Appearance
《装配式混凝土结构技术规程》JGJ 1-2014
🗓️ 住房和城乡建设部 实施时间:2014-10-01
1 总则
1.0.1 为在装配式混凝土结构的设计、施工及验收中,贯彻执行国家的技术经济政策,做到安全适用、技术先进、经济合理、确保质量,制定本规程。
条文说明
1.0.1 为落实“节能、降耗、减排、环保”的基本国策,实现资源、能源的可持续发展,推动我国建筑产业的现代化进程,提高工业化水平,本规程对原《装配式大板居住建筑技术规程》JGJ 1-91进行了修订。
装配式建筑具有工业化水平高、便于冬期施工、减少施工现场湿作业量、减少材料消耗、减少工地扬尘和建筑垃圾等优点,它有利于实现提高建筑质量、提高生产效率、降低成本、实现节能减排和保护环境的目的。装配式建筑在许多国家和地区,如欧洲、新加坡,以及美国、日本、新西兰等处于高烈度地震区的国家都得到了广泛的应用。在我国,近年来,由于节能减排要求的提高,以及劳动力价格的大幅度上涨等因素,预制混凝土构件的应用开始摆脱低谷,呈现迅速上升的趋势。
与上一代的装配式结构相比,新一代的装配式结构采用了许多先进技术。在此基础上,本规程制定的内容,在技术上也有较大的提升。本规程综合反映了国内外近几年来在装配式结构领域的最新科研成果和工程实践经验;要求装配整体式结构的可靠度、耐久性及整体性等基本上与现浇混凝土结构等同;所提出的各项要求与国家现行相关标准协调一致。
本规程是对装配式结构设计的最低限度要求,设计者可根据具体情况适当提高设计的安全储备。
1.0.2 本规程适用于民用建筑非抗震设计及抗震设防烈度为6度至8度抗震设计的装配式混凝土结构的设计、施工及验收。
条文说明
1.0.2 本规程采用的预制构件受力钢筋的连接方式,主要推荐了在美国和日本等地震多发国家得到普遍应用的钢筋套筒灌浆连接的技术。这种连接技术,在美国被视为是一种机械连接接头,因此被广泛地应用于建筑工程。同时,本规程中还推荐了浆锚搭接连接的技术,该技术为我国自主研发,已经具备了应用的技术基础。根据结构的整体稳固性和抗震性能的要求,本规程还强调了预制构件和后浇混凝土相结合的结构措施。本规程的基本设计概念,是在采用上述各项技术的基础上,通过合理的构造措施,提高装配式结构的整体性,实现装配式结构与现浇混凝土结构基本等同的要求。
根据上述基本设计概念,本规程编制组在编制过程中开展了大量的试验研究工作,取得了一定的成果。科研成果表明,本规程适用于非抗震设计及抗震设防烈度为6度~8度抗震设计地区的乙类及乙类以下的各种民用建筑,其中包括居住建筑和公共建筑。结构体系主要包括:装配整体式框架结构、装配整体式剪力墙结构、装配整体式框架-现浇剪力墙结构,以及装配整体式部分框支剪力墙结构。对装配式筒体结构、板柱结构、梁柱节点为铰接的框架结构等,由于研究工作尚未深入,工程实践较少,本次修订工作暂未纳入。
本规程也未包括甲类建筑以及9度抗震设计的装配式结构,如需采用,应进行专门论证。
由于工业建筑的使用条件差别很大,本规程原则上不适用于排架结构类型的工业建筑。但是,使用条件和结构类型与民用建筑相似的工业建筑,如轻工业厂房等可以参照本规程执行。
本规程的内容反映了目前装配式结构设计的成熟做法及其一般原则和基本要求。设计者应根据国家现行有关标准的要求,结合工程实践,进行技术创新,推动装配式结构技术的不断进步。
1.0.3 装配式混凝土结构的设计、施工及验收除应符合本规程外,尚应符合国家现行有关标准的规定。
条文说明
1.0.3 装配式结构仍属于混凝土结构。因此,装配式结构的设计、施工与验收除执行本规程外,尚应符合《混凝土结构设计规范》GB 50010,《建筑抗震设计规范》GB 50011、《混凝土结构工程施工质量验收规范》GB 50204、 《混凝土结构工程施工规范》GB 50666、《高层建筑混凝土结构技术规程》JGJ 3等与混凝土相关的国家和行业现行标准的要求,以及《建筑结构荷载规范》GB 50009等国家和行业现行相关标准的要求。
2 术语和符号
2.1 术语
条文说明
本节对装配式结构特有的常用术语进行定义。在《建筑结构设计术语和符号标准》GB/T 50083以及其他国家和行业现行相关标准中已有表述的,基本不重复列出。
2.1.1 预制混凝土构件 precast concrete component
在工厂或现场预先制作的混凝土构件。简称预制构件。
条文说明
2.1.1 本规程涉及的预制构件,是指不在现场原位支模浇筑的构件。它们不仅包括在工厂制作的预制构件,还包括由于受到施工场地或运输等条件限制,而又有必要采用装配式结构时,在现场制作的预制构件。
2.1.2 装配式混凝土结构 precast concrete structure
由预制混凝土构件通过可靠的连接方式装配而成的混凝土结构,包括装配整体式混凝土结构、全装配混凝土结构等。在建筑工程中,简称装配式建筑;在结构工程中,简称装配式结构。
条文说明
2.1.2、2.1.3 装配式结构可以包括多种类型。当主要受力预制构件之间的连接,如:柱与柱、墙与墙、梁与柱或墙等预制构件之间,通过后浇混凝土和钢筋套筒灌浆连接等技术进行连接时,可足以保证装配式结构的整体性能,使其结构性能与现浇混凝土基本等同,此时称其为装配整体式结构。装配整体式结构是装配式结构的一种特定的类型。当主要受力预制构件之间的连接,如:墙与墙之间通过干式节点进行连接时,此时结构的总体刚度与现浇混凝土结构相比,会有所降低,此类结构不属于装配整体式结构。根据我国目前的研究工作水平和工程实践经验,对于高层建筑,本规程仅涉及了装配整体式结构。
2.1.3 装配整体式混凝土结构 monolithic precast concrete structure
由预制混凝土构件通过可靠的方式进行连接并与现场后浇混凝土、水泥基灌浆料形成整体的装配式混凝土结构。简称装配整体式结构。
条文说明
2.1.2、2.1.3 装配式结构可以包括多种类型。当主要受力预制构件之间的连接,如:柱与柱、墙与墙、梁与柱或墙等预制构件之间,通过后浇混凝土和钢筋套筒灌浆连接等技术进行连接时,可足以保证装配式结构的整体性能,使其结构性能与现浇混凝土基本等同,此时称其为装配整体式结构。装配整体式结构是装配式结构的一种特定的类型。当主要受力预制构件之间的连接,如:墙与墙之间通过干式节点进行连接时,此时结构的总体刚度与现浇混凝土结构相比,会有所降低,此类结构不属于装配整体式结构。根据我国目前的研究工作水平和工程实践经验,对于高层建筑,本规程仅涉及了装配整体式结构。
2.1.4 装配整体式混凝土框架结构 monolithic precast con-crete frame structure
全部或部分框架梁、柱采用预制构件构建成的装配整体式混凝土结构。简称装配整体式框架结构。
条文说明
2.1.4、2.1.5 本规程的主要适用范围为装配整体式框架结构和装配整体式剪力墙结构。因此,对本规程涉及的几种主要的装配整体式结构分别进行定义。
2.1.5 装配整体式混凝土剪力墙结构 monolithic precast con-crete shear wall structure
全部或部分剪力墙采用预制墙板构建成的装配整体式混凝土结构。简称装配整体式剪力墙结构。
条文说明
2.1.4、2.1.5 本规程的主要适用范围为装配整体式框架结构和装配整体式剪力墙结构。因此,对本规程涉及的几种主要的装配整体式结构分别进行定义。
2.1.6 混凝土叠合受弯构件 concrete composite flexural com-ponent
预制混凝土梁、板顶部在现场后浇混凝土而形成的整体受弯构件。简称叠合板、叠合梁。
条文说明
2.1.6 本规程涉及的叠合受弯构件主要包括叠合梁和叠合楼板。
2.1.7 预制外挂墙板 precast concrete facade panel
安装在主体结构上,起围护、装饰作用的非承重预制混凝土外墙板。简称外挂墙板。
条文说明
2.1.7 非承重外墙板在国内外都得到广泛的应用。在国外,外墙板有多种类型,主要包括墙板、梁板和柱板等。鉴于我国目前对外墙板的研究水平,本版规程仅涉及高度方向跨越一个层高、宽度方向跨越一个开间的起围护作用的非承重预制外挂墙板。
2.1.8 预制混凝土夹心保温外墙板 precast concrete sandwich facade panel
中间夹有保温层的预制混凝土外墙板。简称夹心外墙板。
条文说明
2.1.8 预制夹心外墙板在国外称之为“三明治”墙板。根据其受力情况可分为承重和非承重墙板,根据内外叶墙体共同工作的情况,又可分为组合墙板和非组合墙板。根据我国目前对预制夹心外墙板的研究水平和工程实践的实际情况,本规程仅涉及内叶墙体承重的非组合夹心外墙板。
2.1.9 混凝土粗糙面 concrete rough surface
预制构件结合面上的凹凸不平或骨料显露的表面。简称粗糙面。
2.1.10 钢筋套筒灌浆连接 rebar splicing by grout-filled cou-pling sleeve
在预制混凝土构件内预埋的金属套筒中插入钢筋并灌注水泥基灌浆料而实现的钢筋连接方式。
条文说明
2.1.10 受力钢筋套筒灌浆连接接头的技术在美国和日本已经有近四十年的应用历史,在我国台湾地区也有多年的应用历史。四十年来,上述国家和地区对钢筋套筒灌浆连接的技术进行了大量的试验研究,采用这项技术的建筑物也经历了多次地震的考验,包括日本一些大地震的考验。美国ACI明确地将这种接头归类为机械连接接头,并将这项技术广泛用于预制构件受力钢筋的连接,同时也用于现浇混凝土受力钢筋的连接,是一项十分成熟和可靠的技术。在我国,这种接头在电力和冶金部门有过二十余年的成功应用,近年来,开始引入建工部门。中国建筑科学研究院、中冶建筑研究总院有限公司、清华大学、万科企业股份有限公司等单位都对这种接头进行了一定数量的试验研究工作,证实了它的安全性。受力钢筋套筒灌浆连接接头的技术是本规程重要的技术基础。
2.1.11 钢筋浆锚搭接连接 rebar lapping in grout-filled hole
在预制混凝土构件中预留孔道,在孔道中插入需搭接的钢筋,并灌注水泥基灌浆料而实现的钢筋搭接连接方式。
条文说明
2.1.11 钢筋浆锚搭接连接,是将预制构件的受力钢筋在特制的预留孔洞内进行搭接的技术。构件安装时,将需搭接的钢筋插入孔洞内至设定的搭接长度,通过灌浆孔和排气孔向孔洞内灌入灌浆料,经灌浆料凝结硬化后,完成两根钢筋的搭接。其中,预制构件的受力钢筋在采用有螺旋箍筋约束的孔道中进行搭接的技术,称为钢筋约束浆锚搭接连接。
2.2 符号
条文说明
本规程中与《混凝土结构设计规范》GB 50010等国家现行标准相同的符号基本沿用,并增加了本规程专用的符号。
2.2.1 材料性能
fc——混凝土轴心抗压强度设计值;
fy、f'y——普通钢筋的抗拉、抗压强度设计值。
2.2.2 作用和作用效应
FEhk——施加于外挂墙板重心处的水平地震作用标准值;
Gk——外挂墙板的重力荷载标准值;
N——轴向力设计值;
S——荷载组合的效应设计值;
SEh——水平地震作用组合的效应设计值;
SEv——竖向地震作用组合的效应设计值;
SEhk——水平地震作用效应标准值;
SEvk——竖向地震作用效应标准值;
SGk——永久荷载效应标准值;
Swk——风荷载效应标准值;
Vjd——持久设计状况下接缝剪力设计值;
VjdE——地震设计状况下接缝剪力设计值;
Vmua——被连接构件端部按实配钢筋面积计算的斜截面受剪承载力设计值;
Vu——持久设计状况下接缝受剪承载力设计值;
VuE——地震设计状况下接缝受剪承载力设计值;
γEh——水平地震作用分项系数;
γEv——竖向地震作用分项系数;
γG——永久荷载分项系数;
γw——风荷载分项系数。
2.2.3 几何参数
B——建筑平面宽度;
L——建筑平面长度。
2.2.4 计算系数及其他
αmax——水平地震影响系数最大值;
γRE——承载力抗震调整系数;
γ0——结构重要性系数;
△u——楼层层间最大位移;
ηj——接缝受剪承载力增大系数;
ψw——风荷载组合系数。
3 基本规定
3.0.1 在装配式建筑方案设计阶段,应协调建设、设计、制作、施工各方之间的关系,并应加强建筑、结构、设备、装修等专业之间的配合。
条文说明
3.0.1 装配式结构与全现浇混凝土结构的设计和施工过程是有一定区别的。对装配式结构,建设、设计、施工、制作各单位在方案阶段就需要进行协同工作,共同对建筑平面和立面根据标准化原则进行优化,对应用预制构件的技术可行性和经济性进行论证,共同进行整体策划,提出最佳方案。与此同时,建筑、结构、设备、装修等各专业也应密切配合,对预制构件的尺寸和形状、节点构造等提出具体技术要求,并对制作、运输、安装和施工全过程的可行性以及造价等作出预测。此项工作对建筑功能和结构布置的合理性,以及对工程造价等都会产生较大的影响,是十分重要的。
3.0.2 装配式建筑设计应遵循少规格、多组合的原则。
条文说明
3.0.2 装配式结构的建筑设计,应在满足建筑功能的前提下,实现基本单元的标准化定型,以提高定型的标准化建筑构配件的重复使用率,这将非常有利于降低造价。
3.0.3 装配式结构的设计应符合现行国家标准《混凝土结构设计规范》GB 50010的基本要求,并应符合下列规定:
1 应采取有效措施加强结构的整体性;
2 装配式结构宜采用高强混凝土、高强钢筋;
3 装配式结构的节点和接缝应受力明确、构造可靠,并应满足承载力、延性和耐久性等要求;
4 应根据连接节点和接缝的构造方式和性能,确定结构的整体计算模型。
条文说明
3.0.3 装配式结构的设计首先应满足国家标准《混凝土结构设计规范》GB 50010-2010第三章“基本设计规定”的各项要求。本规程的各项基本规定主要是根据装配式结构自身的特点,强调提出的附加要求。对于在偶然作用下,可能导致连续倒塌的装配式结构,应根据国家标准《混凝土结构设计规范》GB 50010-2010的要求,进行防连续倒塌设计。
装配式结构的设计,应注重概念设计和结构分析模型的建立,以及预制构件的连接设计。本版规程对于高层装配式结构设计的主要概念,是在选用可靠的预制构件受力钢筋连接技术的基础上,采用预制构件与后浇混凝土相结合的方法,通过连接节点合理的构造措施,将装配式结构连接成一个整体,保证其结构性能具有与现浇混凝土结构等同的整体性、延性、承载力和耐久性 能,达到与现浇混凝土等同的效果。对于多层装配式剪力墙结构,应根据实际选用的连接节点类型,和具体采用的构造措施的特点,采用相应的结构分析的计算模型。
装配式结构成败的关键在于预制构件之间,以及预制构件与现浇和后浇混凝土之间的连接技术,其中包括连接接头的选用和连接节点的构造设计。欧洲FIB标准将装配式结构中预制构件的连接设计要求归纳为:标准化、简单化、抗拉能力、延性、变形能力、防火、耐久性和美学等八个方面的要求,即节点连接构造不仅应满足结构的力学性能,尚应满足建筑物理性能的要求。
3.0.4 抗震设防的装配式结构,应按现行国家标准《建筑工程抗震设防分类标准》GB 50223确定抗震设防类别及抗震设防标准。
条文说明
3.0.4 与现浇混凝土相同,在抗震设防地区,装配式结构的抗震设防类别及相应的抗震设防标准,应符合现行国家标准《建筑工程抗震设防分类标准》GB 50223的规定。
3.0.5 装配式结构中,预制构件的连接部位宜设置在结构受力较小的部位,其尺寸和形状应符合下列规定:
1 应满足建筑使用功能、模数、标准化要求,并应进行优化设计;
2 应根据预制构件的功能和安装部位、加工制作及施工精度等要求,确定合理的公差;
3 应满足制作、运输、堆放、安装及质量控制要求。
条文说明
3.0.5 预制构件合理的接缝位置以及尺寸和形状的设计是十分重要的,它对建筑功能、建筑平立面、结构受力状况、预制构件承载能力、工程造价等都会产生一定的影响。设计时,应同时满足建筑模数协调、建筑物理性能、结构和预制构件的承载能力、便于施工和进行质量控制等多项要求。同时应尽量减少预制构件的种类,保证模板能够多次重复使用,以降低造价。
与传统的建筑方法相比,装配式建筑有更多的连接接口,因此,对工业化生产的预制构件而言,选择适宜的公差是十分重要的。规定公差的目的是为了建立预制构件之间的协调标准。一般来说,基本公差主要包括制作公差、安装公差、位形公差和连接公差。公差提供了对预制构件推荐的尺寸和形状的边界,构件加工和施工单位根据这些实际的尺寸和形状制作和安装预制构件,以此保证各种预制构件在施工现场能合理地装配在一起,并保证在安装接缝、加工制作、放线定位中的误差发生在允许的范围内,使接口的功能、质量和美观均达到设计预期的要求。
3.0.6 预制构件深化设计的深度应满足建筑、结构和机电设备等各专业以及构件制作、运输、安装等各环节的综合要求。
条文说明
3.0.6 在预制构件加工制作阶段,应将各专业、各工种所需的预留孔洞、预埋件等一并完成,避免在施工现场进行剔凿、切割,伤及预制构件,影响质量及观感。因此,在一般情况下,装配式结构的施工图完成后,还需要进行预制构件的深化设计,以便于预制构件的加工制作。这项工作应由具有相应设计资质的单位完成。预制构件的深化设计可以由设计院完成,也可委托有相应设计资质的单位单独完成深化设计详图。
4 材料
4.1 混凝土、钢筋和钢材
4.1.1 混凝土、钢筋和钢材的力学性能指标和耐久性要求等应符合现行国家标准《混凝土结构设计规范》GB 50010和《钢结构设计规范》GB 50017的规定。
条文说明
4.1.1 装配式结构中所采用的混凝土、钢筋、钢材的各项力学性能指标,以及结构混凝土材料的耐久性能的要求,应分别符合现行国家标准《混凝土结构设计规范》GB 50010、《钢结构设计规范》GB 50017的相应规定。
与原规程《装配式大板居住建筑设计和施工规程》JGJ 1-91相比,本版规程对于连接接缝的设计要求,增加了设置抗剪粗糙面的要求,由抗剪粗糙面和抗剪键槽共同形成连接接缝处混凝土的抗剪能力。在受剪承载力计算中,与现行国家标准《混凝土结构设计规范》GB 50010保持一致,采用了混凝土轴心抗拉强度设计值指标,取消了原规程《装配式大板居住建筑设计和施工规程》JGJ 1-91中有关混凝土抗剪强度的指标。
4.1.2 预制构件的混凝土强度等级不宜低于C30;预应力混凝土预制构件的混凝土强度等级不宜低于C40,且不应低于C30;现浇混凝土的强度等级不应低于C25。
条文说明
4.1.2 实现建筑工业化的目的之一,是提高产品质量。预制构件在工厂生产,易于进行质量控制,因此对其采用的混凝土的最低强度等级的要求高于现浇混凝土。
4.1.3 钢筋的选用应符合现行国家标准《混凝土结构设计规范》GB 50010的规定。普通钢筋采用套筒灌浆连接和浆锚搭接连接时,钢筋应采用热轧带肋钢筋。
条文说明
4.1.3 钢筋套筒灌浆连接接头和浆锚搭接连接接头,主要适用于现行国家标准《混凝土结构设计规范》GB 50010中所规定的热轧带肋钢筋。热轧带肋钢筋的肋,可以使钢筋与灌浆料之间产生足够的摩擦力,有效地传递应力,从而形成可靠的连接接头。
4.1.4 钢筋焊接网应符合现行行业标准《钢筋焊接网混凝土结构技术规程》JGJ 114的规定。
条文说明
4.1.4 应鼓励在预制构件中采用钢筋焊接网,以提高建筑的工业化生产水平。
4.1.5 预制构件的吊环应采用未经冷加工的HPB300级钢筋制作。吊装用内埋式螺母或吊杆的材料应符合国家现行相关标准的规定。
条文说明
4.1.5 本条与国家标准《混凝土结构设计规范》GB 50010-2010的第9.7.5条的规定保持一致。为了达到节约材料、方便施工、吊装可靠的目的,并避免外露金属件的锈蚀,预制构件的吊装方式宜优先采用内埋式螺母、内埋式吊杆或预留吊装孔。这些部件及配套的专用吊具等所采用的材料,应根据相应的产品标准和应用技术规程选用。
4.2 连接材料
4.2.1 钢筋套筒灌浆连接接头采用的套筒应符合现行行业标准《钢筋连接用灌浆套筒》JG/T 398的规定。
条文说明
4.2.1 预制构件的连接技术是装配式结构关键的、核心的技术。其中,钢筋套筒灌浆连接接头技术是本规程所推荐主要的接头技术,也是形成各种装配整体式混凝土结构的重要基础。
钢筋套筒灌浆连接接头的工作机理,是基于灌浆套筒内灌浆料有较高的抗压强度,同时自身还具有微膨胀特性,当它受到灌浆套筒的约束作用时,在灌浆料与灌浆套筒内侧筒壁间产生较大的正向应力,钢筋藉此正向应力在其带肋的粗糙表面产生摩擦力,藉以传递钢筋轴向应力。因此,灌浆套筒连接接头要求灌浆料有较高的抗压强度,灌浆套筒应具有较大的刚度和较小的变形能力。
制作灌浆套筒采用的材料可以采用碳素结构钢、合金结构钢或球墨铸铁等。传统的灌浆套筒内侧筒壁的凹凸构造复杂,采用机械加工工艺制作的难度较大。因此,许多国家和地区,如日本、我国台湾地区多年来一直采用球墨铸铁用铸造方法制造灌浆套筒。近年来,我国在已有的钢筋机械连接技术的基础上,开发出了用碳素结构钢或合金结构钢材料,并采用机械加工方法制作灌浆套筒,已经多年工程实践的考验,证实了其良好、可靠的连接性能。
目前,由中国建筑科学研究院主编完成的建筑工业产品标准《钢筋连接用灌浆套筒》JG/T 398已由住房和城乡建设部正式批准,并已发布实施。装配式结构中所用钢筋连接用灌浆套筒应符合该标准的要求。
4.2.2 钢筋套筒灌浆连接接头采用的灌浆料应符合现行行业标准《钢筋连接用套筒灌浆料》JG/T 408的规定。
条文说明
4.2.2 钢筋套筒灌浆连接接头的另一个关键技术,在于灌浆料的质量。灌浆料应具有高强、早强、无收缩和微膨胀等基本特性,以使其能与套筒、被连接钢筋更有效地结合在一起共同工作,同时满足装配式结构快速施工的要求。
目前,由北京榆构有限公司主编完成的建筑工业产品标准《钢筋连接用套筒灌浆料》JG/T 408-2013已由住房和城乡建设部正式批准,并已发布实施。装配式结构中钢筋套筒连接用灌浆料应符合该标准的要求。
4.2.3 钢筋浆锚搭接连接接头应采用水泥基灌浆料,灌浆料的性能应满足表4.2.3的要求。
条文说明
4.2.3 钢筋浆锚搭接连接,是钢筋在预留孔洞中完成搭接连接的方式。这项技术的关键,在于孔洞的成型技术、灌浆料的质量以及对被搭接钢筋形成约束的方法等多个因素。哈尔滨工业大学、黑龙江宇辉新型建筑材料有限公司、东南大学、南通建筑工程总承包有限公司等单位已积累了许多试验研究成果和工程实践经验。本条是在以上单位研究成果的基础上,对采用钢筋浆锚搭接连接接头时,所用灌浆料的各项主要性能指标提出要求。
4.2.4 钢筋锚固板的材料应符合现行行业标准《钢筋锚固板应用技术规程》JGJ 256的规定。
表4.2.3 钢筋浆锚搭接连接接头用灌浆料性能要求

