Appearance
《城市消防站建设标准》建标152-2017
🗓️ 住房和城乡建设部 实施时间:2017
第一章总则
第一条 为适应我国经济建设和社会发展的需要,提高城市消防站(以下简称“消防站”)项目决策和工程建设的科学管理水平,增强城市抗御火灾和应急救援的能力,根据《中华人民共和国城乡规划法》和《中华人民共和国消防法》等法律规定,制定本建设标准。
第二条 本建设标准是合理确定城市消防站项目建设规模及水平的国家标准,是编制消防规划和评估、审批消防站建设项目建议书、可行性研究报告和初步设计的重要依据,也是对建设全过程监督检查的尺度。
第三条 本建设标准适用于城市新建和改、扩建的消防站项目,其他消防站的建设可参照执行。对有特殊功能要求的消防站建设,可单独报批。
第四条 消防站的建设应纳入当地国民经济社会发展规划、城乡规划以及消防专项规划,由各级政府负责组织实施。
第五条 消防站的建设应遵循利于执勤战备、安全实用、方便生活等原则。
第六条 消防站的建设除应执行本建设标准外,尚应符合国家现行有关标准、规范的规定。
条文说明
第一章 总则
第一条 本条阐述了制定《城市消防站建设标准》的目的。
城市消防站担负着扑救火灾和抢险救援的重要任务,是城市消防基础设施的重要组成部分。2011年11月由公安部修订,原建设部、国家发展改革委批准的《城市消防站建设标准(修订)》(以下简称“原建设标准”)正式颁布实施。原建设标准实施以来,在推动城市消防站建设方面发挥了积极的作用,部队装备建设发生了日新月异的变化。从近年来消防站规划建设情况看,消防站的规划布局和站体建设往往难以满足建设标准要求,特别是一些老城区和中心城区,因道路拥堵,使得消防队难以在5min内到达火场,而要在这些地区增建标准型消防站,因用地紧张很难实现。为加快消防队第一出动到场时间,适应快速扑救火灾的实际需要,依据《中华人民共和国城乡规划法》和《中华人民共和国消防法》,在充分调研论证的基础上,对原建设标准进行了部分修改,增加了小型站,优化了车辆配备,拓展了灭火、抢险救援和防护装备的选配范围,适度调整了消防站个别用房的使用面积,提高了建设投资水平,为保障消防站正常的执勤和生活秩序,满足社会和人民群众消防安全需求提供必要的条件。
第二条 本建设标准是指导城市消防站建设的国家标准,它在技术、经济和管理上对消防站建设项目起宏观控制作用,具有较强的政策性和实用性。本建设标准的作用是指导各地编制消防规划,使消防站建设项目的评估和审批等前期工作有所遵循,为建设实施提供监督检查的尺度。
第三条 本条规定了本建设标准的适用范围。本建设标准适用于建设在城乡规划区内、由政府统一投资和管理的各类消防站,或由民间集资兴建、政府统一管理的多种形式的消防站。本建设标准所称的其他消防站包括企业消防站、民办消防站等。对于一些有特殊功能需求的消防站,如航空消防站、水上消防站、搜救犬消防站、轨道消防站等,可根据消防站的类别、功能、装备、用房需求,单独申请报批。
第四条 《中华人民共和国城乡规划法》第四条规定:“制定和实施城乡规划,应当遵循城乡统筹、合理布局、节约土地、集约发展和先规划后建设的原则,改善生态环境,促进资源、能源节约和综合利用……并符合区域人口发展、国防建设、防灾减灾和公共卫生、公共安全的需要”。《中华人民共和国消防法》第八条也明确规定:“地方各级人民政府应当将包括消防安全布局、消防站、消防供水、消防通信、消防车通道、消防装备等内容的消防规划纳入城乡规划,并负责组织实施”。根据上述要求,本建设标准规定消防站的建设应纳入当地国民经济社会发展规划、城乡规划以及消防专项规划,由各级政府负责实施。
第五条 本条规定了消防站建设的基本原则。消防站的类别、功能、消防车辆与人员配备、训练内容都直接影响着消防站的建设标准,同时,消防站是城市重要的防灾减灾基础设施,应保障消防队快速出动,还要考虑方便消防员日常生活和执勤训练,确保安全实用,以更好地完成灭火和应急救援任务。
第六条 本条阐明了本建设标准与其他现行有关标准、定额、指标之间的关系。消防站工程项目的建设涉及的专业较多,如城市规划、城市防灾、工程水文地质、环保卫生、交通、供电供水、城市基础消防设施和消防装备的技术性能等,因此,除执行本建设标准外,尚应符合国家现行的有关标准、规范和定额指标的规定。
第二章建设规模与项目构成
第七条 消防站分为普通消防站、特勤消防站和战勤保障消防站三类(以下简称普通站、特勤站和战勤保障站)。
普通消防站分为一级普通消防站、二级普通消防站和小型普通消防站(以下简称一级站、二级站、小型站)。
第八条 消防站的设置应符合下列规定:
一、城市必须设立一级站。
二、城市建成区内设置一级站确有困难的区域,经论证可设二级站。
三、城市建成区内因土地资源紧缺设置二级站确有困难的下列地区,经论证可设小型站,但小型站的辖区至少应与一个一级站、二级站或特勤站辖区相邻:
1.商业密集区、耐火等级低的建筑密集区、老城区、历史地段;
2.经消防安全风险评估确有必要设置的区域。
四、地级及地级以上城市以及经济较发达的县级城市应设特勤站和战勤保障站。
五、有任务需要的城市可设水上消防站、航空消防站等专业消防站。
第九条 消防站车库的车位数应符合表1的规定。

