Appearance
《采光顶与金属屋面技术规程[附条文说明]》JGJ 255-2012
🗓️ 住房和城乡建设部 实施时间:2012-10-01
前言
中华人民共和国行业标准
采光顶与金属屋面技术规程
Technical specification for skylight and metal roof
JGJ 255-2012
批准部门:中华人民共和国住房和城乡建设部
施行日期:2012年10月1日
中华人民共和国住房和城乡建设部公告
第1348号
关于发布行业标准《采光顶与金属屋面技术规程》的公告
现批准《采光顶与金属屋面技术规程》为行业标准,编号为JGJ 255-2012,自2012年10月1日起实施。其中,第3.1.6、4.5.1、4.6.4条为强制性条文,必须严格执行。
本规程由我部标准定额研究所组织中国建筑工业出版社出版发行。
中华人民共和国住房和城乡建设部
2012年4月5日

前言
根据原建设部《关于印发<2005年工程建设标准规范制订、修订计划(第一批)>的通知》 (建标[2005]84号)的要求,规程编制组经广泛调查研究,认真总结实践经验,参考有关国际标准和国外先进标准,并在广泛征求意见的基础上,编制本规程。
本规程的主要技术内容是:1.总则;2.术语和符号;3.材料;4.建筑设计;5.结构设计基本规定;6.面板及支承构件设计;7.构造及连接设计;8.加工制作;9.安装施工;10.工程验收;11.保养和维修。
本规程中以黑体字标志的条文为强制性条文,必须严格执行。
本规程由住房和城乡建设部负责管理和对强制性条文的解释,由中国建筑科学研究院负责具体技术内容的解释。执行过程中如果有意见或建议,请寄送中国建筑科学研究院(地址:北京市北三环东路30号院物理所;邮政编码:100013)
1 总则
1 总 则
1.0.1 为贯彻执行国家的技术经济政策,使采光顶与金属屋面工程做到安全适用、技术先进、经济合理,制定本规程。
条文说明
1.0.1 建筑幕墙、采光顶与金属屋面是重要的建筑围护结构,在我国获得蓬勃发展,其使用量已位居世界前列。在我国,建筑幕墙标准化已经形成相对独立、比较完善的体系,一系列标准已经陆续完成了制定或修订,但采光顶与金属屋面标准化体系还不够完善,不能满足工程的需要,因此为了使采光顶与金属屋面的设计、加工制作、安装施工和维修保养做到安全适用、经济合理,编制本规程。 采光顶常用的面板材料有玻璃、聚碳酸酯板等。面板支承方式也多种多样,主要包括框架支承和点支承,其中框架支承包括三边、四边、多边支承,与玻璃幕墙类似,框架支承还可分为明框、半隐框和隐框方式;点支承包括三点、四点、六点等支承方式,通过钢爪或夹板固定玻璃。聚碳酸酯板可采用平板、多层中空板等,其中U形中空板结构设计合理,防水性能好。采光顶的支承结构也千变万化,通常采用钢结构、铝合金结构或玻璃结构等,钢结构包括:刚性结构(梁、拱、树状支柱、桁架和网架、单层和双层网壳等)、柔性结构(张拉索杆体系、自平衡索杆体系、索网和整体张拉索穹顶等)和混合结构(同时采用刚性结构和柔性结构的支承体系)等。 金属屋面是20世纪60~70年代开始使用,近几年才大量应用的屋面系统,从发展阶段上看,由开始的金属平板类建筑幕墙系统发展到专业压型板(连续板材)类系统,在技术方面实现很大的飞跃。采用建筑幕墙构造的金属屋面可以参考幕墙类规范执行,技术方面相对成熟。采用压型板的金属屋面构造设计方面比较成熟,但在计算理论方面尚需进一步研究。通常压型板金属屋面可以分为四类:直立锁边屋面系统、直立卷边屋面系统、转角立边双咬合屋面系统和古典式扣盖屋面系统。 直立锁边点支承屋面系统是通过专用设备或手工咬合工艺,将直立锁边板和T形支座咬合并连接到屋面支承结构的金属屋面系统,主要用于大跨度建筑屋面。其特点是:T形支座通过咬合方式连接,屋面板不设置穿孔,防水性能好;U形直立锁边板自身形成相互独立的排水槽,使屋面能够有效地进行排水,排水性能高;在面板和支座之间能够实现滑动,有效吸收屋面板因热胀冷缩等产生的温差变形,使得该系统在纵向超长尺寸面板的应用中有明显优势。 直立卷边咬合系统采用压型板三维弯弧,并进行立边卷边咬合,能够满足特异造型的需要,通常用于倾斜小于25°的屋面、球面及弧形屋面,在建筑外观要求比较时尚的建筑中应用较为广泛。该系统还具有立边高度小、板材损耗少、重量轻、安装方便等优点。 转角立边双咬合和古典式扣盖屋面系统应用较少,可参考本规程采用。 太阳能光伏系统作为一种新型的绿色的能源技术,是国家重点支持的新能源领域。光伏建筑一体化是光伏系统应用的重要形式,为了更好地获得太阳能资源,通常将光伏系统与采光顶、金属屋面结合设计。因此为促进光伏系统在建筑中的应用,确保工程质量,本规程编制组在大量工程实例调查分析基础上,编制了光伏系统在采光顶、金属屋面工程中应用的要求。 雨棚结构设计形式多样,与开放式采光顶、金属屋面具有相似性,可参照本规程的相关规定执行。
1.0.2 本规程适用于民用建筑采光顶与金属屋面工程的材料选用、设计、制作、安装施工、工程验收以及维修和保养,适用于非抗震设计采光顶与金属屋面工程、抗震设防烈度为6、7、8度的采光顶工程和抗震设防烈度为6、7、8和9度的金属屋面工程。
条文说明
1.0.2 本规程适用范围未包含工业采光顶与金属屋面工程,主要考虑到工业建筑范围很广,往往有不同于民用建筑的特殊要求,如可能存在腐蚀、辐射、高温、高湿、振动、爆炸等特殊条件,本规程难以全部涵盖。当然,一般用途的工业建筑,其玻璃与金属面板的设计、制作等可参照本规程的有关规定,有特殊要求的,应专门研究,并采取相应的措施。 9度抗震设计的玻璃采光顶,工程经验不多。9度时地震作用较大,主体结构的变形很大,甚至可能发生比较严重的破坏,采光顶的设计、制作、安装施工需要采取更有效的措施,才能保证在9度抗震设防时达到本规程第1.0.3条的要求。因此,本规程尚未将9度抗震设计的采光顶列入适用范围。对因特殊需要,必须在9度抗震设防区建造采光顶工程时,应专门研究,并采取更有效的抗震措施。
1.0.3 采光顶与金属屋面应具有规定的工作性能。抗震设计的采光顶与金属屋面,在多遇地震作用下应能正常使用;在设防烈度地震作用下经修理后应仍可使用;在罕遇地震作用下支承构件等不得脱落。
条文说明
1.0.3 采光顶与金属屋面应具有良好的抗风压、气密、水密、热工和隔声等性能。面板本身应具有足够的承载能力,避免在风荷载和其他荷载组合作用下破坏。我国沿海地区经常受到台风的袭击,设计中应考虑有足够的抗风能力。在风荷载作用下,采光顶与金属屋面和主体结构之间的连接件发生拔出、拉断等严重破坏的情况比较少见,主要问题是保证其足够的活动能力,使采光顶与金属屋面构件避免受主体结构过大位移的影响。 在地震作用下,采光顶与金属屋面构件和连接件会受到动力作用,防止或减轻地震震害的主要途径是加强构造措施。 在多遇地震作用下,采光顶与金属屋面不允许破坏,应保持完好;在设防烈度地震作用下,采光顶与金属屋面不应有严重破损,一般只允许部分面板破碎,经修理后仍然可以使用;在罕遇地震作用下(相当于比设防烈度约高1.0度,重现期大约1500~2000年,50年超越概率约2%~3%),可能会严重破坏(比如面板破碎),但支承结构、构件不应脱落、倒塌。这种规定与我国现行国家标准《建筑抗震设计规范》GB 50011的指导思想是一致的。
1.0.4 采光顶与金属屋面工程设计、制作、安装和施工应实行全过程的质量控制。应从工程实际情况出发,合理选用材料、结构方案和构造措施,结构构件在运输、安装和使用过程中应满足承载力、刚度和稳定性要求,并符合防火、防腐蚀要求。
条文说明
1.0.4 采光顶与金属屋面在建筑物中既是建筑的外装饰,同时又是建筑物的外围护结构,是跨行业的综合性技术,从设计、材料选用、加工制作和安装施工等方面,都应从严控制,精心操作。因此,应进行采光顶与金属屋面生产全过程的质量控制,有效保证采光顶与金属屋面工程质量和安全。 虽然采光顶与金属屋面自身不分担主体建筑的荷载和作用,但它要承受自身受到的荷载、地震作用和温度变化等,因此,必须满足风荷载、雪荷载、积灰荷载、地震作用和温度变化对它的影响,使采光顶与金属屋面具有足够的安全性。
1.0.5 采光顶与金属屋面工程除应符合本规程外,尚应符合国家现行有关标准的规定。
条文说明
1.0.5 构成采光顶与金属屋面的主要材料有:钢材、铝材、玻璃、金属面板和粘结密封材料等,大多数材料均有国家标准、行业标准,在选择材料时应符合这些标准的要求。 在采光顶与金属屋面的设计、制作和施工中,密切相关的还有下列现行国家标准或行业标准:《建筑幕墙》GB/T 21086、《玻璃幕墙工程技术规范》JGJ 102、《建筑玻璃应用技术规程》JGJ 113、《建筑结构荷载规范》GB 50009、《建筑装饰装修工程质量验收规范》GB 50210、《钢结构设计规范》GB 50017、《冷弯薄壁型钢结构技术规范》GB 50018、《铝合金结构设计规范》GB 50429、《公共建筑节能设计标准》GB 50189、《民用建筑太阳能光伏系统应用技术规范》JGJ 203、《高层民用建筑设计防火规范》GB 50045、《建筑设计防火规范》GB 50016、《建筑物防雷设计规范》GB 50057、《钢结构工程施工质量验收规范》GB 50205、《屋面工程技术规范》GB 50345和《屋面工程质量验收规范》GB 50207等以及有关建筑幕墙物理性能方面的标准等,其相关的规定也应参照执行。
2 术语和符号
2.1 术语
2 术语和符号
2.1 术 语
2.1.1 采光顶 transparent roof,skylight
由透光面板与支承体系组成,不分担主体结构所受作用且与水平方向夹角小于75°的建筑围护结构。
2.1.2 金属屋面 metal roof
由金属面板与支承体系组成,不分担主体结构所受作用且与水平方向夹角小于75°的建筑围护结构。
2.1.3 光伏采光顶 skylight with PV system
与光伏系统具有结合关系的采光顶。
2.1.4 光伏金属屋面 metal roof with PV system
与光伏系统具有结合关系的金属屋面。
2.1.5 框支承采光顶 stick framed skylight,stick framed transparent roof
在主体结构上安装框架和透光面板所组成的采光顶。
2.1.6 点支承采光顶 point-supported glass roof
由面板、点支承装置或支承结构构成的采光顶。
2.1.7 平顶 horizontal roof
坡度小于3%的采光顶或金属屋面。
2.1.8 框支承金属屋面 stick framed metal roof
在主体结构上安装框架和金属面板所组成的金属屋面。
2.1.9 直立锁边金属屋面 standing seam metal roof
采用直立锁边板和T形支座咬合并连接到屋面支承结构的金属屋面系统。
2.1.10 正弦波纹板金属屋面 sinusoidal corrugated roof
采用正弦波纹板连接到屋面支承结构的金属屋面系统。
2.1.11 梯形板金属屋面 trapezoidal corrugated roof
采用梯形板连接到屋面支承结构的金属屋面系统。
2.1.12 直立锁边板 U-shape sheet for lock standing seam roof
截面为U形,能够通过专用设备或手工工艺将其相邻面板立边咬合而形成连续金属屋面的一种金属压型板。
2.1.13 T形支座 T fixing clip
用于直立锁边板和屋面支承体系之间,截面形状为T形的连接构件。
2.1.14 双层金属屋面系统 double-skin metal roof
在直立锁边金属屋面系统外侧附有屋面装饰层的金属屋面系统。
2.1.15 聚碳酸酯板 Polycarbonate sheet
以聚碳酸酯为原材料制成的实心或空心的板材或罩体,俗称为阳光板,实心板又称为PC板。
2.1.16 雨篷 canopy
建筑物外门顶部具有遮阳、挡雨和保护门扇作用的建筑结构。
2.1.17 抗风掀 wind uplift resistance
金属屋面抵抗由于风荷载产生的向上作用的能力。
2.2 符号
2.2 符 号
2.2.1 材料力学性能
E——材料弹性模量;
f——材料强度设计值;
f g ——玻璃强度设计值;
f v ——钢材剪切强度设计值;
f 1 ——硅酮结构密封胶短期荷载作用下强度设计值;
f 2 ——硅酮结构密封胶永久荷载作用下强度设计值。
2.2.2 作用和作用效应
d f ——在均布荷载标准值作用下构件挠度最大值;
G k ——重力荷载标准值;
M——弯矩设计值;
N——轴力设计值;
P Ek ——水平地震作用标准值;
q、q k ——均布荷载、荷载标准组合值;
q G ——单位面积重力荷载设计值;
R——构件承载力设计值,支座反力;
S——作用效应组合的设计值;
S Ek ——地震作用效应标准值;
S Gk ——永久重力荷载效应标准值;
S wk ——风荷载效应标准值;
S Qk ——可变重力荷载效应标准值;
V——剪力设计值;
ω 0 ——基本风压;
σ——在均布荷载作用下面板最大应力。
2.2.3 几何参数
A——构件截面面积或毛截面面积;采光顶与金属屋面平面面积;
a——矩形面板短边边长;
b——矩形面板长边边长;
c s ——硅酮结构密封胶的粘结宽度;
D——弯曲刚度;
D e ——等效弯曲刚度;
l——跨度;
t——面板厚度;型材截面厚度;
t s ——硅酮结构密封胶粘结厚度;
t e ——等效厚度;
W——毛截面模量;
W e ——等效截面模量;
ν——材料泊松比。
2.2.4 系数
α——材料线膨胀系数;
α max ——水平地震影响系数最大值;
β E ——地震作用动力放大系数;
δ——硅酮结构密封胶的位移承受能力;
φ——稳定系数;
γ——塑性发展系数;
γ 0 ——结构构件重要性系数;
γ g ——材料自重标准值;
γ E ——地震作用分项系数;
γ G ——永久重力荷载分项系数;
γ Q ——可变重力荷载分项系数;
γ w ——风荷载分项系数;
η——折减系数;
m、m x 、m y ——弯矩系数;
μ——挠度系数;支座计算长度系数;
μ sl ——局部风荷载体型系数;
μ z ——风压高度变化系数;
φ Q ——可变重力荷载的组合值系数;
φ w ——风荷载作用效应的组合值系数。
2.2.5 其他
d f,lim ——构件挠度限值。
3 材料
3.1 一般规定
3 材 料
3.1 一般规定
3.1.1 采光顶与金属屋面用材料应符合国家现行标准的有关规定。
条文说明
3.1.1 材料是保证采光顶与金属屋面质量和安全的物质基础。采光顶与金属屋面所使用的材料概括起来,基本上可分为五大类:支承框架、面板、密封填缝、结构粘结和其他辅助材料(保温材料、隔声材料和隔汽材料等)。对于光伏采光顶和金属屋面,除了上述材料外,还包含大量的电气材料、设备和附件。这些材料和设备由于生产厂家不同,质量差别较大。因此为确保采光顶与金属屋面安全可靠,就要求所使用的材料应符合国家或行业标准规定的要求;对其中少量暂时还没有国家标准的材料,应符合设计要求,或参考国外同类产品标准要求;生产企业制定的企业标准经备案后可作为产品质量控制的依据。
3.1.2 采光顶与金属屋面应选用耐候性好的材料。耐候性差的材料应采取适当的防护措施,并应满足设计要求。
条文说明
3.1.2 采光顶与金属屋面处于建筑物的外面,经常受自然环境不利因素的影响,如日晒、雨淋、积雪、积灰、风沙等。因此要求采光顶与金属屋面材料要有足够的耐候性和耐久性,除不锈钢和轻金属材料外,其他金属材料应进行热镀锌或其他有效的防腐处理,并满足设计要求。
3.1.3 面板材料应采用不燃性材料或难燃性材料;防火密封构造应采用防火密封材料。
条文说明
3.1.3 无论是在加工制作、安装施工中,还是交付使用后,采光顶与金属屋面的防火都十分重要,面板材料应采用不燃材料和难燃材料。
3.1.4 硅酮类、聚氨酯类密封胶与所接触材料、被粘结材料的相容性和剥离粘结性能应符合相关规定和设计要求。
条文说明
3.1.4 硅酮类胶、聚氨酯类密封胶应有与接触材料相容性试验报告和剥离粘结性试验报告。这些密封胶在建筑上已被广泛采用,而且已有了比较成熟的经验。
3.1.5 硅酮结构密封胶和硅酮建筑密封胶必须在有效期内使用。
条文说明
3.1.5 硅酮结构密封胶是结构性粘结的主要传力材料,如使用过期产品,会因结构胶性能下降导致粘结强度降低,造成安全隐患。硅酮建筑密封胶是幕墙、采光顶与金属屋面系统密封性能的有效保证,过期产品的耐候性能和伸缩性能下降,且表面易产生裂纹。因此硅酮结构密封胶和硅酮建筑密封胶必须在有效期内使用。
3.1.6 采光顶与金属屋面工程的隔热、保温材料,应采用不燃性或难燃性材料。 (自2023年4月1日起废止该条, ▶▶点击查看: 新规《建筑与市政工程防水通用规范》GB55030-2022 )
条文说明
3.1.6 近些年,由于对节能性能有较高要求,使得保温、隔热材料在建筑上获得普遍应用。但一些采用易燃或可燃隔热、保温材料的工程,发生严重的火灾,造成很大损失。因此考虑到采光顶与金属屋面的重要性,对隔热、保温材料应提高防火性能要求,应采用岩棉、矿棉、玻璃棉、防火板等不燃或难燃材料。岩棉、矿棉应符合现行国家标准《建筑用岩棉、矿渣棉绝热制品》GB/T 19686的规定,玻璃棉应符合现行国家标准《建筑绝热用玻璃棉制品》GB/T 17795的规定。根据公安部、住房和城乡建设部联合发布的《民用建筑外保温系统及外墙装饰防火暂行规定》(公通字[2009]46号)的文件精神:“对于屋顶基层采用耐火极限不小于1.00h的不燃烧体的建筑,其屋顶的保温材料不应低于B2级;其他情况,保温材料的燃烧性能不应低于B1级。”制定本条文。
3.2 铝合金材料
3.2 铝合金材料
3.2.1 铝合金材料的牌号、状态应符合现行国家标准《变形铝及铝合金化学成分》GB/T 3190的有关规定,铝合金型材应符合现行国家标准《铝合金建筑型材》GB 5237的规定,型材尺寸允许偏差应满足高精级或超高精级的要求。
条文说明
3.2.1 铝合金型材精度有普通级、高精级和超高精级之分。采光顶与金属屋面对材料的要求较高,为保证其承载力、变形和美观要求,应采用高精级或超高精级的铝合金型材。
3.2.2 铝合金型材采用阳极氧化、电泳涂漆、粉末喷涂、氟碳漆喷涂进行表面处理时,应符合现行国家标准《铝合金建筑型材》GB 5237的规定,表面处理层的厚度应满足表3.2.2的要求。
表3.2.2 铝合金型材表面处理层厚度

注:由于挤压型材横截面形状的复杂性,在型材某些表面(如内角、横沟等)的漆膜厚度允许低于本表的规定,但不允许出现露底现象。
3.3 钢材及五金材
3.3 钢材及五金材
3.3.1 碳素结构钢和低合金高强度结构钢的种类、牌号和质量等级应符合现行国家标准《碳素结构钢》GB/T 700、《低合金高强度结构钢》GB/T 1591等的规定。
条文说明
3.3.1 碳素结构钢和低合金高强度结构钢的种类、牌号和质量等级应符合现行国家标准《优质碳素结构钢》GB/T 699、《碳素结构钢》GB/T 700、《低合金高强度结构钢》GB/T 1591、《合金结构钢》GB/T 3077、《碳素结构钢和低合金结构钢热轧薄钢板和钢带》GB 912、《碳素结构钢和低合金结构钢热轧厚钢板和钢带》GB/T 3274、《结构用无缝钢管》GB/T 8162等相关产品标准的规定。
3.3.2 碳素结构钢和低合金高强度结构钢应采取有效的防腐处理。采用热浸镀锌防腐蚀处理时,锌膜厚度应符合现行国家标准《金属覆盖层 钢铁制件热浸镀锌层 技术要求及试验方法》GB/T 13912的规定;采用防腐涂料时,涂层厚度应满足防腐设计要求,且应完全覆盖钢材表面和无端部封板的闭口型材的内侧,闭口型材宜进行端部封口处理;采用氟碳漆喷涂或聚氨酯漆喷涂时,涂膜的厚度不宜小于35μm,在空气污染严重及海滨地区,涂膜厚度不宜小于45μm。
3.3.3 耐候钢应符合现行国家标准《耐候结构钢》GB/T 4171的规定。
3.3.4 焊接材料应与被焊接金属的性能匹配,并应符合现行国家标准《碳钢焊条》GB/T 5117、《低合金钢焊条》GB/T 5118以及现行行业标准《建筑钢结构焊接技术规程》JGJ 81的规定。
3.3.5 主要受力构件和连接件宜采用壁厚不小于4mm的钢板、壁厚不小于2.5mm的热轧钢管、尺寸不小于L45×4和L56×36×4的角钢以及壁厚不小于2mm的冷成型薄壁型钢。
条文说明
3.3.5 采光顶与金属屋面支承钢结构的最小截面尺寸,要综合考虑其最小承载能力、截面局部稳定和耐腐蚀性能要求。本条根据现行国家标准《钢结构设计规范》GB 50017和《冷弯薄壁型钢结构技术规范》GB 50018的规定制定。
3.3.6 采光顶与金属屋面用不锈钢应采用奥氏体型不锈钢,其化学成分应符合现行国家标准《不锈钢和耐热钢 牌号及化学成分》GB/T 20878等的规定。
条文说明
3.3.6 不锈钢材的防锈能力与其铬和镍含量有关。目前常用的不锈钢型材有304系列:S30408(06Cr19Ni10)、S30458(06Cr19Ni10N)、S30403(022Cr19Ni10),含镍铬总量为27%~29%,镍含量9%~10%;316系列:S31608(06Cr17Ni12Mo2)、S31658(06Cr17Ni12Mo2N)、S31603(022Cr17Ni12Mo2),含镍铬总量29%~31%,含镍量12%~14%。316系列型材防锈性能优于304系列,更适用于耐腐蚀性能要求较高的环境。采光顶与金属屋面采用的奥氏体不锈钢尚应符合现行国家标准《不锈钢棒》GB/T 1220、《不锈钢冷加工钢棒》GB/T 4226、《不锈钢冷轧钢板和钢带》GB/T 3280、《不锈钢热轧钢带》YB/T 5090、《不锈钢热轧钢板和钢带》GB/T 4237的规定。
3.3.7 与采光顶、金属屋面配套使用的附件及紧固件应符合设计要求,并应符合现行国家标准《建筑用不锈钢绞线》JG/T 200、《建筑幕墙用钢索压管接头》JG/T 201、《铝合金窗锁》QB/T 3890和《紧固件机械性能 不锈钢螺栓、螺钉和螺柱》GB/T 3098.6等的规定。
条文说明
3.3.7 当前国内标准五金配件的品种尚不齐全,且无幕墙、采光顶专用的产品标准,因此所用附件、紧固件应首先符合设计要求,并应符合国家现行标准《建筑用不锈钢绞线》JG/T 200、《建筑幕墙用钢索压管接头》JG/T 201、《建筑门窗五金件 旋压执手》JG/T 213、《建筑门窗五金件 传动机构用执手》JG/T 124、《建筑门窗五金件 滑撑》JG/T 127、《建筑门窗五金件 多点锁闭器》JG/T 215、《铝合金窗锁》QB/T 3890、《紧固件 螺栓和螺钉通孔》GB/T 5277、《十字槽盘头螺钉》GB/T 818、《不锈钢自攻螺钉》GB 3098.21、《紧固件机械性能 螺栓、螺钉和螺柱》GB/T 3098.1、《紧固件机械性能 螺母 粗牙螺纹》GB/T 3098.2、《紧固件机械性能 螺母 细牙螺纹》GB/T 3098.4、《紧固件机械性能 自攻螺钉》GB/T 3098.5、《紧固件机械性能 不锈钢螺栓、螺钉和螺柱》GB/T 3098.6、《紧固件机械性能 不锈钢螺母》GB/T 3098.15的规定。
3.4 玻璃
3.4 玻 璃
3.4.1 采光顶玻璃应符合国家现行相关产品标准的规定。
条文说明
3.4.1 国家现行相关产品标准包括《平板玻璃》GB 11614、《半钢化玻璃》GB/T 17841、《建筑用安全玻璃 第1部分:防火玻璃》GB 15763.1、 《建筑用安全玻璃 第2部分:钢化玻璃》GB 15763.2、 《建筑用安全玻璃 第3部分:夹层玻璃》GB 15763.3、《建筑用安全璃 第4部分:均质钢化玻璃》GB 15763.4、《镀膜玻璃 第1部分 阳光控制镀膜玻璃》GB/T 18915.1、《镀膜玻璃 第2部分 低辐射镀膜玻璃》GB/T 18915.2等标准。
3.4.2 采光顶用中空玻璃除应符合现行国家标准《中空玻璃》GB/T 11944的有关规定外,尚应符合下列规定:
1 中空玻璃气体层厚度应依据节能要求计算确定,且不宜小于12mm。
2 中空玻璃应采用双道密封。一道密封胶宜采用丁基热熔密封胶。隐框、半隐框及点支承式采光顶用中空玻璃二道密封胶应采用硅酮结构密封胶,其性能应符合现行国家标准《建筑用硅酮结构密封胶》GB 16776的规定。
条文说明
3.4.2 中空玻璃第一道密封胶应用丁基热熔密封胶,符合现行行业标准《中空玻璃用丁基热熔密封胶》JC/T 914的规定。不直接承受紫外线照射且不承受荷载的中空玻璃第二道密封胶符合现行行业标准《中空玻璃用弹性密封胶》JC/T 486的规定;隐框、半隐框及点支承式采光顶用中空玻璃直接承受紫外线照射且承受荷载,因此其第二道密封胶应采用硅酮结构密封胶,其性能符合现行国家标准《建筑用硅酮结构密封胶》GB 16776的规定。需要注意点支式玻璃孔边处二道密封胶应采用硅酮结构密封胶。
3.4.3 夹层玻璃应符合现行国家标准《建筑用安全玻璃 第3部分:夹层玻璃》GB 15763.3中规定的Ⅱ-1和Ⅱ-2产品要求。夹层玻璃用聚乙烯醇缩丁醛(PVB)胶片的厚度不应小于0.76mm。有特殊要求时可采用聚乙烯甲基丙烯酸酯胶片(离子性胶片),其性能应符合设计要求。
条文说明
3.4.3 在现行国家标准《建筑用安全玻璃 第3部分:夹层玻璃》GB 15763.3中对夹层玻璃的霰弹冲击性能提出要求,采光顶应采用Ⅱ-1和Ⅱ-2级别的产品。聚乙烯醇缩丁醛(PVB)胶片仍然是幕墙、采光顶夹层玻璃胶片应用的主流产品,工程应用经验较多,可靠性好,但厚度不应小于0.76mm。由于结构、节能设计要求,已经有许多高强型、复合型、功能型胶片在工程中得到应用。本规程允许这些新材料和新工艺,但其力学性能(胶片与玻璃的粘结强度)必须保证,且符合设计要求。
3.4.4 采光顶钢化玻璃应采用均质钢化玻璃。
条文说明
3.4.4 单片钢化玻璃、钢化中空玻璃存在自爆的危险,近年来采光顶钢化玻璃自爆事件频发,有些造成一定损失,因此采光顶用钢化玻璃须经过均质处理,即为均质钢化玻璃,降低玻璃的自爆率,提高采光顶的安全性。
3.4.5 当采光顶玻璃最高点到地面或楼面距离大于3m时,应采用夹层玻璃或夹层中空玻璃,且夹胶层位于下侧。
条文说明
3.4.5 本条为安全规定,与现行行业标准《建筑玻璃应用技术规程》JGJ 113基本一致。一些重点工程,在人流比较密集的采光顶下侧采取构造措施(如不锈钢丝网),防止玻璃破裂后整体脱落。
3.4.6 玻璃面板面积不宜大于2.5m 2 ,长边边长不宜大于2m。
条文说明
3.4.6 采光顶玻璃面积过大,在重力作用下玻璃变形可能形成“锅底”导致积水;工程应用经验还表明,玻璃面积过大,还会使玻璃的破裂率升高,降低了采光顶的安全性。因此玻璃面板面积不宜大于2.5m2。如果确有可靠技术措施,玻璃面积可适当加大。
3.5 聚碳酸酯板
3.5 聚碳酸酯板
3.5.1 聚碳酸酯板中空板应符合现行行业标准《聚碳酸酯(PC)中空板》JG/T 116的要求,实心板应符合现行行业标准《聚碳酸酯(PC)实心板》JG/T 347的要求。
3.5.2 采光顶用聚碳酸酯板宜采用直立式U形板、梯形飞翼板,可采用聚碳酸酯平板。
条文说明
3.5.2 直立式U形板、梯形飞翼板,采用结构化防水原理,在模具设计时将两侧直立收边,并采用具有双层结构倒钩的U形多层中空结构,与U形倒钩卡件相卡接,能较好地解决防水问题。聚碳酸酯平板厚度较薄时容易产生较大弯曲变形,在温度变化较大时也会产生较大变形,应用过程中可能会出现漏水现象,因此工程中可采用聚碳酸酯平板,但需要做好防水设计。
3.5.3 聚碳酸酯板黄色指数变化不应大于1。
条文说明
3.5.3 作为采光顶的面板材料,聚碳酸酯板应具有良好的耐候性和抗老化性。常见的失效形式是板材黄化,因此应控制黄色指数变化指标,提高对聚碳酸酯板的要求。在生产板材时,紫外线稳定剂(uv)的线性分布最低点小于80时可保证聚碳酸酯板黄色指数变化不大于1。
3.5.4 聚碳酸酯板燃烧性能等级不应低于现行国家标准《建筑材料及制品燃烧性能分级》GB 8624中规定的B-s2,d1,t1级。
条文说明
3.5.4 根据现行国家标准《公共场所阻燃制品及组件燃烧性能要求和标识》GB 20286的规定,作为采光顶面板使用的聚碳酸酯板,其燃烧性能等级不应低于GB 8624规定的B级,且产烟等级不低于s2级、燃烧滴落物/微粒的附加等级不低于d1级、产烟毒性等级不低于t1级。
3.6 金属面板
3.6 金属面板
3.6.1 根据建筑设计要求,金属屋面平板材料可选用铝合金板、铝塑复合板、铝蜂窝复合铝板、彩色钢板、不锈钢板、锌合金板、钛合金板、铜合金板等;金属屋面压型板材料可选用铝合金板、彩色钢板、不锈钢板、锌合金板、钛合金板、铜合金板等。
条文说明
3.6.1 金属屋面的面板,通常可按建筑设计的要求,选用平板或压型板制作。材料选用通常为铝合金板、铝塑复合板、铝蜂窝复合铝板、彩色钢板、不锈钢板、锌合金板、钛合金板和铜合金板。在我国,目前较常用的面板材料为铝合金板、铝塑复合板、彩色钢板。随着建筑发展的需要,近年来锌合金板、钛合金板在屋面上也有较多的应用,取得较好的建筑装饰效果,但由于单片实心板一般厚度较薄,平整度较差,所以较多的采用复合材料。金属面板使用的金属和金属复合板的产品标准,目前在我国还不健全,有些产品尚未有国家或行业标准,所以在选用屋面金属面板材料时,也可参照国外同类产品标准的性能指标及要求。
3.6.2 铝合金面板宜选用铝镁锰合金板材为基板,材料性能应符合现行行业标准《铝幕墙板 板基》YS/T 429.1的要求;辊涂用的铝卷材材料性能应符合现行行业标准《铝及铝合金彩色涂层板、带材》YS/T 431的规定。铝合金屋面板材的表面宜采用氟碳喷涂处理,且应符合现行行业标准《铝幕墙板 氟碳喷漆铝单板》YS/T 429.2的规定。
条文说明
3.6.2 由于3×××、5×××系合金的铝锰、铝镁合金板具有强度高、延伸率大、塑性变形范围大等优点,在建筑屋面板中得到广泛的应用。
3.6.3 铝塑复合板应符合现行国家标准《建筑幕墙用铝塑复合板》GB/T 17748的规定,铝塑复合板用铝带还应符合现行行业标准《铝塑复合板用铝带》YS/T 432的规定,并优先选用3×××系合金及5×××系铝合金板材或耐腐蚀性及力学性能更好的其他系列铝合金。铝塑复合板用芯材应采用难燃材料。
条文说明
3.6.3 金属屋面与建筑幕墙的环境条件基本相同,因此屋面用铝塑复合板应符合现行国家标准《建筑幕墙用铝塑复合板》GB/T 17748的规定。为提高屋面的防火性能,铝塑复合板用芯材应采用难燃材料。
3.6.4 铝蜂窝复合铝板应符合国家现行相关产品标准的规定。铝蜂窝芯应为近似正六边形结构,其边长不宜大于9.53mm,壁厚不宜小于0.07mm。
条文说明
3.6.4 铝蜂窝复合板具有较好的表面平整度和刚度,当面板面积较大时,通常考虑选用铝蜂窝复合板作为屋面面板。铝蜂窝复合板的表面平整度和刚度主要依靠铝蜂窝芯的结构。通常铝蜂窝芯应为近似正六边形结构,其边长不宜大于9.53mm,壁厚不宜小于0.07mm。
3.6.5 金属屋面采用的钢板应符合下列规定:
1 彩色涂层钢板应符合现行国家标准《彩色涂层钢板及钢带》GB/T 12754的规定;
2 镀锌钢板应符合现行国家标准《连续热镀锌钢板及钢带》GB/T 2518的规定。
3.6.6 锌合金板表面应光滑、无水泡、无裂纹,其化学成分应符合表3.6.6的规定。
表3.6.6 锌合金板化学成分(m/m)(%)

