Appearance
《城市道路路线设计规范》CJJ 193-2012
🗓️ 实施时间: 2013-03-01
总 则
1 总 则
1.0.1 为规范城市道路工程设计,合理确定路线设计技术指标,做到技术先进,安全可靠,经济合理,与城市环境相协调,制定本规范。
条文说明
1.0.1 制定规范的目的
本规范是根据修订的《城市道路工程设计规范》CJJ 37所规定的道路等级、设计速度、设计车辆、道路建筑限界、车道宽度、路线交叉分类等基本要求及其主要技术指标编制,以达到规范城市道路工程设计为目的。
1.0.2 本规范适用于新建和改建城市道路的路线设计。
条文说明
1.0.2 规范的适用范围
本规范适用于城市范围内新建和改建道路的路线设计。街坊内部道路、厂矿等专用道路不属于本规范适用范围,但可参考。
新建道路必须按照本规范进行设计。改建道路受特殊条件限制,达不到本规范规定标准时,经技术经济论证,近期工程可作合理调整,但远期工程应满足本规范的要求。
1.0.3 城市道路路线设计应根据城市总体规划、城市综合交通规划、市政专项规划,合理确定道路等级、平纵线形、横断面布置、交叉口形式等。
条文说明
1.0.3 规范的共性要求
城市道路是为城市发展服务的,它的功能是综合性的,不仅提供交通服务功能,而且提供各类市政公用管线布置空间。城市的发展目标是明确的,为实现发展目标,城市一般都有总体规划、综合交通规划,以及道路、排水、防洪等市政专项规划,设计应在规划基础上,综合考虑与道路有关的城市轨道交通、铁路、航道、河道、航空、管线、交通设施、无障碍设施以及环境保护、绿化景观等技术规定,合理确定道路路线设计方案。
1.0.4 城市道路路线设计除应符合本规范外,尚应符合国家现行有关标准的规定。
条文说明
1.0.4 执行相关标准的顺序
本规范作为城市道路工程技术标准体系中的专用标准,具体应用时除执行本规范的规定外,尚应执行城市道路工程相关标准的规定,如城市道路设计通用标准、专用标准以及相关的桥梁、隧道、排水、给水、电力、燃气、电信、防洪、铁路、轨道交通等规范。
术语和符号
2.1 术 语
2.1 术 语
条文说明
近二十多年来,随着城市道路工程建设的发展,出现了许多《道路工程术语标准》GBJ 124-88中未能定义的术语。同时,随着设计理念的更新、认识的深入,原有一些术语的定义也不尽恰当,有必要进行修订。因此,在本节中给出了认为需要对原有术语定义进行修订的术语,以及新增的术语定义。
2.1.1 快速路 expressway
采用中间分隔、全部控制出入、控制出入口间距及形式,实现连续交通流,具有单向双车道或以上的多车道,并设有配套的交通安全与管理设施的城市道路。
2.1.2 主干路 arterial road
在城市道路网中起骨架作用,连接城市各主要分区的交通性干路。
2.1.3 次干路 secondary trunk road
在城市道路网中起集散交通功能,与主干路结合组成干路网的区域性干路。
2.1.4 支路 branch road
连接次干路与居住区、工业区、交通设施等内部道路,解决局部地区交通,以服务功能为主的道路。
2.1.5 道路建筑限界 boundary line of road construction
为保证车辆和行人正常通行,规定在道路的一定宽度和高度范围内不允许有任何设施及障碍物侵入的空间范围。
2.1.6 设计交通量 design traffic volume
为确定道路车道数而预测的交通量,即预期到设计年限末时道路的交通量,分为日交通量和高峰小时交通量。
2.1.7 总体设计 general design
为系统、全面地协调道路工程项目外部和内部各专业间的关系,确定本项目及其各分项的技术标准、建设规模、主要技术指标和设计方案,完成道路工程建设项目各阶段的总体目标而进行的设计。
2.1.8 集散车道 collection-distributed lane
为减少互通式立体交叉主线上进出口的数量和交通流的交织,在主线一侧或两侧设置的与主线平行且横向分离、并在两端与主线相连、供进出主线车辆通行的附加车道。
2.1.9 辅助车道 auxiliary lane
在互通式立体交叉分流段上游、合流段下游,为使匝道与主线车道数平衡且保持主线的基本车道数而在主线外侧增设的附加车道。
2.1.10 停车视距 stopping sight distance
汽车行驶时,驾驶人员自看到前方障碍物时起,至达到障碍物前安全停车止,所需的最短行车距离。
2.1.11 平面交叉 at-grade intersection
道路与道路,或道路与轨道交通线路在同一平面内的交叉。
2.1.12 立体交叉 grade-separated junction
道路与道路,或道路与轨道交通线路在不同高程上的交叉。
2.2 符 号
2.2 符 号
条文说明
本规范图、表中出现的所有符号,统一在此文字表述。
A——缓和曲线参数;
b——超高旋转轴至路面边缘的宽度;
E——建筑限界顶角宽度;
h——缘石外露高度;
Hb——非机动车道最小净高;
Hc——机动车道最小净高;
Hp——人行道最小净高;
i——路拱设计坡度;
Le——超高缓和段长度;
R——圆曲线半径;
Sc——铁路平交道口机动车驾驶员侧向最小瞭望视距;
Ss——铁路平交道口机动车距道口停车线的距离;
Wa——路侧带宽度;
Wb——非机动车道宽度;
Wc——机动车道或机非混行车道宽度;
Wdb——两侧分隔带宽度;
Wdm——中间分隔带宽度;
Wf——设施带宽度;
Wg——绿化带宽度;
Wgb——分离式高架路机动车道的路面宽度;
Wgc——整体式高架路机动车道的路面宽度;
Wj——检修道宽度;
Wl——侧向净宽度;
Wmb——非机动车道路缘带宽度;
Wmc——机动车道路缘带宽度;
Wp——人行道宽度;
Wpb——非机动车道的路面宽度;
Wpc——机动车道或机非混行车道的路面宽度;
Wr——红线宽度;
Wsb——两侧分车带宽度;
Wsc——安全带宽度;
Wsm——中间分车带宽度;
ε——超高渐变率,超高旋转轴与路面边缘之间相对升降的比率;
△i——超高横坡度与路拱坡度的代数差。
基本规定
3 基本规定
3.0.1 城市道路根据道路在路网中的地位、交通功能和服务功能等,可分为快速路、主干路、次干路、支路四个等级,各级道路的设计速度应符合表3.0.1的规定。

条文说明
3.0.1 城市道路应以功能为主进行道路分级。本规范以城市道路在路网中的地位、交通功能为基础,同时考虑对沿线区域的服务功能,将城市道路分为快速路、主干路、次干路和支路四个等级。
在城市路网中具有大交通量、过境及中长距离交通功能,为机动车快速交通服务的道路应选用快速路。快速路应采用中间分隔、全部控制出入、控制出入口间距及形式,实现连续交通流,具有单向双车道或以上的多车道,并应设有配套的交通安全与管理设施;快速路两侧不应设置吸引大量车流、人流的公共建筑物的出入口。
在城市道路网中连接城市各主要分区,以交通功能为主的道路应选用主干路。主干路应采用机动车与非机动车分隔的形式,并控制交叉口间距;主干路两侧不宜设置吸引大量车流、人流的公共建筑物的出入口。
在城市道路网中与主干路结合组成干路网,以集散交通功能为主,兼有服务功能的区域性道路应选用次干路。次干路两侧可设置公共建筑物的出入口,但应设置在交叉口功能区之外,且相邻出入口的间距不宜小于80m。
与次干路和居住区、工业区、交通设施等内部道路相连接,解决局部地区交通,以服务功能为主的道路应选用支路。支路两侧可设置公共建筑物的出入口,但宜设置在交叉口功能区之外。
道路等级一般在规划阶段确定。当遇特殊情况需变更道路等级时,应进行技术经济论证,并报规划审批部门批准。
当道路作为货运、防洪、消防、旅游等专用道路使用时,由于在道路的设计车辆、交通组成、功能要求等方面存在一些特殊性需求,除应满足相应道路等级的技术要求外,还应满足专用道路及通行车辆的特殊要求。
设计速度是城市道路设计时确定几何线形的最基本条件。它是具有中等驾驶技术水平的驾驶员,在气候良好、交通密度低、只受道路本身条件影响时驾驶车辆,能够安全、舒适行驶的最高速度,因此它与运行速度、运行安全有密切关系。
同一等级道路中,设计速度应根据功能定位、交通量,并结合地形和地质条件、城市发展和沿线土地利用状况、工程投资等因素,经论证确定。
城市规模大、地形条件好、交通功能强的道路可取设计速度的高值;中心城区道路、商业街、文化街以及改建道路,由于沿线区域开发较为成熟,控制条件较多,受条件限制可取设计速度的低值。
3.0.2 路线设计应符合城市规划,并应结合地形、地物,对工程地质、水文地质、气象气候、生态环境、自然景观等进行调查,合理确定路线线位和平纵线形技术指标,平面应顺适、纵断面应均衡、横断面应合理。
条文说明
3.0.2 路线设计是设计方案的核心,应遵照统筹规划、合理布局、近远结合、综合利用的原则进行总体设计;并应综合协调各种关联工程的关系,按照兼顾发展与适度超前的原则,妥善处理已建工程和新建工程的布局,合理确定路线方案。
城市道路的路线走向首先应符合城市规划,包括沿线土地利用规划;在地形条件起伏、工程地质复杂的地区,应对自然条件和建设条件进行调查,对可行的路线走向进行必要的比选,合理确定路线线位和主要平纵线形技术指标。
当采用不同的设计速度、技术指标或设计方案对工程造价、征地拆迁、自然环境、文物保护、社会效益和经济效益等有明显差异时,应作同等深度的技术经济论证,对社会稳定风险和环境影响进行评价,提出技术可行、经济合理、安全适用、施工方便的设计方案。
道路线形设计的各单项技术指标是满足相应道路等级的设计速度规定的最小值。线形设计应根据地形、地质、地物、技术难度及其工程量大小等因素综合考虑,合理选择线形技术指标,进行组合设计和优化设计。
道路透视图是一种最有效、最丰富的表达语言。运用计算机进行的三维模型透视图及其图像处理技术,不仅可以对路线线形设计进行工程评价与检验,而且可以向公众展示项目建成后的效果,便于公众直观理解意图和意见反馈。因此,必要时可以运用道路透视图或三维设计对设计方案进行分析与评价。
3.0.3 路线设计应贯彻环境保护和土地资源利用的基本国策,降低道路工程对沿线生态环境以及资源的影响,并应符合以人为本、资源节约、环境友好的设计原则。
条文说明
3.0.3 加强环境保护和合理利用土地资源是重要的国策,应减少道路建设对周围环境的影响,妥善处理人、车、路、环境之间的关系,使社会、环境与经济效益协调统一。
3.0.4 当道路采用分期修建时,应在综合分析、论证的基础上进行总体设计和制定分期实施方案,并应协调近期工程与远期工程的关系,控制道路用地,为远期工程实施留有余地。
条文说明
3.0.4 城市道路从交通量发展、沿线土地开发程度、资金等综合因素考虑,采用分期修建是有可能的。但采用分期修建方案时,必须在综合论证的基础上,进行总体设计,制定分期修建方案和相应设计。
3.0.5 改建道路应遵循利用与改造相结合的原则,既应满足相应道路等级的技术指标,又应能最大程度利用原有工程。
条文说明
3.0.5 城市道路的改建往往是在交通流量大、路面状况不好等情况下进行的,应合理选择、灵活运用技术指标,因地制宜地提出道路工程改建方案。
3.0.6 机动车设计车辆及其外廓尺寸应符合表3.0.6的规定。

条文说明
3.0.6 设计车辆的外廓尺寸和交通组成是城市道路几何设计中的重要控制因素。设计车辆是道路设计所采用的有代表性的车型,其外廓尺寸、质量、运转特性等特征作为道路设计的依据。实际使用中设计车辆应根据道路功能和服务对象选定。
本规范机动车设计车辆及其外廓尺寸与《城市道路工程设计规范》CJJ?37-2012的规定一致。
设计车辆中不包括超长、超宽、超高的车辆,通行上述车辆的道路应特殊考虑,以满足交通功能和运营安全。
3.0.7 非机动车设计车辆及其外廓尺寸应符合表3.0.7的规定。

条文说明
3.0.7 本规范非机动车设计车辆及其外廓尺寸与《城市道路工程设计规范》CJJ 37-2012的规定一致。
3.0.8 道路建筑限界几何形状应为上净高线和两侧侧向净宽边线组成的空间界线(图3.0.8),顶角宽度(E)不应大于机动车道或非机动车道的侧向净宽度(Wl)。道路建筑限界内不得有任何物体侵入。
2 同一等级道路应采用相同的净高。
3 城市道路与公路以及不同净高要求的道路之间应衔接过渡,并应设置必要的指示、诱导标志及防撞等设施。
4 对加铺罩面、冬季积雪的道路,净高宜适当预留。
5 对通行无轨电车、有轨电车、双层客车等其他特种车辆的道路,最小净高应满足车辆通行的要求。

条文说明
3.0.8 本条道路建筑限界规定是在《城市道路工程设计规范》CJJ 37-2012基础上,图示中增加了缘石外露高度(h)和安全带宽度(Wsc)的表示,使道路建筑限界形成一个封闭的空间界线。侧向净宽度为路缘带宽度与安全带宽度之和;当缘石高度不能保证车辆行驶的侧向净宽度时,应考虑适当加宽侧向宽度。

