Appearance
《建筑采光设计标准》GB 50033-2013
🗓️ 实施时间: 2013-05-01
总 则
1 总 则
1.0.1 为了在建筑采光设计中,贯彻国家的法律法规和技术经济政策,充分利用天然光,创造良好光环境、节约能源、保护环境和构建绿色建筑,制定本标准。
条文说明
1.0.1 采光设计必须贯彻国家的技术经济政策,充分利用天然光,创造良好的光环境,这是因为天然光环境是人们长期习惯和喜爱的工作环境。各种光源的视觉试验结果表明,在同样照度条件下,天然光的辨认能力优于人工光,从而有利于工作、生活、保护视力和提高劳动生产率。此外,我国大部分地区处于温带,天然光充足,为利用天然光提供了有利条件,在白天的大部分时间内能满足视觉工作要求。这在我国电力紧张的情况下,对于节约能源有重要的意义。
1.0.2 本标准适用于利用天然采光的民用建筑和工业建筑的新建、改建和扩建工程的采光设计。
条文说明
1.0.2 在新建工程中,采光设计应执行本标准,但对于改建、扩建工程,有时因建筑、结构等条件的限制,执行本标准有困难时,视具体情况,允许有一定的灵活性,因此本标准规定,对于改建、扩建工程的采光设计,一般亦适用。
1.0.3 建筑采光设计应做到技术先进、经济合理,有利于视觉工作和身心健康。
条文说明
1.0.3 建筑的天然采光设计必须采用成熟并行之有效的先进技术,经济上也是合理的,并能提高工作效率,改善工作、学习和生活的环境质量,调节人的生理节律,有益于身心健康。
1.0.4 建筑采光设计除应符合本标准外,尚应符合国家现行有关标准的规定。
条文说明
1.0.4 采光设计应符合本标准的规定,但是窗不仅起采光作用,有时还起通风和泄爆等作用,同时还要考虑建筑、结构等方面的要求,因此在采光设计时,应综合考虑现行有关标准的要求。
术语和符号
2.1 术 语
2.1 术 语
条文说明
本章术语和符号引自《建筑采光设计标准》GB/T 50033-2001,同时也参照了国际上相关标准和技术文件,加以统一和赋予新的含义。考虑到当前新技术的应用情况,增加了采光系数标准值、室外天然光设计照度、室内天然光照度标准值、采光有效进深、导光管采光系统、导光管采光系统效率、采光利用系数、光热比等。
2.1.1 参考平面 reference surface
测量或规定照度的平面。
2.1.2 照度 illuminance
表面上一点的照度是入射在包含该点面元上的光通量除以该面元面积之商。
2.1.3 室外照度 exterior illuminance
在天空漫射光照射下,室外无遮挡水平面上的照度。
2.1.4 室内照度 interior illuminance
在天空漫射光照射下,室内给定平面上某一点的照度。
2.1.5 采光系数 daylight factor
在室内参考平面上的一点,由直接或间接地接收来自假定和已知天空亮度分布的天空漫射光而产生的照度与同一时刻该天空半球在室外无遮挡水平面上产生的天空漫射光照度之比。
2.1.6 采光系数标准值 standard value of daylight factor
在规定的室外天然光设计照度下,满足视觉功能要求时的采光系数值。
2.1.7 室外天然光设计照度 design illuminance of exterior daylight
室内全部利用天然光时的室外天然光最低照度。
2.1.8 室内天然光照度标准值 standard value of interior daylight illuminance
对应于规定的室外天然光设计照度值和相应的采光系数标准值的参考平面上的照度值。
2.1.9 光气候 daylight climate
由太阳直射光、天空漫射光和地面反射光形成的天然光状况。
2.1.10 年平均总照度 annual average total illuminance
按全年规定时间统计的室外天然光总照度。
2.1.11 光气候系数 daylight climate coefficient
根据光气候特点,按年平均总照度值确定的分区系数。
2.1.12 室外天然光临界照度 critical illuminance of exterior daylight
室内需要全部开启人工照明时的室外天然光照度。
2.1.13 采光均匀度 uniformity of daylighting
参考平面上的采光系数最低值与平均值之比。
2.1.14 不舒适眩光 discomfort glare
在视野中由于光亮度的分布不适宜,或在空间或时间上存在着极端的亮度对比,以致引起不舒适的视觉条件。本标准中的不舒适眩光特指由窗引起的不舒适眩光。
2.1.15 窗地面积比 ratio of glazing to floor area
窗洞口面积与地面面积之比。对于侧面采光,应为参考平面以上的窗洞口面积。
2.1.16 采光有效进深 depth of daylighting zone
侧面采光时,可满足采光要求的房间进深。本标准用房间进深与参考平面至窗上沿高度的比值来表示。
2.1.17 导光管采光系统 tubular daylighting system
一种用来采集天然光,并经管道传输到室内,进行天然光照明的采光系统,通常由集光器、导光管和漫射器组成。
2.1.18 导光管采光系统效率 efficiency of the tubular daylighting system
导光管采光系统的漫射器输出光通量与集光器输入光通量之比。
2.1.19 采光利用系数 daylight utilization factor
被照面接受到的光通量与天窗或集光器接受到来自天空的光通量之比。
2.1.20 光热比 light to solar gain ratio
材料的可见光透射比与太阳能总透射比的比值。
2.1.21 透光折减系数 transmitting rebate factor
透射漫射光照度与漫射光照度之比。
2.2 符 号
2.2 符 号
2.2.1 照度
Ew——室外照度;
En——室内照度;
Es——室外天然光设计照度;
Eq——年平均总照度;
E1——室外天然光临界照度;
C——采光系数,用(%)表示;
K——光气候系数。
2.2.2 计算系数
Kc——侧面采光的窗宽系数,为窗宽度与房间宽度之比;
Gc——侧面采光的窗高系数,为窗高度与层高之比;
Kj——天窗或采光罩的井壁挡光折减系数;
τ——窗的总透射比;
η——导光管的采光系统效率;
CU——采光利用系数;
Tr——透光折减系数;
τ0——采光材料的透射比;
r——光热比;
τc——窗结构的挡光折减系数;
τw——窗玻璃的污染折减系数;
τj——室内构件的挡光折减系数;
ρ——材料的反射比;
ρj——室内各表面反射比的加权平均值;
ρp——顶棚饰面材料的反射比;
ρq——墙面饰面材料的反射比;
ρd——地面饰面材料的反射比;
ρc——普通玻璃窗的反射比。
2.2.3 几何特征
Ap——顶棚面积;
Aq——墙面面积;
Ad——地面面积;
Ac——窗洞口面积;
At——导光管的有效采光面积;
Az——室内表面总面积;
dc——窗间距;
Dd——窗对面遮挡物与窗的距离;
Hd——窗对面遮挡物距窗中心的平均高度;
hc——窗高;
hs——参考平面至窗上沿高度;
hx——参考平面至窗下沿高度;
l——房间的长度或侧窗采光时的开间宽度;
b——房间的进深或跨度;
θ——天空角,从窗中心点计算的垂直可见天空的角度。符号为θ,单位为°。
基本规定
3 基本规定
3.0.1 本标准应以采光系数和室内天然光照度作为采光设计的评价指标。室内某一点的采光系数C,可按下式计算:
C=(En/Ew)×100% (3.0.1)
式中 En——室内照度;
Ew——室外照度。
条文说明
3.0.1 采光标准的数量评价指标以采光系数C表示。因为室外天然光受各种气象条件的影响,在一天中的变化很大,因而影响室内光线的变化,通常采用采光系数这一相对值来评价采光效果较为合适。目前国际上一般也采用此系数来评价采光。
3.0.2 本标准规定的采光系数标准值和室内天然光照度标准值应为参考平面上的平均值。各类场所的采光系数和室内天然光照度应符合本标准第4章的规定。
条文说明
3.0.2 本标准对采光系数标准值和室内天然光照度标准值进行了规定。
1 采光系数标准值:原标准中侧面采光以采光系数最低值作为标准值,顶部采光采用平均值作为标准值;本标准中统一采用采光系数平均值作为标准值。采用采光系数平均值,不仅能反映出工作场所采光状况的平均水平,也更方便理解和使用。从国内外的研究成果也证明了采用采光系数平均值和平均照度值更加合理。
2 室内天然光照度标准值:在采用采光系数作为采光评价指标的同时,还给出了相应的室内天然光照度值,这样一方面可与视觉工作所需要的照度值相联系,而且还便于和照明标准规定的照度值进行比较。在已知工作场所采光系数标准值的情况下,可根据室外天然光设计照度值求得室内室内天然光照度标准值,室外天然光设计照度值是根据我国的光气候状况,考虑到天然光利用的合理性,以及与照明标准的协调性确定的室外设计照度值。
3.0.3 各采光等级参考平面上的采光标准值应符合表3.0.3的规定。
表3.0.3 各采光等级参考平面上的采光标准值

注:1 工业建筑参考平面取距地面1m,民用建筑取距地面0.75m,公用场所取地面。
2 表中所列采光系数标准值适用于我国Ⅲ类光气候区,采光系数标准值是按室外设计照度值15000lx制定的。
3 采光标准的上限值不宜高于上一采光等级的级差,采光系数值不宜高于7%。
条文说明
3.0.3 本条按场所的采光等级、规定了各级相应的采光系数标准值和室内天然光照度值。
一、采光等级的确定
场所使用功能要求越高,说明视觉作业需要识别对象的尺寸就越小。由天然光视觉试验得出,随着识别对象尺寸的减小,能看清识别对象所需要的照度增大,即工作越精细,需要的照度越高(图1)。