条文说明
3.6.6 由于我国目前暂无锌合金板的国家和行业产品标准,表3.6.6中所提出的锌合金板的化学成分要求是参照EN 988《锌和锌合金-扁平轧制建材的规范》(Zinc and zinc alloys-Specifi-cation for rolled flat products for building)的要求所制定。
3.6.7 钛合金板应符合现行国家标准《钛及钛合金板材》GB/T 3621的规定。
条文说明
3.6.7 钛合金板具有强度高、耐腐蚀好、热膨胀系数低,且耐高低温性能好、抗疲劳强度高等优点,在许多尖端行业都得到应用。近几年来,钛合金板在建筑行业中也得到应用。由于钛合金板的价格较昂贵,所以通常选用钛合金复合板,复合板面层的钛板厚度为0.3mm,底层面板可用不锈钢板或铝板。
3.6.8 铜合金板应符合现行国家标准《铜及铜合金板材》GB/T 2040的规定,宜选用TU1,TU2牌号的无氧铜。
条文说明
3.6.8 铜具有高抗腐蚀性能,且易于加工,有独特、自然的外观效果,非常适合作为屋面材料。铜种类很多,可满足各种需要,SF-Cu即无磷去氧还原铜适用于建筑业,通常也称为太古铜。
3.6.9 铝合金压型板应符合现行国家标准《铝及铝合金压型板》GB/T 6891的规定,压型钢板应符合现行国家标准《建筑用压型钢板》GB/T 12755的规定,其他金属压型板材的品种、规格及色泽应符合设计要求;金属板材表面处理层厚度应符合设计要求。
3.6.10 压型金属屋面板的材料应具备良好的折弯性能,其折弯半径和表面处理层延伸率应满足板型冷辊压成型的规定。
3.6.11 屋面泛水板、包角等配件宜选用与屋面板相同材质、使用寿命相近的金属材料。
3.7 光伏系统用材料及光伏组件
3.7 光伏系统用材料及光伏组件
3.7.1 连接用电线、电缆应符合现行国家标准《光伏(PV)组件安全鉴定 第一部分:结构要求》GB/T 20047.1的相关规定。
3.7.2 薄膜光伏组件应满足现行国家标准《地面用薄膜光伏组件 设定鉴定和定型》GB/T 18911相关规定。
3.7.3 晶体硅光伏组件应满足现行国家标准《地面用晶体硅光伏组件 设计鉴定和定型》GB/T 9535的相关规定。
3.7.4 光伏组件的外观质量除应符合玻璃产品标准要求外,尚应满足下列要求:
1 薄膜类电池玻璃不应有直径大于3mm的斑点、明显的彩虹和色差;
2 光伏组件上应标有电极标识。
3.7.5 光伏组件接线盒、快速接头、逆变器、集线箱、传感器、并网设备、数据采集器和通信监控系统应符合现行行业标准《民用建筑太阳能光伏系统应用技术规范》JGJ 203的规定,并满足设计要求。
3.8 建筑密封材料和粘结材料
3.8 建筑密封材料和粘结材料
3.8.1 采光顶与金属屋面工程的接缝用密封胶应采用中性硅酮密封胶,其物理力学性能应符合现行行业标准《幕墙玻璃接缝用密封胶》JC/T 882中密封胶20级或25级的要求,并符合现行国家标准《建筑密封胶分级和要求》GB/T 22083的规定。
3.8.2 中性硅酮密封胶的位移能力应满足工程接缝的变形要求,应选用位移能力较高的中性硅酮建筑密封胶。
条文说明
3.8.2 采光顶支承结构等所使用的基材一般具有较大的线膨胀系数,由此造成面板之间接缝的位移变化较大,因此密封胶应能适应板缝的变形要求。通常采光顶的接缝变化比普通玻璃幕墙大些,因此应优先选用位移能力较高的中性硅酮建筑密封胶。
3.8.3 采光顶与金属屋面的橡胶制品宜采用硅橡胶、三元乙丙橡胶或氯丁橡胶。
3.8.4 密封胶条应符合现行行业标准《建筑门窗用密封胶条》JG/T 187、《建筑橡胶密封垫——预成型实心硫化的结构密封垫用材料规范》HG/T 3099和现行国家标准《工业用橡胶板》GB/T 5574的规定。
3.8.5 接缝用密封胶应与面板材料相容,与夹层玻璃胶片不相容时应采取措施避免与其相接触。
3.9 硅酮结构密封胶
3.9 硅酮结构密封胶
3.9.1 采光顶与金属屋面应采用中性硅酮结构密封胶,性能应符合现行国家标准《建筑用硅酮结构密封胶》GB 16776的规定,生产商应提供结构密封胶的位移承受能力数据和质量保证书。
3.9.2 硅酮结构密封胶使用前,应经国家认可实验室进行与其接触材料、被粘结材料的相容性和粘结性试验,并应对结构密封胶的邵氏硬度、标准状态下的拉伸粘结性进行确认,试验不合格的产品不得使用。
3.10 其他材料
3.10 其他材料
3.10.1 采光顶与金属屋面工程接缝部位采用的聚乙烯泡沫棒填充衬垫材料的密度不应大于37kg/m 3 。
3.10.2 防水卷材应符合现行国家标准《屋面工程技术规范》GB 50345的规定,宜采用聚氯乙烯、氯化聚乙烯、氯丁橡胶或三元乙丙橡胶等卷材,其厚度一般不宜小于1.2mm。
3.10.3 采光顶用天篷帘、软卷帘应分别符合现行行业标准《建筑用遮阳天篷帘》JG/T 252和《建筑用遮阳软卷帘》JG/T 254的规定。
4 建筑设计
4.1 一般规定
4 建筑设计
4.1 一般规定
4.1.1 采光顶与金属屋面应根据建筑物的使用功能、外观设计、使用年限等要求,经过综合技术经济分析,选择其造型、结构形式、面板材料和五金附件,并能方便制作、安装、维修和保养。
条文说明
4.1.1 采光顶与金属屋面的建筑设计由建筑师和屋面(幕墙)专业设计师共同完成。建筑设计的主要任务是确定采光顶与金属屋面的线条、色调、构图、虚实组合和协调围护结构与建筑整体以及与环境的关系,并对采光顶与金属屋面的性能、材料和制作工艺提出设计要求,要根据建筑的使用功能、造价、环境、能耗、施工技术条件进行设计,并能方便制作、安装、维修和保养。
4.1.2 采光顶与金属屋面应与建筑物整体及周围环境相协调。
条文说明
4.1.2 采光顶、金属屋面与建筑物整体的协调是建筑造型的需要,是建筑师非常关注的问题。采光顶、金属屋面还应与周围环境相协调,尤其是外观造型和颜色方面的协调。
4.1.3 光伏采光顶与光伏金属屋面的设计应考虑工程所在地的地理位置、气候及太阳能资源条件,合理确定光伏系统的布局、朝向、间距、群体组合和空间环境,应满足光伏系统设计、安装和正常运行要求。
4.1.4 光伏组件面板坡度宜按光伏系统全年日照最多的倾角设计,宜满足光伏组件冬至日全天有3h以上建筑日照时数的要求,并应避免景观环境或建筑自身对光伏组件的遮挡。
条文说明
4.1.4 集成型采光顶、金属屋面的光伏系统具有整体性,因此需要考虑坡度设计,以便获得最佳日照效果。独立安装型采光顶、金属屋面的光伏系统可根据设计需要进行布置,能够通过安装支架进行调整。
4.1.5 采光顶分格宜与整体结构相协调。玻璃面板的尺寸选择宜有利于提高玻璃的出材率。光伏玻璃面板的尺寸应尽可能与光伏组件、光伏电池的模数相协调,并综合考虑透光性能、发电效率、电气安全和结构安全。
条文说明
4.1.5 采光顶的分格是建筑设计的重要内容,设计者除了考虑外观效果外,必须综合考虑室内空间组合、功能、视觉以及加工条件等多方面的要求。玻璃分格设计合理有利于提高玻璃的出材率,能够减低工程总体成本。采光顶用光伏玻璃不但需考虑外观效果、玻璃的出材率,还需考虑太阳能电池片数量的组合和光伏玻璃整体的透光率、发电效率、电气安全和结构安全。金属屋面外设光伏组件一般均采用厂家的标准光伏组件。
4.1.6 严寒和寒冷地区的采光顶宜采取冷凝水排放措施,可设置融雪和除冰装置。
条文说明
4.1.6 工程经验表明,严寒和寒冷地区采光顶如果出现冷凝水,往往很难处理,给采光顶的使用带来不便,常用的解决办法是设置冷凝水的排放系统。为满足冬季除冰雪需要,可设置电热式融雪和除冰设备。
4.1.7 采光顶、金属屋面的透光部分以及开启窗的设置应满足使用功能和建筑效果的要求。有消防要求的开启窗应实现与消防系统联动。
条文说明
4.1.7 采光顶与金属屋面作为建筑的外围护结构,本身要求具有良好的密封性。如果透光部分的开启窗设置过多、开启面积过大,既增加了采暖空调的能耗、影响整体效果,又增加了雨水渗漏的可能性。实际工程中,开启扇的设置数量,应兼顾建筑使用功能、美观和节能环保的要求。
采光顶与金属屋面的开启设置通常还具有消防和排烟作用,因此有消防功能的开启窗应实现与消防系统联动。
4.1.8 采光顶的设计应考虑维护和清洗的要求,可按需要设置清洗装置或清洗用安全通道,并应便于维护和清洗操作。
条文说明
4.1.8 采光顶的设计应满足维护和清洗的需要。采光顶位于建筑顶面,空气中的灰尘及油污会落到表面上,需要清洗。因此建筑物要具备维护清洗的条件。
4.1.9 金属屋面应设置上人爬梯或设置屋面上人孔,对于屋面四周没有女儿墙或女儿墙(或屋面上翻檐口)低于500mm的屋面,宜设置防坠落装置。
4.1.10 光伏采光顶与光伏金属屋面宜针对晶体硅光伏电池采取降温措施。
条文说明
4.1.10 在周围温度较高时,光伏电池的发电效率降低较快。通过降温的方法,可避免环境温度过高,确保光伏电池能够正常工作。
4.2 性能和检测要求
4.2 性能和检测要求
4.2.1 采光顶与金属屋面的物理性能等级应根据建筑物的类别、高度、体形、功能以及建筑物所在的地理、气候和环境条件进行设计。
条文说明
4.2.1 建筑物的物理性能和建筑物的功能、重要性等有关,采光顶、金属屋面的性能应根据建筑物的高度、体形、建筑物所在的地理、气候、环境等条件以及建筑物的使用功能要求进行设计。如沿海或经常有台风地区,采光顶、金属屋面的抗风压性能和水密性能要求高些,而风沙较大地区则要求采光顶、金属屋面的抗风压性能和气密性能高些,对于严寒、寒冷地区和炎热地区则要求采光顶、金属屋面的保温、隔热性能良好。
4.2.2 采光顶、金属屋面承载力应符合下列规定:
1 采光顶、金属屋面的所受荷载与作用应符合本规程第5.3和5.4节的相关规定。
2 在自重作用下,面板支承构件的挠度宜小于其跨距的1/500,玻璃面板挠度不超过长边的1/120。
3 采光顶与金属屋面支承构件、面板的最大相对挠度应符合表4.2.2的规定。
表4.2.2 采光顶与金属屋面支承构件、面板最大相对挠度

注:悬臂构件的跨距L可取其悬挑长度的2倍。
条文说明
4.2.2 单根构件的挠度控制是正常使用状态下的功能要求,不涉及结构的安全,加之所采用的风荷载又是50年一遇的最大值,发生的机会较少,所以不宜控制过严,避免由于挠度控制要求而使材料用量增加太多。隐框玻璃板的副框,一般采用金属件多点连接在支承梁上;明框玻璃板与支承梁间有弹性嵌缝条或密封胶。因此支承梁变形后对玻璃的支承状况改变不大。试验表明,支承梁挠度达到跨度1/180时,玻璃的工作仍是正常的。因此,对铝型材的挠度控制值定为1/180。钢型材强度较高,其挠度控制则可以稍严一些。 铝合金面板挠度限值与现行国家标准《铝合金结构设计规范》GB 50429取值一致,钢面板挠度限值与现行国家标准《冷弯薄壁型钢结构技术规范》GB 50018取值一致。
简支矩形和点支承矩形玻璃面板的挠度限值与现行行业标准《玻璃幕墙工程技术规范》JGJ 102基本一致。简支三角形和点支承三角形的挠度限值是在近些年工程经验和实验室检测的基础上总结提出的结果。
本规程仅对相对挠度提出指标要求,对绝对挠度量未进行规定。
4.2.3 采光顶与金属屋面的抗风压、水密、气密、热工、空气声隔声和采光等性能分级应符合现行国家标准《建筑幕墙》GB/T 21086的规定。采光顶性能试验应符合现行国家标准《建筑幕墙气密、水密、抗风压性能检测方法》GB/T 15227的规定,金属屋面的性能试验应符合本规程附录A的规定。
条文说明
4.2.3 在现行国家标准《建筑幕墙》GB/T 21086中对采光顶与金属屋面水密、气密、热工、空气声隔声等性能要求及分级有规定,但针对金属屋面的检测没有给出明确的规定,因此金属屋面的性能试验应按照本规程附录A的规定执行。附录A中的方法结合我国的实际情况,按照现行国家标准《建筑幕墙》GB/T 21086的分级要求,主要采用《建筑幕墙气密、水密、抗风压性能检测方法》GB/T 15227的试验方法和试验步骤进行编制。本方法还参考了美国标准《室外金属屋面板系统气密性检测标准方法》ASTM E 1680-95(2003版)、《均匀静压下室外金属屋面板系统水密性检测标准方法》ASTM E 1646-95(2003版)和《均匀静压下薄金属屋面板系统和边板系统结构性检测标准方法》ASTM E 1592-01等先进标准。在美国标准《室外金属屋面板系统气密性检测标准方法》ASTM E 1680中规定,淋水量为3.4L/(m2·min),是不变的定值,在国家标准《建筑幕墙气密、水密、抗风压性能检测方法》GB/T 15227中,规定沿海地区为4L/(m2·min),其他地区为3L/(m2·min)。可见美国标准和我国标准规定的淋水量数值差别不大,因此本条继续沿用GB/T 15227关于淋水量数值的规定。
4.2.4 有采暖、空气调节和通风要求的建筑物,其采光顶与金属屋面气密性能应符合《公共建筑节能设计标准》GB 50189和现行国家标准《建筑幕墙》GB/T 21086的相关规定。
条文说明
4.2.4 气密性直接影响采光顶与金属屋面的热工性能,因此在有采暖、空气调节和通风要求的建筑物中,应对气密性提出要求,应符合现行国家标准《公共建筑节能设计标准》GB 50189和《建筑幕墙》GB/T 21086的相关规定。试验表明,金属屋面普遍存在气密性较差的问题,与国外的构造相比,在气密设计上存在差距。
4.2.5 采光顶与金属屋面的水密性能可按下列方法确定:
1 易受热带风暴和台风袭击的地区,水密性能设计取值应按下式计算,且取值不应小于200Pa:
P=1000μ z μ s ω 0 (4.2.5)
式中:P——水密性能设计取值(Pa);
ω 0 ——基本风压(kN/m 2 );
μ z ——风压高度变化系数,应按现行国家标准《建筑结构荷载规范》GB 50009的规定采用,当高度小于10m时,应按10m高度处的数值采用;
μ s ——体型系数,应按照现行国家标准《建筑结构荷载规范》GB 50009的规定采用。
2 其他地区,水密性能可按第1款计算值的75%进行设计,且取值不宜低于150Pa。
3 开启部分水密性按与固定部分相同等级采用。
条文说明
4.2.5 水密性关系到采光顶、金属屋面的使用功能和寿命。水密性要求与建筑物的重要性、使用功能以及所在地的气候条件有关。本条的规定与《建筑幕墙》GB/T 21086-2007、《玻璃幕墙工程技术规范》JGJ 102-2003略有差别。本条公式中的系数1000为“kN/m2”和“Pa”的换算系数。 根据现行国家标准《建筑结构荷载规范》GB 50009的规定,屋面所受风压会比建筑幕墙小许多,并且背风面为负压区。例如,封闭式双坡屋面,与水平面夹角不大于15°时迎风屋面μs=-0.6,背风屋面μs=-0.5,而对于落地双坡屋面,迎风屋面μs=0.1,背风屋面μs=-0.5,这样水密性指标值(绝对值)要比幕墙取μs=1.2小很多。由于屋面在正风压和负风压下均会发生雨水渗漏,但正风压可能更不利一些。正是因为这些原因,使得屋面水密性指标的确定变得相当复杂,尤其对于复杂曲面、波浪形屋面这一指标将无法准确确定。 美国标准《均匀静压下室外金属屋面板系统水密性检测标准方法》ASTM E 1646-95(2003版)规定:对与水平面夹角不大于30°的屋面,其水密性测试压力差为137Pa,对于与水平面夹角大于30°的屋面按屋面设计风压的20%确定压力差值,并不得超过575Pa。经过综合分析并参考ASTM E 1646的相关规定,本规程规定采光顶、金属屋面的水密性能指标至少达到150Pa,易受热带风暴和台风袭击的地区,水密性能指标不应小于200Pa。 在沿海受热带风暴和台风袭击的地区,大风多同时伴有大雨。而其他地区刮大风时很少下雨,下雨时风又不是最大。所以本规程提出其他地区可按本条公式计算值的75%进行设计。由于采光顶、金属屋面面积大,一旦漏雨后不易处理。 采光顶、金属屋面设计时,透光部分开启窗的水密性等级与其他部分的要求相同。 热带风暴和台风多发地区,是指《建筑气候区划标准》GB 50178-1993中的ⅢA和ⅣA地区。
4.2.6 采光顶采光设计应符合现行国家标准《建筑采光设计标准》GB/T 50033的规定,并应满足建筑设计要求。
4.2.7 采光顶与金属屋面的空气声隔声性能应符合现行国家标准《民用建筑隔声设计规范》GB 50118的规定,并应满足建筑物的隔声设计要求。对声环境要求高的屋面宜采取构造措施,宜进行雨噪声测试,测试结果应满足设计要求。
条文说明
4.2.7 采光顶与金属屋面的隔声性能应根据建筑的使用功能和环境条件进行设计。不同功能的建筑所允许的噪声等级可根据现行国家标准《民用建筑隔声设计规范》GB 50118的规定确定。聚碳酸酯属轻质材料,在雨水撞击情况下,会产生较大的噪声,因此对声环境要求较高的建筑须经过雨噪声测试,满足设计要求后方可采用。清华大学对中国国家游泳馆进行过雨噪声的测试,较好地解决了声环境的设计问题。
4.2.8 采光顶、金属屋面的光伏系统各项性能和检测应符合现行行业标准《民用建筑太阳能光伏系统应用技术规范》JGJ 203的相关规定。
4.2.9 采光顶面板不宜跨越主体结构的变形缝;当必须跨越时,应采取可靠的构造措施适应主体结构的变形。
条文说明
4.2.9 采光顶为外围护结构,不分担主体结构所受荷载与作用。当其面板跨越主体结构的伸缩缝、沉降缝及抗震缝等变形缝时,容易出现破坏、漏水等现象,因此尽量避免跨越主体结构变形缝。如必须跨越时,应在采光顶上采取构造措施,以适应主体结构的变形,避免发生不必要的破坏或渗漏。
4.2.10 沿海地区或承受较大负风压的金属屋面,应进行抗风掀检测,其性能应符合设计要求。试验应符合本规程附录B的规定。
条文说明
4.2.10 金属屋面风掀破坏比较常见,为验证金属屋面的设计,本规程引入抗风掀试验方法。中国建筑科学研究院已经采用本方法对多项金属屋面工程实施了检验,效果比较好。由于我国在抗风掀试验方面的研究比较少,因此本规程附录B主要参考美国标准《Tests for Uplift Resistance of Roof Assemblies》UL 580-2006进行制定。
4.2.11 采光顶与金属屋面的物理性能检测应包括抗风压性能、气密性能和水密性能,对于有建筑节能要求的建筑,尚应进行热工性能检测。
条文说明
4.2.11 抗风压性能、气密性能和水密性能是采光顶与金属屋面的物理性能的重要指标,需要通过检测进行验证,因此应进行检测。对于有建筑节能要求的建筑,尚应进行热工性能检测。
4.2.12 采光顶与金属屋面的性能检测应由国家认可的检测机构实施。检测试件的结构、材质、构造、安装施工方法应与实际工程相符。
条文说明
4.2.12 按照规定,采光顶与金属屋面性能的检测应该由经过国家实验室认可委员会认可的检测机构实施。由于性能检测是工程设计验证性检测,因此检测试件的结构、材质、构造、安装工艺等均应与实际工程相符。但考虑到在有些情况下,由于试件尺度太大,或者有些安装方法在试验室没有办法实现,试件不能完全符合实际情况,此时应由建设单位、建筑设计人员、监理人员和行业有关专家共同确定。
4.2.13 采光顶与金属屋面性能检测过程中,由于非设计原因致使某项性能未能达到设计要求时,可进行适当修补和改进后重新进行检测;由于设计或材料原因致使某项性能未能达到设计要求时,应停止本次检测,在对设计或材料进行更改后另行检测。在检测报告中应注明修补或更改的内容。
条文说明
4.2.13 采光顶与金属屋面性能检测中,由于非设计原因如安装施工的缺陷,使某项性能未达到规定要求的情况时有发生。这些缺陷通过改进施工安装工艺是有可能弥补的,故允许对安装施工工艺进行改进,修补缺陷后重新检测,以节省人力、物力。在设计或材料缺陷造成采光顶与金属屋面性能达不到要求时,应修改设计或更换材料,重新制作试件,另行检测。检测报告中说明有关修补或更改的内容。
4.3 排水设计
4.3 排水设计
4.3.1 采光顶与金属屋面的防水等级、防水设防要求应符合现行国家标准《屋面工程质量验收规范》GB 50207的规定。屋面排水系统应能及时地将雨水排至雨水管道或室外。
4.3.2 排水系统总排水能力采用的设计重现期,应根据建筑物的重要程度、汇水区域性质、气象特征等因素确定。对于一般建筑物屋面,其设计重现期宜为10年;对于重要的公共建筑物屋面,其设计重现期应根据建筑的重要性和溢流造成的危害程度确定,不宜小于50年。
条文说明
4.3.2 屋面雨水排水系统的设计重现期,应根据建筑物的重要程度、汇水区域性质、气象特征等因素确定。由于系统的水力计算中充分利用了雨水水头,系统的流量负荷未预留排除超设计重现期雨水的能力,对重要公共建筑物屋面、生产工艺不允许渗漏的工业厂房屋面采用的设计重现期取值不宜过小。本条规定与现行国家标准《建筑给水排水设计规范》GB 50015的规定基本一致。
4.3.3 排水系统设计所采用的降雨历时、降雨强度、屋面汇水面积和雨水流量应符合现行国家标准《建筑给水排水设计规范》GB 50015的有关规定。
4.3.4 对于汇水面积大于5000m 2 的大型屋面,宜设置不少于2组独立的屋面雨水排水系统。必要时采用虹吸式屋面雨水排水系统。
条文说明
4.3.4 对于大型屋面,宜设2组独立排水系统,以提高安全度。
4.3.5 排水设计应综合考虑排水坡度、排水组织、防水等因素,尽可能减少屋面的积水和积雪,必要时应设置防封堵设施,并方便进行清除、维护。
4.3.6 排水坡度应根据工程实际情况确定采光顶、金属平板屋面和直立锁边金属屋面的坡度不应小于3%。
条文说明
4.3.6 为提高采光顶、直立锁边金属屋面和金属平板金属屋面排水的可靠性,本规程规定其排水坡度不应小于3%。当采光顶玻璃面板在自重作用下形成“锅底”,可能导致积水、积灰时,可适当加大采光顶排水坡度;当金属屋面系统的排水设计能力较差或搭接处容易渗漏时,可适当加大金属屋面的排水坡度;在沿海等降雨强度较大地区,可能导致采光顶与金属屋面漏水时,可适当加大其排水坡度。
4.3.7 排水系统可选择有组织排水或无组织排水系统,要求较高时应选择有组织排水系统。排水系统设计尚应符合下列规定:
1 排水方向应顺直、无转折,宜采用内排水或外排水落水排放系统。
2 在建筑物人流密集处和对落水噪声有限制的屋面,应避免采用无组织排水系统。
3 在严寒地区金属屋面和采光顶檐口和集水、排水天沟处宜设置冰雪融化装置。在严寒和寒冷地区应采取措施防止积雪融化后在屋面檐口处产生冰凌现象。
4.3.8 天沟底板排水坡度宜大于1%。天沟设计尚应符合下列规定:
1 天沟断面宽、高应根据建筑物当地雨水量和汇水面积进行计算。排水天沟材料宜采用不锈钢板,厚度不应小于2mm。
2 天沟室内侧宜设置柔性防水层,宜布设在两侧板1/3高度以下处和底板下部。
3 较长天沟应考虑设置伸缩缝,顺直天沟连续长度不宜大于30m,非顺直天沟应根据计算确定,但连续长度不宜大于20m。
4 较长天沟采用分段排水时其间隔处宜设置溢流口。
条文说明
4.3.8 在排水天沟内侧设柔性防水层的主要作用是防止天沟金属板材料在焊接或搭接时产生孔隙而出现漏水现象,同时也可以防止水流噪声,提高防腐性能,有效地提高天沟的使用寿命。
4.3.9 当采光顶与金属屋面采取无组织排水时,应在屋檐设置滴水构造。
4.3.10 当直立锁边金属屋面坡度较大且下水坡长度大于50m时,宜选用咬合部位具有密封功能的金属屋面系统。
4.4 防雷、防火与通风
4.4 防雷、防火与通风
4.4.1 防雷设计应符合现行国家标准《建筑物防雷设计规范》GB 50057和现行行业标准《民用建筑电气设计规范》JGJ 16的有关规定。
4.4.2 金属框架与主体结构的防雷系统应可靠连接。当采光顶未处于主体结构防雷保护范围时,应在采光顶的尖顶部位、屋脊部位、檐口部位设避雷带,并与其金属框架形成可靠连接;金属屋面可按要求设置接闪器,可采用面板作为接闪器,并与金属框架、主体结构可靠连接。连接部位应清除非导电保护层。
条文说明
4.4.2 采光顶和金属屋面是附属于主体建筑的围护结构,其金属框架一般不单独作防雷接地,而是利用主体结构的防雷体系,与建筑本身的防雷设计相结合,因此要求应与主体结构的防雷体系可靠连接,并保持导电通畅。压顶板体系(避雷带)应与主体结构屋顶的防雷系统有效的连通。金属屋面可按要求设置接闪器,也可以利用其面板作为接闪器。
4.4.3 防火设计应符合现行国家标准《建筑设计防火规范》GB 50016的有关规定和有关法规的规定。
4.4.4 采光顶或金属屋面与外墙交界处、屋顶开口部位四周的保温层,应采用宽度不小于500mm的燃烧性能为A级保温材料设置水平防火隔离带。采光顶或金属屋面与防火分隔构件间的缝隙,应进行防火封堵。
条文说明
4.4.4 根据公安部、住房和城乡建设部联合发布的《民用建筑外保温系统及外墙装饰防火暂行规定》(公通字[2009]46号)的文件精神:“屋顶与外墙交界处、屋顶开口部位四周的保温层,应采用宽度不小于500mm的A级保温材料设置水平防火隔离带。”制定本条文。
4.4.5 防烟、防火封堵构造系统的填充材料及其保护性面层材料,应采用耐火极限符合设计要求的不燃烧材料或难燃烧材料。在正常使用条件下,封堵构造系统应具有密封性和耐久性,并应满足伸缩变形的要求;在遇火状态下,应在规定的耐火时限内,不发生开裂或脱落,保持相对稳定性。
4.4.6 采光顶的同一玻璃面板不宜跨越两个防火分区。防火分区间设置通透隔断时,应采用防火玻璃或防火玻璃制品,其耐火极限应符合设计要求。
条文说明
4.4.6 为了避免两个防火分区因玻璃破碎而相通,造成火势迅速蔓延,因此同一玻璃面板不宜跨越两个防火分区。采光顶用防火玻璃主要包括单片防火玻璃,以及由单片防火玻璃加工成的中空、夹层玻璃等制品。
4.4.7 对于有通风、排烟设计功能的金属屋面和采光顶,其通风和排烟有效面积应满足建筑设计要求。通风设计可采用自然通风或机械通风,自然通风可采用气动、电动和手动的可开启窗形式,机械通风应与建筑主体通风一并考虑。
4.5 节能设计
4.5 节能设计
4.5.1 有热工性能要求时,公共建筑金属屋面的传热系数和采光顶的传热系数、遮阳系数应符合表4.5.1-1的规定,居住建筑金属屋面的传热系数应符合表4.5.1-2的规定。 ( 自2022年4月1日起废止该条,详见新规《建筑节能与可再生能源利用通用规范》GB55015-2021)
表4.5.1-1 公共建筑金属屋面传热系数和采光顶的传热系数、遮阳系数限值

