Appearance
《交流电气装置的接地设计规范》GB/T 50065-2011
🗓️ 实施时间: 2012-06-01
前 言
前 言
本规范是根据原建设部《关于印发<二00四年工程建设国家标准制订、修订计划>的通知》(建标[2004]67号)的要求,由中国电力科学研究院会同有关单位对原国家标准《工业与民用电力装置的接地设计规范》GBJ 65—83进行修订而成的。
本规范在修订过程中,修订组经过调查研究,广为搜集近年来随着电力系统的发展对电气工程中交流电气装置接地技术提出的新要求以及相关科研成果和工程的实践经验,在原有标准的基础上增添了许多新的内容。在认真处理征求意见稿反馈意见后提出送审稿,最后经审查定稿。
本规范共分8章和9个附录,主要技术内容包括:总则,术语,高压电气装置接地,发电厂和变电站的接地网,高压架空线路和电缆线路的接地,高压配电电气装置的接地,低压系统接地型式、架空线路的接地、电气装置的接地电阻和保护总等电位联结系统,低压电气装置的接地装置和保护导体等。
本规范本次修订的主要内容是:
1.对本规范的适用范围作了修订,由适用于35kV及以下,扩大到适用于750kV及以下电压等级。同时由于接地要求的不同,将交流电气装置按系统标称电压的区别划分为高压(1kV以上至750kV)和低压(1kV及以下)电气装置。
2.根据条文内容的修订,适当增加了术语。
3.规定了接地的种类。随着本规范适用范围的扩大,也将高压电气装置的保护接地的范围加以扩大。
4.提出了110kV及以上变电站接地网设计的一般要求。对有效接地系统变电站接地网提出了地电位升高的限值和均压要求。针对接地装置防腐蚀要求引入了铜和铜覆钢材料。补充了具有气体绝缘金属封闭开关设备(GIS)变电站的接地,以及发电厂和变电站雷电保护与防静电的接地要求。
5.对高压架空线路和电缆线路的接地作出了规定。
6.对高压配电电气装置的接地作出了规定。
7.参照IEC有关标准和现行国家标准提出低压系统接地型式、架空线路的接地、低压电气装置的接地电阻和保护总等电位联结的规定。
8.参照IEC有关标准和现行国家标准提出低压电气装置的接地装置和保护导体的要求。
本规范由住房和城乡建设部负责管理,由中国电力企业联合会标准化管理中心负责具体管理,由中国电力科学研究院负责具体技术内容的解释。本规范在执行过程中,请各单位结合工程实践。认真总结经验,如有意见或建议请寄送中国电力科学研究院(地址:北京市海淀区小营东路15号;邮政编码:100192),以便今后修订时参考。
本规范主编单位、参编单位、主要起草人和主要审查人:
**主编单位:**中国电力科学研究院
**参编单位:**清华大学
**主要起草人:**杜澍春 陆家榆 何金良 鞠 勇 郭 剑 葛 栋 曾 嵘
**主要审查人:**方 静 王 茁 陈俊章 李 晖 董晓辉 梁学宇 曾小超 陈宏明 彭 勇 黄宝莹 丁 杰 马静波 张惠寰 巴 涛 韩敬军 刘庆时 王荣亮 陆宠惠 刘稳坚 陈光华 王碧云 王厚余 黄妙庆 刘 继
总 则
1 总 则
1.0.1 为使交流电气装置的接地设计在电力系统运行和故障时能保证电气装置和人身的安全,做到技术先进、经济合理,制定本规范。
条文说明
1.0.1 阐明规范制订的目的。
1.0.2 本规范适用于交流标称电压1kV以上至750kV发电、变电、送电和配电高压电气装置,以及1kV及以下低压电气装置的接地设计。
条文说明
1.0.2 修订前的规范《工业与民用电力装置接地》GBJ 65—1983仪适用于35kV及以下电压等级。此次修订,将我国目前已运行的750kV及以下电压等级全部纳入。同时由于接地要求的不同,将交流电气装置按系统标称电压划分为高压(1kV以上至750kV)和低压(1kV及以下)电气装置。
1.0.3 交流电气装置的接地设计,应遵循规定的设计步骤。设计方案、接地导体(线)和接地极材质的选用等,应因地制宜。土壤情况比较复杂地区的重要发电厂和变电站的接地网,宜经经济技术比较后确定设计方案。
条文说明
1.0.3 强调接地设计必须从实际出发、因地制宜。条款中“重要发电厂和变电站”,系指“330kV及以上发电厂和变电站、全户内变电站、220kV枢纽变电站、66kV及以上城市变电站、紧凑型变电站以及腐蚀严重地区的11OkV发电厂和变电站等”。
已有工程经验表明,在土壤电阻率并不均匀的情况下仅利用适用于均匀土壤电阻率地区的接地电阻公式和典型形状接地网接触/跨步电位差的计算公式进行接地网的设计,其结果大多是实测的接地参数与设计不符。而追加的补救措施往往也是盲目的。既可能造成投资的浪费,也可能带来安全的隐患。因此对土壤情况比较复杂地区的重要发电厂和变电站的接地网设计,推荐利用专用软件进行数值计算,经过不同方案的比较后再确定设计方案。近年来国内外已开发出多种可以考虑分层土壤条件的接地工程设计专用软件。从科技进步、提高设计技术水平和优选方案、降低工程造价等诸多方面来说,对于重要的发电厂和变电站的接地网设计,优先采用这些接地工程设计专用软件进行设计是值得提倡的。
1.0.4 交流电气装置的接地设计,除应符合本规范外,尚应符合国家现行有关标准的规定。
条文说明
1.0.4 所指尚应符合的现行有关国家标准名称已在“引用标准名录”中列出。
术 语
2 术 语
条文说明
本规范的术语来自以下几个方面:
1 按《电工术语 电气装置》GB/T 2900.71—2008和《电工术语 接地与电击保护》GB/T 2900.73—2008择取了相关的术语。
2 吸收了《交流变电站接地安全导则》IEEE Std80—2000的相关术语。
3 吸收了《交流电气装置的接地》DL/T 621—1997的相关术语。
2.0.1 接地 earth
在系统、装置或设备的给定点与局部地之间做电连接。
2.0.2 系统接地 system earthing
电力系统的一点或多点的功能性接地。
2.0.3 保护接地 protective earthing
为电气安全,将系统、装置或设备的一点或多点接地。
2.0.4 雷电保护接地 lightning protective earthing
为雷电保护装置(避雷针、避雷线和避雷器等)向大地泄放雷电流而设的接地。
2.0.5 防静电接地 static protective earthing
为防止静电对易燃油、天然气贮罐和管道等的危险作用而设的接地。
2.0.6 接地极 earthing electrode
埋入土壤或特定的导电介质(如混凝土或焦炭)中与大地有电接触的可导电部分。
2.0.7 接地导体(线) earthing conductor
在系统、装置或设备的给定点与接地极或接地网之间提供导电通路或部分导电通路的导体(线)。
2.0.8 接地系统 earthing system
系统、装置或设备的接地所包含的所有电气连接和器件。
2.0.9 接地装置 earth connection
接地导体(线)和接地极的总和。
2.0.10 接地网 earth-electrode network
接地系统的组成部分,仅包括接地极及其相互连接部分。
2.0.11 集中接地装置 concentrated earth connection;concentrated grounding connection
为加强对雷电流的散流作用、降低对地电位而敷设的附加接地装置,敷设3根~5根垂直接地极。在土壤电阻率较高的地区,则敷设3根~5根放射形水平接地极。
2.0.12 接地电阻 earthing resistance
在给定频率下,系统、装置或设备的给定点与参考地之间的阻抗的实部。
2.0.13 工频接地电阻 power frequency earthing resistance
根据通过接地极流入地中工频交流电流求得的电阻。
2.0.14 冲击接地电阻 impulse earthing resistance
根据通过接地极流入地中冲击电流求得的接地电阻(接地极上对地电压的峰值与电流的峰值之比)。
2.0.15 地电位升高 earth potential rise
电流经接地装置的接地极流入大地时,接地装置与参考地之间的电位差。
2.0.16 接触电位差 touch potential difference
接地故障(短路)电流流过接地装置时,大地表面形成分布电位,在地面上到设备水平距离为1.Om处与设备外壳、架构或墙壁离地面的垂直距离2.Om处两点间的电位差。
2.0.17 最大接触电位差 maximal touch potential difference
接地网孔中心对接地网接地极的最大电位差。
2.0.18 跨步电位差 step potential difference
接地故障(短路)电流流过接地装置时,地面上水平距离为1.Om的两点间的电位差。
2.0.19 最大跨步电位差 maximal step potential difference
接地网外的地面上水平距离1.Om处对接地网边缘接地极的最大电位差。
2.0.20 转移电位 diverting potential
接地故障(短路)电流流过接地系统时,由一端与接地系统连接的金属导体传递的接地系统对参考地之间的电位。
2.0.21 外露可导电部分 exposed conductive part
设备上能触及到的可导电部分,它在正常情况下不带电,但在基本绝缘损坏时会带电。
2.0.22 外界可导电部分 extraneous conductive part
非电气装置的,且易于引入电位的可导电部分,该电位通常为局部电位。
2.0.23 中性导体 neutral conductor
电气上与中性点连接并能用于配电的导体。
2.0.24 保护导体 protective conductor(PE)
为了安全目的设置的导体。
2.0.25 保护中性导体 PEN conductor(PEN)
具有中性导体和保护导体两种功能的导体。
2.0.26 等电位联结 equipotential bonding
为达到等电位,多个可导电部分间的电连接。
2.0.27 保护总等电位联结系统 protective equipotential bonding system(PEBS)
用于保护的为实现可导电部分之间的等电位联结而将这些部分相互连接。
2.0.28 直流偏移 dc offset
电力系统暂态情况下,实际电流与对称电流波形之间的差异。
2.0.29 接地故障对称电流有效值 effective symmetrical ground fault current
接地故障时交流电流有效值。
2.0.30 接地故障不对称电流有效值 effective asymmetrical ground fault current
计及直流电流分量数值及其衰减特性影响的不对称电流的等价有效值。
2.0.31 衰减系数 decrement factor
接地计算中,对接地故障电流中对称分量电流引入的校正系数,以考虑短路电流的过冲效应。衰减系数Df为接地故障不对称电流有效值If与接地故障对称电流有效值If的比值。
2.0.32 接地网最大入地电流 maximum grid current
接地故障电流中经接地网流入地中的电流最大值,供接地设计使用。
2.0.33 接地网入地对称电流 symmetrical grid current
接地网入地电流的对称分量。
2.0.34 故障电流分流系数 fault current division factor
接地网入地对称电流Ig与接地故障对称电流If的比值。
2.0.35 接地故障电流持续时间 continuous time of ground fault current
接地故障出现起直至其终止的全部时间。
条文说明
2.0.35 接地故障电流持续时间ts 为接地故障出现起直至其终止的全部时间。该时间用于计算变电站接地网的接触电位差和跨步电位差的允许值和接地导体(线)的热稳定。
2.0.36 放热焊接 exothermic welding
利用金属氧化物与铝之间的氧化还原反应,同时释放出大量的热量和高温熔融金属,进行焊接的方法。
条文说明
2.0.36 新增条文。《电气装置安装工程接地装置施工及验收规范》GB 50169—2006已经列出该条文,并标明评判指标。在IEEE等标准中均推荐在接地连接中采用放热焊接进行连接。并将经放热焊接连接的两个导体视为同一导体。它可以焊接不同的金属,如铜与钢,尤其适合铜接地网之间的连接。放热焊接目前在国内已在采用。
高压电气装置接地
3.1 一般规定
3 高压电气装置接地
3.1 一般规定
条文说明
本节引自《交流电气装置的接地》DL/T 621—1997的3.1~3.3,但按新术语作了修改。其中也提及了附属于高压电气装置的主要二次设备的接地要求。
3.1.1 电力系统、装置或设备应按规定接地。接地装置应充分利用自然接地极接地,但应校验自然接地极的热稳定性。接地按功能可分为系统接地、保护接地、雷电保护接地和防静电接地。
3.1.2 发电厂和变电站内,不同用途和不同额定电压的电气装置或设备,除另有规定外应使用一个总的接地网。接地网的接地电阻应符合其中最小值的要求。
条文说明
3.1.2 本规范中接地电阻如无另外注明,均指工频接地电阻。
3.1.3 设计接地装置时,应计及土壤干燥或降雨和冻结等季节变化的影响,接地电阻、接触电位差和跨步电位差在四季中均应符合本规范的要求。但雷电保护接地的接地电阻,可只采用在雷季中土壤干燥状态下的最大值。典型人工接地极的接地电阻可按本规范附录A计算。
条文说明
3.1.3 补充了降雨时对地表电阻率降低的因素,如果地表没有高阻层,则接触电位差和跨步电位差的限值会降低到很低的值。另一方面,会导致地表低电阻率层流过的电流增加,使地表的接触电位差和跨步电位差增加,从而对人身安全不利。因此,如果地表没有敷设高阻层时应校核雨季时接地的安全性。
3.2 保护接地的范围
3.2 保护接地的范围
条文说明
本节引自《交流电气装置的接地》DL/T 621—1997的第4章高压电气装置保护接地的范围。其中第3.2.1条的第1款是新补充的系统接地的内容。
3.2.1 电力系统、装置或设备的下列部分(给定点)应接地:
1 有效接地系统中部分变压器的中性点和有效接地系统中部分变压器、谐振接地、低电阻接地以及高电阻接地系统的中性点所接设备的接地端子。
2 高压并联电抗器中性点接地电抗器的接地端子。
3 电机、变压器和高压电器等的底座和外壳。
4 发电机中性点柜的外壳、发电机出线柜、封闭母线的外壳和变压器、开关柜等(配套)的金属母线槽等。
5 气体绝缘金属封闭开关设备的接地端子。
6 配电、控制和保护用的屏(柜、箱)等的金属框架。
7 箱式变电站和环网柜的金属箱体等。
8 发电厂、变电站电缆沟和电缆隧道内,以及地上各种电缆金属支架等。
9 屋内外配电装置的金属架构和钢筋混凝土架构,以及靠近带电部分的金属围栏和金属门。
10 电力电缆接线盒、终端盒的外壳,电力电缆的金属护套或屏蔽层,穿线的钢管和电缆桥架等。
11 装有地线(架空地线,又称避雷线)的架空线路杆塔。
12 除沥青地面的居民区外,其他居民区内,不接地、谐振接地和高电阻接地系统中无地线架空线路的金属杆塔。
13 装在配电线路杆塔上的开关设备、电容器等电气装置。
14 高压电气装置传动装置。
15 附属于高压电气装置的互感器的二次绕组和铠装控制电缆的外皮。
3.2.2 附属于高压电气装置和电力生产设施的二次设备等的下列金属部分可不接地:
1 在木质、沥青等不良导电地面的干燥房间内,交流标称电压380V及以下、直流标称电压220V及以下的电气装置外壳,但当维护人员可能同时触及电气装置外壳和接地物件时除外。
2 安装在配电屏、控制屏和配电装置上的电测量仪表、继电器和其他低压电器等的外壳,以及当发生绝缘损坏时在支持物上不会引起危险电压的绝缘子金属底座等。
3 安装在已接地的金属架构上,且保证电气接触良好的设备。
4 标称电压220V及以下的蓄电池室内的支架。
5 除本规范第4.3.3条所列的场所外,由发电厂和变电站区域内引出的铁路轨道。
发电厂和变电站的接地网
4.1 110kV及以上发电厂和变电站接地网设计的一般要求
4 发电厂和变电站的接地网
4.1 110kV及以上发电厂和变电站接地网设计的一般要求
条文说明
本节是为了规范电气装置的接地设计而新引入的内容,总结了一些有相当资质设计部门的工作经验。其中也参考了电力行业标准《水力发电厂接地设计技术导则》DL/T5091—1999的有关内容。
4.1.1 设计人员应掌握工程地点的地形地貌、土壤的种类和分层状况,并应实测或搜集站址土壤及江、河、湖泊等的水的电阻率、地质电测部门提供的地层土壤电阻率分布资料和关于土壤腐蚀性能的数据,应充分了解站址处较大范围土壤的不均匀程度。
条文说明
4.1.1 所提变电站站址土壤电阻率测量的要求,对其介绍如下:
1 土壤电阻率测量方法。土壤电阻率的测量方法有土壤试样分析法、三极法和四极法。
土壤试样分析的原理是通过钻探得到地下不同深度的土壤试样,在实验室中进行试样分析,得到随深度变化的电阻率分布情况。一般是用已知尺寸的土壤试样相对两面间所测得的电阻值来推算试样的电阻率,这种测试方法会带来一定的误差,因为该值包含了电极与土壤试样的接触电阻和电极电阻,这些都是未知的。在实际中很少有均匀的土壤,我们一般测量得到的是土壤的等值电阻率或土壤的视在电阻率。
三极法的原理是测量埋入地中的标准垂直接地极的接地电阻,然后利用接地电阻的计算公式反推出土壤电阻率。改变垂直接地极的深度,得到视在土壤电阻率随深度变化的曲线,这种方法的缺点是测量的深度有限,最多在10m以内。
目前,我国接地电阻测量国家标准推荐采用的土壤电阻率测量方法是四极法,一般采用等测量间距的温纳(Wenner)四极法,如图1所示。四个测量电极沿着一条直线被打进土壤中,相隔等距离a,打入深度为b。然后测量两个中间电极(电极)之间的电压,然后用它除以两个外侧的电流极之间的电流就给出一个电阻值R。