图1?视角、照度关系曲线
此外,由于采光口的大小和位置受建筑条件的限制,不能随使用功能任意变化。采光等级不可能分得过细,与照明标准相比较,将级数减少,这样既符合使用功能的特征,也适应天然采光的建筑条件。
采用采光系数平均值作为采光系数标准值,编制组基于北京标准全阴天条件,利用Radiance软件进行模拟计算。取房间净高2.5.5.5m,进深4.8.4.0.28.49.0m,对18种房间的9种开窗方式进行模拟,共计162个模拟情况,以验证采光系数平均值的优点及其可行性。
其中我们提取某一房间进行了相关几何参数与采光系数的深入比较分析。该房间进深7.2m、净高4.5m、玻璃透光比0.737,室内地面反射比为0.2,墙面0.5,屋顶0.8,窗下沿高0.9m,工作面高0.8m,对应9种开窗方式的计算结果如表1所示。
表1?标准全阴天窗地比与采光系数计算结果

本研究与澳大利亚同类研究进行比较,研究结论相似,窗地比与采光系数平均值(Cave )呈近似线性关系,采光系数最低值(Cmin )与窗地比无线性关系如图2所示。
根据上述研究得出如下结论:
1 对于标准全阴天,真正对应建筑师采光方案合理性的判定是平均照度,其与窗地比存在近似的线性关系,不同形状的房间也因此对应不同的合理窗地比。用采光系数平均值作为标准值既能反映一个工作场所总的采光状况,又能将采光系数与窗地面积比直接联系在一起。采用采光系数平均值和平均照度作为标准值是合理的。
2 采用采光系数平均值和平均照度将计算和评定侧窗采光和天窗采光的参数相统一,方便二者之间的综合比较和对接。
3 采用采光系数平均值和平均照度同时方便结合照明标准及节能标准的相关参数,为统一考虑采光均匀度和照明均匀度提供了可能。

图2?窗地面积比与平均照度关系曲线(澳大利亚)
二、采光系数标准值的确定
顶部采光原标准就是采用的采光系数平均值,已经过多方论证标准值的确定依据充分,只是考虑到当前一些遮阳材料的使用和建筑遮挡的日趋严重,对其采光系数标准值作了些调整,调整后的室内天然光照度值与照明标准的照度值基本一致。
侧面采光采用采光系数平均值作为标准值,确定各采光等级的采光系数标准值除参照原标准的实测调查和补充调研以外,编制组还重点对办公室、学校教室以及住宅中的起居室(厅)、卧室、厨房进行了实测验证(数据已列入相应部分的实测调查表中)。在原标准实测的135个工作场所的结果表明(表2):合格者91个,占总数的67%,不合格者占33%。不合格的原因多数为室外环境的遮挡或室内污染和高大设备的遮挡,少数是属于窗地面积比不够。说明原标准的采光系数标准值是能够达到的,窗地面积比的规定也是合理的。
表2?135个作业场所实测汇总表

编制组为了制定以采光系数平均值为评定基础的新版采光标准值,针对常规几何尺寸的房间参考平面高度的采光系数平均值进行了大量的数据模拟和分析论证。所获取数据包括不同进深(4.5~16.8m)、不同层高(2.2~11.8m)以及不同开间/进深比(0.6、1、1.5)的多种房间尺寸中的9种开窗情况所对应的采光系数平均值,其中,原始模拟模型包括69种房间尺寸,每种房间针对9种开窗方式(窗高系数0.2、0.4、0.6;窗宽系数0.5、0.7、0.9排列组合)进行模拟计算,共获得原始模拟模型621个。随后利用线性插值和公式辅助推导等方法扩充至1800例不同情况下的采光系数平均值。
利用采光标准中各采光等级对应的窗地面积比,编制组以这1800例数据为基础,提取不同窗地面积比所对应的采光系数,统计出各等级窗地面积比所对应的标准值。同时,编制组在原始统计结果的基础上,考虑一般情况下玻璃洁净度以及窗框挡光因素,对原始数据进行了折减计算,将原始数据分别乘以折减系数0.675(窗污染系数0.9乘以窗结构挡光系数0.75),室外遮挡系数0.8(按常规的建筑日照间距折算),最终计算结果如表3所示。
表3?采光系数平均值计算结果

本标准侧面采光各采光等级Ⅰ、Ⅱ、Ⅲ、Ⅳ、Ⅴ对应的采光系数平均值分别为5、4、3、2、1(%),相当于模拟计算数值取整的结果。
综合以上实测和计算结果,确定了侧面采光的采光系数平均值(取整数)。分析各级的采光系数标准值可以得出以下结论:随着采光等级的提高,侧面采光和顶部采光的采光系数标准值越来越接近,这是因为窗地面积比不同,采光区的有效进深会不同,在窗地面积比小时,有效进深大,采光均匀度差,侧面采光和顶部采光的采光系数标准值相差较大,随着窗地面积比的增大,采光有效进深减少,采光均匀度提高,采光系数标准值也就越来越接近。
三、室内天然光照度标准值的确定
在制订采光标准时,除了考虑视觉工作对光的最低需求外,还应考虑连续、长时间视觉工作的需要,以及工作效率和视觉舒适等因素。结合室外天然光状况,将室外临界照度值提高到室外设计照度值15?000lx,顶部采光各采光等级的室内天然光照度值分别为750、450、300、150、75(lx),与照明标准相比较,各工作场所对应的天然光照度值基本上与照明标准值相一致。视觉实验还表明,天然光优于人工光,天然光即使略低于人工照明照度值,也能满足视觉工作的要求。
美国提出替代采光系数的可利用天然光照度值:100lx~2000lx为合适照度,小于100lx为不足照度,大于2000lx为照度过高。考虑到夏天太阳辐射对室内产生的过热影响以及由此引起的不舒适眩光,规定了采光标准的上限值,即采光系数7%。北美LEED?2009选项2:在晴天空条件下,9月21日上午9点和下午3点时的天然光照度值最大不能超过5000lx,说明并非采光越多越好,认为100lx~2000lx为合适照度,大于2000lx为照度过高。
3.0.4 光气候分区应按本标准附录A确定。各光气候区的室外天然光设计照度值应按表3.0.4采用。所在地区的采光系数标准值应乘以相应地区的光气候系数K。
表3.0.4 光气候系数K值

条文说明
3.0.4 我国地域广大,天然光状况相差甚远,若以相同的采光系数规定采光标准不尽合理,在室外取相同的临界照度时我国天然光丰富区较之天然光不足区全年室外平均总照度相差约为50%。为了充分利用天然光资源,取得更多的利用时数,对不同的光气候区应取不同的室外设计照度,即在保证一定室内照度的情况下,各地区规定不同的采光系数。
本标准的光气候分区和系数值是根据我国近30年的气象资料取得的273个站的年平均总照度制定的,见表4。
表4?不同光气候区的天然光利用时数