表4.5.1-2 居住建筑金属屋面传热系数限值

注:D为热惰性系数。
条文说明
4.5.1 现行国家标准《公共建筑节能设计标准》GB 50189针对公共建筑围护结构包括屋面、屋面透明部分提出强制规定,因此公共建筑采光顶与金属屋面的热工设计必须符合其要求。
居住建筑较少采用采光顶、金属屋面,因此在现行行业标准《严寒和寒冷地区居住建筑节能设计标准》JGJ 26、《夏热冬冷地区居住建筑节能设计标准》JGJ 134、《夏热冬暖地区居住建筑节能设计标准》JGJ 75尚未对透明屋面(采光顶)作出具体规定,但针对屋面提出较高要求。金属屋面是比较理想的屋面维护结构,性能优异,应满足不同地区居住建筑节能设计标准的要求。
4.5.2 采光顶宜采用夹层中空玻璃或夹层低辐射镀膜中空玻璃。明框支承采光顶宜采用隔热铝合金型材或隔热钢型材。金属屋面应设置保温、隔热层,其厚度应经计算确定。
4.5.3 采光顶与金属屋面的热桥部位应进行隔热处理,在严寒和寒冷地区,热桥部位不应出现结露现象。
4.5.4 采光顶传热系数、遮阳系数和可见光透射比可按现行行业标准《建筑门窗玻璃幕墙热工计算规程》JGJ/T 151的规定进行计算,金属屋面应按现行国家标准《民用建筑热工设计规范》GB 50176的规定进行热工计算。
4.5.5 寒冷及严寒地区的采光顶与金属屋面应进行防结露设计。封闭式金属屋面保温层下部应设置隔汽层。
条文说明
4.5.5 在冬季采暖的地区,采光顶、金属屋面的室内外温差会比较大。如果在设计中不注意热桥的处理,就很容易出现结露现象。采光顶的防结露设计应根据现行国家标准《民用建筑热工设计规范》GB 50176进行。其他地区相对而言对结露的要求不高,暂未提出要求。
金属屋面通常被设计成面板部分开放式构造,容许水蒸气排出,但如果未设计隔汽层,则水蒸气会进入室内,或者室内的水蒸气也会进入屋面系统内部,对系统材料(如保温棉)进行破坏,从而影响金属屋面的正常使用,因此应设置隔汽层,一般应铺设于保温层下方。
4.5.6 采光顶宜进行遮阳设计。有遮阳要求的采光顶,可采用遮阳型低辐射镀膜夹层中空玻璃,必要时也可设置遮阳系统。
4.6 光伏系统设计
4.6 光伏系统设计
4.6.1 光伏系统设计应符合现行行业标准《民用建筑太阳能光伏系统应用技术规范》JGJ 203的相关规定。
4.6.2 应根据建筑物使用功能、电网条件、负荷性质和系统运行方式等因素,确定光伏系统类型,可选择并网光伏系统或独立光伏系统。
4.6.3 光伏系统宜由光伏方阵、光伏接线箱、逆变器、蓄电池及其充电控制装置(限于带有储能装置系统)、电能表和显示电能相关参数仪表等组成。
4.6.4 光伏组件应具有带电警告标识及相应的电气安全防护措施,在人员有可能接触或接近光伏系统的位置,应设置防触电警示标识。 (自2023年4月1日起废止该条, ▶▶点击查看: 新规《建筑与市政工程防水通用规范》GB55030-2022 )
条文说明
4.6.4 人员有可能接触或接近的、高于直流50V或240W以上的系统属于应用等级A,适用于应用等级A的设备被认为是满足安全等级Ⅱ要求的设备,即Ⅱ类设备。当光伏系统从交流侧断开后,直流侧的设备仍有可能带电,因此,光伏系统直流侧应设置必要的触电警示和防止触电的安全措施。
4.6.5 单晶硅光伏组件有效面积的光电转换效率应大于15%,多晶硅光伏组件有效面积的光电转换效率应大于14%,薄膜电池光伏组件有效面积的光电转换效率应大于5%。光伏组件有效面积光电转换效率η可按下式规定计算:
η=0.97η 1 η 2 (4.6.5)
式中:η—光伏组件有效面积光电转换效率;
η 1 ——电池片转化效率最低值,其最低值宜符合表4.6.5的规定;
η 2 ——超白玻璃太阳光透射率。
表4.6.5 电池片转化效率最低值η 1

条文说明
4.6.5 光伏组件的光电转换效率是光伏系统发电量的关键影响因素。因此本条对建筑上应用的光伏组件的转换效率提出要求。为了便于建筑工程中对光伏组件进行复检,采用电池片有效面积即实际上电池片的总面积来进行计算。超白玻璃太阳光透射率与玻璃类型、厚度相关,可按超白玻璃产品标准确定。系数0.97是考虑光伏组件封装过程的效率损失。
4.6.6 在标准测试条件下,光伏组件盐雾腐蚀试验、紫外试验后其最大输出功率衰减不应大于试验前测试值的5%。
条文说明
4.6.6 现行国家标准《光伏(PV)组件紫外试验》GB/T 19394和《光伏组件盐雾腐蚀试验》GB/T 18912对光伏组件的耐久性试验提出明确要求,本规程的试验指标就是根据这两个试验标准制定的。
根据工程的数据统计,建筑上应用的光伏组件在20年内输出功率衰减一般不超过初始测试值的20%。
5 结构设计基本规定
5.1 一般规定
5 结构设计基本规定
5.1 一般规定
5.1.1 采光顶和金属屋面应按围护结构进行设计,并应具有规定的承载能力、刚度、稳定性和变形协调能力,应满足承载能力极限状态和正常使用极限状态的要求。
条文说明
5.1.1 采光顶和金属屋面是建筑物的外围护结构的一部分,主要承受直接作用其上的风荷载、重力荷载(积灰荷载、雪荷载、活荷载和自重)、地震作用、温度作用等,不分担主体结构承受的荷载和地震作用。采光顶和金属屋面结构体系应满足承载能力极限状态和正常使用极限状态的基本要求。
面板与支承结构之间、支承结构与主体结构之间,应有足够的变形能力,以适应主体结构的变形;当主体结构在外荷载作用下产生变形时,不应使构件产生强度破坏和不能允许的变形。
采光顶和金属屋面的主体结构(如大梁、屋架、桁架、板架、网架、索结构等)设计应符合国家现行有关标准的要求,本规程不作具体要求。
5.1.2 采光顶、金属屋面的面板和直接连接面板的支承结构的结构设计使用年限不应低于25年;间接支承屋面板的主要支承结构的设计使用年限宜与主体结构的设计使用年限相同。
条文说明
5.1.2 面板以及与面板直接连接的支承结构(主梁、次梁等)的受载面积小、影响面小,可按维护结构考虑,属于现行国家标准《建筑结构可靠度设计统一标准》GB 50068中所说的“易于替换的结构构件”,因此其结构设计使用年限不应低于25年。间接支承面板的支承结构是大跨度、重载的屋面主要结构(如支承檩条的大梁、屋架、网架、索结构等),基本属于主体结构的范畴,其结构设计使用年限应与主体结构相同。
5.1.3 直接连接面板的支承结构,其结构设计应符合现行国家标准《钢结构设计规范》GB 50017、《冷弯薄壁型钢结构技术规范》GB 50018和《铝合金结构设计规范》GB 50429的规定。
条文说明
5.1.3 直接与面板连接的支承结构,一般是钢结构构件、铝合金结构构件,其结构设计应符合国家本条相关标准的规定。
5.1.4 采光顶和金属屋面应进行重力荷载、风荷载作用计算分析;抗震设计时,应考虑地震作用的影响,并采取适宜的构造措施。当温度作用不可忽略时,结构设计应考虑温度效应的影响。
条文说明
5.1.4 重力荷载和风荷载是屋面结构承受的最主要荷载,结构设计应考虑这些荷载的组合及效应计算;在抗震设防地区,由于采光顶和金属屋面的面板和直接连接的支承结构一般尺度较小、重量较轻,地震作用相对风荷载一般较小,承载力和挠度验算时可忽略其作用。但在构造设计上适当加以考虑,以保证其抗震性能;温度等非荷载作用涉及温度场及适宜的分析方法,本规程没有给出明确的设计方法,当需要考虑时,应按国家有关标准的规定进行结构计算分析和设计。
5.1.5 结构设计时应分别考虑施工阶段和正常使用阶段的作用和作用效应,可按弹性方法进行结构计算分析;当构件挠度较大时,结构分析应考虑几何非线性的影响。应按本规程第5.4节的规定进行作用或作用效应组合,并应按最不利组合进行结构设计。
条文说明
5.1.5 对非抗震设防的地区,只需考虑风荷载以及积灰荷载、雪荷载、屋面活荷载、结构自重等重力荷载,必要时应考虑温度作用;对抗震设防的地区,尚应考虑地震作用影响。目前,结构抗震设计的标准是小震下保持弹性,基本不产生损坏。在这种情况下,构件也应基本处于弹性工作状态。因此,本规程中有关构件的内力和挠度计算均可采用弹性方法进行。对变形较大的场合(如尺度较大的金属面板、玻璃面板等),宜考虑几何非线性的影响。 在采光顶和金属屋面工程中,温度变化引起的对面板、胶缝和支承结构的作用效应是存在的。温度作用的影响一般可通过建筑或结构构造措施解决,而不一一进行计算,实践证明是简单、可行的办法。对温度变化比较敏感的工程,在设计计算和构造处理上应采取必要的措施,避免因温度应力造成构件破坏。
5.1.6 结构构件应按下列规定验算承载力和挠度:
1 承载力应符合下式要求:
γ 0 S≤R (5.1.6-1)
式中:S——作用效应组合的设计值;
R——构件承载力设计值;
γ 0 ——结构构件重要性系数,可取1.0。
2 在荷载作用方向上,挠度应符合下式要求:
d f ≤d f,lim (5.1.6-2)
式中:d f ——作用标准组合下构件的挠度值;
d f,lim ——构件挠度限值。
条文说明
5.1.6 采光顶和金属屋面结构构件类型较多,主要承受重力荷载(活荷载、雪荷载、自重荷载等)、风荷载和温度作用,应分别进行承载力和挠度分析和设计。
承载力极限状态设计时,应考虑作用或作用效应组合;正常使用极限状态设计时,应考虑作用或作用效应的标准组合或频遇组合,此时,作用的分项系数均取1.0。本条给出的承载力设计表达式具有通用意义,作用效应设计值S可以是内力或应力,承载力设计值R可以是构件的承载力设计值或材料强度设计值。
结构或结构构件的重要性系数γ0,主要考虑因素是结构或结构构件破坏后果的严重程度,应按结构构件的安全等级和不同结构的工程经验确定。采光顶和金属屋面属于建筑的外围护结构,其重要程度和破坏后果的严重程度通常低于主体结构。除预埋件之外,其余构件的安全等级一般不超过二级,按现行国家标准《建筑结构可靠度设计统一标准》GB 50068的有关规定可取为0.95;但是,采光顶和金属屋面大多用于大型公共建筑,正常使用中不允许发生破坏,而且对于玻璃面板而言,其破坏后坠落的后果还是比较严重的,因此,本条规定采光顶和金属屋面结构的重要性系数γ0取1.0,是比较妥当的。
采光顶和金属屋面面板及金属构件(如主梁、次梁)习惯上不采用内力设计表达式,所以在本规程的相关条文中直接采用与钢结构、铝合金结构设计相似的应力表达形式;预埋件设计时,则采用内力表达形式。采用应力设计表达式时,计算应力所采用的内力(如弯矩、轴力、剪力等),应采用作用效应的基本组合,并取最不利组合进行设计。
和一般幕墙结构不同,采光顶和金属屋面的重力荷载、风荷载、竖向地震作用或作用分量往往不在同一方向上,所以在变形(挠度)控制时,应考虑不同作用的标准组合,以最不利组合效应进行变形控制。
5.2 材料力学性能
5.2 材料力学性能
5.2.1 热轧钢材、冷成型薄壁型钢材料强度设计值及连接强度设计值应按照现行国家标准《钢结构设计规范》GB 50017和《冷弯薄壁型钢结构技术规范》GB 50018的规定采用。
5.2.2 不锈钢抗拉强度标准值f skl 可取其屈服强度σ 0.2 。不锈钢抗拉强度设计值f t sl 可按其抗拉强度标准值f skl 除以1.15后采用;其抗剪强度设计值f v sl 可按其抗拉强度标准值f skl 的一半采用。
5.2.3 彩钢板抗拉强度设计值可按其屈服强度σ O.2 除以系数1.15采用。
5.2.4 铝合金型材、铝合金板材的强度设计值及连接强度设计值应按现行国家标准《铝合金结构设计规范》GB 50429的相关规定采用。
5.2.5 铝塑复合板的等效截面模量和等效刚度应根据实际情况通过计算或试验确定。当铝塑复合板的面板和背板厚度符合本规程第3.6.3条规定时,其等效截面模量W e 可参考表5.2.5-1采用,其等效弯曲刚度D e 可参考表5.2.5-2采用。
表5.2.5-1 铝塑复合板的等效截面模量W e

表5.2.5-2 铝塑复合板的等效弯曲刚度D e

5.2.6 铝蜂窝复合板的等效截面模量和等效刚度应根据实际情况通过计算或试验确定。当铝蜂窝复合板的面板和背板厚度符合本规程第3.6.4条规定时,其等效截面模量W e 可参考表5.2.6-1采用,其等效弯曲刚度D e 可参考表5.2.6-2采用。
表5.2.6-1 铝蜂窝复合板的等效截面模量W e

表5.2.6-2 铝蜂窝复合板的等效弯曲刚度D e

5.2.7 采光顶用玻璃的强度设计值应按表5.2.7的有关规定采用。夹层玻璃和中空玻璃的各片玻璃强度设计值可分别按所采用的玻璃类型确定。当钢化玻璃强度设计值达不到平板玻璃强度设计值的3倍、半钢化玻璃强度设计值达不到平板玻璃强度设计值的2倍时,表中数值应按照现行行业标准《建筑玻璃应用技术规程》JGJ 113的规定进行调整。
表5.2.7 采光顶玻璃的强度设计值f g 和f g2 (N/mm 2 )

5.2.8 聚碳酸酯板的强度设计值可按表5.2.8的规定采用。
表5.2.8 聚碳酸酯板强度设计值(N/mm 2 )

5.2.9 材料的弹性模量可按表5.2.9采用。
表5.2.9 材料的弹性模量E(N/mm 2 )

5.2.10 材料的泊松比可按表5.2.10采用。
表5.2.10 材料的泊松比ν

5.2.11 材料的线膨胀系数可按表5.2.11采用。
表5.2.11 材料的线膨胀系数α(1/℃)

5.2.12 材料的自重标准值可按表5.2.12-1的规定采用。铝塑复合板和铝蜂窝复合板的自重标准值可按表5.2.12-2采用。聚碳酸酯中空板的自重标准值可按表5.2.12-3采用,聚碳酸酯实心板的自重标准值可按表5.2.12-4采用。
表5.2.12-1 材料的自重标准值γ gk (kN/m 3 )

表5.2.12-2 铝塑复合板和铝蜂窝复合板的自重标准值q k (kN/m 2 )

表5.2.12-3 聚碳酸酯中空板的自重标准值q k (N/m 2 )

表5.2.12-4 聚碳酸酯实心板的自重标准值q k (N/m 2 )

条文说明
5.2.12 聚碳酸酯中空板形式多样,自重也各不相同,本规程根据聚碳酸酯板材供应企业公布的数据进行整理,取各家重量较大的列入表5.2.12-3,因此采用该表进行计算时,偏于保守,较为安全。
5.3 作用
5.3 作 用
5.3.1 采光顶和金属屋面风荷载应按下列规定确定:
1 面板、直接连接面板的屋面支承构件的风荷载标准值应按现行国家标准《建筑结构荷载规范))GB 50009的有关规定计算确定。
2 跨度大、形状或风荷载环境复杂的采光顶、金属屋面,宜通过风洞试验确定风荷载。
3 风荷载负压标准值不应小于1.0kN/m 2 ,正压标准值不应小于0.5kN/m 2 。
5.3.2 采光顶和金属屋面的雪荷载、施工检修荷载应按现行国家标准《建筑结构荷载规范》GB 50009的规定采用。
5.3.3 雨水荷载可按本规程第4.3.3条规定的最大雨量扣除排水量后确定。重要建筑宜按排水系统出现障碍时的最不利情况进行设计。
5.3.4 采光顶玻璃能够承受的活荷载应符合现行行业标准《建筑玻璃应用技术规程》JCJ 113的规定,金属屋面应能在300mm×300mm的区域内承受1.0kN的活荷载,并不得出现任何缝隙、永久屈曲变形等破坏现象。
条文说明
5.3.4 采光顶玻璃活荷载按现行行业标准《建筑玻璃应用技术规程》JGJ 113的规定执行。本条金属屋面的活荷载参照采用美国标准《结构直立锁边铝屋面板系统规范》ASTM E1637的规定确定。
5.3.5 面板及与其直接相连接的支承结构构件,作用于水平方向的水平地震作用标准值可按下式计算:
P EK =β E α max G k (5.3.5)
式中:P EK ——水平地震作用标准值(kN);
β E ——地震作用动力放大系数,可取不小于5.0;
α max ——水平地震影响系数最大值,应符合本规程第5.3.6条的规定;
G k ——构件(包括面板和框架)的重力荷载标准值(kN)。
5.3.6 水平地震影响系数最大值应按表5.3.6采用。
表5.3.6 水平地震影响系数最大值α max