条文说明
4.2.4~4.2.6 装配式结构预制构件的连接方式,根据建筑物的不同的层高、不同的抗震设防烈度等不同的条件,可以采用许多不同的形式。当建筑物层数较低时,通过钢筋锚固板、预埋件等进行连接的方式,也是可行的连接方式。其中,钢筋锚固板、预埋件和连接件,连接用焊接材料,螺栓、锚栓和铆钉等紧固件,应分别符合国家或行业现行相关标准的规定。
4.2.5 受力预埋件的锚板及锚筋材料应符合现行国家标准《混凝土结构设计规范》GB 50010的有关规定。专用预埋件及连接件材料应符合国家现行有关标准的规定。
条文说明
4.2.4~4.2.6 装配式结构预制构件的连接方式,根据建筑物的不同的层高、不同的抗震设防烈度等不同的条件,可以采用许多不同的形式。当建筑物层数较低时,通过钢筋锚固板、预埋件等进行连接的方式,也是可行的连接方式。其中,钢筋锚固板、预埋件和连接件,连接用焊接材料,螺栓、锚栓和铆钉等紧固件,应分别符合国家或行业现行相关标准的规定。
4.2.6 连接用焊接材料,螺栓、锚栓和铆钉等紧固件的材料应符合国家现行标准《钢结构设计规范》GB 50017、《钢结构焊接规范》GB 50661和《钢筋焊接及验收规程》JGJ 18等的规定。
条文说明
4.2.4~4.2.6 装配式结构预制构件的连接方式,根据建筑物的不同的层高、不同的抗震设防烈度等不同的条件,可以采用许多不同的形式。当建筑物层数较低时,通过钢筋锚固板、预埋件等进行连接的方式,也是可行的连接方式。其中,钢筋锚固板、预埋件和连接件,连接用焊接材料,螺栓、锚栓和铆钉等紧固件,应分别符合国家或行业现行相关标准的规定。
4.2.7 夹心外墙板中内外叶墙板的拉结件应符合下列规定:
1 金属及非金属材料拉结件均应具有规定的承载力、变形和耐久性能,并应经过试验验证;
2 拉结件应满足夹心外墙板的节能设计要求。
条文说明
4.2.7 夹心外墙板可以作为结构构件承受荷载和作用,同时又具有保温节能功能,它集承重、保温、防水、防火、装饰等多项功能于一体,因此在美国、欧洲都得到广泛的应用,在我国也得到越来越多的推广。
保证夹心外墙板内外叶墙板拉结件的性能是十分重要的。目前,内外叶墙板的拉结件在美国多采用高强玻璃纤维制作,欧洲则采用不锈钢丝制作金属拉结件。由于我国目前尚缺乏相应的产品标准,本规程仅参考美国和欧洲的相关标准,定性地提出拉结件的基本要求。
我国有关预制夹心外墙板内外叶墙板拉结件的建工行业产品标准的编制工作正在进行,待相关标准颁布后,应按相关标准执行。
4.3 其他材料
4.3.1 外墙板接缝处的密封材料应符合下列规定:
1 密封胶应与混凝土具有相容性,以及规定的抗剪切和伸缩变形能力;密封胶尚应具有防霉、防水、防火、耐候等性能;
2 硅酮、聚氨酯、聚硫建筑密封胶应分别符合国家现行标准《硅酮建筑密封胶》GB/T 14683、《聚氨酯建筑密封胶》JC/T 482、《聚硫建筑密封胶》JC/T 483的规定;
3 夹心外墙板接缝处填充用保温材料的燃烧性能应满足国家标准《建筑材料及制品燃烧性能分级》GB 8624-2012中A级的要求。
条文说明
替换条文文字
4.3.2 夹心外墙板中的保温材料,其导热系数不宜大于0.040W/(m·K),体积比吸水率不宜大于0.3%,燃烧性能不应低于国家标准《建筑材料及制品燃烧性能分级》GB 8624-2012中B2级的要求。
条文说明
4.3.2 美国的PCI手册中,对夹心外墙板所采用的保温材料的性能要求见表1,仅供参考。根据美国的使用经验,由于挤塑聚苯乙烯板(XPS)的抗压强度高,吸水率低,因此XPS在夹心外墙板中受到最为广泛的应用。使用时还需对其作界面隔离处理,以允许外叶墙体的自由伸缩。当采用改性聚氨酯(PIR)时,美国多采用带有塑料表皮的改性聚氨酯板材。由于夹心外墙板在我国的应用历史还较短,本规程借鉴美国PCI手册的要求,综合、定性地提出基本要求。 表1 保温材料的性能要求

4.3.3 装配式建筑采用的室内装修材料应符合现行国家标准《民用建筑工程室内环境污染控制规范》GB 50325和《建筑内部装修设计防火规范》GB 50222的有关规定。
5 建筑设计
5.1 一般规定
5.1.1 建筑设计应符合建筑功能和性能要求,并宜采用主体结构、装修和设备管线的装配化集成技术。
条文说明
5.1.1 装配式建筑设计除应符合建筑功能的要求外,还应符合建筑防火、安全、保温、隔热、隔声、防水、采光等建筑物理性能要求。
目前的建筑设计,尤其是住宅建筑的设计,一般均将设备管线埋在楼板现浇混凝土或墙体中,把使用年限不同的主体结构和管线设备混在一起建造。若干年后,大量的住宅虽然主体结构尚可,但装修和设备等早已老化,无法改造更新,从而导致不得不拆除重建,缩短了建筑使用寿命。提倡采用主体结构构件、内装修部品和管线设备的三部分装配化集成技术系统,实现室内装修、管道设备与主体结构的分离,从而使住宅具备结构耐久性,室内空间灵活性以及可更新性等特点,同时兼备低能耗、高品质和长寿命的优势。
例如:传统的同层排水卫生间,采用湿法施工,下沉部位需要填充,不仅防水工艺不好控制,而且后期维修极为不便。整体卫浴采用地脚螺栓调节底盘高度,无需回填,检修方便;且整体卫浴从设计、选材、制造、选配到运输安装,一切都由专业人员负责,能确保质量,有效避免交房矛盾。
5.1.2 建筑设计应符合现行国家标准《建筑模数协调标准》GB 50002的规定。
条文说明
5.1.2、5.1.3 装配式建筑设计应符合现行国家标准《建筑模数协调统一标准》GB 50002的规定。模数协调的目的是实现建筑部件的通用性和互换性,使规格化、通用化的部件适用于各类常规建筑,满足各种要求。同时,大批量的规格化、定型化部件的生产可稳定质量,降低成本。通用化部件所具有的互换能力,可促进市场的竞争和部件生产水平的提高。
建筑模数协调工作涉及的行业与部件的种类很多,需各方面共同遵守各项协调原则,制定各种部件或组合件的协调尺寸和约束条件。
实施模数协调的工作是一个渐进的过程,对重要的部件,以及影响面较大的部位可先期运行,如门窗、厨房、卫生间等。重要的部件和组合件应优先推行规格化、通用化。
5.1.3 建筑的围护结构以及楼梯、阳台、隔墙、空调板、管道井等配套构件、室内装修材料宜采用工业化、标准化产品。
条文说明
5.1.2、5.1.3 装配式建筑设计应符合现行国家标准《建筑模数协调统一标准》GB 50002的规定。模数协调的目的是实现建筑部件的通用性和互换性,使规格化、通用化的部件适用于各类常规建筑,满足各种要求。同时,大批量的规格化、定型化部件的生产可稳定质量,降低成本。通用化部件所具有的互换能力,可促进市场的竞争和部件生产水平的提高。
建筑模数协调工作涉及的行业与部件的种类很多,需各方面共同遵守各项协调原则,制定各种部件或组合件的协调尺寸和约束条件。
实施模数协调的工作是一个渐进的过程,对重要的部件,以及影响面较大的部位可先期运行,如门窗、厨房、卫生间等。重要的部件和组合件应优先推行规格化、通用化。
5.1.4 建筑的体形系数、窗墙面积比、围护结构的热工性能等应符合节能要求。
条文说明
5.1.4 根据不同的气候分区及建筑的类型分别按现行国家或行业标准《严寒和寒冷地区居住建筑节能设计标准》JGJ 26、《夏热冬冷地区居住建筑节能设计标准》JGJ 134、《夏热冬暖地区居住建筑节能设计标准》JGJ 75、《公共建筑节能设计标准》GB 50189执行。
5.1.5 建筑防火设计应符合现行国家标准《建筑防火设计规范》GB 50016的有关规定。
5.2 平面设计
5.2.1 建筑宜选用大开间、大进深的平面布置,并应符合本规程第6.1.5条的规定。
条文说明
5.2.1~5.2.4 装配式建筑的设计与建造是一个系统工程,需要整体设计的思想。平面设计应考虑建筑各功能空间的使用尺寸,并应结合结构受力特点,合理设计预制构配件(部件)。同时应注意预制构配件(部件)的定位尺寸,在满足平面功能需要的同时,还应符合模数协调和标准化的要求。装配式建筑平面设计应充分考虑设备管线与结构体系之间的关系。例如住宅卫生间涉及建筑、结构、给排水、暖通、电气等各专业,需要多工种协作完成;平面设计时应考虑卫生间平面位置与竖向管线的关系、卫生间降板范围与结构的关系等。如采用标准化的预制盒子卫生间(整体卫浴)及标准化的厨房整体橱柜,除考虑设备管线的接口设计,还应考虑卫生间平面尺寸与预制盒子卫生间尺寸之间、厨房平面尺寸与标准化厨房整体橱柜尺寸之间的模数协调。
5.2.2 承重墙、柱等竖向构件宜上、下连续,并应符合本规程第6.1.6条的规定。
条文说明
5.2.1~5.2.4 装配式建筑的设计与建造是一个系统工程,需要整体设计的思想。平面设计应考虑建筑各功能空间的使用尺寸,并应结合结构受力特点,合理设计预制构配件(部件)。同时应注意预制构配件(部件)的定位尺寸,在满足平面功能需要的同时,还应符合模数协调和标准化的要求。装配式建筑平面设计应充分考虑设备管线与结构体系之间的关系。例如住宅卫生间涉及建筑、结构、给排水、暖通、电气等各专业,需要多工种协作完成;平面设计时应考虑卫生间平面位置与竖向管线的关系、卫生间降板范围与结构的关系等。如采用标准化的预制盒子卫生间(整体卫浴)及标准化的厨房整体橱柜,除考虑设备管线的接口设计,还应考虑卫生间平面尺寸与预制盒子卫生间尺寸之间、厨房平面尺寸与标准化厨房整体橱柜尺寸之间的模数协调。
5.2.3 门窗洞口宜上下对齐、成列布置,其平面位置和尺寸应满足结构受力及预制构件设计要求;剪力墙结构中不宜采用转角窗。
条文说明
5.2.1~5.2.4 装配式建筑的设计与建造是一个系统工程,需要整体设计的思想。平面设计应考虑建筑各功能空间的使用尺寸,并应结合结构受力特点,合理设计预制构配件(部件)。同时应注意预制构配件(部件)的定位尺寸,在满足平面功能需要的同时,还应符合模数协调和标准化的要求。装配式建筑平面设计应充分考虑设备管线与结构体系之间的关系。例如住宅卫生间涉及建筑、结构、给排水、暖通、电气等各专业,需要多工种协作完成;平面设计时应考虑卫生间平面位置与竖向管线的关系、卫生间降板范围与结构的关系等。如采用标准化的预制盒子卫生间(整体卫浴)及标准化的厨房整体橱柜,除考虑设备管线的接口设计,还应考虑卫生间平面尺寸与预制盒子卫生间尺寸之间、厨房平面尺寸与标准化厨房整体橱柜尺寸之间的模数协调。
5.2.4 厨房和卫生间的平面布置应合理,其平面尺寸宜满足标准化整体橱柜及整体卫浴的要求。
条文说明
5.2.1~5.2.4 装配式建筑的设计与建造是一个系统工程,需要整体设计的思想。平面设计应考虑建筑各功能空间的使用尺寸,并应结合结构受力特点,合理设计预制构配件(部件)。同时应注意预制构配件(部件)的定位尺寸,在满足平面功能需要的同时,还应符合模数协调和标准化的要求。装配式建筑平面设计应充分考虑设备管线与结构体系之间的关系。例如住宅卫生间涉及建筑、结构、给排水、暖通、电气等各专业,需要多工种协作完成;平面设计时应考虑卫生间平面位置与竖向管线的关系、卫生间降板范围与结构的关系等。如采用标准化的预制盒子卫生间(整体卫浴)及标准化的厨房整体橱柜,除考虑设备管线的接口设计,还应考虑卫生间平面尺寸与预制盒子卫生间尺寸之间、厨房平面尺寸与标准化厨房整体橱柜尺寸之间的模数协调。
5.3 立面、外墙设计
5.3.1 外墙设计应满足建筑外立面多样化和经济美观的要求。
条文说明
5.3.1、5.3.2 预制混凝土具有可塑性,便于采用不同形状的外墙板。同时,外表面可以通过饰面层的凹凸和虚实、不同的纹理和色彩、不同质感的装饰混凝土等手段,实现多样化的外装饰需求;面层还可处理为露骨料混凝土、清水混凝土等,从而实现标准化与多样化相结合。在生产预制外墙板的过程中,可将外墙饰面材料与预制外墙板同时制作成型。
5.3.2 外墙饰面宜采用耐久、不易污染的材料。采用反打一次成型的外墙饰面材料,其规格尺寸、材质类别、连接构造等应进行工艺试验验证。
条文说明
5.3.1、5.3.2 预制混凝土具有可塑性,便于采用不同形状的外墙板。同时,外表面可以通过饰面层的凹凸和虚实、不同的纹理和色彩、不同质感的装饰混凝土等手段,实现多样化的外装饰需求;面层还可处理为露骨料混凝土、清水混凝土等,从而实现标准化与多样化相结合。在生产预制外墙板的过程中,可将外墙饰面材料与预制外墙板同时制作成型。
5.3.3 预制外墙板的接缝应满足保温、防火、隔声的要求。
条文说明
5.3.3 预制外墙板的板缝处,应保持墙体保温性能的连续性。对于夹心外墙板,当内叶墙体为承重墙板,相邻夹心外墙板间浇筑有后浇混凝土时,在夹心层中保温材料的接缝处,应选用A级不燃保温材料,如岩棉等填充。
5.3.4 预制外墙板的接缝及门窗洞口等防水薄弱部位宜采用材料防水和构造防水相结合的做法,并应符合下列规定:
1 墙板水平接缝宜采用高低缝或企口缝构造;
2 墙板竖缝可采用平口或槽口构造;
3 当板缝空腔需设置导水管排水时,板缝内侧应增设气密条密封构造。
条文说明
5.3.4 装配式建筑外墙的设计关键在于连接节点的构造设计。对于承重预制外墙板、预制外挂墙板、预制夹心外墙板等不同外墙板连接节点的构造设计,悬挑构件、装饰构件连接节点的构造设计,以及门窗连接节点的构造设计等,均应根据建筑功能的需要,满足结构、热工、防水、防火、保温、隔热、隔声及建筑造型设计等要求。预制外墙板的各类接缝设计应构造合理、施工方便、坚固耐久,并结合本地材料、制作及施工条件进行综合考虑。图1和图2分别为预制承重夹心外墙板板缝构造及预制外挂墙板板缝构造的示意,仅供参考。
材料防水是靠防水材料阻断水的通路,以达到防水的目的或增加抗渗漏的能力。如预制外墙板的接缝采用耐候性密封胶等防水材料,用以阻断水的通路。用于防水的密封材料应选用耐候性密封胶;接缝处的背衬材料宜采用发泡氯丁橡胶或发泡聚乙烯塑料棒;外墙板接缝中用于第二道防水的密封胶条,宜采用三元乙丙橡胶、氯丁橡胶或硅橡胶。
构造防水是采取合适的构造形式,阻断水的通路,以达到防水的目的。如在外墙板接缝外口设置适当的线型构造(立缝的沟槽,平缝的挡水台、披水等),形成空腔,截断毛细管通路,利用排水构造将渗入接缝的雨水排出墙外,防止向室内渗漏。
5.3.5 门窗应采用标准化部件,并宜采用缺口、预留副框或预埋件等方法与墙体可靠连接。
条文说明
5.3.5 带有门窗的预制外墙板,其门窗洞口与门窗框间的密闭性不应低于门窗的密闭性。
5.3.6 空调板宜集中布置,并宜与阳台合并设置。
条文说明
5.3.6 集中布置空调板,目的是提高预制外墙板的标准化和经济性。
5.3.7 女儿墙板内侧在要求的泛水高度处应设凹槽、挑檐或其他泛水收头等构造。
条文说明
5.3.7 在要求的泛水高度处设凹槽或挑檐,便于屋面防水的收头。 