室外设计照度值的确定:将Ⅲ类光气候区的室外设计照度值定为15?000lx,根据这一照度和采光系数标准值换算出来的室内天然光照度值与人工照明的照度值相对应,只要满足这些照度值,工作场所就可以全部利用天然光照明,又根据我国天然光资源分布情况(表4),全年天然光利用时数可达8.5个小时以上。按每天平均利用8h确定设计照度,Ⅲ类区室外设计照度取值为15?000lx,其余各区的室外设计照度分别为18?000lx、16?500lx、13?500lx、12?000lx。按室外临界照度5000lx计算,每天平均天然光利用时数约10个小时。室外设计照度15?000lx和室外临界照度5000lx之间,是部分采光的时段,需要补充人工照明,临界照度5000lx以下则需要全部采用人工照明。
3.0.5 对于Ⅰ、Ⅱ采光等级的侧面采光,当开窗面积受到限制时,其采光系数值可降低到Ⅲ级,所减少的天然光照度应采用人工照明补充。
条文说明
3.0.5 Ⅰ级视觉工作的房间,常为多层建筑,用侧窗采光,开窗面积往往受到层高的限制。有的房间的生产工艺要求恒温、恒湿和防尘,采光口也不宜过大,从而使采光系数达不到规定的标准值,Ⅱ级视觉工作也有一部分房间因某些条件的限制使采光系数达不到标准值。而且Ⅱ级视觉工作的房间数量较多,考虑到经济合理,采光系数标准值可降低到Ⅲ级。但因采光系数降低所减少的天然光照度应用人工照明补充。根据《室内照明指南》CIE出版物No.29.2的推荐,补充的数量为天然采光和人工照明形成的总照度不宜超过原等级规定的照度标准值的1.5倍。
根据美国的节能标准和我国建筑节能标准的规定,为了防止室内过热、能耗过大,对窗墙比均有详细的规定,所以Ⅰ?、Ⅱ采光等级的房间一般来说只适用于对采光有特殊要求的房间和区域,如对颜色要求的精细检验、工艺品雕刻、刺绣、绘画等。
3.0.6 在建筑设计中应为窗户清洁和维修创造便利条件。
条文说明
3.0.6 根据对现有建筑采光的实际调查结果表明,多数房间开窗面积并不小,但采光条件差,其主要原因是,对采光口未进行定期的擦洗和维修,以致窗玻璃污染严重,透光率很低,个别房间的窗子甚至不透光,以致很大的采光面积仍不能满足采光要求,白天都要开灯工作,浪费电能,影响视力健康。以北京地区为例,某车间采用矩形天窗,窗地比为1:4.2,按计算应达到的采光系数为2.5%。由于污染等原因,实际只有0.61%,全年天然光利用时数大为减少,白天大部分时间需要开灯工作。这种浪费电现象如不克服并作适当规定,是不合理的。根据对车间污染的实验和调查得出的窗玻璃污染折减系数,是按6个月擦洗一次确定的,证明适时擦窗是必要的。
在调查中还发现,有的单位虽对窗也进行维修和擦洗,但由于缺少必要的设备和有效方法,工作效率很低,而且不安全。因此,在设计中应考虑设置相应的设备,以保证擦洗的方便和安全,尽可能地为擦窗和维修创造便利的条件。
导光管系统的透光折减系数是参照《建筑外窗采光性能分级及检测方法》GB/T 11976在实验室中测试得到的,反映的是在漫射光条件下导光管系统的采光效率。由于导光管系统的采光效率受日光入射方向的影响较大,在精确模拟时,可通过实测或软件模拟获得其他入射条件下导光管的系统效率。
3.0.7 采光设计实际效果的检验,应按现行国家标准《采光测量方法》GB/T 5699的有关规定执行。
条文说明
3.0.7 为了检验采光设计的实际效果,需要在工程竣工后,或在使用期内进行现场实测。在同一房间内,采用不同的实测方法或在不同的天空条件下进行采光系数测定,其结果差别很大。因此需统一实测方法,便于对实测数据进行分析比较。实测方法可按现行国家标准执行。
采光标准值
4 采光标准值
4.0.1 住宅建筑的卧室、起居室(厅)、厨房应有直接采光。
条文说明
4.0.1 住宅建筑的卧室、起居室(厅)、厨房应有直接采光。该条直接采光是指在卧室、起居室(厅)、厨房空间直接设有外窗,包括窗外设有外廊或设有阳台等外挑遮挡物。住宅中的卧室和起居室(厅)具有直接采光是居住者生理和心理健康的基本要求,直接采光可使居住者直接观看到室外自然景色,感受到大自然季节性的变化,舒缓情绪、减少压力,有助于身心健康,这也正是目前国外许多采光标准所强调的。住宅中的厨房也是居住者活动频繁的场所,除了采光以外,外窗还有很重要的通风作用。本条还考虑了和相关标准的协调。
4.0.2 住宅建筑的卧室、起居室(厅)的采光不应低于采光等级Ⅳ级的采光标准值,侧面采光的采光系数不应低于2.0%,室内天然光照度不应低于300lx。
条文说明
4.0.2 本条将住宅建筑的卧室、起居室(厅)的采光标准值列为强制性条文的理由:
1 居住者对天然光的需求:住宅是人们长期生活、工作与学习的场所,特别是老人和孩子,而天然采光则是必不可少的,除了满足从事各种活动的功能性需要以外,更重要的还要满足居住者生理和心理健康的要求。
2 《住宅设计规范》GB 50096已将卧室、起居室(厅)、厨房的采光窗洞口的窗地面积比不应低于1/7列为强条。本标准将卧室、起居室(厅)的采光标准值列为强制性条文则更为准确。考虑到厨房开窗要求不仅是为了满足采光,通风也是很重要的因素,因此厨房的采光标准值不作为强条。
3 实测调查结果表明,在满足窗地面积比的情况下是可以达到采光标准值的。
起居室、卧室(厅)实测调查结果:
实测调查了41个场所,包括多层住宅和高层住宅,含一、二、三居室,进深从3m到5.4m,多数住宅的开窗面积较大,采光效果普遍较好。实测调查结果见表5和表6。
表5 起居室、卧室(厅)实测调查结果

表6 起居室、卧室(厅)窗地面积比调查结果

起居室、卧室(厅)调查结果:
(1)窗地面积比大于1/6的占调查总数的78%,大于1/7的占90%。
(2)采光评价较好的占68%,基本上可达到采光系数平均值2%的要求。
在制定采光标准时还参考了国内外相关标准(表9)。
4.0.3 住宅建筑的采光标准值不应低于表4.0.3的规定。
表4.0.3 住宅建筑的采光标准值

条文说明
4.0.3 住宅建筑的采光标准值:
采光标准制订的依据如下:
一、实测调查结果
1 餐厅
目前居住建筑中的餐厅有明厅和暗厅两种。明厅采用直接采光,厅内明亮;暗厅多采用大玻璃窗,间接采光,采光效果较差。实测调查结果见表7。
表7 餐厅的实测调查结果

调查中直接采光的餐厅基本上都能达到采光系数平均值1%的要求。
2 厨房
实测调查的厨房全部直接采光,开窗面积均较大,只是个别厨房建筑遮挡严重,采光效果较差。实测调查结果见表8。
表8 厨房采光实测调查结果

随着住宅标准的提高,厨房的现代化占有重要地位,这就要求有好的采光照明条件,同时也是国内外厨房的发展趋势。调查结果,采光系数平均值基本上可到2%,窗地面积比多数大于1/6。
二、参考国内外住宅采光标准
国内外的住宅采光标准如表9所示。
表9 国内外住宅建筑采光标准比较

根据实测调查结果并参考国内外的住宅采光标准,规定起居室、卧室、厅和厨房的采光系数平均值为2%,窗地面积比为1/6。卫生间、过厅和楼梯间、餐厅的采光系数平均值为1%,其窗地面积比为1/10。
4.0.4 教育建筑的普通教室的采光不应低于采光等级Ⅲ级的采光标准值,侧面采光的采光系数不应低于3.0%,室内天然光照度不应低于450lx。
条文说明
4.0.4 本条将普通教室的采光标准列为强条,主要是为了保护青少年学生的视力和身心健康,据全国学生爱眼工程对中小学生近视率的最新抽样调查统计结果:小学生28%、初中生60%、高中生85%,大学生则更高,我国人口近视率占33%,高于世界的平均水平22%,居世界第二位。当然,引起学生近视的原因很多,其中有遗传因素、用眼时间过长、用眼方式不当等等,但光线不足和光质量差肯定是很重要的原因,此外,创造良好的光环境,还有助于提高学生的学习效率。将普通教室采光标准列为强条,也正是为了给学校教室的采光提供最基本的保障。普通教室的采光标准值主要是通过实测调查和参考国内外相关标准制定的。
4.0.5 教育建筑的采光标准值不应低于表4.0.5的规定。
表4.0.5 教育建筑的采光标准值

条文说明
4.0.5 教育建筑的采光标准值:
采光标准制订的依据如下:
一、实测调查结果
1教室、实验室
19个教室的实测调查结果见表10和表11。
表10 教室、实验室窗地面积比调查结果

表11 教室、实验室采光系数实测结果

除一所教室为双侧采光外,其余均为单侧采光,其中窗地面积比在1/5以上为14个,占总数的87.5%以上,因实验室与教室开窗大小大都相同,视觉工作无大的差异,故采用与教室相同的采光标准,即采光系数平均值为3%和窗地面积比为1/5。
2 阶梯教室
实测调查结果见表12和表13。
表12 阶梯教室实测调查结果

表13 阶梯教室窗地面积比调查结果

因此类房间的进深和开间均较大,以视听为主,兼作记录,采光不能满足区域可用人工照明补充,其采光要求与教室相同,故本标准规定采光系数平均值为3%,窗地面积比为1/5。
3 走道、楼梯间
学校的走道、楼梯间人流大,跑动速度快,必须保证有一定的天然光照度,采光系数平均值为1%,窗地面积比为1/10。
二、参考国内外教育建筑采光标准
国内外教育建筑采光标准见表14。
表14 国内外教育建筑采光标准

《中小学校建筑设计规范》GB 50099已将采光标准提高,为了保护学生视力,本标准将教室、实验室、阶梯教室的采光系数平均值定为3%。
4.0.6 医疗建筑的一般病房的采光不应低于采光等级Ⅳ级的采光标准值,侧面采光的采光系数不应低于2.0%,室内天然光照度不应低于300lx。
条文说明
4.0.6 本标准将一般病房的采光标准列为强条,主要原因是病房里的病人与正常人相比非但活动空间很小,有的甚至失去行为能力,而且心理要承受巨大的压力,日光环境可以调节病人的昼夜和季节性的人体节律、接受紫外线、改善睡眠、减少压力、愉悦心情。根据国外相关标准的规定,采光标准不仅是为了能够满足各类视觉工作的要求,更强调人的生理和心理需求,这对医院病房尤其重要。一般病房的采光标准值主要是通过实测调查和参考国内外相关标准制定的。
4.0.7 医疗建筑的采光标准值不应低于表4.0.7的规定。
表4.0.7 医疗建筑的采光标准值