注:7、8度时括号内数值分别用于设计基本地震加速度为0.15g和0.30g的地区。
5.3.7 计算竖向地震作用时,地震影响系数最大值可按水平地震作用的65%采用。
5.3.8 支承结构构件以及连接件、锚固件所承受的地震作用,应包括依附于其上的构件传递的地震作用和其结构自重产生的地震作用。
5.4 作用组合
5.4 作用组合
5.4.1 面板及与其直接相连接的结构构件按极限状态设计时,当作用和作用效应按线性关系考虑时,其作用效应组合的设计值应符合下列规定:
1 无地震作用组合效应时,应按下式进行计算:
S=γ G S Gk +φ Q γ Q S Qk +φ w γ w S wk (5.4.1-1)
2 有地震作用效应组合时,应按下式进行计算:
S=γ G S GE +γ E S Ek +φ w γ w S wk (5.4.1-2)
式中:S——作用效应组合的设计值;
S Gk ——永久重力荷载效应标准值;
S GE ——重力荷载代表值的效应,重力荷载代表值的取值应符合现行国家标准《建筑抗震设计规范》GB 50011的规定;
S Qk ——可变重力荷载效应标准值;
S wk ——风荷载效应标准值;
S Ek ——地震作用效应标准值;
γ G ——永久重力荷载分项系数;
γ Q ——可变重力荷载分项系数;
γ w ——风荷载分项系数;
γ E ——地震作用分项系数;
φ w ——风荷载作用效应的组合值系数;
φ Q ——可变重力荷载的组合值系数。
5.4.2 进行构件的承载力设计时,作用分项系数应按下列规定取值:
1 一般情况下,永久重力荷载、可变重力荷载、风荷载和地震作用的分项系数γ G 、γ Q 、γ w 、γ E 应分别取1.2、1.4、1.4和1.3;
2 当永久重力荷载的效应起控制作用时,其分项系数γ G 应取1.35;
3 当永久重力荷载的效应对构件有利时,其分项系数γ G 应取1.0。
5.4.3 可变作用的组合值系数应按下列规定采用:
1 无地震作用组合时,当风荷载为第一可变作用时,其组合值系数φ w 应取1.0,此时可变重力荷载组合值系数φ Q 应取0.7;当可变重力荷载为第一可变作用时,其组合值系数φ Q 应取1.0,此时风荷载组合值系数φ w 应取0.6;当永久重力荷载起控制作用时,风荷载组合值系数φ w 和可变重力荷载组合值系数φ Q 应分别取0.6和0.7。
2 有地震作用组合时,一般情况下风荷载组合值系数φ w 可取0;当风荷载起控制作用时,风荷载组合值系数φ w 应取为0.2。
5.4.4 进行构件的挠度验算时应采用荷载标准组合,本规程第5.4.1条各项作用的分项系数均应取1.0。
5.4.5 作用在倾斜面板上的作用,应分解成垂直于面板和平行于面板的分量,并应按分量方向分别进行作用或作用效应组合。
6 面板及支承构件设计
6.1 框支承玻璃面板
6 面板及支承构件设计
6.1 框支承玻璃面板
6.1.1 采光顶用框支承玻璃面板单片玻璃厚度和中空玻璃的单片厚度不应小于6mm,夹层玻璃的单片厚度不宜小于5mm。夹层玻璃和中空玻璃的各片玻璃厚度相差不宜大于3mm。
条文说明
6.1.1 采光顶玻璃承受屋面荷载的作用,其厚度不宜过小,以保证安全。从近几年采光顶工程设计和施工经验来看,单片玻璃6mm的最小厚度是合适的。夹层玻璃的各片玻璃是共同受力的,厚度可以略小。如果夹层玻璃和中空玻璃的各片玻璃厚度相差过大,则玻璃受力大小会过于悬殊,容易因受力不均匀而发生破裂。
6.1.2 框支承用夹层玻璃可采用平板玻璃、半钢化玻璃或钢化玻璃。
条文说明
6.1.2 采光顶用单片钢化玻璃和夹层钢化玻璃都不是绝对安全的。钢化玻璃(包括钢化中空玻璃)存在自爆的危险,近年来采光顶钢化玻璃自爆事件频发,有些还产生对人身和财物的伤害。夹层钢化玻璃自爆后虽然不会飞溅伤人,但如果设计、施工不当,也会整片向下弯曲后从胶缝处破断或从框架中拔出,整体落下,形成更严重的威胁。
当采光顶高度不大时,例如3m以下,可以采用单片钢化玻璃。
半钢化夹层玻璃或平板夹层玻璃破裂机会少,而且一旦破裂,形成玻璃碎块较大,可以由边框夹持或胶缝粘结,不会变形下垂,避免了整片落下的危险。
夹丝玻璃在民用建筑采光顶中一般不采用,主要是由于不美观、金属丝在边缘处易生锈污染玻璃。
6.1.3 框支承玻璃面板的边缘应进行精磨处理。边缘倒棱不宜小于0.5mm。
条文说明
6.1.3 玻璃切割后边缘留下许多微小裂纹和缺陷会产生应力集中现象,这是采光顶玻璃热炸裂和自爆的诱发因素,因此玻璃应进行细磨和倒棱,消除这些微裂缝和缺陷。
6.1.4 玻璃面板应按照现行行业标准《建筑玻璃应用技术规程》JGJ 113进行热应力、热变形设计计算。
条文说明
6.1.4 为防止玻璃面板受温度影响而破坏,玻璃面板应进行热应力、热变形设计计算,玻璃面板的缝宽应满足面板温度变形和主体结构位移的要求,并在嵌缝材料的受力和变形的承受范围之内。根据现行行业标准《建筑玻璃应用技术规程》JGJ 113的规定,半钢化玻璃和钢化玻璃可不进行热应力计算。
6.1.5 板边支承的单片玻璃,在垂直于面板方向的均布荷载作用下,最大应力应符合下列规定:
1 最大应力可按考虑几何非线性的有限元法计算。规则面板可按下列公式计算:

式中:σ——在均布荷载作用下面板最大应力(N/mm 2 );
q——垂直于面板的均布荷载(N/mm 2 );
a——面板的特征长度,矩形面板四边支承时为短边边长,对边支承时为其跨度,三角形面板为长边(mm);
t——面板厚度(mm);
θ——参数;
E——面板弹性模量(N/mm 2 );
m——弯矩系数,可按面板的材质、形状和荷载形式由本规程附录C查取;
η——折减系数,可由参数θ按表6.1.5采用。
表6.1.5 折减系数η

2 玻璃面板荷载基本组合最大应力设计值不应超过玻璃中部强度设计值f g 。
条文说明
6.1.5 框支承玻璃在垂直于面板的荷载作用下,受力状态与周边支承板类似,可按周边简支边界条件计算其跨中最大弯矩、最大应力和最大挠度。
玻璃面板的应力和挠度应采用弹性力学方法计算较为合适,精确计算宜采用考虑几何非线性的有限元法进行,目前有较多的有限元计算软件可供选择。但为了方便使用,本规程也提供了简单易行且计算精度可满足工程设计要求的简化设计方法,即周边支承面板弹性小挠度应力、 挠度计算公式,为考虑与大挠度分析方法计算结果的差异,采用折减系数的方法将应力、挠度计算值予以折减。本规程附录C中表C.3.2、表C.4.2-1和表C.4.2-2采用小挠度有限元法计算。在实际应用时,表中数据可内插或外插进行。《点支式玻璃幕墙工程技术规程》CECS 127-2001有与本规程附录C中表C.3.2接近的计算数据。《Tables for the Analysis of Plates,Slabs and Diaphragms based on the Elastic Theory》(R.Bares,1979)有与本规程附录C中表C.4.2-1和表C.4.2-2接近的计算数据。
在进行构件承载力计算时,采用相同方向荷载组合设计值计算构件的最大应力设计值。
玻璃是脆性材料,表面存在着大量的微观裂纹,在永久荷载作用下,微观裂缝会不断扩展,使其承载力明显下降。采光顶玻璃长期受重力作用,因此计算时强度设计值应采用玻璃中部强度设计值。
6.1.6 单片玻璃在垂直于面板的均布荷载作用下,其跨中最大挠度应符合下列规定:
1 面板的弯曲刚度D可按下式计算:
D=Et 3 /12(1—ν 2 ) (6.1.6-1)
式中:D——面板弯曲刚度(N·mm);
t——面板厚度(mm);
ν——泊松比。
2 在荷载标准组合值作用下,面板跨中最大挠度宜采用考虑几何非线性的有限元法计算。规则面板可按下式计算:
d f =(μq k a 4 /D)η (6.1.6-2)
式中:d f ——在荷载标准组合值作用下的最大挠度值(mm);
q k ——垂直于面板的荷载标准组合值(N/mm 2 );
a——面板特征长度,矩形面板为短边的长度,三角形面板为长边(mm);
μ——挠度系数,可按面板的材质、形状及荷载类型由本规程附录C查取;
η——折减系数,可按本规程表6.1.5采用,q值采用q k 计算。
6.1.7 采用PVB的夹层玻璃可按下列规定进行计算:
1 作用在夹层玻璃上的均布荷载可按下式分配到各片玻璃上:

(6.1.7-1)
式中:q——作用于夹层玻璃上的均布荷载(N/mm 2 );
q i ——为分配到第i片玻璃的均布荷载(N/mm 2 );
t i ——第i片玻璃的厚度(mm);
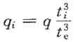
t e ——夹层玻璃的等效厚度(mm)。
2 PVB夹层玻璃的等效厚度可按下式计算:

式中: t e ——夹层玻璃的等效厚度(mm);
t 1 ,t 2 …t n ——各片玻璃的厚度(mm);
n——夹层玻璃的玻璃层数。
3 各片玻璃可分别按本规程第6.1.5条的规定进行应力计算。
4 PVB夹层玻璃可按本规程第6.1.6条的规定进行挠度计算,在计算玻璃刚度D时应采用等效厚度t e 。
条文说明
6.1.7 夹层玻璃用胶片的力学性能较玻璃相差很远。一般认为,当G≥20N/mm2时,夹层玻璃的承载力与等厚的整片玻璃相同。因此,由PVB夹层玻璃按各片玻璃承载力之和计算,不考虑其整体工作。离子型胶片(SGP)夹层的玻璃在40℃以下,承受短期荷载时,是可以考虑其整截面工作的。但由于离子型胶片在国内刚开始应用,经验很少,所以本条中未列入SGP的夹层玻璃计算方法。
本条规定与JGJ 102-2003基本一致,美国ASTM E1300标准有相同的规定。
6.1.8 中空玻璃可按下列规定进行计算:
1 作用于中空玻璃上均布荷载可按下列公式分配到各片玻璃上:
1)直接承受荷载的单片玻璃:

(6.1.8-1)
2)不直接承受荷载的单片玻璃:

(6.1.8-1)
2 中空玻璃的等效厚度可按下式计算:

式中:t e ——中空玻璃的等效厚度(mm);
t 1 、t 2 …t n ——各片玻璃的厚度(mm)。
3 各片玻璃可分别按本规程第6.1.5条的规定进行应力计算。
4 中空玻璃可按本规程第6.1.6条的规定进行挠度计算,在计算玻璃的刚度D时,应采用按式(6.1.8-3)计算的等效厚度t e 。
条文说明
6.1.8 中空玻璃的各片玻璃之间有气体层,直接承受荷载的正面玻璃的挠度一般略大于间接承受荷载的其他玻璃的挠度,分配的荷载也略大一些。为保证安全和简化设计,将正面玻璃分配的荷载加大10%,这与本规程编制组关于中空玻璃的试验结果相近,也与美国ASTM E1300标准的计算原则相接近。
考虑到直接承受荷载的玻璃挠度大于按各片玻璃等挠度原则计算的挠度值,所以中空玻璃的等效厚度te考虑折减系数0.95。
6.2 点支承玻璃面板
6.2 点支承玻璃面板
6.2.1 矩形玻璃面板宜采用四点支承,三角形玻璃面板宜采用三点支承。相邻支承点间的板边距离,不宜大于1.5m。点支承玻璃可采用钢爪支承装置或夹板支承装置。采用钢爪支承时,孔边至板边的距离不宜小于70mm。
条文说明
6.2.1 四点支承板为比较常见的连接形式,优势比较明显,工程应用经验比较丰富。而对六点支承板,支承点的增加使承载力没有显著提高,但跨中挠度可大大减小。所以,一般情况下宜采用单块四点支承玻璃;当挠度过大时,可采用六点支承板。
点支承面板采用开孔支承装置时,玻璃板在孔边会产生较高的应力集中。为防止破坏,孔洞距板边不宜太近。此距离应视面板尺寸、板厚和荷载大小而定,一般情况下孔边到板边的距离有两种限制方法:一种是板边距离法,即是本条的规定,另一种是按板厚的倍数规定。这两种方法的限值是大致相当的。孔边距为70mm时,可以采用爪长较小的200系列钢爪支承装置。
6.2.2 点支承玻璃面板采用浮头式连接件支承时,其厚度不应小于6mm;采用沉头式连接件支承时,其厚度不应小于8mm。夹层玻璃和中空玻璃中,安装连接件的单片玻璃厚度也应符合本条规定。钢板夹持的点支承玻璃,单片厚度不应小于6mm。
条文说明
6.2.2 点支承玻璃在支承部位应力集中明显,受力复杂。因此点支承玻璃的厚度应具有比框支承玻璃更严格的要求。
6.2.3 点支承中空玻璃孔洞周边应采取多道密封。
条文说明
6.2.3 中空玻璃的干燥气体层要求更严格的密封条件,防止漏气后中空内壁结露,为此常采用多道密封措施。工程中通常采用金属夹板夹持中空玻璃的方法,避免在中空玻璃上穿孔。
6.2.4 在垂直于玻璃面板的均布荷载作用下,点支承面板的应力和挠度应符合下列规定:
1 单片玻璃面板最大应力和最大挠度可按照考虑几何非线性的有限元方法进行计算。规则形状面板也可按下列公式计算:

式中:σ——在均布荷载作用下面板的最大应力(N/mm 2 );
d f ——在荷载标准组合值作用下面板的最大挠度(mm);
q、q k ——分别为垂直于面板的均布荷载、荷载标准组合值 (N/mm 2 );
D——面板弯曲刚度(N·mm),可按本规程公式(6.1.6-1)计算;
b——点支承面板特征长度,矩形面板为长边边长(mm);
t——面板厚度(mm);
θ——参数;
m——弯矩系数,四角点支承板可按本规程附录C中跨中弯矩系数m x 、m y ,和自由边中点弯矩系数m 0x 、m 0y 分别采用;四点跨中支承板可按本规程附录C中弯矩系数m采用;
μ——挠度系数,可按本规程附录C采用;
η——折减系数,可由参数日按本规程表6.1.5取用。
2 夹层玻璃和中空玻璃点支承面板的均布荷载的分配,可按本规程第6.1.7条、第6.1.8条的规定计算。
3 玻璃面板荷载基本组合最大应力设计值不应超过玻璃中部强度设计值f g 。
条文说明
6.2.4 点支承玻璃可按多点支承弹性薄板进行应力计算,计算时宜考虑大挠度变形的影响。其计算公式与框支承面板类似(参见本规程6.1.5~6.1.8条的条文说明),只是采用的计算系数值不同。
本规程附录C中给出相应的弯矩系数和挠度系数数值,针对四孔支承面板给出相同孔边距时的数据,同时保留对应四角点支承板的数据,可在进行夹板式支承面板设计时使用。
6.3 聚碳酸酯板
6.3 聚碳酸酯板
6.3.1 聚碳酸酯板最大应力和挠度可按照考虑几何非线性的有限元方法进行计算。
6.3.2 聚碳酸酯板可冷弯成型,中空平板的弯曲半径不宜小于板材厚度的175倍,U形中空板的最小弯曲半径不宜小于厚度的200倍,实心板的弯曲半径不宜小于板材厚度的100倍。
6.4 金属平板
6.4 金属平板
6.4.1 单层金属板和铝塑复合板宜四周折边或设置边肋;折边高度不宜小于20mm。铝蜂窝复合板可折边或将面板弯折后包封板边。铝塑复合板开槽时不得触及铝板,开槽后剩余的板芯厚度不应小于0.3mm;铝蜂窝复合板背板刻槽后剩余的铝板厚度不应小于0.5mm。铝蜂窝复合板和铝塑复合板的芯材不宜直接暴露于室外,不折边的铝塑复合板和铝蜂窝复合板宜在其周边采用铝型材镶嵌固定。
条文说明
6.4.1 单层铝板和铝塑复合板一般通过四周折边增大板的刚度,而且可以避免铝塑复合板的芯材在大气中外露。一般情况下,采用螺钉或不锈钢抽芯铆钉连接,在折边中心线开孔,折边高度20mm能够满足JGJ/T 139-2001中“连接件孔边距不应小于开孔宽度的1.5倍”和本规程的规定。目前,一些工程中也采用铝塑复合板不折边而附加铝型材的办法,此时,铝塑复合板应镶入铝内。铝蜂窝复合板可以采用折边、将面板弯折后包封板边、采用密封胶封边的做法。采用开缝构造设计时尤其注意采取措施防止板芯直接外露。
6.4.2 金属平板可根据受力要求设置加强肋。铝塑复合板折边处应设边肋。加强肋可采用金属方管、槽形或角形型材,加强肋的截面厚度不应小于1.5mm。
加强肋应与面板可靠连接,并应有防腐措施。金属平板中起支承边作用的中肋应与边肋或单层铝板的折边可靠连接。支承金属面板区格的中肋与其他相交中肋的连接应满足传力要求。
条文说明
6.4.2 金属平板较薄,必要时应设置加强肋增加其刚度并保持板面平整。作为面板的支承边时,加强肋是面板区格的不动支座,所以应保证中肋与边肋、中肋与中肋的可靠连接,满足传力要求。一些工程中,中肋只考虑用作保证面板平整度,不作为面板支承边,此时,中肋只与面板连接,不与边肋或单层铝板的板边连接,中肋两端处于无支座的浮动状态,无法作为区格面板的支承边,此时,面板计算时不宜考虑中肋的支承边作用。
6.4.3 金属平板的应力和挠度计算应符合下列规定:
1 边和肋所形成的面板区格,四周边缘可按简支边考虑,中肋支撑线可按固定边考虑。
2 在垂直于面板的均布荷载作用下,面板最大应力宜采用考虑几何非线性的有限元方法计算,规则面板可分别按下列公式计算:
1)单层金属屋面板:

2)铝塑复合板和铝蜂窝复合板:

式中:σ——在均布荷载作用下面板中最大应力(N/mm 2 );
q——垂直于面板的均布荷载(N/mm 2 );
l x ——金属平板区格的计算边长(mm),可按本规程附录C的规定采用;
E——面板弹性模量(N/mm 2 ),可按本规程表5.2.9采用;
t——面板厚度(mm);
t e ——面板折算厚度,铝塑复合板可取0.8t,铝蜂窝复合板可取0.6t;
W e ——铝塑复合板或铝蜂窝复合板的等效截面模量(mm 3 ),可分别按本规程表5.2.5-1、表5.2.6-1采用;
D e ——铝塑复合板或铝蜂窝复合板的等效弯曲刚度(N·mm),可分别按本规程表5.2.5-2、表5.2.6-2采用;
θ——参数;
m——弯矩系数,根据面板的边界条件和计算位置,可按本规程附录C分别按m、m x 0 、m y 0 查取;
η——折减系数,可由参数θ按表6.4.3采用。
3 中肋支撑线上的弯曲应力可取两侧板格固端弯矩计算结果的平均值。
4 金属面板荷载基本组合的最大应力设计值不应超过金属面板强度设计值。
表6.4.3 折减系数η

条文说明
6.4.3 金属板材的周边,无论有无边肋,均可以产生转动,所以计算时,可以作为简支边考虑;通常荷载或作用是均匀分布的,中肋两侧的板区格同时受力,当跨度相等或接近时,基本上不发生明显的板面转动,计算时可作为固定边考虑。当采用非线性有限元方法计算带肋面板时,边肋的约束条件可以考虑为垂直于板面方向的线位移为零。 弹性薄板的计算公式为: σ=6mqa2/t2(1) df=μqa4/D(2) 上述公式是假定板的变形为小挠度,板只承受弯曲作用,只产生弯曲应力而面内薄膜应力可忽略不计。因此,公式的适用范围是挠度不大于板厚(即df≤t)。当面板的挠度大于板厚时,该计算公式将会产生显著的误差,即计算得到的应力σ和挠度df比实际情况大,而且随着挠度与板厚之比加大,计算的应力和挠度会偏大到工程不可接受的程度,失去了计算的意义。按偏大的计算结果设计板材,不仅会使材料用量大大增多,而且规定的应力和挠度控制条件也失去了意义。 通常金属面板的挠度都允许到边长的1/60,对于区格边长为500mm、厚度为3mm的铝板,挠度允许值8mm已超过板厚的2倍,此时应力、挠度的计算值比实际值大50%~80%。用计算挠度df小于边长的1/60来控制,与预期的控制值相比严了许多。承载力计算也有类似情况。 为此,对于金属面板计算,应对现行小挠度条件的应力和挠度计算结果考虑适当折减(参照本规程第6.1.6条、6.1.7条条文说明)。 英国B.Aalami和D.G.Williams对不同边界的矩形薄板进行了系统计算,详见本规程第6.1.5条条文说明,据此编制了本规程正文表6.4.3。具体数值对比见本规程第6.1.5条条文说明。 由本规程第6.1.5条条文说明可知,修正系数η随θ下降很快,即按小挠度公式计算的应力量挠度可以折减很多。为安全稳妥,在编制表6.4.3时,取了较计算结果偏大的数值,留有充分的余地。同样在计算板的挠度df时,也宜考虑类似的折减系数η,见本规程第6.1.5条条文说明。 由于板的应力与挠度计算中,泊松比υ的影响很有限,折减系数η原则上也近似适用于不同金属板的应力和挠度计算。 铝塑复合板和铝蜂窝复合板为三层夹芯板,各层材料的力学性能不同,进行应力和挠度计算时,板的力学特性由等效截面模量We和等效刚度De表达。We和De由夹层板的弯曲试验得出。在计算其参数θ值时,公式(6.4.3-4)的分母应采用月Et3,也可近似用11.2Dete,代替,此处υ采用0.25
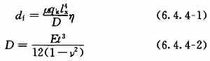
6.4.4 在均布荷载作用下,金属平板屋面的挠度应符合下列规定:
1 单层金属平板每区格的跨中挠度可采用考虑几何非线性的有限元方法计算,可按下列公式计算:

式中:d f ——在荷载标准组合值作用下挠度最大值(mm);
q k ——垂直于面板荷载标准组合值(N/mm 2 );
l x ——板区格的计算边长(mm),可按本规程附录C的规定采用;
t——板的厚度(mm);
D——板的弯曲刚度(N·mm);
υ——泊松比,可按本规程第5.2.10条采用;
E——弹性模量(N/mm 2 ),可按本规程第5.2.9条采用;
η——折减系数,可按本规程表6.4.3采用,q值采用q k 值计算。
2 铝塑复合板和铝蜂窝复合板的跨中挠度可按有限元方法计算,可按下式计算:
d f =(μq k l x 4 /D e )η (6.4.4-3)
式中:D e ——等效弯曲刚度(N·mm),可分别按本规程表5.2.5-2、表5.2.6-2采用。
6.4.5 方形或矩形金属面板上作用的荷载可按三角形或梯形分布传递到板肋上,其他多边形可按角分线原则划分荷载(图6.4.5),板肋上作用的荷载可按等弯矩原则简化为等效均布荷载。

图6.4.5 面板荷载向肋的传递
6.4.6 金属屋面板材的边肋截面尺寸可按构造要求设计。单跨中肋可按简支梁设计。多跨交叉肋可采用梁系进行计算。
6.5 压型金属板
6.5 压型金属板
6.5.1 压型金属屋面板可根据设计要求选用直立锁边板(图6.5.1)、卷边板或暗扣板。

图6.5.1 直立锁边板
1-中间加筋板件;2-中间加筋肋;3-腹板
条文说明
6.5.1 金属屋面用压型板通常采用铝合金板、不锈钢板、钛锌板等,目前比较成熟的压型板有:直立锁边系统(适用于板宽600mm以内、厚度1.0mm以内的各种金属板)、有立边叠合系统(适用于宽度1000mm以内的各种金属板,板厚0.8mm~1.0mm)、扣盖系统(适用于板厚0.8mm~1.0mm、板宽600mm以内)、平锁扣系统(适用于板厚0.8mm~1.2mm、板宽600mm以内)等。
6.5.2 铝合金面板中腹板和受压翼缘的有效厚度应按现行国家标准《铝合金结构设计规范》GB 50429的规定计算。钢面板中腹板和受压翼缘的有效厚度应按现行国家标准《冷弯薄壁型钢结构技术规范》GB 50018的规定计算。
条文说明
6.5.2 现行国家标准《铝合金结构设计规范》GB 50429对铝合金面板作出了专门的设计规定,《冷弯薄壁型钢结构技术规范》GB 50018对钢面板作出了专门的设计规定,本条直接予以引用。
6.5.3 在一个波距的面板上作用集中荷载F时(图6.5.3a),可按下式将集中荷载F折算成沿板宽方向的均布荷载q re (图6.5.3b),并按q re 进行单个波距的有效截面的受弯计算。

式中:F——集中荷载(N);
B——波距(mm);
η——折算系数,由试验确定;无试验依据时,可取0.5。

图6.5.3 集中荷载下屋面面板的简化计算模型
条文说明
6.5.3 集中荷载F作用下的屋面面板计算与板型、尺寸等有关,目前尚无精确的计算方法,一般根据试验结果确定。规程给出的将集中荷载F沿板宽方向折算成均布线荷载qre(公式6.5.3)是一个近似的简化公式,式中折算系数η由试验确定,若无试验资料,可取η=0.5,即近似假定集中荷载F由两个槽口承受,这对于多数板型是偏于安全的。 屋面板上的集中荷载主要是施工或使用期间的检修荷载。按我国荷载规范规定,屋面板施工或检修荷载F=1.0kN;验算时,荷载F不乘以荷载分项系数,除自重外,不与其他荷载组合。但如果集中荷载超过1.0kN,则应按实际情况取用。
6.5.4 金属屋面板的强度可取一个波距的有效截面,以檩条或T形支座为梁的支座,按受弯构件进行计算。
M/M u ≤1 (6.5.4-1)
M u =W e /f (6.5.4-2)
式中:M——截面所承受的最大弯矩(N·mm),可按图6.5.4的面板计算模型求得;
M u ——截面的受弯承载力设计值(N·mm);
W e ——有效截面模量,应按现行国家标准《铝合金结构设计规范》GB 50429或《冷弯薄壁型钢结构技术规范》GB 50018的规定计算。

图6.5.4 屋面面板的强度计算模型
P-集中荷载产生的作用于面板计算模型上的集中力;B-波距(mm);g-板面均布荷载(N/mm 2 );p-由g产生的作用于面板计算模型上的线均布力(N/mm);l-跨距(mm)
6.5.5 压型金属板和T形支座的受压和受拉连接强度应进行验算,必要时可按试验确定。T形支座的间距应经计算确定,并不宜超过1600mm。
条文说明
6.5.5 T形支座和面板的连接强度受材料性质及连接构造等许多因素影响,目前尚无精确的计算理论,需根据试验分别确定面板在受面外拉力和压力作用下的连接强度。T形支座的间距应经计算确定,满足屋面所受作用的要求,且不宜超过1600mm。
6.5.6 压型金属板中腹板的剪切屈曲应按下列公式计算:
1 铝合金面板应符合下列规定:


式中:τ——腹板平均剪应力(N/mm 2 );
τ cr ——腹板的剪切屈曲临界应力(N/mm 2 );
f v ——抗剪强度设计值(N/mm 2 ),应按现行国家标准《铝合金结构设计规范》GB 50429取用;
f 0.2 ——名义屈服强度(N/mm 2 ),应按现行国家标准《铝合金结构设计规范》GB 50429取用;
h/t——腹板高厚比。
2 钢面板应符合下列规定:

式中:τ——腹板平均剪应力(N/mm 2 );
τ cr ——腹板的剪切屈曲临界应力(N/mm 2 );
h/t——腹板高厚比。
条文说明
6.5.6 公式(6.5.6-1)和(6.5.6-2)分别为腹板弹塑性和弹性剪切屈曲临界应力设计值,与现行国家标准《铝合金结构设计规范》GB 50429的规定一致。公式(6.5.6-3)和(6.5.6-4)与现行国家标准《冷弯薄壁型钢结构技术规范》GB 50018的规定一致。
6.5.7 铝合金面板和钢面板支座处腹板的局部受压承载力,应按下列公式验算:

式中:R——支座反力(N);
R w ——一块腹板的局部受压承载力设计值(N);
α——系数,中间支座取0.12;端部支座取0.06;
t——腹板厚度(mm);
l c ——支座处的支承长度(mm),10mm<l c <200mm,端部支座可取l c =10mm;
θ——腹板倾角(45°≤θ≤90°);
f——面板材料的抗压强度设计值(N/mm 2 )。
条文说明
6.5.7 腹板局部承压涉及因素较多,很难精确分析。本公式取自现行国家标准《铝合金结构设计规范》GB 50429和《冷弯薄壁型钢结构技术规范》GB 50018,并和欧洲规范相同。
6.5.8 屋面板同时承受弯矩M和支座反力及的截面,应满足下列要求:
1 铝合金面板应符合下式规定:

2 钢面板应符合下式规定:

式中:M u ——截面的弯曲承载力设计值(N·mm),M u =W e f;
W e ——有效截面模量,按现行国家标准《铝合金结构设计规范》GB 50429或《冷弯薄壁型钢结构技术规范》GB 50018的规定计算;
R w ——腹板的局部受压承载力设计值(N),应按本规程公式(6.5.7-2)计算。
条文说明
6.5.8 本公式取自现行国家标准《铝合金结构设计规范》GB 50429和《冷弯薄壁型钢结构技术规范》GB 50018,并和欧洲规范相同。
6.5.9 金属屋面板同时承受弯矩M和剪力V的截面,应满足下列要求:
(M/M u ) 2 +(V/V u ) 2 ≤1 (6.5.9)
式中:V u ——腹板的受剪承载力设计值(N/mm 2 ),铝合金面板取(ht·sinθ)τ cr 和(ht·sinθ)f v 中较小值,钢面板取(ht·sinθ)τ cr ,τ cr 应按本规程6.5.6条分别计算。
6.5.10 屋面板T形支座的强度应按下列公式计算:
σ=R/A en ≤f (6.5.10—1)
A en =t 1 L s (6.5.10—2)
式中:σ——正应力设计值(N/mm 2 );
f——支座材料的抗拉和抗压强度设计值(N/mm 2 );
R——支座反力(N);
A en ——有效净截面面积(mm 2 )
t 1 ——支座腹板最小厚度(mm);
L s ——支座长度(mm)。
条文说明
6.5.10 公式(6.5.10-1)和(6.5.10-2)取自现行国家标准《铝合金结构设计规范》GB 50429。
6.5.11 屋面板T形支座的稳定性可简化为等截面柱模型(图6.5.11)按下式计算:
R/φA≤f (6.5.11)
式中:R——支座反力(N);
φ——轴心受压构件的稳定系数,应根据构件的长细比、铝合金材料的强度标准值f 0.2 :按现行国家标准《铝合金结构设计规范》GB 50429取用;
A——毛截面面积(mm 2 ),A=tL s ;
t——T形支座等效厚度(mm),按(t 1 +t 2 )/2取值;
t 1 ——支座腹板最小厚度(mm);
t 2 ——支座腹板最大厚度(mm)。

图6.5.11 支座的简化模型
H-T形支座高度
6.5.12 计算屋面板T形支座的稳定系数时,其计算长度应按下式计算:
l 0 =μH (6.5.12)
式中:μ——支座计算长度系数,可取1.0或由试验确定;
l 0 ——支座计算长度(mm)。
条文说明
6.5.12 屋面板T形支座的稳定性可按等截面模型进行简化计算。支座端部受到板面的侧向支撑,根据面板侧向支撑情况;支座的计算长度系数的理论值范围为0.7~2.0。同济大学进行的0.9mm厚65mm高400mm宽的铝合金面板试验中,量测了T形支座破坏时的支座反力值,表1为按本规程公式计算得到的承载力标准值(取μ为1.0,f为f0.2)和试验值。考虑到试验得到的支座破坏数据有限,而板厚、板型对支座侧向支撑的影响又比较复杂,本规程建议根据试验确定计算长度值。 表1 T形支座承载力标准值和试验值的比较(kN) 
6.6 支承结构设计
6.6 支承结构设计
6.6.1 支承结构应符合国家现行标准《钢结构设计规范》GB 50017、《冷弯薄壁型钢结构技术规范》GB 50018、《铝合金结构设计规范》GB 50429、《空间网格结构技术规程》JGJ 7等相关规定。
6.6.2 单根支承构件截面有效受力部位的厚度,应符合下列要求:
1 截面自由挑出的板件和双侧加肋的板件的宽厚应符合设计要求;
2 铝合金型材有效截面部位厚度不应小于2.5mm,型材孔壁与螺钉之间由螺纹直接受拉、压连接时型材应局部加厚,局部壁厚不应小于螺钉的公称直径,宽度不应小于螺钉公称直径的1.6倍;
3 热轧钢型材有效截面部位的壁厚不应小于2.5mm,冷成型薄壁型钢截面厚度不应小于2.0mm。型材孔壁与螺钉之间由螺纹直接受拉、压连接时,应验算螺纹强度。
条文说明
6.6.2 单根支承构件指梁、斜柱、拱等简单的支承结构,受弯薄壁金属梁的截面存在局部稳定问题,为防止产生压应力区的局部屈曲,通常可按下列方法之一加以限制: 1 规定最小壁厚tmin和规定最大宽厚比; 2 对抗压强度设计值或允许应力予以降低。 钢型材最小壁厚的限值均小于现行国家标准《六角螺母C级》GB/T 41和《六角薄螺母》GB/T 6172.1中螺纹规格D为M5的螺母厚度尺寸,应验算螺纹强度,保证连接强度。
6.6.3 根据面板在构件上的支承情况决定其荷载和地震作用,并计算构件的双向弯矩、剪力、扭矩。大跨度开口截面宜考虑约束扭转产生的双力矩。
6.7 硅酮结构密封胶
6.7 硅酮结构密封胶
6.7.1 硅酮结构密封胶的粘结宽度应符合本规程第6.7.3条的规定,且不应小于7mm,其粘结厚度应符合本规程第6.7.4条的规定,且不应小于6mm。硅酮结构密封胶的粘结宽度应大于厚度,但不宜大于厚度的2倍。
条文说明
6.7.1 硅酮结构密封胶承受荷载和作用产生的应力大小,关系到构件的安全,对结构胶必须进行承载力验算,而且保证最小的粘结宽度和厚度。隐框玻璃板材的结构胶粘结宽度一般应大于其厚度。
6.7.2 硅酮结构密封胶应根据不同受力情况进行承载力验算。在风荷载、雪荷载、积灰荷载、活荷载和地震作用下,其拉应力或剪应力不应大于其强度设计值f 1 ;在永久荷载作用下,其拉应力或剪应力不应大于其强度设计值f 2 。
拉伸粘结强度标准值应符合现行国家标准《建筑用硅酮结构密封胶》GB 16776的规定,f 1 可取为0.2N/mm 2 ,f 2 可取为0.01N/mm 2 。
条文说明
6.7.2 硅酮结构密封胶缝应进行受拉和受剪承载能力极限状态验算,习惯上采用应力表达式。计算应力设计值时,应根据受力状态,考虑作用效应的基本组合。具体的计算方法应符合本规程有关条文的规定。采光顶、金属屋面与幕墙的荷载方式略有不同,考虑强度计算的适用性,本规程取值尽量与现行行业标准《玻璃幕墙工程技术规范》JGJ 102保持一致。 现行国家标准《建筑用硅酮结构密封胶》GB 16776中,规定了硅酮结构密封胶的拉伸强度值不低于0.6N/mm2。在风荷载或地震作用下,硅酮结构密封胶的总安全系数不小于4,套用概率极限状态设计方法,风荷载分项系数取1.4,地震作用分项系数取1.3,则其强度设计值f1约为0.21N/m2~0.195N/m2,本规程取为0.2N/m2,此时材料分项系数约为3.0。在永久荷载(重力荷载)作用下,硅酮结构密封胶的强度设计值f2取为风荷载作用下强度设计值的1/20,即0.01N/mm2。 目前生产厂家已生产了强度大于1.2N/mm2的高强度结构胶,并在高层建筑、9度设防地区建筑、索网采光顶中应用。有依据时所采用的高强度结构胶的强度设计值可适当提高。
6.7.3 隐框玻璃面板与副框间硅酮结构密封胶的粘结宽度C s 应符合下列规定:
1 当玻璃面板为刚性板时应按下式计算:
C s =q k A/Sf 1 (6.7.3-1)
2 当玻璃面板为柔性板时应按下式计算:
C s =q k a/2f 1 (6.7.3-2)
式中:C s ——硅酮结构胶粘结宽度(mm);
q k ——作用于面板的均布荷载标准值(N/mm 2 );
S——玻璃面板周长,即硅酮结构密封胶缝的总长度(mm);
A——面板面积(mm 2 );
a——面板特征长度(mm);矩形为短边长,狭长梯形为高,圆形为半径,三角形为内心到边的距离的2倍。
3 粘结宽度C s 尚应符合下式要求:
C s ≥G 2 /Sf 2 (6.7.3-3)
式中:G 2 ——平行于玻璃板面的重力荷载设计值(N)。
条文说明
6.7.3 隐框玻璃面板与副框间硅酮结构密封胶的粘结宽度应根据玻璃面板的厚度、规格等因素综合考虑,具体方法是: 1 在玻璃面板较小或厚度较厚,玻璃发生弯曲变形很小时,可近似认为玻璃面板为刚性板,则胶缝受力比较均匀,共同受力,可以直接用周长进行计算。 2 当玻璃有较大变形时,胶缝的受力不均匀,目前被普遍认可的理论是梯形荷载分配理论。 以矩形为例,a、b分别为矩形的高和宽,以四个顶点作角平分线,见图1。则A、B和C处的胶缝所承受的荷载基本相等,如果取相当小的长度y,则荷载可表示为qya/2,此处胶 缝的承载能力为f1yCS。因此f1yCS=qya/2。即CS=qa/2f1。 
图1 矩形面板胶缝宽度计算简图 采用类似的理论,分别可以推导出圆形、梯形和三角形的胶缝宽度计算公式(见图2)。 
图2 圆形、梯形和三角形面板胶缝宽度计算简 任意四边性可补足成三角形,并按三角形的方法进行计算。 本条规定与美国标准《Standard Guide for Structural Sealant Glazing》ASTM C1401-09a的规定基本一致。 3 沿面板平面内方向,重力荷载会产生切向分力,应进行验算
6.7.4 隐框玻璃面板与副框间硅酮结构密封胶的粘结厚度t s 应符合下式要求:

式中:μ s ——玻璃与铝合金框的相对位移(mm),主要考虑玻璃与铝合金框之间因温度变化产生的相对位移,必要时还须考虑结构变形产生的相对位移;
δ——硅酮结构密封胶在拉应力为0.7f 1 时的伸长率。
条文说明
6.7.4 结构胶所承受应力的标准值不应大于0.7f1,此时对应的伸长率为δ,在此伸长率下,结构胶沿厚度产生的最大位移应能满足胶缝变形的要求。本条规定与现行行业标准《玻璃幕墙工程技术规范》JGJ 102一致。 硅酮结构密封胶承受永久荷载的能力较低,而且会有明显的变形,所以工程中一般在长期受力部位应设金属件支承,倒挂的玻璃也采用类似的金属安全件。
6.7.5 隐框、半隐框采光顶用中空玻璃二道密封胶应采用符合现行国家标准《建筑用硅酮结构密封胶》GB 16776的结构密封胶,其粘结宽度C sl 应按下式计算,且不应小于6mm:
C sl ≥βC s (6.7.5)
式中:C sl ——中空玻璃二道密封胶粘结宽度(mm);
C s ——玻璃面板与副框间硅酮结构密封胶的粘结宽度(mm),可按本规程6.7.3条进行计算;
β——外层玻璃荷载系数,当外层玻璃厚度大于内层玻璃厚度时β=1.0,否则β=0.5。
条文说明
6.7.5 本条参考《Guideline For European Technical Approval For Structural Sealant Glazing Systems(SSGS)Part 1:Supported And Unsupported Systems))ETAG E002:2001附录2的规定制定,对于较小的单元或非矩形尚应考虑气候的影响。
7 构造及连接设计
7.1 一般规定
7 构造及连接设计
7.1 一般规定
7.1.1 采光顶、金属屋面与主体结构之间的连接应能够承受并可靠传递其受到的荷载或作用,并应适应主体结构变形。
条文说明
7.1.1 采光顶与金属屋面的连接节点种类很多,如中部节点、边部节点、交叉面节点、檐口节点等。各种连接节点的功能不同,其连接方式和构造都有很大的差异。但不论采用何种形式的连接,都必须保证采光顶与金属屋面在使用过程中能够承受并可靠传递屋面的荷载或作用。
7.1.2 采光顶、金属屋面与主体结构可采用螺栓连接或焊接。采用螺栓连接、挂接或插接的结构构件,应采取可靠的防松动、防滑移、防脱离措施。
7.1.3 当连接件与所接触材料可能产生双金属接触腐蚀时,应采用绝缘垫片分隔或采取其他有效措施防止腐蚀。
7.1.4 与主体结构相对应的变形缝应能够适应主体结构的变形,并不得降低采光顶、金属屋面该部位的主要性能要求。
条文说明
7.1.4 构造缝设计应能够适应主体结构的变形要求,并不得降低该部位的气密性、水密性、抗风压性能和保温性能等要求。
7.1.5 连接构造应采取措施防止因结构变形、风力、温度变化等产生噪声。杆件间的连接处可设置柔性垫片或采取其他有效构造措施。
7.1.6 配套使用的铝合金窗、塑料窗、玻璃钢窗等应分别符合国家现行标准《铝合金门窗》GB/T 8478、 《未增塑聚氯乙烯(PVC-U)塑料窗》JG/T 140和《玻璃纤维增强塑料(玻璃钢)窗》JG/T 186等的规定,并应符合设计要求。
条文说明
7.1.6 采光顶和金属屋面配套使用的铝合金窗、塑料窗、玻璃钢窗应比建筑幕墙用窗要求更高,因此应符合设计要求,且应分别符合国家现行标准《铝合金门窗》GB/T 8478、《未增塑聚氯乙烯(PVC-U)塑料窗》JG/T 140、《玻璃纤维增强塑料(玻璃钢)窗》JG/T 186等的规定。
7.1.7 连接光伏系统的支架、双层金属屋面系统中用于支承装饰层或其他辅助层的连接构件不宜穿透金属面板。如果确有必要穿透时,应采取柔性防水构造措施进行防水。
7.1.8 清洗装置或维护装置用穿过采光顶、金属屋面的金属构件宜选用不锈钢,且在穿透面板部位应采取可靠防水措施。
条文说明
7.1.8 由于清洗和维护或特殊功能的需要,在屋面支承结构上安装支承构件并穿过采光顶或金属屋面的面板实现使用功能。为有效防止节点处产生漏水现象,在穿透面板的节点部位应采用可靠防水措施。应根据每个项目的实际情况采用构造性防水或封堵式防水。
7.1.9 排烟窗应进行外排水设计,其顶面可高出采光顶或金属屋面,且宜设置排水构造。
7.1.10 连接光伏系统的支架承载力应满足设计和使用要求,应易于实现光伏电池的拆装。
7.2 玻璃采光顶
7.2 玻璃采光顶
7.2.1 支承玻璃或光伏玻璃组件的金属构件应按照现行行业标准《玻璃幕墙工程技术规范》JGJ 102的有关规定进行设计;点支承爪件应按照现行行业标准《建筑玻璃点支承装置》JG/T 138的有关规定进行承载力验算。
7.2.2 严寒和寒冷地区采用半隐框或明框采光顶构造时,宜根据建筑物功能需要,在室内侧支承构件上设置冷凝水收集和排放系统。
条文说明
7.2.2 为防止在玻璃室内侧产生冷凝水向下流淌,宜设置冷凝水收集和排放系统。通常排放槽有两种形式:(1)冷凝水较多的环境(如泳池,浴室和多水的房间等)主支承构件与次支承构件的排放槽要连通,并应设置排水道(孔),将水引入排水道;(2)在冷凝水较少的环境或结露现象不严重的采光顶,主次龙骨的排放槽可以不连通,如有结露现象时,可在排放槽内自然蒸发。
7.2.3 框支承玻璃面板可采用注胶板缝或嵌条板缝。明框采光顶面板应有足够的排水坡度或设置外部排水构造,半隐框采光顶的明框部分宜顺排水方向布置。
条文说明
7.2.3 采光顶玻璃面板属于柔性板,本身还会有自重下的挠度,形成“锅底”,如果锅底积水、积灰会影响采光顶外观。考虑玻璃变形后排水要求,排水坡度不宜小于3%。防止在每一个玻璃分格内出现积水现象,排水通道可以采用排水槽或排水孔的形式。半隐框采光顶的明框部分宜顺排水方向布置。
7.2.4 隐框玻璃采光顶的玻璃悬挑尺寸应符合设计要求,且不宜超过200mm。
7.2.5 点支承玻璃采用穿孔式连接时宜采用浮头连接件,连接件与面板贯穿部位宜采用密封胶密封。点支式玻璃平顶宜采用采光顶专用爪件。
条文说明
7.2.5 点支式玻璃穿孔式连接件主要分为浮头式和沉头式两种。沉头式连接件外观虽然美观,但承载力稍差,且防水性能不易保证,因此采光顶如采用穿孔式连接时,宜采用浮头式连接件。为便于装配和安装时调整位置,玻璃板开孔的直径通常稍大于爪件的金属轴,因此除轴上加封套管外,还应采用密封胶将空隙密封,以便可靠传递荷载,并防止漏水。
为了有效降低玻璃应力集中,应增大施工中玻璃平面位置的可调量。点支式玻璃平顶宜采用全部大圆孔的爪件。
7.2.6 点式支承装置应能适应玻璃面板在支承点处的转动变形要求。钢爪支承头与玻璃之间宜设置具有弹性的衬垫或衬套,其厚度不宜小于1mm,且应有足够的抗老化能力。夹板式点支承装置应设置衬垫承受玻璃重量。
条文说明
7.2.6 点支承面板受弯后,板的角部产生转动,如果转动被约束,则会在支承处产生较大的弯矩。因此支承装置应能适应板支承部位的转动变形。当面板尺寸较小、荷载较小、支承部位转动较小时,可以采用夹板式或固定式支承装置;当面板尺寸较大、荷载较大、支承部位转动较大时,则宜采用带球铰的活动式支承装置。
根据清华大学的试验资料,垫片厚度超过1mm后,加厚垫片并不能明显减少支承头处玻璃的应力集中;而垫片厚度小于1mm时,垫片厚度减薄会使支承处玻璃应力迅速增大。所以垫片最小厚度取为1mm。
夹板式点支承装置应设置衬垫承受玻璃重量,避免玻璃与夹板刚性接触,造成玻璃破裂。
7.2.7 除承受玻璃面板所传递的荷载或作用外,点支承装置不应兼作其他用途的支承构件。
条文说明
7.2.7 支承装置只用来支承玻璃和玻璃承受的风荷载、雪荷载、积灰荷载或地震作用,不应在支承装置上附加其他设备和重物。
7.2.8 采光顶倒挂隐框玻璃、倾斜隐框玻璃应设置金属承重构件,承重构件与玻璃之间应采用硬质橡胶垫片有效隔离。倒挂点支玻璃不宜采用沉头式连接件。
条文说明
7.2.8 采光顶倒挂隐框玻璃、倾斜隐框玻璃通过结构胶传递重力,使结构胶处于长期受拉或受剪状态,因此设计时应尽量避免倒挂隐框玻璃构造,通过设置承重构件可改善结构胶的工作状态,延长结构胶的使用寿命,提高采光顶的安全性。
7.2.9 采光顶玻璃与屋面连接部位应进行可靠密封。连接处采光顶面板宜高出屋面。
条文说明
7.2.9 采光顶的边缘与屋面之间应有过渡连接。为保证采光顶在使用过程中的各项物理性能,采光顶面板宜高出屋面,一般不少于80mm。
7.2.10 支承采光顶的自平衡索结构、大跨度桁架与主体结构的连接部位应具备适应结构变形的能力。
条文说明
7.2.10 一般情况下自平衡索结构、轮辐式结构、张悬梁结构、马鞍形索结构采光顶等均由主体结构支承,相互间会有较大相对位移,因此其连接部位需要能够适应结构变形的能力,一般可设置成连杆机构。
7.2.11 玻璃采光顶板缝构造应符合下列规定:
1 注胶式板缝应采用中性硅酮建筑密封胶密封,且应满足接缝处位移变化的要求。板缝宽度不宜小于10mm。在接缝变形较大时,应采用位移能力较高的中性硅酮密封胶。
2 嵌条式板缝可采用密封条密封,且密封条交叉处应可靠封接。连接构造上宜进行多腔设计,并宜设置导水、排水系统。
3 开放式板缝宜在面板的背部空间设置防水层,并应设置可靠的导水、排水系统和有效的通风除湿构造措施。内部支承金属结构应采取防腐措施。
条文说明
7.2.11 本条对玻璃采光顶板缝构造作出规定:
1 注胶式板缝应采用中性硅酮建筑密封胶密封,且能满足接缝处位移变化的要求。在工程材料的线膨胀系数较大或结构及环境因素造成接缝形变较大时,应选用位移能力较高的硅酮密封胶。尤其在点支式玻璃采光顶中,玻璃面板采用的是点支承方式固定的,当玻璃在受到垂直于玻璃平面的荷载时,将产生较大的平面外变形(最大可达边长的1/60),这将在受力玻璃的边缘与相邻的面板边缘出现较大的剪切和拉伸作用。所以在使用密封胶进行面板之间密封时应优先选用低模量高弹性的硅酮密封胶。密封胶不得腐蚀玻璃镀膜和夹层胶片。
2 嵌条式板缝可采用密封条密封,且密封条交叉处应可靠封接。尽管如此,仍有可能导致漏水,因此连接构造上宜进行多腔设计,并应设置导水、排水系统。
3 开放式板缝在采光顶中应用较少,通常作为装饰层,不需要实现功能层的作用。因此宜在面板的背部空间设置防水层,并应设置可靠的导排水系统和采取必要的通风除湿构造措施。其内部支承金属结构应采取防腐措施。
7.3 金属平板屋面
7.3 金属平板屋面
7.3.1 金属平板屋面的构造与连接宜符合现行行业标准《金属与石材幕墙工程技术规范》JGJ 133的相关规定。
条文说明
7.3.1 金属平板的连接方式与金属板幕墙的面板的连接方法基本相似,连接设计时可参照现行行业标准《金属与石材幕墙工程技术规范》JGJ 133的相关规定。
7.3.2 面板周边可采用螺栓或挂钩与支承构件连接,且螺栓直径不宜小于4mm,螺栓的数量应根据板材所承受的荷载或作用计算确定,铆钉或锚栓孔中心至板边缘的距离不应小于2倍的孔径;孔中心距不应小于3倍的孔径。挂钩宜设置防噪声垫片。
7.3.3 金属平板屋面系统板缝构造应符合下列规定:
1 注胶式板缝应符合下列要求:
1)板缝底部宜采用泡沫条充填,宜采用中性硅酮密封胶密封,胶缝厚度不宜小于6mm,宽度不宜小于厚度的2倍;应采取措施避免密封胶三面粘结;
2)用于氟碳涂层表面的硅酮密封胶应进行粘结性试验,必要时可加涂底胶。
2 封闭嵌条式板缝宜采用密封胶条密封,且密封条交叉处应可靠封接,宜采用压敏粘结材料进行粘结。板缝宜采用多道密封的防水措施。
条文说明
7.3.3 金属平板屋面的渗漏现象比较普遍,在考虑板间的连接密封时,宜优先选用密封胶进行密封。
7.3.4 开放式板缝构造应符合下列规定:
1 背部空间应防止积水,并采取措施顺畅排水;
2 保温材料外表应有可靠防水措施,可采用镀锌钢板、铝板为防水衬板;
3 背部空间应保持通风;
4 支承构件和金属连接件应采取有效的防腐措施。
条文说明
7.3.4 在采用开放式连接结构时,应充分考虑金属平板与支承结构间的密封和设立完整的排水系统。
7.4 压型金属板屋面
7.4 压型金属板屋面
7.4.1 压型屋面板用铝合金板、钢板的厚度宜为0.6mm~1.2mm,且宜采用长尺寸板材,应减少板长方向的搭接接头数量。直立锁边铝合金板的基板厚度不应小于0.9mm。
7.4.2 金属屋面板长度方向的搭接端不得与支承构件固定连接,搭接处可采用焊接或泛水板,非焊接处理时搭接部位应设置防水堵头,搭接部分长度方向中心宜与支承构件中心一致,搭接长度应符合设计要求,且不宜小于表7.4.2规定的限值:
表7.4.2 金属屋面板长度方向最小搭接长度(mm)


图7.4.2 金属屋面板搭接图
条文说明
7.4.2 金属屋面板长度方向搭接时,其下部应有可靠的硬质支撑,由于屋面板热胀冷缩,因此不得与下部结构固定连接;搭接部位应采用可靠连接,保证搭接部位的结构性能和防水性能。
7.4.3 压型金属屋面板侧向可采用搭接、扣合或咬合等方式进行连接,并应符合下列规定:
1 当侧向采用搭接式连接时,连接件宜采用带有防水密封胶垫的自攻螺钉,宜搭接一波,特殊要求时可搭接两波。搭接处应用连接件紧固,连接件应设置在波峰上。对于高波铝合金板,连接件间距宜为700mm~800mm;对于低波屋面板,连接件间距宜为300mm~400mm。
2 采用扣合式或咬合式连接时,应在檩条上设置与屋面板波形板相配套的固定支座,固定支座和檩条宜采用机制自攻螺钉或螺栓连接,且在边缘区域数量不应少于4个,相邻两金属面板应与固定支座可靠扣合或咬合连接。
7.4.4 压型金属屋面胶缝的连接应采用中性硅酮密封胶。
7.4.5 金属屋面与立墙及突出屋面结构等交接处,应作泛水处理。屋面板与突出构件间预留伸缩缝隙或具备伸缩能力。
条文说明
7.4.5 泛水与屋面板两板间应放置通长密封条,螺栓拧紧后,两板的搭接口处应用密封材料封严。
7.4.6 压型金属屋面板采用带防水垫圈的镀锌螺栓固定时,固定点应设在波峰上。外露螺栓均应密封。
7.4.7 梯形板、正弦波纹板连接应符合下列要求:
1 横向搭接不应小于一个波,纵向搭接不应小于200mm。
2 挑出墙面的长度不应小于200mm。
3 压型板伸入檐沟内的长度不应小于150mm。
4 压型板与泛水的搭接宽度不应小于200mm。
7.5 聚碳酸酯板采光顶
7.5 聚碳酸酯板采光顶
7.5.1 U形聚碳酸酯板应通过奥氏体型不锈钢连接件与支承构件连接,并宜采用聚碳酸酯扣盖勾接,U形聚碳酸酯板与扣盖间的空隙宜采用发泡胶条密封(图7.5.1)。采光顶较长时U形聚碳酸酯板可采用错台搭接方法搭接。