注:小型站车库的车位数不含备用车位,其他消防站车库的车位数含1个备用车位。在条件许可的情况下,车位数宜优先取上限值。
第十条 消防站建设项目由场地、房屋建筑和装备等部分构成。
消防站的场地主要是指室外训练场、道路、绿地等。战勤保障站还包括自装卸模块堆放场。
消防站的房屋建筑包括业务用房、业务附属用房和辅助用房,各类用房的分类与建设要求见表2。


注:表中▲为必建,△为选建。
消防站的装备由消防车辆(船艇、直升机)、灭火器材、灭火药剂、抢险救援器材、消防员防护装备、通信器材、训练器材、战勤保障器材,以及营具和公众消防宣传教育设施等组成。
第十一条 水上消防站、航空消防站等专业消防站应有供消防船艇靠泊的岸线或供直升机起降的停机坪,其场地、码头、停机坪、房屋建筑等建设标准参照国家有关规定执行,装备的配备应满足所承担任务的需要。
第十二条 消防站的建筑用房面积、装备配备数量及投资估算应与其配备的消防员数量相匹配。其中一个班次同时执勤人数,一级站可按30人~45人估算,二级站可按15人~25人估算,小型站可按15人估算,特勤站可按45人~60人估算,战勤保障站可按40人~55人估算。
条文说明
第二章 建设规模与项目构成
第七条 城市消防站的正确分类关系到消防站的建设规模、装备水平以及灭火与应急救援的能力。
按照业务类型,将消防站分为普通站、特勤站和战勤保障站三类,普通站划分为一级站、二级站和小型站。这种分类方式既符合我国城市消防站发展的需要,也适应消防部队完成各项消防保卫任务和履行抢险救援职责的要求。
城市的核心地区,因建筑密集、道路拥堵等各种因素,使得消防队难以在5min内到达火场,而要在这些地区建设一级站或二级站,因用地紧张很难实现。因此,为加快消防队第一出动到场时间,适应快速扑救火灾的实际需要,有必要设立小型站。小型站属于普通站的一种形式,具有独立辖区。
第八条 普通站是城市扑救火灾和处置灾害事故的主体,在消防保卫实践中发挥着决定性的作用,各地在城市总体规划中,都围绕一级站的建设进行规划布局。为满足灭火救援的需要,所有城市必须设立一级站。
部分城市为解决原有消防站布局过疏、辖区面积过大的问题,在建成区内繁华商业区、重点保卫目标等特殊区域设立一级站确有困难的情况下,要结合总体规划布局,经过认真的调查论证,可设立二级站。论证的组织机构一般由出资或审批消防站建设的相应层级政府的规划、建设、发改、财政和消防部门共同组成,并由其中一家牵头,邀请同行或社会专家共同参与,或委托具有相关资质的社会专业机构进行。
对于设置二级站条件也不具备的商业密集区、耐火等级低的建筑密集区或老城区、历史地段,在专项论证的基础上才可设置小型站。为避免以小型站来取代一级站、二级站,或在大范围区域内全部设置小型站,将小型站的建设范围限定在城市建成区中的一些特定区域。考虑到小型站的车辆装备少,灭火力量有限,灭火时还需要周围其他消防站增援,因此,对于区域内是否可以设置小型站,还需要对区域火灾风险,应急响应时间,周边是否驻有一级站、二级站或特勤站等多方面进行研究论证,以确保小型站的规划建设符合灭火救援的实际需要。
第九条 消防站所配备的消防车数量是确定其建设规模的主要因素。随着社会经济的快速发展,消防队伍服务经济社会职能的不断拓展,消防部队还将陆续配备一定数量的消防车,用于医疗急救和危险化学品泄漏、建(构)筑物倒塌、空难、重大交通事故等,以及地震、水灾、风灾等灾害事故抢险救援和恐怖破坏及其次生灾害的处置。另一方面,消防站建设还应当考虑车辆的维修保养,需要专门的车辆修理间。因此,消防站车库应留有备用车位,以满足增配车辆停放需要或停放消防摩托车。鉴于小型消防站主要是为了满足老城区和中心城区等用地紧张、标准型消防站难以落地的现实问题,建设面积不宜过大,故小型消防站一般不考虑设置备用车位。
战勤保障站车位数依据其应急保障车辆配备数量确定。
第十条 场地、房屋建筑和装备是构成消防站建设项目的基本要素,规划和设计消防站时应充分考虑这些要素。
消防站的场地主要包括消防员进行体能、技能训练的室外场地,消防车行驶道路和回车场地,消防站内绿化用地,以及自装卸模块堆放场地。
建设小型站主要是基于城市用地紧张的现实情况,因此,在确定小型站的各类用房时,主要考虑执勤备战所需的消防车库、通信室、体能室、器材库、研讨室和备勤室等执勤备战所需的基本用房,其他功能用房,如训练塔、训练器材库、被装营具库、器材修理间、呼吸器充气室、图书阅览室、会议室、俱乐部等功能用房列为选建项目。
第十一条 水上和航空消防站的建设与常规消防站不同,其场地、码头、停机坪和房屋建筑等建设标准可参照国家有关规定执行。为水上消防站配备装备时,可结合水域灾害事故的特点,重点配备消防船艇、冲锋舟、浮艇泵、潜水装具等水域救援装备。城市中有河流、湖泊、海域等水上重点保卫对象时,在沿岸靠近辖区消防站部位还应设供消防艇靠洎的岸线。消防船可配拖消两用船只,吨位可根据需要自行确定,其他救生和灭火的各种辅助器材可根据需要配备。航空消防站的装备配备可参照国内外有关标准,应有供直升机起降的停机坪,满足高空、陆(山)地等灭火救援任务的需要,重点考虑救人、侦察、摄像以及特定条件下的灭火行动,其他辅助设备和器材的配备可根据需要确定。