条文说明
4.0.7 医疗建筑的采光标准值:
采光标准制订的依据如下:
一、实测调查结果
医疗建筑的采光实测调查结果见表15。
表15 医疗建筑采光实测调查结果

二、参考国内外医疗建筑的采光标准
国内外医疗建筑的采光标准见表16。
表16 国内外医疗建筑采光标准

根据实测调查结果诊疗室、治疗室、药房、病房的窗地面积比都较大,除了考虑人的视觉工作需要以外,更多的还要考虑人的生理和心理需求(特别是病人),因此将采光系数平均值分别定为3%和2%。
4.0.8 办公建筑的采光标准值不应低于表4.0.8的规定。
表4.0.8 办公建筑的采光标准值

条文说明
4.0.8 办公建筑的采光标准值:
采光标准制订的依据如下:
一、实测调查结果
对49个场所的实测调查结果见表17、表18、表19。
1设计室、绘图室
此类办公室对采光要求较高,而且这类办公用房将有所增加。对本类14个场所进行的采光实测调查结果见表17。
表17 设计室、绘图室实测调查结果

实测中当窗地面积比为1/5时,若无室外遮挡,采光系数平均值可达到3%。日本采光系数值规定为3%,原苏联采光系数最低值规定为2%,考虑到我国的地区特点,光气候资源比较丰富,当窗地面积比为1/4时,采光系数可以达到标准规定值。
2 办公室、会议室
对此类房间的26个场所的实测调查结果见表18。
表18 办公室、会议室实测调查结果

办公室采光实测调查结果表明,采光效果评为好者,采光系数多数在1.89~4.75%之间,平均值在3%左右,而且开窗面积均较大。
3 复印室、档案室
本类型9个场所的实测调查结果见表19。
表19 复印室、档案室实测调查结果

本标准规定采光系数值为2%,窗地面积比为1/6。与现有的国内外标准基本上一致。
二、国内外办公建筑采光标准
国内外办公建筑采光标准见表20和表21。
表20 国外办公建筑采光标准

表21 国内办公建筑采光标准

英国和日本采光标准都将办公室采光系数值定为2%;实测中发现按窗地面积比1/6设计的办公室,晴天上班时有开灯现象。综合考虑各种因素,本标准将办公室采光系数平均值定为3%,侧面采光窗地面积比定为1/5。
4.0.9 图书馆建筑的采光标准值不应低于表4.0.9的规定。
表4.0.9 图书馆建筑的采光标准值

条文说明
4.0.9 图书馆建筑的采光标准值:
采光标准制订依据如下:
一、实测调查结果
1 阅览室、开架书库
23个场所的实测调查结果见表22和表23。
表22 阅览室、开架书库实测调查结果

表23 阅览室、开架书库窗地面积比调查结果

根据实测调查结果采光系数的满意值为2%以上,其窗地面积比为不小于1/5。
2 目录室
目录室的采光实测调查结果见表24和表25。
表24 目录室采光实测调查结果

表25 目录室窗地面积比调查结果

由调查结果表明多数调查场所均达不到上述要求,主要是其进深和开间较大,因此常用人工照明加以补充。
3 书库
书库的采光实测调查结果见表26和表27。
表26 书库采光实测调查结果

表27 书库窗地面积比调查结果

实测调查结果表明,书库的采光效果普遍较差,主要是书架高而密,而且进深大,影响采光效果,采光系数均难达到标准要求,多用人工照明补充,为保证一定采光的要求,故规定其采光系数平均值为1%,窗地面积比为1/10。
二、参考国内外采光标准
国内外图书馆建筑采光标准见表28。
表28 国内外图书馆建筑采光标准

根据实测调查结果及参考国内、外采光标准,制订了本采光标准。
4.0.10 旅馆建筑的采光标准值不应低于表4.0.10的规定。
表4.0.10 旅馆建筑的采光标准值

条文说明
4.0.10 旅馆建筑的采光标准值:
采光标准制订依据如下:
一、实测调查结果
1 会议厅
会议厅和多功能厅(以会议为主)的采光实测调查结果见表29和表30。
表29 会议厅、多功能厅(会议为主)窗地面积比调查结果

表30 会议厅、多功能厅(会议为主)采光系数实测结果

鉴于多功能厅在实际使用中有多种用途,一般多功能厅进深较大,难以达到较高的采光等级,故从实际可能出发定为Ⅳ级采光等级。如以会议为主的多功能厅,宜按照会议厅的采光标准。
对会议厅8个场所的实测,窗地面积比多在1/3.6~1/7之间,采光系数普遍偏低。因会议兼有记录和阅读,故将采光系数标准值定为Ⅲ级。
2 大堂、客房和餐厅
大堂的实测调查结果见表31和表32。
表31 大堂窗地面积比调查结果

表32 大堂采光系数实测结果

客房和餐厅的实测调查结果见表33~表36。
表33 客房窗地面积比调查结果

表34 客房采光系数实测结果

表35 餐厅窗地面积比调查结果

表36 餐厅采光系数实测结果

在对大堂的实测中,窗地面积比大于1/4的有7个;小于1/4的有1个。按功能要求大堂的采光系数平均值定为2%。客房的窗地面积比多数大于1/5,采光系数平均值也定为2%。
二、参照国外采光标准
国外旅馆建筑采光标准见表37。
表37 国外旅馆建筑采光标准

实际调查中客房的窗地面积比均比较大,故本标准定为1/6。会议室因有视觉工作的要求采光系数平均值定为3%、窗地面积比定为1/5。
4.0.11 博物馆建筑的采光标准值不应低于表4.0.11的规定。
表4.0.11 博物馆建筑的采光标准值

注:1 *表示采光不足部分应补充人工照明,照度标准值为750lx。
2 表中的陈列室、展厅是指对光不敏感的陈列室、展厅,如无特殊要求应根据展品的特征和使用要求优先采用天然采光。
3 书画装裱室设置在建筑北侧,工作时一般仅用天然光照明。
条文说明
4.0.11 博物馆和美术馆建筑的采光标准值:
采光标准制订依据如下:
一、实测调查结果
16个博物馆和美术馆的实测调查结果见表38。
表38 博物馆和美术馆建筑采光实测调查结果

二、参照博物馆标准
根据展品特点和场所用途,《博物馆照明设计规范》GB/T 23863推荐的照度标准值见表39。
表39 博物馆的照度标准值

博物馆和美术馆对光线的控制要求严格,利用窗口的遮光百叶等装置调节光线,以保证室内天然光的稳定,调光装置因其复杂程度不同,造成天然光透过采光口的损失不同,在确定采光口面积时,要充分考虑此损失。
4.0.12 展览建筑的采光标准值不应低于表4.0.12的规定。
表4.0.12 展览建筑的采光标准值

条文说明
4.0.12 展览建筑的采光标准值:
采光标准制订依据如下:
展览建筑实测调查结果见表40。
表40 展览建筑的采光实测结果

展览建筑的特点是空间高大,且单层建筑居多,开窗形式多为侧窗+高侧窗+顶窗。登录厅和连接通道,采光面积大,明亮,以天然光为主。展厅虽然也采用侧窗+顶窗,但顶窗的开窗面积较小,在展览时不完全依靠天然采光,除了一般照明外,还需要局部重点照明,以吸引参观者的目光。制定本标准主要以考虑使用功能为主,但实际建筑的采光设计更侧重于人们的生理、心理需求,如登录厅和连接通道就设计得很亮。
4.0.13 交通建筑的采光标准值不应低于表4.0.13的规定。
表4.0.13 交通建筑的采光标准值

条文说明
4.0.13 交通建筑的采光标准值:
采光标准制订依据如下:
交通建筑的使用率很高,人员密度大,流动性高,因而具有空间高大以及通透性要求高等特点,天然采光对于该类建筑是必不可少的,特别对于一些重要的功能空间,如候车(机)室等更是如此。
编制组实测调查了17个机场和车站,分布于不同的气候区,采光形式主要为侧面采光和顶部采光,多数机场和车站的开窗面积较大,采光效果较好,实测调查结果列于表41和表42:
表41 进站大厅、候机(车)大厅的实测结果

表42 售票大厅的实测结果

从实测结果来看,进站大厅、候机(车)大厅的采光效果较好,采光系数能达到2%左右;而售票大厅的采光效果较差,部分客站的售票大厅甚至没有直接采光,因此售票大厅的采光不作规定,而进站大厅、候机(车)大厅的采光系数标准值定为2%。
4.0.14 体育建筑的采光标准值不应低于表4.0.14的规定。
表4.0.14 体育建筑的采光标准值

注:采光主要用于训练或娱乐活动。
条文说明
4.0.14 体育建筑的采光标准值:
采光标准制订依据如下:
对于大空间体育建筑而言,以往一般利用高侧窗进行采光,进行天窗采光的体育馆多为结合屋顶结构形式进行带状采光的居多,在近来的一些场馆建设中为了充分利用天然光,营造良好的室内光环境,在屋顶结构部分进行了多种采光设计,开出了各种形式的大面积采光天窗。采光形式和采光材料都有很大突破,除了采用高效的导光管装置以外,还采用透明膜结构进行天然采光,使建筑物内有良好的采光,并且有显著的节能效果。国内外均有许多应用实例。实测结果见表43:
表43 体育馆采光的实测结果