5.4 内装修、设备管线设计
5.4.1 室内装修宜减少施工现场的湿作业。
条文说明
5.4.1 室内装修所采用的构配件、饰面材料,应结合本地条件及房间使用功能要求采用耐久、防水、防火、防腐及不易污染的材料与做法。
5.4.2 建筑的部件之间、部件与设备之间的连接应采用标准化接口。
条文说明
5.4.2、5.4.3 住宅建筑设备管线的综合设计应特别注意套内管线的综合设计,每套的管线应户界分明。
5.4.3 设备管线应进行综合设计,减少平面交叉;竖向管线宜集中布置,并应满足维修更换的要求。
条文说明
5.4.2、5.4.3 住宅建筑设备管线的综合设计应特别注意套内管线的综合设计,每套的管线应户界分明。
5.4.4 预制构件中电气接口及吊挂配件的孔洞、沟槽应根据装修和设备要求预留。
条文说明
5.4.4 装配式建筑不应在预制构件安装完毕后剔凿孔洞、沟槽等。
5.4.5 建筑宜采用同层排水设计,并应结合房间净高、楼板跨度、设备管线等因素确定降板方案。
条文说明
5.4.5 一般建筑的排水横管布置在本层称为同层排水;排水横管设置在楼板下,称为异层排水。住宅建筑卫生间、经济型旅馆宜优先采用同层排水方式。
5.4.6 竖向电气管线宜统一设置在预制板内或装饰墙面内。墙板内竖向电气管线布置应保持安全间距。
条文说明
5.4.6 预制构件的接缝,包括水平接缝和竖向接缝是装配式结构的关键部位。为保证水平接缝和竖向接缝有足够的传递内力的能力,竖向电气管线不应设置在预制柱内,且不宜设置在预制剪力墙内。当竖向电气管线设置在预制剪力墙或非承重预制墙板内时,应避开剪力墙的边缘构件范围,并应进行统一设计,将预留管线表示在预制墙板深化图上。在预制剪力墙中的竖向电气管线宜设置钢套管。
5.4.7 隔墙内预留有电气设备时,应采取有效措施满足隔声及防火的要求。
5.4.8 设备管线穿过楼板的部位,应采取防水、防火、隔声等措施。
5.4.9 设备管线宜与预制构件上的预埋件可靠连接。
5.4.10 当采用地面辐射供暖时,地面和楼板的设计应符合现行行业标准《地面辐射供暖技术规程》JGJ 142的规定。
6 结构设计基本规定
6.1 一般规定
6.1.1 装配整体式框架结构、装配整体式剪力墙结构、装配整体式框架-现浇剪力墙结构、装配整体式部分框支剪力墙结构的房屋最大适用高度应满足表6.1.1的要求,并应符合下列规定:
1 当结构中竖向构件全部为现浇且楼盖采用叠合梁板时,房屋的最大适用高度可按现行行业标准《高层建筑混凝土结构技术规程》JGJ 3中的规定采用。
2 装配整体式剪力墙结构和装配整体式部分框支剪力墙结构,在规定的水平力作用下,当预制剪力墙构件底部承担的总剪力大于该层总剪力的50%时,其最大适用高度应适当降低;当预制剪力墙构件底部承担的总剪力大于该层总剪力的80%时,最大适用高度应取表6.1.1中括号内的数值。

注:房屋高度指室外地面到主要屋面的高度,不包括局部突出屋顶的部分。
条文说明
6.1.1 装配整体式结构的适用高度参照现行行业标准《高层建筑混凝土结构技术规程》JGJ 3中的规定并适当调整。根据国内外多年的研究成果,在地震区的装配整体式框架结构,当采取了可靠的节点连接方式和合理的构造措施后,装配整体式框架的结构性能可以等同现浇混凝土框架结构。因此,对装配整体式框架结构,当节点及接缝采用适当的构造并满足本规程中有关条文的要求时,可认为其性能与现浇结构基本一致,其最大适用高度与现浇结构相同。如果装配式框架结构中节点及接缝构造措施的性能达不到现浇结构的要求,其最大适用高度应适当降低。
装配整体式剪力墙结构中,墙体之间的接缝数量多且构造复杂,接缝的构造措施及施工质量对结构整体的抗震性能影响较大,使装配整体式剪力墙结构抗震性能很难完全等同于现浇结构。世界各地对装配式剪力墙结构的研究少于对装配式框架结构的研究。我国近年来,对装配式剪力墙结构已进行了大量的研究工作,但由于工程实践的数量还偏少,本规程对装配式剪力墙结构采取从严要求的态度,与现浇结构相比适当降低其最大适用高度。当预制剪力墙数量较多时,即预制剪力墙承担的底部剪力较大时,对其最大适用高度限制更加严格。在计算预制剪力墙构件底部承担的总剪力占该层总剪力比例时,一般取主要采用预制剪力墙构件的最下一层;如全部采用预制剪力墙结构,则计算底层的剪力比例;如底部2层现浇其他层预制,则计算第3层的剪力比例。
框架-剪力墙结构是目前我国广泛应用的一种结构体系。考虑目前的研究基础,本规程中提出的装配整体式框架-剪力墙结构中,建议剪力墙采用现浇结构,以保证结构整体的抗震性能。装配整体式框架-现浇剪力墙结构中,框架的性能与现浇框架等同,因此整体结构的适用高度与现浇的框架-剪力墙结构相同。对于框架与剪力墙均采用装配式的框架-剪力墙结构,待有较充分的研究结果后再给出规定。
6.1.2 高层装配整体式结构的高宽比不宜超过表6.1.2的数值。
表6.1.2 高层装配整体式结构适用的最大高宽比
条文说明
6.1.2 高层装配整体式结构适用的最大高宽比参照现行行业标准《高层建筑混凝土结构技术规程》JGJ 3中的规定并适当调整。
6.1.3 装配整体式结构构件的抗震设计,应根据设防类别、烈度、结构类型和房屋高度采用不同的抗震等级,并应符合相应的计算和构造措施要求。丙类装配整体式结构的抗震等级应按表6.1.3确定。 ( 自2022年4月1日起废止该条,点击查看:新规 《混凝土结构通用规范》 GB 55008-2021)
表6.1.3 丙类装配整体式结构的抗震等级

注:大跨度框架指跨度不小于18m的框架。
条文说明
6.1.3 本条为强制性条文。丙类装配整体式结构的抗震等级参照现行国家标准《建筑抗震设计规范》GB 50011和现行行业标准《高层建筑混凝土结构技术规程》JGJ 3中的规定制定并适当调整。装配整体式框架结构及装配整体式框架-现浇剪力墙结构的抗震等级与现浇结构相同;由于装配整体式剪力墙结构及部分框支剪力墙结构在国内外的工程实践的数量还不够多,也未经历实际地震的考验,因此对其抗震等级的划分高度从严要求,比现浇结构适当降低。
6.1.4 乙类装配整体式结构应按本地区抗震设防烈度提高一度的要求加强其抗震措施;当本地区抗震设防烈度为8度且抗震等级为一级时,应采取比一级更高的抗震措施;当建筑场地为Ⅰ类时,仍可按本地区抗震设防烈度的要求采取抗震构造措施。
条文说明
6.1.4 乙类装配整体式结构的抗震设计要求参照现行国家标准《建筑抗震设计规范》GB 50011和现行行业标准《高层建筑混凝土结构技术规程》JGJ 3中的规定提出要求。
6.1.5 装配式结构的平面布置宜符合下列规定:
1 平面形状宜简单、规则、对称,质量、刚度分布宜均匀;不应采用严重不规则的平面布置;
2 平面长度不宜过长(图6.1.5),长宽比(L/B)宜按表6.1.5采用;

图6.1.5 建筑平面示例
3 平面突出部分的长度l不宜过大、宽度b不宜过小(图6.1.5),l/Bmax、l/b宜按表6.1.5采用;
4 平面不宜采用角部重叠或细腰形平面布置。
表6.1.5 平面尺寸及突出部位尺寸的比值限值

条文说明
6.1.5、6.1.6 装配式结构的平面及竖向布置要求,应严于现浇混凝土结构。特别不规则的建筑会出现各种非标准的构件,且在地震作用下内力分布较复杂,不适宜采用装配式结构。
6.1.6 装配式结构竖向布置应连续、均匀,应避免抗侧力结构的侧向刚度和承载力沿竖向突变,并应符合现行国家标准《建筑抗震设计规范》GB 50011的有关规定。
条文说明
6.1.5、6.1.6 装配式结构的平面及竖向布置要求,应严于现浇混凝土结构。特别不规则的建筑会出现各种非标准的构件,且在地震作用下内力分布较复杂,不适宜采用装配式结构。
6.1.7 抗震设计的高层装配整体式结构,当其房屋高度、规则性、结构类型等超过本规程的规定或者抗震设防标准有特殊要求时,可按现行行业标准《高层建筑混凝土结构技术规程》JGJ 3的有关规定进行结构抗震性能设计。
条文说明
6.1.7 结构抗震性能设计应根据结构方案的特殊性、选用适宜的结构抗震性能目标,并应论证结构方案能够满足抗震性能目标预期要求。
6.1.8 高层装配整体式结构应符合下列规定:
1 宜设置地下室,地下室宜采用现浇混凝土;
2 剪力墙结构底部加强部位的剪力墙宜采用现浇混凝土;
3 框架结构首层柱宜采用现浇混凝土,顶层宜采用现浇楼盖结构。
条文说明
6.1.8 高层装配整体式剪力墙结构的底部加强部位建议采用现浇结构,高层装配整体式框架结构首层建议采用现浇结构,主要因为底部加强区对结构整体的抗震性能很重要,尤其在高烈度区,因此建议底部加强区采用现浇结构。并且,结构底部或首层往往由于建筑功能的需要,不太规则,不适合采用预制构件;且底部加强区构件截面大且配筋较多,也不利于预制构件的连接。
顶层采用现浇楼盖结构是为了保证结构的整体性。
6.1.9 带转换层的装配整体式结构应符合下列规定:
1 当采用部分框支剪力墙结构时,底部框支层不宜超过2层,且框支层及相邻上一层应采用现浇结构;
2 部分框支剪力墙以外的结构中,转换梁、转换柱宜现浇。
条文说明
6.1.9 部分框支剪力墙结构的框支层受力较大且在地震作用下容易破坏,为加强整体性,建议框支层及相邻上一层采用现浇结构。转换梁、转换柱是保证结构抗震性能的关键受力部位,且往往构件截面较大、配筋多,节点构造复杂,不适合采用预制构件。
6.1.10 装配式结构构件及节点应进行承载能力极限状态及正常使用极限状态设计,并应符合现行国家标准《混凝土结构设计规范》GB 50010、《建筑抗震设计规范》GB 50011和《混凝土结构工程施工规范》GB 50666等的有关规定。
条文说明
6.1.10 在装配式结构构件及节点的设计中,除对使用阶段进行验算外,还应重视施工阶段的验算,即短暂设计状况的验算。
6.1.11 抗震设计时,构件及节点的承载力抗震调整系数γRE应按表6.1.11采用;当仅考虑竖向地震作用组合时,承载力抗震调整系数γRE应取1.0。预埋件锚筋截面计算的承载力抗震调整系数γRE应取为1.0。

条文说明
6.1.11 结构构件的承载力抗震调整系数与现浇结构相同。
6.1.12 预制构件节点及接缝处后浇混凝土强度等级不应低于预制构件的混凝土强度等级;多层剪力墙结构中墙板水平接缝用坐浆材料的强度等级值应大于被连接构件的混凝土强度等级值。
6.1.13 预埋件和连接件等外露金属件应按不同环境类别进行封闭或防腐、防锈、防火处理,并应符合耐久性要求。
6.2 作用及作用组合
6.2.1 装配式结构的作用及作用组合应根据国家现行标准《建筑结构荷载规范》GB 50009、《建筑抗震设计规范》GB 50011、《高层建筑混凝土结构技术规程》JGJ 3和《混凝土结构工程施工规范》GB 50666等确定。
条文说明
6.2.1 对装配式结构进行承载能力极限状态和正常使用极限状态验算时,荷载和地震作用的取值及其组合均应按国家现行相关标准执行。
6.2.2 预制构件在翻转、运输、吊运、安装等短暂设计状况下的施工验算,应将构件自重标准值乘以动力系数后作为等效静力荷载标准值。构件运输、吊运时,动力系数宜取1.5;构件翻转及安装过程中就位、临时固定时,动力系数可取1.2。
条文说明
6.2.2 条文规定与现行国家标准《混凝土结构工程施工规范》GB 50666相同。
6.2.3 预制构件进行脱模验算时,等效静力荷载标准值应取构件自重标准值乘以动力系数后与脱模吸附力之和,且不宜小于构件自重标准值的1.5倍。动力系数与脱模吸附力应符合下列规定:
1 动力系数不宜小于1.2;
2 脱模吸附力应根据构件和模具的实际状况取用,且不宜小于1.5kN/㎡。
条文说明
6.2.3 预制构件进行脱模时,受到的荷载包括:自重,脱模起吊瞬间的动力效应,脱模时模板与构件表面的吸附力。其中,动力效应采用构件自重标准值乘以动力系数计算;脱模吸附力是作用在构件表面的均布力,与构件表面和模具状况有关,根据经验一般不小于1.5kN/m2。等效静力荷载标准值取构件自重标准值乘以动力系数后与脱模吸附力之和。
6.3 结构分析
6.3.1 在各种设计状况下,装配整体式结构可采用与现浇混凝土结构相同的方法进行结构分析。当同一层内既有预制又有现浇抗侧力构件时,地震设计状况下宜对现浇抗侧力构件在地震作用下的弯矩和剪力进行适当放大。
条文说明
6.3.1 在预制构件之间及预制构件与现浇及后浇混凝土的接缝处,当受力钢筋采用安全可靠的连接方式,且接缝处新旧混凝土之间采用粗糙面、键槽等构造措施时,结构的整体性能与现浇结构类同,设计中可采用与现浇结构相同的方法进行结构分析,并根据本规程的相关规定对计算结果进行适当的调整。
对于采用预埋件焊接连接、螺栓连接等连接节点的装配式结构,应该根据连接节点的类型,确定相应的计算模型,选取适当的方法进行结构分析。
6.3.2 装配整体式结构承载能力极限状态及正常使用极限状态的作用效应分析可采用弹性方法。
6.3.3 按弹性方法计算的风荷载或多遇地震标准值作用下的楼层层间最大位移△u与层高h之比的限值宜按表6.3.3采用。
表6.3.3 楼层层间最大位移与层高之比的限值

条文说明
6.3.3 装配整体式框架结构和剪力墙结构的层间位移角限值均与现浇结构相同。对多层装配式剪力墙结构,当按现浇结构计算而未考虑墙板间接缝的影响时,计算得到的层间位移会偏小,因此加严其层间位移角限值。
6.3.4 在结构内力与位移计算时,对现浇楼盖和叠合楼盖,均可假定楼盖在其自身平面内为无限刚性;楼面梁的刚度可计入翼缘作用予以增大;梁刚度增大系数可根据翼缘情况近似取为1.3~2.0。
条文说明
6.3.4 叠合楼盖和现浇楼盖对梁刚度均有增大作用,无后浇层的装配式楼盖对梁刚度增大作用较小,设计中可以忽略。
6.4 预制构件设计
6.4.1 预制构件的设计应符合下列规定:
1 对持久设计状况,应对预制构件进行承载力、变形、裂缝控制验算;
2 对地震设计状况,应对预制构件进行承载力验算;
3 对制作、运输和堆放、安装等短暂设计状况下的预制构件验算,应符合现行国家标准《混凝土结构工程施工规范》GB 50666的有关规定。
条文说明
6.4.1 应特别注意预制构件在短暂设计状况下的承载能力的验算,对预制构件在脱模、翻转、起吊、运输、堆放、安装等生产和施工过程中的安全性进行分析。这主要是由于:1)在制作、施工安装阶段的荷载、受力状态和计算模式经常与使用阶段不同;2)预制构件的混凝土强度在此阶段尚未达到设计强度。因此,许多预制构件的截面及配筋设计,不是使用阶段的设计计算起控制作用,而是此阶段的设计计算起控制作用。
6.4.2 当预制构件中钢筋的混凝土保护层厚度大于50mm时,宜对钢筋的混凝土保护层采取有效的构造措施。
条文说明
6.4.2 预制梁、柱构件由于节点区钢筋布置空间的需要,保护层往往较大。当保护层大于50mm时,宜采取增设钢筋网片等措施,控制混凝土保护层的裂缝及在受力过程中的剥离脱落。
6.4.3 预制板式楼梯的梯段板底应配置通长的纵向钢筋。板面宜配置通长的纵向钢筋;当楼梯两端均不能滑动时,板面应配置通长的纵向钢筋。
条文说明
6.4.3 预制板式楼梯在吊装、运输及安装过程中,受力状况比较复杂,规定其板面宜配置通长钢筋,钢筋量可根据加工、运输、吊装过程中的承载力及裂缝控制验算结果确定,最小构造配筋率可参照楼板的相关规定。当楼梯两端均不能滑动时,在侧向力作用下楼梯会起到斜撑的作用,楼梯中会产生轴向拉力,因此规定其板面和板底均应配通长钢筋。
6.4.4 用于固定连接件的预埋件与预埋吊件、临时支撑用预埋件不宜兼用;当兼用时,应同时满足各种设计工况要求。预制构件中预埋件的验算应符合现行国家标准《混凝土结构设计规范》GB 50010、《钢结构设计规范》GB 50017和《混凝土结构工程施工规范》GB 50666等有关规定。
6.4.5 预制构件中外露预埋件凹入构件表面的深度不宜小于10mm。
条文说明
6.4.5 预制构件中外露预埋件凹入表面,便于进行封闭处理。
6.5 连接设计
6.5.1 装配整体式结构中,接缝的正截面承载力应符合现行国家标准《混凝土结构设计规范》GB 50010的规定。接缝的受剪承载力应符合下列规定:
1 持久设计状况:

2 地震设计状况:

在梁、柱端部箍筋加密区及剪力墙底部加强部位,尚应符合下式要求:

式中:γ0——结构重要性系数,安全等级为一级时不应小于1.1,安全等级为二级时不应小于1.0;
Vjd——持久设计状况下接缝剪力设计值;
VjdE——地震设计状况下接缝剪力设计值;
Vu——持久设计状况下梁端、柱端、剪力墙底部接缝受剪承载力设计值;
VuE——地震设计状况下梁端、柱端、剪力墙底部接缝受剪承载力设计值;
Vmua——被连接构件端部按实配钢筋面积计算的斜截面受剪承载力设计值;
ηj——接缝受剪承载力增大系数,抗震等级为一、二级取1.2,抗震等级为三、四级取1.1。
条文说明
6.5.1 装配整体式结构中的接缝主要指预制构件之间的接缝及预制构件与现浇及后浇混凝土之间的结合面,包括梁端接缝、柱顶底接缝、剪力墙的竖向接缝和水平接缝等。装配整体式结构中,接缝是影响结构受力性能的关键部位。
接缝的压力通过后浇混凝土、灌浆料或坐浆材料直接传递;拉力通过由各种方式连接的钢筋、预埋件传递;剪力由结合面混凝土的粘结强度、键槽或者粗糙面、钢筋的摩擦抗剪作用、销栓抗剪作用承担;接缝处于受压、受弯状态时,静力摩擦可承担一部分剪力。预制构件连接接缝一般采用强度等级高于构件的后浇混凝土、灌浆料或坐浆材料。当穿过接缝的钢筋不少于构件内钢筋并且构造符合本规程规定时,节点及接缝的正截面受压、受拉及受弯承载力一般不低于构件,可不必进行承载力验算。当需要计算时,可按照混凝土构件正截面的计算方法进行,混凝土强度取接缝及构件混凝土材料强度的较低值,钢筋取穿过正截面且有可靠锚固的钢筋数量。
后浇混凝土、灌浆料或坐浆材料与预制构件结合面的粘结抗剪强度往往低于预制构件本身混凝土的抗剪强度。因此,预制构件的接缝一般都需要进行受剪承载力的计算。本条对各种接缝的受剪承载力提出了总的要求。
对于装配整体式结构的控制区域,即梁、柱箍筋加密区及剪力墙底部加强部位,接缝要实现强连接,保证不在接缝处发生破坏,即要求接缝的承载力设计值大于被连接构件的承载力设计值乘以强连接系数,强连接系数根据抗震等级、连接区域的重要性以及连接类型,参照美国规范ACI 318中的规定确定。同时,也要求接缝的承载力设计值大于设计内力,保证接缝的安全。对于其他区域的接缝,可采用延性连接,允许连接部位产生塑性变形,但要求接缝的承载力设计值大于设计内力,保证接缝的安全。
参考了国内外相关研究成果及规程,针对各种形式接缝分别提出了受剪承载力的计算公式,列在第7、8章的相关条文中。
6.5.2 装配整体式结构中,节点及接缝处的纵向钢筋连接宜根据接头受力、施工工艺等要求选用机械连接、套筒灌浆连接、浆锚搭接连接、焊接连接、绑扎搭接连接等连接方式,并应符合国家现行有关标准的规定。
条文说明
6.5.2 装配整体式框架结构中,框架柱的纵筋连接宜采用套筒灌浆连接,梁的水平钢筋连接可根据实际情况选用机械连接、焊接连接或者套筒灌浆连接。装配整体式剪力墙结构中,预制剪力墙竖向钢筋的连接可根据不同部位,分别采用套筒灌浆连接、浆锚搭接连接,水平分布筋的连接可采用焊接、搭接等。
6.5.3 纵向钢筋采用套筒灌浆连接时,应符合下列规定:
1 接头应满足行业标准《钢筋机械连接技术规程》JGJ 107-2010中Ⅰ级接头的性能要求,并应符合国家现行有关标准的规定;
2 预制剪力墙中钢筋接头处套筒外侧钢筋的混凝土保护层厚度不应小于15mm,预制柱中钢筋接头处套筒外侧箍筋的混凝土保护层厚度不应小于20mm;
3 套筒之间的净距不应小于25mm。
条文说明
6.5.3 有关钢筋套筒灌浆连接的应用技术规程正在编制中。目前,采用钢筋套筒灌浆连接时,该类接头的应用技术可参照《钢筋机械连接技术规程》JGJ 107-2010中有关Ⅰ级接头的要求。规定套筒之间的净距不小于25mm,是为了保证施工过程中,套筒之间的混凝土可以浇筑密实。
6.5.4 纵向钢筋采用浆锚搭接连接时,对预留孔成孔工艺、孔道形状和长度、构造要求、灌浆料和被连接钢筋,应进行力学性能以及适用性的试验验证。直径大于20mm的钢筋不宜采用浆锚搭接连接,直接承受动力荷载构件的纵向钢筋不应采用浆锚搭接连接。
条文说明
6.5.4 浆锚搭接连接,是一种将需搭接的钢筋拉开一定距离的搭接方式。这种搭接技术在欧洲有多年的应用历史和研究成果,也被称之为间接搭接或间接锚固。早在我国1989年版的《混凝土结构设计规范》的条文说明中,已经将欧洲标准对间接搭接的要求进行了说明。近年来,国内的科研单位及企业对各种形式的钢筋浆锚搭接连接接头进行了试验研究工作,已有了一定的技术基础。
这项技术的关键,包括孔洞内壁的构造及其成孔技术、灌浆料的质量以及约束钢筋的配置方法等各个方面。鉴于我国目前对钢筋浆锚搭接连接接头尚无统一的技术标准,因此提出较为严格的要求,要求使用前对接头进行力学性能及适用性的试验验证,即对按一整套技术,包括混凝土孔洞成形方式、约束配筋方式、钢筋布置方式、灌浆料、灌浆方法等形成的接头进行力学性能试验,并对采用此类接头技术的预制构件进行各项力学及抗震性能的试验验证,经过相关部门组织的专家论证或鉴定后方可使用。
6.5.5 预制构件与后浇混凝土、灌浆料、坐浆材料的结合面应设置粗糙面、键槽,并应符合下列规定:
1 预制板与后浇混凝土叠合层之间的结合面应设置粗糙面。
2 预制梁与后浇混凝土叠合层之间的结合面应设置粗糙面;预制梁端面应设置键槽(图6.5.5)且宜设置粗糙面。键槽的尺寸和数量应按本规程第7.2.2条的规定计算确定;键槽的深度t不宜小于30mm,宽度w不宜小于深度的3倍且不宜大于深度的10倍;键槽可贯通截面,当不贯通时槽口距离截面边缘不宜小于50mm;键槽间距宜等于键槽宽度;键槽端部斜面倾角不宜大于30°。
3 预制剪力墙的顶部和底部与后浇混凝土的结合面应设置粗糙面;侧面与后浇混凝土的结合面应设置粗糙面,也可设置键槽;键槽深度t不宜小于20mm,宽度w不宜小于深度的3倍且不宜大于深度的10倍,键槽间距宜等于键槽宽度,键槽端部斜面倾角不宜大于30°。
4 预制柱的底部应设置键槽且宜设置粗糙面,键槽应均匀布置,键槽深度不宜小于30mm,键槽端部斜面倾角不宜大于30°。柱顶应设置粗糙面。
5 粗糙面的面积不宜小于结合面的80%,预制板的粗糙面凹凸深度不应小于4mm,预制梁端、预制柱端、预制墙端的粗糙面凹凸深度不应小于6mm。

条文说明
6.5.5 试验表明,预制梁端采用键槽的方式时,其受剪承载力一般大于粗糙面,且易于控制加工质量及检验。键槽深度太小时,易发生承压破坏;当不会发生承压破坏时,增加键槽深度对增加受剪承载力没有明显帮助,键槽深度一般在30mm左右。梁端键槽数量通常较少,一般为1个~3个,可以通过公式较准确地计算键槽的受剪承载力。对于预制墙板侧面,键槽数量很多,和粗糙面的工作机理类似,键槽深度及尺寸可减小。
6.5.6 预制构件纵向钢筋宜在后浇混凝土内直线锚固;当直线锚固长度不足时,可采用弯折、机械锚固方式,并应符合现行国家标准《混凝土结构设计规范》GB 50010和《钢筋锚固板应用技术规程》JGJ 256的规定。
条文说明
6.5.6 预制构件纵向钢筋的锚固多采用锚固板的机械锚固方式,伸出构件的钢筋长度较短且不需弯折,便于构件加工及安装。
6.5.7 应对连接件、焊缝、螺栓或铆钉等紧固件在不同设计状况下的承载力进行验算,并应符合现行国家标准《钢结构设计规范》GB 50017和《钢结构焊接规范》GB 50661等的规定。
6.5.8 预制楼梯与支承构件之间宜采用简支连接。采用简支连接时,应符合下列规定:
1 预制楼梯宜一端设置固定铰,另一端设置滑动铰,其转动及滑动变形能力应满足结构层间位移的要求,且预制楼梯端部在支承构件上的最小搁置长度应符合表6.5.8的规定;
2 预制楼梯设置滑动铰的端部应采取防止滑落的构造措施。
表6.5.8 预制楼梯在支承构件上的最小搁置长度
| 抗震设防烈度 | 6度 | 7度 | 8度 |
| 最小搁置长度(mm) | 75 | 75 | 100 |
条文说明
6.5.8 当采用简支的预制楼梯时,楼梯间墙宜做成小开口剪力墙。
6.6 楼盖设计
6.6.1 装配整体式结构的楼盖宜采用叠合楼盖。结构转换层、平面复杂或开洞较大的楼层、作为上部结构嵌固部位的地下室楼层宜采用现浇楼盖。
条文说明
6.6.1 叠合楼盖有各种形式,包括预应力叠合楼盖、带肋叠合楼盖、箱式叠合楼盖等。本节中主要对常规叠合楼盖的设计方法及构造要求进行了规定。其他形式的叠合楼盖的设计方法可参考行业现行相关规程。结构转换层、平面复杂或开洞较大的楼层、作为上部结构嵌固部位的地下室楼层对整体性及传递水平力的要求较高,宜采用现浇楼盖。
6.6.2 叠合板应按现行国家标准《混凝土结构设计规范》GB 50010进行设计,并应符合下列规定:
1 叠合板的预制板厚度不宜小于60mm,后浇混凝土叠合层厚度不应小于60mm;
2 当叠合板的预制板采用空心板时,板端空腔应封堵;
3 跨度大于3m的叠合板,宜采用桁架钢筋混凝土叠合板;
4 跨度大于6m的叠合板,宜采用预应力混凝土预制板;
5 板厚大于180mm的叠合板,宜采用混凝土空心板。
条文说明
6.6.2 叠合板后浇层最小厚度的规定考虑了楼板整体性要求以及管线预埋、面筋铺设、施工误差等因素。预制板最小厚度的规定考虑了脱模、吊装、运输、施工等因素。在采取可靠的构造措施的情况下,如设置桁架钢筋或板肋等,增加了预制板刚度时,可以考虑将其厚度适当减少。
当板跨度较大时,为了增加预制板的整体刚度和水平界面抗剪性能,可在预制板内设置桁架钢筋,见图3。钢筋桁架的下弦钢筋可视情况作为楼板下部的受力钢筋使用。施工阶段,验算预制板的承载力及变形时,可考虑桁架钢筋的作用,减小预制板下的临时支撑。
当板跨度超过6m时,采用预应力混凝土预制板经济性较好。板厚大于180mm时,为了减轻楼板自重,节约材料,推荐采用空心楼板;可在预制板上设置各种轻质模具,浇筑混凝土后形成空心。 
6.6.3 叠合板可根据预制板接缝构造、支座构造、长宽比按单向板或双向板设计。当预制板之间采用分离式接缝(图6.6.3a)时,宜按单向板设计。对长宽比不大于3的四边支承叠合板,当其预制板之间采用整体式接缝(图6.6.3b)或无接缝(图6.6.3c)时,可按双向板设计。

条文说明
6.6.3 根据叠合板尺寸、预制板尺寸及接缝构造,叠合板可按照单向叠合板或者双向叠合板进行设计。当按照双向板设计时,同一板块内,可采用整块的叠合双向板或者几块预制板通过整体式接缝组合成的叠合双向板;当按照单向板设计时,几块叠合板各自作为单向板进行设计,板侧采用分离式拼缝即可。支座及接缝构造详见本节后几条规定。
6.6.4 叠合板支座处的纵向钢筋应符合下列规定:
1 板端支座处,预制板内的纵向受力钢筋宜从板端伸出并锚入支承梁或墙的后浇混凝土中,锚固长度不应小于5d(d为纵向受力钢筋直径),且宜伸过支座中心线(图6.6.4a);

2 单向叠合板的板侧支座处,当预制板内的板底分布钢筋伸入支承梁或墙的后浇混凝土中时,应符合本条第1款的要求;当板底分布钢筋不伸入支座时,宜在紧邻预制板顶面的后浇混凝土叠合层中设置附加钢筋,附加钢筋截面面积不宜小于预制板内的同向分布钢筋面积,间距不宜大于600mm,在板的后浇混凝土叠合层内锚固长度不应小于15d,在支座内锚固长度不应小于15d(d为附加钢筋直径)且宜伸过支座中心线(图6.6.4b)。
条文说明
6.6.4 为保证楼板的整体性及传递水平力的要求,预制板内的纵向受力钢筋在板端宜伸入支座,并应符合现浇楼板下部纵向钢筋的构造要求。在预制板侧面,即单向板长边支座,为了加工及施工方便,可不伸出构造钢筋,但应采用附加钢筋的方式,保证楼面的整体性及连续性。
6.6.5 单向叠合板板侧的分离式接缝宜配置附加钢筋(图6.6.5),并应符合下列规定:
1 接缝处紧邻预制板顶面宜设置垂直于板缝的附加钢筋,附加钢筋伸入两侧后浇混凝土叠合层的锚固长度不应小于15d(d为附加钢筋直径);
2 附加钢筋截面面积不宜小于预制板中该方向钢筋面积,钢筋直径不宜小于6mm、间距不宜大于250mm。

条文说明
6.6.5 本条所述的接缝形式较简单,利于构件生产及施工。理论分析与试验结果表明,这种做法是可行的。叠合板的整体受力性能介于按板缝划分的单向板和整体双向板之间,与楼板的尺寸、后浇层与预制板的厚度比例、接缝钢筋数量等因素有关。开裂特征类似于单向板,承载力高于单向板,挠度小于单向板但大于双向板。板缝接缝边界主要传递剪力,弯矩传递能力较差。在没有可靠依据时,可偏于安全地按照单向板进行设计,接缝钢筋按构造要求确定,主要目的是保证接缝处不发生剪切破坏,且控制接缝处裂缝的开展。
当后浇层厚度较大(>75mm),且设置有钢筋桁架并配有足够数量的接缝钢筋时,接缝可承受足够大的弯矩及剪力,此时也可将其作为整体式接缝,几块预制板通过接缝和后浇层组成的叠合板可按照整体叠合双向板进行设计。此时,应按照接缝处的弯矩设计值及后浇层的厚度计算接缝处需要的钢筋数量。
6.6.6 双向叠合板板侧的整体式接缝宜设置在叠合板的次要受力方向上且宜避开最大弯矩截面。接缝可采用后浇带形式,并应符合下列规定:
1 后浇带宽度不宜小于200mm;
2 后浇带两侧板底纵向受力钢筋可在后浇带中焊接、搭接连接、弯折锚固;
3 当后浇带两侧板底纵向受力钢筋在后浇带中弯折锚固时(图6.6.6),应符合下列规定:
1)叠合板厚度不应小于10d,且不应小于120mm(d为弯折钢筋直径的较大值》;
2)接缝处预制板侧伸出的纵向受力钢筋应在后浇混凝土叠合层内锚固,且锚固长度不应小于la;两侧钢筋在接缝处重叠的长度不应小于10d,钢筋弯折角度不应大于30°,弯折处沿接缝方向应配置不少于2根通长构造钢筋,且直径不应小于该方向预制板内钢筋直径。

条文说明
6.6.6 当预制板侧接缝可实现钢筋与混凝土的连续受力时,即形成“整体式接缝”时,可按照整体双向板进行设计。整体式接缝一般采用后浇带的形式,后浇带应有一定的宽度以保证钢筋在后浇带中的连接或者锚固空间,并保证后浇混凝土与预制板的整体性。后浇带两侧的板底受力钢筋需要可靠连接,比如焊接、机械连接、搭接等。
也可以将后浇带两侧的板底受力钢筋在后浇带中锚固,形成本条第3款所述的构造形式。中国建筑科学研究院的试验研究证明,此种构造形式的叠合板整体性较好。利用预制板边侧向伸出的钢筋在接缝处搭接并弯折锚固于后浇混凝土层中,可以实现接缝两侧钢筋的传力,从而传递弯矩,形成双向板受力状态。接缝处伸出钢筋的锚固和重叠部分的搭接应有一定长度,以实现应力传递;弯折角度应较小以实现顺畅传力;后浇混凝土层应有一定厚度;弯折处应配构造钢筋以防止挤压破坏。
试验研究表明,与整体板比较,预制板接缝处应变集中,裂缝宽度较大,导致构件的挠度比整体现浇板略大,接缝处受弯承载力略有降低。因此,接缝应该避开双向板的主要受力方向和跨中弯矩最大位置。在设计时,如果接缝位于主要受力位置,应该考虑其影响,对按照弹性板计算的内力及配筋结果进行调整,适当增大两个方向的纵向受力钢筋。
6.6.7 桁架钢筋混凝土叠合板应满足下列要求:
1 桁架钢筋应沿主要受力方向布置;
2 桁架钢筋距板边不应大于300mm,间距不宜大于600mm;
3 桁架钢筋弦杆钢筋直径不宜小于8mm,腹杆钢筋直径不应小于4mm;
4 桁架钢筋弦杆混凝土保护层厚度不应小于15mm。
条文说明
6.6.7~6.6.9 在叠合板跨度较大、有相邻悬挑板的上部钢筋锚入等情况下,叠合面在外力、温度等作用下,截面上会产生较大的水平剪力,需配置界面抗剪构造钢筋来保证水平界面的抗剪能力。当有桁架钢筋时,可不单独配置抗剪钢筋;当没有桁架钢筋时,配置的抗剪钢筋可采用马镫形状,钢筋直径、间距及锚固长度应满足叠合面抗剪的需求。
6.6.8 当未设置桁架钢筋时,在下列情况下,叠合板的预制板与后浇混凝土叠合层之间应设置抗剪构造钢筋:
1 单向叠合板跨度大于4.0m时,距支座1/4跨范围内;
2 双向叠合板短向跨度大于4.0m时,距四边支座1/4短跨范围内;
3 悬挑叠合板;
4 悬挑板的上部纵向受力钢筋在相邻叠合板的后浇混凝土锚固范围内。
条文说明
6.6.7~6.6.9 在叠合板跨度较大、有相邻悬挑板的上部钢筋锚入等情况下,叠合面在外力、温度等作用下,截面上会产生较大的水平剪力,需配置界面抗剪构造钢筋来保证水平界面的抗剪能力。当有桁架钢筋时,可不单独配置抗剪钢筋;当没有桁架钢筋时,配置的抗剪钢筋可采用马镫形状,钢筋直径、间距及锚固长度应满足叠合面抗剪的需求。
6.6.9 叠合板的预制板与后浇混凝土叠合层之间设置的抗剪构造钢筋应符合下列规定:
1 抗剪构造钢筋宜采用马镫形状,间距不宜大于400mm,钢筋直径d不应小于6mm;
2 马镫钢筋宜伸到叠合板上、下部纵向钢筋处,预埋在预制板内的总长度不应小于15d,水平段长度不应小于50mm。
条文说明
6.6.7~6.6.9 在叠合板跨度较大、有相邻悬挑板的上部钢筋锚入等情况下,叠合面在外力、温度等作用下,截面上会产生较大的水平剪力,需配置界面抗剪构造钢筋来保证水平界面的抗剪能力。当有桁架钢筋时,可不单独配置抗剪钢筋;当没有桁架钢筋时,配置的抗剪钢筋可采用马镫形状,钢筋直径、间距及锚固长度应满足叠合面抗剪的需求。
6.6.10 阳台板、空调板宜采用叠合构件或预制构件。预制构件应与主体结构可靠连接;叠合构件的负弯矩钢筋应在相邻叠合板的后浇混凝土中可靠锚固,叠合构件中预制板底钢筋的锚固应符合下列规定:
1 当板底为构造配筋时,其钢筋锚固应符合本规程第6.6.4条第1款的规定;
2 当板底为计算要求配筋时,钢筋应满足受拉钢筋的锚固要求。
7 框架结构设计
7.1 一般规定
7.1.1 除本规程另有规定外,装配整体式框架结构可按现浇混凝土框架结构进行设计。
条文说明
7.1.1 根据国内外多年的研究成果,在地震区的装配整体式框架结构,当采取了可靠的节点连接方式和合理的构造措施后,其性能可等同于现浇混凝土框架结构,并采用和现浇结构相同的方法进行结构分析和设计。
7.1.2 装配整体式框架结构中,预制柱的纵向钢筋连接应符合下列规定:
1 当房屋高度不大于12m或层数不超过3层时,可采用套筒灌浆、浆锚搭接、焊接等连接方式;
2 当房屋高度大于12m或层数超过3层时,宜采用套筒灌浆连接。
条文说明
7.1.2 套筒灌浆连接方式在日本、欧美等国家已经有长期、大量的实践经验,国内也已有充分的试验研究、一定的应用经验、相关的产品标准和技术规程。当结构层数较多时,柱的纵向钢筋采用套筒灌浆连接可保证结构的安全。对于低层框架结构,柱的纵向钢筋连接也可以采用一些相对简单及造价较低的方法。
7.1.3 装配整体式框架结构中,预制柱水平接缝处不宜出现拉力。
条文说明
7.1.3 试验研究表明,预制柱的水平接缝处,受剪承载力受柱轴力影响较大。当柱受拉时,水平接缝的抗剪能力较差,易发生接缝的滑移错动。因此,应通过合理的结构布置,避免柱的水平接缝处出现拉力。
7.2 承载力计算
7.2.1 对一、二、三级抗震等级的装配整体式框架,应进行梁柱节点核心区抗震受剪承载力验算;对四级抗震等级可不进行验算。梁柱节点核心区抗震受剪承载力验算和构造应符合现行国家标准《混凝土结构设计规范》GB 50010和《建筑抗震设计规范》GB 50011中的有关规定。
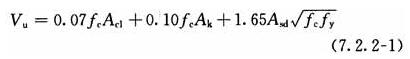
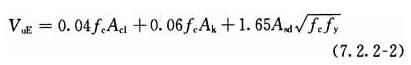
7.2.2 叠合梁端竖向接缝的受剪承载力设计值应按下列公式计算:
1 持久设计状况

2 地震设计状况

式中:Acl——叠合梁端截面后浇混凝土叠合层截面面积;
fc——预制构件混凝土轴心抗压强度设计值;
fy——垂直穿过结合面钢筋抗拉强度设计值;
Ak——各键槽的根部截面面积(图7.2.2)之和,按后浇键槽根部截面和预制键槽根部截面分别计算,并取二者的较小值;
Asd——垂直穿过结合面所有钢筋的面积,包括叠合层内的纵向钢筋。

1-后浇节点区;2-后浇混凝土叠合层;3-预制梁;4-预制键槽根部截面;5-后浇键槽根部截面
条文说明
7.2.2 叠合梁端结合面主要包括框架梁与节点区的结合面、梁自身连接的结合面以及次梁与主梁的结合面等几种类型。结合面的受剪承载力的组成主要包括:新旧混凝土结合面的粘结力、键槽的抗剪能力、后浇混凝土叠合层的抗剪能力、梁纵向钢筋的销栓抗剪作用。
本规程不考虑混凝土的自然粘结作用是偏安全的。取混凝土抗剪键槽的受剪承载力、后浇层混凝土的受剪承载力、穿过结合面的钢筋的销栓抗剪作用之和,作为结合面的受剪承载力。地震往复作用下,对后浇层混凝土部分的受剪承载力进行折减,参照混凝土斜截面受剪承载力设计方法,折减系数取0.6。
研究表明,混凝土抗剪键槽的受剪承载力一般为0.15~0.2fcAk,但由于混凝土抗剪键槽的受剪承载力和钢筋的销栓抗剪作用一般不会同时达到最大值,因此在计算公式中,混凝土抗剪键槽的受剪承载力进行折减,取0.1fcAk。抗剪键槽的受剪承载力取各抗剪键槽根部受剪承载力之和;梁端抗剪键槽数量一般较少,沿高度方向一般不会超过3个,不考虑群键作用。抗剪键槽破坏时,可能沿现浇键槽或预制键槽的根部破坏,因此计算抗剪键槽受剪承载力时应按现浇键槽和预制键槽根部剪切面分别计算,并取二者的较小值。设计中,应尽量使现浇键槽和预制键槽根部剪切面面积相等。
钢筋销栓作用的受剪承载力计算公式主要参照日本的装配式框架设计规程中的规定,以及中国建筑科学研究院的试验研究结果,同时考虑混凝土强度及钢筋强度的影响。
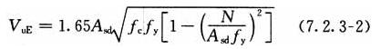
7.2.3 在地震设计状况下,预制柱底水平接缝的受剪承载力设计值应按下列公式计算:
当预制柱受压时:

当预制柱受拉时:

式中:fc——预制构件混凝土轴心抗压强度设计值;
fy——垂直穿过结合面钢筋抗拉强度设计值;
N——与剪力设计值V相应的垂直于结合面的轴向力设计值,取绝对值进行计算;
Asd——垂直穿过结合面所有钢筋的面积;
VuE——地震设计状况下接缝受剪承载力设计值。
条文说明
7.2.3 预制柱底结合面的受剪承载力的组成主要包括:新旧混凝土结合面的粘结力、粗糙面或键槽的抗剪能力、轴压产生的摩擦力、梁纵向钢筋的销栓抗剪作用或摩擦抗剪作用,其中后两者为受剪承载力的主要组成部分。
在非抗震设计时,柱底剪力通常较小,不需要验算。地震往复作用下,混凝土自然粘结及粗糙面的受剪承载力丧失较快,计算中不考虑其作用。
当柱受压时,计算轴压产生的摩擦力时,柱底接缝灌浆层上下表面接触的混凝土均有粗糙面及键槽构造,因此摩擦系数取0.8。钢筋销栓作用的受剪承载力计算公式与上一条相同。当柱受拉时,没有轴压产生的摩擦力,且由于钢筋受拉,计算钢筋销栓作用时,需要根据钢筋中的拉应力结果对销栓受剪承载力进行折减。
7.2.4 混凝土叠合梁的设计应符合本规程和现行国家标准《混凝土结构设计规范》GB 50010中的有关规定。
7.3 构造设计
7.3.1 装配整体式框架结构中,当采用叠合梁时,框架梁的后浇混凝土叠合层厚度不宜小于150mm(图7.3.1),次梁的后浇混凝土叠合层厚度不宜小于120mm;当采用凹口截面预制梁时(图7.3.1b),凹口深度不宜小于50mm,凹口边厚度不宜小于60mm。

1-后浇混凝土叠合层;2-预制梁;3-预制板
条文说明
7.3.1 采用叠合梁时,楼板一般采用叠合板,梁、板的后浇层一起浇筑。当板的总厚度不小于梁的后浇层厚度要求时,可采用矩形截面预制梁。当板的总厚度小于梁的后浇层厚度要求时,为增加梁的后浇层厚度,可采用凹口形截面预制梁。某些情况下,为施工方便,预制梁也可采用其他截面形式,如倒T形截面或者传统的花篮梁的形式等。
7.3.2 叠合梁的箍筋配置应符合下列规定:
1 抗震等级为一、二级的叠合框架梁的梁端箍筋加密区宜采用整体封闭箍筋(图7.3.2a);
2 采用组合封闭箍筋的形式(图7.3.2b)时,开口箍筋上方应做成135°弯钩;非抗震设计时,弯钩端头平直段长度不应小于5d(d为箍筋直径);抗震设计时,平直段长度不应小于10d。现场应采用箍筋帽封闭开口箍,箍筋帽末 端应做成135°弯钩;非抗震设计时,弯钩端头平直段长度不应小于5d;抗震设计时,平直段长度不应小于10d。

1-预制梁;2-开口箍筋;3-上部纵向钢筋;4-箍筋帽
条文说明
7.3.2 采用叠合梁时,在施工条件允许的情况下,箍筋宜采用闭口箍筋。当采用闭口箍筋不便安装上部纵筋时,可采用组合封闭箍筋,即开口箍筋加箍筋帽的形式。本条中规定箍筋帽两端均采用135°弯钩。由于对封闭组合箍的研究尚不够完善,因此在抗震等级为一、二级的叠合框架梁梁端加密区中不建议采用。
7.3.3 叠合梁可采用对接连接(图7.3.3),并应符合下列规定:
1 连接处应设置后浇段,后浇段的长度应满足梁下部纵向钢筋连接作业的空间需求;
2 梁下部纵向钢筋在后浇段内宜采用机械连接、套筒灌浆连接或焊接连接;
3 后浇段内的箍筋应加密,箍筋间距不应大于5d(d为纵向钢筋直径),且不应大于100mm。

1-预制梁;2-钢筋连接接头;3-后浇段
条文说明
7.3.3 当梁的下部纵向钢筋在后浇段内采用机械连接时,一般只能采用加长丝扣型直螺纹接头,滚轧直螺纹加长丝头在安装中会存在一定的困难,且无法达到Ⅰ级接头的性能指标。套筒灌浆连接接头也可用于水平钢筋的连接。
7.3.4 主梁与次梁采用后浇段连接时,应符合下列规定:
1 在端部节点处,次梁下部纵向钢筋伸入主梁后浇段内的长度不应小于12d。次梁上部纵向钢筋应在主梁后浇段内锚固。当采用弯折锚固(图7.3.4a)或锚固板时,锚固直段长度不应小于0.6lab,;当钢筋应力不大于钢筋强度设计值的50%时,锚固直段长度不应小于0.35lab;弯折锚固的弯折后直段长度不应小于12d(d为纵向钢筋直径)。
2 在中间节点处,两侧次梁的下部纵向钢筋伸入主梁后浇段内长度不应小于12d(d为纵向钢筋直径);次梁上部纵向钢筋应在现浇层内贯通(图7.3.4b)。

1-主梁后浇段;2-次梁;3-后浇混凝土叠合层;4-次梁上部纵向钢筋;5-次梁下部纵向钢筋
条文说明
7.3.4 对于叠合楼盖结构,次梁与主梁的连接可采用后浇混凝土节点,即主梁上预留后浇段,混凝土断开而钢筋连续,以便穿过和锚固次梁钢筋。当主梁截面较高且次梁截面较小时,主梁预制混凝土也可不完全断开,采用预留凹槽的形式供次梁钢筋穿过。次梁端部可设计为刚接和铰接。次梁钢筋在主梁内采用锚固板的方式锚固时,锚固长度根据现行行业标准《钢筋锚固板应用技术规程》JGJ 256确定。
7.3.5 预制柱的设计应符合现行国家标准《混凝土结构设计规范》GB 50010的要求,并应符合下列规定:
1 柱纵向受力钢筋直径不宜小于20mm;
2 矩形柱截面宽度或圆柱直径不宜小于400mm,且不宜小于同方向梁宽的1.5倍;
3 柱纵向受力钢筋在柱底采用套筒灌浆连接时,柱箍筋加密区长度不应小于纵向受力钢筋连接区域长度与500mm之和;套筒上端第一道箍筋距离套筒顶部不应大于50mm(图7.3.5)。

1-预制柱;2-套筒灌浆连接接头;3-箍筋加密区(阴影区域);4-加密区箍筋
条文说明
7.3.5 采用较大直径钢筋及较大的柱截面,可减少钢筋根数,增大间距,便于柱钢筋连接及节点区钢筋布置。套筒连接区域柱截面刚度及承载力较大,柱的塑性铰区可能会上移到套筒连接区域以上,因此至少应将套筒连接区域以上500mm高度区域内将柱箍筋加密。
7.3.6 采用预制柱及叠合梁的装配整体式框架中,柱底接缝宜设置在楼面标高处(图7.3.6),并应符合下列规定:

1-后浇节点区混凝土上表面粗糙面;2-接缝灌浆层;3-后浇区
1 后浇节点区混凝土上表面应设置粗糙面;
2 柱纵向受力钢筋应贯穿后浇节点区;
3 柱底接缝厚度宜为20mm,并应采用灌浆料填实。
条文说明
7.3.6 钢筋采用套筒灌浆连接时,柱底接缝灌浆与套筒灌浆可同时进行,采用同样的灌浆料一次完成。预制柱底部应有键槽,且键槽的形式应考虑到灌浆填缝时气体排出的问题,应采取可靠且经过实践检验的施工方法,保证柱底接缝灌浆的密实性。后浇节点上表面设置粗糙面,增加与灌浆层的粘结力及摩擦系数。
7.3.7 梁、柱纵向钢筋在后浇节点区内采用直线锚固、弯折锚固或机械锚固的方式时,其锚固长度应符合现行国家标准《混凝土结构设计规范》GB 50010中的有关规定;当梁、柱纵向钢筋采用锚固板时,应符合现行行业标准《钢筋锚固板应用技术规程》JGJ 256中的有关规定。
条文说明
7.3.7、7.3.8 在预制柱叠合梁框架节点中,梁钢筋在节点中锚固及连接方式是决定施工可行性以及节点受力性能的关键。梁、柱构件尽量采用较粗直径、较大间距的钢筋布置方式,节点区的主梁钢筋较少,有利于节点的装配施工,保证施工质量。设计过程中,应充分考虑到施工装配的可行性,合理确定梁、柱截面尺寸及钢筋的数量、间距及位置等。在中间节点中,两侧梁的钢筋在节点区内锚固时,位置可能冲突,可采用弯折避让的方式,弯折角度不宜大于1:6。节点区施工时,应注意合理安排节点区箍筋、预制梁、梁上部钢筋的安装顺序,控制节点区箍筋的间距满足要求。
中国建筑科学研究院及万科企业股份有限公司的低周反复荷载试验研究表明,在保证构造措施与施工质量时,该形式节点均具有良好的抗震性能,与现浇节点基本等同。
7.3.8 采用预制柱及叠合梁的装配整体式框架节点,梁纵向受力钢筋应伸入后浇节点区内锚固或连接,并应符合下列规定:
1 对框架中间层中节点,节点两侧的梁下部纵向受力钢筋宜锚固在后浇节点区内(图7.3.8-1a),也可采用机械连接或焊接的方式直接连接(图7.3.8-1b);梁的上部纵向受力钢筋应贯穿后浇节点区。

1-后浇区;2-梁下部纵向受力钢筋连接;3-预制梁;4-预制柱;5-梁下部纵向受力钢筋锚固
2 对框架中间层端节点,当柱截面尺寸不满足梁纵向受力钢筋的直线锚固要求时,宜采用锚固板锚固(图7.3.8-2),也可采用90°弯折锚固。
3 对框架顶层中节点,梁纵向受力钢筋的构造应符合本条第1款的规定。柱纵向受力钢筋宜采用直线锚固;当梁截面尺寸不满足直线锚固要求时,宜采用锚固板锚固(图7.3.8-3)。

1-后浇区;2-梁纵向受力钢筋锚固;3-预制梁;4-预制柱

1-后浇区;2-梁下部纵向受力钢筋连接;3-预制梁;4-梁下部纵向受力钢筋锚固
4 对框架顶层端节点,梁下部纵向受力钢筋应锚固在后浇节点区内,且宜采用锚固板的锚固方式;梁、柱其他纵向受力钢筋的锚固应符合下列规定:
1)柱宜伸出屋面并将柱纵向受力钢筋锚固在伸出段内(图7.3.8-4a),伸出段长度不宜小于500mm,伸出段内箍筋间距不应大于5d(d为柱纵向受力钢筋直径),且不应大于100mm;柱纵向钢筋宜采用锚固板锚固,锚固长度不应小于40d;梁上部纵向受力钢筋宜采用锚固板锚固;
2)柱外侧纵向受力钢筋也可与梁上部纵向受力钢筋在后浇节点区搭接(图7.3.8-4b),其构造要求应符合现行国家标准《混凝土结构设计规范》GB 50010中的规定;柱内侧纵向受力钢筋宜采用锚固板锚固。

1-后浇区;2-梁下部纵向受力钢筋锚固;3-预制梁;4-柱延伸段;5-梁柱外侧钢筋搭接
条文说明
7.3.7、7.3.8 在预制柱叠合梁框架节点中,梁钢筋在节点中锚固及连接方式是决定施工可行性以及节点受力性能的关键。梁、柱构件尽量采用较粗直径、较大间距的钢筋布置方式,节点区的主梁钢筋较少,有利于节点的装配施工,保证施工质量。设计过程中,应充分考虑到施工装配的可行性,合理确定梁、柱截面尺寸及钢筋的数量、间距及位置等。在中间节点中,两侧梁的钢筋在节点区内锚固时,位置可能冲突,可采用弯折避让的方式,弯折角度不宜大于1:6。节点区施工时,应注意合理安排节点区箍筋、预制梁、梁上部钢筋的安装顺序,控制节点区箍筋的间距满足要求。
中国建筑科学研究院及万科企业股份有限公司的低周反复荷载试验研究表明,在保证构造措施与施工质量时,该形式节点均具有良好的抗震性能,与现浇节点基本等同。
7.3.9 采用预制柱及叠合梁的装配整体式框架节点,梁下部纵向受力钢筋也可伸至节点区外的后浇段内连接(图7.3.9),连接接头与节点区的距离不应小于1.5h0(h0为梁截面有效高度)。

条文说明
7.3.9 在预制柱叠合梁框架节点中,如柱截面较小,梁下部纵向钢筋在节点区内连接较困难时,可在节点区外设置后浇梁段,并在后浇段内连接梁纵向钢筋。为保证梁端塑性铰区的性能,钢筋连接部位距离梁端需要超过1.5倍梁高。
7.3.10 现浇柱与叠合梁组成的框架节点中,梁纵向受力钢筋的连接与锚固应符合本规程第7.3.7~7.3.9条的规定。
条文说明
7.3.10 当采用现浇柱与叠合梁组成的框架时,节点做法与预制柱、叠合梁的节点做法类似,节点区混凝土应与梁板后浇混凝土同时现浇,柱内受力钢筋的连接方式与常规的现浇混凝土结构相同。柱的钢筋布置灵活,对加工精度及施工的要求略低。同济大学等单位完成的低周反复荷载试验研究表明,该形式节点均具有良好的抗震性能,与现浇节点基本等同。
8 剪力墙结构设计
8.1 一般规定
8.1.1 抗震设计时,对同一层内既有现浇墙肢也有预制墙肢的装配整体式剪力墙结构,现浇墙肢水平地震作用弯矩、剪力宜乘以不小于1.1的增大系数。
条文说明
8.1.1 预制剪力墙的接缝对墙抗侧刚度有一定的削弱作用,应考虑对弹性计算的内力进行调整,适当放大现浇墙肢在水平地震作用下的剪力和弯矩;预制剪力墙的剪力及弯矩不减小,偏于安全。
8.1.2 装配整体式剪力墙结构的布置应满足下列要求:
1 应沿两个方向布置剪力墙;
2 剪力墙的截面宜简单、规则;预制墙的门窗洞口宜上下对齐、成列布置。
条文说明
8.1.2 本条为对装配整体式剪力墙结构的规则性要求,在建筑方案设计中,应该注意结构的规则性。如某些楼层出现扭转不规则及侧向刚度及承载力不规则,宜采用现浇混凝土结构。
8.1.3 抗震设计时,高层装配整体式剪力墙结构不应全部采用短肢剪力墙;抗震设防烈度为8度时,不宜采用具有较多短肢剪力墙的剪力墙结构。当采用具有较多短肢剪力墙的剪力墙结构时,应符合下列规定:
1 在规定的水平地震作用下,短肢剪力墙承担的底部倾覆力矩不宜大于结构底部总地震倾覆力矩的50%;
2 房屋适用高度应比本规程表6.1.1规定的装配整体式剪力墙结构的最大适用高度适当降低,抗震设防烈度为7度和8度时宜分别降低20m。
注:1 短肢剪力墙是指截面厚度不大于300mm、各肢截面高度与厚度之比的最大值大于4但不大于8的剪力墙;
2 具有较多短肢剪力墙的剪力墙结构是指,在规定的水平地震作用下,短肢剪力墙承担的底部倾覆力矩不小于结构底部总地震倾覆力矩的30%的剪力墙结构。
条文说明
8.1.3 短肢剪力墙的抗震性能较差,在高层装配整体式结构中应避免过多采用。
8.1.4 抗震设防烈度为8度时,高层装配整体式剪力墙结构中的电梯井筒宜采用现浇混凝土结构。
条文说明
8.1.4 高层建筑中电梯井筒往往承受很大的地震剪力及倾覆力矩,采用现浇结构有利于保证结构的抗震性能。
8.2 预制剪力墙构造
8.2.1 预制剪力墙宜采用一字形,也可采用L形、T形或U形;开洞预制剪力墙洞口宜居中布置,洞口两侧的墙肢宽度不应小于200mm,洞口上方连梁高度不宜小于250mm。
条文说明
8.2.1 可结合建筑功能和结构平立面布置的要求,根据构件的生产、运输和安装能力,确定预制构件的形状和大小。
8.2.2 预制剪力墙的连梁不宜开洞;当需开洞时,洞口宜预埋套管,洞口上、下截面的有效高度不宜小于梁高的1/3,且不宜小于200mm;被洞口削弱的连梁截面应进行承载力验算,洞口处应配置补强纵向钢筋和箍筋;补强纵向钢筋的直径不应小于12mm。
条文说明
8.2.2、8.2.3 墙板开洞的规定参照现行行业标准《高层建筑混凝土结构技术规程》JGJ 3的要求确定。预制墙板的开洞应在工厂完成。
8.2.3 预制剪力墙开有边长小于800mm的洞口且在结构整体计算中不考虑其影响时,应沿洞口周边配置补强钢筋;补强钢筋的直径不应小于12mm,截面面积不应小于同方向被洞口截断的钢筋面积;该钢筋自孔洞边角算起伸入墙内的长度,非抗震设计时不应小于la,抗震设计时不应小于laE(图8.2.3)。

1-洞口补强钢筋
条文说明
8.2.2、8.2.3 墙板开洞的规定参照现行行业标准《高层建筑混凝土结构技术规程》JGJ 3的要求确定。预制墙板的开洞应在工厂完成。
8.2.4 当采用套筒灌浆连接时,自套筒底部至套筒顶部并向上延伸300mm范围内,预制剪力墙的水平分布筋应加密(图8.2.4),加密区水平分布筋的最大间距及最小直径应符合表8.2.4的规定,套筒上端第一道水平分布钢筋距离套筒顶部不应大于50mm。