条文说明
3.0.9 本规范道路最小净高与《城市道路工程设计规范》CJJ 37-2012的规定一致。最小净高是针对设计车辆制定的,对通行无轨电车、有轨电车、双层客车、或其他超长、超宽、超高特种车辆的道路,应根据实际通行的车辆类型确定道路净高,并应结合路网条件设置完善的交通管理和行车安全措施。
1 同一等级道路应采用相同的净高,目的是交通管理措施的一致性,如高架路系统、主干路系统应采用相同的净高标准。若道路系统内的部分节点有近、远期实施方案,可另行考虑。
2 虽然我国城市道路和公路规范设计车辆总高均为4m,但在最小净高的规定上有差异。城市道路规范采用机动车为对象的最小净高为4.5m;公路规范采用道路等级为对象的净高标准,高速公路、一级公路和二级公路的最小净高为5.0m,三级公路、四级公路的最小净高为4.5m。因此,与公路衔接的城市道路,当净高要求不一致时应衔接过渡,制定交通管理措施,保证行车安全。净高要求不同的城市道路之间,也应设置必要的限高标志和防撞设施等。
3 道路下穿宽度较宽或斜交角度较大的构筑物时,其路面距离构造物下缘任一点的高度均应满足道路净高要求。
3.0.10 各级道路设计交通量的预测年限应符合下列规定:
1 各级道路设计交通量的预测年限:快速路、主干路应为20年;次干路应为15年;支路宜为10年~15年。
2 设计交通量预测年限的起算年应为该项目可行性研究报告中的计划通车年。
条文说明
3.0.10 设计交通量是确定道路规模、评价道路运行状态和服务水平的重要参数,预测时应考虑远期社会经济发展、城市规划、人口与岗位分布、出行总量、机动车增长、路网条件、出行方式的影响,为道路车道数的定量分析提供依据。在确定道路横断面车行道宽度时,远期设计交通量的预测年限作为道路设计年限的指标,与《城市道路工程设计规范》CJJ 37-2012的规定一致。道路等级高的设计年限长,在设计年限内车行道的宽度应满足道路交通量增长的需求,保证车辆能够安全、舒适、通畅的行驶。
道路通行能力和服务水平的相关内容参见《城市道路工程设计规范》CJJ 37-2012的规定。
3.0.11 道路路线应避开泥石流、滑坡、崩塌、地面沉降、塌陷、地震断裂活动等自然灾害易发区;当不能避开时,必须采取保证道路安全运行的有效措施。
条文说明
3.0.11 该条为防灾要求,应对道路沿线的工程地质和水文地质进行深入调查、勘察,查清其对道路工程的影响程度。遇有不良工程地质路段应慎重对待,视其对路线的影响程度,对绕、避、穿等方案进行论证比选。当受到规划、用地等因素限制难以避开时,应采取有效的工程和管理措施。
总体设计
4.1 一般规定
4.1 一般规定
4.1.1 快速路、主干路、大桥和特大桥、隧道、交通枢纽应进行总体设计,其他道路可根据相关因素、重要程度进行总体设计。
条文说明
4.1.1 快速路(如采用高架、隧道、路堑、地面等道路形式)、主干路(如采用主辅路断面布置、快捷路等)、大桥和特大桥、隧道、交通枢纽等项目,系统性强、涉及面广、协调量大、工程较复杂,项目各专业之间、与旁邻工程的关联性较强,该类工程应进行总体设计,做好总体布置方案,并要求在设计文件中以一定形式表达出来。其他道路若涉及与轨道交通、地下空间、大型地下管线、综合管沟、城市景观等的协调,以及需要分段、分期设计的道路,可按相关因素进行总体设计。
4.1.2 总体设计应贯穿于道路设计的各个阶段,应系统、全面地协调道路工程项目外部与内部各专业间的关系,确定本项目及其各分项的技术标准、建设规模、主要技术指标和设计方案,并应符合安全、环保、可持续发展的总体目标。
条文说明
4.1.2 总体设计应贯穿于道路设计的全过程,完成各个阶段的主要任务。可行性研究阶段,应在充分调查研究、评价预测和必要的勘察工作基础上,对项目建设的必要性、经济合理性、技术可行性、实施可能性,进行综合性的研究和论证;确定道路等级、主要技术标准和建设规模;对不同建设方案进行比较,提出推荐建设方案。初步设计阶段,应明确设计原则和技术标准,在收集勘察资料和环评、风险等评估的基础上深化设计方案,确定拆迁、征地范围和数量,提出设计存在的问题、注意事项及有关建议,其深度应控制工程投资,满足编制施工图设计、主要设备订货、招标及施工准备的要求。施工图设计阶段,应能满足施工图预算、施工招标、施工安装与加工、材料设备订货的要求,并据以工程验收。
总体设计强调项目的系统性、全面性,设计人员应按各阶段设计方案的要求,协调本项目与外部项目、社会、环境之间的内外关系,处理道路与桥梁、隧道、管线、交通设施、照明、绿化景观等各专业之间的关系,合理确定本项目的工程范围、技术标准、建设规模、主要技术指标、道路形式、横断面布置和总体设计方案,提出外部关联工程的衔接条件、设置要求、设计界面、配套接口、会签认可、有关部门确认等内容,以便形成适合、可?行的设计方案,满足城市道路“枢纽型、功能性、网络化”的发展要求。
在实现安全、环保、可持续发展的总体目标中应包括三个方面的内容,一是交通功能方面应达到舒适性、安全性、高效性和可达性等;二是环境保护方面要求道路建设应尽量减少对空气、声环境、生态及人类生活环境要素的负面影响(如采取降低噪声、减少废气排放、防止水土流失或采取地下道的结构形式等);三是资源节约方面要求道路建设应能有效利用土地、能源、人力等资源(如节约用地、减少拆迁、少占耕土、降低能耗、原有道路或旧料利用等)。
4.1.3 总体设计应包括下列主要内容:
1 制定设计原则;
2 明确道路性质、功能定位、服务对象;
3 确定技术标准、建设规模、主要技术指标;
4 确定工程范围、总体方案和道路用地,并协调与相邻工程的衔接;
5 提出交通组织设计方案;
6 落实节能环保、风险控制措施。
条文说明
4.1.3 规定了总体设计应完成的主要内容。
1 设计原则作为完成工程建设项目的指导思想以及对总体设计方案的评判标准,应从以下几方面加以阐述:
1)对工程项目功能性品质追求的理念,如交通功能完善,满足应有的(或各种)交通方式的需求;坚持功能性技术标准,使工程项目具有高效合理的使用性能;
2)满足规划思想,符合规划要求,使工程项目具有充分的规划依据;
3)坚持工程设计“以人为本”的理念,最大程度满足各层次使用者的需求;
4)注重环境保护,体现资源节约、环境友好的工程项目设计;
5)坚持科学态度,积极采用新技术、新材料、新工艺、新设备,达到技术先进、经济合理、资源节省、安全可靠;
6)根据需求逐渐增长的特点,采用近远期分步实施的方法,达到既满足使用要求,又减少近期投资,使项目具有最大的性价比;
7)注重道路景观协调,符合生态文明建设要求;
8)工程设计方案在征地拆迁、维持交通、施工方案等方面具有可实施性。
2 道路的功能定位、服务对象与道路等级、道路在路网中的地位和作用有关,可根据其所处的区位、交通特性、区域环境来确定。服务功能可分为交通性道路、生活性道路、商业性道路和景观性道路,服务对象可分为客运交通、货运交通、客货运交通等。
3 技术标准包括设计道路及相交道路的等级、设计速度、道路净高、铁路限界、航道等级与限界、设计荷载、结构设计使用年限、抗震设防标准、安全等级等,主要排水技术标准包括雨水设计重现期、径流系数、污水量等,并列出采用的规范及标准。建设规模应根据预测交通量和建设条件综合确定,满足交通发展需求。在确定工程技术指标时,应注意地区特性与差异,精心做好路线设计;必要时宜进行安全性评价,以保障行人和行车安全。因条件受限而采用规范的极限值或对快速路线形组合设计有难度的路段,可采用运行速度进行检验,并采取相应技术对策。
4 总体设计应进行多方案比选,经技术经济综合论证,提出推荐方案,设计方案内容包括路线走向、道路形式、横断面布置、路段和重要节点的设计方案等。路线设计应根据沿线地形地貌、主要建筑物、环境敏感点的处理,沿线相关的铁路、城市轨道交通、隧道、水系、河道、航空、管道、高压线的布局,自然资源状况等,确定路线走向、主要控制点和竖向控制要素;并根据相邻工程衔接,确定项目的起终点、工程范围和道路用地。并应协调项目外部与内部各专业之间的关系,划定设计界面与接口,相关配套内容、设计界面、接口、距离等应符合有关法规、标准、规范的规定,并征求社会公众和部门意见,落实相关控制措施。
5 交通组织设计是总体设计中的一个重要环节,有利于道路设计满足交通功能的要求。新建道路或改建道路应根据服务对象、交通需求和路网条件进行交通组织设计,满足各种交通方式安全、通畅、高效的使用要求。
6 应在查明工程沿线设施、自然环境、地形、地质等建设条件的基础上,认真研究路线方案或工程建设同生态环境、资源利用的关系,采取环境保护和节能降耗等技术措施,减少对生态环境的影响程度,加强恢复力度,最大限度地保护环境。对涉及社会稳定风险、工程质量安全的项目应开展科学、系统的预测、分析和评估,制定风险预控措施和应急预案,优化设计方案,使工程设计方案在线位、用地、征地拆迁、结构形式、维持交通、施工方案等方面具有可实施性,使项目能上马。
4.2 总体设计要点
4.2 总体设计要点
条文说明
快速路、主干路、大桥和特大桥、隧道设施与其他等级道路相比,不但主体的平纵线形指标高,而且相应增加了立体交叉、复杂平面交叉口、出入口、交通工程及沿线设施、管线设施、城市道路与公路衔接、道路与相邻工程衔接等诸多工程项目。这些工程项目无论设计或施工都较一般道路的工程项目复杂得多,所以从技术上必须加强对这些工程的总体设计,以确保诸多工程作用连贯、相互协调、布局合理。总体设计应在统筹布局的指导下系统地做好各项设计工作,合理衔接路线位置与各控制点、路线平纵线形与地形及各种构造物、路线交叉位置、各项沿线设施的设置位置及间距等方面,协调线形与横断面之间的关系,以及道路工程对周边环境的保护和协调,对分期修建工程进行总体布局及实施方案等内容。
4.2.1 路线走向应符合城市路网总体规划。确定工程起终点位置时,应有利于相邻工程及后续项目的衔接,或拟定具体实施设计方案。
条文说明
4.2.1 城市道路路线走向一般以规划为依据,当规划滞后或规划未确定而存在不同路线走向的可能时,应进行不同路线走向方案的比选,并将推荐方案报规划部门审批。
4.2.2 设计速度应根据道路等级、功能定位和交通特性,并结合沿线地形、地质与自然条件等因素,经论证确定。当不同设计速度衔接时,路段前后的线形技术指标应协调与配合。
条文说明
4.2.2 根据规划的道路等级,论证道路功能定位,并结合服务对象和建设条件,合理选用设计速度和主要技术标准。
4.2.3 快速路、主干路应根据预测交通量进行通行能力和服务水平评价,并结合定性分析,确定机动车车道数规模。非机动车车道数、人行道宽度也可根据预测交通量和使用要求,按通行能力论证确定。
条文说明
4.2.3 论证并确定机动车车道数规模和非机动车道、人行道宽度;定性分析主要根据道路性质及其在路网中的地位和使用要求确定;对于投资额巨大、交通条件复杂的工程项目,应对机动车道的通行能力进行深入论证,提出采用车道数的推荐意见。
4.2.4 横断面布置应根据道路等级、红线宽度、交通组织和建设条件等,划分机动车道、非机动车道、人行道、分车带、设施带、绿化带等宽度,并应满足地下管线综合布置要求;特殊断面还应包括停车带、港湾式公交停靠站、路肩和排水沟的宽度。
条文说明
4.2.4 横断面布置应进行多方案比选,论证并确定道路横断面布置形式,如采用单幅路、双幅路、三幅路、四幅路或其他特殊横断面设计,并应结合道路红线确定道路实施宽度。
4.2.5 高架路或隧道的设置应根据道路等级、相交道路或铁路的间距、交通组织以及道路用地、地形地质、沿线环境等实施条件,经多方案比选和技术经济论证,确定总体设计方案以及布设长度、横断面布置、匝道和出入口布置、结构形式、衔接段设计等。
条文说明
4.2.5 应结合交通组织设计进行多方案比选,论证并确定道路敷设方式,如采用高架路、隧道、地面、路堑、路堤或老桥拓宽等总体布置方案,并确定桥梁、隧道等结构设计方案,以达到减少工程投资、缓解社会矛盾、改善环境的目的。
4.2.6 交叉口节点设置应根据相交道路等级、使用要求、交通流量流向、车流运行特征、控制条件以及社会经济效益、环境等因素,合理确定交叉口的位置、间距、分类、选型、交通组织和交叉口用地范围等;并应在交叉口范围内提出行人、非机动车系统和公交站点的布置方案。
条文说明
4.2.6 论证并确定各交叉点的布置位置、间距、交叉类别、交叉形式、各部分的基本尺寸和主要设计参数,确定交叉口用地范围;对于道路与铁路、城市轨道交通线路的交叉,应根据道路等级、轨道交通性质、交通量、地形条件、安全要求以及社会经济效益等因素,确定是否设置立交。
4.2.7 跨江、跨河桥梁应结合航道或水利部门提出的通航、排洪等控制要求,进行总体布置以及环境景观、附属设施的配套设计。
条文说明
4.2.7 确定沿线河道桥梁的布置方案,满足航道及水利部门有关蓝线、桥下建筑限界的要求。
4.2.8 人行过街设施应根据道路等级、横断面形式、车流量、行人过街流量和流线确定,可分别采用人行横道、人行天桥或人行地道的形式,并应提出设置行人过街设施的规模及配套要求。
条文说明
4.2.8 确定沿线人行过街设施设置方式,如人行横道、人行天桥或人行地道形式,并提出信号灯配置等要求。
4.2.9 公共交通设施应结合公交线网规划设计,提出公交专用道、公交站点的布置形式。
条文说明
4.2.9 确定沿线公交专用道布置形式,可采用路中专用道或路侧专用道;确定沿线公交站点位置、布置方式,可采用港湾式或路抛式的布置形式等。当有公交站点规划时,应按公交站点规划设置公交站点;当没有公交站点规划时,应根据道路沿线用地性质、公交换乘需要、站点距离适当的要求,以及道路条件,经征求公交部门意见后,提出公交站点设置方案及站点形式。
4.2.10 道路设计应分别对路段、交叉口、出入口提出机动车、非机动车、行人以及客车、公交车、货车的交通组织设计方案。
条文说明
4.2.10 将交通组织设计纳入总体设计范畴,对路段、交叉口、出入口应分别进行交通组织设计方案。
1 路段上需说明各种交通方式在横断面上的安排,如不同车种在道路上单向行驶或双向行驶,道路中间是否隔离行驶,机、非隔离行驶或画线分行,公交车与其他机动车混行或采用公交专用道,非机动车与行人分板或共板,非机动车在公交站点处与公交车交织或不交织,路段上横向车辆出口封闭与否、开口间距,或允许进入非机动车道而不允许直接进入机动车道,调头车道间距,行人及非机动车横过道路的方式、间距、地点设置等。
2 交叉口处需说明各种交通方式通过交叉口的组织方式,如交叉口所有方向均允许通行或某些方向禁行,交叉口设信号灯组织交通或按通行优先权的不同组织交通;设信号灯组织交通时,信号灯组和信号相位如何安排,非机动车随机动车过交叉口还是随行人过交叉口,公交车有无优先通行权,公交车站与交叉口展宽是否一体化设计等。
4.2.11 交通安全和管理设施应按主体工程的技术标准、建设规模及项目交通特性,确定其相应的技术标准、设施等级、设置内容和设计方案,并应协调各设施间的衔接与配合。
条文说明
4.2.11 应确定交通工程及沿线设施的建设规模、技术标准、设置内容和设计范围,并按交通设施布置要求进一步优化工程设计方案,满足功能、安全、服务的要求。
4.2.12 分期修建的道路工程,应按远期规划的技术标准进行总体设计,并应制定分期修建的设计方案,应近远期工程相结合。
条文说明
4.2.12 对拟分期修建的道路工程,应近远期结合,在远期总体设计的基础上制订分期修建方案,并应进行相应设计,满足交通功能需求。
横断面设计
5.1 一般规定
5.1 一般规定
5.1.1 横断面设计应在城市道路规划红线宽度范围内进行,并应根据道路等级、控制要素和总体设计要点等合理布设。
条文说明
5.1.1 城市道路红线宽度由规划部门制定,道路设计应服从总体规划。城市道路的设计一般在规划道路红线内进行,并应符合规划控制要求;但对不能满足规划确定的道路技术标准而需要调整时,应与规划部门协商,并得到批准。
5.1.2 横断面形式应根据设计速度、交通量、交通组成、交通组织方式等条件选择,并应满足设计年限内的交通需求。
5.1.3 横断面设计应与轨道交通线路、环保设施、地上杆线及地下管线布设等协调。
条文说明
5.1.3 环保设施是指道路范围内的声屏障、防噪墙、隔声板等设施。
5.1.4 横断面设计应结合沿线地形、两侧建筑物及用地性质进行布置,并应分别满足机动车道、非机动车道、人行道、分车带等宽度的规定。
条文说明
5.1.4 城市道路是路网构架,互相沟通,使城市交通四通八达,横断面布设特别是旧路改建,应考虑已有的地形地物条件,尽可能地利用已有构筑物和设施,而不是简单地套用路幅形式。横断面中的车行道宽度应依据设计速度、预测交通量、服务水平分析确定。
5.2 横断面布置
5.2 横断面布置
5.2.1 道路横断面可分为单幅路、双幅路、三幅路、四幅路四种布置形式(图5.2.1),并应符合下列规定:




1 单幅路适用于交通量不大的次干路、支路以及用地不足、拆迁困难的旧城区道路。
2 双幅路适用于专供机动车行驶的快速路、非机动车较少的主干路或次干路;对横向高差较大的特殊地形路段,宜采用上下分行的双幅路。双幅路单向机动车车道数不应少于2条。
3 三幅路适用于机动车流量较大、车速较高、非机动车较多的主干路或次干路。
4 四幅路适用于机动车流量大、车速高、非机动车多的快速路或主干路。四幅路主路单向机动车车道数不应少于2条。
5 当路侧有路边停车时,应增加设置停车带的宽度。
条文说明
5.2.1 影响城市道路横断面形式与组成部分宽度的因素很多,如交通量、车辆类型与组成、设计速度、城市地理位置、地形条件、排除地面水的方法、地面结构物的位置等,应综合各类因素后确定。
1 单幅路灵活性较强,城市支路和旧城区道路使用较多,对商业区道路和具有游行、集会、大型活动场所等特殊使用要求的道路均可采用单幅路断面。
2 双幅路可减少对向机动车相互之间干扰,对绿化、照明、管线敷设也较有利。
经济开发区、风景区、高科技园区等区域性道路,具有非机动车较少的特点,非机动车可置于人行步道一侧,采用双幅路断面形式布置较为适宜。
双幅路断面形式也适用于分期修建的横断面布置。对于地势条件特殊的滨河路或丘陵路、横向高差大的道路,可利用地形优势采用分离式的双幅路断面形式。
3 三幅路实行机动车与非机动车分隔,可避免混行交通的干扰,保障行车安全,提高机动车的行车速度。单幅路和三幅路中,禁止跨越对向车行道分界线设置类型及宽度应满足现行国家标准《道路交通标志和标线 第3部分:道路交通标线》GB 5768.3中关于“禁止跨越对向车行道分界线”的规定。
4 四幅路较适用于快速路、交通性主干路,四幅路的特点是车辆分向和分流行驶,不受沿线车辆的干扰,沿线车辆可先通过辅路再进出主路车道。快速路单向机动车道一般不应少于3条,主干路车道数单向机动车道不应少于2条。
5 原则上路边停车宜布置在支路或辅路上,不建议在主干路或次干路上布置路边停车,会影响道路通行能力。
5.2.2 高架路横断面可分为整体式和分离式两种布置形式(图5.2.2),并应符合下列规定:


1 整体式高架路中,主路上下行车道间应设置中间防撞设施;辅路宜布置在高架路下的桥墩两侧。
2 分离式高架路中,地面辅路的布置宜与高架路或周围地形相适应,上下行两幅桥梁桥墩分开,辅路宜设在桥下两幅桥中间。
条文说明
5.2.2 高架路是城市快速路或主干路布置的一种形式。横断面设计时,根据不同地形条件和交通组织设计,可采用整体式、分离式、双层式或组合形式,应因地制宜选用,灵活掌握。
1 整体式高架路一般适用于城市建筑密集区、用地拆迁受限制、红线宽度较窄、交通流量大、路口间距较小的快速路或主干路,应按城市总体规划交通发展、用地范围、地形条件、立交设置、出入口设置,以及环境等因素,经技术经济综合比较后选用。
2 分离式高架路主路交通功能较好,上下行交通不在同一断面上,行车安全,可减少夜间眩光的干扰,有利于车辆快速疏解;两幅独立的桥位于地面道路两侧,两桥间留出采光空间,便于桥下辅路布设;但地面道路交通组织较复杂,需增加相应的交通设施引导交通。
5.2.3 路堑式和隧道式横断面布置形式应符合下列规定:
1 路堑式横断面(图5.2.3-1)中的地面以下路堑部分应为主路,地面两侧或一侧宜设置辅路。

2 隧道式横断面(图5.2.3-2)中的地面以下隧道部分应为主路,地面道路宜设置辅路。

条文说明
5.2.3 当遇到无法动迁的障碍物,或敏感性地区以及特殊环保景观要求时,道路只能从地下以隧道形式穿越,且采用隧道式横断面;但其造价较高,采用时需进行经济技术比较。
5.2.4 设置主、辅路的道路横断面中,主路上下行车道间应设置中间带;主路与辅路之间应设置两侧带。
5.2.5 同一条道路宜采用相同形式的横断面布置。当道路横断面局部有变化时,应设置宽度过渡段;宜以交叉口或结构物为起终点。
条文说明
5.2.5 同一条路宜采用相同形式的横断面布置,以保证行车安全及景观要求;当横断面有变化时,变化点宜设置在大型构筑物前或路口处,并留有足够的渐变段以保障司机的反应时间。
5.2.6 道路横断面布置中,当单向机动车道为3车道及以上时,宜单辟1条公交专用车道或限时公交专用车道。当不设公交专用道时,主干路横断面布置应设置港湾式停靠站;当次干路单向少于2条车道时,宜设置港湾式停靠站;停靠站设置应符合本规范第5.3.1条第5款的规定。
条文说明
5.2.6 为落实“公交优先”政策,当达到设置公交专用道客流量时,对快速路、主干路单向机动车道数大于等于3车道的道路,宜单独设一条公交专用车道或限时公交专用车道,同时在横断面布置时应设公交停靠站;当快速公交专用道设在快速路主线两侧时,应与快速路出、入口的加减速车道综合考虑;当次干路单向车道数少于2条车道时,宜另设置港湾式公交停靠站,不影响其他车辆行驶。
限时公交专用车道可用于路面资源有限且交通拥挤的路段,在保证高峰时段公交车正常通行的情况下,允许社会车辆分时段使用,可有效利用道路资源,提高整条路段的通行能力,减轻主干路路面的交通压力。
公交专用车道的设置尚应满足《城市道路工程设计规范》CJJ 37和《公交专用车道设置》GA/T 507中的有关规定。
5.2.7 桥梁横断面布置中车行道及路缘带宽度应与道路路段相同,特大桥、大桥、中桥的分隔带宽度可适当缩窄,其最小宽度应满足侧向净宽度及设置桥梁防护设施的要求。
条文说明
5.2.7 当桥梁跨径较小时,可与道路同宽,这样既保证行车安全,又不过多的增加工程投资。特大桥、大桥、中桥,如果整个横断面宽度与道路一致,势必过多的增加了投资;为保证行车安全,车行道宽度、路缘带宽度应与道路一致。但其分车带等宽度可适当缩窄,以节省桥梁结构及投资。设计速度小于等于40km/h的道路两侧带可采用交通标线分隔。
5.2.8 隧道横断面布置应符合下列规定:
1 隧道的车行道及路缘带宽度应与道路路段相同。
2 当隧道两侧设置检修道或人行道时,可不设安全带宽度;当不设置检修道或人行道时,应设置不小于0.25m的安全带宽度。
3 中、长及特长隧道应设检修道,其最小宽度不应小于0.75m。
4 当长、特长隧道单向车道数少于3条时,应在行车方向的右侧设置连续应急车道。当条件限制时,可采用港湾式应急停车道。每侧港湾式应急停车道间距不宜大于500m,其宽度及长度宜按图5.2.8布设。

5 不设检修道、人行道的隧道,应按500m间距交错设置人行横通道。
条文说明
5.2.8 隧道内轮廓设计,除应符合隧道建筑限界的规定外,还应满足洞内路面、排水设施、装饰的需要,并为通风、照明、消防、监控、营运管理等设施提供安装空间。
1 道路等级和设计速度相同的一条道路上的隧道横断面组成宽度宜相同。
2 城市道路隧道内应设置检修道。检修道的路缘石可以阻止车辆冲上检修道,是检修步行者的安全限界,同时可保证隧道设备的安全限界;检修道的高度可按20cm~80cm取值,并综合考虑以下因素:
1)检修人员步行时的安全;
2)紧急情况时,方便驾乘人员拿取消防设备;
3)满足其下放置电缆、给水管等的空间尺寸要求。
当设置检修道时,可不考虑安全带宽度;当不设置检修道时,应设不小于0.25m的安全带宽度。
3 隧道可按其封闭段长度L分类,分类见表1。

4 采用盾构施工工艺,可设置连续应急车道;采用明挖施工工艺,可采用连续或港湾式应急停车道。条件受限时,应通过技术论证、经综合比较后,确定是否设置应急车道。
5 人行横通道的主要功能是在紧急情况下疏散行人,用以进行紧急救援活动等。
5.3 横断面组成宽度
5.3 横断面组成宽度
5.3.1 机动车道宽度应符合下列规定:
1 一条机动车道最小宽度应符合表5.3.1的规定。

2 机动车道路面宽度应为机动车道宽度及两侧路缘带宽度之和。
3 单幅路及三幅路采用中间分隔物或交通标线分隔对向交通时,机动车道路面宽度还应包括分隔物或交通标线的宽度。
4 快速公交专用道、常规公交专用道的单车道宽度均不应小于3.50m。
5 公交港湾式停靠站可分为直接式和分离式两种。直接式公交停靠站的车道宽度不应小于3.00m;分离式公交停靠站的车道总宽度应包括路缘带宽度,不应小于3.50m。
条文说明
5.3.1 机动车道的宽度
1 机动车道的宽度较原《城市道路设计规范》CJJ 37-90的规定值进行了调整,与修订的《城市道路工程设计规范》CJJ 37-2012一致。
2 快速公交专用车道宽度一般为3.50m,设物理分隔时若两侧路缘带最小宽度按0.25m计算,其总宽度最小为4.00m。普通公交专用车道宽度应满足大型车车道宽度的要求,且不小于3.50m。
5.3.2 非机动车道宽度应符合下列规定:
1 一条非机动车道最小宽度应符合表5.3.2的规定。

2 非机动车道数宜根据自行车设计交通量与每条自行车道设计通行能力计算确定,车道数单向不宜小于2条。
3 非机动车道路面宽度应为非机动车道宽度及两侧各0.25m路缘带宽度之和。
4 非机动车专用道路,单向车道宽不宜小于3.5m,双向车道宽不宜小于4.5m。沿道路两侧设置的单向非机动车道宽度不宜小于2.5m。
条文说明
5.3.2 非机动车道宽度
非机动车道主要供自行车、三轮车等行驶,非机动车宽度系根据非机动车外形尺寸及车辆横向净距(三轮车为0.659m)计算而得。三轮车车道为1.?25m+0.66m=1.91m,三轮车载物宽度,左右不得超出车身10cm,左右摆动按20cm计,计算得车道宽度三轮车为1.85m(1.25m+0.2m+O.4m),因此三轮车车道宽度采用2.0m。根据《中华人民共和国道路交通规则》规定,一条自行车的宽度为自行车车身宽度0.6m和行驶时左右各0.2m的摆幅宽度及两侧各0.25m的路缘带宽度之和;载物宽度不准超出车把0.15m,考虑左右摆动,故一条自行车道宽度为1.5m;以后每增加一条自行车道就增加1.0m的车道宽度。一般沿道路两侧设置的单向非机动车道不宜少于2条自行车道,宽度不宜小于2.5m。
5.3.3 路侧带可由人行道、绿化带、设施带等组成,路侧带设置应符合下列规定:
1 人行道最小宽度应符合表5.3.3的规定。

2 绿化带宽度应符合现行行业标准《城市道路绿化规划与设计规范》CJJ 75的相关要求。车行道两侧的绿化应满足侧向净宽度的要求,并不得侵入道路建筑限界和影响视距。
3 设施带宽度应满足设置护栏、照明灯柱、标志牌、信号灯、城市公共服务设施等的要求。设施带内各种设施应综合布置,可与绿化带结合,但不应相互干扰。
条文说明
5.3.3 路侧带
1 人行道宽度取决于道路功能、沿街建筑物性质、人流密度,还应考虑在人行道下埋设地下管线等的要求。

2 道路路侧一般种有树木或设置绿化带,为保证植物的正常生长,需要保证其合理的宽度。当种植单排行道树时,植树带最小宽度为1.5m。为保证行道树生长,绿化带和人行道总宽度不宜小于4.5m。
3 经调查我国各城市设置杆柱的设施带宽度多数为1.0m,有些城市为0.5m~1.5m,考虑有些杆线需做基座,则需宽度大些,但最小宽度不小于1.0m,最大不超过1.5m,设计时可根据实际情况选用。
地下管线应尽可能布置在路侧带下面,并要布置得紧凑和经济。当管线埋设在路侧带下面时,如管线种类较多,且管线间还应有安全距离,则路侧带的宽度需要较宽。
不同设施独立设置时占用宽度见表3。

现有城市道路中,人行道的宽度按规划设计为3.0m~5.0m宽,设施和绿化所占用的宽度不计入在内,设计时要明确行人、绿化、设施带各自合适的宽度。
5.3.4 分车带设置应符合下列规定:
1 分车带按其在横断面中的不同位置与功能,可分为中间分车带(简称中间带)及两侧分车带(简称两侧带);分车带应由分隔带及两侧路缘带组成(图5.3.4)。

2 分车带最小宽度应符合表5.3.4的规定。

3 分隔带宜采用立缘石围砌,立缘石高度和形式应满足本规范第5.5.2条的规定。
条文说明
5.3.4 分车带
1 分车带可分为中间带及两侧带。分隔带的作用是分隔主路上对向车辆、主路与辅路上同向车辆及辅路上机非车辆,其上可设置交通标志、公用设施与绿化等。此外,还可在路段上设置港湾式停靠站台。
中间带应由中间分隔带与两侧路缘带组成。分隔带以路缘石等设施分界,在构造上起到分隔双向交通的作用。
2 快速路上分车带的设置应按《城市快速路设计规程》CJJ 129的规定执行。
中间带宽度仅规定了特殊情况下采用的最小值,在正常情况下应考虑绿化带、防撞护栏、安全带宽度等因素确定。中间带宽度一般情况下应保持等宽度;当中间带宽度因地形条件或其他特殊情况限制而减窄或增宽时,应设置宽度过渡段。
5.3.5 变速车道应符合下列规定:
1 车辆驶出或驶入主路、立交匝道及集散车道出入口处均应设置变速车道。
2 变速车道的宽度应与主路车道宽度相同。
条文说明
5.3.5 加速车道是为保证驶入主路的车辆,在进入主路车流之前,能安全加速以保证汇流所需要的距离而设置的变速车道。减速车道是为保证车辆驶出主路时安全减速而设置的变速车道。由于加、减速车道在不同地点使用,其特点和要求各不相同。使用中可根据具体情况,按不同要求进行设计。
5.3.6 集散车道可为单车道和双车道,每条集散车道的宽度宜为3.5m。与主路间设有分隔设施的集散车道,其车道数不应少于2条。
条文说明
5.3.6 集散车道
1 集散车道与主线车道间应采用分隔设施或标线分隔。集散车道的设计速度应与相接匝道相同,集散车道路面宽度为车行道宽度加两侧路缘带宽度。
当主线设计速度小于或等于60km/h时,主线车道与集散车道之间可不设分隔设施。
2 当快速路出入口间距不能满足《城市快速路设计规程》CJJ 129最小间距规定时,应增设集散车道,其宽度不少于2条车道的宽度。
5.3.7 辅助车道的宽度应与主路车道宽度相同。
条文说明
5.3.7 辅助车道应根据《城市道路交叉口设计规程》CJJ 152的相关规定进行设置。
5.3.8 路肩应符合下列规定:
1 采用边沟排水的道路应在路面外侧设路肩。
2 路肩最小宽度应符合表5.3.8的规定。

3 路肩宽度应满足设置护栏、地上杆柱、交通标志基础的要求。
4 路肩可采用土质或简易铺装。
条文说明
5.3.8 路肩宽度自路缘带外侧算起。当设计速度小于60km/h时,汽车摆动较小,可设0.50m宽的路肩;快速路的路肩宽度不应小于0.75m,与设置波形护栏采用相应防撞等级的最小宽度是一致的。有少量行人时,路肩宽度为1.50m。
5.3.9 非机动车与行人共板的道路横断面形式可用于行人和非机动车较少、道路红线受限的路段,非机动车道与人行道之间宜采用分隔措施。
条文说明
5.3.9 非机动车道和人行道的分隔措施可以采用树穴、绿化带、分隔柱等物理分隔,也可采用不同铺装类型、平缘石及画标线等。
5.4 路拱与横坡
5.4 路拱与横坡
5.4.1 路拱设计坡度应根据路面宽度、路面类型、设计速度、纵坡及气候条件等确定,并应符合表5.4.1的规定。机动车道宜选用直线形路拱。