因体育场馆除了进行体育比赛以外,还要进行电视转播,对光照的要求很高,不但要求照明水平高,还要求光照稳定,天然光往往达不到高级别比赛的要求,但能满足训练和娱乐的要求,在室外光照强的时段也可以满足某些比赛的要求。天然光的最大特点是能够满足人的生理心理需求。根据实测调查体育建筑的采光标准值采用本标准中的规定比较合适,其余部分主要由人工照明提供。
4.0.15 工业建筑的采光标准值不应低于表4.0.15的规定。
表4.0.15 工业建筑的采光标准值


条文说明
4.0.15 原标准根据对各工业系统272个生产车间的采光系数和窗地面积比以及135例作业场所所需的天然光照度进行的实测调查,并参考全国44个专业设计院对330个生产车间的采光等级提出的书面意见,确定了采光系数标准值和窗地面积比。
随着工业生产技术的不断发展,生产体制变革和产品更新换代频繁,现有采光标准已不能满足现代工业建筑的发展,故对此采光标准进行了修编。修编的主要依据和内容:①随着建筑工业体制改革的不断深化和建筑规模的持续扩大,工业建筑发展迅速,涌现出大批新兴工艺及相应车间,此次增加抛光、复材加工、电子工业、测量室、机库、饮料、橡胶加工、皮革加工、玻璃工业等车间。②随着工艺的不断发展,部分工业厂房已经归为一类,故此次将“网络、视听设备”变更为“电子元器件、电子零部件”;将“压缩机房、风机房、锅炉房、泵房”变更为“动力站房”;将“电石库、乙炔库、氧气瓶库、汽车库、大中件贮存库”变更为“一般库房”。
采光质量
5 采光质量
5.0.1 顶部采光时,Ⅰ~Ⅳ采光等级的采光均匀度不宜小于0.7。为保证采光均匀度的要求,相邻两天窗中线间的距离不宜大于参考平面至天窗下沿高度的1.5倍。
条文说明
5.0.1 视野范围内照度分布不均匀可使人眼产生疲劳,视力能降低,影响工作效率。因此,要求房间内照度有一定的采光均匀度。本标准以最低值与平均值之比来表示。研究结果表明,对于顶部采光,如在设计时,保持天窗中线间距小于参考平面至天窗下沿高度的1.5倍时,则均匀度均能达到0.7的要求。此时,可不必进行均匀度的计算。照度越均匀对视野越有利,考虑到采光均匀度与一般照明的照度均匀度情况相同,而照明标准根据主观评价及理论计算结果照度均匀度定为0.7,故本标准确定采光均匀度为0.7。如果采用其他采光形式,可用其他方法进行逐点计算,以确定其均匀度。侧面采光由于照度变化太大,不可能做到均匀;而Ⅴ级视觉工作系粗糙工作,开窗面积小,较难照顾均匀度,故对均匀度未做规定。
5.0.2 采光设计时,应采取下列减小窗的不舒适眩光的措施:
1 作业区应减少或避免直射阳光;
2 工作人员的视觉背景不宜为窗口;
3 可采用室内外遮挡设施;
4 窗结构的内表面或窗周围的内墙面,宜采用浅色饰面。
条文说明
5.0.2 在进行采光设计时,应尽量采取各种改善光质量的措施,以避免引起不舒适眩光。本条是根据CIE出版物No.29.2《室内照明指南》制定的。
5.0.3 在采光质量要求较高的场所,宜按本标准附录B进行窗的不舒适眩光计算,窗的不舒适眩光指数不宜高于表5.0.3规定的数值。
表5.0.3 窗的不舒适眩光指数(DGI)

条文说明
5.0.3 窗的不舒适眩光是评价采光质量的重要指标,根据我国对窗眩光和窗亮度的实验研究,结合舒适度评价指标,及参考国外相关标准,确定了本标准各采光等级的窗不舒适眩光指数值(表44),与英国标准(表45)比较基本一致。
实测调查表明,窗亮度为8000cd/m2时,其累计出现几率达到了90%,说明90%以上的天空亮度状况在对应的标准中,实验和计算结果还表明,当窗面积大于地面面积一定值时,眩光指数主要取决于窗亮度。表中所列眩光限制值均为上限值。
关于顶部采光的眩光,据实验和计算结果表明,由于眩光源不在水平视线位置,在同样的窗亮度下顶窗的眩光一般小于侧窗的眩光,顶部采光对室内的眩光效应主要为反射眩光。
表44?窗的不舒适眩光指数值比较

表45?英国IES眩光指数(DGI)临界值

5.0.4 办公、图书馆、学校等建筑的房间,其室内各表面的反射比宜符合表5.0.4的规定。
表5.0.4 反 射 比

条文说明
5.0.4 本条是参考原《建筑采光设计标准》GB/T 50033-2001和《建筑照明设计标准》GB 50034制订的。
5.0.5 采光设计时,应注意光的方向性,应避免对工作产生遮挡和不利的阴影。
条文说明
5.0.5 采光设计时,应很好考虑光的方向,以避免产生遮挡和不利的阴影,影响工作效率和视觉功能。
5.0.6 需补充人工照明的场所,照明光源宜选择接近天然光色温的光源。
条文说明
5.0.6 天然光不足时所补充的人工光源的色温要尽量接近天然光的色温,以防止由于光源颜色差异而产生的颜色视觉的不适应。
5.0.7 需识别颜色的场所,应采用不改变天然光光色的采光材料。
条文说明
5.0.7 光透过有色玻璃进入室内,造成光的光谱分布改变,从而改变了光的颜色,产生不良的光色效果,对需要识别颜色的场所,宜采用不改变天然光光谱分布的采光材料。
5.0.8 博物馆建筑的天然采光设计,对光有特殊要求的场所,宜消除紫外辐射、限制天然光照度值和减少曝光时间。陈列室不应有直射阳光进入。
条文说明
5.0.8 在博物馆和美术馆中,对有特殊要求的场所,为了保护文物和展品不受损害,需要消除紫外辐射,限制天然光照度值和总曝光时间,限制直射阳光的进入。
5.0.9 当选用导光管采光系统进行采光设计时,采光系统应有合理的光分布。
条文说明
5.0.9 目的是提高光的利用率和改善采光均匀度。
采光计算
6 采光计算
6.0.1 在建筑方案设计时,对Ⅲ类光气候区的采光,窗地面积比和采光有效进深可按表6.0.1进行估算,其他光气候区的窗地面积比应乘以相应的光气候系数K。
表6.0.1 窗地面积比和采光有效进深

注:1 窗地面积比计算条件:窗的总透射比τ取0.6;室内各表面材料反射比的加权平均值:Ⅰ~Ⅲ级取ρj=0.5;Ⅳ级取ρj=0.4;Ⅴ级取ρj=0.3;
2 顶部采光指平天窗采光,锯齿形天窗和矩形天窗可分别按平天窗的1.5倍和2倍窗地面积比进行估算。
条文说明
6.0.1 为便于在方案设计阶段估算采光口面积,按建筑规定的计算条件,计算并规定了表6.0.1的窗地面积比。此窗地面积比值只适用于规定的计算条件。如不符合规定的条件,需按实际条件进行计算。
建筑师在进行方案设计时,可用窗地面积比估算开窗面积,这是一种简便、有效的方法,但是窗地面积比是根据有代表性的典型条件下计算出来的,适合于一般情况。如果实际情况与典型条件相差较大,估算的开窗面积和实际值就会有较大的误差。因此,本标准规定以采光系数作为采光标准的数量评价指标,即按不同房间的功能特征及不同的采光形式确定各视觉等级的采光系数标准值。在进行采光设计时,宜按采光计算方法和提供的各项参数进行采光系数计算,而窗地面积比则作为采光方案设计时的估算。
原《建筑采光设计标准》GB/T 50033-2001对各种采光形式和各采光等级的窗地面积比进行了计算。将计算结果与我国已颁布的各类建筑设计规范中推荐的窗地面积比进行比较,除Ⅱ级采光标准(Cmin=3%)的设计、绘图室需要较大的开窗面积外,Ⅲ~Ⅴ级采光标准两者推荐的窗地面积比比较接近(表46)。
表46?窗地面积比的比较

本标准将民用建筑和工业建筑的窗地面积比规定为统一值,其理由是通过多年来采光标准的应用,从使用功能上并没有根本的区别,而且从心理和生理需求上也逐渐趋于一致,故没有必要规定两种值。
本标准规定窗地面积比时保留了原《建筑采光设计标准》GB/T 50033-2001的侧窗和天窗(原标准中的平天窗)的规定,侧窗采光的窗地面积比基本上对应原《建筑采光设计标准》GB/T 50033-2001的民用建筑窗地面积比,只是Ⅰ、Ⅱ级略有减少,Ⅳ、Ⅴ级略有增加,此窗地面积比除了考虑使用功能外,还考虑Ⅰ、Ⅱ级开窗面积过大会引起室内过热,Ⅳ、Ⅴ级略有增加同时也考虑了健康、舒适的需求。天窗采光的窗地面积比基本上对应原标准的工业建筑窗地面积比,比民用建筑取值略高也是合理的,因为窗地面积比值相差均不大,而且通常还要考虑遮阳。
本标准所规定的窗地面积比既要考虑到能满足天然采光的要求,同时也要考虑到对建筑围护结构能耗的限制。侧面采光时,在控制采光有效进深的情况下,对房间的窗地面积比和对应的窗墙比进行分析计算,结果窗墙比基本上在0.2~0.4之间,符合建筑节能标准的要求。顶部采光多为大跨度或大进深的建筑,如果开窗面积过大,包括大面积采用透明幕墙的场所,本标准对采光材料的光热性能提出了要求。
对于侧面采光,根据模拟计算,统计出与各采光等级相对应的采光有效进深,如表47所示。
表47?采光有效进深统计结果