第十二条 消防站的人员数量主要用作建筑面积、用地面积、装备数量、投资估算等相关内容的测算依据。
消防站人员由执勤人员和其他人员组成,执勤人员按各站所配车辆平均每车6人计算。实践证明,这种人员配备能够满足整车的灭火救援能力,有效地增加了灭火救援出动车辆数,延长了执勤轮班周期,符合实际灭火救援的需要,起到了减员增效的作用。考虑到执勤人员要有一定量的机动和事、病假人员,所以,一个班次执勤人员以所配车辆平均每车6人进行计算。这里所指的一个班次人员编配标准,不仅指现役编制的公安消防队,还包括多种形式的消防队伍。如果是三班制、四班制的消防站,其人员配备可扩大3~4倍。消防站执勤人员之外的其他人员按照公安消防部队编制序列和其他有关规定执行。
为了满足消防站执勤工作的需要,综合考虑灭火和应急救援需要,一般一个班次同时执勤人数,一级站按30人~45人配备,二级站按15人~25人配备,小型消防站按15人配备,两个战斗班编制,特勤站按45人~60人配备。在此基础上,各地可根据情况适当调整,但不得减少执勤人数。
战勤保障站的人员配备,根据《关于颁发<公安消防部队总队以下单位编制方案>的命令》(公政治[2010]239号)和执行战勤保障任务的需要确定。战勤保障站一般下设技术保障、生活保障、卫勤保障、物资保障和社会联勤保障5个分队,按照每个分队平均8人~11人计算,战勤保障站编配40人~55人。
根据一个班次同时执勤人数的数量,本建设标准在车位数、车辆数、建筑用房面积、装备配备数量、投资估算等指标方面,都存在一些区间数取值规定,鉴于当前我国大多数城市的消防站规划建设在数量上存在不足的现象,为充分利用好现有消防站、保障现有消防站能实现最大的战斗能力和训练条件,在具体计算、估算和规划建设消防站时,如当地条件允许,宜优先取上限值。但对于容积率指标,宜优先取下限值。
第三章规划布局与选址
第十三条 消防站的布局一般应以接到出动指令后5min内消防队可以到达辖区边缘为原则确定。
第十四条 消防站的辖区面积按下列原则确定:
一、设在城市的消防站,一级站不宜大于7k㎡,二级站不宜大于4k㎡,小型站不宜大于2k㎡,设在近郊区的普通站不应大于15k㎡。也可针对城市的火灾风险,通过评估方法确定消防站辖区面积。
二、特勤站兼有辖区灭火救援任务的,其辖区面积同一级站。
三、战勤保障站不宜单独划分辖区面积。
第十五条 消防站的选址应符合下列规定:
一、应设在辖区内适中位置和便于车辆迅速出动的临街地段,并应尽量靠近城市应急救援通道。
二、消防站执勤车辆主出入口两侧宜设置交通信号灯、标志、标线等设施,距医院、学校、幼儿园、托儿所、影剧院、商场、体育场馆、展览馆等公共建筑的主要疏散出口不应小于50m。
三、辖区内有生产、贮存危险化学品单位的,消防站应设置在常年主导风向的上风或侧风处,其边界距上述危险部位一般不宜小于300m。
四、消防站车库门应朝向城市道路,后退红线不宜小于15m,合建的小型站除外。
第十六条 消防站不宜设在综合性建筑物中。特殊情况下,设在综合性建筑物中的消防站应自成一区,并有专用出入口。
第十七条 各类消防站的建设用地应根据建筑要求和节约用地的原则确定。建筑宜为低层或多层,容积率宜为0.5~0.6,绿地率应符合当地城市规划行政部门的相关规定,机动车停车应符合当地城市行政管理部门的相关规定。小型消防站容积率可取0.8~0.9,如绿化用地难以保证时,容积率宜控制在1.0~1.1。在条件许可的情况下,本建设标准中的容积率宜优先选取下限值。
第十八条 消防站建设用地应能满足业务训练的需要。对建设用地紧张且难以达到标准的城市,可结合本地实际,集中建设训练场地或训练基地,以保障消防员开展正常的业务训练。
条文说明
第三章 规划布局与选址
第十三条 本条提出的是消防站布局应当遵循的一般原则,是按照接到出动指令后5min内消防队可以到达辖区边缘的要求确定的。
5min时间是由15min消防时间得来的。根据火灾发展过程一般可以分为初起、发展、猛烈、下降和熄灭五个阶段,以一般固体可燃物着火后,在15min内火灾具有燃烧面积不大、火焰不高、辐射热不强、烟和气体流动缓慢、燃烧速度不快等特点,房屋建筑火灾15min内尚属于初起阶段。如果消防队能在火灾发生的15min内开展灭火战斗,将有利于控制和扑救火灾,否则火势将迅速蔓延,造成严重的损失。
15min的消防时间分配为:发现起火4min、报警和指挥中心处警2.5min、接到指令出动1min、行车到场4min、开始出水扑救3.5min。
从国外一些资料来看,美国、英国的消防部门接到指令出动和行车到场时间也在5min左右,日本规定为4min,也基本与我国规定的5min原则吻合。
所以,综合考虑我国各城市的实际情况,以消防队从接到出动指令起5min内到达辖区最远点为城市消防站布局的一般原则,是较为合适的。
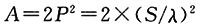
第十四条 本条规定了各类消防站的辖区面积。它是根据消防车到达辖区最远点的距离、消防车时速和道路情况综合确定的。根据对北京、上海、沈阳、广州、武汉、重庆等23个城市实际测试结果,并考虑我国城市道路的实际状况,按消防站辖区面积计算公式确定辖区面积。
消防站辖区面积计算公式:

式中:A——消防站辖区面积(k㎡);
P——消防站至辖区最远点的直线距离,即消防站保护半径(km);
S——消防站至辖区边缘最远点的实际距离,即消防车4min的最远行驶路程(km);
λ——道路曲度系数,即两点间实际交通距离与直线距离之比,通常取1.3~1.5。
按照公式计算,根据上海、内蒙古的部分城市在不同时段消防车的实际行车测试,并考虑到我国城市道路系统大多是方格式或自由式的形式,得出消防车平均时速为30km~35km,道路曲度系数取1.3~1.5,得出消防站辖区在3.56k㎡~6.28k㎡之间,即4k㎡~7k㎡。
近年来,虽然我国的道路交通情况有所改善,但同时路上行驶的车辆也相应增加,致使消防车车速难以提高。所以,综合我国目前的实际情况,并考虑消防站的分类,确定作为保卫城市消防安全主要力量的一级站的辖区面积不宜大于7k㎡,兼有辖区消防任务的特勤站辖区保护面积同一级站,同一辖区内一般不再另设一级站。城市建成区内由于设置一级站确有困难而建设二级站的,其辖区面积不宜大于4k㎡。
小型站装备配备、人员配备有限,主要解决快速出动、快速响应要求。由于小型站多位于城市中心区,鉴于消防车平均时速更加缓慢的实际情况,所以辖区面积不能太大,要小于二级站的辖区面积,定为2k㎡。现阶段区域风险评估方法和消防站布局规划评估方法已相对成熟,较多地区已经开展了这项工作,未来消防站的布局应以响应时间作为第一核心指标,应逐步推动我国消防站布局从“面积确定法”向“响应时间确定法”过渡。
城市近郊区是指城市行政管辖的郊区或根据城市规划需要扩大的郊区,近郊区以及城市行政区域内其他因城市建设和发展需要实行规划控制区域的普通站辖区面积,基于以下考虑:
1.根据现行国家标准《城市道路交通规划设计规范》GB 50220的规定,在城市郊区和市郊接合部的快速路的设计行车速度一般不低于60km/h,综合考虑实际状况,按照60km/h的消防车车速计算,道路曲度系数取1.5,得出辖区面积约为15k㎡。
2.统计分析了上海市近年来8月~10月的公路网行车平均速度,在综合考虑交通状况下,得出消防车在近郊区的平均行车速度为55km/h,4min的最远行驶路程为3.67km,辖区面积应为15.9k㎡。
3.经走访上海、贵州、湖北、广西、内蒙古、吉林等6个总队的基层单位,认为近郊区消防站的辖区面积应考虑适当放宽,建议将近郊区等消防站的辖区面积确定为15k㎡左右。
综上所述,将近郊区的消防站辖区面积确定为不大于15k㎡。
针对城市的火灾风险,通过风险评估确定消防站的辖区范围是当今国内外消防站规划布局的一种新方法。主要考虑如下:
1.英、美、德等发达国家,针对火灾风险的不同,确定不同的消防车行车到场时间,结合规划区内交通道路、行车速度、地形地貌、消防站布局现状以及当地经济发展等因素,通过风险评估提供优化方案,为确定消防站的数量、位置和辖区范围提供依据。
2.我国在“十五”期间就开始了对城市火灾风险评估和消防应急救援能力的优化方法研究,研究成果已经在厦门、杭州、无锡等地进行了实际应用,并取得了较好的效果。
因此,有条件的城市也可针对城市的火灾风险,通过评估方法合理确定消防站保护面积。
战勤保障站主要承担本城市范围内灭火救援的应急保障任务,消防车辆配备和物资储备与保障任务相匹配。为强化战勤保障站的保障功能,战勤保障站不宜单独划分辖区面积。
第十五条 本条规定了消防站的选址条件。
一、本款主要考虑三个方面的要求。首先,消防站设在辖区内适中位置是为了当辖区最远点发生火灾时,消防队能够迅速赶到现场,及早进行扑救;其次,消防站设在临街地段,是为了保证消防队在接到出动指令后,能够迅速安全地出动;第三,消防站尽量布置在城市应急救援通道上,有利于其出警发挥作用。
二、本款规定消防站执勤车辆主出入口两侧应设置可控交通信号灯、标志、标线等,提前警示驾驶员,保障快速、安全出警。消防站执勤车辆主出入口距人员密集的公共场所不应小于50m,主要是为在接警出动和训练时不致影响医院、学校、幼儿园、托儿所等单位的正常活动,避免因发出警报引起惊慌造成事故。同时,也是为了防止人流集中时影响消防车迅速安全地出动,贻误灭火救援战机。
三、本款规定消防站应处于生产、贮存危险化学品单位上风向或侧风向,且距离危险部位不宜小于300m,主要是为了保障消防站的安全和消防员的健康。事实上,以前曾发生过因辖区内危险化学品发生事故,从而造成消防队员中毒受伤的情况。天津港“8·12”瑞海公司危险品仓库特别重大火灾爆炸事故和漳州古雷“4·6”爆炸着火事故,位于园区附近的消防站都受到了爆炸影响,故此次修订将消防站距危险部位的距离调整为300m。
四、根据现行国家标准《汽车、挂车及汽车列车外廓尺寸、轴荷及质量限值》GB 1589的规定,我国汽车、挂车外廓尺寸的最大限值车身最长为18m,考虑到近年来我国的消防车辆种类和质量都发生了较大的变化,大型消防车车长已达到15.9m,又通过对上海近十年建造的消防站的调研,其车库门至道路红线距离均不小于15m,且实际使用效果较好。因此,将后退红线距离定为不宜小于15m,以保证出车时视线良好,便于消防车迅速出动和回车时有一定的倒车场地,不致影响行人和车辆的交通安全。鉴于合建的小型站利用已有的建筑,很难满足15m后退红线的要求,故不做硬性规定。
第十六条 本条主要考虑消防站作为灭火救援执勤备战单位,日常消防员的执勤、训练、学习、生活都应该相对独立,不受干扰,所以规定消防站不宜设在综合性建筑物中,特殊情况下需要设在综合性建筑物中的消防站,必须自成一区,并有专用的出入口,确保消防站人员、车辆出动的安全、迅速。
第十七条 本条明确了消防站建设用地的确定原则及建筑高度和容积率。
对于消防站建筑宜为低层或多层的规定,主要是为满足消防队灭火救援使用功能需要,建筑楼层低有利于消防队接警后快速出动。
本次修订按有关要求将原建设标准中的消防站建设用地面积指标改为容积率,其具体指标的确定综合考虑了典型消防站建筑调查数据、有关工程技术规范和建设标准对同类低层或多层建筑容积率的规定,以及消防站内绿化和停车用地的需求。通过分析测算,消防站容积率宜控制在0.5~0.6,对于小型消防站,充分考虑大城市用地紧张的现实情况,容积率宜控制在0.8~0.9,当绿化用地难以保证时,宜控制在1.0~1.1。
消防站的建设用地面积指标是消防站规划建设的重要指标,各地在确定消防站建设用地面积时,可采用容积率进行折算。折算后的消防站建设用地包括消防站的房屋建筑用地面积和室外训练场地、消防车回车场地、消防车出入消防站和训练场地的道路、自装卸模块堆放场等满足消防站使用功能需要的基本功能建设用地面积,以及绿化和车道等非基本功能建设用地。由于各地绿地率的规定不尽相同,各地在确定消防站建设用地时,可根据当地的有关规定执行,但必须要保证基本功能建设用地面积。本条中消防站的容积率是按照绿地率20%来估算的,如当地城市规划行政部门对绿地率的要求超过20%,容积率可相应降低。
对于各类消防站基本功能建设用地面积指标,2011版标准给出了明确规定,此次修订中,对新增的小型消防站建设用地面积进行了调研和测定。考虑到建设小型站的主要原因是大城市用地紧张,因此,在测定小型站用地面积时,仅考虑执勤备战所需的最基本用房的占地面积和基本室外场地面积,其中,基本用房的占地面积主要考虑了车库、通信室、配电室、锅炉房等用房及楼梯间等需要设置在首层的建筑。室外场地主要考虑了小型消防站必需的回车场地,以及日常消防车辆与装备器材在室外场地上进行清点检查、维护保养等的需求。
下表给出了满足消防站使用功能需要的基本功能建设用地面积指标,该指标不包括绿化和车道等非基本功能建设用地,各地在消防站规划建设时可参照执行。