条文说明
5.4.1 路拱坡度的确定应以有利于路面排水和保障行车安全平稳为原则,横坡度大小主要视路面种类、表面平整度、抗滑性能、纵坡大小等因素而定。沥青路面采用直线形路拱的方式较为普遍,也可根据当地经验采用其他形式的路拱。
表5.4.1中注1,快速路路拱设计坡度宜采用高限值更有利于排水,防止因车速较高使雨水形成雾状,影响驾驶员视线,并避免路面雨水形成薄膜而使汽车滑移。
5.4.2 非机动车路拱形式宜采用直线单面坡,横坡度宜按本规范表5.4.1的规定取值。
5.4.3 人行道横坡度宜采用单面坡,横坡度宜为1.0%~2.0%。
条文说明
5.4.3 考虑行人安全、排水以及道路与两侧地坪标高相配合,城市道路中人行道横坡度宜采用1.0%~2.0%的单面坡。
5.4.4 保护性路肩应向道路外侧倾斜,横坡度可比路面横坡度加大1.0%,宜为3.0%。
条文说明
5.4.4 路肩横坡可加大,一般为采用2.0%~3.0%,以利排水。
5.5 缘 石
5.5 缘 石
5.5.1 缘石可采用立缘石和平缘石。
5.5.2 立缘石宜设置在中间分隔带、两侧分隔带及路侧带两侧。当设置在中间分隔带及两侧分隔带时,外露高度宜为15cm~20cm;当设置在路侧带两侧时,外露高度宜为10cm~15cm。
条文说明
5.5.2 中间分隔带、两侧分隔带及路侧带(含绿带、树池),按各地的习惯一般可采用缘石围砌。随着道路各部位的不同,缘石的功能要求也是不同的。
立缘石一般高出路面边缘10cm~20cm,锯齿形偏沟处可采用8cm~20cm。
立缘石的设置还应符合现行国家标准《无障碍设计规范》GB?50763的有关规定。
5.5.3 桥梁、隧道等构筑物的立缘石应符合现行行业标准《城市桥梁设计规范》CJJ 11及相关隧道设计规范的规定。
条文说明
5.5.3 为保证隧道内线形弯曲段或陡峻路段的安全,立缘石可加高至25cm~40cm。其埋置深度应能抵抗路侧带荷载的侧压力,保证结构稳定。
5.5.4 在分隔带端头或交叉口小半径处,宜采用曲线立缘石。
5.5.5 设置缘石坡道范围内的立缘石应满足现行国家标准《无障碍设计规范》GB 50763的相关规定。
5.5.6 人行道外侧设置的边缘石宜采用小型平缘石,缘石顶面高度宜与人行道高度相同。
平面设计
6.1 一般规定
6.1 一般规定
6.1.1 平面设计应符合城市道路网规划、道路红线、道路功能,并应综合技术经济、土地利用、征地拆迁、文物保护、环境景观以及航道、水利、轨道等因素。
6.1.2 平面设计应与地形地物、水文地质、地域气候、地下管线、排水等结合,与周围环境协调,并应符合各级道路的技术指标,满足线形连续、均衡的要求。
6.1.3 平面设计应协调直线与平曲线的衔接,合理设置圆曲线、缓和曲线、超高、加宽等。
6.1.4 平面设计应结合交通组织设计,合理布置交叉口、出入口、分隔带开口、公交停靠站、人行设施等。
条文说明
6.1.1~6.1.4 道路平面线形由直线、圆曲线、缓和曲线组成。平面线形几何设计应符合城市总体规划及路网规划,服从道路红线,综合技术经济、道路功能、土地利用、征地拆迁、航道、水利、轨道、景观、环保的要求,结合沿线地形、地物、地质、管线分布情况,注重线形的连续性与均衡性,处理直线、圆曲线、缓和曲线、超高、加宽的关系,营造安全、舒适、通畅的行车条件。
道路的服务对象为机动车、非机动车与行人。道路位于城市区域,路网密、流量高,因此城市道路平面设计应根据道路的功能、等级,运用交通工程的理念与手段,重点进行交通组织设计,并合理布置交叉口、出入口、分隔带开口、公交停靠站、人行设施,合理分配路权与布置交通空间,创造机动车、非机动车与行人的和谐交通环境,发挥更大的社会与经济效益。
6.2 直 线
6.2 直 线
6.2.1 两相邻平曲线间的直线段最小长度应大于或等于缓和曲线最小长度。
条文说明
6.2.1 道路的短直线不能保证平面线形的连续性,使驾驶者操纵方向盘有困难,不利于行车安全。因此,对两相邻同向或反向平曲线(设置缓和曲线情况)之间的直线单元的最小直线长度做了规定。对于满足不设缓和曲线的圆曲线间的最小直线长度也应符合本规定要求。
6.2.2 两圆曲线间以直线径向连接时,直线的长度宜符合下列规定:
1 当设计速度大于或等于60km/h时,同向圆曲线间最小直线长度(以m计)不宜小于设计速度(以km/h计)数值的6倍;反向圆曲线间最小直线长度(以m计)不宜小于设计速度(以km/h计)数值的2倍。
2 当设计速度小于60km/h时,可不受上述限制。
条文说明
6.2.2 城市道路的路线走向基本在路网规划阶段已经确定,设计阶段调整的余地不大。并且,不同路段的城市道路街景和设施处于变化中,长直线并不容易使驾驶员产生疲劳感。因此,城市道路对直线的最大长度不做规定。关键在于直线长度的选择应与地形相适应,与沿线建筑、绿化等相协调,加强与道路纵断面线形、横断面布置的组合设计,改善路容与行车环境,并考虑驾驶员的视觉、心理状态等合理布设。同时,长直线的线路走向还应考虑与太阳入射角的关系,避免驾驶员行车时阳光直射产生炫目。
6.3 平 曲 线
6.3 平 曲 线
6.3.1 路线转角处应设置平曲线。当受现状道路红线或建筑物控制,设计速度小于或等于40km/h的路线转角位于交叉口范围内时,可不设置平曲线,但应保证交叉口范围直行车道的连续、顺直。
6.3.2 圆曲线设置应符合下列规定:
1 圆曲线最小半径应符合表6.3.2的规定。当地形条件受限制时,可采用设超高圆曲线最小半径的一般值;当地形条件特别困难时,可采用设超高圆曲线最小半径的极限值。

2 当设计速度大于或等于40km/h时,采用本规范表7.2.1机动车最大纵坡的下坡段尽头,其圆曲线半径应大于或等于不设超高的最小半径。当受条件限制而采用设超高最小半径时,应采取防护措施。
条文说明
6.3.2 圆曲线
1 本规范规定了不设超高最小半径、设超高最小半径一般值、设超高最小半径极限值三类圆曲线最小半径,在工程设计中应结合具体情况合理选用。
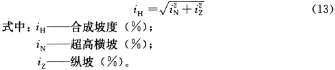
圆曲线最小半径是以车辆在曲线上能安全又顺适地行驶为条件确定的,即车辆行驶在曲线部分时,所产生的离心力等横向力不超过轮胎与路面的摩擦力所允许的界限。圆曲线最小半径按下式计算。

式中:R——圆曲线半径(m);
V——设计速度(km/h);
μ——横向力系数,取轮胎与路面之间的横向摩擦系数;
i——路面横坡或超高横坡。
在设计速度V确定的情况下,圆曲线最小半径R取决于横向力系数μ和横坡i的选值。横向力系数μ的选用不仅考虑汽车在弯道上行驶时的稳定性,还要考虑乘客的舒适性以及对燃料、轮胎消耗的影响。汽车在弯道上行驶时,不同的μ值对乘客的舒适感和对燃料、轮胎消耗的影响见表4和表5。

《公路工程技术标准》JTG B01-2003中的μ值按0.035~0.040取用,计算得出公路不设超高圆曲线最小半径值。结合我国城市道路大型客、货车较多的特点,城市道路不设超高圆曲线最小半径按μ=0.067和i=-2%计算得出。设超高圆曲线最小半径一般值按μ=0.067和i=2%~6%计算得出。城市道路由于非机动车的干扰,交叉口较多,一般车速偏低,因此μ值可加大些。本规范中,设超高圆曲线最小半径极限值按不同的设计速度,μ=0.14~0.16,i=2%~6%计算得出。圆曲线半径理论计算值与规范采用值见表6。

2 长直线下坡尽头接平曲线半径的线形组合在城市道路中较多,且较易产生交通事故,尤其在雨雪天等不利的气候条件下。对受条件限制时,可从提高路面抗滑性能、交通安全、交通管理等方面考虑采取防护措施。
6.3.3 缓和曲线设置应符合下列规定:
1 缓和曲线应采用回旋线。
2 直线与圆曲线或大半径圆曲线与小半径圆曲线之间应设置缓和曲线。当圆曲线半径大于表6.3.3-1不设缓和曲线的最小圆曲线半径时,直线与圆曲线可直接连接。

3 当设计速度大于或等于40km/h时,半径不同的同向圆曲线连接处应设置缓和曲线。当受地形限制并符合下列条件之一时,可采用复曲线:
1)小圆半径大于或等于不设缓和曲线的最小圆曲线半径;
2)小圆半径小于不设缓和曲线的最小圆曲线半径,但大圆与小圆的内移值之差小于或等于0.1m;
3)大圆半径与小圆半径之比值小于或等于1.5。
4 当设计速度小于40km/h时,缓和曲线可采用直线代替,直线长度应满足缓和曲线最小长度的要求。
5 缓和曲线最小长度应符合表6.3.3-2的规定。当圆曲线按规定需设置超高时,缓和曲线长度还应大于超高缓和段长度。

6 缓和曲线参数A宜根据线形要求和地形条件确定,并应与圆曲线半径相协调,宜满足R/3≤A≤R的要求。当圆曲线半径小于100m时,A宜接近R;当圆曲线半径大于3000m时,A宜接近R/3。
条文说明
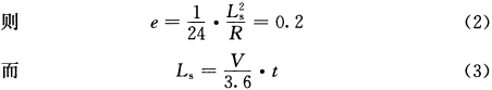
6.3.3 缓和曲线
1 不设缓和曲线的最小圆曲线半径
直线和圆曲线之间插入缓和曲线后,与直线和圆曲线直接相连接比较,产生位移量e。设置或不设置缓和曲线,以20cm的位移量为界限。位移量e<20cm可不设缓和曲线,位移量e≥20cm时设缓和曲线。

当e=0.2m及t=3s时,得出不设缓和曲线的最小圆曲线半径为:
R=0.144V2 ?(4)
为不影响驾驶员在视觉和行驶上的顺适,不设缓和曲线的最小半径值为式(4)计算值的2倍,不设缓和曲线的最小圆曲线半径计算值见表7。

对设计速度小于40km/h的支路,作为次干路与街坊路的连接线,以服务沿线地块、交通设施等为主,对其设置缓和曲线不做要求。
随着计算机辅助设计在道路几何设计中的应用,设计人员对于直线与圆曲线间或圆曲线与圆曲线间的连接都基本采用了缓和曲线的连接方式。因此,在低速状态下的直线与圆曲线或圆曲线与圆曲线的连接标准也可使用缓和曲线。
2 缓和曲线长度
车辆从直线段驶入圆曲线或从圆曲线驶入直线段,由大半径圆曲线驶入小半径圆曲线或由小半径圆曲线驶入大半径圆曲线,为了缓和行车方向和离心力的突变,确保行车的舒适和安全,在直线和圆曲线间或半径相差悬殊的圆曲线之间需设置符合车辆转向行驶轨迹和离心力渐变的缓和曲线。由离心力作为控制产生的缓和曲线最小长度应满足以下要求:
1)驾驶员易操作,乘客感觉舒适。汽车行驶在圆曲线上引起的离心力与缓和系数αP有关,见式(5)。

2)行驶时间不宜过短,汽车在缓和曲线上行驶时,使驾驶员有足够的时间转动方向盘,以适应前方线形的改变,也使乘客感到舒适。缓和曲线上行驶时间采用3s,按式(7)计算。

3 缓和曲线参数
调查表明,由于使用了长的缓和曲线,在视觉上线形变得自然平顺,行驶更加安全舒适,缓和曲线参数A值的灵活运用增加了线形设计的自由度,使得线形与地形更容易相适应。《公路路线设计规范》JTG D20-2006规定了“缓和曲线参数宜依据地形条件及线形要求确定,并与圆曲线半径相协调。”
即:
1)当R小于100m时,A宜大于或等于R。
2)当R接近于100m时,A宜等于R。
3)当R较大或接近于3000m时,A宜等于R/3。
4)当R大于3000m时,A宜小于R/3。

6.3.4 平曲线由圆曲线和两端缓和曲线组成,平曲线设置应符合下列规定:
1 平曲线与圆曲线最小长度应符合表6.3.4-1的规定。

2 道路中心线转角α小于或等于7°时,设计速度大于或等于60km/h的平曲线最小长度还应符合表6.3.4-2的规定。

条文说明
6.3.4 平曲线长度
1 平曲线指道路线形上的曲线部分,完整的平曲线包括一个圆曲线和两个缓和曲线。汽车在平曲线上行驶时,如曲线过短,驾驶员操纵方向盘时变动频繁,在高速行驶时感到危险,加上离心加速度变化率过大,使乘客感到不舒适。因此,必须确定不同半径与设计速度条件下的平曲线最小长度。《日本公路技术标准的解说与运用》中认为,汽车通过平曲线的时间6s较为合适;汽车通过平曲线中间一段圆曲线的时间3s较为合适。平曲线和圆曲线的最小长度按下式计算。

平曲线长度除应满足设置缓和曲线或超高、加宽过渡的需要外,还应保留一段圆曲线,以保证汽车行驶状态的平稳过渡。平曲线最小长度是按缓和曲线最小长度的2倍控制,实际上是一种极限状态,此时曲线为凸形缓和曲线,驾驶者会感到操作突变且视觉亦不舒顺。因此,建议最小平曲线长度取值按理论上至少应该不小于3倍缓和曲线最小长度,即保证设置最小长度的缓和曲线后,仍保留一段相同长度的圆曲线。
平曲线及圆曲线最小长度计算值与规范采用值计算见表9。

2 在地形条件许可的情况下路线转角争取尽可能小,才能达到路线顺直。但转角太小,容易引起驾驶员的错觉,把曲线长度误认为比实际的短,或认为道路急转弯,造成驾驶员感觉道路在顺适地转弯,这种现象转角越小越显著。所以转角越小越要插入长的曲线,必须使其产生道路在顺适转弯的感觉。在转角小的曲线部分为使驾驶员识别出是曲线,应适当加大外距;特别是连续流交通的道路,更应注重小转角的影响。
引起驾驶员错觉的道路转角临界值采用7°,以7°作为引起驾驶者错觉的临界角度也只是一种经验值,因为通过选择合适的圆曲线半径,或设置足够的长度的曲线可以改善视觉效果,这才提出小转角的最小曲线长度的限制问题。
而一般城市道路受规划红线、用地条件的限制,存在小转角的情况是比较普遍的。要取消小转角,往往需要增加较大的工程量和巨大的动拆迁。另外,城市道路车辆密度较大,变换车道也较频繁,同时由于沿线交叉口的存在,驾驶员的注意力一般较为集中,因小转角的存在而发生交通安全事故的概率较小。因此,本次对设计速度小于60km/h的地面道路,不再做小转角的规定,只要满足平曲线规定的最小长度即可。
6.4 圆曲线超高
6.4 圆曲线超高
条文说明
在道路曲线部分汽车行驶时所承受的离心力被路面超高使汽车产生的横向力及路面与轮胎之间的摩擦力抵消,因而能保持横向稳定,顺利行驶。超高设计及超高率计算应考虑把横向摩擦力减至最低程度。对于确定的设计速度,最大超高值的确定主要取决于曲线半径、路面粗糙率以及当地气候条件。在潮湿多雨以及季节性冰冻地区,过大的超高易引起车辆向内侧滑移,尤其是当拥堵造成弯道车速低甚至停止的情况下,所以应对超高横坡度加以限制。
快速路上行驶的汽车为了克服行车中较大的离心力,超高横坡度可较一般规定值略高。处于市区的城市道路因受交叉口、非机动车以及街道两侧建筑的影响,不宜采用过大的超高横坡度。综合各方面的情况后,拟定最大超高横坡度如下:设计速度100km/h、80km/h为6%,设计速度60km/h、50km/h为4%,设计速度小于或等于40km/h为2%。
对于通行大型货车比例较高的路段,如在高路堤、高架桥、跨线桥等曲线处,由于车辆超速行驶、集装箱车辆转锁装置未上锁,极易导致箱体滑脱、侧翻等甩箱情况的出现,对构筑物的曲线外侧或下方辅道或地面道路构成安全隐患。针对此类情况,可考虑提高一级设计速度进行超高值的验算,必要时应对道路平纵线形、横断面布置进行调整。
设超高时,应考虑超高渐变率,以确定超高缓和段长度。超高渐变率为旋转轴与路面边缘之间相对升降的比率。由于超高旋转轴、回转角速度以及车道数等因素不同,不可能做统一规定。立交匝道无论圆曲线半径大小,均应设置超高。
非机动车道、人行道不宜设置超高,但应满足设置正常路拱横坡的要求。
6.4.1 当圆曲线半径小于本规范表6.3.2中不设超高最小半径时,在圆曲线范围内应设超高,最大超高横坡度应符合表6.4.1的规定。当由直线段的正常路拱断面过渡到圆曲线上的超高断面时,必须设置超高缓和段。