图1 测量土壤电阻率的等间距四极法(Wenner四极法)
视在土壤电阻率可以由测量得到的电阻值和极间距换算得到:
(1)
式中:ρa——土壤的视在电阻率;
R——测量到的电阻;
a——相邻测试电极之间的距离;
b——测量电极打入地中的深度。
如果b远小于a,即在探头仅仅穿透地面一小段距离时,式(1)可简化为:
ρa=2πaR (2)
测量极间距较小时电流倾向于在表面流动,而大跨距时更多的电流则渗透到深层土壤中。地质勘探时近似假设:当土壤层电阻率反差不是过大时,测量得到的给定探头间距a时的电阻率代表深度为a的土壤视在电阻率。
因此,从每一个极间距a值所测得的电阻值R,可得出对应的视在电阻率ρa,将ρa与对应的a绘成曲线,可了解到土壤电阻率随深度变化的情况。
电阻率的测量记录中应该包括测量时的温度数据和关于土壤含水量的信息。在研究区内已知的埋入导电物体的所有可以获得的数据也应该记录下来。
土壤电阻率测量时,测量电流极应打入地中20cm,有时为了增大测量电流可能要将电流极打入地中更深,或增加电流极的数量。测量电压极应打入地中10cm。
变电站站址的土壤电阻率测量一般最大的极间距为变电站区域的对角线的长度,以反映变电站工频短路时散流区域的土壤特性。为了测量得到土壤的视在土壤电阻率随极间距的变化特性,测量时的极间距应包括1m、2m、5m、10m、20m、40m、75m、100m、150m、200m、250m、300m,大致以50m的间隔直到最大极间距。
2 土壤结构模型分析方法。在现场得到的视在电阻率的解释可能是测量程序中最困难的部分。基本的目的是获得实际土壤一个好的近似的土壤模型。土壤电阻率沿着横向和纵向方面变化,而纵向方面的变化取决于土壤的分层。由于变化的天气条件,土壤电阻率也会随着季节的变化而变化。必须承认,这个土壤模型仅仅只是实际土壤条件的一种近似而已,而不是完全的匹配。
如果视在电阻率基本上不随极间距变化,可以认为土壤为均匀土壤模型。这种情况很少遇到。
如果测试得到的视在电阻率随测量极间距变化的曲线是从高到低(如图2中的曲线1)或由低到高(如图2中的曲线2),则可以处理为双层土壤模型。

图2 双层土壤的典型视在电阻率曲线
图3和图4所示为三层和四层结构的土壤的典型视在电阻率曲线。

图3 三层壤结构模型的典型视在电阻率曲线

图4 四层土壤结构模型的典型视在电阻率曲线
对于两层及以上的土壤结构,最好通过专门的计算机分析软件分析得到土壤分层参数。
4.1.2 设计人员应根据有关建筑物的布置、结构、钢筋配置情况,确定可利用作为接地网的自然接地极。
4.1.3 设计人员应根据当前和远景的最大运行方式下一次系统电气接线、母线连接的送电线路状况、故障时系统的电抗与电阻比值等,确定设计水平年的最大接地故障不对称电流有效值。
4.1.4 设计人员应计算确定流过设备外壳接地导体(线)和经接地网入地的最大接地故障不对称电流有效值。
4.1.5 接地网的尺寸及结构应根据站址土壤结构和其电阻率,以及要求的接地网的接地电阻值初步拟定,并宜通过数值计算获得接地网的接地电阻值和地电位升高,且将其与要求的限值比较,并通过修正接地网设计使其满足要求。
4.1.6 设计人员应通过计算获得地表面的接触电位差和跨步电位差分布,并应将最大接触电位差和最大跨步电位差与允许值加以比较。不满足要求时,应采取降低措施或采取提高允许值的措施。
4.1.7 接地导体(线)和接地极的材质和相应的截面,应计及设计使用年限内土壤对其的腐蚀,通过热稳定校验确定。
4.1.8 设计人员应根据实测结果校验设计。当不满足要求时,应补充与完善或增加防护措施。
4.2 接地电阻与均压要求
4.2 接地电阻与均压要求
4.2.1 保护接地要求的发电厂和变电站接地网的接地电阻,应符合下列要求:
1 有效接地系统和低电阻接地系统,应符合下列要求:
1)接地网的接地电阻宜符合下列公式的要求,且保护接地接至变电站接地网的站用变压器的低压侧应采用TN系统,低压电气装置应采用(含建筑物钢筋的)保护总等电位联结系统:
R≤2000/IG (4.2.1-1)
式中:R——采用季节变化的最大接地电阻(Ω);
IG——计算用经接地网入地的最大接地故障不对称电流有效值(A),应按本规范附录B确定。
IG应采用设计水平年系统最大运行方式下在接地网内、外发生接地故障时,经接地网流入地中并计及直流分量的最大接地故障电流有效值。对其计算时,还应计算系统中各接地中性点间的故障电流分配,以及避雷线中分走的接地故障电流。
2)当接地网的接地电阻不符合本规范式(4.2.1-1)的要求时,可通过技术经济比较适当增大接地电阻。在符合本规范第4.3.3条的规定时,接地网地电位升高可提高至5kV。必要时,经专门计算,且采取的措施可确保人身和设备安全可靠时,接地网地电位升高还可进一步提高。
2 不接地、谐振接地和高电阻接地系统,应符合下列要求:
1)接地网的接地电阻应符合下列公式的要求,但不应大于4Ω,且保护接地接至变电站接地网的站用变压器的低压侧电气装置,应采用(含建筑物钢筋的)保护总等电位联结系统:
R≤120/Ig(4.2.1-2)
式中:R——采用季节变化的最大接地电阻(Ω);
Ig——计算用的接地网入地对称电流(A)。
2)谐振接地系统中,计算发电厂和变电站接地网的入地对称电流时,对于装有自动跟踪补偿消弧装置(含非自动调节的消弧线圈)的发电厂和变电站电气装置的接地网,计算电流等于接在同一接地网中同一系统各自动跟踪补偿消弧装置额定电流总和的1.25倍;对于不装自动跟踪补偿消弧装置的发电厂和变电站电气装置的接地网,计算电流等于系统中断开最大一套自动跟踪补偿消弧装置或系统中最长线路被切除时的最大可能残余电流值。
条文说明
4.2.1 本条第1款,式(4.2.1-1)引自《交流电气装置的接地》DL/T 621—1997中5.1.1的a)。
由于站用变压器的保护接地接至变电站接地网、且与站用变压器的低压中性点共用接地,以及参考《低压系统内设备的绝缘配合》GB/T16935.1(IEC60664—1,IDT)中对于基本固体绝缘和附加固体绝缘应能承受暂时过电压为Vn+1200V(Vn为低压系统标称相电压)的规定,对于R≤2000/IG 但R>1200/IG的情况,为确保人身和低压电气装置的安全,提出了低压侧(380/220V)应采用TN系统且低压电气装置采用(含建筑物钢筋的)保护总等电位联结系统的要求。低压TN系统发生接地故障时接触电压可能达到1OOV~150V,从人身安全考虑,也应采取保护等电位联结。
对于有效接地系统和低电阻接地系统,当满足R≤1200/IG时,依据《低压系统内设备的绝缘配合》GB/T16935.1(IEC60664—1,IDT),保护接地接至变电站接地网的站用变压器的低压接地系统的型式不予限制,但低压电气装置应采用(含建筑物钢筋的)保护总等电位联结系统。
由于我国电网的发展,系统短路容量迅速扩大,在一般情况下系统接地故障后流经变电站接地网的电流IG已达10kA甚至更高。因此式(4.2.1-1)很难满足。这次修订时,参考有关科研成果和国内外标准以及工程经验等,将变电站接地网地电位升高允许值适当地加以提高。但这是有条件的,即要以符合本规范第4.3.3条的要求为前提。
提高变电站接地网地电位升高允许值时,更应考虑站用变压器0.4kV侧中性点的接地与站用变压器保护接地共用条件下人身与设备的安全问题。为此本规范再次强调了低压侧应采用TN系统且低压电气装置采用(含建筑物钢筋的)保护总等电位联结系统的要求。
其次,变电站接地网地电位升高直接与二次系统的安全性相关。系统发生接地故障时接地网中流动的电流,将在二次电缆的芯线一屏蔽层之间,或二次设备的信号线或电源线与地之间产生电位差。当此电位差超过二次电缆或二次设备绝缘的工频耐受电压时,二次电缆或设备将会发生绝缘破坏。因此,必须将极限电位升高控制在二次系统安全值之内。
一般的二次电缆2s工频耐受电压较高(≥5kV)。二次设备,如综合自动化设备,其工频绝缘耐受电压为2kV/min。从安全出发,二次系统的绝缘耐受电压可取2kV。
二次系统在短路时承受的地电位升高,还决定于二次电缆的接地方式。
二次电缆屏蔽层单端接地时,电缆屏蔽层中没有电流流过,接地故障时二次电缆芯线上的感应电位很小,二次电缆承受的电位差即为地电位升高。该电位差施加在二次电缆的绝缘上,因此地电位升高直接决定于二次电缆绝缘的交流耐压及二次设备绝缘的交流耐压值。
当电缆的屏蔽层双端接至接地网时,接地故障电流注入接地网会有部分电流从电缆的屏蔽层中流过,将在二次电缆的芯线上感应较高的电位,从而使作用在二次电缆的芯—屏蔽层电位差减小。对变电站二次电缆的不同布置方式及不同接地故障点位置,清华大学通过大量的计算表明,双端接地电缆上感应的芯—屏蔽层电位通常不到地网电位升的20%。甚至对于土壤电阻率为50Ω•m左右,边长大于100m的接地网,即使在二次电缆屏蔽层接地点附近发生接地故障时,芯—皮电位小于地网电位升高的40%。目前,变电站已实现保护在电气装置处就近设置,变电站内的二次电缆一般都较短,如果二次电缆的长度小于接地网边长的一半,则在最严酷的条件下,芯—屏蔽层电位差也小于40%,甚至更小。
因此采用二次电缆屏蔽层双端接地,可以将地电位升高放宽到2kV/(40%)=5kV。采用二次电缆屏蔽层双端接地的方式,虽然短路时地电位升高达到5kV,但作用在二次电缆芯一屏蔽层之间和二次设备上的电位差只有2kV,满足了二次系统安全的要求。
二次电缆屏蔽层双端接地带来的一个问题是,接地故障时有部分故障电流流过二次电缆的屏蔽层。如果故障电流较大,则有可能烧毁屏蔽层。应在电缆沟中与二次电缆平行布置一根扁铜或铜绞线,且接至接地网。二次电缆与扁铜应可靠连接。这样接地故障时,由于扁铜的阻抗比二次电缆屏蔽层的阻抗小得多,因此故障电流主要从扁铜中流过,而流过二次电缆的屏蔽层的电流较小。可以消除屏蔽层双端接地时可能烧毁二次电缆的危险。
最后,当站用变压器向站外低压用户供电时,由于站用变压站外壳已连接至站接地网,为此应避免变电站接地网过高的地电位升高对站用变压器低压绕组造成反击。一般条件下,10/0.4kV站用变压器的0.4kV侧的短时交流耐受电压仅为3kV(例如《电力变压器 第11部分:干式变压器》GB 1094.11对0.4kV侧的短时交流耐受电压就规定为该值)。为此当接地网地电位升高超过2kV时规定:10/0.4kV站用变压器的0.4kV侧的短时交流耐受电压应比厂、站接地网地电位升高超出40%,以确保变电站接地网地电位升高不会反击至低压系统。而向厂、站外供电用低压线路要采用架空线,站用变压器低压绕组中性点不在厂、站内接地,改在厂、站外适当的地方接地。
对于与变电站连接的通信线路,也要考虑地电位升高的高电位引出及其隔离措施。目前变电站的通信线路一般采用光缆通信线路,此问题可不予考虑。未采用光缆通信线路时,则必须采用专门的隔离变压器。其一次、二次绕组间绝缘的交流1min耐压值不应低于15kV。
本规范综合上述后规定:在符合本规范4.3.3条规定的条件下,接地网地电位升高可提高至5kV。必要时,经专门计算,且采取的措施可确保人身安全和设备安全可靠运行时,接地网地电位升高还可进一步提高。
1998年投产的天荒坪抽水蓄能电站500kV升压站的接地电阻为0.75Ω,地电位升高值约达6kV。加拿大拉格兰德具有735kV升压站的二级水电站接地设计标准采用过的地电位升高值为9.28kV。
我国在考虑发电厂和变电站接地网的电位升高时,对于接地装置的入地接地故障电流,未计及接地故障过渡过程时接地故障电流中直流分量的影响。本规范式(4.2.1-1)中流经接地装置的入地接地故障不对称电流有效值IG ,则按《交流变电站接地安全导则》IEEE Std80—2000的相应要求,引入接地故障电流中直流分量的影响,从而使设计更为安全。
计算用接地故障电流原则上应选择变电站工程设计水平年(15年~20年后)接线情况下,站内发生接地故障时的接地故障电流和各对端有电源线路所提供的接地故障电流。当系统远景不是十分明确时,我国华东某省电力公司的《变电站铜质接地网应用导则》中提出的“500kV配电装置的总接地故障电流可选63kA;500kV站的220kV配电装置可选50kA,220kV枢纽站的220kV配电装置选50kA,一般的220kV站的220kV配电装置选40kA;110kV站可选25kA。”的推荐意见可供参考。
本条中提及的“专门计算”和可能“采取的措施”在设计中如何操作,对此给出如下一些参考意见:
1 关于接地计算采用的专用程序。目前,水平或垂直分层的多层土壤中接地网性能的数值仿真方法已经非常成熟,包括土壤分层结构、接地电阻、地电位升高分布、跨步电位差、接触电位差、地表任意点的电位等均可以计算。
一般来说,土壤都可以用分层模型来表示,对于n层土壤则有2n—1个未知量。土壤建模的过程也就是用最小二乘法对测量点进行拟合的过程。在数学上这是一个反演问题,已知响应,需要由响应反推得到实际土壤的分层模型。反演过程实际上就是假设多种分层结构模型,由假设模型的计算结果与实测结果比较,调整假设模型,直到二者之间的误差达到一定的要求。
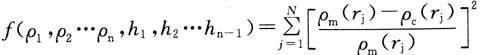
因此,土壤分层的原理是:首先对需要建模的土壤进行测量,得到土壤表面实际的视在电阻率。用最小二乘法建立由测量值ρm及由未知土壤模型建立的计算值ρc所构成的目标函数:
(3)
式中:f(ρ1,ρ2…ρn,h1,h2…hn-1)——目标函数;
ρ1,ρ2…ρn——各层土壤电阻率;
h1,h2…hn-1——各层土壤厚度;
n——土壤层数;
N——测量得到的土壤表面视电阻率个数。
最后,利用无约束非线性最优化方法目标函数进行寻优,得到最佳土壤模型,也就是得到了土壤的结构。
接地电阻、地电位升高分布、跨步电位差、接触电位差和地表任意点的电位等的分析可以通过电磁场数值计算完成。土壤中任一点的电位是土壤中向外泄漏电流的源产生的。接地系统就是一个向外泄漏电流的源。其附近任意点的电位都是由它产生的,求出接地极上的泄漏电流分布就可以求得接地电阻、地电位升高分布、跨步电位差、接触电位差和地表任意点的电位等。因此,得到导体中泄漏电流的分布是关键。实际的接地极中泄漏电流的分布是不均匀的,通常将接地极分为若干短的导体棒来分段逼近实际的电流分布。最基本的方法是按照接地极之间的相互交叉情况分段。使用导体表面上电位的连续性来建立方程组,即在导体段表面上两点间的电位差是由各导体段上的泄漏电流决定的,而导体段内这两点间的电位差是由导体本身的阻抗和流过导体段上的轴向电流产生的,这两个电位差应当相等,同时导体段上的轴向电流可以用各导体段上的泄漏电流表示,从而建立了一组方程,解之可得接地网上的泄漏电流分布。
依据上面的思想,在每段导体增加一个中间节点,在中间节点和端节点间添加金属导体的内阻,在中间节点上连接由所有泄漏电流产生的电位决定的电压源,则可按电路理论中的节点法列出节点方程进行求解。
假设每剖分导体的泄漏电流在中间节点流入大地,可得中间节点上电压源与泄漏电流的关系:
[VM]=[RMM][IM] (4)
式中上角标M表示中间节点,RMM电阻矩阵,由土壤结构决定,当i=j时,Rjj为第i段自电阻,二者不等时为导体剖分段间的互阻。
金属的内阻可以很容易由导体尺寸及其电导率求得,考虑中间节点后的接地系统网络的节点方程为:
(5)
式中上角标T表示剖分段端部节点;
IT为端部节点的注入电流列向量,只有短路节点有注入接地系统的电流,其余节点的注入电流都为零;
GMM为中间节点的自导对角矩阵,其元素可以由金属导体的电阻公式计算;
GMT为中间节点和端部节点间的互导,当节点i和j相连时,元素值为二者间导体段的自导纳,元素值为负,当节点不连时,元素值为零;
GTM为GMT的转置矩阵;
GTT为端部节点的自导纳对角矩阵。
由上述两个方程组可以求解得到剖分导体段的中间点和端部点的电位及中间点流入大地的泄漏电流:
(6)
分析得到各导体段的入地电流后,按照电场理论就可以计算接地系统在任一点产生的电位,进而求得接地电阻、地电位升高分布、跨步电位差、接触电位差和地表任意点的电位等。
对于并联电缆和扁铜的情况,可以先求得两个连接点的电位和由这两个点看入的接地系统等效内阻,然后按照戴维南等效电路求得流过电缆或扁铜的电流。
2 软件应用。以某500kV变电站接地网为例。采用对称四极法对变电站站址的视在土壤电阻率进行了测量,测试了东西和南北两个方向的视在土壤电阻率随两电流极间距AB的变化规律,测试结果如图5所示。两方向的测量数值极其接近,说明在测试深度范围内土壤“各向异性”变化不大,土壤为沿水平分层的多层土壤。土壤结构可分为水平3层,表层厚2.35m,电阻率180.3Ω • m;中间层厚87.6m;电阻率80Ω • m;底层电阻率为488Ω •m。