本建设标准所列建设用地为建设净用地面积(不包含代征地面积)。
第十八条 特大城市在建设消防站时,因建设用地困难,达不到本建设标准规定的用地面积要求,无法满足消防人员开展日常训练的需求时,可选择消防站相对集中的区域,立足一个较大的消防站建设训练场地或专门建设用于消防业务训练和模拟实战演练的城市消防训练基地。
此外,根据《国务院办公厅关于加强基层应急队伍建设的意见》(国办发[2009]59号)的要求,对于建设在县级城市的消防站,可适当增加消防站训练场地面积,以满足本地综合性应急救援队伍集中训练和培训的需要,更好地承担综合性应急救援任务。
第四章面积指标
第十九条 消防站的建筑面积指标应符合下列规定:
一、一级站2700㎡~4000㎡。
二、二级站1800㎡~2700㎡。
三、小型站650㎡~1000㎡。
四、特勤站4000㎡~5600㎡。
五、战勤保障站4600㎡~6800㎡。
第二十条 消防站使用面积系数按0.65计算。普通站和特勤站各种用房的使用面积指标可参照表3确定。战勤保障站各种用房的使用面积指标可参照表4确定。在条件许可的情况下,本标准中的建筑用房面积宜优先取上限值。
表3 普通站和特勤站各种用房的使用面积指标(㎡)