6.4.2 超高的过渡方式应根据横断面形式、结合地形条件等因素决定,并应利于路面排水。单幅路及三幅路横断面形式超高旋转轴宜采用中线,双幅路及四幅路宜采用中间分隔带边缘线,使两侧车行道成为独立的超高横断面(图6.4.2)。

6.4.3 当由直线上的正常路拱断面过渡到圆曲线上的超高断面时,必须在其间设置超高缓和段。超高缓和段长度应按下式计算:
Le = b · △i/ε (6.4.3)
式中:Le——超高缓和段长度(m);
b——超高旋转轴至路面边缘的宽度(m);
△i——超高横坡度与路拱坡度的代数差(%);
ε——超高渐变率,超高旋转轴与路面边缘之间相对升降的比率,应符合表6.4.3的规定。

6.4.4 超高缓和段应满足路面排水要求,超高缓和段的纵向渐变率不得小于1/330。
6.4.5 超高缓和段应在缓和曲线全长范围内进行。当缓和曲线较长时,超高缓和段可设在缓和曲线的某一区段范围内进行。当设计速度小于40km/h时,超高缓和段可在直线段内进行。
6.4.6 超高缓和段长度与缓和曲线长度两者中应取大值作为缓和曲线的计算长度。
6.4.7 超高缓和段起终点处路面边缘应圆顺,不得出现竖向转折。
6.5 圆曲线加宽
6.5 圆曲线加宽
条文说明
汽车在平曲线上行驶时,各车轮行驶的轨迹不同。靠曲线内侧后轮的行驶曲线半径最小,靠曲线外侧前轮的行驶曲线半径最大。因此,汽车在曲线上行驶时所占的车道宽度比直线段大。为保证汽车在转弯过程中不侵占相邻车道,圆曲线半径小于或等于250m时,应在圆曲线内侧加宽。
根据汽车在圆曲线上行驶时的相对位置关系所需的加宽值bw1和不同车速情况下的汽车摆动偏移所需的加宽值bw2,每车道加宽值计算如下:
小客车、大型车的加宽值bw为:

式中:agc——小客车、大型车轴距加前悬的距离,或铰接车前轴距加前悬的距离(m);
acr——铰接车后轴距的距离(m);
V——设计速度(km/h);
R——设超高最小半径(m)。

本规范每车道加宽值是根据《城市道路工程设计规范》CJJ 37-2012中规定的车辆类型和上述公式计算得出的。加宽缓和段可采用线性加宽、抛物线加宽等方式。加宽缓和段的加宽值由直缓点(缓直点)加宽为零,按比例增加到缓圆点(圆缓点)全加宽值。
6.5.1 当圆曲线半径小于或等于250m时,应在圆曲线范围内设置加宽,每条车道加宽值应符合表6.5.1的规定。

6.5.2 圆曲线上的路面加宽应设置在圆曲线的内侧。当受条件限制时,次干路、支路可在圆曲线的两侧加宽。
6.5.3 圆曲线范围内的加宽应为不变的全加宽值,两端应设置加宽缓和段。
6.5.4 加宽缓和段的长度宜符合下列规定:
1 当设置缓和曲线或超高缓和段时,加宽缓和段长度应采用与缓和曲线或超高缓和段长度相同的数值。
2 当不设缓和曲线或超高缓和段时,加宽缓和段长度应按加宽侧路面边缘宽度渐变率为1:15~1:30计算,且长度不应小于10m。
6.6 视 距
6.6 视 距
6.6.1 各级道路的停车视距不应小于表6. 6.1的规定值。

条文说明
6.6.1 该条为强制性条文,主要是为了确保行车安全。当车辆行驶时,驾驶员一旦发现前方有障碍物,或迎面开来的车辆,应及时采取措施,防止车辆与障碍物或车辆与车辆相撞。完成此过程所需的最短行车距离称为停车视距。
停车视距由反应距离、制动距离及安全距离组成,按式(11)和式(12)计算:

6.6.2 积雪或冰冻地区的停车视距应适当增长,并应根据设计速度和路面状况计算取用。
条文说明
6.6.2 我国幅员辽阔,在东北、内蒙古、新疆以及西北、西南高原等大面积国土上,冬季都存在着不同程度的降雪和冰冻,冰雪路面的附着系数明显下降,车辆制动距离显著增加。
冰雪路面摩擦系数与车速及路面状况有关。路面摩擦系数随车速的增加而减小,《公路路线设计规范》JTG D20-2006和《公路项目安全性评价指南》JTG/T B05-2004中对小客车停车视距的计算与评价,根据20km/h~100km/h不同的设计车速,其路面摩擦系数取0.44~0.30。
路面状况分为干燥、潮湿、冰雪等情况,而自然条件下的冰雪路面根据冰雪表态可以分为松软雪路面、压实雪路面和结冰路面等。冰雪路面的摩擦系数较干燥路面大大降低,根据有关研究,其摩擦系数一般为0.15~0.30。《公路项目安全性评价指南》JTG/T B05-2004中对货车停车视距评价,货车轮胎与路面的纵向摩擦系数,不论运行速度大小,一律取值为0.17。考虑到积雪或冰冻地区路段行驶的车速会有较大幅度的降低,停车视距应根据实际运行速度和路面状况,选取合适的摩擦系数,按式(12)进行计算。
6.6.3 当对向行驶的车辆有会车可能时,应采用会车视距,其值应为本规范表6.6.1中停车视距的2倍。
条文说明
6.6.3 视距有停车视距、会车视距、错车视距和超车视距等。在城市道路设计中,主要考虑停车视距。如车行道上对向行驶的车辆有会车可能时,应采用会车视距,会车视距为停车视距的2倍。
6.6.4 平曲线内侧的路堑边坡、挡墙、绿化、声屏障、防眩设施等构筑物或建筑物均不得妨碍视线。
6.6.5 对设置平纵曲线可能影响行车视距路段,应进行视距验算。
条文说明
6.6.4、6.6.5 视距是道路设计的主要技术指标之一,在道路的平面上和纵断面上都应保证必要的视距。如平面上挖方路段的弯道和内侧有障碍物的弯道,以及纵断面上的凸形变坡处、立交桥下凹形变坡处,均存在视距不足的问题,设计时应加以验算。验算时物高为0.1m,凸形竖曲线时目高为1.2m,凹形竖曲线时目高为1.9m。
在平曲线范围内为使停车视距规定值得到保证,应将平曲线内侧横净距范围内的障碍物予以清除,根据视距线绘出包络线图进行检验。
6.6.6 对以货运交通为主的道路,应验算下坡段货车的停车视距。下坡段货车的停车视距不应小于表6.6.6的规定值。

条文说明
6.6.6 货车存在空载时制动性能差、轴间荷载难以保证均匀分布、一条轴侧滑会引发其他车轴失稳、半挂车铰接刹车不灵等现象。尽管货车驾驶者因眼睛位置高,比小客车驾驶者看得更远,但仍需要比小客车更长的停车视距,尤其是在下坡路段,应按下坡段货车停车视距进行验算。
《公路路线设计规范》JTG D20-2006停车视距计算参数采用运行车速,即按设计速度的85%~90%,纵向摩擦系数采用路面处于潮湿状态下计算得出小客车的停车视距。在此基础上对货车在不同纵坡下的停车视距进行修正。以货运交通为主的城市道路,也应考虑货车交通特征,对货车通行可能存在视距和减速距离潜在危险的区段,尤其是下坡路段进行视距检验。本规范参照《公路路线设计规范》JTG D20-2006,对货车停车视距做了规定。
货车停车视距的物高为0.1m,目高为2.0m。下列路段可按货车停车视距进行检查:
1)减速车道及出口端部;
2)主线下坡路段且纵断面竖曲线半径小于一般值的路段;
3)主线分、汇流处,车道数减少,且该处纵断面竖曲线半径小于一般值的路段;
4)要求保证视距的圆曲线内侧,当圆曲线半径小于2倍一般值或路堑边坡陡于1:1.5的路段;
5)道路与道路、道路与铁路平面交叉口附近。
6.7 分隔带及缘石开口
6.7 分隔带及缘石开口
6.7.1 快速路宜在互通式立体交叉出口上游与入口下游、特大桥、隧道、道路路堑段两端、分离式路基的分离(汇合)处设置中间分隔带紧急开口。中间分隔带开口间距应视需要而定,最小间距不宜小于2km;开口长度应视道路宽度及可通行车辆确定,宜采用20m~30m;开口处应设置活动护栏。
6.7.2 主干路的两侧分隔带开口间距不宜小于300m,开口长度应满足车辆出入安全的要求。路侧带缘石开口距交叉口间距应大于进出口道展宽段长度,道路两侧建筑物出入口宜设在横向支路或街坊内部道路。
纵断面设计
7.1 一般规定
7.1 一般规定
条文说明
1 城市道路的纵断面设计受道路网规划控制高程、道路净空、沿街建筑高程、地下管线布置、沿线地面排水等因素的控制,应综合考虑各控制条件,兼顾汽车营运经济效益等因素影响,山地城市道路还需考虑土石方平衡、合理确定路面设计高程。
2 路线经过水文地质条件不良地段时,应提高路基标高以保证路基稳定。当受规划标高限制不能提高时,应采取稳定路基措施。
3 旧路改建应做到宁填勿挖,在旧路面上加铺结构层时,不得影响沿路范围的排水。?
4 沿河改建道路应根据路线位置确定路基高程。位于河堤顶的路基边缘应高于河道防洪水位0.5m;但岸边设置拦水设施时,不受此限。位于河岸外侧道路的高程应按一般道路考虑,符合城市竖向规划高程要求,并应根据情况解决地面水及河堤渗水对路基稳定的影响。
5 道路纵断面设计应满足地下管线覆土要求。
6 高架道路在满足道路最小净高时,还应考虑桥梁的通透性,可适当抬高设计标高。
7 道路分期实施时,应满足近期使用要求,兼顾远期发展,减少废弃工程。
7.1.1 纵断面的设计高程宜采用道路设计中线处的路面设计高程;当有中间分隔带时可采用中间分隔带外侧边缘线处的路面设计高程。
7.1.2 纵断面设计应参照城市竖向规划控制高程,并适应临街建筑立面布置,确保沿线范围地面水的排除。
7.1.3 纵断面设计应根据道路等级,综合交通安全、建设期间的工程费用与运营期间的经济效益、节能减排、环保效益等因素,合理确定路面设计纵坡和设计高程。
7.1.4 纵坡应平顺、视觉连续,并应与周围环境协调。
7.1.5 机动车与非机动车混合行驶的车行道,宜按非机动车骑行的设计纵坡度控制。
7.1.6 纵断面设计应满足路基稳定、管线覆土、防洪排涝等要求。
7.2 纵 坡
7.2 纵 坡
7.2.1 道路最大纵坡应符合下列规定:
1 机动车道最大纵坡应符合表7.2.1的规定。

2 新建道路应采用小于或等于最大纵坡一般值;对改建道路、受地形条件或其他特殊情况限制时,可采用最大纵坡极限值。
3 除快速路外的其他等级道路,受地形条件或其他特殊情况限制时,经技术经济论证后,最大纵坡极限值可增加1.0%。
4 积雪或冰冻地区的快速路最大纵坡不应大于3.5%,其他等级道路最大纵坡不应大于6.0%。
5 海拔3000m以上高原地区城市道路的最大纵坡一般值可减小1.0%,当最大纵坡折减后小于4.0%时,仍可采用4.0%。
条文说明
7.2.1 最大纵坡
为保证车辆能以适当的车速在道路上安全行驶,即上坡时顺利、下坡时不致发生危险的纵坡最大限制值为最大纵坡度。道路最大纵坡度的大小直接影响行车速度和安全、道路的行车使用质量、运输成本以及道路建设投资等问题,它与车辆的行驶性能有密切关系。
目前,许多国家都以单位载重量所拥有的马力数(HP/t),即比功率作为衡量汽车爬坡能力的指标,认为HP/t数值相同的汽车,其爬坡能力大致相同。
小汽车爬坡能力大,纵坡大小对小汽车影响较小,而载重汽车及铰接车的爬坡能力低,纵坡大小对其影响较大。如以小汽车爬坡能力为准确定最大纵坡,则载重汽车及铰接车均需降速行驶,使汽车性能不能充分发挥,是不经济的,而且还会降低道路通行能力。在汽车选型时,既要考虑现状又要考虑发展。根据我国的实际情况规范确定以东风EQ140载重汽车及SK661铰接车为代表车型,其发动机型号均为EQ140,最大功率为135HP。
本规范的最大纵坡一般值是根据汽车动力特征计算,并参照《公路路线设计规范》JTG D20-2006及《日本公路技术标准的解说与运用》标准确定。设计最大纵坡应考虑各种机动车辆的动力性能、道路等级、设计速度、地形条件等选用规范中最大纵坡度一般值。当受条件限制纵坡度大于一般值时应限制坡长,但最大纵坡不得超过最大纵坡限制值。
7.2.2 道路最小纵坡应符合下列规定:
1 道路最小纵坡不应小于0.3%;当特殊困难纵坡小于0.3%时,应设置锯齿形偏沟或采取其他排水措施。
2 特大桥、大桥、中桥的桥面最小纵坡不宜小于0.3%,且竖向高程最低点不应位于主桥范围内。
3 高架路的桥面最小纵坡不应小于0.5%;困难时不应小于0.3%,并应采取保证高架路纵横向及时排水的措施。
条文说明
7.2.2 最小纵坡
城市道路最小纵坡应能保证排水和防止管道淤塞所需要的最小纵坡,其值为0.3%。若道路纵坡度小于最小纵坡值,则管道埋深势必随着管道长度的增加而加深,增加管道埋设的土石填挖量和施工难度。因此,城市道路的最小纵坡应控制在大于或等于0.3%。如遇特殊困难,纵坡必须小于0.3%时,则应设置锯齿形偏沟或其他综合排水设施,保证路面排水畅通。
对高架道路适当提高最小纵坡度,主要因为施工误差、容易形成凹面,即使雨停后也会积水;车速较快时,会将积水溅向高架桥下的地面道路,淋湿行人或车辆;仅靠横坡排水,难以及时将桥面水排除。同时,高架桥路侧在结构上也难以做成锯齿形偏沟。
7.2.3 非机动车道最大纵坡不宜大于2.5%;困难时不应大于3.5%,并应按本规范表7.3.3规定限制坡长。
条文说明
7.2.3 非机动车道纵坡
在城市中非机动车主要是指自行车,在我国城市交通中占很大比例,是重要交通工具之一。自行车爬坡能力低,在与机动车混行的道路上,需按自行车爬坡能力控制纵坡。根据国内外资料综合分析,非机动车车道纵坡度大于或等于2.5%时,应按规定限制坡长。
7.2.4 特大桥、大桥、中桥的桥面纵坡不宜大于4.0%,桥头引道纵坡不宜大于5.0%。
7.2.5 隧道内的道路最大纵坡不宜大于3.0%,困难时不应大于5.0%。隧道出入口外的接线道路纵坡宜坡向洞外。
7.3 坡 长
7.3 坡 长
7.3.1 道路纵坡长度应符合下列规定:
1 机动车道纵坡的最小坡长应符合表7.3.1的规定,且应大于相邻两个竖曲线切线长度之和。

2 路线尽端道路起(讫)点一端可不受最小坡长限制。
3 当主干路与支路相交时,支路纵断面在相交范围内可视为分段处理,不受最小坡长限制。
4 对沉降量较大的加铺罩面道路,可按降低一级的设计速度控制最小坡长,且应满足相邻纵坡坡差小于或等于5‰的要求。
条文说明
7.3.1 最小坡长
最小坡长的限制是从汽车行驶的平顺度、乘客乘坐的舒适性、视距与相邻两竖曲线布设等方面考虑的,坡长过短、起伏频繁将影响行车顺适与线形美观。通过一段坡长应有一定的时间,规范规定为10s,即最小坡长lj=10V/3.6。另外,在一段坡长两端设置的两个竖曲线不得搭接(叠加)。
对于沉降量较大的改建道路,为降低工程投资、加快改建速度与减少施工期间的交通影响,可以适当降低标准。
沪杭高速公路在拓宽改建中,对于相邻桥梁结构较近,且路堤沉降较大的路段及特别困难地区采用了降低一级设计速度的纵坡坡长进行纵断面设计。
沪宁高速公路的拓宽改建,根据拟合纵断面线形的实际情况,对原纵断面设计变坡点间增设变坡点,在增加变坡点的转坡角(相邻纵坡坡差的绝对值)较小的前提下,适当突破最小纵坡的控制。具体标准见表11。