图5 视在土壤电阻率测试结果
与变电站相连的所有线路包括:500kV出线3回;220kV出线5回。500kV侧接地故障(短路电流18kA)时对应的变电站的分流系数为0.671,对应的最大接地故障电流为0.671×18kA=12.08kA;220kV侧接地故障(短路电流23kA)时对应的变电站的分流系数为0.533,对应的接地故障最大电流为0.533×23kA=12.26kA。
接地网占地300×210(m2),埋设深度为0.8m,钢接地体均匀布置,间距约为15m。接地电阻计算结果为0.332Ω。大于《交流电气装置的接地》DL/T 621—1997规定的小于2000V/12.26kA=0.163Ω的要求。但地电位升高计算结果为4069V,满足本规范规定的小于5000V要求。跨步电位差为134V,其安全限值为475V(接地故障电流持续时间取0.4s),即使不铺高阻层也可以满足人身安全要求;但接触电位差为914V,远大于无高阻层时的安全限值324V(接地故障电流持续时间取0.4s),为保障人身安全,需要铺设5cm厚的高阻层。
由于接地故障时变电站接地系统不同部位导体存在较大的电位差,该电位差可能通过接地网耦合进入二次电缆,影响二次系统安全性能。分析如图6所示的由控制楼引出的KVVP2-450/1000V 4芯电缆的安全情况。 当12.26kA电流入地时,电缆的芯皮电位差为148V,屏蔽层中的电流为377A,有些情况下电缆屏蔽层电流可能过大,烧毁电缆。为了减少流过电缆屏蔽层的电流,保障电缆的安全,可沿电缆并行布置一根扁铜,以分流电缆屏蔽层中的电流。对于图6所示的电缆,经过分析,并联2倍电缆屏蔽层横截面积的扁铜排,流过电缆屏蔽层的电流为103A。可以看到,铺设铜条后屏蔽层的电流明显减小。

图6 电缆和电流入地点的位置示意
本条第2款第1项按《交流电气装置的接地》DL/T 621—1997中5.1.1 b)的1引入。为考虑人身安全,补充了低压电气装置采用(含建筑物钢筋的)保护总等电位联结系统的要求。
第2项按《交流电气装置的接地》DL/T 621—1997中5.1.1b)的3引入。(4.2.1-2)式中的Ig,采用的是接地网入地对称电流。其原因在于不接地、谐振接地和高电阻接地系统发生单相接地故障后,虽然对地短路电流中也存在着直流分量,但因不立即跳闸,较快衰减的直流的影响已可不必考虑。
进出线都为电力电缆的城区变电站的接地电阻,一般可适当放宽要求。但因工程情况各异,因此需进行专门研究加以确定。
4.2.2 确定发电厂和变电站接地网的型式和布置时,应符合下列要求:
1 110kV及以上有效接地系统和6kV~35kV低电阻接地系统发生单相接地或同点两相接地时,发电厂和变电站接地网的接触电位差和跨步电位差不应超过由下列公式计算所得的数值:
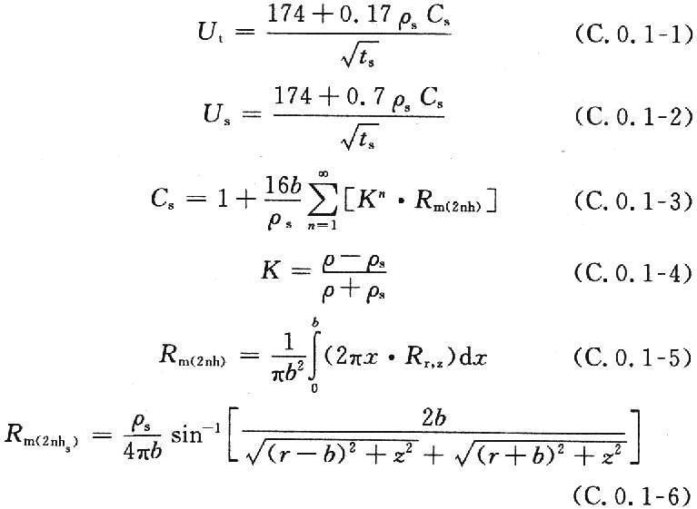
Ut=(174+0.17ρsCs)/(√ts ) (4.2.2-1)
Us=(174+0.7ρsCs)/(√ts ) (4.2.2-2)
式中:Ut——接触电位差允许值(V);
Us——跨步电位差允许值(V);
ρs——地表层的电阻率(m);
Cs——表层衰减系数,按本规范附录C的规定确定;
ts ——接地故障电流持续时间,与接地装置热稳定校验的接地故障等效持续时间te 取相同值(s)。
2 6kV~66kV不接地、谐振接地和高电阻接地的系统,发生单相接地故障后,当不迅速切除故障时,发电厂和变电站接地装置的接触电位差和跨步电位差不应超过下列公式计算所得的数值:
Ut=50+0.05ρsCs (4. 2.2-3)
Ut=50+0.2ρsCs (4.2.2-4)
3 接触电位差和跨步电位差可按本规范附录D的规定计算。
条文说明
4.2.2 当系统发生接地短路故障时,流经变电站接地网的入地电流引起接地网的对地电位升高,且接地网内部电位也是不等的。当运行维护人员等在系统故障时,手触及带电的构架(见图7),手—脚的接触电位差就会使其遭到电击;相应的当人两脚不在一起时(见图8),脚—脚的跨步电位差也会导致人受到电击。那么受到电击的人是否会有致死的危险,则是人们普遍关注的问题。

图7 人体遭受接触电位差

图8 人体遭受跨步电位差
根据国外学者的研究,人体可承受的最大交流电流有效值Ib(mA)由下列2式决定:
对于体重50kg的人:
Ib=116/(√ts) (7)
式中:ts——通过人体电流的时间(s)。
对于体重70kg的人:
Ib=157/(√ts) (8)
人体的电阻Rb(Ω)变动范围很大。《交流变电站接地安全导则》IEEEStd80—2000选用1000Ω。我国自1979年(水利电力部颁布《电力设备接地设计技术规程》SDJ 8—79)一直采用1500Ω。人脚站在土壤电阻率为ρ的地面上时的电阻Rg(Ω)可视为一个直径16cm金属板置于地面上的电阻。该电阻经计算为3ρ。于是人可承受接触电位差和跨步电位差的限值分别为:
(9)
(10)
在以上2式中人体电阻取1500Ω,人体体重按50kg考虑,人体可承受的最大交流电流有效值Ib(mA)依式(7)取值。
式(9)与式(10)即我国《交流电气装置的接地》DL/T 621—1997中3.4中的式(1)和式(2)。此种要求早在1984年已被列入水利电力部颁发的《500kV电网过电压保护绝缘配合与电气设备接地暂行技术标准》SD 119—84中。迄今已执行逾25年,是安全可行的。
本规范式(4.2.2-1)和式(4.2.2-2)中的表层衰减系数Cs,是参照《交流变电站接地安全导则》IEEE Std80—2000中8.3引入的。当具有为提高接触电位差和跨步电位差的允许阈值而敷设的高电阻率表层材料时,系数Cs相当于一个校正系数,用来正确计算此种条件下脚的有效电阻。该系数的计算方法见本规范附录C。
人遭遇电击时身体吸收的能量正比于流过人体电流的平方与ts的乘积。为对人身安全从严要求,本规范式(4.2.2-1)和式(4.2.2-2)中的ts与附录E中的te取同一值。
本条第2款按第1款相同的原则处理。
4.3 水平接地网的设计
4.3 水平接地网的设计
4.3.1 发电厂和变电站水平接地网应符合下列要求:
1 水平接地网应利用直接埋入地中或水中的自然接地极,发电厂和变电站接地网除应利用自然接地极外,还应敷设人工接地极。
2 当利用自然接地极和引外接地装置时,应采用不少于2根导线在不同地点与水平接地网相连接。
3 发电厂(不含水力发电厂)和变电站的接地网,应与110kV及以上架空线路的地线直接相连,并应有便于分开的连接点。6kV~66kV架空线路的地线不得直接和发电厂和变电站配电装置架构相连。发电厂和变电站接地网应在地下与架空线路地线的接地装置相连接,连接线埋在地中的长度不应小于15m。
4 在高土壤电阻率地区,可采取下列降低接地电阻的措施:
1)在发电厂和变电站2000m以内有较低电阻率的土壤时,敷设引外接地极;当地下较深处的土壤电阻率较低时,可采用井式、深钻式接地极或采用爆破式接地技术。
2)填充电阻率较低的物质或降阻剂,但应确保填充材料不会加速接地极的腐蚀和其自身的热稳定。
3)敷设水下接地网。水力发电厂可在水库、上游围堰、施工导流隧洞、尾水渠、下游河道或附近的水源中的最低水位以下区域敷设人工接地极。
5 在永冻土地区可采用下列措施:
1)将接地网敷设在溶化地带或溶化地带的水池或水坑中。
2)可敷设深钻式接地极,或充分利用井管或其他深埋在地下的金属构件作接地极,还应敷设深垂直接地极,其深度应保证深入冻土层下面的土壤至少5m。
3)在房屋溶化盘内敷设接地网。
4)在接地极周围人工处理土壤,降低冻结温度和土壤电阻率。
6 在季节冻土或季节干旱地区可采用下列措施:
1)季节冻土层或季节干旱形成的高电阻率层的厚度较浅时,可将接地网埋在高电阻率层下0.2m。
2)已采用多根深钻式接地极降低接地电阻时,可将水平接地网正常埋设。
3)季节性的高电阻率层厚度较深时,可将水平接地网正常埋设,在接地网周围及内部接地极交叉节点布置短垂直接地极,其长度宜深入季节高电阻率层下面2m。
条文说明
4.3.1 引自《交流电气装置的接地》DL/T 621—1997的第6.1.1条~第6.1.4条。
本条第4款提及了降低发电厂和变电站接地网接地电阻的方法。降低发电厂和变电站接地电阻的基本措施是将接地网在水平面上扩展或向纵深方向发展。这包括扩大接地网面积、引外接地、增加接地网的埋设深度、利用自然接地、深垂直接地极、局部换土、爆破接地技术及深井接地技术等。应注意各种降阻方法都有其应用的特定条件,针对不同地区、不同条件采用不同的方法才能有效地降低接地电阻;另外各种方法也不是孤立的,在使用过程中必须相互配合,以获得明显的降阻效果。降阻方法的应用效果宜结合接地系统的数值计算进行分析。特别是采用长垂直接地极时,宜结合分层土壤模型来确定合理的垂直接地极深度,做到有的放矢。
少量地扩大接地网面积对降低发电厂、变电站接地网的接地电阻效果不明显。当接地网的埋深在1m左右时,增加接地网的埋设深度对降低接地电阻的基本不起作用。
引外接地主要适宜于水电站的降阻,通过将水库堤坝等基础的钢筋及在水库中敷设的附加接地网与主接地网相连来降低接地电阻。
对于面积狭小的市区变电站,通常可采用长垂直接地极结合爆破接地技术来降低接地网的接地电阻。
对于非城区变电站,可采用良导体地线来增加分流、采用长垂直接地极结合爆破接地技术来降低接地网的接地电阻外,还可以利用适当的引外接地。
在高土壤电阻率地区降阻的有效方法是采用长垂直接地电极,结合分层土壤模型,有效地利用地下低电阻率层,以达到要求的降阻效果。为了减小水平接地网对垂直接地极和垂直接地极之间的屏蔽效应,以提高垂直接地极的利用系数,垂直接地极宜沿接地网的外围导体布置。如果条件许可的话,尽可能将垂直接地极向站外布置,让垂直接地极间的距离不小于2倍垂直接地极的长度。垂直接地极的根数及实际长度的选择,可根据水平接地网接地电阻的大小和实际的降阻要求以及地质结构来确定。其基本原则是在地中无低电阻率层时,垂直接地极的长度一般不得小于水平接地网的等效半径,垂直接地极的根数一般应在4根以上。但应考虑如下两点:一是垂直接地极根数增加到一定值时降阻率趋于饱和,二是长垂直接地极的施工费用比较高。
爆破接地技术的基本原理是采用钻孔机在地中垂直钻一定直径和深度的深孔。在孔中插入接地电极,然后沿孔的整个深度隔一定距离安放一定量的炸药来进行爆破,将岩石爆裂、爆松。接着用压力机将调成浆状的低电阻率材料压入深孔中及爆破制裂产生的缝隙中,以达到通过低电阻率材料将地下巨大范围的土壤内部沟通及加强接地电极与土壤或岩石的接触。从而达到在大范围内改良土壤的特性,实现较大幅度降低接地电阻的目的,如图9所示。

图9 单根垂直接地极采用深孔爆破接地技术后形成的填充了降阻剂的区域
地下水可以填充土壤中的空隙,增大土壤的散流面积,缩短土壤的散流通道,这是地下水影响土壤电阻率的原因。土壤的湿度越大,土壤电阻率越低,含有丰富导电离子的地下水对土壤电阻率的影响更加明显。在有地下水的地区可以采用深水井接地技术来降低接地电阻。它是利用水井积水的原理制作的接地极,如图10所示。在地中挖一深井,在井壁内布置不锈钢管或热镀锌钢管接地极。钢管的直径约5cm,钢管壁上必须留有通水孔。利用钢管内的空间作为深水井的储水空间,钢管的金属既是接地极的导体,又是深水井的井壁。另外水井的上端不能封死,必须留有通气孔以形成压力差,确保地下水分子的运动,在接地极的周围形成明显的低电阻率区,从而降低了接地极的接地电阻。

图10 水井积水原理
第6款是针对季节冻土或季节干旱地区的情况而据工程实践新补充的内容。
4.3.2 发电厂和变电站接地网除应利用自然接地极外,应敷设以水平接地极为主的人工接地网,并应符合下列要求:
1 人工接地网的外缘应闭合,外缘各角应做成圆弧形,圆弧的半径不宜小于均压带间距的1/2,接地网内应敷设水平均压带,接地网的埋设深度不宜小于0.8m。
2 接地网均压带可采用等间距或不等间距布置。
3 35kV及以上变电站接地网边缘经常有人出入的走道处,应铺设沥青路面或在地下装设2条与接地网相连的均压带。在现场有操作需要的设备处,应铺设沥青、绝缘水泥或鹅卵石。
4 6kV和10kV变电站和配电站,当采用建筑物的基础作接地极,且接地电阻满足规定值时,可不另设人工接地。
条文说明
4.3.2 引自《交流电气装置的接地》DL/T 621—1997的第6.2.1条。
4.3.3 有效接地和低电阻接地系统中发电厂和变电站接地网在发生接地故障后地电位升高超过2000V时,接地网及有关电气装置应符合下列要求:
1 保护接地接至变电站接地网的站用变压器的低压侧,应采用TN系统,且低压电气装置应采用(含建筑物钢筋的)保护等电位联结接地系统。
2 应采用扁铜(或铜绞线)与二次电缆屏蔽层并联敷设。扁铜应至少在两端就近与接地网连接。当接地网为钢材时,尚应防止铜、钢连接产生腐蚀。扁铜较长时,应多点与接地网连接。二次电缆屏蔽层两端应就近与扁铜连接。扁铜的截面应满足热稳定的要求。
3 应评估计入短路电流非周期分量的接地网电位升高条件下,发电厂、变电站内6kV或10kV金属氧化物避雷器吸收能量的安全性。
4 可能将接地网的高电位引向厂、站外或将低电位引向厂、站内的设备,应采取下列防止转移电位引起危害的隔离措施:
1)站用变压器向厂、站外低压电气装置供电时,其0.4kV绕组的短时(1min)交流耐受电压应比厂、站接地网地电位升高40%。向厂、站外供电用低压线路采用架空线,其电源中性点不在厂、站内接地,改在厂、站外适当的地方接地。
2)对外的非光纤通信设备加隔离变压器。
3)通向厂、站外的管道采用绝缘段。
4)铁路轨道分别在两处加绝缘鱼尾板等。
5 设计接地网时,应验算接触电位差和跨步电位差,并应通过实测加以验证。
条文说明
4.3.3 第3款和4款引自《交流电气装置的接地》DL/T 621一1997的第6.2.2条。第1款和2款是新补充的要求。其解释见本规范第4.2.1条的说明。
4.3.4 人工接地极,水平敷设时可采用圆钢、扁钢;垂直敷设时可采用角钢或钢管。腐蚀较重地区采用铜或铜覆钢材时,水平敷设的人工接地极可采用圆铜、扁铜、铜绞线、铜覆钢绞线、铜覆圆钢或铜覆扁钢;垂直敷设的人工接地极可采用圆铜或铜覆圆钢等。
接地网采用钢材时,按机械强度要求的钢接地材料的最小尺寸,应符合表4.3.4-1的要求。接地网采用铜或铜覆钢材时,按机械强度要求的铜或铜覆钢材料的最小尺寸,应符合表4.3.4-2的要求。

注:1 地下部分圆钢的直径,其分子、分母数据分别对应于架空线路和发电厂、变电站的接地网。
2 地下部分钢管的壁厚,其分子、分母数据分别对应于埋于土壤和埋于室内混凝土地坪中。
3 架空线路杆塔的接地极引出线,其截面不应小于50mm2,并应热镀锌。

注:1 铜绞线单股直径不小于1.7mm。
2 各类铜覆钢材的尺寸为钢材的尺寸,铜层厚度不应小于0.25mm。
条文说明
4.3.4 引自《交流电气装置的接地》DL/T 621—1997的第6.1.5条。表4.3.4—1中参考欧洲标准EN 50164—2 Lightning Protec—tion System Components(LPSC)-Part 2:Requirements for con-ductors,earth electrodes and earth electrode accessories《防雷系统组成部分——第二部分:对导体、接地极和接地极附件的要求》August 2002,取消了地上导体分为室内和室外的分法,只考虑地上和地下两类及其对接地极的要求。
近年来覆铜钢材(采用电镀、在铜液中连铸等工艺将铜覆于表面的钢材)在国内也有开发并应用于变电站接地网工程。为与本规范第4.3.6条的第4款相呼应,在表4.3.4-2中参考欧洲标准EN 50164—2 Lightning Protection System Components(LPSC)-Part 2:Requirements for conductors,earth electrodes andearth electrode accessories《防雷系统组成部分——第二部分:对导体、接地极和接地极附件的要求》August 2002和《交流变电站接地安全导则》IEEE Std80—2000给出了对铜、铜覆钢材料的要求。
4.3.5 发电厂和变电站接地装置的热稳定校验,应符合下列要求:
1 在有效接地系统及低电阻接地系统中,发电厂和变电站电气装置中电气装置接地导体(线)的截面,应按接地故障(短路)电流进行热稳定校验。接地导体(线)的最大允许温度和接地导体(线)截面的热稳定校验,应符合本规范附录E的规定。
2 校验不接地、谐振接地和高电阻接地系统中,电气装置接地导体(线)在单相接地故障时的热稳定,敷设在地上的接地导体(线)长时间温度不应高于150℃,敷设在地下的接地导体(线)长时间温度不应高于100℃。
3 接地装置接地极的截面,不宜小于连接至该接地装置的接地导体(线)截面的75%。
条文说明
4.3.5 引自《交流电气装置的接地》DL/T 621—1997的第6.2.7条、第6.2.8条。第3款引自《交流电气装置的接地》DL/T 621—1997附录C的C2。
4.3.6 接地网的防腐蚀设计,应符合下列要求:
1 计及腐蚀影响后,接地装置的设计使用年限,应与地面工程的设计使用年限一致。
2 接地装置的防腐蚀设计,宜按当地的腐蚀数据进行。
3 接地网可采用钢材,但应采用热镀锌。镀锌层应有一定的厚度。接地导体(线)与接地极或接地极之间的焊接点,应涂防腐材料。
4 腐蚀较重地区的330kV及以上发电厂和变电站、全户内变电站、220kV及以上枢纽变电站、66kV及以上城市变电站、紧凑型变电站,以及腐蚀严重地区的110kV发电厂和变电站,通过技术经济比较后,接地网可采用铜材、铜覆钢材或其他防腐蚀措施。
条文说明
4.3.6 本条第1~3款引自《交流电气装置的接地》DL/T 621—1997的第6.1.6条。
选择接地导体(线)、接地极材料的出发点是接地网在变电站的设计使用年限内要做到免维护。其尺寸要综合考虑接地故障电流热稳定的要求,也要考虑变电站在设计使用年限内导体的腐蚀总量。材料的选择需由综合的技术经济分析确定。
接地导体(线)、接地极材料一般采用镀锌钢。镀锌钢的镀锌层必须采用热镀锌的方法。且镀层要有足够的厚度,以满足接地装置设计使用年限的要求。已有的研究表明,土壤电阻率、类别、含盐量、酸碱度和含水量等因素会导致钢材质接地导体(线)、接地极的腐蚀。确定变电站站址土壤的腐蚀率是确定接地导体(线)、接地极截面尺寸的基础。接地设计应按站址当地土壤腐蚀条件选择适当的材料和防腐蚀措施。表1给出了若干土壤腐蚀情况的参考值。