1-灌浆套筒;2-水平分布钢筋加密区域(阴影区域);3-竖向钢筋;4-水平分布钢筋
表8.2.4 加密区水平分布钢筋的要求
| 抗震等级 | 最大间距(mm) | 最小直径(mm) |
| 一、二级 | 100 | 8 |
| 三、四级 | 150 | 8 |
条文说明
8.2.4 万科企业股份有限公司及清华大学的试验研究结果表明,剪力墙底部竖向钢筋连接区域,裂缝较多且较为集中,因此,对该区域的水平分布筋应加强,以提高墙板的抗剪能力和变形能力,并使该区域的塑性铰可以充分发展,提高墙板的抗震性能。
8.2.5 端部无边缘构件的预制剪力墙,宜在端部配置2根直径不小于12mm的竖向构造钢筋;沿该钢筋竖向应配置拉筋,拉筋直径不宜小于6mm、间距不宜大于250mm。
条文说明
8.2.5 对预制墙板边缘配筋应适当加强,形成边框,保证墙板在形成整体结构之前的刚度、延性及承载力。
8.2.6 当预制外墙采用夹心墙板时,应满足下列要求:
1 外叶墙板厚度不应小于50mm,且外叶墙板应与内叶墙板可靠连接;
2 夹心外墙板的夹层厚度不宜大于120mm;
3 当作为承重墙时,内叶墙板应按剪力墙进行设计。
条文说明
8.2.6 预制夹心外墙板在国内外均有广泛的应用,具有结构、保温、装饰一体化的特点。预制夹心外墙板根据其在结构中的作用,可以分为承重墙板和非承重墙板两类。当其作为承重墙板时,与其他结构构件共同承担垂直力和水平力;当其作为非承重墙板时,仅作为外围护墙体使用。
预制夹心外墙板根据其内、外叶墙板间的连接构造,又可以分为组合墙板和非组合墙板。组合墙板的内、外叶墙板可通过拉结件的连接共同工作;非组合墙板的内、外叶墙板不共同受力,外叶墙板仅作为荷载,通过拉结件作用在内叶墙板上。
鉴于我国对于预制夹心外墙板的科研成果和工程实践经验都还较少,目前在实际工程中,通常采用非组合式的墙板。当作为承重墙时,内叶墙板的要求与普通剪力墙板的要求完全相同。
8.3 连接设计
8.3.1 楼层内相邻预制剪力墙之间应采用整体式接缝连接,且应符合下列规定:
1 当接缝位于纵横墙交接处的约束边缘构件区域时,约束边缘构件的阴影区域(图8.3.1-1)宜全部采用后浇混凝土,并应在后浇段内设置封闭箍筋。
2 当接缝位于纵横墙交接处的构造边缘构件区域时,构造边缘构件宜全部采用后浇混凝土(图8.3.1-2);当仅在一面墙上设置后浇段时,后浇段的长度不宜小于300mm(图8.3.1-3)。

lc-约束边缘构件沿墙肢的长度
1-后浇段;2-预制剪力墙

(阴影区域为构造边缘构件范围)
1-后浇段;2-预制剪力墙

1-后浇段;2-预制剪力墙
3 边缘构件内的配筋及构造要求应符合现行国家标准《建筑抗震设计规范》GB 50011的有关规定;预制剪力墙的水平分布钢筋在后浇段内的锚固、连接应符合现行国家标准《混凝土结构设计规范》GB 50010的有关规定。
4 非边缘构件位置,相邻频制剪力墙之间应设置后浇段,后浇段的宽度不应小于墙厚且不宜小于200mm;后浇段内应设置不少于4根竖向钢筋,钢筋直径不应小于墙体竖向分布筋直径且不应小于8mm;两侧墙体的水平分布筋在后浇段内的锚固、连接应符合现行国家标准《混凝土结构设计规范》GB 50010的有关规定。
条文说明
8.3.1 确定剪力墙竖向接缝位置的主要原则是便于标准化生产、吊装、运输和就位,并尽量避免接缝对结构整体性能产生不良影响。
对于图4中约束边缘构件,位于墙肢端部的通常与墙板一起预制;纵横墙交接部位一般存在接缝,图4中阴影区域宜全部后浇,纵向钢筋主要配置在后浇段内,且在后浇段内应配置封闭箍筋及拉筋,预制墙板中的水平分布筋在后浇段内锚固。预制的约束边缘构件的配筋构造要求与现浇结构一致。
墙肢端部的构造边缘构件通常全部预制;当采用L形、T形或者U形墙板时,拐角处的构造边缘构件也可全部在预制剪力墙中。当采用一字形构件时,纵横墙交接处的构造边缘构件可全部后浇;为了满足构件的设计要求或施工方便也可部分后浇部分预制。当构造边缘构件部分后浇部分预制时,需要合理布置预制构件及后浇段中的钢筋,使边缘构件内形成封闭箍筋。非边缘构件区域,剪力墙拼接位置,剪力墙水平钢筋在后浇段内可采用锚环的形式锚固,两侧伸出的锚环宜相互搭接。 
8.3.2 屋面以及立面收进的楼层,应在预制剪力墙顶部设置封闭的后浇钢筋混凝土圈梁(图8.3.2),并应符合下列规定:
1 圈梁截面宽度不应小于剪力墙的厚度,截面高度不宜小于楼板厚度及250mm的较大值;圈梁应与现浇或者叠合楼、屋盖浇筑成整体。
2 圈梁内配置的纵向钢筋不应少于412,且按全截面计算的配筋率不应小于0.5%和水平分布筋配筋率的较大值,纵向钢筋竖向间距不应大于200mm;箍筋间距不应大于200mm,且直径不应小于8mm。

1-后浇混凝土叠合层;2-预制板;3-后浇圈梁;4-预制剪力墙
条文说明
8.3.2 封闭连续的后浇钢筋混凝土圈梁是保证结构整体性和稳定性,连接楼盖结构与预制剪力墙的关键构件,应在楼层收进及屋面处设置。
8.3.3 各层楼面位置,预制剪力墙顶部无后浇圈梁时,应设置连续的水平后浇带(图8.3.3);水平后浇带应符合下列规定:
1 水平后浇带宽度应取剪力墙的厚度,高度不应小于楼板厚度;水平后浇带应与现浇或者叠合楼、屋盖浇筑成整体。
2 水平后浇带内应配置不少于2根连续纵向钢筋,其直径不宜小于12mm。

1-后浇混凝土叠合层;2-预制板;3-水平后浇带;4-预制墙板;5-纵向钢筋
条文说明
8.3.3 在不设置圈梁的楼面处,水平后浇带及在其内设置的纵向钢筋也可起到保证结构整体性和稳定性、连接楼盖结构与预制剪力墙的作用。
8.3.4 预制剪力墙底部接缝宜设置在楼面标高处,并应符合下列规定:
1 接缝高度宜为20mm;
2 接缝宜采用灌浆料填实;
3 接缝处后浇混凝土上表面应设置粗糙面。
条文说明
8.3.4 预制剪力墙竖向钢筋一般采用套筒灌浆或浆锚搭接连接,在灌浆时宜采用灌浆料将墙底水平接缝同时灌满。灌浆料强度较高且流动性好,有利于保证接缝承载力。灌浆时,预制剪力墙构件下表面与楼面之间的缝隙周围可采用封边砂浆进行封堵和分仓,以保证水平接缝中灌浆料填充饱满。
8.3.5 上下层预制剪力墙的竖向钢筋,当采用套筒灌浆连接和浆锚搭接连接时,应符合下列规定:
1 边缘构件竖向钢筋应逐根连接。
2 预制剪力墙的竖向分布钢筋,当仅部分连接时(图8.3.5),被连接的同侧钢筋间距不应大于600mm,且在剪力墙构件承载力设计和分布钢筋配筋率计算中不得计入不连接的分布钢筋;不连接的竖向分布钢筋直径不应小于6mm。
3 一级抗震等级剪力墙以及二、三级抗震等级底部加强部位,剪力墙的边缘构件竖向钢筋宜采用套筒灌浆连接。

1-不连接的竖向分布钢筋;2-连接的竖向分布钢筋;3-连接接头
条文说明
8.3.5 套筒灌浆连接方式在日本、欧美等国家已经有长期、大量的实践经验,国内也已有充分的试验研究和相关的规程,可以用于剪力墙竖向钢筋的连接。
目前在国内有多家科研单位、高等院校和企业正在对多种浆锚搭接连接的方式进行研究,其中哈尔滨工业大学和黑龙江宇辉建设集团有限公司共同研发的约束浆锚搭接连接已经取得一定的研究成果和实践经验,适合用于直径较小钢筋的连接,施工方便,造价较低。根据现行国家标准《混凝土结构设计规范》GB 50010对钢筋连接和锚固的要求,为保证结构延性,在对结构抗震性能比较重要且钢筋直径较大的剪力墙边缘构件中不宜采用。
边缘构件是保证剪力墙抗震性能的重要构件,且钢筋较粗,每根钢筋应逐根连接。剪力墙的分布钢筋直径小且数量多,全部连接会导致施工繁琐且造价较高,连接接头数量太多对剪力墙的抗震性能也有不利影响。根据有关单位的研究成果,可在预制剪力墙中设置部分较粗的分布钢筋并在接缝处仅连接这部分钢筋,被连接钢筋的数量应满足剪力墙的配筋率和受力要求;为了满足分布钢筋最大间距的要求,在预制剪力墙中再设置一部分较小直径的竖向分布钢筋,但其最小直径也应满足有关规范的要求。
8.3.6 预制剪力墙相邻下层为现浇剪力墙时,预制剪力墙与下层现浇剪力墙中竖向钢筋的连接应符合本规程第8.3.5条的规定,下层现浇剪力墙顶面应设置粗糙面。
8.3.7 在地震设计状况下,剪力墙水平接缝的受剪承载力设计值应按下式计算:

式中:fy——垂直穿过结合面的钢筋抗拉强度设计值;
N——与剪力设计值V相应的垂直于结合面的轴向力设计值,压力时取正,拉力时取负;
Asd——垂直穿过结合面的抗剪钢筋面积。
条文说明
8.3.7 在参考了我国现行国家标准《混凝土结构设计规范》GB 50010、现行行业标准《高层建筑混凝土结构技术规程》JGJ 3、国外规范[如美国规范ACI 318-08、欧洲规范EN 1992-1-1:2004、美国PCI手册(第七版)等]并对大量试验数据进行分析的基础上,本规程给出了预制剪力墙水平接缝受剪承载力设计值的计算公式,公式与《高层建筑混凝土结构技术规程》中对一级抗震等级剪力墙水平施工缝的抗剪验算公式相同,主要采用剪摩擦的原理,考虑了钢筋和轴力的共同作用。
进行预制剪力墙底部水平接缝受剪承载力计算时,计算单元的选取分以下三种情况:
1 不开洞或者开小洞口整体墙,作为一个计算单元;
2 小开口整体墙可作为一个计算单元,各墙肢联合抗剪;
3 开口较大的双肢及多肢墙,各墙肢作为单独的计算单元。
8.3.8 预制剪力墙洞口上方的预制连梁宜与后浇圈梁或水平后浇带形成叠合连梁(图8.3.8),叠合连梁的配筋及构造要求应符合现行国家标准《混凝土结构设计规范》GB 50010的有关规定。

1-后浇圈梁或后浇带;2-预制连梁;3-箍筋;4-纵向钢筋
条文说明
8.3.8 本条对带洞口预制剪力墙的预制连梁与后浇圈梁或水平后浇带组成的叠合连梁的构造进行了说明。当连梁剪跨比较小需要设置斜向钢筋时,一般采用全现浇连梁。
8.3.9 楼面梁不宜与预制剪力墙在剪力墙平面外单侧连接;当楼面梁与剪力墙在平面外单侧连接时,宜采用铰接。
条文说明
8.3.9 楼面梁与预制剪力墙在面外连接时,宜采用铰接,可采用在剪力墙上设置挑耳的方式。
8.3.10 预制叠合连梁的预制部分宜与剪力墙整体预制,也可在跨中拼接或在端部与预制剪力墙拼接。
条文说明
8.3.10 连梁端部钢筋锚固构造复杂,要尽量避免预制连梁在端部与预制剪力墙连接。
8.3.11 当预制叠合连梁在跨中拼接时,可按本规程第7.3.3条的规定进行接缝的构造设计。
8.3.12 当预制叠合连梁端部与预制剪力墙在平面内拼接时,接缝构造应符合下列规定:
1 当墙端边缘构件采用后浇混凝土时,连梁纵向钢筋应在后浇段中可靠锚固(图8.3.12a)或连接(图8.3.12b);
2 当预制剪力墙端部上角预留局部后浇节点区时,连梁的纵向钢筋应在局部后浇节点区内可靠锚固(图8.3.12c)或连接(图8.3.12d)。

图8.3.12 同一平面内预制连梁与预制剪力墙连接构造示意
1-预制剪力墙;2-预制连梁;3-边缘构件箍筋;4-连梁下部纵向受力钢筋锚固或连接
条文说明
8.3.12 提供两种常用的“刀把墙”的预制连梁与预制墙板的连接方式。也可采用其他连接方式,但应保证接缝的受弯及受剪承载力不低于连梁的受弯及受剪承载力。
8.3.13 当采用后浇连梁时,宜在预制剪力墙端伸出预留纵向钢筋,并与后浇连梁的纵向钢筋可靠连接(图8.3.13)。

1-预制墙板;2-后浇连梁;3-预制剪力墙伸出纵向受力钢筋
条文说明
8.3.13 当采用后浇连梁时,纵筋可在连梁范围内与预制剪力墙预留的钢筋连接,可采用搭接、机械连接、焊接等方式。
8.3.14 应按本规程第7.2.2条的规定进行叠合连梁端部接缝的受剪承载力计算。
条文说明
替换条文文字
8.3.15 当预制剪力墙洞口下方有墙时,宜将洞口下墙作为单独的连梁进行设计(图8.3.15)。

图8.3.15 预制剪力墙洞口下墙与叠合连梁的关系示意
1-洞口下墙;2-预制连梁;3-后浇圈梁或水平后浇带
条文说明
8.3.15 洞口下墙的构造有三种做法:
1 预制连梁向上伸出竖向钢筋并与洞口下墙内的竖向钢筋连接,洞口下墙、后浇圈梁与预制连梁形成一根叠合连梁。该做法施工比较复杂,而且洞口下墙与下方的后浇圈梁、预制连梁组合在一起形成的叠合构件受力性能没有经过试验验证,受力和变形特征不明确,纵筋和箍筋的配筋也不好确定。不建议采用此做法。
2 预制连梁与上方的后浇混凝土形成叠合连梁;洞口下墙与下方的后浇混凝土之间连接少量的竖向钢筋,以防止接缝开裂并抵抗必要的平面外荷载。洞口下墙内设置纵筋和箍筋,作为单独的连梁进行设计。建议采用此种做法。
3 将洞口下墙采用轻质填充墙时,或者采用混凝土墙但与结构主体采用柔性材料隔离时,在计算中可仅作为荷载,洞口下墙与下方的后浇混凝土及预制连梁之间不连接,墙内设置构造钢筋。当计算不需要窗下墙时可采用此种做法。
当窗下墙需要抵抗平面外的弯矩时,需要将窗下墙内的纵向钢筋与下方的现浇楼板或预制剪力墙内的钢筋有效连接、锚固;或将窗下墙内纵向钢筋锚固在下方的后浇区域内。在实际工程中窗下墙的高度往往不大,当采用浆锚搭接连接时,要确保必要的锚固长度。
9 多层剪力墙结构设计
9.1 一般规定
9.1.1 本章适用于6层及6层以下、建筑设防类别为丙类的装配式剪力墙结构设计。
条文说明
9.1.1 多层装配式剪力墙结构是在高层装配整体式剪力墙基础上进行简化,并参照原行业标准《装配式大板居住建筑设计和施工规程》JGJ 1-91的相关节点构造,制定的一种主要用于多层建筑的装配式结构。此种结构体系构造简单,施工方便,可在广大城镇地区多层住宅中推广使用。
9.1.2 多层装配式剪力墙结构抗震等级应符合下列规定:
1 抗震设防烈度为8度时取三级;
2 抗震设防烈度为6、7度时取四级。
条文说明
9.1.2 多层装配式剪力墙结构的抗震等级按照现行国家标准《混凝土结构设计规范》GB 50010确定。
9.1.3 当房屋高度不大于10m且不超过3层时,预制剪力墙截面厚度不应小于120mm;当房屋超过3层时,预制剪力墙截面厚度不宜小于140mm。
条文说明
9.1.3、9.1.4 剪力墙的最小配筋率、最小厚度是参照现行国家标准《混凝土结构设计规范》GB 50010和原行业标准《装配式大板居住建筑设计和施工规程》JGJ 1-91中的相关规定确定的。
9.1.4 当预制剪力墙截面厚度不小于140mm时,应配置双排双向分布钢筋网。剪力墙中水平及竖向分布筋的最小配筋率不应小于0.15%。
条文说明
9.1.3、9.1.4 剪力墙的最小配筋率、最小厚度是参照现行国家标准《混凝土结构设计规范》GB 50010和原行业标准《装配式大板居住建筑设计和施工规程》JGJ 1-91中的相关规定确定的。
9.1.5 除本章规定外,预制剪力墙构件的构造应符合本规程第8.2节的规定。
9.2 结构分析和设计
9.2.1 多层装配式剪力墙结构可采用弹性方法进行结构分析,并宜按结构实际情况建立分析模型。
条文说明
9.2.1 多层装配式剪力墙结构在重力、风荷载及地震作用下的分析均可采用线弹性方法。地震作用可采用底部剪力法计算,各抗震墙肢按照负荷面积分担地震力。在计算中,采用后浇混凝土连接的预制墙肢可作为整体构件考虑;采用分离式拼缝(预埋件焊接连接、预埋件螺栓连接等,无后浇混凝土)连接的墙肢应作为独立的墙肢进行计算及截面设计,计算模型中应包括墙肢的连接节点。按本规程的构造作法,在计算模型中,墙肢底部的水平缝可按照整体接缝考虑,并取墙肢底部的剪力进行水平接缝的受剪承载力计算。
9.2.2 在地震设计状况下,预制剪力墙水平接缝的受剪承载力设计值应按下式计算:

式中:fy——垂直穿过结合面的钢筋抗拉强度设计值;
N——与剪力设计值V相应的垂直于结合面的轴向力设计值,压力时取正,拉力时取负;
Asd——垂直穿过结合面的抗剪钢筋面积。
条文说明
9.2.2 按照本章第3节中的构造要求,预制剪力墙的竖向接缝采用后浇混凝土连接时,受剪承载力与整浇混凝土结构接近,不必计算其受剪承载力。
预制剪力墙底部的水平接缝需要进行受剪承载力计算。受剪承载力计算公式的形式与本规程第8.3节中的公式相似,由于多层装配式剪力墙结构中,预制剪力墙水平接缝中采用坐浆材料而非灌浆料填充,接缝受剪时静摩擦系数较低,取为0.6。
9.3 连接设计
9.3.1 抗震等级为三级的多层装配式剪力墙结构,在预制剪力墙转角、纵横墙交接部位应设置后浇混凝土暗柱,并应符合下列规定:
1 后浇混凝土暗柱截面高度不宜小于墙厚,且不应小于250mm,截面宽度可取墙厚(图9.3.1);
2 后浇混凝土暗柱内应配置竖向钢筋和箍筋,配筋应满足墙肢截面承载力的要求,并应满足表9.3.1的要求;
3 预制剪力墙的水平分布钢筋在后浇混凝土暗柱内的锚固、连接应符合现行国家标准《混凝土结构设计规范》GB 50010的有关规定。

图9.3.1 多层装配式剪力墙结构后浇混凝土暗柱示意
1-后浇段;2-预制剪力墙
表9.3.1 多层装配式剪力墙结构后浇混凝土暗柱配筋要求

条文说明
9.3.1 多层剪力墙结构中,预制剪力墙水平接缝比较简单,其整体性及抗震性能主要依靠后浇暗柱及圈梁的约束作用来保证,因此,要求三级抗震结构的转角、纵横墙交接部位应设置后浇暗柱。后浇暗柱的尺寸按照受力以及装配施工的便捷性的要求确定。后浇暗柱内的配筋量参照配筋砌块结构的构造柱及现浇剪力墙结构的构造边缘构件确定。墙板水平分布钢筋在后浇段内可采用弯折锚固、锚环、机械锚固等措施。
9.3.2 楼层内相邻预制剪力墙之间的竖向接缝可采用后浇段连接,并应符合下列规定:
1 后浇段内应设置竖向钢筋,竖向钢筋配筋率不应小于墙体竖向分布筋配筋率,且不宜小于212;
2 预制剪力墙的水平分布钢筋在后浇段内的锚固、连接应符合现行国家标准《混凝土结构设计规范》GB 50010的有关规定。
条文说明
9.3.2 采用后浇混凝土连接的接缝有利于保证结构的整体性,且接缝的耐久性、防水、防火性能均比较好。接缝宽度大小并没有作出规定,但进行钢筋连接时,要保证其最小的作业空间。两侧墙体内的水平分布钢筋可在后浇段内互相焊接(图5)、搭接、弯折锚固或者做成锚环锚固。
参照日本的多层装配式剪力墙结构的做法,当房屋层数不大于3层时,相邻承重墙板之间的竖向接缝也可采用预埋件焊接连接的方式。此时,整体计算模型中应计入竖向接缝及连接节点对刚度的影响,且各连接节点均应进行承载力的验算。
9.3.3 预制剪力墙水平接缝宜设置在楼面标高处,并应满足下列要求:
1 接缝厚度宜为20mm。
2 接缝处应设置连接节点,连接节点间距不宜大于1m;穿过接缝的连接钢筋数量应满足接缝受剪承载力的要求,且配筋率不应低于墙板竖向钢筋配筋率,连接钢筋直径不应小于14mm。
3 连接钢筋可采用套筒灌浆连接、浆锚搭接连接、焊接连接,并应满足本规程附录A中相应的构造要求。
条文说明
9.3.3 本条提供了几种常用的上下层相邻预制墙板之间钢筋连接的连接方式,设计中可以根据具体情况采用,也可采用其他经过实践考验或者试验验证的节点形式。
9.3.4 当房屋层数大于3层时,应符合下列规定:
1 屋面、楼面宜采用叠合楼盖,叠合板与预制剪力墙的连接应符合本规程第6.6.4条的规定;
2 沿各层墙顶应设置水平后浇带,并应符合本规程第8.3.3条的规定;
3 当抗震等级为三级时,应在屋面设置封闭的后浇钢筋混凝土圈梁,圈梁应符合本规程第8.3.2条的规定。
条文说明
9.3.4 沿墙顶设置封闭的水平后浇带或后浇钢筋混凝土圈梁可将楼板和竖向构件连接起来,使水平力可从楼面传递到剪力墙,增强结构的整体性和稳定性。
9.3.5 当房屋层数不大于3层时,楼面可采用预制楼板,并应符合下列规定:
1 预制板在墙上的搁置长度不应小于60mm,当墙厚不能满足搁置长度要求时可设置挑耳;板端后浇混凝土接缝宽度不宜小于50mm,接缝内应配置连续的通长钢筋,钢筋直径不应小于8mm。
2 当板端伸出锚固钢筋时,两侧伸出的锚固钢筋应互相可靠连接,并应与支承墙伸出的钢筋、板端接缝内设置的通长钢筋拉结。
3 当板端不伸出锚固钢筋时,应沿板跨方向布置连系钢筋,连系钢筋直径不应小于10mm,间距不应大于600mm;连系钢筋应与两侧预制板可靠连接,并应与支承墙伸出的钢筋、板端接缝内设置的通长钢筋拉结。
条文说明
9.3.5 对3层以下的建筑,为简化施工,减少现场湿作业,各层楼面也可采用预制楼板。预制楼板可采用空心楼板、预应力空心板等,其板端及侧向板缝应采取各项有效措施,使预制楼板在其平面内形成整体,保证其整体刚度,并应与竖向构件可靠连接,在搁置长度范围内空腔应用细石混凝土填实。