图7.5.1 U形聚碳酸酯板的连接
1-扣盖;2-连接件;3-U形聚碳酸酯板
条文说明
7.5.1 U形聚碳酸酯板通过奥氏体型不锈钢连接件与支承构件连接,采用聚碳酸酯扣盖勾接,不锈钢连接件与聚碳酸酯板可以相对滑动,以便吸收温度变形。为达到良好的密封效果,U形聚碳酸酯板与扣盖间的空隙宜用发泡胶条密封。如采光顶较长时,可采用错台搭接的方法,在设计板材铺檩结构时,在板材对接处设计错台,低处板材安装时在错台下方,高处板材安装时探出,形成搭接。
7.5.2 聚碳酸酯板支承结构宜以横檩为主,间距应经计算确定,其间距范围宜为700mm~1500mm。
条文说明
7.5.2 一般情况下,U形聚碳酸酯板的铺檩分隔在横檩方向,且应根据板材厚度、建筑高度以及所受荷载等因素计算确定铺檩间距,通常在700mm~1500mm之间。必要时可根据板材的宽度,设计纵向铺檩,加强承载能力。
7.5.3 采用硅酮密封胶作为密封材料时,应进行粘结性试验,发生化学反应的密封胶不得使用。
条文说明
7.5.3 硅酮密封胶和聚碳酸酯板粘结性受很多因素的影响,使用时必须进行粘结试验,确认不发生化学反应后方可使用。
7.5.4 U形聚碳酸酯板采光顶的收边构件宜采用聚碳酸酯型材配件。
条文说明
7.5.4 U形聚碳酸酯板的收边型材宜为聚碳酸酯材质。
7.6 预埋件与后置锚固件
7.6 预埋件与后置锚固件
7.6.1 支承构件与主体结构应通过预埋件连接;当没有条件采用预埋件连接时,应采用其他可靠的连接措施,并宜通过试验验证其可靠性。
7.6.2 屋面与主体结构采用后加锚栓连接时,应采取措施保证连接的可靠性,应满足现行行业标准《混凝土结构后锚固技术规程》JGJ 145的规定,并应符合下列规定:
1 碳素钢锚栓应经过防腐处理;
2 应进行承载力现场检验;
3 锚栓直径应通过承载力计算确定,并且不应小于10mm;
4 与化学锚栓接触的连接件,在其热影响区范围内不宜进行连续焊缝的焊接操作。
7.7 光伏组件及光伏系统
7.7 光伏组件及光伏系统
7.7.1 点支承光伏组件的电池片(电池板)至孔边的距离不宜小于50mm;框支承光伏组件电池片(电池板)至玻璃边的距离不宜小于30mm。
7.7.2 光伏采光顶电线(缆)、电气设备的连接设计应统筹安排,安全、隐蔽、集中布置,应满足安装维护要求。型材断面结构和支承构件设计应考虑光伏系统导线的隐蔽走线。
8 加工制作
8.1 一般规定
8 加工制作
8.1 一般规定
8.1.1 采光顶、金属屋面在加工制作前,应按建筑设计和结构设计施工图要求对已建主体结构进行复测,在实测结果满足相关验收规范的前提下对采光顶、金属屋面的设计进行必要调整。
条文说明
8.1.1 采光顶、金属屋面属于围护结构,在施工前对主体结构进行复测,当其误差超过采光顶、金属屋面设计图纸中的允许值时,一般宜首先调整采光顶、金属屋面设计图纸。原则上应避免对原主体结构进行破坏性修理。
8.1.2 硅酮结构密封胶应在洁净、通风的室内进行注胶,且环境温度、湿度条件应符合结构胶产品的规定;注胶宽度和厚度应符合设计要求;不应在现场打注硅酮结构密封胶。
条文说明
8.1.2 硅酮结构密封胶加工场所应在室内,并要求清洁、通风良好,温度也应满足要求,如北方的冬季应有采暖,南方的夏季应有降温措施等。对于硅酮结构密封胶的施工场所要求较严格,除要求清洁、无尘外,室内温度不宜低于15℃,也不宜高于30℃,相对湿度不宜低于50%。硅酮结构胶的注胶厚度及宽度应符合设计要求,一般宽度不得小于7mm,厚度不得小于6mm。硅酮结构密封胶应在洁净、通风的室内进行注胶,不应在现场打注硅酮结构密封胶,以保证注胶质量。收胶缝的余胶一般不得重新使用。
8.1.3 低辐射镀膜玻璃应根据其镀膜材料的粘结性能和其他技术要求,确定加工制作工艺。离线低辐射镀膜玻璃边部应进行除膜处理。
条文说明
8.1.3 低辐射镀膜玻璃是一种特殊的玻璃,近来在采光顶中的应用越来越多。但根据试验,其镀膜层在空气中非常容易氧化,且其膜层易与硅酮结构胶发生化学反应,相容性较差。因此,加工制作时应按相容性和其他技术要求,制定加工工艺,应采取除膜等必要的处理措施。
8.1.4 钢构件加工应符合现行国家标准《钢结构工程施工质量验收规范》GB 50205和《冷弯薄壁型钢结构技术规范》GB 50018的有关规定。钢构件表面处理应符合现行国家标准《钢结构工程施工质量验收规范》GB 50205的有关规定。
8.1.5 钢构件焊接、螺栓连接应符合国家现行标准《钢结构设计规范》GB 50017、 《冷弯薄壁型钢结构技术规范》GB 50018及《建筑钢结构焊接技术规程》JGJ 81的有关规定。
8.2 铝合金构件
8.2 铝合金构件
8.2.1 采光顶的铝合金构件的加工应符合下列要求:
1 型材构件尺寸允许偏差应符合表8.2.1的规定;
表8.2.1 型材构件尺寸允许偏差(mm)

2 截料端头不应有加工变形,并应去除毛刺;
3 孔位的允许偏差为0.5mm,孔距的允许偏差为±0.5mm,孔距累计偏差为±1.0mm;
4 铆钉的通孔尺寸偏差应符合现行国家标准《紧固件 铆钉用通孔》GB 152.1的规定;
5 沉头螺钉的沉孔尺寸偏差应符合现行国家标准《紧固件沉头用沉孔》GB 152.2的规定;
6 圆柱头、螺栓的沉孔尺寸应符合现行国家标准《紧固件圆柱头用沉孔》GB 152.3的规定。
条文说明
8.2.1 铝型材的加工精度是影响构件质量的关键问题。本条对构件的加工误差要求与现行行业标准《玻璃幕墙工程技术规范》JGJ 102的规定相当。
8.2.2 铝合金构件中槽、豁、榫的加工应符合现行行业标准《玻璃幕墙工程技术规范》JGJ 102的有关规定。
8.2.3 铝合金构件弯加工应符合下列要求:
1 铝合金构件宜采用拉弯设备进行弯加工;
2 弯加工后的构件表面应光滑,不得有皱折、凹凸、裂纹。
条文说明
8.2.3 采用拉弯设备进行铝合金构件的弯加工,是比较常见的加工方法,能够确保构件的加工质量。
8.3 钢结构构件
8.3 钢结构构件
8.3.1 平板型预埋件、槽型预埋件加工精度及表面要求应符合现行行业标准《玻璃幕墙工程技术规范》JGJ 102的有关规定。
8.3.2 钢型材主支承构件及次支承构件的加工应符合现行国家标准《钢结构工程施工质量验收规范》GB 50205的有关规定。
8.4 玻璃、聚碳酸酯板
8.4 玻璃、聚碳酸酯板
8.4.1 采光顶用单片玻璃、夹层玻璃、中空玻璃的加工精度除应符合国家现行相关标准的规定外还应符合下列要求:
1 玻璃边长尺寸允许偏差应符合表8.4.1-1的要求。
表8.4.1-1 玻璃尺寸允许偏差(mm)

2 钢化玻璃与半钢化玻璃的弯曲度应符合表8.4.1-2的要求。
表8.4.1-2 钢化玻璃与半钢化玻璃的弯曲度

3 夹层玻璃尺寸允许偏差应符合表8.4.1-3的要求。
表8.4.1-3 夹层玻璃尺寸允许偏差(mm)

4 中空玻璃尺寸允许偏差应符合表8.4.1-4的要求。
表8.4.1-4 中空玻璃尺寸允许偏差(mm)

条文说明
8.4.1 单片玻璃、中空玻璃、夹层玻璃应满足相关产品标准的规定。由于工程的需要,本规程对玻璃的外观尺寸、允许偏差要求更为严格,加工时应以此为准。本规程关于矩形玻璃的规定与现行国家标准《建筑幕墙》GB/T 21086、行业标准《玻璃幕墙工程技术规范》JGJ 102的规定基本相同。
其他形状玻璃的尺寸偏差要求可根据供需双方的要求确定。
8.4.2 热弯玻璃尺寸允许偏差、弧面扭曲允许偏差应分别符合表8.4.2-1和表8.4.2-2的要求。
表8.4.2-1 热弯玻璃尺寸允许偏差(mm)

表8.4.2-2 热弯玻璃弧面扭曲允许偏差(mm)

条文说明
8.4.2 对玻璃进行弯曲加工后,反射的影像会发生扭曲变形,特别是镀膜玻璃的这种变形会很明显。因此对弧形玻璃的加工除几何尺寸要求外,特别规定了其拱高及弯曲度的允许偏差。
8.4.3 点支承玻璃加工应符合下列要求:
1 面板及其孔洞边缘应倒棱和磨边,倒棱宽度不应小于1mm,边缘应进行细磨或精磨;
2 裁切、钻孔、磨边应在钢化前进行;
3 加工允许偏差除应符合本规程第8.4.1条外,还应符合表8.4.3的规定;
表8.4.3 点支承玻璃加工允许偏差

4 孔边处第二道密封胶应为硅酮结构密封胶;
5 夹层玻璃、中空玻璃的钻孔可采用大、小孔相配的方式。
条文说明
8.4.3 玻璃钢化后不能再进行机械加工,因此玻璃的裁切、磨边、钻孔等应在钢化前完成。玻璃面板钻孔的允许偏差是根据机械加工原理、公差理论、玻璃钻孔设备及刀具的加工精密度而定的。
中空玻璃开孔处胶层至少应采取双道密封,内层密封可采用丁基密封胶,外层密封应采用硅酮结构密封胶,打胶应均匀、饱满、无空隙。
当玻璃面板由两片单层玻璃组合而成时,在制作过程中应单片分别加工后再合片。如果两片玻璃孔径大小一致,则所有的孔都要对位准确,实际操作比较困难,主要是因为单片玻璃制作时存在形状、尺寸、孔位、孔径等允许偏差。常用的方法是两片单层玻璃钻大小不同的孔,以使多孔容易对位。
8.4.4 中空玻璃合片加工时,应考虑制作地点和安装地点不同气压的影响,应采取措施防止玻璃大面变形。
条文说明
8.4.4 采用立式注胶法进行中空玻璃加工时,玻璃内的气压与大气压是平衡的,但当安装所在地与加工所在地的气压相差较大时,中空玻璃受到气压差的影响会产生不可恢复的变形,因此应采取适当措施来消除气压差的影响。常用的方法是采用均压管调节法。
8.4.5 聚碳酸酯板的加工应符合下列规定:
1 加工允许偏差应符合表8.4.5的规定;
表8.4.5 聚碳酸酯板加工允许偏差(mm)

2 板材可冷弯成型,也可采用真空成型,不得采用板材胶粘成型。
8.4.6 聚碳酸酯板加工表面不得出现灼伤,直接暴露的加工表面宜采取抗紫外线老化的防护措施。
条文说明
8.4.6 聚碳酸酯板加工时,所用刀具和切削速度应适当,防止加工表面出现灼伤;加工后,板材表面的抗紫外线涂层被破坏,应进行防护处理,防止局部加速老化。
8.5 明框采光顶组件
8.5 明框采光顶组件
8.5.1 夹层玻璃、聚碳酸酯板与槽口的配合尺寸(图8.5.1)应符合表8.5.1的要求。

图8.5.1 夹层玻璃、聚碳酸酯板与槽口的配合示意
a,c-间隙;b-嵌入深度;d 1 -夹层玻璃或聚碳酸酯板厚度
表8.5.1 夹层玻璃、聚碳酸酯板与槽口的配合尺寸(mm)

8.5.2 夹层中空玻璃与槽口的配合尺寸(图8.5.2)宜符合表8.5.2的要求。

图8.5.2 夹层中空玻璃与槽口的配合示意
a,c-间隙;b-嵌入深度;d 1 -夹层中空玻璃厚度;d a -空气层厚度
表8.5.2 夹层中空玻璃与槽口的配合尺寸(mm)

条文说明
8.5.1、8.5.2 明框玻璃采光顶的玻璃与槽口之间的间隙除应达到嵌固玻璃要求外,还要能适应热胀冷缩的变形及主体结构层间移位或其他荷载作用下导致的框架变形,以避免玻璃直接碰到金属槽口,造成玻璃破碎或漏水现象。
8.5.3 明框玻璃采光顶组件导气孔及排水通道的形状、位置应符合设计要求,组装时应保证通道畅通。
条文说明
8.5.3 明框玻璃采光顶一般设置导气孔及排水通道,加工制作时应按设计要求进行,组装时应保持通道顺畅、不泄漏。
8.6 隐框采光顶组件
8.6 隐框采光顶组件
8.6.1 硅酮结构密封胶固化期间,不应使结构胶处于单独受力状态。组件在硅酮结构密封胶固化并达到足够承载力前不应搬运。
条文说明
8.6.1 硅酮结构密封胶在长期重力荷载作用下承载力很低,固化前强度更低,而且硅酮结构密封胶在重力作用下会产生明显的变形。若使硅酮结构密封胶在固化期间处于受力较大的状态,会造成粘结失效等安全隐患。因此在加工组装过程中应采取措施减小结构胶所承受的应力。注胶后的隐框组件可采用周转架分块安置;如直接叠放时,要求放置垫块直接传力,并且叠放层数不宜过多。
8.6.2 硅酮结构密封胶完全固化后,隐框玻璃采光顶装配组件的尺寸偏差应符合表8.6.2的规定。
表8.6.2 结构胶完全固化后隐框玻璃组件的尺寸允许偏差(mm)

8.7 金属屋面板
8.7 金属屋面板
8.7.1 金属平板的加工精度应符合现行行业标准《金属与石材幕墙工程技术规范》JGJ 133的规定。
8.7.2 金属压型板的基板尺寸允许偏差应符合表8.7.2的规定。
表8.7.2 基板尺寸允许偏差(mm)

条文说明
8.7.2 控制加工金属压型板的卷板的几何形状,是确保金属压型板成型质量的要素之一。
8.7.3 对于有弧度的屋面板应根据板型和弯弧半径选择自然成弧或机械预弯成弧,外观应平整、顺滑。
8.7.4 屋面板可采用工厂加工或工地现场加工。对于板长超过10m的板件宜采用现场压型加工。
8.7.5 压型金属板材和泛水板加工成型后应符合下列规定:
1 不得出现基板开裂现象;
2 无大面积明显的凹凸和皱褶,表面应清洁;
3 涂层或镀层应无肉眼可见裂纹、剥落和擦痕等缺陷。
条文说明
8.7.5 压型金属板是一种典型的薄壁钢结构,板件的裂纹、褶皱损伤对其承载力影响较大,且不易修复,因此应无裂纹、褶皱损伤等现象。
8.7.6 压型金属板材加工(图8.7.6)允许偏差应符合表8.7.6的规定。

图8.7.6 压型金属板材加工图
表8.7.6 屋面压型金属板材加工允许偏差(mm)

条文说明
8.7.6 压型金属板的波高、侧向弯曲、覆盖宽度、板长、横向剪切偏差,均需满足一定的精度要求,才能确保屋面系统的安装及安装质量。
8.7.7 泛水板、包角板、排水沟几何尺寸的允许偏差应符合表8.7.7的规定。
表8.7.7 泛水板、包角板、排水沟几何尺寸加工允许偏差

注:表中的允许偏差适用于弯板机成型的产品。用其他方法成型的产品也可参照执行。
8.8 光伏系统
8.8 光伏系统
8.8.1 电池板的正负电极应与接线盒可靠连接。接线盒安装牢固,无松动现象,并用专用密封胶密封。
8.8.2 汇流条、互联条应焊接牢固、平直、无突出、毛刺等缺陷。
8.8.3 电池板封装过程中,应严格控制各项加工参数,并在出厂前贴标签,注明电池板的各项性能参数。
9 安装施工
9.1 一般规定
9 安装施工
9.1 一般规定
9.1.1 采光顶与金属屋面安装前,应对主体结构进行测量,经验收合格后方可进行安装施工。
条文说明
9.1.1 采光顶与金属屋面属于外围护结构,为保证安装施工质量,要求主体结构应满足采光顶与金属屋面安装的基本条件,并符合有关结构施工质量验收规范的规定。
9.1.2 采光顶与金属屋面的安装施工应编制施工组织设计,应包括下列内容:
1 工程概况、组织机构、责任和权利、施工进度计划和施工程序安排(包括技术规划、现场施工准备、施工队伍及有关组织机构等);
2 材料质量标准及技术要求;
3 与主体结构施工、设备安装、装饰装修的协调配合方案;
4 搬运、吊装方法、测量方法及注意事项;
5 试验样品设计、制作要求和物理性能检验要求;
6 安装顺序、安装方法及允许偏差要求,关键部位、重点难点部位施工要求,嵌缝收口要求;
7 构件、组件和成品的现场保护方法;
8 质量要求及检查验收计划;
9 安全措施及劳动保护计划;
10 光伏系统安装、调试、运行和验收方案;
11 相关各方交叉配合方案。
条文说明
9.1.2 安装施工是保证采光顶与金属屋面工程质量的关键,又是多工种的联合施工,和其他分项工程施工难免有交叉和衔接的工序。因此,为保证采光顶与金属屋面的安装施工质量,要求安装施工承包单位单独编制采光顶与金属屋面的施工组织设计方案。
9.1.3 采光顶与金属屋面工程的施工测量放线应符合下列要求:
1 分格轴线的测量应与主体结构测量相配合,及时调整、分配、消化测量偏差,不得积累;放线时应进行多次校正;
2 应定期对安装定位基准进行校核;
3 测量应在风力不大于4级时进行。
条文说明
9.1.3 采光顶与金属屋面的施工测量,主要强调:
1 采光顶与金属屋面分格轴线的测量应与主体结构测量相配合,主体结构出现偏差时,采光顶与金属屋面的分格线应根据主体结构偏差及时调整、分配、消化,不得积累。采光顶与金属屋面的形状大多不规则,而且主体结构的施工难免出现偏差,所以在测量时应绘制精确的设计放样详图,对曲面结构的采光顶与金属屋面,要严格控制中心点和纵横控制轴线,并进行复核定位。采光顶与金属屋面为空间定位,测量放线时使用高精度定位仪器能保证测量放线的准确性。
2 定期对采光顶与金属屋面的安装定位基准进行校核,以保证安装基准的正确性,避免因此产生安装误差。
3 对采光顶与金属屋面的测量,如果风力大于4级,容易产生不安全因素或测量不准确等问题。
9.1.4 安装过程中,应及时对采光顶与金属屋面半成品、成品进行保护;在构件存放、搬运、吊装时不得碰撞、损坏和污染构件。
条文说明
9.1.4 对加工好的半成品、成品构件进行保护,在构件存放、搬运、吊装时,应防止碰撞、损坏、污染构件。在室外储存时更应采取有效保护措施。
9.2 安装施工准备
9.2 安装施工准备
9.2.1 安装施工之前,应检查现场清洁情况,脚手架和起重运输设备等应具备安装施工条件。
9.2.2 构件储存时应依照采光顶与金属屋面安装顺序排列放置,储存架应有足够的承载力和刚度。在室外储存时应采取保护措施。
9.2.3 采光顶、金属屋面与主体结构连接的预埋件,应在主体结构施工时按设计要求埋设,预埋件的位置偏差不应大于20mm。采用后置埋件时,其方案应经确认后方可实施。
条文说明
9.2.3 采光顶与金属屋面多为空间异形结构,为保证其安装准确性,在安装前应检查采光顶与金属屋面各部件的加工精度和配合性,并确认预埋件的位置偏差不应大于20mm。因预埋件偏差过大或其他原因采用后置埋件时,其方案应经业主、监理、建筑设计单位共同认可后再进行安装施工。
9.2.4 采光顶与金属屋面的支承构件安装前应进行检验与校正。
9.3 支承结构
9.3 支承结构
9.3.1 采光顶、金属屋面支承结构的施工应符合国家现行相关标准的规定。钢结构安装过程中,制孔、组装、焊接和涂装等工序应符合现行国家标准《钢结构工程施工质量验收规范》GB 50205的有关规定。
9.3.2 大型钢结构构件应进行吊装设计,并宜进行试吊。
条文说明
9.3.2 大型钢结构的吊装设计包括吊装受力计算、吊点设计、附件设计、就位和固定方案、就位后的位置调整等。对支承钢结构本身即是主体结构的情况,吊装时一般应设置支撑平台作为临时支撑,并设置千斤顶等调整位置的设备,以便准确安装。
9.3.3 钢结构安装就位、调整后应及时紧固,并应进行隐蔽工程验收。
条文说明
9.3.3 钢结构安装就位、调整后应及时紧固,防止产生变形,并应进行隐蔽工程验收。
9.3.4 钢构件在运输、存放和安装过程中损坏的涂层及未涂装的安装连接部位,应按现行国家标准《钢结构工程施工质量验收规范》GB 50205的有关规定补涂。
条文说明
9.3.4 钢构件在空气中容易产生锈蚀,作为采光顶支承结构的钢构件,应按现行国家标准的有关规定进行防腐处理。
9.4 采光顶
9.4 采 光 顶
9.4.1 采光顶的安装施工应按下列要求进行:
1 根据采光顶的形状确定施工放线的基点,找出定位基准线,以基准线为定位点确定采光顶各分格点的空间定位,支座安装应定位准确;
2 支承结构的安装应按预定安装顺序安装;
3 采光顶框架构件、点支承装置安装调整就位后应及时紧固;
4 装饰压板应顺水流方向设置,表面应平整,接缝符合设计要求;
5 采光顶的周边封堵收口、屋脊处压边收口、支座处封口处理应铺设平整且可靠固定,并应符合设计要求;
6 采光顶防雷体系的设置应符合设计要求;
7 采光顶天沟、排水槽及隐蔽节点施工应符合设计要求;
8 保温材料应铺设平整且可靠固定,拼接处不应留缝隙;
9 通气槽及雨水排出口等应按设计要求施工;
10 安装用的临时紧固件应在构件紧固后及时拆除;
11 采用现场焊接或高强度螺栓紧固的构件,在安装就位后应及时进行防锈处理。
9.4.2 采光顶玻璃安装应按下列要求进行:
1 安装前应对玻璃进行表面清洁;
2 采用橡胶条密封时,胶条长度宜比边框内槽口长1.5%~2.0%;橡胶条斜面断开后应拼成预定的设计角度,并应粘结牢固、镶嵌平整;
3 球形或椭球形采光顶玻璃安装宜按从中心向四周辐射的方法施工。
条文说明
9.4.2 本条对采光顶玻璃安装提出要求:
1 采光顶玻璃安装采用机械或人工吸盘,所以要求玻璃表面保持清洁,以避免发生漏气,保证施工安全。
2 在玻璃周边安装橡胶条,保证玻璃周边的嵌入量及空隙一致并符合设计要求,使面板在建筑变形及温度变形时,可以在胶条的约束下滑动,消除变形对玻璃的影响。
3 球形或椭球形采光顶玻璃安装顺序宜按从中间向四周辐射的方法施工较为合适,便于吸收各类误差。
9.4.3 硅酮建筑密封胶施工环境温度应符合产品要求和设计要求,打注前应保证打胶面清洁、干燥,不宜在夜晚、雨天打注。
条文说明
9.4.3 硅酮建筑密封胶的施工必须严格遵照施工工艺进行。夜晚光照不足,雨天缝内潮湿,均不宜打胶。打胶温度应在指定的温度范围内,打胶前应使打胶面清洁、干燥。
9.4.4 采光顶玻璃较厚时,可采用上下两面分别注胶。
条文说明
9.4.4 为保证采光顶的水密性能及外观质量,采光顶玻璃内外密封胶注胶宜分别进行。
9.4.5 框支承采光顶构件安装允许偏差应符合表9.4.5的规定。
表9.4.5 框支承采光顶构件安装允许偏差

条文说明
9.4.5 采光顶框架安装的准确性和安装质量,影响整个采光顶的安装质量,是采光顶安装施工的关键之一,其安装允许偏差应控制在合理的范围内。特别是弧形、球形及椭球形等采光顶,其内外轴线的距离影响到采光顶的周长,影响玻璃面板的封闭,应认真对待。
对弧形、球形及椭球形等不规则形状的采光顶,其支承结构的安装顺序对采光顶框架的安装很重要,可能影响采光顶结构的封闭,应严格按施工组织设计的要求顺序安装。
采光顶处于建筑物的外表面,其受热胀冷缩的影响最大,在框架安装时应留有一定的缝隙,以适应和消除温差变形的影响。
采光顶处于建筑物的外表面,对水密性能的要求比幕墙要高,因此对采光顶的装饰压板、周边封堵收口、屋脊处压边收口、支座处封口、天沟、排水槽、通气槽、雨水排出口及隐蔽节点处理应按设计要求铺设平整且可靠固定,防止出现渗漏现象。
9.4.6 点支承的采光顶安装应符合表9.4.6的规定。
表9.4.6 点支承采光顶安装允许偏差

9.5 金属平板、直立锁边板屋面
9.5 金属平板、直立锁边板屋面
9.5.1 金属平板屋面的安装和运输应符合现行行业标准《金属与石材幕墙工程技术规范》JGJ 133的相关规定。
条文说明
9.5.1 现行行业标准《金属与石材幕墙工程技术规范》JGJ 133对框支承围护结构有较明确的规定,金属平板屋面与其相似,因此相关的一些规定可以直接执行JGJ 133,本规程不再重复。
9.5.2 直立锁边板应根据板型和设计的配板图铺设;铺设时应先在檩条上安装固定支座,板材和支座的连接应按所采用板材的要求确定。
条文说明
9.5.2 直立锁边板材为薄壁长条、多种规格的型材,本条强调板材应根据设计的配板图铺设和连接固定。
9.5.3 直立锁边板的肋高和板宽应符合设计要求,顺水流方向设置;沿坡度方向(纵向)宜为一整体,无接口,无螺钉连接;压型面板长度不宜大于25m,且应设置相应变形导向控制点。
条文说明
9.5.3 金属板面顺水流方向设置,沿坡度方向(纵向)应为一整体,无接口,无螺钉连接,是为了保证金属屋面排水顺畅。由于金属面板材料的特性,热胀冷缩引起面板的摩擦会影响其使用寿命,同时面板过长可能导致面板起拱或脱离支座连接件;设置位移控制点是为控制面板的伸缩方向,确保按设计要求的方向伸缩。
9.5.4 直立锁边屋面板与立面墙体及突出屋面结构等交接处应作泛水处理,固定就位后搭接口处应采用密封材料密封。
条文说明
9.5.4 屋面板与立面墙体及突出屋面结构等交接处应作泛水处理,防止漏水。
9.5.5 直立锁边板咬合应符合设计要求,平行咬口间距应准确、立边高度应一致。咬口顶部不得有裂纹,咬口连接处直径(或高度)应满足系统供应商技术要求,偏差不得超过2mm。
条文说明
9.5.5 直立锁边板之间是通过咬口连接的,咬口施工质量直接影响屋面防水功能,本条对于金属板材的咬口质量提出要求。
9.5.6 直立锁边屋面的檐口线、泛水段应顺直,无起伏现象。檐口与屋脊局部起伏5m长度内不大于10mm。
条文说明
9.5.6 金属板材屋面的檐口线、泛水段应顺直,无起伏现象,檐口与屋脊局部起伏5m长度内不大于10mm,使屋面整齐、美观。
9.5.7 相邻两块直立锁边板宜顺年最大频率风向搭接;上下两排板的搭接长度应根据板型和屋面坡长确定,并应符合本规程表7.4.2的要求,搭接部位应采用密封材料密封;对接拼缝与外露螺钉应作密封处理。
条文说明
9.5.7 铺设金属板材屋面时,相邻两块板应顺年最大频率风向搭接,可避免刮风时冷空气灌入屋面内部;上下两排板的搭接长度应根据板型和屋面坡长确定,由于压型钢板屋面的坡度一般较小,所以上下两块板的搭接长度宜稍长一些,最短不宜小于200mm。所有搭接缝内应用密封材料密封,防止渗漏。
9.5.8 在天沟与金属面板搭接部位,金属面板伸入天沟长度应根据施工季节等因素计算确定,且不宜小于150mm;当有檐沟时,金属面板应伸入檐沟内,其长度不宜小于50mm;檐口端部应采用专用封檐板封堵;山墙应采用专用包角板封严。无檐沟屋面金属面板挑出长度不宜小于120mm,无组织排水屋面且无檐沟时金属面板挑出长度不宜小于200mm。
条文说明
9.5.8 用金属板材制作的天沟,屋面金属板材应伸入沟帮两侧,长度不宜小于150mm,以便固定密封。屋面金属板材伸入檐沟的长度不宜小于50mm,以防爬水。金属板材的类型不一,屋面的檐口和山墙应采用与板型配套的堵头封檐板和包角板封严。
9.5.9 泛水板单体长度不宜大于2m,泛水板的安装应顺直;泛水板与直立锁边板的搭接宽度应符合不同板型的设计要求。
9.5.10 直立锁边系统板缝咬合方向应符合设计要求,平行流水方向板缝宜采用立咬口,咬口折边方向应按顺水流方向或主导风向设置。垂直流水方向的板缝可采用平咬口。
9.5.11 金属面板与突出屋面结构的连接处,金属面板应向上弯起固定后做成泛水,其弯起高度不宜小于200mm。
9.5.12 底泛水与面泛水安装位置及工艺应满足设计要求,接口应紧密。面泛水板与面板之间、收口板与面板之间应采用泡沫塑料封条密封,底泛水板与面板搭接处应采用硅酮密封胶粘结牢靠。
条文说明
9.5.12 底泛水与面泛水安装位置及工艺应满足设计要求,接口应紧密。面泛水板与面板之间、收口板与面板之间应采用泡沫塑料封条密封,底泛水板与面板搭接处应采用硅酮密封胶粘结牢靠。
9.5.13 直立锁边金属屋面构件安装允许偏差(图9.5.13)应符合表9.5.13的规定。
表9.5.13 直立锁边金属屋面构件安装允许偏差