本条第4款是根据近年我国华北电网、江苏、河南和广东等地企业标准或反事故措施中已明确推荐采用铜材或铜镀钢材料的规定和参考华东某省电力公司2005年6月发布的《变电站铜质接地网应用导则》相应条款引入的。
1988年8月投产的华能大连发电厂接地装置采用的材质是退火铜绞线,未采取特殊防腐措施。接地引下线/水平接地极的截面为2×150mm2和250mm2两种。垂直接地极为1.2m长的镀铜钢棒。虽然该厂的土壤为碱性土壤,未出现问题。广东江门500kVGIS变电站接地网水平接地极采用4mm×30mm的扁铜。设备接地引下线采用4mm×60mm的扁铜。已运行20多年情况仍然良好。由于扁铜太软,在进行垂直接地极施了时采用铜镀钢棒。
接地网采用铜材和铜覆钢材一般认为较贵。然而铜和铜覆钢材比钢材耐腐蚀性能要好,在腐蚀严重地区不用钢而代之以铜将是合理的。
4.3.7 发电厂和变电站电气装置的接地导体(线),应符合下列要求:
1 发电厂和变电站电气装置中,下列部位应采用专门敷设的接地导体(线)接地:
1)发电机机座或外壳,出线柜、中性点柜的金属底座和外壳,封闭母线的外壳。
2)110kV及以上钢筋混凝土构件支座上电气装置的金属外壳。
3)箱式变电站和环网柜的金属箱体。
4)直接接地的变压器中性点。
5)变压器、发电机和高压并联电抗器中性点所接自动跟踪补偿消弧装置提供感性电流的部分、接地电抗器、电阻器或变压器等的接地端子。
6)气体绝缘金属封闭开关设备的接地母线、接地端子。
7)避雷器,避雷针和地线等的接地端子。
2 当不要求采用专门敷设的接地导体(线)接地时,应符合下列要求:
1)电气装置的接地导体(线)宜利用金属构件、普通钢筋混凝土构件的钢筋、穿线的钢管和电缆的铅、铝外皮等,但不得使用蛇皮管、保温管的金属网或外皮,以及低压照明网络的导线铅皮作接地导体(线)。
2)操作、测量和信号用低压电气装置的接地导体(线)可利用永久性金属管道,但可燃液体、可燃或爆炸性气体的金属管道除外。
3)用本款第1)项和第2)项所列材料作接地导体(线)时,应保证其全长为完好的电气通路,当利用串联的金属构件作为接地导体(线)时,金属构件之间应以截面不小于1OOmm2的钢材焊接。
3 接地导体(线)应便于检查,但暗敷的穿线钢管和地下的金属构件除外。潮湿的或有腐蚀性蒸汽的房间内,接地导体(线)离墙不应小于1Omm。
4 接地导体(线)应采取防止发生机械损伤和化学腐蚀的措施。
5 在接地导体(线)引进建筑物的入口处应设置标志。明敷的接地导体(线)表面应涂15mm~1OOmm宽度相等的绿色和黄色相间的条纹。
6 发电厂和变电站电气装置中电气装置接地导体(线)的连接,应符合下列要求:
1)采用铜或铜覆钢材的接地导体(线)应采用放热焊接方式连接。钢接地导体(线)使用搭接焊接方式时,其搭接长度应为扁钢宽度的2倍或圆钢直径的6倍。
2)当利用钢管作接地导体(线)时,钢管连接处应保证有可靠的电气连接。当利用穿线的钢管作接地导体(线)时,引向电气装置的钢管与电气装置之间,应有可靠的电气连接。
3)接地导体(线)与管道等伸长接地极的连接处宜焊接。连接地点应选在近处,在管道因检修而可能断开时,接地装置的接地电阻应符合本规范的要求。管道上表计和阀门等处,均应装设跨接线。
4)采用铜或铜覆钢材的接地导体(线)与接地极的连接,应采用放热焊接;接地导体(线)与电气装置的连接,可采用螺栓连接或焊接。螺栓连接时的允许温度为250℃,连接处接地导体(线)应适当加大截面,且应设置防松螺帽或防松垫片。
5)电气装置每个接地部分应以单独的接地导体(线)与接地母线相连接,严禁在一个接地导体(线)中串接几个需要接地的部分。
6)接地导体(线)与接地极的连接,接地导体(线)与接地极均为铜(包含铜覆钢材)或其中一个为铜时,应采用放热焊接工艺,被连接的导体应完全包在接头里,连接部位的金属应完全熔化,并应连接牢固。放热焊接接头的表面应平滑,应无贯穿性的气孔。
条文说明
4.3.7 引自《交流电气装置的接地》DL/T 621—1997的第6.2.5条、第6.2.6条、第6.2.10条、第6.2.11条和第6.2.13条。对于铜或铜覆钢接地导体(线)的焊接,基于可提高允许温度节约材料,提出了应采用放热焊接的要求。《电气装置安装工程 接地装置施工及验收规范》GB 50169—2006对放热焊接也有明确的规定。
本条第6款第4项中对接地导体(线)与电气装置采用螺栓方式连接时,根据英国接地标准(BS7430—1998:Code of Practice for Earthina)的规定,指出螺栓连接时的允许温度为250℃,提出了连接处接地导体(线)应适当加大截面的要求。
4.4 具有气体绝缘金属封闭开关设备变电站的接地
4.4 具有气体绝缘金属封闭开关设备变电站的接地
4.4.1 具有气体绝缘金属封闭开关设备的变电站,应设置一个总接地网。其接地电阻的要求应符合本规范第4.2节的规定。
条文说明
4.4.1 66kV~220kV具有气体绝缘金属封闭开关设备的变电站,一般为GIS变电站。而在500kV变电站中有开关装置采用GIS而母线采用敞开式配电装置的设计,对此种组合方式称为HGIS变电站。 日前工程中GIS变电站均采用一个总接地网。
4.4.2 气体绝缘金属封闭开关设备区域应设置专用接地网,并应成为变电站总接地网的一个组成部分。该设备区域专用接地网,应由该设备制造厂设计,并应具有下列功能:
1 应能防止故障时人触摸该设备的金属外壳遭到电击。
2 释放分相式设备外壳的感应电流。
3 快速流散开关设备操作引起的快速瞬态电流。
条文说明
4.4.2 这是目前工程的一般情况。应强调的是工程设计单位应主动与GIS制造厂交换工程设计信息与要求,同时了解GIS制造厂提出的GIS区域专用接地网设计方案,并在变电站总接地网设计中加以考虑并纳入。
4.4.3 气体绝缘金属封闭开关设备外部近区故障人触摸其金属外壳时,区域专用接地网应保证触及者手一脚间的接触电位差符合下列公式的要求:
√[U2tmax+(U′tomax)2]<Ut (4.4.3)
式中:U2tmax——设备区域专用接地网最大接触电位差,由人脚下的点决定;
U′tomax——设备外壳上、外壳之间或外壳与任何水平/垂直支架之间金属到金属因感应产生的最大电压差;
Ut——接触电位差容许值。
条文说明
4.4.3 引自《交流变电站接地安全导则》IEEE Std80—2000的第10.8节。
4.4.4 位于居民区的全室内或地下气体绝缘金属封闭开关设备变电站,应校核接地网边缘、围墙或公共道路处的跨步电位差。变电站所在地区土壤电阻率较高时,紧靠围墙外的人行道路宜采用沥青路面。
条文说明
4.4.4 位于居民区的GIS变电站,考虑环保因素,参考华东某省电力公司的《变电站铜质接地网应用导则》相应条款,对跨步电位差提出相关要求。
4.4.5 气体绝缘金属封闭开关设备区域专用接地网与变电站总接地网的连接线,不应少于4根。连接线截面的热稳定校验应符合本规范第4.3.5条的要求。4根连接线截面的热稳定校验电流,应按单相接地故障时最大不对称电流有效值的35%取值。
条文说明
4.4.5 GIS区域专用接地网与变电站总接地网相连的方式与要求主要是从安全散流加以提出的。参考《交流电气装置的接地》DL/T 621—1997的第6.2.14条的b)给出。
4.4.6 气体绝缘金属封闭开关设备的接地导体(线)及其连接,应符合下列要求:
1 三相共箱式或分相式设备的金属外壳与其基座上接地母线的连接方式,应按制造厂要求执行。其采用的连接方式,应确保无故障时所有金属外壳运行在地电位水平。当在指定点接地时,应确保母线各段外壳之间电压差在允许范围内。
2 设备基座上的接地母线应按制造厂要求与该区域专用接地网连接。
3 本条第1款和第2款连接线的截面,应满足设备接地故障(短路)时热稳定的要求。
条文说明
4.4.6 引自《交流电气装置的接地》DL/T 621—1997的第6.2.14条的a)。
4.4.7 当气体绝缘金属封闭开关设备置于建筑物内时,建筑物地基内的钢筋应与人工敷设的接地网相连接。建筑物立柱、钢筋混凝土地板内的钢筋等与建筑物地基内的钢筋,应相互连接,并应良好焊接。室内还应设置环形接地母线,室内各种需接地的设备(包括前述各种钢筋)均应连接至环形接地母线。环形接地母线还应与气体绝缘金属封闭开关设备区域专用接地网相连接。
条文说明
4.4.7 引自《交流电气装置的接地》DL/T 621—1997的第6.2.14条的d)。
4.4.8 气体绝缘金属封闭开关设备与电力电缆或与变压器/电抗器直接相连时,电力电缆护层或气体绝缘金属封闭开关设备与变压器/电抗器之间套管的变压器/电抗器侧,应通过接地导体(线)以最短路径接到接地母线或气体绝缘金属封闭开关设备区域专用接地网。气体绝缘金属封闭开关设备外壳和电缆护套之间,以及其外壳和变压器/电抗器套管之间的隔离(绝缘)元件,应安装相应的隔离保护器。
条文说明
4.4.8 参照《交流变电站接地安全导则》IEEE Std80—2000的第10.4节提出。条文提及的保护器,其额定电压的选择应能承受在接地故障电流流入接地网时GIS和电缆护层两个接地系统之间产生的地电位差,又能在由开关(隔离开关)分合或GIS中的故障产生的特快速瞬态过电压(VFTO)下,保护绝缘元件免受损坏。由于各制造厂的GIS结构不同,制造厂应提供绝缘元件的绝缘水平和保护器的技术条件。
4.4.9 气体绝缘金属封闭开关设备置于建筑物内时,设备区域专用接地网可采用钢导体。置于户外时,设备区域专用接地网宜采用铜导体。主接地网也宜采用铜或铜覆钢材。
条文说明
4.4.9 按国内外工程情况引入的规定。
4.5 雷电保护和防静电的接地
4.5 雷电保护和防静电的接地
4.5.1 发电厂和变电站雷电保护的接地,应符合下列要求:
1 发电厂和变电站配电装置构架上避雷针(含悬挂避雷线的架构)的接地引下线应与接地网连接,并应在连接处加装集中接地装置。引下线与接地网的连接点至变压器接地导体(线)与接地网连接点之间沿接地极的长度,不应小于15m。
2 主厂房装设直击雷保护装置或为保护其他设备而在主厂房上装设避雷针时,应采取加强分流、设备的接地点远离避雷针接地引下线的入地点、避雷针接地引下线远离电气装置等防止反击的措施。避雷针的接地引下线应与主接地网连接,并应在连接处加装集中接地装置。
主控制室、配电装置室和35kV及以下变电站的屋顶上如装设直击雷保护装置,若为金属屋顶或屋顶上有金属结构时,则应将金属部分接地;屋顶为钢筋混凝土结构时,则应将其焊接成网接地;结构为非导电的屋顶时,则应采用避雷带保护,该避雷带的网格应为8m~10m,并应每隔10m~20m设接地引下线。该接地引下线应与主接地网连接,并应在连接处加装集中接地装置。
3 发电厂和变电站有爆炸危险且爆炸后可能波及发电厂和变电站内主设备或严重影响发供电的建(构)筑物,应采用独立避雷针保护,并应采取防止雷电感应的措施。露天贮罐周围应设置闭合环形接地装置,接地电阻不应超过30Ω,无独立避雷针保护的露天贮罐不应超过10Ω,接地点不应小于2处,接地点间距不应大于30m。架空管道每隔20m~25m应接地1次,接地电阻不应超过30Ω。易燃油贮罐的呼吸阀、易燃油和天然气贮罐的热工测量装置,应用金属导体与相应贮罐的接地装置连接。不能保持良好电气接触的阀门、法兰、弯头等管道连接处应跨接。
4 发电厂和变电站避雷器的接地导体(线)应与接地网连接,且应在连接处设置集中接地装置。
条文说明
4.5.1 第1款引自《交流电气装置的接地》DL/T 621—1997的第6.2.15条。第2款引自《交流电气装置的接地》DL/T 621—1997的第7.1.2条。第3款引自《交流电气装置的接地》DL/T621—1997的第7.1.4条。第4款是考虑接地极在雷电流作用下存在有效面积,雷电流主要通过入地点附近流入地中,为改善避雷器的保护效果而引入的。
4.5.2 发电厂易燃油、可燃油、天然气和氢气等贮罐、装卸油台、铁路轨道、管道、鹤管、套筒及油槽车等防静电接地的接地位置,接地导体(线)、接地极布置方式等,应符合下列要求:
1 铁路轨道、管道及金属桥台,应在其始端、末端、分支处,以及每隔50m处设防静电接地,鹤管应在两端接地。
2 厂区内的铁路轨道应在两处用绝缘装置与外部轨道隔离。两处绝缘装置间的距离应大于一列火车的长度。
3 净距小于100mm的平行或交叉管道,应每隔20m用金属线跨接。
4 不能保持良好电气接触的阀门、法兰、弯头等管道连接处,也应跨接。跨接线可采用直径不小于8mm的圆钢。
5 油槽车应设置防静电临时接地卡。
6 易燃油、可燃油和天然气浮动式贮罐顶,应用可挠的跨接线与罐体相连,且不应少于2处。跨接线可用截面不小于25mm2的钢绞线、扁铜、铜绞线或覆铜扁钢、覆铜钢绞线。
7 浮动式电气测量的铠装电缆应埋入地中,长度不宜小于50m。
8 金属罐罐体钢板的接缝、罐顶与罐体之间,以及所有管、阀与罐体之间,应保证可靠的电气连接。
条文说明
4.5.2 引自《交流电气装置的接地》DL/T 621—1997的第6.2.18条。
高压架空线路和电缆线路的接地
5.1 高压架空线路的接地
5 高压架空线路和电缆线路的接地
5.1 高压架空线路的接地
5.1.1 6kV及以上无地线线路钢筋混凝土杆宜接地,金属杆塔应接地,接地电阻不宜超过30Ω。
条文说明
5.1.1 原规范第4.4.1条。
5.1.2 除多雷区外,沥青路面上的架空线路的钢筋混凝土杆塔和金属杆塔,以及有运行经验的地区,可不另设人工接地装置。
条文说明
5.1.2 原规范第4.4.1条。
5.1.3 有地线的线路杆塔的工频接地电阻,不宜超过表5.1. 3的规定。

条文说明
5.1.3 引自《交流电气装置的接地》DL/T 621—1997第6.1.4条。
5.1.4 66kV及以上钢筋混凝土杆铁横担和钢筋混凝土横担线路的地线支架、导线横担与绝缘子固定部分或瓷横担固定部分之间,宜有可靠的电气连接,并应与接地引下线相连。主杆非预应力钢筋上下已用绑扎或焊接连成电气通路时,可兼作接地引下线。利用钢筋兼作接地引下线的钢筋混凝土电杆时,其钢筋与接地螺母、铁横担间应有可靠的电气连接。
条文说明
5.1.4 引自《交流电气装置的接地》DL/T 621—1997第6.1.8条。
5.1.5 高压架空线路杆塔的接地装置,可采用下列型式:
1 在土壤电阻率ρ≤100Ω•m的潮湿地区,可利用铁塔和钢筋混凝土杆自然接地。发电厂和变电站的进线段,应另设雷电保护接地装置。在居民区,当自然接地电阻符合要求时,可不设人工接地装置。
2 在土壤电阻率100Ω•m<ρ≤300Ω•m的地区,除应利用铁塔和钢筋混凝土杆的自然接地外,并应增设人工接地装置,接地极埋设深度不宜小于0.6m。
3 在土壤电阻率300Ω•m<ρ≤2000Ω•m的地区,可采用水平敷设的接地装置,接地极埋设深度不宜小于0.5m。
4 在土壤电阻率ρ>2000Ω•m的地区,接地电阻很难降到30Ω以下时,可采用6根~8根总长度不超过500m的放射形接地极或采用连续伸长接地极。放射形接地极可采用长短结合的方式。接地极埋设深度不宜小于0.3m。接地电阻可不受限制。
5 居民区和水田中的接地装置,宜围绕杆塔基础敷设成闭合环形。
6 放射形接地极每根的最大长度应符合表5.1.5的规定:

7 在高土壤电阻率地区应采用放射形接地装置,且在杆塔基础的放射形接地极每根长度的1.5倍范围内有土壤电阻率较低的地带时,可部分采用引外接地或其他措施。
条文说明
5.1.5 引自《交流电气装置的接地》DL/T 621—1997第6.3.1条。但应注意本条的5款,对于工作于有效接地系统的城镇居民区的杆塔,如有接地时短路电流过大的情况,应校验杆塔周围人员有无危险电击的可能,并采取相应的措施。
5.1.6 计算雷电保护接地装置所采用的土壤电阻率时,应取雷季中最大值,并应按下式计算:
ρ=ρ0φ (5.1.6)
式中:ρ——土壤电阻率,土壤和水的电阻率可参考本规范附录J的规定取值(Ω•m);
ρ0——雷季中无雨水时所测得的土壤电阻率(Ω•m);
φ——土壤干燥时的季节系数,应按表5.1.6的规定取值。

条文说明
5.1.6 引自《交流电气装置的接地》DL/T 621—1997第6.3.2条。
5.1.7 单独接地极或杆塔接地装置的冲击接地电阻,可按下式计算:
Ri=αR (5.1.7)
式中:Ri——单独接地极或杆塔接地装置的冲击接地电阻(Ω);
R——单独接地极或杆塔接地装置的工频接地电阻(Ω);
α——单独接地极或杆塔接地装置的冲击系数,可按本规范附录F的规定取值。
条文说明
5.1.7 引自《交流电气装置的接地》DL/T 621—1997第6.3.3条。
5.1.8 当接地装置由较多水平接地极或垂直接地极组成时,垂直接地极的间距不应小于其长度的2倍;水平接地极的间距不宜小于5m。
由n根等长水平放射形接地极组成的接地装置,其冲击接地电阻可按下式计算:
Ri=(Rhi/n)×(1/ηi) (5.1.8)
式中:Rhi——每根水平放射形接地极的冲击接地电阻(Ω);
ηi——计及各接地极间相互影响的冲击利用系数,可按本规范附录F的规定选取。
条文说明
5.1.8 引自《交流电气装置的接地》Dl/T 621—1997第6.3.4条。
5.1.9 由水平接地极连接的n根垂直接地极组成的接地装置,其冲击接地电阻可按下式计算:

式中:Rvi——每根垂直接地极的冲击接地电阻(Ω);
R′hi——水平接地极的冲击接地电阻(Ω)。
条文说明
5.1.9 引自《交流电气装置的接地》DL/T 621—1997第6.3.5条。
5.2 6kV~220kV电缆线路的接地
5.2 6kV~220kV电缆线路的接地
条文说明
本节引自电力行业标准《城市电缆线路设计技术规定》DL/T5221—2005第10.0.1条、第10.0.2条和第10.0.4条。同时也参考了《电力工程电缆设计规范》GB 50217—2007的有关规定。
对于电缆金属屏蔽层电压限制器的特性,按电力行业标准《城市电缆线路设计技术规定》DL/T 5221—2005第10.0.3条要求,应符合下列规定:
1 在系统可能的大冲击电流作用下的残压,不得大于电缆护层冲击耐受电压的1/√2。
2 可能最大工频过电压5s作用下,电缆金属屏蔽层电压限制器能够耐受。
3 可能最大冲击电流累计作用20次,电缆金属屏蔽层电压限制器不被损坏。
4 电缆金属屏蔽层电压限制器的残压比一般选择为2.0~3.0。
5.2.1 电力电缆金属护套或屏蔽层,应按下列规定接地:
1 三芯电缆应在线路两终端直接接地。线路中有中间接头时,接头处也应直接接地。
2 单芯电缆在线路上应至少有一点直接接地,且任一非接地处金属护套或屏蔽层上的正常感应电压,不应超过下列数值:
1)在正常满负载情况下,未采取防止人员任意接触金属护套或屏蔽层的安全措施时,50V。
2)在正常满负荷情况下,采取防止人员任意接触金属护套或屏蔽层的安全措施时,100V。
3 长距离单芯水底电缆线路应在两岸的接头处直接接地。
5.2.2 交流单芯电缆金属护套的接地方式,应按图5.2.2所示部位接地和设置金属护套或屏蔽层电压限制器,并应符合下列规定:
1 线路不长,且能满足本规范第5.2.1条的规定时,可采用线路一端直接接地方式。在系统发生单相接地故障对临近弱电线路有干扰时,还应沿电缆线路平行敷设一根回流线,回流线的选择与设置应符合下列要求:
1)回流线的截面选择应按系统发生单相接地故障电流和持续时间验算其稳定性。
2)回路线的排列布置方式,应使电缆正常工作时在回流线上产生的损耗最小。
2 线路稍长,一端接地不能满足本规范第5.2.1条的规定,且无法分成3段组成交叉互联时,可采用线路中间一点接地方式,并应按本规范第5.2.2条第1款的规定加设回流线。
3 线路较长,中间一点接地方式不能满足本规范第5.2.1条的规定时,宜使用绝缘接头将电缆的金属护套和绝缘屏蔽均匀分割成3段或3的倍数段,并应按图5.2.2所示采用交叉互联接地方式。
5.2.3 金属护套或屏蔽层电压限制器与电缆金属护套的连接线,应符合下列要求:
1 连接线应最短,3m之内可采用单芯塑料绝缘线,3m以上宜采用同轴电缆。
2 连接线的绝缘水平不得小于电缆外护套的绝缘水平。

(a)一端接地方式

(b)线路中间一点接地方式

(c)交叉互联接地方式

(d)两端直接接地方式
图5.2.2 采用金属屏蔽层电压限制器时的接地方式
1—电缆终端头;2—金属屏蔽层电压限制器;3—直接接地;4—中间接头;5—绝缘接头
3 连接线截面应满足系统单相接地故障电流通过时的热稳定要求。
高压配电电气装置的接地
6.1 高压配电电气装置的接地电阻
6 高压配电电气装置的接地
6.1 高压配电电气装置的接地电阻
条文说明
本节相应引自《交流电气装置的接地》DL/T 621—1997的第5.3. 1条~第5.3.4条。
6.1.1 工作于不接地、谐振接地和高电阻接地系统、向1kV及以下低压电气装置供电的高压配电电气装置,其保护接地的接地电阻应符合下式的要求,且不应大于4Ω:
R≤50/I (6.1.1)
式中:R——因季节变化的最大接地电阻(Ω);
I——计算用的单相接地故障电流;谐振接地系统为故障点残余电流。
6.1.2 低电阻接地系统的高压配电电气装置,其保护接地的接地电阻应符合本规范公式(4.2.1-1)的要求,且不应大于4Ω。
6.1.3 保护配电变压器的避雷器其接地应与变压器保护接地共用接地装置。
6.1.4 保护配电柱上断路器、负荷开关和电容器组等的避雷器的接地导体(线),应与设备外壳相连,接地装置的接地电阻不应大于10Ω。
6.2 高压配电电气装置的接地装置
6.2 高压配电电气装置的接地装置
6.2.1 户外箱式变压器、环网柜和柱上配电变压器等电气装置,宜敷设围绕户外箱式变压器、环网柜和柱上配电变压器的闭合环形的接地装置。居民区附近人行道路宜采用沥青路面。
条文说明
6.2.1 引自《交流电气装置的接地》DL/T 621—1997的第6.4.1条,并补充户外箱式变压器、环网柜等电气装置。
6.2.2 与户外箱式变压器和环网柜内所有电气装置的外露导电部分连接的接地母线,应与闭合环形接地装置相连接。
条文说明
6.2.2 按工程实践新增内容。
6.2.3 配电变压器等电气装置安装在由其供电的建筑物内的配电装置室时,其所设接地装置应与建筑物基础钢筋等相连。配电变压器室内所有电气装置的外露导电部分应连接至该室内的接地母线,该接地母线应再连接至配电装置室的接地装置。
条文说明
6.2.3、6.2.4 分别引自《交流电气装置的接地》DL/T 621—1997第6.4.2条、第6.4.3条。
6.2.4 引入配电装置室的每条架空线路安装的金属氧化物避雷器的接地导体(线),应与配电装置室的接地装置连接,但在入地处应敷设集中接地装置。
低压系统接地型式、架空线路的接地、电气装置的接地电阻和保护总等电位联结系统
7.1 低压系统接地的型式
7 低压系统接地型式、架空线路的接地、电气装置的接地电阻和保护总等电位联结系统
7.1 低压系统接地的型式
条文说明
本节引自现行国家标准《低压电气装置 第1部分:基本原则、一般特性评估和定义》GB/T 16895.1—2008,源自国际电工委员会标准:IEC60364—1:2005。
本节图中表示的不同接地型式代号中字母的含意为:
1 第1个字母——电源系统对地的关系,表示如下:
T——某点对地直接连接;
I——所有的带电部分与地隔离;或某点通过高阻抗接地。
2 第2个字母——装置的外露可导电部分对地的关系,表示如下:
T——外露可导电部分与地直接做电气连接,它与系统电源的任何一点的接地无任何连接;
N——外露可导电部分与电源系统的接地点直接做电气连接(在交流系统中,电源系统的接地点通常是中性点,或者如果没有可连接的中性点,则与一个相导体连接)。
3 后续的字母——N与PE的配置,表示如下:
S——将与N或被接地的导体(在交流系统中是被接地的相导体)分离的导体作为PE;
C——N和PE功能合并在一根导体中(PEN)。
7.1.1 低压系统接地的型式可分为TN、TT和IT等3种。
7.1.2 TN系统可分为单电源系统和多电源系统,并应分别符合下列要求:
1 对于单电源系统,TN电源系统在电源处应有一点直接接地,装置的外露可导电部分应经PE接到接地点。TN系统可按N和PE的配置,分为下列类型:
1)TN-S系统,整个系统应全部采用单独的PE,装置的PE也可另外增设接地(图7.1.2-1~图7.1.2-3)。

图7.1.2-1 全系统将N与PE分开的TN-S系统

图7.1.2-2 全系统将被接地的相导体与PE分开的TN—S系统

图7.1.2-3 全系统采用接地的PE和未配出N的TN-S系统
2)TN-C-S系统,系统中的一部分,N的功能和PE的功能合并在一根导体中(图7.1.2-4~图7.1.2-6)。图7.1.2-4中装置的PEN或PE导体可另外增设接地。图7.1.2-5和图7.1.2-6中对配电系统的PEN和装置的PE导体也可另外增设接地。

图7.1.2-4 在装置非受电点的某处将PEN分离成PE和N的三相四线制的TN-C-S系统

图7.1.2-5 在装置的受电点将PEN分离成PE和N的三相四线制的TN-C-S系统

图7.1.2-6 在装置的受电点将PEN分离成PE和N的单相两线制的TN-C-S系统
3)TN-C系统,在全系统中,N的功能和PE的功能合并在一根导体中(图7.1.2-7)。装置的PEN也可另外增设接地。

图7.1.2-7 全系统采用将N的功能和PE的功能合并于一根导体的TN-C系统
2 对于具有多电源的TN系统,应避免工作电流流过不期望的路径。
对用电设备采用单独的PE和N的多电源TN-C-S系统(图7.1.2-8),仅有两相负荷和三相负荷的情况下,无需配出N,PE宜多处接地。
对用电设备采用单独的PE和N的多电源TN-C-S系统(图7.1.2-8)和对于具有多电源的TN系统(图7.1.2-9),应符合下列要求:
1)不应在变压器的中性点或发电机的星形点直接对地连接。
2)变压器的中性点或发电机的星形点之间相互连接的导体应绝缘,且不得将其与用电设备连接。
3)电源中性点间相互连接的导体与PE之间,应只一点连接,并应设置在总配电屏内。
4)对装置的PE可另外增设接地。
5)PE的标志,应符合现行国家标准《人机界面标志标识的基本和安全规则 导体的颜色或数字标识》GB 7947的有关规定。
6)系统的任何扩展,应确保防护措施的正常功能不受影响。

图7.1.2-8 对用电设备采用单独的PE和N的多电源TN-C-S系统

图7.1.2-9 给两相或三相负荷供电的全系统内只有PE没有N的多电源TN系统
7.1.3 TT系统应只有一点直接接地,装置的外露可导电部分应接到在电气上独立于电源系统接地的接地极上(图7.1.3-1和图7.1.3-2)。对装置的PE可另外增设接地。

图7.1.3-1 全部装置都采用分开的中性导体和保护导体的TT系统

图7.1.3-2 全部装置都具有接地的保护导体,但不配出中性导体的TT系统
7.1.4 IT电源系统的所有带电部分应与地隔离,或某一点通过阻抗接地。电气装置的外露可导电部分,应被单独地或集中地接地,也可按现行国家标准《建筑物电气装置 第4-41部分:安全防护—电击防护》GB 16895.21—2004的第413.1.5条的规定,接到系统的接地上(图7.1.4-1和图7.1.4-2)。对装置的PE可另外增设接地,并应符合下列要求:
1 该系统可经足够高的阻抗接地。
2 可配出N,也可不配出N。

图7.1.4-1 将所有的外露可导电部分采用PE相连后集中接地的IT系统

图7.1.4-2 将外露可导电部分分组接地或独立接地的IT系统
7.2 低压架空线路的接地、电气装置的接地电阻和保护总等电位联结系统
7.2 低压架空线路的接地、电气装置的接地电阻和保护总等电位联结系统
7.2.1 单独电源TN系统的低压线路和高、低压线路共杆线路的钢筋混凝土杆塔,其铁横担以及金属杆塔本体应与低压线路PE或PEN相连接,钢筋混凝土杆塔的钢筋宜与低压线路的相应导体相连接。与低压线路PE或PEN相连接的杆塔可不另做接地。
条文说明
7.2.1 原规范第4.4.1条,并按本规范第7.1节进行了修改。
7.2.2 配电变压器设置在建筑物外其低压采用TN系统时,低压线路在引入建筑物处,PE或PEN应重复接地,接地电阻不宜超过10Ω。
条文说明
7.2.2 参照《建筑物电气装置 第4-41部分:安全防护—电击防护》GB 16895.21—2004。
7.2.3 中性点不接地IT系统的低压线路钢筋混凝土杆塔宜接地,金属杆塔应接地,接地电阻不宜超过30Ω。
条文说明
7.2.3 原规范第4.4.1条。
7.2.4 架空低压线路入户处的绝缘子铁脚宜接地,接地电阻不宜超过30Ω。土壤电阻率在200Ω•m及以下地区的铁横担钢筋混凝土杆线路,可不另设人工接地装置。当绝缘子铁脚与建筑物内电气装置的接地装置相连时,可不另设接地装置。人员密集的公共场所的入户线,当钢筋混凝土杆的自然接地电阻大于30Ω时,入户处的绝缘子铁脚应接地,并应设专用的接地装置。
条文说明
7.2.4 源自《交流电气装置的接地》DL/T 621—1997第7.2.7条。
7.2.5 向低压电气装置供电的配电变压器的高压侧工作于不接地、谐振接地和高电阻接地系统,且变压器的保护接地装置的接地电阻符合本规范第6.1.1条的要求,建筑物内低压电气装置采用(含建筑物钢筋的)保护总等电位联结系统时,低压系统电源中性点可与该变压器保护接地共用接地装置。
条文说明
7.2.5 源自《交流电气装置的接地》DL/T 621—1997第7.2.1条的a)和第7.2.2条的a)。当建筑物内低压电气装置采用(含建筑物钢筋的)保护总等电位联结系统时,可保证低压系统电源中性点与该变压器保护接地共用接地装置时人身和低压电气装置的安全。
7.2.6 向低压电气装置供电的配电变压器的高压侧工作于低电阻接地系统,变压器的保护接地装置的接地电阻符合本规范第4.2.1条的要求,建筑物内低压采用TN系统且低压电气装置采用(含建筑物钢筋的)保护总等电位联结系统时,低压系统电源中性点可与该变压器保护接地共用接地装置。
当建筑物内低压电气装置虽采用TN系统,但未采用(含建筑物钢筋的)保护总等电位联结系统,以及建筑物内低压电气装置采用TT或IT系统时,低压系统电源中性点严禁与该变压器保护接地共用接地装置,低压电源系统的接地应按工程条件研究确定。
条文说明
7.2.6 高低压共用接地源自《交流电气装置的接地》DL/T 621—1997第7.2.2条b)。当建筑物内低压电气装置采用TN系统且采用(含建筑物钢筋的)保护总等电位联结系统时,可保证低压系统电源中性点与该变压器保护接地共用接地装置时人身和低压电气装置的安全。
当建筑物内低压电气装置虽采用TN系统,但未采用(含建筑物钢筋的)保护总等电位联结系统,以及建筑物内低压电气装置采用TT或IT系统时,参考《交流电气装置的接地》DL/T 621—1997第7.2.2条c)“向低压系统供电的配电变压器的高压侧工作于低电阻接地系统时,低压系统不得与电源配电变压器的保护接地共用接地装置,低压系统电源接地点应在距该配电变压器适当的地点设置专用接地装置,其接地电阻不宜超过4Ω”,作出了“低压系统电源中性点严禁与该变压器保护接地共用接地装置,低压电源系统的接地应按工程条件研究确定”的规定。
1999年参照《交流电气装置的接地》DL/T 621—1997第7.2.2条c)的规定,北京地区有关部门在10kV中性点低电阻接地的配电网中曾进行过专门的试验研究。当配电线路上多台柱上变压器的低压系统电源接地点与变压器保护接地共用的接地装置通过低压N导体互联后,总的接地电阻一般不超过0.5Ω。根据10kV配电网单相接地故障入地电流引起共用接地装置上的地电位升高和故障跳闸时间等的实际情况,在确保低压用户人身和设备安全的前提下,确定了“变压器台接地装置互联的总接地电阻不超过0.5Ω(如超过,采取措施降至该值)时,低压电源接地点可与变压器保护接地共用接地装置;单独接地的变压器台的保护接地不允许与低压系统电源接地点共用接地装置,后者另设的接地装置应离开变压器台接地装置5m或以上”的原则。该原则已纳入其企业标准,多年来的运行情况良好。
7.2.7 TT系统中电气装置外露可导电部分应设保护接地的接地装置,其接地电阻与外露可导电部分的保护导体电阻之和,应符合下式的要求:
RA≤50/Ia (7.2.7)
式中:RA——季节变化时接地装置的最大接地电阻与外露可导电部分的保护导体电阻之和(Ω);
Ia——保护电器自动动作的动作电流,当保护电器为剩余电流保护时,Ia为额定剩余电流动作电流I△n,(A)。
条文说明
7.2.7 引自《建筑物电气装置 第4-41部分:安全防护—电击防护》GB 16895.21—2004的413.1.4.1。
7.2.8 TT系统配电线路内由同一接地故障保护电器保护的外露可导电部分,应用PE连接至共用的接地极上。当有多级保护时,各级宜有各自的接地极。
条文说明
7.2.8 按《建筑物电气装置 第4-41部分:安全防护—电击防护》GB 16895.21—2004的413.1.4.1新增的条文。
7.2.9 IT系统各电气装置的外露可导电部分其保护接地可共用同一接地装置,亦可个别地或成组地用单独的接地装置接地。每个接地装置的接地电阻应符合下式的要求:
R≤50/Id (7.2.9)
式中:R——外露可导电部分的接地装置因季节变化的最大接地电阻(Ω);
Id ——相导体(线)和外露可导电部分间第一次出现阻抗可不计的故障时的故障电流(A)。
条文说明
7.2.9 引自《建筑物电气装置 第4-41部分:安全防护—电击防护》GB 16895.21—2004的413.1.5.3。
7.2.10 低压电气装置采用接地故障保护时,建筑物内电气装置应采用保护总等电位联结系统,并应符合本规范附录H的有关规定。
条文说明
7.2.10 源自《交流电气装置的接地》DL/T 621—1997的第7.2.5条。
7.2.11 建筑物处的低压系统电源中性点、电气装置外露导电部分的保护接地、保护等电位联结的接地极等,可与建筑物的雷电保护接地共用同一接地装置。共用接地装置的接地电阻,不应大于各要求值中的最小值。
条文说明
7.2.11 引自《交流电气装置的接地》DL/T 621—1997的第7.2.6条。
低压电气装置的接地装置和保护导体
8.1 接地装置
8 低压电气装置的接地装置和保护导体
8.1 接地装置
8.1.1 低压电气装置的接地装置,应符合下列要求:
1 接地配置可兼有或分别承担防护性和功能性的作用,但首先应满足防护的要求。
2 低压电气装置本身有接地极时,应将该接地极用一接地导体(线)连接到总接地端子上。
3 对接地配置要求中的对地连接,应符合下列要求:
1)对装置的防护要求应可靠、适用。
2)能将对地故障电流和PE电流传导入地。
3)接地配置除保护要求外还有功能性的需要时,也应符合功能性的相应要求。
条文说明
8.1.1 第3款可参见《建筑物电气装置 第4部分:安全防护 第44章:过电压保护 第444节:建筑物电气装置电磁干扰(EMI)防护》GB/T16895.16—2002。
8.1.2 接地极应符合下列要求:
1 对接地极的材料和尺寸的选择,应使其耐腐蚀又具有适当的机械强度。耐腐蚀和机械强度要求的埋入土壤中常用材料接地极的最小尺寸,应符合表8.1.2的规定。有防雷装置时,应符合现行国家标准《建筑物防雷设计规范》GB 50057的有关规定。
表8.1.2 耐腐蚀和机械强度要求的埋入土壤中常用材料接地极的最小尺寸