9.3.6 连梁宜与剪力墙整体预制,也可在跨中拼接。预制剪力墙洞口上方的预制连梁可与后浇混凝土圈梁或水平后浇带形成叠合连梁;叠合连梁的配筋及构造要求应符合现行国家标准《混凝土结构设计规范》GB 50010的有关规定。
条文说明
9.3.6 连梁与预制剪力墙整体预制是施工比较方便的方式。当接缝在连梁跨中时,只需连接纵筋,施工也比较容易。预制连梁端部与预制剪力墙连接且按刚接设计时,需要将预制连梁的纵筋锚固在剪力墙中,连接节点比较复杂;此时可采用铰接的连接方式,如在剪力墙端部设置牛腿或者挑耳,将预制连梁搁置在挑耳上并采用防止滑落的构造措施。
9.3.7 预制剪力墙与基础的连接应符合下列规定:
1 基础顶面应设置现浇混凝土圈梁,圈梁上表面应设置粗糙面;
2 预制剪力墙与圈梁顶面之间的接缝构造应符合本规程第9.3.3条的规定,连接钢筋应在基础中可靠锚固,且宜伸入到基础底部;
3 剪力墙后浇暗柱和竖向接缝内的纵向钢筋应在基础中可靠锚固,且宜伸入到基础底部。
条文说明
9.3.7 基础顶面设置的圈梁是为了保证结构底部的整体性。为了保证结构具有一定的抗倾覆能力,后浇暗柱、竖向接缝和水平接缝内的纵向钢筋应在基础中可靠锚固。
10 外挂墙板设计
10.1 一般规定
10.1.1 外挂墙板应采用合理的连接节点并与主体结构可靠连接。有抗震设防要求时,外挂墙板及其与主体结构的连接节点,应进行抗震设计。
条文说明
10.1.1 外挂墙板有许多种类型,其中主要包括:梁式外挂板、柱式外挂板和墙式外挂板,他们之间的区别主要在于挂板在建筑中所处的位置不同,因此导致设计计算和连接节点的许多不同。鉴于我国对各种外挂墙板所做的研究工作和工程实践经验都比较少,本章涉及的内容基本上仅限于墙式外挂板,即非承重的、作为围护结构使用的、仅跨越一个层高和一个开间的外挂墙板。
对预制构件而言,连接问题始终是最重要的问题,外挂墙板也不例外。外挂墙板与主体结构应采用合理的连接节点,以保证荷载传递路径简捷,符合结构的计算假定。同时,对外挂墙板除应进行截面设计外,还应重视连接节点的设计。连接节点包括有预埋件及连接件。其中预埋件包括主体结构支承构件中的预埋件,以及在外挂墙板中的预埋件,通过连接件与这两种预埋件的连接,将外挂墙板与主体结构连接在一起。对有抗震设防要求的地区,应对外挂墙板和连接节点进行抗震设计。
10.1.2 外挂墙板结构分析可采用线性弹性方法,其计算简图应符合实际受力状态。
条文说明
10.1.2 外挂墙板与主体结构之间可以采用多种连接方法,应根据建筑类型、功能特点、施工吊装能力以及外挂墙板的形状、尺寸以及主体结构层间位移量等特点,确定外挂墙板的类型,以及连接件的数量和位置。对外挂墙板和连接节点进行设计计算时,所取用的计算简图应与实际连接构造相一致。
10.1.3 对外挂墙板和连接节点进行承载力验算时,其结构重要性系数γ0应取不小于1.0,连接节点承载力抗震调整系数γRE应取1.0。
条文说明
替换条文文字
10.1.4 支承外挂墙板的结构构件应具有足够的承载力和刚度。
条文说明
10.1.4 外挂墙板的支承构件可能会发生扭转和挠曲,这些变形可能会对外挂墙板产生不良影响,应尽量避免。当实在不能避免时,应进行定量的分析计算。
美国预制/预应力混凝土协会PCI的资料表明,如果从制作外挂墙板浇筑混凝土之日起,至完成外挂墙板与主体结构连接节点的施工之间的时间超过30d时,由于混凝土收缩形成的徐变影响可以忽略。
当支承构件为跨度较大的悬臂构件时,其端部可能会产生较大的位移,不宜将外挂墙板支承在此类构件上。
10.1.5 外挂墙板与主体结构宜采用柔性连接,连接节点应具有足够的承载力和适应主体结构变形的能力,并应采取可靠的防腐、防锈和防火措施。
条文说明
10.1.5 目前,美国、日本和我国的台湾地区,外挂墙板与主体结构的连接节点主要采用柔性连接的点支承的方式。一边固定的线支承方式在我国部分地区有所应用。鉴于目前我国有关线支承的科研成果还偏少,因此本规程优先推荐了柔性连接的点支承做法。
1 点支承的外挂墙板可区分为平移式外挂墙板(图6a)和旋转式外挂墙板(图6b)两种形式。它们与主体结构的连接节点,又可以分为承重节点和非承重节点两类。
一般情况下,外墙挂板与主体结构的连接宜设置4个支承点:当下部两个为承重节点时,上部两个宜为非承重节点;相反,当上部两个为承重节点时,下部两个宜为非承重节点。应注意,平移式外挂墙板与旋转式外挂墙板的承重节点和非承重节点的受力状态和构造要求是不同的,因此设计要求也是不同的。 
2 根据现有的研究成果,当外挂墙板与主体结构采用线支承连接时,连接节点的抗震性能应满足:①多遇地震和设防地震作用下连接节点保持弹性;②罕遇地震作用下外挂墙板顶部剪力键不破坏,连接钢筋不屈服。连接节点的构造应满足:
1)外挂墙板上端与楼面梁连接时,连接区段应避开楼面梁塑性铰区域。
2)外挂墙板与梁的结合面应做成粗糙面并宜设置键槽,外挂墙板中应预留连接用钢筋。连接用钢筋一端应可靠地锚固在外挂墙板中,另一端应可靠地锚固在楼面梁(或板)后浇混凝土中。
3)外挂墙板下端应设置2个非承重节点,此节点仅承受平面外水平荷载;其构造应能保证外挂墙板具有随动性,以适应主体结构的变形。
10.2 作用及作用组合
10.2.1 计算外挂墙板及连接节点的承载力时,荷载组合的效应设计值应符合下列规定:
1 持久设计状况:
当风荷载效应起控制作用时:

当永久荷载效应起控制作用时:

2 地震设计状况:
在水平地震作用下:

在竖向地震作用下:

式中:S——基本组合的效应设计值;
SEh——水平地震作用组合的效应设计值;
SEv——竖向地震作用组合的效应设计值;
SGk——永久荷载的效应标准值;
Swk——风荷载的效应标准值;
SEhk——水平地震作用的效应标准值;
SEvk——竖向地震作用的效应标准值;
γG——永久荷载分项系数,按本规程第10.2.2条规定取值;
γw——风荷载分项系数,取1.4;
γEh——水平地震作用分项系数,取1.3;
γEv——竖向地震作用分项系数,取1.3;
ψw——风荷载组合系数。在持久设计状况下取0.6,地震设计状况下取0.2。
条文说明
0.2.1、10.2.2 在外挂墙板和连接节点上的作用与作用效应的计算,均应按照我国现行国家标准《建筑结构荷载规范》GB 50009和《建筑抗震设计规范》GB 50011的规定执行。同时应注意:
1)对外挂墙板进行持久设计状况下的承载力验算时,应计算外挂墙板在平面外的风荷载效应;当进行地震设计状况下的承载力验算时,除应计算外挂墙板平面外水平地震作用效应外,尚应分别计算平面内水平和竖向地震作用效应,特别是对开有洞口的外挂墙板,更不能忽略后者。
2)承重节点应能承受重力荷载、外挂墙板平面外风荷载和地震作用、平面内的水平和竖向地震作用;非承重节点仅承受上述各种荷载与作用中除重力荷载外的各项荷载与作用。
3)在一定的条件下,旋转式外挂墙板可能产生重力荷载仅由一个承重节点承担的工况,应特别注意分析。
4)计算重力荷载效应值时,除应计入外挂墙板自重外,尚应计入依附于外挂墙板的其他部件和材料的自重。
5)计算风荷载效应标准值时,应分别计算风吸力和风压力在外挂墙板及其连接节点中引起的效应。
6)对重力荷载、风荷载和地震作用,均不应忽略由于各种荷载和作用对连接节点的偏心在外挂墙板中产生的效应。
7)外挂墙板和连接节点的截面和配筋设计应根据各种荷载和作用组合效应设计值中的最不利组合进行。
10.2.2 在持久设计状况、地震设计状况下,进行外挂墙板和连接节点的承载力设计时,永久荷载分项系数γG应按下列规定取值:
1 进行外挂墙板平面外承载力设计时,γG应取为0;进行外挂墙板平面内承载力设计时,γG应取为1.2;
2 进行连接节点承载力设计时,在持久设计状况下,当风荷载效应起控制作用时,γG应取为1.2,当永久荷载效应起控制作用时,γG应取为1.35;在地震设计状况下,γG应取为1.2。当永久荷载效应对连接节点承载力有利时,γG应取为1.0。
条文说明
0.2.1、10.2.2 在外挂墙板和连接节点上的作用与作用效应的计算,均应按照我国现行国家标准《建筑结构荷载规范》GB 50009和《建筑抗震设计规范》GB 50011的规定执行。同时应注意:
1)对外挂墙板进行持久设计状况下的承载力验算时,应计算外挂墙板在平面外的风荷载效应;当进行地震设计状况下的承载力验算时,除应计算外挂墙板平面外水平地震作用效应外,尚应分别计算平面内水平和竖向地震作用效应,特别是对开有洞口的外挂墙板,更不能忽略后者。
2)承重节点应能承受重力荷载、外挂墙板平面外风荷载和地震作用、平面内的水平和竖向地震作用;非承重节点仅承受上述各种荷载与作用中除重力荷载外的各项荷载与作用。
3)在一定的条件下,旋转式外挂墙板可能产生重力荷载仅由一个承重节点承担的工况,应特别注意分析。
4)计算重力荷载效应值时,除应计入外挂墙板自重外,尚应计入依附于外挂墙板的其他部件和材料的自重。
5)计算风荷载效应标准值时,应分别计算风吸力和风压力在外挂墙板及其连接节点中引起的效应。
6)对重力荷载、风荷载和地震作用,均不应忽略由于各种荷载和作用对连接节点的偏心在外挂墙板中产生的效应。
7)外挂墙板和连接节点的截面和配筋设计应根据各种荷载和作用组合效应设计值中的最不利组合进行。
10.2.3 风荷载标准值应按现行国家标准《建筑结构荷载规范》GB 50009有关围护结构的规定确定。
10.2.4 计算水平地震作用标准值时,可采用等效侧力法,并应按下式计算:

式中:FEhk——施加于外挂墙板重心处的水平地震作用标准值;
βE——动力放大系数,可取5.0;
αmax——水平地震影响系数最大值,应按表10.2.4采用;
Gk——外挂墙板的重力荷载标准值。
表10.2.4 水平地震影响系数最大值αmax

注:抗震设防烈度7、8度时括号内数值分别用于设计基本地震加速度为0.15g和0.30g的地区。
条文说明
10.2.4、10.2.5 外挂墙板的地震作用是依据现行国家标准《建筑抗震设计规范》GB 50011对于非结构构件的规定制定,并参照现行行业标准《玻璃幕墙工程技术规范》JGJ 102-2003的规定,对计算公式进行了简化。
10.2.5 竖向地震作用标准值可取水平地震作用标准值的0.65倍。
条文说明
10.2.4、10.2.5 外挂墙板的地震作用是依据现行国家标准《建筑抗震设计规范》GB 50011对于非结构构件的规定制定,并参照现行行业标准《玻璃幕墙工程技术规范》JGJ 102-2003的规定,对计算公式进行了简化。
10.3 外挂墙版和连接设计
0.3.1 外挂墙板的高度不宜大于一个层高,厚度不宜小于100mm。
10.3.2 外挂墙板宜采用双层、双向配筋,竖向和水平钢筋的配筋率均不应小于0.15%,且钢筋直径不宜小于5mm,间距不宜大于200mm。
10.3.3 门窗洞口周边、角部应配置加强钢筋。
10.3.4 外挂墙板最外层钢筋的混凝土保护层厚度除有专门要求外,应符合下列规定:
1 对石材或面砖饰面,不应小于15mm;
2 对清水混凝土,不应小于20mm;
3 对露骨料装饰面,应从最凹处混凝土表面计起,且不应小于20mm。
10.3.5 外挂墙板的截面设计应符合本规程第6.4节的要求。
10.3.6 外挂墙板与主体结构采用点支承连接时,连接件的滑动孔尺寸,应根据穿孔螺栓的直径、层间位移值和施工误差等因素确定。
10.3.7 外挂墙板间接缝的构造应符合下列规定:
1 接缝构造应满足防水、防火、隔声等建筑功能要求;
2 接缝宽度应满足主体结构的层间位移、密封材料的变形能力、施工误差、温差引起变形等要求,且不应小于15mm。
11 构建制作与运输
11.1 一般规定
11.1.1 预制构件制作单位应具备相应的生产工艺设施,并应有完善的质量管理体系和必要的试验检测手段。
11.1.2 预制构件制作前,应对其技术要求和质量标准进行技术交底,并应制定生产方案;生产方案应包括生产工艺、模具方案、生产计划、技术质量控制措施、成品保护、堆放及运输方案等内容。
11.1.3 预制构件用混凝土的工作性应根据产品类别和生产工艺要求确定,构件用混凝土原材料及配合比设计应符合国家现行标准《混凝土结构工程施工规范》GB 50666、《普通混凝土配合比设计规程》JGJ 55和《高强混凝土应用技术规程》JGJ/T 281等的规定。
11.1.4 预制结构构件采用钢筋套筒灌浆连接时,应在构件生产前进行钢筋套筒灌浆连接接头的抗拉强度试验,每种规格的连接接头试件数量不应少于3个。 ( 自2022年4月1日起废止该条,点击查看:新规 《混凝土结构通用规范》 GB 55008-2021)
11.1.5 预制构件用钢筋的加工、连接与安装应符合国家现行标准《混凝土结构工程施工规范》GB 50666和《混凝土结构工程施工质量验收规范》GB 50204等的有关规定。
11.2 制作准备
11.2.1 预制构件制作前,对带饰面砖或饰面板的构件,应绘制排砖图或排板图;对夹心外墙板,应绘制内外叶墙板的拉结件布置图及保温板排板图。
11.2.2 预制构件模具除应满足承载力、刚度和整体稳定性要求外,尚应符合下列规定:
1 应满足预制构件质量、生产工艺、模具组装与拆卸、周转次数等要求;
2 应满足预制构件预留孔洞、插筋、预埋件的安装定位要求;
3 预应力构件的模具应根据设计要求预设反拱。
11.2.3 预制构件模具尺寸的允许偏差和检验方法应符合表11.2.3的规定。当设计有要求时,模具尺寸的允许偏差应按设计要求确定。

注:l为模具与混凝土接触面中最长边的尺寸。
11.2.4 预埋件加工的允许偏差应符合表11.2.4的规定。
表11.2.4 预埋件加工允许偏差

11.2.5 固定在模具上的预埋件、预留孔洞中心位置的允许偏差应符合表11.2.5的规定。
表11.2.5 模具预留孔洞中心位置的允许偏差

注:检查中心线位置时,应沿纵、横两个方向量测,并取其中的较大值。
11.2.6 应选用不影响构件结构性能和装饰工程施工的隔离剂。
11.3 构件制作
11.3.1 在混凝土浇筑前应进行预制构件的隐蔽工程检查,检查项目应包括下列内容:
1 钢筋的牌号、规格、数量、位置、间距等;
2 纵向受力钢筋的连接方式、接头位置、接头质量、接头面积百分率、搭接长度等;
3 箍筋、横向钢筋的牌号、规格、数量、位置、间距,箍筋弯钩的弯折角度及平直段长度;
4 预埋件、吊环、插筋的规格、数量、位置等;
5 灌浆套筒、预留孔洞的规格、数量、位置等;
6 钢筋的混凝土保护层厚度;
7 夹心外墙板的保温层位置、厚度,拉结件的规格、数量、位置等;
8 预埋管线、线盒的规格、数量、位置及固定措施。
11.3.2 带面砖或石材饰面的预制构件宜采用反打一次成型工艺制作,并应符合下列要求:
1 当构件饰面层采用面砖时,在模具中铺设面砖前,应根据排砖图的要求进行配砖和加工;饰面砖应采用背面带有燕尾槽或粘结性能可靠的产品。
2 当构件饰面层采用石材时,在模具中铺设石材前,应根据排板图的要求进行配板和加工;应按设计要求在石材背面钻孔、安装不锈钢卡钩、涂覆隔离层。
3 应采用具有抗裂性和柔韧性、收缩小且不污染饰面的材料嵌填面砖或石材之间的接缝,并应采取防止面砖或石材在安装钢筋、浇筑混凝土等生产过程中发生位移的措施。
11.3.3 夹心外墙板宜采用平模工艺生产,生产时应先浇筑外叶墙板混凝土层,再安装保温材料和拉结件,最后浇筑内叶墙板混凝土层;当采用立模工艺生产时,应同步浇筑内外叶墙板混凝土层,并应采取保证保温材料及拉结件位置准确的措施。
11.3.4 应根据混凝土的品种、工作性、预制构件的规格形状等因素,制定合理的振捣成型操作规程。混凝土应采用强制式搅拌机搅拌,并宜采用机械振捣。
11.3.5 预制构件采用洒水、覆盖等方式进行常温养护时,应符合现行国家标准《混凝土结构工程施工规范》GB 50666的要求。
预制构件采用加热养护时,应制定养护制度对静停、升温、恒温和降温时间进行控制,宜在常温下静停2h~6h,升温、降温速度不应超过20℃/h,最高养护温度不宜超过70℃,预制构件出池的表面温度与环境温度的差值不宜超过25℃。
11.3.6 脱模起吊时,预制构件的混凝土立方体抗压强度应满足设计要求,且不应小于15N/mm2。
11.3.7 采用后浇混凝土或砂浆、灌浆料连接的预制构件结合面,制作时应按设计要求进行粗糙面处理。设计无具体要求时,可采用化学处理、拉毛或凿毛等方法制作粗糙面。
11.3.8 预应力混凝土构件生产前应制定预应力施工技术方案和质量控制措施,并应符合现行国家标准《混凝土结构工程施工规范》GB 50666和《混凝土结构工程施工质量验收规范》GB 50204的要求。
11.4 构件检验
11.4.1 预制构件的外观质量不应有严重缺陷,且不宜有一般缺陷。对已出现的一般缺陷,应按技术方案进行处理,并应重新检验。
11.4.2 预制构件的允许尺寸偏差及检验方法应符合表11.4.2的规定。预制构件有粗糙面时,与粗糙面相关的尺寸允许偏差可适当放松。
表11.4.2 预制构件尺寸允许偏差及检验方法