注:小型站选建用房面积指标可参照二级站同类用房指标确定。


第二十一条 消防站的建筑、设施和场地的设计应符合现行国家标准《城市消防站设计规范》GB 51054的规定。
条文说明
第四章 面积指标
第十九条 本条规定了不同级别的消防站的建筑面积指标。
消防站的建筑面积和各种用房使用面积的确定,应坚持现实与发展相结合,消防站建设与社会进步相协调、与城市建设发展相同步的原则。确定消防站建筑面积和各种用房使用面积的重点,首先是确保消防站的消防车辆装备、灭火抢险器材、个人防护装备等所需用房面积,以及战勤保障站应急装备物资储备用房面积,确保消防员业务技能、体能训练等必需的房屋、设施面积,其次是消防员执勤备战所需的居住、生活等用房面积。
小型站的总建筑面积是按照表3中各类消防站用房的使用面积总和除以0.65使用系数计算而来的,并按照其他消防站下限值向下逢50、100取整,上限值向上逢50、100取整的原则确定。
第二十条 本条规定了消防站建筑面积和各种用房使用面积的关系,以及消防站各种用房的使用面积指标。
建筑面积和各种用房使用面积两者紧密相连,是消防站建筑的重要控制指标。消防站的建筑面积是根据站内各种用房使用面积计算得出的。消防站属于多层建筑,参照原国家发展计划委员会《党政机关办公用房建设标准》(计投资[1999]2250号)的有关规定,多层建筑使用面积系数不应低于60%。通过调研发现,我国已建使用面积系数在0.7左右的消防站,楼梯和通道狭窄,影响消防员执勤备战和迅速出动。参照相关国家标准,综合考虑消防站的职能定位和24小时执勤备战的状况,将消防站的使用面积系数定为0.65是合适的。
消防站各种用房使用面积的确定,主要参照中央军委2009年11月修订下发的《中国人民解放军营房建筑面积标准》以及原建设部颁发的《办公建筑设计规范》JGJ 67、《宿舍建筑设计规范》JGJ 36等有关标准和规范,并综合了近年来各地消防站建设的实践经验,必须满足消防站所配备的各种消防车辆、灭火器材、抢险救援器材以及消防员防护装备的使用或存放需要;必须满足消防站人员执勤备战,生活,学习,技能、体能训练和迅速出动的需要。
小型消防站一般设置在建筑密集区,道路较窄,为满足快速出警需要,需要优先配备一车多能、结构紧凑、机动灵活、通过性好的消防车,据估算,此类结构紧凑的水罐/泡沫车和举高消防车的车库面积约为60㎡(长12m,宽5m),同时考虑衣帽架及消防员出动通道的需求,故将每个车库面积确定为60㎡~90㎡。
其他用房的使用面积主要是根据小型站配备15人的基本使用需要测算得出的,几项使用面积相加,至少需要442㎡~632㎡。
战勤保障站业务附属用房和辅助用房的面积根据人员配备和实际需要确定。
第二十一条 消防站的耐火等级、抗震要求、建筑用房、设施和场地的设计等,在现行国家标准《城市消防站设计规范》GB 51054中都做了明确规定,本建设标准不再重复。
第五章装备配备
第二十二条 普通站的装备配备应适应扑救本辖区内常见火灾和处置一般灾害事故的需要。特勤站的装备配备应适应扑救特殊火灾和处置特种灾害事故的需要。战勤保障站的装备配备应适应本地区灭火救援战勤保障任务的需要。
第二十三条 消防站消防车辆的配备应符合下列规定:
一、消防站的消防车辆配备数量应符合表5的规定。

注:在条件许可的情况下,本标准中的车辆数宜优先取上限值。
二、消防站配备的常用消防车辆品种宜符合表6的规定。
表6 各类消防站常用消防车辆品种配备标准(辆)


注:1 表中带“△”车种由各地区根据实际需要选配。
2 各地区在配备规定数量消防车的基础上,可根据需要选配消防摩托车。
三、消防站主要消防车辆的技术性能应符合表7、表8的规定。
表7 普通站和特勤站主要消防车辆的技术性能