深圳市对于改建道路纵断面设计,则在桥头引道处采用必要的调坡措施外,路段上基本为等厚加罩。
7.3.2 当纵坡大于本规范表7.2.1的一般值时,其最大坡长应符合表7.3.2的规定。道路连续上坡或下坡,应在不大于表7.3.2规定的纵坡长度之间设置纵坡缓和段。缓和段的坡度不应大于3.0%,其长度应符合本规范表7.3.1最小坡长的规定。

条文说明
7.3.2 最大坡长
纵坡大于最大纵坡一般值时,应对纵坡坡长加以限制。纵坡坡长是根据汽车加、减速行程图求得,并参考《公路路线设计规范》JTG D20-2006与《日本公路技术标准的解说与运用》综合确定。根据不同设计速度、不同坡度规定坡长限制值。当设计速度小于40km/h时,由于车速低,爬坡能力大,坡长可不受限制。
7.3.3 当非机动车道的纵坡大于或等于2.5%时,其最大坡长应符合表7.3.3的规定。

7.4 合成坡度
7.4 合成坡度
条文说明
纵坡与超高或横坡度组成的坡度称为合成坡度。将合成坡度限制在某一范围内的目的是尽可能地避免陡坡与急弯的组合对行车产生的不利影响。道路设计常以合成坡度控制,合成坡度按下式计算:

7.4.1 在设有超高的平曲线上,超高横坡度与道路纵坡度的最大合成坡度应符合表7.4.1的规定。

7.4.2 在超高缓和段的变化处,当合成坡度小于0.5%时,应采取综合排水措施。
7.5 竖 曲 线
7.5 竖 曲 线
条文说明
当汽车行驶在变坡点时,为了缓和因运动变化而产生的冲击和保证视距,必须插入竖曲线。竖曲线形式为抛物线或圆曲线。经计算比较,圆曲线与抛物线计算值基本相同,为使用方便,规范采用圆曲线。竖曲线最小半径计算如下:
1 凸形竖曲线极限最小半径Rv(m)用下式计算:

竖曲线一般最小半径为极限最小半径的1.5倍,国内外均使用此数值。设计时根据不同道路等级,不同设计速度选用适当的竖曲线半径。?
为了使驾驶员在竖曲线上顺适地行驶,竖曲线不宜过短,应在竖曲线范围内有一定的行驶时间,日本规定最小行驶时间为设计速度3s的行驶距离,规范“极限值”采用3s,竖曲线最小长度按下式计算:

竖曲线最小长度“一般值”主要考虑行车安全与舒适;平原地区由于纵坡缓,若采用较长的竖曲线而引起纵向排水纵坡过小时,可以采用竖曲线最小长度的“极限值”。
7.5.1 各级道路纵坡变更处应设置竖曲线,竖曲线宜采用圆曲线;机动车道竖曲线最小半径与竖曲线最小长度应符合表7.5.1的规定。当地形条件特别困难时,可采用极限值。

7.5.2 非机动车道变坡点处应设竖曲线,其竖曲线最小半径不应小于100m。非机动车与行人共板道路的竖曲线最小半径不应小于60m。
线形组合设计
8.1 一般规定
8.1 一般规定
8.1.1 道路线形设计应协调平面、纵断面、横断面三者间的组合,合理运用技术指标;并应适应地形地物和周边环境,满足行车安全、排水通畅等要求。
条文说明
8.1.1 道路是由平面、纵断面、横断面组成的工程实体,三者之间有着密切的内在联系,任何一项都不应是单独的设计,而应是相互影响、相互补充,应根据设计速度、交通组成,结合地形条件,合理运用技术指标,对路线的平纵横三个方面进行综合设计。
线形设计不仅要符合技术指标要求,还应结合地形、环境、视觉、安全、经济性等因素进行协调和组合,使道路线形设计更加合理。
8.1.2 线形组合设计应符合下列规定:
1 设计速度大于或等于60km/h的道路应强调线形组合设计,保证线形连续、指标均衡、视觉良好、安全舒适、景观协调。
2 设计速度小于60km/h的道路在保证行驶安全的前提下,宜合理运用线形要素的规定值。
3 不同等级道路和不同设计速度的路段之间应衔接过渡。
条文说明
8.1.2 道路应在保证路线的整体协调下,做到平面顺适、纵坡均衡、横面合理,包括不同横断面布置过渡段的衔接配合。设计速度越高,线形组合设计所考虑的因素应越周全,以提供高的服务质量;尤其对快速路、隧道、地下道路等连续流交通更应注重线形综合设计。
一条城市骨干道路可能由于所处的区位、地形地貌和道路结构形式的不同,分段选用不同的道路等级、设计速度,但应处理好不同区段的路段长度和衔接段技术指标。同一设计速度的设计路段长度不宜过短,过短的设计路段使得运行速度变化太快;没有一个较为稳定的、能保持一定时段的运行速度,驾驶操作较为紧张,不利于安全行驶。相邻道路或路段的衔接处,其前后的平、纵、横技术指标应随设计速度的变化而逐渐变化,使行驶速度自然过渡;相衔接处附近不宜采用该路段设计速度相应的平、纵技术指标极限值。
8.1.3 具体路段平纵技术指标的选用及其组合设计,应分析对车辆实际运行速度的影响,同一车辆相邻路段的运行速度与设计速度之差不应大于20km/h。
条文说明
8.1.3 研究表明,行驶速度是一个随机变量。不同的车辆在行驶过程中采用的行驶速度是不相同的,一般呈正态分布。通常用各类小汽车的车速分布累计曲线上第85位百分点的车辆行驶速度作为运行速度(或称V85)。以运行速度来控制设计是考虑了绝大部分小汽车的实际运行速度,保证绝大部分小汽车的安全。道路平、纵线形技术指标变化大的路段,运行速度的变化也大。研究表明,当运行速度(V85)与设计速度(V)之差大于20km/h时,就容易发生交通事故。所以,对受条件限制而采用平纵线形技术指标最大值(或最小值)的路段、平纵线形组合有异议的路段,均应采用运行速度进行检验,保证其运行速度与设计速度之差不应大于20km/h。
8.2 平、纵、横的线形组合
8.2 平、纵、横的线形组合
条文说明
1 平、纵线形组合原则上应“相互对应”,且平曲线稍长于竖曲线,即所谓的“平包竖”。国内外研究资料表明,当平曲线半径小于2000m、竖曲线半径小于15000m时,平、竖曲线的相互对应对线形组合显得十分重要;随着平、竖曲线半径的增大,其影响逐渐减小;当平曲线半径大于6000m、竖曲线半径大于25000m时,对线形的影响显得不很敏感。因此,线形设计的“相互对应、且平包竖”的基本要求需视平、竖曲线的半径而掌握其符合的程度。
2 城市道路由于限制条件多,对于低等级道路不必强求平纵线形的相互对应。
3 纵断面设计若出现驼峰、暗凹、跳跃、断背、长直线或折曲等线形,容易使驾驶员视觉中断,或在驾驶员视线内出现两个或两个以上的平曲线或竖曲线,应加以避免。
8.2.1 线形组合设计应满足下列基本要求:
1 平、纵、横设计应分别满足各自规定值的要求,不应将最不利值进行组合。
2 平、纵、横组合设计应保持线形的视觉连续性,自然诱导驾驶员视线。
3 平曲线与竖曲线宜相互对应,且平曲线长度宜大于竖曲线长度(图8.2.1)。
4 竖曲线半径宜为平曲线半径的10倍~20倍。

8.2.2 平纵线形组合应符合下列规定:
1 在凸形竖曲线的顶部或凹形竖曲线的底部,不应插入急转的平曲线或反向平曲线。
2 长直线不宜与陡坡或半径小且长度短的竖曲线组合;长的竖曲线不宜与半径小的平曲线组合。
3 长的平曲线内不宜包含多个短的竖曲线;短的平曲线不宜与短的竖曲线组合。
4 纵断面设计不应出现使驾驶员视觉中断的线形。
8.3 线形与桥、隧的配合
8.3 线形与桥、隧的配合
8.3.1 桥梁及其引道的线形应满足下列基本要求:
1 桥梁及其引道的位置、线形应与路线线形相协调,各项技术指标应符合路线布设与总体设计的相关规定。
2 桥梁引道坡脚与平面交叉口停车线之间的距离宜满足交叉口信号周期内的车辆排队和交织长度。
3 桥面车行道宽度应与两端道路的车行道宽度相一致。当桥面宽度与路段的道路横断面总宽度不一致时,应在道路范围内设置宽度渐变段;路面边缘斜率可采用1:15~1:30,折点处应圆顺。
条文说明
8.3.1 桥梁及其引道与道路路线的衔接应保证行车安全与舒适,各项技术指标应符合路线总体布设的要求,使桥梁、桥头引道与路线的线形连续、均衡,视线诱导良好;而特大桥、大桥桥位应尽量顺直,满足通航和行洪要求,并方便桥梁结构设计。
纵坡大于3.0%的桥梁引道,其坡脚与平面交叉口停车线之间的最小安全距离宜满足50m长度,以保证车辆转弯对行人和辅道车辆的通行安全。
地面快速路主路上的桥梁设置防撞护栏的路段,由于道路与桥梁的护栏设置位置的差异,会导致平面上出现外凸或内凹的现象,不仅影响美观,也影响安全。故要求桥梁与道路的行车道、路缘带或中间分隔带等对应的宽度应保持一致,使设置的护栏其平面宜为同一条基准线。
8.3.2 隧道及洞口两端的线形应满足下列基本要求:
1 隧道的位置与隧道洞口连接段应与路线线形相协调,各项技术指标应符合路线布设与总体设计的相关规定。
2 隧道洞口内侧和外侧在不小于3s设计速度的行程长度范围内,均应保持一致的平纵线形。
3 当隧道洞门内外路面宽度不一致时,隧道洞口外与之相连接的路段应设置距洞口不小于3s设计速度的行程长度,且不应小于50m长度的、同隧道等宽的过渡段。
4 长、特长的双洞隧道,宜在洞口外的合适位置设置联络通道。
5 隧道洞内外应满足相应道路等级对视距的要求。当隧道洞口连接段设中间分隔带时,应采用停车视距;当无中间分隔带时,应采用会车视距。
条文说明
8.3.2 隧道及其洞口两端的连接线应符合路线总体布设的要求,与路线线形相协调,保证行车安全与舒适。调查资料显示,隧道洞口内外是事故多发路段,为此对隧道洞口外连接线与隧道洞口内的平、纵线形应保持一致的长度作了相应规定。
8.4 线形与沿线设施的配合
8.4 线形与沿线设施的配合
8.4.1 道路线形和交叉口设计应与停车场、枢纽、公交停靠站等交通设施布置配合,并应满足交通组织设计和道路使用者的安全。
8.4.2 道路线形和交叉口设计应与标志标线等交通安全设施设计相互配合,应能准确反映路线设计意图;对路侧设计受限的路段,应合理设置防护设施。
条文说明
8.4.2 城市道路交通设施设计应与道路主体工程的技术标准、建设规模及项目交通特性、交通组织设计相配合,应简明、准确地向道路使用者提供交通路权、行驶规则以及路径指示等信息,确定交通标志类型、版面大小、版面内容、支撑方式和交通标线颜色、类型和尺寸等,构建科学合理、舒适安全、和谐统一的道路环境。
8.4.3 互通立交处的照明设施应与道路线形相互配合、布设合理。
条文说明
8.4.3 互通立交处灯光夜间照明往往会误导行车视线,原则上立交处应采用高杆灯照明布置。
8.4.4 道路与沿线设施、街景应一体化设计,功能应相互补充。
条文说明
8.4.4 通常路面宽度、道路横断面布置是独立的,不会随两侧街景进行变化,难免倾向于单调化。现代设计强调城市的空间设计,要求道路功能与街景功能相互补充,进行一体化设计,利用空间使景观整齐美观。如道路人行道与两侧建筑前的广场铺装进行整体设计,人行道与两侧建筑进行整体规划等。
8.5 线形与环境的协调
8.5 线形与环境的协调
条文说明
1 同样的线形在不同的环境中给人的感觉不同。调查发现,由于线形与环境景观的不良配合,会给驾驶员造成精神压力或因错觉引发交通事故,所以线形与环境的协调首先应考虑交通安全。
2 道路空间尺度是指道路空间宽度D(两侧建筑之间水平距离)与两侧建筑高度H的比值D/H。
1)当0.7<D/H≤1时,道路空间有亲切感,空间围合感较强,容易形成繁华热闹氛围,沿街建筑立面对人的景观感受影响较大,适用于一般生活性道路;当D/H≤0.7时,则会产生压抑感。
2)当D/H=1~2时,仍能保持亲切感和围合感,绿化对空间的影响作用开始明显加强,可增加绿化带宽度和树木高度以弥补空间的扩散感,适用于城区一般干路。
3)当D/H=2~3时,视觉开始扩散,空间更为开阔,围合感较弱,热闹氛围被冲淡,适用于城郊结合部的城市干路和城区交通性干路;当D/H=3时,一般为开阔空间,人们视线主要停留在建筑的群体关系以及建筑与环境的关系上。
8.5.1 道路线形应利用地形、自然风景,宜保留原有的地貌、地形、树林、湖泊、建筑物等景观资源,使道路与自然融为一体,与沿线环境相协调。
8.5.2 路基防护应采用工程防护与植物防护相结合的措施,与景观相协调,恢复自然生态环境,防止水土流失。
8.5.3 道路两侧的绿化应满足道路视距及建筑限界的要求。
8.5.4 不同性质和景观要求的城市道路,宜运用道路空间尺度比例关系,调节并形成道路合适的空间氛围。
道路与道路交叉
9.1 一般规定
9.1 一般规定
9.1.1 道路交叉口位置应按城市道路网规划设置。
9.1.2 道路与道路交叉可分为平面交叉和立体交叉,交叉形式应根据相交道路的等级和功能、交通流量和流向、地形和地质等要求,进行技术、经济及环境效益的综合分析,合理确定。
9.1.3 道路交叉口设计应符合下列规定:
1 交叉口设计应安全、有序、畅通,满足道路使用者的需求。
2 交叉口通行能力应与路段、出入口及相邻交叉口的通行能力相匹配。
3 交叉口几何设计应与交通组织设计、交通管理方式和交通工程设施相协调,并应与其他交通方式相衔接。
4 交叉口设计应与周围环境相协调,合理确定用地规模。
5 当交叉口分期建设时,应近远期结合,前期工程为后期工程预留条件。
6 改扩建交叉口设计应结合原有交叉口情况,合理确定改建规模。
9.1.4 道路与道路交叉设计应符合现行行业标准《城市道路交叉口设计规程》CJJ 152的规定。
条文说明
9.1.1~9.1.4 道路与道路交叉是城市道路设计中的重要内容。科学合理地设计交叉口,以达到行人、车辆出行安全、畅通,时空资源得以充分利用的目的,也是城市道路交通系统安全与畅通的决定因素之一。
交叉口形式的选择、交叉口平纵面设计、交叉口的交通管理方式等,对整条道路甚至周边路网的通行能力和服务水平都有较大的影响。《城市道路交叉口设计规程》CJJ 152-2010于2011年3月实施,对于道路交叉口设计的相关要求,在其中已有详细的规定。本章只对交叉口设计中控制道路路线设计的原则和设计要点进行了规定。
9.1 一般规定
9.1 一般规定
9.1.1 道路交叉口位置应按城市道路网规划设置。
9.1.2 道路与道路交叉可分为平面交叉和立体交叉,交叉形式应根据相交道路的等级和功能、交通流量和流向、地形和地质等要求,进行技术、经济及环境效益的综合分析,合理确定。
9.1.3 道路交叉口设计应符合下列规定:
1 交叉口设计应安全、有序、畅通,满足道路使用者的需求。
2 交叉口通行能力应与路段、出入口及相邻交叉口的通行能力相匹配。
3 交叉口几何设计应与交通组织设计、交通管理方式和交通工程设施相协调,并应与其他交通方式相衔接。
4 交叉口设计应与周围环境相协调,合理确定用地规模。
5 当交叉口分期建设时,应近远期结合,前期工程为后期工程预留条件。
6 改扩建交叉口设计应结合原有交叉口情况,合理确定改建规模。
9.1.4 道路与道路交叉设计应符合现行行业标准《城市道路交叉口设计规程》CJJ 152的规定。
9.2 平面交叉
9.2 平面交叉
9.2.1 平面交叉口按交通组织方式可分为信号控制交叉口、无信号控制交叉口和环形交叉口;按几何形状可分为十字形、T形、Y形、X形、多叉形、错位及环形交叉。
9.2.2 平面交叉口应根据城市道路的布置、相交道路等级、交通组织等选择合适的类型,并应符合下列规定:
1 主干路与主干路、主干路与次干路、次干路与次干路相交,应采用信号控制交叉口。
2 主干路与支路,支路可采用右进右出的交通组织方式。
条文说明
9.2.1、9.2.2 城市道路设计中,一般在规划阶段已经确定平面交叉口的类型和用地范围。因此具体设计时应根据道路网规划,结合道路布置、道路等级、交叉口功能要求、交通流量流向、地形和周边建筑等控制条件,选择合适的交叉口类型。平面交叉口的分类和选型在《城市道路工程设计规范》CJJ 37中已有规定。
9.2.3 平面交叉口的间距应根据城市规模、路网规划、道路等级、设计速度、设计交通量及高峰期间最大阻车长度等确定,满足进出口道总长度要求,且不宜小于150m。
条文说明
9.2.3 平面交叉口的间距是由规划部门制定城市道路网确定的,例如方格形的道路网,每隔800m~1000m设置接近平行的主干路。主干路之间再布置次干路、支路,并将用地分为大小适当的街坊。
平面交叉口间距不宜太短。当遇到旧城区道路间距较短,如小于200m时,可采取单向交通组织,以提高交叉口的通行能力。
同一条道路上的平面交叉口,应注意交通组织方式尽量一致。相邻交叉口的功能区不宜相互重叠。主次干路相交,其间距大致相等时,最有利于交通控制与管理。
以交通功能为主的新建道路,进出口需要采取部分控制时,则可适当封闭一些支路的交叉口,以加大交叉口的间距,提高道路的行驶速度,增加通行能力。
9.2.4 平面交叉口设计范围应包括各条道路的相交部分、进出口道(展宽段和渐变段)以及非机动车道、人行道和过街设施所围成的区域。
条文说明
9.2.4 平面交叉口设计范围指构成交叉口各条道路的相交部分及其进口道、出口道,包括进出口道展宽段和展宽渐变段,以及非机动车道、人行道和过街设施所围成的区域(图2)。