注:1 热镀锌或不锈钢可用作埋在混凝土中的电极;
2 不锈钢不加镀层;
3 钢带为带圆边的轧制的带状或切割的带状;
4 铜镀锌带为带圆边的带状;
5 在腐蚀性和机械损伤极低的场所,铜圆线可采用16mm2的截面;
6 浅埋指埋设深度不超过0.5m。
2 接地极应根据土壤条件和所要求的接地电阻值,选择1个或多个。
3 接地极可采用下列设施:
1)嵌入地基的地下金属结构网(基础接地)。
2)金属板。
3)埋在地下混凝土(预应力混凝土除外)中的钢筋。
4)金属棒或管子。
5)金属带或线。
6)根据当地条件或要求所设电缆的金属护套和其他金属护层。
7)根据当地条件或要求设置的其他适用的地下金属网。
4 在选择接地极类型和确定其埋地深度时,应符合现行国家标准《建筑物电气装置 第4-41部分:安全防护-电击防护》GB 16895.21的有关规定,并应结合当地的条件,防止在土壤干燥和冻结的情况下,接地极的接地电阻增加到有损电击防护措施的程度。
5 应注意在接地配置中采用不同材料时的电解腐蚀问题。
6 用于输送可燃液体或气体的金属管道,不应用作接地极。
条文说明
8.1.2 表8.1.2按IEC 62561—2作了局部修改。
8.1.3 接地导体(线)应符合下列要求:
1 接地导体(线)应符合本规范第8.2.1条的规定;埋入土壤中的接地导体(线)的最小截面积应符合表8.1.3的要求。

2 接地导体(线)与接地极的连接应牢固,且应有良好的导电性能,并应采用放热焊接、压接器、夹具或其他机械连接器连接。机械接头应按厂家的说明书安装。采用夹具时,不得损伤接地极或接地导体(线)。
8.1.4 总接地端子应符合下列要求:
1 在采用保护联结的每个装置中都应配置总接地端子,并应将下列导线与其连接:
1)保护联结导体(线);
2)接地导体(线);
3)PE(当PE已通过其他PE与总接地端子连接时,则不应把每根PE直接接到总接地端子上);
4)功能接地导体(线)。
2 接到总接地端子上的每根导体,连接应牢固可靠,应能被单独地拆开。
8.2 保护导体
8.2 保护导体
8.2.1 PE的最小截面积应符合下列要求:
1 每根PE的截面积均应符合现行国家标准《建筑物电气装置 第4-41部分:安全防护-电击防护》GB 16895.21-2004的第411.1条的规定,并应能承受预期的故障电流。
PE的最小截面积可按式(8.2.1)计算,也可按表8.2.1确定:

注:1 k1为相导体的k值,按线和绝缘的材料由本规范表G.0.1或现行国家标准《建筑物电气装置 第4部分:安全防护 第43章:过电流保护》GB 16895.5的有关规定选取;
2 k2为PE的k值,按本规范表G.0.2-1~表G.0.2-5的规定选取;
3 对于PEN,其截面积应符合现行国家标准《建筑物电气装置 第5部分:电气设备的选择和安装 第52章:布线系统》GB 16895.6规定的N尺寸后,再减少。
2 切断时间不超过5s时,PE的截面积不应小于下式的要求:
S=√(I2t)/k (8.2.1)
式中:S——截面积(mm2);
I——通过保护电器的阻抗可忽略的故障产生的预期故障电流有效值(A);
t——保护电器自动切断时的动作时间(s);
k——由PE、绝缘和其他部分的材料以及初始和最终温度决定的系数,按本规范附录G的规定取值。
3 不属于电缆的一部分或不与相线共处于同一外护物之内的每根PE,其截面积不应小于下列数值:
1)有防机械损伤保护,铜为2.5mm2,铝为16mm2;
2)没有防机械损伤保护,铜为4mm2,铝为16mm2。
4 当两个或更多个回路共用一个时,其截面积应按下列要求确定:
1)按回路中遭受最严重的预期故障电流和动作时间,其截面积按本条第1款计算;
2)对应于回路中的最大相线截面积,其截面积按本规范表8.2.1选定。
条文说明
8.2.1 出于对设计工作使用方便的考虑,本条目前的条文是对现行国家标准《建筑物电气装置 第5-54部分:电气设备的选择和安装——接地配置、保护导体和保护联结导体》GB 16895.3—2004相应原条文经修改后得到的。相应原条文如下:
“保护导体的截面积不应小于由如下两者之一所确定的值:
1)按仅对切断时间不超过5s时,可由下式所确定:
S=√I2t/k (11)
式中:S——截面积,mm2
I——通过保护电器的阻抗可忽略的故障产生的预期故障电流有效值,A;
t——保护电器自动切断时的动作时间,s;需考虑线路阻抗的限流影响和保护电器的I2t的限值。
k——由保护导体、绝缘和其他部分的材料以及初始和最终温度决定的系数(k值的求取方法见附录G)。
2)按IEC 60949(在考虑非绝缘加热效应条件下的热容许短路电流的计算)计算。
若用公式求得的尺寸是非标准的,则应采用较大标准截面积的导体。
对处于有潜在爆炸性危险环境中的装置的温度限制,应符合国家标准《爆炸性气体环境用电气设备第1部分:通用要求》GB 3836.1的有关规定。
按IEC 60702—1:2002额定电压不超过750V的矿物绝缘电缆及其终端 第1部分:电缆,矿物绝缘电缆的金属护套承受接地故障的能力大于相线承受接地故障电流的能力,且把这种金属护套用作保护导体时,则不必计算其截面积。”
8.2.2 PE类型应符合下列要求:
1 PE应由下列一种或多种导体组成。
1)多芯电缆中的芯线。
2)与带电线共用的外护物(绝缘的或裸露的线)。
3)固定安装的裸露的或绝缘的导体。
4)符合本规范第8.2.2.条第2款第1)项和第2)项规定条件的金属电缆护套、电缆屏蔽层、电缆铠装、金属编织物、同心线、金属导管。
5)PE的配置,还应符合本规范第8.2.6条的规定。
2 装置中包括带金属外护物的设备,其金属外护物或框架同时满足下列要求时,可用作保护导体:
1)能利用结构或适当的连接,使对机械、化学或电化学损伤的防护性能得到保护,并保持电气连续性。
2)符合本规范第8.2.1条的规定。
3)在每个预留的分接点上,允许与其他保护导体连接。
3 下列金属部分不应作为PE或保护联结导体:
1)金属水管。
2)含有可燃性气体或液体的金属管道。
3)正常使用中承受机械应力的结构部分。
4)柔性或可弯曲金属导管(用于保护接地或保护联结目的而特别设计的除外)。
5)柔性金属部件。
6)支撑线。
8.2.3 PE的电气连续性应符合下列要求:
1 PE对机械伤害、化学或电化学损伤、电动力和热动力等,应具有适当的防护性能。
2 除下列各项外,PE接头的位置应是可接近的:
1)填充复合填充物的接头。
2)封闭的接头。
3)在金属导管内和槽盒内接头。
4)在设备标准中已成为设备的一部分的接头。
3 在PE中,不应串入开关器件,可设置能用工具拆开的接头。
4 在采用接地电气监测时,不应将专用器件串接在PE中。
5 除本规范第8.2.2条第2款外,器具的外露可导电部分不应用于构成其他设备保护导体的一部分。
8.2.4 PEN应符合下列要求:
1 PEN应只在固定的电气装置中采用,铜的截面积不应小于10mm2或铝的截面积不应小于16mm2。
2 PEN应按可能遭受的最高电压加以绝缘。
3 从装置的任一点起,N和PE分别采用单独的导体时,不允许该N再连接到装置的任何其他的接地部分,允许由PEN分接出的PE和PE超过一根以上。PE和N,可分别设置单独的端子或母线,PEN应接到为PE预设的端子或母线上。
8.2.5 保护和功能共用接地应符合下列要求:
1 保护和功能共用接地用途的导体,应满足有关PE的要求,并应符合现行国家标准《建筑物电气装置 第4-41部分:安全防护一电击防护》GB 16895.21的有关规定。信息技术电源的直流回路的PEL或PEM,也可用作功能接地和保护接地两种共用功能的导体。
2 外界可导电部分不应用作PEL和PEM。
8.2.6 当过电流保护器用作电击防护时,PE应合并到与带电导体同一布线系统中,或设置在靠过电流保护器最近的地方。
8.2.7 预期用作永久性连接,且所用的PE电流又超过10mA的用电设备,应按下列要求设置加强型PE:
1 PE的全长应采用截面积至少为10mm2的铜线或16mm2的铝线。
2 也可再用一根截面积至少与用作间接接触防护所要求的PE相同,且一直敷设到PE的截面积不小于铜1.0mm2或铝16mm2处,用电器具对第二根PE应设置单独的接线端子。
8.3 保护联结导体
8.3 保护联结导体
8.3.1 作为总等电位联结的保护联结导体和按本规范第8.1.4条的规定接到总接地端子的保护联结导体,其截面积不应小于下列数值:
1 铜为6mm2。
2 镀铜钢为25mm2。
3 铝为16mm2。
4 钢为50mm2。
8.3.2 作辅助联结用的保护联结导体应符合下列要求:
1 联结两个外露可导电部分的保护联结导体,其电导不应小于接到外露可导电部分的较小的PE的电导。
2 联结外露可导电部分和外界可导电部分的保护联结导体的电阻,不应大于相应PE 1/2截面积导体所具有的电阻。
3 应符合本规范第8.2.1条第3款的规定。
附录A 土壤中人工接地极工频接地电阻的计算
附录A 土壤中人工接地极工频接地电阻的计算
A.0.1 均匀土壤中垂直接地极的接地电阻可按下列公式计算:
1 当l≥d时,接地电阻可按下式计算(图A.0.1—1):

图A.0.1—1 垂直接地极的示意
ρ 8l
Rv = ——(ln—— - 1) (A.0.1—1)
2πl d
式中:Rv——垂直接地极的接地电阻(Ω);
ρ——土壤电阻率(Ω • m);
l——垂直接地极的长度(m);
d——接地极用圆导体时,圆导体的直径(m)。
2 当接地极用其他型式导体时,其等效直径可按下式计算(图A.0.1—2):

图A.0.1—2 几种型式导体的计算用尺寸
管状导体,d=d1 (A.0.1—2)
扁导体,d=b/2 (A.0.1—3)
等边角钢,d=0.84b (A.0.1—4)
不等边角钢,d=0.71[b1b2(
+
)]0.25 (A.0.1—5)
条文说明
A.0.1~A.0.4 均匀土壤中典型接地极接地电阻的计算公式引自《交流电气装置的接地》DL/T 621—1997的附录A。此次修订,对拟引用公式计算的结果,与应用加拿大某公司开发的计算软件Current Distribution Electromagnetic Interference Earthingand Soil Structure Analysis(CDEGS,简称为“软件”)的计算结果作了比较,并给出了二者相差的百分比。
A.0.1 采用“软件”与《交流电气装置的接地》DL/T 621—1997附录A.0.1的垂直接地极的电阻计算公式对比计算的条件为:垂直接地极的长度1m~50m、接地极的直径0.01m~0.05m。计算结果表明,“软件”计算结果与公式计算结果之间的差值在7%之内。
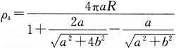
A.0.2 均匀土壤中不同形状水平接地极的接地电阻,可按下式计算:
ρ L2
Rh = ——(ln—— + A) (A.0.2)
2πL hd
式中:Rh——水平接地极的接地电阻(Ω);
L——水平接地极的总长度(m);
h——水平接地极的埋设深度(m);
d——水平接地极的直径或等效直径(m);
A——水平接地极的形状系数,可按表A.0.2的规定采用。

条文说明
A.0.2 采用“软件”与《交流电气装置的接地》DL/T 621—1997附录A.2各种水平接地极的电阻计算公式对比计算的条件为:水平接地极的总长度20m~400m、水平接地极的直径0.01m~0.05m、水平接地极的埋深1m~3m。计算结果表明:对于各种不同形状的水平接地极,当长度小于200m时,公式与“软件”的计算结果相差小于14%。
A.0.3 均匀土壤中水平接地极为主边缘闭合的复合接地极(接地网)的接地电阻,可按下列公式计算:
Rn=α1Re (A.0.3—1)
L0 √S
α1 = (3ln—— - 0.2)—— (A.0.3—2)
√S L0
ρ ρ S
Re = 0.213——(1+B)+ ——(ln—— - 5B) (A.0.3—3)
√S 2πL 9hd
1
B = ——————— (A.0.3—4)
1+4.6(h/√S)
式中:Rn——任意形状边缘闭合接地网的接地电阻(Ω);
Re——等值(即等面积、等水平接地极总长度)方形接地网的接地电阻(Ω);
S——接地网的总面积(m2);
d——水平接地极的直径或等效直径(m);
h——水平接地极的埋设深度(m);
L0——接地网的外缘边线总长度(m);
L——水平接地极的总长度(m)。
条文说明
A.0.3 采用“软件”与《交流电气装置的接地》DL/T 621—1997附录A3复合接地极(接地网)的电阻计算公式对比计算的结果(参见表A12)表明,对于方形网孔的接地网,当网孔边长小于10m时,该计算公式对于不同面积的接地网均适用;对于方形网孔,当接地网的长宽比小于8时,也可以采用该公式进行接地电阻计算。
A.0.4 均匀土壤中人工接地极工频接地电阻的简易计算,可相应采用下列公式:
垂直式:
R ≈ 0.3ρ (A.0.4—1)
单根水平式:
R ≈ 0.03ρ (A.0.4—2)
复合式(接地网):
ρ ρ
R ≈ 0.5 —— = 0.28 —— (A.0.4—3)
√S r
√π ρ ρ ρ ρ
或 R ≈ —— × —— + —— = —— + —— (A.0.4—4)
4 √S L 4r L
式中:S——大于100m2的闭合接地网的面积;
R——与接地网面积S等值的圆的半径,即等效半径(m)。
条文说明
A.0.4 采用“软件”与《交流电气装置的接地》DL/T 621—1997附录A4接地电阻简易计算公式对比计算的结果表明,垂直式接地极的接地电阻计算公式与接地计算“软件”的结果相差很小;单根水平式接地极,当土壤电阻率较小时,接地电阻计算公式与“软件”计算结果相差很大(21%)。随着土壤电阻率的提高,接地电阻计算公式与“软件”计算结果相差逐渐减小(13%);对于复合式接地极,接地网总面积10000mm2时,接地电阻计算公式与“软件”计算结果相差不大(11%)。
A.0.5 典型双层土壤中几种接地装置的接地参数,可按下列公式计算:
1 深埋垂直接地极的接地电阻(图A.0.5—1):
ρa 4l
R = —— (ln —— + C) (A.0.5—1)
2πl d
l<H 时: ρa = ρ1 (A.0.5—2)
ρ1ρ2
l>H 时: ρa = ——————————— (A.0.5—3)
H
——(ρ2 - ρ1)+ρ1
l