图9.5.13 直立锁边金属屋面构件安装允许偏差
9.6 梯形、正弦波纹压型金属屋面
9.6 梯形、正弦波纹压型金属屋面
9.6.1 采用压板固定式金属板材时应采用带防水垫圈的螺栓固定,固定点应设在波峰上。外露螺栓应采用密封胶密封。螺栓数量在波瓦四周的每一搭接边上,均不应少于3个,波中央不少于6个。
条文说明
9.6.1 为保证金属屋面的水密性能达到设计要求,对固定及搭接提出具体要求。
9.6.2 压型板挑出部分应符合设计规定,且无檐沟时,挑出墙面不应小于200mm;有檐沟时伸入檐沟长度不应小于150mm,檐口应采用专用堵头封檐板封堵,山墙应采用专用包角板封严。
9.6.3 铺设压型板宜从檐口开始,相邻两块应顺主导风向搭接,搭接宽度横向不应少于一个波,纵向搭接长度不应小于200mm。搭接部位应采用密封材料密封,对接拼缝与外露螺钉应作密封处理。
9.6.4 屋脊、斜脊、天沟和突出屋面结构等与屋面的连接处应采用泛水板连接,每块泛水板的长度不宜大于2m,泛水板的安装应顺直,其与压型板的搭接宽度不少于200mm,泛水高度不应小于150mm。
条文说明
9.6.4 为便于泛水板的安装和密封,每块泛水板的长度不宜大于2m。
9.6.5 金属屋面的收边、收口和变形缝安装应符合设计要求。
条文说明
9.6.5 本条对金属屋面的收边、收口提出要求,同时也对沉降缝、伸缩缝、防震缝等变形缝的安装处理提出要求。
9.7 聚碳酸酯板
9.7 聚碳酸酯板
9.7.1 聚碳酸酯板的安装宜采用干法施工,可采用湿法进行施工。
条文说明
9.7.1 干法施工采用金属压条和密封胶条实现密封,板材在热膨胀和受载变形时可以相对自由地伸缩,是比较理想的解决雨水渗漏的方法。湿式装配法一般使用硅酮密封胶进行聚碳酸酯U形板的湿式装配,密封系统只能承受板材有限的移动,即允许一定量的热膨胀,否则可能导致屋面渗漏。
9.7.2 聚碳酸酯U形板的安装应符合下列规定:
1 板材边缘应去毛刺,孔内应保持干净;
2 可采用型材盖板、金属盖板、端部U形保护盖对U形板进行密封,U形板边部不得外露;
3 预安装件与支承结构安装之前应检查胶带有无损坏,检查合格后加盖板材端口板;
4 中空板材不宜进行横向弯曲。
9.7.3 聚碳酸酯中空平板边缘安装应符合下列规定:
1 板材与型材或镶嵌框的槽口应留出有效间隙,板材受热膨胀或在荷载作用下发生位移时不应有卡死现象;
2 板材边部被夹持部分至少含有一条筋肋。
条文说明
9.7.3 在聚碳酸酯中空平板安装工程中,边部安装非常重要。为有效吸收变形,板材与型材或镶嵌框的槽口应留出有效间隙,板材被夹持的部分至少含有一条筋肋,且被夹持长度一般不宜小于25mm。
9.8 光伏系统
9.8 光伏系统
9.8.1 安装施工准备应包括下列内容:
1 应对设备进行开箱检查,合格证、说明书、测试记录、附件备件均应齐全;
2 按设计要求检查太阳能电池组件的型号、规格、数量和完好程度,应无漏气、漏水、裂缝等缺陷;
3 安装光伏组件前应根据组件参数对每个太阳能电池组件进行检查测试,其参数值应符合产品出厂指标;测试项目除开路电压、短路电流外,还应包括安全检测;
4 应将工作参数接近的组件装在同一子方阵中。
条文说明
9.8.1 针对太阳能电池组件应按照现行国家标准《汽车安全玻璃试验方法 第3部分:耐辐照、高温、潮湿、燃烧和耐模拟气候试验》GB/T 5137.3进行安全性检测。
9.8.2 光伏组件安装应符合下列规定:
1 安装时组件表面应铺遮光板,遮挡阳光,防止电击危险;
2 光伏组件在存放、搬运、吊装等过程中不得碰撞受损;光伏组件吊装时,其底部应衬垫木,背面不得受到任何碰撞和重压;
3 组件在支承构件上的安装位置和排列方式应符合设计要求;
4 光伏组件的输出电缆不得非正常短路。
9.8.3 布线应符合下列规定:
1 电缆宜隐藏在支承构件中,并应便于维修;
2 布线施工应符合现行国家标准《电气装置安装工程电缆线路施工及验收规范》GB 50168的相关规定;
3 组件方阵的布线应有支撑、紧固、防护等措施,导线应留有适当余量;
4 方阵的输出端应有明显的极性标志和子方阵的编号标志;
5 电缆线穿过屋面处应预埋防水套管,并作防水密封处理;防水套管应在屋面防水层施工前埋设。
9.8.4 辅助系统、电气设备安装应符合下列规定:
1 电气设备安装应符合现行国家标准《建筑电气工程施工质量验收规范》GB 50303的相关规定;
2 电气系统接地应符合现行国家标准《电气装置安装工程接地装置施工及验收规范》GB 50169的相关规定;
3 带蓄能装置的光伏系统,蓄电池安装应符合现行国家标准《电气装置安装工程蓄电池施工及验收规范》GB 50172的相关规定;
4 在逆变器、控制器的表面,不得设置其他电气设备和堆放杂物,保证设备的通风环境;
5 光伏系统并网的电气连接方式应采用与电网相同的方式,并应符合现行国家标准《光伏系统并网技术要求》GB/T 19939的相关规定;
6 光伏系统和电网的专用开关柜应有醒目标识;标识应标明“警告”、“双电源”等提示性文字和符号。
9.8.5 系统调试应符合下列要求:
1 系统调试前应检查下列项目:
1)接线应无碰地、短路、虚焊等,设备及布线对地绝缘电阻应符合产品设计要求;
2)接地保护安全可靠;
3)光伏组件表面应清洁。
2 光伏系统调试和检测应符合国家现行标准的相关规定。
3 光伏系统应按设计要求进行调试,内容包括方阵、配电系统、数据采集系统及整体系统调试。
9.9 安全规定
9.9 安全规定
9.9.1 采光顶与金属屋面的安装施工除应符合现行行业标准《建筑施工高处作业安全技术规范》JGJ 80、《建筑机械使用安全技术规程》JGJ 33、《施工现场临时用电安全技术规范》JGJ 46的有关规定外,还应符合施工组织设计中规定的各项要求。
条文说明
9.9.1 采光顶与金属屋面的安装施工应根据相关技术标准的规定,结合工程实际情况,制定详细的安全操作规程,确保施工安全。
9.9.2 安装施工机具在使用前,应进行安全检查。电动工具应进行绝缘电压试验。手持玻璃吸盘及玻璃吸盘机应进行吸附重量和吸附持续时间试验。
条文说明
9.9.2 施工机具在使用前,应进行安全检查,确保机具及人员的安全。
9.9.3 采用脚手架施工时,脚手架应经过设计,并应与主体结构可靠连接。
条文说明
9.9.3 采用脚手架施工时,脚手架应经过设计和必要的计算,在适当的部位与主体结构应可靠连接,保证其足够的承载力、刚度和稳定性。
9.9.4 与主体结构施工交叉作业时,在采光顶与金属屋面的施工层下方应设置防护网。
条文说明
9.9.4 采光顶与金属屋面安装,经常与主体结构施工、设备安装或室内装饰交叉作业,为保证施工人员安全,应在采光顶与金属屋面的施工层下方设置防护网进行防护。
9.9.5 现场焊接作业时,应采取可靠的防火措施。
条文说明
9.9.5 本条对现场焊接作业提出要求,防止施工现场发生火灾。
9.9.6 采用吊篮、马道施工时,应符合下列要求:
1 施工吊篮、马道应进行设计,使用前应进行严格的安全检查,符合要求方可使用;马道两侧的护栏高度不得小于1100mm,底部应铺厚度不小于3mm的防滑钢板,并连接可靠;
2 施工吊篮、马道不宜作为垂直运输工具,并不得超载;
3 不宜在空中进行施工吊篮、马道检修;
4 不宜在施工马道内放置带电设备,不得利用施工马道构件作为焊接地线;
5 施工工人应戴安全帽、配带安全带。
10 工程验收
10.1 一般规定
10 工程验收
10.1 一般规定
10.1.1 采光顶与金属屋面工程在验收前应将其表面清洗干净。
10.1.2 验收时应提交下列资料:
1 竣工图、结构计算书、热工计算书、设计变更文件及其他设计文件;
2 工程所用各种材料、附件及紧固件,构件及组件的产品合格证书、性能检测报告,进场验收报告记录和主要材料复试报告;
3 工程中使用的硅酮结构胶应提供国家认可实验室出具的硅酮结构胶相容性和剥离粘结性试验报告;进口硅酮结构胶提供商检证;
4 硅酮结构胶的注胶及养护时环境的温度、湿度记录,注胶过程记录;双组分硅酮结构胶的混匀性试验记录及拉断试验记录;
5 构件的加工制作记录;现场安装过程记录;
6 后置锚固件的现场拉拔检测报告;
7 设计要求进行气密性、水密性、抗风压、热工和抗风掀试验时,应提供其检验报告;
8 现场淋水试验记录,天沟或排水槽等关键部位的蓄水试验记录;
9 防雷装置测试记录;
10 隐蔽工程验收文件;
11 拉杆和拉索的张拉记录;
12 其他质量保证资料。
条文说明
10.1.2 采光顶与金属屋面工程验收,包括资料检查和工程实体检查两部分。工程资料是施工过程质量控制和材料质量控制的重要依据。对资料进行检查是工程验收的一个重要组成部分。
作为起粘结作用的硅酮结构密封胶,是保证采光顶与金属屋面工程结构安全的重要环节,使用前应对其邵氏硬度、拉伸粘结强度、相容性进行复试;对张拉索体系采光顶工程,应采用大变形硅酮结构密封胶,并应对其拉伸变形进行复试。
按照现行国家标准《建筑幕墙》GB/T 21086的要求,采用新材料新工艺的采光顶与金属屋面工程,应按设计要求进行相关的性能检测,并提交相应的检测报告。
采光顶和金属屋面的防雷装置应和主体工程的防雷装置同时测试,以保证防雷效果的完整性。
天沟或排水槽是采光顶和金属屋面工程一个重要的子分部工程,也是施工的难点,因此对排水槽应作48h蓄水试验,并做好相应记录。
10.1.3 采光顶工程验收前,应在安装施工过程中完成下列隐蔽项目的现场验收:
1 预埋件或后置锚固件质量;
2 构件与主体结构的连接节点安装,构件之间连接节点安装;
3 排水槽和落水管的安装,排水槽与落水管之间的连接安装;
4 排水槽的防水层施工,采光顶与周边防水层的连接节点安装;
5 采光顶的四周,内表面与其他装饰面相接触部位的封堵,以及保温材料的安装;
6 屋脊处、穹顶的圆心点、不同面的转弯处等节点的安装,变形缝处构造节点安装;
7 防雷装置的安装;
8 冷凝结水收集排放装置的安装。
条文说明
10.1.3 对隐蔽部分的节点进行验收是关系到整个采光顶与金属屋面工程结构安全和使用性能的关键环节,应在装饰材料封闭前完成验收。工程验收时,应对隐蔽工程验收文件和设计文件进行认真比较并审查,当发现两者不符时,应拆除装饰面板,对隐蔽工程中不符合设计要求的内容进行抽样复查。
当采光顶中设计有冷凝结水收集装置时,应对其排水坡度、坡向、收集槽布置以及收集槽之间的连接节点进行隐蔽工程验收并做好记录;当设计为暗装排水槽时,其隐蔽工程验收和蓄水试验均应在装饰材料封闭前完成。
10.1.4 金属屋面工程验收前,应在安装施工过程完成下列隐蔽项目的现场验收:
1 预埋件或后置锚固质量;
2 支撑结构的安装及支撑结构与主体结构的连接节点安装;
3 屋面底衬板的铺装;
4 支架的安装;
5 保温层及隔声层的安装;
6 屋面面板铺装,搭接处咬合处理;
7 屋面防水层或泛水板的安装;
8 金属屋面封口收边的安装,变形缝处构造节点安装;
9 天沟或排水槽的安装节点,排水槽板之间的焊接节点,落水管与排水槽之间的连接;
10 检修口及排烟窗口的安装;
11 金属屋面防雷装置的安装。
10.1.5 采光顶与金属屋面工程质量验收应分别进行观感检验和抽样检验,并应按下列规定划分检验批:
1 安装节点设计相同,使用材料,安装工艺和施工条件基本相同的采光顶工程每500m 2 ~1000m 2 为一个检验批,不足500m 2 应划分为一个检验批;每个检验批每100m 2 应至少抽查一处,每处不得少于10m 2 ;金属屋面工程每3000m 2 ~5000m 2 为一个检验批,不足3000m 2 应划分为一个检验批;每个检验批每1000m 2 应至少抽查一处,每处不得少于100m 2 ;
2 天沟或排水槽应单独划分检验批,每个检验批每20m应至少抽查一处,每处不得小于2m;
3 同一个工程的不连续采光顶、金属屋面工程应单独划分检验批;
4 对于异形或有特殊要求的采光顶与金属屋面工程,检验批的划分应根据结构、工艺特点及工程规模,由监理单位、建设单位和施工单位共同协商确定。
条文说明
10.1.5 采光顶与金属屋面对外观质量要求都比较高,因此采光顶与金属屋面工程的实体验收应分别进行观感检验和抽样检验。
考虑到规程的相互连续性,本标准的采光顶工程检验批的设定与《玻璃幕墙工程技术规范》JGJ 102-2003第11.1.4条的规定基本一致,也便于工程技术人员的掌握和操作,而金属屋面工程一般体量较大,同一工程的做法比较单一,因此其检验批的设定相对放大一些。由于天沟或排水槽是采光顶与金属屋面工程的防水薄弱环节,应作为重点检验对象,因此本条对此单独设立检验批。
由于目前国内采光顶与金属屋面的种类、结构形式、造型等层出不穷,本条不能完全包含其中,因此对于特殊的采光顶与金属屋面工程,其检验批的划分可由监理单位、建设单位和施工单位根据工艺特点、工程规模等因素共同协商确定。
10.1.6 采光顶与金属屋面工程的构件或接缝应进行抽样检查,每个采光顶的构件或接缝应各抽查5%,并均不得少于3根(处);采光顶的分格应抽查5%,并不得少于10个。抽检质量应符合本规程第10.2节的规定。每个金属屋面的构件或接缝应各抽查5%,并均不得少于3根(处),抽检质量应符合本规程第10.3节的规定。
条文说明
10.1.6 本条规定采光顶与金属屋面工程抽样检查的数量。每个采光顶与金属屋面的纵向(环向)构件或纵向(环向)接缝,横向(径向)构件或横向(径向)接缝应各检查5%,并不得少于3根,其中不同平面相交、不同装饰板相接的构件或接缝为必查内容。采光顶的分格是指由纵向和横向框架或接缝形成的网格,应抽查5%,并不得少于10个。
10.2 采光顶
10.2 采 光 顶
10.2.1 采光顶观感检验应符合下列要求:
1 采光顶框架、支承结构及面板安装应准确并符合设计要求;
2 装饰压板应顺水流方向设置,表面应平整,不应有肉眼可察觉的变形、波纹或局部压砸等缺陷;装饰压板应按照设计要求接缝;
3 铝合金型材不应有脱膜,严重砸坑,严重划痕等现象;钢材表面氟碳涂层厚度基本一致,色泽均匀,不应有掉漆返锈、焊缝未打磨等现象;玻璃的品种、规格与颜色应与设计相符合,色泽应均匀一致,并不应有析碱、发霉、漏气和镀膜脱落等现象;
4 采光顶的周边封堵收口,屋脊处压边收口,支座处封口处理以及防雷体系均应符合设计要求;
5 采光顶的隐蔽节点应进行遮封装修,遮封板安装应整齐美观;变形缝、排烟窗等节点做法应符合设计要求;
6 天沟或排水槽的节点做法应符合设计要求;
7 现场淋水试验和天沟或排水槽的蓄水试验不应有渗漏;
8 采光顶的电动或手动开启窗以及电动遮阳帘,其抽样检验的工程验收应符合现行国家标准《建筑装饰装修工程质量验收规范》GB 50210的有关规定。
条文说明
10.2.1 本条规定了采光顶工程的观感检验质量要求,重点检查其整体美观性和水密性能。
1 明框或隐框采光顶的框架和采光面板是否安装正确是影响采光顶安装质量和美观性的重要因素,应重点检查;
2 装饰压板应顺着水流方向设置,便于排水通畅,且不易积灰;
3 对检查单元的框架、玻璃、装饰盖板等内容的表面色泽、接缝、平整度、焊缝等提出要求;
4 对隐蔽节点的封口处理要求整齐美观;
5 重点检查天沟或排水槽的坡度、坡向以及与排水管的连接节点是否符合设计要求,钢板或不锈钢板焊接是否有漏焊、针眼等缺陷;
6 采光顶的电动或手动开启以及电动遮阳帘,是影响到采光顶的水密性、气密性、遮阳效果等使用功能的重要因素,因此,应作为采光顶工程的子分项工程进行单独验收,重点检查开启位置及方向,开启的灵活性,开启扇的安装节点,遮阳帘的安装节点,电动控制装置的安装等内容。
10.2.2 框支承采光顶抽样检验应符合下列要求:
1 铝型材、钢材和玻璃表面不应有明显的电焊灼伤伤痕、油斑或其他污垢;铝型材锯口不应有铝屑或毛刺;钢材焊接处应打磨平滑;
2 玻璃安装应牢固,密封胶条应镶嵌密实,密封胶应填充饱满平整;
3 每平方米玻璃的表面质量应符合表10.2.2-1的规定;
表10.2.2-1 每平方米玻璃表面质量要求

4 一个分格铝合金框架或钢框架表面质量应符合表10.2.2-2的规定;
表10.2.2-2 一个分格铝合金框架或钢框架表面质量要求

5 框支承采光顶框架构件安装质量应符合表10.2.2-3的规定。
表10.2.2-3 框支承采光顶框架构件安装质量要求

注:纵向构件或接缝是指垂直于坡度方向的构件或接缝;横向构件或接缝是指平行于坡度方向的构件或接缝。
条文说明
10.2.2 本条是对框支承采光顶工程的抽样检验质量要求。
1 对支撑框架及玻璃表面的外观和清洁程度提出要求。
2 对玻璃安装及密封胶条施工提出要求。采光顶的玻璃应安装牢固,当发现玻璃松动时,应割去密封胶,检查玻璃固定压块的数量和位置是否符合设计要求,并对该检验单元的玻璃进行加倍抽查。
3 对玻璃表面的质量要求。本条规定与GB/T 21086-2007和JGJ 102-2003的有关规定基本一致。对于中空玻璃、夹层玻璃而言其划伤痕的数量和擦伤面积是指每平方米玻璃内各层玻璃划伤痕数量和擦伤面积的累积。另外,关于玻璃加工尺寸的偏差、玻璃面板弯曲度等检查应在材料进场前完成。工程验收时,应检查材料进场检验记录,并对其外观进行复查。
4 对铝合金框架和钢框架表面的质量要求。对铝合金框架和钢框架的要求加以区分,是由于钢框架在加工厂或现场进行表面处理,其成品保护相对简单,且对表面的缺陷修复也比较容易,同时钢框架表面缺陷对基体的性能影响比铝框架大,因此本条对钢框架表面的质量提出了更高的要求。
5 由于玻璃依附在框架上,框架的安装质量直接影响到整个采光顶的安装质量,因此本条对框架的安装质量提出了要求。为了便于与JGJ 102-2003的规定作比较,可以将采光顶比作“躺倒”的幕墙,玻璃幕墙的垂直度即为采光顶的纵向或环向水平度。由于采光顶工程一般设有坡度,且各部分通常不在同一水平面上,因此可以将一个采光顶分解为若干等高直线或等高曲线(一般与框架重合),验收时只需检查等高线上各等高直线或等高曲线与设计值的吻合度。
一个采光顶根据坡起点和最高点的位置可分成若干个检查单元,其检查单元的长度和宽度与通常意义的长度和宽度一般有所区别。对于单坡平面采光顶,其检查单元的长度和宽度即为采光顶的长度和宽度;对于双坡平面采光顶,其检查单元的长度即为采光顶的长度,而宽度分别为两个坡起点到最高点投影距离;对于圆形或椭圆形采光顶,其检查单元的长度是指与坡度方向垂直的最大周长,其宽度指坡起点与最高点之间的投影距离;对于双曲面、花瓣形等异形采光顶,其检查单元的长度和宽度应由设计单位、监理单位、施工单位共同商定。
采光顶的坡度是衡量采光顶或天沟排水是否通畅的重要指标,在验收时应给与特别注意。采光顶坡度偏差是指坡起点和最高点两者的标高差与设计值之间的偏差值。考虑到坡度对排水和结构挠度存在有利影响,因此本条规定只允许有正差。相邻构件的位置偏差是指相邻构件的进出、高低等空间位置的偏差,此条规定与JGJ 102-2003所规定的内容不完全一致。
10.2.3 框支承隐框采光顶的安装质量除应符合表10.2.2-3中的规定外,还应符合表10.2.3的规定。
表10.2.3 框支承隐框采光顶安装质量要求

条文说明
10.2.3 本条是对框支承隐框采光顶的安装质量要求。
1 由于隐框采光顶的玻璃完全外露,为防止同一平面内的各玻璃拼接在一起,出现影像畸变的现象,同时还保证采光顶排水的顺畅性,因此要求检查时抽检同一平面相邻两玻璃表面的平面度。
2 隐框采光顶的玻璃之间,玻璃与其他装饰板之间的拼缝整齐与否与采光顶的外观质量关系较大,与采光顶吸收变形的能力也有关系,因此,增加第3项拼缝宽度偏差(与设计值比较)检查的内容。
10.2.4 点支承采光顶钢结构验收应符合现行国家标准《钢结构工程施工质量验收规范》GB 50205的规定。
条文说明
10.2.4 点支承采光顶一般位于大堂,出入口等人流密集的部位,一般采用钢结构支撑体系,其钢结构施工质量是影响采光顶结构安全可靠的重要因素,因此应严格按照现行国家标准《钢结构工程施工质量验收规范》GB 50205的要求进行检查。
10.2.5 拉杆和拉索需预应力张拉时,应有预应力张拉值要求,并应符合设计要求。
条文说明
10.2.5 拉杆和拉索的预应力张拉对点支承采光顶的支承结构起着至关重要的作用,其预应力张拉值必须符合设计要求,并进行现场检验和隐蔽检验,同时还应有预应力张拉记录。
10.2.6 点支承采光顶安装允许偏差应符合表10.2.6的规定。
表10.2.6 点支承采光顶安装质量要求

条文说明
10.2.6 对点支承采光顶安装质量的要求。点支承采光顶与隐框采光顶的安装质量标准基本一致,重点检查接缝的水平度、垂直度,相邻面板的平面度等。
10.2.7 钢爪安装偏差应符合下列要求:
1 相邻钢爪距离偏差不应大于1.5mm;
2 同一平面钢爪的高度允许偏差应符合表10.2.7的规定;
3 同一平面相邻面板钢爪的高度允许偏差不应大于1.0mm。
表10.2.7 同一平面钢爪的高度允许偏差

条文说明
10.2.7 由于钢爪的安装质量直接影响到点支承采光顶玻璃的安装和外观质量,因此,施工时应进行重点控制。
1 本条参照JGJ 102-2003的第11.4.5条第1款,并根据玻璃开孔加工的允许偏差为1mm的要求,规定相邻钢爪纵向和横向距离偏差不大于1.5mm。
2 钢爪的安装高度偏差有可能引起玻璃安装的水平偏差,为避免累积偏差过大,对钢爪安装高度偏差应从严控制,因此其允许偏差值为采光顶水平度允许偏差值的一半。相邻钢爪的安装高度允许偏差为1.0mm,与同一平面的相邻玻璃面板高低允许偏差是一致的。
10.2.8 聚碳酸酯U形板采光顶工程除应符合采光顶的质量验收要求外,还应符合下列规定:
1 板面固定牢固,收边整洁,保护膜应清理干净;
2 板材表面应扩口后再采用自攻螺钉固定;
3 检查板材的安装方向,板材UV面应朝向阳光方向且不得横方向弯曲。
条文说明
10.2.8 本条对聚碳酸酯U形板采光顶的质量验收作出另外规定。重点检查聚碳酸酯板的收边和收口处理。由于聚碳酸酯板材的安装方向影响到采光顶的使用年限,故也是检查重点之一。
10.3 金属平板屋面
10.3 金属平板屋面
10.3.1 金属平板屋面观感检验应符合下列要求:
1 金属屋面的收边、收口应整齐美观,节点做法符合设计要求;
2 天沟或排水槽的节点做法、天沟与金属屋面板的接缝应符合设计要求;焊缝宽度适中,光滑流畅,无焊瘤,无咬边,无夹渣,无裂纹,无气孔;
3 天窗、排烟窗、排气窗、屋面检修口、防雷装置等部位节点做法应符合设计要求,安装牢固,安装位置正确,搭接顺序准确;
4 伸缩缝、沉降缝、防震缝等变形缝的节点做法应符合设计要求,安装牢固,安装位置正确,搭接顺序准确,并保持外观效果的一致性;
5 出金属屋面构造物应设有支撑结构,并自成体系,不应直接固定在金属屋面板上;
6 现场淋水试验和水槽的蓄水试验不应有渗漏;
7 胶缝应平直,表面应光滑,无污染、无漏胶、无起泡、无开裂;
8 框架及面板安装应准确并符合设计要求;
9 金属板材表面应无脱膜现象,颜色均匀,表面平整,不应有可觉察的变形、波纹或局部压砸等缺陷。
条文说明
10.3.1 本条是对框支承金属屋面观感检验的质量要求。
1 天沟或排水槽的坡度和坡向应符合设计要求,以保证排水通畅,防止过多积水;天沟或排水槽应采用钢板或不锈钢板,并焊接成一个整体,钢板的厚度、支承构件的布置应符合设计要求,以防止因积水过多造成天沟或排水槽发生变形,甚至坍塌的现象;板材间焊缝光滑流畅,不应有焊接缺陷,以防止出现雨水渗漏现象;金属屋面整体应做淋水试验,天沟或水槽应做蓄水试验,并且不应出现渗漏现象。
在验收时应重点检查变形缝、天窗、排气窗、屋面检修口、防雷装置以及出屋面构造物等部位,检查其节点做法是否合理,安装是否牢固,搭接顺序是否正确。
2 金属平板屋面采用硅酮密封胶进行密封,而且密封胶完全外露,其打胶质量既影响屋面防水性能,又影响屋面的整体外观效果,因此,验收时应重点检查胶缝是否平直,是否无污染、无漏胶处、无起泡、无开裂。
3 框架和金属平板是否安装正确是影响金属屋面工程安装质量和美观性的重要因素,应重点检查。
4 金属平板表面缺陷直接影响外观质量,因此,对其表面质量的要求较直立锁边金属屋面板严格。
10.3.2 金属屋面工程抽样检验的一般要求应符合下列规定:
1 金属板面层不应有明显的电焊灼伤伤痕、油斑和其他污垢;截口应平齐,无毛刺;
2 每平方米金属面板的表面质量应符合表10.3.2的规定。
表10.3.2 每平方米金属面板的表面质量

注:1 露出金属基体的为划伤;
2 没有露出金属基体的为擦伤。
10.3.3 金属平板屋面的安装质量应符合表10.3.3的规定。
表10.3.3 金属平板屋面安装质量要求

