(m2·K)]。
A.0.3 计算玻璃传热系数有关参数取值应符合下列规定:
1 玻璃导热系数λ应按1[W/(m2·K)]取值;
2 未镀低辐射膜玻璃表面校正发射率应按0.837取值;
3 中空玻璃气体间隙层两玻璃内表面的温度差△T可按15K取值;
4 中空玻璃和真空玻璃平均温度(Tm)可按283K取值;
5 斯蒂芬-波尔兹曼常数σ应按5.67×10-8[W/(m2·K)]取值;
6 室外表面换热系数应按下式计算:

式中:he——室外表面换热系数[W/(m2·K)];
v——玻璃表面附近风速(m/s)。
一般情况下,he可按23[W/(m2·K)]取值。
7 室内表面换热系数应按下式计算:

式中:hi——室内表面换热系数[W/(m2·K)];
ε——玻璃室内表面校正发射率。
如果玻璃室内表面未镀低辐射膜,hi可按8[W/(m2·K)]取值。
8 气体特性应按表A.0.3-1取值。
表A.0.3-1 气体特性

9 镀膜玻璃标准发射率εn取值应符合下列规定:
1)应在接近正常入射状况下,采用红外光谱仪测试玻璃反射曲线;
2)在反射曲线上,可按表A.0.3-2给出的30个波长值,测定相应的反射系率Rn(λi);
3)283K温度下的标准反射率应按下式计算:

式中:Rn——标准反射率;
Rn(λi)——波长为λi时的标准反射率。
4)283K温度下的标准发射率应按下式计算:

式中:εn——标准发射率;
Rn——标准反射率。
表A.0.3-2 用于测定283K下标准反射率Rn的波长(单位:μm)

10 校正发射率ε应采用表A.0.3-3给出的系数乘以标准发射率(εn)。
表A.0.3-3 校正发射率与标准发射率之间的关系

附录B 建筑玻璃结露点计算方法
附录B 建筑玻璃结露点计算方法
B.0.1 室内结露温度应按下列方法确定:
1 室内设计温度条件下的饱和水蒸气压ps可按表B.0.1取值。
2 室内设计温度条件下的水蒸气分压p应按室内湿度与该温度下饱和水蒸气压ps的乘积取值。
3 室内结露温度可按表B.0.1中饱和水蒸气压等于水蒸气分压p的温度取值。
表B.0.1 不同温度下的饱和水蒸气压ps(mmHg)


B.0.2 玻璃室内侧表面温度应按下式计算:

式中:T——玻璃室内侧表面温度(K);
Ti——建筑物室内温度(K);
Te——建筑物室外温度(K);
hi——室内对流换热系数[W/(m2·K)];
U——玻璃传热系数[W/(m2·K)]。
B.0.3 可按下列方法进行玻璃结露判定:
1 当玻璃室内侧表面温度计算值大于室内结露温度时,可判定为玻璃不会产生结露;
2 当玻璃室内侧表面温度计算值小于等于室内结露温度时,可判定为玻璃会产生结露。
附录C 玻璃抗风压设计计算参数
附录C 玻璃抗风压设计计算参数
C.0.1 单片矩形平板玻璃k1、k2、k3和k4应按表C.0.1取值。
表C.0.1 单片矩形平板玻璃的抗风压设计计算参数

C.0.2 单片钢化玻璃k1、k2、k3和k4应按表C.0.2采用。
表C.0.2 单片钢化玻璃的抗风压设计计算参数

C.0.3 单片半钢化玻璃k1、k2、k3和k4应按表C.0.3采用。
表C.0.3 单片半钢化玻璃的抗风压设计计算参数

C.0.4 普通夹层玻璃k1、k2、k3和k4应按表C.0.4采用。
表C.0.4 普通夹层玻璃的抗风压设计计算参数

C.0.5 建筑玻璃的k5、k6、k7和k8应按表C.0.5采用。
表C.0.5 玻璃的抗风压设计计算参数

附录D 玻璃板中心温度和边框温度的计算方法
附录D 玻璃板中心温度和边框温度的计算方法
D.0.1 单片玻璃板中心温度Tc应按下式计算:

式中:I0——日照量(W/m2);
to——室外温度(℃);
ti——室内温度(℃);
a——玻璃的吸收率。
D.0.2 夹层玻璃中心温度Tc应按下列公式计算:

式中:Tco——室外侧玻璃中部温度(℃);
Tci——室内侧玻璃中部温度(℃);
Ao——室外侧玻璃总吸收率;
Ai——室内侧玻璃总吸收率;
ao——室外侧玻璃的吸收率;
ai——室内侧玻璃的吸收率;
τo——室外侧玻璃的透过率。
D.0.3 中空玻璃中心温度To应按下列公式计算:

式中:ro——室外侧玻璃反射率;
ri——室内测玻璃反射率。
D.0.4 装配玻璃板边框温度Ts应按下式计算:

式中:to——室外温度(℃);
ti——室内温度(℃)。
D.0.5 计算玻璃中部温度Tc和边框温度Ts时,应选用所需的气象参数和玻璃参数。
D.0.6 室外温度,夏季时应取10年内最低温度值,室内温度ti应取室内设定的温度值,可取冬季为20℃,夏季为25℃。
D.0.7 玻璃的光学性能应根据其产品说明确定。
本规程用词说明
本规程用词说明
1 为便于在执行本规程条文时区别对待,对要求严格程度不同的用词说明如下:
1)表示很严格,非这样做不可的:
正面词采用“必须”;
反面词采用“严禁”。
2)表示严格,在正常情况下均应这样做的:
正面词采用“应”;
反面词采用“不应”或“不得”。
3)表示允许稍有选择,在条件许可时首先应这样做的:
正面词采用“宜”;
反面词采用“不宜”。
4)表示有选择,在一定条件下可以这样做的,采用“可”。
2 条文中指明应按其他有关标准执行的写法为:“应符合……的规定”或“应按……执行”。
引用标准名录
引用标准名录
1 《建筑结构荷载规范》GB 50009
2 《建筑玻璃 可见光透射比、太阳光直接透射比、太阳能总透射比、紫外线透射比及有关窗玻璃参数的测定》GB/T 2860
3 《平板玻璃》GB 11614
4 《中空玻璃》GB/T 11944
5 《塑料门窗用密封条》GB 12002
6 《硅酮建筑密封胶》GB/T 14683
7 《建筑用安全玻璃 第2部分:钢化玻璃》GB 15763.2
8 《建筑用安全玻璃 第3部分:夹层玻璃》GB 15763.3
9 《建筑用安全玻璃 第4部分:均质钢化玻璃》GB 15763.4
10 《建筑用硅酮结构密封胶》GB 16776
11 《半钢化玻璃》GB 17841
12 《镀膜玻璃 第1部分:阳光控制镀膜玻璃》GB/T 18915.1
13 《镀膜玻璃 第2部分:低辐射镀膜玻璃》GB/T 18915.2
14 《建筑门窗、幕墙用密封胶条》GB/T 24498
15 《建筑用太阳能光伏夹层玻璃》GB 29551
16 《建筑用太阳能光伏中空玻璃》GB/T 29759
17 《玻璃幕墙工程技术规范》JGJ 102
18 《压花玻璃》JC/511
19 《建筑用U形玻璃》JC/T 867
20 《幕墙玻璃接缝用密封胶》JC/T 882
21 《真空玻璃》JC/T 1079
22 《电致液晶夹层调光玻璃》JC/T 2129
23 《超白浮法玻璃》JC/T 2128
24 《聚氨酯建筑密封胶》JC/T 482
25 《聚硫建筑密封胶》JC/T 483
26 《丙烯酸酯建筑密封胶》JC/T 484
27 《建筑窗用弹性密封胶》JC/T 485
28 《建筑门窗幕墙用钢化玻璃》JG/T 455
29 《建筑门窗幕墙用中空玻璃弹性密封胶》JG/T 471