表8 战勤保障站主要消防车辆的技术性能

第二十四条 普通站、特勤站的灭火器材配备不应低于表9的规定。
表9 普通站、特勤站灭火器材配备标准

注:分水器和接口等相关附件的公称压力应与水带相匹配。
第二十五条 特勤站抢险救援器材品种及数量配备不应低于本建设标准附录一中附表1-1至附表1-9的规定,普通站的抢险救援器材品种及数量配备不应低于本建设标准附录一中附表1-10的规定。抢险救援器材的技术性能应符合国家有关标准。
第二十六条 消防站消防员防护装备配备品种及数量不应低于本建设标准附录二中附表2-1和附表2-2的规定。防护装备的技术性能应符合国家有关标准。
第二十七条 根据灭火救援需要,可视情建设消防搜救犬队,并配备消防搜救犬,相关建设内容应参照现行行业标准《消防搜救犬队建设标准》GA/T 1150。
第二十八条 消防站通信装备的配备,应符合现行国家标准《消防通信指挥系统设计规范》GB 50313和《消防通信指挥系统施工及验收规范》GB 50401的规定。
第二十九条 消防站应设置单双杠、独木桥、板障、软梯及室内综合训练器等技能、体能训练器材。
第三十条 消防站的消防水带、灭火剂等易损耗装备,应按照不低于投入执勤配备量1:1的比例保持库存备用量。
条文说明
第五章 装备配备
第二十二条 消防站装备配备原则是根据灾害事故发生发展规律、消防队到场时间以及能够有效控制和应对灾害事故的装备实力等因素综合确定的。战勤保障站的装备配备应适应本地区灭火和应急救援战勤保障任务的需要。
第二十三条 本条规定了各类消防站的车辆配备数量,各类消防站常用消防车辆的配备标准,明确了主要消防车辆的技术性能要求。
消防车的配备数量决定着消防站的建设规模和消防站的灭火救援能力,而消防车的品种决定着消防站的执勤备战功能。本条明确了各类消防站消防车辆配备数量和常用消防车辆品种配备标准,规范了消防车辆的品种,优化和扩展了消防车的配备范围,确定了必配和选配的车辆品种,以便各地结合辖区情况选配相适应的车辆。
比功率是消防车辆核心性能指标,近年来消防站建设发展迅速,满载质量30t以上的消防车配备数量逐年增多。由于功能和在灭火救援战斗中发挥的作用不同,对不同满载质量的消防车有不同的比功率要求,现行国家标准《消防车 第1部分:通用技术条件》GB 7956.1已对不同满载质量消防车的比功率要求做出了明确规定,可更好地对配备使用的消防车辆的性能指标进行约束。
第二十四条 本条规定了普通站和特勤站灭火器材的配备标准。
第二十五条 本条规定了特勤站和普通站的抢险救援器材配备标准和性能要求。根据器材装备利用率和实用性调查,调整了部分抢险救援器材的备份数量,删除了个别不实用、不常用的器材。参照相关标准,对部分器材装备的性能指标进行了明确,进一步完善了备注内容。
各地在装备采购中,对于装备品种和数量的达标往往较为重视,而技术性能的要求容易被忽视,导致一些不符合消防专用要求的装备器材进入了消防部队,如民用救生衣、娱乐用荧光棒、民用头盔、红外热像仪、防蜂服等,针对上述问题,本次修订分别将主要用途和技术性能要求分成两列,以突出强调应符合或达到的基本技术性能指标要求。对于已有产品标准的,按相关现行产品标准执行,对于尚无产品标准的,专门单独列出关键技术性能指标要求。
第二十六条 本条规定了消防员防护装备的配备品种和数量。
从保障消防员人身安全和灭火救援实战需要出发,消防员基本防护装备配备必须优先配齐、配强。除基本防护装备外,消防员防护装备还包括特种防护装备,主要用以满足消防员执行特殊火灾扑救和抢险救援、社会救助等特殊任务时个人防护的安全需要。
此次修订重点突出了小型站防护装备的配备与一级站、二级站配备相一致的原则,作为独立建制的消防站,执行的任务相同,从防护的要求上也必须一致。
将附表2-1、附表2-2中“主要用途及性能”一列分成“主要用途”和“技术要求”两列,并且在“技术要求”中增加了部分防护装备最新颁布实施的标准或正在制、修订的标准要求(其中正在制订还未获得标准号的防护装备标准直接列出了标准名称),包括消防护目镜、消防用救生衣、消防员防蜂服等,目的是强调防护装备的技术要求必须满足相关标准的要求,确保装备的技术性能。
根据目前全国应急救援任务不断拓展的需要,尤其面对城市内涝、处置蜂巢、地震救援等任务,现行标准中配备的防护装备已不能完全满足执行任务的需要,因此提出增加用于水域救援和处置蜂巢用防护装备的品种和配备数量。一是增加了消防员水域救援防护服、水域救援头盔、水域救援漂浮救生绳等三项新装备,因为这三项装备是抢险救援中必需的防护装备,并且与现有的灭火用防护装备区别较大,不能相互替代。二是增加了消防用救生衣、潜水装具和消防员防蜂服的配备数量,将消防用救生衣和消防员防蜂服都作为普通站和小型站的必配装备。同时考虑到北方有些地区上述装备的使用频率相对较低,装备使用具有地域性差异,为避免造成装备闲置,在备注中明确没有承担相关任务的消防站可不配备这类装备。
为有效解决消防员个人通信、定位等问题,并作为基本防护装备进行配备,此次修订增加了相关装备的配备品种和数量,增加了手持电台和骨传导通话装置的配备数量,增强消防员的通信联络能力。
增加了一些使用频率高,有利于保障灭火攻坚任务顺利实施的防护装备的配备数量。一是增加防静电内衣、阻燃毛衣及降温背心的配备数量及技术要求,以满足消防员灭火作业中从内到外整体防护以及提高舒适性的要求。二是增加了内置劳动保护手套和防高温手套的配备数量,原因在于防护手套使用频率高,易损率高。
少量增加了二级消防员化学防护服、一级消防员化学防护服(全密封化学防护服)、特级消防员化学防护服和防化手套的配备数量,以增强消防员在处置危险化学品时的个人防护能力,有效应对日益增多的危险化学品事故。
消防用防坠落装备中删除了“消防Ⅰ类安全吊带”的配备,并且将原有其他两类吊带更名为“消防坐式半身安全吊带”和“消防全身式安全吊带”。主要原因在于原建设标准划分为三类安全吊带,其中Ⅰ类安全吊带用于消防员个人自救,Ⅱ类安全吊带和Ⅲ类安全吊带分别为半身安全吊带和全身安全吊带,主要用于救援。之所以进行修改,一是便于在名称上明确用途,更加简便,二是根据广泛调研,多年来消防Ⅰ类安全吊带(即自救式安全吊带)基本上没有在消防部队中进行应用,灭火作业中消防员佩戴的消防安全腰带以及轻型安全绳已经具有了自救逃生功能,而且比安全吊带使用更为便捷。新修订的《消防用防坠落装备》GA 494中也已经删除了消防Ⅰ类安全吊带这类装备,因此无论从使用方面,还是现有产品性能标准方面,都已经不再考虑消防Ⅰ类安全吊带的配备。
第二十七条 根据汶川地震、玉树地震以及舟曲泥石流特大灾害事故应急救援中积累的经验,借鉴国际消防部门的通行做法,消防部队采用消防搜救犬和生命探测仪等新的搜救手段,能以最快的速度搜寻事故现场被困人员,积极抢救人命。根据最新行业标准的内容,将搜救犬队的建设内容纳入本建设标准。
第二十八条 通信装备涉及一个城市消防通信调度指挥的通信能力。为此,公安部主编了国家标准《消防通信指挥系统设计规范》和《消防通信指挥系统施工及验收规范》,具体内容及其技术要求可参照这两个规范,本建设标准不再重复。
第二十九条 消防技能、体能训练是消防员训练的重要内容,其训练场地和体能、技能训练器材必不可少,各站可根据实际情况设置和配备。
第三十条 本条规定了易损耗装备的储备量。
消防站常用易损和易耗器材必须有一定数量的备份,否则就无法保证同时扑救两起火灾或重特大火灾的需要。同一城市、同一时间发生几起火灾的概率较高,因此灭火剂、水带等必需的器材、灭火药剂等必须有不少于1:1的储备量,有条件的消防站可适当增加水带、灭火剂的储备,以保障灭火作战的急需。
第六章主要投资估算指标
第三十一条 消防站投资估算应依据国家现行的有关规定,按照消防站的建设规模、建设标准和人员、装备配备标准确定。
第三十二条 在制定消防站建设规划与评估消防站建设项目可行性研究报告时,应结合当地物价、施工技术水平、建设工期等因素确定建筑安装工程投资估算指标。
第三十三条 消防站的车辆与各类器材的投资估算,应根据其配备、建设的标准按实际价格确定。
条文说明
第六章 主要投资估算指标
第三十一条 消防站建设投资的确定取决于建设规模的大小,建设标准的高低,编制人员的数量,车辆、器材配备的数量和性能。由于消防站的建设分布全国各地,影响建设投资的因素较多,诸如地理位置、气候条件、施工水平等。同时,由于各地区经济发展的不平衡,造成物价水平的差异较大,因此在全国范围内制定统一的投资估算标准不能实事求是地反映消防站建设的实际状况。所以,在审核消防站建设投资时,应结合当地的施工、物价和建设年代等因素,按动态管理的原则确定。
第三十二条 由于全国各地区经济发展状况和物价、施工技术水平存在很大差异,建筑安装工程投资估算指标和建设工期指标也存在较大差异。因此,本条对消防站建筑工程投资及建设工期指标未做具体明确的规定。各地在制定消防站建设规划,评估消防站建设可行性研究报告时,应根据当地的施工、物价水平和建设年代等实际情况确定其投资。消防站建筑安装工程投资指标为消防建筑、安装工程投资,不包括征地费、城市各种配套设施费、土地前期开发费、土地平整费、基础处理费和红线以内的围墙、道路、管线等室外工程及消防训练塔和场地的建设投资。
第三十三条 各地区经济发展不平衡,消防车辆和器材装备的价格国产与进口差异很大,消防站所承担的灭火救援任务又不尽相同,因此,本条对消防站的车辆与各类器材的投资指标未做具体明确的规定,各地可根据当地实际情况确定其投资。
附录一消防站抢险救援器材配备品种与数量
附表1-1 特勤站侦检器材配备标准