9.2.5 平面交叉口设计内容应包括交叉口范围内的平面与竖向设计、进出口道展宽设计、交通组织、公交、行人与非机动车过街设施、附属设施等。
条文说明
9.2.5 平面交叉口附属设施包括交通信号灯、交通岛、标志、标线、隔离设施、排水、照明、绿化、景观及环保设施等。
9.2.6 平面交叉口范围内的设计速度宜为路段的0.5倍~0.7倍,直行车可取大值,转弯车可取小值。当验算视距三角形时,进口道直行车设计速度应与路段设计速度一致。
条文说明
9.2.6 平面交叉口的设计速度,主要用于控制车速和车头时距,并可用于路缘石转弯半径的选择。交叉口范围内平纵线形设计和视距三角形验算,仍应采用路段的设计速度作为控制要素。
9.2.7 平面交叉口范围内的道路平面线形宜采用直线;当采用圆曲线时,其圆曲线半径宜大于不设超高的最小圆曲线半径。
9.2.8 平面交叉口范围内的道路纵坡不宜大于2.5%,困难情况下不应大于3.0%。山区城市道路等特殊情况,在保证行车安全的条件下可适当增加。
9.2.9 平面交叉口竖向设计应保持主要道路的纵坡度不变,次要道路纵坡度宜服从主要道路。
条文说明
9.2.9 两条道路相交,主要道路的纵坡度应保持不变,次要道路纵坡度宜服从主要道路。主干路与主干路、主干路与次干路、次干路与支路相交,路脊线在两条道路中心线相交;主干路与支路相交,支路路脊线宜相交至主干路机非分隔带边线或车行道边线,此时支路纵断面可作为分段设计。
9.2.10 平面交叉口渠化设计应根据设计流量、流向及相交道路等级、功能分析、交通组织方式等因素,确定进出口车道数布置、展宽段和渐变段长度,划分车道功能,进行信号配时。
9.2.11 公交停靠站应设置在交叉口的出口道,并应保证候车乘客的安全,方便乘客换乘、过街,减少对横向道路右转车辆的影响。
条文说明
9.2.11 公交停靠站设置在交叉口出口道时,出口道右侧展宽增加车道情况下,宜设在展宽段向前不小于20m处;在出口道右侧不展宽时,停车站在干路上距离对向停车线不宜小于50m,在支路上不宜小于30m。
9.2.12 平面交叉口均应设置行人和非机动车过街设施,并应与交叉口的几何特征、人流车流、交通组织方式等相协调,宜优先选用平面过街方式。当人行横道穿越机动车道部分的长度大于16m时,应设置行人二次过街安全岛。地面快速路上的过街设施必须采用人行天桥或人行地道;主干路上的重要交叉口宜修建人行天桥或人行地道。
条文说明
9.2.12 行人过街设施主要包括立体过街设施(即人行天桥和地下通道)、人行过街横道、行人过街安全岛及行人过街信号等,具体形式视建设条件、安全(治安)、行人方便、环境因素确定,要求连续性。
9.3 立体交叉
9.3 立体交叉
条文说明
9.3.1、9.3.2 城市道路立交等级直接影响立交功能、立交规模和工程造价,是立交规划、设计选型的重要依据之一。《城市道路工程设计规范》CJJ 37和《城市道路交叉口设计规程》CJJ 152中对立交分类和选型进行了明确规定。条文在两本规范的基础上,按相交道路等级对路线设计中设置立体交叉的条件以及采用的立交类型进行了规定。
同一条道路上采用的立体交叉形式在交通组织方式上应协调统一,尽量避免左侧入口和出口,方便驾驶员识别,同时简化了交通标志设置,可充分保障行车安全。
9.3.1 立体交叉的设置应符合下列规定:
1 快速路与所有道路相交时,必须采用立体交叉。
2 主干路与主干路相交,当交通量较大,对平面交叉采取改善措施、调整交通组织仍不能满足通行能力要求时,宜设置立体交叉,并应妥善解决设置立体交叉后对邻近平面交叉口的影响。
条文说明
9.3.1 条明确了与快速路相交的所有等级道路(含各等级公路)必须设置立体交叉。主干路与主干路及以下等级道路相交不建议设置立体交叉。在《城市道路交叉口规划规范》GB 50647中,对主干路与主干路相交预测总交通量不超过12000pcu/h时,不宜设置立交。本规范要求根据交叉口实际运行情况,在对平面交叉口采取改善措施、调整交通组织均难以收效时,宜设置立交,并要求妥善解决设置立交后对邻近平面交叉口的影响。另外,主干路与主干路及以下等级道路相交,当地形适宜修建立体交叉,经技术经济比较确为合理时,可设置立交。道路跨河或跨铁路的端部可利用桥梁边孔,修建道路与道路的立体交叉。
9.3.2 立体交叉根据相交道路等级、交通流行驶特征、非机动车对机动车干扰等,可分为枢纽立交、一般立交和分离式立交。立交选型应符合下列规定:
1 快速路与快速路相交,应采用枢纽立交。
2 快速路与主干路相交,应采用一般立交。
3 快速路与次干路相交,应采用分离式立交。
4 主干路与主干路相交设置立体交叉时,宜采用一般立交。
条文说明
9.3.2 条根据《城市道路工程设计规范》CJJ 37,立体交叉口选型中的推荐形式明确了不同等级道路相交应优先选择的立交等级。
9.3.3 相邻互通式立体交叉的最小间距应满足上游立交加速车道渐变段终点至下游立交减速车道渐变段起点之间的距离不得小于500m,且应满足设置交通标志的距离要求;市区范围立交最小间距不宜小于1.5km。
条文说明
9.3.3 两个相邻互通式立交的最小间距是立交系统设计中应该考虑的因素。
美国《公路与城市道路几何设计(1984)》中规定,互通式立交最小间距的一般经验值是市区1英里(1.?6km),在市区如果间距小于1英里(1.6km),可利用分离式立交或增设集散道路来改进。
《道路通行能力手册》(2000年版):在一段长度为8km~10km的高速公路路段上,互通式立交理想的平均间距是不小于3.0km。
《日本公路技术标准的解说与运用》中是根据两个互通式立体交叉之间交织处理上的需要长度和设置交通标志长度,以1.5km~4.0km间距控制。
本规范规定相邻互通式立交的最小间距,是考虑当受路网结构或其他条件限制的情况下,应不小于加速车道和渐变段长度、减速车道和渐变段长度,以及《道路交通标志和标线第2部分:道路交通标志》GB 57682规定的出口预告标志距出口最小距离500m,满足三者长度之和的最小距离要求;并应设置完善的标志、标线等交通安全设施。当立交间距仍小于上述规定的最小值,且经论证必须设置时,应将两者合并为组合式互通式立体交叉,并设置集散车道。
一般情况下,从改善道路行驶条件,节约投资分析,相邻互通式立交的间距宜满足表12的规定。

9.3.4 立体交叉设计范围应包括相交道路中线交点至各进出口变速车道渐变段的起终点间道路所围成的空间。
条文说明
9.3.4 该条规定了立体交叉口的设计范围。
9.3.5 立体交叉设计内容应包括立交范围内主路、匝道和进出口、变速车道、集散车道、辅助车道以及立交范围内的辅路、公交、非机动车、人行系统及其附属设施。
条文说明
9.3.5 该条规定了立体交叉口的设计内容。立体交叉附属设施包括交通标志和标线、防撞护栏、防眩设施、隔声设施、排水、照明、绿化、景观等。
9.3.6 立交范围的设计速度应根据主路设计速度、立交等级和匝道形式确定。主路应采用相应道路等级的设计速度,匝道及集散车道设计速度宜为主路的0.4倍~0.7倍,辅路设计速度宜为主路的0.4倍~0.6倍,平面交叉部分宜采用平面交叉口的设计速度。
条文说明
9.3.6 立交分类和选型确定后,控制立交设计的主要因素为设计速度、车道数和立交间距。
快速路主路为保证全线运行的安全性、连续性和畅通性,其设计速度应不低于路段的设计速度。其他等级道路,在与两端道路运行特征和通行能力相匹配的条件下,经论证可适当降低立交范围主线的设计速度。
匝道的设计速度是影响立交规模标准、占地和工程投资的主要因素之一。《城市道路工程设计规范》CJJ 37-2012将《城市道路设计规范》CJJ 37-1990采用20km/h~60km/h的取值规定,改为0.4倍~0.7倍的比值规定,大致范围为20km/h~70km/h,较适合于城市道路特点。 《公路工程技术标准》JTG BO1-2003根据立交类型和匝道形式确定匝道设计速度,基本为主线设计速度的0.5倍~0.7倍。实际使用时,匝道设计速度应结合立交等级、匝道形式和匝道交通量等条件确定。
集散车道为减少出入口对主路交通的影响,通过设置加减速车道与主路相连,其设计速度宜取匝道设计速度中的高值。
立交范围内的辅路系统通常设置为平面交叉,其设计速度可参照平面交叉适当降低。其直行和转向车流的设计速度宜根据平面交叉口进行设计速度的折减。环形立交中的环道设计速度同平面环形交叉口。
9.3.7 互通式立体交叉范围内主路的平纵线形不应低于路段标准,并应具有良好的通视条件。主路分流鼻端之前的识别视距不应小于1. 25倍的主路停车视距;匝道汇流鼻端前应满足通视三角区和匝道停车视距的要求。
条文说明
9.3.7 互通式立交范围受匝道设置及进出口影响,为提高行驶安全性,提出在进出立交匝道的主路路段,其线形设计应采用比路段高的技术指标。公路在互通式立交范围内主线形指标的规定比路段线形指标提高很多。由于城市道路立交及进出口间距较密,交通运行状态与公路不一致,建设条件制约因素较多,很难按公路规定值实施,有条件时尽量取高值。
《城市道路工程设计规范》CJJ 37中规定:在进出立交的主路路段,其行车视距不宜小于1.25倍的停车视距。
互通式立交区域应具有良好的通视条件。识别视距为驾驶员发现前方互通式立体交叉的出口,按规定行车轨迹驶离主线,从而防止误行,避免撞及分流鼻端,而应保证对出口位置的判断视距(其物高为0)。判断出口时,驾驶员应看到分流鼻端的标线,故物高为0。对此,在确定凸曲线半径时应注意,出口处应满足最小1.25倍的主路停车视距。
为保证汇流鼻前的通视三角区(图3),设计中应注意:当主线为下坡,匝道为上坡的情况下,通视区范围内的匝道纵坡不得与主线纵坡有较大的差别;尤其是当主线为桥梁并采用实体护栏时,护栏便会完全遮挡匝道方的视线。应采取有效措施保证充分的视距,如通视三角区范围设置通透式桥梁护栏,或抬高匝道路面标高等。