(A.0.5—4)
图A.0.5—1 深埋接地体示意
2 土壤具有图A.0.5—2所示的两个剖面结构时,水平接地网的接地电阻R:
0.5ρ1ρ2√S
R = ———————— (A.0.5—5)
ρ1S2 + ρ2S1
式中:S1、S2——覆盖在ρ1、ρ2土壤电阻率上的接地网面积(m2);
S——接地网总面积(m2)。

图A.0.5—2 两种土壤电阻率的接地网
条文说明
A.0.5 典型双层土壤中几种接地装置的接地参数计算。1 对于土壤水平分层的垂直接地极接地电阻计算公式(A.0.5-1),系引自电力行业标准《水力发电厂接地设计技术导则》DL/T 5091—1999附录A的式(A4)。该式的计算结果(参见表2)与采用“软件”的计算结果除个别数据相差18%左右外,其余相差不大。

2 对于土壤垂直分层的接地网接地电阻计算公式(A. 0.5-2),系引自电力行业标准《水力发电厂接地设计技术导则》DL/T 5091—1999附录A的公式(A1)。该式的计算结果(参见表3)与采用“软件”的计算结果个别数据相差25%以下。

附录B 经发电厂和变电站接地网的入地故障电流及地电位升高的计算
附录B 经发电厂和变电站接地网的入地故障电流及地电位升高的计算
B.0.1 经发电厂和变电站接地网的入地接地故障电流,应计及故障电流直流分量的影响,设计接地网时应按接地网最大入地电流IG进行设计。IG可按下列步骤确定:
1 确定接地故障对称电流If。
2 根据系统及线路设计采用的参数确定故障电流分流系数Sf,进而计算接地网入地对称电流Ig。
3 计算衰减系数Df,将其乘以入地对称电流,得到计及直流偏移的经接地网入地的最大接地故障不对称电流有效值IG。
4 发电厂和变电站内、外发生接地短路时,经接地网入地的故障对称电流可分别按下列公式计算:
Ig=(Imax -In )Sf1 (B.0.1—1)
Ig=InSf2 (B.0.1—2)
式中:Imax-——发电厂和变电站内发生接地故障时的最大接地故障对称电流有效值(A);
In——发电厂和变电站内发生接地故障时流经其设备中性点的电流(A);
Sf1、Sf2——厂站内、外发生接地故障时的分流系数。
条文说明
B.0.1 本规范中式(B.0.1-1)和(B.0.1-2)是参照《交流电气装置的接地》DL/T 621—1997的附录B的B1的式(B1)和(B2)引入的。但要注意规范中的分流系数定义与《交流电气装置的接地》DL/T 621—1997中的分流系数定义是不同的。
B.0.2 故障电流分流系数Sf的计算可分为站内短路故障和站外短路故障。
1 站内接地故障时分流系数Sf1的计算:
1)对于站内单相接地故障,假设每个挡距内的导线参数和杆塔接地电阻均相同(图B.0.2—1)。不同位置的架空线路地线上流过的零序电流可按下列公式计算:

式中:Zs——单位长度的地线阻抗(Ω/km);
Zm——单位长度的相线与地线之间的互阻抗(Ω/km);
D——挡距的平均长度(km);
rs——单位长度地线的电阻(Ω/km);
as——地线的将电流化为表面分布后的等值半径(m);
Xne——单位长度的内感抗(Ω/km);
k——地线的根数;
Ds-——地线之间的距离(m);
Dm——地线之间的几何均距(m);
Dg——地线对地的等价镜像距离,Dg=80√ρ(m),ρ为大地等值电阻率(Ω•m)。
2)当n=1时,分流系数Sf11可按下式计算:
IB(1) eβ•s - e-β•s Zm Zm
Sf1 = 1 - ——— = 1 - [————————(1 - ——)+ ——] (B.0.2—10)
Ib eβ(s+1)-e-β(s+1) Zs Zs
3)当s>10时,Sf1可简化为下式:
Zm Zm
Sf1 = 1 - [e-β•(1 - ——) + ——] (B.0.2—11)
Zs Zs

图B.0.2—1 站内接地故障示意
2 站外接地故障时分流系数Sf2的计算:
1)对于站外单相接地故障(图B.0.2—2),不同位置的地线上流过的零序电流可按下式计算:
eβ(s+1-n) - e-β(s+1-n) Zm Zm
IB(n) = [————————————(1 - ——)+ ——]•Ia (B.0.2—12)
eβ(s+1)-e-β(s+1) Zs Zs

图B.0.2—2 站外接地故障示意
2)当n=S时,e-β计算表达式中的Rst应更换为杆塔接地电阻R,分流系数Sf2可按下式计算:
IB(s) eβ - e-β Zm Zm
Sf2 = 1 - ——— = 1 - [————————(1 - ——)+ ——] (B.0.2—13)
Ia eβ(s+1)-e-β(s+1) Zs Zs
3)当S>10时,Sf2可简化为下式:
Zm
Sf2 =1 - —— (B.0.2—14)
Zs
条文说明
B.0.2 在发电厂或变电站内、线路上发生接地故障时,线路上出现接地故障电流。故障电流经地线、杆塔分流后,剩余部分通过发电厂和变电站的接地网流入大地。这部分电流即为接地网的入地接地故障电流Ig。而经接地网入地的计及直流偏移分量的接地故障不对称电流有效值IG按下式计算:
IG =Df×Ig(12)
式中:Df——衰减系数。
Ig与接地故障接地对称电流If的比值,称为故障电流分流系数Sf。
故障电流分流系数包括站内接地故障和站外接地故障两种情况。相应的简化计算公式参见本规范附录B的公式(B.0.2-11)和(B.0.2-14)。这些公式参照解广润编写的《电力系统接地技术》(水利电力出版社,1991.5)给出。
分流系数受导线、架空线路地线的布置、地线尺寸与材质、厂或站接地网与线路杆塔的接地电阻等多种因素的影响,在工程设计中宜采用专用计算分析程序对其专门加以计算。以下给出一个应用清华大学开发的接地计算分析程序获得的分流系数数值计算示例。
分析所用模型如图11所示。该110kV输变电系统,两个变电站通过架空线路相连。线路采用如图12所示的SZ—16.4杆塔。相导线采用LGJ—240,地线采用GJ—50。杆塔接地电阻为10Ω。变电站B接地电阻为0.2Ω。两变电站相距7km,送电线路杆塔挡距为350m。变电站A内部发生单相接地故障。

图11 变电站A发生内部接地故障

图12 典型110kV型杆SZ-16.4
表4~表9给出变电站接地电阻、杆塔接地电阻、不同地线材质、不同进出线回数及线路挡距长度等对分流系数影响的计算结果。这一示例显示,只有采用专门的计算机程序,通过数值计算才能使入地电流等的计算获得较为接近实际的结果,进而为设计选择出较为合理的方案。






B.0.3 典型的衰减系数Df值可按表B.0.3中tf和X/R的关系确定。

条文说明
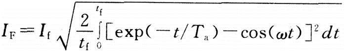
B.0.3 本规范中故障电流衰减系数Df的计算公式引自《交流变电站接地安全导则》IEEE Std80—2000的15.10。
《交流变电站接地安全导则》IEEE std80—2000中采用Dalziel的实验结论,确定人体安全电流与作用时间的关系为I2•t=常数。在2005年出版的IEC 60479—1中,该关系近似为I1.8•t=常数。可见,电流对人体的作用大小主要取决于电流在人体内产生的能量。同样,这一能量中包含直流衰减分量的贡献,因此从人身安全的角度,应计及入地故障电流的直流分量。
在故障电流流散到土壤的过程中,电流会产生与其幅值成正比的电磁力和与其幅值平方成正比的能量,有可能超越导体的热稳定容量,导致接地网导体的热熔和弯曲。入地电流的直流偏移分量对接地体承受的电磁力和吸纳的能量具有一部分贡献,因此从接地体安全的角度,也应计及入地电流直流分量的影响。
从上述可得出结论,在设计接地网时,应计及故障电流直流分量的影响,按照接地网入地的最大接地故障不对称电流有效值IG进行设计。
下面介绍Df的计算方法。
如图13所示,接地网入地最大接地故障不对称电流有效值IG是从接地网流入周围土壤中的最大非对称交流电流,它包括对称交流电流iAC(图13中的a)及直流分量iDC(图13中的b)。直流偏移是指电力系统暂态情况时,对称电流波和实际电流波之间的差值。实际的电流波采用数学的方法可以分解为两部分,对称的交流分量和单向的直流分量,直流分量随时间逐渐衰减,单向分量可以是正极性或负极性,但不能改变极性。直流偏移分量为故障电流峰值与对称分量的峰值的差值。直流分量一般称为直流偏移电流,随时间呈指数衰减。因为在设计接地系统时必须考虑非对称电流,因此为了考虑到在故障的开始几个周波内,由于直流分量的作用而产生的非对称故障电流波形,应考虑衰减系数Df。
一般,非对称的故障电流包括次暂态、暂态和稳态交流分量,及直流偏移电流分量。次暂态电抗是指故障起始时发电机的电抗,该值用于计算起始的对称故障电流。电流持续减小,但在计算时假设该电流在故障突然出现后稳定维持约0.05s。次暂态、暂态交流分量和直流偏移电流分量呈指数衰减,衰减速度各自不同。然而,为了简单起见,假设交流分量不随时间而衰减,保持其起始值。因此非对称故障电流是时间的周期函数,可以表示为:
if(t)=(√2UY)[sin(ωt+α-θ)-exp(-t/Ta)sin(α-θ)] (13)
式中:U——故障前相对中性点的标称电压;
ω——系统角频率;
α——电流起始时的电压相位角;
θ——电流相位角;
Y——交流系统等效导纳;
Ta——直流偏移分量的时间常数,Ta=X/(ωR);
X/R——对于给定的故障类型在故障位置处系统的X/R之比。系统次态故障阻抗的X和R分量用于确定X/R之比。


c)最大入地故障电流
图13 接地网最大入地故障电流(c)的对称分量(a)和直流分量(b)
最严重的情况为α-θ=-π/2时,直流偏移分量处于最大值。式(13)变为:
if(t)=(√2UY)[exp(-t/Ta)-cos(ωt)] (14)
因为电击对于人心脏纤维性颤动的试验数据是基于常数幅值的对称正弦波的能量值确定的,因此对于非对称电流波,应根据其可能的电击暴露的最大时间来确定其等效有效值。根据有效非对称故障电流的定义,这个有效值IF可以根据下列公式确定:
(15)
IF为在整个故障时间内,非对称电流的有效值;tf为故障时间。
将式(14)代入式(15)可得:
(16)
因此衰减系数Df定义为IF与/If的比值:
Df=IF/If (17)
(18)
本规范中表B.0.3就是通过式(18)的计算得到的。
B.0.4 在系统单相接地故障电流入地时,地电位的升高可按下式计算:
V = IGR(B.0.4)
式中:V——接地网地电位升高(V);
IG——经接地网入地的最大接地故障不对称电流有效值(A);
R——接地网的工频接地电阻(Ω)。
条文说明
B.0.4 本规范中式(B.0.4)系引自《交流电气装置的接地》DL/T 621—1997附录C的式(C3)。但注意电流IG为接地网入地的接地故障最大不对称电流有效值。
附录C 表层衰减系数
附录C 表层衰减系数
C.0.1 接触电位差和跨步电位差允许值可按下列公式计算:

式中:ρs——表层土壤电阻率;
Cs——表层衰减系数,通过镜像法进行计算,也可通过图C.0.1中Cs与h和K的关系曲线查取,其中b取0.08m;
b——人脚的金属圆盘的半径;
K——不同电阻率土壤的反射系数,可按公式(C.0.1—4)计算;
hs——表层土壤厚度;
Rm(2nhs)——两个相似、平行、相距2nhs且置于土壤电阻率为ρ的无限大土壤中的两个圆盘之间的互阻(Ω);
ρ——下层土壤电阻率;
r,z——以圆盘1的中心为坐标原点时,圆盘2上某点的极坐标。

图C.0.1 Cs与h和K的关系曲线
C.0.2 工程中对地网上方跨步电位差和接触电位差允许值的计算精度要求不高(误差在5%以内)时,也可采用下式计算:
ρ
0.09•(1 - ——)
ρs
Cs = 1 - —————————— (C.0.2)
2hs + 0.09
条文说明
地表高电阻率表层材料主要有砾石或鹅卵石、沥青、沥青混凝土、绝缘水泥。即使在下雨天,砾石或沥青混凝土仍能保持5000Ω • m的电阻率。建议在站内道路上敷设沥青或沥青混凝土,在设备周围敷设鹅卵石。
特别应当注意,普通的混凝土路面不能用来作为提高表层电阻率的措施,因为混凝土具有吸水性能,在下雨天其电阻率将降至几十欧姆•米。
随着高阻层厚度的增加,接触电位差和跨步电位差允许值的增加具有饱和趋势,即增加高阻层厚度来提高安全水平具有饱和性。因此要使接触电压和跨步电压的提高满足人身安全要求,还必须将接地电阻降低到合适的值。地表高阻层的厚度一般可取10cm~35cm。
附录D 均匀土壤中接地网接触电位差和跨步电位差的计算
附录D 均匀土壤中接地网接触电位差和跨步电位差的计算
D.0.1 本附录只适用于均匀土壤中接地网接触电位差和跨步电位差的计算。均匀土壤中不规则、复杂结构的等间距布置和不等间距布置的接地网,以及分层土壤中的接地网其接触电位差和跨步电位差的计算,宜采用专门的计算机程序进行。
条文说明
D.0.1 对于均匀土壤中等间距布置的接地网的最大接触电压和最大跨步电压的计算公式,是引自《交流变电站接地安全导则》IEEE Std80—2000的16.5。通过对方形、矩形、三角形、T形和L形等形状的接地网的计算结果与计算机计算结果比较表明,不管接地网是否有垂直接地极,这些公式都具有较高的精度。分析时接地网面积从6.25m2~10000m2,一个方向的网孔数目为1~40,网孔尺寸从2.5m2~22.5m2。
D.0.2 接地网接地极的布置可分为等间距布置和不等间距布置。等间距布置时,接地网的水平接地极采用10m~20m的间距布置。接地极间距的大小应根据地面电气装置接地布置的需要确定。不等间距布置的接地网接地极从中间到边缘应按一定的规律由稀到密布置。
条文说明
D.0.2 非均压带等间距布置时的地表面接触电位系数和跨步电位系数的计算公式,是由清华大学提供的。通过大量的理论计算,采用回归分析,得到了用不等间距布置接地网时接地电阻、最大接触电压和最大跨步电压的经验公式。
D.0.3 等间距布置接地网的接触电位差和跨步电位差的计算。
1 接地网初始设计时的网孔电压计算:
1)接地网初始设计时的网孔电压可按下列公式计算:
ρIGKmKi
Um =—————(D.0.3—1)
LM
1 D2 (D+2h)2 h Kii 8
Km =—— [ln(—— + ———— - ——)+ —— ln—————] (D.0.3—2)
2π 16hd 8Dd 4d Kh π(2n-1)
Kh =√(1+h/h0)(D.0.3—3)
式中:ρ——土壤电阻率(Ω•m);
Km——网孔电压几何校正系数;
Ki——接地网不规则校正系数,用来计及推导Km时的假设条件引入的误差;
IG——接地网的最大入地电流;
D——接地网平行导体间距;
d——接地网导体直径。扁导体的等效直径d为扁导体宽度b的1/2;等边角钢的等效直径d为0.84b(b为角钢边宽度);不等边角钢的等效直径d为0.71
(b1和b2为角钢两边宽度);
h——接地网埋深;
Kh——接地网埋深系数;
h0——参考深度,取1m;
Kii——因内部导体对角网孔电压影响的校正加权系数。
2)式(D.0.3—1)~式(D.0.3—3)对埋深在0.25m~2.50m范围的接地网有效。当接地网具有沿接地网周围布置的垂直接地极、在接地网四角布置的垂直接地极或沿接地网四周和其内部布置的垂直接地极时,Kii=1。
3)对无垂直接地极或只有少数垂直接地极,且垂直接地极不是沿外周或四角布置时,Kii可按下式计算:
Kii=1/(2n)2/n (D.0.3—4)
式中:n——矩形或等效矩形接地网一个方向的平行导体数。
4)对于矩形和不规则形状的接地网的计算,n可按下式计算:
n=nanbncnd (D.0.3—5)
5)式(D.0.3—5)中,对于方形接地网,nb=1;对于方形和矩形接地网,nc=1;对于方形、矩形和L形接地网,nd=1。
对于其他情况,可按下列公式计算:
2Lc
na = —— (D.0.3—6)
Lp

Dm
nd= ————————— (D.0.3—9)

式中:Lc——水平接地网导体的总长度(m);
Lp——接地网的周边长度(m);
A——接地网面积(m2);
Lx——接地网x方向的最大长度(m);
Ly——接地网y方向的最大长度(m);
Dm——接地网上任意两点间最大的距离(m)。
6)如果进行简单的估计,在计算Km和Ki以确定网孔电压可采用n=
,n1和n2为x和y方向的导体数。
7)接地网不规则校正系数Ki可按下式计算:
Ki=0.644 + 0.148n (D.0.3—10)
8)对于无垂直接地极的接地网,或只有少数分散在整个接地网的垂直接地极,这些垂直接地极没有分散在接地网四角或接地网的周边上,有效埋设长度LM按下式计算:
LM=Lc+LR (D.0.3—11)
式中:LR——所有垂直接地极的总长度。
9)对于在边角有垂直接地极的接地网,或沿接地网四周和其内部布置垂直接地极时,有效埋设长度LM可按下式计算:
Lr
LM = Lc + [ 1.55 + 1.22(—————————)] LR (D.0.3—12)