条文说明
10.3.3 本条是对框支承金属屋面板安装质量的要求。与直立锁边金属屋面相比,框支承金属屋面更像是“躺倒”的金属幕墙。因此表10.3.3的第1项关于水平通长接缝的吻合度的规定,参考JGJ 133-2001的有关规定制定,分为五个档次;第3项关于通长纵缝、横缝的直线度则分为两个档次。
10.4 压型金属屋面
10.4 压型金属屋面
10.4.1 金属屋面观感检验除应符合本规程10.3.1条1~6款外还应符合下列要求:
1 金属屋面板的肋高和板宽应符合设计要求,且顺水流方向设置;沿坡度方向(横向)应为一整体,无接口,无螺钉连接处;
2 面层屋面卷板伸入天沟或排水槽的长度应符合设计要求,其伸入长度不应小于50mm;面板之间搭接应顺茬搭接,且搭接严密;
3 面层屋面卷板搭接处咬合方向应符合设计要求,咬合紧密,且连续平整,不应出现扭曲和裂口现象;
4 底泛水和面泛水安装位置及工艺应满足设计要求,接合应紧密;
5 檐口收边与山墙收边应安装牢固,包封严密,棱角顺直,并应符合设计要求。
条文说明
10.4.1 本条规定了压型金属屋面工程的观感检验质量要求。重点检查面板铺设的整体性,细部构造的合理性以及雨水渗透性能。
1 为防止金属屋面出现雨水渗漏、倒排水等现象,屋面卷板应顺水流方向设置,顺茬搭接,沿坡度方向尽量为一块整板。
2 直立锁边处是金属屋面的薄弱环节,也是验收的重点检查内容。咬边应紧密,且连续平整,不应出现扭曲和裂口的现象。
3 为了保证排水的通畅性,并防止出现倒排水现象,在金属板与天沟或檐口交界处,金属板与山墙交界处均应按设计要求安装泛水板。泛水板接合应紧密,收边牢固,包封严密,棱角顺直。
10.4.2 金属屋面工程抽样检验除应符合本规程10.3.2条相关规定外还应符合下列要求:
1 面泛水板与面板之间,收口板与面板之间宜采用泡沫塑料封条密封,底泛水板与面板搭接处应采用硅酮密封胶粘结牢靠;
2 直立锁边式金属屋面板安装质量应符合表10.4.2的规定。
表10.4.2 直立锁边式金属屋面板安装质量要求

条文说明
10.4.2 本条对金属屋面工程抽样检验提出要求。
1 底泛水板和面板之间的密封是金属屋面防水的关键环节,因此应采用耐久性较好的硅酮密封胶粘结;而面泛水板与面板之间、收口板与面板之间,考虑到美观性和抗污染性,宜采用泡沫塑料封条粘结密封。
2 本款是对直立锁边金属屋面板安装质量的要求。由于直立锁边金属屋面工程一般体量较大,而且面板整体较好,为便于操作,纵向构件的吻合度以及横向构件的直线度的允许偏差均以35m为界,分为5mm和7mm两个档次;而金属屋面坡度的坡度则以50m为界,分为+20mm和+30mm两个档次。
10.5 光伏系统
10.5 光伏系统
10.5.1 工程验收时应对光伏采光顶、光伏金属屋面工程的光伏系统进行专项验收。
条文说明
10.5.1 光伏系统是建筑电气工程的一部分,与采光顶、金属屋面差别较大,专业性强,且存在一定安全问题,因此需要进行专项验收。
10.5.2 光伏采光顶、光伏金属屋面工程的光伏系统验收项目宜包括下列内容:
1 电气设备应按现行国家标准《建筑电气工程施工质量验收规范》GB 50303的相关规定验收;
2 电气线缆线路应按现行国家标准《电气装置安装工程电缆线路施工及验收规范》GB 50168的相关规定验收。电气系统接地应按现行国家标准《电气装置安装工程接地装置施工及验收规范》GB 50169的相关规定验收;
3 逆变器应按现行国家标准《离网型风能、太阳能发电系统用逆变器 第1部分:技术条件》GB/T 20321.1的规定验收;
4 带蓄能装置的光伏系统,蓄电池应按现行国家标准《电气装置安装工程蓄电池施工及验收规范》GB 50172的规定验收;
5 并网系统应按现行国家标准《光伏系统并网技术要求》GB/T 19939的相关规定验收。
10.5.3 竣工验收时尚应提交下列资料:
1 竣工图、设计变更文件及光伏系统计算书,计算内容应包括结构设计、发电量和阴影分析等。
2 光伏组件玻璃的产品合格证、性能检验报告和进场验收记录。性能检验项目应包括:光伏玻璃的耐潮湿性、耐紫外线辐照性以及相关光学性能指标。
3 光伏组件各项性能检测报告,检验项目包括开路电压、短路电流、峰值功率和温度系数等。
4 逆变器和配电成套设备的检测报告,产品合格证书和产品认证证书。
5 光伏防雷系统工程验收记录。
6 系统调试和试运行记录。
7 系统运行、监控、显示、计量等功能的检验记录。
8 工程使用、运行管理及维护说明书。
10.5.4 光伏系统验收前,应在安装施工中完成下列隐蔽项目的现场验收:
1 光伏组件之间、光伏组件与支承构件之间的结构安全性、电气连接及建筑封堵;
2 系统防雷与接地保护的连接节点;
3 隐蔽安装的电气管线工程。
10.5.5 对于影响工程安全和系统性能的验收项目,应在本项目验收合格后才能进入下一道工序的施工。这些验收项目至少包括下列内容:
1 在光伏系统验收前,进行防水工程的验收;
2 在光伏组件就位前,进行光伏系统支承结构的验收;
3 光伏系统电气预留管线的验收;
4 既有建筑增设或改造的光伏系统工程施工前,进行建筑结构和建筑电气安全检查。
10.5.6 竣工验收应在光伏系统工程分项工程验收或检验合格后,交付用户前进行。所有验收应做好记录,签署文件,立卷归档。
11 保养和维修
11.1 一般规定
11 保养和维修
11.1 一般规定
11.1.1 采光顶、金属屋面工程竣工验收时,承包商应向业主提供使用维护说明书,应包括下列内容:
1 采光顶或金属屋面的设计依据、主要性能参数及结构的设计使用年限;
2 使用注意事项、光伏系统电气安全注意事项;
3 日常与定期的维护、保养要求;
4 主要结构特点及易损零部件更换方法;
5 备品、备件清单及主要易损件的名称、规格;
6 承包商的保修责任。
条文说明
11.1.1 为了使采光顶或金属屋面在使用过程中达到和保持设计要求的功能,确保不发生安全事故,本规程规定承包商应提供给业主使用维护说明书,作为工程竣工交付内容的组成部分,指导采光顶或金属屋面的使用和维护。
11.1.2 在采光顶或金属屋面交付使用前,在业主有要求时,工程承包商应为业主培训维修、维护人员。
条文说明
11.1.2 随着我国幕墙和金属屋面行业的发展,新产品越来越多,结构形式也越来越复杂,技术含量越来越高,对维修、维护人员的要求也越来越高。本条要求工程承包商在工程交付使用前应为业主培训合格的维修、维护人员。
11.1.3 采光顶或金属屋面交付使用后,业主应根据使用维护说明书的相关要求及时制定采光顶或金属屋面的维修、保养计划与制度。
条文说明
11.1.3 采光顶或金属屋面在正常使用时,业主应根据使用维护说明书及本规程的相关要求,制定维修保养计划与制度,保证其安全性与功能性要求。主要包括:日常维护与保养;定期检查和维修;地震、台风、火灾后的全面检查与修复。
11.1.4 外表面的检查、清洗、保养与维修应符合现行行业标准《建筑外墙清洗维护技术规程》JGJ 168的相关规定。凡属高空作业者,应符合现行行业标准《建筑施工高处作业安全技术规范》JGJ 80的有关规定。
11.1.5 光伏系统的运行、维护和保养应由相关专业公司进行,并配备专人进行系统的操作、维护和保养管理工作。禁止调整控制器参数。蓄电池充放电状态失常时,应由有关生产厂家进行检查和调整。
11.2 检查与维修
11.2 检查与维修
11.2.1 采光顶、金属屋面日常维护和保养应符合下列规定:
1 表面应整洁,避免锐器及腐蚀性气体、液体与其接触;
2 排水系统应畅通,导水通道不得堵塞;
3 在使用过程中如发现窗启闭不灵或附件、电路系统损坏等现象时,应及时修理或更换;
4 密封胶或密封胶条不得脱落或损坏;
5 构件或附件的螺栓不得松动或锈蚀;
6 对锈蚀的构件应及时除锈补漆或采取其他防锈措施。
11.2.2 光伏系统日常维护和保养应符合下列规定:
1 光伏电池列阵表面不得有局部污物、不得破损;
2 在运行过程中,应加强对各系统硬件、软件工作状态、运行情况等方面的日常检查,发现有异常情况应及时处理,并做好维修记录;
3 线路及电缆接插件连接检查;接线箱等外壳不得有锈蚀现象;
4 定期填写每旬(或月)的供电量统计记录、系统的运行、维护和检查记录;
5 机房环境湿度、温度应符合要求,保持机房空气清洁,定期通风换气。
11.2.3 定期检查和维护应符合下列规定:
1 在采光顶或金属屋面工程竣工验收后一年时,应对工程进行一次全面的检查;此后每五年应检查一次;检查项目应包括:
1)整体有无变形、错位、松动,如有,则应对该部位对应的隐蔽结构进行进一步检查;主要承力构件、连接构件和连接螺栓等是否损坏、连接是否可靠、有无锈蚀等;
2)采光顶或金属屋面的面板有无松动、损坏;
3)密封胶有无脱胶、开裂、起泡,密封胶条有无脱落、老化等损坏现象;
4)开启部分是否启闭灵活,五金附件是否有功能障碍或损坏,电路是否畅通,安装螺栓或螺钉是否松动和失效;
5)排水系统是否通畅;检查和清理排水天沟内的垃圾和灰尘不应超过6个月,并应在雨季尤其是雷、暴雨季节增加检查频率。
2 金属屋面磨损、破坏后修复部位应每年检查一次。
3 施加预拉力的拉杆或拉索结构的采光顶工程在工程竣工验收后六个月时,应对该工程进行一次全面的预拉力检查和调整,此后每三年应检查一次。
4 采光顶工程使用十年后应对该工程不同部位的结构硅酮密封胶进行粘结性能的抽样检查;此后每三年宜检查一次。
条文说明
11.2.3 根据实际工程经验,在采光顶或金属屋面工程竣工验收后一年内,工程加工和施工工艺及材料、附件的一些缺陷均有不同程度的暴露。所以在工程竣工验收后一年时,应对工程进行一次全面的检查。
定期检查项目中,面板包括玻璃和金属面板。对玻璃面板,应检查有无剥落、裂纹等;对金属面板,应检查有无起鼓、凹陷等变形。
对于使用结构硅酮密封胶的采光顶或金属屋面工程,本规程规定使用十年后进行首次粘结性能的检查,此后每五年检查一次。首次检查规定与《玻璃幕墙工程技术规范》JCJ 102-2003的规定基本一致。
关于抽样比例及抽样部位,本规程未作出具体规定。实际工程的检查应由检查部门制定检查方案,由相应设计资质部门审核后实施。
“每三年检查一次”是建立在检查结果良好的基础上,如果粘结性能有下降趋势的话,应根据检查结果制定检查间隔时间,增加检查频次。
11.2.4 光伏系统定期检查和维护应符合下列规定:
1 所有部位接线检查。
2 光伏组件的封装及接线接头,不得有封装开胶进水、电池变色及接头松动、脱线、腐蚀等现象。
3 应每季度检查一次太阳能电池列阵,内容包括:
1)绝缘电阻测量检查;
2)开路电压测量检查。
4 应每季度进行一次接线箱的绝缘电阻测量检查。
5 应每季度检查一次逆变器、蓄电池、并网系统保护装置,内容包括:
1)显示功能;
2)绝缘电阻测量检查;
3)逆变器保护功能试验;
4)蓄电池的接线端子的连接、保护性外套、通风孔和引线等。“免维护”蓄电池还需要检查容器、接线端子、引线和通风措施。
6 应每季度进行一次接地检查。
7 应定期检测蓄电池荷电状态,当蓄电池电解液液面下降时,需向蓄电池内添加去离子水或蒸馏水。
8 应定期检查新生长的植物是否遮挡了太阳光照射通道。
11.2.5 灾后检查和修复应符合下列规定:
1 当采光顶或金属屋面遭遇强风袭击后,应及时对采光顶或金属屋面进行全面的检查,修复或更换损坏的构件;对张拉杆索结构的采光顶工程,应进行一次全面的预拉力检查和调整;
2 当采光顶或金属屋面遭遇地震、火灾等灾害后,应由专业技术人员对采光顶或金属屋面进行全面的检查,并根据损坏程度制定处理方案,及时处理。
11.3 清洗
11.3 清 洗
11.3.1 应根据采光顶或金属屋面表面的积灰污染程度,确定其清洗次数,但每年不应少于一次。
11.3.2 清洗采光顶或金属屋面应按采光顶、金属屋面使用维护说明书要求选用清洗液。
11.3.3 清洗过程中不得撞击和损伤采光顶或金属屋面的表面。
11.3.4 光伏采光顶、光伏屋面宜由专业人员指导进行清洗。
附录A金属屋面物理性能试验方法
附录A 金属屋面物理性能试验方法
A.0.1 试验设备应符合下列规定:
1 压力箱体应能将试件水平或按指定的角度安装,并应使试件周围得到可靠的密封(图A.0.1);

图A.0.1 金属屋面物理性能检测设备示意图
a-压力计;b-挡板;c-风速测量装置;d-阀门;e-风压提供装置;f-水流量计;g-喷淋装置;h-排水装置;i-样品安装架;j-试验样品;k-水压计;m-压力箱;n-视窗;p-通行门
2 风压提供装置应能按照现行国家标准《建筑幕墙》GB/T 21086、《建筑幕墙气密、水密、抗风压性能检测方法》GB/T 15227的规定提供指定的风压;
3 淋水装置应满足现行国家标准《建筑幕墙》GB/T 21086、《建筑幕墙气密、水密、抗风压性能检测方法》GB/T 15227和设计者提出的淋水量和淋水方向要求;
4 空气流量测量装置应满足现行国家标准《建筑幕墙》GB/T 21086、 《建筑幕墙气密、水密、抗风压性能检测方法》GB/T 15227的规定;
5 位移测量装置应满足面板、檩条位移测量的需要,测试精度应达到现行国家标准《建筑幕墙气密、水密、抗风压性能检测方法》GB/T 15227的规定;
6 压力测量装置应能实时检测并反馈压力箱体内外空气压力差值。
A.0.2 金属屋面试件安装应符合下列规定:
1 至少应有一个面板与实际工程的受力状态相符合,至少应有一个完整波距,且密封状态相符合;
2 T形支座的制作、安装应与实际工程相符合,T形支座间距应能反映实际工程情况;
3 金属屋面各功能层的安装应与实际工程相符合;
4 屋面板端头可采用适当方法进行密封,但不应影响气密性的测量结果。
A.0.3 金属屋面试件在检验设备上宜按水平方向安装,必要时可按屋面工程的实际角度进行安装。
A.0.4 气密性能、水密性能和抗风压性能试验过程可按现行国家标准《建筑幕墙气密、水密、抗风压性能检测方法》GB/T 15227的规定进行。
A.0.5 试验结果可按现行国家标准《建筑幕墙》GB/T 21086进行定级。检测报告应符合现行国家标准《建筑幕墙气密、水密、抗风压性能检测方法》GB/T 15227的规定。
附录B金属屋面抗风掀试验方法
附录B 金属屋面抗风掀试验方法
B.0.1 试验设备应符合下列规定:
1 试验设备应由试验箱体、风压提供装置、位移测量装置和压力测量装置组成,其性能应满足本附录测试的过程需要。
2 试验箱体应由三部分组成:底部压力箱、中部安装架和上部压力箱(图B.0.1)。压力箱应具有足够的刚度,确保试验过程中不影响试验结果。

图B.0.1 抗风掀试验设备示意图
a-观察孔;b-上部压力箱;c-试件;d-底部压力箱;e-下进气口;f-压力测点;g-位移测量装置;h-上进气口
3 试验装置压力箱内部最小尺寸应为3050mm×3050mm。
4 试验设备底部压力箱应密闭,应具有独立的压力施加装置,应为正压腔体。试验时应施加静压。空气压力测量点应为五个点,可采用外径为 ф 6.4mm的铜管,从压力箱平面四个角部底部伸入到内部,应与水平面成45°,四个角部的铜管口到角部距离应为1067mm,第五根铜管应距风管道入口中心457mm。五个测点管口距压力箱底部距离应为178mm,应通过外径为ф6.4mm的铜管连接到一起,并与压力测量装置进行连接。
5 试验设备上部压力箱应密闭,应具有独立的压力施加装置,应为负压腔体。试验时应进行波动加压。空气压力测量点应为五个点,可采用外径为ф6.4mm的铜管,从压力箱平面四个角部底部伸入到内部,应与水平面成45°,四个角部的铜管口到角部距离应为457mm。第五根铜管应距风管道入口中心305mm,五个测点管口距压力箱底部距离应为203mm,应通过外径为ф6.4mm的铜管连接到一起,并与压力测量装置进行连接。
6 风压提供装置应由两套独立的装置组成,分别为上下压力箱提供风压。
7 记录仪应能记录测试时的压力情况。
B.0.2 试件安装应符合下列规定:
1 金属屋面试件应具有代表性,应和实际工程安装的构造相符合;
2 试件与上下两个压力箱体之间应安装牢固,并进行可靠的密封;
3 测试设备和试件应在室温状态下保持一段时间,直到其温度达到室温后方可进行测试。
B.0.3 试验过程及方法应符合下列规定:
1 上部箱体应施加负压,下部箱体应施加正压。具体施加的压力数值和时间应符合本规程表B.0.4的规定。其中每个级别的第3阶段的波动周期为(10±2)s。
2 在第15级测量时,测试压力与设定压力值误差不宜超过49.8Pa,平均压力与设定压力值的误差不宜超过37.3Pa,在第30、60和90级测量时,各级测试压力与设定压力值误差不宜超过77.2Pa,平均压力与设定压力值误差不宜超过62.2Pa。
3 每级60min波动加压结束、定级检测项目完成后,应检查试件并对观察结果进行记录。
4 测试过程中应对试件的垂直位移进行记录。
5 在测试阶段,除非设备发生渗漏,否则不得对试件进行修理或修复。
B.0.4 试验分级应符合下列规定:
1 测试结果分为四级:15级、30级、60级和90级,其测试要求应符合表B.0.4的规定;
表B.0.4 金属屋面抗风掀性能分级

2 如果需要达到90级,试件应通过30级和60级,并能达到90级;如果需要达到60级,试件应通过30级和15级,并能达到60级;如果需要达到30级,可直接检测,不必进行15级检测。
附录C弹性板的弯矩系数和挠度系数
C.1均布荷载作用下四边简支板和四边支承板
附录C 弹性板的弯矩系数和挠度系数
C.1 均布荷载作用下四边简支板和四边支承板
C.1.1 不同加肋方式面板类型可分为四边简支板和四边支承板(图C.1.1)。

图C.1.1 板块不同边界条件类型
(a)四边简支板;(b)、(c)、(d)、(e)为不同加肋方式的四边支承板;A、B、C、D、E、F-不同边界条件的区格
C.1.2 不同区格均应承受垂直于板面的均布荷载q作用。不同区格的边界条件和计算边长应按表C.1.2采用。
表C.1.2 不同区格的边界条件和计算边长


C.1.3 不同区格挠度系数μ的跨中弯矩系数m和固端弯矩系数m x 0 或m y 0 可依据其边支承类型和泊松比ν,分别按照表C.1.3-1~表C.1.3-6采用。
表C.1.3-1 区格A挠度系数μ和弯矩系数m表

表C.1.3-2 区格B挠度系数μ和弯矩系数m、m x 0 表

表C.1.3-3 区格C挠度系数μ和弯矩系数m、m x 0 表


表C.1.3-4 区格D挠度系数μ和弯矩系数m、m x 0 、m y 0 表

表C.1.3-5 区格E挠度系数μ和弯矩系数m、m x 0 、m y 0 表

表C.1.3-6 区格F挠度系数μ和弯矩系数m、m x 0 、m y 0 表

C.2均布荷载作用下四角点支承板
C.2 均布荷载作用下四角点支承板
C.2.1 四角点支承板的计算简图中计算跨度应取长边边长(图C.2.1)。

图C.2.1 四角点支承板的计算简图
C.2.2 四角点支承板的跨中挠度系数μ、跨中弯矩系数m x 、m y 以及自由边中点弯矩系数m 0x 、m 0y ,可依据其泊松比ν,按照表C.2.2采用。
表C.2.2 四角点支承板的挠度系数μ、跨中弯矩系数m x 、m y 和自由边中点弯矩系数m 0x 、m 0y

C.3均布荷载作用下四点跨中支承矩形板
C.3 均布荷载作用下四点跨中支承矩形板
C.3.1 四孔点支承板可按均布荷载作用下四点跨中支承矩形板进行计算(图C.3.1)。

图C.3.1 均布荷载作用下四点跨中支承矩形板计算示意图
C.3.2 均布荷载作用下四点跨中支承矩形板弯矩系数m和挠度系数μ应符合表C.3.2的规定。
表C.3.2 均布荷载作用下四点跨中支承矩形板弯矩系数m和挠度系数μ(ν=0.20)


C.4均布荷载作用下任意三角形板
C.4 均布荷载作用下任意三角形板
C.4.1 简支三角形板可按均布荷载作用下任意三角形板进行计算(图C.4.1)。

图C.4.1 均布荷载作用下任意三角形板计算示意图
C.4.2 简支任意三角形板在均布荷载作用下的弯矩系数m x 、m y 可按表C.4.2-1的规定计算。挠度系数可按表C.4.2-2的规定计算。
表C.4.2-1 简支任意三角形板在均布荷载作用下的弯矩系数m x 、m y (ν=0.20)

表C.4.2-2 简支任意三角形板在均布荷载作用下的挠度系数μ(ν=0.20)

本规程用词说明
本规程用词说明
1 为了便于在执行本规程条文时区别对待,对要求严格程度不同的用词说明如下:
1)表示很严格,非这样做不可的:
正面词采用“必须”,反面词采用“严禁”。
2)表示严格,在正常情况下均应这样做的:
正面词采用“应”,反面词采用“不应”或“不得”。
3)表示允许稍有选择,在条件许可时首先这样做的:
正面词采用“宜”,反面词采用“不宜”;
4)表示有选择,在一定条件下可以这样做的,采用“可”。
2 条文中指明应按其他有关标准执行的写法为:“应符合……的规定”或“应按……执行”。
引用标准名录
引用标准名录
1 《建筑结构荷载规范》GB 50009
2 《建筑抗震设计规范》GB 50011
3 《建筑给水排水设计规范》GB 50015
4 《建筑设计防火规范》GB 50016
5 《钢结构设计规范》GB 50017
6 《冷弯薄壁型钢结构技术规范》GB 50018
7 《建筑采光设计标准》GB/T 50033
8 《建筑物防雷设计规范》GB 50057
9 《民用建筑隔声设计规范》GB 50118
10 《电气装置安装工程电缆线路施工及验收规范》GB 50168
11 《电气装置安装工程接地装置施工及验收规范》GB 50169
12 《电气装置安装工程蓄电池施工及验收规范》GB 50172
13 《民用建筑热工设计规范》GB 50176
14 《公共建筑节能设计标准》GB 50189
15 《钢结构工程施工质量验收规范》GB 50205
16 《屋面工程质量验收规范》GB 50207
17 《建筑装饰装修工程质量验收规范》GB 50210
18 《建筑电气工程施工质量验收规范》GB 50303
19 《屋面工程技术规范》GB 50345
20 《铝合金结构设计规范》GB 50429
21 《紧固件 铆钉用通孔》GB/T 152.1
22 《紧固件 沉头用沉孔》GB/T 152.2
23 《紧固件 圆柱头用沉孔》GB/T 152.3
24 《碳素结构钢》GB/T 700
25 《低合金高强度结构钢》GB/T 1591
26 《铜及铜合金板材》GB/T 2040
27 《连续热镀锌钢板及钢带》GB/T 2518
28 《紧固件机械性能 不锈钢螺栓、螺钉和螺柱》GB/T 3098.6
29 《变形铝及铝合金化学成分》GB/T 3190
30 《钛及钛合金板材》GB/T 3621
31 《耐候结构钢》GB/T 4171
32 《碳钢焊条》GB/T 5117
33 《低合金钢焊条》GB/T 5118
34 《铝合金建筑型材》GB 5237
35 《工业用橡胶板》GB/T 5574
36 《铝及铝合金压型板》GB/T 6891
37 《铝合金门窗》GB/T 8478
38 《建筑材料及制品燃烧性能分级》GB 8624
39 《地面用晶体硅光伏组件 设计鉴定和定型》GB/T 9535
40 《中空玻璃》GB/T 11944
41 《彩色涂层钢板及钢带》GB/T 12754
42 《建筑用压型钢板》GB/T 12755
43 《金属覆盖层 钢铁制件热浸镀锌层 技术要求及试验方法》GB/T 13912
44 《建筑幕墙气密、水密、抗风压性能检测方法》GB/T 15227
45 《建筑用安全玻璃 第3部分:夹层玻璃》GB 15763.3
46 《建筑用硅酮结构密封胶》GB 16776
47 《建筑幕墙用铝塑复合板》GB/T 17748
48 《地面用薄膜光伏组件 设定鉴定和定型》GB/T 18911
49 《光伏系统并网技术要求》GB/T 19939
50 《光伏(PV)组件安全鉴定 第一部分:结构要求》GB/T 20047.1
51 《离网型风能、太阳能发电系统用逆变器 第1部分:技术条件》GB/T 20321.1
52 《不锈钢和耐热钢 牌号及化学成分》GB/T 20878
53 《建筑幕墙》GB/T 21086
54 《建筑密封胶分级和要求》GB/T 22083
55 《空间网格结构技术规程》JGJ 7
56 《民用建筑电气设计规范》JGJ 16
57 《建筑机械使用安全技术规程》JGJ 33
58 《施工现场临时用电安全技术规范》JGJ 46
59 《建筑施工高处作业安全技术规范》JGJ 80
60 《建筑钢结构焊接技术规程》JGJ 81
61 《玻璃幕墙工程技术规范》JGJ 102
62 《建筑玻璃应用技术规程》JGJ 113
63 《金属与石材幕墙工程技术规范》JGJ 133
64 《混凝土结构后锚固技术规程》JGJ 145
65 《建筑门窗玻璃幕墙热工计算规程》JGJ/T 151
66 《建筑外墙清洗维护技术规程》JGJ 168
67 《民用建筑太阳能光伏系统应用技术规范》JGJ 203
68 《聚碳酸酯(PC)中空板》JG/T 116
69 《建筑玻璃点支承装置》JG/T 138
70 《未增塑聚氯乙烯(PVC-U)塑料窗》JG/T 140
71 《玻璃纤维增强塑料(玻璃钢)窗》JG/T 186
72 《建筑门窗用密封胶条》JG/T 187
73 《建筑用不锈钢绞线》JG/T 200
74 《建筑幕墙用钢索压管接头》JG/T 201
75 《建筑用遮阳天篷帘》JG/T 252
76 《建筑用遮阳软卷帘》JG/T 254
77 《聚碳酸酯(PC)实心板》JG/T 347
78 《幕墙玻璃接缝用密封胶》JC/T 882
79 《建筑橡胶密封垫——预成型实心硫化的结构密封垫用材料规范》HG/T 3099
80 《铝合金窗锁》QB/T 3890
81 《铝幕墙板 板基》YS/T 429.1
82 《铝幕墙板 氟碳喷漆铝单板》YS/T 429.2
83 《铝及铝合金彩色涂层板、带材》YS/T 431
84 《铝塑复合板用铝带》YS/T 432