注:采光有效进深未考虑室外遮挡。
表中采光有效进深是在常规开窗条件下,控制窗宽系数(不包括高侧窗)的计算统计结果。同时编制组还选取窗地面积比为1/5和1/10的典型房间进行实验,测量所得结果表明,当采光系数达到标准值时,采光有效进深分别在2.5~3.0和4.0~4.5之间,实验也验证了标准中给出的有效进深是合理的。本标准给出侧面采光的有效进深对方案设计阶段指导采光设计,控制房间采光进深和采光均匀度具有实际意义,同时可对大进深采光房间的照明设计和采光与照明控制提供参考依据。
对于实际使用较少的矩形天窗和锯齿形天窗,比较原标准中的窗地面积比数据,可得锯齿形天窗和矩形天窗的窗地面积比分别为平天窗的1.47倍和2.04倍。
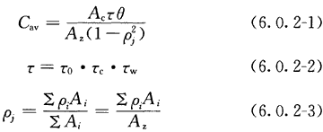
6.0.2 采光设计时,应进行采光计算。采光计算可按下列方法进行。
1 侧面采光(图6.0.2-1)可按下列公式进行计算。典型条件下的采光系数平均值可按本标准附录C中表C.0.1取值。
1)


图6.0.2-1 侧面采光示意图
2)

式中:τ——窗的总透射比;
Ac——窗洞口面积(m2);
Az——室内表面总面积(m2);
ρj——室内各表面反射比的加权平均值;
θ——从窗中心点计算的垂直可见天空的角度值,无室外遮挡θ为90°;
τ0——采光材料的透射比,可按本标准附录D附表D.0.1和附表D.0.2取值;
τc——窗结构的挡光折减系数,可按本标准附录D表D.0.6取值;
τw——窗玻璃的污染折减系数,可按本标准附录D表D.0.7取值;
ρi——顶棚、墙面、地面饰面材料和普通玻璃窗的反射比,可按本标准附录D表D.0.5取值;
Ai——与ρi对应的各表面面积;
Dd——窗对面遮挡物与窗的距离(m);
Hd——窗对面遮挡物距窗中心的平均高度(m)。
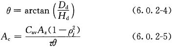
2 顶部采光(图6.0.2-2)计算可按下列方法进行。

图6.0.2-2 顶部采光示意图
1)采光系数平均值可按下式计算:
Cav=τ·CU·Ac/Ad (6.0.2-6)
式中:Cav——采光系数平均值(%);
τ——窗的总透射比,可按式(6.0.2-2)计算;
CU——利用系数,可按表6.0.2取值;
Ac/Ad——窗地面积比。
2)顶部采光的利用系数可按表6.0.2确定:
表6.0.2 利用系数(CU)表


3)室空间比RCR可按下式计算:

式中:hx——窗下沿距参考平面的高度(m);
l——房间长度(m);
b——房间进深(m)。
4)当求窗洞口面积Ac时可按下式计算:

式中:C′——典型条件下的平均采光系数,取值为1%。
A′c——典型条件下的开窗面积,可按本标准附录C图C.0.2-1和图C.0.2-2取值。
注:1 当需要考虑室内构件遮挡时,室内构件的挡光折减系数可按表D.0.8取值;
2 当采用采光罩采光时,应考虑采光罩井壁的挡光折减系数(Kj),可按本标准附录D图D.0.9和表D.0.10取值。
3 导光管系统采光设计时,宜按下列公式进行天然光照度计算:

式中:Eav——平均水平照度(lx);
n——拟采用的导光管采光系统数量;
CU——导光管采光系统的利用系数,可按表6.0.2取值;
MF——维护系数,导光管采光系统在使用一定周期后,在规定表面上的平均照度或平均亮度与该装置在相同条件下新装时在同一表面上所得到的平均照度或平均亮度之比;
Φu——导光管采光系统漫射器的设计输出光通量(lm);
Es——室外天然光设计照度值(lx);
At——导光管的有效采光面积(m2);
η——导光管采光系统的效率(%)。
条文说明
6.0.2 采光计算
1 侧面采光
采光系数平均值的计算方法是经过实际测量和模型实验确定的,早在20世纪70年代就有国外学者在大量经验数据的整理基础上提出了采光系数平均值的计算公式。1979年,Lynes针对矩形侧面采光空间的平均天然采光系数总结出了如下的计算表达式:

式中:
ADF——采光系数平均值;
Ag——窗的净表面面积;
At——包括窗在内的室内表面总面积;
τ0——采光材料(玻璃)的透射比;
θ——天空遮挡角;
ρ——室内表面平均反射比。
但Lynes所表示的采光系数平均值是针对所有室内表面而言的,不同于我们现在所指的室内参考平面上的采光系数平均值。提出经过经验数据得出的衡量室外遮挡因素的天空遮挡角参数,也是该表达式的一个重要意义。在随后的研究过程中,有关采光系数平均值的公式出现了多个修正版本。
1984年Crisp和Littlefair在他们的论文中对Lynes的公式进行了修正。通过人工天空下的模型实验,他们发现Lynes的公式低估了模型空间内的采光系数平均值的实际情况,而且公式计算值与实测值总是偏差10%左右。基于新的研究数据,Crisp和Littlefair将Lynes的公式修正为:

这个公式的计算结合同模型实验中的测量值更加吻合,并最终在北美照明工程学会(IESNA)和其他很多版本的规范中得到肯定和应用。
哈佛大学的CF Reinhart在他近期的研究论文中展示了利用计算机模拟工具Radiance对上述两种采光系数平均值表达式的验证评估。验证结果如图3所示。

图3?简化公式与软件计算结果对比
图3为修正公式求值和Radiance模拟值的比较结果,右图为Lynes原始公式和模拟值的比较结果;前者的吻合度可以归纳为函数y=1.1323x,后者的吻合度可以用函数y=0.813x表示。综合早期的模型试验、实际测量和后期的计算机模拟可以发现,有关采光系数平均值的理论公式计算结果、实测值和模拟值三者数据之间基本吻合,该验证工作是我们在标准修订过程中得以将公式计算和模拟结果综合应用的重要根据。
结果表明,模拟计算结果与简化公式计算的结果比较吻合。
2 顶部采光
本计算方法引自北美照明手册的采光部分,该方法的计算原理是“流明法”。
计算假定天空为全漫射光分布,窗安装间距与高度之比为1.5:1。计算中除考虑了窗的总透射比以外,还考虑了房间的形状、室内各个表面的反射比以及窗的安装高度,此外,还考虑了窗安装后的光损失系数。
本计算方法具有一定的精度,计算简便,易操作。为配合标准的实施可建立较完善的数据库,利用计算机软件可为设计人员提供方便,快捷的采光设计。
3 导光管采光系统是一种新型的屋顶采光技术系统。由于在天然光采集,传输以及末端漫射部分,采用了光学元件和技术,从而显著提高了天然光的利用效率和建筑内部利用的可能。该技术在2003年被美国门窗幕墙分级协会NFRC增补为新的采光产品门类,并被定义为:通过利用导光管将天然光从屋顶传导至室内吊顶区域的采光装置。该装置包含耐候的外窗体,内壁为高反射材料的光学传输管道和室内闭合装置。2007年美国建筑标准协会CSI将其列为新增产品目录。目前该技术也已经在国内出现,并在一些建筑中得到了良好的应用。
导光管采光系统的计算原理是“流明法”,与顶部采光类似。采用导光管采光系统时,相邻漫射器之间的距离不大于参考平面至漫射器下沿高度的1.5倍时可满足均匀度的要求。由于导光管采光系统采用了一系列光学措施,晴天条件下采光效率和光分布同阴天有所不同,因此在晴天条件计算时需要考虑系统的平均流明输出以及相应的利用系数。有些厂家可以提供光强分布IES文件,利用通用计算机软件,实现逐点的照度分析计算。
对于因受结构和施工条件限制的地下室、无窗、大进深或不宜开窗的空间宜采用导光管系统进行采光,其采光不足部分可补充人工照明。
本计算方法未对混合采光做出规定,对兼有侧面采光和顶部采光的房间,可将其简化为侧面采光区和顶部采光区,分别进行计算。
6.0.3 对采光形式复杂的建筑,应利用计算机模拟软件或缩尺模型进行采光计算分析。
条文说明
6.0.3 对于大型复杂的建筑和非规则的采光形式,或需要逐点分析计算采光时可采用具有强大功能的通用计算机软件进行计算,同时还可以作节能分析和计算光污染。
采光节能
7 采光节能
7.0.1 建筑采光设计时,应根据地区光气候特点,采取有效措施,综合考虑充分利用天然光,节约能源。
条文说明
7.0.1 天然光是清洁能源,取之不尽,用之不竭,具有很大的节能潜力,目前世界范围内照明用电量约占总用电量的20%左右,充分利用天然光是实现照明节能的重要技术措施。
7.0.2 采光材料应符合下列规定:
1 采光设计时应综合考虑采光和热工的要求,按不同地区选择光热比合适的材料,可按本标准附录D的规定取值;
2 导光管集光器材料的透射比不应低于0.85,漫射器材料的透射比不应低于0.8,导光管材料的反射比不应低于0.95,常用反射膜材料的反射比可按本标准附录D表D.0.3取值。
条文说明
7.0.2 采光效率的高低,采光材料是关键的因素,随着进入室内光量的增加,太阳辐射热也会增加,在夏季会增加很多空调负荷,因此在考虑充分利用天然光的同时,还要尽量减少因过热所增加的能耗,所以在选用采光材料时,要权衡光和热两方面的得失。本标准对采光材料的光热比提出了要求,光热比为材料的可见光透射比与材料的太阳光总透射比之比,推荐在窗墙比小于0.45时,采用光热比大于1.0的采光材料,窗墙比大于0.45时,采用光热比大于1.2的采光材料。
7.0.3 采光装置应符合下列规定:
1 采光窗的透光折减系数Tr应大于0.45;
2 导光管采光系统在漫射光条件下的系统效率应大于0.5,导光管采光系统的系统效率可按本标准附录D表D.0.4取值。
条文说明
7.0.3 为了提高建筑外窗的采光效率,在采光设计时应尽量选择采光性能好的窗,采光性能的好坏用透光折减系数Tr表示,窗的透光折减系数是在漫射光条件下透射光照度与入射光照度之比。《建筑外窗采光性能分级及检测方法》GB/T 11976-2002订出的采光性能分级列于表48。建筑采光外窗和导光管采光系统的采光性能检测可按现行国家标准《建筑外窗采光性能分级及检测方法》GB/T 11976执行。
表48 窗的采光性能分级