式中:Lr——每个垂直接地棒的长度(m)。
2 最大跨步电位差的计算:
1)跨步电位差与跨步电位差Us与几何校正系数Ks、校正系数Ki、土壤电阻率ρ、接地系统单位导体长度的平均流散电流有关,可按下列公式计算:
ρIGKSKi
Us = ————— (D.0.3—13)
Ls
Ls = 0.75Lc+0.85LR(D.0.3—14)
式中:IG——接地网入地故障电流;
Ls——埋入地中的接地系统导体有效长度。
2)发电厂和变电站接地系统的最大跨步电位差出现在平分接地网边角直线上,从边角点开始向外1m远的地方。
对于一般埋深h在0.25m~2.5m的范围的接地网,KS可按下式计算:
1 1 1 1-0.5n-2
KS = —(—— + ——— + —————)(D.0.3—15)
π 2h D+h D
D.0.4 不等间距布置接地网的接触电位差和跨步电位差的计算。
1 不等间距布置接地网的布置规则应符合下列要求:
1)不等间距布置的长方形接地网(图D.0.4),长或宽方向的第i段导体长度Lik占边长L的百分数Sik可按下式计算:
Lik
Sik = —— × 100% (D.0.4—1)
L
式中:L——接地网的边长,在长方向,L=L1,在宽方向,L=L2。

图D.0.4 不等间距布置的长方形接地网
2)接地网长方向的导体根数为n1,宽方向的导体根数为n2。长方向上导体分段数为k1=n1-1,宽方向上的导体分段数为k2=n2-1。
3)Sik与导体分段数k和从周边导体数起的导体段的序号i的关系如表D.0.4所示。因接地网的对称性,如某方向的导体分段为奇数,则列出了(k+1)/2个数据,当k为偶数,则列出了k/2个数据,其余数据可以根据对称性赋值。
k≥7,对表中结果进行拟合,则Sik可按下列公式计算:
Sik = b1exp(-ib2)+ b3 (D.0.4—2)
当7≤k≤14时:
b1=-1.8066+2.6681lgk-1.0719 lg2k(D.0.4—3)
b2=-0.7649+2.6992lgk-1.6188 lg2k(D.0.4—4)
b3=1.8520-2.8568lgk+1.1948 lg2k (D.0.4—5)
当14<k≤25时:
b1=-0.00064-2.50923/(k+1) (D.0.4—6)
b2=-0.03083+3.17003/(k+1) (D.0.4—7)
b3=0.00967+2.21653/(k+1) (D.0.4—8)
当25<k≤40时:
b1=-0.0006-2.50923/(k+1) (D.0.4—9)
b2=-0.03083+3.17003/(k+1) (D.0.4—10)
b3=0.00969+2.2105/(k+1) (D.0.4—11)
式中:b1、b2和b3——与k有关的常数。

2 不等间距布置接地网时接地电阻可按下列公式计算:
R = kRhkRLkRmkRNkRd(1.068×10-4 + 0.445/√s)ρ (D.0.4—12)

m = (N1 - 1)(N2 - 1) (D.0.4—18)
式中: ρ——土壤电阻率(Ω•m);
kRh、kRL、kRm、kRN、kRd——接地电阻的埋深、形状、网孔数目、导体根数和导体直径对接地电阻的影响系数;
L1、L2——接地网的长度和宽度(m);
N1、N2——长宽方向布置的导体根数;
m——接地网的网孔数目。
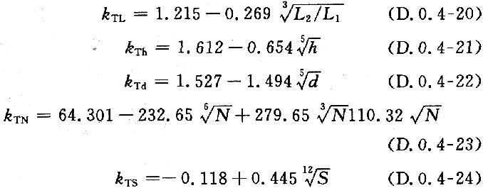
3 最大接触电位差UT可按下列公式计算:
UT = kTLkThkTdkTSkTNkTmV (D.0.4—19)

kTm=9.727×10-3 + 1.356/√m (D.0.4—25)
N =N2/N1(D.0.4—26)
式中: V=IGR——接地网的最大接地电位升高;
IGM——流入接地网的最大接地故障电流;
R——接地网接地电阻;
kTL、kTh、kTd、kTS、kTN、kTm——最大接触电位差的形状、埋深、接地导体直径、接地网面积、接地体导体根数及接地网网孔数目影响系数。
4 最大跨步电位差US可按下列公式计算:
US = kSLkShkSdkSSkSNkSmU0 (D.0.4—27)
kSL = 29.081 - 1.862√l + 435.18l + 425.68l1.5 + 148.59l2 (D.0.4—28)

kSN=1.0+1.416×106exp(-202.7N)-0.306exp[29.264(N-1)] (D.0.4—31)
kSS=0.911+19.104√S(D.0.4—32)
kSm=kSN(34.474-11.541√m+1.43m-0.076m1.5+1.455×10-3m2)(D.0.4—33)
N=N2/N1(D.0.4—34)
l=L1/L2(D.0.4—35)
式中:kSL、kSh、kSd、kSS、kSN和kSm——最大跨步电位差的形状、埋深、接地导体直径、接地网面积、接地体导体根数及接地网网孔数目影响系数。
附录E 高压电气装置接地导体(线)的热稳定校验
附录E 高压电气装置接地导体(线)的热稳定校验
E.0.1 接地导体(线)的最小截面应符合下式的要求:
Ig
Sg ≥——√te (E.0.1)
C
式中:Sg——接地导体(线)的最小截面(mm2);
Ig——流过接地导体(线)的最大接地故障不对称电流有效值(A),按工程设计水平年系统最大运行方式确定;
te——接地故障的等效持续时间,与ts相同(s);
C——接地导体(线)材料的热稳定系数,根据材料的种类、性能及最大允许温度和接地故障前接地导体(线)的初始温度确定。
条文说明
E.0.1 本规范式(E.0.1)引自《交流电气装置的接地》DL/T621—1997的附录C。公式中Ig为流过接地导体(线)计及直流分量的最大接地故障不对称电流有效值(A)。其确定方法可参见本规范附录B和本规范第4.2.1条第1款的条文说明。
《交流变电站接地安全导则》IEEE Std80—2000的第11.3.1条的式(37)给出了计算热稳定的公式。经推导由其得到热稳定系数C值的计算公式如下:
(19)
式中:Tm——最大允许温度(℃);
Ta——环境温度(℃);
Tr——材料物理常数的参考温度(℃);
αr——温度为参考温度Tr时的电阻率温度系数(1/℃);
αo——温度为时0℃的电阻率温度系数(1/℃);
ρr——温度为参考温度Tr时接地导体的电阻率(μΩ • cm);
Ko——1/αo或(1/αr)-Tr,℃;
TCAP——单位体积热容量(J/cm3℃)。
按照《交流变电站接地安全导则》IEEE Std80—2000,在表10中给出了用于C值计算的有关材料的各种参数。

铜材的C值与采用的焊接方式密切相关。过去铜材一般采用铜焊焊接,铜材最大允许温度Tm取450℃。参照表10中的材料参数,并取环境温度Ta=40℃代入式(19)得C=215.141,它与《交流电气装置的接地》DL/T 621—1997中的210相当接近。
目前铜材焊接方式已有很大进步,英国接地标准(BS7430—1998:Code of Practice for Earthing)规定,铜材采用焊接(非铜焊焊接)方式最大允许温度可采用500℃、600℃直至700℃。为节约铜材,在本规范巾对铜材推荐采用放热焊接方式。考虑土壤对铜腐蚀的因素,正如《交流变电站接地安全导则》IEEE Std80—2000的第11.3.3条所指出“应该仔细检查导体暴露在腐蚀性土壤性环境的可能性。因为即使合理的导体尺寸和正确的连接方法已经满足标准要求,仍然需要选择更大的导体尺寸以补偿土壤腐蚀环境中,导体截面积在接地装置设计寿命内的逐渐减少”,并参考BS7430—1998,本规范中规定对铜材采用放热焊接方式时的最大允许温度,视土壤腐蚀的轻重程度经验算可分别取为900℃、800℃和700℃。其相应的C值分别为268、259和249。
本规范中还对国内目前已采用的铜镀钢绞线(导电率40%和30%)和铜镀钢棒(导电率20%),按与铜材相同的最大允许温度和表10中相应的参数给出了它们的C值。
至于其他导电率的铜镀钢绞线、铜镀钢棒和采用连铸等工艺制造的铜覆钢材料的C值.应按产品技术条件提供的材料参数和采用的Tm按式(19)计算确定。
由于铜或铜覆钢材主要用于土壤腐蚀较严重地区,因此设计时宜按实际腐蚀情况校核所选择的截面并留有相当的裕度,以确保在设计使用年限内接地导体(线)和接地极的最大温度不高于其熔化温度。
铝与钢的C值仍维持《交流电气装置的接地》DL/T 621—1997附录C中的相应值,即120和70。它们对应的最大允许温度分别为300℃和400℃。
本规范附录E的表E.0.2-2就是在上述基础上获得的。
还应强调的是,当采用放热焊接方式时,铜或铜覆钢材的最大允许温度已提升较高,因此应严格遵循放热焊接工艺、使用质量合格的焊接材料,以确保焊接头的质量。
本规范附录E的表E.0.2-1,系参照《交流电气装置的接地》DL/T 621—1997的附录C修订而得。
E.0.2 在校验接地导体(线)的热稳定时,Ig及te应采用表E.0.2—1所列数值。接地导体(线)的初始温度,取40℃。
对钢和铝材的最大允许温度分别取400℃和300℃。钢和铝材的热稳定系数C值分别取70和120。
铜和铜覆钢材采用放热焊接方式时的最大允许温度,应根据土壤腐蚀的严重程度经验算分别取900℃、800℃或700℃。爆炸危险场所,应按专用规定选取。铜和铜镀钢材的热稳定系数C值可采用表E.0.2—2给出的数值。


条文说明
E.0.2 引自《交流电气装置的接地》DL/T 621—1997的附录C。
E.0.3 热稳定校验用的时间可按下列要求计算:
1 发电厂和变电站的继电保护装置配置有两套速动主保护、近接地后备保护、断路器失灵保护和自动重合闸时,te应按下式取值:
te≥tm+tf+to (E.0.3—1)
式中 tm——主保护动作时间(s);
tf——断路器失灵保护动作时间(s);
to——断路器开断时间(s)。
2 配有一套速动主保护、近或远(或远近结合的)后备保护和自动重合闸,有或无断路器失灵保护时,te应按下式取值:
te≥to+tr (E.0.3—2)
式中 tr——第一级后备保护的动作时间(s)。
附录F 架空线路杆塔接地电阻的计算
附录F 架空线路杆塔接地电阻的计算
F.0.1 杆塔水平接地装置的工频接地电阻可按下式计算:
ρ L2
R = ——(ln—— + At) (F.0.1)
2πL hd
式中:At——按表F.0.1取值;
L——按表F.0.1取值。

F.0.2 杆塔接地装置接地电阻的冲击系数,可按以下公式计算:
1 铁塔接地装置:
α= 0.74ρ-0.4(7.0+√L)[1.56-exp(-3.0Ii-0.4)] (F.0.2—1)
式中:Ii——流过杆塔接地装置或单独接地极的冲击电流(kA);
ρ——以Ω•m表示的土壤电阻率。
2 钢筋混凝土杆放射型接地装置:
a = 1.36ρ-0.4(1.3+√L)[1.55-exp(-4.0Ii-0.4)] (F.0.2—2)
3 钢筋混凝土杆环型接地装置:
a = 2.94ρ-0.5(6.0+√L)[1.23-exp(-2.0Ii-0.3)] (F.0.2—3)
4 单独接地极接地电阻的冲击系数的计算:
1)垂直接地极:
a = 2.75ρ-0.4(1.8+√L)[0.75-exp(-1.50Ii-0.2)] (F.0.2—4)
2)单端流入冲击电流的水平接地极:
a = 1.62ρ-0.4(5.0+√L)[0.79-exp(-2.3Ii-0.2)] (F.0.2—5)
3)中部流入冲击电流的水平接地极:
a = 1.16ρ-0.4(7.1+√L)[0.78-exp(-2.3Ii-0.2)] (F.0.2—6)
F.0.3 ρ≤300Ω•m时,可计及杆塔自然接地极的作用。其冲击系数可利用下式计算:
1
a = ———————(F.0.3)
1.35 +α1Ii1.5
式中:ai——对钢筋混凝土杆、钢筋混凝土桩和铁塔的基础(一个塔脚),为0.053;对装配式钢筋混凝土基础(一个塔脚)和拉线盘(带拉线棒),为0.038。
F.0.4 各种型式接地极的冲击利用系数ηi可采用表F.0.4的数值。工频利用系数可取0.9。自然接地极,工频利用系数可取0.7。

F.0.5 各种型式接地装置工频接地电阻的计算,可采用表F.0.5的简易计算式。

注:表中R为接地电阻(Ω);ρ为土壤电阻率(Ω•m)。
条文说明
引自《交流电气装置的接地》DL/T 621—1997的附录D。根据研究,采用伸长接地极能有效降低杆塔接地装置的工频接地电阻,但并不能确保其良好的雷电保护效果。接地极在冲击电流作用下与在工频电流作用下不同,接地极将呈现电感效应,阻碍电流向接地极远端流动。如果接地极过长,则在冲击电流作用下只有一部分被利用,即接地极具有有效长度。
伸长接地极的有效长度不能超过下列公式计算的有效长度,这在工程设计中应予以注意。
单端注入雷电流的水平接地极:
le=6.528(ρT)0.379/IM0.097 (20)
中间注入雷电流的水平接地极:
le=7.683(ρT)0.379/IM0.097 (21)
中心注入雷电流的十字形接地极:
le=8.963(ρT)0.379/IM0.097 (22)
式中:T——冲击电流波前时间(μs);
IM——施加冲击电流的幅值(kA);
ρ——土壤电阻率(Ω•m)。
裹有降阻剂后接地极的有效长度明显减小,约减小10%~20%。这是因为接地极裹有降阻剂后相当于增大了接地极的截面积,有利于接地极的散流,因而有效长度减小。
计算裹有降阻剂的水平接地极的雷电冲击有效长度的公式如下:
单端注入雷电流的水平接地极:
le=5.222(ρT)0.379/IM0.097 (23)
中间注入雷电流的水平接地极:
le=6.531(ρT)0.379/IM0.097 (24)
中心注入雷电流的十字形接地极:
le=8.067(ρT)0.379/IM0.097 (25)
附录G 系数k的求取方法
附录G 系数k的求取方法
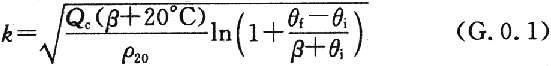
G.0.1 本规范第8.2.1条第2款式(8.2.1)中k值可由下式计算:

式中 Qc——导线材料在20℃的体积热容量[J/(℃•mm3)];
β——导线在0℃时的电阻率温度系数的倒数,可按表G.0.1取值(℃);
ρ20——导线材料在20℃时的电阻率,可按表G.0.1取值(Ω•mm);
θI——导线的初始温度(℃);
θf——导线的最终温度(℃)。

G.0.2 用法不同或运行情况不同的保护导体的k值,可按表G.0.2—1~表G.0.2—5选取。

注:温度中的较小数值适用于截面积大于300mm2的PVC绝缘导体。

表G.0.2—2 与电缆护层接触但不与其他电缆成束敷设的裸保护导体的k

注:温度中较小数值适用于截面积大于300mm2的PVC绝缘导体。

注:温度的数值也应适用于外露可触及的或与可燃性材料接触的裸导体。

条文说明
引自现行国家标准《建筑物电气装置 第5-54部分:电气设备的选择和安装——接地配置、保护导体和保护联结导体》GB 16895.3-2004的附录A。k值与本规范式(E.0.1)中的C值是一样的。本规范附录E的说明中已指出,对铜材按焊接方式的不同,即最大允许温度的不同,C值也不相同。《建筑物电气装置 第5-54部分:电气设备的选择和安装——接地配置、保护导体和保护联结导体》GB16895.3—2004附录A中对铜的k值取226,但未指出焊接方式。这在设计中宜结合焊接方式的不同,并参照本规范附录E的说明加以处理。
附录H 低压接地配置、保护导体和保护联结导体
附录H 低压接地配置、保护导体和保护联结导体

图H 接地配置、保护导体和保护联结导体
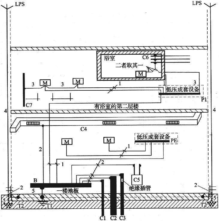
M—外露可导电部分;C—外界可导电部分;C1—外部进来的金属水管;C2—外部进来的金属排弃废物、排水管道;C3—外部进来的带绝缘插管的金属可燃气体管道;C4—空调;C5—供热系统;C6—金属水管,比如浴池里的金属水管;C7—在外露可导电部分的伸臂范围内的外界可导电部分;B—总接地端子(总接地母线);T—接地极;T1—基础接地;T2—LPS(防雷装置)的接地极(若需要的话);1—保护导体;2—保护联结导体;3—用作辅助联结用的保护联结导体;4—LPS(防雷装置)的引下线;5—接地导体。
条文说明
引自现行国家标准《建筑物电气装置 第5-54部分:电气设备的选择和安装——接地配置、保护导体和保护联结导体》GB 16895.3—2004的附录B。
附录J 土壤和水的电阻率参考值
附录J 土壤和水的电阻率参考值


条文说明
引自国家现行标准《交流电气装置的接地》DL/T 612—1997的附录F。
本规范用词说明
本规范用词说明
1 为便于在执行本规范条文时区别对待,对要求严格程度不同的用词说明如下:
1)表示很严格,非这样做不可的:
正面词采用“必须”,反面词采用“严禁”;
2)表示严格,在正常情况下均应这样做的:
正面词采用“应”,反面词采用“不应”或“不得”;
3)表示允许稍有选择,在条件许可时首先应这样做的:
正面词采用“宜”,反面词采用“不宜”;
4)表示有选择,在一定条件下可以这样做的,采用“可”。
2 条文中指明应按其他有关标准执行的写法为:“应符合……的规定”或“应按……执行”。
引用标准名录
引用标准名录
《建筑物防雷设计规范》GB 50057
《爆炸性气体环境用电气设备 第1部分:通用要求》GB 3836.1
《人机界面标志标识的基本和安全规则 导体的颜色或数字标识》GB 7947
《建筑物电气装置 第4部分:安全防护 第43章:过电流保护》GB 16895.5
《建筑物电气装置 第5部分:电气设备的选择和安装 第52章:布线系统》GB 16895.6
《建筑物电气装置 第4-41部分:安全防护—电击防护》GB 16895.21