注:1 l为构件最长边的长度(mm);
2 检查中心线、螺栓和孔道位置偏差时,应沿纵横两个方向量测,并取其中偏差较大值。
11.4.3 预制构件应按设计要求和现行国家标准《混凝土结构工程施工质量验收规范》GB 50204的有关规定进行结构性能检验。
11.4.4 陶瓷类装饰面砖与构件基面的粘结强度应符合现行行业标准《建筑工程饰面砖粘结强度检验标准》JGJ 110和《外墙面砖工程施工及验收规范》JGJ 126等的规定。
11.4.5 夹心外墙板的内外叶墙板之间的拉结件类别、数量及使用位置应符合设计要求。
11.4.6 预制构件检查合格后,应在构件上设置表面标识,标识内容宜包括构件编号、制作日期、合格状态、生产单位等信息。
11.5 运输与堆放
11.5.1 应制定预制构件的运输与堆放方案,其内容应包括运输时间、次序、堆放场地、运输线路、固定要求、堆放支垫及成品保护措施等。对于超高、超宽、形状特殊的大型构件的运输和堆放应有专门的质量安全保证措施。
11.5.2 预制构件的运输车辆应满足构件尺寸和载重要求,装卸与运输时应符合下列规定:
1 装卸构件时,应采取保证车体平衡的措施;
2 运输构件时,应采取防止构件移动、倾倒、变形等的固定措施;
3 运输构件时,应采取防止构件损坏的措施,对构件边角部或链索接触处的混凝土,宜设置保护衬垫。
11.5.3 预制构件堆放应符合下列规定:
1 堆放场地应平整、坚实,并应有排水措施;
2 预埋吊件应朝上,标识宜朝向堆垛间的通道;
3 构件支垫应坚实,垫块在构件下的位置宜与脱模、吊装时的起吊位置一致;
4 重叠堆放构件时,每层构件间的垫块应上下对齐,堆垛层数应根据构件、垫块的承载力确定,并应根据需要采取防止堆垛倾覆的措施;
5 堆放预应力构件时,应根据构件起拱值的大小和堆放时间采取相应措施。
11.5.4 墙板的运输与堆放应符合下列规定:
1 当采用靠放架堆放或运输构件时,靠放架应具有足够的承载力和刚度,与地面倾斜角度宜大于80°;墙板宜对称靠放且外饰面朝外,构件上部宜采用木垫块隔离;运输时构件应采取固定措施。
2 当采用插放架直立堆放或运输构件时,宜采取直立运输方式;插放架应有足够的承载力和刚度,并应支垫稳固。
3 采用叠层平放的方式堆放或运输构件时,应采取防止构件产生裂缝的措施。
11.5 运输与堆放
11.5.1 应制定预制构件的运输与堆放方案,其内容应包括运输时间、次序、堆放场地、运输线路、固定要求、堆放支垫及成品保护措施等。对于超高、超宽、形状特殊的大型构件的运输和堆放应有专门的质量安全保证措施。
11.5.2 预制构件的运输车辆应满足构件尺寸和载重要求,装卸与运输时应符合下列规定:
1 装卸构件时,应采取保证车体平衡的措施;
2 运输构件时,应采取防止构件移动、倾倒、变形等的固定措施;
3 运输构件时,应采取防止构件损坏的措施,对构件边角部或链索接触处的混凝土,宜设置保护衬垫。
11.5.3 预制构件堆放应符合下列规定:
1 堆放场地应平整、坚实,并应有排水措施;
2 预埋吊件应朝上,标识宜朝向堆垛间的通道;
3 构件支垫应坚实,垫块在构件下的位置宜与脱模、吊装时的起吊位置一致;
4 重叠堆放构件时,每层构件间的垫块应上下对齐,堆垛层数应根据构件、垫块的承载力确定,并应根据需要采取防止堆垛倾覆的措施;
5 堆放预应力构件时,应根据构件起拱值的大小和堆放时间采取相应措施。
11.5.4 墙板的运输与堆放应符合下列规定:
1 当采用靠放架堆放或运输构件时,靠放架应具有足够的承载力和刚度,与地面倾斜角度宜大于80°;墙板宜对称靠放且外饰面朝外,构件上部宜采用木垫块隔离;运输时构件应采取固定措施。
2 当采用插放架直立堆放或运输构件时,宜采取直立运输方式;插放架应有足够的承载力和刚度,并应支垫稳固。
3 采用叠层平放的方式堆放或运输构件时,应采取防止构件产生裂缝的措施。
12 结构施工
12.1 一般规定
12.1.1 装配式结构施工前应制定施工组织设计、施工方案;施工组织设计的内容应符合现行国家标准《建筑工程施工组织设计规范》GB/T 50502的规定;施工方案的内容应包括构件安装及节点施工方案、构件安装的质量管理及安全措施等。
12.1.2 装配式结构的后浇混凝土部位在浇筑前应进行隐蔽工程验收。验收项目应包括下列内容:
1 钢筋的牌号、规格、数量、位置、间距等;
2 纵向受力钢筋的连接方式、接头位置、接头数量、接头面积百分率、搭接长度等;
3 纵向受力钢筋的锚固方式及长度;
4 箍筋、横向钢筋的牌号、规格、数量、位置、间距,箍筋弯钩的弯折角度及平直段长度;
5 预埋件的规格、数量、位置;
6 混凝土粗糙面的质量,键槽的规格、数量、位置;
7 预留管线、线盒等的规格、数量、位置及固定措施。
12.1.3 预制构件、安装用材料及配件等应符合设计要求及国家现行有关标准的规定。
12.1.4 吊装用吊具应按国家现行有关标准的规定进行设计、验算或试验检验。
吊具应根据预制构件形状、尺寸及重量等参数进行配置,吊索水平夹角不宜小于60°,且不应小于45°;对尺寸较大或形状复杂的预制构件,宜采用有分配梁或分配桁架的吊具。
12.1.5 钢筋套筒灌浆前,应在现场模拟构件连接接头的灌浆方式,每种规格钢筋应制作不少于3个套筒灌浆连接接头,进行灌注质量以及接头抗拉强度的检验;经检验合格后,方可进行灌浆作业。
12.1.6 在装配式结构的施工全过程中,应采取防止预制构件及预制构件上的建筑附件、预埋件、预埋吊件等损伤或污染的保护措施。
12.1.7 未经设计允许不得对预制构件进行切割、开洞。
12.1.8 装配式结构施工过程中应采取安全措施,并应符合现行行业标准《建筑施工高处作业安全技术规范》JGJ 80、《建筑机械使用安全技术规程》JGJ 33和《施工现场临时用电安全技术规范》JGJ 46等的有关规定。
12.2 安装准备
12.2.1 应合理规划构件运输通道和临时堆放场地,并应采取成品堆放保护措施。
12.2.2 安装施工前,应核对已施工完成结构的混凝土强度、外观质量、尺寸偏差等符合现行国家标准《混凝土结构工程施工规范》GB 50666和本规程的有关规定,并应核对预制构件的混凝土强度及预制构件和配件的型号、规格、数量等符合设计要求。
12.2.3 安装施工前,应进行测量放线、设置构件安装定位标识。
12.2.4 安装施工前,应复核构件装配位置、节点连接构造及临时支撑方案等。
12.2.5 安装施工前,应检查复核吊装设备及吊具处于安全操作状态。
12.2.6 安装施工前,应核实现场环境、天气、道路状况等满足吊装施工要求。
12.2.7 装配式结构施工前,宜选择有代表性的单元进行预制构件试安装,并应根据试安装结果及时调整完善施工方案和施工工艺。
12.3 安装与连接
12.3.1 预制构件吊装就位后,应及时校准并采取临时固定措施,并应符合现行国家标准《混凝土结构工程施工规范》GB 50666的相关规定。
12.3.2 采用钢筋套筒灌浆连接、钢筋浆锚搭接连接的预制构件就位前,应检查下列内容:
1 套筒、预留孔的规格、位置、数量和深度;
2 被连接钢筋的规格、数量、位置和长度。
当套筒、预留孔内有杂物时,应清理干净;当连接钢筋倾斜时,应进行校直。连接钢筋偏离套筒或孔洞中心线不宜超过5mm。
12.3.3 墙、柱构件的安装应符合下列规定:
1 构件安装前,应清洁结合面;
2 构件底部应设置可调整接缝厚度和底部标高的垫块;
3 钢筋套筒灌浆连接接头、钢筋浆锚搭接连接接头灌浆前,应对接缝周围进行封堵,封堵措施应符合结合面承载力设计要求;
4 多层预制剪力墙底部采用坐浆材料时,其厚度不宜大于20mm。
12.3.4 钢筋套筒灌浆连接接头、钢筋浆锚搭接连接接头应按检验批划分要求及时灌浆,灌浆作业应符合国家现行有关标准及施工方案的要求,并应符合下列规定:
1 灌浆施工时,环境温度不应低于5℃;当连接部位养护温度低于10℃时,应采取加热保温措施;
2 灌浆操作全过程应有专职检验人员负责旁站监督并及时形成施工质量检查记录;
3 应按产品使用说明书的要求计量灌浆料和水的用量,并搅拌均匀;每次拌制的灌浆料拌合物应进行流动度的检测,且其流动度应满足本规程的规定;
4 灌浆作业应采用压浆法从下口灌注,当浆料从上口流出后应及时封堵,必要时可设分仓进行灌浆;
5 灌浆料拌合物应在制备后30min内用完。
12.3.5 焊接或螺栓连接的施工应符合国家现行标准《钢筋焊接及验收规程》JGJ 18、《钢结构焊接规范》GB 50661、《钢结构工程施工规范》GB 50755和《钢结构工程施工质量验收规范》GB 50205的有关规定。
采用焊接连接时,应采取防止因连续施焊引起的连接部位混凝土开裂的措施。
12.3.6 钢筋机械连接的施工应符合现行行业标准《钢筋机械连接技术规程》JGJ 107的有关规定。
12.3.7 后浇混凝土的施工应符合下列规定:
1 预制构件结合面疏松部分的混凝土应剔除并清理干净;
2 模板应保证后浇混凝土部分形状、尺寸和位置准确,并应防止漏浆;
3 在浇筑混凝土前应洒水润湿结合面,混凝土应振捣密实;
4 同一配合比的混凝土,每工作班且建筑面积不超过1000m2应制作一组标准养护试件,同一楼层应制作不少于3组标准养护试件。
12.3.8 构件连接部位后浇混凝土及灌浆料的强度达到设计要求后,方可拆除临时固定措施。
12.3.9 受弯叠合构件的装配施工应符合下列规定:
1 应根据设计要求或施工方案设置临时支撑;
2 施工荷载宜均匀布置,并不应超过设计规定;
3 在混凝土浇筑前,应按设计要求检查结合面的粗糙度及预制构件的外露钢筋;
4 叠合构件应在后浇混凝土强度达到设计要求后,方可拆除临时支撑。
12.3.10 安装预制受弯构件时,端部的搁置长度应符合设计要求,端部与支承构件之间应坐浆或设置支承垫块,坐浆或支承垫块厚度不宜大于20mm。
12.3.11 外挂墙板的连接节点及接缝构造应符合设计要求;墙板安装完成后,应及时移除临时支承支座、墙板接缝内的传力垫块。
12.3.12 外墙板接缝防水施工应符合下列规定:
1 防水施工前,应将板缝空腔清理干净;
2 应按设计要求填塞背衬材料;
3 密封材料嵌填应饱满、密实、均匀、顺直、表面平滑,其厚度应符合设计要求。
13 工程验收
13.1 一般规定
13.1.1 装配式结构应按混凝土结构子分部工程进行验收;当结构中部分采用现浇混凝土结构时,装配式结构部分可作为混凝土结构子分部工程的分项工程进行验收。
装配式结构验收除应符合本规程规定外,尚应符合现行国家标准《混凝土结构工程施工质量验收规范》GB 50204的有关规定。
13.1.2 预制构件的进场质量验收应符合现行国家标准《混凝土结构工程施工质量验收规范》GB 50204的有关规定。
13.1.3 装配式结构焊接、螺栓等连接用材料的进场验收应符合现行国家标准《钢结构工程施工质量验收规范》GB 50205的有关规定。
13.1.4 装配式结构的外观质量除设计有专门的规定外,尚应符合现行国家标准《混凝土结构工程施工质量验收规范》GB 50204中关于现浇混凝土结构的有关规定。
13.1.5 装配式建筑的饰面质量应符合设计要求,并应符合现行国家标准《建筑装饰装修工程质量验收规范》GB 50210的有关规定。
13.1.6 装配式混凝土结构验收时,除应按现行国家标准《混凝土结构工程施工质量验收规范》GB 50204的要求提供文件和记录外,尚应提供下列文件和记录:
1 工程设计文件、预制构件制作和安装的深化设计图;
2 预制构件、主要材料及配件的质量证明文件、进场验收记录、抽样复验报告;
3 预制构件安装施工记录;
4 钢筋套筒灌浆、浆锚搭接连接的施工检验记录;
5 后浇混凝土部位的隐蔽工程检查验收文件;
6 后浇混凝土、灌浆料、坐浆材料强度检测报告;
7 外墙防水施工质量检验记录;
8 装配式结构分项工程质量验收文件;
9 装配式工程的重大质量问题的处理方案和验收记录;
10 装配式工程的其他文件和记录。
13.2 主控项目
13.2.1 后浇混凝土强度应符合设计要求。
检查数量:按批检验,检验批应符合本规程第12.3.7条的有关要求。
检验方法:按现行国家标准《混凝土强度检验评定标准》GB/T 50107的要求进行。
13.2.2 钢筋套筒灌浆连接及浆锚搭接连接的灌浆应密实饱满。
检查数量:全数检查。
检验方法:检查灌浆施工质量检查记录。
13.2.3 钢筋套筒灌浆连接及浆锚搭接连接用的灌浆料强度应满足设计要求。
检查数量:按批检验,以每层为一检验批;每工作班应制作一组且每层不应少于3组40mm×40mm×160mm的长方体试件,标准养护28d后进行抗压强度试验。
检验方法:检查灌浆料强度试验报告及评定记录。
13.2.4 剪力墙底部接缝坐浆强度应满足设计要求。
检查数量:按批检验,以每层为一检验批;每工作班应制作一组且每层不应少于3组边长为70.7mm的立方体试件,标准养护28d后进行抗压强度试验。
检验方法:检查坐浆材料强度试验报告及评定记录。
13.2.5 钢筋采用焊接连接时,其焊接质量应符合现行行业标准《钢筋焊接及验收规程》JGJ 18的有关规定。
检查数量:按现行行业标准《钢筋焊接及验收规程》JGJ 18的规定确定。
检验方法:检查钢筋焊接施工记录及平行加工试件的强度试验报告。
13.2.6 钢筋采用机械连接时,其接头质量应符合现行行业标准《钢筋机械连接技术规程》JGJ 107的有关规定。
检查数量:按现行行业标准《钢筋机械连接技术规程》JGJ 107的规定确定。
检验方法:检查钢筋机械连接施工记录及平行加工试件的强度试验报告。
13.2.7 预制构件采用焊接连接时,钢材焊接的焊缝尺寸应满足设计要求,焊缝质量应符合现行国家标准《钢结构焊接规范》GB 50661和《钢结构工程施工质量验收规范》GB 50205的有关规定。
检查数量:全数检查。
检验方法:按现行国家标准《钢结构工程施工质量验收规范》GB 50205的要求进行。
13.2.8 预制构件采用螺栓连接时,螺栓的材质、规格、拧紧力矩应符合设计要求及现行国家标准《钢结构设计规范》GB 50017和《钢结构工程施工质量验收规范》GB 50205的有关规定。
检查数量:全数检查。
检验方法:按现行国家标准《钢结构工程施工质量验收规范》GB 50205的要求进行。
13.3 一般项目
13.3.1 装配式结构尺寸允许偏差应符合设计要求,并应符合表13.3.1中的规定。
检查数量:按楼层、结构缝或施工段划分检验批。在同一检验批内,对梁、柱,应抽查构件数量的10%,且不少于3件;对墙和板,应按有代表性的自然间抽查10%,且不少于3间;对大空间结构,墙可按相邻轴线间高度5m左右划分检查面,板可按纵、横轴线划分检查面,抽查10%,且均不少于3面。

13.3.2 外墙板接缝的防水性能应符合设计要求。
检查数量:按批检验。每1000㎡外墙面积应划分为一个检验批,不足1000m2时也应划分为一个检验批;每个检验批每100㎡应至少抽查一处,每处不得少于10㎡。
检验方法:检查现场淋水试验报告。
附录A 多层剪力墙结构水平接缝连接节点构造
A.0.1 连接钢筋采用套筒灌浆连接(图A.0.1)时,可在下层预制剪力墙中设置竖向连接钢筋与上层预制剪力墙内的连接钢筋通过套筒灌浆连接,并应符合本规程第6.5.3条的规定;连接钢筋可在预制剪力墙中通长设置,或在预制剪力墙中可靠锚固。

图A.0.1 连接钢筋套筒灌浆连接构造示意
1-钢筋套筒灌浆连接;2-连接钢筋;3-坐浆层
A.0.2 连接钢筋采用浆锚搭接连接(图A.0.2)时,可在下层预制剪力墙中设置竖向连接钢筋与上层预制剪力墙内的连接钢筋通过浆锚搭接连接,并应符合本规程第6.5.4条的规定;连接钢筋可在预制剪力墙中通长设置,或在预制剪力墙中可靠锚固。

图A.0.2 连接钢筋浆锚搭接连接构造示意
1-钢筋浆锚搭接连接;2-连接钢筋;3-坐浆层
A.0.3 连接钢筋采用焊接连接(图A.0.3)时,可在下层预制剪力墙中设置竖向连接钢筋,与上层预制剪力墙底部的预留钢筋焊接连接,焊接长度不应小于10d(d为连接钢筋直径);连接部位预留键槽的尺寸,应满足焊接施工的空间要求;预留键槽应用后浇细石混凝土填实。连接钢筋可在预制剪力墙中通长设置,或在预制剪力墙中可靠锚固。当下层预制剪力墙中的连接钢筋兼作吊环使用时,尚应符合现行国家标准《混凝土结构设计规范》GB 50010的有关规定。

图A.0.3 连接钢筋焊接连接构造示意
1-上层预制剪力墙连接钢筋;2-下层预制剪力墙连接钢筋;3-坐浆层
A.0.4 连接钢筋采用预焊钢板焊接连接(图A.0.4)时,应在下层预制剪力墙中设置竖向连接钢筋,与在上层预制剪力墙中设置的连接钢筋底部预焊的连接用钢板焊接连接,焊接长度不应小于10d(d为连接钢筋直径);连接部位预留键槽的尺寸,应满足焊接施工的空间要求;预留键槽应采用后浇细石混凝土填实。连接钢筋应在预制剪力墙中通长设置,或在预制剪力墙中可靠锚固。当下层预制剪力墙体中的连接钢筋兼作吊环使用时,尚应符合现行国家标准《混凝土结构设计规范》GB 50010的有关规定。

图 A.0.4 连接钢筋预焊钢板接连接构造示意
1-预焊钢板;2-下层预制剪力墙连接钢筋;3-坐浆层;4-上层预制剪力墙连接钢筋
本规程用词说明
1 为便于在执行本规程条文时区别对待,对要求严格程度不同的用词说明如下:
1)表示很严格,非这样做不可的:
正面词采用“必须”,反面词采用“严禁”;
2)表示严格,在正常情况下均应这样做的:
正面词采用“应”,反面词采用“不应”或“不得”;
3)表示允许稍有选择,在条件允许时首先这样做的:
正面词采用“宜”,反面词采用“不宜”;
4)表示有选择,在一定条件下可以这样做的,采用“可”。
2 条文中指明应按其他有关标准执行的写法为:“应符合……的规定”或“应按……执行”。
引用标准名录
1 《建筑模数协调标准》GB 50002
2 《建筑结构荷载规范》GB 50009
3 《混凝土结构设计规范》GB 50010
4 《建筑抗震设计规范》GB 50011
5 《建筑防火设计规范》GB 50016
6 《钢结构设计规范》GB 50017
7 《普通混凝土拌合物性能试验方法标准》GB/T 50080
8 《混凝土强度检验评定标准》GB/T 50107
9 《混凝土结构工程施工质量验收规范》GB 50204
10 《钢结构工程施工质量验收规范》GB 50205
11 《建筑装饰装修工程质量验收规范》GB 50210
12 《建筑内部装修设计防火规范》GB 50222
13 《建筑工程抗震设防分类标准》GB 50223
14 《民用建筑工程室内环境污染控制规范》GB 50325
15 《水泥基灌浆材料应用技术规范》GB/T 50448
16 《建筑工程施工组织设计规范》GB/T 50502
17 《钢结构焊接规范》GB 50661
18 《混凝土结构工程施工规范》GB 50666
19 《钢结构工程施工规范》GB 50755
20 《混凝土外加剂匀质性试验方法》GB/T 8077
21 《建筑材料及制品燃烧性能分级》GB 8624
22 《硅酮建筑密封胶》GB/T 14683
23 《高层建筑混凝土结构技术规程》JGJ 3
24 《钢筋焊接及验收规程》JGJ 18
25 《建筑机械使用安全技术规程》JGJ 33
26 《施工现场临时用电安全技术规范》JGJ 46
27 《普通混凝土配合比设计规程》JGJ 55
28 《建筑施工高处作业安全技术规范》JGJ 80
29 《钢筋机械连接技术规程》JGJ 107
30 《建筑工程饰面砖粘结强度检验标准》JGJ 110
31 《钢筋焊接网混凝土结构技术规程》JGJ 114
32 《外墙面砖工程施工及验收规范》JGJ 126
33 《地面辐射供暖技术规程》JGJ 142
34 《钢筋锚固板应用技术规程》JGJ 256
35 《高强混凝土应用技术规程》JGJ/T 281
36 《聚氨酯建筑密封胶》JC/T 482
37 《聚硫建筑密封胶》JC/T 483
38 《钢筋连接用灌浆套筒》JG/T 398
39 《钢筋连接用套筒灌浆料》JG/T 408
自2022年4月1日起废止的条文