9.3.8 立交匝道出入口处应设置变速车道。
条文说明
9.3.8 由于主线的设计速度高于匝道,因而交通流驶出主线需要减速,驶入主线需要加速。为了满足车辆变速行驶的要求,减少对主线正常行驶交通流的干扰,必须设置变速车道。
9.3.9 立交范围内出入口间距应保证主路交通不受分合流交通的干扰,并应为分合流交通加减速及转换车道提供安全可靠的条件。当出入口间距不足时,应设置集散车道。
条文说明
9.3.9 根据交通流流入、流出主路的交通特征,车辆通过出入口时,要经过加速、减速、交织等过程,整个过程中将产生紊流,合理的出入口间距是交通畅通的可靠保障。《城市快速路设计规程》CJJ?129及《城市道路交叉口设计规程》CJJ?152中对于出入口的合理间距均有明确规定。城市道路控制条件较多,设计中经常会遇到不能满足出入口间距的要求,在这种情况下,需设置集散车道,调整出入口的位置,以满足间距需要。
9.3.10 立交匝道分、合流处应保持车道数的平衡,相邻两段同一方向上的基本车道数每次增减不得多于一条;当不平衡时,应增设辅助车道。
条文说明
9.3.10 快速路在全长或较长路段内应保持一定的基本车道数,在分、合流处还应保持车道数的平衡。一般情况下,分流前(或合流后)的主路车道数应大于等于分流后(合流前)的主路车道数与匝道车道数之和减1;不平衡时,应设置辅助车道。
9.3.11 设有辅路系统的道路相交,当交叉口设置为枢纽立交时,立交区域应设置与主路分行的辅路系统;当交叉口设置为具有集散作用的一般立交时,其辅路系统可与匝道布置结合。
条文说明
9.3.11 设有辅路系统的快速路与主干路或主干路与主干路相交设置的一般立交,其辅路系统可与匝道布置结合考虑。如两层的苜蓿叶立交、菱形立交等,一般结合路段出入口设置,采用与匝道结合的方式布置辅路系统。对于枢纽型立交要求其系统的连续,桥梁范围内的辅路系统应单独设置。
9.3.12 立交区域的公共汽车交通系统应结合公交线网规划和车站设置,与路段一体进行综合设计。当公交停靠站设置在快速路主路时,停靠区出入口应满足出入口最小间距的规定,并应设置变速车道。
条文说明
9.3.12 立交范围主路设置公交车站交通组织复杂,可能对交通影响较大。当设置公交停靠站时,停靠区出入口应满足出入口最小间距的规定,并应设置变速车道,以减小对主路交通的影响。
9.3.13 立交区域的非机动车及人行系统应保证连续性和有效宽度,应与周围相关非机动车和人行系统连通,并应减少绕行距离、多次上下及与机动车系统的交叉。
条文说明
9.3.13 立交范围内由于占地较大,在建设条件受限的情况下,经常采用降低行人和非机动车的设计标准解决,造成系统不连续或宽度不足,给行人使用带来不便。因此,在编制中对这部分设计要求进行了规定。
9.3.14 立交区域的行人系统设计应符合现行国家标准《无障碍设计规范》GB 50763的规定。
条文说明
9.3.14 原行业标准《城市道路和建筑物无障碍设计规范》JGJ 50-2001已经作废,改为现行国家标准《无障碍设计规范》GB 50763-2012。
道路与轨道交通线路交叉
10.1 一般规定
10.1 一般规定
10.1.1 道路与轨道交通线路交叉的位置及形式应符合城市总体规划。
条文说明
10.1.1 城市道路和轨道交通是城市总体规划的重要组成部分,关系到城市整体功能和可持续发展,其交叉位置必须符合城市总体规划。如需调整时,应报规划主管部门批准,并相应调整城市总体规划。
10.1.2 道路与轨道交通线路交叉可分为平面交叉和立体交叉两种。交叉形式应根据道路和轨道交通线路的性质、等级、交通量、地形条件、安全要求以及经济、社会效益等因素确定,应优先采用立体交叉。
条文说明
10.1.2 关于“应优先采用立体交叉”的规定:
根据铁路统计资料,我国铁路既有平交道口年均事故率(年均一处道口的事故次数)在0.13以上,直接经济损失上亿元,给人民生命财产造成严重损失。设置铁路与道路立体交叉是消除这种损失的重要途径,根据《中华人民共和国铁路法》的有关规定,结合铁路运量逐年增加,行车速度逐年提高的特点,为减少意外人身事故发生,确保行车安全,规定铁路与道路交叉应当优先考虑立交,减少平交道口。
10.1.3 分期修建的道路与轨道交通线路交叉工程,应近远期结合。
10.1.4 道路与轨道交通线路交叉设计应符合国家关于安全、环保、卫生和抗震等有关标准的要求。
10.2 立体交叉
10.2 立体交叉
10.2.1 道路与轨道交通线路交叉,符合下列条件之一者必须设置立体交叉:
1 快速路与轨道交通线路交叉;
2 主干路、次干路、支路与高速铁路、客运专线、铁路车站、铁路编组场的交叉;
3 行驶有轨电车或无轨电车的道路与铁路交叉;
4 主干路、次干路、支路与除有轨电车道外的城市轨道交通交叉。
条文说明
10.2.1 该条为强制性条文,主要是明确城市道路与轨道交通线路相交,必须设置立体交叉的条件,目的是保证道路、轨道交通的行车和行人安全。
轨道交通线路包括铁路、城市轨道交通,城市轨道交通又分为地铁、轻轨、单轨、有轨电车、磁浮、自动导向轨道和市域快速轨道等七大系统。道路与轨道交通线路必须设置立体交叉的依据如下:
1 快速路交通功能强,服务水平高,交通量大,具有连续交通流、全部控制出入口的特点。如果采用平面交叉,当道口处于开放状态时,汽车通过道口需限速行驶,严重影响道路交通功能;当道口处于封闭状态时,会造成严重的交通堵塞。故规定必须采用立交。重要的主干路与铁路交叉,若交通流量大,部分控制出入口,也必须采用立交。
2 高速铁路(时速高达250km/h~350km/h)、客运专线,行车密度大(最小间隔时分可达2min~1.5min)均为全封闭运行;铁路市内车站旅客流量大,编组场作业繁忙,主干路、次干线、支路与它们交叉时,为保证道路畅通和各自的行车安全,均必须设置立体交叉。
3 有轨电车与铁路同为轨道交通,而轨道、结构各异,相交时必须是立交。无轨电车道虽无轨道,但其供电接触网、柱与铁路相冲突,也必须设置立体交叉。
4 除有轨电车外的城市轨道交通,如地铁、轻轨等,行车密度大、全封闭运行,故规定主干路、次干路、支路与除有轨电车外的城市轨道交通交叉必须设置立体交叉。
10.2.2 道路与铁路交叉,符合下列条件之一者应设置立体交叉:
1 主干路、次干路、支路与路段旅客列车设计行车速度大于或等于120km/h的铁路交叉;
2 主干路、次干路、支路与道口交通量大或铁路调车作业繁忙的铁路相交;
3 当受地形等条件限制,采用平面交叉将危及行车安全的道口。
条文说明
10.2.2 该条为城市道路与铁路相交,应设置立体交叉的条件,目的也是保持道路、轨道交通的行车和行人安全。
1 路段旅客列车设计行车速度大于或等于120km/h的地段,列车速度高、密度大,列车追踪间隔时间仅几分钟,铁路与道路平面交叉的安全可靠性差,故规定应设置立体交叉。
2 为避免城市道口因铁路调车作业繁忙而封闭道口累计时间较长;或道路在交通高峰时间内经常发生因一次封闭时间较长,而引起道路交通堵塞,故为避免因延误时间而造成的城市社会经济损失,应设置立体交叉。
3 受地形等条件限制造成道路与铁路通视不良,不符合行车和行人安全的道口,也应设置立体交叉。
10.2.3 符合下列条件之一者宜设置立体交叉:
1 当道口的机动车流量不大,但非机动车和行人流量较大时,宜设置人行立体交叉或人非合用的立体交叉。
2 主干路与设置有轨电车的道路交叉,宜采用立体交叉。
条文说明
10.2.3 该条为宜设置立体交叉的条件:
1 目的是确保行人的安全。
2 主干路交通流量较大,有轨电车需要考虑交叉口信号优先,若交叉口的信控延误较大,影响交叉口的通行能力,宜设置立体交叉。
10.2.4 立体交叉形式可采用道路上跨或下穿两种。按具体情况也可采用机动车道上跨、非机动车道下穿轨道交通的组合形式。
10.2.5 道路与轨道交通高架线路交叉时,宜利用桥跨净空采取道路下穿的形式。
条文说明
10.2.5 高速铁路和城市快速轨道交通与城市道路交叉,当其为高架线时,应充分合理利用其桥跨净空采取道路下穿的形式,这主要是为了避免道路跨线桥高及引桥长,造成工程量大,以减小对周边环境和城市景观的影响。
10.2.6 道路与轨道交通立体交叉的建筑限界应符合下列规定:
1 轨道交通上跨道路时,轨道交通的桥下净高、道路侧向净宽应符合本规范第3.0.8条、第3.0.9条的规定。
2 道路上跨轨道交通时,道路桥跨的长度、净高应符合现行国家标准《标准轨距铁路建筑限界》GB 146.2要求及其城市轨道交通的有关规定;有双层集装箱运输要求的铁路,应满足双层集装箱运输限界的规定。
3 道路下穿时,轨道交通线路桥跨布置应满足道路对停车视距的要求。
4 轻轨及地铁地面线、高架线路的建筑限界,应根据采用的车辆类型及其设备限界、设备安装尺寸及安全间隙和有无人行通道、隔声屏障,以及供电制式、接触网柱结构设计尺寸等具体计算确定。
条文说明
10.2.6 道路上跨铁路时,铁路的建筑限界除应满足现行国家标准《标准轨距铁路建筑限界》GB 146.2的规定外,还应考虑所跨不同类别铁路的具体要求,如有双层集装箱运输要求的铁路,应满足双层集装箱运输限界的要求;近些年来修建的较高时速客货共线铁路和高速客运专线等对基本建筑限界高度也有不同要求,详见表13的规定。

《地铁设计规范》GB 50157对建筑限界未直接列出具体数据,设计中需根据采用的车辆类型及其设备限界、设备安装尺寸、安全间隙和有无人行通道、有无隔声屏障、供电制式及接触网柱结构设计尺寸等因素计算确定。
道路与铁路立体交叉的建筑限界应符合《城市道路交叉口设计规程》CJJ 152的相关规定。
10.3 平面交叉
10.3 平面交叉
10.3.1 当次干路、支路与铁路支线、地方铁路、工业企业铁路交叉时,可设置平交道口。但车站内、桥梁、隧道两端及进站信号机外100m范围内不应设置平交道口,铁路曲线地段以及通视不良路段不宜设置平交道口。
条文说明
10.3.1 铁路车站是列车交会、越行、摘挂、集结、编解的场所,道口如设在车站内,由于列车作业的需要,关闭道口的次数增多,封闭时间延长,影响道路的通行能力;另外,在车站上经常有列车阻挡,严重恶化道口瞭望条件,容易造成事故。现行《铁路技术管理规程》规定“在车站内不应设置道口”,故本条规定在站内不应设置道口。
如果道口设在桥头和隧道两端,道岔区进站信号机外方100m的范围内,一旦发生道口事故,被撞的机动车和脱轨的列车颠覆在道岔区内、桥下或隧道内时,易造成道岔、桥梁、隧道的破坏,且修复困难,增加救援难度,中断铁路行车时间长,造成的损失更大,因此应尽量避免在这些处所设置道口。
道口设在铁路曲线上除恶化瞭望条件外,还由于铁路曲线外轨超高破坏道路纵断面的平顺性,超高大时还会因局部坡度过大造成机动车熄火,引发道口事故。因此本条规定道口不宜设在曲线上。
10.3.2 无人值守或未设置自动信号的平交道口,机动车驾驶员的侧向最小瞭望视距应符合表10.3.2的规定(图10.3.2)。


条文说明
10.3.2 据统计,道口事故率与道口瞭望视距相关,当道口交通量相同时,瞭望视距不足的道口事故率偏高。为了提高道口的安全度,降低道口事故率,道口宜设在瞭望条件良好的地点。
本条规定的机动车驾驶员侧向最小瞭望视距是指机动车驾驶员在距道口相当于该段道路停车视距并不小于50m处的侧向最小瞭望视距,应大于机动车自该处起以规定速度通过道口的时间内,火车驶至道口的最大距离。
瞭望视距要求如图4所示,两个由视距构成的最小视线三角形范围内要求保持良好的视线条件。

?L2是当汽车在道路上行驶时,驾驶员发现有火车驶向道口,立即采取制动措施,使汽车在道口前停下来的最小距离,国家现行标准规定为50m。
L1是在汽车通过道口所需的时间内火车行驶的最大距离,即:

离与列车的制动距离之和。
10.3.3 道路与铁路平面交叉宜设计为正交,斜交时其交叉角应大于45°。
条文说明
10.3.3 铁路与道路平面交叉应尽量设计为正交或接近正交,但由于地形条件或拆迁工程等限制需要斜交时,交叉锐角应大于45°,以缩短道口的长度和宽度,并避免小型机动车和非机动车的车轮陷入轮缘槽内的不安全因素。
10.3.4 通过道口的道路平面线形应为直线。从最外侧钢轨外缘算起的道路直线段最小长度不应小于50m,困难条件下不得小于30m。
条文说明
10.3.4 本条文规定的道口每侧道路的最小直线长度是按下列条件计算确定的。
1 汽车进入道口端,驾驶员在道口栏木外相当于该路段的停车视距处应能看清道口,其最小直线长度计算如图6所示:

2 汽车驶出铁路道口端的最小长度。汽车驶出铁路道口端的最小长度应为驾驶员确认前方道路线形的反应时间内汽车行驶的最大距离。
汽车行驶至最外侧轨道中心时驾驶员即可开始辨认前方道路的线形,从反应开始至生效的时间取3s,汽车整体驶出道口后开始加速。以小客车为计算标准,车长取6m,汽车通过道口的速度取20km/h,加速度取1.0m/s2,则在驾驶员反应时间3s内汽车行驶的最大距离为18m。
3 平面线形连接要求的最小直线长度。
汽车通过道口的速度为20km/h,在道口前后30m范围内的平均速度为30km/h。
铁路道口一般是设在道路的反向曲线之间。根据国家现行标准规定,反向曲线间的最小直线长度(以m计)不宜小于设计速度(以km/h计)数值的2倍,故道口两端直线长度之和不应小于60m、每侧最小直线长度不应小于30m。
10.3.5 道口两侧应设平台,并应符合下列规定:
1 自最外侧钢轨外至最近竖曲线切点间的平台长度,通行铰接车和拖挂车的道口不应小于20m,通行普通汽车的道口不应小于16m。
2 平台纵坡度不应大于0.5%。
3 紧接道口平台两端的道路纵坡度不应大于表10.3.5的规定值。

条文说明
10.3.5 为有利于道路上的车辆在道口前停车和启动,从最外侧钢轨外5m算起的平台长度不应小于停留一台车辆的长度。
本条文中的数值均引用自国家现行有关标准。经检算,铰接汽车要求的道口平台长度为20m;半挂车和载重汽车要求的道口平台长度平均为16m,如果停留半挂车,后轮在竖曲线上的当量坡度不大于1.0%,不影响车辆启动。
紧接道口平台的道路最大纵坡值按停留在坡段上的各类车辆能顺利启动考虑,本条文中的数值与国家现行标准的规定一致,也与原规范的规定相一致,但取消了“特殊困难条件下可酌量加大1.0%~2.0%”的规定,以改善道口前后的行车条件。
10.3.6 次干路、支路与有轨电车道平面交叉道口应符合下列规定:
1 道路与有轨电车道交叉宜设计为正交,斜交时其交叉角应大于45°。
2 交叉道口处的通视条件应满足道路与道路平面交叉的规定。
3 交叉道口处的道路线形宜为直线,从外侧钢轨算起的直线最小长度不应小于30m。
4 道口有轨电车的轨面标高宜与道路路面标高一致,有轨电车道的纵断面宜保持不变。
5 平交道口的交通组织设计应与车流、人流相协调,合理布设人行道、车行道及有轨电车车站出入通道;并应按规定设置道口信号、行车标志、标线等交通管理设施。
6 交叉道口信号应按有轨电车优先的原则设置。
条文说明
10.3.6 有轨电车道与次干路、支路同属城市地面交通系统,且交叉较频繁,考虑次干路、支路的车流量一般比快速路、主干路要小,行车速度也较低,故其相交时宜设置平面交叉,以避免多处立交工程,可节省大量工程投资,并减小对周边环境和城市景观的影响。
1 有轨电车轨道与道路平面交叉宜尽量设计为正交,以缩短交叉道口地段的长度和宽度,有利于有轨电车、汽车和行人都能通畅地尽快通过道口。当由于交叉处的地形、重要建(构)筑物控制只能斜交时,为避免小型机动车和非机动车的车轮陷入轮缘槽内的不安全因素,要求交叉锐角应大于45°。
2 道口处的通视条件应符合《城市道路工程设计规范》CJJ 37的规定,在平面交叉口视距三角形范围内妨碍驾驶员视线的障碍物应清除,满足停车视距要求。
3 道路与有轨电车道平面交叉,对道路线形及直线段长度的要求考虑有轨电车速度较低,直线段长度取最小值30m,也与《城市道路工程设计规范》CJJ 37的规定相符。
4 平面交叉道口的设计标高,应综合考虑行车舒适、工程量大小、排水通畅、周边环境和景观要求等因素合理确定。为使道路行车平顺,减小轮轨冲击受损,有轨电车的轨面标高宜与道路路面标高一致。当沿道路敷设有轨电车道与道路交叉时,要以交通量大的主要道路为主,有轨电车道纵坡度宜保持不变,次要道路纵坡度服从主要道路。
5 道路交叉口处车流较集中,上、下车和过往行人也多,应做好交通组织设计,处理车流、人流的关系,合理布设车行道、人行道和邻近交叉口的有轨电车站位置,避免或尽量减少车辆、行人的交叉混行,确保车流通畅和有轨电车乘客、过往行人的安全。
在平面交叉口范围内,按交通管理有关规定设置道口信号、行车标志、标线等设施,是规范道口交通管理、保证道口交通有序进行的必要措施,以确保有轨电车和道路安全通畅。
6 当道路与沿道路敷设的有轨电车交叉时,还应符合道路平面交叉设计的有关规定。有轨电车道与城市次干路、支路不同,它属于客运专线性质,客流量较大,为充分发挥有轨电车的作用,节省乘客出行时间和体现社会效益,故其平面交叉道口应按有轨电车优先通行设置信号。
本规范用词说明
本规范用词说明
1 为便于在执行本规范条文时区别对待,对要求严格程度不同的用词说明如下:
1)表示很严格,非这样做不可的:
正面词采用“必须”,反面词采用“严禁”;
2)表示严格,在正常情况下均应这样做的:
正面词采用“应”,反面词采用“不应”或“不得”;
3)表示允许稍有选择,在条件许可时首先应这样做的:
正面词采用“宜”,反面词采用“不宜”;
4)表示有选择,在一定条件下可以这样做的,采用“可”。
2 条文中指明应按其他有关标准执行的写法为:“应符合……的规定”或“应按……执行”。
引用标准名录
引用标准名录
1 《无障碍设计规范》GB 50763
2 《标准轨距铁路建筑限界》GB 146.2
3 《城市桥梁设计规范》CJJ 11
4 《城市道路绿化规划与设计规范》CJJ 75
5 《城市道路交叉口设计规程》CJJ 152