注:“*”表示装备由各地根据实际需要进行选配,“—”表示不做要求,后各表同。
附表1-2 特勤站警戒器材配备标准

附表1-3 特勤站破拆器材配备标准




附表1-4 特勤站救生器材配备标准




附表1-5 特勤站堵漏器材配备标准


附表1-6 特勤站输转器材配备标准

附表1-7 特勤站洗消器材配备标准


附表1-8 特勤站照明、排烟器材配备标准


附表1-9 特勤站其他器材配备标准




附表1-10 普通站抢险救援器材配备标准







附录二消防站消防员防护装备配备品种与数量
附表2-1 消防员基本防护装备配备标准





注:寒冷地区的消防员防护装备应考虑防寒需要。表中“备份比”系指消防员防护装备投入使用数量与备用数量之比,下表同。
附表2-2 消防员特种防护装备配备标准







本建设标准用词和用语说明
1 为便于在执行本建设标准条文时区别对待,对要求严格程度不同的用词说明如下:
1)表示很严格,非这样做不可的:
正面词采用“必须”,反面词采用“严禁”;
2)表示严格,在正常情况下均应这样做的:
正面词采用“应”,反面词采用“不应”或“不得”;
3)表示允许稍有选择,在条件许可时首先应这样做的:
正面词采用“宜”,反面词采用“不宜”;
4)表示有选择,在一定条件下可以这样做的,采用“可”。
2 条文中指明应按其他有关标准执行的写法为:“应符合……的规定”或“应按……执行”。