本标准规定,建筑外窗的透光折减系数应大于0.45。调查中发现,有的建筑窗地面积比并不小,但由于窗的设计不合理,或附加装饰及采用有色玻璃,使得窗的透光折减系数偏低,为节省能源,此类窗已不宜作为建筑采光窗。
通过对169樘各类实际窗的检测,证实80%窗的透光折减系数(Tr)都大于0.45(表49)。
表49?透光折减系数

采光窗的透光折减系数Tr≥0.45,各类窗的比例为:钢窗77.9%、铝窗82.0%、塑料窗93.46%、钢塑、铝塑窗92.3%、木窗66.7%,其中木窗主要来自北欧产品,且部分用于斜屋顶采光,其透光折减系数低于0.45的比例较大,木窗在我国各类建筑中已较少采用。
导光管采光系统的效率是衡量其性能的重要指标,通过对现有的用于实际工程的导光管系统的测试,大部分产品的效率均在0.50以上。故为提高采光效率,在采光设计中应选择采光性能好的导光管采光系统,系统效率应大于0.50。
7.0.4 采光设计时,应采取以下有效的节能措施:
1 大跨度或大进深的建筑宜采用顶部采光或导光管系统采光;
2 在地下空间,无外窗及有条件的场所,可采用导光管采光系统;
3 侧面采光时,可加设反光板、棱镜玻璃或导光管系统,改善进深较大区域的采光。
条文说明
7.0.4 在采光设计中,采取各种方法提高采光效率是有效利用天然采光的重要环节。如根据建筑形式和不同的光气候特点,合理选择窗的位置、朝向和不同的开窗面积。在条件允许的情况下,设置天窗采光不但能大大提高采光效率还可以获得好的采光均匀度。伴随着建筑形式的多样化,一些新的采光技术也得到了越来越多的应用,如导光管装置和膜结构的应用,均取得了比较好的采光效果。此外,对于大进深的侧面采光,可在室外设置反光板或采用棱镜玻璃,增加房间深处的采光量,有效改善空间的采光质量。
7.0.5 采用遮阳设施时,宜采用外遮阳或可调节的遮阳设施。
条文说明
7.0.5 目前常采用的遮阳形式有内遮阳、外遮阳和两层玻璃之间设置遮阳,其中外遮阳形式可将太阳辐射反射出去,对减少室内过热很有好处。如国家游泳中心“水立方”就是通过在膜做成的气枕表面镀上银点,将太阳辐射反射出去。
7.0.6 采光与照明控制应符合下列规定:
1 对于有天然采光的场所,宜采用与采光相关联的照明控制系统;
2 控制系统应根据室外天然光照度变化调节人工照明,调节后的天然采光和人工照明的总照度不应低于各采光等级所规定的室内天然光照度值。
条文说明
7.0.6 随着对采光与照明节能的重视,各种照明控制系统相继推出,控制方式多样,自动化程度很高。本标准对感应器的布置方式只作出了原则规定,对实际工程可根据具体情况设置。
7.0.7 在建筑设计阶段评价采光节能效果时,宜进行采光节能计算。可节省的照明用电量宜按下列公式进行计算:

式中:Ue——单位面积上可节省的年照明用电量(kWh/m2·年);
A——照明的总面积(m2);
We——可节省的年照明用电量(kWh/年);
Pn——房间或区域的照明安装总功率(W);
tD——全部利用天然采光的时数(h),可按本标准附录E中表E.0.1取值;
t′D——部分利用天然采光的时数(h),可按本标准附录E中表E.0.2取值;
FD——全部利用天然采光时的采光依附系数,取1;
F′D——部分利用天然采光时的采光依附系数,在临界照度与设计照度之间的时段取0.5。
条文说明
7.0.7 对于整栋建筑物而言,采光节能应纳入整个照明节能的一部分,本标准参照欧洲标准,提出了本标准采用的采光节能计算方法。
附录A 中国光气候分区
附录A 中国光气候分区
条文说明
在我国缺少照度观测资料的情况下,可以利用各地区多年的辐射观测资料及辐射光当量模型来求得各地的总照度和散射照度。根据我国273个站近30年的逐时气象数据,并利用辐射光当量模型,可以得到典型气象年的逐时总照度和散射照度。根据逐时的照度数据,可得到各地区年平均的总照度,从而可绘制我国的总照度分布图(图4),并根据总照度的范围进行光气候分区。从气候特点分析,它与我国气候分布状况特别是太阳能资源分布状况也是吻合的。天然光照度随着海拔高度和日照时数的增加而增加,如拉萨、西宁地区照度较高;随着湿度的增加而减少,如宜宾、重庆地区。

图4 中国光气候资源分布图
注:图中标注的单位为klx。
A.0.1 中国的光气候分区可按图A.0.1确定。

A.0.2 各主要城市的光气候分区可按表A.0.2确定。
表A.0.2 光气候分区表





附录B 窗的不舒适眩光计算
附录B 窗的不舒适眩光计算
条文说明
本方法是在各个国家对窗的不舒适眩光研究的基础上,由英国和美国对不舒适眩光提出的计算公式。法国、英国和比利时依据上述公式对窗的眩光进行了研究。利用该公式可预定采光的不舒适眩光。同时还研究了不同的天空亮度、窗的形状和大小以及背景亮度对不舒适眩光的影响。研究表明,当天空亮度、房间大小和室内反射比一定时,GI值为一常数。试验结果还证实了对于同一评价等级采光的眩光指数要高于照明眩光指数,当采光眩光指数DGI值在28以下时,两者之间的关系可用下式表示。
DGI=2/3(IESGI+14) (3)
同样,我国对窗的不舒适眩光也进行了系统的实验研究,即“窗不舒适眩光的研究”,包括窗亮度和窗尺寸对眩光的影响、窗大小和形状对眩光的影响、背景亮度对眩光的影响以及天然光和人工光的不舒适眩光的比较,得出了一组关系曲线。同时还引入了无眩光舒适度的概念,建立了窗亮度、窗的不舒适眩光指数和窗无眩光舒适度之间的关系曲线,进一步证实了这一眩光计算方法的适用性。窗的不舒适眩光一般需要采用计算机软件进行计算。
B.0.1 窗的不舒适眩光指数(DGI)可按下列公式进行计算。

p=exp[(35.2-0.31889α-1.22e-2α/9)10-3β+(21+0.26667α-0.002963α2)10-5β2] (B.0.1-4)
式中:Gn——眩光常数;
Ls——窗亮度,通过窗所看到的天空、遮挡物和地面的加权平均亮度(cd/m2);
Lb——背景亮度,观察者视野内各表面的平均亮度(cd/m2);
ω——窗对计算点形成的立体角(sr),(图B.0.1);
Ω——考虑窗位置修正的立体角(sr);
p——古斯位置指数;
α——窗对角线与窗垂直方向的夹角(图B.0.1);
β——观察者眼睛与窗中心点的连线与视线方向的夹角,(图B.0.1)。

图B.0.1 窗的不舒适眩光计算的各角度示意图
附录C 采光计算方法
附录C 采光计算方法
C.0.1 侧面采光典型条件下的采光系数平均值可按表C.0.1确定。
表C.0.1 侧面采光采光系数平均值

条文说明
C.0.1 侧面采光系数平均值计算:用表格的方式给出了典型条件下的采光系数平均值计算结果,其他条件下的采光系数平均值需要按照标准提供的公式(6.0.2-1)及附录D提供的计算参数进行计算。
C.0.2 顶部采光典型条件下的窗洞口面积可按图C.0.2-1和图C.0.2-2确定。
图C.0.2-1 顶部采光计算图(a)

注:计算条件:采光系数C′=1%;总透射比τ=0.6;反射比:顶棚ρp=0.80,墙面ρq=0.50,地面ρd=0.20。

图C.0.2-2 顶部采光计算图(b)
注:计算条件:采光系数C′=1%;总透射比τ=0.6;反射比:顶棚ρp=0.80,墙面ρq=0.50,地面ρd=0.20。
条文说明
C.0.2 顶部采光系数平均值计算:本标准给出的计算图表是参照人工照明的概算图表法建立起来的,主要是在已知被照面积的情况下能够根据窗的安装高度很容易查找出总的开窗面积,从而求出窗地面积比。其他条件下的开窗面积和窗地面积比可根据标准提供的公式(6.0.2-8)和附录C提供的图表推算。图C.0.2-1和图C.0.2-2是在典型计算条件下计算得到的。
导光管采光系统计算采用人工照明常用的流明法(或利用系数法),独特的光学特性使得流明法更适合导光管系统的计算。由于光学技术的运用,使得导光管采光系统除了具有采光的性能以外,还具有了灯具的某些光特性,比如可以提供配光曲线,进行照度计算等。同时从工程应用情况来看,该方法的计算结果更接近于实际测量值,适用性更强。
附录D 采光计算参数
附录D 采光计算参数
条文说明
本附录所列采光计算参数适用于各种天然采光计算方法,各系数值是通过调查研究和科学实验,经分析汇总确定的。
采光材料透射比和反射比是根据实验室和现场测量确定的。透光材料中的玻璃和塑料是根据对国内主要的生产厂商提供的样本数据分析汇总,并经实测验证得到的。根据当前节能的要求,在选择材料时需要综合考虑其光热性能,标准提出了光热比的概念,给出的性能参数既考虑了较好的采光性能,也兼顾了遮阳性能,以方便设计人员使用。随着近年来各种新材料和新产品的大量采用,在采光计算参数中补充了一些新的材料,比如一些特殊的高反光材料和导光管采光系统。饰面材料共有30余个品种400余件。利用光电光度计测定各系数,共取得1600余个数据。按材料的品种、规格分别加权平均后得到样品各参数的平均值。此外,部分墙、地面材料的反射比是通过对全国几十个工厂101个车间的现场调查测定数据,经归类加权平均后整理得出的。如混凝土地面的反射比,就是由58个车间的测定值加权平均后得出的。
窗结构挡光折减系数和室内结构挡光折减系数是根据我国现行的建筑标准设计图,选择具有代表性的钢窗、木窗、桁架、吊车梁等构件,在人工天空内进行模型试验后得出的。模型比例为1/4~1/30。随着建筑构造的新发展,本标准还考虑了铝窗、塑料窗、网架等构件的遮挡。
窗玻璃污染折减系数主要是通过现场调查、结合模型试验确定的。现场调查了95个不同类型的房间。根据现场测出的污染玻璃的透射比和未污染玻璃的透射比算出污染折减系数。
分析各种房间污染情况,将房间按污染程度分为三大类,以工业建筑为例(表50)。
表50?房间污染程度分类

窗玻璃不同装置角度的污染折减系数的试验是在北京第一机床厂进行的,这个试验用装有三种不同角度(水平、45°倾斜和垂直)玻璃的模型箱放置在污染程度不同的两个厂房内和室外屋顶,经过9个月时间测出其污染折减系数。结果是水平玻璃污染最严重,而45°倾斜次之。
南方多雨地区,水平天窗污染不是特别严重,所以暂将南方多雨地区(一般指长江以南)水平天窗污染折减系数按倾斜天窗的数值选取。
D.0.1 建筑玻璃的光热参数值可按表D.0.1取值。
表D.0.1 建筑玻璃的光热参数值


注:1 遮阳系数=太阳能总透射比/0.87;
2 光热比=可见光透射比/太阳能总透射比。
D.0.2 透明(透光)材料的光热参数值可按表D.0.2取值。
表D.0.2 透明(透光)材料的光热参数值

D.0.3 常用反射膜材料的反射比可按表D.0.3取值。
表D.0.3 常用反射膜材料的反射比ρ值

D.0.4 导光管系统的光热性能参数可按表D.0.4取值。
表D.0.4 导光管系统光热性能参数

注:1 表中数值为某些特定型号导光管系统的实测值。
2 导光管系统的系统效率可用透光折减系数Tr表示。
D.0.5 饰面材料的反射比可按表D.0.5取值。
表D.0.5 饰面材料的反射比ρ值


D.0.6 窗结构的挡光折减系数可按表D.0.6取值。
表D.0.6 窗结构的挡光折减系数τc值

注:表中塑料窗含塑钢窗、塑木窗和塑铝窗。
D.0.7 窗玻璃的污染折减系数可按表D.0.7取值。
表D.0.7 窗玻璃的污染折减系数τw值

注:1 τw值是按6个月擦洗一次窗确定的。
2 在南方多雨地区,水平天窗的污染系数可按倾斜窗的τw值选取。
D.0.8 室内构件的挡光折减系数可按表D.0.8取值。
表D.0.8 室内构件的挡光折减系数τj值

D.0.9 井壁的挡光折减系数可按图D.0.9取值。

图D.0.9 井壁挡光折减系数
D.0.10 采光罩的距高比可按表D.0.10取值。
表D.0.10 推荐的采光罩距高比

注:W·I—光井指数;W—采光口宽度(m);L—采光口长度(m);H—采光口井壁的高度(m);D—圆形采光口直径(m)。
附录E 采光节能计算参数
附录E 采光节能计算参数
E.0.1 各类建筑全部利用天然光时数tD应符合表E.0.1的规定。
表E.0.1 各类建筑全部利用天然光时数tD(h)

注:1 全部利用天然光的时数是指室外天然光照度在设计照度值以上的时间。
2 表中的数据是基于日均天然光利用时数计算的,没有考虑冬夏的差异,计算时应按实际使用情况确定。
条文说明
E.0.1 通过对我国各地区的光气候数据进行统计分析,可得到各光气候区完全利用天然采光和部分利用天然采光的时数,如表51所示。
表51 各光气候区的天然光利用时数

注:1 全部利用天然采光的时数为室外照度高于室外设计照度的时间段。
2 部分利用天然采光的时数为室外照度处于临界照度和设计照度之间的时段。
全部利用天然采光的采光依附系数是指在室外设计照度以上场所可全部依靠天然采光的系数,取值为1。
不同的建筑类型在使用时间上有差异,比如需要考虑上下班时间,节假日等。各类建筑全年的使用时间调查结果如表52所示。
表52 各类建筑全年使用时间

根据各采光等级的光气候数据和各类建筑的作息时间,确定每天可利用的天然光时数,与使用天数相乘,可得到各类建筑全年全部利用天然光的时数和部分利用天然光的时数,如本标准表E.0.1和表E.0.2所示。
需要注意的是,由于上述数据是基于日均天然光利用时数的计算结果,没有考虑冬夏的差异,冬天的利用时间短,而夏天虽然利用时间长,但可能部分时间不在建筑使用的有效时间段内,同时不同的城市之间也有较大的差异。各城市全部利用天然光的实际时数需要根据全年逐时的光气候数据以及不同类型建筑的作息时间,经计算得到。典型城市全部利用天然光的时数如表53所示。
表53?不同光气候区典型城市全部利用天然光时数tD(h)

注:拉萨地区的上下班时间推迟1小时。
E.0.2 各类建筑部分利用天然光时数t′D应符合表E.0.2的规定。
表E.0.2 各类建筑部分利用天然光时数t′D(h)

注:部分利用天然光的时数是指设计照度和临界照度之间的时段。
条文说明
E.0.2 部分利用天然光时数是指在此时段内不完全依靠天然采光进行照明的时间。室外天然光设计照度和室外临界照度之间的时间段,因室外天然光照度高于临界照度时,就可利用天然光,不足部分由人工照明补充。由于低于临界照度需要完全采用人工照明,高于设计照度可完全利用天然采光,因此,处于两照度之间的时段可视为平均开启一半照明,采光依附系数取值为0.5。
各城市部分利用天然光的实际时数需要根据各城市实际的光气候数据,经计算得到。各光气候区典型城市部分利用天然光时数如表54所示。
表54?不同光气候区典型城市部分利用天然光时数t′D(h)

本标准用词说明
本标准用词说明
1 为便于在执行本标准条文时区别对待,对要求严格程度不同的用词说明如下:
1)表示很严格,非这样做不可的用词:
正面词采用“必须”,反面词采用“严禁”;
2)表示严格,在正常情况下均应这样做的用词:
正面词采用“应”,反面词采用“不应”或“不得”;
3)表示允许稍有选择,在条件许可时首先应这样做的用词:
正面词采用“宜”,反面词采用“不宜”;
4)表示有选择,在一定条件下可以这样做的,采用“可”。
2 条文中指明应按其他有关标准执行的写法为:“应符合……的规定”或“应按……执行”。
引用标准名录
引用标准名录
1 《采光测量方法》GB/T 5699
